Movatterモバイル変換


[0]ホーム

URL:


WO2025114520A1 - Ionizable lipid nanoparticles - Google Patents

Ionizable lipid nanoparticles
Download PDF

Info

Publication number
WO2025114520A1
WO2025114520A1PCT/EP2024/084063EP2024084063WWO2025114520A1WO 2025114520 A1WO2025114520 A1WO 2025114520A1EP 2024084063 WEP2024084063 WEP 2024084063WWO 2025114520 A1WO2025114520 A1WO 2025114520A1
Authority
WO
WIPO (PCT)
Prior art keywords
group
moiety
ionizable
lipid
lnp
Prior art date
Legal status (The legal status is an assumption and is not a legal conclusion. Google has not performed a legal analysis and makes no representation as to the accuracy of the status listed.)
Pending
Application number
PCT/EP2024/084063
Other languages
French (fr)
Inventor
Delphine Compere
Lavaniya KUNALINGAM
Current Assignee (The listed assignees may be inaccurate. Google has not performed a legal analysis and makes no representation or warranty as to the accuracy of the list.)
Coave Therapeutics SA
Original Assignee
Coave Therapeutics SA
Priority date (The priority date is an assumption and is not a legal conclusion. Google has not performed a legal analysis and makes no representation as to the accuracy of the date listed.)
Filing date
Publication date
Application filed by Coave Therapeutics SAfiledCriticalCoave Therapeutics SA
Publication of WO2025114520A1publicationCriticalpatent/WO2025114520A1/en
Pendinglegal-statusCriticalCurrent
Anticipated expirationlegal-statusCritical

Links

Classifications

Definitions

Landscapes

Abstract

The present invention relates to ionizable lipid nanoparticles (LNPs) including at least one lipid molecule comprising a thiourea moiety linked to a functional moiety. The ionizable lipid nanoparticles (LNPs) including at least one lipid molecule comprising a thiourea moiety linked to a functional moiety, disclosed herein, are useful in delivering an agent to a cell or in transfecting a cell, especially for gene therapy or for gene editing.

