INDEXING TECHNIQUES FOR TAGMENTED DNA LIBRARIES CROSS-REFERENCE TO RELATED APPLICATIONS [0001] This application claims the benefit of U.S. Provisional Application S.N. 63/715,950, filed November 4, 2024, and U.S. Provisional Application S.N. 63/715,419, filed November 1, 2024, and U.S. Provisional Application S.N. 63/611,026, filed December 15, 2023, and U.S. Provisional Application S.N. 63/610,279, filed December 14, 2023, the contents of each of which is incorporated by reference herein in its entirety. REFERENCE TO SEQUENCE LISTING [0002] The Sequence Listing submitted herewith is hereby incorporated by reference in its entirety. The name of the file is ILI276BPCT_IP-2749- PCT_Sequence_Listing.xml, the size of the file is 17,739 bytes, and the date of creation of the file is December 5, 2024. BACKGROUND [0003] Double-stranded deoxyribonucleic acid (dsDNA) target molecules can be fragmented and tagged to generate a library of smaller, double-stranded DNA molecules, which can undergo additional processing to generate single-stranded DNA molecules (ssDNA). These smaller, single-stranded DNA molecules may be used as templates in DNA sequencing reactions. The templates may enable short read lengths to be obtained, and then during data analysis, overlapping short sequence reads can be aligned to reconstruct the longer nucleic acid sequences. Some methods for fragmentation and tagging of double-stranded DNA generate excessive waste, involve expensive instruments for fragmentation, and are time-consuming. Moreover, some fragmentation and tagging methods are limited in their ability combine and track different DNA samples. [0004] The flow cells, methods, and/or kits disclosed herein enable some form of indexing so that multiple DNA samples (or fragments thereof) can be introduced to and analyzed on a single flow cell. In some instances, the indexing is achieved with a unique sequence that is incorporated into each of the transposome complexes that are used to tagment a particular DNA sample and generate fully adapted fragments thereof. In these instances, the fully adapted fragments are indexed. In other instances, the indexing is achieved by “spatial indexing,” where fragments of a particular DNA sample are located in a particular area or region of the flow cell. In still other instances, both fragment indexing and spatial indexing are used. In yet further examples, parallel processing of DNA samples is used as a form of indexing. BRIEF DESCRIPTION OF THE DRAWINGS [0005] Features of examples of the present disclosure will become apparent by reference to the following detailed description and drawings, in which like reference numerals correspond to similar, though perhaps not identical, components. For the sake of brevity, reference numerals or features having a previously described function may or may not be described in connection with other drawings in which they appear. [0006] Fig.1 is a top view of a flow cell; [0007] Fig.2A is a cross-sectional view of one flow channel architecture of the flow cell of Fig.1, which includes depressions separated by interstitial regions; [0008] Fig.2B is a cross-sectional view of another flow channel architecture of the flow cell of Fig.1, which includes a single lane; [0009] Fig.3 is a schematic illustration of a recognition primer; [0010] Fig.4 is a schematic illustration of a flow cell and the introduction of different recognition primer conjugated DNA samples to the flow cell at predetermined areas/regions; [0011] Fig.5A and Fig.5B depict different examples of the transposome complexes that can be used in different examples of the method disclosed herein; [0012] Fig.6 illustrates a light-triggered DNA intercalator in a non-intercalating form and an intercalating form; [0013] Fig.7 schematically illustrates lane of a flow cell during sequential steps of a method using light to triggered different regions of the lane; [0014] Fig.8A through Fig.8F depict different examples of the transposome complexes that can be used in different examples of the method disclosed herein; [0015] Fig.9 schematically illustrates an example method using solution-based tagmentation; [0016] Fig.10 schematically illustrates several flow cell depressions binding a single bound complex; [0017] Fig.11 schematically illustrates the formation of two different bound complexes; [0018] Fig.12 schematically illustrates another example method using solution- based tagmentation to generate bound complexes, and the combination of spatial tags and target primers to bind the bound complexes to the flow cell; [0019] Fig.13 schematically illustrates another example method using solution- based tagmentation to generate bound complexes, and the use of a light-triggered activation mechanism to attach the bound complexes to the flow cell surface; [0020] Fig.14 schematically illustrates a kit for making hemi-active transposome dimers and the dimers formed using the kit; [0021] Fig.15 schematically illustrates the dimers formed using the kit of Fig.14 and the attachment of some of the dimers to a solid support; [0022] Fig.16 schematically illustrates one depression of a flow cell with surface- bound transposomes to be used with hemi-active transposome dimers, where the insets depict two different surface-bound transposome complexes; [0023] Fig.17 schematically illustrates tagmentation in cis and in trans using the hemi-active transposome dimers, and the tagmented DNA strand after transposase enzyme removal; [0024] Fig.18 schematically illustrates three different DNA samples tagmented, respectively, with three uniquely indexed hemi-active transposome dimers; [0025] Fig.19A through Fig.19D schematically depict different surface tagmentations that can take place on DNA samples already tagmented with the hemi- active transposome dimers; [0026] Fig.20A through Fig.20D are schematic flow diagrams that respectively depict the tagmentation details of Fig.19A through Fig.19D; [0027] Fig.21 schematically illustrates the tagmentation result when two surface tagmentation events occur between two hemi-tagmented sites on the DNA sample; [0028] Fig.22 is a schematic flow diagram depicting another example of surface tagmentation that can take place on a DNA sample already tagmented with the hemi- active transposome dimers; [0029] Fig.23 schematically depicts tagmentation details for different examples (A through D) of the method shown in Fig.22; [0030] Fig.24A is a cut-away perspective view of a spatial indexing apparatus; [0031] Fig.24B includes perspective and schematic view of three different encapsulated complexes; [0032] Fig.25A is a cut-away perspective view of a hanging drop array plate being moved into an operable position over an example flow cell; [0033] Fig.25B is an enlarged view of the depression sub-sets of Fig.25A; [0034] Fig.26A is a schematic and perspective flow diagram illustrating a bonding method for a flow cell precursor; [0035] Fig.26B is a cross-sectional view of an apparatus used in the bonding method of Fig.26A; [0036] Fig.27 is a top and schematic view of the flow cell precursor with DNA samples being introduced into predetermined areas; [0037] Fig.28A is a schematic illustration of an example method using encapsulated vessels to achieve spatial indexing; [0038] Fig.28B depicts the selective attachment of two different encapsulated vessels at two different areas of the flow cell, and the release of two different DNA samples from the two different encapsulated vessels; [0039] Fig.29 as a graph depicting the % mapped reads (Y axis) for two control samples (L1, L3) and four example samples (L5, L7); [0040] Fig.30 is a schematic illustration of haplotype test results from a tagmentation and sequencing run (A through H) and phasing from whole genome sequencing reads (Samples 1 through 4); [0041] Fig.31A and Fig.31B depict homo-dimers that can be used in the method described in the figure 33 series; [0042] Fig.32A schematically depicts an example of unique dual indexed strands that can be used in the method described in the figure 33 series; [0043] Fig.32B depicts another example of universal homo-dimers and corresponding unique dual indexed strands that can be used in the method described in the figure 33 series; [0044] Fig.32C depicts yet another example of universal homo-dimers and corresponding unique dual indexed strands that can be used in the method described in the figure 33 series; [0045] Fig.33A and Fig.33B together schematically illustrate another example method using solution-based tagmentation; [0046] Fig.33C illustrates an additional process that may be performed in conjunction with the method of Fig.33A and Fig.33B; [0047] Fig.34 is a graph depicting the percentage of reads identified per index in a mixed sample; [0048] Fig.35 is a graph depicting the percentage of reads identified per index in a mixed sample with altered volumes of transposome complexes; [0049] Fig.36 is a graph depicting the percentage of reads identified per index in a mixed sample with altered pooling volumes; and [0050] Fig.37 depicts various sequencing metrics for a mixture containing 64 samples. DETAILED DESCRIPTION [0051] Some examples disclosed herein enable the fragments of several different DNA samples to the indexed, and thus analyzed on the same flow cell surface. [0052] Other examples disclosed herein pool several non-indexed samples together for tagmentation and sequencing, and, in parallel, these samples are exposed to a single nucleotide polymorphism (SNP) assay or to whole genome sequencing. The results of the processes performed in parallel are compared to discern which haplotypes belong to which sample. [0053] Definitions [0054] Terms used herein will be understood to take on their ordinary meaning in the relevant art unless specified otherwise. Several terms used herein and their meanings are set forth below. [0055] As used herein, the singular forms “a,” “an,” and “the” refer to both the singular as well as plural, unless the context clearly indicates otherwise. The term “comprising,” as used herein, is synonymous with “including,” “containing,” or “characterized by,” and is inclusive or open-ended and does not exclude additional, unrecited elements or method steps. [0056] Reference throughout the specification to “one example,” “another example,” “an example,” and so forth, means that a particular element (e.g., feature, structure, composition, configuration, and/or characteristic) described in connection with the example is included in at least one example described herein, and may or may not be present in other examples. In addition, it is to be understood that the described elements for any example may be combined in any suitable manner in the various examples unless the context clearly dictates otherwise. [0057] The terms top, bottom, lower, upper, on, etc. may be used herein to describe the flow cell and/or the various components of the flow cell. It is to be understood that these directional terms are not meant to imply a specific orientation, but are used to designate relative orientation between components. The use of directional terms should not be interpreted to limit the examples disclosed herein to any specific orientation(s). [0058] The terms first, second, etc. also are not meant to imply a specific orientation or order, but rather are used to distinguish one component from another. [0059] It is to be understood that the ranges provided herein include the stated range and any value or sub-range within the stated range, as if such values or sub- ranges were explicitly recited. For example, a range of about 400 nm to about 1 µm (1000 nm), should be interpreted to include not only the explicitly recited limits of about 400 nm to about 1 µm, but also to include individual values, such as about 708 nm, about 945.5 nm, etc., and sub-ranges, as from about 425 nm to about 825 nm, from about 550 nm to about 940 nm, etc. [0060] The terms “substantially” and “about” used throughout this disclosure, including the claims, are used to describe and account for small fluctuations, such as those due to variations in processing. For example, these terms can refer to less than or equal to ±5% from a stated value, such as less than or equal to ±2% from a stated value, such as less than or equal to ±1% from a stated value, such as less than or equal to ±0.5% from a stated value, such as less than or equal to ±0.2% from a stated value, such as less than or equal to ±0.1% from a stated value, such as less than or equal to ±0.05% from a stated value. [0061] Adapter: A linear oligonucleotide sequence that can be fused to a nucleic acid molecule, for example, by ligation or tagmentation, or that can be generated from the 3’ end of a nucleic acid molecule via an extension reaction. Suitable adapter lengths may range from about 10 nucleotides to about 100 nucleotides, or from about 12 nucleotides to about 60 nucleotides, or from about 15 nucleotides to about 50 nucleotides. The adapter may include any combination of nucleotides and/or nucleic acids. In some examples, the adapter can include an amplification domain, e.g., having a universal nucleotide sequence, such as a P5 or P7 sequence, that can serve as a starting point for template amplification and cluster generation. For example, the adapter can include a sequence that is complementary to at least a portion of a flow cell surface-bound primer (which includes the universal nucleotide sequence). In this example, the adapter sequence can hybridize to the complementary flow cell surface- bound primer during amplification and cluster generation. In some examples, the adapter can also include a sequencing primer sequence (i.e., sequencing binding site) or a sequencing sample index (i.e., a barcode sequence). Combinations of different adapters may be incorporated into the nucleic acid molecule, such as the DNA fragments generated via tagmentation. [0062] Amplification: Replicating one or more nucleic acid templates, including fragments thereof, and thus creating multiple copies of the one or more nucleic acid templates. Amplification can include one or more of a bridge amplification reaction, an isothermal bridge amplification reaction, a rolling circle amplification (RCA) reaction, a modified rolling circle multiple amplification, a helicase-dependent amplification reaction, a recombinase-dependent amplification reaction, a single- stranded DNA binding (SSB) protein mediated isothermal amplification, a polymerase chain reaction (PCR), a strand-displacement reaction, a ligase chain reaction, a transcription-mediated reaction, a loop-mediated amplification reaction, other suitable reactions, and combinations thereof. [0063] Amplification Domain: A portion of an adapter having a universal nucleotide sequence, such as a P5 or P7 sequence or a complement thereof, which can serve as a starting point for template amplification and cluster generation. [0064] Attachment / Attached: The state of two things being joined, fastened, adhered, connected or bound to each other, either directly or indirectly and either physically or chemically. As an example of chemical attachment, a nucleic acid can be attached to a polymeric hydrogel by a covalent or non-covalent bond. A covalent bond is characterized by the sharing of pairs of electrons between atoms. As an example, a covalent attachment includes a bond resulting from the use of click chemistry techniques. A non-covalent bond is a physical bond that does not involve the sharing of pairs of electrons and can include, for example, non-specific interactions (e.g., hydrogen bonds, ionic bonds, van der Waals forces) or specific interactions (e.g. affinity interactions (e.g., hydrophilic interactions and hydrophobic interactions), receptor-ligand interactions, antibody-epitope interactions, avidin-biotin interactions, streptavidin-biotin interactions, lectin-carbohydrate interactions, etc.). Exemplary attachments are set forth in U.S. Pat. Nos.6,737,236 B1; 7,259,258 B2; 7,375,234 B2 and 7,427,678 B2; and U.S. Pat. Pub.2011/0059865 A1, each of which is incorporated herein by reference in its entirety. [0065] In certain examples, the molecules (e.g., nucleic acids, enzymes) remain immobilized or attached to the solid support under the conditions in which it is intended to use the solid support, for example in applications requiring nucleic acid amplification and/or sequencing. In other embodiments, the molecules are reversibly immobilized or attached and can be removed from the solid support through the use of cleavable sites, linkers, and the like. [0066] Cluster / Cluster of / Oligonucleotide cluster / Colony: A localized group or collection of DNA or RNA molecules on a nucleotide-sample support, such as a flow cell, particle, polymer scaffold, or other solid surface. In particular, a cluster includes tens, hundreds, thousands, or more copies of a cloned (i.e., the same) DNA or RNA segment. For example, in one or more examples, a cluster includes a grouping of oligonucleotides immobilized in a section of a flow cell or other nucleotide-sample slide. In some examples, the cluster can comprise one or more concatemers, such as, for example, a polony or a nanoball. In some examples, clusters are evenly spaced or organized in a systematic structure within a patterned flow cell. By contrast, in some examples, clusters are randomly organized within a non-patterned flow cell. In typical examples, a cluster is the product of an amplification reaction. A cluster of oligonucleotides can be imaged utilizing one or more light signals, changes in pH, changes in conductance, and other signals. For instance, an oligonucleotide-cluster image may be captured by a camera during a sequencing cycle. The image captures light emitted by irradiated fluorescent labeled nucleotides incorporated into oligonucleotides, fluorescent labeled nucleotides bound but not incorporated into oligonucleotides, and other fluorescent labeled complexes associated with incorporated or bound nucleotides from one or more clusters on a flow cell. Examples of other sequencing procedures are set forth herein. In some embodiments, a cluster can be monoclonal or polyclonal. [0067] Corresponds with: When one primer “corresponds with” an amplification domain, it is meant that the primer and amplification domain have the same sequence, so that a copy of the amplification domain generates a sequence complementary to the primer. [0068] Depositing: Any suitable application technique, which may be manual or automated, and, in some instances, results in modification of the surface properties. Generally, depositing may be performed using vapor deposition techniques, coating techniques, grafting techniques, or the like. Some specific examples include chemical vapor deposition (CVD), spray coating (e.g., ultrasonic spray coating), spin coating, dunk or dip coating, doctor blade coating, puddle dispensing, flow through coating, aerosol printing, screen printing, microcontact printing, inkjet printing, or the like. [0069] Depression: A discrete recessed feature in a substrate or a layer of a substrate (e.g., a patterned resin) having a surface opening that is at least partially surrounded by interstitial region(s) of the substrate or the layer. Depressions can have any of a variety of shapes at their opening in a surface including, as examples, round, elliptical, square, polygonal, star shaped (with any number of vertices), etc. The cross- section of a depression taken orthogonally with the surface can be curved, square, polygonal, hyperbolic, conical, angular, etc. The depression may also have more complex architectures, such as ridges, step features, etc. [0070] DNA Sample: Genetic material extracted from a cell, where the genetic material includes a DNA molecule. The DNA molecule is a polymeric form of nucleotides of any length that includes deoxyribonucleotides, deoxyribonucleotide analogs, or complementary deoxyribonucleotides derived from an RNA (ribonucleic acid) sample. The DNA sample is double stranded. The DNA sample may include naturally occurring DNA, which includes a nitrogen containing heterocyclic base (a nucleobase such as adenine, thymine, cytosine and/or guanine), a sugar (specifically deoxyribose, i.e., a sugar lacking a hydroxyl group that is present at the 2’ position in ribose), and a backbone containing phosphodiester bonds. An analog structure can have an alternate backbone linkage including any of a variety known in the art. [0071] The DNA sample may be genomic DNA (gDNA) that can be isolated from one or more cells, bodily fluids (e.g., whole blood, blood spots, saliva) or tissues. gDNA can be prepared by lysing a cell that contains the DNA. The cell may be lysed under conditions that substantially preserve the integrity of the cell’s gDNA. In one particular example, thermal lysis may be used to lyse a cell. In another particular example, exposure of a cell to alkaline pH can be used to lyse a cell while causing relatively little damage to gDNA. Any of a variety of basic compounds can be used for lysis including, for example, potassium hydroxide, sodium hydroxide, and the like. Additionally, relatively undamaged gDNA can be obtained from a cell lysed by an enzyme that degrades the cell wall. Cells lacking a cell wall either naturally or due to enzymatic removal can also be lysed by exposure to osmotic stress. Other conditions that can be used to lyse a cell include exposure to detergents, mechanical disruption, sonication heat, pressure differential such as in a French press device, or Dounce homogenization. Agents that stabilize can be included in a cell lysate or isolated gDNA sample including, for example, nuclease inhibitors, chelating agents, salts, buffers and the like. A crude cell lysate containing gDNA may be used without further isolation of the gDNA. In one example, a whole blood sample may be lysed using an inorganic salt free lysis buffer, and the crude lysate may be exposed to specific processing steps to generate a complexed crude lysate. This complexed crude lysate can also be used as the DNA sample without further isolation or purification. [0072] A DNA sample is one example of a nucleic acid sample. A nucleic acid sample is a sample, containing DNA and/or RNA, derived from any organism, including, for example, animals, plants, fungi, and microbes. Such samples may be derived from one or more biological fluids, cells, tissues, organs, or organisms, comprising a nucleic acid or a mixture of nucleic acids comprising at least one nucleic acid sequence. Such samples may include, but are not limited to, sputum/oral fluid, amniotic fluid, blood, a blood fraction, fine needle biopsy samples (such as surgical biopsy, fine needle biopsy, etc.), urine, peritoneal fluid, pleural fluid, and the like. Although the sample is often taken from a human subject (such as a patient), the sample may be from any mammal, including, but not limited to dogs, cats, horses, goats, sheep, cattle, pigs, etc. Alternatively, the sample may be microbial such as bacteria, viral, or fungal. The sample may be used directly as obtained from the biological source or following a pretreatment to modify the character of the sample. For example, such pretreatment may include preparing plasma from blood, diluting viscous fluids and so forth. Methods of pretreatment may also involve, but are not limited to, filtration, precipitation, dilution, distillation, mixing, centrifugation, freezing, lyophilization, concentration, amplification, nucleic acid fragmentation, inactivation of interfering components, the addition of reagents, lysing, etc. If such methods of pretreatment are employed with respect to the sample, such pretreatment methods are typically such that the nucleic acid(s) of interest remain in the test sample, sometimes at a concentration proportional to that in an untreated test sample (such as namely, a sample that is not subjected to any such pretreatment method(s)). Such “treated” or “processed” samples are still considered to be biological “test” samples with respect to the methods described herein. A sample” may also include nucleic acid sequence information stored in a memory, and which was originally obtained from a source such as one or more biological fluids, cells, tissues, organs, or organisms. [0073] Each: When used in reference to a collection of items, each identifies an individual item in the collection, but does not necessarily refer to every item in the collection. Exceptions can occur if explicit disclosure or context clearly dictates otherwise. [0074] Flow Cell: A vessel having an enclosed flow channel where a reaction can be carried out, or a vessel having a channel that is open to a surrounding environment and in which a reaction can be carried out. The vessel with an open flow channel may be referred to herein as an open wafer flow cell. Any example of the flow cell may include an inlet for delivering reagent(s) to the channel, and an outlet for removing reagent(s) from the channel. In some examples, the flow cell enables the detection of the reaction that occurs therein. For example, the flow cell can include one or more transparent surfaces allowing for the optical detection of arrays, optically labeled molecules, or the like. [0075] Flow channel: An area that is defined between two bonded or otherwise attached components, or that is defined within a lane so that it is open to the surrounding environment. The flow channel can selectively receive a liquid sample. In some examples, the flow channel may be defined between two patterned sequencing surfaces or a patterned sequencing surface and a lid, and thus may be in fluid communication with one or more components of the sequencing surface(s). [0076] Fragment: A portion or piece of the DNA sample. A “partially adapted fragment” is a portion or piece of the DNA sample that has been tagmented, and thus includes an adapter attached to the 5’ end of the DNA fragment. A “fully adapted fragment” is a portion or piece of the DNA sample that has adapters attached at both the 3’ and 5’ ends of the DNA fragment. [0077] Fragmentation: The breaking of nucleic acid into shorter lengths. Fragmentation methods include enzymatic methods, physical methods (including sonication, nebulization, needle shearing, microwave, etc.), and chemical methods (including depurination, hydrolysis, oxidation, etc.). The terms “fragmenting enzymes” or “enzyme-based fragmentation” or fragmentation,” as used herein, refer to enzymes that fragment nucleic acids. The enzymes can be a single enzyme or two or more enzymes that work together to fragment the nucleic acid. Some enzymes work on single stranded nucleic acid, whereas others work on double stranded nucleic acid, and yet others work on one strand of a double stranded nucleic acid. Fragmenting enzymes can cut the nucleic acid randomly or specifically. Examples of fragmenting enzymes include transposase, restriction enzymes, Argonaute, CRISPR-associated nuclease (Cas), endonucleases, exonuclease, topoisomerase, and FRAGMENTASE
