Movatterモバイル変換


[0]ホーム

URL:


WO2025132770A1 - Affitins for the treatment of cancer - Google Patents

Affitins for the treatment of cancer
Download PDF

Info

Publication number
WO2025132770A1
WO2025132770A1PCT/EP2024/087379EP2024087379WWO2025132770A1WO 2025132770 A1WO2025132770 A1WO 2025132770A1EP 2024087379 WEP2024087379 WEP 2024087379WWO 2025132770 A1WO2025132770 A1WO 2025132770A1
Authority
WO
WIPO (PCT)
Prior art keywords
msln
affitins
seq
mesothelin
binding
Prior art date
Legal status (The legal status is an assumption and is not a legal conclusion. Google has not performed a legal analysis and makes no representation as to the accuracy of the status listed.)
Pending
Application number
PCT/EP2024/087379
Other languages
French (fr)
Inventor
Christophe BLANQUART
François DAVODEAU
Frédéric PECORARI
Tacien PETITHOMME
Tina BRIOLAY
Current Assignee (The listed assignees may be inaccurate. Google has not performed a legal analysis and makes no representation or warranty as to the accuracy of the list.)
Centre National de la Recherche Scientifique CNRS
Universite de Nantes
Institut National de la Sante et de la Recherche Medicale INSERM
Original Assignee
Centre National de la Recherche Scientifique CNRS
Universite de Nantes
Institut National de la Sante et de la Recherche Medicale INSERM
Priority date (The priority date is an assumption and is not a legal conclusion. Google has not performed a legal analysis and makes no representation as to the accuracy of the date listed.)
Filing date
Publication date
Application filed by Centre National de la Recherche Scientifique CNRS, Universite de Nantes, Institut National de la Sante et de la Recherche Medicale INSERMfiledCriticalCentre National de la Recherche Scientifique CNRS
Publication of WO2025132770A1publicationCriticalpatent/WO2025132770A1/en
Pendinglegal-statusCriticalCurrent
Anticipated expirationlegal-statusCritical

Links

Classifications

Definitions

Landscapes

Abstract

Malignant pleural mesothelioma (MPM) is an aggressive cancer of the pleura that usually develops after asbestos exposure. This cancer is relatively rare but remains of really poor prognosis. For years, the first line treatment of MPM has consisted in systemic chemotherapy regimens of a platinum-derivate (either cisplatin or carboplatin) and an antimetabolite (pemetrexed). Here, the inventors propose a tailored-made Affitin as a new non-Ig scaffold for the targeting of a tumors associated antigen overexpressed in MPM. In particular, the present invention relates to polypeptide capable of binding the mesothelin (MSLN).

