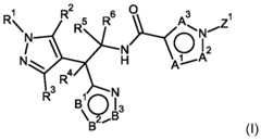
82802_FF 1 MICROBIOCIDAL PYRAZOLE DERIVATIVES The present invention relates to novel microbiocidal pyrazole derivatives, e.g., as active ingredients, which have microbiocidal activity, in particular fungicidal activity. The invention also relates to preparation of these pyrazole derivatives, to intermediates useful in the preparation of these pyrazole derivatives, to the preparation of these intermediates, to agrochemical compositions which comprise at least one of the pyrazole derivatives, to preparation of these compositions and to the use of the pyrazole derivatives or compositions in agriculture or horticulture for controlling or preventing infestation of plants, harvested food crops, seeds or non-living materials by phytopathogenic microorganisms, in particular fungi. Previously microbiocidal pyrazole derivatives were disclosed in WO2023/012044. According to a first aspect of the present invention, there is provided a compound of formula (I): wherein
 R
1 is selected from hydrogen, C1-C4-alkyl, C2-C4-alkenyl, C2-C4-alkynyl, or C3-C6-cycloalkyl; R
2 is selected from hydrogen, halogen, C1-C4-alkyl, C2-C4-alkenyl, C2-C4-alkynyl, C1-C4-haloalkyl, C3-C6- cycloalkyl, C1-C4-alkylcarbonyl, N-C1-C4-alkoxy-C-C1-C4-alkyl-carbonimidoyl, N-hydroxy-C-C1-C4-alkyl- carbonimidoyl, or C1-C4-alkoxycarbonyl; R
3 is selected from hydrogen, halogen, or C1-C4-alkyl; R
4 is selected from hydrogen, halogen, cyano, C1-C4-alkyl, C1-C4-alkylcarbonyl, C1-C4-alkoxycarbonyl, C1-C4- alkylaminocarbonyl, or N,N-di(C1-C4 alkyl)aminocarbonyl; R
5 and R
6 are independently selected from hydrogen or C1-C4-alkyl; A
1 is selected from CR
7 or N, A
2 is selected from CR
8, or N; A
3 is selected from CR
9, or N; R
7, R
8, R
9 are independently selected from hydrogen, C1-C4-alkyl, C2-C4-alkenyl, C2-C4-alkynyl, or C1-C4- haloalkyl; B
1, B
2, B
3 are independently selected from CR
10, N, NR
11, O, or S, with the proviso that no more than one of B
1, B
2, B
3 is O or S; R
10 is selected from hydrogen, halogen, C1-C4-alkyl, C1-C4-haloalkyl, C1-C4-alkoxy, C1-C4-haloalkoxy, C2-C4- alkenyloxy, C2-C4-alkynyloxy, C1-C4-alkylsulfanyl, C1-C4-alkylsulfinyl, C1-C4-alkylsulfonyl, C1-C4-alkoxy-C1-C4- alkyl, N-C1-C4-alkylamino, N,N-di-(C1-C4-alkyl)amino, C1-C4-alkoxycarbonyl, C1-C4-alkylcarbonyl, N-C1-C4- alkoxy-C1-C4-alkyl-carbonimidoyl, N-hydroxy-C1-C4-alkyl-carbonimidoyl, hydroxy, amino, 82802_FF 2 trifluoromethylsulfonyloxy, cyano, carboxy, phenyl, 5- or 6-membered heteroaryl, or C3-C6-cycloalkyl; wherein any of said said 5- or 6-membered heteroaryl contains 1, 2, 3 or 4 heteroatoms individually selected from N, O or S, with the proviso that no more than one is O or S; and wherein any of said phenyl, 5- or 6-membered heteroaryl and C3-C6-cycloalkyl are unsubstituted or substituted by 1, 2 or 3 substituents independently selected from halogen, cyano, C1-C4-alkyl, C1-C4-haloalkyl, or C1-C4-alkoxy; R
11 is selected from hydrogen, or C1-C4-alkyl; and Z
1 is selected from C
1-C
4 alkyl, phenyl, 5- or 6-membered heteroaryl or C
3-C
6-cycloalkyl; wherein any of said 5- or 6-membered heteroaryl contains 1, 2, 3 or 4 heteroatoms individually selected from N, O and S, with the proviso that no more than one is O or S; and wherein any of said phenyl, 5- or 6-membered heteroaryl and C3- C6-cycloalkyl are unsubstituted or substituted by 1, 2 or 3 substituents independently selected from halogen, cyano, C
1-C
4-alkyl, C
1-C
4-haloalkyl, C
1-C
4 alkoxy, C
1-C
4-haloalkoxy, C
1-C
4-alkylsulfanyl, C
1-C
4-alkylsulfinyl, C
1- C4-alkylsulfonyl, or C2-C4-alkynyl; or an agrochemically acceptable salt, stereoisomer, enantiomer, tautomer or N-oxide thereof. Surprisingly, it has been found that the compounds of formula (I) have, for practical purposes, a very advantageous level of biological activity for protecting plants against diseases that are caused by fungi. According to a second aspect of the invention, there is provided an agrochemical composition comprising a fungicidally effective amount of a compound of formula (I) according to the invention. Such an agricultural composition may further comprise at least one additional active ingredient and/or an agrochemically-acceptable diluent or carrier. According to a third aspect of the invention, there is provided a method of controlling or preventing infestation of useful plants by phytopathogenic microorganisms, wherein a fungicidally effective amount of a compound of formula (I) according to the invention, or a composition comprising the compound of formula (I), is applied to the plants, to parts thereof or the locus thereof. According to a fourth aspect of the invention, there is provided the use of a compound of formula (I) according to the invention as a fungicide. According to this particular aspect of the invention, the use may exclude methods for treatment of the human or animal body by surgery or therapy and diagnostic methods practised on the human or animal body. Compounds of formula (I) which have at least one basic centre can form, for example, acid addition salts, for example with strong inorganic acids such as mineral acids, for example perchloric acid, sulfuric acid, nitric acid, nitrous acid, a phosphorus acid or a hydrohalic acid, with strong organic carboxylic acids, such as C1- C4alkanecarboxylic acids which are unsubstituted or substituted, for example by halogen, for example acetic acid, such as saturated or unsaturated dicarboxylic acids, for example oxalic acid, malonic acid, succinic acid, maleic acid, fumaric acid or phthalic acid, such as hydroxycarboxylic acids, for example ascorbic acid, lactic acid, malic acid, tartaric acid or citric acid, or such as benzoic acid, or with organic sulfonic acids, such as C1- C4 alkane- or arylsulfonic acids which are unsubstituted or substituted, for example by halogen, for example methane- or p-toluenesulfonic acid. Compounds of formula (I) which have at least one acidic group can form, for example, salts with bases, for example mineral salts such as alkali metal or alkaline earth metal salts, for 82802_FF 3 example sodium, potassium or magnesium salts, or salts with ammonia or an organic amine, such as morpholine, piperidine, pyrrolidine, a mono-, di- or tri-lower-alkylamine, for example ethyl-, diethyl-, triethyl- or dimethylpropylamine, or a mono-, di- or trihydroxy-lower-alkylamine, for example mono-, di- or triethanolamine. In each case, the compounds of formula (I) according to the invention are in free form, in oxidized form as a N- oxide or in salt form, e.g., an agronomically usable salt form. N-oxides are oxidized forms of tertiary amines or oxidized forms of nitrogen containing heteroaromatic compounds. They are described for instance in the book “Heterocyclic N-oxides” by A. Albini and S. Pietra, CRC Press, Boca Raton 1991. The compounds of formula (I) according to the invention also include hydrates which may be formed during the salt formation. Where substituents are indicated as being “optionally substituted”, this means that they may or may not carry one or more identical or different substituents, e.g., one, two or three R
x substituents. For example, C1-C6alkyl substituted by 1, 2 or 3 halogens, may include, but not be limited to, -CH2Cl, -CHCl2, -CCl3, -CH2F, -CHF2, - CF3, -CH2CF3 or -CF2CH3 groups. As another example, C1-C6alkoxy substituted by 1, 2 or 3 halogens, may include, but not be limited to, CH2ClO-, CHCl2O-, CCl3O-, CH2FO-, CHF2O-, CF3O-, CF3CH2O- or CH3CF2O- groups. Further the term “optionally substituted” as used herein, means that the referred group is unsubstituted or substituted. As used herein, the term "halogen" or “halo” refers to fluorine (fluoro), chlorine (chloro), bromine (bromo) or iodine (iodo), preferably fluorine, chlorine or bromine. This also applies, correspondingly, to halogen in combination with other meanings, such as haloalkyl, haloalkenyl, haloalkynyl, haloalkoxy, and halocycloalkyl. As used herein, amino means a -NH2 group. As used herein, cyano means a -CN group. As used herein, the term “hydroxyl” or “hydroxy” means an -OH group. As used herein, the term “carboxylic acid” means a -COOH group. As used herein, the term "C1-Cn-alkyl” refers to a saturated straight-chain or branched hydrocarbon radical attached via any of the carbon atoms having 1 to n carbon atoms, for example, but not limited to, any one of the radicals methyl, ethyl, n-propyl, 1-methylbutyl, 2-methylbutyl, 3-methylbutyl, 2,2-dimethylpropyl, 1- ethylpropyl, n-hexyl, n-pentyl, 1,1-dimethylpropyl, or 1,2-dimethylpropyl. As used herein, the term “C2-Cn-alkenyl” refers to a straight or branched alkenyl chain moiety having from two to n carbon atoms and one or two double bonds, for example, ethenyl, prop-1-enyl, but-2-enyl. As used herein, the term “C2-Cn-alkynyl” refers to a straight or branched alkynyl chain moiety having from two to n carbon atoms and one triple bond, for example, ethynyl, prop-2-ynyl, but-3-ynyl, As used herein, the term “C3-Cn-cycloalkyl” refers to three (3) to n membered cycloalkyl radical such as cyclopropyl, cyclobutyl, cyclopentyl and cyclohexyl. 82802_FF 4 As used herein, the term "C1-Cn-alkoxy" refers to a straight-chain or branched saturated alkyl radical having one (1) to n carbon atoms (as mentioned above) which is attached via an oxygen atom, i.e., for example, any one of the radicals methoxy, ethoxy, n-propoxy, 1-methylethoxy, n-butoxy, 1-methylpropoxy, 2-methylpropoxy and 1,1-dimethylethoxy. The term “C2-Cn-alkenyloxy” as used herein refers to a straight-chain or branched alkenyl chain having two (2) to n carbon atoms (as mentioned above) which is attached via an oxygen atom. As used herein, the term “C1-Cn-alkoxy-C1-Cn-alkyl” refers to an alkyl radical (as mentioned above) substituted with a C
1-C
n-alkoxy group. Examples are methoxymethyl, methoxyethyl, ethoxymethyl and propoxymethyl. As used herein, the term "C1-Cn-haloalkyl" refers to a straight-chain or branched saturated alkyl radical attached via any of the carbon atoms having 1 to n carbon atoms (as mentioned above), where some or all of the hydrogen atoms in these radicals may be replaced by fluorine, chlorine, bromine and/or iodine, i.e., for example, but not limited to chloromethyl, dichloromethyl, trichloromethyl, fluoromethyl, difluoromethyl, trifluoromethyl, chlorofluoromethyl, dichlorofluoromethyl, chlorodifluoromethyl, 2-fluoroethyl, 2-chloroethyl, 2-bromoethyl, 2- iodoethyl, 2,2-difluoroethyl, 2,2,2-trifluoroethyl, 2-chloro-2-fluoroethyl, 2-chloro-2,2-difluoroethyl, 2,2-dichloro- 2-fluoroethyl, or 2,2,2-trichloroethyl. As used herein, the term “C1-Cn-alkylthio“ or “C1-Cn-alkylsulfanyl“refers to a C1-Cn-alkyl group linked through a sulfur atom. As used herein, the term “C1-Cn-alkylsulfinyl“ refers to a C1-Cnalkyl group linked through the sulfur atom of a sulfinyl (or S(=O)-) group. As used herein, the term “C1-Cn-alkylsulfonyl“ refers to a C1-Cnalkyl group linked through the sulfur atom of a sulfonyl (or S(=O)2-) group. As used herein, the term “C1-Cn-alkylcarbonyl” refers to a C1-Cn-alkyl group linked through the carbon atom of a carbonyl (C=O) group. As used herein, the term “C1-Cn-alkoxycarbonyl” refers to a C1-Cn-alkoxy moiety linked through a carbon atom of a carbonyl (or C=O) group. As used herein, the term “C1-Cn-alkylaminocarbonyl” refers to a C1-Cn-alkylamino group (or RaNHC(=O)-, wherein Ra is a C1-Cn-alkyl group) linked through the carbon atom of a carbonyl (C=O) group. As used herein, the term “N-C1-C4-alkoxy-C-C1-C4-alkyl-carbonimidoyl” refers to a radical of the formula - C(Ra)=NO(Rb) where Ra is a C1-C4 alkyl radical as generally defined above, and Rb is a C1-C4 alkyl radical as generally defined above. As used herein the term “N-hydroxy-C-C1-C4-alkyl-carbonimidoyl” refers to a radical of the formula -C(Ra)=NOH where Ra is a C1-C4 alkyl radical as generally defined above. As used herein, the term “C1-Cn-alkylaminocarbonyl” refers to a group of the formula RaNHC(=O)-, wherein Ra is a C1-Cn-alkyl group, as generally defined above, linked through the carbon atom of a carbonyl (C=O) group. 82802_FF 5 As used herein, the term “di(C1-Cn-alkyl)aminocarbonyl” refers to a radical of the formula RaNRbC(=O), where Ra is a C1-Cn alkyl radical as generally defined above, and Rb is a C1-Cn alkyl radical as generally defined above, linked through the carbon atom of a carbonyl (C=O) group. As used herein, the term “N-C1-Cn-alkylamino” refers to a radical of the formula -NH-Ra where Ra is a C1-Cn alkyl radical as defined above. As used herein, the term "N,N-di(C1-Cn-alkyl)amino" refers to a radical of the formula -N(Ra)Ra where each Ra is a C
1-C
n alkyl radical, which may be the same or different, as defined above. As used herein, the term “heteroaryl" refers to a 5- or 6-membered aromatic monocyclic ring radical which comprises 1, 2, 3 or 4 heteroatoms individually selected from N, O or S. Examples of heteroaryl include, but are not limited to, furanyl (or furyl), pyrrolyl, thienyl, pyrazolyl, imidazolyl, thiazolyl, isothiazolyl, oxazolyl, isoxazolyl, triazolyl, tetrazolyl, pyrazinyl, pyridazinyl, pyrimidyl or pyridyl. The term “heteroaryl-C1-Cn-alkyl” or “heteroaryl-C3-Cn-cycloalkyl” refers to an C1-Cn-alkyl or C3-Cn-cycloalkyl radical respectively substituted by a heteroaryl group. The heteroaryl-C1-Cn-alkyl or heteroaryl-C3-Cn-cycloalkyl radical may be substituted on heteroaryl, alkyl and/or cycloalkyl group as appropriate. As used herein, the term "controlling" refers to reducing the number of pests, eliminating pests and/or preventing further pest damage such that damage to a plant or to a plant derived product is reduced. As used herein, the term "pest" refers to insects, and molluscs that are found in agriculture, horticulture, forestry, the storage of products of vegetable origin (such as fruit, grain and timber); and those pests associated with the damage of man-made structures. The term pest encompasses all stages in the life cycle of the pest. As used herein, the term "effective amount" refers to the amount of the compound, or a salt thereof, which, upon single or multiple applications provides the desired effect. An effective amount is readily determined by the skilled person in the art, using known techniques and by observing results obtained under analogous circumstances. In determining the effective amount, a number of factors are considered including, but not limited to the type of plant or derived product to be applied; the pest to be controlled & its lifecycle; the particular compound applied; the type of application; and other relevant circumstances. As used herein, the term “room temperature” or “RT” or “rt” refer to a temperature of about 15° C to about 35° C. For example, rt can refer to a temperature of about 20° C to about 30° C, or to about 25°C. The following list provides definitions, including preferred definitions, for substituents R
1, R
2, R
3, R
4, R
5, R
6, R
7, R
8, R
9, R
10, R
11, A
1, A
2, A
3, B
1, B
2, B
3, and Z
1 with reference to the compounds of formula (I) of the present invention. For any one of these substituents, any of the definitions given below may be combined with any definition of any other substituent given below or elsewhere in this document. In one embodiment of the invention, R
1 is selected from hydrogen, C1-C4-alkyl, C2-C4-alkenyl, C2-C4-alkynyl, or C3-C6-cycloalkyl. Preferably R
1 is hydrogen, C1-C3-alkyl, C2-C4-alkenyl, C2-C4-alkynyl, or C3-C6-cycloalkyl. More 82802_FF 6 preferably R
1 is C1-C3-alkyl, or C3-C6-cycloalkyl. Even more preferably R
1 is methyl, ethyl, or cyclopropyl. Still even more preferably R
1 is methyl. In one embodiment of the invention, R
2 is hydrogen, halogen, C
1-C
4-alkyl, C
2-C
4-alkenyl, C
2-C
4-alkynyl, C
1-C
4- haloalkyl, C3-C6-cycloalkyl, C1-C4-alkylcarbonyl, N-C1-C4-alkoxy-C-C1-C4-alkyl-carbonimidoyl, N-hydroxy-C-C1- C4-alkyl-carbonimidoyl, or C1-C4-alkoxycarbonyl. Preferably R
2 is hydrogen, halogen, C1-C3-alkyl, C2-C4- alkenyl, C2-C4-alkynyl, C1-C3-haloalkyl, C3-C6-cycloalkyl, C1-C2-alkylcarbonyl, N-C1-C2-alkoxy-C-C1-C3-alkyl- carbonimidoyl, N-hydroxy-C-C
1-C
3-alkyl-carbonimidoyl, or C
1-C
3-alkoxycarbonyl. More preferably R
2 is hydrogen, halogen, C1-C3-alkyl, C3-C4-cycloalkyl, C1-C2-alkylcarbonyl, N-C1-C2-alkoxy-C-C1-C3-alkyl- carbonimidoyl, or N-hydroxy-C-C1-C2-alkyl-carbonimidoyl. Even more preferably R
2 is hydrogen, fluorine, chlorine, bromine, methyl, ethyl, cyclopropyl, acetyl, -C(CH3)=NOCH3, –C(CH3)=NOCH2CH3, or – C(CH
3)=NOH. Still even more preferably R
2 is hydrogen, fluorine, chlorine, methyl, or cyclopropyl. In another embodiment of the invention, R
2 is hydrogen, halogen, C1-C4-alkyl, or C3-C6-cycloalkyl. Preferably R
2 is hydrogen, halogen, C1-C3-alkyl, or cyclopropyl. In one embodiment of the invention, R
3 is hydrogen, halogen, or C1-C4-alkyl. Preferably R
3 is hydrogen, halogen, or C1-C3-alkyl. More preferably R
3 is hydrogen, fluorine, chlorine or methyl. Even more preferably R
3 is hydrogen. In one embodiment of the invention, R
4 is hydrogen, halogen, cyano, C1-C4-alkyl, C1-C4-alkylcarbonyl, C1-C4- alkoxycarbonyl, C1-C4-alkylaminocarbonyl, or N,N-di(C1-C4 alkyl)aminocarbonyl. Preferably R
4 is hydrogen, halogen, cyano, C1-C3-alkyl, C1-C2-alkylcarbonyl, C1-C2-alkoxycarbonyl, C1-C2- alkylaminocarbonyl, or N,N-di(C1-C2-alkylamino)carbonyl. More preferably R
4 is hydrogen, halogen, cyano, C1- C3-alkyl, or C1-C2-alkoxycarbonyl. Even more preferably R
4 is hydrogen, halogen, cyano, or C1-C3-alkyl. Still even more preferably R
4 is hydrogen, cyano, or C1-C3-alkyl. Most preferably R
4 is hydrogen or methyl. In one embodiment of the invention, R
5 and R
6 are independently selected from hydrogen or C1-C4-alkyl. Preferably R
5 and R
6 are independently selected from hydrogen or C1-C3-alkyl. More preferably R
5 and R
6 are independently selected from hydrogen or methyl. Even more preferably R
5 and R
6 are hydrogen. In one embodiment of the invention, A
1 is CR
7 or N, A
2 is CR
8, or N; and A
3 is CR
9, or N. Preferably A
1 is CH, C(CH3), or N, A
2 is CH, C(CH3), or N; and A
3 is CH, C(CH3), or N. More preferably A
1 is CH, or N, A
2 is CH, or N; and A
3 is CH, or N. In one embodiment of the invention, R
7, R
8, R
9 are independently selected from hydrogen, C1-C4-alkyl, C2-C4- alkenyl, C2-C4-alkynyl, or C1-C4-haloalkyl. Preferably R
7, R
8, R
9 are independently selected from hydrogen, C1- C3-alkyl, C2-C4-alkenyl, C2-C4-alkynyl, or C1-C3-haloalkyl. More preferably R
7, R
8, R
9 are independently selected from hydrogen, or C1-C3-alkyl. Even more preferably R
7, R
8, R
9 are independently selected from hydrogen, or methyl. Most preferably R
7, R
8, R
9 are hydrogen. 82802_FF 7 In one embodiment of the invention, B
1, B
2, B
3 are independently selected from CR
10, N, NR
11, O, or S, with the proviso that no more than one of B
1, B
2, B
3 is O or S. Preferably B
1, B
2, B
3 are independently selected from CR
10, N, O, or S, with the proviso that no more than one of B
1, B
2, B
3 is O or S. In one embodiment of the invention, R
10 is hydrogen, halogen, C1-C4-alkyl, C1-C4-haloalkyl, C1-C4-alkoxy, C1- C4-haloalkoxy, C2-C4-alkenyloxy, C2-C4-alkynyloxy, C1-C4-alkylsulfanyl, C1-C4-alkylsulfinyl, C1-C4-alkylsulfonyl, C1-C4-alkoxy-C1-C4-alkyl, N-C1-C4-alkylamino, N,N-di-(C1-C4-alkyl)amino, C1-C4-alkoxycarbonyl, C1-C4- alkylcarbonyl, N-C
1-C
4-alkoxy-C
1-C
4-alkyl-carbonimidoyl, N-hydroxy-C
1-C
4-alkyl-carbonimidoyl, hydroxy, amino, trifluoromethylsulfonyloxy, cyano, carboxy, phenyl, 5- or 6-membered heteroaryl, or C3-C6-cycloalkyl; wherein any of said said 5- or 6-membered heteroaryl contains 1, 2, 3 or 4 heteroatoms individually selected from N, O or S, with the proviso that no more than one is O or S; and wherein any of said phenyl, 5- or 6- membered heteroaryl and C
3-C
6-cycloalkyl are unsubstituted or substituted by 1, 2 or 3 substituents independently selected from halogen, cyano, C1-C4-alkyl, C1-C4-haloalkyl, or C1-C4-alkoxy. Preferably R
10 is hydrogen, halogen, C1-C3-alkyl, C1-C3-haloalkyl, C1-C3-alkoxy, C1-C3-haloalkoxy, C2-C4-alkenyloxy, C2-C4- alkynyloxy, C1-C2-alkylsulfanyl, C1-C2-alkylsulfinyl, C1-C2-alkylsulfonyl, C1-C2-alkoxy-C1-C3-alkyl, N-C1-C2- alkylamino, N,N-di-(C1-C42-alkyl)amino, C1-C2-alkoxycarbonyl, C1-C2-alkylcarbonyl, N-C1-C2-alkoxy-C1-C2- alkyl-carbonimidoyl, N-hydroxy-C1-C2-alkyl-carbonimidoyl, hydroxy, amino, trifluoromethylsulfonyloxy, cyano, carboxy, phenyl, 5- or 6-membered heteroaryl, or C3-C6-cycloalkyl; wherein any of said said 5- or 6-membered heteroaryl contains 1, 2, or 3 heteroatoms individually selected from N, O or S, with the proviso that no more than one is O or S; and wherein any of said phenyl, 5- or 6-membered heteroaryl and C3-C6-cycloalkyl are unsubstituted or substituted by 1 or 2 substituents independently selected from halogen, cyano, C1-C3-alkyl, C1-C3-haloalkyl, or C1-C3-alkoxy. More preferably R
