
ACarbon Nanotube Optical Reporter Maps EndolysosomalLipid Flux
PrakritV Jena
Daniel Roxbury
Thomas V Galassi
Leila Akkari
Christopher P Horoszko
David B Iaea
Januka Budhathoki-Uprety
Nina Pipalia
Abigail S Haka
Jackson D Harvey
Jeetain Mittal
Frederick R Maxfield
Johanna A Joyce
Daniel A Heller
E-mail:hellerd@mskcc.org.
Received 2017 Jul 6; Accepted 2017 Aug 31; Issue date 2017 Nov 28.
This is an open access article published under an ACS AuthorChoiceLicense, which permits copying and redistribution of the article or any adaptations for non-commercial purposes.
Abstract

Lipidaccumulation within the lumen of endolysosomal vesicles isobserved in various pathologies including atherosclerosis, liver disease,neurological disorders, lysosomal storage disorders, and cancer. Currentmethods cannot measure lipid flux specifically within the lysosomallumen of live cells. We developed an optical reporter, composed ofa photoluminescent carbon nanotube of a single chirality, that respondsto lipid accumulationvia modulation of the nanotube’soptical band gap. The engineered nanomaterial, composed of short,single-stranded DNA and a single nanotube chirality, localizes exclusivelyto the lumen of endolysosomal organelles without adversely affectingcell viability or proliferation or organelle morphology, integrity,or function. The emission wavelength of the reporter can be spatiallyresolved from within the endolysosomal lumen to generate quantitativemaps of lipid content in live cells. Endolysosomal lipid accumulationin cell lines, an example of drug-induced phospholipidosis, was observedfor multiple drugs in macrophages, and measurements of patient-derivedNiemann–Pick type C fibroblasts identified lipid accumulationand phenotypic reversal of this lysosomal storage disease. Single-cellmeasurements using the reporter discerned subcellular differencesin equilibrium lipid content, illuminating significant intracellularheterogeneity among endolysosomal organelles of differentiating bone-marrow-derivedmonocytes. Single-cell kinetics of lipoprotein-derived cholesterolaccumulation within macrophages revealed rates that differed amongcells by an order of magnitude. This carbon nanotube optical reporterof endolysosomal lipid content in live cells confers additional capabilitiesfor drug development processes and the investigation of lipid-linkeddiseases.
Keywords: single-walled carbon nanotubes, single-cell sensing, live-cell imaging, near-infraredfluorescence, hyperspectral microscopy
Endosomesand lysosomes arevacuolar organelles responsible for the breakdown of lipids, proteins,sugars, and other cellular materials.1 Thefailure to catabolize or export lysosomal contents can result in lysosomalstorage disorders (LSDs), a family of approximately 50 diseases characterizedby the accumulation of undigested substrates, such as lipids and glycoproteins,within the endolysosomal lumen due to an inherited defect in a singleprotein.2,3 Lipid accumulation in the endolysosomallumen is observed in many LSDs as well as during atherosclerotic foamcell formation,4 and the transition fromsteatosis to nonalcoholic steatohepatitis5 and in multiple neurological disorders,6 cancer,7 and drug-induced phospholipidosis(DIPL).8 The search for small-moleculetherapeutics against LSDs, as well as our understanding of the aforementioneddiseases, is hampered by the limited number of tools available toassay lipid content exclusively within the endolysosomal organellesof live cells.9
Although multipleclasses of sensors and imaging modalities existto study lipids, current probes are limited in their capabilities.Stains such as LipidTox can detect the general accumulation of lipidswithin cells10 but are not organelle-specific.Fluorophore-conjugated and intrinsically fluorescent lipid analoguesare used for analyzing lipid trafficking.10 Lipid analogues, synthesized by conjugation of a fluorophore toa modified lipid, allow the tracking of uptake and incorporation oflipids into the cell membrane.11,12 Lipid dynamics canbe tracked in live cells using fluorescent proteins fused with lipid-bindingdomains; however the expressed domains can hamper the native functionof the lipid.13 Environmentally sensitivefluorophores were recently developed, which can respond to lipid order14 in cell membranes undergoing processes suchas endosomal maturation,15 while anotherfamily of polarity-sensitive probes can integrate into lysosomal membranesand detect changes in the overall polarity.16 The bulk of these technologies are useful for studying lipids presentwithin a biological membrane, but, to the best of our knowledge, noexisting probe specifically localizes to the lumen of endolysosomalorganelles and reports on the lipid content of its immediate environment.
To develop a biocompatible fluorescent reporter for lipids in theendolysosomal lumen, we investigated the physicochemical propertiesof single-walled carbon nanotubes (SWCNTs). Semiconducting SWCNTsemit highly photostable and narrow-bandwidth near-infrared (NIR) photoluminescence,17 which is sensitive to local perturbations.18 The availability of multiple species with differentemission properties can facilitate multiplexed imaging.19 The SWCNT emission energy responds to the solventenvironment20via solvatochromicenergy shifts.21 This response has beenused to detect conformational polymorphism22 of DNA and the nuclear environment in live cells,23 as well as microRNA,24via shifts down to ≤1 nm. While the self-assemblyof lipid derivatives on carbon nanotubes was observed over 14 yearsago,25 the optical response of fluorescentcarbon nanotubes to fatty acids has been noted more recently.26
Due to their applications in biologicalsensing and imaging,27 the biocompatibilityof carbon nanotubes hasbeen a subject of much investigation.28,29 A recent comprehensivereview concluded that the biocompatibility of single-walled carbonnanotubes is dependent on how the nanomaterial sample is processedand functionalized.30 In particular, multiwalledcarbon nanotubes and long single-walled carbon nanotubes or nanotubepreparations containing impurities have documented toxic effects onlive cells.31
Here, we present abiocompatible carbon nanotube optical reporterof lipids within the endolysosomal lumen of live cells. Composed ofa noncovalent complex consisting of an amphiphilic polymer and a single(n,m) species (chirality) of carbonnanotube, the reporter exhibits a solvatochromic shift of over 13nm in response to biological lipids. In mammalian cells, the reporterremains within the endolysosomal pathway and localizes specificallyto the lumen of endolysosomal organelles without adversely affectingorganelle morphology, integrity, capacity to digest substrates, orcell viability or proliferation. Using near-infrared hyperspectralmicroscopy, we spatially resolved the solvatochromic response of thereporter to lipids in the endolysosomal lumen and obtained quantitativelipid maps of live cells with subcellular resolution. Emission fromthe reporter identified the lysosomal storage disease Niemann–Picktype C (NPC) in fibroblasts from an NPC patient. Furthermore, thereporter benchmarked treatment, exhibiting a distinct signal reversalupon administration of hydroxypropyl-β-cyclodextrin, a drugthat reverses the disease phenotype. Additionally, endolysosomal lipidaccumulation was detected using spectroscopy alone, in a 96-well plateformat compatible with high-throughput drug screening. Using the reporter,single-cell kinetic measurements in a macrophage model system forlysosomal lipid accumulation identified a subpopulation of cells thatwas both significantly lipid deficient and slower to accumulate cholesterolin the lysosomal lumen. In the context of primary monocyte differentiationinto macrophages, we discovered that, as the lipid content in thelumen increases, individual endolysosomal organelles within singlecells accumulate lipids at different rates. Thus, our optical reporterenables quantitative imaging and high-throughput measurement of thelipid content in the endolysosomal lumen of live cells.
Results and Discussion
CarbonNanotube Optical Response to Lipids
To developa reporter of endolysosomal lipid content, we first identified a structurallydefined DNA–carbon nanotube complex that responds opticallyto lipids. Carbon nanotubes were noncovalently functionalized withspecific ssDNA oligonucleotides to facilitate separation using ion-exchangechromatography,32 resulting in suspensionsof single-chirality DNA–nanotube complexes. The introductionof low-density lipoprotein (LDL), a biochemical assembly composedof lipids and proteins,33 induced a decreasein emission wavelength (blue-shift) that ranged from 0 to 13 nm (Figure S1). The largest solvatochromic responsewas observed from the (8,6) nanotube spectral band complexed withss(GT)6, a short oligonucleotide that facilitates separationof the (8,6) species (Figure S2).32 The isolated ss(GT)6-(8,6) complexexhibited absorption bands at 730 and 1200 nm and a single photoluminescenceemission peak at 1200 nm (Figures1
Figure 1.
Optical response of carbon nanotube complexes to lipidenvironments.(a) Normalized absorption and emission spectra of ss(GT)6–carbon nanotube complexes purified to isolate the (8,6) species.(b) Emission peak wavelength of ss(GT)6-(8,6) nanotubecomplexes in solution as a function of cholesterol-PEG concentration.Error bars are standard error of the mean, obtained from three technicalreplicates performed for each concentration. (c) Mean emission wavelengthof ss(GT)6-(8,6) nanotube complexes exposed to differentsolvents. Error bars are standard errors of the mean, obtained fromfive technical replicates for each solvent. (d) Frames from all-atommolecular dynamics simulations of equilibrated structures of the ss(GT)6-(8,6) nanotube complex in water and the same complex equilibratedin the presence of cholesterol or sphingomyelin. (e) Water moleculedensity as a function of distance from the surface of the equilibratedss(GT)6-(8,6) nanotube complex and the same complex equilibratedin the presence of cholesterol or sphingomyelin.
The ss(GT)6-(8,6) complex was characterized bymeasuringthe optical response to several classes of biomolecules and water-solublelipid analogues. Cholesterol-conjugated polyethylene glycol (PEG),a water-soluble analogue of cholesterol, induced a ∼10 nm decreasein the emission wavelength of the complex at both 2 and 24 h, whilesaturating concentrations of bovine serum albumin (BSA), dsDNA fromsalmon testes, or carboxymethyl cellulose had no measurable effect(Figure S4). The nanotube emission respondedrapidly to cholesterol-PEG at 2 h, but at equilibrium, two differentclasses of water-soluble lipid analogues elicited equivalent, largeblue-shifting responses (Figure S5). Theoptical response of the ss(GT)6-(8,6) complex was monotonicand linear over 2 orders of magnitude of cholesterol concentrations(Figure1b). A similarresponse was observed for both ceramide (Figure S6) and low-density lipoprotein (Figure S6), indicating the general sensitivity of ss(GT)6-(8,6) to both water-soluble lipid analogues and native lipids.
To probe the underlying mechanism governing the response of thess(GT)6-(8,6) complex, we examined the dependence of emissionon the dielectric environment.20 Usingnear-infrared hyperspectral microscopy,19 we obtained the emission spectrum from individual surface-adsorbedss(GT)6-(8,6) complexes in seven different solvent environments(Table S1). The peak emission wavelengthof the complexes ranged over 20 nm and exhibited a direct correlationwith the solvent dielectric constant (Figure1c) with a Spearman correlation of 0.89,p < 0.01. This result suggests that the ss(GT)6-(8,6) complex exhibits a distinct solvatochromic response.
To further understand how lipids interact with the surface of ss(GT)6-(8,6) nanotube complexes to induce a solvatochromic shift,we conducted all-atom replica exchange molecular dynamics simulations.36,37 First, ss(GT)6 oligonucleotides were equilibrated onthe (8,6) nanotube (Figure S7) to obtainan equilibrium configuration that exhibited a tight association betweenthe ssDNA and nanotube (Figure1d). Cholesterol molecules were then added, and equilibriumwas reached after about 100 ns (Figure S7). In the resulting configuration, cholesterol bound to exposed regionson the nanotube and induced rearrangement of DNA on the nanotube surface(Figure S8). The combined effect was an18.7% decrease in the density of water molecules within 1.2 nm ofthe nanotube surface (Figure1e). These simulations were repeated with sphingomyelin molecules,and a similar reduction in water density was observed (Figure1d,e). The simulations suggestthat lipid binding to the ss(GT)6-(8,6) complex reducesthe water density near the nanotube surface, thereby lowering theeffective local solvent dielectric. As experimentally observed, thelower dielectric environment corresponds to a blue-shift of the nanotubeemission wavelength (Figure1c).