Description

AFFITINS FOR THE TREATMENT OF CANCER
FIELD OF THE INVENTION:
The present invention is in the field of medicine, in particular oncology.
BACKGROUND OF THE INVENTION:
Malignant pleural mesothelioma (MPM) is an aggressive cancer of the pleura that usually develops after asbestos exposure. This cancer is relatively rare but remains of really poor prognosis. For years, the first line treatment of MPM has consisted in systemic chemotherapy regimens of a platinum-derivate (either cisplatin or carboplatin) and an antimetabolite (pemetrexed)1,2. The recent approval of nivolumab plus ipilimumab for first-line treatment of advanced mesothelioma represents a big progress in MPM management, however the median overall survival of patients stays around 18 months3. In front of the urge to find new therapeutic approaches to treat MPM patients several therapeutic alternatives, such as targeted therapy, have been explored3. Mesothelin (MSLN) is one of the two molecular targets that have been mostly studied in the clinic for MPM targeted therapy. Indeed, around a hundred clinical trials currently report mesothelin-targeted therapies including antibody-drug conjugates, radio- immunoconjugates, T cell engagers, immunotoxins, and adoptive cellular therapies1 3 5. Mesothelin (MSLN) is a tumor associated antigen (TAA) only sparsely expressed by normal mesothelial tissues but overexpressed in a broad range of solid tumors6,7. Thus, MSLN has been considered a promising target for the development of targeted therapies against various cancers, and notably MPM7,8. Many phase II clinical trials testing MSLN-targeted therapies in MPM have been reported and demonstrated the safety of the approach8. Even though the real clinical efficacy of such approaches is still to be demonstrated in MPM, targeting this TAA remain of interest for cancer therapy as illustrated by encouraging recent results with anti-MSLN CAR-T cells and by the number of ongoing clinical trials targeting MSLN8.
Molecules that can specifically bind to cellular targets play an important role as therapeutic and diagnosis agents, notably in cancer medicine. This field of research has been dominated for several years now by monoclonal antibodies which are the most common affinity agents used in cancer research and in clinic9,10. The use of antibodies has revolutionized the field of cancer targeting, however monoclonal antibodies suffer from several drawbacks for some applications. Indeed, they are high molecular weight molecules (150 kDa) thus displaying limited tissue penetration, their production cost is high, they can be relatively unstable and can potentially generate immunogenicity11. As a consequence, several non-immunoglobulin protein scaffolds have been proposed with the aim to overcome these problems11. They are derived from parent proteins with various physiological functions that are further mutated and selected to enable recognition of targets of interest. Non-Ig scaffolds share several common properties such as low molecular weight, high stability, relatively low immunogenicity and low production costs11,12. Here, the inventors propose tailored-made Affitins as a new non-Ig scaffold for the targeting of human MSLN.
Affitins are small (approximatively 7 kDa) affinity proteins derived from the Suld7d protein family. Sul7d proteins such as Sac7d, Sso7d or Aho7c, are DNA-binding protein isolated from the hypertherm ophilic archaeon Sulfol obus genera13. The randomization of 10 to 14 residues localized in the DNA-binding site of Sac7d allowed the full redirection of the initial DNA specificity of the protein against various targets of interest such as SpA and PulD bacterial proteins, human IgG and glycosidases14 l 7. Recently, Aho7c, which is shorter and more stable than Sac7d, was used to generate specific binders for the human EpCAM with dissociation constants in the picomolar range18. Affitins have the particularity to be cysteine-free single chain proteins that lack post-translational modifications and are highly stable under a wide range of temperatures and pH14 1649 21. Thus, Affitins represent an attractive non-Ig scaffold alternative to antibodies and their fragments. The inventors generated Affitins able to bind to human mesothelin thanks to ribosome display, next generation sequencing followed by a clusterization analysis and functional assays. They demonstrated that those Affitins were able to bind to recombinant mesothelin in the same region as the Amatuximab (MORAb-009) therapeutic antibody. The homodimerization of the best candidate (20 kDa) allowed its binding to cellular mesothelin on the surface of MPM cancer cells, with an affinity of approximatively 2 nM. They demonstrated the specificity of the MSLN-binding by flow cytometry and confocal microscopy in cocultures under static or dynamic culture conditions. Finally, they also characterized the stability of their construction upon a wide range of temperatures and repeated freeze/thaw cycles. The inventors propose the first described MSLN-binding Affitin and they anticipate its usefulness for future applications in cancer targeted therapy. SUMMARY OF THE INVENTION:
The present invention is defined by the claims. In particular, the relates to a polypeptide comprising a protein of the Sul7d family protein that binds to the mesothelin (MSLN), in particular to human mesothelin.
DETAILED DESCRIPTION OF THE INVENTION:
The present invention relates to a polypeptide comprising a protein of the Aho7c family protein that binds to the mesothelin (MSLN), in particular to human mesothelin.
Main definitions:
As used herein, the terms “polypeptide” and “protein” are used interchangeably and refer to a compound comprised of amino acid residues covalently linked by peptide bonds. A protein or peptide must contain at least two amino acids, and no limitation is placed on the maximum number of amino acids that can comprise a protein’s or peptide’s sequence. Polypeptides include any peptide or protein comprising two or more amino acids joined to each other by peptide bonds. As used herein, the term refers to both short chains, which also commonly are referred to in the art as peptides, oligopeptides and oligomers, for example, and to longer chains, which generally are referred to in the art as proteins, of which there are many types. “Polypeptides” include, for example, biologically active fragments, substantially homologous polypeptides, oligopeptides, homodimers, heterodimers, variants of polypeptides, modified polypeptides, derivatives, analogs, fusion proteins, among others. The polypeptides include natural peptides, recombinant peptides, synthetic peptides, or a combination thereof.
As used herein, the term “isolated” when referring to nucleic acid molecules or polypeptides means that the nucleic acid molecule or the polypeptide is substantially free from at least one other component with which it is associated or found together in nature.
As used herein, the term “complementarity” refers to the ability of a nucleic acid to form hydrogen bond(s) with another nucleic acid sequence by either traditional Watson-Crick basepairing or other non-traditional types. A percent complementarity indicates the percentage of residues in a nucleic acid molecule which can form hydrogen bonds (e.g., Watson-Crick base pairing) with a second nucleic acid sequence (e.g., 5, 6, 7, 8, 9, 10 out of 10 being 50%, 60%, 70%, 80%, 90%, and 100% complementary). “Perfectly complementary” means that all the contiguous residues of a nucleic acid sequence will hydrogen bond with the same number of contiguous residues in a second nucleic acid sequence. “Substantially complementary” as used herein refers to a degree of complementarity that is at least 60%, 65%, 70%, 75%, 80%, 85%, 90%, 95%, 97%, 98%, 99%, or 100% over a region of 8, 9, 10, 11, 12, 13, 14, 15, 16, 17, 18, 19, 20, 21, 22, 23, 24, 25, 30, 35, 40, 45, 50, or more nucleotides, or refers to two nucleic acids that hybridize under stringent conditions.
As used herein, the term "cell" refers to any eukaryotic cell. In some embodiments the cells are selected from the group consisting of multipotent hematopoietic stem cells derived from bone marrow, peripheral blood, or umbilical cord blood; or pluripotent (i.e. embryonic stem cells (ES) or induced pluripotent stem cells (iPS)) or multipotent stem cell-derived differentiated cells of different cell lineages.
As used herein, the term "amino acids” refer to organic compounds that contain both amino and carboxylic acid functional groups. Twenty amino acids appear in the standard genetic code. Amino acids can be classified according to the locations of the core structural functional groups, as alpha- (a-), beta- (P-), gamma- (y-) or delta- (5-) amino acids; other categories relate to polarity, ionization, and side chain group type (aliphatic, acyclic, aromatic, containing hydroxyl or sulfur, etc.). In the form of proteins, amino acid residues form the second-largest component (water being the largest) of human muscles and other tissues. [5] Beyond their role as residues in proteins, amino acids participate in a number of processes such as neurotransmitter transport and biosynthesis. Amino acids include : Alanine (A), Arginine (R), Asparagine (N), Aspartate (D), Cysteine (C), Glutamine (Q), Glutamate (E), Glycine (G), Histidine (H), Isoleucine (I), Leucine (L), Lysine (K), Methionine (M), Phenylalanine (F), Proline (P), Serine (S), Threonine (T), Tryptophan (W), Tyrosine (Y), Valine (V).
Affitins of the present invention
The first object of the present invention relates to a polypeptide capable of binding the mesothelin (MSLN), wherein the polypeptide comprises an amino acid sequence having the formula of : ATKVKFKX1X2GEEKEVDISKIKX3VX4RX5X6X7X8X9X10X11X12IX13FX14YDDNGKX15G
XI6GWVSEKDAPKELLEKLK (SEQ ID NO: 1)
Wherein Xi is V or L or Y,
Wherein X2 is M or F,
Wherein X3 is V or H or K or R,
Wherein X4 is S or D or E,
Wherein X5 is S or M or R,
Wherein Xe is V or N or T or A,
Wherein X7 is G or W or F or I,
Wherein Xs is P or R or H or Q,
Wherein X9 is L or G or M or A,
Wherein X10 is G or L or D or A,
Wherein Xu is S or L or K,
Wherein X12 is F or Y or T,
Wherein X13 is L or R or V or A,
Wherein X14 is Q or S or M or A,
Wherein X15 is M or L or S or I,
Wherein the Xi6 is R or H or Y.
In some embodiments, the present invention relates to a polypeptide capable of binding the mesothelin (MSLN), wherein the polypeptide is called N13 Affitin and comprises an amino acid sequence having the formula of :
ATKVKFKVFGEEKEVDISKIKHVDRMNWRGLLYIRFSYDDNGKLGHGWVSEKDAPK ELLEKLK (SEQ ID NO: 2).
In some embodiments, the present invention relates to a polypeptide capable of binding the mesothelin (MSLN), wherein the polypeptide is called N18 Affitin and comprises an amino acid sequence having the formula of :
ATKVKFKLFGEEKEVDISKIKKVERRTFHMDKTIVFMYDDNGKSGYGWVSEKDAPK
ELLEKLK (SEQ ID NO: 3). In some embodiments, the present invention relates to a polypeptide capable of binding the mesothelin (MSLN), wherein the polypeptide is called N7 Affitin and comprises an amino acid sequence having the formula of :
ATKVKFKYMGEEKEVDISKIKVVSRSVGPLGSFILFQYDDNGKMGRGFVSEKDAPKE LLEKLK (SEQ ID NO: 4).
In some embodiment, the present invention relates to a polypeptide capable of binding the mesothelin (MSLN), wherein the polypeptide is called N23 Affitin and comprises an amino acid sequence having the formula of :
ATKVKFKLFGEEKEVDISKIKRVERRAIQAASYIAFAYDDNGKIGHGWVSEKDAPKE LLEKLK (SEQ ID NO: 5).
In some embodiment, the affitins of the present invention does not comprise the cysteine (C) as amino acid.
As used herein, the term “Affitin” refers to artificial proteins with the ability to selectively bind antigens. They are structurally derived from the Suld7d protein family, a hyperthermostable protein family. Sul7d proteins such as Sac7d, Sso7d or Aho7c, are DNA-binding protein isolated from the hyperthermophilic archaeon Sulfolobus genera. By randomizing the amino acids on the binding surface of Sul7d proteins and subjecting the resulting protein library to rounds of ribosome display, the affinity can be directed towards various targets, such as peptides, proteins, viruses, and bacteria. Affitins are antibody mimetics and are being developed as an alternative to antibodies as tools in biotechnology. Affitins consist of 60 to 66 amino acids and have a molecular mass of about 7 kDa; this is small compared to antibodies with some 130— 150 kDa. Affitin are unusually heat resistant proteins. In addition, Affitins are durable because they are able to withstand many cycles of freezing/defrosting. Affitins are produced in vitro, and therefore can be generated more quickly. Due to their small size and high solubility, they can easily be produced in large amounts using bacterial expression systems. Affitins are artificially binding proteins with high affinity, small size, and low structural complexity. Two different modes of binding can be programmed in the libraries used for the generation of Affitins. The first involves a flat surface whereas the second mode of binding requires a flat surface and one artificially extended loop. They are thermally and chemically stable reagents and their stability can be further increased by using mutation or grafting techniques.
As used herein, the term “monomeric” relates to a chemical compound or molecule consisting of one simpler molecule. In some embodiment, the present invention relates to a monomer of the anti-MSLN Affitin having the following sequence SEQ ID NO: 2 (i.e. N13 Affitin). In some embodiment, the present invention relates to a monomer of the anti-MSLN Affitin having the following sequence SEQ ID NO: 3 (i.e. N18 Affitin). In some embodiment, the present invention relates to a monomer of the anti-MSLN Affitin having the following sequence SEQ ID NO: 4 (i.e. N7 Affitin). In some embodiment, the present invention relates to a monomer of the anti-MSLN Affitin having the following sequence SEQ ID NO: 5 (i.e. N23 Affitin).
As used herein, the term “specificity” refers to the ability of the Affitin of the present invention to detectably bind target molecule (e.g. an epitope presented on an antigen) while having relatively little detectable reactivity with other target molecules. Specificity can be relatively determined by binding or competitive binding assays, using, e.g., Biacore instruments, as described elsewhere herein. Specificity can be exhibited by, e.g., an about 10: 1, about 20: 1, about 50: 1, about 100: 1, 10.000: 1 or greater ratio of affinity/avidity in binding to the specific antigen versus nonspecific binding to other irrelevant molecules.
As used herein, the term “affinity”, as used herein, means the strength of the binding of the Affitin of the present invention to a target molecule (e.g. an epitope). The affinity of a binding protein is given by the dissociation constant KD. For an Affitin said KD is defined as [Aff] x [Ag] / [Aflf-Ag], where [Aff-Ag] is the molar concentration of the Affitin-antigen complex, [Aff] is the molar concentration of the unbound Affitin and [Ag] is the molar concentration of the unbound antigen. The affinity constant KA is defined by 1/KD. Preferred methods for determining the affinity of a binding protein can be found in Harlow, et al., Antibodies: A Laboratory Manual, Cold Spring Harbor Laboratory Press, Cold Spring Harbor, N.Y., 1988), Coligan et al., eds., Current Protocols in Immunology, Greene Publishing Assoc, and Wiley Interscience, N.Y., (1992, 1993), and Muller, Meth. Enzymol. 92:589-601 (1983), which references are entirely incorporated herein by reference. One preferred and standard method well known in the art for determining the affinity of binding protein is the use of Biacore instruments. In particular, for monomeric proteins, the Langmuir model is used for calculating the KD. In particular, for dimeric proteins (N13 dimer, N7 dimer, N18 dimer, N23 dimer), the bivalent model is used for calculating the KD.
As used herein, the term “mesothelin” (MSLN) refers to a 40 kDa protein that is expressed in mesothelial cells. Mesothelin is over expressed in several human tumors, including mesothelioma, ovarian cancer, pancreatic adenocarcinoma, lung adenocarcinoma, and cholangiocarcinoma. The mesothelin is having the following human Uniprot number : QI 3421.
As used herein, the term "target cell" refers to any cell in a subject (e.g., a human or animal) that can be targeted by the anti-MSLN affitin of the invention. The target cell can be a cell expressing or overexpressing the target binding site.
As used herein, the term “binding” as used herein refers to a direct association between two molecules, due to, for example, covalent, electrostatic, hydrophobic, and ionic and/or hydrogenbond interactions, including interactions such as salt bridges and water bridges. In particular, as used herein, the term "binding" in the context of the binding of the affitin if the present invention to a predetermined target molecule (e.g. an antigen or epitope) typically is a binding with an affinity corresponding to a KD of about 10'7 M or less, such as about 10'8 M or less, such as about 10'9 M or less, about IO'10 M or less, or about 10'11 M or even less.
In some embodiments, the Affitins of the invention are capable of binding to human MSLN receptor.
In some embodiments, the Affitins of the invention bind to human MSLN with a KD of about 1 nM to about 5 nM, for example, about 1 nM, about 1.5 nM, about 2 nM, about 2.5 nM, about 3 nM, about 3.5 nM, about 4 nM, about 4.5 nM, or about 5 nM. In embodiments, the Affitins bind to human MSLN with a KD of about 5 nM to about 15 nM, for example, about 5 nM, about 5.5 nM, about 6 nM, about 6.5 nM, about 7 nM, about 7.5 nM, about 8 nM, about 8.5 nM, about 9 nM, about 9.5 nM, about 10 nM, about 10.5 nM, about 1 1 nM, about 1 1.5 nM, about 12 nM, about 12.5 nM, about 13 nM, about 13.5 nM, about 14 nM, about 14.5 nM, or about 15 nM. In some embodiments, the Affitins of the invention bind to MSLN with a KD of about 1 nM to about 30 nM, for example about 1 nM, 2 nM, 3 nM, 4 nM, 5 nM, 6 nM, 7 nM, 8 nM, 9 nM, 10 nM, 11 nM, 12 nM, 13 nM, 14 nM, 15 nM, 16 nM, 17 nM, 18 nM, 19 nM, 20 nM, 21 nM, 22 nM, 23 nM,24 nM, 25 nM,26 nM, 27 nM; 28 nM, 29 nM, 30 nM. In some embodiments, the Affitins of the invention bind to human MSLN with a KD of about 1 nM to about 1000 nM, for example about 1 nM, 100 nM, 200 nM,300 nM,400 nM, 500 nM,600 nM, 700 nM, 80 nM, 900 nM, 1000 nM. In particular, the Affitins of the invention bind to human MSLN with a KD between 10 and 30 nM.
Linker
In some embodiments, the Affitins of the present invention are assembled by a linker to former dimer or trimer.
As used herein, the terms “polypeptide” and “protein” are used interchangeably herein to refer to a polymer of amino acid residues. The terms apply to amino acid polymers in which one or more amino acid residues is an artificial chemical mimetic of a corresponding naturally occurring amino acid, as well to naturally occurring amino acids polymers and non-naturally occurring amino acid polymers. Unless otherwise indicated, a particular polypeptide sequence also implicitly encompasses conservatively modified variants thereof.
As used herein, the term "linker" refers to a peptide located between the dimeric or trimeric Affitins of the present invention. In some embodiments, the linker is a polypeptide from about 1 to 50 amino acids, 1 to 20 amino acids, about 2 to 20 amino acids, or about 4 to 15 amino acids. One or more of these amino acids may be glycosylated, as is well understood by those in the art. In one embodiment, the 1 to 20 amino acids are selected from glycine, alanine, proline, asparagine, glutamine, and lysine. In another embodiment, a linker is made up of a majority of amino acids that are sterically unhindered, such as glycine and alanine. In some embodiments, the linker is disclosed in the review Chen et al. (Adv Drug Deliv Rev. 2013 Oct;65(10): 1357- 69). Thus, in some embodiments, the linker is selected from polyserine, Poly(Gly-Ser) (such as (Gly)3-Ser, (Gly)4-Ser), polyglycines (such as (Gly)5, and (Gly)8), poly(Gly-Ala), and polyalanines. The linker can also be a non-peptide linker such as an alkyl linker, or a PEG linker. For example, alkyl linkers such as ~NH~(CH2)s-C(0)~, wherein s-2-20 can be used. These alkyl linkers may further be substituted by any non-sterically hindering group such as lower alkyl (e.g., Ci-C6) lower acyl, halogen (e.g., CI, Br), CN, N3/4, phenyl, etc. An exemplary non-peptide linker is a PEG linker. In certain embodiments, the PEG linker has a molecular weight of about 100 to 5000 kDa, or about 100 to 500 kDa. The peptide linkers may be altered to form derivatives. In some embodiment, the linker is derived from a region of a natural protein, such as the human muscular aldolase (HMA) linker.
In some embodiments, the linker is less than about 500 amino acids long, about 450 amino acids long, about 400 amino acids long, about 350 amino acids long, about 300 amino acids long, about 250 amino acids long, about 200 amino acids long, about 150 amino acids long, or about 100 amino acids long. For example, the linker may be less than about 100, about 95, about 90, about 85, about 80, about 75, about 70, about 65, about 60, about 55, about 50, about 45, about 40, about 35, about 30, about 25, about 20, about 19, about 18, about 17, about 16, about 15, about 14, about 13, about 12, about 11, about 10, about 9, about 8, about 7, about 6, about 5, about 4, about 3, or about 2 amino acids long. In some embodiments, the linker is flexible. In another embodiment, the linker is rigid.
In some embodiments, the present invention relates to a combination of 1, 2, 3, 4, 5, 6, 7, 8, 9 and 10 anti-MSLN Affitins having the following sequences chosen among SEQ ID NO: 2 (i.e. N13 Affitin) or SEQ ID NO: 3 (i.e. N18 Affitin) or SEQ ID NO: 4 (i.e. N7 Affitin) or SEQ ID NO: 5 (i.e. N23 Affitin).
As used herein, the term “dimeric” relates to a chemical compound or molecule consisting of two identical simpler molecule or two different simpler molecules. In some embodiments, the term “dimeric” includes homodimer or heterodimer.
In some embodiments, the present invention relates to a homodimer of two anti-MSLN Affitins having the following sequence SEQ ID NO: 2 (i.e. two N13 Affitins). In some embodiments, the present invention relates to a homodimer of two anti-MSLN Affitins having the following sequence SEQ ID NO: 3 (i.e. two N18 Affitins). In some embodiments, the present invention relates to a homodimer of two anti-MSLN Affitins having the following sequence SEQ ID NO: 4 (i.e. two N7 Affitins). In some embodiments, the present invention relates to a homodimer of two anti-MSLN Affitins having the following sequence SEQ ID NO: 5 (i.e. two N23 Affitins).
In some embodiments, the present invention relates a heterodimer of two anti-MSLN Affitins having the following sequences chosen among SEQ ID NO: 2 (i.e. N13 Affitin) or SEQ ID NO: 3 (i.e. N18 Affitin) or SEQ ID NO: 4 (i.e. N7 Affitin) or SEQ ID NO: 5 (i.e. N23 Affitin). As used herein, the term “trimeric” relates to a chemical compound or molecule consisting of three identical simpler molecules or three different simpler molecules, or two identical simpler molecules and one different simpler molecule. In some embodiments, the term “trimeric” includes homotrimer or heterotrimer.
In some embodiments, the present invention relates to a homotrimer of three anti-MSLN Affitins having the following sequence SEQ ID NO: 2 (i.e. three N13 Affitins). In some embodiments, the present invention relates to a homotrimer of three anti-MSLN Affitins having the following sequence SEQ ID NO: 3 (i.e. three N18 Affitins). In some embodiments, the present invention relates to a homotrimer of three anti-MSLN Affitins having the following sequence SEQ ID NO: 4 (i.e. three N7 Affitins). In some embodiment, the present invention relates to a homotrimer of three anti-MSLN Affitins having the following sequence SEQ ID NO: 5 (i.e. three N23 Affitins).
In some embodiments, the present invention relates to a heterotrimer of three anti-MSLN Affitins chosen among the following sequences SEQ ID NO: 2 (i.e. N13 Affitin) or SEQ ID NO:3 (i.e. N18 Affitin) or SEQ ID NO: 4 (i.e. N7 Affitin) or SEQ ID NO: 5 (i.e. 23 Affitin).
As used herein, the term “tetrameric” relates to a chemical compound or molecule consisting of four identical simpler molecules or four different simpler molecules, or two identical simpler molecules and two different simpler molecule or three identical simpler molecules and one different simpler molecule. In some embodiments, the term “tretrameric” includes homotetramer or heterotetramer.
In some embodiments, the present invention relates to a homotetramer of four anti-MSLN Affitins having the following sequence SEQ ID NO: 2 (i.e. four N13 Affitins). In some embodiments, the present invention relates to a homotetramer of four anti-MSLN Affitins having the following sequence SEQ ID NO: 3 (i.e. four N18 Affitins). In some embodiments, the present invention relates to a homotetramer of four anti-MSLN Affitins having the following sequence SEQ ID NO: 4 (i.e. four N7 Affitins). In some embodiment, the present invention relates to a homotetramer of four anti-MSLN Affitins having the following sequence SEQ ID NO: 5 (i.e. four N23 Affitins). In some embodiments, the present invention relates to a heterotrimer of four anti-MSLN Affitins chosen among the following sequences SEQ ID NO: 2 (i.e. N13 Affitin) or SEQ ID NO: 3 (i.e. N18 Affitin) or SEQ ID NO: 4 (i.e. N7 Affitin) or SEQ ID NO: 5 (i.e. N23 Affitin).
Production of the Affitins of the present invention
Vector
In some embodiments, the present invention relates to a vector for delivery of heterologous nucleic acids, wherein the nucleic acids encode the Affitins of the present invention.
As used herein, the term “vector” is a composition of matter which comprises an isolated nucleic acid and which can be used to deliver the isolated nucleic acid to the interior of a cell. Numerous vectors are known in the art including, but not limited to, linear polynucleotides, polynucleotides associated with ionic or amphiphilic compounds, plasmids, and viruses. Thus, the term “vector” includes an autonomously replicating plasmid or a virus. The term should also be construed to include non-plasmid and non-viral compounds which facilitate transfer of nucleic acid into cells, such as, for example, polylysine compounds, liposomes, and the like. Examples of viral vectors include, but are not limited to, adenoviral vectors, adeno- associated virus vectors, retroviral vectors, and the like. “Expression vector” refers to a vector comprising a recombinant polynucleotide comprising expression control sequences operatively linked to a nucleotide sequence to be expressed. An expression vector comprises sufficient cis-acting elements for expression; other elements for expression can be supplied by the host cell or in an in vitro expression system. Expression vectors include all those known in the art, such as cosmids, plasmids (e.g ., naked or contained in liposomes) and viruses (e.g, lentiviruses, retroviruses, adenoviruses, and adeno-associated viruses) that incorporate the recombinant polynucleotide.
As used herein, the term “promoter” as used herein is defined as a DNA sequence recognized by the synthetic machinery of the cell, or introduced synthetic machinery, required to initiate the specific transcription of a polynucleotide sequence. As used herein, the term “promoter/regulatory sequence” means a nucleic acid sequence, which is required for expression of a gene product operably linked to the promoter/regulatory sequence. In some instances, this sequence may be the core promoter sequence and in other instances, this sequence may also include an enhancer sequence and other regulatory elements, which are required for expression of the gene product. The promoter/regulatory sequence may, for example, be one, which expresses the gene product in a tissue specific manner.
Production o f the molecules
Cells are transfected or transformed with vectors containing the sequences coding for the polypeptides comprising the variant as disclosed above.
The cells are cultured in such conditions as to have the protein expressed either in the cytoplasm or periplasm of the cells (bacteria hosts) or favorably secreted (eukaryotic hosts). The conditions of culture of the cells are the conditions generally used for Affitin production and are known in the art. Such conditions that are known in the art can also be optimized by the person skilled in the art if needed. Kunert and Reinhart (Appl Microbiol Biotechnol. 2016; 100: 3451-3461) review such methods and provide ample references thereto.
