Movatterモバイル変換


[0]ホーム

URL:


WO2025132529A1 - Zeolite adsorbent for separating hydrocarbon isomers - Google Patents

Zeolite adsorbent for separating hydrocarbon isomers
Download PDF

Info

Publication number
WO2025132529A1
WO2025132529A1PCT/EP2024/087029EP2024087029WWO2025132529A1WO 2025132529 A1WO2025132529 A1WO 2025132529A1EP 2024087029 WEP2024087029 WEP 2024087029WWO 2025132529 A1WO2025132529 A1WO 2025132529A1
Authority
WO
WIPO (PCT)
Prior art keywords
adsorbent
zeolite
volume
barium
separation
Prior art date
Legal status (The legal status is an assumption and is not a legal conclusion. Google has not performed a legal analysis and makes no representation as to the accuracy of the status listed.)
Pending
Application number
PCT/EP2024/087029
Other languages
French (fr)
Inventor
Javier PEREZ-PELLITERO
Ludivine Bouvier
Maria MANKO
Alexandre SODREAU
Jérémy GAZARIAN
Current Assignee (The listed assignees may be inaccurate. Google has not performed a legal analysis and makes no representation or warranty as to the accuracy of the list.)
IFP Energies Nouvelles IFPEN
Arkema France SA
Original Assignee
IFP Energies Nouvelles IFPEN
Arkema France SA
Priority date (The priority date is an assumption and is not a legal conclusion. Google has not performed a legal analysis and makes no representation as to the accuracy of the date listed.)
Filing date
Publication date
Application filed by IFP Energies Nouvelles IFPEN, Arkema France SAfiledCriticalIFP Energies Nouvelles IFPEN
Publication of WO2025132529A1publicationCriticalpatent/WO2025132529A1/en
Pendinglegal-statusCriticalCurrent
Anticipated expirationlegal-statusCritical

Links

Classifications

Definitions

Landscapes

Abstract

The present invention relates to a zeolite adsorbent agglomerate containing faujasite (FAU) zeolite crystals, which zeolite adsorbent comprises barium or barium and potassium, the adsorbent having a pore distribution corresponding to inequalities (1) and (2), where VmaHg denotes the macropore volume of the adsorbent measured by mercury intrusion porosimetry, VmeN2 denotes the mesopore volume of the adsorbent measured by nitrogen adsorption, V2-3.6 corresponds to the mesopore volume for pore sizes ranging from 2 nm to 3.6 nm, V3.6-15 corresponds to the mesopore volume for pore sizes ranging from 3.6 nm to 15 nm, V2-3.6 is equal to V2-3.6 = VmeN2 - VmeHg where VmeHg denotes the mesopore volume of the adsorbent measured by mercury intrusion porosimetry, and V3.6-15 is determined by the difference between the volume of mercury introduced at 15 nm and that introduced at 3.6 nm, the volumes being expressed in cm3.g-1. In addition, the present invention relates to its preparation method. The invention also relates to the use of the zeolite adsorbent agglomerate for separating hydrocarbon mixtures as well as to the method for separating hydrocarbon mixtures using the zeolite adsorbent agglomerate.

Description

Translated fromFrench

Adsorbant zéolithique pour la séparation d’isomères d’hydrocarburesZeolite adsorbent for the separation of hydrocarbon isomers

DOMAINE TECHNIQUETECHNICAL FIELD

[0001] Le domaine de l’invention est celui de la production en phase liquide ou phase gaz d’isomères de xylènes, et notamment de para-xylène très pur à partir d'une charge d'hydrocarbures aromatiques contenant des isomères à 8 atomes de carbone.[0001] The field of the invention is that of the production in liquid phase or gas phase of xylene isomers, and in particular of very pure para-xylene from a feedstock of aromatic hydrocarbons containing isomers with 8 carbon atoms.

[0002] L’invention a pour but d'améliorer la productivité des procédés existants en jouant sur la nature de l’adsorbant. L'invention concerne donc des adsorbants à base de cristaux agglomérés de zéolithe faujasite, comprenant du baryum ou du baryum et du potassium et présentant une distribution mésoporeuse spécifique. Ces adsorbants présentent des propriétés améliorées de sélectivité pour l’obtention d’isomères de xylènes spécifiques et notamment de para-xylène de haute pureté.[0002] The aim of the invention is to improve the productivity of existing processes by acting on the nature of the adsorbent. The invention therefore relates to adsorbents based on agglomerated crystals of faujasite zeolite, comprising barium or barium and potassium and having a specific mesoporous distribution. These adsorbents have improved selectivity properties for obtaining specific xylene isomers and in particular high-purity para-xylene.

TECHNIQUE ANTERIEUREPRIOR TECHNIQUE

[0003] Le marché des xylènes, et notamment du para-xylène de haute pureté est considéré comme un marché en forte expansion, ses débouchés étant principalement la production d'acide téréphtalique (noté PTA) obtenu par oxydation du paraxylène, à l’origine des fibres polyesters utilisées notamment pour les vêtements et des résines et films de polyéthylène-téréphtalate (noté PET).[0003] The market for xylenes, and in particular for high-purity para-xylene, is considered to be a rapidly expanding market, its outlets being mainly the production of terephthalic acid (noted PTA) obtained by oxidation of paraxylene, the origin of polyester fibres used in particular for clothing and polyethylene terephthalate resins and films (noted PET).

[0004] Le paraxylène de haute pureté est produit par valorisation des xylènes selon un procédé dit de « boucle C8-aromatiques », incluant des étapes de séparation (élimination des composés lourds dans la « colonne des xylènes », extraction du paraxylène) et d’isomérisation des xylènes. L'extraction du paraxylène de haute pureté par adsorption sélective est bien connue de l'art antérieur. L’arrière-plan technologique décrivant la production de paraxylène est illustré dans le brevet FR2681066, et se base principalement sur la séparation du paraxylène à partir d'une charge d'hydrocarbures aromatiques essentiellement à 8 atomes de carbone au sein d'un adsorbeur par contact avec un lit d'adsorbant zéolithique en présence d'un solvant de désorption (désorbant) approprié.[0004] High purity paraxylene is produced by upgrading xylenes using a so-called "C8-aromatic loop" process, including steps of separation (removal of heavy compounds in the "xylene column", extraction of paraxylene) and isomerization of xylenes. The extraction of high purity paraxylene by selective adsorption is well known in the prior art. The technological background describing the production of paraxylene is illustrated in patent FR2681066, and is mainly based on the separation of paraxylene from a feedstock of aromatic hydrocarbons essentially with 8 carbon atoms. within an adsorber by contact with a bed of zeolite adsorbent in the presence of a suitable desorption solvent (desorbent).

[0005] Le procédé de séparation des xylènes par exemple en lit mobile simulé (LMS) a connu de très nombreuses améliorations technologiques, notamment au niveau des plateaux distributeurs des fluides, et également des évolutions substantielles des caractéristiques chimiques des solides adsorbants.[0005] The process of separating xylenes, for example in a simulated moving bed (SMB), has undergone numerous technological improvements, particularly at the level of the fluid distribution trays, and also substantial developments in the chemical characteristics of the adsorbent solids.

[0006] Les brevets US3558732 et US4255607 montrent que des adsorbants zéolithiques comprenant des aluminosilicates à base de potassium ou de baryum, ou de potassium et baryum sont efficaces pour la séparation du para-xylène présent dans des coupes aromatiques en C8 (coupes comprenant des hydrocarbures aromatiques à 8 atomes de carbone).[0006] Patents US3558732 and US4255607 show that zeolitic adsorbents comprising aluminosilicates based on potassium or barium, or potassium and barium are effective for the separation of para-xylene present in C8 aromatic cuts (cuts comprising aromatic hydrocarbons with 8 carbon atoms).

[0007] L’enseignement général sur les caractéristiques chimiques de ces solides adsorbants est qu’il faut utiliser une zéolithe de structure faujasite (zéolithe X ou Y) échangée au baryum (à au moins 90%, exprimé en taux d’échange) ou échangée très majoritairement au baryum et de manière minoritaire au potassium (par exemple de 2 à 33%).[0007] The general teaching on the chemical characteristics of these adsorbent solids is that it is necessary to use a zeolite of faujasite structure (zeolite X or Y) exchanged with barium (at least 90%, expressed in exchange rate) or exchanged very predominantly with barium and to a minor extent with potassium (for example from 2 to 33%).

[0008] En particulier, pour augmenter la productivité du procédé de séparation, l’art antérieur enseigne qu’une manière consiste à améliorer la sélectivité de l'adsorbant pour le para-xylène.[0008] In particular, to increase the productivity of the separation process, the prior art teaches that one way is to improve the selectivity of the adsorbent for para-xylene.

[0009] Pour améliorer la sélectivité d'adsorption de zéolithes ayant la structure faujasite pour les isomères aromatiques en C8, de nombreuses études ont fait mention de l'influence du rapport Si/AI de la zéolithe, de la nature des cations d'échange, ainsi que de leur teneur en eau.[0009] To improve the adsorption selectivity of zeolites having the faujasite structure for C8 aromatic isomers, many studies have mentioned the influence of the Si/Al ratio of the zeolite, the nature of the exchange cations, as well as their water content.

[0010] Il est connu du brevet US8735643 un adsorbant aggloméré à base de zéolithe LSX échangée au baryum et éventuellement au potassium. Il est également connu des brevets US10913695 et US10745329 des adsorbants agglomérés à base de zéolithe X échangés au baryum et au potassium, qui présentent des productivités améliorées en fonction de la teneur en cations présents dans l’adsorbant.[0010] Patent US8735643 discloses an agglomerated adsorbent based on LSX zeolite exchanged with barium and possibly potassium. Patents US10913695 and US10745329 also disclose agglomerated adsorbents based on X zeolite exchanged with barium and potassium, which exhibit improved productivities depending on the content of cations present in the adsorbent.

[0011] Par ailleurs, dans le brevet US10940458, les adsorbants zéolithiques sous forme d’agglomérés présentent des propriétés optimisées pour la séparation de mélanges gazeux ou liquides d’isomères avec en particulier des propriétés maximales de sélectivité vis-à-vis du para-xylène et de transfert de matière, tout en présentant une résistance améliorée et une capacité d’adsorption par volume d’adsorbant élevées. Ce brevet enseigne qu’il n'est pas souhaitable d'augmenter fortement la macroporosité et/ou mésoporosité, donc la porosité de grain car cette porosité ne participe pas à la capacité d'adsorption. L’optimisation des propriétés de diffusion et des capacités d’adsorption optimales, ont été obtenues en sélectionnant de manière spécifique à la fois la porosité et le facteur de tortuosité : conditions sur le volume mésoporeux noté Vmeso, un facteur de tortuosité contrôlé et une capacité d’adsorption élevée (porosité de grain comprise entre 25-35% et Vmi/Vmeso+Vmacro+Vmi > 0,4).[0011] Furthermore, in patent US10940458, the zeolite adsorbents in the form of agglomerates have optimized properties for the separation of gaseous or liquid mixtures of isomers with in particular maximum properties of selectivity with respect to para-xylene and of transfer of matter, while with improved resistance and high adsorption capacity per volume of adsorbent. This patent teaches that it is not desirable to significantly increase macroporosity and/or mesoporosity, therefore grain porosity, because this porosity does not contribute to the adsorption capacity. Optimization of diffusion properties and optimal adsorption capacities were obtained by specifically selecting both the porosity and the tortuosity factor: conditions on the mesoporous volume noted Vmeso, a controlled tortuosity factor and a high adsorption capacity (grain porosity between 25-35% and Vmi/Vmeso+Vmacro+Vmi > 0.4).

[0012] Des recherches sont ainsi menées sur les adsorbants, afin d’améliorer leur sélectivité, leurs propriétés de diffusion et leur capacité d’adsorption pour les xylènes.[0012] Research is thus carried out on adsorbents, in order to improve their selectivity, their diffusion properties and their adsorption capacity for xylenes.

[0013] Il a été trouvé par les inventeurs que la mésoporosité, dite « petite mésoporosité », allant de 2 à 15 nm, et notamment la distribution de la taille des pores dans cette gamme spécifique, avait un impact direct sur la sélectivité pour l’isomère recherché.[0013] It was found by the inventors that the mesoporosity, called “small mesoporosity”, ranging from 2 to 15 nm, and in particular the distribution of the pore size in this specific range, had a direct impact on the selectivity for the desired isomer.

[0014] De manière générale, les adsorbants utilisés dans le domaine de la séparation de xylènes présentent tous une macroporosité et une mésoporosité. La petite mésoporosité est généralement négligée. En effet, elle est difficilement mesurable. Elle peut être mesurée en comparant la mésoporosité mesurée par adsorption d’azote et la mésoporosité mesurée par porosimétrie par intrusion de mercure. Habituellement, l’une ou l’autre des mesures est effectuée, rarement les deux.[0014] Generally speaking, the adsorbents used in the field of xylene separation all have macroporosity and mesoporosity. Small mesoporosity is generally neglected. Indeed, it is difficult to measure. It can be measured by comparing the mesoporosity measured by nitrogen adsorption and the mesoporosity measured by mercury intrusion porosimetry. Usually, one or the other of the measurements is carried out, rarely both.

[0015] Or, il a été trouvé qu’en sélectionnant des ratios spécifiques de ces mésopores dans la gamme allant de 2 à 15 nm, les adsorbants présentaient un comportement plus sélectif vis-à-vis de l’isomère du xylène recherché présent dans la charge d'hydrocarbures aromatiques contenant des isomères à 8 atomes de carbone à séparer.[0015] Now, it has been found that by selecting specific ratios of these mesopores in the range from 2 to 15 nm, the adsorbents exhibited a more selective behavior with respect to the desired xylene isomer present in the feedstock of aromatic hydrocarbons containing isomers with 8 carbon atoms to be separated.

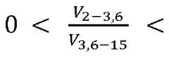
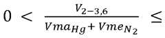
[0016] L'invention concerne des adsorbants zéolithiques agglomérés à base de cristaux de zéolithe de type faujasite (FAU), adsorbants zéolithiques comprenant du baryum ou du baryum et potassium et présentant un comportement sélectif vis- à-vis du para-xylène présent dans la charge d'hydrocarbures aromatiques contenant des isomères à 8 atomes de carbone à séparer. [0017] La particularité de cet adsorbant est qu'il présente une distribution mésoporeuse qui satisfait aux deux inéquations suivantes : 0,050

Figure imgf000006_0001
plus préférentiellement 0 < - - < 0,045[0016] The invention relates to agglomerated zeolite adsorbents based on faujasite (FAU) type zeolite crystals, zeolite adsorbents comprising barium or barium and potassium and exhibiting selective behavior with respect to para-xylene present in the charge of aromatic hydrocarbons containing isomers with 8 carbon atoms to be separated. [0017] The particularity of this adsorbent is that it has a mesoporous distribution which satisfies the following two inequalities: 0.050
Figure imgf000006_0001
more preferably 0 < - - < 0.045

Vma ig+ Vme^2Vma ig+ Vme^2

2) 2,5

Figure imgf000006_0002
de préférence 0 <1/2~3,6 < 2,0 plus préférentiellement 0 <1/2~3,6 < 1,8.
Figure imgf000006_0003
2) 2.5
Figure imgf000006_0002
preferably 0 <1/2 ~3.6 < 2.0 more preferably 0 <1/2 ~3.6 < 1.8.
Figure imgf000006_0003

RESUME DE L’INVENTIONSUMMARY OF THE INVENTION

[0018] Ainsi, et selon un premier aspect, l’invention concerne un adsorbant zéolithique aggloméré à base de cristaux de zéolithe de type faujasite (FAU), adsorbants zéolithiques comprenant du baryum ou du baryum et du potassium, ledit adsorbant présentant une distribution poreuse répondant aux deux inéquations suivantes :[0018] Thus, and according to a first aspect, the invention relates to an agglomerated zeolite adsorbent based on faujasite (FAU) type zeolite crystals, zeolite adsorbents comprising barium or barium and potassium, said adsorbent having a porous distribution corresponding to the following two inequalities:

1 ) 0,060 et

Figure imgf000006_0004
1) 0.060 and
Figure imgf000006_0004

2) 2,5

Figure imgf000006_0005
dans lesquelles2) 2.5
Figure imgf000006_0005
in which

VmaHg désigne le volume macroporeux de l’adsorbant mesuré par porosimétrie par intrusion de mercure,VmaHg denotes the macropore volume of the adsorbent measured by mercury intrusion porosimetry,

VmeN2 désigne le volume mésoporeux de l’adsorbant mesuré par adsorption d’azote,VmeN2 denotes the mesoporous volume of the adsorbent measured by nitrogen adsorption,

V2-3.6 correspond au volume mésoporeux pour des tailles de pore allant de 2 nm à 3,6 nm,V2-3.6 corresponds to the mesoporous volume for pore sizes ranging from 2 nm to 3.6 nm,

V3.6-15 correspond au volume mésoporeux pour des tailles de pore allant de 3,6 nm à 15 nm,V3.6-15 corresponds to the mesoporous volume for pore sizes ranging from 3.6 nm to 15 nm,

V2-3.6 est égal à : V2-3.6 = VmeN2 - VmeHg dans laquelle VmeHg désigne le volume mésoporeux de l’adsorbant mesuré par porosimétrie par intrusion de mercure,V2-3.6 is equal to: V2-3.6 = VmeN2 - VmeHg in which VmeHg denotes the mesoporous volume of the adsorbent measured by mercury intrusion porosimetry,

V3.6-15 est déterminé par la différence entre le volume de mercure introduit à 15 nm et celui introduit à 3,6 nm, les volumes étant exprimés en cm3. g'1.V3.6-15 is determined by the difference between the volume of mercury introduced at 15 nm and the one introduced at 3.6 nm, the volumes being expressed in cm3 . g'1 .

