Movatterモバイル変換


[0]ホーム

URL:


Search for probability and statistics terms on Statlect
StatLect
Index >Fundamentals of probability

Joint moment generating function

by, PhD

The joint moment generating function (joint mgf) is a multivariate generalization of the moment generating function.

Similarly to the univariate case, a joint mgf uniquely determines the joint distribution of its associated random vector, and it can be used to derive thecross-moments of the distribution by partial differentiation.

If you are not familiar with the univariate concept, you are advised to first read the lecture onmoment generating functions.

Table of Contents

Table of contents

  1. Definition

  2. Example

  3. Relation to cross-moments

  4. Characterization of a joint distribution

  5. More details

    1. Joint moment generating function of a linear transformation

    2. Joint moment generating function of a random vector with independent entries

    3. Joint mgf of a sum of mutually independent random vectors

  6. Solved exercises

    1. Exercise 1

    2. Exercise 2

    3. Exercise 3

  7. References

Definition

Let us start with a formal definition.

Definition LetX be aKx1random vector. If theexpected value[eq1]exists and is finite for allKx1 real vectors$t$ belonging to a closed rectangleH:[eq2]with$h_{i}>0$ for all$i=1,ldots ,K$, then we say thatX possesses a joint moment generating function and the function[eq3] defined by[eq4]is called thejoint moment generating function ofX.

Not all random vectors possess a joint mgf. However, all random vectors possess ajoint characteristic function, a transform that enjoys properties similar to those enjoyed by the joint mgf.

Example

As an example, we derive the joint mgf of a standard multivariate normal random vector.

Example LetX be aKx1 standard multivariate normal random vector. ItssupportR_X is[eq5]and itsjoint probability density function[eq6] is[eq7]As explained in the lecture entitledMultivariate normal distribution, theK components ofX areKmutually independent standard normal random variables, because the joint probability density function ofX can be written as[eq8]where$x_{i}$ is thei-th entry ofx and[eq9] is the probability density function of a standard normal random variable:[eq10]Therefore, the joint mgf ofX can be derived as follows:[eq11]Since the mgf of a standard normal random variable is[eq12]then[eq13][eq14] is defined for any$t_{i}in U{211d} $. As a consequence,[eq15] is defined for any$tin U{211d} ^{K}$.

Relation to cross-moments

The next proposition shows how the joint mgf can be used to derive thecross-moments of a random vector.

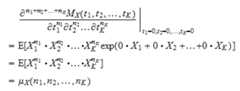
Proposition If aKx1 random vectorX possesses a joint mgf[eq16], thenX possesses finite cross-moments of ordern, for any$nin U{2115} $. Furthermore, if you define a cross-moment of ordern as[eq17]where[eq18] and[eq19], then[eq20]where the derivative on the right-hand side is then-th order partial derivative of[eq21] evaluated at the point[eq22].

Proof

We do not provide a rigorous proof of this proposition, but see, e.g.,Pfeiffer (1978) andDasGupta (2010). The main intuition, however, is quite simple. Differentiation is a linear operation and the expected value is a linear operator. This allows us to differentiate through the expected value, provided appropriate technical conditions (omitted here) are satisfied:[eq23]Evaluating this derivative at the point[eq24], we obtain[eq25]

The following example shows how this proposition can be applied.

Example Let's continue with the previous example. The joint mgf of a$2imes 1$ standard normal random vectorX is[eq26]The second cross-moment ofX can be computed by taking the second cross partial derivative of[eq27]:[eq28]

Characterization of a joint distribution

One of the most important properties of the joint mgf is that it completely characterizes the joint distribution of a random vector.

PropositionLetX andY be twoKx1 random vectors, possessing joint mgfs[eq29] and[eq30]. Denote by[eq31] and[eq32] theirjoint distribution functions.X andY have the same joint distribution if and only if they have the same joint mgfs:[eq33]

Proof

The reader may refer toFeller (2008) for a rigorous proof. The informal proof given here is almost identical to that given for the univariate case. We confine our attention to the case in whichX andY are discrete random vectors taking only finitely many values. As far as the left-to-right direction of the implication is concerned, it suffices to note that ifX andY have the same distribution, then[eq34]The right-to-left direction of the implication is proved as follows. Denote byR_X and$R_{Y}$ the supports ofX andY and by[eq35] and[eq36] theirjoint probability mass functions. Define the union of the two supports:[eq37]and denote its members by[eq38]. The joint mgf ofX can be written as[eq39]By the same line of reasoning, the joint mgf ofY can be written as[eq40]IfX andY have the same joint mgf, then[eq41]for any$t$ belonging to a closed rectangle where the two mgfs are well-defined, and[eq42]Rearranging terms, we obtain[eq43]This equality can be verified for every$t$ only if[eq44]for everyi. As a consequence, the joint probability mass functions ofX andY are equal, which implies that also their joint distribution functions are equal.