Description

IONIZABLE LIPID NANOPARTICLES
FIELD OF INVENTION
[0001] The present invention relates to ionizable lipid nanoparticles (LNPs) and more in particular to ionizable lipid nanoparticles comprising an ionizable lipid and a thiourea modified lipid, preferably a thiourea modified phospholipid. The provided ionizable LNPs are useful as a delivery system, particularly for use in gene therapy, cell targeted therapy or gene editing.
BACKGROUND OF INVENTION
[0002] The effective targeted delivery of biologically active substances such as small molecule drugs, proteins, and nucleic acids represents a continuing medical challenge. In particular, the ex vivo or in vivo delivery of nucleic acids to cells or living organisms is made difficult by the relative instability and low cell permeability of such nucleic acids.
[0003] Gene therapy is thus based on the genetic modification of cells to produce a therapeutic effect by the delivery of nucleic acids into patient’s cells. Indeed, sometimes the whole or part of a gene is defective or missing from birth, or a gene can change or mutate during life. Any of these variations can disrupt how proteins are synthetized, which can contribute to health problems or diseases. By gene therapy, a defective gene or genetic sequence that causes a medical problem can be replaced with a healthy version that does not cause said problem; genes (or sequences) can also be added to help the body fight or treat disease; or genes (or sequences) that are causing problems can be knocked down or knocked out. Thereby, gene therapy can be used to treat inherited or acquired diseases.
[0004] Gene editing, is a type of genetic engineering in which DNA is inserted, deleted, modified or replaced in the genome of a living cell or organism. Unlike early genetic engineering techniques that randomly inserts genetic material into a host genome, genome editing targets the insertions to site-specific locations. The basic mechanism involved in genetic manipulations through programmable endonucleases is the recognition of target genomic loci and binding of effector DNA-binding domain (DBD), double-strand breaks (DSBs) in target DNA by the restriction endonucleases (FokI and Cas), and the repair of DSBs through homology-directed recombination (HDR) or non-homologous end joining (NHEJ). There are a few major classes of endonucleases: meganucleases, zinc-finger nucleases (ZFN), transcription activator-like effector nucleases (TALEN), and clustered regularly interspaced short palindromic repeats (CRISPR)/CRISPR associated nucleases (Cas). Among these, CRISPR-Cas systems have emerged as the dominant gene editing tool because they recognize their target sequence via RNA-DNA hybridization, unlike other endonucleases that rely on protein-DNA interactions. Two different classes of gene editing therapeutics are currently being explored, ex vivo gene editing and in vivo gene editing.
[0005] Lipid nanoparticles (LNPs), also referred to as ionizable LNPs, are often biodegradable and biocompatible and present low immunogenicity, in general. Ionizable LNPs are the most clinically advanced nano-delivery system for therapeutic nucleic acids and have gained attention as mRNA delivery platforms for vaccination against COVID- 19. Their lipid components allow efficient incorporation of lipophilic drugs and therapeutic nucleic acids. Usually, ionizable LNPs consists of a few components, plus the payload, which is typically a nucleic acid sequence. The main functional component is the ionizable (cationic) lipid, which usually represents around 50% of the entire structure, facilitates entrapment of the nucleic acid during formation, helps to maintain a neutral charge while in circulation, and improves intracellular delivery into the cells. Ionizable LNPs are a specific type of nanoparticle, which is clearly different from liposomes in terms of both composition and morphology. In that regard, ionizable lipids (ILs) ensure efficient intracellular delivery and promote cytoplasmic release of the nucleic acid entrapped. The presence of secondary or tertiary amine heads in the hydrophilic head group of ionizable lipids renders those lipids positively charged under acidic conditions while remaining neutral at physiological pH 7.4 and, as a consequence ionizable LNPs are considerably less toxic and less immunogenic, surpassing other nanoparticles in these aspects. The size and surface properties of these nanoparticles can be easily tuned by using lipids with different physicochemical characteristics, such as their molecular weight, unsaturation degree, charge, and lipophilicity. Another attractive feature is the possibility of modifying the surface of the lipid nanoparticles with targeting moieties to achieve selective, cell-specific targeting (Xu et al., ACS Nano 2022, 16, 7168-7196).
[0006] In that connection, specific cell targeting is achieved by the attachment of a ligand to the surface of the lipid nanoparticle. This ligand molecule may for example, recognize another molecule, such as a receptor, present in the targeted cells in a selective or specific manner, or for example facilitate the entry of the nanoparticle into the target cell by other means, such as endocytosis or via perturbation of the cell lipidic bilayer. However, each ligand has its pros and cons and a particular ligand should be selected according to the targeted cell type, the lipid nanoparticle, and the range of molecules available (Xu et al., ACS Nano 2022, 16, 7168-7196).
[0007] However, there is still a need to develop ionizable lipid nanoparticles in which the grafting of ligands onto lipid nanoparticles may: (i) maintain the integrity and functionality of the ligand as well as of the nanoparticle once said ligand is conjugated to said nanoparticle ; (ii) expose the ligand at the surface of the particle; (iii) stabilize the ligand in the blood and/or biological medium; and (iv) preserve the affinity of the ligand for its target. In addition, the grafting technique should have the following characteristics: (i) stereospecificity to control the localization of the conjugation on the ligand to ensure that the ligand is oriented outward; (ii) simplicity and reproducibility; (iii) easy scale-up and characterization; and (iv) a high yield to limit costs (Xu et al., ACS Nano 2022, 16, 7168-7196).
[0008] Accordingly, there is still a need for developing ionizable lipid nanoparticles which solve some of the issues described above herein.
SUMMARY
[0009] The present invention relates to an ionizable lipid nanoparticle (LNP) comprising a lipidic layer including a thiourea modified lipid, preferably a thiourea modified phospholipid, wherein said lipid comprises a functional moiety RL-NH-including a nitrogen containing group -NH- and a group RL, the group RL comprising a steric shielding agent, a labelling agent, a cell-type targeting ligand or a receptor targeting ligand, a drug moiety or a combination thereof; and wherein said group RL is conjugated to the LNP via a thiourea moiety. In particular, the thiourea modified lipid, preferably phospholipid, is covalently linked via a thiourea moiety to the group RL comprising a steric shielding agent, a labelling agent, a cell-type targeting ligand or a receptor targeting ligand, a drug moiety or a combination thereof.
[0010] In some embodiments, the thiourea moiety of the thiourea modified lipid disclosed herein is represented by a formula (TH):
Figure imgf000005_0001
wherein N is a nitrogen atom from the functional moiety RL-NH- as defined in the present invention, and wherein N* is a nitrogen atom of a thiourea modified lipid (preferably a thiourea modified phospholipid).
[0011] In some aspects, the ionizable LNP comprises a compound of formula (I):
Figure imgf000005_0002
wherein
Pl is a lipid moiety, and in particular a phospholipid moiety;
E-*NH- is an extender moiety comprising an extender group E and a group -*NH-; and RL-NH- is a functional moiety including a nitrogen containing group -NH- and a group RL, and wherein said functional moiety RL-NH- comprises a steric shielding agent, a labelling agent, a cell-type targeting ligand or a receptor targeting ligand, a drug moiety or a combination thereof.
[0012] According to the present disclosure an ionizable LNP comprises 1% or more of an ionizable lipid relative to the total weight of the LNP (w/w). In some embodiments the ionizable LNP comprises at least 5%, preferably at least 15%, more preferably at least 25%, even more preferably at least 35%, even yet more preferably at least 45% of an ionizable lipid relative to the total weight of the LNP (w/w). In some aspects, in addition to the compound of formula (I), the LNP further comprises a nucleic acid, an ionizable cationic lipid, a non-cationic lipid, a sterol and a PEGylated lipid.
[0013] In some embodiments of any of the above aspects and embodiments, the ionizable LNP has a total lipid to nucleic acid ratio of about 2,5: 1 to about 40: 1 , preferably 5: 1 to 10: 1.
[0014] In some embodiments, the ionizable LNP has a diameter ranging from about 40 nm to about 200 nm. In some embodiments, the ionizable LNP has a diameter of less than about 120 nm. In some embodiments, the ionizable LNP has a diameter of about 70 nm to about 100 nm.
[0015] In some aspects, the extender group E of the extender moiety E-*NH- comprises one or more groups selected from the group consisting of a polyethylene glycol (PEG) and a polypropylene glycol (PPG).
[0016] In some aspects, the extender group E of the extender moiety E-*NH- comprises a PEG covalently linked to the phospholipid moiety Pl by a urethane or a bioisostere moiety thereof, and the compound of formula (I) is represented by formula (la):
Figure imgf000006_0001
wherein p is 1 to 200, preferably 20 to 80; and Pl and RL-NH are as defined and described in classes and subclasses disclosed in the present invention.
[0017] In some aspects, the content of the compound of formula (I) is between 0.01% to 2% of the total weight of the ionizable LNP, preferably 0.1% to 1%, more preferably about 0.5% of the total weight of the ionizable LNP.
[0018] The functional moiety RL-NH- includes a group -NH- which forms part of the thiourea moiety of formula (TH) as defined in the present invention, and a functional group RL comprising a steric shielding agent, a labelling agent, a cell-type targeting ligand or a receptor targeting ligand, a drug moiety and combinations thereof. Accordingly, in some aspects, RL-NH- is a functional moiety comprising or consisting of a group selected from a steric shielding agent, a labelling agent, a cell -type targeting ligand or a receptor targeting ligand, a drug moiety and combinations thereof.
[0019] In some aspects, RL-NH- comprises a labeling agent. In some aspects, the labeling agent is a fluorescent dye such as fluorescein, rhodamine, boron-dipyrromethene (Bodipy®) dyes, and Alexa fluor®, or a quantum dot or a radionuclide.
[0020] In some aspects, RL-NH- comprises a cell -type targeting ligand or a receptor targeting ligand selected from the group consisting of saccharides, hormones, peptides, glycosylated peptides, glycoproteins, proteins or functionally active fragments thereof, membrane receptors or functionally active fragments thereof, antibodies or functionally active fragments thereof, spiegelmers, nucleic acid or peptide aptamers, vitamins, drug moieties and combinations thereof.
[0021] In some aspects, RL-NH- comprises a steric shielding agent selected from the group consisting of polyethylene glycol, pHPMA, and polysaccharides.
[0022] In some aspects, the functional moiety RL-NH- comprises one or more groups Z and one or more spacers L; wherein Z is H, a steric shielding agent, a labelling agent, a drug moiety, or a cell-type specific ligand or receptor targeting ligand selected from the group consisting of saccharides, hormones, peptides, glycosylated peptides, proteins, glycoproteins, or functionally active fragments thereof, membrane receptors or functionally active fragments thereof, antibodies or functionally active fragments thereof, spiegelmers, nucleic acid or peptide aptamers, vitamins, drug moieties and combinations thereof, and L comprises one or more groups selected from the group consisting of an aryl or a heteroaryl groups, an optionally substituted group comprising saturated or unsaturated, linear or branched C1-C40 hydrocarbon chains, a polyethylene glycol (PEG), a polypropylene glycol (PPG), a polyether of a branched C3-10 polyol, alkylamide groups, pHPMA, PLGA, polymers of alkylene diamines, and combinations thereof.
[0023] In some aspects, Z is H, a labelling agent, or comprises a cell-type targeting ligand or a receptor targeting ligand selected from the group consisting of saccharides, hormones, peptides, glycosylated peptides, proteins, glycoproteins, or functionally active fragments thereof, membrane receptors or functionally active fragments thereof, antibodies or functionally active fragments thereof, spiegelmers, nucleic acid or peptide aptamers, vitamins, drug moieties and combinations thereof.
[0024] In some aspects, the functional moiety RL-NH- does not comprise one or more spacers L and the functional moiety RL-NH- consists of a functional moiety comprising or consisting of a group selected from a steric shielding agent, a labelling agent, a celltype targeting ligand or a receptor targeting ligand, a drug moiety and combinations thereof; or RL-NH- consists of a group Z-NH-.
[0025] In some aspects, Z is or comprises a saccharide selected from the group consisting of monosaccharides, oligosaccharides, polysaccharides and derivatives thereof.
[0026] In some aspects, the saccharide is selected from the group consisting of mannose, galactose, N-acetylglucosamine, N-acetylgalactosamine, fucose, fructose, glucose, xylose, trehalose, desosamine, glucuronic acid, S6-galactose, S6-N-acetylgalactosamine, P6-mannose, P6-glucose, sialic acid, SI -fructose and Pl -fructose. In some preferred aspects, the saccharide is selected from the group consisting of mannose, fructose, glucose, N-acetylglucosamine, N-acetylgalactosamine, trehalose, glucuronic acid, S6- galactose, S6-N-acetylgalactosamine, P6-mannose, P6-glucose, sialic acid and Pl- fructose, more preferably selected from the group consisting of mannose, N- acetylglucosamine, glucuronic acid, desosamine and fucose.
[0027] In some aspects, the spacer group L comprises one or more groups selected from the group consisting of an arylene or a heteroarylene group Ar, preferably an aryl group selected from the group consisting of phenylene, naphthylene or anthracenylene, and more preferably phenylene; an optionally substituted group comprising saturated or unsaturated, linear or branched C1-C40 hydrocarbon chains, an alkylene amine, an acyl group, alkylamide groups, a polyethylene glycol (PEG), a polypropylene glycol (PPG), pHPMA, PLGA, polymers of alkylene diamines, and combinations thereof. [0028] In some aspects, L comprises a polyethylene glycol (PEG), comprising 1 to 40 ethylene glycol monomers. In some aspects, the polyethylene glycol (PEG) is PEG3, PEG4, or PEG5.
[0029] In some aspects, L comprises one arylene or a heteroarylene groups Ar, preferably an aryl group selected from the group consisting of phenylene, naphthylene or anthracenylene, and more preferably phenylene.
[0030] In some aspects, the arylene or a heteroarylene group Ar is a bivalent aromatic radical (or bivalent aromatic moiety), i.e. which is linked to two different groups of the compound of formula (I) of the present invention (i.e. forming a bridge between two parts of the compound of formula (I)), and which may additionally comprise one or more optional substitutions. Preferably, said arylene or a heteroarylene group Ar is selected from the group consisting of phenylene, naphthylene or anthracenylene, and more preferably phenylene.
[0031] In some aspects, Z is a saccharide and L comprises a polyethylene glycol (PEG), comprising 1 to 40 ethylene glycol monomers. In other aspects, Z is a saccharide and L comprises a polyethylene glycol (PEG) comprising 1 to 40 ethylene glycol monomers and an arylene or a heteroarylene group Ar, preferably wherein said PEG and Ar groups are covalently linked by an amide moiety or a bioisostere moiety thereof, or by a thiourea moiety or a bioisostere moiety thereof. In other aspects, Z is a saccharide and L comprises a polyethylene glycol (PEG) comprising 1 to 40 ethylene glycol monomers, one or more Ci-6 alkyl groups and an arylene or a heteroarylene group Ar, preferably wherein said PEG and Ar groups are covalently linked by an amide moiety or a bioisostere moiety thereof or by a thiourea moiety or a bioisostere moiety thereof, or wherein said PEG and Ci-6 alkyl group are covalently linked by an amide moiety or a bioisostere moiety thereof, or by a thiourea moiety or a bioisostere moiety thereof.
[0032] In some aspects, L comprises a polyethylene glycol (PEG) comprising 1 to 40 ethylene glycol monomers and an arylene or a heteroarylene group Ar, as defined in the present invention, wherein said PEG and Ar groups are covalently linked by an amide moiety -N(H)C(O)-, or a bioisostere moiety thereof; or by a thiourea moiety -NHC(S)NH- or a bioisostere moiety thereof; or L comprises a polyethylene glycol (PEG) comprising
1 to 40 ethylene glycol monomers, one or more Ci-6 alkyl groups and an arylene or a heteroarylene group Ar, as defined in the present invention, wherein said PEG and Ci-6 alkyl group, or wherein said PEG and Ar group, are covalently linked by an amide moiety -N(H)C(O)-, or a bioisostere moiety thereof; or by a thiourea moiety -NHC(S)NH- or a bioisostere moiety thereof.
[0033] In some aspects, the compound of formula (I) is represented by formula (la), (lb),
(Ic) or (Id):
Figure imgf000010_0001
wherein p is 1 to 200, preferably 20 to 80; mi and m2 are each independently 0 or 1;
Ar is an arylene group, preferably selected from the group consisting of phenylene, naphthylene or anthracenylene, and more preferably phenylene ;
L’ comprises one or more groups selected from the group consisting of an optionally substituted group comprising saturated or unsaturated, linear or branched, C1-C40 hydrocarbon chains, a polyether of a branched C3-10 polyol, alkylamide groups, a polyethylene glycol (PEG) or a polypropylene glycol (PPG), pHPMA, PLGA, polymers of alkylene diamines, and combinations thereof ; and Pl, RL and Z are as defined and described in classes and subclasses disclosed in the present invention.
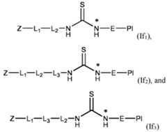
[0034] In some aspects, the one or more spacer L is selected from the group consisting of Li, L2 and L3 and said compound of formula (I) is selected from the group consisting of formula (Ifi), (Ifz) and (Ifs):
Figure imgf000011_0001
wherein E, Pl, and Z are as defined and described in classes and subclasses disclosed in the present invention; wherein
Li is a polyethylene glycol (PEG), comprising 1 to 40 ethylene glycol monomers;
L2 is an arylene group Ar, preferably selected from the group consisting of phenylene, naphthylene or anthracenylene, and more preferably phenylene; and
L3 is a group C1-6 alkylene; and wherein
Li and L2 are covalently linked by an amide moiety or a bioisostere moiety thereof or by a thiourea moiety or a bioisostere moiety thereof;
L3 is covalently linked to L2 by one carbon atom of the arylene group; and when L3 is linked to a group Li, Li and L3 are covalently linked by a thiourea moiety or a bioisostere moiety thereof. [0035] In some aspects, the polyethylene glycol (PEG) is PEG3, PEG4, or PEG5. In some aspects, L2 is a phenylene group . In some aspects, L3 is a -CH2-.
[0036] In some aspects, Li and L2 are covalently linked by an amide moiety -N(H)C(O)-, or a bioisostere moiety thereof, or by a thiourea moiety -NHC(S)NH- or a bioisostere moiety thereof.
[0037] In some aspects, Li is a polyethylene glycol (PEG), comprising 1 to 40 ethylene glycol monomers; L2 is an arylene group; L3 is a C1-6 alkylene group, L3 is covalently linked to L2 by one carbon atom of the arylene group; and Li and L2 are covalently linked by an amide moiety, or a bioisostere moiety thereof; or by a thiourea moiety or a bioisostere moiety thereof.
[0038] In some aspects, Li is a polyethylene glycol (PEG), comprising 1 to 40 ethylene glycol monomers; L2 is an arylene group; and Li and L2 are covalently linked by an amide moiety, or a bioisostere moiety thereof; or by a thiourea moiety or a bioisostere moiety thereof.
[0039] In some aspects, Li is a polyethylene glycol (PEG), comprising 1 to 40 ethylene glycol monomers; L2 is an arylene group; L3 is a C1-6 alkylene group, L3 is covalently linked to L2 by one carbon atom of the arylene group; and Li and L3 are covalently linked by a thiourea moiety or a bioisostere moiety thereof.
[0040] In other aspects, the present invention refers to a pharmaceutical composition comprising an ionizable lipid LNP as defined and described in classes and subclasses disclosed in the present invention, and at least one pharmaceutically acceptable vehicle.
[0041] Another aspect of the invention refers to an ionizable LNP as defined and described in classes and subclasses disclosed in the present invention, or to a pharmaceutical composition comprising the same, for use as a medicament and, in particular, for use in gene therapy or gene editing.
[0042] Another aspect of the invention refers to a non-therapeutic method for delivering an agent (e.g. a nucleic acid or a protein) to a target cell comprising: contacting the target cell with an ionizable LNP as defined and described in classes and subclasses disclosed in the present invention, wherein the ionizable LNP comprises the agent (e.g. the nucleic acid or the protein) to be delivered and a group RL conjugated to the ionizable LNP via a thiourea moiety of formula (TH):
Figure imgf000013_0001
wherein N is a nitrogen atom from the functional moiety RL-NH-, and wherein N* is a nitrogen atom of a thiourea modified lipid, preferably a thiourea modified phospholipid, comprising the group RL a cell-type specific ligand of the target cell.
[0043] Another aspect of the invention refers to an ionizable LNP as defined and described in classes and subclasses disclosed in the present invention, for use in a method for delivering an agent (e.g. a nucleic acid or a protein) to a target cell;
[0044] wherein the ionizable LNP comprises the agent (e.g. the nucleic acid or the protein) to be delivered and a group RL conjugated to the ionizable LNP via a thiourea moiety of formula (TH):
Figure imgf000013_0002
wherein N is a nitrogen atom from the functional moiety RL-NH-, and wherein N* is a nitrogen atom of a thiourea modified lipid, preferably a thiourea modified phospholipid, comprising the group RL a cell-type specific ligand of the target cell; and wherein said method comprises contacting the target cell with the ionizable LNP.
[0045] In some aspects, the agent is selected from the group consisting of a nucleic acid, a chemotherapeutic agent, a small molecule drug, a protein and a peptide, or a combination thereof.
[0046] In some aspects, the method for delivering an agent (e.g. a nucleic acid or a protein) comprises contacting the target cell with an ionizable LNP, wherein the ionizable LNP comprises the agent (e.g. the nucleic acid or the protein) to be delivered and a group RL, conjugated to the LNP via a thiourea moiety of formula (TH):
Figure imgf000014_0001
wherein N is a nitrogen atom from the functional moiety RL-NH-, and wherein N* is a nitrogen atom of a thiourea modified lipid, preferably a phospholipid, of formula (I) comprising the group RL a cell-type targeting ligand or a receptor targeting ligand of the target cell:
Figure imgf000014_0002
wherein
Pl is a lipid, preferably a phospholipid moiety;
E-*NH- is an extender moiety comprising an extender group E and a group -*NH-; and RL-NH- is a functional moiety including a nitrogen containing group -NH- and a group RL, and wherein the functional moiety RL-NH- of the compound of formula (I) comprises a cell-type targeting ligand or a receptor targeting ligand of the target cell.
[0047] Another aspect of the invention refers to a method for manufacturing an ionizable LNP as defined and described in classes and subclasses disclosed in the present invention, wherein said method comprises: reacting a surface exposed primary amine moiety of an ionizable LNP comprising a primary amine modified lipid, preferably a primary amine modified phospholipid, with a compound of formula (II), or a pharmaceutically acceptable salt thereof, at a pH between 7 and 9, preferably between 7.5 and 8.5:
RL— NCS(II) so that the group RL is conjugated to the ionizable LNP via a thiourea moiety of formula (TH) as disclosed herein; wherein RL is as defined and described in classes and subclasses disclosed in the present invention.
[0048] Yet another aspect of the present invention refers to a method for manufacturing an ionizable LNP as defined and described in classes and subclasses disclosed in the present invention, wherein said method comprises: putting into contact an ionizable cationic lipid, a non-cationic lipid, a sterol, a PEGylated lipid and a compound of formula (III), or a pharmaceutically acceptable salt thereof,
H2N-E-PI(III) with an agent (such as a nucleic acid), as defined and described in classes and subclasses disclosed in the present invention, to form an ionizable lipid nanoparticle; conjugating the compound of formula (III) of the formed ionizable lipid nanoparticle with a compound of formula (II), at a pH between 7 and 9, preferably between 7.5 and 8.5:
RL— NCS(II) wherein
Pl, E and RL are as defined and described in classes and subclasses disclosed in the present invention.
[0049] Accordingly, the compounds of formula (II) and (III), or their pharmaceutically acceptable salts thereof, are useful to obtain the compounds of formula (I), as defined and described in classes and subclasses in the present invention.
[0050] In some aspects the extender group E of the extender moiety E-*NH- comprises a PEG covalently linked to the phospholipid moiety Pl by a urethane group or a bioisostere moiety thereof and the compound of formula (III) is represented by a formula (Illa):
Figure imgf000015_0001
wherein Pl and p are as defined and described in classes and subclasses disclosed in the present invention.
[0051] In some aspects, the functional moiety RL comprises a group Z, one or more spacers L, and the compound of formula (Ilf), or a pharmaceutically acceptable salt thereof, is represented by formula (Ilf):
Z— L— NCS(iif) wherein Z and L are as defined and described in classes and subclasses in the present invention.
[0052] In some aspects, the compound of formula (Ilf), or a pharmaceutically acceptable salt thereof, comprises one or more than one spacer L is selected from the group consisting of Li, L2 and L3 and, is selected from the group consisting of formula (Illfi), (IIIf2), (Illfs):
Figure imgf000016_0001
wherein Z, Li, L2 and L3 are as defined and described in classes and subclasses in the present invention.
[0053] In other aspects, the compound of formula (lib) is a compound selected from the group consisting of formula (lib) (lie) (lid):
Figure imgf000016_0002
or a pharmaceutically acceptable salt thereof, wherein mi, m2, L’, Z and Ar, are as defined and described in classes and subclasses disclosed in the present invention.
[0054] Yet another aspect of the present invention refers to a method for manufacturing an ionizable LNP as defined and described in classes and subclasses disclosed in the present invention, wherein said method comprises putting in contact a compound of formula (I), an ionizable cationic lipid, a non-cationic lipid, a sterol and a PEGylated lipid, with an agent (such as a nucleic acid), as defined and described in classes and subclasses disclosed in the present invention.
DETAILED DESCRIPTION OF CERTAIN EMBODIMENTS
[0055] Ionizable lipid nanoparticles (LNP) are one of the methods currently under development for the intracellular delivery of different (therapeutic or diagnostic) agents, such as mRNA, DNA or proteins, among others, typically mRNA. Ionizable LNPs comprise a lipid bilayer encapsulating said (therapeutic or diagnostic) agent and their formulations comprise an ionizable cationic lipid bearing tertiary amines which become protonated under acidic conditions, for example at pH of 6.5 or lower, and encapsulate the polyanionic mRNA. In addition, ionizable LNPs may also comprise zwitterionic lipids that resemble the lipids in the cell membrane; cholesterol to stabilize the lipid bilayer of the ionizable LNP; and a polyethylene glycol (PEG)-lipid to lend the nanoparticle a hydrating layer, improve colloidal stability, and reduce protein absorption (Kowalski Piotr, et al., Molecular Therapy, vol 27, No 4, 2019; https://doi.Org/10.1016/j.ymthe.2019.02.012).
[0056] Various coupling chemistries that conjugate various ligands to lipid nanoparticles have been described. However, not all such coupling chemistries are compatible with and/or effective under particular conditions and/or with particular substrates.
[0057] The present disclosure relates to ionizable lipid nanoparticles comprising a compound of formula (I), as previously defined, which couples different types of ligands using a thiourea moiety of formula (TH) as disclosed herein. The present disclosure appreciates that not all ligands have the same characteristics and therefore not all coupling chemistries are effective for conjugation into an ionizable lipid nanoparticle.
[0058] The present disclosure therefore recognizes a particular remaining need to provide suitable coupling chemistries that (i) maintain the integrity and functionality of the ligand as well as of the nanoparticle once the once said ligand is conjugated to said nanoparticle; (ii) expose the ligand at the surface of the particle; (iii) stabilize the ligand in the blood and/or biological medium; and (iv) preserve the affinity of the ligand for its target.
[0059] In particular, the present disclosure recognizes the need that the grafting of a ligand to the ionizable LNP should have the following characteristics: (i) stereospecificity to control the localization of the conjugation on the ligand to ensure that the ligand is oriented outward; (ii) simplicity and reproducibility; (iii) easy scale-up and characterization; and (iv) a high yield to limit costs.