[0019] Dans des modes de réalisation, l’adsorbant selon l’invention comprend une ou plusieurs des caractéristiques additionnelles suivantes :[0019] In embodiments, the adsorbent according to the invention comprises one or more of the following additional characteristics:

- la distribution poreuse répond à l’inéquation suivante :

Figure imgf000007_0001
de préférence 0,045 et
Figure imgf000007_0002
- the porous distribution responds to the following inequality:
Figure imgf000007_0001
preferably 0.045 and
Figure imgf000007_0002

- la distribution poreuse répond à l’inéquation suivante :- the porous distribution responds to the following inequality:

0 < 2,0 , de préférence 0 < 1,8

Figure imgf000007_0003
Figure imgf000007_0004
0 < 2.0, preferably 0 < 1.8
Figure imgf000007_0003
Figure imgf000007_0004

-l’adsorbant zéolithique aggloméré présente un rapport Si/AI supérieur ou égal à 1 ,0 et inférieur ou égal à 3 (tel que 1 ,0 < Si/AI < 3,0), en particulier de supérieur ou égal à 1 ,0 et inférieur ou égal à 1 ,5 (1 ,0 < Si/AI < 1 ,5), de préférence strictement supérieur à 1 ,0 et strictement inférieur à 1 ,5, et avantageusement le rapport Si/AI est compris entre 1 ,1 et 1 ,4, bornes incluses-the agglomerated zeolite adsorbent has a Si/AI ratio greater than or equal to 1.0 and less than or equal to 3 (such that 1.0 < Si/AI < 3.0), in particular greater than or equal to 1.0 and less than or equal to 1.5 (1.0 < Si/AI < 1.5), preferably strictly greater than 1.0 and strictly less than 1.5, and advantageously the Si/AI ratio is between 1.1 and 1.4, limits included

- l’adsorbant comprend des cristaux de taille (ou diamètre moyen) inférieure ou égale à 1 ,50 pm mesuré par observation au microscope électronique à balayage, et de préférence comprise entre 0,05 pm et 1 ,50 pm, de préférence entre 0,10 pm et 1 ,00 pm, de manière préférée entre 0,10 pm et 0,80 pm et de manière encore plus préférée entre 0,30 pm et 0,80 pm,- the adsorbent comprises crystals of size (or average diameter) less than or equal to 1.50 pm measured by observation under a scanning electron microscope, and preferably between 0.05 pm and 1.50 pm, preferably between 0.10 pm and 1.00 pm, preferably between 0.10 pm and 0.80 pm and even more preferably between 0.30 pm and 0.80 pm,

-l’adsorbant se présente sous forme de billes présentant un diamètre moyen en nombre compris entre 0,1 mm et 2 mm, de préférence entre 0,3 mm et 2 mm, et en particulier entre 0,3 mm et 0,8 mm, déterminé par analyse de la distribution granulométrique d'un échantillon d'aggloméré par imagerie selon la norme ISO 13322-2:2006, puis calculé en appliquant la norme ISO 9276-2:2001.-the adsorbent is in the form of beads having a number average diameter of between 0.1 mm and 2 mm, preferably between 0.3 mm and 2 mm, and in particular between 0.3 mm and 0.8 mm, determined by analysis of the particle size distribution of an agglomerate sample by imaging according to standard ISO 13322-2:2006, then calculated by applying standard ISO 9276-2:2001.

[0020] L’invention a également pour objet un procédé de préparation d’un adsorbant zéolithique tel que défini ci-dessus comprenant au moins les étapes suivantes: a) mélange de cristaux d’au moins une zéolithe faujasite, avec un liant d’agglomération contenant au moins 80%, en poids d'argile zéolithisable, et éventuellement une source de silice, mise en forme du mélange obtenu, et cuisson à une température comprise entre 500°C à 700°C, pendant une durée comprise entre quelques minutes et quelques heures, typiquement entre 2 minutes et 12 heures, b1 ) une première étape d'immersion dans une solution basique alcaline, de concentration comprise entre 0,2 M et 2 M, bornes incluses, à une température comprise entre la température ambiante et 50°C, avec temps de contact compris entre quelques minutes et quelques heures, de préférence compris entre 5 minutes et 3 heures, b2) à l'issue de cette étape de mise en contact, on impose une montée en température allant de la température ambiante à une température comprise entre 90°C et 105°C pendant une durée d’une seconde à moins d'une heure, c) échange des cations des agglomérés par mise en contact avec une solution d’ions baryum, ou d’ions baryum et d’ions potassium, d) lavage et séchage des agglomérés zéolithiques ainsi obtenus, et e) activation par chauffage de l’adsorbant zéolithique sous forme d’agglomérés obtenus à l’étape d), à une température comprise entre 100°C et 400°C.[0020] The invention also relates to a process for preparing a zeolitic adsorbent as defined above, comprising at least the following steps: a) mixing crystals of at least one faujasite zeolite, with an agglomeration binder containing at least 80%, by weight of zeolithizable clay, and optionally a source of silica, shaping the mixture obtained, and firing at a temperature of between 500°C and 700°C, for a period of between a few minutes and a few hours, typically between 2 minutes and 12 hours, b1) a first step of immersion in an alkaline basic solution, with a concentration of between 0.2 M and 2 M, inclusive, at a temperature of between room temperature and 50°C, with a contact time of between a few minutes and a few hours, preferably between 5 minutes and 3 hours, b2) at the end of this contacting step, a temperature increase is imposed ranging from room temperature to a temperature of between 90°C and 105°C for a duration of one second to less than one hour, c) exchange of the cations of the agglomerates by contacting with a solution of barium ions, or barium ions and potassium ions, d) washing and drying the zeolite agglomerates thus obtained, and e) activation by heating of the zeolite adsorbent in the form of agglomerates obtained in step d), at a temperature of between 100°C and 400°C.

[0021] L’invention porte également sur une utilisation d'un adsorbant tel que défini ci- dessus ou susceptible d’être préparé selon le procédé défini ci-dessus, dans les procédés de :[0021] The invention also relates to a use of an adsorbent as defined above or capable of being prepared according to the process defined above, in the processes of:

• séparation de coupes d'isomères aromatiques en C8 et notamment des xylènes,• separation of C8 aromatic isomer cuts and in particular xylenes,

• séparation d'isomères de toluène substitué tels que nitrotoluène, diéthyltoluène, toluènediamine, et autres,• separation of substituted toluene isomers such as nitrotoluene, diethyltoluene, toluenediamine, and others,

• séparation des crésols,• separation of cresols,

• séparation des alcools polyhydriques, par exemple les sucres.• separation of polyhydric alcohols, for example sugars.

[0022] L’invention vise également un procédé de séparation de para-xylène à partir de coupes d'isomères d’hydrocarbures aromatiques contenant 8 atomes de carbone, en phase liquide, par adsorption du para-xylène, comprenant une étape de mise en contact de la charge avec un lit d'adsorbant zéolithique aggloméré tel que défini ci-dessus ou susceptible d’être préparé selon le procédé défini ci-dessus, en présence d'un désorbant.[0022] The invention also relates to a process for separating para-xylene from fractions of aromatic hydrocarbon isomers containing 8 carbon atoms, in the liquid phase, by adsorption of para-xylene, comprising a step of bringing the feedstock into contact with a bed of agglomerated zeolitic adsorbent as defined above or capable of being prepared according to the process defined above, in the presence of a desorbent.

[0023] L’invention vise enfin un procédé de séparation de para-xylène à partir de coupes d'isomères d’hydrocarbures aromatiques contenant 8 atomes de carbone, en phase gazeuse, par adsorption du para-xylène comprenant une étape de mise en contact de la charge avec un lit d'adsorbant zéolithique aggloméré tel que défini ci-dessus ou susceptible d’être préparé selon le procédé défini ci-dessus, en présence d'un désorbant. DESCRIPTION DES MODES DE REALISATION[0023] The invention finally relates to a process for separating para-xylene from fractions of aromatic hydrocarbon isomers containing 8 carbon atoms, in the gas phase, by adsorption of the para-xylene comprising a step of bringing the feedstock into contact with a bed of agglomerated zeolitic adsorbent as defined above or capable of being prepared according to the process defined above, in the presence of a desorbent. DESCRIPTION OF THE EMBODIMENTS

[0024] L’adsorbant zéolithique de l’invention comprend à la fois des macropores, des mésopores et des micropores. Par « macropores », on entend des pores dont l’ouverture est supérieure à 50 nm, de préférence comprise entre 50 nm et 400 nm. Par « mésopores », on entend des pores dont l’ouverture est comprise entre 2 nm et 50 nm, bornes non incluses. Par « micropores », on entend des pores dont l’ouverture est inférieure à 2 nm.[0024] The zeolite adsorbent of the invention comprises both macropores, mesopores and micropores. By “macropores” is meant pores whose opening is greater than 50 nm, preferably between 50 nm and 400 nm. By “mesopores” is meant pores whose opening is between 2 nm and 50 nm, limits not included. By “micropores” is meant pores whose opening is less than 2 nm.

[0025] Comme indiqué précédemment, l’adsorbant selon la présente invention se présente sous forme d’un adsorbant zéolithique aggloméré à base de cristaux de zéolithe de type faujasite (FAU), adsorbant zéolithique comprenant du baryum ou du baryum et du potassium, ledit adsorbant présentant une distribution poreuse répondant aux deux inéquations suivantes : 0,060

Figure imgf000009_0001
[0025] As indicated previously, the adsorbent according to the present invention is in the form of an agglomerated zeolite adsorbent based on faujasite (FAU) type zeolite crystals, a zeolite adsorbent comprising barium or barium and potassium, said adsorbent having a pore distribution corresponding to the following two inequalities: 0.060
Figure imgf000009_0001

2) 0 < < 2,52) 0 < < 2.5

V3,6-1S dans lesquellesV 3.6-1S in which

VmaHg désigne le volume macroporeux de l’adsorbant mesuré par porosimétrie par intrusion de mercure,VmaHg denotes the macropore volume of the adsorbent measured by mercury intrusion porosimetry,

VmeN2 désigne le volume mésoporeux de l’adsorbant mesuré par adsorption d’azote,VmeN2 denotes the mesoporous volume of the adsorbent measured by nitrogen adsorption,

V2-3.6 correspond au volume mésoporeux pour des tailles de pore allant de 2 nm à 3,6 nm,V2-3.6 corresponds to the mesoporous volume for pore sizes ranging from 2 nm to 3.6 nm,

V3.6-15 correspond au volume mésoporeux pour des tailles de pore allant de 3,6 nm à 15 nm,V3.6-15 corresponds to the mesoporous volume for pore sizes ranging from 3.6 nm to 15 nm,

X/2-3,6 est égal à : X/2-3,6 = VmeN2 - VmeHg dans laquelle VmeHg désigne le volume mésoporeux de l’adsorbant mesuré par porosimétrie par intrusion de mercure,X/2-3.6 is equal to: X/2-3.6 = VmeN2 - VmeHg in which VmeHg denotes the mesoporous volume of the adsorbent measured by mercury intrusion porosimetry,

V3.6-15 est déterminé par la différence entre le volume de mercure introduit à 15 nm et celui introduit à 3,6 nm, les volumes étant exprimés en cm3. g-1. Les volumes sont déterminés par des techniques de caractérisation définies ci-dessous.V3.6-15 is determined by the difference between the volume of mercury introduced at 15 nm and that introduced at 3.6 nm, the volumes being expressed in cm3 . g-1 . The volumes are determined by characterization techniques defined below.

[0026] L’adsorbant zéolithique aggloméré comporte une zéolithe de type faujasite. De préférence, il présente un rapport Si/AI supérieur ou égal à 1 ,0 et inférieur ou égal à 3 (tel que 1 ,0 < Si/AI < 3,0), en particulier de supérieur ou égal à 1 ,0 et inférieur ou égal à 1 ,5 (1 ,0 < Si/AI < 1 ,5), de préférence strictement supérieur à 1 ,0 et strictement inférieur à 1 ,5, et avantageusement le rapport Si/AI est compris entre 1 ,1 et 1 ,4, bornes incluses.[0026] The agglomerated zeolite adsorbent comprises a faujasite type zeolite. Preferably, it has a Si/Al ratio greater than or equal to 1.0 and less than or equal to to 3 (such that 1.0 < Si/AI < 3.0), in particular greater than or equal to 1.0 and less than or equal to 1.5 (1.0 < Si/AI < 1.5), preferably strictly greater than 1.0 and strictly less than 1.5, and advantageously the Si/AI ratio is between 1.1 and 1.4, limits included.

[0027] L’adsorbant zéolithique aggloméré peut comprendre de la zéolithe LSX (Low Silica X), MSX (Medium Silica X), X, de la faujasite Y et leurs mélanges. De préférence, l’adsorbant comporte de la faujasite LSX, MSX ou X et leurs mélanges, et de manière plus préférée de la MSX ou de la X et leurs mélanges.[0027] The agglomerated zeolite adsorbent may comprise zeolite LSX (Low Silica X), MSX (Medium Silica X), X, faujasite Y and mixtures thereof. Preferably, the adsorbent comprises faujasite LSX, MSX or X and mixtures thereof, and more preferably MSX or X and mixtures thereof.

[0028] Selon encore un autre mode de réalisation préféré, la fraction massique de zéolithe FAU est supérieure ou égale à 80% par rapport au poids total d'adsorbant de la présente invention, le complément à 100% étant de préférence constitué de phase non zéolithique.[0028] According to yet another preferred embodiment, the mass fraction of FAU zeolite is greater than or equal to 80% relative to the total weight of adsorbent of the present invention, the remainder to 100% preferably consisting of non-zeolitic phase.

[0029] Les agglomérés adsorbants zéolithiques selon la présente invention peuvent contenir une phase non zéolithique (PNZ), c’est-à-dire une phase non cristalline qui est essentiellement inerte vis-à-vis de l’adsorption. Le taux de cristallinité (fraction massique de zéolithe) de l’adsorbant selon l’invention peut être mesuré par analyse par diffraction de rayons X, connue de l’homme du métier sous l’acronyme DRX.[0029] The zeolitic adsorbent agglomerates according to the present invention may contain a non-zeolitic phase (NZP), i.e. a non-crystalline phase which is essentially inert with respect to adsorption. The crystallinity rate (mass fraction of zeolite) of the adsorbent according to the invention may be measured by X-ray diffraction analysis, known to those skilled in the art by the acronym DRX.