TM (New England Biolabs, Ipswich, MA). Preferred fragmentation embodiments include methods that fragment while retaining proximity information of the fragments. [0078] [0079] Primer: A single stranded nucleic acid molecule that can hybridize to a target sequence, such as an adapter attached to a fragment. As one example, a flow cell surface-bound primer can serve as a starting point for fragment amplification and cluster generation. As another example, a flow cell surface-bound primer can serve as a hybridization point for a spatial tag, and thus for targeting attachment of particular transposome complexes and DNA samples. As still another example, a primer (e.g., a sequencing primer) may be introduced that can hybridize to fragments or fragment amplicons in order to prime synthesis of a new strand that is complementary to the fragments or fragment amplicons. Any primer can include any combination of nucleotides or analogs thereof. In some examples, the primer is a single-stranded oligonucleotide or polynucleotide. The primer length can be any number of bases long. In an example, each of the flow cell surface-bound primer and the sequencing primer is a short strand, ranging from 10 to 60 bases, or from 20 to 40 bases. [0080] Nanoballs: A concatemer comprising multiple copies of a target nucleic acid molecule. Rolling circle amplification/replication can be used to form nucleic acid nanoballs. These nucleic acid copies may be arranged one after another in a continuous linear strand of nucleotides. These nucleic acid copies may result in a nanoball folding configuration. The multiple copies of the target nucleic acid molecule in a nucleic acid nanoball may each contain an adaptor sequence of known sequence to facilitate amplification or sequencing. The adaptor sequence of each target nucleic acid molecule may be the same or The nucleic acid nanoball can be loaded on the surface of a solid support. The nanoball can be attached to the surface of the solid support by any suitable method. Examples of such methods include nucleic acid hybridization, biotin streptavidin binding, thiol binding, photoactive binding, covalent binding, antibody-antigen, physical constraints via hydrogels or other porous polymers, etc., or combinations thereof. In some cases, the nanoball can be digested with an enzyme (nuclease, etc.) to produce a smaller nanoball or a fragment from the nanoball. [0081] Patterned / Random: In some embodiments, the solid support comprises a patterned surface suitable for immobilization of molecules, such as enzymes, nucleic acids, and complexes thereof, in an ordered pattern. A “patterned surface” refers to an arrangement of different regions or features in or on an exposed layer of a solid support. The features can be separated by interstitial regions that contribute to the pattern. In some embodiments, the interstitial regions can be a different height, creating wells or raised platform patterns. In other embodiments, the interstitial regions can have different surface charges. In yet other embodiments, the interstitial regions can have different attachment moieties. In some embodiments, the pattern can be any suitable pattern, such as a grid patterns, radial patterns, and combinations thereof. In some embodiments, a patterned surface can contain pre-determined locations of features but the features are not arrayed in a repetitive pattern. Examples of grid patterns include rectangular patterns, hexagonal patterns, triangular patterns, and other suitable grid patterns. The regions for immobilization of molecules may be depressed regions, elevated regions, or planar regions relative to the interstitial regions. The regions may be fabricated as is generally known in the art using a variety of techniques, including, but not limited to, photolithography, stamping techniques, molding techniques, microetching techniques, and combinations thereof. As will be appreciated by those in the art, the technique used will depend on the composition and shape of the regions. For example, the regions for immobilization of molecules of a patterned surface may be wells, pits, channels, posts, pillars, ridges, stripes, swirls, lines, and other suitable topographies. For example, the wells may have any opening in any shape, such as circular, oval, polygonal (e.g., hexagonal, octagonal, square, rectangular, elliptical, etc.). Exemplary surfaces that can be used in the methods and compositions set forth herein are described in U.S. Pat. No.8,778,849 B2, which is incorporated herein by reference in its entirety. [0082] In some embodiments, the solid support comprises a surface suitable for immobilization of molecules, such as enzymes, nucleic acids, and complexes thereof, in a random distribution over the solid support. Exemplary random distribution over a solid support is described in U.S. Pat. No.8,241,573 B2, which is incorporated herein by reference in its entirety. [0083] Polonies: Some embodiments further comprise rolling circle amplification/replication used to form polonies. The term “polony” or “polonies” used herein refers to a nucleic acid library molecule clonally amplified in-solution or on- support to generate an amplicon that can serve as a template molecule for sequencing. In some aspects, a linear library molecule can be circularized to generate a circularized library molecule, and the circularized library molecule can be clonally amplified in-solution or on-support to generate a concatemer. In some aspects, the concatemer can serve as a nucleic acid template molecule which can be sequenced. The concatemer is sometimes referred to as a polony. In some aspects, a polony includes nucleotide strands. [0084] Sequencing Procedures: The term “read” or “sequence read” (or sequencing reads) refers to a sequence obtained from a portion of a nucleic acid sample. A read may be represented by a string of nucleotides sequenced from any part or all of a nucleic acid molecule. Typically, though not necessarily, a read represents a short sequence of contiguous base pairs in the sample. The read may be represented symbolically by the base pair sequence (in A, T, C, or G) of the sample portion. It may be stored in a memory device and processed as appropriate to determine whether it matches a reference sequence or meets other criteria. A read may be obtained directly from a sequencing apparatus or indirectly from stored sequence information concerning the sample. In some cases, a read is a DNA sequence of sufficient length (such as at least about 25 bp) that can be used to identify a larger sequence or region, for example, that can be aligned and specifically assigned to a chromosome or genomic region or gene. For example, a sequence read may be a short string of nucleotides (such as 20- bases) sequenced from a nucleic acid fragment, a short string of nucleotides at one or both ends of a nucleic acid fragment, or the sequencing of the entire nucleic acid fragment that exists in the biological sample. Sequence reads may be obtained by any method known in the art. For example, a sequence read may be obtained in a variety of ways, such as using sequencing techniques or using probes, such as in hybridization arrays or capture probes, or amplification techniques. [0085] Embodiments described herein can be used with any suitable sequencing chemistry, such as sequencing by synthesis (SBS), sequencing by binding, sequencing by ligation, or nanopore sequencing. [0086] SBS can be performed with or without the use of reversible terminators. For example, SBS can be initiated by contacting the target nucleic acids with one or more nucleotides (e.g., labeled, synthetic, modified, or a combination thereof), DNA polymerase, etc. Those features where a primer is extended using the target nucleic acid as the template will incorporate a labeled nucleotide that can be detected. The incorporation time used in a sequencing run can be significantly reduced using altered polymerases. Optionally, the labeled nucleotides can further include a reversible termination property that terminates further primer extension once a nucleotide has been added to a primer. For example, a nucleotide analog having a reversible terminator moiety can be added to a primer such that subsequent extension cannot occur until a deblocking agent is delivered to remove the moiety. Thus, for embodiments that use reversible termination, a deblocking reagent can be delivered to the flow cell (before or after detection occurs). Washes can be carried out between the various delivery steps. The cycle can then be repeated n times to extend the primer by n nucleotides, thereby detecting a sequence of length n. Exemplary SBS procedures, fluidic systems, and detection platforms that can be readily adapted for use with an array produced by the methods of the present disclosure are described, for example, in Bentley et al., Nature 456:53-59 (2008); WO 2004/018497 A2; WO 1991/006678 A1; WO 2007/123744 A2; U.S. Pat. Nos.7,057,026 B2, 7,329,492 B2, 7,211,414 B2, 7,315,019 B2, 7,405,281 B2, and 8,343,746 B2. Sequence reads can be generated using instruments such as MINISEQ™, MISEQ™ (e.g., MISEQ™ i100), NEXTSEQ™, HISEQX™, and sequencing instruments from Illumina, Inc. (San Diego, CA). [0087] One example of SBS is termed sequencing by binding. One implementation of sequencing by binding includes cycles of initiating sequencing of a template with a reversible blocker on the 3’ end to prevent additional bases from incorporating, interrogating the template by flooding the flow cell with fluorescently tagged bases that do not include a blocker and measuring an emitted signal of bound bases, activating the 3’ end via removal of the reversible blocker, and incorporating the complementary base from unlabeled, blocked nucleotides. Reads using sequencing by binding can be generated from using instruments such as Onso
TM sequencing instruments from Pacific Biosciences of California, Inc. (Menlo Park, CA). Another implementation of sequencing by binding could be sequencing by avidity. In sequencing by avidity, fluorescent dye labeled cores, termed avidites, are used. One potential cycle of sequencing by avidity includes providing a reagent of polymerase and reversibly terminated nucleotides to templates immobilized on a solid surface, de- blocking the incorporated nucleotides, flowing a set of four types of avidites, washing away unbound avidites, detecting the incorporated bases/nucleotides, and removing the bound avidites. The steps in the cycle of sequencing by avidity may be performed in other orders. Sequencing by avidity is described in Arslan, S., Garcia, F.J., Guo, M. et al., “Sequencing by avidity enables high accuracy with low reagent consumption.” Nat Biotechnol 42, 132–138 (2024). https://doi.org/10.1038/s41587-023-01750-7, which is incorporated by reference in its entirety. Reads using sequencing by avidity can be generated using instruments such as AVITI
TM sequencing instruments from Element Biosciences (San Diego). [0088] One example of SBS using an open flow cell and without using reversible terminators is disclosed in Almogy, G., (2022) “Cost-efficient whole genome- sequencing using novel mostly natural sequencing-by-synthesis chemistry and open fluidics platform” https://doi.org/10.1101/2022.05.29.493900, which is incorporation by reference in its entirety. Sequence reads using an open flow cell can be generated using instruments such as UG 100TM Sequencer from Ultima Genomics, Inc. (Fremont, CA). [0089] Some SBS embodiments detection of a proton released upon incorporation of a nucleotide into an extension product. For example, sequencing based on detection of released protons can use an electrical detector and associated techniques that are described in U.S. Pat. Nos.8,262,900 B2, 7,948,015 B2, 8,349,167 B2, and U.S. Pat. Pub.2010/0137143 A1, each of which is incorporated by reference in its entirety. [0090] Sequence reads can be generated using instruments such as DNBSEQTM sequencing instruments from MGI Tech Co., Ltd. (Shenzhen, China) and as SURFSeq
TM, FASTASeq
TM, and GenoLab
TM sequencing instruments from GeneMind Biosciences Co., Ltd. (Shenzhen, China). [0091] Some embodiments can use methods involving the real-time monitoring of DNA polymerase activity. For example, nucleotide incorporations can be detected through fluorescence resonance energy transfer (FRET) interactions between a fluorophore-bearing polymerase and γ-phosphate-labeled nucleotides, or with zeromode waveguides. Techniques and reagents for FRET-based sequencing are described, for example, in Levene et al., Science 299, 682-686 (2003); Lundquist et al., Opt. Lett.33, 1026-1028 (2008); and Korlach et al., Proc. Natl. Acad. Sci. USA 105, 1176-1181 (2008), each of which is incorporated by reference in its entirety. Techniques that sequence using zeromode waveguides are described in U.S. Pat. No. 6,917,726 B2, which is incorporated by reference in its entirety. [0092] Solid Support: The terms “solid support,” “solid surface,” and other grammatical equivalents herein refer to any substrate that is appropriate for or can be modified to be appropriate for the attachment of enzymes, nucleic acids, and complexes thereof. As will be appreciated by those in the art, the number of possible substrates is very large. Possible substrates include, but are not limited to, glass and modified or functionalized glass, polymers (including acrylics, polystyrene and copolymers of styrene and other materials, polypropylene, polyethylene, polybutylene, polyurethanes, polytetrafluoroethylene (e.g., TEFLON
TM from Chemours), polyamides (i.e., nylon)) etc.), polysaccharides, nitrocellulose, ceramics, resins, silica or silica- based materials including silicon and modified silicon, carbon, metals, optical fiber bundles, quartz, metal oxides, inorganic oxides, other suitable transparent materials, other suitable non-transparent materials, suitable translucent materials, and combinations thereof. The composition and geometry of the solid support can vary with its use. [0093] In some embodiments, the solid support or solid surface is a planar structure, such as a flow cell, slide, chip, microchip, array, microarray, wafer, panel, charge pad, and/or web. The planar structure can be a single surface structure having a single surface of sample/reaction sites. The planar structure can be a dual surface structure. One example of a dual surface structure includes a top substrate having a top surface of sample/reactions sites, a bottom substrate having a bottom surface of sample/reactions sites, and a spacer layer separating the top substrate and the bottom substrate. The solid support or solid surface can be open to direct application of a fluid. One example of an open solid support or open solid surface is an open flow cell having a single surface structure without an inlet port. In some embodiments, the solid support is not necessarily planar, such as, for example, the surface of a well, tube, or other vessel. Nonlimiting examples include the surface of a microcentrifuge tube, a well of a multiwell plate, and the like. [0094] In some embodiments, the solid support comprises one or more surfaces of a flowcell or flow cell. In accordance with definition set forth herein, the term “flowcell” or “flow cell” refers to a solid surface across which one or more fluid reagents can be flowed. Examples of flow cells and related fluidic systems and detection platforms that can be readily used in the methods of the present disclosure are described, for example, in Bentley et al., Nature 456:53-59 (2008), WO 2004/018497 A2; U.S. Pat. No.7,057,026 B2; WO 1991/06678 A1; WO 2007/123744 A2; U.S. Pat. No.7,329,492 B2; U.S. Pat. No.7,211,414 B2; U.S. Pat. No.7,315,019 B2; U.S. Pat. No.7,405,281 B2, and U.S. Pat. Pub.2008/0108082 A1, each of which is incorporated herein by reference in its entirety. In some embodiments, the flow cells can include one or more flow lanes. For flow cells having a plurality of flow lanes, each of the flow lanes can be independently accessed or two or more flow lanes can be accessed as a group. [0095] In some embodiments, the solid support or solid surface is a non-planar structure, such as beads, microspheres, and/or inner and/or outer surface of a tube or vessel. The terms “beads”, or “particles” or grammatical equivalents herein refer to small discrete particles. Suitable bead compositions include, but are not limited to, plastics, ceramics, glass, polystyrene, methylstyrene, acrylic polymers, paramagnetic materials, thoria sol, carbon graphite, titanium dioxide, latex, polysaccharide (e.g., DEXTRAN
TM, SEPHAROSE
TM, cellulose), polyamides, cross- linked micelles, TEFLON
TM, as well as any other materials outlined herein for solid supports may all be used. “Microsphere Detection Guide” from Bangs Laboratories, Fishers Ind. is a helpful guide. In certain embodiments, the microspheres are magnetic microspheres or beads. The beads need not be spherical; as irregular particles may be used. Alternatively or additionally, the beads may be porous. The bead sizes range from nanometers, i.e.100 nm, to millimeters, i.e.1 mm, with beads from about 0.2 micron to about 200 microns being preferred, and from about 0.5 to about 5 micron being particularly preferred, although in some embodiments smaller or larger beads may be used. [0096] Tagmentation: A process in which the DNA sample is cleaved/fragmented and tagged (e.g., with the adapters) for analysis. Tagmentation is an in vitro transposition reaction. [0097] Transferred and Non-Transferred Strands: The term “transferred strand” refers to a sequence that includes a transferred portion of a transposon end. Similarly, the term “non-transferred strand” refers to a sequence that includes the non- transferred portion of a transposon end. The 3’-end of a transferred strand is joined or transferred to a double stranded fragment during tagmentation. The non-transferred strand is not joined or transferred to the double stranded fragment during tagmentation. In an example, the transferred and non-transferred strands include at least partially complementary portions that are covalently bound together. [0098] Transposase or Transposase Enzyme: An enzyme that is capable of forming a functional complex with a transposon end-containing composition (e.g., transposons, transposon ends, transposon end compositions) and catalyzing insertion or transposition of the transposon end-containing composition into the double-stranded DNA sample with which it is incubated, for example, in the in vitro transposition reaction (i.e., tagmentation). A transposase as presented herein can also include integrases from retrotransposons and Although many examples described herein refer to Tn5 transposase and/or hyperactive Tn5 transposase, it will be appreciated that any transposase that is capable of inserting a transposon end with sufficient efficiency to 5’-tag and fragment the DNA sample for its intended purpose can be used. [0099] Transposome/Transposome Complex: An entity formed between a transposase enzyme and a nucleic acid. Typically, the nucleic acid is a double stranded nucleic acid including a transposase integration recognition site. For example, the transposome complex can be the product of incubating a transposase enzyme with double-stranded transposon DNA under conditions that support non- covalent complex formation. Double-stranded transposon DNA can include, for example, Tn5 DNA, a portion of Tn5 DNA, a transposon end composition, a mixture of transposon end compositions or other double-stranded DNAs capable of interacting with a transposase, such as the hyperactive Tn5 transposase. [0100] Transposon End: A double-stranded nucleic acid strand that exhibits only the nucleotide sequences (the “transposon end sequences”) that are necessary to form the complex with the transposase that is functional in tagmentation. The double- stranded nucleic acid strand of the transposon end can include any nucleic acid or nucleic acid analogue suitable for forming the functional complex with the transposase. For example, the transposon end can include natural DNA or DNA analogs (with modified bases and/or backbones), and can include nicks in one or both strands. [0101] Transposases, transposomes and transposome complexes are generally known to those of skill in the art, as exemplified by the disclosure of U.S. Pat. Pub. 2010/0120098 A2, which is incorporated herein by reference in its entirety. Although many embodiments described herein refer to Tn5 transposase and/or hyperactive Tn5 transposase, it will be appreciated that any transposition system that is capable of inserting a transposon element with sufficient efficiency to tag a target nucleic acid can be used. In particular embodiments, a preferred transposition system is capable of inserting the transposon element in a random or in an almost random manner to tag the target nucleic acid. [0102] Flow Cell [0103] Each of the methods and kits that are disclosed herein use or include a flow cell. The architecture and/or surface chemistry of the flow cell may vary between methods and/or kits, and specifics of the flow cell used in a particular method and/or kit will be described in detail in reference to the particular method and/or kit. [0104] This section provides a description of some of the architecture and surface chemistry that is used in each example of the flow cell disclosed herein. [0105] A top view of an example of the flow cell 10 is shown in Fig.1. As will be discussed in reference to Fig.2A and Fig.2B, some examples of the flow cell 10 include two opposed substrates 12 and 12’ or 14 and 14’. Other example flow cells 10 include one substrate 12 or 14, which may have a cover slip or other lid bonded to a portion of the substrate 12 or 14. Still other example flow cells 10 include one substrate 12 or 14 that is not bonded to another component, but rather is open to the surrounding environment. This open substrate 12 or 14, having the polymeric hydrogel, amplification primer set (primers 16, 18 and 16’, 18’), and in some instances, the transposome complexes 38A, 38B or 38C, 38D may also be referred to herein as a flow cell precursor (e.g., when used in an open bonding method described in Fig.26). [0106] In the examples shown in Fig.2A and Fig.2B, a flow channel 20 is defined between the two opposed substrates 12 and 12’ or 14 and 14’. In other examples, the flow cell 10 includes one substrate 12 or 12’ or 14 or 14’ and the lid (not shown) attached to the substrate 12 or 12’ or 14 or 14’. In these examples, the flow channel 20 is defined between the substrate 12 or 12’ or 14 or 14’ and the lid. In the open wafer version, the flow channel 20 may be defined by the lane 36 (see Fig.2B). [0107] Different substrates 12 or 12’ or 14 or 14’ are shown in Fig.2A and Fig.2B. These substrates 12, 12’, 14, 14’ are examples of the solid support. [0108] In the example shown in Fig.2B, the substrates 14, 14’ are single layered structures. Examples of suitable single layered structures for the substrate 14, 14’ include epoxy siloxane, glass, modified or functionalized glass, polymeric materials (including acrylics, polystyrene and copolymers of styrene and other materials, polypropylene, polyethylene, polybutylene, polyurethanes, polytetrafluoroethylene (such as TEFLON® from Chemours), cyclic olefins/cyclo-olefin polymers (COP) (such as ZEONOR® from Zeon), polyimides, (polyamides), etc.), ceramics/ceramic oxides, silica, fused silica, or silica-based materials, aluminum silicate, silicon and modified silicon (e.g., boron doped p+ silicon), silicon nitride (Si
3N
4), silicon oxide (SiO2), tantalum pentoxide (Ta2O5) or other tantalum oxide(s) (TaOx), hafnium oxide (HfO2), carbon, metals, or the like. In any of the examples disclosed herein, the substrates 14, 14’ may be selected to be transparent to visible light. [0109] In the examples shown in Fig.2A, the substrates 12 or 12’ are multi-layered structures. The multi-layered structures of the substrates 12, 12’ include a base support 22, 22’ and a patterned material 24, 24’ on the base support 22, 22’. In any of the examples disclosed herein, the components of the substrates 12, 12’ may be selected to be transparent to visible light. [0110] The base support 22, 22’ may be any of the examples set forth herein for the single layered structure of the substrate 14, 14’. The patterned material 24, 24’ may be any material that is capable of being patterned with depressions 26, 26’. [0111] In an example, the patterned material 24, 24’ may be an inorganic oxide that is selectively applied to the base support 22, 22’, e.g., via vapor deposition, aerosol printing, or inkjet printing, in the desired pattern. Examples of suitable inorganic oxides include tantalum oxide (e.g., Ta2O5), aluminum oxide (e.g., Al2O3), silicon oxide (e.g., SiO
2), hafnium oxide (e.g., HfO
2), etc. In another example, the patterned material 24, 24’ may be a resin matrix material that is applied to the base support 22, 22’ and then patterned. Suitable deposition techniques include chemical vapor deposition, dip coating, dunk coating, spin coating, spray coating, puddle dispensing, ultrasonic spray coating, doctor blade coating, aerosol printing, screen printing, microcontact printing, etc. Suitable patterning techniques include photolithography, nanoimprint lithography (NIL), stamping techniques, embossing techniques, molding techniques, microetching techniques, printing techniques, etc. Some examples of suitable resins include a polyhedral oligomeric silsesquioxane-based resin, a non- polyhedral oligomeric silsesquioxane epoxy resin, a poly(ethylene glycol) resin, a polyether resin (e.g., ring opened epoxies), an acrylic resin, an acrylate resin, a methacrylate resin, an amorphous fluoropolymer resin (e.g., CYTOP® from Bellex), and combinations thereof. [0112] In an example, the substrates 12’ or 14, 14’ may be round and have a diameter ranging from about 2 mm to about 300 mm, or may be a rectangular sheet or panel having its largest dimension up to about 10 feet (~ 3 meters). In an example, the substrate 12, 12’ or 14, 14’ is a wafer having a diameter ranging from about 200 mm to about 300 mm. Wafers may subsequently be diced to form an individual flow cell substrate. In another example, the substrate 12, 12’ or 14, 14’ is a die having a width ranging from about 0.1 mm to about 10 mm. While example dimensions have been provided, it is to be understood that a substrate 12, 12’ or 14, 14’ with any suitable dimensions may be used. For another example, a panel may be used that is a rectangular support, which has a greater surface area than a 300 mm round wafer. Panels may subsequently be diced to form individual flow cells. [0113] The flow cell 10 also includes the flow channel 20. While several flow channels 20 are shown in Fig.1, it is to be understood that any number of flow channels 20 may be included in the flow cell 10 (e.g., a single channel 20, four channels 20, etc.). Each flow channel 20 may be isolated from each other flow channel 20 in a flow cell 10 so that fluid introduced into any particular flow channel 20 does not flow into any adjacent flow channel 20. [0114] At least a portion of the flow channel 20 may be defined in the substrate 12, 12’ or 14, 14’ using any suitable technique that depends, in part, upon the material(s) of the substrate 12, 12’ or 14, 14’. With the open wafer flow cell, the entire flow channel 20 may be defined by the lane 36 that is defined in the substrate 12 or 14. In two examples, at least a portion of the flow channel 20 is etched into a glass substrate or is engraved into a plastic substrate, such as substrate 14, 14’. In another example, at least a portion of the flow channel 20 may be patterned into a resin matrix material of a multi-layered structure using photolithography, nanoimprint lithography, etc. In enclosed versions of the flow cell 10, a separate material (e.g., interposer 28) may be applied to the substrate 12, 12’ or 14, 14’ so that the interposer 28 defines at least a portion of the walls of the flow channel 20. One example of an interposer 28 is the pre-cut interposer 98 shown in Fig.26. While the lane 36 is shown defined in the layer 24 or the substrate 14, it is to be understood that the surface of the layer 24 (with the depressions 26 defined therein) or the 14 may be substantially flat, and the interposer 28, 98 placed thereon may define the lane 36. [0115] In an example, the flow channel 20 has a substantially rectangular configuration with rounded ends. The length and width of the flow channel 20 may be smaller, respectively, than the length and width of the substrate 12, 12’ or 14, 14’ so that a portion of the substrate surface surrounding the flow channel 20 is available for attachment to another substrate 12, 12’ or 14, 14’ or to a lid to define the perimeter of the open flow channel 20. In some instances, the width of each flow channel 20 can be at least about 1 mm, at least about 2.5 mm, at least about 5 mm, at least about 7 mm, at least about 10 mm, or more. In some instances, the length of each flow channel 20 can be at least about 10 mm, at least about 25 mm, at least about 50 mm, at least about 100 mm, or more. The width and/or length of each flow channel 20 can be greater than, less than or between the values specified above. In another example, the flow channel 20 is square (e.g., 10 mm x 10 mm). [0116] The depth/height of each flow channel 20 can be as small as a few monolayers thick, for example, when microcontact, aerosol, or inkjet printing is used to deposit the interposer 28 that partially defines the flow channel walls. In other examples, the depth/height of each flow channel 20 can be about 1 μm, about 10 μm, about 50 μm, about 100 μm, or more. In an example, the depth/height may range from about 10 μm to about 100 μm. In another example, the depth/height is about 5 μm or less. It is to be understood that the depth/height of each flow channel 20 can also be greater than, less than or between the values specified above. The depth/height of the flow channel 20 may also vary along the length and width of the flow cell 10, e.g., when depressions 26, 26’ are used. [0117] The example flow cell architecture of Fig.2A includes the depressions 26, 26’ separated by interstitial regions 34, 34’. Many different layouts of the depressions 26, 26’ may be envisaged, including regular, repeating, and non-regular patterns. In an example, the depressions 26, 26’ are disposed in a hexagonal grid for close packing and improved density. Other layouts may include, for example, rectangular layouts, triangular layouts, and so forth. In some examples, the layout or pattern can be an x-y format in rows and columns. In some other examples, the layout or pattern can be a repeating arrangement of the 26, 26’ and the interstitial regions 34, 34’. In still other examples, the layout or pattern can be a random arrangement of the depressions 26, 26’ and the interstitial regions 34, 34’. [0118] The layout or pattern may be characterized with respect to the density (number) of the depressions 26, 26’ in a defined area. For example, the depressions 26, 26’ may be present at a density of approximately 2 million per mm
2. The density may be tuned to different densities including, for example, a density of about 100 per mm
2, about 1,000 per mm
2, about 0.1 million per mm
2, about 1 million per mm
2, about 2 million per mm
2, about 5 million per mm
2, about 10 million per mm
2, about 50 million per mm
2, or more, or less. It is to be further understood that the density can be between one of the lower values and one of the upper values selected from the ranges above, or that other densities (outside of the given ranges) may be used. As examples, a high density array may be characterized as having depressions 26, 26’ separated by less than about 100 nm, a medium density array may be characterized as having the depressions 26, 26’ separated by about 400 nm to about 1 µm, and a low density array may be characterized as having the depressions 26, 26’ separated by greater than about 1 µm. [0119] The layout or pattern of the depressions 26, 26’ may also or alternatively be characterized in terms of the average pitch, or the spacing from the center of one depression 26, 26’ to the center of an adjacent depression 26, 26’ (center-to-center spacing) or from the right edge of one depression 26, 26’ to the left edge of an adjacent depression 26, 26’ (edge-to-edge spacing). The pattern can be regular, such that the coefficient of variation around the average pitch is small, or the pattern can be non-regular in which case the coefficient of variation can be relatively large. In either case, the average pitch can be, for example, about 50 nm, about 0.1 μm, about 0.5 μm, about 1 μm, about 5 μm, about 10 μm, about 100 μm, or more or less. The average pitch for a particular pattern can be between one of the lower values and one of the upper values selected from the ranges above. In an example, the depressions 26, 26’ have a pitch (center-to-center spacing) of about 1.5 μm. While example average pitch values have been provided, it is to be understood that other average pitch values may be used. [0120] The size of each depression may be characterized by its volume, opening area, depth, and/or diameter. For example, the volume can range from about 1×10
−3 μm
3 to about 100 μm
3, e.g., about 1×10
−2 μm
3, about 0.1 μm
3, about 1 μm
3, about 10 μm
3, or more, or less. For another example, the opening area can range from about 1×10
−3 μm
2 to about 100 μm
2, e.g., about 1×10
−2 μm
2, about 0.1 μm
2, about 1 μm
2, at least about 10 μm
2, or more, or less. For still another example, the depth can range from about 0.1 μm to about 100 μm, e.g., about 0.5 μm, about 1 μm, about 10 μm, or more, or less. For yet another example, the diameter or length and width can range from about 0.1 μm to about 100 μm, e.g., about 0.5 μm, about 1 μm, about 10 μm, or more, or less. [0121] The example flow cell architecture of Fig.2A includes the depressions 26, 26’ defined in respective lanes 36, 36’. This architecture may be desirable for the substrate 12 when is used to form an open wafer flow cell 10. While not shown, it is to be further understood that the depressions 26, 26’ may be defined across a substantially flat substrate surface (i.e., not in a lane 36, 36’), and the interposer 28 may completely define the side walls of the enclosed flow cells 10. The flow cell architecture of Fig.2A may be considered to be patterned. [0122] The example flow cell architecture of Fig.2B also includes the lane 36, 36’, without depressions 26, 26’. In this example, the lane 36, 36’ extends just short of the full length and the full width of the substrate 14, 14’ so that interstitial regions 34, 34’ are formed at a perimeter of the lane 36, 36’. The flow cell architecture of Fig.2B may be used in any of the methods disclosed herein. The flow cell architecture of Fig.2B may be considered to be non-patterned. [0123] In any of the examples disclosed herein, the flow cell architecture shown in Fig.2A or in Fig.2B includes a polymeric hydrogel 32, 32’. [0124] The polymeric hydrogel 32, 32’ may be poly(N-(5- azidoacetamidylpentyl)acrylamide-co-acrylamide (PAZAM) or another of the acrylamide copolymers disclosed herein, polyethylene glycol (PEG)-acrylate, PEG- diacrylate, PEG-amine, PEG-carboxylate, PEG-dithiol, PEG-epoxide, PEG-isocyanate, PEG-maleimide, crosslinked poly(methyl methacrylate) (PMMA), polyvinylpyrrolidone (PVPON), polyvinyl alcohol (PVA), polyethylene oxide-polypropylene oxide block copolymers (PEO-PPO), poly methacrylate) (PHEMA), poly(N,N’- dimethylacrylamide) PAZNAM, poly(N-isopropylacrylamide) (PNIPAAm), poly(lactic acid)-poly(ethylene glycol) block copolymers, poly(ethylene glycol)-poly(lactic-co- glycolic acid) block copolymers, poly(acrylic-co-vinylsulfonic acid), poly(acrylamide-co- vinylsulfonic acid), poly(L-aspartic acid), poly(aspartamide), adipic dihydrazide modified or aldehyde modified poly(L-glutamic acid), bisacrylamide, or hydrogels based on one or more of polylysine, starch, agar, agarose, heparin, alginate, alginate sulfate, dextran sulfate, hyaluronan, pectin, carrageenan, gelatin, chitosan, cellulose, and collagen, or combinations or mixtures thereof. [0125] In one example, the polymeric hydrogel 32, 32’ includes an acrylamide copolymer. In this example, the acrylamide copolymer has a structure (I): wherein:

 R
