Related Resources:calculators
Flat Rectangular Plate; two long edges simply supported, two short edges fixed Uniform loading over entire plate Stress and Deflection Equation and Calculator.
Per. Roarks Formulas for Stress and Strain Formulas for flat plates with straight boundaries and constant thickness
Rectangular plate; two long edges simply supported, two short edges fixed Uniform loading over entire plate
Preview:Flat Rectangular Plate Uniform Force over Entire Plate Three Edges Simply Supported Calculator

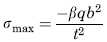
Stress Maximum at center of shorter edge:
Deflection at center:
Symbols used:
E = Modulus of Elasticity(N/m2, lbs/2)
q = Applied Load or Force to Flat Area of Plate(N/m2, lbs/2)
v = Poisson’s ratio (assumed to be 0.3)
t = plate thickness, (m, in)
a = plate length, (m, in)
b = plate width, (m, in)
σmax = maximum stress, (N/m2, lbs/in2)
ymax = Maximum deflection (m, in)
α = From Table A
β = From Table A
Table A
a/b | 1 | 1.2 | 1.4 | 1.6 | 1.8 | 2.0 | ∞ |
β | 0.4182 | 0.5208 | 0.5988 | 0.6540 | 0.6912 | 0.7146 | 0.750 |
α | 0.0210 | 0.0349 | 0.0502 | 0.0658 | 0.0800 | 0.0922 | 0 |
Reference:
Roarks Formulas for Stress and Strain, 7th Edition
Link to this Webpage:

© Copyright 2000 -2025, by Engineers Edge, LLC
www.engineersedge.com
All rights reserved
Disclaimer |Feedback
Advertising|Contact