[0030] De préférence, les agglomérés adsorbants zéolithiques selon la présente invention comporte une teneur en PNZ inférieure à 20% en poids par rapport au poids total de l’aggloméré, de préférence inférieure à 10% en poids, plus particulièrement inférieure à 5% en poids, plus particulièrement encore inférieure à 3% en poids, et de manière très préférée inférieure à 1 % en poids.[0030] Preferably, the zeolitic adsorbent agglomerates according to the present invention comprise a PNZ content of less than 20% by weight relative to the total weight of the agglomerate, preferably less than 10% by weight, more particularly less than 5% by weight, more particularly still less than 3% by weight, and very preferably less than 1% by weight.

[0031] L’adsorbant zéolithique de l’invention est de préférence sous la forme d’un aggloméré, c’est-à-dire qu’il est constitué de cristaux d’au moins une zéolithe FAU telle que définie précédemment, agglomérés à l’aide d’un liant, par exemple une argile qui est de préférence au moins en partie zéolithisable, lesdits cristaux présentant une taille (ou diamètre moyen) inférieure ou égale à 1 ,50 pm et de préférence comprise entre 0,05 pm et 1 ,50 pm, de préférence entre 0,10 pm et 1 ,00 pm, de manière préférée entre 0,10 pm et 0,80 pm et de manière encore plus préférée entre 0,30 pm et 0,80 pm. [0032] Selon un mode de réalisation préféré, la teneur en oxyde de baryum (BaO) dans l’adsorbant zéolithique aggloméré selon l’invention est supérieure à 10%, de préférence encore supérieure à 15%, de manière très préférée supérieure à 20%, de manière encore plus préférée supérieure à 23 %, voire supérieure à 33% en poids par rapport à la masse totale de l’adsorbant. Selon un autre mode de réalisation préféré, ladite teneur en baryum est comprise entre 23% et 42%, et typiquement entre 30% et 42%, avantageusement entre 33% et 42%, bornes incluses, en poids par rapport au poids total de l’adsorbant.[0031] The zeolite adsorbent of the invention is preferably in the form of an agglomerate, that is to say it is made up of crystals of at least one FAU zeolite as defined above, agglomerated using a binder, for example a clay which is preferably at least partly zeolithizable, said crystals having a size (or average diameter) less than or equal to 1.50 pm and preferably between 0.05 pm and 1.50 pm, preferably between 0.10 pm and 1.00 pm, preferably between 0.10 pm and 0.80 pm and even more preferably between 0.30 pm and 0.80 pm. [0032] According to a preferred embodiment, the barium oxide (BaO) content in the agglomerated zeolite adsorbent according to the invention is greater than 10%, more preferably greater than 15%, very preferably greater than 20%, even more preferably greater than 23%, or even greater than 33% by weight relative to the total mass of the adsorbent. According to another preferred embodiment, said barium content is between 23% and 42%, and typically between 30% and 42%, advantageously between 33% and 42%, limits included, by weight relative to the total weight of the adsorbent.

[0033] Selon un autre mode de réalisation préféré, la teneur en oxyde de potassium (K2O) dans l’adsorbant zéolithique aggloméré selon l’invention est inférieure à 25%, de préférence comprise entre 0 et 20%, de manière encore plus préférée comprise entre 0 et 15%, bornes incluses, en poids par rapport à la masse totale de l’adsorbant.[0033] According to another preferred embodiment, the potassium oxide (K2O) content in the agglomerated zeolite adsorbent according to the invention is less than 25%, preferably between 0 and 20%, even more preferably between 0 and 15%, limits included, by weight relative to the total mass of the adsorbent.

[0034] Selon un autre mode de réalisation de l’invention la teneur totale en oxydes d’ions alcalins ou alcali no-terreux autres que l'oxyde de baryum BaO et l'oxyde de potassium K2O est comprise entre 0 et 5%, bornes incluses, par rapport à la masse totale de l’adsorbant.[0034] According to another embodiment of the invention, the total content of alkali or alkali-earth ion oxides other than barium oxide BaO and potassium oxide K2O is between 0 and 5%, limits included, relative to the total mass of the adsorbent.

[0035] Avantageusement, l’adsorbant zéolithique aggloméré se présente sous la forme de billes, présentant de préférence présentent un diamètre moyen en nombre compris entre 0,1 mm et 2 mm, de préférence entre 0,3 mm et 2 mm, et en particulier entre 0,3 mm et 0,8 mm.[0035] Advantageously, the agglomerated zeolite adsorbent is in the form of beads, preferably having a number average diameter of between 0.1 mm and 2 mm, preferably between 0.3 mm and 2 mm, and in particular between 0.3 mm and 0.8 mm.

[0036] Dans un mode de réalisation, la perte au feu de l’adsorbant zéolithique aggloméré selon l’invention, mesurée à 900°C selon la norme NF EN 196 2, est inférieure ou égale à 7,7%, de préférence comprise entre 0 et 7,7%, de manière préférée entre 3,0% et 7,7%, de manière encore préférée entre 3,5% et 6,5% et avantageusement entre 4,5% et 6%, bornes incluses.[0036] In one embodiment, the loss on ignition of the agglomerated zeolite adsorbent according to the invention, measured at 900°C according to standard NF EN 196 2, is less than or equal to 7.7%, preferably between 0 and 7.7%, preferably between 3.0% and 7.7%, more preferably between 3.5% and 6.5% and advantageously between 4.5% and 6%, limits included.

[0037] L’invention a également pour objet le procédé de préparation de l’adsorbant zéolithique.[0037] The invention also relates to the process for preparing the zeolite adsorbent.

[0038] Le procédé de préparation de l’adsorbant zéolithique aggloméré tel que décrit ci-dessus comprend au moins les étapes suivantes : a) mélange de cristaux d’au moins une zéolithe faujasite, avec un liant d’agglomération contenant au moins 80%, de préférence au moins 90%, de préférence encore au moins 95% en poids d'argile zéolithisable, et éventuellement une source de silice, mise en forme du mélange obtenu, et cuisson à une température comprise entre 500°C à 700°C, pendant une durée comprise entre quelques minutes et quelques heures, typiquement entre 2 minutes et 12 heures, de préférence entre 2 et 6 heures ; b1 ) une première étape d'immersion dans une solution basique alcaline, de concentration comprise entre 0,2 M et 2 M, de préférence entre 0,2 M et 1 M, bornes incluses, , à une température comprise entre la température ambiante et 50°C, avec temps de contact compris entre quelques minutes et quelques heures de préférence compris entre 5 minutes et 3 heures ; de préférence le temps de contact est réalisé à température ambiante, pendant une durée comprise entre 30 minutes et 2 heures (bornes incluses) ; b2) à l'issue de cette étape de mise en contact, on impose une montée en température rapide pour passer de la température ambiante à une température comprise entre 90°C et 105°C pendant une durée d’une seconde à moins d'une heure ; b3) maintien éventuel à une température supérieure à 90°C pendant 30 minutes à une heure ; c) échange des cations des agglomérés (issus des étapes b2) ou b3) par mise en contact avec une solution d’ions baryum, ou d’ions baryum et d’ions potassium, d) lavage et séchage des agglomérés zéolithiques ainsi obtenus, et e) activation par chauffage à une température en général comprise entre 100°C et 400°C, de préférence entre 200°C et 300°C de l’adsorbant zéolithique sous forme d’agglomérés obtenus à l’étape d).[0038] The process for preparing the agglomerated zeolite adsorbent as described above comprises at least the following steps: a) mixing crystals of at least one faujasite zeolite, with an agglomeration binder containing at least 80%, preferably at least 90%, of preferably still at least 95% by weight of zeolithizable clay, and optionally a source of silica, shaping the mixture obtained, and firing at a temperature of between 500°C and 700°C, for a duration of between a few minutes and a few hours, typically between 2 minutes and 12 hours, preferably between 2 and 6 hours; b1) a first step of immersion in an alkaline basic solution, with a concentration of between 0.2 M and 2 M, preferably between 0.2 M and 1 M, inclusive, at a temperature of between room temperature and 50°C, with a contact time of between a few minutes and a few hours, preferably between 5 minutes and 3 hours; preferably the contact time is carried out at room temperature, for a duration of between 30 minutes and 2 hours (inclusive); b2) at the end of this contacting step, a rapid temperature increase is imposed to go from room temperature to a temperature between 90°C and 105°C for a period of one second to less than one hour; b3) optionally maintaining the temperature at a temperature above 90°C for 30 minutes to one hour; c) exchange of the cations of the agglomerates (from steps b2) or b3) by contacting with a solution of barium ions, or barium ions and potassium ions, d) washing and drying the zeolite agglomerates thus obtained, and e) activation by heating to a temperature generally between 100°C and 400°C, preferably between 200°C and 300°C of the zeolite adsorbent in the form of agglomerates obtained in step d).

[0039] La taille des cristaux de zéolithe FAU utilisés à l’étape a) et des cristaux de zéolithe FAU dans les agglomérés selon l’invention est mesurée par observation au microscope électronique à balayage (MEB). Comme indiqué précédemment, de manière préférée, la taille (ou encore diamètre moyen des cristaux) peut varier en de grandes proportions et est généralement inférieure ou égale à 1 ,50 pm, de préférence comprise entre 0,05 pm et 1 ,50 pm, de préférence entre 0,10 pm et 1 ,00 pm, de manière préférée entre 0,10 pm et 0,80 pm et de manière encore préférée entre 0,30 pm et 0,80 pm. [0040] Cette observation MEB permet de confirmer la présence de phase non zéolithique comprenant par exemple du liant résiduel (non converti lors de l’étape de zéolithisation) ou toute autre phase amorphe dans les agglomérés.[0039] The size of the FAU zeolite crystals used in step a) and of the FAU zeolite crystals in the agglomerates according to the invention is measured by observation under a scanning electron microscope (SEM). As indicated previously, preferably, the size (or even average diameter of the crystals) can vary greatly and is generally less than or equal to 1.50 μm, preferably between 0.05 μm and 1.50 μm, preferably between 0.10 μm and 1.00 μm, preferably between 0.10 μm and 0.80 μm and more preferably between 0.30 μm and 0.80 μm. [0040] This SEM observation makes it possible to confirm the presence of a non-zeolitic phase comprising, for example, residual binder (not converted during the zeolitization step) or any other amorphous phase in the agglomerates.

[0041 ] Les proportions de liant d’agglomération (voir définition plus loin) et de zéolithe mises en œuvre peuvent être de 5 parties à 20 parties en poids de liant pour 95 parties à 80 parties en poids de zéolithe.[0041] The proportions of agglomeration binder (see definition below) and zeolite used can be from 5 parts to 20 parts by weight of binder for 95 parts to 80 parts by weight of zeolite.

[0042] Les agglomérés issus de l'étape a) ont en général un diamètre moyen, en nombre, compris entre 0,1 mm et 2 mm, de préférence entre 0,3 mm et 2 mm, et en particulier entre 0,3 mm et 0,8 mm de diamètre.[0042] The agglomerates resulting from step a) generally have an average diameter, in number, of between 0.1 mm and 2 mm, preferably between 0.3 mm and 2 mm, and in particular between 0.3 mm and 0.8 mm in diameter.

[0043] À l’issue de l’étape a) les agglomérés les plus fins peuvent être éliminés par cyclonage et/ou tamisage et/ou les agglomérés trop gros par tamisage ou concassage, dans le cas d’extrudés, par exemple.[0043] At the end of step a), the finest agglomerates can be removed by cycloning and/or screening and/or the overly large agglomerates by screening or crushing, in the case of extrudates, for example.

[0044] Le liant d’agglomération utilisé dans l’étape a) comprend, et de préférence consiste en, une argile ou un mélange d'argiles. Ces argiles sont de préférence choisies parmi les kaolins, kaolinites, nacrites, dickites, halloysites, attapulgites, sépiolites, montmorillonites, bentonites, illites et métakaolins, ainsi que les mélanges de deux ou plusieurs d’entre elles en toutes proportions.[0044] The agglomeration binder used in step a) comprises, and preferably consists of, a clay or a mixture of clays. These clays are preferably chosen from kaolins, kaolinites, nacrites, dickites, halloysites, attapulgites, sepiolites, montmorillonites, bentonites, illites and metakaolins, as well as mixtures of two or more of them in all proportions.

[0045] Dans l’étape de zéolithisation, le liant d'agglomération mis en œuvre à l'étape a) contient au moins 80% de préférence, au moins 90%, de préférence encore au moins 95%, plus particulièrement au moins 96%, en poids, d'au moins une argile zéolithisable et peut également contenir d'autres liants minéraux tels que bentonite, attapulgite, et autres. Par argile zéolithisable, on entend une argile ou un mélange d’argiles qui sont susceptibles d’être convertis en matière zéolithique, le plus souvent par action d’une solution basique alcaline. L'argile zéolithisable appartient en général à la famille des kaolins (tels que par exemple kaolinites, nacrites, dickites, halloysites) et/ou des métakaolins.[0045] In the zeolitization step, the agglomeration binder used in step a) contains at least 80%, preferably at least 90%, more preferably at least 95%, more particularly at least 96%, by weight, of at least one zeolitizable clay and may also contain other mineral binders such as bentonite, attapulgite, and others. By zeolitizable clay, we mean a clay or a mixture of clays which are capable of being converted into zeolitic material, most often by the action of an alkaline basic solution. The zeolitizable clay generally belongs to the family of kaolins (such as for example kaolinites, nacrites, dickites, halloysites) and/or metakaolins.

[0046] Parmi les additifs éventuellement mis en œuvre à l’étape a), on peut trouver une source de silice de tout type connu de l’homme du métier, spécialiste de la synthèse de zéolithes, par exemple de la silice colloïdale, des diatomées, de la perlite, des cendres de calcination (« fly ash » en langue anglaise), du sable, ou toute autre forme de silice solide. [0047] Lors de l’étape a), outre les cristaux de zéolithe FAU et le liant, d’autres additifs peuvent également être ajoutés, par exemple des additifs destinés à faciliter l'agglomération ou à améliorer le durcissement, ainsi que d’autres additifs connus de l’homme du métier.[0046] Among the additives possibly used in step a), there may be found a source of silica of any type known to those skilled in the art, specialists in the synthesis of zeolites, for example colloidal silica, diatoms, perlite, calcination ash (“fly ash” in English), sand, or any other form of solid silica. [0047] During step a), in addition to the FAU zeolite crystals and the binder, other additives may also be added, for example additives intended to facilitate agglomeration or to improve hardening, as well as other additives known to those skilled in the art.

[0048] En particulier, le liant d’agglomération contenant au moins 80% d’une ou plusieurs argiles zéolithisables, la calcination permet de transformer l’argile zéolithisable, typiquement le kaolin, en méta-kaolin qui peut après être converti en zéolithe lors de l’étape de zéolithisation (étape b)). Le principe en est exposé dans « Zeolite Molecular Sieves » de D. W. Breck, John Wiley and Sons, New York, (1973), p. 314-315.[0048] In particular, the agglomeration binder containing at least 80% of one or more zeolithizable clays, calcination makes it possible to transform the zeolithizable clay, typically kaolin, into meta-kaolin which can then be converted into zeolite during the zeolitization step (step b)). The principle is set out in “Zeolite Molecular Sieves” by D. W. Breck, John Wiley and Sons, New York, (1973), p. 314-315.

[0049] L’étape a) de mélange et de mise en forme peut être réalisée selon toutes les techniques connues de l'homme de l'art, seules ou en combinaison, telles qu’extrusion, compactage, agglomération sur assiette granulatrice, tambour granulateur, atomisation et autres.[0049] Step a) of mixing and shaping can be carried out using any technique known to those skilled in the art, alone or in combination, such as extrusion, compaction, agglomeration on a granulating plate, granulating drum, atomization and others.