A is an azide or a tetrazine or any other functional group that can attach to an alkyne, an amino, an alkenyl, an alkyne, a halogen, a hydrazone, a hydrazine, a carboxyl, a hydroxy, a tetrazole, nitrone, sulfate, or thiol; R
B is H or optionally substituted alkyl; R
C, R
D, and R
E are each independently selected from the group consisting of H and optionally substituted alkyl; each of the -(CH
2)
p- can be optionally substituted; p is an integer in the range of 1 to 50; n is an integer in the range of 1 to 50,000; and  m is an integer in the range of 100,000. [0126] One specific example of the acrylamide copolymer represented by structure (I) is poly(N-(5-azidoacetamidylpentyl)acrylamide-co-acrylamide, PAZAM. [0127] One of ordinary skill in the art will recognize that the arrangement of the recurring “n” and “m” features in structure (I) are representative, and the monomeric subunits may be present in any order in the polymer structure (e.g., random, block, patterned, or a combination thereof). [0128] The molecular weight of the acrylamide copolymer may range from about 5 kDa to about 1500 kDa or from about 10 kDa to about 1000 kDa, or may be, in a specific example, about 312 kDa. [0129] In some examples, the acrylamide copolymer is a linear polymer. In some other examples, the acrylamide copolymer is a cross-linked polymer with various degrees of cross-linking. [0130] In some examples, the polymeric hydrogel 32, 32’ may be a variation of structure (I). In one example, the acrylamide unit may be replaced with N,N-
dimethylacrylamide ( ). In another example, the acrylamide unit in structure (I) may be replaced with, where R
D, R
E, and R
F are G
 each H or a C1-C6 alkyl, and R are a C1-C6 alkyl (instead of H as is the case with the acrylamide). In this example, q may be an integer in the range of 1 to 100,000. In another example, the N,N-dimethylacrylamide may be used in addition to
the acrylamide unit. In this example, structure (I) may in addition to the recurring “n” and “m” features, where R
D, R
E,
 C1-C6 alkyl, and R
G and R
H are each a C1-C6 alkyl. In this example, q may be an integer in the range of 1 to 100,000. [0131] As another example of the polymeric hydrogel 32, 32’, the recurring “n” feature in structure (I) may be replaced with a monomer including a heterocyclic azido group having structure (II):
 wherein R
1 is H or a C1-C6 alkyl; R2 is H or a C1-C6 alkyl; L is a linker including a linear chain with 2 to 20 atoms selected from the group consisting of carbon, oxygen, and nitrogen and 10 optional substituents on the carbon and any nitrogen atoms in the chain; E is a linear chain including 1 to 4 atoms selected from the group consisting of carbon, oxygen and nitrogen, and optional substituents on the carbon and any nitrogen atoms in the chain; A is an N substituted amide with an H or a C1-C4 alkyl attached to the N; and Z is a nitrogen containing heterocycle. Examples of Z include 5 to 10 carbon-containing ring members present as a single cyclic structure or a fused structure. Some specific examples of Z include pyrrolidinyl, pyridinyl, or pyrimidinyl. [0132] As still another example, the hydrogel 32, 32’ may include a recurring unit of each of structure (III) and (IV): wherein each of R
1a, from hydrogen, an
 optionally substituted alkyl or optionally substituted phenyl; each of R
3a and R
3b is independently selected from hydrogen, an optionally substituted alkyl, an optionally substituted phenyl, or an optionally substituted C7-C14 aralkyl; and each L
1 and L
2 is independently selected from an optionally substituted alkylene linker or an optionally substituted heteroalkylene linker. [0133] The R
A group of the polymeric hydrogel 32, 32’ is capable of attaching to a 5’ end group of primers 16, 18 of an amplification primer set and, in some examples, to an end functional group of a transposome complex (i.e., a 5’ or 3’ end functional group depending upon the transposome complex). In other examples, biotin is attached to the surface of the polymeric hydrogel (e.g., 32, 32’) through some of the R
A groups (e.g., the azide, tetrazine, or other functional group that can attach to an alkyne). In one specific example, the biotin is attached to a linker, such as bicyclo[6.1.0]nonyne (BCN), which can covalently attach to some of the R
A groups. Streptavidin may be attached to the hydrogel-bound biotin, either initially or during examples of the method disclosed herein, to attach biotinylated primers 16, 18 or biotinylated transposome complexes. When biotin is attached to the polymeric hydrogel, the biotin, and any linker used with the biotin, may be added to the polymeric hydrogel (e.g., 32, 32’) before or after the polymeric hydrogel (e.g., 32, 32’) is applied to the depressions 26, 26’ in order to form the biotinylated polymeric hydrogel. [0134] The polymeric hydrogel 32 added to a liquid carrier and applied to the substrate 12, 14 using any suitable deposition technique. In an example, the polymeric hydrogel solution/mixture is blanketly deposited and then removed from interstitial regions 34 using polishing. Polishing leaves the polymeric hydrogel 32 intact in the depressions 26 or lane 36. In some examples, a similar process may be used to add the polymeric hydrogel 34’ to the substrate 12’, 14’, prior to bonding the two substrates 12, 12’ or 14, 14’ together. [0135] As shown in Fig.2A and Fig.2B, the flow cell 10 includes the primers 16, 18 and 16’, 18’ respectively attached to the polymeric hydrogel 32, 32’. The primers 16, 18 and 16’, 18’ are each part of a primer set that is used in sequential paired end sequencing. As examples, the primer set may include P5 and P7 primers, P15 and P7 primers, or any combination of the PA primers, the PB primers, the PC primers, and the PD primers set forth herein. As examples, the primer set may include any two PA, PB, PC, and PD primers, or any combination of one PA primer and one PB, PC, or PD primer, or any combination of one PB primer and one PC or PD primer, or any combination of one PC primer and one PD primer. The primers 16, 16’ have the same sequence and the primers 18, 18’ have the same sequence. [0136] Examples of P5 and P7 primers are used on the surface of commercial flow cells sold by Illumina Inc. for sequencing, for example, on HISEQ™, HISEQX™, MISEQ™, MISEQDX™, MINISEQ™, NEXTSEQ™, NEXTSEQDX™, NOVASEQ™, ISEQ
TM, GENOME ANALYZER™, and other instrument platforms. The P5 primer (which may be a cleavable primer due to the cleavable nucleobase uracil or “n”) is: P5 #1: 5’ → 3’ AATGATACGGCGACCACCGAGAUCTACAC (SEQ. ID. NO.1); P5 #2: 5’ → 3’ AATGATACGGCGACCACCGAGAnCTACAC (SEQ. ID. NO.2) where “n” is inosine in SEQ. ID. NO.2; or P5 #3: 5’ → 3’ AATGATACGGCGACCACCGAGAnCTACAC (SEQ. ID. NO.3) where “n” is alkene-thymidine (i.e., alkene-dT) in SEQ. ID. NO.3. The P7 primer (which may also be a cleavable primer) may be any of the following: P7 #1: 5’ → 3’ CAAGCAGAAGACGGCATACGAnAT (SEQ. ID. NO.4) where “n” is 8-oxoguanine in SEQ. ID. NO.4; P7 #2: 5’ → 3’ CAAGCAGAAGACGGCATACnAGAT (SEQ. ID. NO.5) where “n” is 8-oxoguanine in SEQ. ID. NO.5; P7 #3: 5’ → 3’ CAAGCAGAAGACGGCATACnAnAT (SEQ. ID. NO.6) where both instances of “n” are 8-oxoguanine in SEQ. ID. NO.6; P7 #4: 5’ → 3’ CAAGCAGAAGACGGCATACGAUAT (SEQ. ID. NO.7); or P7 #5: 5’ → 3’ CAAGCAGAAGACGGCATACUAGAT (SEQ. ID. NO.8). The P15 primer (shown as a cleavable primer) is: P15: 5’ → 3’  (SEQ. ID. NO.9) where “n” is allyl-T (i.e., a thymine nucleotide analog having an allyl functionality). The other primers (PA-PD, shown as non-cleavable primers) mentioned above include: PA 5’ → 3’ GCTGGCACGTCCGAACGCTTCGTTAATCCGTTGAG (SEQ. ID. NO.10); PB 5’ → 3’ CGTCGTCTGCCATGGCGCTTCGGTGGATATGAACT (SEQ. ID. NO.11); PC 5’ → 3’ ACGGCCGCTAATATCAACGCGTCGAATCCGCAACT (SEQ. ID. NO.12); and PD 5’ → 3’ GCCGCGTTACGTTAGCCGGACTATTCGATGCAGC (SEQ. ID. NO.13). [0137] While not shown in the example sequences for PA-PD, it is to be understood that any of these primers 16, 18 may include a cleavage site, such as uracil, 8- oxoguanine, allyl-T, etc. at any point in the strand. The primers 16, 18 or 16’, 18’ in any given primer set include orthogonal cleavage sites. In this regard, “orthogonal” means that the cleavage site of one primer 16, 16’ in the set is not susceptible to the cleaving agent used for the cleavage site of the other primer 18, 18’ in the set. Thus, the cleavage of one cleavage site will not affect the other cleavage site. [0138] Each of the primers 16, 18 or 16’, 18’ disclosed herein may also include a polyT sequence at the 5’ end of the primer sequence. In some examples, the polyT region includes from 2 T bases to 20 T bases. As specific examples, the polyT region may include 3, 4, 5, 6, 7, or 10 T bases. [0139] The 5’ end of each primer 16, 18 or 16’, 18’ may also include a linker. Any linker that includes a terminal alkyne group or another suitable terminal functional group that can attach to the surface groups (e.g., R
A) of the polymeric hydrogel 32, 32’ may be used. In one example, the primers 16, 18 or 16’, 18’ are terminated with hexynyl functional groups. [0140] The primers 16, 18 or 16’, 18’ may be added to a carrier fluid (e.g., water including a neutral buffer and/or salt), and the fluid may be introduced to the flow cell substrate 12, 14 or 12’, 14’ and allowed to incubate. Grafting may be performed at a temperature ranging from about 55°C to about 65°C for a time ranging from about 20 minutes to about 60 minutes. In one example, grafting is performed at 60°C for about 30 minutes or 60 minutes. It is to be understood that a lower temperature and a longer time or a higher temperature and a shorter time may also be used. During grafting, the 5’ ends of the primers 16, 18 or 16’, 18’ attach to at least some of the surface groups of the polymeric hydrogel 32, 32’ and have no affinity for the interstitial regions 34, 34’ or other edge portions of the substrate 12, 14 or 12’, 14’. [0141] As will be discussed in more detail in reference to the various methods and/or kits, some examples of the flow cell have the transposome complexes directly or indirectly (e.g., through the linker) attached to the R
A groups of the polymeric hydrogel 32, 32’. These example flow cells may include the transposome complexes bound thereto or may have them introduced as part of a method. [0142] In other of these examples, the flow cell 10 includes complementary recognition primers or target primers that are capable of hybridizing, respectively, to a portion of a recognition primer or a portion of the transposome complex. The recognition primers and the complementary recognition primers are further described in reference to Fig.3 and Fig.5. The target primers are further described in reference to Fig.12. [0143] In still other examples, the flow cell 10 includes transposome complexes 38A, 38B or 38C, 38D (see Fig.5A and Fig.5B) attached within the depressions 26 with the primers 16, 18 and/or to the interstitial regions 34, or within the lane 36 with the primers 16, 18. When the transposome complexes 38A, 38B or 38C, 38D are attached to the interstitial regions 34 or otherwise directly to the substrate 12, 12’ or 14, 14’, the attachment may be via any of the groups described in U.S. Prov. App. No. 63/716,122, which is incorporated herein by reference in its entirety. [0144] Intercalation Indexing #1 [0145] One of the examples disclosed herein uses DNA intercalators for spatial indexing. In this example (depicted in Fig.4), orthogonal recognition primers 30A, 30B, 30C, 30D, 30E, 30F are conjugated to different DNA samples 54A, 54B, 54C, 54D, 54E, 54F to form recognition primer conjugated DNA samples 35A, 35B, 35C, 35D, 35E, 35F, and these recognition primer conjugated DNA samples 35A, 35B, 35C, 35D, 35E, 35F hybridize to respective complementary recognition primers (not shown) that are attached in predetermined areas of the regions 37A, 37B, 37C, 37D, 37E, 37F on the flow cell 10’. As such, each DNA sample 54A, 54B, 54C, 54D, 54E, 54F will be anchored to a respective area 37A, 37B, 37C, 37D, 37E, 37F of the flow cell 10’. This enables spatial indexing. [0146] An example recognition primer 30 is shown in Fig.3. Each recognition primer 30 includes a recognition primer sequence 31 and an intercalator 33 attached to the recognition primer sequence 31. As mentioned, the recognition primers 30 that are attached to different DNA samples 54A, 54B, etc. are orthogonal to each other. In this regard, “orthogonal” means that the recognition primer sequence 31 of the recognition primers 30 (e.g., 30A) that are conjugated to one DNA sample (e.g., 54A) is non-complementary to the recognition primer sequence 31 of the other recognition primers 30 (e.g., 30B, 30C, 30D, 30E, 30F) that are respectively attached to each other DNA sample (e.g., 54B, 54C, 54D, 54E, 54F). The length of each recognition primer sequence 31 ranges from 5 bases to 50 bases. [0147] The intercalator 33 of the recognition primer 30 is a planar, aromatic molecule that can slide between DNA base pairs. In other words, the intercalator 33 can bind to the DNA sample 54A, 54B, etc. through intercalation. As such, the intercalator 33 of the recognition primer 30 conjugates the DNA sample 54A, 54B, etc. with a unique recognition primer sequence 31. Examples of functionalizable DNA intercalators 33 are selected from the group consisting of CI-921, celipticinium acetate, mitoxantrone, amonafide, bisantrene, and crisnatol, the structures of which are shown below: [0148] with i) a range of orthogonal chemical functionalities that are respectively complementary to functionalities at respective areas in respective regions 37A, 37B, 37C, 37D, 37E, 37F of the flow cell 10’ and/or ii) antibodies with specific recognition sites located at respective areas in respective regions 37A, 37B, 37C, 37D, 37E, 37F of the flow cell 10’. [0149] To form the recognition primer sequence 31, the intercalator 33 can be chemically modified to attach the recognition primer sequence 31 thereto. In the example shown in Fig.3, the terminal end of the recognition primer sequence 31 is attached to a branched portion of 5-amino-2-(2-(dimethylamino)ethyl)-1H- benzo[de]isoquinoline-1,3(2H)-dione (i.e., amonafide). [0150] To form recognition primer conjugated DNA samples 35A, 35B, 35C, 35D, 35E, 35F, each of the DNA samples 54A, 54B, 54C, 54D, 54E, 54F is respectively extracted from a source using standard methods, and then is respectively mixed, e.g., in different vials, with a different/orthogonal recognition primer 30A, 30B, 30C, 30D, 30E, 30F. Each mixture, containing the respective DNA sample 54A, 54B, etc. and recognition primer 30A, 30B, etc., is allowed to incubate so the respective intercalators 33A, 33B, 33C, 33D, 33E, 33F can intercalate into the DNA samples 54A, 54B, 54C, 54D, 54E, 54F. This tags each of the DNA samples 54A, 54B, 54C, 54D, 54E, 54F with a unique recognition primer 30A, 30B, 30C, 30D, 30E, 30F. [0151] Fig.4 schematically illustrates the recognition primer conjugated DNA samples 35A, 35B, 35C, 35D, 35E, 35F and an example of the flow cell 10’ that is to be used with the recognition primer conjugated DNA samples 35A, 35B, 35C, 35D, 35E, 35F. [0152] For each recognition primer conjugated DNA sample 35A, 35B, 35C, 35D, 35E, 35F that is to be introduced into the flow cell 10’, the flow cell 10’ has a predetermined area (e.g., depressions 26 or interstitial regions 34) located in a predetermined region 37A, 37B, 37C, 37D, 37E, 37F that contains complementary recognition primers (not shown). The complementary recognition primers in any given predetermined region 37A, 37B, 37C, 37D, 37E, 37F have a sequence that is complementary to the recognition primer sequence 31 of the recognition primers 30 that are to be hybridized in that area 37A, 37B, 37C, 37D, 37E, 37F. Thus, the complementary recognition primers in one region 37 (e.g., 37A) are capable of hybridizing to one of the recognition primers 30 (e.g., 30A), but not to the other recognition primers 30 (e.g., 30B, 30C, 30D, 30E, 30F) in the other regions 37 (e.g., 37B, 37C, 37D, 37E, 37F). As such, the pair of each recognition primer 30 and its complementary recognition primer is capable of anchoring the DNA sample that is conjugated to the particular recognition primer 30. [0153] Thus, in this example, the flow cell 10 that is shown in Fig.2A further includes a first plurality of complementary recognition primers attached at a first predetermined area located at a first region 37A of the substrate 12, wherein each of the first plurality of complementary recognition primers has a sequence complementary to a first recognition primer sequence (e.g., 31 of primer 30A); a second plurality of complementary recognition primers attached at a second predetermined area located at a second 37B of the substrate 12, wherein each of the second plurality of complementary recognition primers has a sequence complementary to a second recognition primer sequence (e.g., 31 of primer 30B); and so on for each of the predetermined regions 37C, 37D, 37E, 37F, etc. [0154] More specifically, the flow cell 10’ shown in Fig.4 includes six different predetermined regions 37A, 37B, 37C, 37D, 37E, 37F, each of which includes a particular type of complementary recognition primer attached to a particular area (e.g., the polymeric hydrogel 32 or the interstitial regions 34) in that region 37A, 37B, 37C, 37D, 37E, 37F. To introduce the different/orthogonal complementary recognition primers to the predetermined areas, the complementary recognition primers may be selectively attached to the polymeric hydrogel 32 already present in the predetermined regions 37A, 37B, 37C, 37D, 37E, 37F (e.g., within depressions 26 or the lane 36), or on the interstitial regions 34 in the predetermined regions 37A, 37B, 37C, 37D, 37E, 37F). The different groups of complementary recognition primers may be sequentially dispensed in the predetermined area 37A, 37B, 37C, 37D, 37E, 37F using a high precision coating method. In one example, high precision coating is achieved using a precision gantry tool. In other examples, the high precision coating method is performed using stripe coating or patch coating with a slot-die coating tool. The high precision coating method may alternatively be performed using spray coating or jetting, e.g., via inkjet. In an example, a first group of complementary recognition primers may be dispensed at the region 37A, and allowed to incubate so they graft to the polymeric hydrogel 32 or attach to the interstitial regions 34 in that region 37A, and then a second group of complementary recognition primers may be dispensed at the region 37B, and allowed to incubate so they graft to the polymeric hydrogel 32 or to the interstitial regions 34 in that region 37B. The complementary recognition primers may include 5’ end groups that can attach to the surface groups of the polymeric hydrogel 32 either directly or through a linking group or that can attach to a capture mechanism or functional groups at the interstitial regions 34 (e.g., as described in U.S. Prov. App. No.63/716,122). [0155] In this example flow cell 10’, the amplification primer set (i.e., primers 16, 18 or 16’, 18’) is orthogonal (non-complementary) to the recognition primer sequences 31 of all of the recognition primers 30 (e.g., 30B, etc.) that are attached in the flow cell 10’. In this regard, the orthogonality of the sequences prevents the recognition primer conjugated DNA sample 35A, 35B, 35C, 35D, 35E, 35F from binding to the primers 16, 18 or 16’, 18’. [0156] In the flow cell 10’, the transposome complexes that are used for tagmentation of the DNA samples 54A, 54B, etc. may be present in the flow cell 10’ before the conjugated samples 35A, 35B, 35C, 35D, 35E, 35F are added, or may be added after the conjugated samples 35A, 35B, 35C, 35D, 35E, 35F are introduced and hybridized in the respective areas of the respective regions 37A, 37B, 37C, 37D, 37E, 37F. [0157] Example transposome complexes that may be used are shown in Fig.5A and Fig.5B. The transposome complexes 38A, 38B and 38C, 38D shown in Fig.5A and Fig.5B will form dimers in solution and when attached to the flow cell surface. While hetero-dimers are depicted in Fig.5A and Fig.5B, it is to be understood that the type of dimer that is formed can be controlled by controlling the type of transposome complex(es) 38A and/or 38B or 38C and/or 38D added to the solution. For example, if the complexes 38A alone are included in solution, homo-dimers of the complexes 38A will form. Alternatively, if both of the complexes 38A and 38B are included in solution, homo-dimers of the respective complexes 38A and 38B will form and hetero-dimers, including one of each complex 38A, 38B, will form. The pre-formed dimers are then used in at least some of the methods disclosed herein. It is to be understood that some transposome complexes 38A, 38B, 38C, and/or 38D may not dimerize, and that these individual transposome complexes 38A, 38B, 38C, and/or 38D can attach to the flow cell surface. The monomeric transposome complex(es) 38A, 38B, 38C, and/or 38D will not participate in tagmentation. [0158] In Fig.5A and in Fig.5B, each of the transposome complexes 38A, 38B, 38C, and 38D includes a transposase enzyme 46 non-covalently bound to a transposon end 40A, 40B, 40C, 40D. Each transposon end 40A, 40B, 40C, 40D is a double-stranded nucleic acid strand, one strand ME of which is part of a transferred strand 42A, 42B, 42C, 42D and the other strand ME’ of which is the non-transferred strand 44A, 44B, 44C, 44D. In other words, the transposon end 40 includes a portion of the transferred strand 42A, 42B, 42C, that is hybridized to the non-transferred strand 44. [0159] In the examples shown in Fig.5A, the transferred strands 42A and 42B include a 5’ end functional group 48A, 48B. In one example, the 5’ end functional group 48 is biotin (and can attach to a biotinylated polymeric hydrogel 32 through avidin/streptavidin). The 5’ end functional group 48A, 48B of the transposome complexes 38A, 38B may alternatively be any functional group that can attach to the R
A groups of the polymeric hydrogel 32, 32’. In still other examples, the 5’ end functional group 48A, 48B of the transposome complexes 38A, 38B may be any functional group that can attach to a transposome capture mechanism or a substrate surface group positioned at the interstitial regions 34, 34’, as described in U.S. Prov. App. No.63/716,122. [0160] The transferred strand 42A also includes a first amplification domain 45A, and a sequencing primer sequence 47A that is attached to one strand ME of the transposon end 40A. The strand ME of the transposon end 40A is positioned at the 3’ end of the transferred strand 42A. Similar to the transferred strand 42A, the transferred strand 42B includes a 5’ end functional group 48B that is capable of attaching to the polymeric hydrogel 32 or to a transposome capture mechanism or a substrate surface group positioned at the interstitial regions 34, a second amplification domain 49B, and a sequencing primer sequence 47B that is attached to one strand (ME) of the transposon end 40B (which is positioned at the 3’ end of the transferred strand 40B). [0161] The first and second amplification domains 45A, 49B of the transposome complexes 38A, 38B have different sequences from each other (e.g., P7 and P5), but have the same sequence, respectively, as first and second primers 16, 18 or 16’, 18’ attached to the polymeric hydrogel 32, 32’. The first amplification domain 45A, the transposome complex 38A and the primer 16, 16’ together with the second amplification domain 49B, the transposome complex 38B and the primer 18, 18’ enable the amplification of DNA sample fragments generated during tagmentation. Examples of suitable sequences for the first amplification domain 45A and for the second amplification domain 49B may include any of the examples set forth herein for the primers 16, 18 or 16’, 18’, as long as form an amplification primer set. Each of the domains 45A, 49B includes a cleavage site 52A, 52B, such as uracil, 8- oxoguanine, allyl-T, diols, etc. at any point in the strand. [0162] The sequencing primer sequences 47A, 47B have different sequences from each other that respectively bind to sequencing primers introduced into the flow cell 10, 10’ after tagmentation and amplification. As examples, the sequencing primer sequence 47A, 47B may bind a sequencing primer that primes synthesis of a new strand that is complementary to forward strand fragments/fragment amplicons. [0163] The transposon end 40A, 40B of each transposome complex 38A, 38B includes the strands ME respectively hybridized to the strands ME’. As such, the strands ME, ME’ are complementary. The double stranded transposon end 40A, 40B is capable of complexing with the transposase 46. As examples, the strands ME, ME’ of the transposon end 40A, 40B may be the related but non-identical 19-base pair (bp) outer end (e.g., strand ME) and inner end (e.g., strand ME’) sequences that serve as the substrate for the activity of the Tn5 transposase, or the mosaic ends recognized by a wild-type or mutant Tn5 transposase, or the R1 end (e.g., strand ME) and the R2 end (strand ME’) recognized by the MuA transposase. [0164] The example transposome complexes 38C, 38D shown in Fig.5B are similar to those shown in Fig.5A, except that the transposome complexes 38C, 38D are configured for asymmetric attachment to the polymeric hydrogel 32 or to a transposome capture mechanism or a substrate surface group positioned at the interstitial regions 34. [0165] As shown in Fig.5B, each of the first and second transposome complexes 38C, 38D includes the transposase enzyme 46 non-covalently bound to the transposon end 40C, 40D. Each transposon end 40C, 40D is a double-stranded nucleic acid strand, one strand (e.g., ME) of which is part of a transferred strand 42C or 42D and the other strand (e.g., ME’) of which is part of a non-transferred strand 44C or 44D. Any of the example strands for the transposon end 40A, 40B (e.g., ME and ME’) described herein may be used. [0166] In the transposome complex 38C, the transferred strand 42C includes a first amplification domain 45C and a sequencing primer sequence 47C that is attached to one strand ME of the transposon end The strand ME of the transposon end 40C is positioned at the 3’ end of the transferred strand 42C. Similar to the transferred strand 42C, the transferred strand 42D of the transposome complex 38D includes a second amplification domain 49D and a sequencing primer sequence 47D that is attached to one strand ME’ of the transposon end 40D. The strand ME of the transposon end 40D is positioned at the 3’ end of the transferred strand 42D. [0167] The first and second amplification domains 45C, 49D of the transposome complexes 38C, 38D have different sequences from each other (e.g., P7 and P5), but have the same sequence, respectively, as first and second primers 16, 18 or 16’, 18’ attached to the polymeric hydrogel 32, 32’. The first amplification domain 45C, the transposome complex 38C and the primer 16, 16’ together with the second amplification domain 49D, the transposome complexes 38D and the primer 18, 18’ enable the amplification of the DNA sample fragments generated during tagmentation. Examples of suitable sequences for the first amplification domain 45C and for the second amplification domain 49D may include any of the examples set forth herein for the primers 16, 16’, 18, 18’ as long as they form an amplification primer set. Each of the domains 45C, 49D includes a cleavage site 52C, 52D, such as uracil, 8- oxoguanine, allyl-T, diols, etc. at any point in the strand. [0168] Similar to the sequencing primer sequences 47A, 47B, the sequencing primer sequences 47C, 47D have different sequences from each other that respectively bind to sequencing primers introduced into the flow cell 10, 10’ after tagmentation and amplification. [0169] As mentioned, the transposome complexes 38C, 38D are configured for asymmetric attachment to the polymeric hydrogel 32 or to a transposome capture mechanism or a substrate surface group positioned at the interstitial regions 34. As such, one of the complexes, e.g., complex 38D, includes 3’ end group 48D for attachment to the polymeric hydrogel 32 or to a transposome capture mechanism or a substrate surface group positioned at the interstitial regions 34, and the other of the complexes, e.g., complex 38C, includes a 5’ end group 48C for attachment to the polymeric hydrogel 32 or to a transposome capture mechanism or a substrate surface group positioned at the interstitial regions 34. Thus, as depicted in Fig.5B, the non- transferred strand 44D of the complex includes the 3’ end group 48D and the transferred strand 42C of the complex 38C includes the 5’ end group 48C. In one example, the 3’ end group 48D and the 5’ end group 48C may be any functional group that is capable of covalently or non-covalently attaching, directly or indirectly, to surface functional groups of the polymeric hydrogel 32, and thus will depend upon the surface functional groups of the polymer hydrogel 32, 32’. In one example, the polymeric hydrogel 32 includes azide or tetrazine surface groups, and the 3’ end group 48D and the 5’ end group 48C each include a terminal alkyne (e.g., hexynyl) or an internal alkyne, where the alkyne is part of a cyclic compound (e.g., bicyclo[6.1.0]nonyne (BCN)). In another example, the biotinylated polymeric hydrogel 32 is present in the depressions 26 of the flow cell 10, 10’, and each of the 3’ end group 48D and the 5’ end group 48C is biotin. In these examples, additional streptavidin or avidin is added to indirectly attach the biotin groups to one another. In another example, the 3’ end group 48D and the 5’ end group 48C may be any functional group that is capable of covalently or non-covalently attaching, directly or indirectly, to the transposome capture mechanism or the substrate surface group positioned at the interstitial regions 34, as described in U.S. Prov. App. No. 63/716,122, which, as noted above, is incorporated herein by reference in its entirety. [0170] While not shown in Fig.5B, an additional spacer may be included between the non-transferred strand 44D and the e3’ end group 48D of the transposome complex 38D. The additional spacer may be an oligonucleotide sequence or a chemical linker, such as poly(ethylene glycol) (PEG), tri(ethylene glycol) (TEG), or a carbon chain. [0171] While not shown in Fig.5A or Fig.5B, it is to be understood that the transposome complexes 38A and 38B or 38C and 38D used in some of the methods disclosed herein may also include an index sequence in the transferred strands 42A, 42B, 42C, 42D. The index sequence is a unique barcode sequence that can be used for DNA sample fragment identification and indexing. When included, the index sequence may be located between the sequencing primer sequence 47A, 47B, 47C, 47D and the amplification domain 45A, 45B, 45C, 45D or 49A, 49B, 49C, 49D. The kits and/or methods that utilize the transposome complexes are identified herein accordingly. [0172] Referring back to Fig.4, as mentioned, the transposome complexes 38A, 38B or 38C, 38D that are used for tagmentation of the DNA samples 54A, 54B, etc. may be present in the flow cell 10’ before the conjugated samples 35A, 35B, 35C, 35D, 35E, 35F are added, or may be added after the conjugated samples 35A, 35B, 35C, 35D, 35E, 35F are introduced and hybridized in the respective areas of the respective regions 37A, 37B, 37C, 37D, 37E, 37F. When the transposome complexes 38A, 38B or 38C, 38D are included in flow cell 10’ prior to introduction of the recognition primer conjugated DNA sample 35A, 35B, 35C, 35D, 35E, 35F, the transposome complexes 38A, 38B or 38C, 38D may be introduced and grafted to the polymeric hydrogel 32 or to the transposome capture mechanism or the substrate surface group positioned at the interstitial regions 34. Transposome grafting may be performed at a temperature ranging from about 35°C to about 55°C for a time ranging from about 30 minutes to about 120 minutes. [0173] After grafting, the transposome complexes 38A, 38B or 38C, 38D may be deactivated by removing the transposase enzymes 46 (e.g., using sodium dodecyl sulfate (SDS) or proteinase, or by heating the flow cell 10’ to about 60°C). The transposome complexes 38A, 38B or 38C, 38D can be reactivated after the respective DNA samples 54A, 54B, 54C, 54D, 54E, 54F are introduced. Deactivation helps to ensure that the DNA samples 54A, 54B, 54C, 54D, 54E, 54F are not tagmented prematurely. Alternatively, the transposome complexes 38A, 38B or 38C, 38D may remain in their as-grafted form when the DNA samples 54A, 54B, 54C, 54D, 54E, 54F are introduced, but the metal co-factor, such as Mg