10 is hydrogen, halogen, cyano, amino, C1-C3-alkyl, C1-C3- haloalkyl, C1-C3-alkoxy, C1-C3-haloalkoxy, C1-C2-alkoxy-C1-C2-alkyl, phenyl, 5- or 6-membered heteroaryl, or C3-C6-cycloalkyl; wherein any of said said 5- or 6-membered heteroaryl contains 1 heteroatom selected from N; and wherein any of said phenyl, 5- or 6-membered heteroaryl and C3-C6-cycloalkyl are unsubstituted or substituted by 1, or 2 substituents independently selected from halogen, cyano, methyl, ethyl, or trifluoromethyl. Even more preferably R
10 is hydrogen, halogen, cyano, amino, C1-C3-alkoxy, cyclopropyl, phenyl or 5- membered heteroaryl; wherein any of said 5-membered heteroaryl contains 1 heteroatom selected from N; and wherein any of said phenyl, 5- membered heteroaryl and cyclopropyl are unsubstituted or substituted by 1, or 2 substituents independently selected from fluoro, chloro, cyano, or methyl. In one embodiment of the invention R
10 is R
10a or R
10b, wherein R
10a, R
10b are independently selected from hydrogen, chloro, fluoro, bromo, methyl, ethyl, trifluoromethyl, difluoromethyl, difluoromethoxy, 2,2-difluoro ethoxy, 2,2,2-trifluoroethoxy, methoxy, ethoxy, propoxy,, allyloxy, prop-2-ynoxy, methoxymethyl, ethoxy- methyl, 2-methoxyethoxymethyl, methoxycarbonyl, ethoxycarbonyl, tert-butoxycarbonyl, acetyl, propanoyl, - C(CH3)=NOCH3, –C(CH3)=NOCH2CH3, –C(CH3)=NOH, trifluoromethylsulfonyloxy, cyano, amino, carboxy, phenyl, 2-cyanophenyl, 3-cyanophenyl, 4-cyanophenyl, 2-methylphenyl, 3-methylphenyl, 4- methylphenyl, [4-(trifluoromethyl)pyrazol-1-yl], [3-(trifluoromethyl)pyrazol-1-yl], (3-cyanopyrazol-1-yl), (4- cyanopyrazol-1-yl), (5-chloropyrazol-1-yl), (4-chloropyrazol-1-yl), (3-chloropyrazol-1-yl), (5-fluoropyrazol-1-yl), (4-fluoropyrazol-1-yl), (3-fluoropyrazol-1-yl), (3,5-dimethylpyrazol-1-yl), (5-methylpyrazol-1-yl), (4- 82802_FF 8 methylpyrazol-1-yl), (3-methylpyrazol-1-yl), pyrazol-1-yl, cyclopropyl, or 1-cyanocyclopropyl. Preferably R
10a, R
10b are independently selected from hydrogen, chloro, fluoro, bromo, methoxy, cyano, amino, carboxy, 2- cyanophenyl, 3-cyanophenyl, 4-cyanophenyl, (3-cyanopyrazol-1-yl), (4-cyanopyrazol-1-yl), (5-chloropyrazol-1- yl), (4-chloropyrazol-1-yl), (3-chloropyrazol-1-yl), (5-fluoropyrazol-1-yl), (4-fluoropyrazol-1-yl), (3-fluoropyrazol- 1-yl), (3,5-dimethylpyrazol-1-yl), (5-methylpyrazol-1-yl), (4-methylpyrazol-1-yl), (3-methylpyrazol-1-yl), pyrazol- 1-yl, cyclopropyl, or 1-cyanocyclopropyl. More preferably R
10a, R
10b are independently selected from hydrogen, chloro, bromo, methoxy, cyano, amino, 2-cyanophenyl, 3-cyanophenyl, 4-cyanophenyl, (3- cyanopyrazol-1-yl), (4-cyanopyrazol-1-yl), (3,5-dimethylpyrazol-1-yl), (5-methylpyrazol-1-yl), (4-methylpyrazol- 1-yl), (3-methylpyrazol-1-yl), pyrazol-1-yl, cyclopropyl, or 1-cyanocyclopropyl. Even more preferably R
10a, R
10b are independently selected from hydrogen, chloro, bromo, cyano or cyclopropyl. In another embodiment of the invention R
10 is selected from hydrogen, halogen, cyano, C
1-C
3-alkyl, C
1-C
3- haloalkyl, C1-C3-alkoxy, or C3-C6-cycloalkyl. Preferably R
10 is selected from hydrogen, halogen, cyano, C1-C3- alkyl, C1-C3-alkoxy, or C3-C6-cycloalkyl. In another embodiment of the invention R
10 is R
10a or R
10b, wherein R
10a, R
10b are independently selected from hydrogen, halogen, cyano, C1-C3-alkyl, C1-C3-haloalkyl, C1-C3-alkoxy, or C3-C6-cycloalkyl. Preferably R
10a, R
10b are independently selected from hydrogen, halogen, cyano, C1-C3-alkyl, C1-C3-alkoxy, or C3-C6-cycloalkyl. In one embodiment of the invention, R
11 is hydrogen, or C1-C4-alkyl. Preferably R
11 is hydrogen, or C1-C3-alkyl. More preferably R
11 is hydrogen, methyl or ethyl. Even more preferably R
11 is hydrogen, or methyl. Still even more preferably R
11 is hydrogen. In one embodiment of the invention, Z
1 is C1-C4 alkyl, phenyl, 5- or 6-membered heteroaryl or C3-C6-cycloalkyl; wherein any of said 5- or 6-membered heteroaryl contains 1, 2, 3 or 4 heteroatoms individually selected from N, O and S, with the proviso that no more than one is O or S; and wherein any of said phenyl, 5- or 6-membered heteroaryl and C3-C6-cycloalkyl are unsubstituted or substituted by 1, 2 or 3 substituents independently selected from halogen, cyano, C1-C4-alkyl, C1-C4-haloalkyl, C1-C4 alkoxy, C1-C4-haloalkoxy, C1-C4- alkylsulfanyl, C1-C4-alkylsulfinyl, C1-C4-alkylsulfonyl, or C2-C4-alkynyl. Preferably Z
1 is C1-C3-alkyl, phenyl, 5- or 6-membered heteroaryl, or C3-C6-cycloalkyl; wherein any of said 5- or 6-membered heteroaryl contains 1, 2, or 3 heteroatoms individually selected from N, O or S, with the proviso that no more than one is O or S; and wherein any of said phenyl, 5- or 6-membered heteroaryl and C3-C6-cycloalkyl are unsubstituted or substituted by 1, 2, or 3 substituents independently selected from halogen, cyano, C1-C3-alkyl, C1-C2-haloalkyl, C1-C3- alkoxy, C1-C3-haloalkoxy, C1-C2-alkylsulfanyl, C1-C2-alkylsulfinyl, C1-C2-alkylsulfonyl, or C2-C4-alkynyl. More preferably Z
1 is C1-C3-alkyl, phenyl, pyrazolyl, thienyl, pyridyl, furanyl, or C3-C6-cycloalkyl; wherein any of said phenyl, pyrazolyl, thienyl, pyridyl, furanyl, and C3-C6-cycloalkyl are unsubstituted or substituted by 1, 2, or 3 substituents independently selected from halogen, cyano, C1-C3-alkyl, C1-C2-haloalkyl, C1-C3-alkoxy, C1-C3- haloalkoxy, C1-C2-alkylsulfanyl, C1-C2-alkylsulfinyl, C1-C2-alkylsulfonyl, or C2-C4-alkynyl. Even more preferably Z
1 is C1-C3-alkyl, phenyl, pyrazolyl, thienyl, pyridyl, furanyl, or C3-C6-cycloalkyl, wherein any of said phenyl, pyrazolyl, thienyl, pyridyl, furanyl, and C3-C6-cycloalkyl are unsubstituted or substituted by 1, 2, or 3 substituents independently selected from halogen, C1-C3-alkyl, C1-C3-alkoxy, or C2-C4-alkynyl. Still even more preferably Z
1 82802_FF 9 is C1-C3-alkyl, phenyl, pyrazolyl, thienyl, pyridyl, furanyl, or C3-C6-cycloalkyl, wherein any of said phenyl, pyrazolyl, thienyl, pyridyl, furanyl, and C3-C6-cycloalkyl are unsubstituted or substituted by 1, 2, or 3 substituents independently selected from chloro, fluoro, methyl, methoxy, or ethynyl. In another embodiment of the invention, Z
1 is selected from, 1-methylpyrazol-4-yl, 2,3,4-trifluorophenyl, 2,3- difluorophenyl, 3,4-difluorophenyl, 2,4,6-trifluorophenyl, 2,4-difluorophenyl, 2,5-difluorophenyl, 3,5-difluoro-2- pyridyl, 5-fluoro-2-pyridyl, 3-fluoro-2-pyridyl, 2-fluoro-4-methoxy-phenyl, 2-fluoro-4-methylsulfonyl-phenyl, 2- fluorophenyl, 3-fluorophenyl, 4-fluorophenyl, 3,5-difluoro-2-furyl, 3-fluoro-2-furyl, 5-fluoro-2-furyl, 3,5-difluoro- 2-thienyl, 3-fluoro-2-thienyl, 5-fluoro-2-thienyl, 2-methylphenyl, 3-methylphenyl, 4-methylphenyl, 2- chlorophenyl, 3-chlorophenyl, 4-chlorophenyl, 3-methoxyphenyl, 4-ethynyl-2-fluoro-phenyl, 4-fluoro-2- methoxy-phenyl, cyclopropyl, 1-methylcyclopropyl, cyclobutyl, cyclohexyl, cyclopentyl, methyl, n-propyl, and phenyl. Preferably Z
1 is selected from, 1-methylpyrazol-4-yl, 2,3,4-trifluorophenyl, 2,3-difluorophenyl, 3,4- difluorophenyl, 2,4,6-trifluorophenyl, 2,4-difluorophenyl, 3,5-difluoro-2-pyridyl, 5-fluoro-2-pyridyl, 3-fluoro-2- pyridyl, 2,5-difluorophenyl, 2-fluoro-4-methoxy-phenyl, 2-fluoro-4-methylsulfonyl-phenyl, 2-fluorophenyl, 3- fluorophenyl, 4-fluorophenyl, 3,5-difluoro-2-furyl, 3-fluoro-2-furyl, 5-fluoro-2-furyl, 3,5-difluoro-2-thienyl, 3- fluoro-2-thienyl, 5-fluoro-2-thienyl,, 2-methylphenyl, 3-methylphenyl, 4-methylphenyl, 2-chlorophenyl, 3- chlorophenyl, 4-chlorophenyl, 3-methoxyphenyl, 4-ethynyl-2-fluoro-phenyl, 4-fluoro-2-methoxy-phenyl, cyclopropyl, 1-methylcyclopropyl, cyclobutyl, cyclohexyl, cyclopentyl, methyl, n-propyl, or phenyl. More preferably Z
1 is selected from 1-methylpyrazol-4-yl, 2,4,6-trifluorophenyl, 2,4-difluorophenyl, 3,5-difluoro-2- pyridyl, 5-fluoro-2-pyridyl, 3-fluoro-2-pyridyl, 2,5-difluorophenyl, 2-chlorophenyl, 2-fluorophenyl, 3,5-difluoro-2- furyl, 3-fluoro-2-furyl, 5-fluoro-2-furyl, 3,5-difluoro-2-thienyl, 3-fluoro-2-thienyl, 5-fluoro-2-thienyl, 2- methylphenyl, 2-thienyl, 3,4-difluorophenyl, 3-chlorophenyl, 3-fluorophenyl, 3-methylphenyl, 3-thienyl, 4-fluoro- 2-methoxy-phenyl, 4-fluorophenyl, 4-methylphenyl, cyclobutyl, cyclohexyl, cyclopentyl, methyl, or phenyl. Even more preferably, Z
1 is selected from, 1-methylpyrazol-4-yl, 2,4,6-trifluorophenyl, 2,4-difluorophenyl, 3,5- difluoro-2-pyridyl, 5-fluoro-2-pyridyl, 3-fluoro-2-pyridyl, 2-fluorophenyl, 3,5-difluoro-2-furyl, 3-fluoro-2-furyl, 5- fluoro-2-furyl, 3,5-difluoro-2-thienyl, 3-fluoro-2-thienyl, 5-fluoro-2-thienyl, 2-methylphenyl, 2-thienyl, 3,4- difluorophenyl, 3-chlorophenyl, 3-thienyl, 4-fluoro-2-methoxy-phenyl, 4-fluorophenyl, cyclobutyl, cyclohexyl, cyclopentyl, methyl, or phenyl. Still even more preferably Z
1 is selected from, 2,4-difluorophenyl, 3,5-difluoro-2- pyridyl, 5-fluoro-2-pyridyl, 3-fluoro-2-pyridyl, 3,5-difluoro-2-furyl, 3-fluoro-2-furyl, 5-fluoro-2-furyl, 3,5-difluoro-2- thienyl, 3-fluoro-2-thienyl, 5-fluoro-2-thienyl, 2-fluorophenyl, 4-fluorophenyl, or phenyl. In another embodiment of the invention Z
1 is selected from phenyl, a 5- to 6- membered heteroaryl, or C3-C6- cycloalkyl; wherein said 5- or 6-membered heteroaryl comprises 1 heteroatom selected from N or S; and wherein said phenyl and 5- to 6- membered heteroaryl are unsubstituted or substituted with 1 or 2 substituents independently selected from halogen, cyano, C1-C4 alkyl, C1-C4 haloalkyl, C1-C4 haloalkoxy, or C1-C4 alkoxy, and wherein said C3-C6-cycloalkyl is unsubstituted or substituted with 1 substituent selected from halogen or C1-C4 alkyl. Preferably Z
1 is selected from phenyl or a 5- to 6- membered heteroaryl; wherein said 5- or 6- membered heteroaryl contains 1 heteroatom selected from N or S; and wherein said phenyl and 5- to 6- membered heteroaryl are unsubstituted or substituted with 1 or 2 substituents independently selected from fluoro, chloro, C1-C4 alkyl, or C1-C4 alkoxy. More preferably Z
1 is selected from, 2,4,6-trifluorophenyl, 3,5- 82802_FF 10 difluoro-2-pyridyl, 2,4-difluorophenyl, 2-fluorophenyl, 2-methylphenyl, 3,4-difluorophenyl, 3-chlorophenyl, 4- fluoro-2-methoxy-phenyl, 4-fluorophenyl, or phenyl. Still even more preferably Z
1 is selected from 2,4- difluorophenyl, 3,5-difluoro-2-pyridyl, 2-fluorophenyl, 4-fluorophenyl, or phenyl. The present invention, accordingly, makes available a compound of formula (I) having R
1, R
2, R
3, R
4, R
5, R
6, R
7, R
8, R
9, R
10, R
11, A
1, A
2, A
3, B
1, B
2, B
3 and Z
1 with reference to formula (I) as defined above in all combinations / each permutation. In an embodiment of the invention, the compound of formula (I) may be a compound of formula (II): wherein 1
 2 R , R , R
3, R
4, R
5, R
6, R
9, R
10, R
11, are as compounds of formula (I) according to the present invention, A is selected from A-1, A-2, A-3, A-4, A-5, A-6, A-7, or A-8:
 (the dotted line) indicates the bond to the C(=O) group, and the star (*) the nitrogen with the bond Z
1 group and wherein R
7, R
8 and R
9 are independently selected from hydrogen, halogen, C1-C3 alkyl, C3-C6 cycloalkyl, or C1-C3 haloalkyl. In one embodiment of the invention R
7, R
8 and R
9 are independently selected from hydrogen, halogen, or trifluoromethyl. In another embodiment of the invention, the compound of formula (II) wherein R
1, R
2, R
3, R
4, R
5, R
6, R
9, R
10, R
11, B
1, B
2, B
3 and Z
1 are as defined for the compounds of formula (I) according to the present invention, A is  82802_FF 11 selected from A-1, A-2, A-3, A-4, A-5, A-6, A-7, or A-8; wherein the dotted line indicates the bond to the C(=O) group, and the star (*) the nitrogen with the bond to the Z
1 group: and wherein R
7, R
8 and R
9 are hydrogen. In another embodiment of the invention, the compound of formula (II) wherein R
1, R
2, R
3, R
4, R
5, R
6, R
9, R
10, R
11, B
1, B
2, B
3 and Z
1 are as defined for the compounds of formula (I) according to the present invention, A is selected from A-1, A-2, A-4, or A-5, wherein the the bond to the
 Z
1 group; and wherein R
7 and R
8 are hydrogen. In another embodiment of the invention, the compound of formula (II) wherein R
1, R
2, R
3, R
4, R
5, R
6, R
9, R
10, R
11, B
1, B
2, B
3 and Z
1 are as defined for the compounds of formula (I) according to the present invention, A is selected from A-1, or A-2,
 wherein the dotted line indicates the bond to the C(=O) group, and the star (*) the nitrogen with the bond to the Z
1 group. In one embodiment of the of the invention, the compound of formula (II) wherein R
1, R
2, R
3, R
4, R
5, R
6, R
9, R
10, R
11, B
1, B
2, B
3 and Z
1 are as defined for the compounds of formula (I) according to the present invention, A is A-1, 1 line indicates the bond to the C(=O) group, and the star (*) the nitrogen with the bond to the
 Z
1 group. In another embodiment of the of the invention, the compound of formula (II) wherein R
1, R
2, R
3, R
4, R
5, R
6, R
9, R
10, R
11, B
1, B
2, B
3 and Z
1 are as defined for the compounds of formula (I) according to the present invention, A is A-2, A-2
 dotted line indicates the bond to the C(=O) group, and the star (*) the nitrogen with the bond to the Z
1 group. 82802_FF 12 In one embodiment of the invention, the compound of formula (I) may be a compound of formula (III): wherein R
1, R
2, R
3, R
4, R
5, R
6, and
 formula (I) according to the present invention, A is selected from of A-1, A-2, A-3, A-4, A-5, A-6, A-7, or A-8; and Q is selected from of Q-1, Q-2, Q- 3, Q-4, Q-5, Q-6, Q-7, Q-8, Q-9, Q-10, Q-11, Q-12, Q-13, Q-14, Q-15, Q-16, Q-17, Q-18, Q-19, or Q-20

 selected from hydrogen, halogen, C1-C4-alkyl, C1-C4-haloalkyl, C1-C4-alkoxy, C1-C4-haloalkoxy, C1-C4-alkoxy- C1-C4-alkyl, N-C1-C4-alkylamino, N,N-di-(C1-C4-alkyl)amino, C1-C4-alkoxycarbonyl, C1-C4-alkylcarbonyl, N-C1- C4-alkoxy-C1-C4-alkyl-carbonimidoyl, N-hydroxy-C1-C4-alkyl-carbonimidoyl, amino, trifluoromethylsulfonyloxy, cyano, carboxy, phenyl, 5- or 6-membered heteroaryl, or C3-C6-cycloalkyl; wherein any of said said 5- or 6- membered heteroaryl contains 1, 2, 3 or 4 heteroatoms individually selected from N, O or S, with the proviso that no more than one is O or S; and wherein any of said phenyl, 5- or 6-membered heteroaryl and C3-C6- 82802_FF 13 cycloalkyl are unsubstituted or substituted by 1, 2 or 3 substituents independently selected from halogen, cyano, C1-C4-alkyl, C1-C4-haloalkyl, or C1-C4-alkoxy; and R
11 is selected from hydrogen, or C1-C4 alkyl. In another embodiment of the invention, the compound of formula (I) may be a compound of formula (III), wherein R
1, R
2, R
3, R
4, R
5, R
6, and Z
1 are as defined for the compounds of formula (I) according to the present invention, A is selected from A-1, A-2, A-3, A-4, A-5, A-6, A-7, or A-8; Q is selected from Q-1, Q-2, Q-3, Q-4, Q-5, Q-6, Q-7, Q-8, Q-9, Q-10, Q-11, Q-12, Q-13, Q-14, Q-15, Q-16, Q-17, Q-18, Q-19, or Q-20; R
10a, R
10b are independently selected from hydrogen, halogen, C
1-C
4-alkyl, C
1-C
4-haloalkyl, C
1-C
4-alkoxy, C
1-C
4-haloalkoxy, C1-C4-alkoxy-C1-C4-alkyl, N-C1-C4-alkylamino, N,N-di-(C1-C4-alkyl)amino, C1-C4-alkoxycarbonyl, C1-C4- alkylcarbonyl, N-C1-C4-alkoxy-C1-C4-alkyl-carbonimidoyl, N-hydroxy-C1-C4-alkyl-carbonimidoyl, amino, trifluoromethylsulfonyloxy, cyano, carboxy, phenyl, 5- or 6-membered heteroaryl, or C3-C6-cycloalkyl; wherein any of said said 5- or 6-membered heteroaryl contains 1, 2 or 3 heteroatoms individually selected from N, O or S, with the proviso that no more than one is O or S; and wherein any of said phenyl, 5- or 6-membered heteroaryl and C3-C6-cycloalkyl are unsubstituted or substituted by 1 or 2 substituents independently selected from halogen, cyano, C1-C4-alkyl, C1-C4-haloalkyl, or C1-C4-alkoxy; and R
11 is hydrogen or methyl. In another embodiment of the invention, the compound of formula (I) may be a compound of formula (II) wherein R
1, R
2, R
3, R
4, R
5, R
6, and Z
1 are as defined for the compounds of formula (I) according to the present invention, A is selected from A-1, A-2, A-3, A-4, A-5, A-6, A-7, or A-8; Q is selected from Q-1, Q-2, Q-3, Q-4, Q-5, Q-6, Q-7, Q-8, Q-9, Q-10, Q-11, Q-12, Q-13, Q-14, Q-15, Q-16, Q-17, Q-18, Q-19, or Q-20; R
10a, R
10b are independently selected from hydrogen, halogen, C1-C4-alkyl, C1-C4-haloalkyl, C1-C4-alkoxy, C1-C4-haloalkoxy, C1-C4-alkoxy-C1-C4-alkyl, N-C1-C4-alkylamino, N,N-di-(C1-C4-alkyl)amino, C1-C4-alkoxycarbonyl, C1-C4- alkylcarbonyl, N-C1-C4-alkoxy-C1-C4-alkyl-carbonimidoyl, N-hydroxy-C1-C4-alkyl-carbonimidoyl, amino, trifluoromethylsulfonyloxy, cyano, carboxy, phenyl, 5- or 6-membered heteroaryl, or C3-C6-cycloalkyl; wherein any of said said 5- or 6-membered heteroaryl contains 1, 2 or 3 heteroatoms individually selected from N, O or S, with the proviso that no more than one is O or S; and wherein any of said phenyl, 5- or 6-membered heteroaryl and C3-C6-cycloalkyl are unsubstituted or substituted by 1 or 2 substituents independently selected from halogen, cyano, C1-C4-alkyl, C1-C4-haloalkyl, or C1-C4-alkoxy; and R
11 is hydrogen. In another embodiment of the invention, the compound of formula (I) may be a compound of formula (II) wherein R
1, R
2, R
3, R
4, R
5, R
6, and Z
1 are as defined for the compounds of formula (I) according to the present invention, A is selected from A-1, A-2, A-4, or A-5; wherein the the bond to the
 Z
1 group; Q is selected from Q-1, Q-2, Q-3, Q-7, Q-8, Q-9, Q-10, Q-12 or Q-15; 82802_FF 14 wherein selected
 from C1-C4- alkyl, N-C1-C4-alkylamino, N,N-di-(C1-C4-alkyl)amino, C1-C4-alkoxycarbonyl, C1-C4-alkylcarbonyl, N-C1-C4- alkoxy-C1-C4-alkyl-carbonimidoyl, N-hydroxy-C1-C4-alkyl-carbonimidoyl, amino, trifluoromethylsulfonyloxy, cyano, carboxy, phenyl, 5- or 6-membered heteroaryl, or C3-C6-cycloalkyl; wherein any of said said 5- or 6- membered heteroaryl contains 1, 2 or 3 heteroatoms individually selected from N, O or S, with the proviso that no more than one is O or S; and wherein any of said phenyl, 5- or 6-membered heteroaryl and C3-C6-cycloalkyl are unsubstituted or substituted by 1 or 2 substituents independently selected from halogen, cyano, C1-C4- alkyl, C1-C4-haloalkyl, or C1-C4-alkoxy; and R
11 is hydrogen or methyl. In another embodiment of the invention, the compound of formula (I) may be a compound of formula (II) wherein R
1, R
2, R
3, R
4, R
5, R
6, and Z
1 are as defined for the compounds of formula (I) according to the present invention, A is selected from A-1, A-2, A-4, or A-5; wherein the the bond to the
 Z
1 group; Q is selected from the Q-1, Q-2, Q-3, Q-7, Q-8, or Q-9;
82802_FF 15 wherein the selected
 from hydrogen, halogen, C1-C4-alkyl, C1-C4-haloalkyl, C1-C4-alkoxy, C1-C4-haloalkoxy, C1-C4-alkoxy-C1-C4- alkyl, N-C1-C4-alkylamino, N,N-di-(C1-C4-alkyl)amino, C1-C4-alkoxycarbonyl, C1-C4-alkylcarbonyl, N-C1-C4- alkoxy-C1-C4-alkyl-carbonimidoyl, N-hydroxy-C1-C4-alkyl-carbonimidoyl, amino, trifluoromethylsulfonyloxy, cyano, carboxy, phenyl, 5- or 6-membered heteroaryl, or C3-C6-cycloalkyl; wherein any of said said 5- or 6- membered heteroaryl contains 1, 2 or 3 heteroatoms individually selected from N, O or S, with the proviso that no more than one is O or S; and wherein any of said phenyl, 5- or 6-membered heteroaryl and C3-C6-cycloalkyl are unsubstituted or substituted by 1 or 2 substituents independently selected from halogen, cyano, C1-C4- alkyl, C1-C4-haloalkyl, or C1-C4-alkoxy; and R
11 is hydrogen or methyl. In another embodiment of the invention, the compound of formula (I) may be a compound of formula (II) wherein R
1, R
2, R
3, R
4, R
5, R
6, and Z
1 are as defined for the compounds of formula (I) according to the present invention, A is selected from A-1, A-2, A-4, or A-5; wherein the the bond to the
 Z
1 group; Q is selected from Q-1, Q-2, Q-3, Q-7, Q-8, or Q-9; wherein the selected
 from hydrogen, halogen, cyano, amino, C1-C3-alkyl, C1-C3-haloalkyl, C1-C3-alkoxy, C1-C3-haloalkoxy, C1-C2- 82802_FF 16 alkoxy-C1-C2-alkyl, phenyl, 5- or 6-membered heteroaryl, or C3-C6-cycloalkyl; wherein any of said said 5- or 6- membered heteroaryl contains 1 heteroatom selected from N; and wherein any of said phenyl, 5- or 6- membered heteroaryl and C
3-C
6-cycloalkyl are unsubstituted or substituted by 1, or 2 substituents independently selected from halogen, cyano, methyl, ethyl, or trifluoromethyl; and R