This proposition is used very often in applications where one needs to demonstrate that two joint distributions are equal. In such applications, proving equality of the joint moment generating functions is often much easier than proving equality of the joint distribution functions.

More details

The following sections contain more details about the joint mgf.

Joint moment generatingfunction of a linear transformation

LetX be aKx1 random vector possessing joint mgf[eq45].

Define[eq46]where$A $is a$Limes 1$ constant vector and and$B $is an$Limes K$ constant matrix.

Then, the$Limes 1$ random vectorY possesses a joint mgf[eq47] and[eq48]

Proof

Using the definition of mgf, we get[eq49]If[eq50] is defined on a closed rectangleH, then[eq51] is defined on another closed rectangle whose shape and location depend onA and$B$.

Joint moment generatingfunction of a random vector with independent entries

LetX be aKx1 random vector.

Let its entriesX_1, ...,$X_{K}$ beK mutually independent random variables possessing a mgf.

Denote the mgf of thei-th entry ofX by[eq14].

Then, the joint mgf ofX is[eq53]

Proof

This fact is demonstrated as follows:[eq54]

Joint mgf of a sum of mutuallyindependent random vectors

LetX_1, ...,X_n ben mutually independent random vectors, all of dimensionKx1.

LetZ be their sum:[eq55]

Then, the joint mgf ofZ is the product of the joint mgfs ofX_1, ...,X_n:[eq56]

Proof

This fact descends from the properties of mutually independent random vectors and from the definition of joint mgf:[eq57]

Solved exercises

Some solved exercises on joint moment generating functions can be found below.

Exercise 1

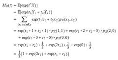
LetX be a$2imes 1$discrete random vector and denote its components byX_1 andX_2.

Let the support ofX be[eq58]and itsjoint probability mass function be[eq59]

Derive the joint moment generating function ofX, if it exists.

Solution

By the definition of moment generating function, we have[eq60]Obviously, the joint moment generating function exists and it is well-defined because the above expected value exists for any$tin U{211d} ^{2}$.

Exercise 2

Let[eq61]be a$2imes 1$ random vector with joint moment generating function[eq62]

Derive the expected value ofX_1.

Solution

Themoment generating function ofX_1 is[eq63]The expected value ofX_1 is obtained by taking the first derivative of its moment generating function:[eq64]and evaluating it at$t_{1}=0$:[eq65]

Exercise 3

Let[eq66]be a$2imes 1$ random vector with joint moment generating function[eq67]

Derive thecovariance betweenX_1 andX_2.

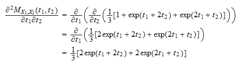
Solution

We can use the following covariance formula:[eq68]The moment generating function ofX_1 is[eq69]The expected value ofX_1 is obtained by taking the first derivative of its moment generating function:[eq70]and evaluating it at$t_{1}=0$:[eq71]The moment generating function ofX_2 is[eq72]To compute the expected value ofX_2 we take the first derivative of its moment generating function:[eq73]and evaluating it at$t_{2}=0$:[eq74]The secondcross-moment ofX is computed by taking the second cross-partial derivative of the joint moment generating function:[eq75]and evaluating it at[eq76]:[eq77]Therefore,[eq78]

References

DasGupta, A. (2010)Fundamentals of probability: a first course, Springer.

Feller, W. (2008)An introduction to probability theory and its applications, Volume 2, Wiley.

Pfeiffer, P. E. (1978)Concepts of probability theory, Dover Publications.

How to cite

Please cite as:

Taboga, Marco (2021). "Joint moment generating function", Lectures on probability theory and mathematical statistics. Kindle Direct Publishing. Online appendix. https://www.statlect.com/fundamentals-of-probability/joint-moment-generating-function.

The books

Most of the learning materials found on this website are now available in a traditional textbook format.

Probability and statisticsMatrix algebra
Featured pages
Explore
Main sections
About
Glossary entries
Share
  • To enhance your privacy,
  • we removed the social buttons,
  • butdon't forget to share.

[8]ページ先頭

©2009-2025 Movatter.jp