2+, of the tagmentation buffer should not be not introduced/present in order to avoid binding to the transposome complexes 38A, 38B or 38C, 38D and/or premature tagmentation. [0174] Because the respective DNA samples 54A, 54B, 54C, 54D, 54E, 54F are conjugated with orthogonal recognition primers 30A, 30B, 30C, 30D, 30E, 30F that respectively hybridize to the complementary recognition primers in a predetermined area of a predetermined region 37A, 37B, 37C, 37D, 37E, 37F of the flow cell 10’, the recognition primer conjugated DNA 35A, 35B, 35C, 35D, 35E, 35F can be pooled before being introduced into the flow cell 10’. [0175] One example method includes mixing a first DNA sample 54A with the first plurality of recognition primers 30A, thereby conjugating the first DNA sample 54A with the first plurality of recognition primers 30A (to form conjugated DNA sample 35A); mixing a second DNA sample 54B with the second plurality of recognition primers 30B, thereby conjugating the second DNA sample 54B with the second plurality of recognition primers 30B (to form conjugated DNA sample 35B); repeating the mixing process for each sample 54C, 54D, 54E, 54F and recognition primer 30C, 30D, 30E, 30F; pooling the conjugated DNA samples 35A, 35B, 35C, 35D, 35E, 35F; and introducing the pooled samples to the flow cell 10’. [0176] The pooled, conjugated samples 35A, 35B, 35C, 35D, 35E, 35F are allowed to incubate in the flow cell 10’ at a hybridization temperature. Due to the complementarity between the respective recognition primers 30A, 30B, 30C, 30D, 30E, 30F the complementary recognition primers in the regions 37A, 37B, 37C, 37D, 37E, 37F, the recognition primers 30A, 30B, 30C, 30D, 30E, 30F will become attached in the respective predetermined areas of the respective regions 37A, 37B, 37C, 37D, 37E, 37F of the flow cell 10’. The hybridization temperature may range from about 50°C to about 60°C. [0177] The flow cell 10’ may then be rinsed with a washing solution. An example washing solution is an aqueous solution including a buffer agent (e.g., Tris), a salt (e.g., sodium chloride, sodium citrate, etc.), a surfactant (e.g., TWEEN polysorbates), and/or a chelating agent (e.g., EDTA). In one example, the washing solution includes water, the salt at a concentration ranging from about 25 mM to about 50 mM, the surfactant in an amount ranging from about 0.01 wt% to about 0.1 wt%, and optionally the chelating agent. The washing solution may have a relatively high pH, e.g., ranging from about 7 to about 10. [0178] When the transposome complexes 38A, 38B or 38C, 38D are present in the flow cell 10’, the method further includes introducing a tagmentation buffer into the flow cell 10’; and bringing the flow cell 10’ to a tagmentation temperature. The tagmentation buffer may include water, an optional co-solvent (e.g., dimethylformamide), a metal co-factor transposase (e.g., magnesium acetate), and a buffer salt (e.g., Tris acetate salt, pH 7.6). In an example, the optional co- solvent may be present in an amount up to about 11%, the metal co-factor (Mg
2+) may be present in a concentration ranging from about 3 mM to about 10 mM, and the buffer salt may be present in a concentration ranging from about 7 mM to about 12 mM. In another example, the optional co-solvent may be present in an amount up to about 10%, the metal co-factor may be present in a concentration ranging from about 3 mM to about 5.5 mM, and the buffer salt may be present in a concentration ranging from about 7 mM to about 10 mM. Tagmentation, including fragmentation and attachment, as described below, may take place at a temperature at or above 30°C. In one example, the tagmentation temperature may range from 30°C to about 55°C. In another example, the tagmentation temperature may range from 35°C to about 45°C. [0179] With the introduction of the tagmentation buffer and the temperature brought to the tagmentation temperature, the DNA samples 54A, 54B, etc. are fragmented and the 5’ ends of both strands of the duplex fragment are attached to respective 3’ ends of the transferred strands 42A, 42B or 42C, 42D of the transposome complexes 38A, 38B or 38C, 38D in the respective predetermined regions 37A, 37B, 37C, 37D, 37E, 37F. The 3’ ends of the duplex fragments are not attached to the 5’ ends of the non- transferred strands 44A, 44B or 44C, 44D. As such, a gap exists between the 3’ end of each the DNA fragment strands and the 5’ end of the respective non-transferred strand 44A, 44B or 44C, 44D. In one example, each gap is nine (9) base pairs long. [0180] When the transposome complexes 38A, 38B or 38C, 38D are not present in the flow cell 10’ at the outset of the method, the method further includes introducing a transposome complex fluid, containing transposome complexes 38A, 38B or 38C, 38D, into the flow cell 10’; introducing the tagmentation buffer into the flow cell 10’; and bringing the flow cell 10’ to the tagmentation temperature. [0181] The transposome complex fluid includes the transposome complexes 38A, 38B or 38C, 38D in a liquid carrier in a concentration ranging from about 0.1 µM to about 1 µM. The liquid carrier may be water. A buffer and/or salt may be added to the liquid carrier for grafting the transposome complexes 38A, 38B or 38C, 38D to suitable functional groups of the polymeric 32, 32’. The buffer has a pH ranging from 5 to 12. [0182] The transposome complex fluid may be introduced using any suitable technique. Transposome complex grafting may be performed as described herein. In some examples during grafting, the transposome complexes 30A, 30B or 30C, 30D attach to at least some of the surface groups of the polymeric hydrogel 32 and have no affinity for the interstitial regions 34 or edge portions of the substrate 12, 14. In other examples during grafting, the transposome complexes 30A, 30B or 30C, 30D attach to the transposome capture mechanism or the substrate surface group positioned at the interstitial regions 34, 34’ and have no affinity for the polymeric hydrogel 32, 32’. [0183] The tagmentation buffer may then be introduced into the flow cell 10’ in any desirable manner, and tagmentation may be performed as described herein. [0184] After tagmentation, this example method includes generating fully adapted DNA sample fragments for each of the pooled samples; amplifying the fully adapted DNA sample fragments; and performing a sequencing operation. [0185] Generating the fully adapted fragments may include removing the transposase enzyme 46 from the transposome complexes 38A, 38B or 38C, 38D, and initiating an extension reaction. [0186] Transposase 46 removal may be accomplished, for example, using sodium dodecyl sulfate (SDS) or proteinase, or by heating the flow cell 10’ to about 60°C. When heat is used, some example methods involve introducing the washing solution into the flow cell 10’; and heating the flow cell 10’, containing the washing solution, to about 60°C. [0187] When SDS or another chaotropic detergent has been used for transposase removal, the washing solution may be flushed through the flow channel 20 prior to initiating the extension reaction. This removes the chaotropic detergent, which may interfere with downstream enzyme activity. [0188] To initiate the extension reaction, an extension amplification mix is introduced into the flow cell 10’. An example of the extension amplification mix includes nucleotides, a recombinase, a polymerase, and accessory proteins. The extension amplification mix may also include a buffer agent (e.g., Tris), enzymes, stabilizers, a metal co-factor, a TWEEN polysorbates), and/or a co- solvent (e.g., glycerol, dimethylformamide, etc.). The ExAMP reagents available from Illumina Inc. are examples of suitable extension amplification mixes. [0189] The flow cell 10’ may be at about 38°C when the extension amplification mix is introduced. [0190] At the outset of the extension reaction, the non-transferred strands 44A, 44C, 44C, 44D are dehybridized. Additional sequences (adapters) are added to the 3’ ends of the partially adapted fragments (i.e., the fragments attached to the transferred strands 42A, 42B, 42C, 42D)) by an extension reaction using the extension amplification mix. The extension reaction involves the addition of nucleotides in a template dependent fashion from the 3’ ends of the DNA fragments using the respective transferred strands 42A, 42B or 42C, 42D as the template. As such, one DNA fragment is extended along the transferred strand 42B or 42D to generate complementary sections of the sequencing primer sequence 47B or 47D and the second amplification domain 49B or 49D attached to the DNA fragment; and the other DNA fragment is extended along the transferred strand 42A or 42C to generate complementary sections of the sequencing primer sequence 47A or 47C and the first amplification domain 45A or 45C attached to the other DNA fragment. The sequences resulting from the extension reaction render the partially adapted fragments (i.e., the tagmented fragments that have not been ligated, extended, etc.) fully adapted and ready for further amplification and cluster generation. At least some of the fully adapted fragments that are generated along the transposome complex 38B or 38D include the first amplification domain 45A or 45C (e.g., P5) at one end and a complement of the second amplification domain 49B or 49D (e.g., P7’) at the other end. At least some of the fully adapted fragments that are generated along the transposome complex 38A or 38C include the second amplification domain 49B or 49D (e.g., P7) at one end and a complement of the first amplification domain 45A or 45C (e.g., P5’) at the other end. [0191] With the extension amplification mix, amplification takes place immediately upon the generation of the fully adapted fragments are generated. The fully adapted DNA sample strands are dehybridized from each other and the complement ends of the fully adapted DNA sample strands to the respective complementary primers 16, 18 or 16’, 18’. The sample fragments are copied from the hybridized primers by 3’ extension using a high-fidelity DNA polymerase. The original sample fragments are denatured, leaving the copies immobilized all around the depressions 26, 26’ or in the lane 36, 36’. Isothermal bridge amplification or some other form of amplification may be used to amplify the immobilized copies. For example, the copied templates loop over to hybridize to an adjacent, complementary primer 16, 18, 16’, 18’ and a polymerase copies the copied templates to form double stranded bridges, which are denatured to form two single stranded strands. These two strands loop over and hybridize to adjacent, complementary primers and are extended again to form two new double stranded loops. The process is repeated on each template copy by cycles of isothermal denaturation and amplification to create dense clonal clusters of amplicons within the depressions 26, 26’ or lane 36, 36’. Each cluster of double stranded bridges is denatured. In an example, the reverse strands are removed by specific base cleavage, leaving forward template strands. This example of clustering is similar to kinetic exclusion amplification, and is one example of the amplification that may be performed. It is to be understood that other amplification techniques may be used. [0192] The forward or reverse strands may be cleaved, leaving the other strands for sequencing. The cleaving agent that is used will depend upon the cleavage site 52A, 52B, 52C, 52D of the transposome complexes 38A, 38B, or 38C, 38D and the desired fully adapted DNA fragments that are to be cleaved. As examples, uracil can be cleaved by Uracil-DNA glycosylase (UDG), inosine can be cleaved by Endonuclease IV (Endo IV) or Endonuclease V (Endo V), 8-oxoguanine can be cleaved by 8-oxoguanine DNA glycosylase, and vicinal diol linkages can be cleaved by oxidation, such as treatment with a periodate reagent. [0193] Sequencing may then be performed. In one example, sequencing by synthesis is performed by introducing a sequencing primer followed by an incorporation mix including labeled nucleotides. Optical imaging may be used to detect each instance of nucleotide incorporation. [0194] An example kit that may be used with this method includes first plurality of recognition primers 30A; a second plurality of recognition primers 30B; the flow cell 10’ including: a substrate 12 having 26 separated by interstitial regions 34; a polymeric hydrogel 32 positioned within each of the depressions 26; an amplification primer set 16, 18 attached to the polymeric hydrogel 32 within each of the depressions 26, the amplification primer set 16, 18 being orthogonal to the first recognition primer sequence 31 and to the second recognition primer sequence 31 of the first and second plurality of recognition primers 30A, 30B, respectively; a first plurality of complementary recognition primers attached at a first predetermined area located at a first region 37A of the substrate 12, wherein each of the first plurality of complementary recognition primers has a sequence complementary to the first recognition primer sequence; and a second plurality of complementary recognition primers attached at a second predetermined area located at a second region 37B of the substrate 26, wherein each of the second plurality of complementary recognition primers has a sequence complementary to the second recognition primer sequence. The predetermined area of each region 37A, 37B may be the depressions 26 in a region or the interstitial regions 34 located in that region 37A, 37B. [0195] The kit may also include a transposome complex fluid, a washing solution, and/or a tagmentation buffer. [0196] In this kit, each type of recognition primer 30A, 30B, etc. is stored separately so that it can be used to tag a specific DNA sample 54A, 54B, etc. [0197] It is to be understood that the method and kit described in reference to Fig.4 may be performed with a non-patterned flow cell including the lane 36 but no depressions 26, where the respective complementary recognition primers are attached at different regions 37A, 37B, etc. along the lane 36, so that the recognition primer conjugated DNA samples 35A, 35B, etc. hybridize in the different regions 37A, 37B. [0198] Intercalation Indexing #2 [0199] Another of the examples disclosed herein uses light-triggered DNA intercalators for spatial indexing. [0200] The flow cell used in this example is a modified version of the flow cell 10 shown in Fig.2A. In one example, the flow cell includes the substrate 12 having depressions 26 separated by interstitial regions 34; the polymeric hydrogel 32 positioned within each of the the amplification primer set 16, 18 attached to the polymeric hydrogel 32 within each of the depressions 26; and a light- triggered DNA intercalator 33’ (see Fig.6), in its non-intercalating form NI, attached to the polymeric hydrogel 32 within each of the depressions 26. [0201] The light-triggered DNA intercalator 33’ is anchored within the depressions 26, or alternatively on the interstitial regions 34, of the flow cell substrate 12 via any of the attachment mechanisms disclosed herein. On the flow cell surface, the light- triggered DNA intercalators 33’ are in their non-intercalating form NI (left side of Fig.6) until they are exposed to a predetermined wavelength(s) of light (e.g., ultraviolet light). When exposed to this light, the photochromic moieties (i.e., light-triggered DNA intercalators 33’) will undergo a change in property or behavior that enables them to slide between DNA base pairs of the sample 54 (right side of Fig.6). In the intercalating form I, the light-triggered DNA intercalators 33’ can bind the DNA sample 54 that has been introduced into the flow cell 10. The introduced DNA sample 54 will not bind to any of the light-triggered DNA intercalators 33’ that have not been activated. [0202] The light-triggered DNA intercalator 33’ may be selected from the group consisting of azobenzene-based intercalators, anthracene-based intercalators, metal- polypyridyl complex, and spiropyran-based intercalators. Examples includes:
 [0203]

 when exposed to light of specific wavelengths. This structural change can modulate their intercalation properties. Photoresponsive anthracene-based compounds can intercalate into DNA. When exposed to UV light, anthracene undergoes a photodimerization reaction, which can lead to changes in DNA binding or release. Metal (e.g., ruthenium(II)) polypyridyl complexes can intercalate into DNA and are known for their photoreactivity. These complexes can undergo photoinduced ligand dissociation or other reactions upon exposure to light, which can affect their DNA binding properties. Spiropyran molecules can switch between a closed, non-intercalating form and an open, intercalating form upon exposure to specific wavelengths of light. This property can be harnessed to control the intercalation of these compounds into DNA in a reversible manner. [0204] The light-triggered DNA 33’ may be attached to the polymeric hydrogel 32 or to the interstitial regions 34 by a cleavable linker. Examples of suitable cleavable linkers include disulfide bonds (cleaved in basic conditions or reductive conditions), peptide linkers (cleaved by peptidase, which will also remove the transposome complexes 38A, etc.), hydrazine linkers (cleaved in acidic conditions), esters (cleaved in acidic conditions), and thioether linkers (cleaved in reductive conditions). [0205] Cleavable linkers may be desirable so that the light-triggered DNA intercalator 33’ can be removed after tagmentation and before DNA sequencing. This may be desirable so that components (e.g., ruthenium) that may deleteriously affect downstream processes (e.g., sequencing) are removed. Light-triggered DNA intercalator 33’ removal takes place after tagmentation, so that the DNA sample fragments are attached to the flow cell surface via the transferred strands of the respective transposome complexes 38A, 38B or 38C, 38D. [0206] Any of the transposome complexes 38A, 38B or 38C, 38D described in reference to Fig.5A and Fig.5B may be used in this example flow cell 10 and method. The transposome complexes 38A, 38B or 38C, 38D that are used for tagmentation of the DNA samples may be present in the flow cell 10 before the respective samples are added, or may be added after the DNA samples 54 are attached in the respective areas. When the transposome complexes 38A, 38B or 38C, 38D are included in flow cell 10 prior to introduction of the DNA samples, the transposome complexes 38A, 38B or 38C, 38D may be introduced and grafted to the polymeric hydrogel 32 or to the transposome capture mechanism or the substrate surface group positioned at the interstitial regions 34. Transposome grafting may be performed at a temperature ranging from about 35°C to about 55°C for a time ranging from about 30 minutes to about 120 minutes. [0207] After grafting, the transposome complexes 38A, 38B or 38C, 38D may be deactivated by removing the transposase enzymes 46 (e.g., using sodium dodecyl sulfate (SDS) or proteinase, or by heating the flow cell 10’ to about 60°C). The transposome complexes 38A, 38B or 38C, 38D can be reactivated after the respective DNA samples are introduced. Deactivation helps to ensure that the DNA samples are not tagmented prematurely. transposome complexes 38A, 38B or 38C, 38D may remain in their as-grafted form when the DNA samples are introduced, but the metal co-factor, such as Mg
2+, of the tagmentation buffer should not be not introduced/present in order to avoid binding to the transposome complexes 38A, 38B or 38C, 38D and/or premature tagmentation. Still further, the transposome complexes 38A, 38B or 38C, 38D may be passivated using a hydrophobic polymer of an anti- fouling agent that is capable of being removably attached to effectively block the transposome complexes 38A, 38B or 38C, 38D during DNA sample introduction. [0208] The DNA samples that are to be introduced to the flow cell 10 are respectively extracted from a source using standard extraction methods. [0209] Fig.7 illustrates a single flow cell lane 36 at different stages of this example method. The method involves sequentially attaching at least two different DNA samples at respective predetermined areas (e.g., depressions 26 or interstitial regions 34) of different regions 37A, 37B, 37C, 37D, 37E, 37F of the substrate 12. From the top to bottom, Fig.7 illustrates the flow cell lane 36 when no samples are introduced, and then illustrates the same lane 36 when different regions 37A, 37B, 37C, 37D, 37E, 37F are exposed to light as different DNA samples are sequentially introduced. This figure essentially depicts the different regions 37A, 37B, 37C, 37D, 37E, 37F of the lane 36 being illuminated at different times to attach different DNA samples. This results in the attachment of six different DNA samples in respective regions 37A, 37B, 37C, 37D, 37E, 37F across the entire lane 36. [0210] In the method, each of the at least two different DNA samples is attached by: introducing, to the flow cell, a respective one of the at least two different DNA samples; and exposing one of the respective predetermined areas (e.g., at region 37A) to a respective predetermined wavelength of light while the respective one of the at least two different DNA samples is present in the flow cell, thereby activating a light- triggered DNA intercalator 33’ within depressions 26 located in the one of the respective predetermined areas (e.g., at region 37A) and binding the one of the at least two different DNA samples in the one of the respective predetermined areas (e.g., at region 37A). As such, during the method, one DNA sample is introduced at a time, and the binding of the DNA sample to the predetermined area is initiated by exposing the light-triggered DNA 33’ to light that will activate its intercalating properties. In order to prevent the subsequently introduced samples from attaching to a predetermined area that has already been activated and has DNA bound thereto, the light-triggered DNA intercalator 33’ and the DNA sample at each area should be titrated to ensure that all of the light-triggered DNA intercalators 33’ are occupied. [0211] The method then involves initiating tagmentation of the attached at least two different DNA samples, thereby generating partially adapted fragments of the at least two different DNA samples. [0212] If the transposome complexes 38A, 38B or 38C, 38D are grafted to the flow cell 10 when the DNA samples are added, the transposome complexes 38A, 38B or 38C, 38D may be deactivated after grafting and prior to DNA sample introduction and then reactivated after DNA sample introduction as described herein. Alternatively, the transposome complexes 38A, 38B or 38C, 38D can remain as-grafted and the DNA samples can be introduced in the absence of the tagmentation buffer (and the metal co-factor). In other words, the complexes 38A, 38B or 38C, 38D attached to the flow cell surface do not include the transposase enzyme 46. The transposome complexes 38A, 38B or 38C, 38D may be initially attached to the substrate 12 (e.g., at the polymeric hydrogel 32 or interstitial regions 34) with the transposase enzyme 46, and then the transposase enzyme 46 may be removed using one of the methods disclosed herein in order to render the transposome complexes 38A, 38B or 38C, 38D inactive. This will prevent premature tagmentation from taking place in an undesirable region 37A, 37B, etc. of the substrate 12. [0213] Once all of the DNA samples are added and bound in the desired regions 37A, 37B, etc., the transposase enzymes 46 may be reintroduced. The transposase enzymes 46 bind to the transposon ends 40E, 40F to reform the transposome complexes 38E, 38F. This reactivates the transposome complexes 38A, 38B or 38C, 38D. The tagmentation buffer may then be added and the temperature adjusted to the tagmentation temperature to initiate tagmentation as described in reference to Fig.4. [0214] If the transposome complexes 38A, 38B or 38C, 38D are not present in the flow cell 10 when the DNA samples are introduced and bound, the method further includes introducing a transposome fluid, containing transposome complexes 38A, 38B or 38C, 38D, into the flow cell 10; introducing the tagmentation buffer into the flow cell 10’; and bringing the flow cell 10 to the tagmentation temperature. [0215] Any example of the transposome complex fluid may be used and transposome complex 38A, 38B or 38C, 38D attachment may be performed as described herein. The tagmentation buffer may be added after the transposome complex 38A, 38B or 38C, 38D are attached, and the temperature adjusted to the tagmentation temperature to initiate tagmentation as described in reference to Fig.4. [0216] After tagmentation, the method may further include introducing a cleaving agent to the flow cell to cleave the cleavable linker; and removing the light-triggered DNA intercalator from the flow cell 10. [0217] After tagmentation, this example method includes generating fully adapted DNA sample fragments for each of the pooled samples; amplifying the fully adapted DNA sample fragments; and performing a sequencing operation. These may also be performed as described in reference to Fig.4. [0218] It is to be understood that the method and kit described in reference to Fig.6 and Fig.7 may be performed with a non-patterned flow cell, where the light-triggered DNA intercalators 33’ are attached along the lane 36. [0219] Solution-based Tagmentation for Indexing [0220] Still other examples disclosed herein utilize solution-based tagmentation to enable indexing. [0221] In the first example utilizing solution-based tagmentation, different transposome complex fluids are used to tagment different DNA samples outside of the flow cell 10. As such, the transposome complexes 38A, 38B or 38C, 38D are not attached to the flow cell 10 at the outset, but rather are added with the tagmented DNA sample. Either of the example flow cell architectures shown in Fig.2A and Fig.2B may be used in this method and kit. [0222] In this first example, a kit may include i) a first fluid including a first liquid carrier, first transposome complexes 38A or 38C including the first amplification domain 45A or 45C and a first index and second transposome complexes 38B or 38D including a second amplification domain 49B, 49D and the first index sequence, wherein at least one of the first transposome complexes 38A or 38C or the second transposome complexes 38B or 38D includes an end linking group 48A or 48C, or 48B or 48D; ii) a second fluid including a second liquid carrier, third transposome complexes 38A or 38C including the first amplification domain 45A or 45C and a second index sequence that is different than the first index sequence, and fourth transposome complexes 38B or 38D including the second amplification domain 49B or 49D and the second index sequence, wherein at least one of the third transposome complexes 38A or 38C or the fourth transposome complexes 38B or 38D includes the end linking group 48A or 48C, or 48B or 48D; and iii) any example of the tagmentation buffer disclosed herein. It is to be understood that any number of fluids (transposome complex fluids) may be included in the kit, and that each fluid includes fresh transposome complexes, e.g., 38A and 38B, 38A’ and 38B’, having index sequences that are unique to the particular fluid. Thus, each DNA sample tagmented within an individual fluid is uniquely indexed. As described in reference to Fig.5A and Fig.5B, the index sequence is included in the transferred strands 42A, 42B, 42C, 42D. [0223] The index sequence is a short, unique identifying sequence. The index sequence functions as a barcode for the DNA sample tagmented with the transposome complexes 38A and 38B, 38A’ and 38B’. Index sequences may range from 7 bases to 15 bases long. [0224] In addition to including the index sequences, at least one of the transposome complexes 38A and/or 38B or 38C and/or 38D used in this example includes the end linking group/functional group 48A or 48C, or 48B or 48D. Thus, unlike the transposome complexes 38A, 38B and 38C, 38D (each of which includes the end linking/functional group 48A or 48C, or 48B or 48D), one or more of the transposome complexes 38A and/or 38B or 38C and/or 38D may not have a linking group 48A or 48C, or 48B or 48D. [0225] Different examples of such transposome complexes are shown in Fig.8A through Fig.8F, where the end linking/functional group is shown as a B (for biotin, although the groups are not meant to be limited to biotin). These examples illustrate homo-dimers of the transposome Fig.8A illustrates homo-dimers of the transposome complexes 38C and 38D. Fig.8B illustrates homo-dimers of the transposome complex 38A paired with a transposome complex without any 5’ or 3’ end linking groups. Fig.8C illustrates homo-dimers of the transposome complex 38D paired with a transposome complex without any 5’ or 3’ end linking groups. Fig.8D illustrates homo-dimers of the transposome complexes 38A and 38B. Fig.8E is similar to Fig.8C, except that the 3’ end linking groups are on the opposite transposome complex (i.e., complex 38D does not include the 3’ end linking group and the other complex includes the 3’ end linking group). Fig.8F illustrates homo-dimers of the transposome complex 38D paired with another transposome complex with 3’ end linking groups (similar to complex 38C except that the 5’ end functional group 48C is on the 3’ end of the non-transferred strand). [0226] This kit may also include either of the flow cells 10 shown in Fig.2A and Fig. 2B without further modification. Because both of the transposome complexes 38A, 38B or 38C, 38D (or any of the pairs shown in Fig.8) are used for solution-based tagmentation, the flow cell 10 does not include the transposome complexes 38A, 38B or 38C, 38D attached thereto. [0227] This first example is illustrated in Fig.9. While the transposome complexes 38A, 38B or 38C, 38D are referenced, any of those shown in Fig.8 may be used. In this first example, the method may include performing solution-based tagmentation of a first DNA sample 54A with first and second transposome complexes 38A, 38B or 38C, 38D (each including the first index sequence), to generate a first bound complex 58A; performing solution-based tagmentation of a second DNA sample 54B with third and fourth transposome complexes 38A’, 38B’ or 38C’, 38D’, each including a second index sequence that is different than the first index sequence, to generate a second bound complex 58B; pooling the first and second bound complexes 58A, 58B; and introducing the pooled first and second bound complexes 58A, 58B to a flow cell 10, whereby the first and second bound complexes 58A, 58B attach to a surface of the flow cell 10. [0228] The solution-based