We further characterized properties of the ss(GT)6-(8,6)optical response to cholesterol. The emission shift on cholesteroladdition to surface-adsorbed complexes was rapid (under 2 min, limitedby the hyperspectral instrument acquisition time,Figure S9). Sodium deoxycholate, a surfactant and water-solublecholesterol analogue, was added and subsequently removed from thesurface-adsorbed complexes, demonstrating that the wavelength shifton analyte binding is intrinsically reversible (Figure S9). Furthermore, in an acidic environment, the responseof the nanotube complex to lipids was similar to that at a neutralpH (Figure S9).
Overall, the characteristicsof the ss(GT)6-(8,6) complexsuggest that it can function as a reporter of endolysosomal lipidaccumulation in live cells. When preparedvia previouslydescribed methods,34 suspensions of ss(GT)6-(8,6) consist of short (∼90 nm), singly dispersednanotubes that are relatively free of impurities and noncovalentlyfunctionalized with biocompatible single-stranded DNA. This minimizesthe key parameters of SWCNT cellular toxicity,30 a topic that is assessed below. The sample length distributionlies between ultrashort (50 nm) and short (150 nm) nanotubes, whichmaximizes cellular uptake of fluorescent nanotubes while minimizingbundling within cells.38 The observed brightnessof structurally sorted ss(GT)6-(8,6) is intrinsically higherthan unsorted DNA–nanotube sensors, as on-resonance excitationat 730 nm efficiently excites every nanotube present. Additionally,this particular sequence–chirality pair is relatively stableand retains its structural integrity under surfactant exchange.35 The structure, stability, and brightness ofss(GT)6-(8,6), combined with its sensitivity and specificityto lipids over other classes of biomolecules, suggest that it maybe applied to live-cell measurements of lipid accumulation.
Uptakeand Localization of DNA–SWCNTs to the EndolysosomalLumen
Although past work suggests that DNA–SWCNTsincubated with cells are taken upvia energy-dependentprocesses and localize to the endolysosomal lumen, this has not beenassessed quantitatively or on a single-organelle level.39−41 We quantitatively assessed the interaction of ss(GT)6-(8,6) complexes with mammalian cells using NIR and visible fluorescencemicroscopy. Macrophages were incubated in complete 10% fetal bovineserum (FBS)-supplemented cell culture media with 0.2 mg/L of ss(GT)6-(8,6) complexes at 37 °C for 30 min, before washingwith fresh, complex-free media. For the conditions used in our experiments,this concentration corresponds to approximately 39 pM ss(GT)6-(8,6).34 The cells exhibited bright NIRemission, indicating that nanotubes were strongly associated withthe cells (Figure S10). We observed thata ss(GT)6-(8,6) concentration of 0.2 mg/L, pulsed for 30min, was the minima that resulted in sufficient NIR emission fromall cell lines used in this work. We also measured the uptake of thess(GT)6-(8,6) complexes as a function of temperature andquantified the nanotube emission intensity associated with cells.Incubation at 4 °C resulted in 10-fold lower intensity than incubationat 37 °C (Figure S11), indicatingthat the complexes had been internalized by the cellsvia an energy-dependent process. These results are consistent with previousreports of the energy-dependent uptake of ssDNA–nanotube complexes42via endocytosis.39,40 The nanotube emission, quantified from over 700 individual cellsincubated with the complex at 37 °C, followed a normal distribution,suggesting a relatively homogeneous uptake of the ss(GT)6-(8,6) complexes by the cells (Figure S10).
To determine the localization of ss(GT)6-(8,6)complexes following uptake, we conducted a series of imaging experimentsin macrophages (RAW 264.7 cell line and bone-marrow-derived monocytes)and a human osteosarcoma cell line (U2OS-SRA cells). The ss(GT)6 oligonucleotide was covalently labeled with visible fluorophores(Cy3, Cy5, or Alexa-647) to prepare fluorophore-labeled ss(GT)6–nanotube complexes. Following internalization of 1mg/L of the complexes by macrophages, we acquired emission from theCy3 dye and NIR emission from the nanotubes in the same imaging field.This higher concentration of 1 mg/L was required to obtain sufficientemission; it was used for all experiments performed with the unsortednanotube sample. The colocalization between the signals, observedon two different detectors, indicates that emission from a fluorophoreconjugated to the ssDNA on the nanotube is a reliable indicator ofnanotube location (Figure S12). Next, wecolocalized the Cy5-DNA–SWCNT fluorescent complexes with LysoTrackerGreen, a fluorescent probe that accumulates in endolysosomal organelles(Figures2a,S13). A quantitative analysis using an unbiasedautothresholding approach indicated significant colocalization betweenthe Cy5 and LysoTracker Green emission (Pearson coefficient of 0.92± 0.036, Manders split colocalization coefficient of 0.95 ±0.018), suggesting that the nanotube signal was contained within endolysosomalorganelles. Concomitantly, the NIR emission from the nanotubes localizedto the same regions of the cell as the visible emission from LysoTracker,further supporting the endolysosomal localization of the nanotubes(Figure S14).
Figure 2.
Localization of DNA–SWCNTto endolysosomal organelles. (a)Representative fluorescence microscopy images of 1 mg/L Cy5-labeledDNA–SWCNT complexes (red) and LysoTracker (green) in live cells.Scale bar = 10 μm. (b) Representative confocal images of TMR-dextran(green) and 1 mg/L Alexa-647-SWCNT (red) in U2OS-SRA cells. Lines(cyan) denote cross sections from the images extracted for furtheranalysis in (c). Scale bar = 10 μm. (c) Intensity profiles ofTMR (green) and Alexa 647 (red) fit with Gaussian functions. (d) RepresentativeTEM images of AuNP–SWCNT complexes imaged on the TEM grid.Scale bar = 250 nm. (e) Representative TEM image of a AuNP–SWCNTcomplex within an endolysosomal organelle. Scale bar = 100 nm. (f)Relative frequency histogram of AuNP–SWCNT complexes per endolysosomalorganelle. (g) Relative frequency histograms comparing the experimentallyobserved and predicted numbers of AuNPs per endolysosomal organelleif AuNPs were not attached to SWCNT complexes.
We next assessed the localization of the nanotubes withinthe lumenof individual endolysosomal organelles, by pulsing the cells withfluorescent (TMR) 10 000 MW dextran, a polymer that accumulatesin the endolysosomal lumen and does not degrade.43 Following overnight incubation, the cells were maintainedin dextran-free media for 3 h, before 1 mg/L Alexa-647-labeled nanotubecomplexes were introduced to the cell media for 30 min and then washedaway. One hour later we performed high-magnification confocal microscopyin the live cells. An analysis of over 40 cells (Figures2b,S15) indicates that 50% TMR dextran-labeled endolysosomal organellescolocalized with Alexa 647–nanotube complexes, suggesting thatwithin an hour following their addition the nanotubes had been transportedto the dextran-loaded endolysosomal organelles. We extracted lineintensity profiles of TMR and Alexa 647 emission and fit them withGaussian functions (Figures2c,S15). The single Gaussian intensitydistributions of both fluorophores overlapped significantly, withcenters that colocalized with diffraction-limited resolution. Thisresult suggests that the nanotubes localized to the same region ofendolysosomal organelles as dextran, which is known to remain in theendolysosomal lumen.43
To furtherconfirm the presence of DNA–SWCNTs in the endolysosomalorganelles, TEM analysis was performed. As single-walled carbon nanotubes,composed of only one layer of cylindrical graphene, do not have sufficientelectron density to be visible by TEM in cells, we used gold-labeledDNA–nanotube complexes to perform the first incidence of gold-enhancedTEM imaging of individualized SWCNTs in mammalian cells. Citrate-cappedgold nanoparticles (∼10 nm diameter) were conjugated to thiolatedssDNA–nanotube complexes.44 Unboundgold nanoparticles were removedvia centrifugation.Images of the gold nanoparticle–nanotube complexes (AuNP–SWCNT)deposited directly onto a TEM grid (Figures2d,S16a) confirmedthat all gold nanoparticles were attached to carbon nanotubes. Wethen incubated RAW 264.7 macrophages with 1 mg/L of the gold-labelednanotubes and fixed the cells for TEM imaging after removing freegold-nanotube complexes from the solution. In the cells, the goldnanoparticles were clearly visible as dark circles within endolysosomalorganelles (Figures2e,S16b,c). We quantified the number ofAuNP–SWCNTs within each endolysosomal organelle (Figure2f). From the relative frequencydistribution, we found the probability that an endolysosomal organellehad one gold nanoparticle was 0.14. If two gold nanoparticles wereto independently localize into the same vesicle, we calculated thatthe probability would be approximately 0.02 (0.14 × 0.14 = 0.02).In contrast, the experimentally determined number of endolysosomalorganelles with two AuNPs was 4 times higher (Figure2g), suggesting that if two AuNPs were observedwithin one endolysosomal organelle, then the two nanoparticles werestatistically likely to be linked to each othervia a nanotube. This, combined with the removal of free gold nanoparticlesvia centrifugation and the TEM images showing that all visualizedAuNPs were attached to SWCNTs, suggests that the AuNPs within endolysosomalorganelles were part of AuNP–SWCNT complexes.
To determinethe long-term fate of the complexes, we acquired NIRmovies of ss(GT)6-(8,6) complexes within macrophages at6, 24, and 48 h after the initial 30 min incubation (Supplementary Videos 1, 2, and 3). At each time point, emissionfrom the complexes exhibited both passive diffusion and directed,linear movements consistent with the active translocation of lysosomesalong microtubules,45 suggesting that thenanotube complexes remain within endolysosomal organelles. The emergingview, from our series of experiments, indicates the efficient uptakeof DNA–nanotube complexesvia endocytosis,rapid transport to the late endosomes and lysosomes, and stable localizationto the lumen of endolysosomal organelles.
Biocompatibility of DNA–SWCNTComplexes in MammalianCells
We conducted several experiments to assess the degreeto which ss(GT)6-(8,6) perturbed cells and endolysosomalorganelles in order to determine whether this may be a complicationof its use as a live-cell sensor. Using an annexin V and propidiumiodide assay, we found that, at its working concentration (0.2 mg/L),ss(GT)6-(8,6) did not affect cell viability or proliferation(Figure S17). To determine if DNA–SWCNTcomplexes altered the morphology of endolysosomal organelles, AuNP–SWCNTcomplexes were incubated with RAW 264.7 cells for 30 min before fixingand preparing for TEM imaging 6 h later (Figure3a). Analysis of the size, diameter, and aspectratio of endolysosomal organelles from the TEM images shows no statisticaldifferences between control macrophages and macrophages incubatedwith 1 mg/L complexes (Figures3b,S18). Endolysosomal organellesin which gold nanotubes were explicitly detected also displayed similarmorphology to controls (Figures3c,S19). At this elevatedconcentration of complexes (1 mg/L), we also did not observe a changein endolysosomal membrane permeabilization (FigureS20).
Figure 3.