One can use bacterial, phage (Shukra et al, Eur J Microbiol Immunol (Bp). 2014; 4(2): 91-98) or eukaryotic systems of production.
In particular, one can use CHO (Chinese Hamster Ovary) cells, PER.C6 cells (human cell line, Pau et al, Vaccine. 2001 21; 19(17-19):2716-21), HEK 293b cells (Human embryonic kidney cells 293), NS0 cells (cell line derived from the non-secreting murine myeloma) or EB66 cells (a duck cell line Valneva, Lyons, France).
Bacterial hosts and expression
Useful expression vectors for bacterial use are constructed by inserting the recombinant DNA sequence together with suitable translation initiation and termination signals in operable reading phase with a functional promoter. The vector will comprise one or more phenotypic selectable markers and an origin of replication to ensure maintenance of the vector and, if desirable, to provide amplification within the host.
Suitable prokaryotic hosts for transformation include E. coli, Bacillus subtilis, Salmonella typhimurium and various species within the genera Pseudomonas, Streptomyces, and Staphylococcus.
Eukaryotic hosts and expression
Examples of the eukaryotic host cells include vertebrate cells, insect cells, and yeast cells. In particular, one can use the cells mentioned above. The transformed or transfected cells are cultured according to methods known in the art and the polypeptide are recovered from intracellular or extracellular fractions (depending on whether it is secreted or not).
Selection of mesothelin binders:
The skilled artisan can use any technique of the art to perform the selection step of the process according to the invention and/or to perform the screening step for obtaining a protein with a desired property. Selection techniques can be, for example, phage display (Smith, 1985), mRNA display (Wilson et al., 2001), bacterial display (Georgiou et al., 1997), yeast display (Boder and Wittrup, 1997) or ribosome display (Hanes and Pluckthun, 1997).
Ribosome display is particularly advantageous for performing the selection step, since it is performed completely in vitro and thus circumvents many limitations of in vivo systems (especially regarding the library size) (He and Taussig, 2002; Schaffitzel et al., 1999). The skilled artisan will find in the experimental part below, as well as in the articles by He and Taussig (2002), and Schaffitzel et al. (1999), Kalichuk et al. (2020) or in other articles and manuals, protocols for performing ribosome display.
In some embodiments of the process of the invention, 2, 3, 4 or 5 rounds of selection are performed by ribosome display.
Treatment of the present invention:
A further object of the present invention relates to a method of treatment of cancer in a subject in need thereof comprising administering to the subject a therapeutically effective amount of Affitins of the present invention.
As used herein, the term “subject” refers to any mammals, such as a rodent, a feline, a canine, and a primate. Particularly, in the present invention, the subject is a human afflicted with or susceptible to be afflicted with cancer.
As used herein, the term "cancer" has its general meaning in the art and refers to a group of diseases involving abnormal cell growth with the potential to invade or spread to other parts of the body. The term "cancer" further encompasses both primary and metastatic cancers. Examples of cancers that may treated by methods and compositions of the invention include, but are not limited to, cancer cells from the bladder, blood, bone, bone marrow, brain, breast, colon, esophagus, gastrointestinal, gum, head, kidney, liver, lung, nasopharynx, neck, ovary, prostate, skin, stomach, testis, tongue, or uterus. In addition, the cancer may specifically be of the following histological type, though it is not limited to these: neoplasm, malignant; carcinoma; carcinoma, undifferentiated; giant and spindle cell carcinoma; small cell carcinoma; papillary carcinoma; squamous cell carcinoma; lymphoepithelial carcinoma; basal cell carcinoma; pilomatrix carcinoma; transitional cell carcinoma; papillary transitional cell carcinoma; adenocarcinoma; gastrinoma, malignant; cholangiocarcinoma; hepatocellular carcinoma; combined hepatocellular carcinoma and cholangiocarcinoma; trabecular adenocarcinoma; adenoid cystic carcinoma; adenocarcinoma in adenomatous polyp; adenocarcinoma, familial polyposis coli; solid carcinoma; carcinoid tumor, malignant; branchiolo-alveolar adenocarcinoma; papillary adenocarcinoma; chromophobe carcinoma; acidophil carcinoma; oxyphilic adenocarcinoma; basophil carcinoma; clear cell adenocarcinoma; granular cell carcinoma; follicular adenocarcinoma; papillary and follicular adenocarcinoma; non encapsulating sclerosing carcinoma; adrenal cortical carcinoma; endometroid carcinoma; skin appendage carcinoma; apocrine adenocarcinoma; sebaceous adenocarcinoma; ceruminous; adenocarcinoma; mucoepidermoid carcinoma; cystadenocarcinoma; papillary cystadenocarcinoma; papillary serous cystadenocarcinoma; mucinous cystadenocarcinoma; mucinous adenocarcinoma; signet ring cell carcinoma; infiltrating duct carcinoma; medullary carcinoma; lobular carcinoma; inflammatory carcinoma; paget's disease, mammary; acinar cell carcinoma; adenosquamous carcinoma; adenocarcinoma w/squamous metaplasia; thymoma, malignant; ovarian stromal tumor, malignant; thecoma, malignant; granulosa cell tumor, malignant; and roblastoma, malignant; Sertoli cell carcinoma; leydig cell tumor, malignant; lipid cell tumor, malignant; paraganglioma, malignant; extramammary paraganglioma, malignant; pheochromocytoma; glomangiosarcoma; malignant melanoma; amelanotic melanoma; superficial spreading melanoma; malign melanoma in giant pigmented nevus; epithelioid cell melanoma; blue nevus, malignant; sarcoma; fibrosarcoma; fibrous histiocytoma, malignant; myxosarcoma; liposarcoma; leiomyosarcoma; rhabdomyosarcoma; embryonal rhabdomyosarcoma; alveolar rhabdomyosarcoma; stromal sarcoma; mixed tumor, malignant; mullerian mixed tumor; nephroblastoma; hepatoblastoma; carcinosarcoma; mesenchymoma, malignant; brennertumor, malignant; phyllodestumor, malignant; synovial sarcoma; mesothelioma, malignant; dysgerminoma; embryonal carcinoma; teratoma, malignant; strumaovarii, malignant; choriocarcinoma; mesonephroma, malignant; hemangiosarcoma; hemangioendothelioma, malignant; kaposi's sarcoma; hemangiopericytoma, malignant; lymphangiosarcoma; osteosarcoma; juxtacortical osteosarcoma; chondrosarcoma; chondroblastoma, malignant; mesenchymal chondrosarcoma; giant cell tumor of bone; ewing's sarcoma; odontogenic tumor, malignant; ameloblasticodontosarcoma; ameloblastoma, malignant; ameloblasticfibrosarcoma; pinealoma, malignant; chordoma; glioma, malignant; ependymoma; ependymoma; protoplasmic astrocytoma; fibrillary astrocytoma; astroblastoma; medulloblastoma, glioblastoma; oligodendroglioma; oligodendroblastoma; primitive neuroectodermal; cerebellar sarcoma; ganglioneuroblastoma; neuroblastoma; retinoblastoma; olfactory neurogenic tumor; meningioma, malignant; neurofibrosarcoma; neurilemmoma, malignant; granular cell tumor, malignant; malignant lymphoma; Hodgkin's disease; Hodgkin's lymphoma; paragranuloma; malignant lymphoma, small lymphocytic; malignant lymphoma, large cell, diffuse; malignant lymphoma, follicular; mycosis fungoides; other specified non-Hodgkin's lymphomas; malignant histiocytosis; multiple myeloma; mast cell sarcoma; immunoproliferative small intestinal disease; leukemia; lymphoid leukemia; plasma cell leukemia; erythroleukemia; lymphosarcoma cell leukemia; myeloid leukemia; basophilic leukemia; eosinophilic leukemia; monocyticleukemia; mast cell leukemia; megakaryoblasticleukemia; myeloid sarcoma; and hairy cell leukemia.
In some embodiments, the subject of the present invention suffers from Mesothelin (MSLN) expressing cancers.
As used herein, the term “Mesothelin (MSLN) expressing cancers” refers to cancer expressing the antigen mesothelin. Many solid tumors express mesothelin (MSLN), including mesothelioma, pancreatic and biliary carcinomas, ovarian, lung, glioblastoma, thymic, and gastric cancers.
In some embodiments, the subject of the present invention suffers from Malignant pleural mesothelioma (MPM).
As used herein, the term “Malignant pleural mesothelioma” (MPM) refers to a cancer that develops from the thin layer of tissue that covers many of the internal organs (known as the mesothelium). The area most commonly affected is the lining of the lungs and chest wall. Less commonly the lining of the abdomen and rarely the sac surrounding the heart, or the sac surrounding the testis may be affected. Signs and symptoms of mesothelioma may include shortness of breath due to fluid around the lung, a swollen abdomen, chest wall pain, cough, feeling tired, and weight loss. These symptoms typically come on slowly. Mesothelioma is almost always caused by exposure to asbestos, a group of minerals made of microscopic fibres that used to be widely used in construction. These tiny fibres can easily get in the lungs, where they get stuck, damaging the lungs over time. It usually takes a while for this to cause any obvious problems, with mesothelioma typically developing more than 20 years after exposure to asbestos.
As used herein, the term “metastasis” or “tumour metastasis” is meant the spread of cancer from its primary site to other places in the body. Cancer cells can break away from a primary tumor, penetrate into lymphatic and blood vessels, circulate through the bloodstream, and grow in a distant focus (metastasize) in normal tissues elsewhere in the body. Metastasis can be local or distant. Metastasis is a sequential process, contingent on tumor cells breaking off from the primary tumor, traveling through the bloodstream or lymphatics, and stopping at a distant site. At the new site, the cells establish a blood supply and can grow to form a life-threatening mass. In certain embodiments, the term metastatic tumor refers to a tumor that is capable of metastasizing, but has not yet metastasized to tissues or organs elsewhere in the body. In certain embodiments, the term metastatic tumor refers to a tumor that has metastasized to tissues or organs elsewhere in the body.
As used herein, the terms “treating” or “treatment” refer to both prophylactic or preventive treatment as well as curative or disease modifying treatment, including treatment of subject at risk of contracting the disease or suspected to have contracted the disease as well as subject who are ill or have been diagnosed as suffering from a disease or medical condition, and includes suppression of clinical relapse. The treatment may be administered to a subject having a medical disorder or who ultimately may acquire the disorder, in order to prevent, cure, delay the onset of, reduce the severity of, or ameliorate one or more symptoms of a disorder or recurring disorder, or in order to prolong the survival of a subject beyond that expected in the absence of such treatment. By "therapeutic regimen" is meant the pattern of treatment of an illness, e.g., the pattern of dosing used during therapy. A therapeutic regimen may include an induction regimen and a maintenance regimen. The phrase "induction regimen" or "induction period" refers to a therapeutic regimen (or the portion of a therapeutic regimen) that is used for the initial treatment of a disease. The general goal of an induction regimen is to provide a high level of drug to a subject during the initial period of a treatment regimen. An induction regimen may employ (in part or in whole) a "loading regimen", which may include administering a greater dose of the drug than a physician would employ during a maintenance regimen, administering a drug more frequently than a physician would administer the drug during a maintenance regimen, or both. The phrase "maintenance regimen" or "maintenance period" refers to a therapeutic regimen (or the portion of a therapeutic regimen) that is used for the maintenance of a subject during treatment of an illness, e.g., to keep the subject in remission for long periods of time (months or years). A maintenance regimen may employ continuous therapy (e.g., administering a drug at a regular intervals, e.g., weekly, monthly, yearly, etc.) or intermittent therapy (e.g., interrupted treatment, intermittent treatment, treatment at relapse, or treatment upon achievement of a particular predetermined criteria [e.g., pain, disease manifestation, etc.]).
As used herein the terms "administering" or "administration" refer to the act of injecting or otherwise physically delivering a substance as it exists outside the body (e.g., the Affitins of the present invention) into the subject, such as by mucosal, intradermal, intravenous, subcutaneous, intramuscular delivery and/or any other method of physical delivery described herein or known in the art. When a disease, or a symptom thereof, is being treated, administration of the substance typically occurs after the onset of the disease or symptoms thereof. When a disease or symptoms thereof, are being prevented, administration of the substance typically occurs before the onset of the disease or symptoms thereof.
A “therapeutically effective amount” is intended for a minimal amount of active agent which is necessary to impart therapeutic benefit to a subject. For example, a "therapeutically effective amount" to a subject is such an amount which induces, ameliorates or otherwise causes an improvement in the pathological symptoms, disease progression or physiological conditions associated with or resistance to succumbing to a disorder. It will be understood that the total daily usage of the compounds of the present invention will be decided by the attending physician within the scope of sound medical judgment. The specific therapeutically effective dose level for any particular subject will depend upon a variety of factors including the disorder being treated and the severity of the disorder; activity of the specific compound employed; the specific composition employed, the age, body weight, general health, sex and diet of the subject; the time of administration, route of administration, and rate of excretion of the specific compound employed; the duration of the treatment; drugs used in combination or coincidential with the specific compound employed; and like factors well known in the medical arts. For example, it is well within the skill of the art to start doses of the compound at levels lower than those required to achieve the desired therapeutic effect and to gradually increase the dosage until the desired effect is achieved. However, the daily dosage of the products may be varied over a wide range from 0.01 to 1,000 mg per adult per day. Typically, the compositions contain 0.01, 0.05, 0.1, 0.5, 1.0, 2.5, 5.0, 10.0, 15.0, 25.0, 50.0, 100, 250 and 500 mg of the active ingredient for the symptomatic adjustment of the dosage to the subject to be treated. A medicament typically contains from about 0.01 mg to about 500 mg of the active ingredient, preferably from 1 mg to about 100 mg of the active ingredient. An effective amount of the drug is ordinarily supplied at a dosage level from 0.0002 mg/kg to about 20 mg/kg of body weight per day, especially from about 0.001 mg/kg to 7 mg/kg of body weight per day.
The Affitins of the present invention as described above may be combined with pharmaceutically acceptable excipients, and optionally sustained-release matrices, such as biodegradable polymers, to form pharmaceutical compositions. "Pharmaceutically" or "pharmaceutically acceptable" refer to molecular entities and compositions that do not produce an adverse, allergic or other untoward reaction when administered to a mammal, especially a human, as appropriate. A pharmaceutically acceptable carrier or excipient refers to a non-toxic solid, semi-solid or liquid filler, diluent, encapsulating material or formulation auxiliary of any type. The pharmaceutical compositions of the present invention for oral, sublingual, subcutaneous, intramuscular, intravenous, transdermal, local or rectal administration, the active principle, alone or in combination with another active principle, can be administered in a unit administration form, as a mixture with conventional pharmaceutical supports, to animals and human beings. Suitable unit administration forms comprise oral-route forms such as tablets, gel capsules, powders, granules and oral suspensions or solutions, sublingual and buccal administration forms, aerosols, implants, subcutaneous, transdermal, topical, intraperitoneal, intramuscular, intravenous, subdermal, transdermal, intrathecal and intranasal administration forms and rectal administration forms. Typically, the pharmaceutical compositions contain vehicles which are pharmaceutically acceptable for a formulation capable of being injected. These may be in particular isotonic, sterile, saline solutions (monosodium or disodium phosphate, sodium, potassium, calcium or magnesium chloride and the like or mixtures of such salts), or dry, especially freeze-dried compositions which upon addition, depending on the case, of sterilized water or physiological saline, permit the constitution of injectable solutions. The pharmaceutical forms suitable for injectable use include sterile aqueous solutions or dispersions; formulations including sesame oil, peanut oil or aqueous propylene glycol; and sterile powders for the extemporaneous preparation of sterile injectable solutions or dispersions. In all cases, the form must be sterile and must be fluid to the extent that easy syringability exists. It must be stable under the conditions of manufacture and storage and must be preserved against the contaminating action of microorganisms, such as bacteria and fungi. Solutions comprising compounds of the invention as free base or pharmacologically acceptable salts can be prepared in water suitably mixed with a surfactant, such as hydroxypropylcellulose. Dispersions can also be prepared in glycerol, liquid polyethylene glycols, and mixtures thereof and in oils. Under ordinary conditions of storage and use, these preparations contain a preservative to prevent the growth of microorganisms. The polypeptide (or nucleic acid encoding thereof) can be formulated into a composition in a neutral or salt form. Pharmaceutically acceptable salts include the acid addition salts (formed with the free amino groups of the protein) and which are formed with inorganic acids such as, for example, hydrochloric or phosphoric acids, or such organic acids as acetic, oxalic, tartaric, mandelic, and the like. Salts formed with the free carboxyl groups can also be derived from inorganic bases such as, for example, sodium, potassium, ammonium, calcium, or ferric hydroxides, and such organic bases as isopropylamine, trimethylamine, histidine, procaine and the like. The carrier can also be a solvent or dispersion medium containing, for example, water, ethanol, polyol (for example, glycerol, propylene glycol, and liquid polyethylene glycol, and the like), suitable mixtures thereof, and vegetables oils. The proper fluidity can be maintained, for example, by the use of a coating, such as lecithin, by the maintenance of the required particle size in the case of dispersion and by the use of surfactants. The prevention of the action of microorganisms can be brought about by various antibacterial and antifungal agents, for example, parabens, chlorobutanol, phenol, sorbic acid, thimerosal, and the like. In many cases, it will be preferable to include isotonic agents, for example, sugars or sodium chloride. Prolonged absorption of the injectable compositions can be brought about by the use in the compositions of agents delaying absorption, for example, aluminium monostearate and gelatin. Sterile injectable solutions are prepared by incorporating the active polypeptides in the required amount in the appropriate solvent with several of the other ingredients enumerated above, as required, followed by filtered sterilization. Generally, dispersions are prepared by incorporating the various sterilized active ingredients into a sterile vehicle which contains the basic dispersion medium and the required other ingredients from those enumerated above. In the case of sterile powders for the preparation of sterile injectable solutions, the preferred methods of preparation are vacuumdrying and freeze-drying techniques which yield a powder of the active ingredient plus any additional desired ingredient from a previously sterile-filtered solution thereof. Upon formulation, solutions will be administered in a manner compatible with the dosage formulation and in such amount as is therapeutically effective. The formulations are easily administered in a variety of dosage forms, such as the type of injectable solutions described above, but drug release capsules and the like can also be employed. For parenteral administration in an aqueous solution, for example, the solution should be suitably buffered if necessary and the liquid diluent first rendered isotonic with sufficient saline or glucose. These particular aqueous solutions are especially suitable for intravenous, intramuscular, subcutaneous and intraperitoneal administration. In this connection, sterile aqueous media which can be employed will be known to those of skill in the art in light of the present disclosure. For example, one dosage could be dissolved in 1 ml of isotonic NaCl solution and either added to 1000 ml of hypodermoclysis fluid or injected at the proposed site of infusion. Some variation in dosage will necessarily occur depending on the condition of the subject being treated. The person responsible for administration will, in any event, determine the appropriate dose for the individual subject.
Combined preparation:
As used herein, the terms “combined treatment”, “combined therapy” or “therapy combination” refer to a treatment that uses more than one medication. The combined therapy may be dual therapy or bi-therapy.
As used herein, the term “administration simultaneously” refers to administration of 2 active ingredients by the same route and at the same time or at substantially the same time. The term “administration separately” refers to an administration of 2 active ingredients at the same time or at substantially the same time by different routes. The term “administration sequentially” refers to an administration of 2 active ingredients at different times, the administration route being identical or different.
As used herein, the term “classical treatment” refers to any compound, natural or synthetic, used for the treatment of cancer.
In a particular embodiment, the classical treatment is chosen among radiation therapy, antibody therapy, immunotherapy or chemotherapy. In a particular embodiment, i) Affitins of the present invention and ii) immunotherapy as a combined preparation according to the invention for simultaneous, separate or sequential use for treating a subject suffering from a cancer.
In a particular embodiment, i) Affitins of the present invention and ii) immunotherapy as a combined preparation according to the invention for simultaneous, separate or sequential use for improving cancer immunotherapy in a subject suffering from a cancer.
As used herein, the term “immunotherapy” has its general meaning in the art and refers to the treatment that consists in administering an immunogenic agent i.e. an agent capable of inducing, enhancing, suppressing or otherwise modifying an immune response. In a particular embodiment, the immunotherapy consists of use of an immune check point inhibitor as described above.
In a particular embodiment, i) the Affitins of the present invention and ii) chemotherapy as a combined preparation according to the invention for simultaneous, separate or sequential use for treating a subject suffering from a cancer.
In a particular embodiment, i) the Affitins of the present invention and ii) chemotherapy as a combined preparation according to the invention for simultaneous, separate or sequential use for improving cancer immunotherapy in a subject suffering from a cancer.
As used herein, the term "chemotherapeutic agent" refers to chemical compounds that are effective in inhibiting tumor growth. Examples of chemotherapeutic agents include multkinase inhibitors such as sorafenib and sunitinib, alkylating agents such as thiotepa and cyclosphosphamide; alkyl sulfonates such as busulfan, improsulfan and piposulfan; aziridines such as benzodopa, carboquone, meturedopa, and uredopa; ethylenimines and methylamelamines including altretamine, triethylenemelamine, trietylenephosphoramide, triethylenethiophosphaorarnide and trimethylolomelamine; acetogenins (especially bullatacin and bullatacinone); a carnptothecin (including the synthetic analogue topotecan); bryostatin; cally statin; CC-1065 (including its adozelesin, carzelesin and bizelesin synthetic analogues); cryptophycins (particularly cryptophycin 1 and cryptophycin 8); dolastatin; duocarmycin (including the synthetic analogues, KW-2189 and CBI-TMI); eleutherobin; pancrati statin; a sarcodictyin; spongistatin; nitrogen mustards such as chlorambucil, chlomaphazine, cholophosphamide, estrarnustine, ifosfamide, mechlorethamine, mechlorethamine oxide hydrochloride, melphalan, novembichin, phenesterine, prednimus tine, trofosfamide, uracil mustard; nitrosureas such as carmustine, chlorozotocin, fotemustine, lomustine, nimustine, ranimustine; antibiotics such as the enediyne antibiotics (e.g. calicheamicin, especially calicheamicin (11 and calicheamicin 211, see, e.g., Agnew Chem Inti. Ed. Engl. 33: 183-186 (1994); dynemicin, including dynemicin A; an esperamicin; as well as neocarzinostatin chromophore and related chromoprotein enediyne antiobiotic chromomophores), aclacinomysins, actinomycin, authramycin, azaserine, bleomycins, cactinomycin, carabicin, canninomycin, carzinophilin, chromomycins, dactinomycin, daunorubicin, detorubicin, 6- diazo-5-oxo-L-norleucine, doxorubicin (including morpholino- doxorubicin, cyanomorpholino-doxorubicin, 2-pyrrolino-doxorubicin and deoxydoxorubicin), epirubicin, esorubicin, idanrbicin, marcellomycin, mitomycins, mycophenolic acid, nogalarnycin, olivomycins, peplomycin, potfiromycin, puromycin, quelamycin, rodorubicin, streptomgrin, streptozocin, tubercidin, ubenimex, zinostatin, zorubicin; anti-metabolites such as methotrexate and 5 -fluorouracil (5-FU); folic acid analogues such as denopterin, methotrexate, pteropterin, trimetrexate; purine analogs such as fludarabine, 6-mercaptopurine, thiamiprine, thioguanine; pyrimidine analogs such as ancitabine, azacitidine, 6-azauridine, carmofur, cytarabine, dideoxyuridine, doxifluridine, enocitabine, floxuridine, 5-FU; androgens such as calusterone, dromostanolone propionate, epitiostanol, mepitiostane, testolactone; anti- adrenals such as aminoglutethimide, mitotane, trilostane; folic acid replenisher such as frolinic acid; aceglatone; aldophospharnide glycoside; aminolevulinic acid; amsacrine; bestrabucil; bisantrene; edatraxate; defo famine; demecolcine; diaziquone; elfornithine; elliptinium acetate; an epothilone; etoglucid; gallium nitrate; hydroxyurea; lentinan; lonidamine; maytansinoids such as maytansine and ansamitocins; mitoguazone; mitoxantrone; mopidamol; nitracrine; pento statin; phenamet; pirarubicin; podophyllinic acid; 2-ethylhydrazide; procarbazine; PSK®; razoxane; rhizoxin; sizofiran; spirogennanium; tenuazonic acid; triaziquone; 2, 2', 2"- trichlorotriethylarnine; trichothecenes (especially T-2 toxin, verracurin A, roridinA and anguidine); urethan; vindesine; dacarbazine; mannomustine; mitobromtol; mitolactol; pipobroman; gacytosine; arabinoside ("Ara-C"); cyclophosphamide; thiotepa; taxoids, e.g. paclitaxel (TAXOL®, Bristol-Myers Squibb Oncology, Princeton, N.].) and doxetaxel (TAXOTERE®, Rhone-Poulenc Rorer, Antony, France); chlorambucil; gemcitabine; 6- thioguanine; mercaptopurine; methotrexate; platinum analogs such as cisp latin and carbop latin; vinblastine; platinum; etoposide (VP- 16); ifosfamide; mitomycin C; mitoxantrone; vincristine; vinorelbine; navelbine; novantrone; teniposide; daunomycin; aminopterin; xeloda; ibandronate; CPT-1 1 ; topoisomerase inhibitor RFS 2000; difluoromethylomithine (DMFO); retinoic acid; capecitabine; and pharmaceutically acceptable salts, acids or derivatives of any of the above. Also included in this definition are antihormonal agents that act to regulate or inhibit honnone action on tumors such as anti-estrogens including for example tamoxifen, raloxifene, aromatase inhibiting 4(5)-imidazoles, 4-hydroxytamoxifen, trioxifene, keoxifene, LY117018, onapristone, and toremifene (Fareston); and anti-androgens such as flutamide, nilutamide, bicalutamide, leuprolide, and goserelin; and pharmaceutically acceptable salts, acids or derivatives of any of the above. Also included in this definition are antimitotic agents such as monomethyl auristatin E (MMAE).