tagmentations are respectively performed by mixing the respective DNA samples 54A, 54B with a transposome complex solution including the respectively indexed transposome 38A, 38B, 38A’, 38B’ or 38C, 38D, 38C’, 38D’. The transposome complex solutions may be any of the examples set forth herein. To this mixture, the tagmentation buffer is added, and the temperature of the solution is brought to the tagmentation temperature (e.g., from about 37°C to about 55°C). In this example, the tagmentation time may range from about 2 minutes to about 15 minutes. [0229] Post tagmentation, the transposase enzymes 46 are not removed and so the DNA sample fragments remain connected together by the transposome complexes 38A, 38B, 38A’, 38B’ or 38C, 38D, 38C’, 38D’ still in place along the double stranded DNA sample strand. This is shown schematically at the right side of Fig.9 and in Fig. 10. [0230] Once all of the bound complexes 58A, 58B are formed, they may be pooled together and introduced into the flow cell 10 simultaneously. The bound complexes 58A, 58B are allowed to incubate within the flow cell 10 so that the attachment takes place between the 5’ and/or 3’ end functional groups and i) the surface groups of the polymeric hydrogel 32 or ii) a transposome capture mechanism at the interstitial regions 34, or iii) substrate surface groups at the interstitial regions 34. [0231] One bound complex 58A attached to some of the depressions 26 of the flow cell 10 is depicted in Fig.10. As illustrated, the 5’ and/or 3’ end functional groups attach the bound complex 58A within the depressions 26 (e.g., to surface groups of or linked to the polymeric hydrogel 32). When biotin is used for attachment, streptavidin may be introduced with the bound complexes 58A, 58B or prior to the bound complexes 58A, 58B in order to create the biotin-streptavidin-biotin linkages. Because the DNA sample 54A, 54B is held together post-tagmentation and the bound complex 58A, 58B is attached to depressions 26 that are close together, the spatial link between the fragments from the same DNA sample 54A, 54B is maintained on the flow cell surface. [0232] Once the bound complexes 58A, 58B are attached, a wash may be performed with an example of the washing solution described herein in order to remove any unbound material. Then, the transposase enzymes 46 may be removed using one of the methods disclosed herein. The tagmented (partially adapted) DNA sample fragments (from the different remain attached to the flow cell 10 through the 5’ and/or 3’ end functional groups. [0233] The generation of the fully adapted DNA sample fragments (for each of the DNA sample fragments via the extension reaction), amplification of these fragments, and sequencing of the amplified fragments may be performed as described herein. The index sequence data can be used to identify the particular DNA sample. [0234] In the second example utilizing solution-based tagmentation, the solution- based tagmentation of each DNA sample, e.g., 54A, 54B, etc. is performed in solution with one of the transposome complexes, e.g., 38A or 38C including the first amplification domain 45A or 45C, and a second tagmentation is performed on the flow cell surface with the other of the transposome complexes e.g., 38B or 38D including the second amplification domain 49B or 49D, being surface-bound. The transposome complexes 38A or 38C in each solution are uniquely indexed, while the surface-bound transposome complexes 38B or 38D may or may not be indexed. For example, the surface-bound transposome complexes 38B or 38D may not be indexed when the same transposome complexes 38B or 38D are grafted across the flow cell surface. For another example, the surface-bound transposome complexes 38B or 38D may be indexed when different transposome complexes 38B or 38D are selectively grafted (e.g., using a high precision coating method) across the flow cell surface. [0235] In this second example, a kit may include i) a first fluid including a first liquid carrier, and first transposome complexes 38A or 38C including a first amplification domain 45A or 45C and a first index sequence; ii) a second fluid including a second liquid carrier, second transposome complexes 38A’ or 38C’ including the first amplification domain 45A or 45C and a second index sequence that is different than the first index sequence; iii) a tagmentation buffer; and iv) a flow cell 10 including a substrate 12 having depressions 26 separated by interstitial regions 34, a polymeric hydrogel 32 positioned within each of the depressions 26, an amplification primer set 16, 18 attached to the polymeric hydrogel 32 within each of the depressions 26; and third transposome complexes 38B or 38C including a second amplification domain 49B or 49D and an optional third index sequence that is different than the first index sequence and the second index sequence. It is to be understood that any number of fluids (transposome complex fluids) may included in the kit, and that each fluid includes fresh transposome complexes e.g., 38A, 38A’ or 38C, 38C’, having index sequences that are unique to the particular fluid. Thus, a DNA sample tagmented with an individual fluid is uniquely indexed. As described in reference to Fig.5A and Fig. 5B, the index sequence is included in the transferred strands 42A, 42B, 42C, 42D. [0236] In this second example, the transposome complexes 38A or 38C in solution may not include end linking group/functional group 48A or 48C. This is because the second tagmentation is performed on the flow cell surface and the surface-bound transposome complexes 38B or 38D will be used to attach the once-tagmented DNA samples on the flow cell surface. [0237] Either of the example flow cell architectures shown in Fig.2A and Fig.2B may be used in this method and kit, except that one of the transposome complexes 38B or 38D is attached to the polymeric hydrogel 32 as described herein. [0238] In this second example, the method for using the kit may include performing solution-based tagmentation of a first DNA sample 54A with the first fluid (including one type of uniquely indexed transposome 38A or 38C) and some of the tagmentation buffer to generate a first bound complex 58A’ (see Fig.11); performing solution-based tagmentation of a second DNA sample 54B with the second fluid (including one type of uniquely indexed transposome 38A’ or 38C’) and some of the tagmentation buffer to generate a second bound complex 58B’ (Fig.11); generating an inactive first bound complex and an inactive second bound complex; and pooling the inactive first and second bound complexes; and introducing the pooled, inactive first and second bound complexes to a flow cell 10, whereby the inactive first and second bound complexes are respectively tagmented by the third (surface-bound) transposome complexes 38B or 38D. [0239] While the transposome complexes 38A, 38B or 38C, 38D are referenced, any of those shown in Fig.8 may be used, as long as the amplification domains 45, 49 are present and one of the transposome complexes is capable of being attached to the flow cell surface. [0240] The solution-based tagmentations are respectively performed by mixing the respective DNA samples 54A, 54B with a transposome complex solution including the one type of transposome complex 38A, or 38C, 38C’, which is uniquely indexed. The transposome complex solutions may be any of the examples set forth herein. To this mixture, the tagmentation buffer is added, and the temperature of the solution is brought to the tagmentation temperature (e.g., from about 37°C to about 55°C). In this example, the tagmentation time may range from about 2 minutes to about 15 minutes. In an example, solution-based tagmentation generates fragments having an insert size ranging from 200 bp to 1000 bp. [0241] Post tagmentation and before the bound complexes 58A’, 58B’ are pooled, the bound complexes 58A’, 58B’ may be inactivated by chelating away the metal co- factor (Mg
2+) or by introducing a transposome inactivation solution. An example of the transposome inactivation solution is an aqueous solution including a buffer agent (e.g., Tris), a salt (e.g., sodium chloride, sodium citrate, etc.), a surfactant (e.g., TWEEN polysorbates), and/or a chelating agent (e.g., EDTA). [0242] The bound complexes 58A’, 58B’ may then be pooled together and introduced (simultaneously) to the flow cell 10 containing the surface-bound transposome complexes 38B or 38D. The tagmentation buffer is added with or after the bound complexes 58A’, 58B’, and the temperature of the flow cell 10 is brought to the tagmentation temperature (e.g., from about 37°C to about 55°C). This initiates the tagmentation of the (already tagmented) fragments of the bound complexes 58A’, 58B’. [0243] The transposase enzymes 46 are then removed from the transposome complexes 38A or 38C of the bound complexes 58A’, 58B’ and from the surface- bound transposome complexes 38B or 38D. The twice-tagmented fragments are now attached to the flow cell surface via the transferred strands 42B or 42D. [0244] The generation of the fully adapted DNA sample fragments (for each of the DNA sample fragments via the extension reaction), amplification of these fragments, and sequencing of the amplified fragments may be performed as described herein. The index sequence data can be used to identify the particular DNA sample. [0245] In the third example utilizing solution-based tagmentation, two solution- based tagmentations are performed with each DNA sample, e.g., 54A, 54B, etc. The first tagmentation for each DNA sample 54A, 54B is performed separately and off of the flow cell 10, and the second for all the samples 54A, 54B is performed on the flow cell. The transposome complexes 38A or 38C for the first tagmentation are uniquely indexed, while the transposome complexes 38B or 38D for the second tagmentation are not indexed. [0246] In this example, the transposome complexes 38A, 38B or 38C, 38D are not attached to the flow cell 10 at the outset. Either of the example flow cell architectures shown in Fig.2A and Fig.2B may be used in this method and kit, as long as i) the surface groups of the polymeric hydrogel 32 or ii) the transposome capture mechanism at the interstitial regions 34 or iii) the surface groups at the interstitial regions 34 are present to attach the transposome complexes 38A, 38A’ or 38C, 38C’ used in the first tagmentations. [0247] In this third example, a kit may include i) a first fluid including a first liquid carrier, and first transposome complexes 38A or 38C including a first amplification domain 45A or 45C and a first index sequence; a second fluid including a second liquid carrier, and second transposome complexes 38A’ or 38C’ including the first amplification domain 45A or 45C and a second index sequence that is different from the first index sequence; a third fluid including a third liquid carrier, and third transposome complexes including a second amplification domain 49B or 49D; and a tagmentation buffer; wherein each of the first transposome complexes 38A or 38C and the second transposome complexes 38A’ or 38C’ includes an end linking group 48A or 49C. [0248] It is to be understood that any number of fluids (transposome complex fluids like the first and second fluids) may be included in the kit, and that each fluid includes fresh transposome complexes, e.g., 38A or 38C, 38A’ or 38C’, having index sequences that are unique to the particular fluid. Thus, each DNA sample that is initially tagmented with an individual fluid is uniquely indexed. As described in reference to Fig.5A and Fig.5B, the index sequence is included in the transferred strands 42A, 42B, 42C, 42D. [0249] This kit may also include either of the flow cells 10 shown in Fig.2A and Fig. 2B without further modification. Because all of the transposome complexes 38A, 38A’, 38B or 38C, 38C’, 38D are used for based tagmentation, the flow cell 10 does not include the transposome complexes 38A, 38B or 38C, 38D attached thereto. [0250] In this third example, the method for using the kit may include generating a first bound complex 58A’ by performing solution-based tagmentation of a first DNA sample 54A with the first fluid (including one type of uniquely indexed transposome 38A or 38C) and some of the tagmentation buffer; generating a second bound complex 58B’ by performing solution-based tagmentation of a second DNA sample 54B with the second fluid (including one type of uniquely indexed transposome 38A’ or 38C’) and some of the tagmentation buffer; pooling the first and second bound complexes 58A’, 58B’; introducing the pooled first and second bound complexes 58A’, 58B’ to a flow cell 10, whereby the first and second bound complexes 58A’, 58B’ attach to a surface of the flow cell 10; and in the flow cell 10, performing a second solution-based tagmentation of DNA fragments of the first and second bound complexes 58A’, 58B’ with the third fluid and some of the tagmentation buffer. [0251] While the transposome complexes 38A, 38B or 38C, 38D are referenced, any of those shown in Fig.8 may be used, as long as the amplification domains 45, 49 are present and the transposome complexes used in the first tagmentations are capable of attaching to the flow cell surface (e.g., the polymeric hydrogel 32). [0252] The solution-based tagmentations are respectively performed by mixing the respective DNA samples 54A, 54B with a transposome complex solution (first solution, second solution) including the one type of transposome complex 38A, 38A’, or 38C, 38C’, which is uniquely indexed. The transposome complex solutions may be any of the examples set forth herein. To this mixture, the tagmentation buffer is added, and the temperature of the solution is brought to the tagmentation temperature (e.g., from about 37°C to about 55°C). In this example, the tagmentation time may range from about 2 minutes to about 15 minutes. In an example, solution-based tagmentation generates fragments having an insert size ranging from 200 bp to 1000 bp. The respective bound complexes 58A’, 58B’ are similar to those described in reference to Fig.11. [0253] Post tagmentation and before bound complexes 58A’, 58B’ are pooled, the bound complexes 58A’, 58B’ may be inactivated by chelating away the metal co- factor (Mg
2+) or by introducing the transposome inactivation solution. [0254] The bound complexes 58A’, 58B’ may be then be pooled together and introduced (simultaneously) to the flow cell 10. Because at least some of the transposome complexes 38A, 38A’, or 38C, 38C’ used to generate the bound complexes 58A’, 58B’ include the 5’ or 3’ end linking/functional group 48A, 48C, the bound complexes 58A’, 58B’ are able to attach to the polymeric hydrogel 32 within the flow cell 10. [0255] The transposase enzymes 46 of the bound complexes 58A’, 58B’ may be removed after the bound complexes 58A’, 58B’ are attached to the polymeric hydrogel 32. [0256] The third solution, containing the other transposome complexes 38B or 38D, is then added to the flow cell 10 including the attached bound complexes 58A’, 58B’. The tagmentation buffer is also added, and the temperature of the solution is brought to the tagmentation temperature. The temperature of the flow cell 10 is brought to the tagmentation temperature (e.g., from about 37°C to about 55°C). This initiates the tagmentation of the (already tagmented) fragments of the bound complexes 58A’, 58B’. The transposase enzymes 46 are then removed from the other transposome complexes 38B or 38D using any of the methods disclosed herein. The twice- tagmented fragments are now attached to the flow cell surface via the 5’ or 3’ end linking/functional group 48A, 48C. [0257] The generation of the fully adapted DNA sample fragments (for each of the DNA sample fragments via the extension reaction), amplification of these fragments, and sequencing of the amplified fragments may be performed as described herein. The index sequence data can be used to identify the particular DNA sample. [0258] The fourth example utilizing solution-based tagmentation is similar to the example described in reference to Fig.8 and Fig.9, modified as follows: i) spatial tags are attached to the transposome complexes 38A, 38B or 38C, 38D instead of the 3’ or 5’ end linking/functional group 48A, 48B, 48C, 48D, and ii) target primers (which are complementary to the spatial tags) for the bound complexes 58A, 58B are attached to the flow cell surface. [0259] In this example, the transposome complexes 38A, 38B or 38C, 38D are any of the examples described herein in reference to Fig.5A and Fig.5B or Fig.8, except that the 3’ or 5’ end linking/functional group 48A, 48B, 48C, 48D is replaced with a spatial tag (see 60A, 60B in Fig.12). The spatial tag attached to a particular set of transposome complexes 38A, 38B or 38C, 38D is an oligonucleotide primer that is i) complementary to the target primer (not shown) contained within a predetermined region (see 37A, 37B, 37C, 37D, 37E, 37F in Fig.12) of the flow cell 10’’ and ii) attached to a bound complex 58A’’, 58B’’ formed with the set of transposome complexes 38A, 38B or 38C, 38D. Thus, the spatial tag used in each fluid will depend upon the corresponding region 37A, 37B, etc. and the target primers in that region 37A, 37B, etc. In an example, one spatial tag 60A is TACGTACG and the other spatial tag 60B is GGTTCCAT. [0260] As such, the flow cell lane 36 is divided into at least two regions 37A, 37B, etc. The number of regions 37A, 37B, etc. depends upon the number of different samples 54A, 54B, etc. that are to be introduced to the flow cell lane 36. The number of regions 37A, 37B, etc.is also limited by the dimensions of the lane 36. [0261] The regions 37A, 37B, etc. are defined by the particular type of target primer that is attached to the polymeric hydrogel 32 or the interstitial regions 34 in the region 37A, 37B, etc. Each target primer in a given region 37A, 37B, etc. has the same sequence as each other target primer in that region 37A, 37B, etc., and this sequence is complementary to the sequence of a spatial tag that is to be hybridized thereto. The target primers in one region, e.g., 37A are orthogonal to the target primers in each other region, e.g., 37B, 37C, 37D, 37E, 37F. The term “orthogonal,” when used to describe the target primers, means that the target primers in one region have a different oligonucleotide sequence than the target primers in each other region, and thus the target primers in the respective regions 37A, 37B, 37C, 37D, 37E, 37F are capable of hybridizing to respective complementary spatial tags. [0262] The 5’ end of the target primers includes a functional group that attaches it to the polymeric hydrogel 32 or to interstitial regions 34. For example, when the biotinylated polymeric hydrogel 32 is the 5’ end of each of the target primers is biotin, and avidin or streptavidin may be used to attach the target primers in the desired regions. In other examples, the 5’ end of each of the target primers may be any suitable functional group that can covalently attach to the R
A groups of the polymeric hydrogel 32. In still other examples, the 5’ end of each of the target primers may be any suitable functional group that can attach to the transposome capture mechanism or the substrate surface groups positioned at the interstitial regions 34. [0263] The different groups of target primers may be sequentially dispensed in the respective regions 37A, 37B, etc. using any of the high precision coating methods described herein. [0264] The fourth example kit may include a flow cell 10’’, which includes the same components of the flow cell 10 shown in Fig.2A, and further includes a target primer attached to the polymeric hydrogel 32 within each of the depressions 26, wherein the target primer attached within the depressions 26 located at a first region 37A of the flow cell 10’’ is orthogonal to the target primer attached within the depressions 26 located at a second region 37B of the flow cell 10’’; a first fluid including a first liquid carrier, first transposome complexes 38A or 38C including a first amplification domain 45A or 45C and a first index sequence, and second transposome complexes 38B or 38D including a second amplification domain 49B or 49D and a second index sequence, wherein at least one of the first transposome complexes 38A or 38C or the second transposome complexes 38B or 38D includes a first spatial tag 60A that is complementary to the target primer attached within the depressions 26 located at the first region of the flow cell 10’’; a second fluid including a second liquid carrier, third transposome complexes 38A’ or 38C’ including the first amplification domain 45A or 45C and a third index sequence that is different than the first and second index sequences, and fourth transposome complexes 38B’ or 38D’ including the second amplification domain 49B, 49D and a fourth index sequence that is different than the first, second, and third index sequences; wherein at least one of the third transposome complexes 38A’ or 38C’ or the fourth transposome complexes 38B’ or 38D’ includes second spatial tag 60B that is complementary to the target primer attached within the depressions 26 located at the second region of the flow cell 10; and a tagmentation buffer. In one alternative kit, the flow includes the same components of the flow cell 10 shown in Fig.2A, and further includes the target primers attached to the polymeric hydrogel 32 along the lane 36, wherein the target primer attached within a first region of the flow cell 10’’ is orthogonal to the target primer attached within the second region of the flow cell 10’’. In another alternative kit, the flow cell 10’’ includes the same components of the flow cell 10 shown in Fig.2A, and further includes a target primer attached to the interstitial regions 34, wherein the target primer attached to the interstitial regions 34 located at a first region of the flow cell 10’’ is orthogonal to the target primer attached to the interstitial regions 34 located at a second region of the flow cell 10’’. [0265] The method for using this kit includes performing solution-based tagmentation of a first DNA sample 54A with the first and second transposome complexes 38A, 38B or 38C, 38D to generate a first bound complex 58A’’; performing solution-based tagmentation of a second DNA sample 54B with the third and fourth transposome complexes 38A’, 38B’ or 38C’, 38D’, each including a second index sequence that is different than the first index sequence, to generate a second bound complex 58B’’; pooling the first and second bound complexes 58A’’, 58B’’; and introducing the pooled first and second bound complexes 58A’’, 58B’’ to the flow cell 10’’, whereby the first and second bound complexes 58A’’, 58B’’ respectively attach to target primers in the first region 37A and the second region 37B; removing transposase enzymes 46 from the first, second, third, and fourth transposome complexes 38A, 38B or 38C, 38D and 38A’, 38B’ or 38C’, 38D’; and generating fully adapted first DNA sample fragments and fully adapted second DNA sample fragments on the flow cell surface. [0266] The solution-based tagmentations are respectively performed by mixing the respective DNA samples 54A, 54B with a transposome complex solution including the respectively indexed transposome complexes 38A, 38B, 38A’, 38B’ or 38C, 38D, 38C’, 38D’, which in this example includes the spatial tags 60A, 60B. To this mixture, the tagmentation buffer is added, and the temperature of the solution is brought to the tagmentation temperature (e.g., from about 37°C to about 55°C). [0267] Once all of the bound 58A’’, 58B’’ are formed, they may be pooled together and introduced into the flow cell 10’’ simultaneously. The bound complexes 58A’’, 58B’’ are allowed to incubate within the flow cell 10’’ so that the spatial tags 60A, 60B hybridize to the target primers in the respective regions 37A, 37B, etc. [0268] Once the bound complexes 58A’’, 58B’’ are attached, a wash may be performed with an example of the washing solution described herein in order to remove any unbound material. Then, the transposase enzymes 46 may be removed using one of the methods disclosed herein. The tagmented (partially adapted) DNA sample fragments (from the different samples) remain attached to the flow cell 10 through the hybridized spatial tags. [0269] The generation of the fully adapted DNA sample fragments (for each of the DNA sample fragments via the extension reaction), amplification of these fragments, and sequencing of the amplified fragments may be performed as described herein. The index sequence data can be used to identify the particular DNA sample. [0270] In the fifth example utilizing solution-based tagmentation, light activation of an attachment mechanism on the flow cell surface is used to attach the bound complexes, e.g., 58A, 58B, in the desired region of the flow cell. This is schematically depicted in Fig.13. [0271] An example of the method includes performing solution-based tagmentation of a first DNA sample 54A with first and second transposome complexes 38A, 38B or 38C, 38D, each including a first index sequence, to generate a first bound complex 58A; introducing the first bound complex to a flow cell 10; while the first bound complex 58A is in the flow cell 10, exposing a predetermined area to a wavelength of light, thereby activating a light-triggered attachment mechanism within depressions 26 located in the predetermined region and binding the first bound complex 58A to the predetermined region; performing solution-based tagmentation of a second DNA sample 54B with third and fourth transposome complexes 38A’, 38B’ or 38C’, 38D’, each including a second index sequence that is different from the first index sequence, to generate a second bound complex 58B; introducing the second bound complex 58B to the flow cell 10; while the second bound complex 58B is in the flow cell 10, exposing a second predetermined region to a of light, thereby activating the light- triggered attachment mechanism within depressions 26 located in the second predetermined region and binding the second bound complex 58B to the second predetermined region; removing transposase enzymes 46 from the first, second, third, and fourth transposome complexes 38A, 38B or 38C, 38D and 38A’, 38B’ or 38C’, 38D’; and generating fully adapted first DNA sample fragments and fully adapted second DNA sample fragments on the flow cell surface. [0272] The first and second bound complexes 58A, 58B may be formed separately as described in reference to Fig.9. [0273] In this example, the flow cell 10 includes the light-triggered attachment mechanism attached within the depressions 26 or along the lane 36 or on the interstitial regions 34. In an example, the light-triggered attachment mechanism is the light-triggered DNA intercalator 33’. As an alternative to the light-triggered DNA intercalator 33’, reversible light responsive members may be used. Light responsive pairs may include one member attached to the DNA sample complex and the other member attached to the flow cell surface. The DNA binding capability of a reversible light responsive member can be turned off so that subsequently introduced DNA sample complexes are not attached at previously activated regions. A “visible light responsive pair” refers to two or three reagents that undergo a coupling reaction when exposed to visible light. When the pair includes two reagents, one is attached to the polymeric hydrogel 32 or to the interstitial regions 34 and the other is attached to the DNA sample complex that is to be introduced to the flow cell surface. When the pair includes three reagents, one is attached to the polymeric hydrogel 32 or to the interstitial regions 34, another is attached to the DNA sample complex, and third is present in the formulation that is introduced when the coupling reagent is to be performed. [0274] In the method, the first bound complex 58A is introduced into the flow cell 10 and the desired region 37A is exposed to the light that will activate the light-triggered attachment mechanism. This allows the first bound complex 58A to bind in the predetermined region 37A. This process is sequentially repeated with each of the bound complexes 58B, etc. that is to be attached within the flow cell. [0275] Once the bound complexes 58B are introduced and attached, a wash may be performed with an example of the washing solution described herein in order to remove any unbound material. Then, the transposase enzymes 46 may be removed using one of the methods disclosed herein. The tagmented (partially adapted) DNA sample fragments (from the different samples) remain attached. [0276] The generation of the fully adapted DNA sample fragments (for each of the DNA sample fragments via the extension reaction), amplification of these fragments, and sequencing of the amplified fragments may be performed as described herein. The index sequence data can be used to identify the particular DNA sample. [0277] A sixth example utilizing solution-based tagmentation is depicted in Fig.33A and Fig.33B. This example method involves i) universal transposome complexes 38E, 38F (see Fig.31A and Fig.31B), which enable respective tagmentation of several DNA samples 54A, etc., and ii) respective unique dual indexed strands 102A, 102B (see Fig.32A), which enable the addition of unique identifiers to each of the DNA samples 54A, 54B, etc. [0278] Examples of the universal transposome complexes 38E, 38F are respectively shown as homo-dimers in Fig.31A and Fig.31B. The universal transposome complexes 38E, 38F do not include the amplification domains 45, 49 or the index sequences 50, and thus can be used to tagment any of the DNA samples 54A, 54B, etc. that are to be subsequently pooled together. Each of the transposome complexes 38E, 38F includes the transposase enzyme 46 non-covalently bound to a transposon end 40E, 40F. Each transposon end 40E, 40F is a double-stranded nucleic acid strand, one strand ME of which is the transferred strand 42E, 42F and the other strand ME’ of which is part of the non-transferred strand 44E, 44F. In other words, the transposon ends 40E, 40F respectively include the transferred strand 42E, 42F hybridized to a portion of the non-transferred strand 44E, 44F. [0279] In this example, each transferred strand 42E, 42F has a 5’ phosphate (5’P), which acts a substrate for a ligase, and thus enables respective ligation of the unique dual indexed strands 102A, 102B (each of which is shown in Fig.32A). Also in this example, each of the non-transferred strands 44E, 44F includes a complement 47’E, 47’F of the sequencing primer sequences 47E, 47F. [0280] The unique dual indexed 102A, 102B are shown in Fig.32A. During the method, the strand 102A is ligated to the transferred strand 42E and the strand 102B is ligated to the transferred strand 42F. These strands 102A, 102B add two unrelated, non-redundant index sequences 50A, 50B to each of the fully adapted DNA fragments of an individual DNA sample 54A, 54B, etc. Together, the index sequences 50A, 50B uniquely identify the particular DNA sample 54A, 54B, etc. [0281] The strand 102A includes, from the 3’ end to the 5’ end, the sequencing primer sequence 47E, a first index sequence 50A, and the first amplification domain 45E. Similarly, the strand 102B includes, from the 3’ end to the 5’ end, the sequencing primer sequence 47F, a second index sequence 50B, and the second amplification domain 49F. Similar to other sequencing primer sequences, e.g., 47A, 47B, described herein, the sequences 47E, 47F in this example have different sequences from each other that respectively bind to sequencing primers that are introduced, e.g., to a flow cell surface after amplification have been