Ultrastructural analysis of endolysosomal organelles.(a) RepresentativeTEM images of cells that were untreated or incubated with 1 mg/L ofAuNP–SWCNT complexes. Endolysosomal organelles are shaded blue;scale bars = 2 μm. (b) Comparison of the mean aspect ratio (left)and area (right) of endolysosomal organelles. Error bars are standarddeviation, and mean values were compared with an unpairedt test. (c) Histograms of the distribution of the aspectratio, major axis, and area of endolysosomal organelles from controlcells and endolysosomal organelles containing AuNP–SWCNT complexes.
We next assessed whether DNA–SWCNTsperturbed the abilityof endolysosomal organelles to maintain their pH gradient. This wasdonevia a confocal imaging study using LysoTracker,a lysomotropic fluorescent probe that accumulates in acidic vesicles.Human bone osteosarcoma cells transfected with type A scavenger receptors(U2OS-SRA)46 were treated with 1 mg/L (5times higher than the working concentration) fluorophore-labeled DNA–nanotubecomplexes (Alexa 647-SWCNT) and fixed and stained with LysoTracker.Using fluorescence confocal microscopy, we imaged both LysoTrackerand Alexa 647-SWCNT emission from endolysosomal organelles (Figures4a,S21). If DNA–SWCNTs prevented endolysosomal organellesfrom maintaining a pH gradient, we would expect endolysosomal organellescontaining the DNA–SWCNTs to show decreased levels of LysoTrackersignal. This was not the case, as quantification of LysoTracker fluorescencefrom organelles both with and without DNA−SWCNTs showed nosignificant difference in LysoTracker intensity (Figures4b,c,S21).
Figure 4.
Assessing the effects of DNA–SWCNT on endolysosomal function.(a) Representative confocal images of LysoTracker-Red (green) andAlexa 647-SWCNT (red) and a merged image of the two in U2OS-SRA cells.Scale bar = 10 μm. (b) Intensity profiles of the two fluorophoresalong the dashed line (cyan) in the merged image. (c) Mean intensityof LysoTracker in endolysosomal organelles that contain Alexa 647-SWCNTemission and those that did not. Error bars are standard deviation.Mean intensity was compared with an unpairedt test(n = 9 images per channel). (d) Representative epifluorescenceimages of Alexa 488-AcLDL (green) in U2OS-SRA cells, at 0 and 2 hafter the addition of acetylated LDL, or in control cells. Scale bars= 10 μm. (e) Number of AcLDL ROIs per 100 μm2. Error bars are standard deviation, obtained from 10 images percondition. Data were compared using a one-way ANOVA with Tukey’smultiple comparison test.
To ensure that we could ascertain meaningful results froma DNA–SWCNT-basedreporter, we also investigated the effect of DNA–SWCNTs onthe ability of endolysosomal organelles to hydrolyze lipoprotein molecules.We treated U2OS-SRA cells with 1 mg/L of Alexa 647-SWCNT for 30 minbefore incubation in fresh media for 2 h. To induce the rapid uptakeof lipoproteins, we then introduced 50 μg/mL of Alexa 488-labeledacetylated LDL (Alexa 488-AcLDL) to the cell media. Epifluorescenceimages showed a stark decrease in AcLDL puncta in both control andnanotube-treated cells between zero and 2 h of AcLDL addition (Figures4d,S22). Quantification of AcLDL regions of interest (ROIs),normalized by cell area, showed that there was no significant differencein the number of AcLDL ROIs per 100 μm2 between cellstreated with the nanotubes and the control cells at both 0 and 2 h(Figure4e), suggestingthat DNA–SWCNTs did not perturb the hydrolysis of lipoproteins.A lipid biochemical assay showed no significant differences in thecholesterol or total lipid content of cell fractions from controlor nanotube-containing cells (Figure S23). LipidTox imaging and the expression of LDL receptor (LDLr) alsosuggested that DNA–SWCNT complexes did not significantly alterlipid processing in cells (Figures S24, S25).
The above results suggest that singly dispersed DNA–SWCNTsthat have been separated from large nanotube bundles and carbonaceousimpuritiesvia ultracentrifugation did not adverselyaffect cell viability or proliferation or organelle morphology, integrity,or capacity to digest lipoproteins. However, additional work usingdifferent cell types and culture conditions is warranted prior towidespread application of the reporter. Moreover, as electronic structureand chirality of a nanotube sample were not found to directly affecttoxological impact,47 our conclusions onbiocompatibility likely hold for other relatively short DNA–single-walledcarbon nanotube complexes composed of different DNA sequences andchiralities.
Detecting Lipid Accumulation in the EndolysosomalLumen of LiveCells
We investigated whether the ability of ss(GT)6-(8,6) to detect lipidsin vitro could be translatedto the endolysosomal organelles of live cells (Figure5a). RAW 264.7 macrophages were incubatedwith the complexes for 30 min in complete 10% serum-supplemented mediaat 37 °C and washed with fresh media. To induce lysosomal accumulationof free cholesterol, we prepared cells that were pretreated with U18666A,48 a compound that inhibits the action of NPC1,49 a membrane protein that effluxes free cholesterolout of the lysosomes (Figure5a), to mimic the Niemann–Pick C1 disease phenotype.Cells were also pretreated with Lalistat 3a2,50 an inhibitor of lysosomal acid lipase (LAL), which is the centralenzyme that hydrolyzes low-density lipoproteins (Figure5a).51 Inhibition of LAL leads to the accumulation of esterified cholesterol,which is observed in Wolman’s disease.
Figure 5.
Detection of endolysosomallipid accumulation in live cells. (a)Schematics of the ss(GT)6-(8,6) nanotube complexes in macrophagestreated with U18666A or Lalistat 3a2. (b) Overlay of transmitted lightwith hyperspectral image of RAW 264.7 macrophages incubated with ss(GT)6-(8,6) complex under the specified treatments. Color legendmaps to nanotube emission peak wavelength. Scale bar = 50 μm.(c) Histogram of emission wavelengths of all pixels from the hyperspectralimages, with a bin size of 1 nm. (d) Schematic of the optical setupfor high-throughput measurements of ss(GT)6-(8,6) emissionin live cells. (e) Spectra of ss(GT)6-(8,6) emission fromlive RAW 264.7 cells incubated in normal media (control) and in mediawith U18666A. (f) Mean center wavelengths of ss(GT)6-(8,6)emission fromn = 5 technical replicates, acquiredusing hyperspectral imaging (I) and spectroscopy (S). Mean valueswere compared using a one-way ANOVA with Sidak’s multiple comparisontest. Error bars are standard error of the mean. *** =p < 0.001, **** =p < 0.0001.
Using NIR hyperspectral microscopy, we acquiredthe emission fromthe complexes localized within the endolysosomal organelles of macrophagesunder these three conditions (Figure5a). When the emission wavelength is mapped to a colorscale and overlaid on a transmitted light image, the spatially resolvedemission from ss(GT)6-(8,6) complexes resulted in live-cellmaps of endolysosomal lipid content (Figure5b). The mean emission blue-shift for thetwo drug-treated conditions was over 11 nm compared with the control,with a single population for all three conditions, indicating lipidaccumulation in all endolysosomal organelles that contained the complexes(Figures5c,S26). Neither Lalistat 3a2 nor U18666A directlyperturbed the emission wavelength of the complexes (Figure S27). The endolysosomal lipid maps thus reflect theoptical response of the complexes to the accumulation of lipids withinthe endolysosomal lumen. We quantified the nanotube emission responseas a function of loading concentration. At a 5-fold dilution of theworking concentration, the response of the emission wavelength toU18666A-induced lipid accumulation did not change, indicating thatthe emission spectra (Figures S28, S29)and wavelength distribution of the ss(GT)6-(8,6) complex(Figures S28, S29) were consistent overa range of concentrations (Figures S28, S29). Finally, we induced endolysosomal lipid accumulation in mouseembryonic fibroblasts using U18666A and detected a blue-shift in thess(GT)6-(8,6) emission when compared with untreated controls(Figure S30).
On the basis of thefindings from our experiments, we present amodel for the optical response of ss(GT)6-(8,6) ssDNA–nanotubecomplexes in live cells under the conditions investigated. The complexesenter the endolysosomal pathway and localize within the lumen of endolysosomalorganelles. In the complex environment of the endolysosomal lumen,the nanotube emission functions as a cell-specific spectral fingerprintfor the lipid content. Upon dysfunction of the NPC1 proteinvia introduction of U18666A to cells, free cholesterol accumulateswithin the lumen of endolysosomal organelles and adsorbs to the surfaceof the ss(GT)6-(8,6) complex, resulting in a distinct blue-shiftingresponse of the nanotube emission. Similarly, upon introduction ofLalistat 3a2 to cells, cholesteryl esters (CE) accumulate in the endolysosomallumen, resulting in the adsorption of CE to the nanotube surface anda concomitant blue-shifting response. In both situations, multiplesecondary lipids also accumulate in the lysosomal lumen.52 Hence, we find that the ss(GT)6-(8,6)DNA–nanotube complex functions as a quantitative optical reporterof lipid accumulation in the endolysosomal lumenvia solvatochromic shifting of intrinsic carbon nanotube photoluminescence.Henceforth, we refer to ss(GT)6-(8,6) as the “reporter”.
As the nanotube emission is exclusively from the endolysosomallumen, we investigated whether the nanotube spectra alone, obtainedwithout imaging, could function as an analytical tool to benchmarkdrug-induced endolysosomal lipid accumulation in a high-throughputformat. Using a customized NIR spectrometer,53 we obtained spectra from complexes within live RAW 264.7 macrophages(Figure5d) and detecteda 9 nm shift in the emission from cells treated with U18666A, an exampleof a cationic amphiphilic drug that induces DIPL54 (Figure5e). These results were similar to the hyperspectral data of controland U18666A-treated macrophages (Figure5f), indicating the amenability of the complexesfor both imaging and a spectroscopy-based assay that facilitates higherthroughput.
Measurement of Lysosomal Storage DisorderPhenotype in NPC1Patient-Derived Fibroblasts
The reporter was assessed forits response in primary cells from a patient with Niemann–Picktype C1 (NPC1), a lysosomal storage disease characterized by an accumulationof unesterified cholesterol in the lysosomes.55,56 Fibroblasts from an NPC patient, as well as wild-type (WT) humanfibroblasts, were incubated with the reporter for 30 min, then rinsed,and incubated in fresh media. Hyperspectral data collected after 24h indicate that the reporter blue-shifted by an average of 6 nm inNPC1 human fibroblasts, compared to WT human fibroblasts (Figure6a). The lipid contentof WT fibroblast endolysosomal organelles was relatively homogeneous,as evinced by the narrow distribution of the reporter emission (Figure6b). In contrast,the reporter exhibited a broad emission profile within NPC1 cells(Figure6b), confirmingthe published findings that NPC1 cells exhibit a wide distributionof lipid concentrations.57 The histogramalso suggests that a sizable fraction of endolysosomal organellescontain near-normal cholesterol content.
Figure 6.
Measurement of endolysosomallipid accumulation and reversal inNPC1 patient-derived fibroblasts. (a) Mean reporter emission fromwild-type fibroblasts, patient-derived NPC1 fibroblasts, and NPC1fibroblasts treated with hydroxypropyl-β-cyclodextrin (HPβCD)for 24 h. Statistical significance was determined with a one-way ANOVAwith Sidak’s multiple comparison test. (b) Histograms of thenanotube emission wavelength from single endolysosomal organellesof wild-type fibroblasts, NPC1 patient fibroblasts, and NPC1 fibroblaststreated with HPβCD for 24 h. (c) Mean filipin intensity fromWT fibroblasts, NPC1 cells, and NPC1 cells treated with HPβCDfor 24 h, at 48 h after nanotube addition. Statistical significancewas determined with a one-way ANOVA with Tukey’s multiple comparisontest. All error bars are SEM from three technical replicate experiments.* =p < 0.05, ** =p < 0.01,*** =p < 0.001.