[0060] The isothiocyanate moiety allows the preparation of thiourea modified lipids comprising a functional moiety or ligand with coupling reactions featuring high reaction kinetics at ambient conditions and at pH close to neutral values, and good water solubility, providing a flexible scaffold for developing ionizable lipid nanoparticles with a wide range of functional moieties or ligands when compared to other solutions (linkers) known in the prior art (Lu Lantian et. al., Vaccines (2021), vol.9(6), 563; https://doi.org/10.3390/vaccines9060563).
General Description and Definitions
[0061 ] The term “alkyl” refers to a monovalent or divalent, linear or branched, saturated hydrocarbon chain, comprising 1-8 carbon atoms (also named (Cl-C8)alkyl), such as methyl, ethyl, propyl, isopropyl, n-butyl, iso-butyl, sec-butyl, tert-butyl, tert-butyl- methyl, n-pentyl, n hexyl, n-heptyl, or n-octyl group. The term “alkylene group” corresponds to the bivalent group obtained by removal of a hydrogen atom from an alkyl group, as defined above herein, resulting in a moiety with two points of attachment. [0062] The term “acyl” refers to a -C(0)R group, where R is an alkyl group as defined earlier or a phenyl group. An acyl group includes for example acetyl, ethyl carbonyl, or benzoyl group.
[0063] The term “alkoxy” or “alkyloxy” refers to a -O-Alk group wherein Aik is an alkyl group as defined above. An alkoxy group includes for example methoxy, ethoxy, n- propyloxy, or tert-butyloxy group.
[0064] By “aryl group” it is herein referred to an aromatic monocyclic (i.e. phenyl) or bicyclic system (i.e. phenyl) comprising 4-12 carbon atoms, preferably 6 to 10, it being understood that in the case of a bicyclic system, one of the cycles is aromatic and the other cycle is aromatic or unsaturated. Aryl groups include for example phenyl, naphthyl, indenyl, or benzocyclobutenyl groups, optionally substituted by one or more groups optionally comprising one or more substitutions selected from the group consisting of halogen, Ci-6 alkyl, Ci-6 haloalkyl, Ci-6 acyl and Ci-6 alkoxy. A preferred aryl group used herein is phenyl. The term “arylene group” corresponds to the bivalent group obtained by removal of a hydrogen atom from an aryl group, as defined above herein, resulting in a moiety with two points of attachment. Preferred arylene groups used herein are phenylene, naphthylene and anthracenylene, more preferably phenylene optionally substituted by one or more groups optionally comprising one or more substitutions selected from the group consisting of halogen, Ci-6 alkyl, Ci-6 haloalkyl, Ci-6 acyl and Ci- 6 alkoxy.
[0065] By “heteroaryl group” it is herein referred to a 5 to 12 carbon-atom aromatic ring or ring system containing 1 to 2 rings which are fused together or linked covalently, typically containing 5 to 6 atoms on each ring; at least one of which is aromatic and in which one or more carbon atoms in one or more of these rings is replaced by oxygen, nitrogen, sulfur or selenium atoms, where the nitrogen and sulfur heteroatoms may optionally be oxidized and the nitrogen heteroatoms may optionally be quatemized. Such rings may be fused to an aryl ring. Non-limiting examples of such heteroaryl groups include: triazolyl, pyrrolyl, furanyl, thiophenyl, pyrazolyl, imidazolyl, oxazolyl, isoxazolyl, thiazolyl, isothiazolyl, oxadiazolyl, thiadiazolyl, tetrazolyl, oxatriazolyl, thiatriazolyl, pyridinyl, pyrimidyl, pyrazinyl, pyridazinyl, oxazinyl, dioxinyl, thiazinyl, triazinyl, imidazo[2,l-b][l,3]thiazolyl, thieno[3,2-b]furanyl, thieno[3,2-b]thiophenyl, thieno[2,3-d][l,3]thiazolyl, thieno[2,3-d]imidazolyl, tetrazolo[l,5-a]pyridinyl, indolyl, indolizinyl, isoindolyl, benzofuranyl, isobenzofuranyl, benzothiophenyl, isobenzothiophenyl, indazolyl, benzimidazolyl, 1,3-benzoxazolyl, 1,2-benzisoxazolyl, 2,1-benzisoxazolyl, 1,3-benzothiazolyl, 1,2-benzoisothiazolyl, 2,1 -benzoisothiazolyl, benzotriazolyl, 1,2,3-benzoxadiazolyl, 2,1,3-benzoxadiazolyl, 1,2,3-benzothiadiazolyl, 2,1,3-benzothiadiazolyl, thienopyridinyl, purinyl, imidazo[l,2-a]pyridinyl, 6-oxo-pyridazin-l(6H)-yl, 2-oxopyridin-l (2H)-yl, 6-oxo-pyrudazin-l(6H)-yl, 2-oxopyridin-l(2H)-yl, 1,3-benzodioxolyl, quinolinyl, isoquinolinyl, cinnolinyl, quinazolinyl, quinoxalinyl, optionally substituted by one or more groups selected from the group consisting of halogen, Ci-6 alkyl, Ci-6 haloalkyl, Ci-6 acyl and Ci-6 alkoxy. A preferred heteroaryl group used herein is pyridyl. The term “heteroarylene group” corresponds to the bivalent group obtained by removal of a hydrogen atom from a heteroaryl group, as defined above herein, resulting in a moiety with two points of attachment. A preferred heteroarylene group used herein is pyridylene optionally substituted by one or more groups selected from the group consisting of halogen, Ci-6 alkyl, Ci-6 haloalkyl, Ci-6 acyl and Ci-6 alkoxy.
[0066] The term “heteroatom” means one or more of oxygen, sulfur, nitrogen, phosphorus, selenium, or silicon (including, any oxidized form of nitrogen, sulfur, phosphorus, selenium, or silicon; the quatemized form of any basic nitrogen or; a substitutable nitrogen of a heterocyclic ring, for example N (as in 3,4-dihydro-2H- pyrrolyl), NH (as in pyrrolidinyl) or NR+ (as in N-substituted pyrrolidinyl)).
[0067] The term “unsaturated”, as used herein, means that a moiety has one or more units of unsaturation.
[0068] The term “halogen” means F, Cl, Br, or I.
[0069] The term “arylalkyl” refers to a -Alk-Ar group, wherein Aik represents an alkyl group as defined earlier, and Ar represents an aryl group as defined earlier.
[0070] The term “heteroalkyl” refers to a linear or branched saturated hydrocarbon chain, comprising 1 to 5 carbon atoms and at least 1 or 2 heteroatoms, such as sulfur, nitrogen or oxygen atoms, in particular groups alkoxy, alkylamines, dialkylamines, thioethers, among others. Heteroalkyl groups, for example include -O(CH2)nOCH3, - (CH2)nOCH3, -N(CH2)n-N(CH2CH3)2, -N(CH2CH3)2, or -(CH2)n-S-(CH2)n-CH3, where n is selected from 1 to 4, among others.
[0071] The term “cycloalkyl” refers to a saturated monocyclic or polycyclic system, such as a fused or bridged bicyclic system, comprising 3-12 carbon atoms, such as the cyclopropyl, cyclobutyl, cyclopentyl, cyclohexyl, cycloheptyl, cyclooctyl, adamantly, decalinyl, or norbomyl groups.
[0072] The term “haloalkyl” means a linear or branched saturated hydrocarbon chain, comprising 1-6 carbon atoms and substituted with one or more, and notably 1-6 halogen atoms, such as the trifluoromethyl or 2,2,2-trifluoroethyl groups.
[0073] The term “O-Ra” refers to group in which the R group may be an alkyl, an aryl, a haloalkyl or an arylalkyl group, as defined earlier, is connected to the remainder of the molecule through an oxygen atom. O-cycloalkyl includes for example the O-cyclopentyl or O-cyclohexyl group.
[0074] As described herein, compounds may contain “optionally substituted” moieties. In general, the term “substituted”, whether preceded by the term “optionally” or not, means that one or more hydrogens of the designated moiety of compounds are replaced with a suitable substituent. “Substituted” applies to one or more hydrogens that are either explicit or implicit from the structure (e.g.,
Figure imgf000021_0001
and
Figure imgf000021_0002
otherwise indicated, an “optionally substituted” group may have a suitable substituent at each substitutable position of the group, and when more than one position in any given structure may be substituted with more than one substituent selected from a specified group, the substituent may be either the same or different at every position. Combinations of substituents envisioned by this disclosure are preferably those that result in the formation of stable or chemically feasible compounds. The term “stable”, as used herein, refers to compounds that are not substantially altered when subjected to conditions to allow for their production, detection, and, in certain embodiments, their recovery, purification, and use for one or more of the purposes disclosed herein.
[0075] Suitable substituents on a substitutable carbon atom of an “optionally substituted” group are independently halogen; alkyl, acyl, aryl, heteroaryl, arylalkyl, heteroalkyl, cycloalkyl, alkoxy, haloalkyl, haloalkoxy, or a group O-Ra, wherein Ra and each of the substituents are as defined above herein, among others.
[0076] When the terms “compounds of formula (I)”, “compounds of formula (II)” and “compounds of formula (III)” are used, said terms also include the possible pharmaceutically acceptable salts that said moieties and compounds may form. As used herein, the term “pharmaceutically acceptable salt” includes conventional salts formed from pharmaceutically acceptable inorganic or organic acids or bases as well as quaternary ammonium salts. More specific examples of suitable acid salts include hydrochloric, hydrobromic, sulfuric, phosphoric, nitric, perchloric, fumaric, acetic, propionic, succinic, glycolic, formic, lactic, maleic, tartaric, citric, palmoic, malonic, hydroxymaleic, phenylacetic, glutamic, benzoic, salicylic, fumaric, toluenesulfonic, methanesulfonic, naphthalene-2-sulfonic, benzenesulfonic hydroxynaphthoic, hydroiodic, malic, steroic, tannic etc. More specific examples of suitable basic salts include sodium, lithium, potassium, magnesium, aluminium, calcium, zinc, N,N'- dibenzylethylenediamine, chloroprocaine, choline, diethanolamine, ethylenediamine, N- methylglucamine and procaine salts. For example, preferred salt forms include sodium salts of the compounds of formula (III) disclosed within the scope of the present description.
[0077] Pharmaceutically acceptable salts are well known in the art. For example, S. M. Berge et al., describe pharmaceutically acceptable salts in detail in J. Pharmaceutical Sciences, 1977, 66, 1-19, incorporated herein by reference.
[0078] Many organic compounds can form complexes with solvents in which they are reacted or from which they are precipitated or crystallized. These complexes are known as "solvates". For example, a complex with water is known as a "hydrate". Solvates of the compounds of formula (III) are within the scope of the present invention.
[0079] The term “isomer” refers to compounds of the invention which have identical molecular formulae as identified herein but which differ by nature or in the binding sequence of their atoms or in the layout of their atoms in space. Isomers which differ in the layout of their atoms in space are designated by “stereoisomers”. Stereosiomers which are not mirror images of each other, are designated as “diastereoisomers”, and stereoisomers which are non-superposable mirror images of each other are designated as “enantiomers” or “optical isomers”. “Stereoisomers” refer to racemates, enantiomers and diastereoisomers. A pair of diastereoisomers is designated as epimers. Unless otherwise stated, structures depicted herein are also meant to include all isomeric (e.g., enantiomeric, diastereomeric, and geometric (or conformational)) forms of the structure; for example, the R and S configurations for each asymmetric center, Z and E double bond isomers, and Z and E conformational isomers. Therefore, single stereochemical isomers as well as enantiomeric, diastereomeric, and geometric (or conformational) mixtures of the present compounds are within the scope of the present disclosure. Unless otherwise stated, all tautomeric forms are within the scope of the disclosure.
[0080] The term “anomer” refers cyclic monosaccharides which are epimers and differ in the configuration of their C-l carbon atom if said monosaccharide is an aldose, and in the configuration of their C-2 carbon atom if they are ketoses, wherein said C-l or C-2 carbon atom is respectively named “anomeric carbon”.
[0081] The term “bioisostere”, when referred to a specific group or moiety, and in particular to the groups amide, urethane and ester, included in the embodiments and aspects defined in the present invention, refers to other possible groups or moieties which are comparable in electronic and steric arrangement to said specific group, meaning that the bioisostere groups share some common biological properties in addition to their physicochemical analogy.
[0082] Additionally, unless otherwise stated, the present disclosure also includes compounds that differ only in the presence of one or more isotopically enriched atoms. For example, compounds having the present structures including the replacement of hydrogen by deuterium or tritium, or the replacement of a carbon by a13C- or14C-enriched carbon are within the scope of this disclosure. Such compounds are useful, for example, as analytical tools, as probes in biological assays, or as therapeutic agents in accordance with the present disclosure. In some embodiments, compounds of this disclosure comprise one or more deuterium atoms.
[0083] Combinations of substituents and variables envisioned by this disclosure are only those that result in the formation of stable compounds. The term “stable”, as used herein, refers to compounds which possess stability sufficient to allow manufacture and which maintains the integrity of the compound for a sufficient period of time to be useful for the purposes detailed herein (e.g., therapeutic or prophylactic administration to a subject).
Agents
[0084] As used herein, the term "agent" (also referred to as "actives" or "active agents) refers to any compound or molecule that, when administered to a subject, has a therapeutic, diagnostic, and/or prophylactic effect and/or elicits a desired biological and/or pharmacological effect. Such agents include, but are not limited to, diagnostic agents, nucleic acids, chemotherapeutic agents, small molecule drugs, proteins and peptides, antibodies, antibody fragments, among others.
Nucleic acids
[0085] In some embodiments the agent is a therapeutic nucleic acid (TNA) encapsulated in the LNP.
[0086] As used herein, the phrases "nucleic acid therapeutic", "therapeutic nucleic acid" and "TNA" are used interchangeably and refer to any modality of therapeutic using nucleic acids as an active component of therapeutic agent to treat a disease or disorder. As used herein, these phrases refer to RNA-based therapeutics and DNA-based therapeutics. Non-limiting examples of RNA-based therapeutics include mRNA, antisense RNA and oligonucleotides, ribozymes, aptamers, interfering RNAs (RNAi), Dicer-substrate dsRNA, small hairpin RNA (shRNA), locked nucleic acids (LNAs), asymmetrical interfering RNA (aiRNA), microRNA (miRNA), CRISPR/Cas9 technology and single guide RNA (sgRNA). Non -limiting examples of DNA-based therapeutics include minicircle DNA, minigene, viral DNA (e.g., Lentiviral or AAV genome) or non-viral synthetic DNA vectors, closed-ended linear duplex DNA (ceDNA/CELiD), plasmids, bacmids, DOGGYBONE™ DNA vectors, minimalistic immunological-defmed gene expression (MIDGE)-vector, nonviral ministring DNA vector (linear-covalently closed DNA vector), or dumbbell-shaped DNA minimal vector ("dumbbell DNA").
[0087] Illustrative therapeutic nucleic acids of the present disclosure can include, but are not limited to, minigenes, plasmids, minicircles, small interfering RNA (siRNA), microRNA (miRNA), antisense oligonucleotides (ASO), ribozymes, closed ended double stranded DNA (e.g., ceDNA, CELiD, linear covalently closed DNA ("ministring"), doggybone™, protelomere closed ended DNA, or dumbbell linear DNA), dicer-substrate dsRNA, small hairpin RNA (shRNA), LNAs, asymmetrical interfering RNA (aiRNA), microRNA (miRNA), mRNA, tRNA, rRNA, CRISPR/Cas9 technology and sgRNA, and DNA viral vectors, viral RNA vector, and any combination thereof.
[0088] siRNA or miRNA that can downregulate the intracellular levels of specific proteins through a process called RNA interference (RNAi) are also contemplated by the present disclosure to be nucleic acid therapeutics. After siRNA or miRNA is introduced into the cytoplasm of a host cell, these double-stranded RNA constructs can bind to a protein called RISC. The sense strand of the siRNA or miRNA is removed by the RISC complex. The RISC complex, when combined with the complementary mRNA, can induce either a translation blockade or mRNA cleavage and release the cut strands. RNAi is by inducing specific destruction of mRNA that results in downregulation of a corresponding protein.
[0089] Antisense oligonucleotides (ASO) and ribozymes that inhibit mRNA translation into protein can be nucleic acid therapeutics. For antisense constructs, these single stranded deoxy nucleic acids have a complementary sequence to the sequence of the target protein mRNA, and Watson - capable of binding to the mRNA by Crick base pairing. This binding prevents translation of a target mRNA, modulates splicing and/or triggers RNaseH degradation of the mRNA transcript. As a result, the antisense oligonucleotide has increased specificity of action (i.e., down-regulation of a specific disease-related protein).
[0090] In any of the aspects and embodiments provided herein, the therapeutic nucleic acid can be a therapeutic RNA. Said therapeutic RNA can be an inhibitor of mRNA translation, agent of RNA interference (RNAi), catalytically active RNA molecule (ribozyme), transfer RNA (tRNA) or an RNA that binds an mRNA transcript (ASO), protein or other molecular ligand (aptamer). In any of the methods provided herein, the agent of RNAi can be a double-stranded RNA, single-stranded RNA, microRNA, short interfering RNA, short hairpin RNA, or a triplex -forming oligonucleotide.
[0091] In one embodiment, the TNA is a denatured TNA. In one embodiment, the denatured TNA is a closed ended DNA (ceDNA). The term "denatured therapeutic nucleic acid" refers to a partially or fully TNA where the conformation has changed from the standard B-form structure. The conformational changes may include changes in the secondary structure (i.e., base pair interactions within a single nucleic acid molecule) and/or changes in the tertiary structure (i.e., double helix structure).
[0092] In one embodiment, the TNA is one or more components of the CRISPR/Cas9 system. CRISPR (Clustered Regularly Interspaced Short Palindromic Repeats)-Cas9 system (CRISPR/Cas9) is used to edit the genome, wherein the enzyme Cas9 makes cuts in the DNA and allows new genetic sequences to be inserted. Single- guide RNAs are used to direct Cas9 to the specific spot in DNA where cuts are desired.
[0093] In some embodiments, the TNA is encapsulated in the LNP. In some embodiments, the TNA is selected from the group consisting of minigenes, plasmids, minicircles, small interfering RNA (siRNA), microRNA (miRNA), antisense oligonucleotides (ASO), ribozymes, closed-ended (ceDNA), ministring, doggybone™ protelomere closed ended DNA (ceDNA), or dumbbell linear DNA, dicer-substrate dsRNA, small hairpin RNA (shRNA), asymmetrical interfering RNA (aiRNA), microRNA (miRNA), mRNA, tRNA, rRNA, DNA viral vectors, viral RNA vector, non- viral vector and any combination thereof. In some embodiments, the TNA is ceDNA.. In some embodiments, the TNA is siRNA. In some embodiments, the TNA is a plasmid. In some embodiments, the TNA is mRNA. In some embodiments, the TNA is one or more components of the CRISPR/Cas9 system as detailed herein.
Cationic lipids and ionizable lipids
[0094] The ionizable LNPs disclosed herein comprise a ionizable lipid (also defined herein as “ionizable cationic lipid”). In some embodiments, the ionizable LNPs disclosed herein may further comprise a cationic lipid (also indicated herein as “permanently cationic lipid”). In some embodiments, the cationic lipid is, e.g., a non-fusogenic cationic lipid. By a "non-fusogenic cationic lipid" is meant a cationic lipid that can condense and/or encapsulate the nucleic acid cargo, but does not have, or has very little, fusogenic activity. The ionizable cationic lipid and cationic lipid are typically employed to condense the nucleic acid cargo, at low pH and to drive membrane association and fusogenicity.
[0095] Cationic lipids are lipids comprising at least one quaternary amino group that is permanently positively charged, whereas ionizable cationic lipids are lipids comprising a secondary or tertiary amine group which becomes protonated under acidic conditions, for example at pH of 6.5 or lower.
[0096] In some embodiments, the ionizable LNP comprises 1% or more of an ionizable lipid relative to the total weight of the LNP (w/w). In some embodiments the ionizable LNP comprises at least 5%, preferably at least 15%, more preferably at least 25%, even more preferably at least 35%, even yet more preferably at least 45% of an ionizable lipid relative to the total weight of the LNP (w/w). In one embodiment, the ionizable lipid, or the addition of ionizable lipid and cationic lipid represents 1-90% (mol), for example 20- 90% (mol) of the total lipid present in the ionizable lipid particles (e.g., ionizable lipid nanoparticles). For example, ionizable cationic lipid molar content, or the addition of ionizable cationic lipid and cationic lipid molar content can be 20-70% (mol), 30-60% (mol), 40-60% (mol), 40-55% (mol) or 45-55% (mol) of the total lipid present in the ionizable lipid particle (e.g., ionizable lipid nanoparticles). In some embodiments, the ionizable cationic lipid represents from about 40 mol % to about 60 mol % of the total lipid present in the ionizable lipid nanoparticles (LNPs). [0097] In some embodiments, the (permanently) cationic lipid is selected from the group consisting of N41-(2,3-dioleyloxy)propyll-N,N,N-trimethylammonium chloride (DOTMA); N-[l-(2,3-dioleoyloxy)propyll-N,N,N-trimethylammonium chloride (DOTAP); 1,2-dioleoyl-sn-glycero -3 -ethylphosphocholine (DOEPC); 1,2-dilauroyl-sn- glycero-3 -ethylphosphocholine (DLEPC); l,2-dimyristoyl-sn-glycero-3- ethylphosphocholine (DMEPC); 1,2-dimyristoleoyl- sn-glycero-3-ethylphosphocholine (14: 1), N1 -[2-((lS)-l -[(3 -aminopropyl)amino]-4-rdi(3 -amino-propyl) aminolbutylc arboxamidoiethyll-3 ,4 -di [oleyloxy] -benzamide (MVL5); Dioctadecylamidoglycyl spermine (DOGS); 3b4N-(N',N'-dimethylaminoethyl)carb amoyl] cholesterol (DC- Chol); Dioctadecyldimethylammonium Bromide (DDAB); a Saint lipid (e.g., SAINT -2, N-methyl-4-(dioleyl)methylpyridinium); l,2-dimyristyloxypropyl-3- dimethylhydroxyethylammonium bromide (DMRIE); l,2-dioleoyl-3-dimethyl- hydroxyethyl ammonium bromide (DORIE); 1,2 -di oleoyl oxy propyl -3- dimethylhydroxyethyl ammonium chloride (DORI); Di-alkylated Amino Acid (DILA2) (e.g., C18 : 1 -norArg -C16); Dioleyldimethylammonium chloride (DODAC); 1- palmitoyl-2-oleoyl-sn-glycero-3 -ethylpho sphocholine (POEPC); Dioctadecyldimethylammonium bromide (DDAB), (R)-5-guanidinopentane-l,2-diyl dioleate hydrochloride (DOPen-G), (R)-N,N,N-trimethyl-4,5-bis(oleoyloxy)pentan-l- aminium chloride(DOTAPen) and 1,2 -dimyristoleoyl-sn-glycero-3- ethylphosphocholine (MOEPC). In some variations, the ionizable cationic lipid, is selected from the group consisting of l,2-dilinoleyloxy-3 -dimethylaminopropane (DLinDMA), 2,2-dilinoleyl-4-(2dimethylaminoethyl)-[l,31 -di oxolane (DLin-KC2- DMA), heptatriaconta-6,9,28,31-tetraen-19- yl-4-(dimethylamino)butanoate (DLin- MC3-DMA), l,2-Dioleoyloxy-3 -dimethylaminopropane (DODAP), l,2-Dioleyloxy-3- dimethylaminopropane (DODMA), Morpholinocholesterol (Mo-CHOL) and (R)-5- (dimethylamino)pentane-l,2-diyl dioleate hydrochloride (DODAPen-Cl. In some embodiments, the ionizable cationic lipid is DLin-MC3-DMA.
[0098] In some embodiments the ionizable lipid is MC3 (6Z,9Z,28Z,31Z)- heptatriaconta-6,9,28,3 l-tetraen-19-y 1 -4-(dimethylamino) butanoate (DLin-MC3-DMA or MC3) having the following structure:
Figure imgf000029_0001
[0099] The lipid DLin-MC3-DMA is described in Jayaraman et al., Angew. Chem. Int.
Ed Engl. (2012), 51(34): 8529-8533.
[0100] In some embodiments, the ionizable lipid is the lipid ATX-002 as described in WO20 15/074085:
Figure imgf000029_0002
[0101] In some embodiments, the ionizable lipid is (13Z,16Z)-N,N-dimethyl-3- nonyldocosa-13,16-dien-l-amine (Compound 32), as described in W02012/040184.
[0102] In some embodiments, the ionizable lipid is Compound 6 or Compound 22 as described in WO2015/199952:
Figure imgf000029_0003
Compound 22 Non-cationic lipids
[0103] In one embodiment, the ionizable lipid particles (LNPs) may further comprise a non-cationic lipid. The non-cationic lipid can serve to increase fusogenicity and also increase stability of the ionizable LNP during formation. Non-cationic lipids include amphipathic lipids, neutral lipids and anionic lipids. Accordingly, the non-cationic lipid can be a neutral uncharged, zwitterionic, or anionic lipid. Non-cationic lipids are typically employed to enhance fusogenicity.
[0104] Exemplary non-cationic lipids include, but are not limited to, di stearoyl -sn- glycero-phosphoethanolamine, distearoylphosphatidylcholine (DSPC), dioleoylphosphatidylcholine (DOPC), dipalmitoylphosphatidylcholine (DPPC), dioleoylphosphatidylglycerol (DOPG), dipalmitoylphosphatidylglycerol (DPPG), dioleoyl-phosphatidylethanolamine (DOPE), palmitoyloleoylphosphatidylcholine
(POPC), palmitoyloleoylphosphatidylethanolamine (POPE), dioleoylphosphatidylethanolamine 4-(N-maleimidomethyl)-cyclohexane-l-carboxylate (DOPE- mal), dipalmitoyl phosphatidyl ethanolamine (DPPE), dimyristoylphosphoethanolamine (DMPE), distearoyl-phosphatidyl-ethanolamine (DSPE), monomethylphosphatidylethanolamine (such as 16-O-monomethyl PE), dimethylphosphatidylethanolamine (such as 16-O-dimethyl PE), 18-1-trans PE, l-stearoyl-2- oleoyl-phosphatidyethanolamine (SOPE), hydrogenated soy phosphatidylcholine
(HSPC), egg phosphatidylcholine (EPC), dioleoylphosphatidylserine (DOPS), sphingomyelin (SM), dimyristoyl phosphatidylcholine (DMPC), dimyristoyl phosphatidylglycerol (DMPG), distearoylphosphatidylglycerol (DSPG), dierucoylphosphatidylcholine (DEPC), palmitoyloleyolphosphatidylglycerol (POPG), dielaidoyl-phosphatidylethanolamine (DEPE), l,2-dilauroyl-sn-glycero-3 -pho sphoethanolamine (DLPE); l,2-diphytanoyl-sn-glycero-3 -phosphoethanolamine
(DPHyPE); lecithin, phosphati dy 1 ethanol amine, lysolecithin, lysophosphatidylethanolamine, phosphatidylserine, phosphatidylinositol, sphingomyelin, egg sphingomyelin (ESM), cephalin, cardiolipin, phosphatidicacid, cerebrosides, dicetylphosphate, lysophosphatidylcholine, dilinoleoylphosphatidylcholine, or mixtures thereof. It is to be understood that other diacylphosphatidylcholine and diacylphosphatidylethanolamine phospholipids can also be used. The acyl groups in these lipids are preferably acyl groups derived from fatty acids having C10-C24 carbon chains, e.g., lauroyl, myristoyl, palmitoyl, stearoyl, or oleoyl. Other examples of non-cationic lipids suitable for use in the LNPs include nonphosphorous lipids such as, e.g., stearylamine, dodecylamine, hexadecylamine, acetyl palmitate, glycerolricinoleate, hexadecyl stereate, isopropyl myristate, amphoteric acrylic polymers, triethanolamine-lauryl sulfate, alkyl-aryl sulfate polyethyloxylated fatty acid amides, dioctadecyldimethyl ammonium bromide, ceramide, sphingomyelin, and the like. [0105] In one embodiment, the non-cationic lipid is a phospholipid. In one embodiment, the non-cationic lipid is selected from the group consisting of DSPC, DPPC, DMPC, DOPC, POPC, DOPE, and SM. In some embodiments, the non-cationic lipid is DSPC. In other embodiments, the non-cationic lipid is DOPC. In other embodiments, the noncationic lipid is DOPE.
[0106] In some embodiments, the non-cationic lipid can comprise 0-30% (mol) of the total lipid present in the ionizable lipid nanoparticle. In some embodiments, the noncationic lipid content is 0.5-15% (mol) of the total lipid present in the ionizable lipid particle (e.g., ionizable lipid nanoparticle). In some embodiments, the non-cationic lipid content is 5-12% (mol) of the total lipid present in the ionizable lipid particle (e.g., ionizable lipid nanoparticle). In some embodiments, the non-cationic lipid content is 5- 10% (mol) of the total lipid present in the ionizable lipid particle (e.g., ionizable lipid nanoparticle). In one embodiment, the non-cationic lipid content is about 10% (mol) of the total lipid present in the ionizable lipid particle (e.g., ionizable lipid nanoparticle).
[0107] Exemplary non-cationic lipids are described in International Patent Application Publication No. WO2017/099823 and US Patent Application Publication No. US2018/0028664.
Sterols
[0108] In one embodiment, the ionizable lipid particles (e.g., ionizable lipid nanoparticles) can further comprise a component, such as a sterol, to provide membrane integrity and stability of the ionizable lipid particle. In one embodiment, an exemplary sterol that can be used in the ionizable lipid particle is cholesterol, or a derivative thereof. Non-limiting examples of cholesterol derivatives include polar analogues such as 5a- cholestanol, 50-coprostanol, cholesteryl -(2'-hydroxy)-ethyl ether, cholesteryl-(4'- hydroxy)-butyl ether, and 6-ketocholestanol; non-polar analogues such as 5a-cholestane, cholestenone, 5a-cholestanone, 5[3-cholestanone, and cholesteryl decanoate; and mixtures thereof. In some embodiments, the cholesterol derivative is a polar analogue such as cholesteryl-(4'-hydroxy)-butyl ether. In some embodiments, cholesterol derivative is cholestryl hemisuccinate (CHEMS).
[0109] Exemplary cholesterol derivatives are described in International Patent Application Publication No. W02009/127060 and U.S. Patent Application Publication No. US2010/0130588.
[0110] In one embodiment, the component providing membrane integrity, such as a sterol, can comprise 0-50% (mol) of the total lipid present in the ionizable lipid particle (e.g., ionizable lipid nanoparticle). In some embodiments, such a component is 20-50% (mol) of the total lipid content of the ionizable lipid particle (e.g., ionizable lipid nanoparticle). In some embodiments, such a component is 30-40% (mol) of the total lipid content of the ionizable lipid particle (e.g., ionizable lipid nanoparticle). In some embodiments, such a component is 35-45% (mol) of the total lipid content of the ionizable lipid particle (e.g., ionizable lipid nanoparticle). In some embodiments, such a component is 37-40% (mol) of the total lipid content of the ionizable lipid particle (e.g., ionizable lipid nanoparticle). In one embodiment, the sterol content is about 38% (mol) of the total lipid present in the ionizable lipid particle (e.g., ionizable lipid nanoparticle).
