Related Resources:calculators
Flat Rectangular Plate; one edge fixed, opposite edge free, remaining edges simply supported loading Uniformly decreasing from fixed edge to zero at 1/3 b Stress and Deflection Equation and Calculator.
Per. Roarks Formulas for Stress and Strain for flat plates with straight boundaries and constant thickness
Rectangular plate; one edge fixed, opposite edge free, remaining edges simply supported loading Uniformly decreasing from fixed edge to zero at 1/3 b.
Rectangular plate; one edge fixed, opposite edge free, remaining edges simply supported. ![]() | Uniformly decreasing from fixed edge to zero at 2/3 b. ![]() |
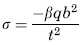
Stress Maximum at center of fixed edge:
![]() | and | R = γqb |
Symbols used:
q = Applied Load or Force to Flat Area of Plate(N/m2, lbs/2)
v = Poisson’s ratio (assumed to be 0.2)
t = plate thickness, (m, in)
a = plate length, (m, in)
b = plate width, (m, in)
σ = stress, (N/m2, lbs/in2)
R = Reaction force per unit length (N/m, lbs/in) normal to the plate surface exerted by the boundary support on the edge of the plate.
β = Constant From Table A
γ = Constant From Table A
Table A
a/b | 0.25 | 0.50 | 0.75 | 1.0 | 1.5 | 2.0 | 3.0 |
β | 0.023 | 0.048 | 0.061 | 0.073 | 0.088 | 0.097 | 0.105 |
γ | 0.115 | 0.149 | 0.159 | 0.164 | 0.167 | 0.168 | 0.168 |
Reference:
Roarks Formulas for Stress and Strain, 7th Edition
Link to this Webpage:

© Copyright 2000 -2025, by Engineers Edge, LLC
www.engineersedge.com
All rights reserved
Disclaimer |Feedback
Advertising|Contact