11 is hydrogen or methyl. In another embodiment of the invention, the compound of formula (I) may be a compound of formula (II) wherein R
1, R
2, R
3, R
4, R
5, R
6, and Z
1 are as defined for the compounds of formula (I) according to the present invention, A is selected from the A-1, A-2, A-4, or A-5; wherein the the bond to the
 Z
1 group; Q is selected from Q-1, Q-2, or Q-3; wherein the dotted independently selected
 from hydrogen, halogen, cyano, amino, C1-C3-alkyl, C1-C3-haloalkyl, C1-C3-alkoxy, C1-C3-haloalkoxy, C1-C2- alkoxy-C1-C2-alkyl, phenyl, 5- or 6-membered heteroaryl, or C3-C6-cycloalkyl; wherein any of said said 5- or 6- membered heteroaryl contains 1 heteroatom selected from N; and wherein any of said phenyl, 5- or 6- membered heteroaryl and C3-C6-cycloalkyl are unsubstituted or substituted by 1, or 2 substituents independently selected from halogen, cyano, methyl, ethyl, or trifluoromethyl. The present invention, accordingly, makes available a compound of formula (I) having R
1, R
2, R
3, R
4, R
5, R
6, R
7, R
8, R
9, R
10, R
11, A
1, A
2, A
3, B
1, B
2, B
3 and Z
1 with reference to formula (I) as defined above in all combinations / each permutation. The present invention, accordingly, makes available a compound of formula (II) having R
1, R
2, R
3, R
4, R
5, R
6, R
7, R
8, R
9, R
10, R
11, B
1, B
2, B
3 and Z
1 with reference to formula (I) and A with reference to formula (II) as defined above in all combinations / each permutation. The present invention, accordingly, makes available a compound of formula (II) having R
1, R
2, R
3, R
4, R
5, R
6, R
7, R
8, R
9, R
10, R
11 and Z
1 with reference to formula (I), A with reference to formula (II), and Q with reference to formula (III) as defined above in all combinations / each permutation. Embodiments according to the invention are provided as set out below. In one embodiment there is provided a compound of formula (I) wherein R
1 is selected from hydrogen, C1-C3- alkyl, C2-C4-alkenyl, C2-C4-alkynyl, or C3-C6-cycloalkyl; R
2 is selected from hydrogen, halogen, C1-C3-alkyl, or 82802_FF 17 cyclopropyl; R
3 is selected from hydrogen, halogen or C1-C4 alkyl; R
4 is selected hydrogen, cyano, or C1-C3- alkyl; R
5 and R
6 are independently selected from hydrogen or C1-C3 alkyl; and A
1, A
2, A
3, R
7, R
8, R
9, R
10, R
11, B
1, B
2, B
3 and Z
1 are defined as for compounds of formula (I). In one embodiment there is provided a compound of formula (I) wherein R
1 is selected from hydrogen, C1-C3- alkyl, C2-C4-alkenyl, C2-C4-alkynyl, or C3-C6-cycloalkyl; R
2 is selected from hydrogen, halogen, C1-C3-alkyl, or cyclopropyl; R
3 is selected from hydrogen, halogen or C1-C4 alkyl; R
4 is selected hydrogen, cyano, or C1-C3- alkyl; R
5 and R
6 are independently selected from hydrogen or C
1-C
3 alkyl; A
1 is CH, or N, A
2 is CH, or N; and A
3 is CH, or N, B
1, B
2, B
3 are independently selected from CR
10, N, O, or S, with the proviso that no more than one of B
1, B
2, B
3 is O or S; R
10 is R
10a or R
10b, wherein R
10a, R
10b are independently selected from hydrogen, halogen, cyano, C1-C3-alkyl, C1-C3-alkoxy, or C3-C6-cycloalkyl; and Z
1 is as defined for compounds of formula (I). In one embodiment there is provided a compound of formula (I) wherein R
1 is selected from hydrogen, C1-C3- alkyl, C2-C4-alkenyl, C2-C4-alkynyl, or C3-C6-cycloalkyl; R
2 is selected from hydrogen, halogen, C1-C3-alkyl, or cyclopropyl; R
3 is selected from hydrogen, halogen or C1-C4 alkyl; R
4 is selected hydrogen, cyano, or C1-C3- alkyl; R
5 and R
6 are independently selected from hydrogen or C1-C3 alkyl; A
1 is CH, or N, A
2 is CH, or N; and A
3 is CH, or N, B
1, B
2, B
3 are independently selected from CR
10, N, O, or S, with the proviso that no more than one of B
1, B
2, B
3 is O or S; R
10 is R
10a or R
10b, wherein R
10a, R
10b are independently selected from hydrogen, halogen, cyano, C1-C3-alkyl, C1-C3-alkoxy, or C3-C6-cycloalkyl; and Z
1 is C1-C3-alkyl, phenyl, 5- or 6-membered heteroaryl, or C3-C6-cycloalkyl; wherein any of said 5- or 6-membered heteroaryl contains 1 or 2 heteroatoms individually selected from N, O or S, with the proviso that no more than one is O or S; and wherein any of said phenyl, 5- or 6-membered heteroaryl and C3-C6-cycloalkyl are unsubstituted or substituted by 1 or 2 substituents independently selected from halogen, cyano, C1-C3-alkyl, C1-C2-haloalkyl, or C1-C3-alkoxy. In one embodiment there is provided a compound of formula (I) wherein R
1 is selected from hydrogen, C1-C3- alkyl, C2-C4-alkenyl, C2-C4-alkynyl, or C3-C6-cycloalkyl; R
2 is selected from hydrogen, halogen, C1-C3-alkyl, or cyclopropyl; R
3 is selected from hydrogen, halogen or C1-C4 alkyl; R
4 is selected hydrogen, cyano, or C1-C3- alkyl; R
5 and R
6 are independently selected from hydrogen or C1-C3 alkyl; A
1 is CH, or N, A
2 is CH, or N; and A
3 is CH, or N; B
1, B
2, B
3 are independently selected from CR
10, N, O, or S, with the proviso that no more than one of B
1, B
2, B
3 is O or S; R
10 is selected from hydrogen, halogen, cyano, C1-C3-alkyl, C1-C3-alkoxy, or C3-C6- cycloalkyl; and Z
1 is C1-C3-alkyl, phenyl, pyrazolyl, thienyl, pyridyl, furanyl, or C3-C6-cycloalkyl, wherein any of said phenyl, pyrazolyl, thienyl, pyridyl, furanyl, and C3-C6-cycloalkyl are unsubstituted or substituted by 1, 2, or 3 substituents independently selected from chloro, fluoro, methyl, methoxy, or ethynyl. In one embodiment there is provided a compound of formula (I) wherein R
1 is selected from hydrogen, C1-C3- alkyl, C2-C4-alkenyl, C2-C4-alkynyl, or C3-C6-cycloalkyl; R
2 is selected from hydrogen, halogen, C1-C3-alkyl, or cyclopropyl; R
3 is selected from hydrogen, halogen or C1-C4 alkyl; R
4 is selected hydrogen, cyano, or C1-C3- alkyl; R
5 and R
6 are independently selected from hydrogen or C1-C3 alkyl; A
1 is CH, or N, A
2 is CH, or N; and A
3 is CH, or N; B
1, B
2, B
3 are independently selected from CR
10, N, O, or S, with the proviso that no more than one of B
1, B
2, B
3 is O or S; R
10 is selected from hydrogen, halogen, cyano, C1-C3-alkyl, C1-C3-alkoxy, or C3-C6- 82802_FF 18 cycloalkyl; and Z
1 is is phenyl, or pyridyl, wherein any of said phenyl and pyridyl are unsubstituted or substituted by 1 or 2 substituents independently selected from chloro, fluoro, methyl, or methoxy. In one embodiment of the invention, compound of formula (I) may be a compound of formula (III-A), wherein R
4 and R
5 are hydrogen, and wherein R
1 is selected from alkynyl, or C3-C6-cycloalkyl; R
2 is
 selected from hydrogen, halogen, or from hydrogen, halogen or C1-C4 alkyl; R
4 is selected hydrogen, cyano, or C1-C3-alkyl; A is selected from A-1, A-2, A-4, or A-5, wherein the the bond to the
 Z
1 group; Q is or wherein the dotted independently selected
 from hydrogen, halogen, cyano, C1-C3-alkyl, C1-C3-alkoxy, or C3-C6-cycloalkyl; and Z
1 is as defined for compounds of formula (I). In one embodiment of the invention, compound of formula (I) may be a compound of formula (III-A), wherein R
4 and R
5 are hydrogen, and (III-A) Wherein R
1 is selected from
 C2-C4-alkynyl, or C3-C6-cycloalkyl; R
2 is selected from hydrogen, halogen, C1-C3-alkyl, or cyclopropyl; R
3 is selected from hydrogen, halogen or C1-C4 alkyl; R
4 is selected hydrogen, cyano, or C1-C3-alkyl; A is selected from A-1, A-2, A-4, or A-5, 82802_FF 19 wherein the the bond to the
 Z
1 group; Q is selected from Q-1, Q-2, or Q-3; wherein the dotted independently selected
 from hydrogen, halogen, cyano, C1-C3-alkyl, C1-C3-alkoxy, or C3-C6-cycloalkyl; and Z
1 is C1-C3-alkyl, phenyl, 5- or 6-membered heteroaryl, or C3-C6-cycloalkyl; wherein any of said 5- or 6-membered heteroaryl contains 1 or 2 heteroatoms individually selected from N, O or S, with the proviso that no more than one is O or S; and wherein any of said phenyl, 5- or 6-membered heteroaryl and C3-C6-cycloalkyl are unsubstituted or substituted by 1 or 2 substituents independently selected from halogen, cyano, C1-C3-alkyl, C1-C2-haloalkyl, or C1-C3- alkoxy. In one embodiment of the invention, compound of formula (I) may be a compound of formula (III-A), wherein R
4 and R
5 are hydrogen, and wherein R
1 is selected from alkynyl, or C3-C6-cycloalkyl; R
2 is
 selected from hydrogen, halogen, or from hydrogen, halogen or C1-C4 alkyl; R
4 is selected hydrogen, cyano, or C1-C3-alkyl; A is selected from wherein the the bond to the
 Z
1 group; Q is selected from Q-1, Q-2, or Q-3; 82802_FF 20 wherein the dotted independently selected
 from hydrogen, halogen, cyano, C1-C3-alkyl, C1-C3-alkoxy, or C3-C6-cycloalkyl; and Z
1 is is phenyl, or pyridyl, wherein any of said phenyl and pyridyl are unsubstituted or substituted by 1 or 2 substituents independently selected from chloro, fluoro, methyl, or methoxy. The presence of one or more possible asymmetric carbon atoms in any of the compounds selected from compounds of formula (I), (II), (III), or (III-A), or compounds selected from compounds listed in Tables C-1 to C-60 or Table P (below), according to the invention means that the compounds may occur in chiral isomeric forms, i.e., enantiomeric or diastereomeric forms. More preferably, the compound of formula (I) according to the invention is selected from compounds listed in any one of Tables C-1 to C-60. Even more preferably the compound of formula (I) according to the invention is selected from compounds listed in Table P (below). The compounds as defined in any of the embodiments of the present invention can be made as shown in the following Schemes 1 to 8, in which, unless otherwise stated, the definition of each variable is as defined above in any of the embodiments according to the invention. More specifically, compounds of formula (I) may be prepared from compounds of formula (III) or a salt thereof, wherein R
1, R
2, R
3, R
4, R
5, R
6, and Q are as defined above for the compound of formula (I) and (III) by reaction with a compound of formula (II), wherein A
1, A
2, A
3 and Z
1 are as defined above for the compound of formula (I). This reaction is shown in Scheme 1.
 82802_FF 21 In Scheme 1, compounds of formula (II), wherein A
1, A
2, A
3 and Z
1 are as defined above for the compound of formula (I), are activated to compounds of formula (IIa) by methods known to a person skilled in the art and described, for example, in Tetrahedron 2005, 61 (46), 10827-10852. For example, compounds of formula (IIa), where X
0 is halogen, are formed by treatment of compounds of formula (II) with, for example, oxalyl chloride or thionyl chloride in the presence of catalytic quantities of N,N-dimethylformamide (DMF) in inert solvents such as dichloromethane (DCM) or tetrahydrofuran (THF) at temperatures between 20°C to 100°C, preferably 25°C. Treatment of compounds of formula (IIa) with compounds of formula (III), wherein R
1, R
2, R
3, R
4, R
5, R
6 and Q are as defined above for the compound of formula (I) and (III), optionally in the presence of a base, e.g., triethylamine (TEA) or pyridine, leads to compounds of formula (I). Alternatively, compounds of formula (I) may be prepared by treatment of compounds of formula (II) with dicyclohexyl carbodiimide (DCC), 1-ethyl-3-(3- dimethylaminopropyl)carbodiimide (EDC) or 1-[bis(dimethylamino)methylene]-1H-1,2,3-triazolo[4,5- b]pyridinium 3-oxide hexafluorophosphate (HATU) to give the activated compound of formula (IIa), wherein X
0 is X-1, X-2 or X-3 as set forth below, in an inert solvent, e.g. pyridine, DMF, acetonitrile, DCM or THF, optionally in the presence of a base, e.g. TEA, at temperatures between 30°C and 180°C. Finally, a compound of formula (II) can also be activated by reaction with a coupling reagent such as propanephosphonic acid anhydride (T3P) to provide compounds of formula (IIa), wherein X
0 is X-4 as set forth below, as described for example in Synthesis 2013, 45, 1569. Further reaction with an amine (or a salt thereof) of the compound of formula (III) leads to compounds of formula (I).
 N and Z
1 are as described in formula (I), and X
0 is C1-C4alkyl, by ester hydrolysis. A variety of conditions can be used, as for example aqueous sodium hydroxide or lithium hydroxide and an organic water miscible solvent like THF, dimethoxyethane, methanol, or ethanol. Such ester hydrolyses are well known to those skilled in the art. Compounds of formula (IIb) can also be directly converted to compounds of formula (I) by reacting compounds of formula (IIb) with compounds of formula (III) in the presence of trimethyl aluminum, or trimethyl aluminum- DABCO complex in an inert solvent such as toluene or DCM. Such reactions have been reported in the literature (see Tetrahedron Lett. 1977, 4171-4174, and Tetrahedron Lett.2006, 5767-5769, and references cited therein). Compounds of formula (II) and (IIb) are commercially available or can be synthesized as described vide infra. 82802_FF 22 Compounds of formula (III), or salts thereof, wherein R
1, R
2, R
3, R
4, R
5, R
6 and Q are as defined above for the compound of formula (I) and (III), may be prepared by a person skilled in the art by a reaction between nitriles of formula (IV), wherein R
1, R
2, R
3, R
4 and Q are as defined above for the compound of formula (I), and a suitable nucleophile such as (dimethyl sulfide)dihydroboron (BMS) in a suitable aprotic solvent such as THF, for example as described in J. Org. Chem.198147, 3153. Alternatively, Grignard reagents R
5MgBr or R
6MgBr, wherein R
5 and R
6 are as defined above for the compound of formula (I), may be added as nucleophiles to compounds of formula (IV), sequentially or simultaneously, to allow more highly substituted amines of formula (III) to be prepared. Such Grignard additions to nitriles are carried out in an inert solvent such as diethyl ether, tert-butylmethyl ether (TBME), and cyclopentyl methyl ether in the presence of a Lewis acid such as Ti(O-
iPr)4 (see Synlett 2007, (4), 652-654) (Scheme 2).
 Compounds of formula (IV), wherein R
1, R
2, R
3, R
4 and Q are as defined above for the compound of formula (I) and (III), may be prepared by a person skilled in the art following known methods. More specifically, compounds of formula (IV), and intermediates thereof, may be prepared from compounds of formula (V) as shown in Scheme 3.
 For example, compounds of formula (IV), wherein R
1, R
2, R
3, R
4 and Q are as defined above for the compound of formula (I) and R
4 is different from hydrogen, may be prepared by a person skilled in the art by deprotonation of compound of formula (IVa), wherein R
4 is hydrogen and R
1, R
2, R
3 and Q are as defined above for the compound of formula (I), using a strong base such as n-butyl lithium or sodium hydride at cryogenic temperatures in an inert solvent such as THF, followed by addition of a suitable alkylating agent R
4-X
0, wherein X
0 is halogen, for example iodomethane. Compounds of formula (IVa), wherein R
4 is hydrogen and R
1, R
2, R
3 and Q are as defined above for the compound of formula (I), may be prepared from alcohols of formula (V) by treatment with cyanotrimethylsilane (TMSCN) in the presence of a base such as lithium carbonate in a nonpolar solvent such as dichloromethane at temperatures between 0°C and the boiling point of the reaction mixture. 82802_FF 23 Such transformations are well known in the literature under a variety of conditions, for example as described in Org. Lett.2008, 10, 4570 and references therein. Compounds of formula (V) may be prepared from compounds of formula (VI), respectively from any of compounds of formula (VIa), (VIb), (VIc), (VId), (VIe), (VIf), (VIg), (VIh), (VIi), (VIj), (VIk), (VIm), (VIn), (VIo), (VIp), (VIq), (VIr), (VIs), (VIt), and (VIu), as shown in Scheme 4.
 the compound of formula (I) and X
01 is bromo or iodo, are metalated with an appropriate reagent such as turbo Grignard (i-propylmagnesium chloride-lithium chloride complex), or an alkyl lithium, such as n-butyl lithium to give an intermediate Grignard or alkyl lithium reagent (M is MgX
01 or Lithium). Such metal insertions into C-X
01 bonds are well known to those skilled in the art and are generally carried out at temperatures between -78°C 82802_FF 24 to room temperature, in inert solvents such as ethers, e.g., TBME or THF and the like. Solutions of the metallated species (VIIa) are then treated with compounds of formula (VI), respectively formula (VIa), (VIb), (VIc), (VId), (VIe), (VIf), (VIg), (VIh), (VIi), (VIj), (VIk), (VIm), (VIn), (VIo), (VIp), (VIq), (VIr), (VIs), (VIt), and (VIu), as shown in Scheme 5, to give compounds of formula (V). Similar reactions of these type have been described in for example WO 2012/102297 and Bio. Med. Chem. Lett.2017, 27 (17), 4044-4050 (X
01 is Br, n-butyl lithium) and Ang. Chem. Int. Ed.2016, 55 (17), 5332-5336, US 2014/0349990, WO 2002/004424, WO 2021/009068 (X
01 is I, Turbo Grignard). Compounds of formula (VI) and (VII) are either commercially available or are readily prepared by methods known by those skilled in the art. A further synthesis of compounds of formula (I) involves treatment of compounds of formula (VIII) with a base, such as sodium hydride or n-butyl lithium, in an inert solvent, such as THF, and subsequent alkylation with compounds of formula (IX), wherein R
4 is as described under formula (I) and X
02 is a leaving group such as halogen, mesylate or tosylate, to yield compounds of formula (X) (Scheme 5). 1. Base, e.g. n.BuLi
 Compounds of formula (X), wherein R
1, R
2, R
3, and R
4 are as defined above for the compound of formula (I), are then treated with a strong base such as sodium hydride or an alkyl lithium base such as n-butyl lithium in an inert solvent, such as THF or TBME, at temperatures between -78°C to room temperature, followed by addition of a compound of formula (XI), respectively any of compounds of formula (XIa), (XIb), (XIc), (XId), (XIe), (XIf), (XIg), (XIh), (XIi), (XIj), (XIk), (XIm), (XIn), (XIo), (XIp), (XIq), (XIr), (XIs), (XIt), and (XIu), wherein R
10 and R
11 are as defined above for the compound of formula (I), and X
03 is a leaving group such as halogen, preferably fluoro, chloro or bromo give compounds of formula (IV). This reaction is shown in Scheme 6. 1. Base, e.g. n.BuLi
 (
XIa) (XIb) (XIc) (XId) (XIe) (XIf) (XIg) (XIh)
(XIi) (XIj) (XIk) (XIm) (XIn) (XIo) (XIp) (XIq) (XIr) (XIs) (XIt) (XIu)  1. Base, e.g. n.BuLi 2. (XI) 82802_FF (X) 25 (IV)
 Scheme 6 Compounds of formula (IV) are converted into compounds of formula (I) as previously described in Schemes 1, 2 and 3. Those skilled in the art will recognize that conversion of compounds (VIII) into compounds of formula (IV) can be carried out sequentially or in the same reaction vessel, enabling a streamlined conversion of compounds of formula (VIII) to compounds of formula (IV). This is described in more details in the preparative examples. Compounds of formula II are either commercially available or can be synthesized as described vide infra. Compounds of formula (IIb) wherein A
1, A
2, A
3 are N and Z
1 is as described in for formula (I), namely compounds of formula (IIba)
 salt of formula (XII) 82802_FF 26 (XII) wherein Z
1 is as defined under formula I above and Y- being the counter ion depending on the conditions in which the diazotation step is performed, for example Cl- or BF4-, and compounds of formula (XIV),

 reaction can be catalyzed with various silver salts, a preferred one being silver acetate, and performed in a variety of solvents, for example THF, DMF or toluene or a mixture thereof, usually at temperatures between 0°C and 25°C, in presence of at least one equivalent of a base, for example sodium carbonate. These dipolar [3 + 2] cycloadditions are highly regioselective and are described, for example in Tetrahedron 2020, 76(14), 131063. Compounds of formula (XII) as defined just before, can be prepared from primary amines of formula (XIII) by reaction with a diazotation reagent, for example a salt of nitrous acid, for example sodium nitrite. The solvent can be an aqueous solution of an acid, for example diluted hydrochloric acid or tetrafluoroboric acid. The counter ion Y- is defined by the acid used. Diazotation reactions are commonly used in organic synthesis, even on industrial scale, and are known by the person skilled in the art. In order to reduce the risk of decomposition of the intermediates of formula (XII), the diazotation step and the cycloaddition steps can be performed sequentially, without the need of isolating (XII). This variant is also described in Tetrahedron 2020, 76(14), 131063 (Scheme 7).