performed. Also in this example, the first and second index sequences 50A, 50B form a unique dual index (UDI) for the DNA sample 54A, 54B, etc. to which the strands 102A, 102B are ligated. Still further in this example, the first and second amplification domains 45E, 49F have the same sequences, respectively, as primers 16, 18 or 16’, 18’ that are present on a surface of the flow cell 10 that is to be used for amplification of the fully adapted DNA fragments generated in conjunction with the method shown in Fig.33A and Fig.33B. [0282] One or both of the strands 102A, 102B also includes a 5’ end functional group that can attach the resulting bound complex to the flow cell surface. In the example shown, the strand 102A includes the 5’ end functional group 48E. Additionally or alternatively, the strand 102B could include the 5’ end functional group. The 5’ end functional group may be any of the examples set forth herein that can attach the bound complex to the polymeric hydrogel 32 or the interstitial regions 34. In one example, the 5’ end group(s) is/ are biotin. [0283] Other examples of the transposome complexes 38E, 38F and the corresponding strands 102A, 102B are shown in Fig.32B and in Fig.32C. [0284] In the example shown in the sequencing primer sequences 47E, 47F of the strands 102A, 102B are split between the transposome complexes 38E’, 38F’ and the corresponding strands 102A’, 102B’. [0285] Each of the transposome complexes 38E’, 38F’ includes the transposase enzyme 46 non-covalently bound to a transposon end 40E’, 40F’. Each transposon end 40E’, 40F’ is a double-stranded nucleic acid strand, one strand ME of which is the transferred strand 42E’, 42F’ and the other strand ME’ of which is part of the non- transferred strand 44E’, 44F’. In other words, the transposon ends 40E’, 40F’ respectively include the transferred strand 42E’, 42F’ hybridized to a portion of the non-transferred strand 44E’, 44F’. [0286] In this example, each transferred strand 42E’, 42F’ includes respective first portions 47E-1, 47F-1 of the desired sequencing primer sequences 47E, 47F. The second portions 47E-2, 47F-2 of the desired sequencing primer sequences 47E, 47F are part of the dual indexed strands 102A’, 102B’, respectively. When the strands 102A’, 102B’ are ligated to the transferred strand 42E’, 42F’, the two portions 47E-1 plus 47E-2, 47F-1 plus 47F-2 form the sequencing primer sequences 47E, 47F. [0287] Each transferred strand 42E’, 42F’ also includes a 5’ phosphate (5’P), which acts a substrate for a ligase, and thus enables respective ligation of the unique dual indexed strands 102A’, 102B’ (also shown in Fig.32B). [0288] Similar to the non-transferred strands 44E, 44F, each of the non-transferred strands 44E’, 44F’ includes a complement 47’E, 47’F of the total sequencing primer sequence, which, as mentioned, is 47E-1 plus 47E-2, 47F-1 plus 47F-2. [0289] The unique dual indexed strands 102A’, 102B’ are also shown in Fig.32B. During the method, the strand 102A’ is ligated to the transferred strand 42E’ and the strand 102B’ is ligated to the transferred strand 42F’. These strands 102A’, 102B’ add two unrelated, non-redundant index sequences 50A, 50B to each of the fully adapted DNA fragments of an individual DNA sample 54A, 54B, etc. Together, the index sequences 50A, 50B uniquely identify the particular DNA sample 54A, 54B, etc. [0290] The strand 102A’ includes, from the 3’ end to the 5’ end, the second portion of the sequencing primer sequence 47E-2, the first index sequence 50A, and the first amplification domain 45E. Similarly, the strand 102B’ includes, from the 3’ end to the 5’ end, the second portion of the primer sequence 47F-2, the second index sequence 50B, and the second amplification domain 49F. [0291] In the example shown in Fig.32C, alternative sequences 122, 124 are included in respective the transferred strands 42E’’, 42F’’ and splint oligonucleotides 126, 128 are attached to the unique dual indexed strands 102A’’, 102B’’. [0292] Each of the transposome complexes 38E’’, 38F’’ includes the transposase enzyme 46 non-covalently bound to a transposon end 40E’’, 40F’’. Each transposon end 40E’’, 40F’’ is a double-stranded nucleic acid strand, one strand ME of which is the transferred strand 42E’’, 42F’’ and the other strand ME’ of which is part of the non- transferred strand 44E’’, 44F’’. In other words, the transposon ends 40E’’, 40F’’ respectively include the transferred strand 42E’’, 42F’’ hybridized to a portion of the non-transferred strand 44E’’, 44F’’. [0293] In this example, each transferred strand 42E’’, 42F’’ includes respective additional sequences 122, 124. These sequences 122, 124 are different from each other so that their respectively complementary sequences 122’, 124’ (part of the respective splint oligonucleotides 126, 128) can bind to the sequences 122, 124, but not to the other of the sequences 124, 122. [0294] Each transferred strand 42E’, 42F’ also includes a 5’ phosphate (5’P), which acts a substrate for a ligase, and thus enables respective ligation of the unique dual indexed strands 102A’’, 102B’’ (also shown in Fig.32C). [0295] Unlike the non-transferred strands 44E, 44F, each of the non-transferred strands 44E’’, 44F’’ is made up of the strand ME’ and does not include a complement 47’E, 47’F of the sequencing primer sequence. [0296] The unique dual indexed strands 102A’’, 102B’’ are also shown in Fig.32C. During the method, the strand 102A’’ is hybridized to the sequence 122 via one portion 122’ of the splint oligonucleotide 126, and is ligated to the transferred strand 42E’’. Similarly, the strand 102B’’ is hybridized to the sequence 124 via one portion 124’ of the splint oligonucleotide 128, and is ligated to the transferred strand 42F’’. These strands 102A’’, 102B’’ add two unrelated, non-redundant index sequences 50A, 50B to each of the fully adapted DNA fragments of an individual DNA sample 54A, 54B, etc. Together, the index sequences 50A, identify the particular DNA sample 54A, 54B, etc. [0297] The strand 102A’’ includes, from the 3’ end to the 5’ end, the sequencing primer sequence 47E, the first index sequence 50A, and the first amplification domain 45E, and also includes the splint oligonucleotide 126 hybridized thereto through the sequencing primer complement 47’E. Similarly, the strand 102B’’ includes, from the 3’ end to the 5’ end, the sequencing primer sequence 47F, the second index sequence 50B, and the second amplification domain 49F, and also includes the splint oligonucleotide 128 hybridized thereto through the sequencing primer complement 47’F. [0298] The examples shown in Fig.32B and Fig.32C extend the transferred strands 42E’, 42E’’, 42F’, 42F’’ beyond the strands ME in order to provide more access for the ligase. [0299] The method that uses the universal transposome complexes 38E, 38F and the unique dual indexed strands 102A, 102B includes generating a first indexed bound complex by: tagmentating a first DNA sample, e.g., 54A, with a plurality of first and second transposome complexes 38E, 38F, thereby generating sample fragments having the first transferred strand 42E or the second transferred strand 42F attached thereto (see Fig.33A) and respectively ligating first unique dual indexed strands 102A, 102B to the first and second transferred strands 42E, 42F attached to the first DNA sample fragments (Fig.33B); generating a second indexed bound complex by: tagmentating a second DNA sample, e.g., 54B, with a second plurality of the first and second transposome complexes 38E, 38F, thereby generating second DNA sample fragments having the first transferred strand or the second transferred strand attached thereto and respectively ligating second unique dual indexed strands to the first and second transferred strands attached to the second DNA sample fragments; pooling the first and second indexed bound complexes; and introducing the pooled first and second indexed bound complexes to a flow cell 10. [0300] Fig.33A and Fig.33B together depict tagmentation and ligation of one DNA sample 54A to form one bound complex 58C. As illustrated in Fig.33A, the solution- based tagmentation of one sample 54A is performed by mixing the DNA sample 54A with a transposome complex solution any the universal transposome complexes 38E, 38F. This transposome complex solution may include any of the liquid carriers set forth herein, and may be used for each of the respective samples 54A, 54B, etc. To this mixture, the tagmentation buffer is added, and the temperature of the solution is brought to the tagmentation temperature (e.g., from about 37°C to about 55°C). In this example, the tagmentation time may range from about 2 minutes to about 15 minutes. As described, tagmentation results in the fragmenting of the DNA sample 54A into duplex fragments 100A, 100B and 100C, 100D and 100E, 100F, and the 5’ ends of both fragments 100A, 100B and 100C, 100D and 100E, 100F are attached to respective 3’ ends of the transferred strands 42E, 42F. The 3’ ends of the duplex fragments 100A, 100B and 100C, 100D and 100E, 100F are not attached to the 5’ ends of the non-transferred strands 44E, 44F. [0301] In the example shown in Fig.33A and Fig.33B, the plurality of first unique dual indexed strands 102A, 102B are added to the tagmented fragments 100A, 100B and 100C, 100D and 100E, 100F (in the tagmentation buffer) with a ligase and nicotinamide adenine dinucleotide (NAD+). A suitable ligase is E.coli DNA ligase. In one example, the ligase is present in an amount ranging from about 10 units to about 25 units and the NAD+ is present in an amount ranging from about 0.25 mM to about 1 mM. [0302] The conditions at which the solution is maintained or to which the solution is brought when the first unique dual indexed strands 102A, 102B, the ligase, and the NAD+ are added will initiate hybridization of the sequences 47E and 47’E, 47F and 47’F. The 5’ phosphorylated ends 5’P of the transferred strands 42E, 42F serve as a substrate for the ligase, thus enabling the respective ligation of the unique dual indexed strands 102A, 102B to the 5’ ends of the transferred strands 42E, 42F. This is shown in Fig.33B. [0303] Post tagmentation and ligation, the transposase enzymes 46 are not removed and so the (now partially adapted) DNA sample fragments 100A, 100B and 100C, 100D and 100E, 100F remain connected together by the transposome complexes 38E, 38F. This bound complex 58C is shown schematically in Fig.33B. [0304] While sequential tagmentation ligation are shown and described in reference to Fig.33A and Fig.33B, it is to be understood that these processes could be formed simultaneously by mixing the DNA sample 43, the complexes 38E, 38F, the tagmentation buffer, the stands 102A, 102B, the ligase, and the NAD+ all together, and brining the solution to a suitable tagmentation/ligation temperature. [0305] The processes shown in Fig.33A and Fig.33B are repeated, in separate batches, for any desirable number of DNA samples that are to be processed in the flow cell 10. Once all of the bound complexes, i.e., 58C and similar complexes for other DNA samples, are formed, they may be pooled together and introduced into a flow cell 10 simultaneously. The flow cell 10 may be the example described in Fig.2A or in Fig.2B without further modification. Because all of the transposome complexes 38E, 38F are used for solution-based tagmentation, the flow cell 10 does not include the transposome complexes 38E, 38F attached thereto. [0306] The bound complexes 58C, etc. are allowed to incubate within the flow cell 10 so that the attachment takes place between the 5’ end functional groups 48E and i) the surface groups of the polymeric hydrogel 32 (in depressions 26 or in the lane 36) or ii) a transposome capture mechanism at the interstitial regions 34, or iii) substrate surface groups at the interstitial regions 34. [0307] The attachment of the bound complexes may be similar to that shown in Fig. 10 when the flow cell 10 includes depressions 26. Alternatively, the bound complexes may be attached along the lane 36. Because the bound complexes 58C, etc. are attached to the flow cell surface, the spatial link between the fragments 100A, 100B, etc. from the same DNA sample 54A, etc. is maintained on the flow cell surface. [0308] Once the bound complexes 58C, etc. are attached, a wash may be performed with an example of the washing solution described herein in order to remove any unbound material. Then, the transposase enzymes 46 may be removed using one of the methods disclosed herein. At least some of the tagmented (partially adapted) DNA sample fragments (from the different samples) remain attached to the flow cell 10 through the 5’ end functional groups 38E. Any non-bound partially adapted DNA sample fragments can be washed away.’ [0309] The fully adapted fragments then be generated and amplified using the flow cell bound primers 16, 18 and the extension amplification mix. Sequencing of the amplified fragments may then be performed as described herein. The dual index sequence data (from sequences 50A, 50B) can be used to identify the particular DNA sample 54A. [0310] In some examples, the method shown in Fig.33A and 33B includes additional processing prior to pooling the various samples. After tagmentation and ligation, some of the unique dual indexed strands 102A, 102B may remain unattached. These unattached unique dual indexed strands 102A, 102B could potentially offer a means of index hopping and can be removed before the samples are pooled together. [0311] The respective bound complexes are formed in respective sample fluids. Prior to pooling the first and second indexed bound complexes, the method further comprises removing unattached first unique dual indexed strands from a first sample fluid containing the first indexed bound complex; and removing unattached second unique dual indexed strands from a second sample containing the second indexed bound complex (not shown). The removal of the unattached first unique dual indexed strands 102A’, 102B’ from the first sample fluid containing the first indexed bound complex 58C is shown in Fig.33C. [0312] Removal of the unattached unique dual indexed strands 102A’, 102B’ from the respective samples fluids involves exposing the first sample fluid and the second sample fluid to a 3’ ^ 5’ exonuclease 120. The 3’ ^ 5’ exonuclease 120 acts on single stranded DNA to digest the strands 102A’, 102B’ following completion of the ligation reaction. One example of the 3’ ^ 5’ exonuclease 120 is Pyro Exo. [0313] Other 3’ ends of the strands 102A, 102B are protected by the transposase enzyme 46, and thus should not be chewed back. The 3’ ends of the sequencing primer sequence complements 47’E, 47’F are exposed. Thus, a blocking group (not shown) could be incorporated at the 3’ end of these strands when synthesizing the transposome complexes 38E, 38F. Examples of such blocking groups (not shown) may be dideoxycytidine (ddC) or deoxythymidine (dT). These groups can be removed prior to extension and amplification. [0314] Once the unattached unique indexed strands 102A’, 102B’ are removed from each fluid sample, the samples can be pooled and introduced into the flow cell 10. The method may proceed as described herein. [0315] In another example, the ligation of the unique dual indexed strands 102A, 102B (Fig.33B) and the removal of the unattached unique dual indexed strands 102A’, 102B’ (Fig.33C) take place sequentially within a single mixture and the respective reactions are controlled by temperature. In this example method, the ligation of the first unique dual indexed strands 102A, 102B to the first and the second transferred strands 42E, 42F attached to the first DNA sample fragments 100A, 100B involves adding a ligation mix to the tagmented first DNA sample 54A, thereby foring a mixture, wherein the ligation mix includes a DNA ligase and a 3’ ^ 5’ exonuclease; and exposing the mixture to a ligation temperature for a first predetermined time. After the predetermined time, the method further includes removing unattached first unique dual indexed strands 102A’, 102B’ from the mixture by exposing the mixture to an exonuclease activation temperature, thereby activating the 3’ ^ 5’ exonuclease; and adding ethylenediaminetetraacetic acid to cease 3’ ^ 5’

 activity. [0316] In this example method, the ligation mix includes the ligase, the 3’ ^ 5’ exonuclease, and the NAD+.
 [0317] The ligation temperature may range from about 12°C to about 37°C depending upon the DNA ligase that is used. The predetermined time is sufficient for ligation to occur. In an example, the time ranges from about 10 minutes to about 30 minutes. [0318] After the predetermined time, the temperature is increased to activate the 3’ ^ 5’ exonuclease. Upon activation, the 3’ ^ 5’ exonuclease 120 acts on the single DNA to digest the strands

 following completion of the ligation reaction. EDTA is added to stop the 3’ ^ 5’ exonuclease activity. [0319] Once the unattached unique dual indexed strands 102A’, 102B’ are removed from each fluid sample, the samples can be pooled and introduced into the flow cell 10. The method may proceed as described herein. [0320] An example kit may include: a first fluid including a plurality of first and second transposome complexes 38E, 38F; a second fluid including first unique dual indexed strands 102A, 102B; and a including second unique dual indexed strands (with index sequences different from those of the strands 102A, 102B). The kit may also include any example of the flow cell 10 shown in Fig.2A or Fig.2B. The fluids may be any of the example carrier fluids set forth herein. [0321] Hemi-Active Transposome Dimers for Indexing [0322] Some examples disclosed herein enable DNA sample indexing using hemi- active transposome dimers, in which only one of the two entities is capable of tagmenting a strand of DNA. Some hemi-active transposome dimers for one sided transposition are described in WO 2016/003814 A1, which is incorporated herein by reference in its entirety. Any of these transposome dimers may be used in the examples set forth in Fig.14 through Fig.23. In addition to the examples described in WO 2016/003814 A1, other methods may be used to prepare the hemi-active dimers. [0323] As one example, the hemi-active transposome dimers may be prepared using protein engineering technology. Protein engineering technology can be used to join two transposase proteins together via a linking peptide to form a chimeric dimer. This ensures that one copy of the transposase enzyme 46 has been mutated to render it incapable of tagmenting a DNA strand. [0324] As another example, a hemi-active transposome dimer can be generated using an active transposome adaptor 62, an inactive transposome adapter 64, and transposase enzymes 46. These are shown in Fig.14 as part of a kit 66. The kit 66 includes the active transposome adapter 62, which includes an active transposon end 40’ including a portion (e.g., ME) of an active transferred strand 42’ hybridized to a first non-transferred strand 44’, ME’. The active transferred strand 42’ includes the portion ME, an index sequence 50, and a first amplification domain 45’ without a 5’ end linking molecule. The active transposome adapter 62 also includes the first non-transferred strand 44’, ME’ without a 3’ end linking molecule. The kit 66 also includes the inactive transposome adapter 64, which includes an inactive transposon end 40’’ including an inactive transferred strand 42’’, ME having an inactive 3’ end 68 and a 5’ end linking molecule 48’’, and a second non-transferred strand 44’’, ME’ hybridized to the inactive transferred strand 42’’, ME, wherein the second non-transferred strand 44’’, ME’ is without a 3’ end linking molecule. The also includes the transposase enzymes 46. Any of the examples of the transposon ends, e.g., 40A, the amplification domains, e.g., 45A, 49B, and the index sequences, e.g., 50, may be used. [0325] Fig.14 also depicts when the active transposome adapter 62 and the inactive transposome adapter 64 are assembled with the transposase enzymes 46. As depicted, three types of transposome dimers form – an active transposome homo- dimer 70A (a homo-dimer), an inactive transposome dimer 70B (a homo-dimer), and a hemi-active transposome dimer 70C (a hetero-dimer). The active transposome dimer 70A includes two of the active transposome adapters 62, the inactive transposome dimer 70B includes two of the inactive transposome adapters 64, and the hemi-active transposome dimer 70C includes one of the active transposome adapters 62 and one of the inactive transposome adapters 64. [0326] The kit 66 may further include a solid support 72 including surface groups to attach to the 5’ end linking molecule 48’’. Fig.15 illustrates the capture of the inactive transposome dimers 70B and the hemi-active transposome dimers 70C using the solid support 72. When the three types of transposome dimers 70A, 70B, 70C are mixed with a solid support 72 that is capable of binding to the 5’ end linking molecule 48’’, only those dimers 70B, 70C with the a 5’ end linking molecule 48’’ will bind. The active transposome dimer 70A does not include any linking molecule, and thus will not bind to the solid support 72. In one example, the 5’ end linking molecule 48’’ is biotin and the solid support 72 is a streptavidin coated magnetic bead. After the dimers 70B, 70C are bound, the unbound active transposome dimers 70A can be removed. As shown in Fig.15, this essentially forms a hemi-active transposome dimer 70C bound solid support 72, as the bound inactive transposome dimers 70B are not active. [0327] One example method combines the process shown in Fig.14 and Fig.15 and includes forming a support-bound dimer solution by combining, in a liquid carrier, a plurality of each of: the active transposome adapter 62 including an index sequence and without a 5’ end linking molecule; an inactive transposome adapter 64 including a 5’ end linking molecule 48’’; and a transposase enzyme 46, thereby forming a plurality of each of: an active transposome dimer 70A including two of the active transposome adapters 62, a hemi-active transposome dimer 70C including one of the active transposome adapters 62 and one of transposome adapters 64, and an inactive transposome dimer 70B including two of the inactive transposome adapters 64; forming support-bound dimers in the liquid carrier by adding a plurality of a solid support 72 to the liquid carrier, whereby at least some of the plurality of each of: the hemi-active transposome dimer 70C and the inactive transposome dimer 70B attach to at least some of the plurality of the solid support 72, and whereby the plurality of active transposome dimers 70A remains unattached; and removing the plurality of active transposome dimers 70A from the liquid carrier. The liquid carrier for the formation of the dimers 70A, 70B, 70C and for the attachment to the solids support 72 may be water, alone or in combination with a buffer and/or salt. [0328] To utilize the support-bound dimers for tagmentation, a DNA sample 54 is added to the support-bound dimer solution; a tagmentation buffer is introduced to the support-bound dimer solution containing the DNA sample 54; and the temperature of the support-bound dimer solution containing the tagmentation buffer and the DNA sample 54 is brought to the tagmentation temperature disclosed herein. When the DNA sample 54 is added to the hemi-active transposome dimer 70C (which may be bound to the solid support 72), multiple tagmentation events can occur on an individual fragment of the DNA sample 54. Examples of the tagmentation events are shown in Fig.17. As depicted, two tagmentation events may occur on the same strand in cis or on opposite strands in trans. Following removal of the transposase enzymes 46 (which is optional) from the product dimers 70C, for example, by washing with SDS or using another suitable removal technique disclosed herein, the original fragment remains intact, unless two tagmentation events occur in trans close together. When two tagmentation events occur in trans close together, the fragment strand may split in two following the removal of the transposase enzymes 46. This can be minimized by utilizing a solid support 72 with a low density of coupled hemi-active transposome dimer 70C. [0329] The kit 66 shown in Fig.14 can also include a flow cell 10. The hemi-active transposome dimer 70C can be used with two different flow cells including two different surface-bound transposome complexes 38’ or 38’’. A depression 26 including the surface-bound transposome complexes 38’ 38’’ is shown in Fig.16. [0330] One example flow cell of the includes the substrate 12 having depressions 26 separated by interstitial regions 34; a polymeric hydrogel 32 positioned within each of the depressions 26; an amplification primer set 16, 18 attached to the polymeric hydrogel 32 within each of the depressions 26; and a transposome complex 38’ attached to the polymeric hydrogel 32 within each of the depressions 26 via a 3’ end of a non-transferred strand 44’’’, the transposome complex 38’ including: a transposon end 40’’’ including a transferred strand 42’’’ hybridized to a portion of the non-transferred strand 44’’’; the transferred strand 42’’’ including a 5’ end blocking group (e.g., 5’P); and the non-transferred strand 44’’’ including the portion ME’, a sequencing primer sequence, and a complement of a second amplification domain (e.g., a complement of 49B). [0331] Another example of the flow cell 10 includes a substrate 12 having depressions 26 separated by interstitial regions 34; the polymeric hydrogel 32 positioned within each of the depressions 26; an amplification primer set 16, 18 attached to the polymeric hydrogel 32 within each of the depressions 26, wherein each primer 16, 18 of the amplification primer set includes a 3’ end blocking group (the X at the end of the primer 16, 18 in the right enlarged portion of Fig.16); and a transposome complex 38’’ attached to the polymeric hydrogel 32 within each of the depressions 26 via a 5’ end of a transferred strand 42’’’’, the transposome complex 38’’ including a transposon end 40’’’’ including a portion of the transferred strand 42’’’’ hybridized to a non-transferred strand 44’’’’; the transferred strand 42’’’’ including the portion ME, a sequencing primer sequence, and a second amplification domain (e.g., similar to 49B); and the non-transferred strand 44’’’’ including the 3’ end blocking group 104. [0332] In the methods that utilize the hemi-active support bound dimers 70C, it is to be understood that multiple DNA samples may be tagmented, pooled together, and introduced to one example of the flow cell described in this section. Thus, the processes for forming support-bound dimer solutions and tagmenting DNA samples 54 may be repeated as many times as desirable for different DNA samples, e.g., 54A, 54B, etc. It is to be understood that that the index sequence used in the active transposome adapters 62 to form the hemi-active transposome dimers 70C for any one support-bound dimer solution is than the index sequence used in the active transposome adapters 62 to form the hemi-active transposome dimers 70C for each other support-bound dimer solution. Thus, each DNA sample 54A, 54B, 54C is uniquely indexed. This is shown in Fig.18, where the unique indexes are represented by i1, i2, i3. [0333] Several example methods utilizing the hemi-active transposome dimers 70C and transposome complexes 38’ are described in reference to Fig.19A through Fig. 21. As mentioned, the flow cell surface-bound transposome complex 38’ includes the transferred strand 42’’’. In this example, the transferred strand 42’’’ includes the sequence ME of the transposon end 40’’’, and this sequence is blocked for ligation at its 5’ end. In this example, the non-transferred strand 44’’’ includes, from its 5’ end to its 3’ end, the portion ME’ of the transposon end 40’’’, a sequencing primer sequence, and a complement of a second amplification domain (e.g., a complement of 49B). The 5’ end of the non-transferred strand 44’’’ is phosphorylated (5’P in Fig.16) and the 3’ end bears a functional group 48’ (e.g., a 3’ biotin group) that enables the transposome complex 38’ to be attached to a surface. [0334] When a molecule of DNA previously treated with a hemi-active transposome dimer 70C off the flow cell (for example on the solid support 72) is added to the flow cell containing surface-bound transposomes 38’, several outcomes can result depending on the site of the surface tagmentation event in relation to the hemi- tagmented sites on the DNA sample 54. These examples are shown in Fig.19A through Fig.19D. Where a single surface tagmentation event occurs between two hemi-tagmented sites on the DNA sample 54, four outcomes are possible: 1) tagmentation occurs between two hemi-tagmented sites in cis on the strand that is not tagmented (Fig.19A); 2) tagmentation occurs between two hemi-tagmented sites in cis on the strand that is already tagmented (Fig.19B); 3) tagmentation occurs between two hemi-tagmented sites in trans where the surface-bound transfer strand 42’’’ transfers to strand positions to the 5’ side of the hemi-tagmented strands (Fig.19C); or 4) tagmentation occurs between two hemi-tagmented sites in trans where the surface- bound transfer strand 42’’’ transfers to strand positions to the 3’ side of the hemi- tagmented strands (Fig.19D). [0335] Several options are possible to subsequently transform the tagmented molecules in preparation for clustering. [0336] In one example method, the transposome enzyme 46 is removed (for example, using an SDS wash), and then an extension/ligation reaction performed with a reagent that includes a non-displacing polymerase and a ligase. The outcome of this reaction joins the transferred strand 42’ from the hemi-active tagmented DNA to the non-transferred strand 44’’’ of the surface-bound transposome complex 38’. This reaction forms a clusterable template (i.e., a fully adapted DNA fragment). A further step of denaturation leaves only those strands that are attached to the surface (for example, via biotinylation) within a given depression 26. Where a single surface tagmentation event occurs within a given depression 26 between two hemi-tagmented sites on the DNA sample 54, the four outcomes described in reference to Fig.19A through Fig.19D result in four different clustering generation templates within a given depression 26. These are shown in Fig.20A through 20D. [0337] Fig.20A illustrates the outcome of the surface-based tagmentation illustrated in Fig.19A. In particular, the depression 26 contains a single fully clusterable template 106A (i.e., fully adapted DNA fragment) originating from the 3’ side of the hemi-tagmentation event. In addition, a non-clusterable template 108A is formed that terminates in the blocked transferred strand 42’’’. Subsequent clustering will produce a pure cluster of one insert that is indexed. In other words, a cluster of amplicons of the template 106A will be generated. [0338] Fig.20B illustrates the outcome of the surface-based tagmentation illustrated in Fig.19B. In particular, the depression 26 contains a single fully clusterable template 106B originating from the 5’ side of the hemi-tagmentation event. In addition, a non-clusterable template 108B is formed that terminates in the blocked transferred strand 42’’’. Subsequent clustering will produce a pure cluster of one insert that is indexed. In other words, a cluster of amplicons of the template 106B will be generated. [0339] Fig.20C illustrates the outcome of the surface-based tagmentation illustrated in Fig.19C. In this example, the depressions 26 contain no clusterable templates due 108C to the blocked transferred strand 