In a particular embodiment, i) the Affitins of the present invention and ii) radiation therapy as a combined preparation according to the invention for simultaneous, separate or sequential use for treating a subject suffering from a cancer.
In a particular embodiment, i) the Affitins of the present invention and ii) radiation therapy as a combined preparation according to the invention for simultaneous, separate or sequential use for improving cancer immunotherapy in a subject suffering from a cancer.
As used herein, the terms “radiation therapy” or “radiotherapy” have their general meaning in the art and refers the treatment of cancer with ionizing radiation. Ionizing radiation deposits energy that injures or destroys cells in the area being treated (the target tissue) by damaging their genetic material, making it impossible for these cells to continue to grow. One type of radiation therapy commonly used involves photons, e.g. X-rays. Depending on the amount of energy they possess, the rays can be used to destroy cancer cells on the surface of or deeper in the body. The higher the energy of the x-ray beam, the deeper the x-rays can go into the target tissue. Linear accelerators and betatrons produce x-rays of increasingly greater energy. The use of machines to focus radiation (such as x-rays) on a cancer site is called external beam radiation therapy. Gamma rays are another form of photons used in radiation therapy. Gamma rays are produced spontaneously as certain elements (such as radium, uranium, and cobalt 60) release radiation as they decompose, or decay. In some embodiments, the radiation therapy is external radiation therapy. Examples of external radiation therapy include, but are not limited to, conventional external beam radiation therapy; three-dimensional conformal radiation therapy (3D-CRT), which delivers shaped beams to closely fit the shape of a tumor from different directions; intensity modulated radiation therapy (IMRT), e.g., helical tomotherapy, which shapes the radiation beams to closely fit the shape of a tumor and also alters the radiation dose according to the shape of the tumor; conformal proton beam radiation therapy; image-guided radiation therapy (IGRT), which combines scanning and radiation technologies to provide real time images of a tumor to guide the radiation treatment; intraoperative radiation therapy (IORT), which delivers radiation directly to a tumor during surgery; stereotactic radiosurgery, which delivers a large, precise radiation dose to a small tumor area in a single session; hyperfractionated radiation therapy, e.g., continuous hyperfractionated accelerated radiation therapy (CHART), in which more than one treatment (fraction) of radiation therapy are given to a subject per day; and hypofractionated radiation therapy, in which larger doses of radiation therapy per fraction is given but fewer fractions.
In a particular embodiment, i) the Affitins of the present invention and ii) immune checkpoint inhibitor as a combined preparation according to the invention for simultaneous, separate or sequential use for treating a subject suffering from a cancer.
In a particular embodiment, i) the Affitins of the present invention and ii) immune checkpoint inhibitor as a combined preparation according to the invention for simultaneous, separate or sequential use for improving cancer immunotherapy in a subject suffering from a cancer.
As used herein, the term "immune checkpoint inhibitor" refers to molecules that totally or partially reduce, inhibit, interfere with or modulate one or more immune checkpoint proteins.
As used herein, the term "immune checkpoint protein" has its general meaning in the art and refers to a molecule that is expressed by T cells in that either turn up a signal (stimulatory checkpoint molecules) or turn down a signal (inhibitory checkpoint molecules) or turn down a signal (inhibitory checkpoint molecules). Immune checkpoint molecules are recognized in the art to constitute immune checkpoint pathways similar to the CTLA-4 and PD-1 dependent pathways (see e.g. Pardoll, 2012. Nature Rev Cancer 12:252-264; Mellman et al., 2011. Nature 480:480- 489). Examples of stimulatory checkpoint include CD27 CD28 CD40, CD122, CD137, 0X40, GITR, and ICOS. Examples of inhibitory checkpoint molecules include A2AR, B7-H3, B7-H4, BTLA, CTLA-4, CD277, IDO, KIR, PD-1, LAG-3, TIM-3 and VISTA. The Adenosine A2A receptor (A2AR) is regarded as an important checkpoint in cancer therapy because adenosine in the immune microenvironment, leading to the activation of the A2a receptor, is negative immune feedback loop and the tumor microenvironment has relatively high concentrations of adenosine. B7-H3, also called CD276, was originally understood to be a co-stimulatory molecule but is now regarded as co-inhibitory. B7-H4, also called VTCN1, is expressed by tumor cells and tumor-associated macrophages and plays a role in tumour escape. B and T Lymphocyte Attenuator (BTLA) and also called CD272, has HVEM (Herpesvirus Entry Mediator) as its ligand. Surface expression of BTLA is gradually downregulated during differentiation of human CD8+ T cells from the naive to effector cell phenotype, however tumor-specific human CD8+ T cells express high levels of BTLA. CTLA-4, Cytotoxic T- Lymphocyte- Associated protein 4 and also called CD 152. Expression of CTLA-4 on Treg cells serves to control T cell proliferation. IDO, Indoleamine 2,3-dioxygenase, is a tryptophan catabolic enzyme. A related immune-inhibitory enzymes. Another important molecule is TDO, tryptophan 2,3-dioxygenase. IDO is known to suppress T and NK cells, generate and activate Tregs and myeloid-derived suppressor cells, and promote tumour angiogenesis. KIR, Killercell Immunoglobulin-like Receptor, is a receptor for MHC Class I molecules on Natural Killer cells. LAG3, Lymphocyte Activation Gene-3, works to suppress an immune response by action to Tregs as well as direct effects on CD8+ T cells. PD-1, Programmed Death 1 (PD-1) receptor, has two ligands, PD-L1 and PD-L2. This checkpoint is the target of Merck & Co.'s melanoma drug Keytruda, which gained FDA approval in September 2014. An advantage of targeting PD- 1 is that it can restore immune function in the tumor microenvironment. TIM-3, short for T-cell Immunoglobulin domain and Mucin domain 3, expresses on activated human CD4+ T cells and regulates Thl and Thl7 cytokines. TIM-3 acts as a negative regulator of Thl/Tcl function by triggering cell death upon interaction with its ligand, galectin-9. VISTA, Short for V-domain Ig suppressor of T cell activation, VISTA is primarily expressed on hematopoietic cells so that consistent expression of VISTA on leukocytes within tumors may allow VISTA blockade to be effective across a broad range of solid tumors. Tumor cells often take advantage of these checkpoints to escape detection by the immune system. Thus, inhibiting a checkpoint protein on the immune system may enhance the anti -turn or T-cell response.
In some embodiments, an immune checkpoint inhibitor refers to any compound inhibiting the function of an immune checkpoint protein. Inhibition includes reduction of function and full blockade. In some embodiments, the immune checkpoint inhibitor could be an antibody, synthetic or native sequence peptides, small molecules or aptamers which bind to the immune checkpoint proteins and their ligands.
In a particular embodiment, the immune checkpoint inhibitor is an antibody. Typically, antibodies are directed against A2AR, B7-H3, B7-H4, BTLA, CTLA-4, CD277, IDO, KIR, PD-1, LAG-3, TIM-3 or VISTA.
In a particular embodiment, the immune checkpoint inhibitor is an anti-PD-1 antibody such as described in WO2011082400, W02006121168, W02015035606, W02004056875, W02010036959, W02009114335, W02010089411, WO2008156712, WO2011110621, WO2014055648 and WO2014194302. Examples of anti-PD-1 antibodies which are commercialized: Nivolumab (Opdivo®, BMS), Pembrolizumab (also called Lambrolizumab, KEYTRUDA® or MK-3475, MERCK).
In some embodiments, the immune checkpoint inhibitor is an anti-PD-Ll antibody such as described in WO2013079174, W02010077634, W02004004771, WO2014195852, W02010036959, WO2011066389, W02007005874, W02015048520, US8617546 and WO2014055897. Examples of anti-PD-Ll antibodies which are on clinical trial: Atezolizumab (MPDL3280A, Genentech/Roche), Durvalumab (AZD9291, AstraZeneca), Avelumab (also known as MSB0010718C, Merck) and BMS-936559 (BMS).
In some embodiments, the immune checkpoint inhibitor is an anti-PD-L2 antibody such as described in US7709214, US7432059 and US8552154.
In the context of the invention, the immune checkpoint inhibitor inhibits Tim-3 or its ligand.
In a particular embodiment, the immune checkpoint inhibitor is an anti-Tim-3 antibody such as described in WO03063792, WO2011155607, WO2015117002, WO2010117057 and W02013006490.
In some embodiments, the immune checkpoint inhibitor is a small organic molecule.
The term "small organic molecule" as used herein, refers to a molecule of a size comparable to those organic molecules generally used in pharmaceuticals. The term excludes biological macro molecules (e. g. proteins, nucleic acids, etc.). Typically, small organic molecules range in size up to about 5000 Da, more preferably up to 2000 Da, and most preferably up to about 1000 Da. Typically, the small organic molecules interfere with transduction pathway of A2AR, B7-H3, B7-H4, BTLA, CTLA-4, CD277, IDO, KIR, PD-1, LAG-3, TIM-3 or VISTA.
In a particular embodiment, small organic molecules interfere with transduction pathway of PD-1 and Tim-3. For example, they can interfere with molecules, receptors or enzymes involved in PD-1 and Tim-3 pathway.
In a particular embodiment, the small organic molecules interfere with Indoleamine-pyrrole 2,3-dioxygenase (IDO) inhibitor. IDO is involved in the tryptophan catabolism (Liu et al 2010, Vacchelli et al 2014, Zhai et al 2015). Examples of IDO inhibitors are described in WO 2014150677. Examples of IDO inhibitors include without limitation 1-methyl-tryptophan (IMT), P- (3-benzofuranyl)-alanine, P-(3-benzo(b)thienyl)-alanine), 6-nitro-tryptophan, 6- fluoro-tryptophan, 4-methyl-tryptophan, 5 -methyl tryptophan, 6-methyl-tryptophan, 5- methoxy-tryptophan, 5 -hydroxy-tryptophan, indole 3-carbinol, 3,3'- diindolylmethane, epigallocatechin gallate, 5-Br-4-Cl-indoxyl 1,3-diacetate, 9- vinylcarbazole, acemetacin, 5- bromo-tryptophan, 5 -bromoindoxyl diacetate, 3- Amino-naphtoic acid, pyrrolidine dithiocarbamate, 4-phenylimidazole a brassinin derivative, a thiohydantoin derivative, a P- carboline derivative or a brassilexin derivative. In a particular embodiment, the IDO inhibitor is selected from 1-methyl-tryptophan, P-(3- benzofuranyl)-alanine, 6-nitro-L-tryptophan, 3- Amino-naphtoic acid and P-[3- benzo(b)thienyl] -alanine or a derivative or prodrug thereof.
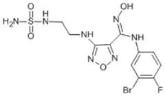
In a particular embodiment, the inhibitor of IDO is Epacadostat, (INCB24360, INCB024360) has the following chemical formula in the art and refers to -N-(3-bromo-4-fluorophenyl)-N'- hydroxy-4-{[2-(sulfamoylamino)-ethyl]amino}-l,2,5-oxadiazole-3 carboximidamide :
Figure imgf000029_0001
In a particular embodiment, the inhibitor is BGB324, also called R428, such as described in
W02009054864, refers to lH-l,2,4-Triazole-3,5-diamine, l-(6,7-dihydro-5H- benzo[6,7]cyclohepta[l,2-c]pyridazin-3-yl)-N3-[(7S)-6,7,8,9-tetrahydro-7-(l-pyrrolidinyl)- 5H-benzocyclohepten-2-yl]- and has the following formula in the art:
Figure imgf000030_0001
In a particular embodiment, the inhibitor is CA-170 (or AUPM-170): an oral, small molecule immune checkpoint antagonist targeting programmed death ligand- 1 (PD-L1) and V-domain Ig suppressor of T cell activation (VISTA) (Liu et al 2015). Preclinical data of CA-170 are presented by Curis Collaborator and Aurigene on November at ACR-NCI-EORTC International Conference on Molecular Targets and Cancer Therapeutics.
In some embodiments, the immune checkpoint inhibitor is an aptamer.
Typically, the aptamers are directed against A2AR, B7-H3, B7-H4, BTLA, CTLA-4, CD277, IDO, KIR, PD-1, LAG-3, TIM-3 or VISTA.
In a particular embodiment, aptamers are DNA aptamers such as described in Prodeus et al 2015. A major disadvantage of aptamers as therapeutic entities is their poor pharmacokinetic profiles, as these short DNA strands are rapidly removed from circulation due to renal filtration. Thus, aptamers according to the invention are conjugated to with high molecular weight polymers such as polyethylene glycol (PEG). In a particular embodiment, the aptamer is an anti-PD-1 aptamer. Particularly, the anti-PD-1 aptamer is MP7 pegylated as described in Prodeus et al 2015.
Pharmaceutical composition:
The Affitins for use according to the invention combined with classical treatment as described above may be combined with pharmaceutically acceptable excipients, and optionally sustained- release matrices, such as biodegradable polymers, to form pharmaceutical compositions. A further object of the present invention relates to a pharmaceutical composition comprising the Affitins of the present invention for use in the treatment of cancer.
In a particular embodiment, the pharmaceutical composition according to the invention comprising i) the Affitins of the present invention and ii) a classical treatment, as a combined preparation for use in the treatment of cancer.
In a particular embodiment, the pharmaceutical composition according to the invention comprising i) the Affitins of the present invention and ii) a classical treatment, as a combined preparation for use in a method for improving cancer immunotherapy.
The Affitins of the present invention as described above may be combined with pharmaceutically acceptable excipients, and optionally sustained-release matrices, such as biodegradable polymers, to form pharmaceutical compositions. "Pharmaceutically" or "pharmaceutically acceptable" refer to molecular entities and compositions that do not produce an adverse, allergic or other untoward reaction when administered to a mammal, especially a human, as appropriate. A pharmaceutically acceptable carrier or excipient refers to a non-toxic solid, semi-solid or liquid filler, diluent, encapsulating material or formulation auxiliary of any type. The pharmaceutical compositions of the present invention for oral, sublingual, subcutaneous, intramuscular, intravenous, transdermal, local or rectal administration, the active principle, alone or in combination with another active principle, can be administered in a unit administration form, as a mixture with conventional pharmaceutical supports, to animals and human beings. Suitable unit administration forms comprise oral-route forms such as tablets, gel capsules, powders, granules and oral suspensions or solutions, sublingual and buccal administration forms, aerosols, implants, subcutaneous, transdermal, topical, intraperitoneal, intramuscular, intravenous, subdermal, transdermal, intravitreal administration, intrathecal and intranasal administration forms and rectal administration forms. Typically, the pharmaceutical compositions contain vehicles which are pharmaceutically acceptable for a formulation capable of being injected. These may be in particular isotonic, sterile, saline solutions (monosodium or disodium phosphate, sodium, potassium, calcium or magnesium chloride and the like or mixtures of such salts), or dry, especially freeze-dried compositions which upon addition, depending on the case, of sterilized water or physiological saline, permit the constitution of injectable solutions. The pharmaceutical forms suitable for injectable use include sterile aqueous solutions or dispersions; formulations including sesame oil, peanut oil or aqueous propylene glycol; and sterile powders for the extemporaneous preparation of sterile injectable solutions or dispersions. In all cases, the form must be sterile and must be fluid to the extent that easy syringability exists. It must be stable under the conditions of manufacture and storage and must be preserved against the contaminating action of microorganisms, such as bacteria and fungi. Solutions comprising compounds of the invention as free base or pharmacologically acceptable salts can be prepared in water suitably mixed with a surfactant, such as hydroxypropylcellulose. Dispersions can also be prepared in glycerol, liquid polyethylene glycols, and mixtures thereof and in oils. Under ordinary conditions of storage and use, these preparations contain a preservative to prevent the growth of microorganisms. The polypeptide (or nucleic acid encoding thereof) can be formulated into a composition in a neutral or salt form. Pharmaceutically acceptable salts include the acid addition salts (formed with the free amino groups of the protein) and which are formed with inorganic acids such as, for example, hydrochloric or phosphoric acids, or such organic acids as acetic, oxalic, tartaric, mandelic, and the like. Salts formed with the free carboxyl groups can also be derived from inorganic bases such as, for example, sodium, potassium, ammonium, calcium, or ferric hydroxides, and such organic bases as isopropylamine, trimethylamine, histidine, procaine and the like. The carrier can also be a solvent or dispersion medium containing, for example, water, ethanol, polyol (for example, glycerol, propylene glycol, and liquid polyethylene glycol, and the like), suitable mixtures thereof, and vegetables oils. The proper fluidity can be maintained, for example, by the use of a coating, such as lecithin, by the maintenance of the required particle size in the case of dispersion and by the use of surfactants. The prevention of the action of microorganisms can be brought about by various antibacterial and antifungal agents, for example, parabens, chlorobutanol, phenol, sorbic acid, thimerosal, and the like. In many cases, it will be preferable to include isotonic agents, for example, sugars or sodium chloride. Prolonged absorption of the injectable compositions can be brought about by the use in the compositions of agents delaying absorption, for example, aluminium monostearate and gelatin. Sterile injectable solutions are prepared by incorporating the active polypeptides in the required amount in the appropriate solvent with several of the other ingredients enumerated above, as required, followed by filtered sterilization. Generally, dispersions are prepared by incorporating the various sterilized active ingredients into a sterile vehicle which contains the basic dispersion medium and the required other ingredients from those enumerated above. In the case of sterile powders for the preparation of sterile injectable solutions, the preferred methods of preparation are vacuum-drying and freeze-drying techniques which yield a powder of the active ingredient plus any additional desired ingredient from a previously sterile-filtered solution thereof. Upon formulation, solutions will be administered in a manner compatible with the dosage formulation and in such amount as is therapeutically effective. The formulations are easily administered in a variety of dosage forms, such as the type of injectable solutions described above, but drug release capsules and the like can also be employed. For parenteral administration in an aqueous solution, for example, the solution should be suitably buffered if necessary and the liquid diluent first rendered isotonic with sufficient saline or glucose. These particular aqueous solutions are especially suitable for intravenous, intramuscular, subcutaneous and intraperitoneal administration. In this connection, sterile aqueous media which can be employed will be known to those of skill in the art in light of the present disclosure. For example, one dosage could be dissolved in 1 ml of isotonic NaCl solution and either added to 1000 ml of hypodermoclysis fluid or injected at the proposed site of infusion. Some variation in dosage will necessarily occur depending on the condition of the subject being treated. The person responsible for administration will, in any event, determine the appropriate dose for the individual subject.
Immunoconjugates:
The Affitins of the invention can be conjugated with a detectable label to form an anti-MSLN immunoconjugate. Suitable detectable labels include, for example, a radioisotope, a fluorescent label, a chemiluminescent label, an enzyme label, a bioluminescent label or colloidal gold. Methods of making and detecting such detectably-labeled immunoconjugates are well-known to those of ordinary skill in the art, and are described in more detail below. The detectable label can be a radioisotope that is detected by autoradiography. Isotopes that are particularly useful for the purpose of the invention are3H,125I,1311,35S,89Zr,64Cu and14C.
In some embodiments, the Affitins of the present invention are conjugated to a therapeutic moiety, i.e. a drug. The therapeutic moiety can be, e.g., a cytotoxin, a chemotherapeutic agent, a cytokine, an immunosuppressant, an immune stimulator, a lytic peptide, or a radioisotope.
In some embodiments, the Affitins of the present are conjugated to a radioisotope or to a radioisotope-containing chelate. For example, the Affitins can be conjugated to a chelator linker, e.g. DOTA, DTPA or tiuxetan, which allows for the antibody to be complexed with a radioisotope. The Affitins may also or alternatively comprise or be conjugated to one or more radiolabeled amino acids or other radiolabeled molecules. Non-limiting examples of radioisotopes include3H,14C,15N,35S,90Y, "Tc,125I,131I,186Re,213Bi,225 Ac and227Th. For therapeutic purposes, a radioisotope emitting beta- or alpha-particle radiation can be used, e.g.,1311,90Y,211At,212Bi,67Cu,186Re,188Re, and212Pb.
Anti-MSLN immunoconjugates can also be labeled with a fluorescent compound. The presence of a fluorescently-labeled Affitins is determined by exposing the immunoconjugate to light of the proper wavelength and detecting the resultant fluorescence. Fluorescent labeling compounds include fluorescein isothiocyanate, rhodamine, phycoerytherin, phycocyanin, allophycocyanin, o-phthaldehyde and fluorescamine.
Alternatively, anti-MSLN immunoconjugates can be detectably labeled by coupling an affitin to a chemiluminescent compound. The presence of the chemiluminescent-tagged immunoconjugate is determined by detecting the presence of luminescence that arises during the course of a chemical reaction. Examples of chemiluminescent labeling compounds include luminol, isoluminol, an aromatic acridinium ester, an imidazole, an acridinium salt and an oxalate ester.
Similarly, a bioluminescent compound can be used to label anti-MSLN immunoconjugates of the invention. Bioluminescence is a type of chemiluminescence found in biological systems in which a catalytic protein increases the efficiency of the chemiluminescent reaction. The presence of a bioluminescent protein is determined by detecting the presence of luminescence. Bioluminescent compounds that are useful for labeling include luciferin, luciferase and aequorin.
Alternatively, anti-MSLN immunoconjugates can be detectably labeled by linking an anti- MSLN affitin to an enzyme. When the anti-MSLN-enzyme conjugate is incubated in the presence of the appropriate substrate, the enzyme moiety reacts with the substrate to produce a chemical moiety which can be detected, for example, by spectrophotometric, fluorometric or visual means. Examples of enzymes that can be used to detectably label polyspecific immunoconjugates include P-galactosidase, glucose oxidase, peroxidase and alkaline phosphatase.
Those of skill in the art will know of other suitable labels which can be employed in accordance with the invention. The binding of marker moieties to anti-MSLN affitins can be accomplished using standard techniques known to the art. Typical methodology in this regard is described by Kennedy et al., Clin. Chim. Acta 70: 1, 1976; Schurs et al, Clin. Chim. Acta 81: 1, 1977; Shih et al., Int'l J. Cancer 46: 1101, 1990; Stein et al, Cancer Res. 50:1330, 1990; and Coligan, supra.
Moreover, the convenience and versatility of immunochemical detection can be enhanced by using anti-MSLN affitins that have been conjugated with avidin, streptavidin, and biotin. (See, e.g., Wilchek et al. (eds.), “Avidin-Biotin Technology,” Methods In Enzymology (Vol. 184) (Academic Press 1990); Bayer et al., “Immunochemical Applications of Avidin-Biotin Technology,” in Methods In Molecular Biology (Vol. 10) 149-162 (Manson, ed., The Humana Press, Inc. 1992).)
N7 N13, N18 andN23 tetramers
In some embodiment, the Affitins of the present invention are tetramerized with A647- streptavidin.
As used herein, the term “tetramers” refer to biotinylated affitins coupled with streptavidin. There are 4 biotin binding sites per streptavidin, hence the name tetramer.
Diagnostic uses :
A further aspect of the invention relates to an anti-MSLN Affitins of the invention for diagnosing and/or monitoring a cancer disease and other diseases in which MSLN levels are modified (increased or decreased).
In a preferred embodiment, Affitins of the invention may be labelled with a detectable molecule or substance, such as a fluorescent molecule, a radioactive molecule or any others labels known in the art as above described. For example, an Affitin of the invention may be labelled with a radioactive molecule by any method known to the art. For example, radioactive molecules include but are not limited radioactive atom for scintigraphic studies such as I123, I124, Ini11, Re186, Re188. Affitins of the invention may be also labelled with a spin label for nuclear magnetic resonance (NMR) imaging (also known as magnetic resonance imaging, MRI), such as123I,131I,i nIn,13F,13C,15N,17O, gadolinium, manganese or iron. Following administration of the Affitins, the distribution of the Affitins within the patient is detected. Methods for detecting distribution of any specific label are known to those skilled in the art and any appropriate method can be used. Some non-limiting examples include, computed tomography (CT), position emission tomography (PET), magnetic resonance imaging (MRI), fluorescence, chemiluminescence and sonography.
Affitins of the invention may be useful for diagnosing and staging of cancers diseases associated with MSLN variable expression.
Typically, said diagnostic methods involve the use of a biological sample obtained from the patient.
As used herein the term "biological sample" encompasses a variety of sample types obtained from a subject and can be used in a diagnostic or monitoring assay. Biological samples include but are not limited to blood and other liquid samples of biological origin, solid tissue samples such as a biopsy specimen or tissue cultures or cells derived therefrom, and the progeny thereof. For example, biological samples include cells obtained from a tissue sample collected from an individual suspected of having a cancer disease associated with MSLN variable expression, and in a preferred embodiment from malignant pleural mesothelioma.
Therefore, biological samples encompass clinical samples, cells in culture, cell supernatants, cell lysates, serum, plasma, biological fluid, and tissue samples.
The invention will be further illustrated by the following figures and examples. However, these examples and figures should not be interpreted in any way as limiting the scope of the present invention.
FIGURES:
Figure 1: Characterization of the affinity of the most promising anti-mesothelin Affitins and simulation. A) The capacity of N7, N13, N18 and N23 Affitins to bind to human recombinant mesothelin fragment 302-359 was assessed by surface plasmon resonance and are presented as adjusted sensorgrams. The affinity constants obtained, calculated with the Langmuir model, are displayed in the table in (B). Figure 2: Dimerization of N13 Affitin drastically improves its specific binding to cellular mesothelin. A) A homodimer of the N13 Affitin was produced and its capacity to bind to human recombinant mesothelin fragment 302-359 was assessed by surface plasmon resonance. The affinity constants obtained, calculated with the bivalent model, are displayed in the table in (B). C-D) Meso34 (MSLN-) and Meso34-MSLN (MSLN+) were stained with a concentration range of N13 monomer or dimer and N13 binding was quantified by flow cytometry. Results are displayed as ratios of median intensities of fluorescence (RMFI) of the samples normalized on median intensity of fluorescence of the secondary antibody alone. E) N13 dimer was diluted at 1 pM in culture medium and a flow of this solution was applied for several times on cocultures of fluorescent Meso34-MSLN cancer cells (MSLN+), non- fluorescent human fibroblasts and non-fluorescent human endothelial cells. Nuclei were stained with Draq5, endothelial cells were revealed with von Willebrand Factor (vWF) staining after fixation and specificity of binding of the dimer was assessed by confocal microscopy (x60 obj). The graphic in (E) displays the quantification of the colocalization between the N13 dimer signal and the Meso34-MSLN-BFP signal. Scale bar = 20 pm.
Figure 3: N13 and N13 dimer are very thermostable proteic scaffolds. A) The capacity of the N13 Affitin and its homodimer dimer to compete with the MORAb-009 therapeutic antibody for their binding to human recombinant mesothelin fragment 302-359 was assessed by surface plasmon resonance. A first injection of a MORAb-009 solution was followed by a second injection of a mixed solution containing MORAb-009 and either the N13 monomer or the N13 dimer. B) The thermal stability of the N13 monomer or dimer and of the MORAb-009 therapeutic antibody was assessed with the nanoDSF technology. NanoDSF, derivatives and scattering curves are presented in (B).
EXAMPLE:
Material & Methods
Protein productions
All proteins, except VHH Al, were expressed in the cytoplasm of Escherichia coli (E. coli). After purification, the homogeneity and size of proteins were evaluated by sodium dodecyl sulfate-polyacrylamide gel electrophoresis (SDS-PAGE) on a 15 % gel. The concentrations of proteins were determined by measurement of the OD280 of the protein solutions (Data not shown . All proteins were aliquoted and stored in PBS pH7.4 at -80°C. a) Production of the biotinylated N-terminal fragment of mesothelin
The synthetic sequence (GeneCust) corresponding to the N-terminal 302-359 fragment of human mesothelin (hMSLN302'359) was inserted in the pFP1312 plasmid via BamHI and Hindlll restriction sites. This plasmid is derived from the pQe30 vector (Qiagen) and enables the expression of proteins fused to an AviTag and a hexa histidine tag at their C-terminal. This plasmid was used to transform the E. coli Origami B strain containing the plasmid pBirA, and hMSLN302-359 was produced as previously described with some modifications22. Briefly, 1 L of 2YT medium containing 100 pg/mL ampicillin, 25 pg/mL kanamycin, 50 pg/mL tetracycline, 50 pM biotin and 0.1% glucose was inoculated with 20 mL of an overnight starter culture. The culture was grown at 37°C to an OD600 of 0.8 and isopropyl P-D-l- thiogalactopyranoside was added to a final concentration of 0.5 mM. After 16 h of incubation at 30°C, bacteria were harvested by centrifugation and lysed by using an Emulsiflex C3 (Avestin) in a buffer A containing 25 mM Tris, pH 7.5, 150 mM NaCl, 10 % glycerol, 20 mM imidazole, 5 pg/mL DNAse I and one tablet of EDTA-free protease inhibitor cocktail (Roche). The bacteria lysate was centrifuged at 12000 g for 30 min and the supernatant was loaded on a 1 mL column packed with a Ni-NTA resin (Cytiva) equilibrated with buffer A to capture the his-tagged hMSLN302-359. The column was washed with buffer A and the protein was eluted with buffer A containing 250 mM imidazole. The protein was additionally purified by sizeexclusion chromatography on a Superdex 75 gel filtration column (Cytiva) with running buffer PBS pH 7.4. b) Production of Affitins
The nucleotide sequences of Affitins were synthetized (GeneCust) and inserted via BamHI and Hindlll restriction sites in the pFPlOOl plasmid23, a derivate of the pQe30 vector (Qiagen) encoding proteins fused to a RGS-hexa histidine tag at their N-terminal and including two 3' stop codons to ensure correct translation termination even in suppressive E. coli strains. The Affitins were also sub-cloned into the pFP1301 plasmid via BamHI and Hindlll restriction sites. The pFP1301 plasmid is derived from the pFPlOOl vector and expresses proteins fused with a RGS-hexa histidine tag at their N-terminal and an AviTag at their C-terminal to allow their in vivo biotinylation. The homodimeric version of the N13 Affitin was built by connecting two N13 Affitins with a sequence encoding a linker from the human muscular aldolase (HMA linker)24. The resulting sequence was inserted in the pFP1301 plasmid via BamHI and Hindlll restriction sites. These plasmids were used to transform the E. coli DH5a Iq strain (containing the plasmid pBirA when biotinylation was desired), and the Affitins were expressed and purified as described previously18 using a Ni-NTA resin and size-exclusion chromatography on a Superdex 75 gel filtration column equilibrated with PBS 7.4. c) Production of the VHH Al
The nucleotide sequence of the VHH Al25 was synthetized (GeneCust) and inserted via BamHI and Hindlll restriction sites in pFP4101 plasmid, a derivate of the pl 001 vector enabling the expression of proteins in the periplasm of E. coli thanks to a dsb A leader sequence and inserting an hexa histidine tag at their N-terminal. This plasmid was used to transform the E. coli DH5a Iq strain and the expression of the VHH Al was induced with 0.5 mM IPTG at 25°C for 64 h. Bacteria were harvested by centrifugation and the pellet was resuspended in ice-cold buffer (TES, 0.2 M Tris pH 8, 0.5 mM EDTA, 0.5 M sucrose). After a four folds dilution with ice- cold water to induce an osmotic choc, the bacterial suspension was incubated for 30 min on ice with gentle agitation. The concentrations of NaCl and Imidazole were adjusted to 500 mM and 20 mM, respectively. After centrifugation at 8500 g for 40 min at 4°C, the VHH Al contained in the periplasmic extract was purified using a Ni-NTA resin and size-exclusion chromatography on a Superdex 75 gel filtration column equilibrated with PBS 7.4.
Selection of mesothelin-specific binders by ribosome display
The biotinylated extracellular domain of human recombinant mesothelin (hMSLN) (R&D Systems) and the biotinylated N-terminal fragment of mesothelin (302-359 residues) produced as described above were used for the selection of Affitins by ribosome display. These two proteins were used alternatively from round to round in order to drive the selection towards the region of mesothelin recognized by both the monoclonal antibody MORAb-00922 and the VHH Al25. Selections were carried-out at 4°C using the in vitro translated libraries of Affitins L5 and L6 as described in18;26 with a few modifications concerning target presentation and the way the selected mRNAs were eluted. Briefly, 140 pL of translation mix27 were incubated for 1 h at 4°C with shaking to allow binding of the Affitins-ribosome-mRNA ternary complexes to the target presented as follows. The first and third rounds of selection were performed using Dynabeads M270-Epoxy beads (25 pL) (Invitrogen) on which hMSLN was immobilized according to instructions provided by the manufacturer. For the second and fourth rounds of selection, biotinylated hMSLN302'359 was used in solution at a concentration of 200 nM and 10 nM, respectively, and Affitins-ribosome-mRNA ternary complexes were captured using 50 pL of StreptaDivin beads (Ademtech) for 15 min with shaking. Prior the selection, the translation mix was pre-incubated with the corresponding beads in the absence of the target for 1 h and transferred to a new tube to get rid of bead-specific binders. Six washes for rounds 1 & 2, and eight washes for rounds 3 and 4, were performed using washing buffer (WBT, 50 mM Tris-acetate pH 7.4, 150 mM NaCl, 50 mM Magnesium acetate, 0.1% (v/v) Tween-20) to remove unbound complexes. For the first two rounds of selection, selected mRNAs were eluted using 200 pL of elution buffer (EB, 50 mM Tris-acetate pH 7.4, 150 mM NaCl, 20 mM ethylenediaminetetraacetic acid (EDTA)) to dissociate ribosomes for 10 min with shaking. For the third and fourth rounds, selected mRNA were eluted using either the EB buffer, or the VHH Al at 10 pM (16 h with shaking) to specifically recover Affitins bound to the fragment recognized by Al. In order to obtain DNA from eluted mRNAs, a RT-PCR was performed at the end of the first round as follows: an initial denaturation step at 98°C for 30 s, followed by 35 cycles of 10 s at 98°C, 30 s at 61°C, and 10 s at 72°C with a final elongation step of 5 min at 72°C. For the following rounds, the number of cycles were as follows: 30 cycles for round 2, for round 3 when elution was performed with EB and for round 4 when elution was performed with Al or 35 cycles for round 3 when elution was performed with Al, and 25 cycles for round 4 when elution was performed with EB. The primers used for the RT-PCR were RDV2.1-F3 (5'-GATGACGATGACAAAGGATCC-3' - SEQ ID NO: 6) and AGl-link-R (5'- GAATTCGGCCCCCGAGGCCATATAAAGC-3' - SEQ ID NO: 7).
Enzyme-linked immunosorbent assay (ELISA)
Maxisorp plates (Thermo Fisher Scientific) were coated with either 100 pL of 2 pg/mL recombinant human mesothelin (R&DSystems, 3265-MS) or 66 pM neutravidin (Thermo Fisher Scientific) and blocked with 300 pL of PBS-0.5% bovine serum albumin (BSA) (Sigma Aldrich). Biotinylated recombinant human 302-359 mesothelin fragment (100 pL per well at 150 nM) was added in each well of the plate previously coated with neutravidin. For the BSA control plate, the Maxisorp was only coated with 100 pL of PBS-0.5% BSA. After a blocking step with PBS-0,5% BSA, 100 pL of biotinylated purified Affitins were added to the wells at a final concentration of 1 pM and the revelation was performed with a horseradish peroxidase (HRP)-streptavidin conjugate (Thermo Fisher Scientific). Optical density at 450 nm was acquired on a spectrophotometer. All steps were performed at room temperature with 1 h of incubation in 100 pL PBS pH 7.4 and washes were performed with PBS pH 7.4 containing 0.1 % Tween 20 (Thermo Fisher Scientific). Next Generation Sequencing and clusterization
To prepare samples for NGS sequencing, each pool of DNA sequences obtained after selection were treated as follows. A PCR was performed using adapter primers NGS_RDV2_H5_Fint (5’-
TCGTCGGCAGCGTCAGATGTGTATAAGAGACAGATCCGCGACCAAAGTAAAATT C-3’ - SEQ ID NO: 8) and NGS_RDV2_H5_Rint (5’-
GTCTCGTGGGCTCGGAGATGTGTATAAGAGACAGAGCTTCAGTTTCTCCAGCAG- 3’ - SEQ ID NO: 9), 5 ng of DNA and 1 U of Phusion polymerase in presence of 4 % of DMSO: an initial denaturation step at 98°C for 30 s was followed by 20 cycles of PCR of 98°C for 10 s, 66°C for 30 s, 72°C for 10 s and a final elongation step of 72°C for 5 min. The amplified DNA was purified with Promega Wizard SV Gel and PCR Clean-up kit and the concentration of the purified PCR product was estimated by UV absorbance measurement. The homogeneity of the products was controlled on a 1.5 % agarose gel. A second PCR was then realized to add Nextera adapters (Illumina). Amplicons were validated on a DNA1000 bioanalyzer (Agilent) and quantification was done by qPCR. Amplicons were finally sequenced on a MiSeq 300 cycles Micro v2 (PEI 50), obtaining on average one million paired-end reads per sample.
DNA sequences sequenced from the different selection tours were first pooled and translated into protein sequences. Sequences containing an internal stop codon were considered as contaminant and removed from the analysis. This step removed between 20 and 30 percent of DNA sequences depending on the selection round. Redundant sequences were also removed. Then, a consensus sequence was calculated as the sequence with the lower distance to the whole dataset according to the Grantham matrix28. The Grantham matrix was chosen because it is a simple matrix that quantifies the difference between two amino acids according to their composition, polarity, and molecular volume. Each amino acid for each unique sequence was translated into a number corresponding to their distance to the consensus sequence according to the Grantham matrix. Dimensionality reduction was then performed by principal component analysis (PCA) to speed up further clustering. Clustering was performed using density-based spatial clustering of applications with noise (DBSCAN) algorithm with the a value set as 10 and the minimum sample set as 250. We obtained 82 clusters of sequences, for which a consensus sequence was then calculated. For feasibility reasons, we arbitrarily chose 25 Affitin sequences (N1 to N25), representative of the diversity of clusters, for protein production and in vitro characterization. Two previously experimentally isolated Affitins (N26 and N27) were also added to the 25 selected sequences. All bioinformatic analysis were performed using python 3.8.5 and usual scientific packages. Logo representation was obtained with logomaker29. Source code with graphic interface is available on GitHub.
Cell culture
Meso34 malignant pleural mesothelioma (MPM) cell line was established from the pleural effusion (PE) of a patient in our laboratory30. This cell line belongs to a validated biocollection (Ministere de 1’Enseignement Superieur et de la Recherche n° DC-2011-1399 and Commission Nationale de 1’Informatique et des Libertes (CNIL) n°: 1657097). The stable Meso34-MSLN cell line was obtained by transduction of Meso34 cells with a human mesothelin (MSLN) encoding lentivirus. MSLN overexpressing Meso34 cells were then sorted by flow cytometry and amplified for the experiments. Meso34-MSLN were further transduced with another lentivirus to enable stable expression of BFP for the coculture experiments. HFF-2 human foreskin fibroblasts were purchased from the ATCC and cultivated in DMEM medium (Gibco) supplemented with 2 mM L-glutamine, 100 lU/mL penicillin, 0.1 mg/mL streptomycin and 10% heat-inactivated fetal calf serum (Gibco). Primary human umbilical vein endothelial cells (HUVEC) were isolated in the lab from human umbilical cords and maintained in EGM2 medium (Promocell) supplemented with 0.02 mL/mL fetal calf serum, 5 ng/mL epidermal growth factor, 10 ng/mL basic fibrob.last growth factor, 20 ng/mL insulin-like growth factor, 0.5 ng/mL vascular endothelial growth factor 165, 1 pg/mL ascorbic acid, 22.5 pg/mL heparin and 0.2 pg/mL hydrocortisone (all from Promocell). All cells were cultivated at 37°C in a 5% CO2 atmosphere.
Flow cytometry
All stainings were performed in PBS-0.1% BSA. a) Screening of the tetramers
Affitins were tetramerized on A647-streptavidin (ThermoFisher Scientific, S21374) by incubation of the fluorescent streptavidin with a 50-fold molar excess of each Affitin for 30 min at room temperature under shaking. Meso34 and Meso34-MSLN cells were stained in suspension with 80 nM of the A647- Affitin tetramers for 30 min at 4°C. Cells were then washed twice and analyzed on a BD FACSCanto II. b) N13 monomer, N13 dimer and MQRAb-009 staining of Meso34 and Meso34-MSLN cells
Meso34 and Meso34-MSLN cells were stained in suspension with a concentration range of N13 dimer or N13 monomer for 30 min at 4°C. Cells were washed twice with PBS and the dimer was revealed by incubation with 1 pg/mL of an anti-6X His Tag-PE antibody (Abeam ab72467) for 30 min at 4°C. The monomer was revealed with 4 pg/mL streptavidin-PE (Thermo Fisher scientific, 12-4317-87) for 30 min at 4°C. For staining with the MORAb-009, Meso34-MSLN cells were stained in suspension with a concentration range of the MORAb-009 antibody (Proteogenix PX-TA1049) for 30 min at 4°C. Cells were washed twice with PBS and the MORAb-009 was revealed by incubation with 1 pg/mL of dylight 488-conjugated goat antihuman IgG Fc antibody (Thermofisher Scientific SA5-10134) for 30 min at 4°C. For all conditions cells were washed twice again with PBS and analyzed on a BD FACSCanto II. The half maximal effective concentration (EC50) was calculated with the PRISM software (nonlinear "one binding site" regression).
Surface Plasmon Resonance a) Kinetics analysis
The biosensor used in this study was a Biacore T200 instrument (GE Healthcare). CM5 research grade sensor chips (carboxymethyl-dextran surface) and HBS-EP (0.01 M HEPES, pH 7.4, 0.15 M NaCl, 0.005% (v/v) surfactant P20, 3 mM EDTA) running buffer were also purchased from GE Healthcare. Recombinant human 302-359 mesothelin fragment was coupled at approximatively 700 RU on the carboxymethyl-dextran surface of a CM5 chip following the standard amine coupling protocol. N7, N13, N18, N23 Affitins, N13 dimer were diluted in HBS-EP buffer at concentrations ranging from 12.5 to 200 nM and injected on the mesothelin- coated chip in a Single Cycle Kinetics mode (SCK). Flow rate was set up at 30 pL/min and association and dissociation were allowed for 2 and 10 min, respectively. A 10 mM NaOH solution was injected over the chip for 30 s for regeneration between each cycle. Rmax value (RU), k on (M1 • s '), k off (s '), and ADS (M) were calculated from kinetic sensorgrams using the Langmuir model (for Affitin monomers and the VHH Al) or the Bivalent model (for the MORAb-009, the N13 dimer) adapted for SCK analysis with the Biacore T200 Biaevaluation Software 3.1. b) Pair- wise fragment mapping Pair-wise fragment mapping was performed on a CM5 chip functionalized with recombinant human 302-359 mesothelin fragment as described above (level of immobilization: 700 RU). The measurements were carried out at 25°C with a 30 pL/min flow rate using the Dual Inject method. Briefly, a first injection of a 100 nM solution of MORAb-009 antibody for 2 minutes was followed by a 2-minute second injection of a mixed solution containing 100 nM of MORAb-009 antibody and either 500 nM of N13 monomer or 500 nM of N13 dimer. Finally, after one minute of dissociation of the complexes, a regeneration step was enabled by a 30 s pulse injection of regeneration solution (lOmM NaOH) to remove the captured proteins.
Confocal microscopy a) N13 and N 18 tetramers
Affitins were tetramerized on A647-streptavidin (ThermoFisher scientific S21374) by incubation of the fluorescent streptavidin with a 50-fold molar excess of each monomeric Affitin for 30 min at room temperature under shaking. Meso34-MSLN-BFP cells were seeded with non-fluorescent Meso34 cells (50:50 ratio) in 6 channels p-Slide VI 0.4 IbidiTreat flow slides at 25 000 total cells/channel in 200 pL of the appropriate medium and incubated over night at 37°C in a 5% CO2 atmosphere. The next day, a 20 nM solution of N13 or N18 fluorescent Affitin-tetramers diluted in complete RPMI medium was either used to stain the static conditions or applied for 10 min at room temperature on the culture at a 10 pL/min flow rate. Cells were then washed twice with PBS, fixed with 4% paraformaldehyde for 20 min, stained with 5 U/mL A488-phalloidin (Invitrogen A12379) in PBS-BSA 1%-Triton 0.5% for 10 min at room temperature and observed on a confocal SIM microscope with a x60 objective. b) N13 dimer
Meso34-MSLN-BFP cells were seeded with non-fluorescent HFF-2 and HUVEC cells (40:30:30 ratio) in 6 channels p-Slide VI 0.4 IbidiTreat flow slides at 35 000 total cells/channel in 200 pL of HUVEC culture medium and incubated over night at 37°C in a 5% CO2 atmosphere. The next day, a 1 pM solution of N13 dimer diluted in HUVEC medium was applied on the cultures for 10 or 20 min at room temperature at a 10 pL/min or 20 pL/min flow rate. Cells were then washed twice with PBS, fixed with 4% paraformaldehyde for 20 min and the dimer was revealed by incubation with 2,5 pg/mL of an anti-AviTag antibody (Genscript A01738) and with 2 pg/mL of a goat anti-mouse-A488 antibody (Invitrogen Al 1029) for 30 min at 4°C for each. Endothelial cells were stained with 1 pg/mL of an anti-Von Willebrand Factor antibody (Abeam ab6994) and 2 pg/mL of a goat anti -rabbit- A549 antibody (Molecular probes 8889S) for 30 min at 4°C for each. DRAQ 5 (Thermo Scientific 62251) was added at 5 pM to the cultures for 5 min at room temperature before cells were finally washed twice and observed on a Confocal Nikon SIM microscope with a x60 objective.
Structure prediction and docking a) Homology modeling of N13 and N18 Affitins
Structure comparative search programs (Fasta, Blast) were used to select structure templates according to e-value criterion. Sequence alignment of selected templates with the sequence of N13 and N18 Affitins was first generated using Clustal Omega multiple sequence alignment program (https://www.ebi.ac.uk/Tools/msa/clustalo/) and manually optimized. Homology modeling of the N13 Affitin was performed with Modeler implemented under Discovery Studio (DS) (Dassault Systemes BIO VIA Release 2020, San Diego) in the protocol « Build Homology Models » and using X-ray crystallographic structures of DNA-binding protein 7d from Sulfolobus acidocaldarius and Saccharolobus solfataricus, DNA-binding protein 7a from Saccharolobus solfataricus and H3 Affitin extracted from the crystal structure of CelD/Affitin H3 complex (PDB codes 1AZP, 1C8C, 6BQA and 4CJ1 respectively). The best model, according to the lower Probalility Density Functions (PDF) Total Energy, was retained and three loops (residues 8-13, 27-34 and 40-45) were refined using the « Loop Refinement (MODELER) » protocol under DS. Based on sequence alignment, the structure model of the N18 Affitin was then obtained by homology modeling using the model of the N13 Affitin (residues 2-22 and 39-65) and the structure templates (residues 23-38). One loop (residues 27- 34) of the N18 Affitin was then refined. For both generated models, a side-chain refinement was performed using the « Side-Chain Refinement » protocol under DS. The models were checked using « Verify Protein (Profiles-3D) » protocol under DS and Procheck program (http://www.ebi.ac.uk/thornton-srv/databases/pdbsum/Generate.html) and the structure with the best stereochemical and folding qualities was retained for each Affitin. Both retained models were cleaned and prepared using « Clean Protein » and « Prepare Protein » tools under DS. A series of energy minimizations was then carried out with CHARMM force field and Steepest Descent algorithm implemented into DS. b) Mesothelin/ Affitin docking
Prior to the docking procedure, the structure of mesothelin extracted from the crystal structure of mesothelin in complex with the therapeutic antibody MORAb-009 (PDB code 4F3F, residues 7-64 corresponding to residues 302-359 in the Uniprot sequence Q13421) was cleaned, prepared and minimized using a protocol similar to the one used for the Affitin models. Mesothelin/Affitin complexes were generated for both Affitins using the « Dock Proteins (ZDOCK) » protocol under DS with the default settings and residues Ala38, Met41, Asn45, Leu54, Asp55, Lys58, Leu61, Asp62 and Leu64 of mesothelin defined as « Receptor Blocked Residues » (residues which should not occur in the binding site) and residues Val/Leu9, PhelO, Met/Arg27, Trp/Phe29, Leu/Ser45 and His/Tyr47 of Affitins defined as « Ligand Binding Site Residues » (residues which have to be on the binding site). The poses in each docking with a ZDock score greater than or equal to 10 were arbitrarily retained and refined using the « Refine Docked Proteins (RDock) » protocol under DS. Assuming that the 2 Affitins bind similarly to mesothelin, the common poses of the 2 Affitins were sought and compared. A series of energy minimizations was then carried out with CHARMM force field and Steepest Descent algorithm implemented into DS.
NanoDSF a) Thermal stability
Ten or 20 pL of samples were loaded into nanoDSF grade standard or high sensitivity capillaries (NanoTemper Technologies, Munich, Germany), for samples with a concentration higher than 1 mg/mL or lower than 500 pg/mL respectively, and installed on capillary array on the Prometheus NT.48 nanoDSF instrument (NanoTemper Technologies, Munich, Germany). For the guanidium chloride conditions the N13 Affitin was incubated for 2 h at room temperature with 1 M guanidium chloride prior to the injection in the capillaries. The temperature was increased from 20 °C to 95 °C with a linear thermal ramp (at a 1 °C/min rate). Changes in fluorescence of tryptophan at 330 and 350 nm due to denaturation of the proteins were recorded at 10 datapoints per minute rate. The 350/330 nm ratio of the two wavelengths were plotted against temperature and the first derivative analysis allowed the determination of Tm using the PR.ThermControl Software (NanoTemper Technologies, Munich, Germany). The software analysis also enabled the detection of the aggregation of the samples during heating. b) Stability to repeated freeze/thaw cycles
Samples were subjected to several freeze-thaw cycles of 1 h at -80°C before they were analyzed on a Prometheus NT.48 nanoDSF instrument (NanoTemper Technologies, Munich, Germany) as described in the precedent section. Results
Selection of anti-mesothelin Affitins
The aim of our study was to identify and characterize Affitins able to bind to the human mesothelin (MSLN) tumor antigen. To do so, we generated two DNA libraries (L5 and L6) of Affitin sequences by PCR. We transcribed and translated them in vitro and performed several rounds of ribosome display on the entire recombinant human mesothelin and on the recombinant 302-359 fragment of the human mesothelin, alternatively (Data not shown). This fragment of human mesothelin contains the epitope targeted by the MORAb-009 (Amatuximab) therapeutic antibody currently evaluated in clinic32,33. Elutions of Affitin complexes bound to mesothelin were performed as specified on the diagram. Affitins were either eluted with EDTA to harvest the totality of the candidates, or by competition with an already characterized VHH Al25 which binds MSLN in the same area than the MORAb-009 therapeutic monoclonal antibody already studied in clinic. The goal was to only harvest Affitins able to bind to an accessible and not impacted by shedding region of MSLN on tumor cells. The pools of Affitins obtained at the end of the selections were firstly screened by ELISA to evaluate the proportion of binders specific for hMSLN 302-359 (Data not shown). After the 3rd round of selection and elutions performed with either EDTA (1-R3) or VHH Al (2-R3), we found that 55% and 30% of tested clones were positive in ELISA (i.e. with a specific/aspecific signals ratio per well higher than 10), respectively. For the 4th round, 65% and 88% of the clones were found positive in pools corresponding to elutions performed with either EDTA (1.2-R4) or VHH Al (2-R4), respectively. These results show that Affitins specific for the MSLN were enriched during selections and suggest that our strategy drove the selection toward epitopes common to the one recognized by the VHH AL Random picking and sequencing of binding Affitins resulted in redundant sequences suggesting that the ribosome display over-amplificated a few major sequences, making it nearly impossible to identify rare but nonetheless interesting candidates. Therefore, the pools of Affitins obtained at the end of selections were secondly sequenced by next generation sequencing and clusterized with a homemade clustering algorithm (Data not shown). Over-representation of some sequences was indeed noticed in the sequencing data. For example, more than 60 thousand unique Affitin-coding sequences were recovered for the 2-R4 round but about 25% of the reads consisted in a unique sequence. The diversity and proportion of the sequences obtained after selection rounds. Finally, we selected 27 sequences, representative of the most represented clusters and of the majority of the isolated clusters, among consensus sequences calculated by the algorithm for each cluster. Affitins corresponding to these sequences were then produced for characterization (Data not shown). Binding of the 27 candidates to cellular mesothelin