[0050] L’étape de zéolithisation comporte les étapes suivantes : b1 )une première étape d'immersion dans une solution basique alcaline, de concentration comprise entre 0,2 M et 2 M, bornes incluses avec temps de contact compris entre la température ambiante et 50°C, de préférence compris entre 5 minutes et 3 heures ; de préférence le temps de contact est réalisé à température ambiante, pendant une durée comprise entre 30 minutes et 2 heures (bornes incluses), b2) à l'issue de cette étape de mise en contact, on impose une montée en température allant de la température ambiante à une température comprise entre 90°C et 105°C allant d’une seconde à moins d'une heure, b3) un éventuel maintien à une température supérieure à 90°C pendant 30 minutes à une heure.[0050] The zeolitization step comprises the following steps: b1) a first step of immersion in an alkaline basic solution, with a concentration of between 0.2 M and 2 M, inclusive, with a contact time of between room temperature and 50°C, preferably of between 5 minutes and 3 hours; preferably the contact time is carried out at room temperature, for a duration of between 30 minutes and 2 hours (inclusive), b2) at the end of this contacting step, a temperature increase is imposed ranging from room temperature to a temperature of between 90°C and 105°C, ranging from one second to less than one hour, b3) optional maintenance at a temperature above 90°C for 30 minutes to one hour.

[0051] L’étape b2) de montée en température peut être réalisée par un apport en énergie extérieure de type de micro-ondes, ultra-sons, induction électromagnétique, infrarouge, chauffage ou leur combinaison. De préférence, l’énergie extérieure est apportée par des micro-ondes, ultra-sons, induction électromagnétique, infrarouge ou leur combinaison. [0052] De préférence, l’étape b2) est très rapide, il s’agit d’une zéolithisation flash. De préférence, l’étape b2) dure de la seconde à moins de 30 minutes, plus particulièrement de 2 secondes à moins de 20 minutes, de manière très préférée de 5 secondes à 15 minutes.[0051] Step b2) of increasing the temperature can be carried out by supplying external energy such as microwaves, ultrasound, electromagnetic induction, infrared, heating or a combination thereof. Preferably, the external energy is supplied by microwaves, ultrasound, electromagnetic induction, infrared or a combination thereof. [0052] Preferably, step b2) is very rapid, it is a flash zeolitization. Preferably, step b2) lasts from one second to less than 30 minutes, more particularly from 2 seconds to less than 20 minutes, very preferably from 5 seconds to 15 minutes.

[0053] Selon un mode de réalisation préféré, l’étape b2) est réalisée par un apport en énergie extérieure de type micro-ondes, ultra-sons, induction électromagnétique, infrarouge ou une combinaison de ces techniques, pendant une durée allant de la seconde à moins de 30 minutes, plus particulièrement de 2 secondes à moins de 20 minutes, de manière très préférée de 5 secondes à 15 minutes.[0053] According to a preferred embodiment, step b2) is carried out by an external energy supply of the microwave, ultrasound, electromagnetic induction, infrared type or a combination of these techniques, for a duration ranging from one second to less than 30 minutes, more particularly from 2 seconds to less than 20 minutes, very preferably from 5 seconds to 15 minutes.

[0054] Après l’étape b2) et/ou l’étape b3), on peut procéder à un lavage, de préférence à l'eau.[0054] After step b2) and/or step b3), washing can be carried out, preferably with water.

[0055] Les étapes d’échange(s) cationique(s) de l’étape c) s'effectuent selon les méthodes classiques connues de l’homme du métier, et le plus souvent par mise en contact des agglomérés issus de l'étape b) avec un sel de baryum et/ou de potassium, tel que le chlorure de baryum (BaCL) et/ou de potassium (KCI), en solution aqueuse à une température comprise entre la température ambiante et 100°C, et de préférence comprise entre 80°C et 100°C afin d’obtenir rapidement des teneurs en baryum, exprimées en oxyde de baryum, élevées, i.e. de préférence supérieures à 10%, de préférence supérieures à 15%, de manière très préférée supérieures à 20%, de manière encore plus préférée supérieures à 23%, voire supérieures à 33% en poids par rapport à la masse totale de l’adsorbant.[0055] The cation exchange steps of step c) are carried out according to conventional methods known to those skilled in the art, and most often by bringing the agglomerates resulting from step b) into contact with a barium and/or potassium salt, such as barium chloride (BaCL) and/or potassium chloride (KCI), in aqueous solution at a temperature between room temperature and 100°C, and preferably between 80°C and 100°C in order to rapidly obtain high barium contents, expressed as barium oxide, i.e. preferably greater than 10%, preferably greater than 15%, very preferably greater than 20%, even more preferably greater than 23%, or even greater than 33% by weight relative to the total mass of the adsorbent.

[0056] Avantageusement, la teneur en baryum, exprimée en oxyde de baryum, est comprise entre 23% et 42%, et typiquement entre 30% et 40%, bornes incluses, en poids par rapport au poids total de l’adsorbant.[0056] Advantageously, the barium content, expressed as barium oxide, is between 23% and 42%, and typically between 30% and 40%, limits included, by weight relative to the total weight of the adsorbent.

[0057] On préfère opérer avec un large excès d’ions baryum par rapport aux cations de la zéolithe que l'on souhaite échanger, typiquement un excès de l'ordre de 10 à 12, avantageusement en procédant par échanges successifs.[0057] It is preferred to operate with a large excess of barium ions relative to the cations of the zeolite that it is desired to exchange, typically an excess of the order of 10 to 12, advantageously by proceeding by successive exchanges.

[0058] De préférence, la teneur en oxyde de potassium (K2O) dans l’adsorbant zéolithique aggloméré selon l’invention est comprise entre 0 et 20%, de manière encore plus préférée comprise entre 0 et 15%, bornes incluses, en poids par rapport à la masse totale de l’adsorbant. [0059] L'échange éventuel au potassium peut être pratiqué avant et/ou après l'échange au baryum. Dans un mode de réalisation, il est possible d'agglomérer à l’étape a) des cristaux de zéolithe FAU contenant déjà des ions baryum ou potassium ou baryum et potassium (pré-échange des cations présents dans la zéolithe de type FAU de départ, typiquement cations sodium, par des ions baryum ou potassium ou baryum et potassium avant l’étape a) et s’affranchir (ou non) de l’étape c).[0058] Preferably, the potassium oxide (K2O) content in the agglomerated zeolite adsorbent according to the invention is between 0 and 20%, even more preferably between 0 and 15%, limits included, by weight relative to the total mass of the adsorbent. [0059] The possible exchange with potassium can be carried out before and/or after the exchange with barium. In one embodiment, it is possible to agglomerate in step a) FAU zeolite crystals already containing barium or potassium or barium and potassium ions (pre-exchange of the cations present in the starting FAU type zeolite, typically sodium cations, with barium or potassium or barium and potassium ions before step a) and to avoid (or not avoid) step c).

[0060] Après la ou les étape(s) d’échange(s) cationique(s), on procède généralement à un lavage, de préférence à l'eau, puis d'un séchage de l’aggloméré ainsi obtenu.[0060] After the cation exchange step(s), washing is generally carried out, preferably with water, then the agglomerate thus obtained is dried.

[0061] L’activation qui suit le séchage, est conduite de manière classique, selon les méthodes connues de l’homme du métier, par exemple à une température en général comprise entre 100°C et 400°C, de préférence entre 200°C et 300°C pendant une durée déterminée en fonction de la teneur en eau et de la perte au feu souhaitées. Cette durée peut être comprise entre 1 heure et 6 heures.[0061] The activation which follows the drying is carried out in a conventional manner, according to methods known to those skilled in the art, for example at a temperature generally between 100°C and 400°C, preferably between 200°C and 300°C for a duration determined according to the desired water content and loss on ignition. This duration may be between 1 hour and 6 hours.

[0062] Le procédé peut comporter une ou plusieurs étapes supplémentaires de mise en forme effectuées après l’une quelconque des étapes a), b1), b2), c), d), e).[0062] The method may comprise one or more additional shaping steps carried out after any of steps a), b1), b2), c), d), e).

[0063] L'adsorbant zéolithique sous forme d'agglomérés selon l'invention est particulièrement adapté pour les procédés de séparation de composés en phase liquide, et notamment pour les procédés dans lesquels ledit matériau est soumis à des contraintes mécaniques importantes, par exemple les procédés de séparation en phase liquide à co-courant ou à contre-courant, et plus particulièrement les procédés de séparation en phase liquide en lit mobile simulé. L'adsorbant zéolithique sous forme d'agglomérés selon l'invention est tout particulièrement adapté pour les procédés de séparation des xylènes en phase liquide.[0063] The zeolite adsorbent in the form of agglomerates according to the invention is particularly suitable for processes for separating compounds in the liquid phase, and in particular for processes in which said material is subjected to significant mechanical stresses, for example co-current or counter-current liquid phase separation processes, and more particularly liquid phase separation processes in a simulated moving bed. The zeolite adsorbent in the form of agglomerates according to the invention is particularly suitable for processes for separating xylenes in the liquid phase.

[0064] L'adsorbant zéolithique aggloméré tel que défini ci-dessus ou bien l'adsorbant zéolithique aggloméré préparé selon le procédé tel que défini ci-dessus peut également être utilisé pour :[0064] The agglomerated zeolite adsorbent as defined above or the agglomerated zeolite adsorbent prepared according to the process as defined above can also be used for:

• séparation de coupes d'isomères aromatiques en Cs et notamment des xylènes,• separation of aromatic isomer cuts in Cs and in particular xylenes,

• séparation d'isomères de toluène substitué tels que nitrotoluène, diéthyltoluène, toluènediamine, et autres,• separation of substituted toluene isomers such as nitrotoluene, diethyltoluene, toluenediamine, and others,

• séparation des crésols,• separation of cresols,

• séparation des alcools polyhydriques, par exemple les sucres. [0065] Ainsi, et selon encore un autre aspect, la présente invention concerne l’utilisation d'au moins un adsorbant zéolithique sous forme d'agglomérés tel qu'il vient d'être défini, comme matériau adsorbant dans les procédés de séparation en phase liquide ou gazeuse, à co-courant ou à contre-courant, et plus particulièrement dans les procédés de séparation en phase liquide en lit mobile simulé, typiquement dans les procédés de séparation des coupes aromatiques comportant des mélanges d'isomères aromatiques à 8 atomes de carbone et plus particulièrement dans les procédés en phase liquide de séparation des xylènes en lit mobile simulé, seul ou en couplage avec une unité de cristallisation, et tout particulièrement dans les procédés de récupération de para-xylène de haute pureté à partir de coupes d'isomères aromatiques à 8 atomes de carbone.• separation of polyhydric alcohols, for example sugars. [0065] Thus, and according to yet another aspect, the present invention relates to the use of at least one zeolitic adsorbent in the form of agglomerates as just defined, as adsorbent material in liquid or gas phase separation processes, co-current or counter-current, and more particularly in liquid phase separation processes in a simulated moving bed, typically in processes for separating aromatic cuts comprising mixtures of aromatic isomers with 8 carbon atoms and more particularly in liquid phase processes for separating xylenes in a simulated moving bed, alone or in coupling with a crystallization unit, and very particularly in processes for recovering high-purity para-xylene from cuts of aromatic isomers with 8 carbon atoms.

[0066] Enfin, l'invention concerne également le procédé de séparation des coupes aromatiques comportant des mélanges d'isomères à 8 atomes de carbone en phase liquide ou gazeuse. L'invention concerne plus particulièrement le procédé en phase liquide de séparation des xylènes en lit mobile simulé, seul ou en couplage avec une unité de cristallisation, et tout particulièrement le procédé de récupération de para-xylène de haute pureté à partir de coupes d'isomères aromatiques à 8 atomes de carbone, comme par exemple décrit dans la demande W02009081024, et dans lequel est mis en œuvre au moins un adsorbant zéolithique sous forme d'agglomérés tel que décrit précédemment. Le procédé est mis en œuvre en présence d'un désorbant, de préférence choisi parmi le toluène et le para-diéthylbenzène.[0066] Finally, the invention also relates to the process for separating aromatic cuts comprising mixtures of isomers with 8 carbon atoms in the liquid or gas phase. The invention relates more particularly to the liquid phase process for separating xylenes in a simulated moving bed, alone or in coupling with a crystallization unit, and more particularly to the process for recovering high-purity para-xylene from cuts of aromatic isomers with 8 carbon atoms, as for example described in application WO2009081024, and in which at least one zeolitic adsorbent is used in the form of agglomerates as described above. The process is carried out in the presence of a desorbent, preferably chosen from toluene and para-diethylbenzene.

[0067] L'invention concerne également le procédé en phase gazeuse de séparation des xylènes en lit mobile simulé, par adsorption d’un isomère de xylènes, de préférence le para-xylène au moyen d'un adsorbant tel que décrit précédemment en présence d'un désorbant, de préférence choisi parmi le toluène et le para- diéthylbenzène. De préférence, le procédé est mis en œuvre en lit mobile simulé, de manière très préférée à contrecourant simulé.[0067] The invention also relates to the gas phase process for separating xylenes in a simulated moving bed, by adsorption of a xylene isomer, preferably para-xylene, using an adsorbent as described above in the presence of a desorbent, preferably chosen from toluene and para-diethylbenzene. Preferably, the process is carried out in a simulated moving bed, very preferably in a simulated countercurrent manner.

[0068] L'invention concerne particulièrement un procédé de production de para-xylène à haute pureté et haute productivité à partir d'une charge d'hydrocarbures aromatiques contenant des isomères à 8 atomes de carbone comprenant les étapes suivantes :[0068] The invention particularly relates to a process for producing high-purity, high-productivity para-xylene from an aromatic hydrocarbon feedstock containing 8-carbon isomers comprising the following steps:

1) une étape de mise en contact, dans des conditions d'adsorption adéquates, de la charge avec un lit d'adsorbant selon l'invention, de manière à adsorber préférentiellement le paraxylène,1) a step of bringing into contact, under suitable adsorption conditions, the charge with an adsorbent bed according to the invention, so as to preferentially adsorb paraxylene,

2) une étape de mise en contact, dans des conditions de désorption, du lit d'adsorbant avec un désorbant, qui est préférentiellement soit du toluène, soit du para-diéthylbenzène,2) a step of bringing the adsorbent bed into contact, under desorption conditions, with a desorbent, which is preferably either toluene or para-diethylbenzene,

3) une étape de soutirage du lit d'adsorbant d'un flux contenant le désorbant et les produits de la charge les moins sélectivement adsorbés,3) a step of withdrawing from the adsorbent bed a flow containing the desorbent and the least selectively adsorbed feed products,

4) une étape de soutirage du lit d'adsorbant d'un flux contenant le désorbant et le paraxylène,4) a step of withdrawing from the adsorbent bed a flow containing the desorbent and the paraxylene,

5) une étape de séparation du flux issu de l'étape 3) en un premier flux contenant le désorbant et un second flux contenant les produits de la charge les moins sélectivement adsorbés, et5) a step of separating the flow from step 3) into a first flow containing the desorbent and a second flow containing the least selectively adsorbed load products, and

6) une étape de séparation du flux issu de l'étape 4) en un premier flux contenant le désorbant et un second flux contenant du paraxylène à un niveau de pureté supérieure ou égale à 75% et de préférence supérieure ou égale à 99,7%.6) a step of separating the flow from step 4) into a first flow containing the desorbent and a second flow containing paraxylene at a purity level greater than or equal to 75% and preferably greater than or equal to 99.7%.

[0069] Le procédé peut également optionnellement inclure les étapes suivantes :[0069] The method may also optionally include the following steps:

7) une étape de cristallisation dans un cristalliseur consistant en la cristallisation du paraxylène issu de l'étape 6), permettant d'obtenir d'une part des cristaux de paraxylène imbibés de leur liqueur mère, et d'autre part une liqueur mère qui peut être en partie, voire en totalité, recyclée en mélange avec la charge fraîche à l'entrée de l'unité d'adsorption en lit mobile simulé, et7) a crystallization step in a crystallizer consisting of the crystallization of the paraxylene from step 6), making it possible to obtain, on the one hand, paraxylene crystals soaked in their mother liquor, and on the other hand, a mother liquor which can be partly, or even entirely, recycled in a mixture with the fresh feed at the inlet of the simulated moving bed adsorption unit, and

8) une étape de lavage des cristaux issus de l'étape 7) à l'issue de laquelle on récupère du para-xylène à une pureté d'au moins 99,7%, et de manière préférée d'au moins 99,8%.8) a step of washing the crystals from step 7) at the end of which para-xylene is recovered with a purity of at least 99.7%, and preferably at least 99.8%.