 the two steps can also be performed sequencially in one
 Scheme 7
 Compounds of formula (XIII) are commercially available, as are compounds of formula (XIV) (e.g. R
0 is methyl, CAS [6832-16-2]). Very similarly, compounds of formula (IIba), wherein A
1, A
2, A
3 are N and Z
1 is as described in for formula (I), can be prepared by reacting a compound of formula (XV):  82802_FF 27
 phenyl or p-tolyl, with compounds of formula (XII), in the presence of a base, e.g., pyridine at temperatures from -50°C to 50°C to yield compounds of formula (IIba). Such reactions have good precedence in the literature, for example Chem. Comm.2017, 53(69), 9620-9623, Ang. Chem. Int. Ed. 2017, 56(47), 15044-15048, and J. Am. Chem. Soc.2016, 138(44), 14609-14615. Compounds of formula (XV) are prepared as described in the literature cited vide supra and exemplified in the preparation examples of the application. Alternatively, compounds of formula (IIba), wherein A
1, A
2 and A
3 are N and Z
1 is as defined in formula (I) can be obtained by coupling compounds of formula (XVI),
 N, and R
0 is as described vide supra, with a boronic acid derivative of formula (XVII), (XVII) wherein Z
1 is as defined in formula I. This Chan-Lam type coupling reaction is usually performed in a solvent like dichloromethane, in presence of a catalytic amount of a copper-based catalyst under mild reaction temperatures, in presence of a base, such as potassium carbonate, under atmospheric air or oxygen. It is to be noted that compounds of formula (XVI), wherein A
1, A
2 and A
3 are N, exist in tautomeric forms, viz; Persons skilled in the
 could be either one of the regioisomers or a mixture thereof, but when the reaction conditions are chosen as described in J. Org. Chem. 2014, 79, 6703−6707, the reaction shows an excellent regioselectivity for compounds of the formula (IIba). Those skilled in the art will realize that this Chan-Lam coupling is a general method for preparation of compounds of formula (IIb). Examples have been shown in the literature for compounds of formula (IIbb) 82802_FF 28
 previously defined (see J. Med. Chem.2018, 61, 8, 3370–3388 and WO 14/041106), compounds of formula (IIbc) and (IIbd)
 (see WO 15/155626, EP2390252) and compounds of formula (IIbe)
 are as defined under formula (I) (see J. Med. Chem.2017, 60(14), 6166- 6190, Org. Lett.2008, 10(8), 1653-1655, and Bio. Med. Chem. Lett.2009, 19(5), 1451-1456), as representative examples. A further method for the preparation of compounds of formula (IIba), wherein A
1, A
2 and A
3 are N and Z
1 are as defined in formula (I), is shown in Scheme 8. 1) NaNO
2, HCl, H
2O
 Scheme 8 82802_FF 29 As shown in scheme 12, sequence begins with diazotation of compounds of formula (XII) as previously described vide supra and then treatment of the diazionium salt with a compound of formula (XVIII), wherein R
0 is C
1-C
6alkyl, in the presence of in the presence of a mild base, for example sodium acetate to yield compounds of formula (XIX). Compounds of formula (XIX), wherein Z
1 and R
0 are as previously defined, are then treated with aqueous ammonia in a miscible organic solvent, for example THF or 2-methyl-THF, a temperatures between 0°C to 30°C, to give compounds of formula (XX). Finally, diazotation of compounds of formula (XX) with a salt of nitrous acid, for example sodium nitrite, in a slightly acidic medium, for example acetic acid or aqueous hydrochloric acid at temperatures between -20°C to 0°C leads to spontaneous cyclization of the diazonium salt formed to the tetrazole compounds of formula (IIba). The sequence of reactions has been
previously described inWO 13/087805, 2013. Compounds of formula (IIb) may also be prepared by alkylation of compounds of formula (XVI)
 (XXI)
 described under formula (I) and X
0 is halogen, preferably chlorine, bromine or iodine in the presence of a base, for example and alkaline earth metal base such as NaOH, KOH, LiOH, Cs2CO3, K
2CO
3 and the like, in inert aprotic or protic solvents. Such alkylation’s are well known to those skilled in the art and have been used in this context to prepare compounds of formula (IIb) as described for example in WO14/168221, WO10/043000, and WO14/32498. Those skilled in the art will realize this can lead to mixtures of regio isomeric compounds that can be separated by chromatographic techniques, or pure isomers can be obtained by the judicious choice of conditions and additives (for example palladium catalysts for so called Buchwald aminations). For cases where Z
1 is heteroaryl or aryl, SnAr reactions (with or without copper catalysis) may be used to prepare compounds of formula (IIb) (see for example, Polyhedron 2019, 165, 22-30; US 18/0170909, Org. Lett.2022, 24(20), 3620-3625, J.Org. Chem.2017, 82(14), 7420-7427, Chem. Comm. 2021, 57(57), 7047-7050, ACS Catalysis, 2019, 9(12), 10674-10679, Synthesis 2017, 49(23), 5120-5130, J.Org. Chem.2019, 84(12), 8160-8167, and references cited therein). A compound of formula (I) as defined in any of the embodiments of the present invention can be converted in a manner known per se into another compound as defined in any of the embodiments of the present invention by replacing one or more substituents of the starting compound in the customary manner by (an)other substituent(s) according to the invention. Those skilled in the art will also appreciate that compounds of formula (I) can be further transformed to further derivatives of formula (I) by, for example, alkylation, nucleophilic 82802_FF 30 substitution, elimination, C-C-bond forming reactions in the presence of metal catalysts, heteroatom-carbon bond formation in the presence of metal catalysts, oxidation, and reduction. Depending on the choice of the reaction conditions and starting materials which are suitable in each case, it is possible, for example, in one reaction step only to replace one substituent by another substituent according to the invention, or a plurality of substituents can be replaced by other substituents according to the invention in the same reaction step. Salts of compounds of formula (I) may be prepared in a manner known per se. Thus, for example, acid addition salts of compounds of formula (I) are obtained by treatment with a suitable acid or a suitable ion exchanger reagent and salts with bases are obtained by treatment with a suitable base or with a suitable ion exchanger reagent. Salts of compounds of formula (I) can be converted in the customary manner into the free compounds (I), acid addition salts, for example, by treatment with a suitable basic compound or with a suitable ion exchanger reagent and salts with bases, for example, by treatment with a suitable acid or with a suitable ion exchanger reagent. Salts of compounds of formula (I) can be converted in a manner known per se into other salts of compounds of formula (I), acid addition salts, for example, into other acid addition salts, for example by treatment of a salt of inorganic acid such as hydrochloride with a suitable metal salt such as a sodium, barium or silver salt, of an acid, for example with silver acetate, in a suitable solvent in which an inorganic salt which forms, for example silver chloride, is insoluble and thus precipitates from the reaction mixture. Depending on the procedure or the reaction conditions, the compounds of formula (I), which have salt-forming properties, can be obtained in free form or in the form of salts. The compounds of formula (I) and, where appropriate, the tautomer’s thereof, in each case in free form or in salt form, can be present in the form of one of the isomers which are possible or as a mixture of these, for example in the form of pure isomers, such as antipodes and/or diastereomers, or as isomer mixtures, such as enantiomer mixtures, for example racemates, diastereomer mixtures or racemate mixtures, depending on the number, absolute and relative configuration of asymmetric carbon atoms which occur in the molecule and/or depending on the configuration of non-aromatic double bonds which occur in the molecule, the invention relates to the pure isomers and also to all isomer mixtures which are possible and is to be understood in each case in this sense hereinabove and herein below, even when stereochemical details are not mentioned specifically in each case. The compounds of formula (I) of the present invention exhibit an asymmetric carbon atom at the bis-benzylic position: A skilled person would be well aware that both enantiomers are within the scope of the invention. Diastereomeric mixtures or racemic mixtures of compounds of formula (I), in free form or in salt form, which can be obtained depending on which starting materials and procedures have been chosen can be separated 82802_FF 31 in a known manner into the pure diastereomers or racemates on the basis of the physicochemical differences of the components, for example by fractional crystallization, distillation and/or chromatography. Enantiomeric mixtures, such as racemates, which can be obtained in a similar manner can be resolved into the optical antipodes by known methods, for example by recrystallization from an optically active solvent, by chromatography on chiral adsorbents, for example high-performance liquid chromatography (HPLC) on acetyl cellulose, with the aid of suitable microorganisms, by cleavage with specific, immobilized enzymes, via the formation of inclusion compounds, for example using chiral crown ethers, where only one enantiomer is com- plexed, or by conversion into diastereomeric salts, for example by reacting a basic end-product racemate with an optically active acid, such as a carboxylic acid, for example camphor, tartaric or malic acid, or sulfonic acid, for example camphorsulfonic acid, and separating the diastereomer mixture which can be obtained in this manner, for example by fractional crystallization based on their differing solubilities, to give the diastereomers, from which the desired enantiomer can be set free by the action of suitable agents, for example basic agents. Pure diastereomers or enantiomers can be obtained according to the invention not only by separating suitable isomer mixtures, but also by generally known methods of diastereoselective or enantioselective synthesis, for example by carrying out the process according to the invention with starting materials of a suitable stereochemistry. It is advantageous to isolate or synthesize in each case the biologically more effective isomer, for example enantiomer or diastereomer, or isomer mixture, for example enantiomer mixture or diastereomer mixture, if the individual components have a different biological activity. As an example, compounds with more than one asymmetric carbon atoms may exist in diastereomeric forms which can be optionally separated using for example supercritical fluid chromatography (SFC) chromatography with chiral columns. Such diastereomers can show a different fungicidal activity profile, but all isomers and diastereomers form part of this invention. The compounds of formula (I) of the present invention exhibit two asymmetric carbon atoms. The relationship between enantiomers and diastereomers of compounds of formula (I) is shown below.
82802_FF 32 A
 R
1, R
2, R
3, R
4, R
5, R
6, R
7, R
8, R
9, R
10, R
11, A
1, A
2, A
3, B
1, B
2, B
3 and Z
1 are as defined for formula (I) are within the scope if the invention. Further a person skilled in the art is well aware that above diastereomeres and enantiomers are applicable to compounds of formula (I), (I), (III) and (III-A), wherein R
1, R
2, R
3, R
4, R
5, R
6, R
7, R
8, R
9, A
1, A
2, A
3, A, Q and Z
1 are as defined for formula (I), (II), or (III) and are within the scope if the invention. The compounds of formula (I) and, where appropriate, the tautomers thereof, in each case in free form or in salt form, can, if appropriate, also be obtained in the form of hydrates and/or include other solvents, for example those which may have been used for the crystallization of compounds which are present in solid form. As already indicated, surprisingly, it has now been found that the compounds of formula (I) of the present invention have, for practical purposes, a very advantageous level of biological activity for protecting plants against diseases that are caused by fungi. The compounds of formula (I) according to the invention can be used in the agricultural sector and related fields of use, e.g., as active ingredients for controlling plant pests or on non-living materials for the control of spoilage microorganisms or organisms potentially harmful to man. The novel compounds are distinguished by excellent activity at low rates of application, by being well tolerated by plants and by being environmentally safe. They have very useful curative, preventive and systemic properties and can be used for protecting numerous cultivated plants. The compounds of formula (I) can be used to inhibit or destroy the pests that occur on plants or parts of plants (fruit, blossoms, leaves, stems, tubers, roots) of different crops of useful plants, while at the same time protecting also those parts of the plants that grow later, e.g., from phytopathogenic microorganisms. 82802_FF 33 The present invention further relates to a method for controlling or preventing infestation of plants or plant propagation material and/or harvested food crops susceptible to microbial attack by treating plants or plant propagation material and/or harvested food crops wherein an effective amount a compound of formula (I) according to the invention is applied to the plants, to parts thereof or the locus thereof. As used herein, the term "controlling" when used in context of infestation of plants or plant propagation material and /or harvest food crops refers to reducing the number of pests, eliminating pests and/or preventing further pest damage such that damage to a plant or to a plant derived product is reduced. The term "preventing" when used in context of infestation of plants or plant propagation material and /or harvest food crops refers to the avoidance of a symptom due to microbial attack or fungal infections (growth of fungi). It is also possible to use a compound of formula (I) according to the invention as a fungicide. The term “fungicide” as used herein means a compound that controls, modifies, or prevents the growth of fungi. The term “fungicidally effective amount” where used means the quantity of such a compound or combination of such compounds that is capable of producing an effect on the growth of fungi. Controlling or modifying effects include all deviation from natural development, such as killing, retardation and the like, and prevention includes barrier or other defensive formation in or on a plant to prevent fungal infection. It may also be possible to use compounds of formula (I) according to the invention as dressing agents for the treatment of plant propagation material, e.g., seed, such as fruits, tubers or grains, or plant cuttings, for the protection against fungal infections as well as against phytopathogenic fungi occurring in the soil. The propagation material can be treated with a composition comprising a compound of formula (I) before planting: seed, for example, can be dressed before being sown. The active compounds of formula (I) can also be applied to grains (coating), either by impregnating the seeds in a liquid formulation or by coating them with a solid formulation. The composition can also be applied to the planting site when the propagation material is being planted, for example, to the seed furrow during sowing. The invention relates also to such methods of treating plant propagation material and to the plant propagation material so treated. Furthermore, the compounds of formula (I) according to the invention can be used for controlling fungi in related areas, for example in the protection of technical materials, including wood and wood related technical products, in food storage, in hygiene management. In addition, the invention could be used to protect non-living materials from fungal attack, e.g., lumber, wall boards and paint. The compounds of formula (I) according to the invention are for example, effective against fungi and fungal vectors of disease as well as phytopathogenic bacteria and viruses. These fungi and fungal vectors of disease as well as phytopathogenic bacteria and viruses are for example: Absidia corymbifera, Alternaria spp., Aphanomyces spp., Ascochyta spp., Aspergillus spp. including A. flavus, A. fumigatus, A. nidulans, A. niger, A. terrus, Aureobasidium spp. including A. pullulans, Blastomyces dermatitidis, Blumeria graminis, Bremia lactucae, Botryosphaeria spp. including B. dothidea, B. obtusa, Botrytis spp. including B. cinerea, Candida spp. including C. albicans, C. glabrata, C. krusei, C. lusitaniae, C. parapsilosis, C. tropicalis, Cephaloascus fragrans, 82802_FF 34 Ceratocystis spp., Cercospora spp. including C. arachidicola, Cercosporidium personatum, Cladosporium spp., Claviceps purpurea, Coccidioides immitis, Cochliobolus spp., Colletotrichum spp. including C. musae, Cryptococcus neoformans, Diaporthe spp., Didymella spp., Drechslera spp., Elsinoe spp.,Epidermophyton spp., Erwinia amylovora, Erysiphe spp. including E. cichoracearum, Eutypa lata, Fusarium spp. including F. culmorum, F. graminearum, F. langsethiae, F. moniliforme, F. oxysporum, F. proliferatum, F. subglutinans, F. solani, Gaeumannomyces graminis, Gibberella fujikuroi, Gloeodes pomigena, Gloeosporium musarum, Glomerella cingulate, Guignardia bidwellii, Gymnosporangium juniperi-virginianae, Helminthosporium spp., Hemileia spp., Histoplasma spp. including H. capsulatum, Laetisaria fuciformis, Leptographium lindbergi, Leveillula taurica, Lophodermium seditiosum, Microdochium nivale, Microsporum spp., Monilinia spp., Mucor spp., Mycosphaerella spp. including M. graminicola, M. pomi, Oncobasidium theobromaeon, Ophiostoma piceae, Paracoccidioides spp., Penicillium spp. including P. digitatum, P. italicum, Petriellidium spp., Peronosclerospora spp. Including P. maydis, P. philippinensis and P. sorghi, Peronospora spp., Phaeosphaeria nodorum, Phakopsora pachyrhizi, Phellinus igniarus, Phialophora spp., Phoma spp., Phomopsis viticola, Phytophthora spp. including P. infestans, Plasmopara spp. including P. halstedii, P. viticola, Pleospora spp., Podosphaera spp. including P. leucotricha, Polymyxa graminis, Polymyxa betae, Pseudocercosporella herpotrichoides, Pseudomonas spp., Pseudoperonospora spp. including P. cubensis, P. humuli, Pseudopeziza tracheiphila, Puccinia spp. including P. hordei, P. recondita, P. striiformis, P. triticina, Pyrenopeziza spp., Pyrenophora spp., Pyricularia spp. including P. oryzae, Pythium spp. including P. ultimum, Ramularia spp., Rhizoctonia spp., Rhizomucor pusillus, Rhizopus arrhizus, Rhynchosporium spp., Scedosporium spp. including S. apiospermum and S. prolificans, Schizothyrium pomi, Sclerotinia spp., Sclerotium spp., Septoria spp., including S. nodorum, S. tritici, Sphaerotheca macularis, Sphaerotheca fusca (Sphaerotheca fuliginea), Sporothorix spp., Stagonospora nodorum, Stemphylium spp.,. Stereum hirsutum, Thanatephorus cucumeris, Thielaviopsis basicola, Tilletia spp., Trichoderma spp. including T. harzianum, T. pseudokoningii, T. viride, Trichophyton spp., Typhula spp., Uncinula necator, Urocystis spp., Ustilago spp., Venturia spp. including V. inaequalis, Verticillium spp., and Xanthomonas spp. The compounds of formula (I) according to the invention may be used for example on turf, ornamentals, such as flowers, shrubs, broad-leaved trees, or evergreens, for example conifers, as well as for tree injection, pest management and the like. Within the scope of present invention, target crops and/or useful plants to be protected typically comprise perennial and annual crops, such as berry plants for example blackberries, blueberries, cranberries, raspberries and strawberries; cereals for example barley, maize (corn), millet, oats, rice, rye, sorghum triticale and wheat; fibre plants for example cotton, flax, hemp, jute and sisal; field crops for example sugar and fodder beet, coffee, hops, mustard, oilseed rape (canola), poppy, sugar cane, sunflower, tea and tobacco; fruit trees for example apple, apricot, avocado, banana, cherry, citrus, nectarine, peach, pear and plum; grasses for example Bermuda grass, bluegrass, bentgrass, centipede grass, fescue, ryegrass, St. Augustine grass and Zoysia grass; herbs such as basil, borage, chives, coriander, lavender, lovage, mint, oregano, parsley, rosemary, sage and thyme; legumes for example beans, lentils, peas and soya beans; nuts for example almond, cashew, ground nut, hazelnut, peanut, pecan, pistachio and walnut; palms for example oil palm; 82802_FF 35 ornamentals for example flowers, shrubs and trees; other trees, for example cacao, coconut, olive and rubber; vegetables for example asparagus, aubergine, broccoli, cabbage, carrot, cucumber, garlic, lettuce, marrow, melon, okra, onion, pepper, potato, pumpkin, rhubarb, spinach and tomato; and vines for example grapes. The term "useful plants" is to be understood as also including useful plants that have been rendered tolerant to herbicides like bromoxynil or classes of herbicides (such as, for example, HPPD inhibitors, ALS inhibitors, for example primisulfuron, prosulfuron and trifloxysulfuron, EPSPS (5-enol-pyrovyl-shikimate-3-phosphate- synthase) inhibitors, GS (glutamine synthetase) inhibitors or PPO (protoporphyrinogen-oxidase) inhibitors) as a result of conventional methods of breeding or genetic engineering. An example of a crop that has been rendered tolerant to imidazolinones, e.g. imazamox, by conventional methods of breeding (mutagenesis) is Clearfield® summer rape (Canola). Examples of crops that have been rendered tolerant to herbicides or classes of herbicides by genetic engineering methods include glyphosate- and glufosinate-resistant maize varieties commercially available under the trade names RoundupReady®, Herculex I® and LibertyLink®. The term "useful plants" is to be understood as also including useful plants which have been so transformed by the use of recombinant DNA techniques that they are capable of synthesising one or more selectively acting toxins, such as are known, for example, from toxin-producing bacteria, especially those of the genus Bacillus. Examples of such plants are: YieldGard® (maize variety that expresses a CryIA(b) toxin); YieldGard Rootworm® (maize variety that expresses a CryIIIB(b1) toxin); YieldGard Plus® (maize variety that