To test the reversibility of the reporter in live cells,we measuredthe emission from the reporter in NPC1 fibroblasts treated with hydroxypropyl-β-cyclodextrin(HPβCD), a drug known to facilitate the efflux of accumulatedcholesterol from the lumen of endolysosomal organelles.58 After treatment with 100 μM HPβCDfor 24 h, hyperspectral imaging revealed significant red-shiftingof the reporter emission from the same NPC1 cells that were previouslyblue-shifted (Figures6a,b,S31). The distribution of reporteremission from the HPβCD-treated NPC1 fibroblasts appeared notablysimilar to the emission from WT fibroblasts (Figures6b,S31), and reductionof total cell cholesterol content was confirmed by fixing the cellsand staining with filipin (Figure6c). Filipin staining was more pronounced in NPC1 fibroblastsas compared to WT fibroblasts, and HPβCD treatment resultedin significantly diminished filipin signal in NPC1 cells (Figures6c,S32), thus validating the results obtained from the reporteralone. Additionally, pretreatment of NPC1 fibroblasts with HPβCDprevented the blue-shifting of the reporter (FigureS33).
Single-Cell Kinetic Measurements of LipidAccumulation
Recent technological advances have led to anappreciation of thecomplexity of cell populations and the heterogeneity of single cellswithin a population of cells that seems uniform on a macroscopic level.59 The ability of the developed reporter to functionin live cell imaging applications positions it to provide data ona single-cell level. Such data would have the potential to identifypreviously unknown subpopulations of cells that could be crucial towardincreasing our understanding of cellular lipid processing.
Weassessed whether the reporter could measure single-cell kinetics ofendolysosomal lipid accumulation. RAW 264.7 macrophages were culturedin media with lipoprotein-depleted serum (LPDS). Under these conditionsthe reporter emission wavelength was approximately 1200 nm. Next,both AcLDL and U18666A were added to the cell media to induce endolysosomallipid accumulation. Endolysosomal lipid accumulation was monitoredvia the acquisition of hyperspectral images every 10 minfor 2 h (Figure7a).Single-cell emission trajectories were computed for all cells withreporter peak emission intensities of over 4 times higher than thebackground. The mean reporter emission from individual cells blue-shiftedand reached an equilibrium over approximately 90 min (Figure7b). For each cell, the spectraltrajectories were fit with a single-exponential function to obtainthe time constant, time lag, and the starting and final reporter wavelengths(Figure S34). The time constants of lipidaccumulation in the cells averaged approximately 40 min and followeda log-normal distribution (Figure7c). One potential explanation for this finding is thata log-normal distribution is often observed for a quantity arisingfrom multiple serial processes.60 We believethat this distribution of time constants from individual cells isconsistent with the process of endolysosomal lipid accumulation, whichinvolves sequential processes including LDL uptake into the earlyendosome, delivery of LDL to the lysosome, hydrolysis of esterifiedcholesterol by LAL, and the inhibited efflux of free cholesterol byNPC1.
Figure 7.
Single-cell kinetics of lipid accumulation. (a) Overlaid bright-fieldand hyperspectral images of the reporter emission in RAW 264.7 macrophagesupon addition of AcLDL (100 μg/mL) and U18666A (3 μg/mL)to LPDS media att = 0, 30, and 60 min. Scale bar= 50 μm. (b) Single-cell trajectories of lysosomal lipid accumulationfrom 60 cells. Black curve is the mean. Error bars are standard deviationfromn = 4 technical replicates. (c) Distributionof time constants of lipid accumulation in single cells fitted toa log-normal distribution. Bin size = 20 nm. (d) Scatter plot of thetime constantsvs starting emission wavelength,n = 60 cells. Data from four independent experiments werecombined for this analysis.
Interestingly, the distribution of time constants showedmarkedheterogeneity, with the slowest and fastest time constants differingby an order of magnitude. Cells exhibiting slower rates of lipid accumulationalso exhibited an initial state of relative lipid deficiency. Thetime constant of lipid accumulation modestly correlated with the startingwavelength (Spearman correlation of 0.33,p <0.01). Notably, the slowest shifting cells (defined as cells witha time constant of >90 min) exhibited an initial average emissionwavelength of >1202 nm, 2 nm more red-shifted than the faster shiftingcells (Figure7d).This result suggests the existence of a subpopulation of cells thatmaintained both lipid-deficient endolysosomal organelles and an extremelyslow rate of lipid accumulation; that is, these individual cells inthe population may be especially resistant to endolysosomal lipidaccumulation.
Quantifying Intracellular Heterogeneity inMonocyte EndolysosomalOrganelles
After demonstrating the reporter’s abilityto quantify lipid accumulation on a single-cell level, we investigatedwhether the reporter could measure lipids on a single-organelle level.We generated hyperspectral maps to quantify the intracellular heterogeneityof lipid content within individual endolysosomal organelles of singlebone-marrow-derived monocytes during the differentiation process intobone-marrow-derived macrophages (BMDMs) (Figure8a). Hyperspectral images of two cells (Figure8b) from the bone-marrow-derivedmonocyte population on day 3 of differentiation showed distinctlydifferent intracellular heterogeneity of the reporter response, evidentfrom the histogram widths (Figures8c,S35). To mathematicallyquantify the intracellular heterogeneity of reporter emission withineach cell, we used the normalized Simpson’s index (nSI), astatistical measure of diversity.61,62 For the cellsshown inFigure8c,the nSIs were significantly different (cell 1 nSI = 0.18, cell 2 nSI= 0.74). By plotting the mean reporter emission wavelength and nSIfor a large population of cells on day 3, cells with the most lipid-richendolysosomal organelles (shorter wavelength) exhibited greater intracellularheterogeneity in endolysosomal lipid contents (Figure8d, Spearman correlation of 0.33,p < 0.01, forn = 64 cells). This observation,confirmed in BMDMs isolated from four different mice (Figure S36, with at least 60 cells analyzed permouse), suggests that within differentiating monocytes, cells withlipid-rich endolysosomal organelles maintain a subpopulation of theseorganelles that are relatively lipid-deficient. Moreover, observationof BMDMs throughout differentiation validated the ability of the reporterto detect endolysosomal lipid accumulation in a nonpathological condition(Figures S37, S38).
Figure 8.

Quantifying intracellularheterogeneity in monocyte endolysosomalorganelles. (a) Near-infrared broadband and overlaid bright-field/hyperspectralimages of the reporter in bone-marrow-derived cells after 3 days ofcolony stimulating factor-1 (CSF-1) treatment. (b) Endolysosomal lipidmaps of the reporter in bone-marrow-derived cells at day 3 of maturation.(c) Corresponding histogram of reporter emission from emissive pixelswithin the two cells. Bin size = 1 nm. (d) Scatter plot of the normalizedSimpson’s index (nSI) against the mean emission wavelengthper cell forn = 64 cells. Scale bars = 10 μm.
Conclusion
Inthis work, we developed a carbon nanotube optical reporter,composed of the (8,6) SWCNT species noncovalently functionalized witha short DNA oligonucleotide, that can function as an optical reporterof lipid content within the endolysosomal lumen of live cells. Thenear-infrared photoluminescence of the nanotube responds quantitativelyto lipids in the local environment of the reportervia shifting of the nanotube optical band gap. Experimental evidenceand all-atom molecular dynamics simulations suggest that the mechanismof the response is solvatochromic shifting due to the reduction inwater density near the nanotube surface. The reporter remains withinthe endocytic pathway and localizes to the lumen of endolysosomalorganelles without adversely affecting organelle morphology, structuralintegrity, or function. In the endolysosomal lumen, the reporter’snear-infrared emission responds rapidly and reversibly to lipid accumulation.Via NIR hyperspectral microscopy, the reporter can quantitativelymap lipids in live cells. Using spectroscopy, the reporter can measureendolysosomal lipid accumulation in live cells in a high-throughputdrug-screening-type format. The reporter detected lipid accumulationin lysosomal storage disorders, including in the endolysosomal organellesof fibroblasts derived from a patient with Niemann–Pick typeC disease, as well as phenotypic reversal in the same cells afterdrug treatment. The reporter functioned with single-cell and single-organelleresolution and was used to assess single-cell kinetics of modifiedLDL accumulation within endolysosomal organelles, showing that therate of cholesterol accumulation differs by an order of magnitudeacross macrophages in the same population of cells. Endolysosomallipid accumulation in differentiating bone-marrow-derived monocyteswas also observed, and high-resolution endolysosomal lipid maps revealedintracellular heterogeneity in the form of a subpopulation of lipid-deficientendolysosomal organelles in lipid-rich cells. As the first techniquefor measuring lipid flux in the endolysosomal lumen of live cells,we expect this tool will have broad utility in both drug screeningapplications and the investigation of disease pathways associatedwith altered lipid biology such as atherosclerosis, neurodegenerativediseases, lysosomal storage disorders, and liver disease.
Materials and Methods
DNA Encapsulation of Single-Walled CarbonNanotubes
The chemical reagents were purchased from Sigma-Aldrich(St. Louis,MO, USA) and Fisher Scientific (Pittsburgh, PA, USA). Single-walledcarbon nanotubes produced by the HiPco process were used throughoutthe study (Unidym, Sunnyvale, CA, USA). The carbon nanotubes weredispersed with DNA oligonucleotidesvia probe-tipultrasonication (Sonics & Materials, Inc.) of 2 mg of the specifiedoligonucleotide (IDT DNA, Coralville, IA, USA) with 1 mg of raw SWCNTin 1 mL of 0.1 M NaCl for 30 min at 40% of the maximum amplitude ofthe ultrasonicator (SONICS Vibra Cell). Following ultrasonication,the dispersions were ultracentrifuged (Sorvall Discovery 90SE) for30 min at 280 000g. The top three-fourthsof the resultant supernatant was collected, and its concentrationwas determined with a UV/vis/NIR spectrophotometer (Jasco, Tokyo,Japan) using the extinction coefficient Abs910 = 0.02554L mg–1cm–1.19 To remove free DNA, 100 kDa Amicon centrifuge filters (Millipore)were used to concentrate and resuspend the DNA–nanotube complexes.
Purification of Single-Chirality Nanotube Complexes
Carbonnanotubes were separated by an ion-exchange chromatographymethod according to the procedure described by Tuetal.32 Briefly, unsortedHiPco nanotubes were dispersed using a DNA oligonucleotide with thesequence ss(GT)6, as described above. The sample was injectedinto a high-performance liquid chromatograph (HPLC) (Agilent, 1260Infinity) fitted with an anion-exchange column (Biochrom Laboratories,Inc., CNT-NS1500) with a running buffer of 2× SSC at a flow rateof 2 mL/min. A linearly increasing salt concentration gradient of1 M NaSCN (5%/min) was used to elute the nanotubes from the stationaryphase, and fractions were collected. The first fraction exciting theHPLC contained the highest purity of the (8,6) species, estimatedat 86%, which was used for subsequent studies.