42’’’ at the 5’ ends. [0340] Fig.20D illustrates the the surface-based tagmentation illustrated in Fig.19D. In this example, the depression 26 contains two clusterable templates 106C, 106D, because the DNA fragment portion is different. Following cluster amplification, this may result in a polyclonal cluster within the depression 26. It is believed that only one of the two templates 106C, 106D, most likely the shorter one, will amplify at a faster rate than the other template 106C, 106D and produce a cluster that passes chastity filters. [0341] It is to be understood that the examples shown in Fig.20A through Fig.20D illustrate where a single surface tagmentation event occurs between two hemi- tagmented sites on the DNA sample fragments. It is possible that two or more surface tagmentation events may occur between two hemi-tagmented sites on the DNA. However, in this event, irrespective of the trans or cis orientation of the two hemi- tagmented sites, any resulting template generated between two surface-bound transposomes will be non-clusterable because they lack the first amplification domain sequence. This is depicted in Fig.21. [0342] Other example methods utilizing the hemi-active transposome dimers 70C and transposome complexes 38’’ are described in reference to Fig.22 and Fig.23. [0343] As mentioned, the flow cell surface-bound transposome complex 38’’ includes the transferred strand 42’’’’ bound to the flow cell surface via the 5’ end. In this example, the transferred strand 42’’’’ includes the sequence ME of the transposon end 40’’’’, a sequencing primer sequence, and the second amplification domain (e.g., 49B) at the 5’ end. In this example, the non-transferred strand 44’’’’ includes the sequence ME’ of the transposon end 40’’’’, which is blocked (e.g., with a 3’ phosphate, shown at reference numeral 104) at its 3’ end and cannot be extended further, for example, via a polymerase extension reaction. Also as mentioned in reference to Fig. 16, the primers 16, 18 are blocked at their 3’ ends (for example, via a 3’ phosphate). [0344] With the surface-bound transposome complex 38’’, a single surface tagmentation of a hemi-tagmented DNA (Fig.19A through Fig.19C) is followed by a treatment to remove the transposase enzyme 46 (for example, using an SDS wash). Then, an extension-ligation reaction (using a non-strand displacing polymerase and a ligase) is performed to join the transferred strand 42’ from the hemi-active tagmented DNA to the non-transferred strand 44’’’’ surface-bound transposome complex 38’’. A 3’-5’ exonuclease enzyme is added to digest away the non-transfer strands 44’’ of the hemi-tagmented dimer 70C via its unblocked 3’ end and also any strands 5’ of the hemi-tagmented dimer 70C that are contiguous with the surface transposome transfer strand 42’’’’. Finally, the 3’ phosphate blocks (X, 104) are removed by a phosphatase reaction that enables all 3’ ends of the amplification primers 16, 18, and the tagmented strands that end in ME’ (due to extension/ligation of the non-transferred strand 44’’’’) to be extended. This reaction completes the formation of the fully adapted fragments, which can amplify into clusters. This method is shown in Fig.22 for a hemi-tagmented DNA sample with the hemi-tagmented sites in cis. [0345] The outcome for each depression 26 in the workflow generally shown in Fig. 22 depends on the orientation of the hemi-tagmented DNA (i.e., in cis or in trans) that is tagmented by the surface transposome 38’’. Fig.23 illustrates all the outcomes for a single surface tagmentation event. Two outcomes (A and C) result in depressions 26 with a single clusterable template 106E (the cis hemi-tagmented sites); one outcome (B) results in an empty depressions 26; and one outcome (D) results in a depression 26 with two clusterable fully adapted DNA fragments 106F, 106G. Similar to Fig.20D, in the outcome of D, the expectation is that only of the templates, most likely the shorter of the two, will dominate during cluster amplification and result in a well that passes chastity filters. [0346] In other examples, specifically permutations of the individual biochemistry steps are possible and are understood to be included in that they are variations of the concept of first tagmenting DNA with a hemi-active transposome (indexed or not indexed), then pooling (or not pooling), then adding to a flow cell containing surface- bound transposomes. [0347] Lastly, the examples set forth in this section may generate larger template inserts (fully adapted DNA fragments) because the templates are not generated wholly within the confines of the depressions 26. [0348] Poka-Yoke Flow Cells for [0349] Some examples disclosed herein utilize a poka-yoke mechanism to achieve spatial indexing. Generally, a poka-yoke is any mechanism that helps, e.g., an equipment operator, to avoid errors in a particular process. In the examples disclosed herein, the poka-yoke mechanism is to help guide different DNA samples 54A, 54Bb, etc. to different regions of a flow cell 10. [0350] An example of a portion of the poka-yoke mechanism 74 disclosed herein is shown in Fig.24A in an operable position. The “operable position” of the poka-yoke mechanism 74 is when it overlies the flow cell 10, such that a desired sub-set of depressions 26 of the flow cell 10 is exposed through desired uniquely shaped through-holes 76A, 76B, 76C of the poka-yoke mechanism 74. In this example, the flow cell 10 is an open wafer flow cell. [0351] Together, the flow cell 10 and the poka-yoke mechanism 74 make up a spatial indexing apparatus 80, a portion of which is shown in Fig.24A. The spatial indexing apparatus 80 includes the flow cell 10 of Fig.2A with the primers 16, 18 and the first and second transposome complexes 38A, 38B or 38C, 38D attached to the polymeric hydrogel 32 within each of the depressions 26; and the poka-yoke mechanism 74, which includes at least two spatially separated regions 78A, 78B, 78C, each of the spatially separated regions 78A, 78B, 78C having the plurality of uniquely shaped through-holes 76A, 76B, 76C defined therein, each of the plurality of uniquely shaped through-holes 76A, 76B, 76C exposing respective sub-sets of the depressions 26 of the flow cell 10 of Fig.2A when the poka-yoke mechanism 74 is in the operable position. [0352] It is to be understood that the first and second transposome complexes 38A, 38B or 38C, 38D may be the same across the flow cell 10 (without any index sequence), or may include a unique index sequence 50 in each of the respective regions 78A, 78B, 78C. [0353] In one example, the poka-yoke mechanism 74 is permanently attached to the substrate 12. In this example, the poka-yoke mechanism 74 is a laminate mask secured to the substrate 12 in the operable position. The attachment may be achieved using an optical adhesive (e.g., Optical Adhesives available from Norland Products) or double-sided tape. [0354] In another example, the poka-yoke mechanism 74 is separate from the substrate 12, and can be temporarily (removably) secured to the substrate 12 when it is desirable to introduce different DNA samples to the flow cell 10. In this example, the poka-yoke mechanism 74 can be placed over the substrate 12 in the operable position, and then removed from the substrate 12 after the DNA samples, e.g., 54A, 54B, etc., are introduced. [0355] In still another example, the poka-yoke mechanism 74 is temporarily attached to the substrate 12. In this example, the poka-yoke mechanism 74 is defined by a removable material having a removal characteristic that is orthogonal to a removal characteristic of the substrate 12. In this example, “orthogonal” means that the mechanism used to remove the poka-yoke mechanism 74 will not react with the substrate 12, the primers 16, 18, the transposome complexes 38A, 38B or 38C, 38D, or the introduced DNA samples 54A, 54B, etc. In one example, the removable material could be the same cured polymer 84 (see Fig.24B) as the encapsulated complexes 82A, 82B, 82C that would melt when exposed to heat. Alternatively, the level of crosslinking of the removable material could be tuned so that it requires more heat than the encapsulated complexes 82A, 82B, 82C, ensuring that the encapsulated complexes 82A, 82B, 82C are removed prior to the temporarily bound poka-yoke mechanism 74. [0356] In still another example, the poka-yoke mechanism 74 and the flow cell 10 may be integrally formed (i.e., the two are a single piece). This spatial indexing apparatus 80 may be formed using an additional photolithography step on top of the layer 24 of the flow cell substrate 12. [0357] In one example, the spatial indexing apparatus 80 may be included in a kit with a light curable polymer. The light curable polymer may be used to encapsulate the DNA samples that are to be introduced into the depressions 26 of the flow cell 10. An example of a suitable light curable polymer is formed using poly (ethylene glycol) diacrylate (PEGDA, Mn ~575, 40% in DPBS) and 2,2-dimethoxy-2- phenylacetophenone as the monomer and an photoinitiator. The kit may include other encapsulation materials instead of a polymer, such as micelles, lipid nanoparticles, polymeric nanoparticles, dendrimers, liposomes, carbon nanotubes, protein nanocages, metallic nanocages, exosomes, and extracellular vesicles. [0358] Prior to performing a method that utilizes the spatial indexing apparatus 80, the respective DNA samples 54A, 54B, etc. may be encapsulated in the light curable polymer to form encapsulated complexes 82A, 82B, 82C, shown in Fig.24B. In Fig. 24B, the different DNA samples 54A, 54B, 54C are encapsulated in the cured polymer 84. In this example, the cured polymer 84 is the same for each of the encapsulated complexes 82A, 82B, 82C. In other examples, the cured polymers may be different for each of the encapsulated complexes 82A, 82B, 82C. [0359] An example process for making the encapsulated complexes 82A, 82B, 82C is optical transient liquid molding, which generates microstructures by illuminating patterned ultraviolet (UV) light onto a target flow stream of a polymer precursor containing the desired DNA sample 54A, 54B, etc. As illustrated in Fig.24B, the shapes of the encapsulated complexes 82A, 82B, 82C respectively correspond with the shape of the through-holes 76A, 76B, 76C. [0360] A method that utilizes the spatial indexing apparatus 80 involves i) simultaneously introducing at least two encapsulated complexes 82A, 82B, 82C to the flow cell 10 while the poka-yoke mechanism 74 is in the operable position, wherein a first 82A of the at least two encapsulated complexes 82A, 82B, 82C includes a first DNA sample 54A embedded in a first polymer 84 and has a first shape that corresponds with the plurality of uniquely shaped through-holes 76A defined in a first 78A of the at least two spatially separated regions 78A, 78B, 78C, and a second 82B of the at least two encapsulated complexes 82A, 82B, 82C includes a second DNA sample 54B embedded in a second polymer (also shown as 84 in Fig.24B) and has a second shape that corresponds with the plurality of uniquely shaped through-holes 76B defined in a second 78B of the at least two spatially separated regions 78A, 78B, 78C, and whereby: at least some of the first 82A of the at least two encapsulated complexes 82A, 82B, 82C respectively occupy at least some of the plurality of uniquely shaped through-holes 76A defined in the first 78A of the at least two spatially separated regions 78A, 78B, 78C; and at least some of the second 82B of the at least two encapsulated complexes 82A, 82B, respectively occupy at least some of the plurality of uniquely shaped through-holes 76B defined in a second 78B of the at least two spatially separated regions 78A, 78B, 78C; ii) removing the at least two encapsulated complexes 82A, 82B, 82C that do not respectively occupy the plurality of uniquely shaped through-holes 76A, 76B, 76C; and iii) releasing the first DNA sample 54A and the second DNA sample 54B from the at least two encapsulated complexes 82A, 82B. [0361] The encapsulated complexes 82A, 82B, 82C may be added to a liquid carrier, e.g., water, and introduced into the poka-yoke mechanism 74 (which is in the operable position). The poka-yoke mechanism 74 may be open to the surrounding environment, or have a dedicated inlet that is large enough to accommodate the encapsulated complexes 82A, 82B, 82C. [0362] Once in the poka-yoke mechanism 74, the encapsulated complexes 82A, 82B, 82C are allowed to incubate therein. With a slow enough flow, the encapsulated complexes 82A, 82B, 82C will roll on the surface and get trapped in the corresponding uniquely shaped through-holes 76A, 76B, 76C. Thus, the encapsulated complexes 82A, 82B, 82C will respectively settle into corresponding uniquely shaped through- holes 76A, 76B, 76C. The flow direction could be switched multiple times for back- and-forth gentle flow/movement of the encapsulated complexes 82A, 82B, 82C in an attempt to position them in the corresponding region 78A, 78B, 78C. [0363] After at least some of the encapsulated complexes 82A, 82B, 82C occupy the corresponding uniquely shaped through-holes 76A, 76B, 76C, the encapsulated complexes 82A, 82B, 82C that have not settled and do not occupy the uniquely shaped through holes 76A, 76B, 76C may be removed, e.g., via washing. [0364] The polymer 84 of the encapsulated complexes 82A, 82B, 82C within the uniquely shaped through-holes 76A, 76B, 76C may then be removed (e.g., via dissolution) to release the respective DNA samples 54A, 54B, 54C to the sub-sets of depressions 26 in the regions 78A, 78B, 78C. [0365] After DNA sample 54A, 54B, 54C release, the polymer 84 may be washed away. The tagmentation buffer may then be added and the temperature adjusted to the tagmentation temperature to initiate tagmentation as described in reference to Fig. 4. The transposase enzymes 46 are from the surface-bound transposome complexes 38A, 38B or 38C, 38D. The generating of the fully adapted DNA sample fragments (for each of the DNA sample fragments via the extension reaction), amplification of these fragments, and sequencing of the amplified fragments may be performed as described herein. [0366] In some instances, the poka-yoke mechanism 72 is removed post- tagmentation, or post-amplification. The removal will depend upon how the poka-yoke mechanism 72 is attached or whether the poka-yoke mechanism 72 is dissolvable. [0367] Using Hanging Drop Array Plates for Indexing [0368] Some examples disclosed herein utilize a hanging drop array plate to achieve spatial indexing. In the examples disclosed herein, the hanging drop array plate is to help guide different DNA samples to different regions of a flow cell 10. The flow cell 10 may be the example described in Fig.2A, or may be a complementary metal oxide (CMOS) chip that includes patterned depressions 26 overlying the optical and electronic components (e.g., waveguides, sensors, etc.) of the chip. In either example, the flow cell portion is an open wafer flow cell. [0369] An example of a portion of the hanging drop array plate 86 disclosed herein is shown in Fig.25A in moving toward an operable position. The “operable position” of the hanging drop array plate 86 is when it overlies the flow cell 10, such that a desired sub-set (e.g., 88A, 88B shown in Fig.25B) of depressions 26 of the flow cell 10 is aligned with an individual opening 90 of the hanging drop array plate 86. [0370] In an example, a kit includes the flow cell 10 described in reference to Fig. 2A (with primers 16, 18 in each of the depressions 26), and a hanging drop array plate 86 that is to be temporarily attached to the flow cell 10, the hanging drop array plate 86 including individual openings 90 to align with respective sub-sets 88A, 88B of depressions 26 of the flow cell 10 when the hanging drop array plate 86 is in the operable position. [0371] In these instances, the flow cell 10 also includes the first and second transposome complexes 38A, 38B or 38C, 38D attached to the polymeric hydrogel 32 within each of the depressions 26. In these instances, the first and second transposome complexes 38A, 38B or 38D are non-indexed and are the same across the flow cell surface. The first and second transposome complexes 38A, 38B or 38C, 38D may be dried down if desirable to improve stability until DNA sample 54A, 54B introduction is initiated. [0372] The kit may further include the tagmentation buffer, which may be introduced using the hanging drop array plate 86. [0373] A method involves respectively adding at least two different DNA samples 54A, 54B to at least two of the individual openings 90 of the hanging drop array plate 86; placing the hanging drop array plate 86 in contact with the flow cell 10 so that the hanging drop array plate 86 is in the operable position, thereby respectively transferring the at least two different DNA samples 54A, 54B to at least two different sub-sets of depressions 88A, 88B of the flow cell 10; and removing the hanging drop array plate 86 from the flow cell 10. [0374] The DNA samples 54A, 54B, etc. are added to the hanging drop array plate 86 using a manual or automated system. The DNA samples 54A, 54B precipitate and create droplets within the openings 90. A user compresses the hanging drop plate 86 with an open form of the flow cell 10 to transfer the DNA samples 54A, 54B to respective sub-sets 88A, 88B of depressions 26. In this example (as shown in Fig. 25B), the sub-sets 88A, 88B of depressions 26 may be defined in spatially separated regions that align with the openings 90. [0375] The hanging drop array plate 86 may also be used to introduce a wash solution after the DNA samples 54A, 54B are introduced. Alternatively, a wash solution may be introduced to the flow cell 10 after the hanging drop array plate 86 is removed, as long as the flow is not high enough to disrupt DNA sample 54A, 54B binding. [0376] The method further includes removing the hanging drop array plate 86 from the flow cell 10 after all of the desirable fluids are introduced. [0377] The method may also include attaching an optically transparent lid to the substrate 12 after the hanging drop array plate 86 is removed. In an example, an optically transparent lid (e.g., a glass slide) may be positioned and bonded to the substrate 12 to create a flow channel 20 that is to receive additional fluids for tagmentation, amplification, etc. A spacer may be used between the glass slide and the substrate 12 to create the fluidic architecture. Alternatively to the optically transparent lid, a second patterned substrate (e.g., 12’ in Fig.2) may attached to the substrate 12 with a laminate spacer (e.g., interposer 28). Additional DNA samples may have been added to the second patterned substrate in the manner described in this example prior to its attachments to the substrate 12. [0378] Any example of the tagmentation buffer may then be added (e.g., via a flow channel inlet), and the temperature may be adjusted to the tagmentation temperature to initiate tagmentation as described in reference to Fig.4. Alternatively, the at least two different DNA samples 54A, 54B are introduced, using the hanging drop array plate 86 as described, with the tagmentation buffer, and the method further comprises raising a temperature of the flow cell to a tagmentation temperature. In this example, the hanging drop array plate 86 may be removed from the flow cell 10 before or after the temperature is raised. [0379] After tagmentation, this example method includes generating fully adapted DNA sample fragments for each of the samples; amplifying the fully adapted DNA sample fragments; and performing a sequencing operation. These may also be performed as described in reference to Fig.4. [0380] Open Die Workflow for Indexing [0381] Some examples disclosed herein utilize an apparatus that includes a bonder jig to achieve spatial indexing. In these examples, DNA samples 54A, 54B, etc. or bound complexes 58A, 58B are spiked onto targeted spots within a lane 36 of a flow cell precursor that is held in the bonder jib before an optically transparent lid or a second flow cell precursor is bonded. The positioning of each sample 54A, 54B or bound complexes 58A, 58B on the flow cell precursor provides the spatial indexing. [0382] As used herein, the second flow cell precursor refers to another substrate, e.g., 12’ or 14’ that has been functionalized with a DNA sample 54A, 54B in accordance with one of the methods described herein. [0383] These examples utilize an apparatus 91 including a bonder jig 92, which is shown in Fig.26A. The bonder jig 92 may be formed of a plastic material that includes a concave flow cell region 94 defined (shown in A of Fig.26A). The dimensions (e.g., length, width and depth) of the concave flow cell region 94 correspond with the respective dimensions (e.g., length, width, and thickness) of the flow cell substrate 12 (Fig.2A) or 14 (Fig.2B). In this example, “corresponds with” means that the flow cell substrate 12, 14 can fit into the concave flow cell region 94 such that a surface of the interposer 98 (applied to or part of the flow cell precursor) is substantially planar with a surface of the bonder jig 92. [0384] As shown in Fig.26B, the apparatus 91 also includes a flow cell precursor positioned in the concave flow cell region 94. The flow cell precursor is either the substrate 12 of Fig.2A or the substrate 14 of Fig.2B. The example in Fig.26B includes the substrate 12 as the flow cell precursor. The substrate 12, 14 includes the polymeric hydrogel 32, the primers 16, 18, and, in some instances, the transposome complexes 38A and 38B or 38C and 38D applied thereon in the manner described herein. In some examples, the flow cell precursor also includes the interposer 98 secured to the substrate 12, 14. The interposer 98 is shown at B in Fig.26A and Fig. 26B. [0385] As shown in Fig.26B, the apparatus 91 also includes a protective layer 110 secured to the bonder jig 92 and positioned over the flow cell precursor that is present in the concave flow cell region 94. The protective film 110 may be secured to the convex portion surrounding the concave flow cell region 94, so that removal of the protective film 110 reveals the flow cell precursor in the concave flow cell region 94. Alternatively, several protective films may be may be individually secured to the convex portion, so that removal of one protective film exposes a lane 36 (which may or may not have depressions 26 defined therein) of the flow cell precursor. In the latter example, the pre-cut interposer 98 is pre-positioned on the flow cell precursor, so that when an individual protective film is removed, one lane 36 is exposed. [0386] In some of the methods using the apparatus 91, the transposome complexes 38A, 38B or 38C, 38D are grafted to the polymeric hydrogel 32 of the flow cell precursor that is present within the concave flow cell region 94. In these examples, the transposome complexes 38A, 38B or 38C, 38D are not indexed, and are grafted across the polymeric (in depressions 26 or in the lane 36) and/or across the interstitial regions 34 separating the depressions 26. [0387] In some other of the methods using the apparatus 91, the transposome complexes 38A, 38B or 38C, 38D are used in solution-based tagmentation methods that take place off the flow cell. Depending upon the method used, these transposome complexes 38A, 38B or 38C, 38D may include the index sequence. In these examples, the flow cell precursor does not include the transposome complexes 38A, 38B or 38C, 38D. [0388] One example method includes removing the protective film 110 from the apparatus 91; placing a pre-cut interposer 98 into the flow cell precursor; selectively introducing at least two different DNA samples 54A, 54B to at least two different areas of the flow cell precursor defined by the pre-cut interposer 98; and bonding an optically transparent cover slip 96 (see C in Fig.26A) or a second flow cell precursor to the pre- cut interposer 98. [0389] The pre-cut interposer 98 may be formed of a double-sided adhesive that can bond to the flow cell precursor and to a subsequently applied optically transparent cover slip 96 or second flow cell precursor. As shown at B in Fig.26A, the pre-cut interposer 98 may be laid over the flow cell precursor (not depicted) in the concave flow cell region 94 such that the lanes 36 are formed/defined. Tweezers or another suitable tool (automated or not) may be used to apply the pre-cut interposer 98. The substrate 12 or 14 may have regions that are designated for receiving the pre-cut interposer 98 (i.e., are not patterned, do not include the polymeric hydrogel 32, etc.). [0390] The selective introduction of the at least two different DNA samples 54A, 54B is shown schematically in Fig.27. The different DNA samples 54A, 54B, 54C, etc. and the different areas 37A, 37B, 37C, etc. of one lane 36-1 into which they are selectively dispensed are depicted in Fig.27. The samples 54A, 54B, etc. may be manually dispensed or may be dispensed using a high precision coating method as described herein. [0391] In one example, placing the pre-cut interposer 98 onto the flow cell precursor forms at least two lanes 36 of the flow cell precursor; the at least two different areas 37A, 37B, etc. of the flow cell precursor are within a first lane, e.g., 36-1 of Fig.27, of the at least two lanes 36; the method further comprises selectively introducing at least two additional different DNA samples to at least two different areas of a second lane, e.g., 36-2 of Fig.27, of the at least two lanes 36. The selective introduction of multiple samples 54A, 54B may be repeated for each lane 36-1, 36-2 after the pre-cut interposer 98 is applied to define the actual lanes 36. [0392] When the pre-cut interposer 98 is in place and the DNA samples 54A, 54B have been selectively applied, the optically transparent cover slip 96 or second flow cell precursor may be positioned on and attached to the pre-cut interposer 98, as shown at C in Fig.26A. Because pre-cut interposer 98 is a double-sided adhesive, it can bond to the optically transparent cover slip 96 or second flow cell precursor. Pressure may be applied to the optically transparent cover slip 96 or second flow cell precursor as it bonds to the pre-cut interposer 98. [0393] It is to be understood that the resulting structure is an enclosed flow cell including the bonded flow cell precursor. The flow cell may include fluidic lines (e.g., inlets and outlets, not shown) so that tagmentation reagents, extension reaction reagents, amplification reagents, etc. can be introduced into each of the formed lanes 36. [0394] When the first and second transposome complexes 38A, 38B or 38C, 38D are attached to the polymeric hydrogel 32 and/or interstitial regions 34 at the outset, the respective DNA samples 54A, 54B, 54C, etc. may be introduced to the desired areas with a tagmentation fluid. Tagmentation of each sample 54A, 54B, 54C, etc. may be initiated by raising the temperature to the tagmentation temperature, and will be performed as described herein. The method then includes removing the transposase enzyme 46 from each of the first and second transposome complexes 38A, 38B or 38C, 38D; and generating fully adapted first DNA sample fragments and fully adapted second DNA sample fragments in the at least two different areas 37A, 37B. Transposase enzyme 46 removal and the generation of fully adapted fragments may also be performed as described herein in reference to Fig.4. Once the fully adapted fragments are generated for each of the DNA samples 54A, 54B, 54C, etc. in each of the areas 37A, 37B, etc., amplification of the fragments, and sequencing of the amplified fragments may be performed as described herein. [0395] Another method utilizing the 91 involves performing solution- based tagmentation to generate at least two different bound complexes 58A, 58B including two different DNA samples 54A, 54B and 5’ end linking groups; placing a pre-cut interposer 98 onto a flow cell precursor of the apparatus 91; selectively introducing the at least two different bound complexes 58A, 58B, etc. to at least two different areas 37A, 37B, etc., whereby the at least two different bound complexes 58A, 58B, etc. respectively attach to the at least two different areas 37A, 37B, etc. via the 5’ end linking groups; and bonding an optically transparent cover slip 96 or a second flow cell precursor to the pre-cut interposer 98. [0396] This method is a combination of the solution-based tagmentation described in reference to Fig.9 and Fig.10 and the method shown in Fig.26A. In this example, the different bound complexes 58A, 58B are prepared off-apparatus, and then are introduced into lanes 36-1, 36-2 that are defined after the pre-cut interposer 98 is applied. The different bound complexes 58A, 58B respectively attach via the 5’ end functional groups as described in reference to Fig.9 and Fig.10. The individual samples 54A, 54B are indexed as described in reference to Fig.9. [0397] This example may include the protective film 110 that covers the entire flow cell precursor present in the concave flow cell region 94. Once the protective film 110 is removed, the pre-cut interposer 98 may be applied to form the lanes 36-1, 36-2, etc. a and the bound complexes 58A, 58B may be selectively introduced and bound to the polymeric hydrogel 32 and/or interstitial regions 34 in respective areas within the lane(s) 36-1, 36-2, etc. Alternatively, the bound complexes 58A, 58B may be pooled and then introduced into a particular lane 36-1, 36-2, etc. [0398] Once all of the bound complexes 58A, 58B are introduced and bound, the optically transparent cover slip 96 or second flow cell precursor may be positioned on and attached/bonded to the pre-cut interposer 98, as shown at C in Fig.26A. [0399] A wash may be performed with an example of the washing solution described herein in order to remove any unbound material. Then, the transposase enzymes 46 may be removed using one of the methods disclosed herein. The tagmented (partially adapted) DNA sample fragments (from the different samples) remain attached to the flow cell 10 through the 5’ and/or 3’ end functional groups. [0400] The generating of the fully DNA sample fragments (for each of the DNA sample fragments via the extension reaction), amplification of these fragments, and sequencing of the amplified fragments may be performed as described herein. The index sequence data can be used to identify the particular DNA sample. [0401] Still other methods utilizing the apparatus 91 have the pre-cut interposer 98 in place, at the outset, over the flow cell precursor that is positioned in the concave flow cell region 94. The in-place pre-cut interposer 98 defines the lanes 36 of the flow cell precursor. [0402] One example method includes removing a protective film 110 from the apparatus 91 to expose a lane 36 of the flow cell precursor; selectively introducing at least two different DNA samples 54A, 54B, 54C, etc. to at least two different areas 37A, 37B, 37C, etc. of the exposed lane 36; and bonding an optically transparent cover slip 86 or a second flow cell precursor to the pre-cut interposer 98. Tagmentation of each sample 54A, 54B, 54C, etc. will be initiated and will be performed as described herein. In this example, if one lane 36-1 is exposed at a time, the process can be repeated for each lane 36-2, etc. Alternatively, all of the lanes 36- 1, 36-2, etc. may be exposed when the protective film 110 is removed. [0403] Another example method includes performing solution-based tagmentation to generate at least two different bound complexes 58A, 58B, etc. including two different DNA samples 54A, 54B and 5’ end linking groups; removing a protective film from