PEGylated lipids
[0111] In one embodiment, the ionizable lipid particle (e.g., ionizable lipid nanoparticle) can further comprise a polyethylene glycol (PEG) or a conjugated thiourea modified lipid molecule (for example, a thiourea modified compound of formula (I)). Generally, these are used to inhibit aggregation of ionizable lipid particle (e.g., ionizable lipid nanoparticle) and/or provide steric stabilization. Exemplary conjugated thiourea modified lipids include, but are not limited to, PEG-lipid conjugates, polyoxazoline (POZ)-lipid conjugates, polyamide -lipid conjugates (such as ATTA-lipid conjugates), cationic- polymer lipid (CPL) conjugates, and mixtures thereof. In some embodiments, the conjugated thiourea modified lipid molecule is a PEGylated lipid, for example, a (methoxy polyethylene glycol)-thiourea modified conjugated lipid. In some other embodiments, the PEGylated lipid is PEG2000-DMG (dimyristoylglycerol).
[0112] Exemplary PEGylated lipids include, but are not limited to, PEG-diacylglycerol (DAG) (such as l-(monomethoxy-polyethyleneglycol)-2,3-dimyristoylglycerol (PEG- DMG)), PEG-dialkyloxypropyl (DAA), PEG-phospholipid, PEG-ceramide (Cer), a pegylated phosphatidylethanoloamine (PEG-PE), PEG succinate diacylglycerol (PEGS- DAG) (such as 4-0-(2' ,3'-di(tetradecanoyloxy)propyl-l-0-(w- methoxy(polyethoxy)ethyl) butanedioate (PEG-S-DMG)), PEG dialkoxypropylcarbam, N-(carbonyl-methoxypoly ethylene glycol 2000)-l,2-distearoyl-sn-glycero-3- phosphoethanolamine sodium salt, or a mixture thereof. Additional exemplary PEG-lipid conjugates are described, for example, in US5,885,613, US6,287,591, US2003/0077829, US2003/0077829, US2005/0175682, US2008/0020058, US2011/0117125,
US2010/0130588, US2016/0376224, and US2017/0119904.
[0113] In one embodiment, the PEG-DAA PEGylated lipid can be, for example, PEG- dilauryloxypropyl, PEG- dimyristyloxypropyl, PEG-dipalmityloxypropyl, or PEG- distearyloxypropyl. The PEG-lipid can be one or more of PEG-DMG, PEG- dilaurylglycerol, PEG-dipalmitoylglycerol, PEG-disterylglycerol, PEG- dilaurylglycamide, PEG-dimyristylglycamide, PEG-dipalmitoylglycamide, PEG- disterylglycamide, PEG-cholesterol (l-[8'-(Cholest-5-en-3[beta]-oxy)carboxamido-3',6'- dioxaoctanyl] carbamoyl -[omega]-methyl-poly(ethylene glycol), PEG-DMB (3,4- Ditetradecoxylbenzyl- [omega]- methyl-poly(ethylene glycol) ether), andl,2- dimyristoyl-sn-glycero-3-phosphoethanolamine-N- [methoxy(polyethylene glycol)- 2000] . In one embodiment, the PEG-lipid can be selected from the group consisting of PEG-DMG, l,2-dimyristoyl-sn-glycero-3 -phosphoethanolamine-N-
[methoxy(polyethylene glycol)-2000],
Figure imgf000033_0001
Figure imgf000034_0001
[0114] In some embodiments, the PEGylated lipid is selected from the group consisting N-(Carbonyl-methoxypolyethyleneglycoln)-l,2-dimyristoyl-sn-glycero-3- phosphoethanolamine (DMPE-PEGn, where n is 350, 500, 750, 1000, 2000 or 5000), N- (Carbonyl-methoxypolyethyleneglycol.)-l,2-distearoyl-sn-glycero-3- phosphoethanolamine (DSPE-PEGn, where n is 350, 500, 750, 1000,2000 or 5000), DSPE-polyglycelin-cyclohexyl-carboxylic acid, DSPE-polyglycelin-2-methylglutar- carboxylic acid, l,2-Distearoyl-sn-Glycero-3 -Phosphoethanolamine (DSPE) conjugated Polyethylene Glycol (DSPE-PEG-OH), polyethylene glycol -dimyristolglycerol (PEG- DMG), polyethylene glycol-distearoyl glycerol (PEG-DSG), or N-octanoyl-sphingosine- l-{succinyl[methoxy(polyethylene glycol)200011 (C8 PEG2000 Ceramide). In some examples of DMPE-PEGn, where n is 350, 500, 750, 1000, 2000 or 5000, the PEG-lipid is N-(Carbonyl-methoxypolyethyleneglycol 2000)-l,2-dimyristoyl-sn-glycero-3- phosphoethanolamine (DMPE-PEG 2,000). In some examples of DSPE-PEGn. where n is 350, 500, 750, 1000 2000 or 5000, the PEG-lipid is N-(Carbonyl- methoxypolyethyleneglycol 2000)- 1,2-di stearoyl -sn-glycero-3 -phosphoethanolamine
(DSPE-PEG 2,000). In some embodiments, the PEG-lipid is DSPE -PEG-011. In some preferred embodiments, the PEG-lipid is PEG-DMG.
[0115] In some embodiments, the conjugated thiourea modified lipid, e.g., PEGylated lipid, includes a tissue-specific targeting ligand (for example, a group RL), e.g., first or second targeting ligand. For example, PEG-DSPE conjugated with a mannose ligand.
[0116] In one embodiment, lipids conjugated with a molecule other than a PEG can also be used in place of PEG-lipid. For example, polyoxazoline (POZ)-lipid conjugates, polyamide-lipid conjugates (such as ATTA-lipid conjugates), and cationic -polymer lipid (CPL) conjugates can be used in place of or in addition to the PEG-lipid. Exemplary conjugated lipids, i.e., PEG-lipids, (POZ)-lipid conjugates, ATTA-lipid conjugates and cationic polymer-lipids are described in the International Patent Application Publication Nos. WO 1996/010392, WO1998/051278, W020021087541, W02005/026372, WO2008/147438, W02009/086558, W02012/000104, WO2017/117528,
WO20 17/099823, WO2015/199952, W02017/004143, WO2015/095346,
WO20 12/000104, WO2012/000104, and WO2010/006282, U.S. Patent Application Publication Nos. US2003/0077829, US2005/0175682, US2008/0020058,
US2011/0117125, US2013/0303587, US2018/0028664, US2015/0376115,
US2016/0376224, US2016/0317458, US2013/0303587, US2013/0303587, and US20110123453, and U.S. Patent Nos. US5,885,613, US6,287,591, US6,320,017, and US6,586,559.
[0117] In some embodiments, the PEGylated lipid can comprise 0,01-20% (mol) of the total lipid present in the lipid nanoparticle. In some embodiments, PEGylated lipid content is 0.5-10% (mol). In some embodiments, PEGylated lipid content is 1-5% (mol). In some embodiments, PEGylated lipid content is 1-3% (mol). In some embodiments, PEGylated lipid content is 1-2% (mol). In one embodiment, PEGylated lipid content is about 1% (mol). In one embodiment, PEGylated lipid content is about 1.5% (mol). In one embodiment, PEGylated lipid content is about 2% (mol).
[0118] It is understood that molar ratios of the cationic lipid, ionizable cationic lipid, non-cationic-lipid, sterol, and PEGylated lipid (thiourea modified conjugated PEGylated lipid such as a thiourea modified conjugated DSPE-PEG or not conjugated such as PEG- DMG) can be varied as needed, as long as the ionizable LNP comprises 1% or more of an ionizable lipid relative to the total weight of the LNP (w/w).
Functional moiety RL-NH-
[0119] The functional moiety RL-NH- may be of any type and is typically selected depending on the biological effect which is sought when chemically modifying the LNP.
[0120] In some embodiments, RL-NH- comprises a cell-type targeting ligand or a receptor targeting ligand, a labelling agent, a steric shielding agent, a drug moiety or combinations thereof. In some embodiments, the functional moiety RL-NH- may also comprise a (nano)-particle, including a magnetic (nano-) particle and a quantum dot. For instance, in some embodiments, RL-NH- may comprise an iron, stain, silicium, gold or carbon (nano)-particle.
[0121] In some embodiments, RL-NH- is a functional moiety comprising, or consisting of, a labeling agent, e.g. a fluorescent dye such as fluorescein, rhodamine, boron- dipyrromethene (Bodipy®) dyes, and Alexa fluor®, a quantum dot or a radionuclide.
[0122] In some embodiments, RL-NH- is or consists of a functional moiety comprising, or consisting of, a steric shielding agent, e.g. an agent able to mask certain epitopes of the capsid, thereby avoiding the binding of neutralizing antibodies. For instance, in some embodiments, RL-NH- may comprise a steric shielding agent selected from the group consisting of a polyethylene glycol (PEG), pHPMA, and a polysaccharide. In some embodiments, RL-NH- comprises a polyethylene glycol (PEG), comprising from 1 to 40 ethylene glycol monomers, e.g. from 1 to 10, such as e.g. . -(OCH2CH2)- (referred to herein as “PEG1”), -(OCEhCEh^- (referred to herein as “PEG2”), -(OCEhCEh^- (referred to herein as “PEG3”), -(OCEECEE^- (referred to herein as “PEG4”), or - (OCH2CH2)5- (referred to herein as “PEG5”).
[0123] In some embodiments, the functional moiety RL-NH- comprises one or more groups Z and optionally one or more spacers L. In other embodiments, the functional moiety RL-NH- consists of a group Z-NH- and does not comprise one or more spacers L.
Group Z
[0124] In some embodiments, Z is H or a functional moiety comprising, or consisting of, a steric shielding agent, a labelling agent, a drug moiety, a cell-type targeting ligand or a receptor targeting ligand, namely a ligand enabling targeting of a specific type of cell or a specific type of receptor. In some embodiments, such a ligand can enable modification of the tropism of the LNP, namely its capacity to selectively transfect a given cell line, tissue, and/or organ. For instance, in some embodiments, Z can comprise or consist of a ligand which specifically binds to a membrane biological entity (e.g. a membrane receptor) of the targeted cell. In some embodiments, such a ligand can be, for instance, a saccharide, a hormone, including a steroid hormone, a peptide such as RGD peptide, Angiopep-2 or muscle targeting peptides, a protein or a functionally active fragment thereof, a membrane receptor or a functionally active fragment thereof, CB1 and CB2 ligands, an antibody including heavy-chain antibody, or functionally active fragments thereof such as Fab, Fab’, and VHH, a ScFv, a diabody, a spiegelmer, an aptamer including nucleic acid aptamer and peptide aptamer, a small chemical molecules known to bind to the targeted biological entity and the likes such as vitamins and drugs, and/or any suitable combination thereof.
[0125] As used herein, the term “cell-type targeting ligand” refers to a compound (chemical or biological) that mediates binding and transduction or transfection of the target cell types, or increases transduction or transfection by different mechanisms, such as increased cell entry, and therefore can be used to increase efficiency and/or specificity of gene transfer into the targeted cell types, or to increase endosomal escape via conjugated ligands as a factor that enhances transduction/transfection, for improving the potency of the LNP. For example, the target cell is of a particular tissue type, and the celltype targeting ligand binds to a marker protein, surface antigen, receptor protein, that is expressed by cells of the target tissue
[0126] As used herein, the term “receptor targeting ligand” refers to a compound (chemical or biological) that is able to bind to a specific receptor and direct (or target) the LNP to this receptor and/or drive subsequent LNP -receptor internalization, increasing efficiency in LNP transport and/or transduction or transfection to/of the targeted cells or tissues.
[0127] By “functionally active fragment”, it is meant a fragment of, e.g., a protein, a membrane receptor or an antibody, which retains the functional activity of its full-length counterpart.
[0128] In some embodiments, Z comprises, or consists of, a cell-type specific ligand derived from a saccharide. Details on saccharides are provided hereafter. In some embodiments, Z comprises, or consists of a steric shielding agent. In some embodiments, Z comprises, or consists of a labelling agent.
[0129] In some embodiments, Z comprises, or consists of, a cell-type targeting ligand or a receptor targeting ligand derived from proteins such as transferrin or a peptide derived thereof (e.g. the THR peptide), Epidermal Growth Factor (EGF), and basic Fibroblast Growth Factor FGF.
[0130] In some embodiments, Z comprises, or consists of, a cell -type targeting ligand or a receptor targeting ligand derived from vitamins such as folic acid.
[0131] In some embodiments, Z comprises, or consists of, a cell-type targeting ligand or a receptor targeting ligand derived from a muscle targeting peptide (MTP). In certain embodiments, Z is a cancer cell targeting peptide and comprises a peptide such as RGD, including cyclic RGD.
[0132] In some embodiments, Z comprises, or consists of, a cell-type targeting ligand or a receptor targeting ligand derived from small molecules or hormones such as naproxen, ibuprofen, cholesterol, progesterone, or estradiol.
[0133] In some embodiments, Z comprises an antibody or antigen-binding portion thereof. In some such embodiments, an antibody may be or comprise, for example, a single chain antibody or variable domain, such as a camelid antibody, a heavy-chain antibody, a nanobody, a shark antibody, etc. In some embodiments, an antibody or antigen binding portion thereof may be or comprise a Fab, a Fab’, a VHH, a ScFv, a diabody, etc. In some particular embodiments, an antibody or antigen binding portion thereof may be characterized by having specific affinity for a particular cell-specific protein, membrane protein, and/or membrane protein receptor.
[0134] In some embodiments, Z comprises or consists of a cell-type targeting ligand or a receptor targeting ligand selected from the group consisting of saccharides, hormones, peptides, glycosylated peptides, proteins, glycoproteins, or fragments thereof, membrane receptors or fragments thereof, antibodies or fragments thereof, spiegelmers, nucleic acid or peptide aptamers, vitamins, and drugs.
[0135] In a specific embodiment, Z comprises or consists of a saccharide selected from the group consisting of monosaccharides, oligosaccharides and polysaccharides; preferably the saccharide is a monosaccharide, wherein said monosaccharide is preferably selected from the group consisting of mannose, galactose, N-acetylglucosamine, N- acetylgalactosamine, fucose, fructose, glucose, xylose, trehalose, desosamine, glucuronic acid, S6-galactose, S6-N-acetylgalactosamine, P6-mannose, P6-glucose, sialic acidand Pl -fructose, more preferably selected from the group consisting of mannose, fructose, glucose, N-acetylglucosamine, N-acetylgalactosamine, , trehalose, glucuronic acid, S6- galactose, S6-N-acetylgalactosamine, P6-mannose, P6-glucose, sialic acid and Pl- fructose, even more preferably selected from the group consisting of mannose, , N- acetylglucosamine, glucuronic acid, desosamine and fucose.
[0136] In some particular embodiments, suitable examples of saccharides include, but are not limited to, monosaccharides, oligosaccharides, polysaccharides, and derivatives thereof; or a saccharide substituted by a peptide.
[0137] As used herein, the term “derivatives” when referring to monosaccharides, oligosaccharides or polysaccharides, is meant to encompass saccharides containing one or more non-hydroxyl group(s). Examples of such non-hydroxyl groups include, but are not limited to, a hydrogen, an alkyl, an amino group (such as e.g. NH2, an alkyl amino, a dialkyl amino), an N-acetylamino group and/or a thiol group.
[0138] In some embodiments, the non-hydroxyl group is a negatively charged group such as a phosphate, a phosphonate, a sulfate, a sulfonate and a carboxyl group.
[0139] “Monosaccharides”, also called “simple sugars”, are the simplest form of sugar and the most basic units of carbohydrates. Monosaccharides can be classified by the number of carbon atoms they contain, e.g., 3 (trioses), 4 (tetroses), 5 (pentoses), 6 (hexoses), 7 (heptoses), and so on.
[0140] Examples of monosaccharides include, but are not limited to, glycolaldehyde, glyceraldehyde, dihydroxyacetone, erythrose, threose, erythrulose, arabinose, lyxose, ribose, xylose, ribulose, xylulose, allose, altrose, galactose, glucose, gulose, idose, mannose, talose, fructose, psicose, sorbose, tagatose, mannoheptulose, and sedoheptulose. [0141] Deoxymonosaccharides are common derivatives of monosaccharides encompassed in the present invention, i.e., monosaccharides that have had a hydroxyl group replaced with a hydrogen atom.
[0142] Examples of deoxymonosaccharides include, but are not limited to, deoxyribose, fucose, fuculose, rhamnose, quinovose, pneumose.
[0143] 2-amino-2-deoxymonosaccharides are also common derivatives of monosaccharides encompassed in the present invention, i.e., monosaccharides that have had a hydroxyl group replaced with an amino group.
[0144] Examples of 2-amino-2-deoxymonosaccharides include, but are not limited to, glucosamine, galactosamine, and daunosamine, as well as their acetylated forms, including, but not limited to, N-acetylglucosamine, and N-acetylgalactosamine.
[0145] In some embodiments, the monosaccharide contains a negatively charged group such as a phosphate group, a sulfate group or a carboxyl group.
[0146] Examples of monosaccharides containing a phosphate group, include, but are not limited to, glucose-6-phosphate, mannose-6-phosphate and fructose- 1 -phosphate.
[0147] Examples of monosaccharides containing a sulfate group, include, but are not limited to, galactose-6-sulfate (S6-galactose), N-acetylgalactosamine-6-sulfate (S6-N-acetylgalactosamine).
[0148] Examples of monosaccharides containing a carboxyl group, include, but are not limited to, glucuronic acid and sialic acid.
[0149] It is to be understood that the monosaccharides and derivatives thereof mentioned herein also encompass acyclic (open-chain) forms and cyclic forms.
[0150] It is also to be understood that the monosaccharides and derivatives thereof mentioned herein also encompass D -stereoisomers and L-stereoisomers, as well as mixtures of D- and L- stereoisomers (e.g., racemic mixtures). [0151] It is also to be understood that the monosaccharides and derivatives thereof mentioned herein also encompass a-anomers and [3-anomers, as well as racemic mixtures of a- and [3-anomers.
[0152] “Oligosaccharides” are saccharide polymers comprising a small number (typically from two to ten) of monosaccharides.
[0153] In some embodiments, an oligosaccharide according to the present invention comprises at least two, three, four, five, six, seven, eight, nine or ten monosaccharides, e.g., selected from the monosaccharides disclosed hereinabove, including their derivatives.
[0154] In some embodiments, such oligosaccharide(s) can be a homooligosaccharide (i.e., composed of units of the same monosaccharide, including their derivatives) or heterooligosaccharides (i.e., composed of units of at least two different monosaccharides, including their derivatives).
[0155] In some embodiments, examples of oligosaccharides include, but are not limited to, di saccharides, trisaccharides, tetrasaccharides, pentasaccharides, hexasaccharides, heptasaccharides, octasaccharides, nonasaccharides, and decasaccharides.
[0156] In some embodiments, specific examples of disaccharides include, but are not limited to, cellobiose, chitobiose, gentiobiose, gentiobiulose, isomaltose, kojibiose, lactose, lactulose, laminaribiose, maltose, maltulose, mannobiose, melibiose, melibiulose, nigerose, palatinose, rutinose, rutinulose, sophorose, sucrose, trehalose, turanose, and xylobiose.
[0157] In some embodiments, specific examples of trisaccharides include, but are not limited to, kestose, maltotriose, maltotriulose, melezitose, nigerotriose, and raffinose.
[0158] In some embodiments, specific examples of tetrasaccharides include, but are not limited to, lychnose, maltotetraose, nigerotetraose, nystose, sesamose, and stachyose. [0159] In some embodiments, specific examples of oligosaccharides include, but are not limited to, acarbose, fructooligosaccharide, galactooligosaccharide, isomaltooligosaccharide, and maltodextrin.
[0160] In some embodiments, oligosaccharides can be multi -antennary structures whereby some or all monosaccharides in the oligosaccharide are not linked to one another through O-glycosidic bonds but with branched linker structures. An example of a multi - antennary saccharide is tri-antennary N-acetylgalactosamine, which is a ligand for asialoglycoprotein receptor ASGPR (see e.g., Zhou et al., Development of Tri antennary N-Acetylgalactosamine Conjugates as Degraders for Extracellular Proteins; ACS Cent. Sci. 2021).
[0161] “Polysaccharides” are saccharide polymers comprising a large number (typically more than ten) of monosaccharides. They range in structure from linear to highly branched.
[0162] In some embodiments, a polysaccharide comprises more than ten monosaccharides (such as, e.g., 11, 12, 13, 14, 15, 16, 17, 18, 19, 20 or more), e.g., selected from monosaccharides disclosed hereinabove, including their derivatives. In a similar way as described above for oligosaccharides, polysaccharides can be homopolysaccharides or heteropolysaccharides.
[0163] In some embodiments, examples of polysaccharides include, but are not limited to, beta-glucans, lentinan, sizofiran, zymosan, cellulose, hemicellulose, chitin, chitosan, dextrins, dextran, fructan, inulin, galactan, glucan, glycogen, levan 02— >6, lignin, mannan, pectin, starch, amylopectin, amylose, and xanthan gum.
[0164] In some embodiments, a saccharide or derivative thereof according to the present invention is a monosaccharide, preferably a hexose. In some embodiments, a preferential saccharide or derivative thereof according to the present invention is mannose, glucose, galactose, A-acetylglucosamine, A-acetylgalactosamine, S6-galactose, S6-A-acetylgalactosamine, glucuronic acid, P6-galactose or Pl- galactose. In some embodiments, a preferential saccharide or derivative thereof according to the present invention is mannose, galactose, A-acetylglucosamine, or A-acetylgalactosamine. [0165] In some embodiments, a saccharide or derivative thereof is mannose. In some embodiments, a saccharide or derivative thereof is galactose. In some embodiments, a saccharide or derivative thereof is 7V-acetylglucosamine. In some embodiments, a saccharide or derivative thereof is 7V-acetylgalactosamine.
[0166] In some embodiments, a saccharide or derivative thereof according to the present invention is a deoxymonosaccharide. In some preferential embodiments, a deoxymonosaccharide is preferably fucose.
[0167] In some embodiments, a saccharide or derivative thereof is a saccharide containing a non-hydroxyl group which is a dialkyl amino group. In some preferential embodiments, a saccharide containing a non-hydroxyl group which is a dialkyl amino group is a desosamine.
[0168] In some embodiments, a saccharide or derivative thereof is a saccharide containing a non-hydroxyl group which is a sulfate group. In some preferential embodiments, a saccharide containing a non-hydroxyl group which is sulfate group is S6-galactose, or S6-7V-acetylgalactosamine.
[0169] In some embodiments, a saccharide or derivative thereof is a saccharide containing a non-hydroxyl group which is a phosphate group. In some preferential embodiments, a saccharide containing a non-hydroxyl group which is phosphate group is P6-glucose, P6- mannose, or Pl -fructose.
[0170] In some embodiments, a saccharide or derivative thereof is a saccharide containing a non-hydroxyl group which is a carboxyl group. In some preferential embodiments, a saccharide containing a non-hydroxyl group which is carboxyl group is glucuronic acid or sialic acid.
[0171] In some embodiments, the saccharide is selected from the group comprising, or consisting of mannose, galactose, N-acetylglucosamine, N-acetylgalactosamine, fucose, fructose, glucose, xylose, trehalose, desosamine, glucuronic acid, S6-galactose, S6-N- acetylgalactosamine, P6-mannose, P6-glucose, sialic acidand Pl -fructose. In some preferred embodiments the saccharide is selected from the group consisting mannose, fructose, glucose, N-acetylglucosamine, N-acetylgalactosamine, , trehalose, glucuronic acid, S6-galactose, S6-N-acetylgalactosamine, P6-mannose, P6-glucose, sialic acid and Pl -fructose, more preferably selected from the group consisting of mannose, N- acetylglucosamine, glucuronic acid, desosamine and fucose.
Spacer L and L ’
[0172] In some embodiments, the functional moiety RL-NH- comprises a group Z and at least one spacer L. In particular, in some embodiments, one or more spacers L are present for linking the group Z to the thiourea moiety of formula (TH).
[0173] In some embodiments, L may be any chemical chain which can comprise heteroatoms as well as cyclic moieties such as aryl and/or heteroaryl groups.
[0174] In some embodiments, L may comprise up to 1000 carbon atoms and even more. The length and the chemical nature of L may be optimized depending on the group Z which is intended to be coupled to the LNP and the biological effect which is sought.
[0175] In some embodiments, L is a chemical chain group comprising from 2 to 1000 carbon atoms, preferably from 2 to 500 carbon atoms, from 2 to 300 carbon atoms, e.g. from 2 to 100 carbon atoms, 2 to 40 carbon atoms, from 4 to 30 carbon atoms, or from 4 to 20 carbon atoms.
[0176] In some embodiments, L connects the group Z to the thiourea moiety of formula (TH), as defined in the present disclosure, and preferably comprises up to 1000 carbon atoms and is preferably in the form of a chemical chain which optionally comprises heteroatoms (e.g. O, NH, S, Se or P) and/or cyclic moieties, such as aryl and/or heteroaryl groups.
[0177] In some embodiments, L is a spacer group L’ and may be selected from alkyl (e.g., Ci -20, Ci-12, Ci-6 alkyl), ether, polyether, polyester, alkyl amide, or a combination thereof. As used herein, “combination” means that L or L’ may comprise several hydrocarbon chains, oligomer chains or polymeric chains (e.g. 2, 3, 4, 5 or 6) linked by any appropriate group, such as -O-, -S-, -NHC(O)-, -OC(O)-, -C(O)-O-C(O)-, -NH-, - NH-CO-NH-, -O-CO-, -NH-(CS)-NH-, -NH-CS- phosphodiester or phosphorothioate groups. The use of a variety of alkyls is contemplated, including, but not limited to, - (CH2)n-, wherein “n” is from about 1 to about 40 or more. In some embodiments, L or L’ comprise a C1-40 straight or branched alkyl chain. In some embodiments, L or L’ is a linear or branched polyether (e.g., polyethylene or polypropylene glycol). The use of a variety of ethers and polyethers is contemplated, including, but not limited to, - (OCH2CH2)n- , wherein “n” is an integer from about 1 to about 40 or more, representing n the average number of PEG units in a range of molecular weights and oligomeric forms; or to a polyether of a branched C3-10 polyol. In some embodiments, L or L’ is a polyethylene glycol (“PEG”) of formula -(OCEECEE)!!-, wherein “n” is an integer from 1-10, an integer from 1-6, and integer from 3-6, and integer from 3-5, or an integer selected from 1, 2, 3, 4, 5, 6, 7, 8, 9, or 10. In some embodiments, L or L’ is a polypropylene glycol, e.g., of formula -(OCH(CH3)CH2)n-, wherein “n” is an integer from 1-10, an integer from 1-6, and integer from 3-6, and integer from 3-5, or an integer selected from 1, 2, 3, 4, 5, 6, 7, 8, 9, or 10. In some embodiments L or L’ comprise a polyether of a branched C3-10 polyol, preferably polyether of a branched C3-6 polyol. In some embodiments, L or L’ is an alkyl amide. The use of a variety of alkyl amides is contemplated, including, but not limited to, -(CH2)y-C(O)NH-(CH2)q- and - (OCH2CH2)y-C(O)NH-(OCH2CH2)q-, wherein “y” and “q” can be the same or different and “y” and “q” are from about 1 to about 20 or more. In some embodiments, L is an alkyl amide of formula -(CH2)y-C(O)NH-(CH2)q- or of formula -(OCEECE^y- C(O)NH-(OCH2CH2)q-, wherein “y” and “q” are each independently selected from an integer from 1-10, an integer from 1-6, and integer from 3-6, and integer from 3-5, or an integer independently selected from 1, 2, 3, 4, 5, 6, 7, 8, 9, or 10. The use of a variety of amides having the linking units of alkyl or ether bonds is contemplated, including, but not limited to, - R3-C(O)NH-R4-, wherein “R3” and “R4” are each independently selected from alkyls (e.g., C1-20, C1-12, C1-6 alkyl), ethers, or polyethers (e.g., PEGs having a molecular weight between about 200 to 2,000 g/mol).
[0178] In some embodiments, L or L’ may also comprise an alkylene diamine, e.g., - NH-(CH2)r-NH- where “r” is an integer from 2 to 20, for instance from 2 to 10, or an integer selected from 2, 3, 4, or 5. In some embodiments, L or L’ is a polymer of alkylene diamines (also known as polyamines), e.g., a compound of formula -NH-[(CH2)r-NH]t-, where “r” is as defined above and herein, and “f ’ is an integer of at least 2, for example of at least 3, 4, 5, 10 or more. Polymers of alkyl diamines of interest are, for instance, spermidine, and spermine.
[0179] In some embodiments, L or L’ may also comprise polyamides such as poly(N-(2-hydroxypropyl)methacrylamide) (pHPMA), (e.g., pHPMA having a molecular weight between about 200 and about 5000 g/mol).
[0180] In some embodiments, L or L’ may also comprise polyesters such as polycaprolactone (e.g., polycaprolactone having a molecular weight between about 200 and about 5000 g/mol) or poly(D,L-lactic-co-glycolic acid) (PLGA) (e.g., PLGA having a molecular weight between about 200 and about 5000 g/mol).
[0181] In some embodiments, L or L’ may be selected from an optionally substituted group comprising, or consisting of, a saturated or unsaturated, linear or branched C1-C40 hydrocarbon chains, a polyether of a branched C3-10 polyol, alkylamide groups, polyethylene glycol (PEG), polypropylene glycol (PPG), pHPMA, PLGA, polymers of alkylene diamines, and combinations thereof.
[0182] In some embodiments, L or L’ is a polyethylene glycol (PEG), comprising from 1 to 40 ethylene glycol monomers, e.g. from 2 to 10, such as e.g. -(OCThCTh)?- (referred to herein as “PEG2”), -(OCH2CH2)3- (referred to herein as “PEG3”), -(OCH2CH2)3- (referred to herein as “PEG3”), -(OCH2CH2)4- (referred to herein as “PEG4”), or -(OCH2CH2)5- (referred to herein as “PEG5”).
Arylene or a heteroarylene group Ar
[0183] In some embodiments, the group Ar is an arylene group, wherein said arylene group is as defined and described in classes and subclasses disclosed in the present invention. In other embodiments, the group Ar is an heteroarylene group, wherein said heteroaryl group is as defined and described in classes and subclasses disclosed in the present invention.
[0184] In some embodiments, said arylene or a heteroarylene group Ar is a 6- to 10- membered arylene group or a 5- or 12-membered heteroarylene group comprising one or more heteroatoms selected from the group consisting of N, O, S and Se. In some particular embodiments, the arylene or a heteroarylene group Ar is an arylene group selected from the group consisting of phenylene, naphthylene or anthracenylene, and more preferably phenylene.