expresses a CryIA(b) and a CryIIIB(b1) toxin); Starlink® (maize variety that expresses a Cry9(c) toxin); Herculex I® (maize variety that expresses a CryIF(a2) toxin and the enzyme phosphinothricine N-acetyltransferase (PAT) to achieve tolerance to the herbicide glufosinate ammonium); NuCOTN 33B® (cotton variety that expresses a CryIA(c) toxin); Bollgard I® (cotton variety that expresses a CryIA(c) toxin); Bollgard II® (cotton variety that expresses a CryIA(c) and a CryIIA(b) toxin); VIPCOT® (cotton variety that expresses a VIP toxin); NewLeaf® (potato variety that expresses a CryIIIA toxin); Nature-Gard® Agrisure® GT Advantage (GA21 glyphosate- tolerant trait), Agrisure® CB Advantage (Bt11 corn borer (CB) trait), Agrisure® RW (corn rootworm trait) and Protecta®. The term "crops" is to be understood as including also crop plants which have been so transformed using recombinant DNA techniques that they are capable of synthesising one or more selectively acting toxins, such as are known, for example, from toxin-producing bacteria, especially those of the genus Bacillus. Toxins that can be expressed by such transgenic plants include, for example, insecticidal proteins from Bacillus cereus or Bacillus popilliae; or insecticidal proteins from Bacillus thuringiensis, such as -endotoxins, e.g. Cry1Ab, Cry1Ac, Cry1F, Cry1Fa2, Cry2Ab, Cry3A, Cry3Bb1 or Cry9C, or vegetative insecticidal proteins (Vip), e.g. Vip1, Vip2, Vip3 or Vip3A; or insecticidal proteins of bacteria colonising nematodes, for example Photorhabdus spp. or Xenorhabdus spp., such as Photorhabdus luminescens, Xenorhabdus nematophilus; toxins produced by animals, such as scorpion toxins, arachnid toxins, wasp toxins and other insect-specific neurotoxins; toxins produced by fungi, such as Streptomycetes toxins, plant lectins, such as pea lectins, barley lectins or snowdrop lectins; agglutinins; proteinase inhibitors, such as trypsin inhibitors, serine protease inhibitors, patatin, cystatin, papain inhibitors; ribosome-inactivating proteins (RIP), such as ricin, maize-RIP, 82802_FF 36 abrin, luffin, saporin or bryodin; steroid metabolism enzymes, such as 3-hydroxysteroidoxidase, ecdysteroid- UDP-glycosyl-transferase, cholesterol oxidases, ecdysone inhibitors, HMG-COA-reductase, ion channel blockers, such as blockers of sodium or calcium channels, juvenile hormone esterase, diuretic hormone receptors, stilbene synthase, bibenzyl synthase, chitinases and glucanases. Further, in the context of the present invention there are to be understood by delta-endotoxins, for example Cry1Ab, Cry1Ac, Cry1F, Cry1Fa2, Cry2Ab, Cry3A, Cry3Bb1 or Cry9C, or vegetative insecticidal proteins (Vip), for example Vip1, Vip2, Vip3 or Vip3A, expressly also hybrid toxins, truncated toxins and modified toxins. Hybrid toxins are produced recombinantly by a new combination of different domains of those proteins (see, for example, WO2002/015701). Truncated toxins, for example a truncated Cry1Ab, are known. In the case of modified toxins, one or more amino acids of the naturally occurring toxin are replaced. In such amino acid replacements, preferably non-naturally present protease recognition sequences are inserted into the toxin, such as, for example, in the case of Cry3A055, a cathepsin-G-recognition sequence is inserted into a Cry3A toxin (see WO2003/018810). Examples of such toxins or transgenic plants capable of synthesising such toxins are disclosed, for example, in EP-A-0374753, WO93/07278, WO95/34656, EP-A-0427529, EP-A-451878 and WO2003/052073. The processes for the preparation of such transgenic plants are generally known to a person skilled in the art and are described, for example, in the publications mentioned above. CryI-type deoxyribonucleic acids and their preparation are known, for example, from WO95/34656, EP-A-0 367 474, EP-A-0 401 979 and WO90/13651. The toxin contained in the transgenic plants imparts to the plant tolerance to harmful insects. Such insects can occur in any taxonomic group of insects but are especially commonly found in the beetles (Coleoptera), two- winged insects (Diptera) and butterflies (Lepidoptera). Transgenic plants containing one or more genes that code for an insecticidal resistance and express one or more toxins are known and some of them are commercially available. Examples of such plants are: YieldGard® (maize variety that expresses a Cry1Ab toxin); YieldGard Rootworm® (maize variety that expresses a Cry3Bb1 toxin); YieldGard Plus® (maize variety that expresses a Cry1Ab and a Cry3Bb1 toxin); Starlink® (maize variety that expresses a Cry9C toxin); Herculex I® (maize variety that expresses a Cry1Fa2 toxin and the enzyme phosphinothricine N-acetyltransferase (PAT) to achieve tolerance to the herbicide glufosinate ammonium); NuCOTN 33B® (cotton variety that expresses a Cry1Ac toxin); Bollgard I® (cotton variety that expresses a Cry1Ac toxin); Bollgard II® (cotton variety that expresses a Cry1Ac and a Cry2Ab toxin); VipCot® (cotton variety that expresses a Vip3A and a Cry1Ab toxin); NewLeaf® (potato variety that expresses a Cry3A toxin); NatureGard®, Agrisure® GT Advantage (GA21 glyphosate-tolerant trait), Agrisure® CB Advantage (Bt11 corn borer (CB) trait) and Protecta®. Further examples of such transgenic crops are: 1. Bt11 Maize from Syngenta Seeds SAS, Chemin de l'Hobit 27, F-31790 St. Sauveur, France, registration number C/FR/96/05/10. Genetically modified Zea mays which has been rendered resistant to attack by the 82802_FF 37 European corn borer (Ostrinia nubilalis and Sesamia nonagrioides) by transgenic expression of a truncated Cry1Ab toxin. Bt11 maize also transgenically expresses the enzyme PAT to achieve tolerance to the herbicide glufosinate ammonium. 2. Bt176 Maize from Syngenta Seeds SAS, Chemin de l'Hobit 27, F-31790 St. Sauveur, France, registration number C/FR/96/05/10. Genetically modified Zea mays which has been rendered resistant to attack by the European corn borer (Ostrinia nubilalis and Sesamia nonagrioides) by transgenic expression of a Cry1Ab toxin. Bt176 maize also transgenically expresses the enzyme PAT to achieve tolerance to the herbicide glufosinate ammonium. 3. MIR604 Maize from Syngenta Seeds SAS, Chemin de l'Hobit 27, F-31790 St. Sauveur, France, registration number C/FR/96/05/10. Maize which has been rendered insect-resistant by transgenic expression of a modified Cry3A toxin. This toxin is Cry3A055 modified by insertion of a cathepsin-G-protease recognition sequence. The preparation of such transgenic maize plants is described in WO 2003/018810. 4. MON 863 Maize from Monsanto Europe S.A. 270-272 Avenue de Tervuren, B-1150 Brussels, Belgium, registration number C/DE/02/9. MON 863 expresses a Cry3Bb1 toxin and has resistance to certain Coleoptera insects. 5. IPC 531 Cotton from Monsanto Europe S.A. 270-272 Avenue de Tervuren, B-1150 Brussels, Belgium, registration number C/ES/96/02. 6.1507 Maize from Pioneer Overseas Corporation, Avenue Tedesco, 7 B-1160 Brussels, Belgium, registration number C/NL/00/10. Genetically modified maize for the expression of the protein Cry1F for achieving resistance to certain Lepidoptera insects and of the PAT protein for achieving tolerance to the herbicide glufosinate ammonium. 7. NK603 × MON 810 Maize from Monsanto Europe S.A. 270-272 Avenue de Tervuren, B 1150 Brussels, Belgium, registration number C/GB/02/M3/03. Consists of conventionally bred hybrid maize varieties by crossing the genetically modified varieties NK603 and MON 810. NK603 × MON 810 Maize transgenically expresses the protein CP4 EPSPS, obtained from Agrobacterium sp. strain CP4, which imparts tolerance to the herbicide Roundup® (contains glyphosate), and also a Cry1Ab toxin obtained from Bacillus thuringiensis subsp. kurstaki which brings about tolerance to certain Lepidoptera, include the European corn borer. The compounds of formula (I) according to the invention may be used in controlling or preventing phytopathogenic diseases, especially phytopathogenic fungi such as Alternaria species in fruits, vegetables and potatoes; Botrytis cinerea in strawberries, tomatoes, sunflower, pulse crops, vegetables and grapes; Rhizoctonia solani in potatoes and vegetables; Uncinula necator in grapes; Cladosporium cucumerinum, Didymella bryoniae, Sphaerotheca fuliginea and Glomerella lagenarium in cucurbits; Leveillula taurica in cucurbits and solanacious crops; Fusarium spp. in cereals; Leptosphaeria spp. in cereals; and Zymospetoria spp. in cereals. 82802_FF 38 The term “locus” as used herein means fields in or on which plants are growing, or where seeds of cultivated plants are sown, or where seed will be placed into the soil. It includes soil, seeds, and seedlings, as well as established vegetation. The term “plants” refers to all physical parts of a plant, including seeds, seedlings, saplings, roots, tubers, stems, stalks, foliage, and fruits. The term “plant propagation material” is understood to denote generative parts of the plant, such as seeds, which can be used for the multiplication of the latter, and vegetative material, such as cuttings or tubers, for example potatoes. There can be mentioned for example seeds (in the strict sense), roots, fruits, tubers, bulbs, rhizomes and parts of plants. Germinated plants and young plants which are to be transplanted after germination or after emergence from the soil, may also be mentioned. These young plants can be protected before transplantation by a total or partial treatment by immersion. Preferably “plant propagation material” is understood to denote seeds. The compounds of formula (I) according to the invention may be used in unmodified form or, preferably, together with the adjuvants conventionally employed in the art of formulation. To this end they may be conveniently formulated in known manner to emulsifiable concentrates, coatable pastes, directly sprayable or dilutable solutions or suspensions, dilute emulsions, wettable powders, soluble powders, dusts, granulates, and also encapsulations e.g., in polymeric substances. As with the type of the compositions, the methods of application, such as spraying, atomising, dusting, scattering, coating or pouring, are chosen in accordance with the intended objectives and the prevailing circumstances. The compositions may also contain further adjuvants such as stabilizers, antifoams, viscosity regulators, binders or tackifiers as well as fertilizers, micronutrient donors or other formulations for obtaining special effects. Suitable carriers and adjuvants, e.g., for agricultural use, can be solid or liquid and are substances useful in formulation technology, e.g., natural or regenerated mineral substances, solvents, dispersants, wetting agents, tackifiers, thickeners, binders or fertilizers. Such carriers are for example described in WO97/33890. Suspension concentrates are aqueous formulations in which finely divided solid particles of the active compound are suspended. Such formulations include anti-settling agents and dispersing agents and may further include a wetting agent to enhance activity as well an anti-foam and a crystal growth inhibitor. In use, these concentrates are diluted in water and normally applied as a spray to the area to be treated. The amount of active ingredient may range from 0.5% to 95% of the concentrate. Wettable powders are in the form of finely divided particles which disperse readily in water or other liquid carriers. The particles contain the active ingredient retained in a solid matrix. Typical solid matrices include fuller’s earth, kaolin clays, silicas and other readily wet organic or inorganic solids. Wettable powders normally contain from 5% to 95% of the active ingredient plus a small amount of wetting, dispersing or emulsifying agent. Emulsifiable concentrates are homogeneous liquid compositions dispersible in water or other liquid and may consist entirely of the active compound with a liquid or solid emulsifying agent, or may also contain a liquid carrier, such as xylene, heavy aromatic naphthas, isophorone and other non-volatile organic solvents. In use, 82802_FF 39 these concentrates are dispersed in water or other liquid and normally applied as a spray to the area to be treated. The amount of active ingredient may range from 0.5% to 95% of the concentrate. Granular formulations include both extrudates and relatively coarse particles and are usually applied without dilution to the area in which treatment is required. Typical carriers for granular formulations include sand, fuller’s earth, attapulgite clay, bentonite clays, montmorillonite clay, vermiculite, perlite, calcium carbonate, brick, pumice, pyrophyllite, kaolin, dolomite, plaster, wood flour, ground corn cobs, ground peanut hulls, sugars, sodium chloride, sodium sulphate, sodium silicate, sodium borate, magnesia, mica, iron oxide, zinc oxide, titanium oxide, antimony oxide, cryolite, gypsum, diatomaceous earth, calcium sulphate and other organic or inorganic materials which absorb or which can be coated with the active compound. Granular formulations normally contain 5% to 25% of active ingredients which may include surface-active agents such as heavy aromatic naphthas, kerosene and other petroleum fractions, or vegetable oils; and/or stickers such as dextrins, glue or synthetic resins. Dusts are free-flowing admixtures of the active ingredient with finely divided solids such as talc, clays, flours and other organic and inorganic solids which act as dispersants and carriers. Microcapsules are typically droplets or granules of the active ingredient enclosed in an inert porous shell which allows escape of the enclosed material to the surroundings at controlled rates. Encapsulated droplets are typically 1 to 50 microns in diameter. The enclosed liquid typically constitutes 50 to 95% of the weight of the capsule and may include solvent in addition to the active compound. Encapsulated granules are generally porous granules with porous membranes sealing the granule pore openings, retaining the active species in liquid form inside the granule pores. Granules typically range from 1 millimetre to 1 centimetre and preferably 1 to 2 millimetres in diameter. Granules are formed by extrusion, agglomeration or prilling, or are naturally occurring. Examples of such materials are vermiculite, sintered clay, kaolin, attapulgite clay, sawdust and granular carbon. Shell or membrane materials include natural and synthetic rubbers, cellulosic materials, styrene-butadiene copolymers, polyacrylonitriles, polyacrylates, polyesters, polyamides, polyureas, polyurethanes and starch xanthates. Other useful formulations for agrochemical applications include simple solutions of the active ingredient in a solvent in which it is completely soluble at the desired concentration, such as acetone, alkylated naphthalenes, xylene and other organic solvents. Pressurised sprayers, wherein said active ingredient is dispersed in finely divided form as a result of vaporisation of a low boiling dispersant solvent carrier, may also be used. Suitable agricultural adjuvants and carriers that are useful in formulating the compositions of the invention in the formulation types described above are well known to a person skilled in the art. Liquid carriers that can be employed include, for example, water, toluene, xylene, petroleum naphtha, crop oil, acetone, methyl ethyl ketone, cyclohexanone, acetic anhydride, acetonitrile, acetophenone, amyl acetate, 2- butanone, chlorobenzene, cyclohexane, cyclohexanol, alkyl acetates, diacetonalcohol, 1,2-dichloropropane, diethanolamine, p diethylbenzene, diethylene glycol, diethylene glycol abietate, diethylene glycol butyl ether, diethylene glycol ethyl ether, diethylene glycol methyl ether, N,N-dimethyl formamide, dimethyl sulfoxide, 1,4- 82802_FF 40 dioxane, dipropylene glycol, dipropylene glycol methyl ether, dipropylene glycol dibenzoate, diproxitol, alkyl pyrrolidinone, ethyl acetate, 2-ethyl hexanol, ethylene carbonate, 1,1,1-trichloroethane, 2-heptanone, alpha pinene, d-limonene, ethylene glycol, ethylene glycol butyl ether, ethylene glycol methyl ether, gamma- butyrolactone, glycerol, glycerol diacetate, glycerol monoacetate, glycerol triacetate, hexadecane, hexylene glycol, isoamyl acetate, isobornyl acetate, isooctane, isophorone, isopropyl benzene, isopropyl myristate, lactic acid, laurylamine, mesityl oxide, methoxy-propanol, methyl isoamyl ketone, methyl isobutyl ketone, methyl laurate, methyl octanoate, methyl oleate, methylene chloride, m-xylene, n-hexane, n-octylamine, octadecanoic acid, octyl amine acetate, oleic acid, oleylamine, o-xylene, phenol, polyethylene glycol (PEG400), propionic acid, propylene glycol, propylene glycol monomethyl ether, p-xylene, toluene, triethyl phosphate, triethylene glycol, xylene sulfonic acid, paraffin, mineral oil, trichloroethylene, perchloroethylene, ethyl acetate, amyl acetate, butyl acetate, methanol, ethanol, isopropanol, and higher molecular weight alcohols such as amyl alcohol, tetrahydrofurfuryl alcohol, hexanol, octanol, etc, ethylene glycol, propylene glycol, glycerine and N- methyl-2-pyrrolidinone. Water is generally the carrier of choice for the dilution of concentrates. Suitable solid carriers include, for example, talc, titanium dioxide, pyrophyllite clay, silica, attapulgite clay, kieselguhr, chalk, diatomaxeous earth, lime, calcium carbonate, bentonite clay, fuller’s earth, cotton seed hulls, wheat flour, soybean flour, pumice, wood flour, walnut shell flour and lignin. A broad range of surface-active agents are advantageously employed in both said liquid and solid compositions, especially those designed to be diluted with carrier before application. These agents, when used, normally comprise from 0.1% to 15% by weight of the formulation. They can be anionic, cationic, non-ionic or polymeric in character and can be employed as emulsifying agents, wetting agents, suspending agents or for other purposes. Typical surface-active agents include salts of alkyl sulfates, such as diethanolammonium lauryl sulphate; alkylarylsulfonate salts, such as calcium dodecylbenzenesulfonate; alkylphenol-alkylene oxide addition products, such as nonylphenol-C.sub.18 ethoxylate; alcohol-alkylene oxide addition products, such as tridecyl alcohol-C.sub.16 ethoxylate; soaps, such as sodium stearate; alkylnaphthalenesulfonate salts, such as sodium dibutylnaphthalenesulfonate; dialkyl esters of sulfosuccinate salts, such as sodium di(2 ethylhexyl) sulfosuccinate; sorbitol esters, such as sorbitol oleate; quaternary amines, such as lauryl trimethylammonium chloride; polyethylene glycol esters of fatty acids, such as polyethylene glycol stearate; block copolymers of ethylene oxide and propylene oxide; and salts of mono and dialkyl phosphate esters. Other adjuvants commonly utilized in agricultural compositions include crystallisation inhibitors, viscosity modifiers, suspending agents, spray droplet modifiers, pigments, antioxidants, foaming agents, anti-foaming agents, light-blocking agents, compatibilizing agents, antifoam agents, sequestering agents, neutralising agents and buffers, corrosion inhibitors, dyes, odorants, spreading agents, penetration aids, micronutrients, emollients, lubricants and sticking agents. In addition, further, other biocidal active ingredients or compositions may be combined with the compositions of the invention and used in the methods of the invention and applied simultaneously or sequentially with the compositions of the invention. When applied simultaneously, these further active ingredients may be formulated together with the compositions of the invention or mixed in, for example, the spray tank. These further biocidal 82802_FF 41 active ingredients may be fungicides, herbicides, insecticides, bactericides, acaricides, nematicides and/or plant growth regulators. Pesticidal agents are referred to herein using their common name are known, for example, from "The Pesticide Manual", 15th Ed., British Crop Protection Council 2009. In addition, the compositions of the invention may also be applied with one or more systemically acquired resistance inducers (“SAR” inducer). SAR inducers are known and described in, for example, United States Patent No. US 6,919,298 and include, for example, salicylates and the commercial SAR inducer acibenzolar- S-methyl. The compounds of formula (I) according to the invention are normally used in the form of agrochemical compositions and can be applied to the crop area or plant to be treated, simultaneously or in succession with further compounds. These further compounds can be e.g., fertilizers or micronutrient donors or other preparations, which influence the growth of plants. They can also be selective herbicides or non-selective herbicides as well as insecticides, fungicides, bactericides, nematicides, molluscicides or mixtures of several of these preparations, if desired together with further carriers, surfactants or application promoting adjuvants customarily employed in the art of formulation. The compounds of formula (I) according to the invention may be used in the form of (fungicidal) compositions for controlling or protecting against phytopathogenic microorganisms, comprising as active ingredient at least one compound of formula (I) or of at least one preferred individual compound as defined herein, in free form or in agrochemical usable salt form, and at least one of the above-mentioned adjuvants. The invention therefore provides a composition, preferably a fungicidal composition, comprising at least one compound of formula (I) according to the invention, an agriculturally acceptable carrier and optionally an adjuvant. An agricultural acceptable carrier is for example a carrier that is suitable for agricultural use. Agricultural carriers are well known in the art. Preferably, said composition may comprise at least one or more pesticidal-active compounds, for example an additional fungicidal active ingredient in addition to the compound of formula (I). The compound of formula (I) according to the invention may be the sole active ingredient of a composition or it may be admixed with one or more additional active ingredients such as a pesticide, fungicide, synergist, herbicide or plant growth regulator where appropriate. An additional active ingredient may, in some cases, result in unexpected synergistic activities. Examples of suitable additional active ingredients include the following: acycloamino acid fungicides, aliphatic nitrogen fungicides, amide fungicides, anilide fungicides, antibiotic fungicides, aromatic