Near-Infrared FluorescenceMicroscopy of Single-Walled CarbonNanotubes
As described in a previous study,19 near-infrared fluorescence microscopy was used to acquirethe photoluminescence emission from SWCNTs. The system comprised acontinuous wave 730 nm diode laser with an output power of 2 W injectedinto a multimode fiber to produce the excitation source for fluorescenceexperiments. To ensure a homogeneous illumination over the entiremicroscope field of view, the excitation beam passed through a custombeam-shaping module to produce a top-hat intensity profile with under20% power variation on the imaged region of the sample. The finalpower at the sample was 230 mW. A long pass dichroic mirror with acut-on wavelength of 875 nm (Semrock) was aligned to reflect the laserto the sample stage of an Olympus IX-71 inverted microscope (withinternal optics modified to improve near-infrared transmission from900 to 1400 nm) equipped with a 20× LCPlan N, 20×/0.45 IRobjective and a UAPON100XOTIRF, 1.49 oil objective (Olympus, USA).Emission was collected with a 2D InGaAs array detector (Photon Etc.).Custom codes, written using Matlab software, were used to subtractbackground, correct for nonuniformities in excitation profile, andcompensate for dead pixels on the detector. Hyperspectral microscopywas conducted by passing the emission through a volume Bragg grating(VBG) placed immediately before the InGaAs array in the optical path.The filtered image produced on the InGaAs camera was composed of aseries of vertical lines, each with a specific wavelength. The reconstructionof a spatially rectified image stack was performed using cubic interpolationon every pixel for each monochromatic image, according to the wavelengthcalibration parameters. The rectification produced a hyperspectral“cube” of images of the same spatial region exhibitingdistinct spectral regions with 3.7 nm fwhm bandwidths. Approximately50% of the emission intensity from the nanotubes is reduced afterpassage through the VBG.
Analysis and Processing of HyperspectralData
Hyperspectraldata acquired were saved as a (320 × 256 × 26) 16-bit array,where the first two coordinates signify the spatial location of apixel and the last coordinate is its position in wavelength space.For the (8,6) nanotube, the 26-frame wavelength space ranges from1150 to 1250 nm. An initial filter removed any pixels with a maximumintensity value outside (1170 to 1220 nm), as these were backgroundpixels that emit outside the range for (8,6). For the remaining pixels,a peak-finding algorithm was used to calculate the intensity rangefor a given pixel,i.e., range =(intensity_maximum–intensity_minimum). A data point was designatedas a peak if its intensity was range/4 greater than the intensityof adjacent pixels. Pixels that failed the peak-finding threshold,primarily due to low intensity above the background, were removedfrom the data sets. The remaining pixels were fit with a Lorentzianfunction.
Preparation of Nanotubes Labeled with Visible Fluorophores
To increase the fluorescence intensity of the Cy3 or Cy5 fluorophoresattached to DNA strands encapsulating SWCNTs, a 6-nucleotide-longpolyT tail was added to the end of the (GT)6 sequence,as fluorophores near the surface of SWCNTs are known to quench63 (Integrated DNA Technologies, sequence = GTGTGTGTGTGTTTTTTT).For confocal imaging with Alexa-647 SWCNT, a small polyethylene glycolspacer was also added to further increase the fluorescence intensityof the fluorophore (Integrated DNA Technologies, sequence = GTGTGTGTGTGTTTTTTT/iSP18//3Alexaf647N//3′).These modified DNA strands were noncovalently complexed with HiPcoSWCNTsvia the previously described sonication andcentrifugation protocol.
Preparation of Gold-Nanoparticle-ConjugatedNanotubes
Gold-nanoparticle-conjugated nanotubes were preparedaccording toa previously published study.44 Briefly,10 nm citrate-capped gold nanoparticles were synthesized by using50 mL of 0.01 wt % HAuCl4 and adding 2 mL of 1 wt % sodium(III)citrate. After 2 min, the solution turned bright red, indicating nanoparticleformation. The gold nanoparticles were stabilizedvia a ligand exchange reaction by shaking overnight with bis(p-sulfonatophenyl)phenyl phosphine dihydrate dipotassiumsalt. The nanoparticles were then centrifuged and resuspended in deionizedwater. In parallel, ss(GT)27-T6-thiol-dispersedHiPco nanotube complexes were created by means of the previously describedsonication and centrifugation protocol. The nanotube complexes werefiltered with ultracentrifuge filters three times to remove unboundDNA. The nanotube complexes and excess gold nanoparticles were thenshaken overnight. The unbound gold nanoparticles were removedvia centrifugation, which would pellet the unbound nanoparticles,and careful supernatant extraction.
Transmission Electron Microscopy(TEM) Imaging
Goldnanoparticle–nanotube conjugates were first imaged on carbon-coatedTEM grids by letting a 20 μL drop evaporate in the center ofthe grid. For imaging in RAW 264.7 cells, gold nanoparticle–nanotubeswere introduced to the media for 30 min at 1 mg/L and then washedthoroughly and replaced with fresh media. After 6 h, cells were washedwith serum-free media, then fixed with a modified Karmovsky’sfix of 2.5% glutaraldehyde, 4% paraformaldehyde, and 0.02% picricacid in 0.1 M sodium cacodylate buffer at pH 7.2. Following a secondaryfixation in 1% osmium tetroxide and 1.5% potassium ferricyanide, sampleswere dehydrated through a graded ethanol series and embedded in anEpon analogue resin. Ultrathin sections were cut using a Diatome diamondknife (Diatome, Hatfield, PA, USA) on a Leica Ultracut S ultramicrotome(Leica, Vienna, Austria). Sections were collected on copper grids,further contrasted with lead citrate, and viewed on a JEM 1400 electronmicroscope (JEOL, USA, Inc., Peabody, MA, USA) operated at 120 kV.Images were recorded with a Veleta 2K × 2K digital camera (Olympus-SIS,Germany).
Fluorescence Microscopy of Live Cells
Standard fluorescenceimaging in the UV–visible emission range was performed on thehyperspectral microscope by using an XCite Series 120Q lamp as thelight source and a QiClick CCD camera (QImaging) directly attachedto a c-mount on a separate port of the microscope. Fluorescence filtersets from Chroma Technology and Semrock were used. Confocal imagingwas performed on a Zeiss LSM 880, AxioObserver microscope equippedwith a Plan-Apochromat 63× oil 1.4 NA differential interferencecontrast M27 objective in a humidified chamber at 37 °C.Z-stacks were obtained using a step size of 198–220nm.
Fluorescence Spectroscopy of Carbon Nanotubes in Solution
Fluorescence emission spectra from aqueous solutions of SWCNTswere acquired using a home-built apparatus consisting of a tunablewhite light laser source, inverted microscope, and InGaAs NIR detector.54 The SuperK EXTREME supercontinuum white lightlaser source (NKT Photonics) was used with a VARIA variable bandpassfilter accessory capable of tuning the output 500–825 nm witha bandwidth of 20 nm. During the course of the measurements, the excitationwavelength remained at 730 nm, close to the resonant excitation maximumof the DNA-encapsulated (8,6) nanotube species. The light path wasshaped and fed into the back of an inverted IX-71 microscope (Olympus),where it passed through a 20× NIR objective (Olympus) and illuminateda 100 μL nanotube sample at a concentration of 0.2 mg/L in a96-well plate (Corning). With an exposure time of 1 s, the emissionfrom the nanotube sample was collected through the 20× objectiveand passed through a dichroic mirror (875 nm cutoff, Semrock). Thelight wasf/# matched to the spectrometer using severallenses and injected into an Isoplane spectrograph (Princeton Instruments)with a slit width of 410 μm, which dispersed the emission usinga 86 g/mm grating with 950 nm blaze wavelength. The spectral rangewas 930–1369 nm with a resolution of ∼0.7 nm. The lightwas collected by a PIoNIR InGaAs 640 × 512 pixel array (PrincetonInstruments). An HL-3-CAL-EXT halogen calibration light source (OceanOptics) was used to correct for wavelength-dependent features in theemission intensity arising from the spectrometer, detector, and otheroptics. A Hg/Ne pencil-style calibration lamp (Newport) was used tocalibrate the spectrometer wavelength. Background subtraction wasconducted using a well in a 96-well plate filled with DI H2O. Following acquisition, the data was processed with custom codewritten in Matlab that applied the aforementioned spectral correctionsand background subtraction and was used to fit the data with Lorentzianfunctions.
Nanotube Chirality and DNA Sequence-DependentResponse to LDL
Unsorted DNA–SWCNT samples were dilutedto 2 mg/L in phosphate-bufferedsaline (PBS) and incubated with 0.5 mg/mL LDL (Alfa Aesar) for 18h at 37 °C. Chirality-separated samples were diluted to 0.2 mg/Lin PBS and incubated with 0.5 mg/mL LDL for 18 h at 37 °C. Controlswere incubated with no LDL present. Photoluminescence spectra wereacquired with 2 s exposure times.
Titrations of DNA–NanotubeComplexes with PEG-ConjugatedLipids
Unsorted ss(GT)6-DNA–SWCNT sampleswere diluted to mg/L in PBS and incubated with various concentrations(0–5 μM) of two PEG-conjugated lipids (cholesterol-PEG600, “cholesterol-PEG”, Sigma-Aldrich; C16 PEG750 Ceramide,Avanti Lipids). Samples were incubated for 2 h at 37 °C. Photoluminescencespectra were acquired with 2 s exposure times under 730 nm laser excitation.PEGs, with molecular weights of 600 or 750 kDa, diluted in PBS, wereused as controls to test for nonspecific interactions. To test theeffect of lowered pH on sensor performance, samples were diluted ina 100 mM pH 5.5 acetate buffer instead of PBS.
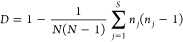
Calculationof Normalized Simpson’s Index
TheSimpson’s index is a diversity index used to measure the richnessand evenness of a basic data type.62 Thediversity index is maximized when all types of data are equally abundant.When applied to microbiology, the Simpson’s index is referredto as the Hunter–Gaston index.62 In our application,
![]() |
whereD is the diversityindex,N is the total number of pixels within eachcell with detectable nanotube emission,S is thetotal number of histogram bins, andnj is the total number of pixels within thejth bin. We obtained the Simpson’s index for eachcell, SIj. For the set of SIj calculated for all the cells in an experiment, wenormalized the value to obtain the normalized Simpson’s index,nSI.
Cell Culture Reagents and Conditions
RAW 264.7 TIB-71cells (ATCC, Manassas, VA, USA) were grown under standard incubationconditions at 37 °C and 5% CO2 in sterile, filteredDMEM with 10% heat-inactivated FBS, 2.5% HEPES, 1% glutamine, and1% penicillin/streptomycin (all from Gibco). For studies performedwith homozygous mutant NPC, compound mutant heterozygote NPC, or wild-typefibroblasts, the respective cell lines GM18453, GM03123, or GM05659(Coriell, Camden, NJ, USA) were cultured in MEM with 10% FBS, 2.5%HEPES, and 1% glutamine. Cells were plated on glass-bottom Petri dishesor lysine-covered glass dishes (MatTek) for fibroblasts. Chirality-separatedSWCNTs were added at 0.2 mg/L in cell culture media (70 μL totalvolume) and incubated with cells for 30 min at 37 °C. This correspondsto approximately 0.5 picogram of SWCNT per cell, for a 50% cell confluencyin a 9 mm diameter glass-bottom dish. The same procedure was usedfor unsorted SWCNTs with a concentration of 1 mg/L. These concentrationswere chosen because they were experimentally observed to be the minimumconcentration needed to obtain strong reporter signal from all ofthe cell lines used here. An incubation time of 30 min was chosenbecause it was the minimal duration that resulted in a strong reportersignal from all the cell lines used here.
