Related Resources:calculators
Flat Rectangular Plate Uniform Loading over Small Concentric Circle Area Stress Equation and Calculator.
Preview:Flat Rectangular Plate Stress and Deflection Load Applied at Center Calculator

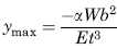
Stress at Center
If ro < 0.5t

if ro ≥ 0.5t then r'o = ro
Deflection:
Symbols used:
W = Total applied load or force(N, lbs)
v = Poisson’s ratio (assumed to be 0.3)
t = plate thickness, (m, in)
a = plate length, (m, in)
b = plate width, (m, in)
ro = Radius, (m, in)
σmax = maximum stress, (N/m2, lbs/in2)
Table for β
a/b | 1.0 | 1.2 | 1.4 | 1.6 | 1.8 | 2.0 | ∞ |
β | 0.435 | 0.650 | 0.789 | 0.875 | 0.927 | 0.958 | 1.000 |
α | 0.1267 | 0.1478 | 0.1621 | 0.1715 | 0.1770 | 0.1805 | 0.1851 |
Reference:
Roarks Formulas for Stress and Strain, 7th Edition
Link to this Webpage:

© Copyright 2000 -2025, by Engineers Edge, LLC
www.engineersedge.com
All rights reserved
Disclaimer |Feedback
Advertising|Contact