the apparatus 91 to expose a lane 36 of a flow cell precursor; selectively introducing the at least two different bound complexes 58A, 58B, etc. to at least two different areas 37A, 37B, etc. of the exposed lane 36, whereby the at least two different bound complexes 58A, 58B, etc. respectively attach to the at least two different areas 37A, 37B, etc. via the 5’ end linking groups; and bonding an optically transparent cover slip 96 or a second flow cell precursor to the pre-cut interposer 98. [0404] The method then includes removing the transposase enzyme 46 from each of the first and second transposome complexes 38A, 38B or 38C, 38D; and generating fully adapted first DNA sample fragments and fully adapted second DNA sample fragments in the at least two different areas 37A, 37B, etc. Transposase enzyme 46 removal and the generation of fully adapted fragments may also be performed as described herein in reference to Fig.4. the fully adapted fragments are generated for each of the DNA samples 54A, 54B, 54C or sample complexes 58A, 58B, etc. in each of the areas 37A, 37B, etc., amplification of the fragments, and sequencing of the amplified fragments may be performed as described herein. [0405] In any of these examples, a protective coating (different from the protective film 110) may be positioned over the primers 16, 18, and in some instances, the transposome complexes 38A, 38B or 38C, 38D. The protective coating may be a sugar-based coating or a polymer, such as KOLLICOAT™ (BASF Corp.). In these examples, the protective coating may be removed before the DNA samples 54A, 54B are introduced. This type of coating may be water soluble, and thus removed with a water wash. [0406] Encapsulation of DNA Templates for Indexing [0407] Still another of the examples disclosed herein uses encapsulated vessels for spatial indexing. In this example (depicted in Fig.28A and Fig.28B), orthogonally functionalized encapsulation vessels 112A, 112B containing respective DNA samples 54A, 54B attached to corresponding attachment members 114A, 114B that are attached in predetermined areas/regions 37A, 37B on the flow cell 10. As such, each encapsulation vessels 112A, 112B will be anchored to a respective area of the flow cell 10, where each individual encapsulated DNA sample 54A, 54B is locally released. This enables spatial indexing. [0408] The flow cell 10 is similar to the example shown in Fig.2A, and includes the substrate 12 having depressions 26 separated by interstitial regions 34; the polymeric hydrogel 32 positioned within each of the depressions 26; and the amplification primer set 16, 18 attached to the polymeric hydrogel 32 within each of the depressions 26. This example flow cell 10 also includes the transposome complexes 38A, 38B or 38C, 38D attached to the polymeric hydrogel 32 within each of the depressions 26; and an attachment member 114A, 114B attached i) to the polymeric hydrogel 32 within each of the depressions 26 (see Fig.28B) or ii) to the interstitial regions 34 (see Fig.28A), wherein the attachment member 114A located at a first region 37A of the flow cell 10 is orthogonal to the attachment member located at a second region 37B of the flow cell 10, whereby the first encapsulation selectively attaches to the attachment member 114A in the first region 37A and the second encapsulation vessel 112B selectively attaches to the attachment member 114B in the second region 37B. In this example, “orthogonal” means that the attachment member 114A that is present in one region 37A of the flow cell 10 is able to bind to its corresponding member 116A (which is attached to one of the encapsulation vessels 112A), but is not able to bind to the members 116B of any of the other encapsulation vessels 112B that are introduced into the flow cell 10. [0409] Each encapsulation vessel 112A, 112B includes a different DNA sample 54A, 54B encapsulated in an encapsulation matrix 118A, 118B. To form the encapsulation vessels 112A, 112B, each of the DNA samples 54A, 54B is respectively extracted from a source using standard extraction methods, and then is respectively mixed, e.g., in different reaction containers (e.g., vials), with the desired encapsulation matrix 118A, 118B. While the DNA samples 54A, 54B are different in the different vessels 112A, 112B, the encapsulation matrices 118A, 118B of the respective vessels 112A, 112B may be the same material or different materials. The same material may be used when it is desirable for the matrices 118A, 118B to be removed simultaneously by a single removal agent. Different materials may be used when it is desirable for the matrices 118A, 118B to be sequentially removed by different removal agents. As such, the encapsulation matrices 118A, 118B are independently selected from the group consisting of micelles, lipid nanoparticles, polymeric nanoparticles, dendrimers, liposomes, carbon nanotubes, protein nanocages, metallic nanocages, exosomes, and extracellular vesicles. [0410] In some examples, the encapsulation vessels 112A, 112B may also include the tagmentation buffer encapsulated with the DNA samples 54A, 54B. This enables localized release of both the DNA samples 54A, 54B and the metal co-factor (e.g., Mg
2+) used in tagmentation. [0411] The chemistry involved in the encapsulation process may vary depending upon the material that is selected for the matrix 118A, 118B. The strands of the DNA sample 54A, 54B become entrapped within the matrix 118A, 118B, which may be covalently or non-covalently linked upon the matrix material 118A, 118B. One example is depicted in Fig.28A. [0412] Each matrix material 118A, 118B is then functionalized with its respective members 116A, 116B. Each member 116A, 116B forms a respective binding pair with its corresponding attachment member 114A, 114B that is attached i) within the depressions 26 or ii) to the interstitial regions 34 at different regions of the flow cell 10. Example binding pairs (i.e., attachment member 114A or 114B and its corresponding member 116A or 116B) include azide – alkyne, trans-cyclooctyne (TCO) – tetrazine, streptavidin – biotin, aptamer – protein, aptamer – aptamer, antibody – antigen, antibody – antibody, nickel – histidine tag, amine – NHS Ester, metal – ligand, protein – ligand, complementary DNA oligomers (similar to the spatial tag and target primers disclosed herein), lectin – carbohydrate, affinity tags (e.g., His-tag, FLAG-tag), or molecularly imprinted polymers (MIPs). It is to be understood that an aptamer may alternatively be a binding pair with another moiety. [0413] As mentioned, the members 116A, 116B are attached to the surface of the respective matrices 118A, 118B, and the attachment members 114A, 114B are respective attached at different regions 37A, 37B of the flow cell 10, either to the polymer hydrogel 32 or to the interstitial regions 34. In one example, the R
A groups of the polymeric hydrogel 32 in one region 37A of the flow cell function as the attachment member 114A for an alkyne 116A attached to the encapsulated vessel 112A. In this example, the polymeric hydrogel 32 in different regions of the flow cell 10 may have different R
A groups as the attachment members 114A, 114B. In another example, the interstitial regions 34 include carboxylic groups as the attachment member 114A for coupling a peptide 116A. [0414] The polymeric hydrogels 32 with the different attachment members 114A, 114B or the different the attachment members 114A, 114B that are to be introduced to the interstitial regions 34 may be sequentially dispensed in the predetermined regions using any of the high precision coating methods described herein. The attachment members 114A, 114B at the surface of the flow cell 10 should be spatially segregated and confined to different regions 37A, 37B of the lanes 36, each hosting different type of chemistries (i.e., different corresponding members 116A, 16B). [0415] Because the DNA samples are encapsulated within the matrix 118A, 118B, the encapsulation vessel 112A, 112B can be pooled together and introduced into the flow cell 10 simultaneously. The pooled encapsulation vessels 112A, 112B are allowed to incubate in the flow cell 10 so that the corresponding members 116A, 116B can attach to the attachment members 114A, 114B. Due to the members 114A, 116A and 114B, 116B being binding pairs, the encapsulation vessels 112A, 112B will become attached in the respective predetermined areas 37A, 37B of the flow cell 10. [0416] The flow cell 10 may then be rinsed with an example of the washing solution. [0417] If the tagmentation buffer is not encapsulated in the encapsulation vessels 112A, 112B, the method further includes introducing the tagmentation buffer into the flow cell 10 prior to releasing the DNA samples 54A, 54B. Introduction of the tagmentation buffer after DNA sample 54A, 54B release may move the DNA sample 54A, 54B from its respective predetermined area if it is not bound within the respective predetermined area. [0418] The DNA samples 54A, 54B are then respectively released, locally within the predetermined area 37A, 37B, from the encapsulation vessels 112A, 112B. The release may be accomplished by the dissolution of the encapsulation matrix 118A, 118B. When the matrices 118A and 118B are the same, a release agent may be introduced and then allowed to sit in the absence of flow and in the presence of minimal diffusion. When the matrices 118A and 118B are different, multiple release agents may be introduced sequentially, and each may be allowed to sit in the absence of flow and in the presence of minimal diffusion. In these examples, the release is induced chemically because the release agent is a degradant to the matrices 118A and 118B. In other examples, the release may be induced by an external source, i.e. by heat or light. Heat or light may be used when the matrix 118A, 118B degrades, solubilizes, or the like when exposed to such conditions. [0419] In some instances, the release of the DNA samples 54A, 54B also released the tagmentation buffer. [0420] Once the DNA samples 54A, are released and the tagmentation buffer is released or introduced and because the transposome complexes 38A, 38B or 38C, 38D are present in the flow cell 10, the method further includes bringing the flow cell 10 to a tagmentation temperature. In the presence of the tagmentation buffer and with the temperature brought to the tagmentation temperature, the DNA samples 54A, 54B, etc. are fragmented and the 5’ ends of both strands of the duplex fragment are ligated to respective 3’ ends of the transferred strands 42A, 42B or 42C, 42D of the transposome complexes 38A, 38B or 38C, 38D in the respective predetermined areas 37A, 37B. [0421] If the released DNA samples 54A, 54B are able to bind to the respective predetermined areas 37A, 37B (e.g., via complementary oligonucleotides, etc.), the method may further include introducing a tagmentation buffer into the flow cell 10 after the DNA samples 54A, 54B are released and bound; and bringing the flow cell 10 to a tagmentation temperature. [0422] After tagmentation, this example method includes generating fully adapted DNA sample fragments for each of the pooled samples; amplifying the fully adapted DNA sample fragments; and performing a sequencing operation. [0423] Generating the fully adapted fragments may include removing the transposase enzyme 46 from the transposome complexes 38A, 38B or 38C, 38D, and initiating the extension reaction described herein. The sequences resulting from the extension reaction render the partially adapted fragments (i.e., the tagmented fragments that have not been ligated, extended, etc.) fully adapted and ready for amplification and cluster generation. These processes may be performed as described herein. [0424] Sequencing may then be performed. In one example, sequencing by synthesis is performed by introducing a sequencing primer followed by an incorporation mix including labeled nucleotides. Optical imaging may be used to detect each instance of nucleotide incorporation. [0425] The example shown in Fig.28A and Fig.28B advantageously enables multiple DNA samples 54A, 54B to be loaded simultaneously into the flow cell 10. Once loaded into the flow cell 10, the different DNA samples 54A, 54B will be spatially segregated according to the area 37A, where specific binding occurs between encapsulation vessel 112A, 112B and the attachment members 114A, 114B. Upon localized release and tagmentation, amplification and clustering of surface-bound libraries can be performed simultaneously. Additionally, long reads of nucleic acids can be achieved via spatial-controlled tagmentation of the DNA samples 54A, 54B on the flow cell 10. [0426] Parallel Processing for Indexing [0427] Yet another of the examples disclosed herein uses two different processes that are performed in parallel on the same pooled DNA samples. The data from these processes enables haplotype(s) to be matched to a particular DNA sample in the pool. In this example method, the transposome complexes 38A, 38B or 38C, 38D do not include the index sequence. [0428] This method includes generating first haplotype blocks by: pooling together at least two different DNA samples, generating fully adapted DNA fragments from the pooled DNA samples using a flow cell and a tagmentation protocol without indexing, sequencing the fully adapted DNA fragments, thereby generating sequencing data, and performing haplotype phasing based on the sequencing data; generating individual sample haplotype blocks by: generating an individual library for each of the at least two different DNA samples, respectively exposing the individual libraries to i) a single nucleotide polymorphism (SNP) array or ii) a whole genome sequencing assay, and performing haplotype phasing based on i) SNP array data or ii) sequencing data for each of the individual libraries; and correlating a single nucleotide polymorphism observed in data from the haplotype phasing with one of the at least two different DNA samples based on the individual sample haplotype blocks. [0429] Fig.30 will be referenced throughout the discussion of this method. The first haplotype blocks are labeled A through H in Fig.30, and the individual sample haplotype blocks are labeled samples 1 through 4 in Fig.30. [0430] In this example method, several different DNA samples, e.g., 54A, 54B, etc., are used. The DNA samples should be from unrelated individuals or from populations without significant inbreeding. In the method, two of each DNA sample type is utilized. Thus, if ten different DNA samples are analyzed, twenty total DNA samples will be used – two of each of the ten different DNA samples. For each DNA sample type, one DNA sample will be pooled together in a mixed DNA sample with all of the other DNA sample types and then exposed to tagmentation and sequencing; and the other DNA sample will be individually exposed to either i) a single nucleotide polymorphism (SNP) array or ii) a whole genome sequencing assay. By individual exposure, it is meant that the DNA samples are not pooled together, but are individually exposed to the SNP array or the whole genome sequencing assay. [0431] Once the different DNA samples are collected, one of each of the DNA samples are mixed together. This forms the mixed DNA sample. The mixed DNA sample is exposed to solution-based tagmentation, or tagmentation on-board the flow cell. [0432] The solution-based tagmentation is performed by mixing the mixed DNA sample with a transposome complex solution including non-indexed transposome complexes 38A, 38B or 38C, 38D. The transposome complex solutions may be any of the examples set forth herein. To this mixture, the tagmentation buffer is added, and the temperature of the solution is brought to the tagmentation temperature (e.g., from about 37°C to about 55°C). In this example, the tagmentation time may range from about 2 minutes to about 15 minutes. Within the mixed DNA sample, the copies of the DNA samples are tagmented as described herein. [0433] Post tagmentation, the transposase enzymes 46 are not removed and so the DNA sample fragments remain connected together by the transposome complexes 38A, 38B or 38C, 38D still in place along the double stranded DNA sample strands. This process forms bound complexes, similar to those 58A, 58B described in reference to Fig.9 and Fig.10. [0434] The bound complexes are introduced into a flow cell 10 including a lane 36 or depressions 26 containing the polymeric hydrogel 32 and the primers 16, 18. The bound complexes are allowed to incubate within the flow cell 10 so that they can attach via the 5’ and/or 3’ end functional groups to the polymeric hydrogel 32 and/or to interstitial regions 34. [0435] Once the bound complexes within the flow cell 10, the transposase enzymes 46 are then removed from the transposome complexes 38A, 38B or 38C, 38D of the bound complexes and from any other surface-bound transposome complexes. The tagmented fragments of each of the different DNA samples are now attached to the flow cell surface via the transferred strands 42B or 42D. Fully adapted DNA sample fragments are generated and amplified for each of the DNA sample fragments via the extension reaction described herein, and these amplified fragments are sequenced as described herein. [0436] In another example, tagmentation takes place within the flow cell 10. In this example, the non-indexed transposome complexes 38A, 38B or 38C, 38D are pre- attached within the lane 36 or depressions 26, or are introduced to and attached within the flow cell 10 before the mixed DNA sample is introduced. Once the non-indexed transposome complexes 38A, 38B or 38C, 38D are immobilized in the flow cell 10, the mixed DNA sample is introduced with a tagmentation buffer, and tagmentation is performed as described herein. Fully adapted DNA sample fragments are generated and amplified for each of the DNA sample fragments via the extension reaction described herein, and these amplified fragments are sequenced as described herein. [0437] The sequencing data for the mixed DNA sample is then exposed to haplotype phasing. This generates the haplotype blocks, e.g., A-H shown in Fig.30. It is to be understood that any haplotype phasing method may be used. In an example, haplotype phasing involves alignment-based haplotype phasing or assembly-based haplotype phasing. With alignment-based haplotype phasing, reads are sequenced and are mapped to a reference genome for variant calling. Afterwards, linked variants are extended into phased blocks each containing a number of neighboring SNPs belonging to the same haplotype. With assembly-based haplotype phasing, reads are sequenced and allele-aware de novo assembly is performed, for example, using Falcon-unzip or Canu trio-binning methods. When multiple haplotypes are present, primary contigs can be selected as an arbitrary haplotype representation, e.g., using purge haplotigs, for downstream analysis. Alternatively, full set of haplotypes can be resolved through Hi-C technology, e.g. using ALLHiC. [0438] The other of each of the DNA is individually exposed to an SNP array or a whole genome sequencing assay. When the SNP array is used, each of the DNA samples is tested with an SNP array so that the resulting data is unique to the individual sample that is tested. When the whole genome sequencing assay is used, each of the DNA samples is exposed to a respective whole genome sequencing assay so that the resulting data is unique to the individual sample that is tested. While two examples are provided, it is believed that any sequencing technique may be used for the individual DNA sample. [0439] Prior to the SNP array or the whole genome sequencing assay, the DNA samples are exposed to a library preparation technique that introduces adapters that are complementary to either the SNP array probes or the primers 16, 18 used in whole genome sequencing. Additionally, for the SNP array, the DNA library fragments are labeled with fluorescent tags. For whole genome sequencing, commercially available library preparation kits may be used, such as the TRUSEQ® DNA PCR-Free preparation kit or the ILLUMINA® DNA PCR-Free preparation kit, both of which are available from Illumina Inc. [0440] When the SNP array is used for individual DNA sample analysis, an SNP array slide is spotted with allele-specific DNA probes targeting regions in which there is SNP variation between individuals. A different slide is used for each of the DNA samples. Each DNA sample is hybridized to a respective array slide, where library fragments bind to complementary probes. The array slide is scanned, and the fluorescence emitted at each probe location is measured. [0441] When the SNP array is used for individual DNA sample analysis, an SNP array slide is spotted with allele-specific DNA probes targeting regions in which there is SNP variation between individuals. A different slide is used for each of the DNA samples. Each DNA sample is hybridized to a respective array slide, where library fragments bind to complementary probes. The array slide is scanned, and the fluorescence emitted at each probe location is measured. [0442] When the whole genome sequencing assay is used for individual DNA sample analysis, the library fragments are amplified and sequenced using a commercially available sequencing such as the NOVASEQ™ 6000 system or the NOVASEQ X Series from Illumina, Inc. [0443] The data from the SNP array or the sequencing data from the whole genome sequencing is exposed to haplotype phasing. Haplotype phasing may be performed using alignment-based haplotype phasing or assembly-based haplotype phasing. Fig.30 schematically illustrates the alignment-based phasing results for each of the individual DNA samples (e.g., samples 1-4). [0444] The single nucleotide polymorphism(s) observed in data from the haplotype phasing (i.e., in the phasing blocks A-H for the mixed DNA sample) are then correlated with one of the at least two different DNA samples based on the individual sample haplotype blocks (e.g., samples 1-4). [0445] In any of the examples set forth herein, it is to be understood that the transposome concentration, the DNA sample input, and reaction volume can be variable depending on the application. [0446] To further illustrate the present disclosure, examples are given herein. It is to be understood that these examples are provided for illustrative purposes and are not to be construed as limiting the scope of the present disclosure. NON-LIMITING WORKING EXAMPLES [0447] Example 1 [0448] Dual indexed transposomes were made using an indexed P5 transposon and an indexed P7 transposon (similar to those described in reference to Fig.5A and Fig.9). Two sets of indexed P5 and P7 transposomes were assembled. One set of indexed transposomes (0.05 µM total concentration each) was added to either a 500 ng NA12878 human gDNA sample or a 500 ng Lambda gDNA sample in a 50 µL tagmentation reaction. A 50:50 ratio of P7:P5 TsM and an 80:20 ratio of P7:P5 TsM were tested on different samples. Each sample was then heated to 41
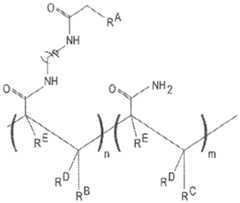
oC for 5 minutes and then cooled to room temperature. For respective control samples, the NA12878 and Lambda gDNA samples were used separately. For four examples samples, the NA12878 and Lambda gDNA samples were mixed together. For two of the mixed example samples, additional NaCl at 100 mM was added prior to the mixing of the samples. NaCl or EDTA should reduce activity of the transposome, and thus reduce the likelihood of additional transposome activity in the mixed samples from the incorrect indexed transposome. In the mixed samples, the DNA samples had been tagmented but the transposase enzyme (Tn5) had not been removed so the DNA samples were held together in the original gDNA fragments. [0449] All the control and example samples were flowed onto a HISEQ™ 4K (Illumina Inc.) flow cell in separate lanes, each of which had been pre prepared with a biotin/streptavidin surface at room temperature, and were incubated for 30 minutes. Post binding of the gDNA/biotinylated transposome complex to the streptavidin surface, any unbound material was washed off with a wash solution and then the Tn5 was removed with a 1% SDS wash and two minutes of incubation. The SDS solution was washed off and then ExAmp™ reagents (Illumina Inc.) were used to amplify the fragments onto the surface primers for 1 hour. The remainder of the clustering and sequencing workflow was standard for the HISEQ™ 4K instrument. [0450] Passing filter (PF) is the metric used to describe clusters which pass a chastity threshold. In this example, the %PF for all of the 50:50 ratio lanes was between 33-36%, but was lower for the 80:20 ratio lanes, ranging between 8-21%. [0451] The percentage of mapped reads (correct and incorrect) for the control samples (NA12878 L1 and Lambda L3), for one of the mixed samples (L5) and one of the mixed samples plus NaCl (L7) are shown in Fig.29. The mapped read (or aligned) percentage or mapping quality score refers to a metric or other measurement quantifying a quality or certainty of an alignment of nucleotide reads (or other nucleotide sequences or subsequences) with a reference genome. For example, a mapping-quality score includes mapping quality (MAPQ) scores for nucleobase calls at genomic coordinates, where a MAPQ score represents −10 log10 Pr{mapping position is wrong}, rounded to the nearest integer. In the alternative to a mean or median mapping quality, a mapping quality score includes a full distribution of mapping qualities for all nucleotide reads aligning with a reference genome at a genomic coordinate. A higher mapped read (or aligned) percentage is indicative of the accuracy of the sequencing. The mixed samples performed just as well as the control samples. [0452] Example 2 [0453] Standard flow cells for NOVASEQ™ 6000 were overgrafted with bicyclononyne(BCN)-10T-biotin/streptavidin for 2 hours at 60°C. [0454] Solution tagmentation reactions were set up with 0.1 µM of each type of indexed transposome complexes (i.e., biotinylated P5-indexed transposome complexes and biotinylated P7-indexed transposome complexes) and 250 ng of NA12878 DNA in 25 µl with tagmentation buffer. Solution tagmentation reactions were incubated at 41°C for 5 minutes before cooling on ice. The samples were pooled in a working buffer before being loaded onto the BCN-biotin/Streptavidin containing flow cell, and were incubated for 30 minutes at room temperature to allow the tagmented DNA to become bound to the flow cell surface. [0455] The flow cell was then assembled in a flow cell cartridge (plastic frame and gaskets) before being loaded into the NOVASEQ™ 6000. Sequencing was performed using the following protocol: a wash step to remove unbound material, then an SDS step to remove the Tn5 transposase, and then flushes of an exclusion amplification mix to enable formation of fully adapted captured strand and amplification of those strands, followed by standard 2x151 + dual index sequencing. [0456] Fig.34 shows the demultiplexing results for a lane of 6-plex. The graph shows the percentage of reads identified per index. These results show that even with the pooled samples, undesirable tagging between samples was minimal or non- existent. [0457] While not reproduced herein, sequencing performance (e.g., %PF and % basecall) were was also good. [0458] The results in Fig.34 were then used to either a) alter the volumes of transposome complexes that were included in the solution tagmentation reactions or b) alter the pooling volumes after tagmentation using the same solution tagmentation conditions described for Fig.34. The resulting demultiplexing results are shown for a) in Fig.35 and for b) in Fig.36. The results indicate that both methods are a route to reducing index representation bias, with alteration by pooling volume appearing more successful in this particular example. [0459] Example 3 [0460] Solution-based tagmentations were performed as described in Example 2, with either NA12878 standard extraction, or HMW DNA extraction from a human blood sample. After tagmentation for 5 minutes at 41°C, 8-plex pools were diluted in working buffer. Eight samples from the respective extractions were pooled together to generate four pooled (mixed) samples for each extraction. [0461] Pools were loaded into the library tube for running on NOVASEQX™. The protocol on NOVASEQX™ started with a 2 hour 60°C overgraft of BCN-10T- biotin/Streptavidin onto the flow cell, before loading of the pooled samples from the library tubes. The respective pooled samples prepared from the tagmented DNA extracted with the NA12878 standard extraction and were introduced into lanes 1, 3, 5, and 7 of the flow cell. The respective pooled samples prepared from the tagmented DNA extracted with the HMW DNA extraction and were introduced into lanes 2, 4, 6, and 8 of the flow cell. [0462] Fig.37 shows linking metrics for all 64 samples (8-plex per lane x 8 lanes) from the sequencing data obtained. The linking metrics depicted include the Q25 link rate, the phasing block N50, and linked coverage. [0463] Q25 is equivalent to the probability of an incorrect linking of 2 reads 1 in 316 times. The Q25 link rate measures the percentage of reads which are linked together by a linking quality score of Q25 or higher. As shown in Fig.37, this varied by sample extraction type, but were typical for this type of sequencing. [0464] N50 defines assembly quality in terms of contiguity. Given a set of contigs, the N50 is defined as the sequence length of the shortest contig or phase block at 50% of the total assembly length. NG50 is the same as N50, except that it is 50% of the known or estimated genome size that must be of the NG50 length or longer. The phasing block NG50 results were typical for this type of sequencing. [0465] The linked coverage refers to the average number of reads that align to, or cover, a known reference region. These results show that linked coverage was 7-20x per sample per lane, which was typical for this type of sequencing. [0466] Duplicates for this run were 4-5% per sample, insert lengths were about 200 bp, and the normalized coverage at 80-100% GCs was about 1, and at 20- 40% GCs was from 0.8-0.9. These additional results show that primary sequencing metrics were as expected for this type of sequencing. [0467] Additional Notes [0468] It should be appreciated that all combinations of the foregoing concepts and additional concepts discussed in greater detail below (provided such concepts are not mutually inconsistent) are contemplated as being part of the inventive subject matter disclosed herein. In particular, all combinations of claimed subject matter appearing at the end of this disclosure are contemplated as being part of the inventive subject matter disclosed herein. It should also be appreciated that terminology explicitly employed herein that also may appear in any disclosure incorporated by reference should be accorded a meaning most consistent with the particular concepts disclosed herein. [0469] Reference throughout the specification to “one example”, “another example”, “an example”, and so forth, means that a particular element (e.g., feature, structure, and/or characteristic) described in connection with the example is included in at least one example described herein, and may or may not be present in other examples. In addition, it is to be understood that the described elements for any example may be combined in any suitable manner in the various examples unless the context clearly dictates otherwise. [0470] While several examples have been described in detail, it is to be understood that the disclosed examples may be modified. Therefore, the foregoing description is to be considered non-limiting.