[0185] In some embodiments, L may comprise a group L’ and one or more arylene or a heteroarylene groups Ar, preferably one arylene group Ar, wherein L’ and Ar are covalently linked by an amide moiety or a thiourea moiety or a bioisostere moiety thereof; being L’ preferably selected from an optionally substituted group comprising, or consisting of, a saturated or unsaturated, linear or branched C1-C40 hydrocarbon chains, polyethylene glycol (PEG), polypropylene glycol (PPG), pHPMA, PLGA, polymers of alkylene diamines, and combinations thereof.
[0186] In some particular aspects, the arylene or a heteroarylene group Ar is a 6- to 10- membered aromatic carbocyclic group or a 5- or 12-membered heterocyclic group comprising one or more heteroatoms selected from the group consisting of N, O, S and Se. In some embodiments the group Ar is and arylene group, preferably selected from the group consisting of phenylene, naphthylene and anthracenylene, more preferably phenylene, substituted by an acyl, a thiourea moiety or an amide moiety, or a bioisostere thereof. In some particular aspects the arylene group Ar is phenylene substituted by a thiourea moiety or an amide moiety, or a bioisostere thereof. For example, in some embodiments, L comprises an optionally substituted phenylene moiety. In other embodiments said phenylene group is substituted by one or more moieties selected from the group consisting of halogen, C1-6 alkyl, C1-6 haloalkyl, C1-6 acyl and C1-6 alkoxy.
[0187] In some embodiments, L may comprise an alkylene, ether, poly ether, alkylene amide, arylene group, an acyl group or a combination thereof. In a specific embodiment, L comprises a polyether, arylene group acyl group or a combination thereof. In a particular embodiment, L comprises an arylene group Ar. Preferably said arylene group Ar is a 6- to 10-membered aromatic carbocyclic group. In some particular aspects the arylene group Ar is selected from the group consisting of phenylene, naphthylene and anthracenylene, preferably phenylene substituted by a thiourea moiety or an amide moiety, or a bioisostere thereof. [0188] In a specific embodiment L comprises a PEG. In another specific embodiment, L comprises a PEG and one aromatic group, such as an arylene group Ar. In another specific embodiment, L comprises a PEG, one or more groups Ci-6 alkyl and one aromatic group, such as an arylene group Ar. In a specific embodiment, L comprises a PEG and an aryl group Ar selected from the group consisting of phenylene, naphthylene and anthracenylene, preferably phenylene, substituted by a thiourea moiety or an amide moiety, or a bioisostere thereof.
Lipid moiety Pl
[0189] In some embodiments the group Pl is a lipid or a phospholipid comprising two fatty acids selected independently from saturated, monounsaturated and polyunsaturated Cs-3o fatty acids, for example Cio-28, C12-26, C14-24, C16-22 fatty acids. In some embodiments the fatty acids are saturated fatty acids. In some embodiments the fatty acids are C14 or Cis saturated fatty acids.
[0190] In some embodiments Pl is a phospholipid moiety comprising two fatty acids selected independently from saturated, monounsaturated and polyunsaturated Cs-3o fatty acids, for example C10-28, C12-26, C14-24, C16-22 fatty acids, preferably Pl is a phosphatidylcholine, comprising two fatty acids as described above herein linked to the extender group E by the terminal nitrogen atom of the choline moiety.
Extender moiety E-NH- and extender group E
[0191] In some embodiments, the extender group E of the extender moiety E-*NH- comprises one or more groups selected from the group consisting of a polyethylene glycol (PEG) and a polypropylene glycol (PPG).
[0192] In some embodiments the extender group E comprises a group PEG1000 (p=21, average molecular weight 1000 Da) to PEG5000 (p=l 18, average molecular weight 5000 Da).
[0193] The average molecular weight (MW) of the PEG or PPG groups may be measured by any of the methods known in the art, such as, for example, TOF-MS (time- of-flight mass spectrometry). [0194] In some aspects, the extender group E of the extender moiety E-*NH- comprises a PEG covalently linked to the lipid moiety Pl by an ester moiety or by a bioisostere moiety thereof.
[0195] In some aspects, the extender group E of the extender moiety E-*NH- comprises a PEG covalently linked to the phospholipid moiety Pl by a urethane moiety, or a bioisostere moiety thereof.
[0196] In some embodiments the extender group E of the extender moiety E-*NH- comprises a PEG with 1 to 200, preferably 20 to 80, ethylene glycol units (-OCH2CH2), i.e. the group E comprises a group (OCEECEyp, wherein p is 1 to 200, preferably 20 to 80 representing p the average number of PEG units in a range of molecular weights and oligomeric form. In some embodiments the polyethylene glycol (PEG) is referred to by the average molecular weight thereof, for instance a PEG featuring an average molecular weight of 2000 Da may be referred to as a PEG2000.
[0197] In some embodiments the extender group E comprises a PEG and the phospholipid is a phosphatidylcholine, wherein the PEG is linked to the terminal nitrogen of the choline moiety of the phosphatidylcholine moiety by a urethane group.
[0198] In some embodiments, the extender group E is a PEG group with 1 to 200, preferably 20 to 80, ethylene glycol units (-OCH2CH2), i.e. the group E comprises a group (OCH2CH2)p, wherein p is 1 to 200, preferably 20 to 80, and the lipid moiety Pl and the extender moiety E-NH form together a lipidic moiety Pl-E-NH- derived from, or included in, an amine derivative PI-E-NH2 of one of the PEGylated lipids disclosed in the present specification.
Compound of formula (I)
[0199] Some embodiments refer to a compound of formula (I):
S
J-L *
RL— N N — E — PI
H H (I) wherein Pl is a phospholipid moiety;
E-*NH- is an extender moiety comprising an extender group E and a group -*NH-; and RL-NH- is a functional moiety including a nitrogen containing group -NH- and a group RL, and wherein said functional moiety RL-NH- comprises a steric shielding agent, a labelling agent, a cell-type targeting ligand or a receptor targeting ligand, a drug moiety or a combination thereof.
[0200] In some aspects, the extender group E of the extender moiety E-*NH- comprises a polyethylene glycol (PEG) or a polypropylene glycol (PPG).
[0201] In some aspects, the extender group E of the extender moiety E-*NH- comprises a PEG covalently linked to the phospholipid moiety Pl by a urethane group or a bioisostere moiety thereof and the compound of formula (I) is represented by formula (la):
Figure imgf000050_0001
wherein p is 1 to 200; preferably 20 to 80; and Pl and RL-NH are as defined and described in classes and subclasses disclosed in the present invention.
[0202] In some aspects, the functional moiety RL comprises an aryl group Ar and the compound of formula (I) is represented by formula (lb), (Ic) or (Id):
Figure imgf000050_0002
Figure imgf000051_0001
wherein p is 1 to 200; preferably 20 to 80; mi and m2 are each independently 0 or 1; and Pl, Ar, L’ and Z are as defined and described in classes and subclasses disclosed in the present invention.
[0203] In some embodiments, L’ is an optionally substituted group selected from the group consisting of saturated or unsaturated, linear or branched C1-C40 hydrocarbon chains, a polyether of a branched C3-10 polyol, alkylamide groups, polyethylene glycol (PEG), polypropylene glycol (PPG), pHPMA, PLGA, polymers of alkyl diamines and combinations thereof; preferably L’ is polyethylene glycol. In some embodiments, L’ is a polyethylene glycol (PEG), comprising 1 to 40 ethylene glycol monomers. In some preferred embodiments the polyethylene glycol (PEG) is PEG3, PEG4, or PEG5.
[0204] In some particular embodiments, the compound of formula (I), as defined in the present disclosure, comprises more than one spacer L selected from the group consisting of Li, L2 and L3, and said compound of formula (I) is selected from the group consisting of formula (Ifi), (Ifz) and (Ifs):
Figure imgf000051_0002
wherein Pl, E, Z, Li, L2 and L3 are as defined and described in classes and subclasses disclosed in the present invention.
[0205] In some embodiments, Li is an optionally substituted group selected from the group consisting of saturated or unsaturated, linear or branched C1-C40 hydrocarbon chains, a polyether of a branched C3-10 polyol, alkylamide groups, polyethylene glycol (PEG), polypropylene glycol (PPG), pHPMA, PLGA, polymers of alkyl diamines and combinations thereof; preferably Li is polyethylene glycol. In some embodiments, Li is a polyethylene glycol (PEG), comprising 1 to 40 ethylene glycol monomers. In some preferred embodiments the polyethylene glycol (PEG) is PEG3, PEG4, or PEG5. In some embodiments L’ is Li.
[0206] In some embodiments, L2 comprises one or more arylene or a heteroarylene groups Ar, as defined herein. In some preferred embodiments, L2 comprises a phenylene group.
[0207] In some aspects, Li is a polyethylene glycol (PEG), comprising 1 to 40 ethylene glycol monomers; L2 comprises one arylene group; L3 is a C1-6 alkylene group, L3 is covalently linked to L2 by one carbon atom of the arylene group; and Li and L2 or Li and L3 are covalently linked by a thiourea moiety -NHC(S)NH or by an amide moiety, or a bioisostere moiety thereof, for example being the amide moiety -N(H)C(O)-, or a bioisostere moiety thereof.
[0208] Examples of bioisostere moieties of the amide -N(R1)C(O)- or of the thiourea moiety -NHC(S)NH-, may be selected from -C(O)N(R1)-, -N(R3)C(O)N(R1)-, -N(R1)C(O)N(R3)-, -N(R1)C(S)-, -C(S)N(R1)-, -N(R1)C(S)N(R3)-, -N(R3)C(S)N(R1)-, -S(O)2-N(R1)-, -N(R1)-S(O)2- and a triazolyl group, among others, wherein R3 and R1 are each independently selected from the group consisting of H, C1-6 alkyl, C1-6 haloalkyl, aryl, alkylaryl, Z-(OCH2-CH2)n-, Z-NH-(CH2)q-(OCH2-CH2)n-, and
Z-C(O)-(CH2)q-(OCH2-CH2)n-, wherein q is selected from 1 to 3, n is selected from 1 to 40, and R3 may be the same or different from R1, and preferably wherein R3 and R1 are both H. [0209] In some embodiments, L’, Li or L3 may be selected from alkyl (e.g., C1-20, C1-12, C1-6 alkyl), ether, polyether, polyester, alkyl amide, or a combination thereof. As used herein, “combination” means that L’, Li or L3 may comprise several hydrocarbon chains, oligomer chains or polymeric chains (e.g. 2, 3, 4, 5 or 6) linked by any appropriate group, such as -O-, -S-, -NHC(O)-, -OC(O)-, -C(O)-O-C(O)-, -NH-, -NH-CO-NH-, -O-CO-, -NH-(CS)-NH-, -NH-CS- phosphodiester or phosphorothioate groups. The use of a variety of alkyls is contemplated, including, but not limited to, -(CH2)m-, wherein “m” is from about 2 to about 20 or more. In some embodiments, L3 comprises a C1-20 straight or branched alkyl chain.
[0210] In some embodiments, L’, Li or L3 may also comprise polyesters such as polycaprolactone (e.g., polycaprolactone having a molecular weight between about 200 and about 5000 g/mol) or poly(D,L-lactic-co-glycolic acid) (PLGA) (e.g., PLGA having a molecular weight between about 200 and about 5000 g/mol).
[0211] In some embodiments, L’, Li or L3 may be selected from an optionally substituted group comprising, or consisting of, saturated or unsaturated, linear or branched C1-C40 hydrocarbon chains, polyethylene glycol, polypropylene glycol, pHPMA, PLGA, polymers of alkylene diamines, and combinations thereof. The use of a variety of alkyl amides is contemplated, including, but not limited to, - (CH2)m3- C(O)NH- (CH2)m4- and -(OCH2CH2)m3-C(O)NH-(OCH2CH2)m4-, wherein “m3” and “n ’ can be the same or different and “m3” and ‘W’ are from about 1 to about 20 or more. In some embodiments, Li or L3 is an alkyl amide of formula - (CH2)m3- C(O)NH- (CH2)m4- or -(OCH2CH2)m3-C(O)NH-(OCH2CH2)m4-, wherein “m3” and “nu” are each independently selected from an integer from 1-10, an integer from 1-6, and integer from 3-6, and integer from 3-5, or an integer independently selected from 1, 2, 3, 4, 5, 6, 7, 8, 9, or 10. The use of a variety of amides having the linking units of alkyl or ether bonds is contemplated, including, but not limited to, -Rs-C(O)NH-R6- , wherein “R5” and “Re” are each independently selected from alkyls (e.g., C1-20, C1-12, C1-6 alkyl), ethers, or polyethers.
[0212] In some embodiments, L’ or Li may also comprise an acyl group -C(O)-(CH2)r, or an alkylene amine, e.g.,-NH-(CH2)r-, or an alkylene diamine, e.g., -NH-(CH2)r-NH-, where “r” is an integer from 2 to 20, for instance from 2 to 10, or an integer selected from 2, 3, 4, or 5. In some embodiments, L’ or Li is a polymer of alkylene diamines (also known as polyamines), e.g., a compound of formula -NH-[(CH2)r-NH]t-, where “r” is as defined above and herein, and “f ’ is an integer of at least 2, for example of at least 3, 4, 5, 10 or more. Polymers of alkyl diamines of interest are, for instance, spermidine, and spermine. In some embodiments, L’ or Li may also comprise polyamides such as poly(N-(2-hydroxypropyl)methacrylamide) (pHPMA), (e.g., pHPMA having a molecular weight between about 200 and about 5000 g/mol).
[0213] In some embodiments, L3 is a group C1-6 alkylene. In some preferred embodiments, L3 is a C1-3 alkylene, more preferably L3 is -CH2-.
[0214] It will be appreciated that, in the case wherein L (or L’, or Li) comprises a PEG group directly linked to a saccharide Z, the terminal oxygen atom of the PEG group, when present on the side of Z, can be part of Z. This is the case for example when Z is a saccharide wherein the anomeric carbon bears the PEG linker. [0215] In an illustrative embodiment, the compound of formula (I) is selected from:
Table 1
Figure imgf000054_0001
Figure imgf000055_0001
[0216] For the purposes of the present disclosure, when the compound of formula (I) comprises a saccharide, the stereochemistry of the anomeric carbon of said saccharides, when present, has not been represented in the drawings and figures of the compound of formula (I) disclosed in the present invention. Intermediate compounds of formula (II) and (III)
[0217] In some embodiments, the present invention provides a compound of formula (III) which is useful in obtaining a compound of formula (I), as disclosed in the present invention:
H2N— E— PI(III) wherein Pl and E are as defined and described in classes and subclasses disclosed in the present invention.
[0218] In some embodiments, the extender group E of the extender moiety E-*NH- comprises a PEG covalently linked to the phospholipid moiety Pl by a urethane group or a bioisostere moiety thereof and the compound of formula (III) is represented by formula (Illa):
Figure imgf000056_0001
wherein Pl and p are as defined and described in classes and subclasses disclosed in the present invention.
[0219] In some embodiments, the present invention provides a compound of formula (II) which is useful in obtaining a compound of formula (I), as disclosed in the present invention:
RL— NCS(II) wherein RL is defined and described in classes and subclasses disclosed in the present invention.
[0220] In some embodiments, the compound of formula (II) comprises more than one spacer L selected from the group consisting of Li, L2 and L3, and said compound of formula (II) is selected from the group consisting of formula (Ilf 1), (Ilf?) and (Ilfs):
Figure imgf000056_0002
wherein Z, Li, L2 and L3 are as defined and described in classes and subclasses disclosed in the present invention.
[0221] In some embodiments, the compound of formula (II) is selected from the group consisting of (lib), (lie) and (lid):
Figure imgf000057_0001
wherein Z, L’, Ar, mi and m2 are as defined and described in classes and subclasses disclosed in the present invention. [0222] In some embodiments, a compound of formula (II) is selected from a compound of Table 2, or a pharmaceutically acceptable salt thereof.
Table 2
Figure imgf000057_0002
Figure imgf000058_0001
Figure imgf000059_0001
Method for obtaining the thiourea modified ionizable LNPs
[0223] Another aspect of the present invention refers to a method for manufacturing an ionizable LNP as defined and described in classes and subclasses disclosed in the present invention, wherein said method comprises: reacting a surface exposed primary amine moiety of an ionizable LNP comprising a primary amine modified phospholipid with a compound of formula (II), or a pharmaceutical salt thereof, at a pH between 7 and 9, preferably between 7.5 and 8.5: RL— NCS(II) so that the group RL is conjugated to the ionizable LNP via a thiourea moiety of formula (TH) as defined in the present description; wherein RL is as defined and described in classes and subclasses disclosed in the present invention.
[0224] As used herein, the term “surface-exposed” refers to an amino moiety that is at least partially exposed at the outer surface of the ionizable LNP.
[0225] In embodiments, said method of manufacturing an ionizable LNP as defined and described in classes and subclasses disclosed in the present invention comprises: putting into contact an ionizable cationic lipid, a non-cationic lipid, a sterol, a PEGylated lipid and a compound of formula (Illa), or a pharmaceutically acceptable salt thereof,
Me
H2N— E— PI(III) with an agent (such as a nucleic acid), as defined and described in classes and subclasses disclosed in the present invention, to form an ionizable lipid nanoparticle; conjugating the compound of formula (III) of the formed ionizable lipid nanoparticle with a compound of formula (II), at a pH between 7.5 and 8.5:
RL— NCS(n) wherein
Pl, E and RL are as defined and described in classes and subclasses disclosed in the present invention.
[0226] In yet other embodiments, said method for manufacturing an ionizable LNP as defined and described in classes and subclasses disclosed in the present invention comprises putting in contact a compound of formula (I), an ionizable cationic lipid, a noncationic lipid, a sterol and a PEGylated lipid, with an agent (such as a nucleic acid), as defined and described in classes and subclasses disclosed in the present invention.
[0227] In some embodiments, the methods herein disclosed include conditions suitable for reacting an isothiocyanate moiety of the compounds of formula (II) as defined and described in classes and subclasses disclosed in the present invention, with the amino group of a compound of formula (III). [0228] In some embodiments, suitable conditions to obtain the compound of formula (I) as defined and described in classes and subclasses disclosed in the present invention include suitable conditions to promote the formation of a covalent bond between an amino group and the isothiocyanate (-NCS) moiety.
[0229] In some embodiments, said suitable conditions include an aqueous buffer having a pH ranging from 5.5 to 10, preferably from 7 to 10, e.g. from 7.5 to 9.5, such as 7.6, 7.8 or 8.2. In some preferred embodiments, the pH is 8.
[0230] In some embodiments, an incubation buffer can be selected from TRIS buffer, borate buffer, Hepes buffer, acetate buffer, phosphate buffer e.g. PBS, or Dulbecco's phosphate-buffered saline (dPBS). In some preferred embodiments, the buffer is TRIS buffer.
[0231] In some embodiments, an incubation can last from several minutes to several hours, for instance from 5 min to 6 hours, e.g. from 3 to 5 hours. In some preferential embodiments, the incubation is about 4 hours. In some embodiments, an incubation can last from several hours to several days, for instance from 6 to 72 hours, e.g. from 12 to 48 hours or from 16 to 24 hours. In some embodiments, the incubation is ended when a sufficient yield of coupling is achieved.
[0232] In some embodiments, the temperature of incubation is typically from 4°C to 50°C. In some preferential embodiments, the incubation is performed at room temperature, i.e. at a temperature from 18 °C to 30 °C, e.g. at around 20°C. In some embodiments, the incubating solution can be stirred.
[0233] Generally, ionizable lipid nanoparticles (LNPs) can be formed by any method known in the art. For example, ionizable LNPs can be prepared by the methods described, for example, in US2013/0037977, US2010/0015218, US2013/0156845,
US2013/0164400, US2012/0225129, and US2010/0130588. In some embodiments, ionizable LNPs can be prepared using a continuous mixing method, a direct dilution process, or an in-line dilution process. The processes and apparatuses for apparatuses for preparing lipid nanoparticles using direct dilution and in-line dilution processes are described in US2007/0042031. The processes and apparatuses for preparing lipid nanoparticles using step-wise dilution processes are described in US2004/0142025. In one embodiment, the ionizable lipid particles (e.g., ionizable lipid nanoparticles) can be prepared by an impinging jet process.
[0234] Generally, the ionizable LNP particles are formed by mixing the lipids (ionizable cationic lipid, a non-cationic lipid, a sterol and a PEGylated lipid, as defined and described in classes and subclasses disclosed in the present invention), including an amine modified lipid of formula (III), or a pharmaceutically acceptable salt thereof:
Figure imgf000062_0001
or a thiourea modified compound of formula (I)
Figure imgf000062_0002
wherein Pl and E are as defined and described in classes and subclasses of the present description, dissolved in alcohol (e.g., ethanol) with a nucleic acid, or other agent (protein, small molecule drug, etc.), as defined herein, dissolved in a buffer, e.g., TRIS buffer, borate buffer, Hepes buffer, acetate buffer, citrate buffer, phosphate buffer e.g. PBS, or Dulbecco's phosphate-buffered saline (dPBS). The relative amounts of the nucleic acid and lipids in an ionizable LNP may vary as long as the ionizable LNP comprises 1% or more of an ionizable lipid relative to the total weight of the LNP (w/w).
[0235] In some embodiments, the wt/wt ratio of the lipid component to the nucleic acid in an ionizable LNP may be from about 5: 1 to about 50: 1. In some embodiments, the wt/wt ratio of the lipid component to a therapeutic and/or prophylactic may be from about 10: 1 to about 20: 1. In one embodiment, the wt/wt ratio is about 10: 1.
[0236] The lipid solution contains an ionizable cationic lipid and may contain one or more of a non-cationic lipid (e.g., a phospholipid, such as DSPC, DOPE, and DOPC), PEG or PEG conjugated molecule (e.g., PEG-lipid), and a sterol (e.g., cholesterol) at a total lipid concentration of 5-30 mg/mL in an alcohol, e.g., in ethanol. In some embodiments the lipid solution further comprises a cationic lipid and optionally other lipids (anionic lipids for example). In the lipid solution, mol ratio of the lipids can range from about 25-60% for the ionizable cationic lipid or for the addition of ionizable and cationic lipid, preferably about 35-65%; about 0-30% for the non-cationic lipid, preferably about 6-12%; about 0,01-20% for the PEG or PEG conjugated lipid molecule, preferably about 0,5-2%; and about 0-75% for the sterol, preferably about 30-50%.
[0237] The nucleic acid solution can comprise the nucleic acid (such as a mRNA) at a concentration range from 0.3 to 1.0 mg/mL in buffered solution (e.g., a citrate buffer), with pH in the range of 3.5-5. The ionizable LNPs can be prepared by combining the lipid solution with nucleic acid solution at wt:wt ratios between about 5 : 1 and about 50: 1. The lipid solution is rapidly injected using a NanoAssemblr microfluidic based system at flow rates between about 10 ml/min and about 18 ml/min into the nucleic acid solution to produce a suspension with a water to ethanol ratio between about 1 : 1 and about 4: 1.
[0238] The ionizable LNPs can be processed by dialysis to remove ethanol and achieve buffer exchange. Formulations are dialyzed against phosphate buffered saline (PBS) or Dulbecco's PBS (DPBS), pH 7.4, at 4°C for several hours.
[0239] In some embodiments, a method of the invention may comprise one or several additional steps prior to, or after the step of incubation as described above. In particular, the compounds of formula (II) and formula (III), including all compounds selected from formulae (lib), (lie), (lid), (Ilfl), (IIf2), (IIf3) and (Illa) can be prepared by several methods. The starting products are commercial products or products prepared according to known synthesis from commercial compounds or known to one skilled in the art.
[0240] The compounds of formula (III) or (Illa) comprising an amino terminal group, may be obtained commercially or may be prepared by methods well known in the art. In some embodiments the compound of formula (III) is commercially available and is DSPE-PEG2000-NH2 (compound 11C; CAS 474922-26-4).
[0241] In some examples, the synthesis of a compound of formula (II) comprises: providing a precursor selected from the group consisting of formulae (IVa), (IVb), (IVc), (IVd) and (IVe):
SCN - L2 - NCS(IVa)
Figure imgf000064_0001
and a compound of formula (V) or a compound of formula (VI): z— L -NH2 (V) Z— L -COOH(VI) wherein Z, Li, L2 and L3 are defined according to the classes and subclasses disclosed in the present invention; reacting the precursor of formulae (IVa) with the compound of formula (V) in suitable conditions to obtain a compound of formula (Ilfl):
Figure imgf000064_0002
wherein Li and L2 are covalently linked by a thiourea moiety -NHC(S)NH-; or reacting the compound of formula (IVb) with the compound of formula (V), in suitable conditions to obtain a compound of formula (Ilf?) or a compound of formula (IIf3):
Figure imgf000064_0003
wherein Li and L2, or Li and L3, are covalently linked by a thiourea moiety - NHC(S)NH-; or reacting the compound of formula (IVc) with the compound of formula (V) in suitable conditions to obtain a compound of formula (Ilfi):
Figure imgf000064_0004
wherein Li and L2 are covalently linked by an amide moiety -C(O)-NH-; or reacting the compound of formula (IVd) with the compound of formula (V) in suitable conditions to obtain a compound of formula (Ilf?):
Figure imgf000064_0005
wherein Li and L2, are covalently linked by an amide moiety -C(O)-NH-; or reacting the compound of formula (IVe) with the compound of formula (VI) in suitable conditions to obtain a compound of formula (Ilfi):
Figure imgf000065_0001
wherein Li and L2 are covalently linked by an amide moiety -NH-C(O)-. [0242] The compounds of formulae (IVa), (IVb), (IVc), (IVd), (IVe) and compounds of formulae (V) and (VI) may be obtained commercially or prepared by well-known methods in the art. For instance, the primary amine containing compounds of formula (V) may be prepared by reduction from the corresponding azide derivatives, which may be obtained as described in the application WO2022096681. [0243] In some embodiments the compound of formula (lib):
Figure imgf000065_0002
is prepared by reacting a compound of formula (Vllb):
Figure imgf000065_0004
with a compound of formula (V’): z— L'-NH2 (v,} in suitable conditions, wherein Z, L’, Ar and m2 are as defined according to the classes and subclasses disclosed in the present invention.
[0244] In some embodiments the compound of formula (lie):
Figure imgf000065_0003
is prepared by reacting a compound of formula (Vile)
Figure imgf000066_0001
with a compound of formula (VI’)
Figure imgf000066_0002
in suitable conditions, wherein Z, L’, Ar and m2 are as defined according to the classes and subclasses disclosed in the present invention.
[0245] In some embodiments the compound of formula (lid) :
Figure imgf000066_0003
is prepared by reacting a compound of formula (Vlld)
Figure imgf000066_0004
with a compound of formula (V’) z— U-NH2 (V,} in suitable conditions, wherein Z, L’, Ar, mi and m2 are as defined according to the classes and subclasses disclosed in the present invention.
[0246] The compounds of formulae (V’) and (VI’), as well as the compounds of formulae (Vllb), (Vile) and (Vlld) may be obtained commercially or prepared by well- known methods in the art. For instance, the primary amine containing compounds of formula (V’) may be prepared by reduction from the corresponding azide derivatives, which may be obtained as described in the application WO2022096681. [0247] In yet other embodiments, said method of manufacturing an ionizable LNP as defined and described in classes and subclasses disclosed in the present invention comprises putting in contact a compound of formula (I), an ionizable cationic lipid, a noncationic lipid, a sterol and a PEGylated lipid; and wherein the functional moiety RL-NH- of the compound of formula (I) comprises a group Z and one or more spacers L, wherein Z is H or a cell-type specific ligand selected from the group consisting of monosaccharides, oligosaccharides, hormones, peptides, glycosylated peptides, vitamins, and drugs moieties, and L comprises one or more groups selected from the group consisting of an aryl or a heteroaryl groups, an optionally substituted group comprising saturated or unsaturated, linear or branched C1-C40 hydrocarbon chains, a poly ether of a branched C3-10 polyol, alkylamide groups, a polyethylene glycol (PEG), a polypropylene glycol (PPG), pHPMA, PLGA, polymers of alkylene diamines, and combinations thereof.
Uses of provided ionizable LNPs
[0248] Ionizable lipid nanoparticles (ionizable LNPs) of the present invention can be designed for one or more specific applications. The ionizable LNPs of the present invention can be used as enhanced delivery of agents (e.g., therapeutic agents). The ionizable LNPs of the present invention can be used to deliver a wide variety of different agents to target cells. Typically, the agent delivered by the ionizable LNPs is a nucleic acid (e.g. mRNAs, cDNAs, or gene editing tools such as CRISPR or alternative systems), a small molecule drug (e.g. antibiotics), a chemotherapy drug (e.g. HDAC inhibitors), a peptide, a protein (e.g. monoclonal antibodies or enzymes) and another biological molecule (e.g. a viral vectors such as rAAVs). In some embodiments, the ionizable LNPs of the present invention can be used as a research tool. In some embodiments, the ionizable LNPs of the present invention can be used as a medicament, for instance for use in gene therapy or protein replacement therapy as vectors for the delivery of therapeutic nucleic acids such as DNA or RNA or therapeutic proteins, for the delivery of antibodies or antibody fragments, or for the delivery of other type of drugs, for example a chemotherapy drug. In some embodiments, the ionizable LNPs of the present invention can be used in a diagnostic means, e.g. as an imaging agent. In some embodiments, the ionizable LNPs of the present invention can be used as a combination of both a therapeutic and diagnostic tool, e.g., theragnostic use.