fungicides, arsenical fungicides, aryl phenyl ketone fungicides, benzamide fungicides, benzanilide fungicides, benzimidazole fungicides, benzothiazole fungicides, botanical fungicides, bridged diphenyl fungicides, carbamate fungicides, carbanilate fungicides, conazole fungicides, copper fungicides, dicarboximide fungicides, dinitrophenol fungicides, dithiocarbamate fungicides, dithiolane fungicides, furamide fungicides, furanilide fungicides, hydrazide fungicides, imidazole fungicides, mercury fungicides, morpholine fungicides, organophosphorous 82802_FF 42 fungicides, organotin fungicides, oxathiin fungicides, oxazole fungicides, phenylsulfamide fungicides, polysulfide fungicides, pyrazole fungicides, pyridine fungicides, pyrimidine fungicides, pyrrole fungicides, quaternary ammonium fungicides, quinoline fungicides, quinone fungicides, quinoxaline fungicides, strobilurin fungicides, sulfonanilide fungicides, thiadiazole fungicides, thiazole fungicides, thiazolidine fungicides, thiocarbamate fungicides, thiophene fungicides, triazine fungicides, triazole fungicides, triazolopyrimidine fungicides, urea fungicides, valinamide fungicides, and zinc fungicides. The compounds of the invention may also be used in combination with anthelmintic agents. Such anthelmintic agents include, compounds selected from the macrocyclic lactone class of compounds such as ivermectin, avermectin, abamectin, emamectin, eprinomectin, doramectin, selamectin, moxidectin, nemadectin and milbemycin derivatives as described in EP0357460, EP0444964 and EP0594291. Additional anthelmintic agents include semisynthetic and biosynthetic avermectin/milbemycin derivatives such as those described in US5,015,630, WO94/15944 and WO95/22552. Additional anthelmintic agents include the benzimidazoles such as albendazole, cambendazole, fenbendazole, flubendazole, mebendazole, oxfendazole, oxibendazole, parbendazole, and other members of the class. Additional anthelmintic agents include imidazothiazoles and tetrahydropyrimidines such as tetramisole, levamisole, pyrantel pamoate, oxantel or morantel. Additional anthelmintic agents include flukicides, such as triclabendazole and clorsulon and the cestocides, such as praziquantel and epsiprantel. The compounds of the invention may be used in combination with derivatives and analogues of the paraherquamide/marcfortine class of anthelmintic agents, as well as the antiparasitic oxazolines such as those disclosed in US5,478,855, US4,639,771 and DE-19520936. The compounds of the invention may be used in combination with derivatives and analogues of the general class of dioxomorpholine antiparasitic agents as described in WO96/15121 and also with anthelmintic active cyclic depsipeptides such as those described in WO96/11945, WO93/19053, WO 93/25543, EP0626375, EP0382173, WO94/19334, EP0382173, and EP0503538. The compounds of the invention may be used in combination with other ectoparasiticides; for example, fipronil; pyrethroids; organophosphates; insect growth regulators such as lufenuron; ecdysone agonists such as tebufenozide and the like; neonicotinoids such as imidacloprid and the like. The compounds of the invention may be used in combination with terpene alkaloids, for example those described in WO95/19363 or WO04/72086, particularly the compounds disclosed therein. Other examples of such biologically active compounds that the compounds of the invention may be used in combination with include but are not restricted to the following: Organophosphates: acephate, azamethiphos, azinphos-ethyl, azinphos- methyl, bromophos, bromophos-ethyl, cadusafos, chlorethoxyphos, chlorpyrifos, chlorfenvinphos, chlormephos, demeton, demeton-S-methyl, demeton-S-methyl sulphone, dialifos, diazinon, dichlorvos, dicrotophos, dimethoate, disulfoton, ethion, ethoprophos, etrimfos, famphur, fenamiphos, fenitrothion, fensulfothion, fenthion, flupyrazofos, fonofos, formothion, fosthiazate, heptenophos, isazophos, isothioate, isoxathion, malathion, methacriphos, 82802_FF 43 methamidophos, methidathion, methyl- parathion, mevinphos, monocrotophos, naled, omethoate, oxydemeton-methyl, paraoxon, parathion, parathion-methyl, phenthoate, phosalone, phosfolan, phosphocarb, phosmet, phosphamidon, phorate, phoxim, pirimiphos, pirimiphos- methyl, profenofos, propaphos, proetamphos, prothiofos, pyraclofos, pyridapenthion, quinalphos, sulprophos, temephos, terbufos, tebupirimfos, tetrachlorvinphos, thimeton, triazophos, trichlorfon, vamidothion. Carbamates: alanycarb, aldicarb, 2-sec-butylphenyl methylcarbamate, benfuracarb, carbaryl, carbofuran, carbosulfan, cloethocarb, ethiofencarb, fenoxycarb, fenthiocarb, furathiocarb, HCN-801, isoprocarb, indoxacarb, methiocarb, methomyl, 5-methyl-m-cumenylbutyryl(methyl)carbamate, oxamyl, pirimicarb, propoxur, thiodicarb, thiofanox, triazamate, UC-51717. Pyrethroids: acrinathin, allethrin, alphametrin, 5-benzyl-3-furylmethyl (E)-(1R)-cis-2,2-dimethyl-3-(2-oxothiolan- 3-ylidenemethyl)cyclopropanecarboxylate, bifenthrin, beta-cyfluthrin, cyfluthrin, a-cypermethrin, beta- cypermethrin, bioallethrin, bioallethrin((S)-cyclopentylisomer), bioresmethrin, bifenthrin, NCI-85193, cycloprothrin, cyhalothrin, cythithrin, cyphenothrin, deltamethrin, empenthrin, esfenvalerate, ethofenprox, fenfluthrin, fenpropathrin, fenvalerate, flucythrinate, flumethrin, fluvalinate (D isomer), imiprothrin, cyhalothrin, lambda-cyhalothrin, permethrin, phenothrin, prallethrin, pyrethrins (natural products), resmethrin, tetramethrin, transfluthrin, theta-cypermethrin, silafluofen, t-fluvalinate, tefluthrin, tralomethrin, Zeta-cypermethrin. Arthropod growth regulators: a) chitin synthesis inhibitors: benzoylureas: chlorfluazuron, diflubenzuron, fluazuron, flucycloxuron, flufenoxuron, hexaflumuron, lufenuron, novaluron, teflubenzuron, triflumuron, buprofezin, diofenolan, hexythiazox, etoxazole, chlorfentazine; b) ecdysone antagonists: halofenozide, methoxyfenozide, tebufenozide; c) juvenoids: pyriproxyfen, methoprene (including S-methoprene), fenoxycarb; d) lipid biosynthesis inhibitors: spirodiclofen. Other antiparasitics: acequinocyl, amitraz, AKD-1022, ANS-118, azadirachtin, Bacillus thuringiensis, bensultap, bifenazate, binapacryl, bromopropylate, BTG-504, BTG-505, camphechlor, cartap, chlorobenzilate, chlordimeform, chlorfenapyr, chromafenozide, clothianidine, cyromazine, diacloden, diafenthiuron, DBI-3204, dinactin, dihydroxymethyldihydroxypyrrolidine, dinobuton, dinocap, endosulfan, ethiprole, ethofenprox, fenazaquin, flumite, MTI- 800, fenpyroximate, fluacrypyrim, flubenzimine, flubrocythrinate, flufenzine, flufenprox, fluproxyfen, halofenprox, hydramethylnon, IKI-220, kanemite, NC-196, neem guard, nidinorterfuran, nitenpyram, SD-35651, WL-108477, pirydaryl, propargite, protrifenbute, pymethrozine, pyridaben, pyrimidifen, NC-1111, R-195, RH-0345, RH-2485, RYI-210, S-1283, S-1833, SI-8601, silafluofen, silomadine, spinosad, tebufenpyrad, tetradifon, tetranactin, thiacloprid, thiocyclam, thiamethoxam, tolfenpyrad, triazamate, triethoxyspinosyn, trinactin, verbutin, vertalec, YI-5301. Biological agents: Bacillus thuringiensis ssp. aizawai, kurstaki, Bacillus thuringiensis delta endotoxin, baculovirus, entomopathogenic bacteria, virus and fungi. Bactericides: chlortetracycline, oxytetracycline, streptomycin. 82802_FF 44 Other biological agents: enrofloxacin, febantel, penethamate, moloxicam, cefalexin, kanamycin, pimobendan, clenbuterol, omeprazole, tiamulin, benazepril, pyriprole, cefquinome, florfenicol, buserelin, cefovecin, tulathromycin, ceftiour, carprofen, metaflumizone, praziquarantel, triclabendazole. The following mixtures of the compounds of formula (I) with active ingredients are preferred. The abbreviation “TX” means one compound selected from the group consisting of compounds of formula (I), (II), (III), or (III-A), or compounds selected from compounds listed in Tables C-1 to C-60 or Table P (below): and a compound selected from the group of substances consisting of (4E,10Z)-tetradeca-4,10-dienyl acetate + TX; (7E,9Z)- dodeca-7,9-dien-1-yl acetate + TX; (E)-6-methylhept-2-en-4-ol + TX; (E)-dec-5-en-1-yl acetate with (E)-dec-5- en-1-ol + TX; (E)-tridec-4-en-1-yl acetate + TX; (S)-bioallethrin + TX; (Z)-dodec-7-en-1-yl acetate + TX; (Z)- hexadec-11-en-1-yl acetate + TX; (Z)-hexadec-11-enal + TX; (Z)-hexadec-13-en-11-yn-1-yl acetate + TX; (Z)- icos-13-en-10-one + TX; (Z)-tetradec-7-en-1-al + TX; (Z)-tetradec-9-en-1-ol + TX; (Z)-tetradec-9-en-1-yl acetate + TX; 1,1-bis(4-chlorophenyl)-2-ethoxyethanol + TX; 1-(2-chlorophenyl)-3,3-dimethyl-2-(1,2,4-triazol- 1-ylmethyl)butan-2-ol + TX; 1-(5-bromo-2-pyridyl)-2-(2,4-difluorophenyl)-1,1-difluoro-3-(1,2,4-triazol-1- yl)propan-2-ol + TX; 1-hydroxy-1H-pyridine-2-thione + TX; 1-methylcyclopropene + TX; 1- naphthaleneacetamide + TX; 1-naphthylacetic acid + TX; 2,2-dichlorovinyl 2-ethylsulfinylethyl methyl phosphate + TX; 2,4-D + TX; 2,4-DB + TX; 2,6-dichloro-N-(4-trifluormethylbenzyl)benzamide + TX; 2-(1,3- dithiolan-2-yl)phenyl dimethylcarbamate + TX; 2-(2-butoxyethoxy)ethyl piperonylate + TX; 2-(4,5-dimethyl-1,3- dioxolan-2-yl)phenyl methylcarbamate + TX; 2-(difluoromethyl)-N-((3R)-1,1,3-trimethylindan-4-yl) pyridine-3- carboxamide + TX; 2-(octylthio)-ethanol + TX; 2-bromo-2-bromomethyl-pentanedinitrile + TX; 2-chlorovinyl diethyl phosphate + TX; 2-imidazolidone + TX; 2-methyl(prop-2-ynyl)aminophenyl methylcarbamate + TX; 2- thiocyanatoethyl laurate + TX; 3-(4-chlorophenyl)-5-methylrhodanine + TX; 3-(difluoromethyl)-1-methyl-N- [1,1,3-trimethylindan-4-yl]pyrazole-4-carboxamide + TX; 3-(difluoromethyl)-N-(7-fluoro-1,1,3,3-tetramethyl- indan-4-yl)-1-methyl-pyrazole-4-carboxamide + TX; 3-(difluoromethyl)-N-(7-fluoro-1,1,3,3-tetramethyl-indan-4- yl)-1-methyl-pyrazole-4-carboxamide + TX; 3-chloro-6-methyl-5-phenyl-4-(2,4,6-trifluorophenyl)pyridazine + TX; 3-methyl-1-phenylpyrazol-5-yl dimethyl-carbamate + TX; 3-phenylphenol + TX; 4,5-dichlorodithiol-3-one + TX; 4-(2,6-difluorophenyl)-6-methyl-5-phenyl-pyridazine-3-carbonitrile + TX; 4-(2-bromo-4-fluoro-phenyl)-N-(2- chloro-6-fluoro-phenyl)-2,5-dimethyl-pyrazol-3-amine + TX; 4-(quinoxalin-2-ylamino)benzenesulfonamide + TX; 4-[[6-[2-(2,4-difluorophenyl)-1,1-difluoro-2-hydroxy-3-(1,2,4-triazol-1-yl)propyl]-3-pyridyl]oxy]benzonitrile + TX; 4-chloro-2-(2-chloro-2-methyl-propyl)-5-[(6-iodo-3-pyridyl)methoxy]pyridazin-3-one + TX; 4-CPA + TX; 4- methyl(prop-2-ynyl)amino-3,5-xylyl methylcarbamate + TX; 4-methylnonan-5-ol with 4-methylnonan-5-one + TX; 4-phenylphenol + TX; 5-(1,3-benzodioxol-5-yl)-3-hexylcyclohex-2-enone + TX; 5-amino-1,3,4-thiadiazole- 2-thiol + TX; 5-fluoro-2-(p-tolylmethoxy)pyrimidin-4-amine + TX; 5-hydroxy-6-methyl-4-(((E)-pyridin-3- ylmethylene)amino)-4,5-dihydro-1,2,4-triazin-3(2H)-one + TX; 5-methyl-6-thioxo-1,3,5-thiadiazinan-3-ylacetic acid + TX; 8-hydroxyquinoline sulfate + TX; 11-ethyl-10,12-dioxo-2,5,8-trithia-4,11- diazatricyclo[7.3.0.03,7]dodeca-1(9),3,6-triene-6-carbonitrile + TX; 14-methyloctadec-1-ene + TX; [(9Z,11E)- tetradeca-9,11-dienyl] acetate + TX; [(Z)-dodec-9-enyl] acetate + TX; abamectin + TX; acephate + TX; acequinocyl + TX; acetamiprid + TX; acethion + TX; acetoprole + TX; acibenzolar + TX; acibenzolar-S-methyl + TX; acrinathrin + TX; Adoxophyes orana GV + TX; Agrobacterium radiobacter + TX; alanycarb + TX; 82802_FF 45 albendazole + TX; aldicarb + TX; allethrin + TX; allosamidin + TX; allyl alcohol + TX; allyxycarb + TX; alpha- ecdysone + TX; alpha-multistriatin + TX; Amblyseius spp. + TX; ametoctradin + TX; amidithion + TX; amidoflumet + TX; amidothioate + TX; aminocarb + TX; amisulbrom + TX; amiton + TX; amiton hydrogen oxalate + TX; amitraz + TX; anabasine + TX; Anagrapha falcifera NPV + TX; Anagrus atomus + TX; ancymidol + TX; anilazine + TX; anisiflupurin + TX; anthraquinone + TX; antu + TX; Aphelinus abdominalis + TX; Aphidius colemani + TX; Aphidoletes aphidimyza + TX; athidathion + TX; aureofungin + TX; Autographa californica NPV + TX; avermectin B1a + TX; azaconazole + TX; azadirachtin A + TX; azafenidin + TX; azamethiphos + TX; azinphos-ethyl + TX; azinphos-methyl + TX; azithiram + TX; azoxystrobin + TX; Bacillus sphaericus (Neide) + TX; Bacillus thuringiensis + TX; Bacillus thuringiensis delta endotoxin + TX; Bacillus thuringiensis ssp. aizawai + TX; baculovirus + TX; barthrin + TX; Beauveria brongniartii + TX; benalaxyl + TX; benalaxyl-M + TX; benazepril + TX; benclothiaz + TX; benfuracarb + TX; benomyl + TX; bensultap + TX; benthiavalicarb + TX; benzalkonium chloride + TX; benzamorf + TX; benzothiostrobin + TX; benzovindiflupyr + TX; beta-cyfluthrin + TX; beta-cypermethrin + TX; bethoxazin + TX; bifenazate + TX; bifenthrin + TX; binapacryl + TX; bioallethrin + TX; bioethanomethrin + TX; biopermethrin + TX; bioresmethrin + TX; bisthiosemi + TX; bistrifluron + TX; bitertanol + TX; bixafen + TX; blasticidin-S + TX; borax + TX; bordeaux mixture + TX; boscalid + TX; brodifacoum + TX; brofenvalerate + TX; brofluthrinate + TX; bromadiolone + TX; bromfenvinfos + TX; bromophos + TX; bromophos-ethyl + TX; bromuconazole + TX; bufencarb + TX; bupirimate + TX; buprofezin + TX; buserelin + TX; busulfan + TX; but-3-ynyl N-[6-[[(Z)-[(1-methyltetrazol-5-yl)-phenyl- methylene]amino]oxymethyl]-2-pyridyl]carbamate + TX; butacarb + TX; butathiofos + TX; butocarboxim + TX; butonate + TX; butopyronoxyl + TX; butoxy(polypropylene glycol) + TX; butoxycarboxim + TX; butylamine + TX; cadusafos + TX; calciferol + TX; calcium phosphate + TX; calcium polysulfide + TX; cambendazole + TX; captafol + TX; captan + TX; carbanolate + TX; carbaryl + TX; carbendazim + TX; carbendazim hydrochloride + TX; carbofuran + TX; carbosulfan + TX; carboxin + TX; carprofen + TX; carpropamid + TX; cartap + TX; cartap hydrochloride + TX; cefalexin + TX; cefovecin + TX; cefquinome + TX; ceftiour + TX; cestex + TX; cevadine + TX; chinomethionat + TX; chitosan + TX; chlobenthiazone + TX; chloralose + TX; chlorantraniliprole + TX; chlorbenside + TX; chlordimeform + TX; chlorethephon + TX; chlorethoxyfos + TX; chlorfenapyr + TX; chlorfenazole + TX; chlorfentazine + TX; chlorfenvinphos + TX; chlorfluazuron + TX; chlormephos + TX; chlormequat + TX; chlorodimeform hydrochloride + TX; chloroinconazide + TX; chloromebuform + TX; chloromethiuron + TX; chloroneb + TX; chlorothalonil + TX; chlorphoxim + TX; chlorprazophos + TX; chlorpyrifos + TX; chlorpyrifos-methyl + TX; chlortetracycline + TX; chlorthiophos + TX; chlozolinate + TX; cholecalciferol + TX; chromafenozide + TX; Chrysoperla carnea + TX; cinerin + TX; cinerin I + TX; cinerin II + TX; cis-jasmone + TX; cis-resmethrin + TX; cismethrin + TX; clenbuterol + TX; climbazole + TX; cloethocarb + TX; clofencet + TX; clorsulon + TX; clothianidin + TX; clozylacon (acetamide) + TX; codlelure + TX; copper acetate + TX; copper hydroxide + TX; copper naphthenate + TX; copper octanoate + TX; copper oleate + TX; copper oxide + TX; copper oxychloride + TX; copper silicate + TX; copper sulfate + TX; copper(II) carbonate + TX; coumachlor + TX; coumafene + TX; coumafuryl + TX; Coumatetralyl + TX; coumethoxystrobin (jiaxiangjunzhi) + TX; coumithoate + TX; coumoxystrobin + TX; cryolite + TX; Cryptolaemus montrouzieri + TX; cuelure + TX; cufraneb + TX; cuprous(I) oxide + TX; cyanofenphos + TX; cyanthoate + TX; cyazofamid + TX; 82802_FF 46 cybutryne + TX; cyclafuramid + TX; cyclethrin + TX; cyclobutrifluram + TX; Cydia pomonella GV + TX; cyenopyrafen + TX; cyflufenamid + TX; cyflumetofen + TX; cyfluthrin + TX; cyhalothrin + TX; cymiazole + TX; cymoxanil + TX; cypermethrin (alphametrin) + TX; cyphenothrin + TX; cyproconazole + TX; cyprodinil + TX; cyprodinil + TX; cyromazine + TX; cytokinins + TX; D-tetramethrin + TX; Dacnusa sibirica + TX; DAEP + TX; dazomet + TX; DCPM + TX; debacarb + TX; decarbofuran + TX; deltamethrin + TX; demephion-O + TX; demephion-S + TX; demeton-O + TX; demeton-S + TX; demeton-S-methyl + TX; demeton-S-methylsulphon + TX; diafenthiuron + TX; dialifos + TX; diazinon + TX; dibutyl adipate + TX; dibutyl phthalate + TX; dibutyl succinate + TX; dicapthon + TX; dichlobentiazox + TX; dichlofluanid + TX; dichlone + TX; dichlorprop + TX; dichlorvos + TX; dichlozoline + TX; diclocymet + TX; diclomezine + TX; dicloran + TX; dicofol + TX; dicresyl + TX; dicrotophos + TX; dicyclanil + TX; dicyclopentadiene + TX; diethofencarb + TX; diethyltoluamide + TX; difenacoum + TX; difenoconazole + TX; difenzoquat + TX; difethialone + TX; diflovidazin + TX; diflubenzuron + TX; diflumetorim + TX; Diglyphus isaea + TX; dimatif + TX; dimefluthrin + TX; dimetan + TX; dimethachlon + TX; dimethipin + TX; dimethirimol + TX; dimethoate + TX; dimethomorph + TX; dimethrin + TX; dimethyl disulfide + TX; dimethyl phthalate + TX; dimetilan + TX; dimoxystrobin + TX; dinactin + TX; diniconazole + TX; diniconazole-M + TX; dinobuton + TX; dinocap + TX; dinocton + TX; dinoseb + TX; dinotefuran + TX; diofenolan + TX; dioxabenzofos + TX; diphenylamine + TX; dipyrithione + TX; disparlure + TX; disulfiram + TX; disulfoton + TX; ditalimfos + TX; dithianon + TX; dithicrofos + TX; dithiocarbamate + TX; dodec-8-en-1-yl acetate + TX; dodemorph + TX; dodicin + TX; dodine + TX; dofenapyn + TX; dominicalure + TX; doramectin + TX; drazoxolon + TX; DSP + TX; ecdysterone + TX; edifenphos + TX; emamectin benzoate + TX; EMPC + TX; empenthrin + TX; Encarsia formosa + TX; endosulfan + TX; endothal + TX; endothion + TX; enestroburin (enoxastrobin) + TX; enrofloxacin + TX; entomopathogenic bacteria + TX; entomopathogenic fungi + TX; entomopathogenic virus + TX; EPBP + TX; epoxiconazole + TX; eprinomectin + TX; Eretmocerus eremicus + TX; esfenvalerate + TX; etaconazole + TX; ethaboxam + TX; ethiofencarb + TX; ethion + TX; ethiprole + TX; ethirimol + TX; ethoate- methyl + TX; ethoprophos + TX; ethoxyquin + TX; ethyl 4-methyloctanoate + TX; ethyl formate + TX; ethyl hexanediol + TX; etofenprox + TX; etoxazole + TX; etridiazole + TX; etrimfos + TX; eugenol + TX; eurax + TX; EXD + TX; exo-brevicomin + TX; famoxadone + TX; famphur + TX; farnesol with nerolidol + TX; febantel + TX; fenamidone + TX; fenaminstrobin + TX; fenamiphos + TX; fenarimol + TX; fenazaquin + TX; fenbendazole + TX; fenbuconazole + TX; fenbutatin oxide + TX; feneptamidoquin + TX; fenethacarb + TX; fenfluthrin + TX; fenfuram + TX; fenhexamid + TX; fenitrothion + TX; fenobucarb + TX; fenopyramid + TX; fenothiocarb + TX; fenoxacrim + TX; fenoxanil + TX; fenoxycarb + TX; fenpiclonil + TX; fenpicoxamid + TX; fenpirithrin + TX; fenpropathrin + TX; fenpropidin + TX; fenpropimorph + TX; fenpyrazamine + TX; fenpyroximate + TX; fensulfothion + TX; fenthion + TX; fenthion-ethyl + TX; fentin + TX; fentin acetate + TX; fentin chloride + TX; fentin hydroxide + TX; fenvalerate + TX; ferbam + TX; ferimzone + TX; ferric phosphate + TX; fipronil + TX; flocoumafen + TX; flonicamid + TX; florfenicol + TX; florylpicoxamid + TX; fluacrypyrim + TX; fluazinam + TX; fluazuron + TX; flubendazole + TX; flubendiamide + TX; flubeneteram + TX; flubenzimin + TX; flucycloxuron + TX; flucycloxuron + TX; flucythrinate + TX; fludioxonil + TX; fluenetil + TX; flufenerim + TX; flufenoxuron + TX; flufenoxystrobin + TX; flufenprox + TX; fluindapyr + TX; flumetralin + TX; flumetylsulforim + TX; flumorph + TX; fluopicolide + TX; fluopimomide + TX; fluopyram + TX; fluoroimide + TX; fluoxapiprolin + TX; fluoxastrobin + 82802_FF 47 TX; fluoxytioconazole + TX; flupyrazofos + TX; fluquinconazole + TX; flusilazole + TX; flusulfamide + TX; flutianil + TX; flutolanil + TX; flutriafol + TX; fluxapyroxad + TX; folpet + TX; fonofos + TX; forchlorfenuron + TX; formaldehyde + TX; formetanate + TX; formetanate hydrochloride + TX; formothion + TX; formparanate + TX; fosetyl + TX; fosetyl-aluminium + TX; fosmethilan + TX; fosthiazate + TX; fosthietan + TX; frontalin + TX; fuberidazole + TX; furalaxyl + TX; furametpyr + TX; furathiocarb + TX; furethrin + TX; furfural + TX; gibberellic acid + TX; glyodin + TX; glyphosate + TX; grandlure I + TX; grandlure II + TX; grandlure III + TX; grandlure IV + TX; guazatine triacetate + TX; halfenprox + TX; halofenozide + TX; hemel + TX; heptenophos + TX; Heterorhabditis bacteriophora and H. megidis + TX; hexaconazole + TX; hexadecyl cyclopropanecarboxylate + TX; hexaflumuron + TX; hexalure + TX; hexamide + TX; hexythiazox + TX; Hippodamia convergens + TX; huanjunzuo (rac-(1S,2S)-1-(4-chlorophenyl)-2-(1,2,4-triazol-1-yl)cycloheptanol) + TX; hydramethylnon + TX; hydrated lime (calcium hydroxide) + TX; hymexazol + TX; hyquincarb + TX; icaridin + TX; imanin (hypericin) + TX; imazalil + TX; imazalil sulfate + TX; imibenconazole + TX; imidacloprid + TX; iminoctadine + TX; indoxacarb + TX; inpyrfluxam + TX; iodocarb + TX; ipconazole + TX; ipfentrifluconazole + TX; ipflufenoquin + TX; iprobenfos (IBP) + TX; iprodione + TX; iprovalicarb + TX; ipsdienol + TX; ipsenol + TX; IPSP + TX; isamidofos + TX; isazofos + TX; isocarbophos + TX; isofetamid + TX; isoflucypram + TX; isolan + TX; isoprocarb + TX; isoprothiolane + TX; isopyrazam + TX; isothioate + TX; isotianil + TX; isoxathion + TX; ivermectin + TX; japonilure + TX; jasmolin I + TX; jasmolin II + TX; juvenile hormone I + TX; juvenile hormone II + TX; juvenile hormone III + TX; kadethrin + TX; kanamycin + TX; kasugamycin + TX; kasugamycin hydrochloride hydrate + TX; kinetin + TX; kinoprene + TX; kresoxim-methyl + TX; kurstaki + TX; lambda-cyhalothrin + TX; Leptomastix dactylopii + TX; leptophos + TX; levamisole + TX; lineatin + TX; lirimfos + TX; looplure + TX; lufenuron + TX; lvbenmixianan + TX; lythidathion + TX; m-cumenyl methylcarbamate + TX; Macrolophus caliginosus + TX; magnesium phosphide + TX; malathion + TX; maleic hydrazide + TX; malonoben + TX; Mamestra brassicae NPV + TX; mancopper + TX; mancozeb + TX; mandestrobin + TX; mandipropamid + TX; maneb + TX; mazidox + TX; mebendazole + TX; mecarbam + TX; mecarphon + TX; medlure + TX; mefentrifluconazole + TX; megatomoic acid + TX; meloxicam + TX; menazon + TX; mepanipyrim + TX; meperfluthrin + TX; mephosfolan + TX; mepiquat + TX; mepronil + TX; meptyldinocap + TX; mesulfenfos + TX; metaflumizone + TX; metalaxyl + TX; metalaxyl-M + TX; metaldehyde + TX; metam + TX; metam-potassium + TX; metam-sodium + TX; Metaphycus helvolus + TX; Metarhizium anisopliae var. acridum + TX; Metarhizium anisopliae var. anisopliae + TX; metarylpicoxamid + TX; metconazole + TX; methacrifos + TX; methamidophos + TX; methasulfocarb + TX; methidathion + TX; methiocarb + TX; methiotepa + TX; methocrotophos + TX; methomyl + TX; methoprene + TX; methoquin-butyl + TX; methothrin + TX; methoxyfenozide + TX; methyl apholate + TX; methyl