The first question was to assess if the selected Affitins were able to recognize human mesothelin. The 27 Affitins were produced, purified, and their capacity to bind to the entire recombinant human mesothelin or to the recombinant 302-359 fragment of the human mesothelin was assessed by ELISA. Most of the candidates were able to specifically bind to the 302-359 mesothelin fragment, whereas only some of them were able to bind to the entire mesothelin (Data not shown). We next tested if these Affitins were able to recognize human mesothelin on the surface of malignant pleural mesothelioma (MPM) cancer cells as well. To do so, we mostly used two MPM cell lines: Meso34, from our biocollection of malignant pleural mesothelioma (MPM) cells, that almost does not express mesothelin, and a Meso34 that has been transduced to overexpress mesothelin (called Meso34-MSLN). To facilitate detection, we tetramerized biotinylated Affitins on fluorescent streptavidin. The 27 Affltin tetramers were then used to stain Meso34 and Meso34-MSLN cell lines and the binding was quantified by flow cytometry. Eleven of the 27 Affltin tetramers were able to bind to cellular mesothelin with variable apparent affinities (Data not shown). Four of them (N7, N13, N18 and N23) generated reproducible results and demonstrated stability along time and repeated thawing.
Characterization ofN13 and N18 binding to human mesothelin
We then went further on the characterization of the four promising Affitins identified in the previous experiment. We notably determined their affinity for the recombinant hMSLN302'359 fragment by surface plasmon resonance (Figure 1A). All Affitins showed affinities in the nanomolar range (Figure IB). N13 and N18 however appeared better than the others with affinities of 3.50*10'8 M and 3.58*10'8 M respectively. For N7 and N23 Affitins, dissociation rate constants were significantly higher on recombinant MSLN, resulting in lower affinities, compared to N13 and N18 Affitins. Thus, we focused on the characterization of N13 and N18 Affitins. To better understand the interactions between these Affitins and their target, we generated 3D models of N13 and N18 Affitins. N13 and N18 Affitins displayed respectively 40-45% and 48-52% sequence identity and similarity with the four other Affitin-like templates found in the literature34351636, while they shared 54 and 58% sequence identity and similarity between each other (Data not shown). The two structural models displayed two P-sheets composed of two (|31132) and three (33134|35) antiparallel P-strands followed by an amphipathic a-helix. Ribbon representations of N13 and N18 Affitin models show some exposed residues expected to be involved in the recognition of the mesothelin (Data not shown). Comparison of the sequences of Affitins able to bind to MSLN in flow cytometry (among the 27 initially tested Affitins) with those from the Affitins of the non-binder group has led us to select some residues potentially implicated in the binding site. These residues (Val/Leu9, PhelO, Met/Arg27, Trp/Phe29, Leu/Ser45 and His/Tyr47 for N13 and N18 Affitins respectively) are well exposed in both models (Data not shown . In addition, some residues of the mesothelin could be easily excluded because they were facing the following residues composing the entire mesothelin, according to the complete mesothelin model (1-630 residues) generated by AlphaFold. The hypothesis that both Affitins certainly bind to mesothelin in the same way led us to select two interaction models (model 1 and model 2) (Data not shown). In model 1, the Affitin is positioned at the same recognition site than the MORAb-009 therapeutic antibody, according to the crystallography of the MORAb-009-MSLN complex22 (Data not shown). In model 2, the Affitin only slightly overlaps the binding site of the therapeutic antibody (Data not shown). Most interactions between the two Affitins and mesothelin appear to rely on hydrogen and hydrophobic bonds, according to the models. To refine our understanding of Affitins binding to mesothelin, we tested the ability of the N13 Affitin to compete with the already described MORAB-009 (Amatixumab) therapeutic antibody for its binding to mesothelin, by surface plasmon resonance. The results showed the establishment of an equilibrium between N13 and MORAB-009 binding signals, with no further increase of the signal after Affitin injection, highlighting a competition between the molecules (Data not shown). This suggests that N13 binds to mesothelin in the same area than the MORAb-009 antibody and is consistent with the docking models generated.
Being extremophile Archaea-derived proteins, Affitins are expected to display a high thermal stability. We thus measured the thermal stability of N13 and N18 Affitins, our lead candidates, under a wide range of temperatures using the nanoDSF technology. The N13 Affitin appeared extremely stable, with no thermal denaturation noticed up to 95°C (Data not shown). A denaturation was however obtained around 70°C when a pre-treatment with a denaturing agent (I M guanidium chloride) was performed before the experiment, confirming that the apparent stability of N13 measured in native conditions is not an artefact due to a sensibility issue of the technique. The N18 Affitin appeared less stable than the N13 Affitin, with a first thermal denaturation step around 55°C and a second around 80°C (Data not shown). Two denaturation steps are quite unusual for such small proteins and are probably due to a tendency of the N18 Affitin to aggregate, the first denaturation step thus corresponding to the disintegration of the aggregates. In comparison, the MORAB-009 therapeutic antibody displayed several thermal denaturation transitions, with a first Tm of 54°C associated with an aggregation process starting around 70°C (Data not shown). The molecules however displayed a good robustness to freezethaw cycles (Data not shown).
To confirm the specificity of N13 and N18 Affitins for human mesothelin, we performed coculture experiments of fluorescent Meso34-MSLN (MSLN+) MPM cells with unstained Meso34 (MSLN-) MPM cells. N13 and N18 fluorescent tetramers were added to the medium of the cocultures either in static conditions or in a flow of culture medium to reproduce hydrodynamic conditions encountered in tumors, and particularly in the pleural cavity where MPM develops. Pictures of the cocultures acquired by confocal microscopy show a specific staining of fluorescent MSLN+ cancer cells with the two tetramers, in both static and dynamic culture conditions (Data not shown). The very low intensity of staining of some blue MSLN+ cancer cells is due to the heterogeneity of MSLN expression among this cell line. Altogether these results confirm that we isolated at least two interesting Affitins able to bind specifically to human mesothelin expressed on the surface of MPM cancer cells.
Validation of a hoinodimer of the N13 Affitin
At this point, we identified several Affitins able to bind to human recombinant mesothelin with a high affinity. However, we noticed a drop in affinity, from the nanomolar to the micromolar range, when we compared the binding of Affitins to the recombinant protein to their binding to mesothelin expressed on the surface of cancer cells (Data not shown). This loss of affinity was counteracted by the tetramerization of Affitins on fluorescent streptavidin, suggesting that multimerization of Affitins can improve their binding to MSLN expressing cells. Thus, we decided to design a N13 homodimer consisting in two N13 Affitins linked by a 20-amino-acid peptidic HMA linker. N13 was chosen here because it displayed the best affinity on cells as a monomer and because it appeared to be more stable than the N18 Affitin in our experiments (Data not shown). The resulting dimer displayed a 15 kDa molecular weight, which is still largely lower than antibodies and approximately equivalent to VHH37. We first assessed the affinity of this new construction for the hMSLN302'359 fragment by SPR (Figure 2A). We obtained a very high affinity of the dimer for the recombinant protein, more than the one obtained for the MORAb antibody (Data not shown), with a KD of 5.67 x 10-10 M (Figure 2B), showing that the dimerization of the Affitin did not alter N13 binding abilities and even enhanced them by several orders of magnitude. We then incubated Meso34 (MSLN-) and Meso34-MSLN (MSLN+) cancer cell lines with increasing concentrations of the dimer and analyzed its binding by flow cytometry to determine its affinity for cellular mesothelin. As expected, the dimer was not able to bind to the MSLN- cell line (Figure 2C). Interestingly, we obtained at least a 1000-fold increase in the affinity of N13 for cellular mesothelin on the Meso34-MSLN cell line thanks to dimerization, up to a half maximal effective concentration (EC50) of 2.20 nM (Figure 2D). Interestingly, this affinity is similar to the one displayed by the MORAb-009 therapeutic antibody on the same cell line (Data not shown). To confirm the specificity of the N13 dimer, we applied a flow of culture medium containing 1 pM of N13 dimer on cocultures of fluorescent Meso34-MSLN cancer cells, non-fluorescent human fibroblasts (MSLN-) and non-fluorescent human endothelial cells (MSLN-). Specific binding of N13 dimer was then observed by confocal microscopy and confirmed by colocalization quantification (Figure 2E). The results show a strong binding of the dimer only on cancer cells expressing MSLN, and not on the healthy cells of the coculture (Data not shown). This last result demonstrates that the N13 dimer is able to bind to cellular mesothelin with a high affinity but also with a high specificity in cell cocultures mimicking the tumor microenvironment, even under dynamic culture conditions.
As for the monomer, we also assessed the thermal stability of the N13 homodimer by SPR. The dimer appeared to be slightly less thermostable than the monomer, with a denaturation observed at 85°C combined with an aggregation of the protein during the process (Data not shown). However, this was still much better than the MORAB-009 therapeutic antibody. The N13 dimer also displayed a good robustness to freeze-thaw cycles (Data not shown).
Characterization of the binding to mesothelin and stability studies
To refine our understanding of N13 and N13 dimer binding to mesothelin we tested their ability to compete with the already described MORAB-009 (Amatixumab) therapeutic antibody for their binding to mesothelin by surface plasmon resonance. The results showed the establishment of an equilibrium between N13 or N13 dimer andMORAB-009 binding signals, with no further increase of the signal after Affitins injection, highlighting a competition between the molecules and suggesting that N13 binds to mesothelin in the same area than the MORAb-009 antibody (Figure 3A).
Being extremophile bacteria-derived proteins, Affitins are expected to display a high thermal stability. We thus measured the thermal stability of the N13 Affitin using the nanoDSF technology under a wide range of temperatures. The N13 Affitin appeared extremely stable, with no thermal denaturation noticed up to 95°C (Figure 3B). A denaturation was however obtained around 70°C when a pre-treatment with a denaturing agent (1 M guanidium chloride) was performed before the experiment, confirming that the apparent stability of N13 measured in native conditions is not an artefact due to a sensibility issue of the technique. In comparison, the N13 homodimer appeared to be slightly less stable with a denaturation observed at 85°C combined with an aggregation of the protein during the process (Figure 3B). However, this was still much better than the MORAB-009 therapeutic antibody which displayed several thermal denaturation transitions with a first Tm of 54°C paired with an aggregation process starting around 70°C (Figure 3B). All molecules also displayed a good robustness to freezethaw cycles (Data not shown).
Discussion:
Strategies using MSLN as a biomarker for targeted therapy have lately shown a growing interest38. Four Affitins able to bind to recombinant human mesothelin with high affinities (between 14.2 and 101 nM) were identified by ribosome display and NGS in this study. Unexpectedly, we noticed a gap between their affinities on the recombinant protein and on MSLN+ cancer cells. Indeed, we obtained 1000-fold lower affinities when Affitins were used as monomers on MSLN+ MPM cancer cells compared to the SPR results. This behavior is different from the one observed for the VHH Al , for which an affinity of 15 nM was determined on breast cancer cells 25, while we measured an affinity of 15.6 nM by SPR on recombinant mesothelin (Data not shown). This significant difference in behavior between Affitins and VHHs could be explained by the fact that Affitins recognize their targets essentially through a rigid surface, whereas VHHs use the flexible loops of their CDRs. Consequently, and as observed in a previous study39, Affitins would be more sensitive to conformational differences between a recombinant target and the same target presented on the cell surface than VHHs, which could adapt via their CDRs. However, this drop in affinity was overcome in this study by the multimerization of the Affitins. We showed that Affitins tetramerized on streptavidin were able to efficiently bind to cellular MSLN with a nanomolar affinity (around 80 nM) and were highly specific for MSLN even in coculture models including MSLN+ and MSLN- cells. This confirms our previous results about the beneficial effect of the multimerization of an antibacterial Affitin on dendrimers, with an affinity increased by a factor of 6OO40.
Among the candidates, N13 was the Affitin that demonstrated the most interesting properties. We thus designed a homodimer (15 kDa) of this Affitin, to explore whether this minimal valency would be sufficient to obtain a much more efficient molecule. We connected two N13 Affitins with a 20 amino-acids peptidic segment from human muscle aldolase (HMA)24. This HMA linker is quite long and we anticipated this could be useful to reach two distant mesothelin molecules on the surface of cancer cells. This dimer displayed a sub-nanomolar affinity (0.567 nM) for the recombinant protein and a nanomolar (2.2 nM) affinity for the cellular protein, highlighting a strong avidity effect. Further studies will be necessary to understand the influence of the linker length to get an optimal avidity effect, and whether this is dependent on the targeted biological system. We were able to prove the specificity of this dimer for MSLN+ cancer cells in cell cocultures mimicking the tumor microenvironment, even under dynamic culture conditions. We also demonstrated in a SPR competition experiment that this dimer seems to bind MSLN in the same region as the Amatuximab (MORAb-009) therapeutic antibody already used in clinic. This result tends to validate the first 3D docking model of the N13 Affitin proposed in this work (Data not shown), where N13 binds the same region of MSLN as the antibody, even though we can’t formally exclude the second one in which there is only a partial overlapping of the binding areas.
All Affitins studied in this work are derived from the Aho7c protein and are part of the L6 library, which was designed to bind targets through both a flat surface and a small artificially extended flexible loop. This L6 library is similar to the L4 library designed with the Sac7d scaffold and used in a previous study16. We designed these two kinds of libraries with the aim to enable Affitins to bind targets through different binding modes. In a previous work aiming to select Affitins against the epithelial cell adhesion molecule (EpCAM), only the L5 library allowed the obtention of binders18. In this work, selections performed with the L5 library, i.e. without this extended loop, were not successful. Thus, depending on the targeted antigen, L5 or L6 libraries will be more efficient, and this work highlights the importance to use these two libraries in parallel for ribosome display selections in future studies.
As illustrated in our docking models, N13 and N18 Affitins interactions with MSLN mostly rely on the 27-34 artificially extended loop, and partly on the 45-50 beta-strand, a binding mode that we previously observed in the crystal structure of the Sac7d Affitin H3-CeldD complex16. We compared the sequences of the 27 selected Afftins to understand the differences in their capacity to bind to MSLN in ELISA and flow cytometry. We noticed that the presence of a cysteine induces aspecific binding in ELISA and prevent any binding on cells. The 9th and 10th amino acid positions appear to be important for the binding capacity of the Affitins, with the requirement of at least a hydrophobic amino acid in this region to enable the binding. Globally, a majority of hydrophobic amino acids in 9th, 10th, 27th, 29th, 45th, and 47th positions appear to be favorable to the binding of Affitins to cellular mesothelin. The interface between Affitins and mesothelin thus appears to be mostly composed of hydrophobic and hydrogen bonds, as in most protein-protein interactions.
It has been extensively documented that low-molecular weight proteins can distribute more effectively into tissues and can more efficiently penetrate into tumors than larger molecules such as monoclonal antibodies37,41. Indeed, with its molecular weight of approximately 15 kDa, the N13 homodimer is smaller than antibody derivatives such as scFvs, and is bivalent compared to the monovalency of a VHH for the same mass of 15 kDa. However, a low molecular weight is also associated with a reduced serum half-life, which is desirable for imaging applications42 but not for therapeutic applications. Non-Ig scaffolds have thus been conjugated to PEGs or to serum albumin to increase their blood retention. This strategy has proven to be efficient in several studies11,43. As derivatives of extremophile archaea proteins, Affitins often exhibit very high stabilities15,16,44. We demonstrated that N13 Affitin and N13 homodimer keep their organized structure upon 95°C and 85°C heating respectively, whereas Amatuximab (MORAb-009) exhibited a thermal denaturation as soon as 54°C followed by an aggregation around 70°C (Data not shown . N13 and its dimer were also stable after repeated freeze-thaw cycles. This property may be interesting regarding shelf-life stability of therapeutic proteins designed with Affitins as a low thermal stability is often associated with protein aggregation, a problem particularly observed and studied for antibodies45. Moreover, Affitins lack disulfide bonds and are thus easily producible in simple production systems such as bacteria (yields of purified N13 and N18 dimers were usually around 43 and 68 mg/L of A. coli culture in flasks, respectively), a characteristic that drastically reduces their cost of production compared to monoclonal antibodies. As the N13 Affitin contains no cysteine residue, the insertion of a cysteine at its C-terminus would enable simple site-specific conjugation of a wide panel of molecules of interest, such as metal chelators or chemotherapies, as we have previously done for the construction of Affidendrons40. Furthermore, the high thermic stability of N13 would enable metal chelating process that usually requires high temperatures.
The intrinsic properties of non-Ig scaffolds can be exploited for specific applications in cancer therapy11,12,46. Indeed, their low molecular weight, and so short serum half-life, are for instance particularly suited properties for radiolabeled imaging agents to obtain optimal signal/noise ratios47'48. Moreover, while multivalency is relatively difficult to achieve with monoclonal antibodies, non-Ig scaffolds can more easily be fused to other targeting moieties to generate bi- or multi-specific constructions46. One main criterion to choose Sul7d proteins as a scaffold was that their N- and C-terminus are distant from their binding site, enabling their fusion to other proteins at both ends. We have indeed designed several Affitin fusion proteins with, for instance, a green fluorescent protein or an alkaline phosphatase, and demonstrated that both Affitins and their partners were functional once linked together14,17. In this work we demonstrated that the dimerization of the N13 anti-MSLN Affitin is not deleterious for its functionality and further increases its affinity for cellular MSLN.
In here, we were able to identify Affitins specific for human mesothelin with attractive biophysical and targeting properties, and demonstrated their potential as a basis for therapeutics development. We designed an innovative Affitin homodimer of only 15 kDa as a non-Ig scaffold for the targeting of human MSLN. We demonstrated the high affinity of this construction for cellular mesothelin (2.2 nM) and proved its capacity to discriminate MSLN- expressing MPM cancer cells from healthy cells of the tumor microenvironment.
REFERENCES:
Throughout this application, various references describe the state of the art to which this invention pertains. The disclosures of these references are hereby incorporated by reference into the present disclosure.
1. Morello, A., Sadelain, M. & Adusumilli, P. S. Mesothelin-Targeted CARs: Driving T Cells to Solid Tumors. Cancer Discov 6, 133-146 (2016).
2. Hassan, R. et al. Mesothelin Immunotherapy for Cancer: Ready for Prime Time? J Clin Oncol 34, 4171-4179 (2016).
3. Klampatsa, A., Dimou, V. & Albelda, S. M. Mesothelin-targeted CAR-T cell therapy for solid tumors. Expert Opinion on Biological Therapy 21, 473-486 (2021).
4. Rijavec, E., Biello, F., Barletta, G., Dellepiane, C. & Genova, C. Novel approaches for the treatment of unresectable malignant pleural mesothelioma: A focus on immunotherapy and target therapy (Review). Mol Clin Oncol 16, 89 (2022).
5. Hu, Z. I., Ghafoor, A., Sengupta, M. & Hassan, R. Malignant mesothelioma: Advances in immune checkpoint inhibitor and mesothelin-targeted therapies. Cancer 127, 1010-1020 (2021).
6. Hagerty, B. L., Pegna, G. J., Xu, J., Tai, C.-H. & Alewine, C. Mesothelin-Targeted Recombinant Immunotoxins for Solid Tumors. Biomolecules 10, 973 (2020). 7. Zhai, X., Mao, L., Wu, M., Liu, J. & Yu, S. Challenges of Anti-Mesothelin CAR-T-Cell Therapy. Cancers (Basel) 15, 1357 (2023).
8. Tsao, A. S., Pass, H. I., Rimner, A. & Mansfield, A. S. New Era for Malignant Pleural Mesothelioma: Updates on Therapeutic Options. J Clin Oncol 40, 681-692 (2022).
9. Thomas, A., Teicher, B. A. & Hassan, R. Antibody-drug conjugates for cancer therapy. Lancet Oncol 17, e254-e262 (2016).
10. Hafeez, U., Parakh, S., Gan, H. K. & Scott, A. M. Antibody-Drug Conjugates for Cancer Therapy. Molecules 25, 4764 (2020).
11. Skrlec, K., Strukelj, B. & Berlec, A. Non-immunoglobulin scaffolds: a focus on their targets. Trends Biotechnol 33, 408-418 (2015).
12. Simeon, R. & Chen, Z. In vitro-engineered non-antibody protein therapeutics. Protein Cell 9, 3-14 (2018).
13. Kalichuk, V. et al. The archaeal “7 kDa DNA-binding” proteins: extended characterization of an old gifted family. Sci Rep 6, 37274 (2016).
14. Mouratou, B. et al. Remodeling a DNA-binding protein as a specific in vivo inhibitor of bacterial secretin PulD. Proc. Natl. Acad. Sci. U.S.A. 104, 17983-17988 (2007).
15. Behar, G. et al. Tolerance of the archaeal Sac7d scaffold protein to alternative library designs: characterization of anti -immunoglobulin G Affitins. Protein Engineering, Design and Selection 26, 267-275 (2013).
16. Correa, A. et al. Potent and Specific Inhibition of Glycosidases by Small Artificial Binding Proteins (Affitins). PLOS ONE 9, e97438 (2014).
17. Behar, G. et al. Whole-bacterium ribosome display selection for isolation of highly specific anti-Staphyloccocus aureus Affitins for detection- and capture-based biomedical applications. Biotechnol Bioeng 116, 1844-1855 (2019).
18. Kalichuk, V. et al. A novel, smaller scaffold for Affitins: Showcase with binders specific for EpCAM. Biotechnol. Bioeng. 115, 290-299 (2018).
19. Behar, G., Renodon-Corniere, A., Mouratou, B. & Pecorari, F. Affitins as robust tailored reagents for affinity chromatography purification of antibodies and non-immunoglobulin proteins. J Chromatogr A 1441, 44-51 (2016).
20. Goux, M. et al. Nanofitin as a New Molecular-Imaging Agent for the Diagnosis of Epidermal Growth Factor Receptor Over-Expressing Tumors. Bioconjugate Chem. 28, 2361- 2371 (2017).
21. Dammicco, S. et al. Regiospecific radiolabelling of Nanofitin on Ni magnetic beads with [18F]FBEM and in vivo PET studies. Nuclear Medicine and Biology 51, 33-39 (2017). 22. Ma, J., Tang, W. K., Esser, L., Pastan, I. & Xia, D. Recognition of mesothelin by the therapeutic antibody MORAb-009: structural and mechanistic insights. J. Biol. Chem. 287, 33123-33131 (2012).
23. Mouratou, B., Behar, G., Paillard-Laurance, L., Colinet, S. & Pecorari, F. Ribosome display for the selection of Sac7d scaffolds. Methods Mol Biol 805, 315-331 (2012).
24. Vallera, D. A. et al. Heterodimeric bispecific single-chain variable-fragment antibodies against EpCAM and CD 16 induce effective antibody-dependent cellular cytotoxicity against human carcinoma cells. Cancer Bi other Radi opharm 28, 274-282 (2013).
25. Prantner, A. M. et al. Anti -Mesothelin Nanobodies for Both Conventional and Nanoparticle-Based Biomedical Applications. J Biomed Nanotechnol 11, 1201-1212 (2015).
26. Kalichuk, V. et al. Affitins: Ribosome Display for Selection of Aho7c-Based Affinity Proteins. Methods Mol Biol 2070, 19-41 (2020).
27. Zahnd, C., Amstutz, P. & Pliickthun, A. Ribosome display: selecting and evolving proteins in vitro that specifically bind to a target. Nat Methods 4, 269-279 (2007).
28. Grantham, R. Amino acid difference formula to help explain protein evolution. Science 185, 862-864 (1974).
29. Tareen, A. & Kinney, J. B. Logomaker: beautiful sequence logos in Python. Bioinformatics 36, 2272-2274 (2020).
30. Gueugnon, F. et al. Identification of novel markers for the diagnosis of malignant pleural mesothelioma. Am. J. Pathol. 178, 1033-1042 (2011).
31. Clemenceau, B. et al. In Vitro and In Vivo Comparison of Lymphocytes Transduced with a Human CD16 or with a Chimeric Antigen Receptor Reveals Potential Off-Target Interactions due to the IgG2 CH2-CH3 CAR-Spacer. J Immunol Res 2015, 482089 (2015).
32. Hassan, R. et al. Phase II Clinical Trial of Amatuximab, a Chimeric Antimesothelin Antibody with Pemetrexed and Cisplatin in Advanced Unresectable Pleural Mesothelioma. Clinical Cancer Research 20, 5927-5936 (2014).
33. Hassan, R. et al. Preclinical evaluation of MORAb-009, a chimeric antibody targeting tumor-associated mesothelin. Cancer Immun. 7, 20 (2007).
34. Robinson, H. et al. The hyperthermophile chromosomal protein Sac7d sharply kinks DNA. Nature 392, 202-205 (1998).
35. Su, S. et al. Crystal structures of the chromosomal proteins Sso7d/Sac7d bound to DNA containing T-G mismatched base-pairs. J Mol Biol 303, 395-403 (2000).
36. Nittinger, E. et al. Water molecules in protein-ligand interfaces. Evaluation of software tools and SAR comparison. J Comput Aided Mol Des 33, 307-330 (2019). 37. Lammers, T., Kiessling, F., Hennink, W. E. & Storm, G. Drug targeting to tumors: Principles, pitfalls and (pre-) clinical progress. Journal of Controlled Release 161, 175-187 (2012).
38. Lv, J. & Li, P. Mesothelin as a biomarker for targeted therapy. Biomark Res 7, 18 (2019).
39. Krehenbrink, M. et al. Artificial Binding Proteins (Affitins) as Probes for Conformational Changes in Secretin PulD. Journal of Molecular Biology 383, 1058-1068 (2008).
40. Vukojicic, P. et al. Multivalent Affidendrons with High Affinity and Specificity toward Staphylococcus aureus as Versatile Tools for Modulating Multicellular Behaviors. ACS Appl. Mater. Interfaces 11, 21391-21398 (2019).
41. Vazquez-Lombardi, R. et al. Challenges and opportunities for non-antibody scaffold drugs. Drug Discov Today 20, 1271-1283 (2015).
42. Benloucif, A. et al. Rapid nanobody-based imaging of mesothelin expressing malignancies compatible with blocking therapeutic antibodies. Front Immunol 14, 1200652 (2023).
43. Sha, F., Salzman, G., Gupta, A. & Koide, S. Monobodies and other synthetic binding proteins for expanding protein science. Protein Sci 26, 910-924 (2017).
44. Huet, S., Gorre, H., Perrocheau, A., Picot, J. & Cinier, M. Use of the Nanofitin Alternative Scaffold as a GFP-Ready Fusion Tag. PLOS ONE 10, e0142304 (2015).
45. Niedziela-Majka, A. et al. High-Throughput Screening of Formulations to Optimize the Thermal Stability of a Therapeutic Monoclonal Antibody. SLAS Discovery 20, 552-559 (2015).
46. Hober, S., Lindbo, S. & Nilvebrant, J. Bispecific applications of non-immunoglobulin scaffold binders. Methods 154, 143-152 (2019).
47. Mitran, B. et al. Affibody- mediated imaging of EGFR expression in prostate cancer using radiocobalt-labeled DOTA-ZEGFR:2377. Oncology Reports 41, 534-542 (2019).
48. Bragina, O. et al. Phase I Study of 99mTc-ADAPT6, a Scaffold Protein-Based Probe for Visualization of HER2 Expression in Breast Cancer. J Nucl Med 62, 493-499 (2021).