[0070] On peut ainsi séparer le produit désiré par chromatographie liquide d'adsorption préparative (en « batch »), avantageusement en lit mobile simulé, c'est-à-dire à contre-courant simulé ou à co-courant simulé, et plus particulièrement à contre- courant simulé.[0070] The desired product can thus be separated by preparative adsorption liquid chromatography (in batch), advantageously in a simulated moving bed, i.e. with simulated countercurrent or simulated cocurrent, and more particularly with simulated countercurrent.

[0071] La séparation chromatographique en lit mobile simulé à contre-courant simulé est bien connue dans l'état de la technique. En règle générale, une unité de séparation en lit mobile simulé comprend au moins une colonne d’adsorption contenant une pluralité de lits d’un adsorbant, interconnectés en boucle fermée. L'unité de séparation en lit mobile simulé comporte au moins trois zones chromatographiques, et éventuellement quatre ou cinq, chacune de ces zones étant constituée par au moins un lit ou une portion de colonne et comprise entre deux points successifs d'alimentation ou soutirage.[0071] Simulated countercurrent moving bed chromatographic separation is well known in the art. Typically, a simulated moving bed separation unit comprises at least one adsorption column containing a plurality of beds of an adsorbent, interconnected in a closed loop. The simulated moving bed separation unit comprises at least three zones chromatographic, and possibly four or five, each of these zones being constituted by at least one bed or a portion of column and included between two successive feed or withdrawal points.

[0072] Typiquement, on alimente au moins une charge à fractionner et un désorbant (parfois appelé éluant) et l'on soutire au moins un raffinât et un extrait. Les points d'alimentation et de soutirage sont modifiés au cours du temps, typiquement décalés vers le bas d'un lit et ce de façon synchrone.[0072] Typically, at least one feed to be fractionated and one desorbent (sometimes called eluent) are fed and at least one raffinate and one extract are withdrawn. The feed and withdrawal points are modified over time, typically shifted towards the bottom of a bed and in a synchronous manner.

[0073] Par définition, on désigne chacune des zones de fonctionnement par un numéro[0073] By definition, each of the operating zones is designated by a number

• Zone 1 = zone de désorption du produit recherché (contenu dans l'extrait) comprise entre l'injection du désorbant et le prélèvement de l’extrait ;• Zone 1 = desorption zone of the desired product (contained in the extract) between the injection of the desorbent and the sampling of the extract;

• Zone 2 = zone de désorption des composés du raffinât, comprise entre le prélèvement de l'extrait et l'injection de la charge à fractionner ;• Zone 2 = desorption zone of the raffinate compounds, between the extraction of the extract and the injection of the charge to be fractionated;

• Zone 3 = zone d'adsorption du produit recherché, comprise entre l'injection de la charge et le soutirage du raffinât, et ;• Zone 3 = adsorption zone of the desired product, between the injection of the feed and the withdrawal of the raffinate, and;

• Zone 4 située entre le soutirage de raffinât et l'injection du désorbant.• Zone 4 located between the raffinate withdrawal and the desorbent injection.

[0074] Les conditions opératoires d'une unité industrielle d'adsorption de type contre- courant simulé sont en général les suivantes : -nombre de lits 6 à 30[0074] The operating conditions of a simulated counter-current type industrial adsorption unit are generally as follows: -number of beds 6 to 30

-nombre de zones au moins 4-number of zones at least 4

-température 100 à 250°C, de préférence 150 à 190°C-temperature 100 to 250°C, preferably 150 to 190°C

-pression comprise entre la pression de bulle des xylènes à la température du procédé et 3 MPa-pressure between the bubble pressure of xylenes at the process temperature and 3 MPa

-rapport des débits désorbant sur charge 0,7 à 2,5 (par exemple 0,9 à 1 ,8 pour une unité d'adsorption seule (dite selon la terminologie anglaise « stand alone ») et 0,7 à 1 ,4 pour une unité d'adsorption combinée à une unité de cristallisation) -taux de recyclage de 2,5 à 12, de préférence 3,5 à 6. On définit le taux de recyclage comme le rapport entre le débit moyen s'écoulant dans les différents lits de l'adsorbeur sur le débit d'injection de charge dans cet adsorbeur- ratio of desorbent flow rates to charge 0.7 to 2.5 (for example 0.9 to 1.8 for a stand-alone adsorption unit and 0.7 to 1.4 for an adsorption unit combined with a crystallization unit) - recycling rate of 2.5 to 12, preferably 3.5 to 6. The recycling rate is defined as the ratio between the average flow rate flowing in the different beds of the adsorber and the charge injection rate in this adsorber

[0075] On pourra se référer à l’enseignement des brevets US2985589, US5284992 et US5629467. [0076] Les conditions opératoires d'une unité industrielle d'adsorption à co-courant simulé sont en général les mêmes que celles fonctionnant à contre-courant simulé à l'exception du taux de recyclage qui est en général compris entre 0,8 et 7. On pourra se référer aux brevets US4402832 et US4498991 .[0075] Reference may be made to the teaching of patents US2985589, US5284992 and US5629467. [0076] The operating conditions of an industrial adsorption unit with simulated co-current are generally the same as those operating with simulated counter-current, with the exception of the recycling rate, which is generally between 0.8 and 7. Reference may be made to patents US4402832 and US4498991.

[0077] Le solvant de désorption peut être un désorbant dont le point d'ébullition est inférieur à celui de la charge, tel que le toluène, mais aussi un désorbant dont le point d'ébullition est supérieur à celui de la charge, tel que le para-diéthylbenzène (PDEB).[0077] The desorption solvent may be a desorbent whose boiling point is lower than that of the feed, such as toluene, but also a desorbent whose boiling point is higher than that of the feed, such as para-diethylbenzene (PDEB).

TECHNIQUES DE CARACTERISATIONCHARACTERIZATION TECHNIQUES

[0078] Rapport atomique Si/AI et teneurs en oxydes :[0078] Si/Al atomic ratio and oxide contents:

[0079] Une analyse chimique élémentaire du produit final peut être réalisée selon différentes techniques analytiques connues de l’homme du métier. Parmi ces techniques, on peut citer la technique d’analyse chimique par fluorescence de rayons X telle que décrite dans la norme NF EN ISO 12677 : 2011 sur un spectromètre dispersif en longueur d'onde (WDXRF), par exemple Tiger S8 de la société Bruker.[0079] An elementary chemical analysis of the final product can be carried out using various analytical techniques known to those skilled in the art. Among these techniques, mention may be made of the X-ray fluorescence chemical analysis technique as described in standard NF EN ISO 12677: 2011 on a wavelength dispersive spectrometer (WDXRF), for example Tiger S8 from Bruker.

[0080] La fluorescence X est une technique spectrale non destructive exploitant la photoluminescence des atomes dans le domaine des rayons X, pour établir la composition élémentaire d'un échantillon. L'excitation des atomes généralement par un faisceau de rayons X ou par bombardement avec des électrons, génère des radiations spécifiques après retour à l'état fondamental de l'atome. Le spectre de fluorescence X a l'avantage de dépendre très peu de la combinaison chimique de l'élément, ce qui offre une détermination précise, à la fois quantitative et qualitative. On obtient de manière classique après étalonnage pour chaque oxyde une incertitude de mesure inférieure à 0,4% en poids.[0080] X-ray fluorescence is a non-destructive spectral technique exploiting the photoluminescence of atoms in the X-ray domain, to establish the elemental composition of a sample. The excitation of atoms generally by an X-ray beam or by bombardment with electrons, generates specific radiations after return to the fundamental state of the atom. The X-ray fluorescence spectrum has the advantage of depending very little on the chemical combination of the element, which offers a precise determination, both quantitative and qualitative. A measurement uncertainty of less than 0.4% by weight is conventionally obtained after calibration for each oxide.

[0081] Ces analyses chimiques élémentaires permettent à la fois de vérifier le rapport atomique Si/AI de la zéolithe utilisée au sein de l'aggloméré et le rapport atomique Si/AI du produit final obtenu à l’issue des étapes décrites précédemment, et de vérifier la qualité de l'échange ionique grâce à la mesure des teneurs en oxydes. [0082] Dans la description de la présente invention, l’incertitude de mesure du rapport atomique Si/AI mesuré après est de ± 0,2 en relatif%.[0081] These elementary chemical analyses make it possible both to verify the Si/AI atomic ratio of the zeolite used within the agglomerate and the Si/AI atomic ratio of the final product obtained at the end of the steps described previously, and to verify the quality of the ionic exchange by measuring the oxide contents. [0082] In the description of the present invention, the measurement uncertainty of the Si/AI atomic ratio measured after is ± 0.2 in relative%.

[0083] La qualité de l'échange ionique est liée au nombre de mole d’oxyde de sodium, Na2Û, restant dans l'aggloméré zéolithique après échange. Plus précisément, le taux d'échange par les ions baryum est estimé en évaluant le rapport entre le nombre de moles d’oxyde de baryum, BaO, et le nombre de moles de l'ensemble (BaO + Na2Û). De même, le taux d'échange par les ions baryum et/ou potassium est estimé en évaluant le rapport entre le nombre de moles de l'ensemble oxyde de baryum + oxyde de potassium (BaO + K2O) et le nombre de moles de l'ensemble (BaO + K2O + Na2Û). Il est à noter que les teneurs en différents oxydes sont données, en pourcentage en poids par rapport au poids total de l’adsorbant zéolithique anhydre.[0083] The quality of the ion exchange is related to the number of moles of sodium oxide, Na2O, remaining in the zeolite agglomerate after exchange. More precisely, the exchange rate by barium ions is estimated by evaluating the ratio between the number of moles of barium oxide, BaO, and the number of moles of the whole (BaO + Na2O). Similarly, the exchange rate by barium and/or potassium ions is estimated by evaluating the ratio between the number of moles of the whole barium oxide + potassium oxide (BaO + K2O) and the number of moles of the whole (BaO + K2O + Na2O). It should be noted that the contents of different oxides are given as a percentage by weight relative to the total weight of the anhydrous zeolite adsorbent.

[0084] Taille / Granulométrie des cristaux de zéolithe :[0084] Size / Granulometry of zeolite crystals:

[0085] L'estimation du diamètre moyen en nombre des cristaux de zéolithe utilisées à l’étape a) et des cristaux de zéolithe contenus dans les agglomérés est réalisée par observation au microscope électronique à balayage (MEB).[0085] The estimation of the number-average diameter of the zeolite crystals used in step a) and of the zeolite crystals contained in the agglomerates is carried out by observation under a scanning electron microscope (SEM).

[0086] Afin d’estimer la taille (ou diamètre moyen) des particules (i.e. des cristaux) de zéolithe sur les échantillons, on effectue un ensemble de clichés à un grossissement d'au moins 5000. On mesure ensuite le diamètre d'au moins 200 particules à l’aide d'un logiciel dédié, par exemple le logiciel Smile View de l’éditeur LoGraMi. La précision est de l’ordre de 3%. La mesure de l’histogramme constitué à partir des dites mesures de diamètre permet en même temps la détermination de la déviation standard o de sa distribution.[0086] In order to estimate the size (or average diameter) of the zeolite particles (i.e. crystals) on the samples, a set of images is taken at a magnification of at least 5000. The diameter of at least 200 particles is then measured using dedicated software, for example the Smile View software from the publisher LoGraMi. The accuracy is of the order of 3%. The measurement of the histogram formed from said diameter measurements simultaneously allows the determination of the standard deviation o of its distribution.

[0087] Cette observation au microscope électronique à balayage (MEB) des cristaux de zéolithe permet également de distinguer les structures cristallines des zéolithes (LSX, MSX, X).[0087] This scanning electron microscope (SEM) observation of zeolite crystals also makes it possible to distinguish the crystalline structures of zeolites (LSX, MSX, X).

[0088] Granulométrie des adsorbants zéolithiques :[0088] Granulometry of zeolite adsorbents:

[0089] La détermination du diamètre moyen en nombre des adsorbants zéolithiques obtenus à l'issue de l'étape a) d'agglomération et de mise en forme est effectuée par analyse de la distribution granulométrique d'un échantillon d'aggloméré par imagerie selon la norme ISO 13322-2:2006, en utilisant un tapis roulant permettant à l'échantillon de passer devant l'objectif de la caméra.[0089] The determination of the number-average diameter of the zeolite adsorbents obtained at the end of step a) of agglomeration and shaping is carried out by analyzing the particle size distribution of an agglomerate sample by imaging according to ISO 13322-2:2006, using a conveyor belt allowing the sample to pass in front of the camera lens.

[0090] Le diamètre moyen en nombre est ensuite calculé à partir de la distribution granulométrique en appliquant la norme ISO 9276-2:2001. Dans le présent document, on emploie l'appellation « diamètre moyen en nombre » ou bien « taille » pour les agglomérés zéolithiques. La précision est de l’ordre de 0,01 mm pour la gamme de taille d’agglomérés de l’invention.[0090] The number average diameter is then calculated from the particle size distribution by applying the ISO 9276-2:2001 standard. In this document, the term “number average diameter” or “size” is used for zeolite agglomerates. The accuracy is of the order of 0.01 mm for the agglomerate size range of the invention.

[0091] Perte au feu des adsorbants zéolithiques :[0091] Loss on ignition of zeolite adsorbents:

[0092] La perte au feu est déterminée en atmosphère oxydante, par calcination de l'échantillon à l'air à une température de 900°C ± 25°C, en suivant le mode opératoire décrit dans la norme N F EN 196-2 (avril 2006). L’écart type de mesure est inférieur à 0,1 %.[0092] The loss on ignition is determined in an oxidizing atmosphere, by calcining the sample in air at a temperature of 900°C ± 25°C, following the procedure described in standard N F EN 196-2 (April 2006). The standard deviation of measurement is less than 0.1%.

[0093] Volumes poreux[0093] Porous volumes

[0094] La volumétrie est définie de la manière suivante :[0094] The volume is defined as follows:

Vma est le volume macroporeux regroupant les volumes des pores supérieurs à 50 nm,Vma is the macroporous volume grouping the volumes of pores greater than 50 nm,

Vme correspond au volume mésoporeux soit les volumes des pores allant de 2 nm à 50 nm etVme corresponds to the mesoporous volume, i.e. the pore volumes ranging from 2 nm to 50 nm and

Vmi est le volume microporeux représentant le volume des pores inférieurs à 2 nm.Vmi is the micropore volume representing the volume of pores smaller than 2 nm.

[0095] Méthodologie de calcul des volumes[0095] Volume calculation methodology

[0096] Dans la présente invention, nous allons principalement nous intéresser à la constitution du Vme. Il est connu de l’homme du métier que le Vme peut-être déterminé par deux analyses distinctes :[0096] In the present invention, we will mainly focus on the constitution of the Vme. It is known to those skilled in the art that the Vme can be determined by two distinct analyses:

-la porosimétrie mercure, couvrant des tailles de pores allant de 3,6 nm à 50 nm, noté VmeHg-mercury porosimetry, covering pore sizes ranging from 3.6 nm to 50 nm, noted VmeHg

-l’adsorption d’azote, couvrant une plage de tailles de pore de 2 nm à 50 nm. Le volume obtenu par l’analyse t-plot est noté VmeN2. [0097] Ici, nous allons utiliser ces deux techniques connues de l’homme du métier pour observer une zone allant de 2 nm à 15 nm, ladite zone est nommée petite mésoporosité et son volume est nommé V2-15.-nitrogen adsorption, covering a pore size range from 2 nm to 50 nm. The volume obtained by t-plot analysis is denoted VmeN2. [0097] Here, we will use these two techniques known to those skilled in the art to observe an area ranging from 2 nm to 15 nm, said area is called small mesoporosity and its volume is called V2-15.