Cells were imagedimmediately, or trypsinized (Gibco), and replated on fresh Petri dishesbefore hyperspectral imaging. All cells were used at 50–70%confluence.
Filipin Staining of NPC1 Patient-DerivedFibroblasts
Cells were fixed with 4% paraformaldehyde for15 min, washed 3×with PBS, and stained with filipin III (Sigma) at a concentrationof 50 μg/mL for 20 min. The cells were then washed 3× withPBS and imaged using a DAPI filter cube.
Cell Viability and ProliferationAssays
RAW 264.7 macrophageswere seeded in untreated 96-well plates at 7000 cells per well. Thereporter was introduced to the cells at 0.2 mg/L. Reporter, vehicle(0.027 MSSC + 0.1 M NaSCN), or hydrogen peroxide-treated cells wereincubated (times indicated), washed, detached from the plate withVersene (1× PBS without Mg2+/Ca2+, 5 mMEDTA, 2% FBS), pelleted, and incubated with annexin V Alexa Fluorand propidium iodide (Life Technologies). Cells were analyzed by imagingcytometry (Tali) to quantify cell number and fluorophore content.For proliferation assays, RAW 264.7 macrophages treated with 0.2 mg/Lss(GT)6-(8,6)-SWCNT or vehicle were seeded at 150 000cells on a 100 mm diameter untreated culture dish on day zero. Aftersettling for 10 h, cells were harvested with Versene (1× PBSwithout Mg2+/Ca2+, 5 mM EDTA, 2% FBS) and bymechanical tapping to remove cells from the surface, stained withCalcein AM, and counted for the initial seeding density. Media wasreplaced every 2 days. At each 24 h period, cells were harvested asbefore and counted. Cell counts represent Calcein AM positive (live)cells.
Lipidomics Analyses
Six T-175 flasks were seeded at<50% confluence with RAW 264.7 macrophages in their fifth passage.Three flasks each were treated as follows: control (untreated) orcarbon nanotube treated (0.2 mg/L for 30 min, washing, and incubatingfor 6 h). Cells were harvested (approximately 80% confluence in eachset of flasks) by manual scraping. The flask contents correspondingto each condition were pooled into separate conical tubes and spunto a pellet, washed in PBS containing protease inhibitor cocktail(Thermo-Pierce, 88666), pelleted, and flash frozen in a dry ice/IPAslurry with a small head volume of the PBS/inhibitor.
For cellfractionation we adapted a sucrose/iodixanol equilibrium gradientcentrifugation procedure for lysosome separation (Thermo, 89839).Briefly, flash frozen cells were thawed and suspended in 2× cpvof PBS/inhibitor, vortexed with reagent included in the kit, and Douncehomogenized with a cooled, tight fitting pestle using 90 strokes (startingcell material was >500 mg). After homogenization, reagent was added,and the tube inverted and then centrifuged at 4 °C, 500×rcf for 10 min. The pellet was stored as the debris/nuclear fractionin all experiments. The supernatant was taken for subsequent ultracentrifugation.Briefly, 1 day before ultracentrifugation, a sucrose/iodixanol gradient(bottom to top: 30, 27, 23, 20, 17%) was layered into 12 mL polyallomertubes (Thermo, 03699) and allowed to equilibrate in a cold room insidethe metal buckets of an appropriate hanging-bucket rotor. The supernatantfrom above was mixed with the sucrose/iodixanol gradient to make afinal sample density of 15% (total volume, 1 mL), which was then gentlylayered onto the top of the preformed gradient. The buckets were thensealed and moved into the ultracentrifuge using the following settings:∼135 000 rcf (32 000 rpm), 2.5 h running time,acceleration/deceleration 9/5, 4 °C. The fractionated cell supernatantwas removed from the top and pipetted into six fractions based onvolume removed from the ultracentrifuge tube. The volume removed fromtop to bottom was kept constant across the three conditions. Fractionswere frozen until analysis.
Each of the six fractions, plusthe nuclear/debris fraction (7total/condition), was analyzed for the three conditions (21 fractionstotal). To quantify total protein, a standard curve was produced usingBSA mixed into the sucrose/iodixanol gradient (Bradford assay backgroundversus varying gradient was not different). 1× Bradfordreagent at room temperature was mixed 1:1 with standard and allowedto incubate in the dark for 30 min, and the absorption was measuredat 595 nm. Each of the fractions was analyzed in this manner afteraddition of 0.2% IPEGAL CA-630 (nonionic detergent) to solubilizebound proteins.
Cholesterol quantification was performed (Sigma,MAK043) usinga coupled enzyme reaction between cholesterol oxidase and peroxidasewith a proprietary colorimetric probe. Cholesterol esterase was usedbefore the reactions to ensure total cholesterol was measured. Briefly,a three-phase extraction was performed on each sample fraction (7:11:0.1chloroform/2-propanol/IPEGAL CA-630). The top aqueous phase and interphasewere removed, and the bottom organic phase was vacuum-dried. The driedfractions were resuspended in provided buffer and reacted for 1 hat 37 °C with the supplied reagents, and the absorption was readat 570 nm. This was compared to a standard curve. Cholesterol levelswere normalized by total protein content as measured by the Bradfordassay.
Total lipid (total unsaturated hydrocarbon, includingcholesterol)was measured after extracting the samples with chloroform as above.Briefly, a phospho-vanillin color-producing reagent was made by dissolving5 mg/mL vanillin (Sigma, V1104) in 200 μL of neat ethanol andadding this to the appropriate volume of 17% phosphoric acid. Thisreagent was stored cool in the dark until needed. Dried sample fractionsin glass vials were processed as follows: to each vial was added 200μL of ∼98% sulfuric acid. The dried contents were coatedwith the acid by tipping the vial and vortexing. The vial was placedinto a 100 °C mineral oil bath for 20 min. The resulting brown/blackmaterial was rapidly cooled in a wet ice slurry for at least 5 min,and 100 μL was placed side-by-side into a 96-well glass plate.To one well was added 50 μL of the phospho-vanillin reagent,this was mixed, and the plate was incubated in the dark for 12 min.Absorption of each well (reagent reacted and sulfuric acid background)was taken at 535 nm. The difference was the measurement, which wascompared to a standard curve that used oleic acid (Sigma, O1008),prepared using the above protocol, as a model unsaturated hydrocarbonmaterial. Total lipid levels were normalized by total protein content.
Extraction and Differentiation of Bone-Marrow-Derived Macrophages
BMDMs were prepared from 6-week-old C57/Bl6 mice and cultured inthe presence of 10 ng/mL of recombinant colony stimulating factor-1.64 Cells were collected 3, 5, and 7 days post-isolationand submitted to flow cytometry analysis for expression of the differentiationmarkers Gr-1 (monocytes/granulocytes-1/200), Cd11b (macrophages-1/200),and F4/80 (mature macrophages-1/50). Cells were incubated with 1 μLof Fc Block (BD Biosciences) for every million cells for at least15 min at 4 °C. Cells were then stained with the appropriateantibodies (BD Biosciences) for 20 min at 4 °C, washed with FACSbuffer, and resuspended in FACS buffer containing DAPI (5 mg/mL diluted1:5000) for live/dead cell exclusion.65
LysoTracker–Nanotube Colocalization
RAW 264.7or BMDM macrophages were incubated with Cy5-ss(GT)6-HiPconanotubes for 30 min at a concentration of 1 mg/L. The cells werethen washed 3× with PBS and placed in fresh cell media. Six hourslater, the cells were incubated with 5 nM LysoTracker Green DND-26(Life Technologies) for 15 min in cell media, washed 3× withPBS, and imaged immediately in fresh PBS. The FITC or Cy5 channelswere used for LysoTracker Green or Cy5-ss(GT)6-HiPco nanotubes,respectively. Plates of cells containing only Cy5-ss(GT)6-HiPco nanotubes or LysoTracker Green were used as controls to testfor bleed-through across channels.
Atomic Force Microscopy(AFM)
A stock solution of ss(GT)6-(8,6)-SWCNTsat 7 mg/L in 100 mM NaCl was diluted 20×in dH2O and plated on a freshly cleaved mica substrate(SPI) for 4 min before washing with 10 mL of dH2O and blowingdry with argon gas. An Olympus AC240TS AFM probe (Asylum Research)in an Asylum Research MFP-3D-Bio instrument was used to image in ACmode. Data was captured at 2.93 nm/pixel XY resolution and 15.63 pmZ resolution.
Statistics
Statistical analysiswas performed withGraphPad Prism version 6.02. All data met the assumptions of the statisticaltests performed (i.e., normality,equal variances,etc.). Experimental variance wasfound to be similar between groups using the F-test and Brown–Forsythetest for unpairedt tests and one-way ANOVAs, respectively.To account for the testing of multiple hypotheses, one-way ANOVAswere performed with Dunnet’s, Tukey’s, or Sidak’spost-tests when appropriate. Sample size decisions were based on theinstrumental signal-to-noise ratios.
Cell Line Source and Authentication
RAW 264.7 cellswere acquired from ATCC and were tested for mycoplasma contaminationby the source. Primary bone-marrow-derived monocytes were tested formycoplasma contamination using DAPI staining. Patient-derived fibroblastswere obtained from Coriell and tested for mycoplasma contaminationby the source. U2OS-SRA cells were generated in the lab of F.R.M.
Code Availability
Matlab code for the data analysisin this article is available upon request, by contacting the correspondingauthor (hellerd@mskcc.org).
Acknowledgments
This work was supported by the NIH Director’sNew InnovatorAward (DP2-HD075698), NIH grants R01-HL093324, R01CA148967, R01CA181355,P20-GM103430, and P30 CA008748 cancer center support grant, the RhodeIsland Foundation (20164347), the Anna Fuller Fund, the Louis V. GerstnerJr. Young Investigator’s Fund, The Expect Miracles Foundation- Financial Services Against Cancer, the Experimental TherapeuticsCenter, Mr. William H. Goodwin, Mrs. Alice Goodwin, the CommonwealthFoundation for Cancer Research, the Honorable Tina Brozman Foundation,the Alan and Sandra Gerry Metastasis Research Initiative, Cycle forSurvival, the Frank A. Howard Scholars Program, the Ara ParseghianMedical Research Foundation, and the Center for Molecular Imagingand Nanotechnology at Memorial Sloan Kettering Cancer Center. P.V.J.was supported by an NIH NCI-T32 fellowship (2T32CA062948-21). D.R.was supported by an American Cancer Society 2013 Roaring Fork ValleyResearch Fellowship. T.V.G. was supported by the Frank Lappin HorsfallJr. Fellowship. C.P.H. was supported in part by National Cancer Institute(NCI) Grant NIH T32 CA062948. Molecular simulation work was performedat Lehigh University and is supported by the U.S. Department of Energy(DOE) Office of Science, Basic Energy Sciences (BES), and Divisionof Material Sciences and Engineering, under Award DE-SC0013979. Thisresearch also used resources of the National Energy Research ScientificComputing Center, a DOE Office of Science User Facility supportedby the Office of Science of the U.S. Department of Energy under ContractNo. DE-AC02-05CH11231. L.A. was supported by the American Brain TumorAssociation. J.B. was supported by a Tow Fellowship Award from theCenter for Molecular Imaging and Nanotechnology, Memorial Sloan KetteringCancer Center. D.B.I. was supported by fellowship F31-DK104631 fromthe NIH. We thank the Molecular Cytology Core Facility at MemorialSloan Kettering Cancer Center and the Electron Microscopy & HistologyCore Facility at Weill Cornell Medical College. Use of the high-performancecomputing capabilities of the Extreme Science and Engineering DiscoveryEnvironment (XSEDE), supported by the National Science Foundation(NSF) grant numbers TG-MCB-120014 and TG-MCB-130013, is gratefullyacknowledged. We also thank Y. Shamay, A. Erez, R. Williams, R. Langenbacher,and J. Shah for helpful discussions and J. Bartlett for aid in manuscriptpreparation.