Claims

CLAIMS:
1. A polypeptide capable of binding the mesothelin (MSLN), wherein the polypeptide comprises an amino acid sequence having the formula of: ATKVKFKX1X2GEEKEVDISKIKX3VX4RX5X6X7X8X9X10X11X12IX13FX14YDDNG KXI5GXI6GWVSEKDAPKELLEKLK (SEQ ID NO: 1)
Wherein Xi is V or L or Y,
Wherein X2 is M or F,
Wherein X3 is V or H or K or R,
Wherein X4 is S or D or E,
Wherein X5 is S or M or R,
Wherein Xe is V or N or T or A,
Wherein X7 is G or W or F or I,
Wherein Xs is P or R or H or Q,
Wherein X9 is L or G or M or A,
Wherein X10 is G or L or D or A,
Wherein Xu is S or L or K,
Wherein X12 is F or Y or T,
Wherein X13 is L or R or V or A,
Wherein X14 is Q or S or M or A,
Wherein X15 is M or L or S or I,
Wherein the Xi6 is R or H or Y.
2. The polypeptide capable of binding the mesothelin (MSLN) according to claim 1, wherein the polypeptide comprises an amino acid sequence having the formula of: ATKVKFKVFGEEKEVDISKIKHVDRMNWRGLLYIRFSYDDNGKLGHGWVSE KDAPKELLEKLK (SEQ ID NO: 2).
3. The polypeptide capable of binding the mesothelin (MSLN) according to claim 1, wherein the polypeptide comprises an amino acid sequence having the formula of: ATKVKFKLFGEEKEVDISKIKKVERRTFHMDKTIVFMYDDNGKSGYGWVSEK DAPKELLEKLK (SEQ ID NO: 3).
4. The polypeptide capable of binding the mesothelin (MSLN) according to claim 1, wherein the polypeptide comprises an amino acid sequence having the formula of : ATKVKFKYMGEEKEVDISKIKVVSRSVGPLGSFILFQYDDNGKMGRGFVSEK DAPKELLEKLK (SEQ ID NO: 4).
5. The polypeptide capable of binding the mesothelin (MSLN) according to claim 1, wherein the polypeptide comprises an amino acid sequence having the formula of : ATKVKFKLFGEEKEVDISKIKRVERRAIQAASYIAFAYDDNGKIGHGWVSEKD APKELLEKLK (SEQ ID NO: 5).
6. The polypeptide capable of binding the mesothelin (MSLN) according to claims 2 to 5, wherein the polypeptide is a homodimer of two anti-MSLN Affitins having the following SEQ ID NO: 2 or a homodimer of two anti-MSLN Affitins having the following SEQ ID NO: 3 or homodimer of two anti-MSLN Affitins having the following SEQ ID NO: 4 or a homodimer of two anti-MSLN Affitins having the following SEQ ID NO: 5.
7. The polypeptide capable of binding the mesothelin (MSLN) according to claims 2 to 5, wherein the polypeptide is a heterodimer of two anti-MSLN Affitins having the following chosen among SEQ ID NO: 2 or SEQ ID NO: 3 or SEQ ID NO: 4 or SEQ ID NO: 5.
8. The polypeptide capable of binding the mesothelin (MSLN) according to claims 2 to 5, wherein the polypeptide is a homotrimer of three anti-MSLN Affitins having the following sequence SEQ ID NO: 2 or a homotrimer of three anti-MSLN Affitins having the following sequence SEQ ID NO: 3 or a homotrimer of three anti-MSLN Affitins having the following sequence SEQ ID NO: 4 or a homotrimer of three anti-MSLN Affitins having the following sequence SEQ ID NO: 5 or a heterotrimer of three anti- MSLN Affitins having the following chosen among SEQ ID NO: 2 or SEQ ID NO: 3 or SEQ ID NO: 4 or SEQ ID NO: 5.
9. The polypeptide capable of binding the mesothelin (MSLN) according to claims 2 to 5, wherein the polypeptide is a homotetramer of four anti-MSLN Affitins having the following sequence SEQ ID NO: 2 or a homotetramer of four anti-MSLN Affitins having the following sequence SEQ ID NO: 3 or a homotetramer of four anti-MSLN Affitins having the following sequence SEQ ID NO: 4 or a homotetramer of four anti- MSLN Affitins having the following sequence SEQ ID NO: 5 or a heterotetramer of four anti -MSLN Affitins having the following chosen among SEQ ID NO: 2 or SEQ ID NO: 3 or SEQ ID NO: 4 or SEQ ID NO: 5.
10. The polypeptide capable of binding the mesothelin (MSLN) according to claims 6 to 9, wherein the homodimer and the heterodimeric are linked by a linker which is the human muscular aldolase (HMA) linker.
I L A method of treatment of cancer in a subject in need thereof comprising administering to the subject a therapeutically effective amount of the polypeptide capable of binding the mesothelin (MSLN) according to 1 to 10.
12. The method of treatment of cancer according to claim 11 wherein the cancer is mesothelin (MSLN) expressing cancers, in particular a malignant pleural mesothelioma (MPM).
13. A pharmaceutical composition comprising the polypeptide capable of binding the mesothelin (MSLN) according to 1 to 10 for use in the treatment of cancer.
14. The pharmaceutical composition according to claim 13 wherein the cancer is a mesothelin (MSLN) expressing cancers, in particular a malignant pleural mesothelioma (MPM).
15. The pharmaceutical composition according to claims 13 to 14 wherein i) the polypeptide capable of binding the mesothelin (MSLN) according to 1 to 7 and ii) a classical treatment, as a combined preparation for use in the treatment of cancer.
16. The pharmaceutical composition according to claims 13 to 15 wherein the classical treatment is chosen among radiation therapy, antibody therapy, immunotherapy or chemotherapy.
PCT/EP2024/0873792023-12-222024-12-19Affitins for the treatment of cancerPendingWO2025132770A1 (en)

Applications Claiming Priority (2)

Application NumberPriority DateFiling DateTitle
EP23307349.32023-12-22
EP233073492023-12-22

Publications (1)

Publication NumberPublication Date
WO2025132770A1true WO2025132770A1 (en)2025-06-26

Family

ID=89620025

Family Applications (1)

Application NumberTitlePriority DateFiling Date
PCT/EP2024/087379PendingWO2025132770A1 (en)2023-12-222024-12-19Affitins for the treatment of cancer

Country Status (1)

CountryLink
WO (1)WO2025132770A1 (en)

Citations (32)

* Cited by examiner, † Cited by third party
Publication numberPriority datePublication dateAssigneeTitle
WO2003063792A2 (en)2002-01-302003-08-07The Brigham And Women's Hospital, Inc.Compositions and methods related to tim-3, a th1-specific cell surface molecule
WO2004004771A1 (en)2002-07-032004-01-15Ono Pharmaceutical Co., Ltd.Immunopotentiating compositions
WO2004056875A1 (en)2002-12-232004-07-08WyethAntibodies against pd-1 and uses therefor
WO2006121168A1 (en)2005-05-092006-11-16Ono Pharmaceutical Co., Ltd.Human monoclonal antibodies to programmed death 1(pd-1) and methods for treating cancer using anti-pd-1 antibodies alone or in combination with other immunotherapeutics
WO2007005874A2 (en)2005-07-012007-01-11Medarex, Inc.Human monoclonal antibodies to programmed death ligand 1 (pd-l1)
US7432059B2 (en)2000-06-282008-10-07Dana-Farber Cancer Institute, Inc.Methods of identifying compounds that upmodulate T cell activation in the presence of a PD-1 mediated signal
WO2008156712A1 (en)2007-06-182008-12-24N. V. OrganonAntibodies to human programmed death receptor pd-1
WO2009054864A1 (en)2007-10-262009-04-30Rigel Pharmaceuticals, Inc.Polycyclic aryl substituted triazoles and polycyclic heteroaryl substituted triazoles useful as axl inhibitors
WO2009114335A2 (en)2008-03-122009-09-17Merck & Co., Inc.Pd-1 binding proteins
WO2010036959A2 (en)2008-09-262010-04-01Dana-Farber Cancer InstituteHuman anti-pd-1, pd-l1, and pd-l2 antibodies and uses therefor
WO2010077634A1 (en)2008-12-092010-07-08Genentech, Inc.Anti-pd-l1 antibodies and their use to enhance t-cell function
WO2010089411A2 (en)2009-02-092010-08-12Universite De La MediterraneePd-1 antibodies and pd-l1 antibodies and uses thereof
WO2010117057A1 (en)2009-04-102010-10-14協和発酵キリン株式会社Method for treatment of blood tumor using anti-tim-3 antibody
WO2011066389A1 (en)2009-11-242011-06-03Medimmmune, LimitedTargeted binding agents against b7-h1
WO2011082400A2 (en)2010-01-042011-07-07President And Fellows Of Harvard CollegeModulators of immunoinhibitory receptor pd-1, and methods of use thereof
WO2011110621A1 (en)2010-03-112011-09-15Ucb Pharma, S.A.Biological products: humanised agonistic anti-pd-1 antibodies
WO2011155607A1 (en)2010-06-112011-12-15協和発酵キリン株式会社Anti-tim-3 antibody
WO2013006490A2 (en)2011-07-012013-01-10Cellerant Therapeutics, Inc.Antibodies that specifically bind to tim3
WO2013079174A1 (en)2011-11-282013-06-06Merck Patent GmbhAnti-pd-l1 antibodies and uses thereof
US8617546B2 (en)2008-10-022013-12-31Seoul National University Industry FoundationAnticancer agent comprising anti-PD-1 antibody or anti-PD-L1 antibody
WO2014055897A2 (en)2012-10-042014-04-10Dana-Farber Cancer Institute, Inc.Human monoclonal anti-pd-l1 antibodies and methods of use
WO2014055648A1 (en)2012-10-022014-04-10Bristol-Myers Squibb CompanyCombination of anti-kir antibodies and anti-pd-1 antibodies to treat cancer
WO2014150677A1 (en)2013-03-152014-09-25Bristol-Myers Squibb CompanyInhibitors of indoleamine 2,3-dioxygenase (ido)
WO2014194302A2 (en)2013-05-312014-12-04Sorrento Therapeutics, Inc.Antigen binding proteins that bind pd-1
WO2014195852A1 (en)2013-06-032014-12-11Glaxosmithkline Intellectual Property (No.2) LimitedCombinations of an anti-pd-l1 antibody and a mek inhibitor and/or a braf inhibitor
WO2015035606A1 (en)2013-09-132015-03-19Beigene, Ltd.Anti-pd1 antibodies and their use as therapeutics and diagnostics
WO2015048520A1 (en)2013-09-272015-04-02Genentech, Inc.Anti-pdl1 antibody formulations
WO2015117002A1 (en)2014-01-312015-08-06Novartis AgAntibody molecules to tim-3 and uses thereof
WO2018209304A1 (en)*2017-05-122018-11-15Harpoon Therapeutics, Inc.Msln targeting trispecific proteins and methods of use
WO2021180823A1 (en)*2020-03-112021-09-16AffilogicVariants of sac7d and their use in cancer therapy
WO2023006975A2 (en)*2021-07-302023-02-02INSERM (Institut National de la Santé et de la Recherche Médicale)Chimeric proteins and methods of immunotherapy
US20230085834A1 (en)*2021-09-172023-03-23The Trustees Of The University Of PennsylvaniaChimeric Antigen Receptors Comprising Interleukin-9 Receptor Signaling Domain

Patent Citations (34)