Le V2-15 est séparé en deux volumes suivant l’équation :The V2-15 is separated into two volumes according to the equation:

^2-15= ^2-3,6 + ^3,6-15^2-15= ^2-3.6 + ^3.6-15

Dans laquelleIn which

X/2-3,6 correspond au volume pour des tailles de pore allant de 2 nm à 3,6 nm et V3.6-15 correspond au volume pour des tailles de pore allant de 3,6 nm à 15 nm. Le volume 3,6-15 nm est défini par la différence de volume de mercure introduit à une pression de 400 MPa (pression correspondante à des pores de 3,6 nm) et celui introduit à une pression de 100 MPa (pression correspondante à des pores de 15 nm) mesuré par porosimétrie mercure.X/2-3.6 corresponds to the volume for pore sizes ranging from 2 nm to 3.6 nm and V3.6-15 corresponds to the volume for pore sizes ranging from 3.6 nm to 15 nm. The volume 3.6-15 nm is defined by the difference in the volume of mercury introduced at a pressure of 400 MPa (pressure corresponding to pores of 3.6 nm) and that introduced at a pressure of 100 MPa (pressure corresponding to pores of 15 nm) measured by mercury porosimetry.

[0098] Pour déterminer leur valeur, nous avons réalisé les calculs suivants à partir des deux mesures de mésoporosité précédemment indiquées :[0098] To determine their value, we carried out the following calculations from the two mesoporosity measurements previously indicated:

-le X/2-3,6 est obtenu par soustraction du volume mésoporeux issu de la mesure de la porosimétrie mercure à celui issu de la mesure par adsorption d’azote :-X/2-3.6 is obtained by subtracting the mesoporous volume from the mercury porosimetry measurement from that from the nitrogen adsorption measurement:

72-3,6 = VmeN2 - VmeHg .72-3.6 = VmeN2 - VmeHg .

[0099] Caractérisation des volumes mésoporeux par adsorption d'azote :[0099] Characterization of mesoporous volumes by nitrogen adsorption:

[0100] Les volumes mésoporeux pour la taille des pores de 2 nm à 50 nm VmeN2 sont déterminés à partir de la mesure de l'isotherme d'adsorption de gaz, tel que l'azote, à sa température de liquéfaction.[0100] The mesoporous volumes for pore size from 2 nm to 50 nm VmeN2 are determined from the measurement of the adsorption isotherm of gas, such as nitrogen, at its liquefaction temperature.

[0101] Préalablement à l'adsorption, l'échantillon est dégazé entre 300°C et 450°C pendant une durée comprise entre 9 heures et 16 heures, sous vide (P < 6,7.10 4 Pa). La mesure de l'isotherme d'adsorption d'azote à 77K est ensuite effectuée sur un appareil de type ASAP 2020 M de Micromeritics, en prenant au moins 35 points de mesure à des pressions relatives de rapport P/P0 compris entre 0,002 et 1 .[0101] Prior to adsorption, the sample is degassed between 300°C and 450°C for a period of between 9 hours and 16 hours, under vacuum (P < 6.7.10 4 Pa). The measurement of the nitrogen adsorption isotherm at 77K is then carried out on a Micromeritics ASAP 2020 M type device, taking at least 35 measurement points at relative pressures with a P/P0 ratio of between 0.002 and 1.

[0102] Les volumes mésoporeux VmeN2 sont déterminés à partir de l'isotherme obtenue, par la méthode du t-plot en appliquant la norme ISO 15901-3:2007 et en calculant l'épaisseur statistique t par l'équation de Harkins-Jura.[0102] The mesoporous volumes VmeN2 are determined from the isotherm obtained, by the t-plot method by applying the ISO 15901-3:2007 standard and by calculating the statistical thickness t by the Harkins-Jura equation.

[0103] Ils sont obtenus par régression linéaire sur les points du t-plot compris entre 0,35 nm et 0,60 nm, respectivement à partir de l'ordonnée à l'origine et de la pente de la régression linéaire. [0104] Ils sont exprimés en cm3 d'adsorbant liquide par gramme d'adsorbant anhydre.[0103] They are obtained by linear regression on the points of the t-plot between 0.35 nm and 0.60 nm, respectively from the ordinate at the origin and the slope of the linear regression. [0104] They are expressed in cm3 of liquid adsorbent per gram of anhydrous adsorbent.

[0105] La caractérisation des volumes microporeux s’effectue par adsorption d'azote selon la même méthode que celle des volumes mésoporeux décrite ci-dessus.[0105] The characterization of microporous volumes is carried out by nitrogen adsorption using the same method as that of mesoporous volumes described above.

[0106] Caractérisation des volumes macroporeux Vma et mésoporeux Vme, par porosimétrie par intrusion de mercure.[0106] Characterization of macroporous Vma and mesoporous Vme volumes, by mercury intrusion porosimetry.

[0107] Un porosimètre à mercure type Autopore® 9500 de Micromeritics est utilisé pour analyser la répartition du volume poreux contenu dans les macropores et dans les mésopores.[0107] A Micromeritics Autopore® 9500 mercury porosimeter is used to analyze the distribution of pore volume contained in macropores and mesopores.

[0108] La méthode expérimentale, décrite dans le manuel opératoire de l'appareil faisant référence à la norme ASTM D4284-83, consiste à placer un échantillon d'adsorbant (adsorbant zéolithique sous forme d’agglomérés à mesurer) (de perte au feu connue) préalablement pesé, dans une cellule du porosimètre, puis, après un dégazage préalable (pression d'évacuation de 30 pm de mercure pendant au moins 10 minutes), à remplir la cellule avec du mercure à une pression donnée (0,0036 MPa), et ensuite à appliquer une pression croissante par palier jusqu'à 400 MPa afin de faire pénétrer progressivement le mercure dans le réseau poreux de l'échantillon, en prenant au moins 15 paliers de pression jusqu’à 0,2 MPa, et en appliquant ensuite des incréments de 0,1 MPa jusqu’à 1 MPa, puis 0,5 MPa jusqu’à 10 MPa, puis 2 MPa jusqu’à 30 MPa, puis 5 MPa jusqu’à 180 MPa, et enfin 10 MPa jusqu’à 400 MPa.[0108] The experimental method, described in the operating manual of the device referring to the ASTM D4284-83 standard, consists of placing a sample of adsorbent (zeolite adsorbent in the form of agglomerates to be measured) (of known loss on ignition) previously weighed, in a cell of the porosimeter, then, after a preliminary degassing (evacuation pressure of 30 μm of mercury for at least 10 minutes), to fill the cell with mercury at a given pressure (0.0036 MPa), and then to apply an increasing pressure in stages up to 400 MPa in order to gradually penetrate the mercury into the porous network of the sample, taking at least 15 pressure stages up to 0.2 MPa, and then applying increments of 0.1 MPa up to 1 MPa, then 0.5 MPa up to 10 MPa, then 2 MPa up to 30 MPa, then 5 MPa up to 180 MPa, and finally 10 MPa up to 400 MPa.

[0109] La relation entre la pression appliquée et la dimension caractéristique du seuil d’entrée de pore (correspondant à un diamètre apparent de pore) est établie en utilisant l'équation de Laplace-Young et en supposant une ouverture de pore cylindrique, un angle de contact entre le mercure et la paroi des pores de 140° et une tension de surface du mercure de 485 dynes cm'1. Les incréments de volume AVi de mercure introduit à chaque palier de pression Pi sont enregistrés, ce qui permet ensuite de tracer le volume cumulé de mercure introduit en fonction de la pression appliquée V(Pi), ou en fonction du diamètre apparent des pores V(li). Le volume V3.6-15 est déterminé à l’aide du tracé du volume cumulé de mercure introduit en fonction de la pression appliquée V(Pi), ou en fonction du diamètre apparent des pores V(li) en relevant la valeur pour le volume de 3,6 nm et la valeur pour le volume de 15 nm. On fixe à 0,2 MPa la valeur à partir de laquelle le mercure remplit tous les vides inter-granulaires, et on considère qu'au-delà le mercure pénètre dans les pores de l’adsorbant.[0109] The relationship between the applied pressure and the characteristic dimension of the pore inlet threshold (corresponding to an apparent pore diameter) is established using the Laplace-Young equation and assuming a cylindrical pore opening, a contact angle between the mercury and the pore wall of 140° and a mercury surface tension of 485 dynes cm'1 . The volume increments AVi of mercury introduced at each pressure step Pi are recorded, which then allows the cumulative volume of mercury introduced to be plotted as a function of the applied pressure V(Pi), or as a function of the apparent pore diameter V(li). The volume V3.6-15 is determined using the plot of the cumulative volume of mercury introduced as a function of the applied pressure V(Pi), or as a function of the apparent pore diameter V(li) by recording the value for the 3.6 nm volume and the value for the 15 nm volume. The value from which mercury is fills all intergranular voids, and beyond this it is considered that mercury penetrates into the pores of the adsorbent.

[0110] Le volume macroporeux Vma de l’adsorbant est défini comme étant le volume cumulé de mercure introduit à une pression comprise entre 0,2 MPa et 30 MPa, correspondant au volume contenu dans les pores de diamètre apparent supérieur à 50 nm.[0110] The macroporous volume Vma of the adsorbent is defined as being the cumulative volume of mercury introduced at a pressure between 0.2 MPa and 30 MPa, corresponding to the volume contained in the pores with an apparent diameter greater than 50 nm.

[0111] Le volume mésoporeux Vme de l’adsorbant est défini comme étant le volume cumulé de mercure introduit à une pression comprise entre 30 MPa et 400 MPa.[0111] The mesoporous volume Vme of the adsorbent is defined as being the cumulative volume of mercury introduced at a pressure between 30 MPa and 400 MPa.

[0112] Dans le présent document, les volumes macroporeux et mésoporeux Vma et Vme, des adsorbants zéolithiques, sont exprimés en cm3. g'1, sont ainsi mesurés par porosimétrie par intrusion de mercure et rapportés à la masse de l'échantillon en équivalent anhydre, c’est-à-dire la masse dudit adsorbant corrigée de la perte au feu.[0112] In the present document, the macroporous and mesoporous volumes Vma and Vme, of the zeolite adsorbents, are expressed in cm3 . g'1 , are thus measured by mercury intrusion porosimetry and reported to the mass of the sample in anhydrous equivalent, that is to say the mass of said adsorbent corrected for the loss on ignition.

[0113] Technique de caractérisation des zéolithes présentes par DRX[0113] Technique for characterizing zeolites present by DRX

[0114] Les zéolithes présentes dans l’adsorbant et leur paramètre de maille sont caractérisés par analyse par diffraction de rayons X, connue de l'homme du métier sous l'acronyme DRX. Cette analyse est réalisée sur un appareil de la marque Bruker sur un échantillon d'adsorbant zéolithique préalablement broyé et tamisé (fraction inférieure à 50 pm). L'échantillon est saturé en eau de façon à être stable pendant la durée de l'analyse. Pour ce faire, l'échantillon est séché à 110°C dans une étuve, puis placé, en couche mince, dans une enceinte fermée à une humidité relative de 55% à température ambiante, pendant un minimum de 48 heures. L'analyse est réalisée en ajoutant un étalon interne (5% de silicium certifié en paramètre de maille), sur une plage angulaire (en°20) comprise entre 5° 20 et 72° 20, avec un pas angulaire (en °) de 0,02°. Les données sont traitées avec le logiciel d'affinement TOPAS, pour obtenir une mesure du paramètre de maille des zéolithes présentes dans l’adsorbant avec précision (à +/- 0,005 Â).[0114] The zeolites present in the adsorbent and their lattice parameter are characterized by X-ray diffraction analysis, known to those skilled in the art by the acronym DRX. This analysis is carried out on a Bruker device on a sample of zeolite adsorbent previously ground and sieved (fraction less than 50 μm). The sample is saturated with water so as to be stable for the duration of the analysis. To do this, the sample is dried at 110°C in an oven, then placed, in a thin layer, in a closed enclosure at a relative humidity of 55% at room temperature, for a minimum of 48 hours. The analysis is carried out by adding an internal standard (5% silicon certified in lattice parameter), over an angular range (in °20) between 5° 20 and 72° 20, with an angular step (in °) of 0.02°. The data are processed with the TOPAS refinement software, to obtain a measurement of the lattice parameter of the zeolites present in the adsorbent with precision (to +/- 0.005 Å).

[0115] En corollaire, dans la présente invention, le terme « phase non zéolithique » (ou « PNZ ») désigne toute phase présente dans le matériau adsorbant, autre que la ou les zéolithe(s) définie(s) ci-dessus, dénommé « phase zéolithique » ou « PZ ». La quantité de phase non zéolithique est exprimée par le complément à 100% de la phase zéolithique de l’adsorbant, autrement dit : %PNZ = 100 - %PZ où %PNZ représente le pourcentage en poids de PNZ et %PZ le pourcentage en poids de phase zéolithique, par rapport au poids total de l’adsorbant, %PZ représentant le taux de cristallinité (fraction massique de zéolithe) de l’adsorbant mesuré par analyse par diffraction de rayons X (DRX).[0115] As a corollary, in the present invention, the term "non-zeolitic phase" (or "PNZ") designates any phase present in the adsorbent material, other than the zeolite(s) defined above, called "zeolitic phase" or "PZ". The quantity of non-zeolitic phase is expressed by the complement to 100% of the zeolitic phase of the adsorbent, in other words: %PNZ = 100 - %PZ where %PNZ represents the percentage by weight of PNZ and %PZ the percentage by weight of zeolite phase, relative to the total weight of the adsorbent, %PZ representing the crystallinity rate (mass fraction of zeolite) of the adsorbent measured by X-ray diffraction (XRD) analysis.

[0116] Caractérisation de l'adsorption en phase liquide par perçage :[0116] Characterization of liquid phase adsorption by drilling:

[0117] La technique utilisée pour caractériser l'adsorption de molécules en phase liquide sur un solide poreux est la technique dite de perçage, décrite par Ruthven dans « Principles of Adsorption and Adsorption Processes » (John Wiley & Sons, (1984), Chapitres 8 et 9) qui définit la technique des courbes de perçage (« breakthrough curves ») comme l'étude de la réponse à l’injection d’un échelon de constituants adsorbables.[0117] The technique used to characterize the adsorption of molecules in the liquid phase on a porous solid is the so-called breakthrough technique, described by Ruthven in “Principles of Adsorption and Adsorption Processes” (John Wiley & Sons, (1984), Chapters 8 and 9) which defines the breakthrough curve technique as the study of the response to the injection of a step of adsorbable constituents.

[0118] L'analyse du temps moyen de sortie (premier moment) des courbes de perçage fournit une information sur les quantités adsorbées et permet également d'évaluer les sélectivités, c'est-à-dire le facteur de séparation, entre deux constituants adsorbables. L'injection d'un constituant non adsorbable utilisé comme traceur est conseillée pour l’estimation des volumes non-sélectifs.[0118] The analysis of the average exit time (first moment) of the breakthrough curves provides information on the adsorbed quantities and also makes it possible to evaluate the selectivities, i.e. the separation factor, between two adsorbable constituents. The injection of a non-adsorbable constituent used as a tracer is recommended for the estimation of non-selective volumes.

[0119] L'analyse de la dispersion (second moment) des courbes de perçage, permet d'évaluer la hauteur équivalente de plateaux théoriques, basée sur la représentation d'une colonne par un nombre fini de réacteurs hypothétiques idéalement agités (étages théoriques), qui est une mesure directe de la dispersion axiale et de la résistance au transfert de matière du système.[0119] The analysis of the dispersion (second moment) of the drilling curves makes it possible to evaluate the equivalent height of theoretical plates, based on the representation of a column by a finite number of ideally stirred hypothetical reactors (theoretical stages), which is a direct measure of the axial dispersion and the resistance to material transfer of the system.