Supporting Information Available
The Supporting Informationis available free of charge on theACS Publications website at DOI:10.1021/acsnano.7b04743.
Author Contributions
¶ P. V. Jena, D. Roxbury, and T. V. Galassi contributed equally tothis work.
The authorsdeclare no competing financial interest.
Supplementary Material
References
- Xu H.; Ren D.Lysosomal Physiology. Annu. Rev. Physiol.2015, 77, 57–80. 10.1146/annurev-physiol-021014-071649. [DOI] [PMC free article] [PubMed] [Google Scholar]
- Parenti G.; Andria G.; Ballabio A.LysosomalStorage Diseases: FromPathophysiology to Therapy. Annu. Rev. Med.2015, 66, 471–86. 10.1146/annurev-med-122313-085916. [DOI] [PubMed] [Google Scholar]
- Grayson M.LysosomalStorage Disorders. Nature2016, 537, S145–S145. 10.1038/537S145a. [DOI] [PubMed] [Google Scholar]
- Jerome W. G.Lysosomes,Cholesterol and Atherosclerosis. Clin. Lipidol.2010, 5, 853–865. 10.2217/clp.10.70. [DOI] [PMC free article] [PubMed] [Google Scholar]
- Bieghs V.; Walenbergh S. M. A.; Hendrikx T.; van Gorp P. J.; Verheyen F.; Olde Damink S. W.; Masclee A. A.; Koek G. H.; Hofker M. H.; Binder C. J.; et al. Trapping of Oxidized LDL in Lysosomes of KupfferCells is a Trigger for Hepatic Inflammation. Liver Int.2013, 33, 1056–1061. 10.1111/liv.12170. [DOI] [PMC free article] [PubMed] [Google Scholar]
- Nixon R. A.The Roleof Autophagy in Neurodegenerative Disease. Nat.Med.2013, 19, 983–997. 10.1038/nm.3232. [DOI] [PubMed] [Google Scholar]
- Kirkegaard T.; Jäättelä M.LysosomalInvolvement in Cell Deathand Cancer. Biochim. Biophys. Acta, Mol. CellRes.2009, 1793, 746–754. 10.1016/j.bbamcr.2008.09.008. [DOI] [PubMed] [Google Scholar]
- Glock M.; Muehlbacher M.; Hurtig H.; Tripal P.; Kornhuber J.Drug-InducedPhospholipidosis Caused by Combinations of Common DrugsInVitro. Toxicol. In Vitro2016, 35, 139–148. 10.1016/j.tiv.2016.05.010. [DOI] [PubMed] [Google Scholar]
- Shayman J. A.; Abe A.Drug Induced Phospholipidosis:An Acquired Lysosomal Storage Disorder. Biochim.Biophys. Acta, Mol. Cell Biol. Lipids2013, 1831, 602–611. 10.1016/j.bbalip.2012.08.013. [DOI] [PMC free article] [PubMed] [Google Scholar]
- Maxfield F. R.; Wüstner D.. Chapter 17 - Analysisof Cholesterol Trafficking with Fluorescent Probes. In Methods in Cell Biology; AcademicPress, 2012; Vol. 108, pp 367–393. [DOI] [PMC free article] [PubMed] [Google Scholar]
- Haberkant P.; Holthuis J. C.Fat & Fabulous: Bifunctional Lipids in the Spotlight. Biochim. Biophys. Acta, Mol. Cell Biol. Lipids2014, 1841, 1022–1030. 10.1016/j.bbalip.2014.01.003. [DOI] [PubMed] [Google Scholar]
- Hofmann K.; Thiele C.; Schott H. F.; Gaebler A.; Schoene M.; Kiver Y.; Friedrichs S.; Lutjohann D.; Kuerschner L.A Novel Alkyne Cholesterol to TraceCellular CholesterolMetabolism and Localization. J. Lipid Res.2014, 55, 583–591. 10.1194/jlr.D044727. [DOI] [PMC free article] [PubMed] [Google Scholar]
- Takatori S.; Mesman R.; Fujimoto T.MicroscopicMethods to Observe theDistribution of Lipids in the Cellular Membrane. Biochemistry2014, 53, 639–653. 10.1021/bi401598v. [DOI] [PubMed] [Google Scholar]
- Kucherak O.A.; Oncul S.; Darwich Z.; Yushchenko D. A.; Arntz Y.; Didier P.; Mely Y.; Klymchenko A. S.SwitchableNile Red-Based Probe for Cholesterol and Lipid Order at the OuterLeaflet of Biomembranes. J. Am. Chem. Soc.2010, 132, 4907–4916. 10.1021/ja100351w. [DOI] [PubMed] [Google Scholar]
- Darwich Z.; Klymchenko A. S.; Dujardin D.; Mely Y.Imaging Lipid OrderChanges in Endosome Membranes of Live Cells by Using a Nile Red-BasedMembrane Probe. RSC Adv.2014, 4, 8481–8488. 10.1039/C3RA47181K. [DOI] [Google Scholar]
- Zhu H.; Fan J.; Mu H.; Zhu T.; Zhang Z.; Du J.; Peng X.d-PET-controlled “Off-On”Polarity-Sensitive Probesfor Reporting Local Hydrophilicity Within Lysosomes. Sci. Rep.2016, 6, 1–10. 10.1038/srep35627. [DOI] [PMC free article] [PubMed] [Google Scholar]
- O’Connell M. J.; Bachilo S. H.; Huffman C. B.; Moore V. C.; Strano M. S.; Haroz E. H.; Rialon K. L.; Boul P. J.; Noon W. H.; Kittrell C.; et al. Band Gap Fluorescence from Individual Single-WalledCarbon Nanotubes. Science2002, 297, 593–596. 10.1126/science.1072631. [DOI] [PubMed] [Google Scholar]
- Barone P. W.; Baik S.; Heller D. A.; Strano M. S.Near-Infrared OpticalSensors Based on Single-Walled Carbon Nanotubes. Nat. Mater.2005, 4, 86–92. 10.1038/nmat1276. [DOI] [PubMed] [Google Scholar]
- Roxbury D.; Jena P. V.; Williams R. M.; Enyedi B.; Niethammer P.; Marcet S.; Verhaegen M.; Blais-Ouellette S.; Heller D. A.Hyperspectral Microscopy of Near-InfraredFluorescenceEnables 17-Chirality Carbon Nanotube Imaging. Sci. Rep.2015, 5, 1–6. 10.1038/srep14167. [DOI] [PMC free article] [PubMed] [Google Scholar]
- Larsen B.A.; Deria P.; Holt J. M.; Stanton I. N.; Heben M. J.; Therien M. J.; Blackburn J. L.Effect of Solvent Polarity and Electrophilicityon Quantum yields and Solvatochromic Shifts of Single-Walled CarbonNanotube Photoluminescence. J. Am. Chem. Soc.2012, 134, 12485–12491. 10.1021/ja2114618. [DOI] [PubMed] [Google Scholar]
- Choi J. H.; Strano M. S.Solvatochromismin Single-Walled Carbon Nanotubes. Appl. Phys.Lett.2007, 90, 223114. 10.1063/1.2745228. [DOI] [Google Scholar]
- Heller D. A.; Jeng E. S.; Yeung T. K.; Martinez B. M.; Moll A. E.; Gastala J. B.; Strano M. S.Opticaldetection of DNA ConformationalPolymorphism on Single-Walled Carbon Nanotubes. Science2006, 311, 508–511. 10.1126/science.1120792. [DOI] [PubMed] [Google Scholar]
- Budhathoki-Uprety J.; Langenbacher R. E.; Jena P. V.; Roxbury D.; Heller D. A.A CarbonNanotube Optical Sensor Reports Nuclear Entryvia a Noncanonical Pathway. ACS Nano2017, 11, 3875–3882. 10.1021/acsnano.7b00176. [DOI] [PMC free article] [PubMed] [Google Scholar]
- Harvey J. D.; Jena P. V.; Baker H. A.; Zerze G. H.; Williams R. M.; Galassi T. V.; Roxbury D.; Mittal J.; Heller D. A.A CarbonNanotube Reporter of microRNA Hybridization EventsIn Vivo. Nat. Biomed. Eng.2017, 1, 1–11. 10.1038/s41551-017-0041. [DOI] [PMC free article] [PubMed] [Google Scholar]
- Richard C.; Balavoine F.; Schultz P.; Ebbesen T. W.; Mioskowski C.SupramolecularSelf-Assembly of Lipid Derivatives on Carbon Nanotubes. Science2003, 300, 775–778. 10.1126/science.1080848. [DOI] [PubMed] [Google Scholar]
- Chiu C. F.; Saidi W. A.; Kagan V. E.; Star A.Defect-Induced Near-InfraredPhotoluminescence of Single-Walled Carbon Nanotubes Treated with PolyunsaturatedFatty Acids. J. Am. Chem. Soc.2017, 139, 4859–4865. 10.1021/jacs.7b00390. [DOI] [PMC free article] [PubMed] [Google Scholar]
- Jena P. V.; Galassi T. V.; Roxbury D.; Heller D. A.Progress TowardApplications of Carbon Nanotube Photoluminescence. ECS J. Solid State Sci. Technol.2017, 6, M3075–M3077. 10.1149/2.0121706jss. [DOI] [PMC free article] [PubMed] [Google Scholar]
- Costa P. M.; Bourgognon M.; Wang J. T.; Al-Jamal K. T.Functionalised CarbonNanotubes: From Intracellular Uptake and Cell-Related Toxicity toSystemic Brain Delivery. J. Controlled Release2016, 241, 200–219. 10.1016/j.jconrel.2016.09.033. [DOI] [PubMed] [Google Scholar]
- Biju V.Chemical Modificationsand Bioconjugate Reactions of Nanomaterials for Sensing, Imaging,Drug Delivery and Therapy. Chem. Soc. Rev.2014, 43, 744–764. 10.1039/C3CS60273G. [DOI] [PubMed] [Google Scholar]
- Gao Z.; Varela J. A.; Groc L.; Lounis B.; Cognet L.Toward theSuppression of Cellular Toxicity from Single-Walled Carbon Nanotubes. Biomater. Sci.2016, 4, 230–244. 10.1039/C5BM00134J. [DOI] [PubMed] [Google Scholar]
- Zhu W.; von dem Bussche A.; Yi X.; Qiu Y.; Wang Z.; Weston P.; Hurt R. H.; Kane A. B.; Gao H.NanomechanicalMechanism for Lipid Bilayer Damage Induced by Carbon Nanotubes Confinedin Intracellular Vesicles. Proc. Natl. Acad.Sci. U. S. A.2016, 113, 12374–12379. 10.1073/pnas.1605030113. [DOI] [PMC free article] [PubMed] [Google Scholar]
- Tu X.; Manohar S.; Jagota A.; Zheng M.DNA Sequence Motifsfor Structure-Specific Recognition and Separation of Carbon Nanotubes. Nature2009, 460, 250–253. 10.1038/nature08116. [DOI] [PubMed] [Google Scholar]
- Orlova E. V.; Sherman M. B.; Chiu W.; Mowri H.; Smith L. C.; Gotto A. M.Three-Dimensional Structure of Low Density Lipoproteinsby Electron Cryomicroscopy. Proc. Natl. Acad.Sci. U. S. A.1999, 96, 8420–8425. 10.1073/pnas.96.15.8420. [DOI] [PMC free article] [PubMed] [Google Scholar]
