Hey, you.
Yes you. Who else would I be talking to? You're the only one here.
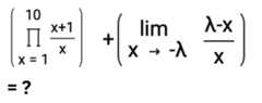
You fell asleep while doing your homework, AGAIN. Remember? You called me a smartass last time, however, so here's the rest of your unfinished homework. I didn't touch it like before, so it's up to you to solve it before we pass it to the professor.



Here.
What? You need help? MY help? Are you, like parang, bobo, or something?
After our little spat? No way am I helping you out. You're on your own for this one.
But, oh well, if you need my help, I'll help you out tomorrow. Make tawag me again when you've at least solved ONE of these, alright? I'd prefer it if you solve everything though.
(have fun everyone<3 i'll post the answers little by little, when i feel like it)
wake up a cute sleepy grumpy boy at 1AM
| Status | Released |
| Author | rice |
| Genre | Visual Novel |
| Tags | 2D,Cute,Dating Sim,First-Person,LGBT,Otome,Ren'Py,Romance,Story Rich |
| Languages | English |
Log in with itch.io to leave a comment.