[0120] Définition de la sélectivité[0120] Definition of selectivity

[0121] La sélectivité aA/B de l’adsorbant pour un composant A par rapport à un composé B est définie comme le rapport des concentrations des composés dans la phase adsorbée divisée par le rapport des concentrations des composés dans la phase non adsorbée à l'équilibre selon la formule suivante: aA/B = Aads/Bads x Bliq/Aliq dans laquelle Aads et Bads sont les concentrations du composé A et du composé B dans la phase adsorbée respectivement et[0121] The selectivity aA/B of the adsorbent for a component A with respect to a compound B is defined as the ratio of the concentrations of the compounds in the adsorbed phase divided by the ratio of the concentrations of the compounds in the non-adsorbed phase at equilibrium according to the following formula: aA/B = Aads/Bads x Bliq/Aliq in which Aads and Bads are the concentrations of compound A and compound B in the adsorbed phase respectively and

Aliq et Bliq sont les concentrations du composé A et du composé B en phase fluide. [0122] La présente invention est maintenant décrite à l’aide des exemples qui suivent, qui ont pour but d’illustrer certains modes de réalisation de l’invention, sans toutefois limiter la portée de ladite invention, telle qu’elle est revendiquée dans les revendications annexées.Aliq and Bliq are the concentrations of compound A and compound B in the fluid phase. [0122] The present invention is now described with the aid of the following examples, which are intended to illustrate certain embodiments of the invention, without however limiting the scope of said invention, as claimed in the appended claims.

EXEMPLESEXAMPLES

[0123] Exemple 1 Comparatif[0123] Example 1 Comparison

[0124] Cet exemple reproduit une zéolithe selon 1 comparatif selon la demande US2023/0219059[0124] This example reproduces a zeolite according to 1 comparison according to application US2023/0219059

[0125] On prépare un mélange homogène et on agglomère 800 g de cristaux de zéolithe dont la taille (diamètre moyen) est de 0,6 pm, avec 145 g de kaolin (exprimés en équivalent calciné) et 55 g de silice colloïdale vendue sous la dénomination commerciale Klebosol™ 30N50 (contenant 30% en poids de SiÛ2 et 0,5% en poids de Na2Û) avec la quantité d'eau qui permet l’extrusion du mélange. Les extrudés sont séchés, puis calcinés à 550°C (cuisson de l’argile) sous courant d'azote pendant 2 heures, et enfin concassés de manière à récupérer des agglomérés dont le diamètre moyen en nombre est égal à 0,5 mm.[0125] A homogeneous mixture is prepared and 800 g of zeolite crystals with a size (average diameter) of 0.6 μm are agglomerated with 145 g of kaolin (expressed as calcined equivalent) and 55 g of colloidal silica sold under the trade name Klebosol™ 30N50 (containing 30% by weight of SiO2 and 0.5% by weight of Na2O) with the quantity of water which allows the extrusion of the mixture. The extrudates are dried, then calcined at 550°C (firing of the clay) under a stream of nitrogen for 2 hours, and finally crushed so as to recover agglomerates with a number average diameter of 0.5 mm.

[0126] Les agglomérés obtenus comme décrit ci-dessus (20 g) sont placés dans un réacteur en verre muni d'une double enveloppe régulée à une température de 95°C ± 1 °C puis on ajoute 250 mL d'une solution aqueuse d’hydroxyde de sodium de concentration de 1 ,25 M, et on laisse le milieu réactionnel sous agitation pendant une durée de 4 heures.[0126] The agglomerates obtained as described above (20 g) are placed in a glass reactor equipped with a double jacket regulated at a temperature of 95°C ± 1°C, then 250 mL of an aqueous sodium hydroxide solution with a concentration of 1.25 M are added, and the reaction medium is left stirring for a period of 4 hours.

[0127] On procède ensuite au lavage des agglomérés en 3 opérations successives de lavage à l'eau suivi de la vidange du réacteur. On s’assure de l'efficacité du lavage en mesurant le pH final des eaux de lavage qui est compris entre 10,0 et 10,5.[0127] The agglomerates are then washed in 3 successive water washing operations followed by emptying the reactor. The effectiveness of the washing is ensured by measuring the final pH of the wash water, which is between 10.0 and 10.5.

[0128] Les agglomérés sont échangés, par mise en contact avec une solution de chlorure de baryum 0,5 M à 95°C en 4 étapes. À chaque étape, le rapport volume de solution sur masse de solide est de 20 mL.g'1 et l'échange est poursuivi pendant 4 heures à chaque fois. Entre chaque échange, le solide est lavé plusieurs fois de manière à le débarrasser des excédents de sel. Les agglomérés sont ensuite séchés à 80°C pendant 2 heures et enfin activés à 250°C pendant 2 heures sous courant d'azote. [0129] Le pourcentage d’oxydes de baryum de cet adsorbant est de 35,1 %.[0128] The agglomerates are exchanged by contacting with a 0.5 M barium chloride solution at 95°C in 4 stages. At each stage, the volume ratio of solution to mass of solid is 20 mL.g'1 and the exchange is continued for 4 hours each time. Between each exchange, the solid is washed several times to remove excess salt. The agglomerates are then dried at 80°C for 2 hours and finally activated at 250°C for 2 hours under a stream of nitrogen. [0129] The percentage of barium oxides in this adsorbent is 35.1%.

[0130] L’adsorbant comparatif présente les caractéristiques suivantes figurant dans le tableau 1 :[0130] The comparative adsorbent has the following characteristics shown in Table 1:

[0131]

Figure imgf000028_0001
[0131]
Figure imgf000028_0001

Tableau 1Table 1

Ainsi, les caractéristiques suivantes peuvent être calculées :Thus, the following characteristics can be calculated:

X/2-3,6 = VmeN2 -VmeHg = 0,023 cm3/gX/2-3.6 = VmeN2 -VmeHg = 0.023 cm3 /g

V3.6-15 = 0,009 cm3/gV3.6-15 = 0.009 cm3 /g

Les volumes mésoporeux sont mesurés selon les techniques décrites ci-dessus.Mesoporous volumes are measured using the techniques described above.

[0132] Exemple 2 selon l'invention[0132] Example 2 according to the invention

[0133] Les agglomérés de l'exemple 1 sont placés à température ambiante dans un réacteur en verre puis on ajoute 450 mL d'une solution aqueuse d'hydroxyde de sodium de concentration 0,8M. Le mélange est maintenu en contact à l'ambiante pendant 1 heure. Après ce temps de maturation, le réacteur est placé dans une cavité micro-ondes (puissance 1800 kW) puis chauffé afin de réaliser une montée à une température de 95°C pendant 4 minutes.[0133] The agglomerates of Example 1 are placed at room temperature in a glass reactor and then 450 mL of an aqueous solution of sodium hydroxide with a concentration of 0.8M are added. The mixture is kept in contact at room temperature for 1 hour. After this maturation time, the reactor is placed in a microwave cavity (power 1800 kW) and then heated in order to raise it to a temperature of 95°C for 4 minutes.

[0134] Le réacteur est alors placé dans un bain thermostaté oscillant et maintenu à une température de 95°C pendant 1 heure. On procède ensuite au lavage des agglomérés en 3 opérations successives de lavage à l'eau suivi de la vidange du réacteur. On s’assure de l'efficacité du lavage en mesurant le pH final des eaux de lavage qui est compris entre 10,0 et 10,5.[0134] The reactor is then placed in an oscillating thermostatic bath and maintained at a temperature of 95°C for 1 hour. The agglomerates are then washed in 3 successive water washing operations followed by emptying the reactor. The effectiveness of the washing is ensured by measuring the final pH of the wash water, which is between 10.0 and 10.5.

[0135] Les agglomérés sont échangés, par mise en contact avec une solution de chlorure de baryum 0,5 M à 95°C en 4 étapes. À chaque étape, le rapport volume de solution sur masse de solide est de 20 mL.g'1 et l'échange est poursuivi pendant 4 heures à chaque fois. Entre chaque échange, le solide est lavé plusieurs fois de manière à le débarrasser des excédents de sel. Les agglomérés sont ensuite séchés à 80°C pendant 2 heures et enfin activés à 250°C pendant 2 heures sous courant d'azote. [0136] Le pourcentage d’oxydes de baryum de cet adsorbant est de 35,6%.[0135] The agglomerates are exchanged by contacting with a 0.5 M barium chloride solution at 95°C in 4 stages. At each stage, the volume ratio of solution to mass of solid is 20 mL.g'1 and the exchange is continued for 4 hours each time. Between each exchange, the solid is washed several times to remove excess salt. The agglomerates are then dried at 80°C for 2 hours and finally activated at 250°C for 2 hours under a stream of nitrogen. [0136] The percentage of barium oxides in this adsorbent is 35.6%.

[0137] L’adsorbant selon l’invention présente les caractéristiques suivantes figurant dans le tableau 2 :[0137] The adsorbent according to the invention has the following characteristics shown in Table 2:

[0138]

Figure imgf000029_0001
[0138]
Figure imgf000029_0001

Tableau 2Table 2

Ainsi, les caractéristiques peuvent être calculées :Thus, the characteristics can be calculated:

X/2-3,6 = VmeN2 - VmeHg = 0,012 cm3/gX/2-3.6 = VmeN2 - VmeHg = 0.012 cm3 /g

V3.6-15 = 0,009 cm3/gV3.6-15 = 0.009 cm3 /g

Les volumes mésoporeux sont mesurés selon les techniques décrites ci-dessus.Mesoporous volumes are measured using the techniques described above.

[0139] On peut alors calculer les profils mésoporeux de chacun des adsorbants des exemples 1 et 2. Les résultats sont présentés dans le tableau 3 ci-dessous :[0139] The mesoporous profiles of each of the adsorbents of Examples 1 and 2 can then be calculated. The results are presented in Table 3 below:

[0140]

Figure imgf000029_0002
[0140]
Figure imgf000029_0002

Tableau 3Table 3

[0141] Exemple 3 : Test de perçage (chromatographie frontale)[0141] Example 3: Piercing test (frontal chromatography)

[0142] On ajuste la Perte Au Feu (PAF) pour chaque échantillon à une valeur de 6,0%.[0142] The Loss on Ignition (LOI) for each sample is adjusted to a value of 6.0%.

[0143] Un test de perçage (chromatographie frontale) est ensuite réalisé sur ces adsorbants pour évaluer leur efficacité. La quantité d’adsorbant utilisée pour ce test est d'environ 82 g.[0143] A breakthrough test (frontal chromatography) is then carried out on these adsorbents to evaluate their effectiveness. The quantity of adsorbent used for this test is approximately 82 g.

[0144] Le mode opératoire pour obtenir les courbes de perçage est le suivant : -Remplissage de la colonne par le tamis et mise en place dans le banc de test. -Remplissage par le solvant à température ambiante.[0144] The procedure for obtaining the drilling curves is as follows: - Filling the column with the sieve and placing it in the test bench. - Filling with the solvent at room temperature.

-Montée progressive à la température d'adsorption sous flux de solvant (5 cm3/min).-Progressive rise to the adsorption temperature under solvent flow (5 cm3 /min).

-Injection de solvant à 10 cm3/min lorsque la température d'adsorption est atteinte. -Permutation solvant/charge pour injecter la charge (10 cm3/min).-Solvent injection at 10 cm3 /min when the adsorption temperature is reached. -Solvent/charge permutation to inject the charge (10 cm3 /min).

-L’injection de la charge est ensuite maintenue un temps suffisant pour atteindre l’équilibre thermodynamique.-The injection of the charge is then maintained for a sufficient time to reach thermodynamic equilibrium.

-Collecte et analyse de l’effluent du perçage.-Collection and analysis of drilling effluent.

[0145] La pression est suffisante pour que la charge reste en phase liquide, soit 1 MPa. La température d'adsorption est de 175°C.[0145] The pressure is sufficient for the charge to remain in the liquid phase, i.e. 1 MPa. The adsorption temperature is 175°C.

[0146] La composition de la charge est la suivante :[0146] The composition of the charge is as follows:

Paraxylène : 45% poidsParaxylene: 45% by weight

Métaxylène : 45% poidsMetaxylene: 45% by weight

Iso-octane: 10% poids (celui-ci est utilisé comme traceur pour l’estimation des volumes non-sélectifs et n’intervient pas dans la séparation).Iso-octane: 10% by weight (this is used as a tracer for the estimation of non-selective volumes and does not intervene in the separation).

[0147] Il a été constaté une amélioration de la sélectivité a PX/MX entre l’aggloméré selon l’exemple 1 et l’aggloméré selon l’exemple 2 de 5%, ce qui représente un gain notable en productivité à l’échelle industrielle.[0147] An improvement in the PX/MX selectivity between the agglomerate according to example 1 and the agglomerate according to example 2 of 5% was observed, which represents a notable gain in productivity on an industrial scale.

[0148] Ces résultats montrent que l’adsorbant selon l’invention présentant la distribution mésoporeuse revendiquée conduit à une nette amélioration de la sélectivité pour le méta-xylène.[0148] These results show that the adsorbent according to the invention having the claimed mesoporous distribution leads to a clear improvement in selectivity for meta-xylene.