* Cited by examiner, † Cited by third party
Publication numberPriority datePublication dateAssigneeTitle
US7709214B2 (en)2000-06-282010-05-04Dana-Farber Cancer Institute, Inc.Methods for upregulating an immune response with agents that inhibit the intereaction between PD-L2 and PD-1
US7432059B2 (en)2000-06-282008-10-07Dana-Farber Cancer Institute, Inc.Methods of identifying compounds that upmodulate T cell activation in the presence of a PD-1 mediated signal
WO2003063792A2 (en)2002-01-302003-08-07The Brigham And Women's Hospital, Inc.Compositions and methods related to tim-3, a th1-specific cell surface molecule
WO2004004771A1 (en)2002-07-032004-01-15Ono Pharmaceutical Co., Ltd.Immunopotentiating compositions
WO2004056875A1 (en)2002-12-232004-07-08WyethAntibodies against pd-1 and uses therefor
WO2006121168A1 (en)2005-05-092006-11-16Ono Pharmaceutical Co., Ltd.Human monoclonal antibodies to programmed death 1(pd-1) and methods for treating cancer using anti-pd-1 antibodies alone or in combination with other immunotherapeutics
WO2007005874A2 (en)2005-07-012007-01-11Medarex, Inc.Human monoclonal antibodies to programmed death ligand 1 (pd-l1)
WO2008156712A1 (en)2007-06-182008-12-24N. V. OrganonAntibodies to human programmed death receptor pd-1
WO2009054864A1 (en)2007-10-262009-04-30Rigel Pharmaceuticals, Inc.Polycyclic aryl substituted triazoles and polycyclic heteroaryl substituted triazoles useful as axl inhibitors
WO2009114335A2 (en)2008-03-122009-09-17Merck & Co., Inc.Pd-1 binding proteins
WO2010036959A2 (en)2008-09-262010-04-01Dana-Farber Cancer InstituteHuman anti-pd-1, pd-l1, and pd-l2 antibodies and uses therefor
US8552154B2 (en)2008-09-262013-10-08Emory UniversityAnti-PD-L1 antibodies and uses therefor
US8617546B2 (en)2008-10-022013-12-31Seoul National University Industry FoundationAnticancer agent comprising anti-PD-1 antibody or anti-PD-L1 antibody
WO2010077634A1 (en)2008-12-092010-07-08Genentech, Inc.Anti-pd-l1 antibodies and their use to enhance t-cell function
WO2010089411A2 (en)2009-02-092010-08-12Universite De La MediterraneePd-1 antibodies and pd-l1 antibodies and uses thereof
WO2010117057A1 (en)2009-04-102010-10-14協和発酵キリン株式会社Method for treatment of blood tumor using anti-tim-3 antibody
WO2011066389A1 (en)2009-11-242011-06-03Medimmmune, LimitedTargeted binding agents against b7-h1
WO2011082400A2 (en)2010-01-042011-07-07President And Fellows Of Harvard CollegeModulators of immunoinhibitory receptor pd-1, and methods of use thereof
WO2011110621A1 (en)2010-03-112011-09-15Ucb Pharma, S.A.Biological products: humanised agonistic anti-pd-1 antibodies
WO2011155607A1 (en)2010-06-112011-12-15協和発酵キリン株式会社Anti-tim-3 antibody
WO2013006490A2 (en)2011-07-012013-01-10Cellerant Therapeutics, Inc.Antibodies that specifically bind to tim3
WO2013079174A1 (en)2011-11-282013-06-06Merck Patent GmbhAnti-pd-l1 antibodies and uses thereof
WO2014055648A1 (en)2012-10-022014-04-10Bristol-Myers Squibb CompanyCombination of anti-kir antibodies and anti-pd-1 antibodies to treat cancer
WO2014055897A2 (en)2012-10-042014-04-10Dana-Farber Cancer Institute, Inc.Human monoclonal anti-pd-l1 antibodies and methods of use
WO2014150677A1 (en)2013-03-152014-09-25Bristol-Myers Squibb CompanyInhibitors of indoleamine 2,3-dioxygenase (ido)
WO2014194302A2 (en)2013-05-312014-12-04Sorrento Therapeutics, Inc.Antigen binding proteins that bind pd-1
WO2014195852A1 (en)2013-06-032014-12-11Glaxosmithkline Intellectual Property (No.2) LimitedCombinations of an anti-pd-l1 antibody and a mek inhibitor and/or a braf inhibitor
WO2015035606A1 (en)2013-09-132015-03-19Beigene, Ltd.Anti-pd1 antibodies and their use as therapeutics and diagnostics
WO2015048520A1 (en)2013-09-272015-04-02Genentech, Inc.Anti-pdl1 antibody formulations
WO2015117002A1 (en)2014-01-312015-08-06Novartis AgAntibody molecules to tim-3 and uses thereof
WO2018209304A1 (en)*2017-05-122018-11-15Harpoon Therapeutics, Inc.Msln targeting trispecific proteins and methods of use
WO2021180823A1 (en)*2020-03-112021-09-16AffilogicVariants of sac7d and their use in cancer therapy
WO2023006975A2 (en)*2021-07-302023-02-02INSERM (Institut National de la Santé et de la Recherche Médicale)Chimeric proteins and methods of immunotherapy
US20230085834A1 (en)*2021-09-172023-03-23The Trustees Of The University Of PennsylvaniaChimeric Antigen Receptors Comprising Interleukin-9 Receptor Signaling Domain

Non-Patent Citations (65)

* Cited by examiner, † Cited by third party
Title
AGNEW CHEM INTL. ED. ENGL., vol. 33, 1994, pages 183 - 186
BAYER ET AL.: "Current Protocols in Immunology", vol. 10, 1992, GREENE PUBLISHING ASSOC. AND WILEY INTERSCIENCE, article "Immunochemical Applications of Avidin-Biotin Technology", pages: 149 - 162
BÉHAR, G. ET AL.: "Tolerance of the archaeal Sac7d scaffold protein to alternative library designs: characterization of anti-immunoglobulin G Affitins", PROTEIN ENGINEERING, DESIGN AND SELECTION, vol. 26, 2013, pages 267 - 275, XP003035632, DOI: 10.1093/protein/gzs106
BÉHAR, G. ET AL.: "Whole-bacterium ribosome display selection for isolation of highly specific anti-Staphyloccocus aureus Affitins for detection- and capture-based biomedical applications", BIOTECHNOL BIOENG, vol. 116, 2019, pages 1844 - 1855
BÉHAR, G.RENODON-CORNIÈRE, A.MOURATOU, B.PECORARI, F.: "Affitins as robust tailored reagents for affinity chromatography purification of antibodies and non-immunoglobulin proteins", J CHROMATOGR A, vol. 1441, 2016, pages 44 - 51, XP029464321, DOI: 10.1016/j.chroma.2016.02.068
BENLOUCIF, A. ET AL.: "Rapid nanobody-based imaging of mesothelin expressing malignancies compatible with blocking therapeutic antibodies", FRONT IMMUNOL, vol. 14, 2023, pages 1200652
BRAGINA, O. ET AL.: "Phase I Study of 99mTc-ADAPT6, a Scaffold Protein-Based Probe for Visualization of HER2 Expression in Breast Cancer", J NUCL MED, vol. 62, 2021, pages 493 - 499
CHEN ET AL., ADV DRUG DELIV REV., vol. 65, no. 10, October 2013 (2013-10-01), pages 1357 - 69
CLÉMENCEAU, B. ET AL.: "In Vitro and In Vivo Comparison of Lymphocytes Transduced with a Human CD16 or with a Chimeric Antigen Receptor Reveals Potential Off-Target Interactions due to the IgG2 CH2-CH3 CAR-Spacer", J IMMUNOL RES, vol. 2015, 2015, pages 482089
CORREA, A. ET AL.: "Potent and Specific Inhibition of Glycosidases by Small Artificial Binding Proteins (Affitins", PLOS ONE, vol. 9, 2014, pages e97438
DAMMICCO, S. ET AL.: "Regiospecific radiolabelling of Nanofitin on Ni magnetic beads with [18F]FBEM and in vivo PET studies", NUCLEAR MEDICINE AND BIOLOGY, vol. 51, 2017, pages 33 - 39
GOUX, M. ET AL.: "Nanofitin as a New Molecular-Imaging Agent for the Diagnosis of Epidermal Growth Factor Receptor Over-Expressing Tumors", BIOCONJUGATE CHEM., vol. 28, 2017, pages 2361 - 2371, XP055722611, DOI: 10.1021/acs.bioconjchem.7b00374
GRANTHAM, R.: "Amino acid difference formula to help explain protein evolution", SCIENCE, vol. 185, 1974, pages 862 - 864
GUEUGNON, F. ET AL.: "Identification of novel markers for the diagnosis of malignant pleural mesothelioma", AM. J. PATHOL., vol. 178, 2011, pages 1033 - 1042, XP055082551, DOI: 10.1016/j.ajpath.2010.12.014
HAFEEZ, U.PARAKH, S.GAN, H. K.SCOTT, A. M.: "Antibody-Drug Conjugates for Cancer Therapy", MOLECULES, vol. 25, 2020, pages 4764
HAGERTY, B. L.PEGNA, G. J.XU, J.TAI, C.-H.ALEWINE, C.: "Mesothelin-Targeted Recombinant Immunotoxins for Solid Tumors", BIOMOLECULES, vol. 10, 2020, pages 973
HARLOW ET AL.: "Antibodies: A Laboratory Manual", 1988, COLD SPRING HARBOR LABORATORY PRESS
HASSAN, R. ET AL.: "Mesothelin Immunotherapy for Cancer: Ready for Prime Time?", J CLIN ONCOL, vol. 34, 2016, pages 4171 - 4179, XP055417756, DOI: 10.1200/JCO.2016.68.3672
HASSAN, R. ET AL.: "Phase II Clinical Trial of Amatuximab, a Chimeric Antimesothelin Antibody with Pemetrexed and Cisplatin in Advanced Unresectable Pleural Mesothelioma", CLINICAL CANCER RESEARCH, vol. 20, 2014, pages 5927 - 5936, XP055340544, DOI: 10.1158/1078-0432.CCR-14-0804
HASSAN, R. ET AL.: "Preclinical evaluation of MORAb-009, a chimeric antibody targeting tumor-associated mesothelin", CANCER IMMUN., vol. 7, 2007, pages 20, XP009136272
HOBER, S.LINDBO, S.NILVEBRANT, J.: "Bispecific applications of non-immunoglobulin scaffold binders", METHODS, vol. 154, 2019, pages 143 - 152, XP055720194, DOI: 10.1016/j.ymeth.2018.09.010
HU, Z. I.GHAFOOR, A.SENGUPTA, M.HASSAN, R.: "Malignant mesothelioma: Advances in immune checkpoint inhibitor and mesothelin-targeted therapies", CANCER, vol. 127, 2021, pages 1010 - 1020
HUET, S.GORRE, H.PERROCHEAU, A.PICOT, J.CINIER, M.: "Use of the Nanofitin Alternative Scaffold as a GFP-Ready Fusion Tag", PLOS ONE, vol. 10, 2015, pages e0142304
KALICHUK VALENTINA ET AL: "Affitins: Ribosome Display for Selection of Aho7c-Based Affinity Proteins", PLANT MEIOSIS, METHODS IN MOLECULAR BIOLOGY, SPRINGER NEW YORK, NEW YORK, vol. 2070, 1 January 2020 (2020-01-01), pages 19 - 41, XP009553949*
KALICHUK, V. ET AL.: "A novel, smaller scaffold for Affitins: Showcase with binders specific for EpCAM", BIOTECHNOL. BIOENG., vol. 115, 2018, pages 290 - 299, XP071153733, DOI: 10.1002/bit.26463
KALICHUK, V. ET AL.: "Affitins: Ribosome Display for Selection of Aho7c-Based Affinity Proteins", METHODS MOL BIOL, vol. 2070, 2020, pages 19 - 41, XP009553949
KALICHUK, V. ET AL.: "The archaeal ''7 kDa DNA-binding'' proteins: extended characterization of an old gifted family", SCI REP, vol. 6, 2016, pages 37274, XP093197537, DOI: 10.1038/srep37274
KENNEDY ET AL., CLIN. CHIM. ACTA, vol. 70, no. 1, 1976
KLAMPATSA, A.DIMOU, V.ALBELDA, S. M.: "Mesothelin-targeted CAR-T cell therapy for solid tumors", EXPERT OPINION ON BIOLOGICAL THERAPY, vol. 21, 2021, pages 473 - 486, XP093054525, DOI: 10.1080/14712598.2021.1843628
KREHENBRINK, M. ET AL.: "Artificial Binding Proteins (Affitins) as Probes for Conformational Changes in Secretin PulD", JOURNAL OF MOLECULAR BIOLOGY, vol. 383, 2008, pages 1058 - 1068, XP025536489, DOI: 10.1016/j.jmb.2008.09.016
KUNERTREINHART, APPL MICROBIOL BIOTECHNOL., vol. 100, 2016, pages 3451 - 3461
LAMMERS, T., KIESSLING, F., HENNINK, W. E. & STORM, G.: "Drug targeting to tumors: Principles, pitfalls and (pre-) clinical progress.", JOURNAL OF CONTROLLED RELEASE, vol. 161, 2012, pages 175 - 187, XP028927185, DOI: 10.1016/j.jconrel.2011.09.063
LV, J.LI, P.: "Mesothelin as a biomarker for targeted therapy", BIOMARK RES, vol. 7, 2019, pages 18, XP055785922, DOI: 10.1186/s40364-019-0169-8
MA, J.TANG, W. K.ESSER, L.PASTAN, I.XIA, D.: "Recognition of mesothelin by the therapeutic antibody MORAb-009: structural and mechanistic insights", J. BIOL. CHEM., vol. 287, 2012, pages 33123 - 33131, XP055046048, DOI: 10.1074/jbc.M112.381756
MELLMAN ET AL., NATURE, vol. 480, 2011, pages 480 - 489
MITRAN, B. ET AL.: "Affibody-mediated imaging of EGFR expression in prostate cancer using radiocobalt-labeled DOTA-ZEGFR:2377", ONCOLOGY REPORTS, vol. 41, 2019, pages 534 - 542
MORELLO, A.SADELAIN, M.ADUSUMILLI, P. S.: "Mesothelin-Targeted CARs: Driving T Cells to Solid Tumors", CANCER DISCOV, vol. 6, 2016, pages 133 - 146
MOURATOU, B. ET AL.: "Remodeling a DNA-binding protein as a specific in vivo inhibitor of bacterial secretin PulD", PROC. NATL. ACAD. SCI. U.S.A., vol. 104, 2007, pages 17983 - 17988, XP055000032, DOI: 10.1073/pnas.0702963104
MOURATOU, B.BÉHAR, G.PAILLARD-LAURANCE, L.COLINET, S.PECORARI, F.: "Ribosome display for the selection of Sac7d scaffolds", METHODS MOL BIOL, vol. 805, 2012, pages 315 - 331
MULLER, METH. ENZYMOL., vol. 92, 1983, pages 589 - 601
NIEDZIELA-MAJKA, A. ET AL.: "High-Throughput Screening of Formulations to Optimize the Thermal Stability of a Therapeutic Monoclonal Antibody", SLAS DISCOVERY, vol. 20, 2015, pages 552 - 559, XP093212748, DOI: 10.1177/1087057114557781
NITTINGER, E. ET AL.: "Water molecules in protein-ligand interfaces. Evaluation of software tools and SAR comparison", J COMPUT AIDED MOL DES, vol. 33, 2019, pages 307 - 330, XP036724373, DOI: 10.1007/s10822-019-00187-y
PARDOLL, NATURE REV CANCER, vol. 12, 2012, pages 252 - 264
PAU ET AL., VACCINE, vol. 19, no. 17-19, 21 December 2000 (2000-12-21), pages 2716 - 21
PRANTNER, A. M. ET AL.: "Anti-Mesothelin Nanobodies for Both Conventional and Nanoparticle-Based Biomedical Applications", J BIOMED NANOTECHNOL, vol. 11, 2015, pages 1201 - 1212, XP009524428, DOI: 10.1166/jbn.2015.2063
RIJAVEC, E.BIELLO, F.BARLETTA, G.DELLEPIANE, C.GENOVA, C.: "Novel approaches for the treatment of unresectable malignant pleural mesothelioma: A focus on immunotherapy and target therapy (Review", MOL CLIN ONCOL, vol. 16, 2022, pages 89
ROBINSON, H. ET AL.: "The hyperthermophile chromosomal protein Sac7d sharply kinks DNA", NATURE, vol. 392, 1998, pages 202 - 205, XP002303418, DOI: 10.1038/32455
SCHURS ET AL., CLIN. CHIM. ACTA, vol. 81, no. 1, pages 1977
SHA, F.SALZMAN, G.GUPTA, A.KOIDE, S.: "Monobodies and other synthetic binding proteins for expanding protein science", PROTEIN SCI, vol. 26, 2017, pages 910 - 924, XP055893730, DOI: 10.1002/pro.3148
SHIH ET AL., INT'L J. CANCER, vol. 46, 1990, pages 1101
SHUKRA ET AL., EUR J MICROBIOL IMMUNOL (BP, vol. 4, no. 2, 2014, pages 91 - 98
SIMEON, R.CHEN, Z.: "In vitro-engineered non-antibody protein therapeutics", PROTEIN CELL, vol. 9, 2018, pages 3 - 14
ŠKRLEC, K.STRUKELJ, B.BERLEC, A.: "Non-immunoglobulin scaffolds: a focus on their targets", TRENDS BIOTECHNOL, vol. 33, 2015, pages 408 - 418, XP029175810, DOI: 10.1016/j.tibtech.2015.03.012
STEIN ET AL., CANCER RES., vol. 50, 1990, pages 1330
SU, S. ET AL.: "Crystal structures of the chromosomal proteins Sso7d/Sac7d bound to DNA containing T-G mismatched base-pairs", J MOL BIOL, vol. 303, 2000, pages 395 - 403, XP004465974, DOI: 10.1006/jmbi.2000.4112
TAREEN, A.KINNEY, J. B.: "Logomaker: beautiful sequence logos in Python", BIOINFORMATICS, vol. 36, 2020, pages 2272 - 2274
THOMAS, A.TEICHER, B. A.ASSAN, R.: "Antibody-drug conjugates for cancer therapy", LANCET ONCOL, vol. 17, 2016, pages e254 - e262, XP055658539, DOI: 10.1016/S1470-2045(16)30030-4
TSAO, A. S.PASS, H. I.RIMNER, A.MANSFIELD, A. S.: "New Era for Malignant Pleural Mesothelioma: Updates on Therapeutic Options", J CLIN ONCOL, vol. 40, 2022, pages 681 - 692
VALENTINA KALICHUK ET AL: "A novel, smaller scaffold for Affitins: Showcase with binders specific for EpCAM", BIOTECHNOLOGY AND BIOENGINEERING, JOHN WILEY, HOBOKEN, USA, vol. 115, no. 2, 6 November 2017 (2017-11-06), pages 290 - 299, XP071153733, ISSN: 0006-3592, DOI: 10.1002/BIT.26463*
VALLERA, D. A. ET AL.: "Heterodimeric bispecific single-chain variable-fragment antibodies against EpCAM and CD16 induce effective antibody-dependent cellular cytotoxicity against human carcinoma cells", CANCER BIOTHER RADIOPHARM, vol. 28, 2013, pages 274 - 282, XP055858030, DOI: 10.1089/cbr.2012.1329
VAZQUEZ-LOMBARDI, R. ET AL.: "Challenges and opportunities for non-antibody scaffold drugs", DRUG DISCOV TODAY, vol. 20, 2015, pages 1271 - 1283, XP055365149, DOI: 10.1016/j.drudis.2015.09.004
VUKOJICIC, P. ET AL.: "Multivalent Affidendrons with High Affinity and Specificity toward Staphylococcus aureus as Versatile Tools for Modulating Multicellular Behaviors", ACS APPL. MATER. INTERFACES, vol. 11, 2019, pages 21391 - 21398
WILCHEK ET AL.: "Methods In Enzymology", vol. 184, 1990, ACADEMIC PRESS, article "Avidin-Biotin Technology"
ZAHND, C.AMSTUTZ, P.PLUCKTHUN, A.: "Ribosome display: selecting and evolving proteins in vitro that specifically bind to a target", NAT METHODS, vol. 4, 2007, pages 269 - 279, XP002639209, DOI: 10.1038/NMETH1003
ZHAI, X.MAO, L.WU, M.LIU, J.YU, S.: "Challenges of Anti-Mesothelin CAR-T-Cell Therapy", CANCERS (BASEL, vol. 15, 2023, pages 1357

Similar Documents

PublicationPublication DateTitle
JP6861418B2 (en) Antibodies specific for human T cell immunoglobulin and ITIM domain (TIGIT)
KR102630011B1 (en) PSGL-1 antagonists and their uses
US20190345228A1 (en)Targeted therapeutic agents comprising multivalent protein-biopolymer fusions
CN108546300B (en)Molecules that bind EGFR and C-MET fibronectin type III domain
US20160340674A1 (en)Compositions and Methods to Inhibit EZH2 for the Treatment of Cardiovascular Diseases
US20250099582A1 (en)Treatment of patients diagnosed with pancreatic ductal adenocarcinoma using monoclonal antibodies against the epidermal growth factor receptor (egfr)
US20250186582A1 (en)Methods for detecting and reversing immune therapy resistance
US20230227823A1 (en)Fmrp and cancer treatment
KR20250004742A (en) Preparations for the treatment of endometriosis and other benign gynecological neoplasms
CN115028738B (en) A dual-targeted degradation agent of Fc fusion protein and its application
WO2014085821A2 (en)Fully human antibodies and fragments recognizing human c-met
WO2025132770A1 (en)Affitins for the treatment of cancer
CN110627905A (en) Bifunctional fusion protein targeting VEGF and EGFR and its application
US9581598B2 (en)Diagnosis and treatment of brain tumor
US20160067314A1 (en)Compositions and methods for inhibiting chemoresistance in cancer and improving response to therapy
EP3584258A1 (en)Antibodies anti tumor associated antigens and method for obtaining them
CN113398270B (en)Method for treating bone giant cell tumor
US20230266332A1 (en)Methods and compositions for preventing and treating a cancer
KR20180129585A (en)MAGE-1 specific aptamer and use thereof
US20220047701A1 (en)Combination of her2/neu antibody with heme for treating cancer
WO2025068426A1 (en)Treatment of cancers associated with beta-catenin
HK1261133A1 (en)Egfr and c-met-fibronectin type iii domain binding molecules
HK1261133B (en)Egfr and c-met-fibronectin type iii domain binding molecules
하승균Development of novel cyclic form of fluorephore-or radiotracer-labeled c-Met peptide to detect high-c-Met expressing lung cancer

Legal Events

DateCodeTitleDescription
121Ep: the epo has been informed by wipo that ep was designated in this application

Ref document number:24833987

Country of ref document:EP

Kind code of ref document:A1


[8]ページ先頭

©2009-2025 Movatter.jp