Modifications of biological functionalities and/or properties of the ionizable LNPs
[0249] In some embodiments, chemical modifications of the components of the ionizable LNPs may modify one, or several, of its biological functionalities and/or properties. In some embodiments, biological functionalities and/or properties can depend on the nature of functional moiety RL which is introduced to modify the ionizable LNPs in the present invention. In some embodiments, one or more biological properties of a modified ionizable LNPs can be altered compared to the unmodified ionizable LNPs, such as: i. a modified selectivity of the ionizable LNPs towards a specific organ, tissue, and/or cell type (e.g. an increased selectivity or a shifted selectivity from one tissue/organ/cell to another); and/or ii. a modified immunoreactivity of the ionizable LNPs, e.g. a decreased immunogenicity of the ionizable LNPs and/or a decreased affinity for neutralizing antibodies, and/or said ionizable LNPs triggers an altered response when administered in vivo, e.g. does not generate ionizable LNPs-directed neutralizing antibodies; and/or iii. an increased efficiency of the ionizable LNPs; and/or iv. an increased transfection efficacy of the ionizable LNPs towards a specific cell, tissue, and/or organ; and/or v. a reduced cellular toxicity when transfecting cells in culture; and/or vi. an induced cellular targeted mortality of cancer cells; and/or vii. enabling the visualization/monitoring of the ionizable LNPs upon in vivo administration or upon modification of cells in vitro,' and/or viii. enabling theragnostic applications; e.g. combining a therapeutic agent and a diagnostic agent.
[0250] In some embodiments, when the ionizable LNPs is used as a medicament, e.g. as a gene vector for gene therapy, such modified properties may result in an improvement in the therapeutic index of the ionizable LNPs. In some embodiments, an improvement in the therapeutic index of the ionizable LNPs can result from decreases in the relative dose of ionizable LNPs to administer to the subject in order to achieve the sought therapeutic effect, such a reduction in dosage can decrease the relative toxicity of the ionizable LNPs therapeutic regime.
[0251] In some embodiments, the ionizable LNPs of the present invention show a preferential tropism for an organ or cell selected from liver, heart, brain, joints, retina, and/or skeletal muscle. In some embodiments, the ionizable LNPs of the invention show a preferential tropism for cultured cells selected from, but not limited to, hepatocytes, cardiomyocytes, myocytes, neurons, motor neurons, retinal pigmented cells, photoreceptors, chondrocytes, hematopoietic stem cells (HSC), and/or induced pluripotent stem cells (iPS).
Uses and method for transducing/transfecting cells
[0252] In some embodiments, the present invention relates to ionizable LNPs according to the present invention, for use in transducing or transfecting a cell of a subject.
[0253] By “transducing a cell” or transfecting a cell” it is herein referred to delivering an agent, as defined herein, such as a nucleic acid or a protein (e.g. antibody or fragment thereof) into a cell. The transduced/transfected nucleic acid or protein of interest may be of any type and is selected depending on the sought effect. In some embodiments, when the ionizable LNP according to the present invention is used for transfecting a cell, it comprises a gene or a protein.
[0254] In some embodiments, the ionizable LNP according to the invention can comprise any of the therapeutic nucleic acids as defined according to the classes and subclasses disclosed in the present invention, such as, for example, minigenes, plasmids, minicircles, small interfering RNA (siRNA), microRNA (miRNA), antisense oligonucleotides (ASO), ribozymes, closed ended double stranded DNA (e.g., ceDNA, CELiD, linear covalently closed DNA ("ministring"), doggybone™, protelomere closed ended DNA, or dumbbell linear DNA), dicer- substrate dsRNA, small hairpin RNA (shRNA), LNAs, asymmetrical interfering RNA (aiRNA), microRNA (miRNA), mRNA, tRNA, rRNA, CRISPR/Cas9 technology and sgRNA, and DNA viral vectors, viral RNA vector, and any combination thereof. For example, the ionizable LNP according to the invention can comprise an exogenous gene expression cassette. In some embodiments, said cassette may comprise a promoter, a gene of interest, and a terminator. Nucleic acids useful in the disclosure typically include a first region of linked nucleosides encoding a polypeptide of interest (e.g., a coding region), a first flanking region located at the 5’- terminus of the first region (e.g., a 5’-UTR), a second flanking region located at the 3’- terminus of the first region (e.g. , a 3 ’ -UTR) at least one 5 ’ - cap region, and a 3 ’ -stabilizing region. In some embodiments, a nucleic acid further includes a poly-A region or a Kozak sequence (e.g., in the 5 ’-UTR). In some embodiments, a nucleic acid (e.g., an mRNA) may include a 5’ cap structure, a chain terminating nucleotide, a stem loop, a poly A sequence, and/or a polyadenylation signal. Any one of the regions of a nucleic acid may include one or more alternative components (e.g., an alternative nucleoside). In some embodiments, the 3 ’-stabilizing region may contain an alternative nucleoside such as an L-nucleoside, an inverted thymidine, or a 2’-0-methyl nucleoside and/or the coding region, 5;-UTR, 3 ’-UTR, or cap region may include an alternative nucleoside such as a 5-substituted uridine (e.g., 5 -methoxy uridine), a 1 -substituted pseudouridine (e.g., 1 - methyl-pseudouridine), and/or a 5-substituted cytidine (e.g., 5-methyl- cytidine).
[0255] In some embodiments, as an additional or alternative example, the ionizable LNP of the invention may comprise a DNA template for homologous recombination in cells. In some embodiments, such ionizable LNP can be used in combination with gene editing tools, for promoting homologous recombination in targeted cells. In some embodiments, the gene editing tools can be a guide polynucleotide configured to specifically bind the target polynucleotide and direct an endonuclease or a fragment thereof. The endonuclease may be part of a clustered regularly interspaced short palindromic repeats (CRISPR)/CRISPR-associated (Cas) protein complex. The heterologous endonuclease may be a clustered regularly interspaced short palindromic repeats (CRISPR)-associated (Cas) endonuclease or any alternative system such as the OMEGA (Obligate Mobile Element-guided Activity) system or a system based on Fanzor (Fz), a eukaryotic programmable RNA-guided endonuclease encoded by transposable elements.
[0256] In some embodiments, the gene editing tools can be of any type, and encompass, without being limited to, CRISPR and its associated systems (including without limitation a Cas protein such as a Cas9 protein, or fusion protein thereof, or a Cas mRNA such as a Cas9 mRNA, a crRNA and tracrRNA, the latter two being either separate or linked together in a single gRNA), TALEN, Zinc Finger Nuclease, meganuclease, as well as RNA and DNA encoding said gene editing proteins and their associated systems.
[0257] Accordingly, the present invention further refers to a method for editing the genome of a target cell with the CRISPR/Cas9 system comprising: contacting the target cell with an ionizable LNP, as defined and described in classes and subclasses disclosed in the present invention, wherein the ionizable LNP comprises one or more components of the CRISPR/Cas9 system and a group RL conjugated to the ionizable LNP via a thiourea moiety of formula (TH) as defined herein, wherein said group RL comprises a cell-type targeting ligand or a receptor targeting ligand of the target cell. For example, the Cas9 enzyme and single-guide RNA can be encapsulated in the ionizable LNP.
[0258] In some embodiments, the present invention also refers to a non-therapeutic method for delivering an agent (e.g. a nucleic acid or a protein) to a target cell comprising: contacting the target cell with an ionizable LNP, as defined and described in classes and subclasses disclosed in the present invention, wherein the ionizable LNP comprises the agent (e.g. the nucleic acid or the protein) to be delivered and a group RL, conjugated to the LNP via a thiourea moiety of formula (TH):
Figure imgf000071_0001
wherein N is a nitrogen atom from the functional moiety RL-NH-, and wherein N* is a nitrogen atom of a phospholipid or a lipid Pl, comprising the group RL a cell-type targeting ligand or a receptor targeting ligand of the target cell.
[0259] In some embodiments, the present invention also refers to an ionizable LNP for use in a non-therapeutic method for delivering an agent (e.g. a nucleic acid or a protein) to a target cell, wherein said method comprises: contacting the target cell with an ionizable LNP, as defined and described in classes and subclasses disclosed in the present invention, wherein the ionizable LNP comprises the agent (e.g. the nucleic acid or the protein) to be delivered and a group RL, conjugated to the LNP via a thiourea moiety of formula (TH):
Figure imgf000072_0001
wherein N is a nitrogen atom from the functional moiety RL-NH-, and wherein N* is a nitrogen atom of a phospholipid or a lipid Pl, comprising the group RL a cell-type targeting ligand or a receptor targeting ligand of the target cell.
[0260] In some embodiments, the method for delivering an agent (e.g. a nucleic acid or a protein) comprises contacting the target cell with an ionizable LNP, wherein the ionizable LNP comprises the agent (e.g. the nucleic acid or the protein) to be delivered and compound of formula (I):
Figure imgf000072_0002
wherein
Pl is a phospholipid moiety;
E-*NH- is an extender moiety comprising an extender group E and a group -*NH-; and RL-NH- is a functional moiety including a nitrogen containing group -NH- and a group RL, and wherein the functional moiety RL-NH- of the compound of formula (I) comprises a cell-type targeting ligand or a receptor targeting ligand of the target cell.
[0261] In some embodiments, the present invention also relates to the use of an ionizable LNP according to the present invention for transducing/transfecting a cell of a subject. In addition, the present invention refers also to an ionizable LNP according to the present invention for use in a method of transducing/transfecting a cell of a subject.
[0262] In some embodiments, the present invention also relates to a method for transducing/transfecting a cell of a subject, comprising administering an ionizable LNP according to the present invention to said subject. In addition, the present invention also relates to an ionizable LNP according to the present invention for use in a method for transducing/transfecting a cell of a subject, said method comprising administering an ionizable LNP according to the present invention to said subject.
[0263] In some embodiments, the present invention also relates to an ionizable LNP for use in a method of delivering an agent (e.g. a gene or a protein) to a target cell, the method comprising contacting a cell with an ionizable LNP, as defined and described in classes and subclasses disclosed in the present, and an agent (e.g. a nucleic acid (a therapeutic nucleic acid) or a protein) to be expressed in the contacted cell, in particular the gene to be expressed in the contacted cell, wherein the ionizable LNP comprises the agent (e.g. the nucleic acid or the protein) to be delivered and a compound of formula (I):
S
J-L *
RL— N N — E — PI
H H (I) wherein
Pl is a phospholipid moiety;
E-*NH- is an extender moiety comprising an extender group E and a group -*NH-; and RL-NH- is a functional moiety including a nitrogen containing group -NH- and a group RL, and wherein the functional moiety RL-NH- of the compound of formula (I) comprises a cell-type targeting ligand or receptor targeting ligand of the target cell.
[0264] In some embodiments, the present invention also relates to an ionizable LNP for use in a method for delivering an agent (e.g. a gene or a protein) into a cell of a subject, comprising administering an ionizable LNP, according to the present invention, comprising said agent (e.g. said gene or said protein), or a composition comprising the same, to said subject.
[0265] In some embodiments, the present invention further relates to an in vitro or ex vivo method for transducing/transfecting a cell, comprising contacting said cell with an ionizable LNP according to the invention. In some embodiments, the cell may be from a subject (e.g., a patient). In some embodiments, after transfection, the cell may be transplanted to a subject in need thereof (e.g., the patient, and/or another subject). [0266] In some embodiments, an ionizable LNP can be administered to a cell in vivo, ex vivo, or in vitro. In some embodiments, the cell may be derived from a mammal (e.g., humans, non-human primates, cows, mice, sheep, goats, pigs, rats, etc.) In some embodiments, the cell may be derived from a human. In some embodiments, the cell may be, but is not limited to, hepatocytes, epithelial cells, hematopoietic cells, epithelial cells, endothelial cells, lung cells, bone cells, stem cells, mesenchymal cells, neural cells, cardiac cells, adipocytes, vascular smooth muscle cells, cardiomyocytes, skeletal muscle cells, beta cells, pituitary cells, synovial lining cells, ovarian cells, testicular cells, fibroblasts, B cells, T cells, reticulocytes, leukocytes, granulocytes, tumor cellsand induced pluripotent stem cells (iPS).
Use in gene therapy
[0267] In some embodiments, the ionizable LNPs described herein may be particularly useful in gene therapy, e.g., to deliver a therapeutic nucleic acid of interest to a subject.
[0268] Accordingly, in some embodiments, the present invention also relates to an ionizable LNP according to the present invention, for use as a medicament, in particular for use in gene therapy.
[0269] In some embodiments, the present invention also relates to a method of gene therapy in a subject in need thereof, comprising administering an ionizable LNP according to the present invention to said subject.
[0270] In some embodiments, an ionizable LNP of the invention can be delivered by any appropriate route to the subject. In some embodiments, appropriate administration routes encompass, without being limited to, inhalational, topical, intra-tissue (e.g. intramuscular, intracardiac, intrahepatic, intrarenal), conjunctival (e.g. intraretinal, subretinal), mucosal (e.g. buccal, nasal), intra-articular, intravitreal, intracranial, intracerebral, intravascular (e.g. intravenous), intra-arterial, intraventricular, intracisternal, intraperitoneal, and intralymphatic routes. In some embodiments, the route of administration is selected depending on the targeted tissue and/or organ, namely, depending on the tissue and/or organ in which transfection is sought. [0271] Ionizable LNPs according to the present invention may be useful for preventing or treating a disease, disorder, or condition. In particular, such ionizable LNPs may be useful in treating a disease, disorder, or condition characterized by missing or aberrant protein or polypeptide activity. In some embodiments, the ionizable LNP includes an mRNA encoding a missing or aberrant polypeptide may be administered or delivered to a cell. Subsequent translation of the mRNA may produce the polypeptide, thereby reducing or eliminating an issue caused by the absence of or aberrant activity caused by the polypeptide.
[0272] Diseases, disorders, and/or conditions characterized by dysfunctional or aberrant protein or polypeptide activity for which an ionizable LNP according to the present invention may be administered include, but are not limited to, rare diseases, infectious diseases (as both vaccines and therapeutics), cancer and proliferative diseases, genetic diseases (e.g ., cystic fibrosis), autoimmune diseases, diabetes, neurodegenerative diseases, cardiovascular diseases, and metabolic diseases.
[0273] As used herein, the terms “prevent”, “preventing” and “prevention” refer to prophylactic and preventative measures, wherein the object is to reduce the chances that a subject will develop a given disease over a given period of time. Such a reduction may be reflected, e.g., in a delayed onset of at least one symptom of the disease in the subject.
[0274] As used herein, the terms “treating” or “treatment” or “alleviation” refer to therapeutic treatment, excluding prophylactic or preventative measures; wherein the object is to slow down (lessen) a given disease. Those in need of treatment include those already with the disease as well those suspected to have the disease. A subject is successfully “treated” for a given disease if, after receiving a therapeutic amount of an LNP according to the present invention, said subject shows observable and/or measurable reduction in or absence of one or more of the following: one or more of the symptoms associated with the disease; reduced morbidity and mortality; and/or improvement in quality of life issues. The above parameters for assessing successful treatment and improvement in the targeted disease are readily measurable by routine procedures familiar to a physician. [0275] As used herein, the term “subject” refers to a mammal, preferably a human. In some embodiments, a subject may be a “patient”, z.e., a warm-blooded animal, more preferably a human, who/which is awaiting the receipt of, or is receiving medical care or was/is/will be the object of a medical procedure, or is monitored for the development of a disease. A “mammal” refers here to any mammal, including humans, non-human primates, domestic and farm animals, and zoo, sports, or pet animals, such as dogs, cats, cattle, horses, sheep, pigs, goats, rabbits, etc. Preferably, the mammal is a primate, more preferably a human.
Composition
[0276] In some embodiments, the present invention further relates to a composition comprising an ionizable LNP according to the invention. In some embodiments, the ionizable LNPs in the composition according to the present invention comprise at least one agent (e.g. a gene or a protein).
[0277] In some embodiments, the composition is a pharmaceutical composition comprising an ionizable LNP according to the invention and at least one pharmaceutically acceptable vehicle.
[0278] The term “pharmaceutically acceptable”, when referring to vehicles, excipients, carriers, and/or preservatives, is meant to define molecular entities and compositions that do not produce an allergic or similar untoward reaction when administered to a subject, preferably a human. For human administration, pharmaceutical compositions should meet sterility, pyrogenicity, and general safety and purity standards as required by regulatory offices, such as, for example, FDA Office or EMA.
[0279] In some embodiments, pharmaceutically acceptable vehicles, excipients, carriers and preservatives that may be used in these compositions include, but are not limited to, ion exchangers, alumina, aluminum stearate, lecithin, proteins (such as, e.g., serum albumin, gelatin, immunoglobulins and the like), buffer substances (such as, e.g., phosphates, citrates or other organic acids, and the like), amino acids (such as, e.g., glycine, glutamine, asparagine, arginine, lysine and the like), antioxidants (such as, e.g., ascorbic acid and the like), chelating agents (such as, e.g., EDTA), sorbic acid, potassium sorbate, partial glyceride mixtures of saturated vegetable fatty acids, water, salts or electrolytes (such as, e.g., protamine sulfate, disodium hydrogen phosphate, potassium hydrogen phosphate, sodium chloride, zinc salts, colloidal silica, magnesium trisilicate and the like), hydrophilic polymers (such as, e.g., polyvinylpyrrolidone, polyethylenepolyoxypropylene block polymers and the like), cellulose-based substances (such as, e.g., sodium carboxymethylcellulose), polyacrylates, waxes, nonionic surfactants (such as, e.g., Tween, pluronics, polyethylene glycol and the like), wool fat, and suitable combinations thereof.
[0280] In some embodiments, a pharmaceutical composition according to the present invention comprises vehicles which are pharmaceutically acceptable for a formulation intended for injection into a subject. In some embodiments, these may be in particular isotonic, sterile, saline solutions (monosodium or disodium phosphate, sodium, potassium, calcium or magnesium chloride and the like or mixtures of such salts), or dry, especially freeze-dried compositions which upon addition, depending on the case, of sterilized water or physiological saline, permit the constitution of injectable solutions.
[0281] In some embodiments, a pharmaceutical composition according to the present invention comprise one or more agents that promote the entry of ionizable LNP described herein into a mammalian cell, such as, e.g., natural and/or synthetic polymers, such as poloxamer, chitosan, cyclodextrins, dendrimers, poly(lactic-co-glycolic acid) polymers, and the like.
[0282] In some embodiments, ionizable LNPs comprising at least one agent (e.g. a gene or a protein) according to the present invention is comprised as part of a medicament. In some embodiments, the invention thus relates to a medicament comprising ionizable LNPs comprising at least one agent (e.g. a gene or protein) according to the present invention.
Regimen
[0283] In some embodiments, ionizable LNPs according to the present invention are to be administered to a subject in need thereof in a therapeutically effective amount. [0284] As used herein, the term “about”, when set in front of a numerical value, means that said numerical value is approximate and small variations would not significantly affect the practice of the disclosed embodiments. Such small variations are, e.g., of ± 1%, ± 2%, ± 3%, ± 4%, ± 5%, ± 6%, ± 7%, ± 8%, ± 9%, ± 10% or more.
[0285] In some embodiments, the dose of ionizable LNPs required to achieve a desired effect or a therapeutic effect will vary based on several factors including, but not limited to, the specific route of administration, the level of gene, RNA or protein expression required to achieve a therapeutic effect, the specific disease being treated, and the stability of the gene, RNA, and/or protein product. A person skilled in the art can adjust dosing and/or determine a dose range to treat a particular subject and/or a particular disease based on the aforementioned factors, as well as other factors that are well known in the art.
[0286] In some embodiments, the volume of ionizable LNPs administered to a subject will also depend, among other things, on the size of the subject, the dose of the ionizable LNP required to obtain therapeutic effect, the concentration of the ionizable LNP, and the proposed route of administration.
[0287] In some embodiments, the rate of administration of ionizable LNPs delivered to a subject will also depend, among other things, on the size of the subject, the dose of the ionizable LNP required to obtain therapeutic effect, the concentration of the ionizable LNP, the volume of the ionizable LNP solution, and the proposed route of administration.
[0288] In some embodiments, the total dose or total volume of ionizable LNPs may be administered continuously (z.e., wherein the total dose or total volume of modified ionizable LNPs is injected in a single shot or infusion); or discontinuously (z.e., wherein fractions of the total dose or total volume of ionizable LNPs are injected with intermittent periods between each shot, preferably with short intermittent periods such as periods of time of 15 seconds, 30 seconds, 45 seconds, 1 minute, 2 minutes, 3 minutes, 4 minutes, or 5 minutes between each shot or infusion).
Kits
[0289] The present invention also relates to kits and kits-of-parts, for: transfecting a cell of a subject; and/or delivering an agent (e.g. a gene or a protein) to a subject; and/or preventing and/or treating a disease in a subject.
[0290] In some embodiments, the kits or kits-of-parts comprise ionizable LNPs and/or compositions according to the present invention.
[0291] In some embodiments, the kits or kits-of-parts further comprise a device for delivery of ionizable LNPs and/or compositions according to the present invention.
[0292] In some embodiments, the kits further include instructions for delivery of ionizable LNPs and/ or compositions according to the present invention. In some embodiments, kits comprise instructions for preventing and/or treating a targeted disease, using the compositions, and/or methods described herein.
[0293] In some embodiments, kits described herein may further include other materials desirable from a commercial and user standpoint, including buffers, diluents, filters, needles, syringes, and/or package inserts with instructions for performing any methods described herein.
BRIEF DESCRIPTION OF THE FIGURES
[0294] Figure 1. Dot blot analysis. mRNA containing LNP1 was added to a solution of fluorescein isothiocyanate isomer 1 (CAS 3326-32-7) (1E2 eq) (i.e. Compound IB of Table 2) in Tris buffer (pH 8) and incubated for 4h at 20°C in order to obtain the conjugated LNP1-1B11C. The conjugated LNP (LNP1-1B11C, and LNP3 - Negative control) was analyzed by dot blot using Fluorescein Polyclonal Antibody, HRP (anti- FITC) to detect LNPs coupled to their functional moiety (i.e. fluorescein).
[0295] Figure 2A are dot blot analysis. LNP encapsulating mRNA was added to a solution of compound (2B) (8E2 eq) in Tris buffer (pH8) and incubated for 4h at 20°C. Each coupling was analyzed by dot blot using ConA, HRP (anti-ConA) to detect LNPs coupled to their linker. Figure 2B are ConA binding assay using dynamic light scattering to monitor the size of the LNP particles over time to detect the interaction of ConA with the mannose present at the surface of the conjugated LNPs.
[0296] Figure 3A are dot blot analysis. LNP encapsulating mRNA was added to a solution of (6B) (8E2 eq) in Tris buffer (pH8) and incubated for 4h at 20°C. Each coupling was analyzed by dot blot using a HIS-tagged RPL-fucl lectin, then anti-HIS to detect LNPs coupled to their linker. Figure 3B are Lectin binding assays with a specific lectin binding to Fucose (RPL-Fucl) using dynamic light scattering to monitor the size of the LNP particles over time to detect the interaction of the lectin with the fucose present at the surface of the conjugated LNPs.
EXAMPLES
[0297] The starting products used are commercial products or products prepared according to known synthesis from commercial compounds or known to one skilled in the art.
[0298] The structures of the compounds described in the examples were determined according to the usual spectrophotometric techniques (nuclear magnetic resonance (NMR), liquid chromatography-mass spectrometry (LC/MS) and purity was determined by high performance liquid chromatography (HPLC).
[0299] Synthesis intermediates and compounds of the invention are named according to the TUPAC (The International Union of Pure and Applied Chemistry) nomenclature and described in their neutral form.
[0300] The following abbreviations have been used: ACN: acetonitrile
CH2Q2 or DCM: dichloromethane
DMF : dimethylformamide
DMSO : dimethylsulfoxide
EtOAc: ethyl acetate
EtOH : ethanol
Flue : Firefly luciferase
H2O: water
MeOH: methanol
MgSCU: magnesium sulfate
Na2SO4: sodium sulfate
NaHCCE: sodium bicarbonate
NEts or TEA: triethylamine
Pd/C: palladium on carbon
Pd(OH)2: palladium (II) hydroxide
SCEPy: sulfur trioxide pyridine complex
THF : tetrahydrofuran
LC/MS: liquid chromatography -mass spectrometry
HPLC: High Performance Liquid Chromatography
NMR: Nuclear Magnetic Resonance
EXAMPLE 1: Intermediate compounds of formula (II): IB, 2B, 3B, 4B, 5B, 6B, 7B, 8B, 9B and 10B
[0301] Compound IB (fluorescein isothiocyanate isomer 1; CAS 3326-32-7) is commercially available.
Example 1.1 - Synthesis of compound (2B): l-(4-isothiocyanatophenyl)-3-(2-(2-(2- (((3S,4S,5S,6R)-3,4,5-trihydroxy-6-(hydroxymethyl) tetrahydro-2H-pyran-2- yl)oxy)ethoxy)ethoxy)ethyl)thiourea
[0302] Step 1: Synthesis of (3S,4S,5S,6R)-2-(2-(2-(2-aminoethoxy)ethoxy)ethoxy)-6- (hydroxymethyl) tetrahydro-2H-pyran-3,4,5-triol
Figure imgf000081_0001
[0303] To a solution of (3S,4S,5S,6R)-2-(2-(2-(2-azidoethoxy)ethoxy)ethoxy)-6- (hydroxymethyl)tetrahydro-2H-pyran-3,4,5-triol (7.3 g), synthesized as described in the application WO2022096681, in MeOH, was added Pd/C (1.15 g) under argon atmosphere. The reaction mixture was stirred under hydrogen atmosphere overnight, filtered through a pad of Celite, and the filtrate was concentrated under reduced pressure to dryness. The crude product was used for the next step without further purification (7.1 g, quantitative yield). LC/MS (6 min): RT = 0.5 min, found [M+H]+ = 312.00
[0304] Step 2: Synthesis of l-(4-isothiocyanatophenyl)-3-(2-(2-(2-(((3S,4S,5S,6R)-
3,4,5-trihydroxy-6-(hydroxymethyl) tetrahydro-2H-pyran-2-yl)oxy)ethoxy) ethoxy)ethyl)thiourea
Figure imgf000082_0001
[0305] To a solution of previous compound (7.1 g) and p-phenylene diisothiocyanate (3.98 g) in MeOH/DCM was added TEA (3.2 mL) at room temperature. The reaction mixture was stirred for Ih, and the solvents were evaporated to dryness under reduced pressure. The residue was triturated with DCM to remove an unreacted p-phenylene diisothiocyanate. The crude material was purified by preparative HPLC using ACN/H2O as an eluent. The fractions containing the pure product were combined and evaporated to dryness under reduced pressure. The resulting oil was dissolved in a small amount of H2O, the solution was being frozen, and next freeze-dried to deliver the final material as an off white solid (750 mg, 7% yield). LC/MS (12 min): RT = 4.59 min, found [M+H]+ = 504.2; [M-H]- = 502.3. HPLC purity: 95.2% (200 nm), 95.0% (293 nm). ’H NMR (300 MHz, DMSO-t/6) 8 (ppm): 9.80 (s, IH), 7.94 (s, IH), 7.63 - 7.54 (m, 2H), 7.43 - 7.34 (m, 2H), 4.76 (dd, J= 9.3, 4.6 Hz, 2H), 4.66 - 4.59 (m, 2H), 4.47 (t, J= 5.9 Hz, IH), 3.74 - 3.60 (m, 4H), 3.59 - 3.49 (m, 10H), 3.47 - 3.39 (m, 2H), 3.33 - 3.26 (m, 2H) Example 1.2 - Synthesis of compound (3B): l-(4-isothiocyanatophenyl)-3-(2-(2-(2-