Claims

Translated fromFrench
Revendications Claims1. Adsorbant zéolithique aggloméré à base de cristaux de zéolithe de type faujasite (FAU), adsorbant zéolithique comprenant du baryum ou du baryum et du potassium, ledit adsorbant présentant une distribution poreuse répondant aux deux inéquations suivantes :1. Agglomerated zeolite adsorbent based on faujasite (FAU) type zeolite crystals, zeolite adsorbent comprising barium or barium and potassium, said adsorbent having a pore distribution meeting the following two inequalities:1) 0,060
Figure imgf000031_0001
1) 0.060
Figure imgf000031_0001
2) 2,5
Figure imgf000031_0002
dans lesquelles
2) 2.5
Figure imgf000031_0002
in which
VmaHg désigne le volume macroporeux de l’adsorbant mesuré par porosimétrie par intrusion de mercure,VmaHg denotes the macropore volume of the adsorbent measured by mercury intrusion porosimetry,VmeN2 désigne le volume mésoporeux de l’adsorbant mesuré par adsorption d’azote, V2-3.6 correspond au volume mésoporeux pour des tailles de pore allant de 2 nm à 3,6 nm,VmeN2 denotes the mesoporous volume of the adsorbent measured by nitrogen adsorption, V2-3.6 corresponds to the mesoporous volume for pore sizes ranging from 2 nm to 3.6 nm,V3.6-15 correspond au volume mésoporeux pour des tailles de pore allant de 3,6 nm à 15 nm,V3.6-15 corresponds to the mesoporous volume for pore sizes ranging from 3.6 nm to 15 nm,X/2-3,6 est égal à X/2-3,6 = VmeN2 - VmeHg dans laquelle VmeHg désigne le volume mésoporeux de l’adsorbant mesuré par porosimétrie par intrusion de mercure,X/2-3.6 is equal to X/2-3.6 = VmeN2 - VmeHg in which VmeHg denotes the mesoporous volume of the adsorbent measured by mercury intrusion porosimetry,V3.6-15 est déterminé par la différence entre le volume de mercure introduit à 15 nm et celui introduit à 3,6 nm, les volumes étant exprimés en cm3.g'1.V3.6-15 is determined by the difference between the volume of mercury introduced at 15 nm and that introduced at 3.6 nm, the volumes being expressed in cm3 .g'1 .2. Adsorbant zéolithique selon la revendication 1 , dans lequel la distribution poreuse répond à l’inéquation suivante :
Figure imgf000031_0003
de préférence 0,045
Figure imgf000031_0004
2. Zeolite adsorbent according to claim 1, wherein the pore distribution satisfies the following inequality:
Figure imgf000031_0003
preferably 0.045
Figure imgf000031_0004
3. Adsorbant zéolithique selon la revendication 1 ou 2, dans lequel la distribution poreuse répond à l’inéquation suivante : 2,0
Figure imgf000032_0001
de préférence 0 <K2~3'6 < 1,8
3. Zeolite adsorbent according to claim 1 or 2, wherein the pore distribution satisfies the following inequality: 2.0
Figure imgf000032_0001
preferably 0 <K2 ~3 '6 < 1.8
4. Adsorbant zéolithique selon l’une quelconque des revendications 1 à 3, dans lequel l’adsorbant zéolithique aggloméré présente un rapport Si/AI supérieur ou égal à 1 ,0 et inférieur ou égal à 3 (tel que 1 ,0 < Si/AI < 3,0), en particulier de supérieur ou égal à 1 ,0 et inférieur ou égal à 1 ,5 (1 ,0 < Si/AI < 1 ,5), de préférence strictement supérieur à 1 ,0 et strictement inférieur à 1 ,5, et avantageusement le rapport Si/AI est compris entre 1 ,1 et 1 ,4.4. Zeolite adsorbent according to any one of claims 1 to 3, in which the agglomerated zeolite adsorbent has an Si/AI ratio greater than or equal to 1.0 and less than or equal to 3 (such that 1.0 < Si/AI < 3.0), in particular greater than or equal to 1.0 and less than or equal to 1.5 (1.0 < Si/AI < 1.5), preferably strictly greater than 1.0 and strictly less than 1.5, and advantageously the Si/AI ratio is between 1.1 and 1.4.5. Adsorbant zéolithique selon l’une quelconque des revendications 1 à 4, dans lequel l’adsorbant comprend des cristaux de taille inférieure ou égale à 1 ,50 pm mesuré par observation au microscope électronique à balayage, et de préférence comprise entre 0,05 pm et 1 ,50 pm, de préférence entre 0,10 pm et 1 ,00 pm, de manière préférée entre 0,10 pm et 0,80 pm et de manière encore plus préférée entre 0,30 pm et 0,80 pm.5. Zeolite adsorbent according to any one of claims 1 to 4, in which the adsorbent comprises crystals of a size less than or equal to 1.50 pm measured by observation under a scanning electron microscope, and preferably between 0.05 pm and 1.50 pm, preferably between 0.10 pm and 1.00 pm, preferably between 0.10 pm and 0.80 pm and even more preferably between 0.30 pm and 0.80 pm.6. Adsorbant zéolithique selon l’une des revendications 1 à 5, dans lequel il se présente sous forme de bille présentant un diamètre moyen en nombre compris entre 0,1 mm et 2 mm, de préférence 0,3 mm et 2 mm, et en particulier entre 0,3 mm et 0,8 mm, déterminé par analyse de la distribution granulométrique d'un échantillon d'aggloméré par imagerie selon la norme ISO 13322-2:2006, puis calculé en appliquant la norme ISO 9276-2:2001.6. Zeolite adsorbent according to one of claims 1 to 5, in which it is in the form of a ball having a number average diameter of between 0.1 mm and 2 mm, preferably 0.3 mm and 2 mm, and in particular between 0.3 mm and 0.8 mm, determined by analysis of the particle size distribution of an agglomerate sample by imaging according to standard ISO 13322-2:2006, then calculated by applying standard ISO 9276-2:2001.7. Procédé de préparation d’un adsorbant zéolithique selon l’une des revendications 1 à 6 comprenant au moins les étapes suivantes: a) mélange de cristaux d’au moins une zéolithe faujasite, avec un liant d’agglomération contenant au moins 80%, en poids d'argile zéolithisable, et éventuellement une source de silice, mise en forme du mélange obtenu, et cuisson à une température comprise entre 500°C à 700°C, pendant une durée comprise entre 2 minutes et 12 heures, b1 ) une première étape d'immersion dans une solution basique alcaline, de concentration comprise entre 0,2 M et 2 M, bornes incluses, à une température comprise entre la température ambiante et 50°C, avec temps de contact compris quelques minutes et quelques heures, de préférence compris entre 5 minutes et 3 heures, b2) à l'issue de cette étape de mise en contact, on impose une montée en température allant de la température ambiante à une température comprise entre 90°C et 105°C pendant une durée d’une seconde à moins d'une heure, c) échange des cations des agglomérés par mise en contact avec une solution d’ions baryum, ou d’ions baryum et d’ions potassium, d) lavage et séchage des agglomérés zéolithiques ainsi obtenus, et e) activation par chauffage de l’adsorbant zéolithique sous forme d’agglomérés obtenus à l’étape d), à une température comprise entre 100°C et 400°C.7. Process for preparing a zeolite adsorbent according to one of claims 1 to 6 comprising at least the following steps: a) mixing crystals of at least one faujasite zeolite, with an agglomeration binder containing at least 80%, by weight of zeolithizable clay, and optionally a source of silica, shaping the mixture obtained, and firing at a temperature of between 500°C and 700°C, for a period of between 2 minutes and 12 hours, b1) a first step of immersion in an alkaline basic solution, of concentration of between 0.2 M and 2 M, limits included, at a temperature of between room temperature and 50°C, with contact time included a few minutes and a few hours, preferably between 5 minutes and 3 hours, b2) at the end of this contacting step, a temperature increase is imposed ranging from room temperature to a temperature between 90°C and 105°C for a duration of one second to less than one hour, c) exchange of the cations of the agglomerates by contacting with a solution of barium ions, or barium ions and potassium ions, d) washing and drying the zeolite agglomerates thus obtained, and e) activation by heating of the zeolite adsorbent in the form of agglomerates obtained in step d), at a temperature between 100°C and 400°C.8. Procédé selon la revendication 7, caractérisé en ce qu’il comporte, après l’étape b2) une étape b3) de maintien à une température supérieure à 90°C pendant 30 minutes à 1 heure de l’adsorbant dans la solution.8. Method according to claim 7, characterized in that it comprises, after step b2), a step b3) of maintaining the adsorbent in the solution at a temperature above 90°C for 30 minutes to 1 hour.9. Utilisation d'un adsorbant selon l'une quelconque des revendications 1 à 6, ou selon la revendication 7 ou 8, dans les procédés de :9. Use of an adsorbent according to any one of claims 1 to 6, or according to claim 7 or 8, in the processes of:• séparation de coupes d'isomères aromatiques en C8 et notamment des xylènes,• separation of C8 aromatic isomer cuts and in particular xylenes,• séparation d'isomères de toluène substitué tels que nitrotoluène, diéthyltoluène, toluènediamine, et autres,• separation of substituted toluene isomers such as nitrotoluene, diethyltoluene, toluenediamine, and others,• séparation des crésols,• separation of cresols,• séparation des alcools polyhydriques.• separation of polyhydric alcohols.10. Utilisation selon la revendication 9, pour la séparation de para-xylène à partir de coupes d'isomères aromatiques à 8 atomes de carbone.10. Use according to claim 9, for the separation of para-xylene from cuts of aromatic isomers with 8 carbon atoms.11 . Procédé de séparation de para-xylène à partir de coupes d'isomères d’hydrocarbures aromatiques contenant 8 atomes de carbone, en phase liquide, par adsorption du para-xylène, comprenant une étape de mise en contact de la charge avec un lit d'adsorbant zéolithique aggloméré tel que défini selon l’une des revendications 1 à 6 ou susceptible d’être préparé selon l’une des revendications 7 et 8, en présence d'un désorbant.11. Process for separating para-xylene from fractions of aromatic hydrocarbon isomers containing 8 carbon atoms, in the liquid phase, by adsorption of para-xylene, comprising a step of bringing the feedstock into contact with a bed of agglomerated zeolitic adsorbent as defined according to one of claims 1 to 6 or capable of being prepared according to one of claims 7 and 8, in the presence of a desorbent.12. Procédé de séparation de para-xylène à partir de coupes d'isomères d’hydrocarbures aromatiques contenant 8 atomes de carbone, en phase gazeuse, par adsorption du para-xylène comprenant une étape de mise en contact de la charge avec un lit d'adsorbant zéolithique aggloméré tel que défini selon l’une des revendications 1 à 6 ou susceptible d’être préparé selon l’une des revendications 7 et 8, en présence d'un désorbant.12. Process for the separation of para-xylene from fractions of aromatic hydrocarbon isomers containing 8 carbon atoms, in the gas phase, by adsorption of para-xylene comprising a step of bringing the feedstock into contact with a bed of agglomerated zeolitic adsorbent as defined according to one of claims 1 to 6 or capable of being prepared according to one of claims 7 and 8, in the presence of a desorbent.13. Procédé selon la revendication 11 ou 12, caractérisé en ce que le lit est de type lit mobile simulé.13. Method according to claim 11 or 12, characterized in that the bed is of the simulated mobile bed type.
PCT/EP2024/0870292023-12-192024-12-18Zeolite adsorbent for separating hydrocarbon isomersPendingWO2025132529A1 (en)

Applications Claiming Priority (2)

Application NumberPriority DateFiling DateTitle
FRFR23145382023-12-19
FR2314538AFR3156671A1 (en)2023-12-192023-12-19 Zeolite adsorbent for the separation of hydrocarbon isomers

Publications (1)

Publication NumberPublication Date
WO2025132529A1true WO2025132529A1 (en)2025-06-26

Family

ID=90572077

Family Applications (1)

Application NumberTitlePriority DateFiling Date
PCT/EP2024/087029PendingWO2025132529A1 (en)2023-12-192024-12-18Zeolite adsorbent for separating hydrocarbon isomers

Country Status (2)

CountryLink
FR (1)FR3156671A1 (en)
WO (1)WO2025132529A1 (en)

Citations (15)

* Cited by examiner, † Cited by third party
Publication numberPriority datePublication dateAssigneeTitle
US2985589A (en)1957-05-221961-05-23Universal Oil Prod CoContinuous sorption process employing fixed bed of sorbent and moving inlets and outlets
US3558732A (en)1969-05-121971-01-26Universal Oil Prod CoAromatic hydrocarbon separation by adsorption
US4255607A (en)1978-09-071981-03-10Asahi Kasei Kogyo Kabushiki KaishaSeparation of C8 aromatic isomers
US4402832A (en)1982-08-121983-09-06Uop Inc.High efficiency continuous separation process
US4498991A (en)1984-06-181985-02-12Uop Inc.Serial flow continuous separation process
FR2681066A1 (en)1991-09-051993-03-12Inst Francais Du PetroleProcess and device for the separation of para-xylenes in a C8 aromatic hydrocarbon feedstock
US5284992A (en)1991-09-051994-02-08Institut Francais Du PetroleProcess and apparatus for the separation of p-xylene in C8 aromatic hydrocarbons with a simulated moving bed absorption and a crystallization
WO2009081024A2 (en)2007-12-202009-07-02Ceca S.A.Agglomerated zeolitic absorbents, method of preparing them and uses thereof
US20110104494A1 (en)*2008-03-032011-05-05Chemiewerk Bad Kostritz GmbhAdsorbent granulate and method for the manufacture thereof
US8735643B2 (en)2007-12-202014-05-27Cece S.A.Aggregate zeolitic absorbents, their method of preparation and their uses
CN109692659A (en)*2017-10-242019-04-30中国石油化工股份有限公司A kind of binder free spherical shape paraxylene adsorbent and preparation method thereof
US10745329B2 (en)2015-07-092020-08-18Arkema FranceZeolite adsorbents, preparation process therefor and uses thereof
US10913695B2 (en)2015-07-092021-02-09IFP Energies NouvellesZeolite adsorbents, preparation process therefor and uses thereof
US10940458B2 (en)2016-06-282021-03-09IFP Energies NouvellesZeolite adsorbent in the form of low-tortuosity agglomerates
US20230219059A1 (en)2019-12-202023-07-13IFP Energies NouvellesZeolitic adsorbent for the separation of hydrocarbon isomers

Patent Citations (16)

* Cited by examiner, † Cited by third party
Publication numberPriority datePublication dateAssigneeTitle
US2985589A (en)1957-05-221961-05-23Universal Oil Prod CoContinuous sorption process employing fixed bed of sorbent and moving inlets and outlets
US3558732A (en)1969-05-121971-01-26Universal Oil Prod CoAromatic hydrocarbon separation by adsorption
US4255607A (en)1978-09-071981-03-10Asahi Kasei Kogyo Kabushiki KaishaSeparation of C8 aromatic isomers
US4402832A (en)1982-08-121983-09-06Uop Inc.High efficiency continuous separation process
US4498991A (en)1984-06-181985-02-12Uop Inc.Serial flow continuous separation process
FR2681066A1 (en)1991-09-051993-03-12Inst Francais Du PetroleProcess and device for the separation of para-xylenes in a C8 aromatic hydrocarbon feedstock
US5284992A (en)1991-09-051994-02-08Institut Francais Du PetroleProcess and apparatus for the separation of p-xylene in C8 aromatic hydrocarbons with a simulated moving bed absorption and a crystallization
US5629467A (en)1991-09-051997-05-13Institut Francais Du PetroleProcess and apparatus for the separation of p-xylene in C8 aromatic hydrocarbons with a simulated moving bed adsorption and a crystallization
WO2009081024A2 (en)2007-12-202009-07-02Ceca S.A.Agglomerated zeolitic absorbents, method of preparing them and uses thereof
US8735643B2 (en)2007-12-202014-05-27Cece S.A.Aggregate zeolitic absorbents, their method of preparation and their uses
US20110104494A1 (en)*2008-03-032011-05-05Chemiewerk Bad Kostritz GmbhAdsorbent granulate and method for the manufacture thereof
US10745329B2 (en)2015-07-092020-08-18Arkema FranceZeolite adsorbents, preparation process therefor and uses thereof
US10913695B2 (en)2015-07-092021-02-09IFP Energies NouvellesZeolite adsorbents, preparation process therefor and uses thereof
US10940458B2 (en)2016-06-282021-03-09IFP Energies NouvellesZeolite adsorbent in the form of low-tortuosity agglomerates
CN109692659A (en)*2017-10-242019-04-30中国石油化工股份有限公司A kind of binder free spherical shape paraxylene adsorbent and preparation method thereof
US20230219059A1 (en)2019-12-202023-07-13IFP Energies NouvellesZeolitic adsorbent for the separation of hydrocarbon isomers

Non-Patent Citations (2)

* Cited by examiner, † Cited by third party
Title
"Principles of Adsorption and Adsorption Processes", 1984, JOHN WILEY & SONS
D. W. BRECK: "Zeolite Molecular Sieves", 1973, JOHN WILEY AND SONS, pages: 314 - 315

Also Published As

Publication numberPublication date
FR3156671A1 (en)2025-06-20

Similar Documents

PublicationPublication DateTitle
CA2894606C (en)Zeolitic adsorbents, process for preparing same and uses thereof
EP3043902B1 (en)Zeolitic adsorbents with large external surface area comprising baryum and/or potassium and uses thereof
EP2991760B1 (en)Zeolite adsorbents comprising emt zeolite, method for preparing same and uses thereof
EP3218100B1 (en)Zeolite adsorbents made from x zeolite with low binder content and low external surface area, method for preparation of same and uses thereof
EP3319723B1 (en)Zeolitic adsorbents, method for the production thereof, and uses of same
FR3028430A1 (en) LSX ZEOLITHIC ZEOLITHIC ADSORBENTS WITH EXTERNAL SURFACE CONTROL, PREPARATION METHOD AND USES THEREOF
EP3727628B1 (en)Zeolitic adsorbents containing baryum, strontium, potassium and sodium, method for preparation thereof and uses of the same
EP4076731B1 (en)Zeolite adsorbent for separating hydrocarbon isomers
EP3319724A1 (en)Zeolitic adsorbents, method for the production thereof, and uses of same
EP4076732B1 (en)Zeolite adsorbent for the separation of hydrocarbon isomers
EP3679004B1 (en)Hybrid process for producing high-purity para-xylene with toluene solvent
WO2025132529A1 (en)Zeolite adsorbent for separating hydrocarbon isomers
EP3727678B1 (en)Zeolitic adsorbents containing strontium and barium
FR3143383A1 (en) Zeolite adsorbent for high productivity xylenes separation

Legal Events

DateCodeTitleDescription
121Ep: the epo has been informed by wipo that ep was designated in this application

Ref document number:24833564

Country of ref document:EP

Kind code of ref document:A1


[8]ページ先頭

©2009-2025 Movatter.jp