- Galassi T. V.; Jena P. V.; Roxbury D.; Heller D. A.Single NanotubeSpectral Imaging To Determine Molar Concentrations of Isolated CarbonNanotube Species. Anal. Chem.2017, 89, 1073–1077. 10.1021/acs.analchem.6b04091. [DOI] [PMC free article] [PubMed] [Google Scholar]
- Jena P. V.; Safaee M. M.; Heller D. A.; Roxbury D.DNA-Carbon NanotubeComplexation Affinity and Photoluminescence Modulation Are Independent. ACS Appl. Mater. Interfaces2017, 9, 21397–21405. 10.1021/acsami.7b05678. [DOI] [PMC free article] [PubMed] [Google Scholar]
- Humphrey W.; Dalke A.; Schulten K.VMD: VisualMolecular Dynamics. J. Mol. Graphics1996, 14, 33–38. 10.1016/0263-7855(96)00018-5. [DOI] [PubMed] [Google Scholar]
- Sugita Y.; Okamoto Y.Replica-Exchange MolecularDynamics Method for ProteinFolding. Chem. Phys. Lett.1999, 314, 141–151. 10.1016/S0009-2614(99)01123-9. [DOI] [Google Scholar]
- Jin S.; Wijesekara-Kankanange P.; Boyer P.; Dahl K. N.; Islam M. F.Length-DependentIntracellular Bundling of Single-WallCarbon Nanotubes Influences Retention. J. Mater.Chem. B2017, 5, 6657–6665. 10.1039/C7TB00735C. [DOI] [PubMed] [Google Scholar]
- Bhattacharya S.; Roxbury D.; Gong X.; Mukhopadhyay D.; Jagota A.DNA Conjugated SWCNTsEnter Endothelial Cellsvia Rac1Mediated Macropinocytosis. Nano Lett.2012, 12, 1826–1830. 10.1021/nl204058u. [DOI] [PMC free article] [PubMed] [Google Scholar]
- Heller D. A.; Baik S.; Eurell T. E.; Strano M. S.Single-Walled CarbonNanotube Spectroscopy in Live Cells: Towards Long-Term Labels andOptical Sensors. Adv. Mater.2005, 17, 2793–2799. 10.1002/adma.200500477. [DOI] [Google Scholar]
- Jin H.; Heller D. A.; Strano M. S.Single-ParticleTracking of Endocytosisand Exocytosis of Single-Walled Carbon Nanotubes in NIH-3T3 Cells. Nano Lett.2008, 8, 1577–1585. 10.1021/nl072969s. [DOI] [PubMed] [Google Scholar]
- Cherukuri P.; Bachilo S. M.; Litovsky S. H.; Weisman R. B.Near-Infrared FluorescenceMicroscopy of Single-Walled Carbon Nanotubes in Phagocytic Cells. J. Am. Chem. Soc.2004, 126, 15638–15639. 10.1021/ja0466311. [DOI] [PubMed] [Google Scholar]
- Kilpatrick B. S.; Eden E. R.; Hockey L. N.; Futter C. E.; Patel S.Methods forMonitoring Lysosomal Morphology. Methods CellBiol.2015, 126, 1–19. 10.1016/bs.mcb.2014.10.018. [DOI] [PubMed] [Google Scholar]
- Han X. G.; Li Y. L.; Deng Z. X.DNA-Wrapped Single-Walled CarbonNanotubes as Rigid Templates for Assembling Linear Gold NanoparticleArrays. Adv. Mater.2007, 19, 1518–1522. 10.1002/adma.200602861. [DOI] [Google Scholar]
- Bandyopadhyay D.; Cyphersmith A.; Zapata J. A.; Kim Y. J.; Payne C. K.LysosomeTransport as a Function of Lysosome Diameter. PLoS One2014, 9, 1–6. 10.1371/journal.pone.0086847. [DOI] [PMC free article] [PubMed] [Google Scholar]
- Pipalia N. H.; Subramanian K.; Mao S.; Balch W. E.; Maxfield F. R.HistoneDeacetylase Inhibitors Correct the Cholesterol Storage Defect in MostNPC1Mutant Cells. J. Lipid Res.2017, 58, 695–708. 10.1194/jlr.M072140. [DOI] [PMC free article] [PubMed] [Google Scholar]
- Wang X.; Mansukhani N. D.; Guiney L. M.; Lee J.-H.; Li R.; Sun B.; Liao Y.-P.; Chang C. H.; Ji Z.; Xia T.ToxicologicalProfiling of Highly Purified Metallic and Semiconducting Single-WalledCarbon Nanotubes in the Rodent Lung and E. coli. ACS Nano2016, 10, 6008–6019. 10.1021/acsnano.6b01560. [DOI] [PMC free article] [PubMed] [Google Scholar]
- Liscum L.; Faust J. R.The Intracellular Transport of Low Density Lipoprotein-DerivedCholesterol is Inhibited in Chinese Hamster Ovary Cells Cultured with3-β-[2-(diethylamino)ethoxy]androst-5-en-17-one. J. Biol. Chem.1989, 264, 11796–11806. [PubMed] [Google Scholar]
- Lu F.; Liang Q.; Abi-Mosleh L.; Das A.; de Brabander J. K.; Goldstein J. L.; Brown M. S.Identification of NPC1 as the Targetof U18666A, an Inhibitor of Lysosomal Cholesterol Export and EbolaInfection. eLife2015, 4, 1–16. 10.7554/eLife.12177. [DOI] [PMC free article] [PubMed] [Google Scholar]
- Rosenbaum A. I.; Cosner C. C.; Mariani C. J.; Maxfield F. R.; Wiest O.; Helquist P.Thiadiazole Carbamates: Potent Inhibitors of LysosomalAcid Lipase and Potential Niemann– Pick Type C Disease Therapeutics. J. Med. Chem.2010, 53, 5281–5289. 10.1021/jm100499s. [DOI] [PMC free article] [PubMed] [Google Scholar]
- Sloan H. R.; Fredrickson D. S.Enzyme Deficiency in Cholesteryl Ester Storage Disease. J. Clin. Invest.1972, 51, 1923–1926. 10.1172/JCI106997. [DOI] [PMC free article] [PubMed] [Google Scholar]
- Walkley S. U.; Vanier M. T.Secondary Lipid Accumulation in Lysosomal Disease. Biochim. Biophys. Acta, Mol. Cell Res.2009, 1793, 726–736. 10.1016/j.bbamcr.2008.11.014. [DOI] [PMC free article] [PubMed] [Google Scholar]
- Roxbury D.; Jena P. V.; Shamay Y.; Horoszko C. P.; Heller D. A.Cell MembraneProteins Modulate the Carbon Nanotube Optical Bandgapvia Surface Charge Accumulation. ACS Nano2016, 10, 499–506. 10.1021/acsnano.5b05438. [DOI] [PMC free article] [PubMed] [Google Scholar]
- Halliwell W. H.CationicAmphiphilic Drug-Induced Phospholipidosis. Toxicol.Pathol.1997, 25, 53–60. 10.1177/019262339702500111. [DOI] [PubMed] [Google Scholar]
- Carstea E. D.; Morris J. A.; Coleman K. G.; Loftus S. K.; Zhang D.; Cummings C.; Gu J.; Rosenfeld M. A.; Pavan W. J.; Krizman D. B.; et al. Niemann-Pick C1 DiseaseGene: Homology to Mediators of Cholesterol Homeostasis. Science1997, 277, 228–231. 10.1126/science.277.5323.228. [DOI] [PubMed] [Google Scholar]
- Maxfield F. R.; Tabas I.Role of Cholesterol and Lipid Organizationin Disease. Nature2005, 438, 612–621. 10.1038/nature04399. [DOI] [PubMed] [Google Scholar]
- Linder M. D.; Uronen R. L.; Hölttä-Vuori M.; Van DerSluijs P.; Peränen J.; Ikonen E.Rab8-Dependent RecyclingPromotes Endosomal Cholesterol Removal in Normal and SphingolipidosisCells. Mol. Biol. Cell2007, 18, 47–56. 10.1091/mbc.E06-07-0575. [DOI] [PMC free article] [PubMed] [Google Scholar]
- Rosenbaum A. I.; Zhang G.; Warren J. D.; Maxfield F. R.Endocytosis of Beta-Cyclodextrinsis Responsible for Cholesterol Reduction in Niemann-Pick Type C MutantCells. Proc. Natl. Acad. Sci. U. S. A.2010, 107, 5477–5482. 10.1073/pnas.0914309107. [DOI] [PMC free article] [PubMed] [Google Scholar]
- Prakadan S. M.; Shalek A. K.; Weitz D. A.Scalingby Shrinking: EmpoweringSingle-Cell’omics’ with Microfluidic Devices. Nat. Rev. Genet.2017, 18, 345–361. 10.1038/nrg.2017.15. [DOI] [PMC free article] [PubMed] [Google Scholar]
- Koch A. L.The Logarithmin Biology - Mechanisms Generating the Log-Normal Distribution Exactly. J. Theor. Biol.1966, 12, 276–290. 10.1016/0022-5193(66)90119-6. [DOI] [PubMed] [Google Scholar]
- Simpson E. H.Measurementof Diversity. Nature1949, 163, 688. 10.1038/163688a0. [DOI] [Google Scholar]
- Hunter P. R.; Gaston M. A.Numerical Index of the Discriminatory Ability of TypingSystems: An Application of Simpson’s Index of Diversity. J. Clin. Microbiol.1988, 26, 2465–2466. [DOI] [PMC free article] [PubMed] [Google Scholar]
- Kruss S.; Landry M. P.; Vander Ende E.; Lima B. M.; Reuel N. F.; Zhang J.; Nelson J.; Mu B.; Hilmer A.; Strano M.Neurotransmitter Detection Using Corona Phase MolecularRecognition on Fluorescent Single-Walled Carbon Nanotube Sensors. J. Am. Chem. Soc.2014, 136, 713–724. 10.1021/ja410433b. [DOI] [PubMed] [Google Scholar]
- Pyonteck S. M.; Akkari L.; Schuhmacher A. J.; Bowman R. L.; Sevenich L.; Quail D. F.; Olson O. C.; Quick M. L.; Huse J. T.; Teijeiro V.; et al. CSF-1R Inhibition Alters Macrophage Polarizationand Blocks Glioma Progression. Nat. Med.2013, 19, 1264–1272. 10.1038/nm.3337. [DOI] [PMC free article] [PubMed] [Google Scholar]
- Akkari L.; Gocheva V.; Kester J. C.; Hunter K. E.; Quick M. L.; Sevenich L.; Wang H. W.; Peters C.; Tang L. H.; Klimstra D. S.; et al. DistinctFunctions of Macrophage-Derived andCancer Cell-Derived Cathepsin Z Combine To Promote Tumor Malignancyvia Interactions with the Extracellular Matrix. Genes Dev.2014, 28, 2134–2150. 10.1101/gad.249599.114. [DOI] [PMC free article] [PubMed] [Google Scholar]
Associated Data
This section collects any data citations, data availability statements, or supplementary materials included in this article.