eugenol + TX; methyl iodide + TX; methyl neodecanamide + TX; metiram + TX; metofluthrin + TX; metolcarb + TX; metominostrobin + TX; metoxadiazone + TX; metrafenone + TX; metyltetraprole + TX; mevinphos + TX; mexacarbate + TX; MGK 264 + TX; milbemycin + TX; milbemycin oxime + TX; monocrotophos + TX; morantel tartrate + TX; morzid + TX; moxidectin + TX; muscalure + TX; myclobutanil + TX; myclozolin + TX; Myrothecium verrucaria composition + TX; N-[2-[2,4-dichloro-phenoxy]phenyl]-3-(difluoromethyl)-1-methyl-pyrazole-4- carboxamide + TX; N-cyclopropyl-3-(difluoromethyl)-5-fluoro-N-[(2-isopropylphenyl)methyl]-1-methyl-pyrazole- 4-carboxamide + TX; nabam + TX; naled + TX; NC-170 + TX; nemadectin + TX; Neodiprion sertifer NPV and 82802_FF 48 N. lecontei NPV + TX; niclosamide-olamine + TX; nicotine + TX; nicotine sulfate + TX; nikkomycins + TX; nitenpyram + TX; nithiazine + TX; nitrapyrin + TX; nitrilacarb + TX; nitrothal-isopropyl + TX; norbormide + TX; nornicotine + TX; novaluron + TX; noviflumuron + TX; nuarimol + TX; O,O,O',O'-tetrapropyl dithiopyrophosphate + TX; octadeca-2,13-dien-1-yl acetate + TX; octadeca-2,13-dien-1-yl acetate + TX; octhilinone + TX; ofurace + TX; oleic acid + TX; omethoate + TX; orfralure + TX; Orius spp. + TX; orysastrobin + TX; osthol + TX; ostramone + TX; oxadixyl + TX; oxamate + TX; oxamyl + TX; oxantel pamoate + TX; oxasulfuron + TX; oxathiapiprolin + TX; oxfendazole + TX; oxibendazole + TX; oxine copper + TX; oxolinic acid + TX; oxpoconazole + TX; oxycarboxin + TX; oxydemeton-methyl + TX; oxydeprofos + TX; oxydisulfoton + TX; oxytetracycline + TX; oxytetracycline dihydrate + TX; paclobutrazol + TX; Paecilomyces fumosoroseus + TX; paraoxon + TX; parathion + TX; parathion-methyl + TX; parbendazole + TX; pefurazoate + TX; penconazole + TX; pencycuron + TX; penethamate + TX; penflufen + TX; penthiopyrad + TX; permethrin + TX; petroleum oils + TX; PH 60-38 + TX; phenamacril + TX; phenthoate + TX; phorate + TX; phosacetim + TX; phosalone + TX; phosfolan + TX; phosglycin + TX; phosmet + TX; phosnichlor + TX; phosphamidon + TX; phosphocarb + TX; phosphonic acid + TX; phosphorus + TX; phoxim + TX; phoxim-methyl + TX; phthalide + TX; Phytoseiulus persimilis + TX; picarbutrazox + TX; picoxystrobin + TX; pimobendan + TX; pindone + TX; piperalin + TX; piperonyl butoxide + TX; piprotal + TX; pirimetaphos + TX; pirimicarb + TX; pirimiphos-methyl + TX; polycarbamate + TX; polynactin + TX; polyoxin B + TX; polyoxin d + TX; potassium ethylxanthate + TX; potassium hydroxyquinoline sulfate + TX; praziquantel + TX; precocene I + TX; precocene II + TX; precocene III + TX; primidophos + TX; probenazole + TX; prochloraz + TX; procymidone + TX; profenofos + TX; profluthrin + TX; prohexadione + TX; prohexadione-calcium + TX; promacyl + TX; promecarb + TX; propamidine + TX; propamocarb + TX; propaphos + TX; propargite + TX; propetamphos + TX; propiconazole + TX; propineb + TX; propionic acid + TX; propoxur + TX; propyl isomer + TX; proquinazid + TX; prothidathion + TX; prothioconazole + TX; prothiofos + TX; prothoate + TX; protrifenbute + TX; pydiflumetofen + TX; pymetrozine + TX; pyraclofos + TX; pyraclostrobin + TX; pyrafluprole + TX; pyrametostrobin + TX; pyrantel pamoate + TX; pyraoxystrobin + TX; pyrapropoyne + TX; pyraziflumid + TX; pyrazophos + TX; pyrazoxone + TX; pyresmethrin + TX; pyrethrin I + TX; pyrethrin II + TX; pyrethrins (natural products) + TX; pyrethroids (natural products) + TX; pyribencarb + TX; pyridaben + TX; pyridachlometyl + TX; pyridalyl + TX; pyridaphenthion + TX; pyridin-4-amine + TX; pyrifenox + TX; pyrifluquinazon + TX; pyrimethanil + TX; pyrimidifen + TX; pyrimorph + TX; pyriofenone + TX; pyriprole + TX; pyriproxyfen + TX; pyrisoxazole + TX; pyroquilon + TX; quassia + TX; quinalphos + TX; quinalphos-methyl + TX; quinoclamine + TX; quinofumelin + TX; quinonamid + TX; quinothion + TX; quinoxyfen + TX; quintozene + TX; R-1492 + TX; R-metalaxyl + TX; Reynoutria sachalinensis extract + TX; ribavirin + TX; rotenone + TX; ryanodine (ryania) + TX; sabadilla + TX; schradan + TX; scilliroside + TX; seboctylamine + TX; sedaxane + TX; selamectin + TX; sesamex + TX; sesamolin + TX; siglure + TX; silafluofen + TX; silthiofam + TX; simeconazole + TX; sodium tetrathiocarbonate + TX; sophamide + TX; sordidin + TX; spinetoram + TX; spinosad + TX; spirodiclofen + TX; spiromesifen + TX; spirotetramat + TX; spiroxamine + TX; Steinernema bibionis + TX; Steinernema carpocapsae + TX; Steinernema feltiae + TX; Steinernema glaseri + TX; Steinernema riobrave + TX; Steinernema riobravis + TX; Steinernema scapterisci + TX; Steinernema spp. + TX; streptomycin + TX; streptomycin sesquisulfate + TX; sulcatol + TX; sulcofuron + TX; sulfiram + TX; sulfur 82802_FF 49 + TX; sulprofos + TX; tar oils + TX; tau-fluvalinate + TX; TCMTB + TX; TDE + TX; tebuconazole + TX; tebufenozide + TX; tebufenpyrad + TX; tebufloquin + TX; tebupirimfos + TX; tecnazene + TX; teflubenzuron + TX; tefluthrin + TX; temephos + TX; terallethrin + TX; terbam + TX; terbufos + TX; tetrachlorvinphos + TX; tetraconazole + TX; tetradec-11-en-1-yl acetate + TX; tetradifon + TX; tetramethrin + TX; tetramethylfluthrin + TX; tetranactin + TX; thiabendazole + TX; thiacloprid + TX; thiadiazole copper + TX; thiamethoxam + TX; thiapronil + TX; thicrofos + TX; thicyofen + TX; thidiazuron + TX; thifluzamide + TX; thiocarboxime + TX; thiocyclam + TX; thiocyclam hydrogen oxalate + TX; thiodicarb + TX; thiofanox + TX; thiometon + TX; thiophanate + TX; thiophanate-methyl + TX; thioquinox + TX; thiosultap + TX; thiosultap-disodium + TX; thiram + TX; thuringiensin + TX; tiadinil + TX; tiamulin + TX; tioxymid + TX; tolclofos-methyl + TX; tolfenpyrad + TX; tolprocarb + TX; tolylfluanid + TX; tralomethrin + TX; transpermethrin + TX; tretamine + TX; triadimefon + TX; triadimenol + TX; triarathene + TX; triazamate + TX; triazophos + TX; triazoxide + TX; tribufos + TX; trichlorfon + TX; trichlormetaphos-3 + TX; trichloronat + TX; Trichogramma spp. + TX; triclabendazole + TX; triclopyricarb + TX; tricyclazole + TX; tridemorph + TX; trifenmorph + TX; trifloxystrobin + TX; triflumizole + TX; triflumuron + TX; triforine + TX; trimedlure + TX; trimedlure A + TX; trimedlure B1 + TX; trimedlure B2 + TX; trimedlure C + TX; trimethacarb + TX; trinactin + TX; trinexapac + TX; trinexapac-ethyl + TX; triprene + TX; triticonazole + TX; trunc-call + TX; tulathromycin + TX; Typhlodromus occidentalis + TX; uniconazole + TX; uredepa + TX; validamycin + TX; valifenalate + TX; vamidothion + TX; vaniliprole + TX; veratridine + TX; veratrine + TX; verbutin + TX; Verticillium lecanii + TX; vinclozolin + TX; XMC + TX; xylenols + TX; zeatin + TX; zeta- cypermethrin + TX; zhongshengmycin + TX; zinc naphthenate + TX; zinc thiazole + TX; zineb + TX; ziram + TX; zolaprofos + TX; zoxamide + TX; 2-(difluoromethyl)-N-[(3S)-3-ethyl-1,1-dimethyl-indan-4-yl]pyridine-3- carboxamide (this compound may be prepared from the methods described in WO 2014/095675) + TX; methyl 3-[(4-chlorophenyl)methyl]-2-hydroxy-1-methyl-2-(1,2,4-triazol-1-ylmethyl)cyclopentanecarboxylate (this compound may be prepared from the methods described in WO 2019/093522) + TX; methyl (2R)-2-[2-chloro- 4-(4-chlorophenoxy)phenyl]-2-hydroxy-3-(1,2,4-triazol-1-yl)propanoate (this compound may be prepared from the methods described in WO 2019/093522) + TX; 5-[5-(difluoromethyl)-1,3,4-oxadiazol-2-yl]-N-[1-(2,6- difluorophenyl)cyclopropyl]pyrimidin-2-amine (this compound may be prepared from the methods described in WO 2021/255093) + TX; aminopyrifen (this compound may be prepared from the methods described in WO 2014/006945) + TX; dipymetitrone (this compound may be prepared from the methods described in WO 2011/138281) + TX; 1-[6-(difluoromethyl)-5-methyl-3-pyridyl]-4,4-difluoro-3,3-dimethyl-isoquinoline (this compound may be prepared from the methods described in WO 2017/016915) + TX; 1-[4-(difluoromethoxy)-2- methyl-phenyl]-2-(1,2,4-triazol-1-yl)-1-[1-(trifluoromethyl)cyclopropyl]ethanol (this compound may be prepared from the methods described in WO 2021/249800) + TX; 1-[2-chloro-4-(difluoromethoxy)phenyl]-2-(1,2,4-triazol- 1-yl)-1-[1-(trifluoromethyl)cyclopropyl]ethanol (this compound may be prepared from the methods described in WO 2021/249800) + TX; 1-(5,6-dimethyl-3-pyridyl)-4,4-difluoro-3,3-dimethyl-isoquinoline (this compound may be prepared from the methods described in WO 2017/016915) + TX; N-methyl-4-[5-(trifluoromethyl)-1,2,4- oxadiazol-3-yl]benzenecarbothioamide (this compound may be prepared from the methods described in WO 2015/185485) + TX; 2,2-difluoro-N-methyl-2-[4-[5-(trifluoromethyl)-1,2,4-oxadiazol-3-yl]phenyl]acetamide (this compound may be prepared from the methods described in WO 2017/178245) + TX; flufenoxadiazam + TX; 82802_FF 50 N-methyl-4-[5-(trifluoromethyl)-1,2,4-oxadiazol-3-yl]benzamide (this compound may be prepared from the methods described in WO 2015/185485) + TX; (Z,2E)-5-[1-(2,4-dichlorophenyl)pyrazol-3-yl]oxy-2- methoxyimino-N,3-dimethyl-pent-3-enamide (this compound may be prepared from the methods described in WO 2018/153707) + TX; (Z,2E)-5-[1-(4-chlorophenyl)pyrazol-3-yl]oxy-2-methoxyimino-N,3-dimethyl-pent-3- enamide (this compound may be prepared from the methods described in WO 2013/092224) + TX; methyl (2E)-2-methoxyimino-2-[3-methyl-2-[[(E)-1-[4-(trifluoromethyl)-2-pyridyl]ethylideneamino]oxymethyl] phenyl] acetate (this compound may be prepared from the methods described in WO 2022/033906) + TX; (2E)-2- methoxyimino-N-methyl-2-[3-methyl-2-[[(E)-1-[4-(trifluoromethyl)-2-pyridyl]ethylideneamino]oxymethyl] phenyl]acetamide (this compound may be prepared from the methods described in WO 2022/033906) + TX; (2E)-2-[2-[[(E)-[3-(4-fluorophenyl)-1-methyl-prop-2-ynylidene]amino]oxymethyl]-3-methyl-phenyl]-2-methoxy imino-N-methyl-acetamide (this compound may be prepared from the methods described in WO 2021/249928) + TX; methyl (2E)-2-[2-[[(E)-[3-(4-fluorophenyl)-1-methyl-prop-2-ynylidene]amino]oxymethyl]-3-methyl- phenyl]-2-methoxyimino-acetate (this compound may be prepared from the methods described in WO 2021/249928) + TX; 3-[2-(1-chlorocyclopropyl)-3-(3-chloro-2-fluoro-phenyl)-2-hydroxy-propyl]imidazole-4- carbonitrile (this compound may be prepared from the methods described in WO 2016/156290) + TX; 3-[2-(1- chlorocyclopropyl)-3-(2-fluorophenyl)-2-hydroxy-propyl]imidazole-4-carbonitrile (this compound may be prepared from the methods described in WO 2016/156290) + TX; 2-[6-(4-bromophenoxy)-2-(trifluoromethyl)- 3-pyridyl]-1-(1,2,4-triazol-1-yl)propan-2-ol (this compound may be prepared from the methods described in WO 2017/029179) + TX; 2-[6-(4-chlorophenoxy)-2-(trifluoromethyl)-3-pyridyl]-1-(1,2,4-triazol-1-yl)propan-2-ol (this compound may be prepared from the methods described in WO 2017/029179) + TX; 5-[5-(difluoromethyl)- 1,3,4-oxadiazol-2-yl]-N-[1-(2-fluorophenyl)ethyl]pyrimidin-2-amine (this compound may be prepared from the methods described in WO 2021/255093) + TX; 5-[5-(difluoromethyl)-1,3,4-oxadiazol-2-yl]-N-[1-(3,5- difluorophenyl)ethyl]pyrimidin-2-amine (this compound may be prepared from the methods described in WO 2021/255093) + TX; N-[1-(2-fluorophenyl)cyclopropyl]-5-[5-(trifluoromethyl)-1,3,4-oxadiazol-2-yl]pyrimidin-2- amine (this compound may be prepared from the methods described in WO 2021/255093) + TX; 5-[5- (difluoromethyl)-1,3,4-oxadiazol-2-yl]-N-[1-(2,6-difluorophenyl)ethyl]pyrimidin-2-amine (this compound may be prepared from the methods described in WO 2021/255093) + TX; 2-(difluoromethyl)-5-[2-[1-(2,6- difluorophenyl)cyclopropoxy]pyrimidin-5-yl]-1,3,4-oxadiazole (this compound may be prepared from the methods described in WO 2021/255093) + TX; 5-[5-(difluoromethyl)-1,3,4-oxadiazol-2-yl]-N-[1-(2- fluorophenyl)cyclopropyl]pyrimidin-2-amine (this compound may be prepared from the methods described in WO 2021/255093) + TX; 5-[(4-bromo-2-methyl-phenyl)methyl]-3-[3-(3-chloro-2-fluoro-phenoxy)-6-methyl- pyridazin-4-yl]-5,6-dihydro-4H-1,2,4-oxadiazine (this compound may be prepared from the methods described in WO 2021/255070) + TX; 3-[3-(3-cyclopropyl-2-fluoro-phenoxy)-6-methyl-pyridazin-4-yl]-5-[(2,4- dimethylphenyl)methyl]-5,6-dihydro-4H-1,2,4-oxadiazine (this compound may be prepared from the methods described in WO 2021/255070) + TX; N-(2,2,2-trifluoroethyl)-2-[[4-[5-(trifluoromethyl)-1,2,4-oxadiazol-3- yl]phenyl]methyl]oxazole-4-carboxamide (this compound may be prepared from the methods described in WO 2022/133114) + TX; ethyl 1-[[4-[5-(trifluoromethyl)-1,2,4-oxadiazol-3-yl]phenoxy]methyl]pyrazole-4-carboxylate (this compound may be prepared from the methods described in WO 2022/133114) + TX; ethyl 1-[[4-[(Z)-2- 82802_FF 51 ethoxy-3,3,3-trifluoro-prop-1-enoxy]phenyl]methyl]pyrazole-4-carboxylate (this compound may be prepared from the methods described in WO 2020/056090 and WO 2021/183707) + TX; ethyl 1-[[4-[[2-(trifluoromethyl)- 1,3-dioxolan-2-yl]methoxy]phenyl]methyl]pyrazole-4-carboxylate (this compound may be prepared from the methods described in WO 2020/056090 and WO 2021/183707) + TX; methyl N-[[5-[4-(2,4- dimethylphenyl)triazol-2-yl]-2-methyl-phenyl]methyl]carbamate (this compound may be prepared from the methods described in WO 2020/097012) + TX; methyl N-[[5-[1-(2,6-difluoro-4-isopropyl-phenyl)pyrazol-3-yl]-2- methyl-phenyl]methyl]carbamate (this compound may be prepared from the methods described in WO 2020/097012) + TX; methyl N-[[5-[1-(4-cyclopropyl-2,6-difluoro-phenyl)pyrazol-3-yl]-2-methyl- phenyl]methyl]carbamate (this compound may be prepared from the methods described in WO 2020/097012) + TX; methyl 2-[2-chloro-4-(4-chlorophenoxy)phenyl]-2-hydroxy-3-(1,2,4-triazol-1-yl)propanoate (this compound may be prepared from the methods described in WO 2019/093522) + TX; 4,4,5-trifluoro-3,3- dimethyl-1-(3-quinolyl)isoquinoline + TX; 5-fluoro-3,3,4,4-tetramethyl-1-(3-quinolyl)isoquinoline + TX; 2- methoxy-N-[methoxy-[5-[5-(trifluoromethyl)-1,2,4-oxadiazol-3-yl]-2-thienyl]methyl]acetamide (this compound may be prepared from the methods described in WO 2020/256113) + TX; N-[methoxy-[5-[5-(trifluoromethyl)- 1,2,4-oxadiazol-3-yl]-2-thienyl]methyl]-2-methyl-propanamide (this compound may be prepared from the methods described in WO 2020/256113) + TX; N-[methoxy-[5-[5-(trifluoromethyl)-1,2,4-oxadiazol-3-yl]-2- thienyl]methyl]butanamide (this compound may be prepared from the methods described in WO 2020/256113) + TX; 2-(difluoromethyl)-N-[(3R)-3-ethyl-1,1-dimethyl-indan-4-yl]pyridine-3-carboxamide (this compound may be prepared from the methods described in WO 2014/095675) + TX; 2-(difluoromethyl)-N-(3-ethyl-1,1-dimethyl- indan-4-yl)pyridine-3-carboxamide (this compound may be prepared from the methods described in WO 2014/095675) + TX; 2-(difluoromethyl)-N-(1,1,3-trimethylindan-4-yl)pyridine-3-carboxamide + TX; (5R)-3-[3-(3- chloro-2-fluoro-phenoxy)-6-methyl-pyridazin-4-yl]-5-[(2-chloro-4-methyl-phenyl)methyl]-5,6-dihydro-4H-1,2,4- oxadiazine (this compound may be prepared from the methods described in WO 2020/127780, WO 2021/255070) + TX; (5S)-3-[3-(3-chloro-2-fluoro-phenoxy)-6-methyl-pyridazin-4-yl]-5-[(2-chloro-4-methyl- phenyl)methyl]-5,6-dihydro-4H-1,2,4-oxadiazine (this compound may be prepared from the methods described in WO 2020/127780, WO 2021/255070) + TX; 3-[3-(3-chloro-2-fluoro-phenoxy)-6-methyl-pyridazin-4-yl]-5-[(2- chloro-4-methyl-phenyl)methyl]-5,6-dihydro-4H-1,2,4-oxadiazine (this compound may be prepared from the methods described in WO 2020/127780, WO 2021/255070) + TX; methyl (Z)-3-methoxy-2-(2-methyl-5-phenyl- phenoxy)prop-2-enoate (this compound may be prepared from methods as described in JP2023078251) +TX; 2-[(2,6-difluoro-4-pyridyl)-(2-methylpropanoyl)amino]-N-(2,2-dimethylcyclobutyl)-5-methyl-thiazole-4- carboxamide + TX; or the (R) or (S) enantiomer or mixtures thereof +TX (this compound may be prepared from the methods described in WO2017207362A1, WO2019105933A1, WO2020109511A1, WO2021244952A1); 2-[(2,6-difluoro-4-pyridyl)-(tetrahydropyran-4-carbonyl)amino]-N-(2,2-dimethylcyclobutyl)-5-methyl-thiazole-4- carboxamide + TX; or the (R) or (S) enantiomer or mixtures thereof +TX (this compound may be prepared from the methods described in WO2017207362A1, WO2019105933A1, WO2020109511A1, WO2021244952A1); 2-[cyano-(2,6-difluoro-4-pyridyl)amino]-5-methyl-N-spiro[3.4]octan-3-yl-thiazole-4-carboxamide + TX; or the (R) or (S) enantiomer or mixtures thereof +TX (this compound may be prepared from the methods described in WO2017207362A1, WO2019105933A1, WO2020109509A1); 2-[cyano-(2,6-difluoro-4-pyridyl)amino]-N- 82802_FF 52 (2,2-dimethylcyclobutyl)-5-methyl-thiazole-4-carboxamide + TX; or the (R) or (S) enantiomer or mixtures thereof +TX (this compound may be prepared from the methods described in WO2017207362A1, WO2019105933A1, WO2020109509A1); 2-[(2,6-difluoro-4-pyridyl)-(2-methoxyacetyl)amino]-N-(2,2- dimethylcyclobutyl)-5-methyl-thiazole-4-carboxamide + TX; or the (R) or (S) enantiomer or mixtures thereof +TX (this compound may be prepared from the methods described in WO2017207362A1, WO2019105933A1, WO2020109511A1, WO2021244952A1); 2-[acetyl-(2,6-difluoro-4-pyridyl)amino]-5-methyl-N-spiro[3.4]octan- 3-yl-thiazole-4-carboxamide + TX; or the (R) or (S) enantiomer or mixtures thereof +TX (this compound may be prepared from the methods described in WO2017207362A1, WO2019105933A1, WO2020109511A1, WO2021244952A1); N-methoxy-N-[[4-[5-(trifluoromethyl)-1,2,4-oxadiazol-3-yl]phenyl]methyl] cyclopropane carboxamide (this compound may be prepared from the methods described in WO 2017/055473) +TX; methyl (Z)-2-(5-cyclopentyl-2-methyl-phenoxy)-3-methoxy-prop-2-enoate (this compound may be prepared from the methods described in WO2020/193387) +TX; methyl (Z)-2-(5-cyclohexyl-2-methyl-phenoxy)-3-methoxy-prop- 2-enoate (this compound may be prepared from the methods described in WO2020/193387) +TX; N-[(1R)-1- benzyl-1,3-dimethylbutyl]-8-fluoroquinoline-3-carboxamide (this compound may be prepared from the methods described in WO2017/153380) +TX; N-[(1S)-1-benzyl-1,3-dimethylbutyl]-8-fluoroquinoline-3-carboxamide (this compound may be prepared from the methods described in WO2017/153380) +TX; 2-[(2,6-difluoro-4-pyridyl)- (oxetane-3-carbonyl)amino]-N-(2,2-dimethylcyclobutyl)-5-methyl-thiazole-4-carboxamide + TX; or the (R) or (S) enantiomer or mixtures thereof +TX (this compound may be prepared from the methods described in WO2017207362A1, WO2019105933A1, WO2020109511A1, WO2021244952A1); 2-[acetyl-(2,6-difluoro-4- pyridyl)amino]-N-(2,2-dimethylcyclobutyl)-5-methyl-thiazole-4-carboxamide + TX; or the (R) or (S) enantiomer or mixtures thereof +TX (this compound may be prepared from the methods described in WO2017207362A1, WO2019105933A1, WO2020109511A1, WO2021244952A1); N,2-dimethoxy-N-[[4-[5-(trifluoromethyl)-1,2,4- oxadiazol-3-yl]phenyl]methyl]propanamide + TX; or the (R) or (S) enantiomer or mixtures thereof +TX (this compound may be prepared from the methods described in WO 2017/055473).The references in brackets behind the active ingredients, e.g. [3878-19-1] refer to the Chemical Abstracts Registry number. The above described mixing partners are known. Where the active ingredients are included in "The Pesticide Manual" [The Pesticide Manual - A World Compendium; Thirteenth Edition; Editor: C. D. S. TomLin; The British Crop Protection Council], they are described therein under the entry number given in round brackets hereinabove for the particular compound; for example, the compound "abamectin" is described under entry number (1). Where "[CCN]" is added hereinabove to the particular compound, the compound in question is included in the "Compendium of Pesticide Common Names", which is accessible on the internet [A. Wood; Compendium of Pesticide Common Names, Copyright © 1995-2004]; for example, the compound "acetoprole" is described under the internet address http://www.alanwood.net/pesticides/acetoprole.html. Most of the active ingredients described above are referred to hereinabove by a so-called "common name", the relevant "ISO common name" or another "common name" being used in individual cases. If the designation is not a "common name", the nature of the designation used instead is given in round brackets for the particular compound; in that case, the IUPAC name, the IUPAC/Chemical Abstracts name, a "chemical name", a "traditional name", a "compound name" or a "development code" is used or, if neither one of those designations 82802_FF 53 nor a "common name" is used, an "alternative name" is employed. “CAS Reg. No” means the Chemical Abstracts Registry Number. The active ingredient mixture of the compound selected from the group consisting of compounds of formula (I), (II), (III), or (III-A), or compounds selected from compounds listed in Tables C-1 to C-60 or Table P (below): is preferably in a mixing ratio of from 100:1 to 1:100, especially from 50:1 to 1:50, more especially in a ratio of from 20:1 to 1:20, even more especially from 10:1 to 1:10, and still more especially from 5:1 to 1:5 Those mixing ratios are by weight. The mixtures as described above can be used in a method for controlling pests, which comprises applying a composition comprising a mixture as described above to the pests or their environment, with the exception of a method for treatment of the human or animal body by surgery or therapy and diagnostic methods practised on the human or animal body. The mixtures comprising a compound selected from the compounds of formula (I), (II), (III), or (III-A), or compounds selected from compounds listed in Tables C-1 to C-60 or Table P (below), and one or more active ingredients as described above can be applied, for example, in a single “ready-mix” form, in a combined spray mixture composed from separate formulations of the single active ingredient components, such as a “tank-mix”, and in a combined use of the single active ingredients when applied in a sequential manner, i.e. one after the other with a reasonably short period, such as a few hours or days. The order of applying a compound selected from the compounds of formula (I), (II), (III), or (III-A), or compounds selected from compounds listed in Tables C-1 to C-60 or Table P (below), and the active ingredient(s) as described above, is not essential for working the present invention. The compositions according to the invention can also comprise further solid or liquid auxiliaries, such as stabilizers, for example unepoxidized or epoxidized vegetable oils (for example epoxidized coconut oil, rapeseed oil or soya oil), antifoams, for example silicone oil, preservatives, viscosity