(((3R,4S,5R,6R)-3,4,5-trihydroxy-6-(hydroxymethyl) tetrahydro-2H-pyran-2-yl)oxy) ethoxy)ethoxy)ethyl)thiourea
[0306] Step 1: Synthesis of (3R,4S,5R,6R)-2-(2-(2-(2-aminoethoxy)ethoxy)ethoxy)-6-
(hydroxymethyl)tetrahydro-2H-pyran-3 ,4, 5 -triol
Figure imgf000083_0001
[0307] To a solution of (3R,4S,5R,6R)-2-(2-(2-(2-azidoethoxy)ethoxy)ethoxy)-6- (hydroxymethyl) tetrahydro-2H-pyran-3,4,5-triol (410 mg), synthesized as described in the application WO2022096681, in MeOH/THF, was added Pd(OH)2 (90 mg) under argon atmosphere. The reaction mixture was stirred under hydrogen atmosphere overnight and filtered through a pad of Celite. The solvent was evaporated to dryness under reduced pressure. The crude product was used for the next step without further purification (370 mg, quantitative yield). LC/MS (6 min): RT = 0.5 min, found [M+H]+ = 311.95
[0308] Step 2: Synthesis of l-(4-isothiocyanatophenyl)-3-(2-(2-(2-(((3R,4S,5R,6R)-
3,4,5-trihydroxy-6-(hydroxymethyl) tetrahydro-2H-pyran-2-yl)oxy)ethoxy)ethoxy) ethyl)thiourea
Figure imgf000083_0002
[0309] To a solution of previous compound (370 mg) in MeOH was added p-phenylene diisothiocyanate (230 mg) in DCM at room temperature. The reaction mixture was stirred for 1 hour, the solvent was evaporated under reduced pressure to dryness. The crude product was triturated with DCM to remove an excess of p-phenylene diisothiocyanate and was next purified by preparative HPLC using ACN/H2O as an eluent. The fractions containing the pure product were combined, evaporated to dryness under reduced pressure to deliver an oil. This material was dissolved in a small amount of ACN/H2O (1 : 1) and transferred to a vial. The solvents were removed under reduced pressure and the material was treated with DCM. A slow concentration under reduced pressure delivered the product as a foam (110 mg, 22% yield). LC/MS (12 min): RT = 4.425 min, found [M+H]+ = 503.7; [M-H]’ = 501.6. HPLC purity: 96.7% (200 nm), 96.6% (292 nm). ’H NMR (400 MHz, DMSO-t/6) 8 (ppm): 9.80 (s, 1H), 7.94 (s, 1H), 7.60 (d, J = 8.8 Hz, 2H), 7.45 - 7.34 (m, 2H), 4.83 (d, J= 4.4 Hz, 1H), 4.72 (d, J= 5.2 Hz, 1H), 4.55 (t, J= 5.6 Hz, 1H), 4.37 (d, J= 4.6 Hz, 1H), 4.11 (d, = 7.1 Hz, 1H), 3.90 - 3.82 (m, 1H), 3.69 - 3.56 (m, 12H), 3.54 - 3.44 (m, 3H), 3.33 - 3.23 (m, 2H)
Example 1.3 - Synthesis of compound (4B): N-((3R,4R,5S,6R)-4,5-dihydroxy-6-
(hydroxymethyl)-2-(2-(2-(2-(3-(4-isothiocyanatophenyl) thioureido)ethoxy)ethoxy) ethoxy )tetrahydro-2H-pyran-3-yl)acetamide
[0310] Step 1: synthesis ofN-((3R,4R,5S,6R)-2-(2-(2-(2-aminoethoxy)ethoxy)ethoxy)- 4,5-dihydroxy-6-(hydroxymethyl)tetrahydro-2H-pyran-3-yl)acetamide
Figure imgf000084_0001
[0311] To a solution of N-((3R,4R,5S,6R)-2-(2-(2-(2-azidoethoxy)ethoxy)ethoxy)-4,5- dihydroxy-6-(hydroxymethyl)tetrahydro-2H-pyran-3-yl)acetamide (700 mg), synthesized as described in the application WO2022096681, in MeOH, was added Pd(OH)2 (140 mg) under argon atmosphere. The reaction mixture was stirred under hydrogen atmosphere overnight and filtered through a pad of Celite, washed with MeOH and the filtrate was concentrated under reduced pressure to dryness. The crude product was used for the next step without further purification (400 mg, 88% yield). LC/MS (6 min): RT = 0.51 min, found [M+H]+ = 353.3 [0312] Step 2: synthesis of N-((3R,4R,5S,6R)-4,5-dihydroxy-6-(hydroxymethyl)-2-(2-
(2-(2-(3-(4-isothiocyanatophenyl) thioureido)ethoxy)ethoxy)ethoxy)tetrahydro-2H- pyran-3-yl)acetamide
Figure imgf000085_0001
[0313] To a solution of previous compound (400 mg) in MeOH was added p-phenylene diisothiocyanate (230 mg) in DCM at room temperature. The reaction mixture was stirred for 1 hour, the solvent was evaporated under reduced pressure to dryness. The crude product was triturated with DCM to remove an excess of p-phenylene diisothiocyanate and was next purified by preparative HPLC using ACN/H2O as an eluent. The fractions containing the pure product were combined, evaporated to dryness under reduced pressure to deliver an oil. This material was dissolved in a small amount of ACN/H2O (1 : 1) and transferred to a vial. The solvents were removed under reduced pressure and the material was treated with DCM. A slow concentration under reduced pressure delivered the product as a foam (57 mg, 9% yield). LC/MS (12 min): RT = 4.47 min, found [M+H]+ = 544.8. HPLC purity: 98.2% (200 nm), 96.9% (293 nm). ’H NMR (400 MHz, DMSO-t/6) 8 (ppm): 9.82 (s, 1H), 7.93 (s, 1H), 7.68 (d, J= 8.9 Hz, 1H), 7.64 - 7.56 (m, 2H), 7.43 - 7.31 (m, 2H), 4.97 (d, J= 4.4 Hz, 1H), 4.91 (d, J= 5.2 Hz, 1H), 4.52 (t, J= 5.8 Hz, 1H), 4.32 (d, J= 8.3 Hz, 1H), 3.90 - 3.78 (m, 1H), 3.74 - 3.62 (m, 3H), 3.55 (td, J= 9.5, 4.3 Hz, 9H), 3.50 - 3.36 (m, 2H), 3.31 - 3.25 (m, 1H), 3.17 - 2.98 (m, 2H), 1.81 (s, 3H)
Example 1.4 - Synthesis of compound (5B): (2S,3S,4S,5R)-3,4,5-trihydroxy-6-(2-(2-
(2-(3-(4-isothiocyanatophenyl)thioureido)ethoxy) ethoxy)ethoxy)tetrahydro-2H-pyran- 2-carboxylic acid
[0314] Step 1: synthesis of methyl (2S,3S,4S,5R)-6-(2-(2-(2-aminoethoxy) ethoxy)ethoxy)-3,4,5-trihydroxytetrahydro-2H-pyran-2-carboxylate
Figure imgf000086_0001
[0315] To a solution of methyl (2S,3S,4S,5R)-6-(2-(2-(2-azidoethoxy)ethoxy)ethoxy)-
3.4.5-trihydroxytetrahydro-2H-pyran-2-carboxylate (740 mg), synthesized as described in the application WO2022096681, in MeOH/THF, was added Pd(OH)2 (150 mg) under argon atmosphere. The reaction mixture was stirred under hydrogen atmosphere overnight and filtered through a pad of Celite, washed with MeOH and the filtrate was concentrated under reduced pressure to dryness. The crude product was used for the next step without further purification (500 mg, quantitative yield). LC/MS (6 min): RT = 0.57 min, found [M+H]+ = 340.3
[0316] Step 2: synthesis of (2S,3S,4S,5R)-6-(2-(2-(2-aminoethoxy)ethoxy)ethoxy)-
3.4.5-trihydroxytetrahydro-2H-pyran-2-carboxylic acid
Figure imgf000086_0002
[0317] To a solution of previous compound in MeOH/THF was added 2M NaOH aqueous solution (2.5 mL). The reaction mixture was stirred at room temperature for 1 hour. The solvents were evaporated under reduced pressure to dryness. The residue was dissolved in H2O and acidified to pH = 4. After removal of water under reduced pressure, the crude product was used for the next step without further purification (380 mg, quantitative yield). LC/MS (6 min): RT 0.5min, [M+H]+ = 326.0
[0318] Step 3: synthesis of (2S,3S,4S,5R)-3,4,5-trihydroxy-6-(2-(2-(2-(3-(4- isothiocyanatophenyl) thioureido)ethoxy)ethoxy)ethoxy)tetrahydro-2H-pyran-2- carboxylic acid
Figure imgf000087_0001
[0319] To a solution of previous compound (380 mg) in MeOH was added p-phenylene diisothiocyanate (200 mg) in DCM at room temperature. The reaction mixture was stirred for 1 hour, the solvent was evaporated under reduced pressure to dryness. The crude product was triturated with DCM to remove an excess of p-phenylene diisothiocyanate and was next purified by preparative HPLC using ACN/H2O as an eluent. The fractions containing the pure product were combined, evaporated to dryness under reduced pressure to deliver an oil. This material was dissolved in a small amount of ACN/H2O (1 : 1) and transferred to a vial. The solvents were removed under reduced pressure and the material was treated with DCM. A slow concentration under reduced pressure delivered the product as a foam (55 mg, 9% yield). LC/MS (12 min): RT = 4.49 min, found [M+H]+ = 517.7; [M-H]’ = 515.6. HPLC purity: 95.0% (200 nm), 92.3% (293 nm). ’H NMR (400 MHz, DMSO-t/6) 8 (ppm): 9.89 (d, J= 33.3 Hz, 1H), 7.99 (d, J = 21.3 Hz, 1H), 7.61 (dd, J= 8.6, 5.8 Hz, 2H), 7.44 - 7.32 (m, 2H), 5.11 (dd, J= 9.4, 5.1 Hz, 1H), 4.92 (d, J= 5.1 Hz, 1H), 4.80 (d, J = 6.2 Hz, 1H), 4.73 (d, J = 3.6 Hz, 1H), 3.87 (d, J = 9.8 Hz, 1H), 3.77 - 3.51 (m, 14H), 3.42 (td, J= 9.0, 4.6 Hz, 1H), 3.25 (ddd, J= 9.6, 6.2, 3.7 Hz, 1H)
Example 1.5 - Synthesis of compound (6B): l-(4-isothiocyanatophenyl)-3-(2-(2-(2- (((3S,4R,5S,6S)-3,4,5-trihydroxy-6-methyltetrahydro-2H-pyran-2-yl)oxy)ethoxy) ethoxy)ethyl)thiourea
[0320] Step 1: synthesis of (3S,4R,5S,6S)-2-(2-(2-(2-aminoethoxy)ethoxy)ethoxy)-6- methyltetrahydro-2H-pyran-3 ,4, 5-triol
Figure imgf000087_0002
[0321] To a solution of (3S,4R,5S,6S)-2-(2-(2-(2-azidoethoxy)ethoxy)ethoxy)-6- methyltetrahydro-2H-pyran-3,4,5-triol (1 g), synthesized as described in the application WO2022096681, in MeOH, was added Pd/C (166 mg) under argon atmosphere. The reaction mixture was stirred under hydrogen atmosphere overnight and filtered through a pad of Celite. The filtrate was evaporated to dryness under reduced pressure. The crude product was used for the next step without further purification (900 mg, quantitative yield). LC/MS (6 min): RT = 0.6 min, found [M+H]+ = 295.9
[0322] Step 2: synthesis of l-(4-isothiocyanatophenyl)-3-(2-(2-(2-(((3S,4R,5S,6S)-
3,4,5-trihydroxy-6-methyltetrahydro-2H-pyran-2-yl)oxy)ethoxy)ethoxy)ethyl)thiourea
Figure imgf000088_0001
[0323] To a solution of previous compound (900 mg) and p-phenylene diisothiocyanate (580 mg) in MeOH/DCM was added at room temperature TEA (0.31 mL). The reaction mixture was stirred for 1 hour, the solvent was evaporated under reduced pressure to dryness. The crude product was triturated with DCM to remove excess of p-phenylene diisothiocyanate and was next purified by preparative HPLC using ACN/H2O as an eluent. The fractions containing the pure product were combined and evaporated to dryness under reduced pressure to deliver an oil. This material was dissolved in a small amount of H2O, the solution was being frozen and next freeze-dried to deliver the final material as an of white solid (43 mg, 29% yield). LC/MS (12 min): RT = 5.0 min, found [M+H]+ = 488.2; [M-H]“ = 486.3. HPLC purity: 98.8% (200 nm), 98.7% (295 nm). ’H NMR (300 MHz, DMSO-t/6) 8 (ppm): 9.82 (s, 1H), 7.96 (s, 1H), 7.63 - 7.52 (m, 2H), 7.42 - 7.33 (m, 2H), 4.82 (d, J= 3.5 Hz, 1H), 4.70 (d, J = 4.5 Hz, 1H), 4.44 (d, J = 4.8 Hz, 1H), 4.08 (d, J= 6.9 Hz, 1H), 3.87 - 3.75 (m, 1H), 3.59 - 3.52 (m, 12H), 3.38 (s, 1H), 3.24 (d, 7= 5.7 Hz, 2H), 1.11 (d, J = 6.4 Hz, 3H) Example 1.6. - Synthesis of compound (7B): l-(2-(2-(2-(((3R,4S,6R)-4- (dimethylamino)-3-hydroxy-6-methyltetrahydro-2H-pyran-2-yl)oxy)ethoxy)ethoxy) ethyl)-3-(4-isothiocyanatophenyl)thiourea
[0324] Step 1: synthesis of (3R,4S,6R)-2-(2-(2-(2-aminoethoxy)ethoxy)ethoxy)-4-
(dimethylamino)-6-methyltetrahydro-2H-pyran-3 -ol
Figure imgf000089_0001
[0325] To a solution of (3R,4S,6R)-2-(2-(2-(2-azidoethoxy)ethoxy)ethoxy)-4- (dimethylamino)-6-methyltetrahydro-2H-pyran-3-ol (170 mg), synthesized as described in the application WO2022096681, in MeOH, was added Pd/C (64 mg) under argon atmosphere. The reaction mixture was stirred under hydrogen atmosphere overnight, filtered through a pad of Celite and washed with MeOH. The filtrate was concentrated under reduced pressure to give the desired product (169 mg, 92% yield) as a brown solid. The material was used for the next step without further purification. LC/MS (6 min): RT = 0.52 min, found [M+H]+ = 307.1. ’H NMR (300 MHz, DMSO-t/6) 8 (ppm): 4.14 (dd, J = 7.5, 3.4 Hz, 1H), 3.80 (dt, J= 11.7, 6.8 Hz, 1H), 3.55 (d, J = 5.2 Hz, 11H), 3.16 (s, 1H), 3.08 (dd, J = 10.1, 7.3 Hz, 1H), 2.90 (t, J = 5.3 Hz, 1H), 2.22 (d, J = 1.7 Hz, 6H), 1.63 (dd, J= 12.9, 4.3 Hz, 1H), 1.13 (d, J= 6.1 Hz, 3H)
[0326] Step 2: synthesis of l-(2-(2-(2-(((3R,4S,6R)-4-(dimethylamino)-3-hydroxy-6- methyltetrahydro-2H-pyran-2-yl)oxy)ethoxy)ethoxy)ethyl)-3-(4-isothiocyanatophenyl) thiourea
Figure imgf000089_0002
[0327] To a solution of previous compound (130 mg) and p-phenylene diisothiocyanate (82 mg) in MeOH/DCM was added at room temperature TEA (0.06 mL). The reaction mixture was stirred overnight, the solvents were then evaporated under reduced pressure to dryness. The crude product was next purified by preparative HPLC using ACN/H2O as an eluent to give the desired product (39 mg, 18% yield) as a white solid foam. LC/MS (12 min): RT = 2.67 min, found [M+H]+ = 499.3; [M-H] = 497.4. HPLC purity: 97 7% (200 nm), 96.3% (292 nm). ’H NMR (300 MHz, Acetonitrile-t/3) 8 (ppm): 8.37 (s, 1H), 7.47 (s, 2H), 7.33 (d, J = 8.7 Hz, 2H), 6.9 (s, 1H), 4.31 (d, J= 7.1 Hz, 2H), 3.97 - 3.90 (m, 1H), 3.76 - 3.56 (m, 12H), 3.41 (dd, = 10.5, 7.1 Hz, 1H), 3.34 - 3.24 (m, 1H), 2.73 (s, 6H), 1.46 (q, J = 11.9 Hz, 1H), 1.26 (d, J = 6.1 Hz, 3H)
Example 1.7.- Synthesis of compound (8B): sodium ((2R,3R,4S,5R)-3,4,5-trihydroxy- 6-(2-(2-(2-(3-(4-isothiocyanatophenyl)thioureido) ethoxy)ethoxy)ethoxy)tetrahydro-2H- pyran-2-yl)methyl sulfate
[0328] Step 1: synthesis of sodium ((2R,3R,4S,5R)-6-(2-(2-(2-azidoethoxy)ethoxy) ethoxy)-3,4,5-trihydroxytetrahydro-2H-pyran-2-yl)methyl sulfate
Figure imgf000090_0001
[0329] To a solution of (3R,4S,5R,6R)-2-(2-(2-(2-azidoethoxy)ethoxy)ethoxy)-6- (hydroxymethyl)tetrahydro-2H-pyran-3,4,5-triol (700 mg), synthesized as described in the application WO2022096681, in dry DMF, was added SCLPy (300 mg). The reaction mixture was stirred at room temperature overnight. Then, the solvents were removed under reduced pressure, the residue was dissolved in water (10 mL), the resulting solution was treated with NaHCCh and the mixture was evaporated to dryness. The crude material (910 mg, yield quantitative) was used for the next step without purification. LC/MS (6 min): RT = 1.50 min, found [M-Na]' = 416.0
[0330] Step 2: synthesis of sodium ((2R,3R,4S,5R)-6-(2-(2-(2- aminoethoxy)ethoxy)ethoxy)-3,4,5-trihydroxytetrahydro-2H-pyran-2-yl)methyl sulfate
Figure imgf000091_0001
[0331] To a solution of previous compound (910 mg) in MeOH/ThO was added Pd(OH)2 under argon atmosphere. The resulting mixture was degassed using vacuum and backfilled with hydrogen. The reaction mixture was next stirred under hydrogen atmosphere overnight, filtered through a pad of Celite and the filtrate was evaporated to dryness under reduced pressure. The crude product was used for the next step without further purification (860 mg, quantitative yield). LC/MS (6 min): RT = 0.5 min, found [M-Na]’ = 390.0
[0332] Step 3: synthesis of sodium ((2R,3R,4S,5R)-3,4,5-trihydroxy-6-(2-(2-(2-(3-(4- isothiocyanatophenyl)thioureido) ethoxy)ethoxy)ethoxy)tetrahydro-2H-pyran-2-yl) methyl sulfate
Figure imgf000091_0002
[0333] To a solution of previous compound (860 mg) and p-phenylene diisothiocyanate (400 mg) in MeOH/DCM was added at room temperature TEA (210 mg). The reaction mixture was stirred for 30 min, the solvents were then evaporated under reduced pressure to dryness. The crude product was next purified by preparative HPLC using ACN/H2O as an eluent. The fractions containing the product were combined and evaporated to dryness under reduced pressure, dissolved in water, and passed through Dowex® 50WX4 Na+-form to deliver the desired compound as a white solid foam (120 mg, 9.5% yield). LC/MS (12 min): RT = 4.44 min, found [M-Na] = 582.3. HPLC purity: 97 0% (200 nm), 96.3% (289 nm). ’H NMR (300 MHz, DMSO-t/6) 8 (ppm): 9.81 (s, 1H), 7.95 (s, 1H), 7.65 - 7.56 (m, 2H), 7.43 - 7.31 (m, 2H), 4.82 (d, J= 4.2 Hz, 1H), 4.70 (d, J= 5.1 Hz, 1H), 4.52 (d, J= 4.7 Hz, 1H), 4.11 (d, J= 7.1 Hz, 1H), 3.80 (h, J= 6.4, 5.8 Hz, 3H), 3.59 (td, J= 10.2, 9.4, 6.0 Hz, 13H), 3.26 (d, J= 3.8 Hz, 2H)
Example 1.8. - Synthesis of compound (9B): sodium ((2R,3R,4R,5R)-5-acetamido-3,4- dihydroxy-6-(2-(2-(2-(3-(4-isothiocyanatophenyl) thioureido)ethoxy)ethoxy)ethoxy) tetrahydro-2H-pyran-2-yl)methyl sulfate
[0334] Step 1: synthesis of sodium ((2R,3R,4R,5R)-5-acetamido-6-(2-(2-(2- azidoethoxy) ethoxy)ethoxy)-3 ,4-dihydroxytetrahydro-2H-pyran-2-yl)methyl sulfate
Figure imgf000092_0001
[0335] To a solution of N-((3R,4R,5R,6R)-2-(2-(2-(2-azidoethoxy)ethoxy)ethoxy)-4,5- dihydroxy-6-(hydroxymethyl)tetrahydro-2H-pyran-3-yl)acetamide (200 mg), synthesized as described in the application WO2022096681, in dry DMF, was added SCfPy (84 mg). The reaction mixture was stirred at room temperature overnight. Then, the solvents were removed under reduced pressure, the residue was dissolved in water (10 mL), the resulting solution was treated with NaHCCh. and the mixture was evaporated to dryness. The crude material (242 mg, 95.3% yield) was used for the next step without purification. LC/MS (6 min): RT = 1.6 min, found [M-Na]' = 457.2
[0336] Step 2: synthesis of sodium ((2R,3R,4R,5R)-5-acetamido-6-(2-(2-(2- aminoethoxy)ethoxy) ethoxy)-3 ,4-dihydroxytetrahydro-2H-pyran-2-yl)methyl sulfate
Figure imgf000092_0002
[0337] To a solution of previous compound (242 mg) in MeOH/H2O was added Pd(OH)2 (20 mg) under argon atmosphere. The resulting mixture was degassed using vacuum and backfilled with hydrogen. The reaction mixture was next stirred under hydrogen atmosphere overnight, filtered through a pad of Celite and the filtrate was evaporated to dryness under reduced pressure. The crude product was used for the next step without further purification (228 mg, quantitative yield).
[0338] Step 3: synthesis of sodium ((2R,3R,4R,5R)-5-acetamido-3,4-dihydroxy-6-(2-
(2-(2-(3-(4-isothiocyanatophenyl) thioureido)ethoxy)ethoxy)ethoxy)tetrahydro-2H-
Figure imgf000093_0001
[0339] To a solution of previous compound (228 mg) and p-phenylene diisothiocyanate (100 mg) in MeOH/DCM was added at room temperature TEA (0.07 mL). The reaction mixture was stirred for 30 min, the solvents were then evaporated under reduced pressure to dryness. The crude product was next purified by preparative HPLC using ACN/H2O as an eluent. The fractions containing the product were combined and evaporated to dryness under reduced pressure, dissolved in water, and passed through Dowex® 50WX4 Na+-form to deliver the desired compound as a white solid foam (54 mg, 17% yield). LC/MS (12 min): RT = 2.85 min, found [M-Na] = 623.3. HPLC purity: 95 3 0% (200 nm), 95.5% (289 nm). ’H NMR (300 MHz, DMSO-t/6) 8 (ppm): 9.81 (s, 1H), 7.95 (s, 1H), 7.62 (dd, J = 9.0, 2.7 Hz, 2H), 7.37 (dd, J= 8.9, 2.1 Hz, 2H), 4.63 (dd, J= 4.6, 2.0 Hz, 1H), 4.55 (dd, J= 6.4, 2.0 Hz, 1H), 4.27 (dd, J= 8.5, 2.0 Hz, 1H), 3.90 - 3.68 (m, 4H), 3.67 - 3.59 (m, 2H), 3.58 - 3.34 (m, 12H), 1.80 (s, 3H)
Example 1.9.- Synthesis of compound (10B): l-(2-(2-(2-hydroxyethoxy)ethoxy)ethyl)-
3-(4-isothiocyanatophenyl)thiourea
[0340] Step 1: synthesis of 2-(2-(2-aminoethoxy)ethoxy)ethan-l-ol
Figure imgf000094_0001
[0341] To a solution of 2-(2-(2-azidoethoxy)ethoxy)ethan-l-ol (200 mg), synthesized as described in the application WO2022096681, in MeOH, was added 10% Pd/C (40 mg) under argon atmosphere. The reaction mixture was stirred under hydrogen atmosphere overnight, filtered through a pad of Celite and washed with MeOH. The filtrate was concentrated under reduced pressure to give the desired product (151 mg, 89% yield) as a yellow oil. The material was used for the next step without further purification. LC/MS (6 min): RT = 0.5 min, found [M+H]+ = 150.0. 'll NMR (300 MHz, DMSO-t/6) 8 (ppm): 3.52 - 3.46 (m, 6H), 3.41 (dd, J= 5.6, 4.0 Hz, 2H), 3.34 (t, J= 5.8 Hz, 2H), 2.63 (t, J= 5.8 Hz, 2H), 1.35 (s, 1H)
[0342] Step 2: synthesis of 1 -(2-(2-(2 -hydroxy ethoxy)ethoxy)ethyl)-3 -(4- isothiocyanatophenyl) thiourea
Figure imgf000094_0002
[0343] To a solution of previous compound (150 mg) and p-phenylene diisothiocyanate (193 mg) in DMF/DCM was added at room temperature TEA (0.14 mL). The reaction mixture was stirred overnight, the solvents were then evaporated under reduced pressure to dryness. The crude product was next purified by preparative HPLC using ACN/H2O as an eluent to give the desired product (62 mg, 18% yield) as a white solid foam. LC/MS (12 min): RT = 5.27 min, found [M+H]+ = 342.1; [M-H] = 340.2. HPLC purity: 91 4% (208 nm), 93.3% (295 nm). ’H NMR (300 MHz, Chloroform^/) 8 (ppm): 8.25 (s, 1H), 7.41 (d, J= 8.5 Hz, 2H), 7.26 - 7.20 (m, 2H), 6.87 (s, 1H), 3.90 - 3.82 (m, 2H), 3.73 (dt, J= 9.8, 4.6 Hz, 5H), 3.67 (s, 3H), 3.64 - 3.60 (m, 2H), 2.44 (s, 1H)
EXAMPLE 2: Production and coupling of LNPs
[0344] Conjugated LNPs were generated by coupling a compound comprising a isothiocyanate moiety to a compound comprising an amine group as described below. 2.1 Production of mRNA containing LNPs
[0345] Lipid nanoparticles were prepared on a Nanoassemblr™ microfluidic system (Precision NanoSystems) according to the manufacturer's instructions. Depending on the desired formulation, an ethanol solution consisting of an ionizable lipid (e.g. Dlin-MC3- DMA, CAS 1224606-06-7), a zwitterionic lipid (e.g., distearoylphosphatidylcholine (DSPC, CAS 816-94-4), a component to provide membrane integrity (such as a sterol, e.g., cholesterol, CAS 54-88-5), PEG-lipids molecule (e.g., 1 -(monomethoxy - polyethyleneglycol)-2,3-dimyristoylglycerol, with an average PEG molecular weight of 2000 (“DMG-PEG2000”, CAS 160743-62-4) and a functionalized PEG-lipid molecule which was the compound 11C (i.e.. l,2-distearoyl-sn-glycero-3-phosphoethanolamine- N-[amino(polyethylene glycol)-2000](“DSPE-PEG2000-NH2”, CAS 474922-26-4) was prepared.
[0346] LNP3 was used as a negative control and did not include the functionalized PEG- lipid molecule (compound 11C).
[0347] Furthermore, an aqueous solution with an mRNA (reporter mRNA) encoding for eGFP protein or Firefly luciferase (Flue) protein was prepared in 50 mM citrate buffer at pH 3.0. LNP were prepared at a total lipid to mRNA weight ratio of approximately 10: 1. Lipid and mRNA-containing solutions were mixed 1:3 (ethanol: citrate) at a constant /fow rate of 12 ml/min to form LNPs. The product was then dialyzed against DPBS to remove the residual ethanol as well as to raise the pH to 7.4. Table 3 shows the LNPs prepared and tested.
Table 3: Exemplary LNPs
Figure imgf000095_0001
[0348] Characterization of particle size of LNP (Z-average diameter), polydispersity index (PDI) and zeta-potential were determined by dynamic light scattering utilizing a Malvern ZetasizerZS. The mRNA concentration and encapsulation of LNPs were evaluated by Ribogreen dye according to the manufacturer’s guidelines. ±1% Triton was used to ascertain the fraction of encapsulated mRNA by comparison to a relevant free mRNA standard curve.
2.2. Production and purification of chemically conjugated LNPs
[0349] Compound (IB) was obtained commercially. Compounds (2B), (5B), (6B), and (7B) were obtained as detailed above in Example 1
[0350] The coupling of the isothiocyanate linkers from compound (IB), (2B), (5B), (6B) and (7B) on LNP1 (comprising both compound 11C, i.e. DSPE-PEG2OOO-NH2), or LNP3 as a control, was carried out with a solution of Tris buffer pH8 containing compounds (IB), (2B), (5B), (6B) or (7B) at a molar ratio of 1E2 to 1E3 equivalents and incubated for 4h at 20°C. At the end of the incubation period, unbound linkers were removed, and buffers were exchanged against formulation buffer (DPBS, Ca2+, Mg2+) using dialysis cassettes or desalting columns.
2.3. Characterization of chemically conjugated LNPs
2.3.0. Physical characterization of conjugated LNPs
[0351] The integrity of the different ligand-conjugated LNPs (LNP1-1B11C, LNP1- 2B11C, LNP1-5B11C, LNP1-6B11C and LNP1-7B11C) obtained at EXAMPLE 2.2 was evaluated by the characterization of particle size (Z -average diameter) and poly dispersity index (PDI) utilizing a Malvern Zetasizer ZS. The mRNA concentration and encapsulation of LNPs were evaluated with Ribogreen dye according to the manufacturer’s guidelines. ±1% Triton was used to ascertain the fraction of encapsulated mRNA by comparison to a relevant free mRNA standard curve.
[0352] Table 4 below shows that the mild coupling conditions maintain the integrity and high encapsulation efficiency of the LNPs after the conjugation and purification steps, allowing to produce functionalized LNPs comprising compounds of formula (I). The measurement of the zeta potential of the conjugated LNPs compared to the parental LNPs also demonstrates successful conjugation, indicated by the variation in zeta potential. The zeta potential serves as an indicator of changes in the surface charge of the particles, which depends on the nature of the ligands grafted onto the particles (e.g. density, charge of the ligands, etc.).
Table 4 - Physical characterization LNPs before and after conjugation (N/A: not available)
Figure imgf000097_0001
2.3.b. Analysis of LNPs functionalization following ligand coupling by bindins assay (End group detection}
[0353] The efficacy of ligands coupling on LNPs was evaluated by DOT-Blot analysis and binding assay: a. The detection of fluorescent moieties (IB) conjugated at the surface of the LNPs was performed by DOT blot analysis using fluorescein-HRP antibody (anti-FITC) (Figure 1). Successful coupling (LNP1-1B11C) resulted in specific antibody detection. As expected, no coupling was observed when the reactive moiety- containing ligands (IB) were incubated with LNP3 (Negative control), which demonstrates the specificity of the conjugation driven by the isothiocyanate moieties and the covalent nature of the bond created. b. The detection of mannose moi eties on the LNPs were performed by DOT blot analysis using concanavalin-HRP lectin (ConA), which binds selectively to mannose. (Figure 2A). As expected, no coupling was observed when the reactive isothiocyanate moiety-containing ligands (2B), were incubated with LNP3 (Negative control), which demonstrates the specificity of the conjugation driven by the isothiocyanate moieties and the covalent nature of the bond created.
The exposure of mannose moieties at the surface of the LNPs was evaluated using ConA binding assay. In this assay, the conjugated particles were incubated with the lectin ConA, and the changes in particle size (Z-average diameter) were monitored over time utilizing a Malvern Zetasizer ZS. The results demonstrated that the mannose conjugated LNPs were effectively recognized and bound by the ConA, which resulted in an increase of the particle size. This increase confirms the successful interaction of ConA with the mannose moieties exposed on the surface of the LNPs (Figure 2B) c. The detection of fucose moieties on the LNPs were performed by DOT blot analysis using a specific lectin-HRP (RPL-fucl), which binds selectively to fucose. (Figure 3 A). As expected, no coupling was observed when the reactive isothiocyanate moiety-containing ligands (6B), were incubated with LNP3 (Negative control), which demonstrates the specificity of the conjugation driven by the isothiocyanate moieties and the covalent nature of the bond created.
The exposure of fucose moieties at the surface of the LNPs was evaluated using RPL-Fucl binding assay. In this assay, the conjugated particles were incubated with the lectin RPL-Fucl, and the changes in particle size (Z-average diameter) were monitored over time utilizing a Malvern Zetasizer ZS. The results demonstrated that the fucose conjugated LNPs were effectively recognized and bound by the RPL-Fucl, which resulted in an increase of the particle size. This increase confirms the successful interaction of RPL-Fucl with the fucose moieties exposed on the surface of the LNPs (Figure 3B) [0354] FITC or lectins (ConA or RPL-Fucl) detection was observed for all conjugated LNPs, evidencing the successful coupling of isothiocyanate linkers of formula (II), such as IB, 2B, 5B, 6B and 71 on LNPs comprising amine functionalized lipids of formula (III), such as LNP1 comprising the amine functionalized lipid 11C. The mild coupling conditions preserved the structural integrity of the ligands, ensuring their functionality and enabling effective interactions with their respective target. The preservation of ligand functionality is crucial to maintain their biological activity and binding specificity after conjugation. Consequently, the LNPs can effectively engage in their intended biological interactions, confirming the robustness and efficacy of the coupling process. These results validate that the mild coupling conditions are optimal for producing functionalized LNPs with retained ligands functionality, which is essential for their potential applications in targeted delivery and therapeutic interventions.
2.3.c. Analysis of the obtained LNPs by LC-MS
[0355] The newly formed DSPE-PEG lipid conjugates of formula (I) (with various ligands) were characterized, using an analytical method that combines high-performance liquid chromatography (HPLC) with mass spectrometry (MS). This integrated method allows for the precise separation and identification of the compounds formula (I), 2B11C, 5B11C, 6B11C, and 7B11C, from the non-conjugated lipid of formula III, 11C.
[0356] HPLC was used to separate the DSPE-PEG lipid conjugates of formula (I) based on their chemical properties. This separation facilitates the isolation of individual lipid species from complex mixtures.
[0357] HPLC/MS method for determination of conjugated DSPE-PEG2000-lipids of formula (I):
Instruments:
Column: Zorbax Eclipse Plus Phenyl-Hexyl - Narrow Bore RR (150 x 2.1 mm, 3,5 pm) Eluent: A = MeOH at 5 mM of ammonium acetate, B = MeCN at 5 mM of ammonium acetate.
Flow rate: 300 pL/min
Sample preparation: dilution of LNPs in a 4-volume equivalent of MeOH Injection volume: 5 pL
Gradient conditions:
Time [min] Mobile phase A [%] Mobile phase B [%]
0 70 30
20 0 100
25 0 100
27 70 30
33 70 30
Analysis time: 33 min
[0358] Following HPLC separation, the lipid conjugates were analyzed using mass spectrometry to determine their molecular weights. Due to the polydisperse nature of PEG, which results in a range of molecular weights and oligomeric forms, the analysis was performed on the most abundant oligomers.
[0359] These analyses allowed for the identification of all newly formed entities, confirming the covalent nature of the bonds between the lipids and ligands (Table 5). Table 5 - Separation of lipid species from LNPs before and after conjugation through HPLC
Figure imgf000100_0001
2.3.d. Functional assay in vitro (U87-MG glioblastoma cells}
[0360] The conjugated LNP1-2B11C, LNP1-3B11C, LNP1-5B11C, LNP1-6B11C and LNP1-7B11C were tested to assess if transfection of mRNA can be observed. For this purpose, U87-MG cells were transfected and analyzed 24h after transfection via monitoring of transfected (Flue-positive) and non-transfected cell populations by measuring the bioluminescence signal.
[0361] All conjugated LNPs(Fluc) successfully transfected U87-MG cells, demonstrating that the mild conjugation conditions do not affect the transfection efficiency of the LNPs.

Claims

1. An ionizable lipid nanoparticle (LNP) comprising a lipidic layer including a thiourea modified lipid, preferably a thiourea modified phospholipid, wherein said lipid comprises a functional moiety RL-NH-including a nitrogen containing group - NH- and a group RL, wherein the group RL comprises a steric shielding agent, a labelling agent, a cell-type targeting ligand or a receptor targeting ligand, a drug moiety or a combination thereof; and wherein said group RL is conjugated to the ionizable LNP via a thiourea moiety of formula (TH):
Figure imgf000102_0001
wherein N is a nitrogen atom from the functional moiety RL-NH-, and wherein N* is a nitrogen atom of the thiourea modified lipid.
2. The ionizable LNP according to claim 1, wherein the thiourea modified lipid is a compound of formula (I):
Figure imgf000102_0002
wherein
Pl is a lipid moiety, preferably a phospholipid moiety;
E-*NH- is an extender moiety comprising an extender group E and a group -*NH- wherein the extender group E of the extender moiety E-*NH- comprises one or more groups selected from the group consisting of polyethylene glycol (PEG) and polypropylene glycol (PPG); and
RL-NH- is a functional moiety including a nitrogen containing group -NH- and a group RL, and wherein said functional moiety RL-NH- comprises a steric shielding agent, a labelling agent, a cell-type targeting ligand or a receptor targeting ligand, a drug moiety or a combination thereof.
3. The ionizable LNP according to any of claims 1 or 2 further comprising an agent, preferably the agent is a nucleic acid; an ionizable cationic lipid; a non-cationic lipid; a sterol and a PEGylated lipid.
4. The ionizable LNP according to any of claims 2 or 3, wherein the extender group E of the extender moiety E-*NH- comprises a polyethylene glycol (PEG) with 1 to 200, preferably 20 to 80, ethylene glycol units (-OCH2CH2).
5. The ionizable LNP according to any of claims 1 to 4, wherein the functional moiety RL-NH- comprises a group Z and one or more spacers L, wherein
Z is H, a steric shielding agent, a labelling agent, a drug moiety, or a cell-type targeting ligand or a receptor targeting ligand selected from the group consisting of saccharides, hormones, peptides, glycosylated peptides, proteins, glycoproteins, or functionally active fragments thereof, membrane receptors or functionally active fragments thereof, antibodies or functionally active fragments thereof, spiegelmers, nucleic acids or peptide aptamers, vitamins, and drugs moieties, and
L comprises one or more groups selected from the group consisting of an aryl or a heteroaryl groups, an optionally substituted group comprising saturated or unsaturated, linear or branched C1-C40 hydrocarbon chains, a polyether of a branched C3-10 polyol, alkylamide groups, a polyethylene glycol (PEG), a polypropylene glycol (PPG), pHPMA, PLGA, polymers of alkylene diamines, and combinations thereof.
6. The ionizable LNP according to any of claims 2 to 5, the compound of formula (I) is selected from the group consisting of formulae (la), (lb), (Ic) or (Id):
Figure imgf000103_0001
Figure imgf000104_0001
wherein p is 1 to 200, preferably 20 to 80; mi and m2 are each independently 0 or 1; and
Ar is an arylene group, an arylene group selected from the group consisting of phenylene, naphthylene or anthracenylene, and more preferably phenylene;
L’ comprises one or more groups selected from the group consisting of an optionally substituted group comprising saturated or unsaturated, linear or branched, C1-C40 hydrocarbon chains, a polyether of a branched C3-10 polyol, alkylamide groups, a polyethylene glycol (PEG) or a polypropylene glycol (PPG), pHPMA, PLGA, polymers of alkylene diamines, and combinations thereof ; and Pl, Z, and RL-NH are as defined in any of the previous claims.
7. The ionizable LNP according to any of claims 2 to 6, wherein the content of the compound of formula (I) is between 0.01% to 2% of the total weight of the LNP.
8 A pharmaceutical composition comprising the ionizable LNP according to any of claims 1 to 7, and at least one pharmaceutically acceptable vehicle.
9. An ionizable LNP according to any of claims 1 to 7, or a pharmaceutical composition according to claim 8, for use as a medicament.
10. An ionizable LNP according to any of claims 1 to 7, or a pharmaceutical composition according to claim 8, for use in gene therapy.
11. A non-therapeutic method for delivering an agent to a target cell comprising: contacting the target cell with an ionizable LNP according to any of claims 1 to 7, wherein the ionizable LNP comprises the agent to be delivered and a group RL conjugated to the ionizable LNP via a thiourea moiety of formula (TH):
Figure imgf000105_0001
wherein N is a nitrogen atom from the functional moiety RL-NH-, and wherein N* is a nitrogen atom of a thiourea modified lipid, preferably a phospholipid, comprising the group RL a cell-type targeting ligand or a receptor targeting ligand of the target cell.
12. An ionizable LNP according to any of claims 1 to 7, or a pharmaceutical composition according to claim 8, for use in a method for delivering an agent to a target cell, said method comprising contacting the target cell with an ionizable LNP according to any of claims 1 to 7, wherein the ionizable LNP comprises the agent to be delivered and a group RL conjugated to the ionizable LNP via a thiourea moiety of formula (TH):
Figure imgf000105_0002
wherein N is a nitrogen atom from the functional moiety RL-NH-, and wherein N* is a nitrogen atom of a thiourea modified lipid, preferably a phospholipid, comprising the group RL a cell-type targeting ligand or a receptor targeting ligand of the target cell.
13. A method for manufacturing an ionizable LNP according to any of claims 1 to 7, wherein said method comprises: reacting a surface exposed primary amine moiety of an ionizable LNP comprising a primary amine modified lipid, preferably a primary amine modified phospholipid, with a compound of formula (II), or a pharmaceutical salt thereof, at a pH between 7 and 9: RL— NCS(II) so that the group RL is conjugated to the ionizable LNP via a thiourea moiety of formula (TH);
Figure imgf000106_0001
wherein
N is a nitrogen atom from the functional moiety RL-NH-, and wherein N* is a nitrogen atom of the amino modified lipid, preferably a phospholipid; and RL-NH- is a functional moiety including a nitrogen containing group -NH- and a group RL, and wherein said functional moiety RL-NH- comprises a steric shielding agent, a labelling agent, a cell-type targeting ligand or a receptor targeting ligand, a drug moiety or a combination thereof.
14. A method for manufacturing an ionizable LNP according to any of claims 2 to 7, wherein said method comprises: reacting a surface exposed primary amine moiety of an ionizable LNP comprising a primary amine modified lipid., preferably a primary amine modified phospholipid of formula (III), or a pharmaceutical salt thereof:
Figure imgf000106_0002
with a compound of formula (II), at a pH between 7.5 and 8.5:
RL-NCS(II) wherein
Pl is a lipid moiety, preferably a phospholipid moiety;
E-*NH- is an extender moiety, wherein the extender group E of the extender moiety E-*NH- comprises one or more groups selected from the group consisting of polyethylene glycol (PEG) and polypropylene glycol (PPG); and
RL-NH- is a functional moiety including a nitrogen containing group -NH- and a group RL, and wherein said functional moiety RL-NH- comprises a steric shielding agent, a labelling agent, a cell-type targeting ligand or a receptor targeting ligand, a drug moiety or a combination thereof.
15. A method for manufacturing an ionizable LNP according to any one of claims 3 to 7, wherein said method comprises putting in contact a compound of formula (I):
Figure imgf000107_0001
with an ionizable cationic lipid, a non-cationic lipid, a sterol and a PEGylated lipid; wherein
Pl is a lipid moiety, preferably a phospholipid moiety;
E-*NH- is an extender moiety comprising an extender group E and a group -*NH-, wherein the extender group E of the extender moiety E-*NH- comprises one or more groups selected from the group consisting of polyethylene glycol (PEG) and polypropylene glycol (PPG); and
RL-NH- is a functional moiety including a nitrogen containing group -NH- and a group RL, and wherein said functional moiety RL-NH- comprises a steric shielding agent, a labelling agent, a cell-type targeting ligand or a receptor targeting ligand, a drug moiety or a combination thereof.
PCT/EP2024/0840632023-12-012024-11-29Ionizable lipid nanoparticlesPendingWO2025114520A1 (en)

Applications Claiming Priority (2)

Application NumberPriority DateFiling DateTitle
EP233071132023-12-01
EP23307113.32023-12-01

Publications (1)

Publication NumberPublication Date
WO2025114520A1true WO2025114520A1 (en)2025-06-05

Family

ID=89386225

Family Applications (1)

Application NumberTitlePriority DateFiling Date
PCT/EP2024/084063PendingWO2025114520A1 (en)2023-12-012024-11-29Ionizable lipid nanoparticles

Country Status (1)

CountryLink
WO (1)WO2025114520A1 (en)

Citations (28)

* Cited by examiner, † Cited by third party
Publication numberPriority datePublication dateAssigneeTitle
WO1996010392A1 (en)1994-09-301996-04-11The University Of British ColumbiaBilayer stabilizing components and their use in forming programmable fusogenic liposomes
WO1998051278A2 (en)1997-05-141998-11-19Inex Pharmaceuticals CorporationHigh efficiency encapsulation of charged therapeutic agents in lipid vesicles
US6320017B1 (en)1997-12-232001-11-20Inex Pharmaceuticals Corp.Polyamide oligomers
US20030077829A1 (en)2001-04-302003-04-24Protiva Biotherapeutics Inc..Lipid-based formulations
US20040142025A1 (en)2002-06-282004-07-22Protiva Biotherapeutics Ltd.Liposomal apparatus and manufacturing methods
WO2005026372A1 (en)2003-09-152005-03-24Protiva Biotherapeutics, Inc.Polyethyleneglycol-modified lipid compounds and uses thereof
US20070042031A1 (en)2005-07-272007-02-22Protiva Biotherapeutics, Inc.Systems and methods for manufacturing liposomes
US20080020058A1 (en)2005-02-142008-01-24Sirna Therapeutics, Inc.Lipid nanoparticle based compositions and methods for the delivery of biologically active molecules
WO2009086558A1 (en)2008-01-022009-07-09Tekmira Pharmaceuticals CorporationImproved compositions and methods for the delivery of nucleic acids
WO2009127060A1 (en)2008-04-152009-10-22Protiva Biotherapeutics, Inc.Novel lipid formulations for nucleic acid delivery
WO2010006282A2 (en)2008-07-102010-01-14Serina Therapeutics, Inc.Polyoxazolines with inert terminating groups, polyoxazolines prepared from protected initiating groups and related compounds
US20100015218A1 (en)2007-02-162010-01-21Vasant JadhavCompositions and methods for potentiated activity of biologically active molecules
WO2012000104A1 (en)2010-06-302012-01-05Protiva Biotherapeutics, Inc.Non-liposomal systems for nucleic acid delivery
WO2012040184A2 (en)2010-09-202012-03-29Merck Sharp & Dohme Corp.Novel low molecular weight cationic lipids for oligonucleotide delivery
US20120225129A1 (en)2010-08-202012-09-06Cerulean Pharma Inc.Conjugates, particles, compositions, and related methods
US20130037977A1 (en)2010-04-082013-02-14Paul A. BurkePreparation of Lipid Nanoparticles
US20130156845A1 (en)2010-04-292013-06-20Alnylam Pharmaceuticals, Inc.Lipid formulated single stranded rna
US20130164400A1 (en)2011-11-042013-06-27Nitto Denko CorporationSingle use system for sterilely producing lipid-nucleic acid particles
WO2015074085A1 (en)2013-11-182015-05-21Arcturus Therapeutics, Inc.Ionizable cationic lipid for rna delivery
WO2015095346A1 (en)2013-12-192015-06-25Novartis AgLipids and lipid compositions for the delivery of active agents
WO2015199952A1 (en)2014-06-252015-12-30Acuitas Therapeutics Inc.Novel lipids and lipid nanoparticle formulations for delivery of nucleic acids
US20160376224A1 (en)2015-06-292016-12-29Acuitas Therapeutics, Inc.Lipids and lipid nanoparticle formulations for delivery of nucleic acids
US20170119904A1 (en)2015-10-282017-05-04Acuitas Therapeutics, Inc.Novel lipids and lipid nanoparticle formulations for delivery of nucleic acids
WO2017099823A1 (en)2015-12-102017-06-15Modernatx, Inc.Compositions and methods for delivery of therapeutic agents
WO2017117528A1 (en)2015-12-302017-07-06Acuitas Therapeutics, Inc.Lipids and lipid nanoparticle formulations for delivery of nucleic acids
WO2021087541A1 (en)2019-11-082021-05-14Avl List GmbhCoupling-in device for coupling in a ripple current, testing system, and coupling-in method
WO2022096681A1 (en)2020-11-062022-05-12Coave TherapeuticsLactam-modified adeno-associated virus vectors
WO2023092151A1 (en)*2021-11-222023-05-25Ohio State Innovation FoundationCompositions and methods for the treatment of neurodegenerative disorders

Patent Citations (41)

* Cited by examiner, † Cited by third party
Publication numberPriority datePublication dateAssigneeTitle
US5885613A (en)1994-09-301999-03-23The University Of British ColumbiaBilayer stabilizing components and their use in forming programmable fusogenic liposomes
WO1996010392A1 (en)1994-09-301996-04-11The University Of British ColumbiaBilayer stabilizing components and their use in forming programmable fusogenic liposomes
WO1998051278A2 (en)1997-05-141998-11-19Inex Pharmaceuticals CorporationHigh efficiency encapsulation of charged therapeutic agents in lipid vesicles
US6287591B1 (en)1997-05-142001-09-11Inex Pharmaceuticals Corp.Charged therapeutic agents encapsulated in lipid particles containing four lipid components
US6320017B1 (en)1997-12-232001-11-20Inex Pharmaceuticals Corp.Polyamide oligomers
US6586559B2 (en)1997-12-232003-07-01Inex Pharmaceuticals CorporationPolyamide oligomers
US20030077829A1 (en)2001-04-302003-04-24Protiva Biotherapeutics Inc..Lipid-based formulations
US20040142025A1 (en)2002-06-282004-07-22Protiva Biotherapeutics Ltd.Liposomal apparatus and manufacturing methods
WO2005026372A1 (en)2003-09-152005-03-24Protiva Biotherapeutics, Inc.Polyethyleneglycol-modified lipid compounds and uses thereof
US20050175682A1 (en)2003-09-152005-08-11Protiva Biotherapeutics, Inc.Polyethyleneglycol-modified lipid compounds and uses thereof
US20080020058A1 (en)2005-02-142008-01-24Sirna Therapeutics, Inc.Lipid nanoparticle based compositions and methods for the delivery of biologically active molecules
US20070042031A1 (en)2005-07-272007-02-22Protiva Biotherapeutics, Inc.Systems and methods for manufacturing liposomes
WO2008147438A2 (en)2006-10-242008-12-04Sirna Therapeutics, Inc.Lipid nanoparticle based compositions and methods for the delivery of biologically active molecules
US20100015218A1 (en)2007-02-162010-01-21Vasant JadhavCompositions and methods for potentiated activity of biologically active molecules
WO2009086558A1 (en)2008-01-022009-07-09Tekmira Pharmaceuticals CorporationImproved compositions and methods for the delivery of nucleic acids
US20110117125A1 (en)2008-01-022011-05-19Tekmira Pharmaceuticals CorporationCompositions and methods for the delivery of nucleic acids
WO2009127060A1 (en)2008-04-152009-10-22Protiva Biotherapeutics, Inc.Novel lipid formulations for nucleic acid delivery
US20100130588A1 (en)2008-04-152010-05-27Protiva Biotherapeutics, Inc.Novel lipid formulations for nucleic acid delivery
WO2010006282A2 (en)2008-07-102010-01-14Serina Therapeutics, Inc.Polyoxazolines with inert terminating groups, polyoxazolines prepared from protected initiating groups and related compounds
US20110123453A1 (en)2008-07-102011-05-26Serina Therapeutics, Inc.Polyoxazolines with Inert Terminating Groups, Polyoxazolines Prepared from Protected Initiating Groups and Related Compounds
US20130037977A1 (en)2010-04-082013-02-14Paul A. BurkePreparation of Lipid Nanoparticles
US20130156845A1 (en)2010-04-292013-06-20Alnylam Pharmaceuticals, Inc.Lipid formulated single stranded rna
WO2012000104A1 (en)2010-06-302012-01-05Protiva Biotherapeutics, Inc.Non-liposomal systems for nucleic acid delivery
US20130303587A1 (en)2010-06-302013-11-14Protiva Biotherapeutics, Inc.Non-liposomal systems for nucleic acid delivery
US20120225129A1 (en)2010-08-202012-09-06Cerulean Pharma Inc.Conjugates, particles, compositions, and related methods
WO2012040184A2 (en)2010-09-202012-03-29Merck Sharp & Dohme Corp.Novel low molecular weight cationic lipids for oligonucleotide delivery
US20130164400A1 (en)2011-11-042013-06-27Nitto Denko CorporationSingle use system for sterilely producing lipid-nucleic acid particles
WO2015074085A1 (en)2013-11-182015-05-21Arcturus Therapeutics, Inc.Ionizable cationic lipid for rna delivery
US20160317458A1 (en)2013-12-192016-11-03Luis BritoLipids and Lipid Compositions for the Delivery of Active Agents
WO2015095346A1 (en)2013-12-192015-06-25Novartis AgLipids and lipid compositions for the delivery of active agents
WO2015199952A1 (en)2014-06-252015-12-30Acuitas Therapeutics Inc.Novel lipids and lipid nanoparticle formulations for delivery of nucleic acids
US20150376115A1 (en)2014-06-252015-12-31Acuitas Therapeutics Inc.Novel lipids and lipid nanoparticle formulations for delivery of nucleic acids
US20160376224A1 (en)2015-06-292016-12-29Acuitas Therapeutics, Inc.Lipids and lipid nanoparticle formulations for delivery of nucleic acids
WO2017004143A1 (en)2015-06-292017-01-05Acuitas Therapeutics Inc.Lipids and lipid nanoparticle formulations for delivery of nucleic acids
US20170119904A1 (en)2015-10-282017-05-04Acuitas Therapeutics, Inc.Novel lipids and lipid nanoparticle formulations for delivery of nucleic acids
WO2017099823A1 (en)2015-12-102017-06-15Modernatx, Inc.Compositions and methods for delivery of therapeutic agents
US20180028664A1 (en)2015-12-102018-02-01Modernatx, Inc.Compositions and methods for delivery of agents
WO2017117528A1 (en)2015-12-302017-07-06Acuitas Therapeutics, Inc.Lipids and lipid nanoparticle formulations for delivery of nucleic acids
WO2021087541A1 (en)2019-11-082021-05-14Avl List GmbhCoupling-in device for coupling in a ripple current, testing system, and coupling-in method
WO2022096681A1 (en)2020-11-062022-05-12Coave TherapeuticsLactam-modified adeno-associated virus vectors
WO2023092151A1 (en)*2021-11-222023-05-25Ohio State Innovation FoundationCompositions and methods for the treatment of neurodegenerative disorders

Non-Patent Citations (14)

* Cited by examiner, † Cited by third party
Title
CAMILLA HALD ALBERTSEN: "The role of lipid components in lipid nanoparticles for vaccines and gene therapy", ADVANCED DRUG DELIVERY REVIEWS, vol. 188, 3 July 2022 (2022-07-03), Amsterdam , NL, pages 114416, XP093155196, ISSN: 0169-409X, DOI: 10.1016/j.addr.2022.114416*
CHANG LILI ET AL: "Regulating T-cell metabolic reprogramming and blocking PD-1 co-promote personalized postoperative autologous nanovaccines", BIOMATERIALS, vol. 297, 31 March 2023 (2023-03-31), AMSTERDAM, NL, pages 122104, XP093153042, ISSN: 0142-9612, DOI: 10.1016/j.biomaterials.2023.122104*
JAYARAMAN ET AL., ANGEW. CHEM. INT. ED ENGL., vol. 51, no. 34, 2012, pages 8529 - 8533
KOWALSKI PIOTR ET AL., MOLECULAR THERAPY, vol. 27, no. 4, 2019, Retrieved from the Internet <URL:https://doi.org/10.1016/j.ymthe.2019.02.012>
LINHUA ZHANG: "Supporting Information - Targeted Codelivery of an Antigen and Dual Agonists by Hybrid Nanoparticles for Enhanced Cancer Immunotherapy", NANO LETTERS, vol. 19, no. 7, 14 March 2019 (2019-03-14), US, pages 4237 - 4249, XP093154541, ISSN: 1530-6984, DOI: 10.1021/acs.nanolett.9b00030*
LU LANTIAN, VACCINES, vol. 9, no. 6, 2021, pages 563, Retrieved from the Internet <URL:https://doi.org/10.3390/vaccines9060563>
MATHIEU MÉVEL ET AL: "Chemical modification of the adeno-associated virus capsid to improve gene delivery", CHEMICAL SCIENCE, vol. 11, no. 4, 9 December 2019 (2019-12-09), United Kingdom, pages 1122 - 1131, XP055726654, ISSN: 2041-6520, DOI: 10.1039/C9SC04189C*
no. 1224606-06-7
S. M. BERGE ET AL.: "describe pharmaceutically acceptable salts", J. PHARMACEUTICAL SCIENCES, vol. 66, 1977, pages 1 - 19
XU ET AL., ACS NANO, vol. 16, 2022, pages 7168 - 7196
YINING XU: "Surface Modification of Lipid-Based Nanoparticles", vol. 16, no. 5, 21 April 2022 (2022-04-21), US, pages 7168 - 7196, XP093152791, ISSN: 1936-0851, Retrieved from the Internet <URL:https://pubs.acs.org/doi/pdf/10.1021/acsnano.2c02347> [retrieved on 20240423], DOI: 10.1021/acsnano.2c02347*
ZHANG LINHUA ET AL: "Targeted Codelivery of an Antigen and Dual Agonists by Hybrid Nanoparticles for Enhanced Cancer Immunotherapy", NANO LETTERS, vol. 19, no. 7, 14 March 2019 (2019-03-14), US, pages 4237 - 4249, XP093103078, ISSN: 1530-6984, DOI: 10.1021/acs.nanolett.9b00030*
ZHANG ZIPENG ET AL: "In-situ self-assembled vaccine constructed with dual switchable nanotransformer for tumor immunotherapy", CHEMICAL ENGENEERING JOURNAL, vol. 454, 4 November 2022 (2022-11-04), AMSTERDAM, NL, pages 140190, XP093153182, ISSN: 1385-8947, DOI: 10.1016/j.cej.2022.140190*
ZHOU ET AL.: "Development of Triantennary N-Acetylgalactosamine Conjugates as Degraders for Extracellular Proteins", ACS CENT. SCI., 2021

Similar Documents

PublicationPublication DateTitle
CN112437767B (en)thioester cationic lipids
US20230132645A1 (en)Lipid membrane structure for delivery into sirna cell
JP7463006B2 (en) Cationic lipids containing steroidal moieties
CN114401942B (en) Tris(hydroxymethyl)methylglycine and citrate lipids
JP7483294B2 (en) 2,5-dioxopiperazine lipids containing intercalation ester, thioester, disulfide and anhydride moieties
AU2004246904B2 (en)Sphingolipids polyalkylamine conjugates for use in transfection
KR101762466B1 (en)Lipids, lipid compositions, and methods of using them
US20130216607A1 (en)Zwitterionic lipids
WO2010056403A1 (en)Branched cationic lipids for nucleic acids delivery system
WO2010014895A2 (en)Nanoparticle compositions for nucleic acids delivery system
EP4149556A1 (en)Peg lipidoid compounds
TW202337498A (en)Ionizable cationic lipids for rna delivery
US20240261223A1 (en)Modular lipid compounds and two- to three-component lipid nanoparticle compositions
KR20250131271A (en) Novel polyglycerol-conjugated lipid and lipid nanoparticle composition comprising the same
EP4360624A1 (en)Lipid nanoparticles and method for preparing same
WO2025011532A1 (en)Lipid compounds for delivery of therapeutic agents and preparation method and its use thereof
WO2025114520A1 (en)Ionizable lipid nanoparticles
CN117534585A (en) A new type of ionizable cationic lipid compound and its preparation method and application
WO2025051994A1 (en)Ionizable lipid nanoparticles
WO2022229903A1 (en)Mrna delivery constructs and methods of using the same
JPWO2017111172A1 (en) Compounds as cationic lipids
WO2018225873A1 (en)Nucleic-acid-containing nanoparticles
WO2018062233A1 (en)Cationic lipid compound
WO2025124711A1 (en)Glycolipid compositions
WO2025083657A1 (en)Lipid compound and composition for tissue-specific delivery of active substance

Legal Events

DateCodeTitleDescription
121Ep: the epo has been informed by wipo that ep was designated in this application

Ref document number:24816959

Country of ref document:EP

Kind code of ref document:A1


[8]ページ先頭

©2009-2025 Movatter.jp