regulators, binders and/or tackifiers, fertilizers or other active ingredients for achieving specific effects, for example bactericides, fungicides, nematocides, plant activators, molluscicides or herbicides. The compositions according to the invention are prepared in a manner known per se, in the absence of auxiliaries for example by grinding, screening and/or compressing a solid active ingredient and in the presence of at least one auxiliary for example by intimately mixing and/or grinding the active ingredient with the auxiliary (auxiliaries). These processes for the preparation of the compositions and the use of the compounds (I) for the preparation of these compositions are also a subject of the invention. Another aspect of the invention is related to the use of a compound of formula (I) according to the invention or of a preferred individual compound as defined herein, of a composition comprising at least one compound of formula (I) or at least one preferred individual compound as defined herein, or of a fungicidal or insecticidal mixture comprising at least one compound of formula (I) or at least one preferred individual compound as defined herein, in admixture with other fungicides or insecticides as described above, for controlling or preventing infestation of plants, e.g. useful plants such as crop plants, propagation material thereof, e.g. seeds, 82802_FF 54 harvested crops, e.g. harvested food crops, or non-living materials by insects or by phytopathogenic microorganisms, preferably fungal organisms. A further aspect of invention is related to a method of controlling or preventing an infestation of plants, e.g. useful plants such as crop plants, propagation material thereof, e.g. seeds, harvested crops, e.g. harvested food crops, or of non-living materials by phytopathogenic or spoilage microorganisms or organisms potentially harmful to man, especially fungal organisms, which comprises the application of a compound of formula (I) according to the invention or of a preferred individual compound as defined herein as active ingredient to the plants, to parts of the plants or to the locus thereof, to the propagation material thereof, or to any part of the non-living materials. Controlling or preventing means reducing infestation by insects or by phytopathogenic or spoilage microorganisms or organisms potentially harmful to man, especially fungal organisms, to such a level that an improvement is demonstrated. A preferred method of controlling or preventing an infestation of crop plants by phytopathogenic microorganisms, especially fungal organisms, or insects which comprises the application of a compound of formula (I) according to the invention, or an agrochemical composition which contains at least one compound of formula (I), is foliar application. The frequency of application and the rate of application will depend on the risk of infestation by the corresponding pathogen or insect. However, the compounds of formula (I) according to the invention can also penetrate the plant through the roots via the soil (systemic action) by drenching the locus of the plant with a liquid formulation, or by applying the compounds in solid form to the soil, e.g., in granular form (soil application). In crops of water rice such granulates can be applied to the flooded rice field. The compounds of formula (I) may also be applied to seeds (coating) by impregnating the seeds or tubers either with a liquid formulation of the fungicide or coating them with a solid formulation. A formulation, e.g., a composition containing the compound of formula (I) according to the invention and, if desired, a solid or liquid adjuvant or monomers for encapsulating the compound of formula (I), may be prepared in a known manner, typically by intimately mixing and/or grinding the compound with extenders, for example solvents, solid carriers and, optionally, surface active compounds (surfactants). Advantageous rates of application are normally from 5g to 2kg of active ingredient (a.i.) per hectare (ha), preferably from 10g to 1kg^a.i./ha, most preferably from 20g to 600g^a.i./ha. When used as seed drenching agent, convenient dosages are from 10mg to 1g of active substance per kg of seeds. The term “g a.i./ha” as used herein refer to the application rate given in gram [g ] of active ingredient [a.i.] per unit of surface [ha]. The unit hectare (symbol ha) is the metric unit of area that equals a square with 100 m side (1 hm
2) or 10,000 square meters. Hectare is a commonly used unit of area in the metric system. When the combinations of the present invention are used for treating seed, rates of 0.001 to 50 g of a compound of formula (I) per kg of seed, preferably from 0.01 to 10g per kg of seed are generally sufficient. Suitably, a composition comprising a compound of formula (I) according to the present invention is applied either preventative, meaning prior to disease development or curative, meaning after disease development. 82802_FF 55 The compositions of the invention may be employed in any conventional form, for example in the form of a twin pack, a powder for dry seed treatment (DS), an emulsion for seed treatment (ES), a flowable concentrate for seed treatment (FS), a solution for seed treatment (LS), a water dispersible powder for seed treatment (WS), a capsule suspension for seed treatment (CF), a gel for seed treatment (GF), an emulsion concentrate (EC), a suspension concentrate (SC), a suspo-emulsion (SE), a capsule suspension (CS), a water dispersible granule (WG), an emulsifiable granule (EG), an emulsion, water in oil (EO), an emulsion, oil in water (EW), a micro- emulsion (ME), an oil dispersion (OD), an oil miscible flowable (OF), an oil miscible liquid (OL), a soluble concentrate (SL), an ultra-low volume suspension (SU), an ultra-low volume liquid (UL), a technical concentrate (TK), a dispersible concentrate (DC), a wettable powder (WP) or any technically feasible formulation in combination with agriculturally acceptable adjuvants. Such compositions may be produced in conventional manner, e.g., by mixing the active ingredients with appropriate formulation inerts (diluents, solvents, fillers, and optionally other formulating ingredients such as surfactants, biocides, anti-freeze, stickers, thickeners and compounds that provide adjuvancy effects). Also, conventional slow release formulations may be employed where long lasting efficacy is intended. Particularly formulations to be applied in spraying forms, such as water dispersible concentrates (e.g. EC, SC, DC, OD, SE, EW, EO and the like), wettable powders and granules, may contain surfactants such as wetting and dispersing agents and other compounds that provide adjuvancy effects, e.g. the condensation product of formaldehyde with naphthalene sulphonate, an alkylarylsulphonate, a lignin sulphonate, a fatty alkyl sulphate, and ethoxylated alkylphenol and an ethoxylated fatty alcohol. A seed dressing formulation is applied in a manner known per se to the seeds employing the combination of the invention and a diluent in suitable seed dressing formulation form, e.g., as an aqueous suspension or in a dry powder form having good adherence to the seeds. Such seed dressing formulations are known in the art. Seed dressing formulations may contain the single active ingredients or the combination of active ingredients in encapsulated form, e.g., as slow release capsules or microcapsules. In general, the formulations include from 0.01 to 90% by weight of active agent, from 0 to 20% agriculturally acceptable surfactant and 10 to 99.99% solid or liquid formulation inerts and adjuvant(s), the active agent consisting of at least the compound of formula (I) according to the invention optionally together with other active agents, particularly microbiocides or conservatives or the like. Concentrated forms of compositions generally contain in between about 2 and 80%, preferably between about 5 and 70% by weight of active agent. Application forms of formulation may for example contain from 0.01 to 20% by weight, preferably from 0.01 to 5% by weight of active agent. Whereas commercial products will preferably be formulated as concentrates, the end user will normally employ diluted formulations. Whereas it is preferred to formulate commercial products as concentrates, the end user will normally use dilute formulations. The rates of application vary within wide limits and depend on the nature of the soil, the method of application, the crop plant, the pest to be controlled, the prevailing climatic conditions, and other factors governed by the 82802_FF 56 method of application, the time of application and the target crop. As a general guideline compounds may be applied at a rate of from 1 to 2000 l/ha, especially from 10 to 1000 l/ha. Preferred formulations can have the following compositions (weight %): Emulsifiable concentrates: active ingredient: 1 to 95 %, preferably 60 to 90 % surface-active agent: 1 to 30 %, preferably 5 to 20 % liquid carrier: 1 to 80 %, preferably 1 to 35 % Dusts: active ingredient: 0.1 to 10 %, preferably 0.1 to 5 % solid carrier: 99.9 to 90 %, preferably 99.9 to 99 % Suspension concentrates: active ingredient: 5 to 75 %, preferably 10 to 50 % water: 94 to 24 %, preferably 88 to 30 % surface-active agent: 1 to 40 %, preferably 2 to 30 % Wettable powders: active ingredient: 0.5 to 90 %, preferably 1 to 80 % surface-active agent: 0.5 to 20 %, preferably 1 to 15 % solid carrier: 5 to 95 %, preferably 15 to 90 % Granules: active ingredient: 0.1 to 30 %, preferably 0.1 to 15 % solid carrier: 99.5 to 70 %, preferably 97 to 85 % The disclosure in the present application makes available each and every combination of embodiments disclosed herein. The compounds according to the following Tables C-1 to C-60 may be prepared according to the methods described above. The examples which follow are intended to illustrate the invention and show preferred compounds of formula (I). In any of Tables C-1 to C-60 below, the presence of one or more possible asymmetric carbon atoms in a compound of formula (I) according to the invention means that the compounds may occur in chiral isomeric forms, i.e., enantiomeric or diastereomeric forms. The disclosure in the present application makes available each and every combination of embodiments disclosed herein. The compounds according to the following Tables C-1 to C-60 may be prepared according to the methods described above. The examples which follow are intended to illustrate the invention and show preferred compounds of formula (I). Table A: This table discloses 20 substituent definitions G of the formula (I)  82802_FF 57 (I), wherein G is of formula

 No G No G 1 [2-(2,4-difluorophenyl)tetrazole-5-carbonyl] 11 [2-(2-fluorophenyl)tetrazole-5-carbonyl] 2 [2-(2,4-difluorophenyl)triazole-4-carbonyl] 12 [2-(2-fluorophenyl)triazole-4-carbonyl] 3 [1-(2,4-difluorophenyl)triazole-4-carbonyl] 13 [1-(2-fluorophenyl)triazole-4-carbonyl] 4 [2-(3,5-difluoro-2-pyridyl)tetrazole-5-carbonyl] 14 (2-phenyltetrazole-5-carbonyl) 5 [2-(3,5-difluoro-2-pyridyl)triazole-4-carbonyl] 15 (2-phenyltriazole-4-carbonyl) 6 [1-(3,5-difluoro-2-pyridyl)triazole-4-carbonyl] 16 (1-phenyltriazole-4-carbonyl) 7 [2-(4-fluorophenyl)tetrazole-5-carbonyl] 17 [1-(2,4-difluorophenyl)pyrazole-4-carbonyl] 8 [2-(5-fluoro-2-pyridyl)tetrazole-5-carbonyl] 18 [1-(2,4-difluorophenyl)pyrazole-3-carbonyl] 9 [2-(4-fluorophenyl)triazole-4-carbonyl] 19 [1-(2,4-difluorophenyl)-1,2,4-triazole-3-carbonyl] 10 [1-(4-fluorophenyl)triazole-4-carbonyl] 20 [1-(2,4-difluorophenyl)pyrrole-3-carbonyl] Table B: This table discloses 20 substituent definitions Q of the formula (I)

 No Q Q-1 [4-[1-(2-methoxyethyl)pyrazol-4-yl]thiazol-2-yl] Q-11 (4-cyanothiazol-2-yl) Q-2 [4-(1-methylpyrazol-4-yl)thiazol-2-yl] Q-12 (4-methylsulfanylthiazol-2-yl) Q-3 [2-(methoxymethyl)thiazol-4-yl] Q-13 (2-bromothiazol-4-yl) Q-4 [2-(cyanomethyl)thiazol-4-yl] Q-14 (2-cyclopropylthiazol-4-yl) Q-5 (2-methylsulfanylthiazol-4-yl) Q-15 thiazol-4-yl Q-6 (2-chlorothiazol-4-yl) Q-16 thiazol-2-yl Q-7 (4-methoxythiazol-2-yl) Q-17 (4-cyclopropylthiazol-2-yl)  82802_FF 58 No Q No Q Q-8 [4-(cyanomethyl)thiazol-2-yl] Q-18 (4-bromothiazol-2-yl) Q-9 [4-(methoxymethyl)thiazol-2-yl] Q-19 (4-chlorothiazol-2-yl) Q-10 (4-methoxycarbonylthiazol-2-yl) Q-20 (4,5-dichlorothiazol-2-yl) Tables C-1 to C-60 disclose specific compounds of the invention of formula (I) (I), wherein Q and G substituents are as defined in tables A and B.
 20 compounds C-1.01 to C-1.20 of formula (I) wherein R
2, R
4, R
5, R
6 are H, Q is Q-1 as defined in Table B, and G is as defined in Table A. For example, compound C-1.01 has the following structure: Compound C-1.01
 C-2.01 to C-2.20 of formula (I) wherein R
2, R
5, R
6 are H, R
4 is CH3, Q is Q-1 as defined in Table B, and G is as defined in Table A. For example, compound C-2.10 has the following structure: Compound C-2.10
  82802_FF 59 Table C-3: This table provides 20 compounds C-3.01 to C-3.20 of formula (I) wherein R
5, R
6 are H, R
2 and R
4 are CH3, Q is Q-1 as defined in Table B, and G is as defined in Table A. For example, compound C-3.18 has the following structure; Compound C-3.18
 C-4.01 to C-4.20 of formula (I) wherein R
2, R
4, R
5, R
6 are H, Q is Q-2 as defined in Table B, and G is as defined in Table A. Table C-5: This table provides 20 compounds C-5.01 to C-5.20 of formula (I) wherein R
2, R
5, R
6 are H, R
4 is CH3, Q is Q-2 as defined in Table B, and G is as defined in Table A. Table C-6: This table provides 20 compounds C-6.01 to C-6.20 of formula (I) wherein R
5, R
6 are H, R
2 and R
4 are CH3, Q is Q-2 as defined in Table B, and G is as defined in Table A. Table C-7: This table provides 20 compounds C-7.01 to C-7.20 of formula (I) wherein R
2, R
4, R
5, R
6 are H, Q is Q-3 as defined in Table B, and G is as defined in Table A. Table C-8: This table provides 20 compounds C-8.01 to C-8.20 of formula (I) wherein R
2, R
5, R
6 are H, R
4 is CH3, Q is Q-3 as defined in Table B, and G is as defined in Table A. Table C-9: This table provides 20 compounds C-9.01 to C-9.20 of formula (I) wherein R
5, R
6 are H, R
2 and R
4 are CH3, Q is Q-3 as defined in Table B, and G is as defined in Table A. Table C-10: This table provides 20 compounds C-10.01 to C-10.20 of formula (I) wherein R
2, R
4, R
5, R
6 are H, Q is Q-4 as defined in Table B, and G is as defined in Table A. Table C-11: This table provides 20 compounds C-11.01 to C-11.20 of formula (I) wherein R
2, R
5, R
6 are H, R
4 is CH3, Q is Q-4 as defined in Table B, and G is as defined in Table A. Table C-12: This table provides 20 compounds C-12.01 to C-12.20 of formula (I) wherein R
5, R
6 are H, R
2 and R
4 are CH3, Q is Q-4 as defined in Table B, and G is as defined in Table A. Table C-13: This table provides 20 compounds C-13.01 to C-13.20 of formula (I) wherein R
2, R
4, R
5, R
6 are H, Q is Q-5 as defined in Table B, and G is as defined in Table A. Table C-14: This table provides 20 compounds C-14.01 to C-14.20 of formula (I) wherein R
2, R
5, R
6 are H, R
4 is CH3, Q is Q-5 as defined in Table B, and G is as defined in Table A.  82802_FF 60 Table C-15: This table provides 20 compounds C-15.01 to C-15.20 of formula (I) wherein R
5, R
6 are H, R
2 and R
4 are CH3, Q is Q-5 as defined in Table B, and G is as defined in Table A. For example, compound C-15.04 has the following structure: compound C-15.04
 C-16.01 to C-16.20 of formula (I) wherein R
2, R
4, R
5, R
6 are H, Q is Q-6 as defined in Table B, and G is as defined in Table A. Table C-17: This table provides 20 compounds C-17.01 to C-17.20 of formula (I) wherein R
2, R
5, R
6 are H, R
4 is CH3, Q is Q-6 as defined in Table B, and G is as defined in Table A. Table C-18: This table provides 20 compounds C-18.01 to C-18.20 of formula (I) wherein R
5, R
6 are H, R
2 and R
4 are CH3, Q is Q-6 as defined in Table B, and G is as defined in Table A. Table C-19: This table provides 20 compounds C-19.01 to C-19.20 of formula (I) wherein R
2, R
4, R
5, R
6 are H, Q is Q-7 as defined in Table B, and G is as defined in Table A. Table C-20: This table provides 20 compounds C-20.01 to C-20.20 of formula (I) wherein R
2, R
5, R
6 are H, R
4 is CH3, Q is Q-7 as defined in Table B, and G is as defined in Table A. Table C-21: This table provides 20 compounds C-21.01 to C-21.20 of formula (I) wherein R
5, R
6 are H, R
2 and R
4 are CH3, Q is Q-7 as defined in Table B, and G is as defined in Table A. Table C-22: This table provides 20 compounds C-22.01 to C-22.20 of formula (I) wherein R
2, R
4, R
5, R
6 are H, Q is Q-8 as defined in Table B, and G is as defined in Table A. Table C-23: This table provides 20 compounds C-23.01 to C-23.20 of formula (I) wherein R
2, R
5, R
6 are H, R
4 is CH3, Q is Q-8 as defined in Table B, and G is as defined in Table A. Table C-24: This table provides 20 compounds C-24.01 to C-24.20 of formula (I) wherein R
5, R
6 are H, R
2 and R
4 are CH3, Q is Q-8 as defined in Table B, and G is as defined in Table A. Table C-25: This table provides 20 compounds C-25.01 to C-25.20 of formula (I) wherein R
2, R
4, R
5, R
6 are H, Q is Q-9 as defined in Table B, and G is as defined in Table A. Table C-26: This table provides 20 compounds C-26.01 to C-26.20 of formula (I) wherein R
2, R
5, R
6 are H, R
4 is CH3, Q is Q-9 as defined in Table B, and G is as defined in Table A. Table C-27: This table provides 20 compounds C-27.01 to C-27.20 of formula (I) wherein R
5, R
6 are H, R
2 and R
4 are CH3, Q is Q-9 as defined in Table B, and G is as defined in Table A. 82802_FF 61 Table C-28: This table provides 20 compounds C-28.01 to C-28.20 of formula (I) wherein R
2, R
4, R
5, R
6 are H, Q is Q-10 as defined in Table B, and G is as defined in Table A. Table C-29: This table provides 20 compounds C-29.01 to C-29.20 of formula (I) wherein R
2, R
5, R
6 are H, R
4 is CH3, Q is Q-10 as defined in Table B, and G is as defined in Table A. Table C-30: This table provides 20 compounds C-30.01 to C-30.20 of formula (I) wherein R
5, R
6 are H, R
2 and R
4 are CH3, Q is Q-10 as defined in Table B, and G is as defined in Table A. Table C-31: This table provides 20 compounds C-31.01 to C-31.20 of formula (I) wherein R
2, R
4, R
5, R
6 are H, Q is Q-11 as defined in Table B, and G is as defined in Table A. Table C-32: This table provides 20 compounds C-32.01 to C-32.20 of formula (I) wherein R
2, R
5, R
6 are H, R
4 is CH3, Q is Q-11 as defined in Table B, and G is as defined in Table A. Table C-33: This table provides 20 compounds C-33.01 to C-33.20 of formula (I) wherein R
5, R
6 are H, R
2 and R
4 are CH3, Q is Q-11 as defined in Table B, and G is as defined in Table A. Table C-34: This table provides 20 compounds C-34.01 to C-34.20 of formula (I) wherein R
2, R
4, R
5, R
6 are H, Q is Q-12 as defined in Table B, and G is as defined in Table A. Table C-35: This table provides 20 compounds C-35.01 to C-35.20 of formula (I) wherein R
2, R
5, R
6 are H, R
4 is CH3, Q is Q-12 as defined in Table B, and G is as defined in Table A. Table C-36: This table provides 20 compounds C-36.01 to C-36.20 of formula (I) wherein R
5, R
6 are H, R
2 and R
4 are CH3, Q is Q-12 as defined in Table B, and G is as defined in Table A. Table C-37: This table provides 20 compounds C-37.01 to C-37.20 of formula (I) wherein R
2, R
4, R
5, R
6 are H, Q is Q-13 as defined in Table B, and G is as defined in Table A. Table C-38: This table provides 20 compounds C-38.01 to C-38.20 of formula (I) wherein R
2, R
5, R
6 are H, R
4 is CH3, Q is Q-13 as defined in Table B, and G is as defined in Table A. Table C-39: This table provides 20 compounds C-39.01 to C-39.20 of formula (I) wherein R
5, R
6 are H, R
2 and R
4 are CH3, Q is Q-13 as defined in Table B, and G is as defined in Table A. Table C-40: This table provides 20 compounds C-40.01 to C-40.20 of formula (I) wherein R
2, R
4, R
5, R
6 are H, Q is Q-14 as defined in Table B, and G is as defined in Table A. Table C-41: This table provides 20 compounds C-41.01 to C-41.20 of formula (I) wherein R
2, R
5, R
6 are H, R
4 is CH3, Q is Q-14 as defined in Table B, and G is as defined in Table A. Table C-42: This table provides 20 compounds C-42.01 to C-42.20 of formula (I) wherein R
5, R
6 are H, R
2 and R
4 are CH3, Q is Q-14 as defined in Table B, and G is as defined in Table A. Table C-43: This table provides 20 compounds C-43.01 to C-43.20 of formula (I) wherein R
2, R
4, R
5, R
6 are H, Q is Q-15 as defined in Table B, and G is as defined in Table A. 82802_FF 62 Table C-44: This table provides 20 compounds C-44.01 to C-44.20 of formula (I) wherein R
2, R
5, R
6 are H, R
4 is CH3, Q is Q-15 as defined in Table B, and G is as defined in Table A. Table C-45: This table provides 20 compounds C-45.01 to C-45.20 of formula (I) wherein R
5, R
6 are H, R
2 and R
4 are CH3, Q is Q-15 as defined in Table B, and G is as defined in Table A. Table C-46: This table provides 20 compounds C-46.01 to C-46.20 of formula (I) wherein R
2, R
4, R
5, R
6 are H, Q is Q-16 as defined in Table B, and G is as defined in Table A. Table C-47: This table provides 20 compounds C-47.01 to C-47.20 of formula (I) wherein R
2, R
5, R
6 are H, R
4 is CH3, Q is Q-16 as defined in Table B, and G is as defined in Table A. Table C-48: This table provides 20 compounds C-48.01 to C-48.20 of formula (I) wherein R
5, R
6 are H, R
2 and R
4 are CH3, Q is Q-16 as defined in Table B, and G is as defined in Table A. Table C-49: This table provides 20 compounds C-49.01 to C-49.20 of formula (I) wherein R
2, R
4, R
5, R
6 are H, Q is Q-i7 as defined in Table B, and G is as defined in Table A. Table C-50: This table provides 20 compounds C-50.01 to C-50.20 of formula (I) wherein R
2, R
5, R
6 are H, R
4 is CH3, Q is Q-17 as defined in Table B, and G is as defined in Table A. Table C-51: This table provides 20 compounds C-51.01 to C-51.20 of formula (I) wherein R
5, R
6 are H, R
2 and R
4 are CH3, Q is Q-17 as defined in Table B, and G is as defined in Table A. Table C-52: This table provides 20 compounds C-52.01 to C-52.20 of formula (I) wherein R
2, R
4, R
5, R
6 are H, Q is Q-18 as defined in Table B, and G is as defined in Table A. Table C-53: This table provides 20 compounds C-53.01 to C-53.20 of formula (I) wherein R
2, R
5, R
6 are H, R
4 is CH3, Q is Q-18 as defined in Table B, and G is as defined in Table A. Table C-54: This table provides 20 compounds C-54.01 to C-54.20 of formula (I) wherein R
5, R
6 are H, R
2 and R
4 are CH3, Q is Q-18 as defined in Table B, and G is as defined in Table A. Table C-55: This table provides 20 compounds C-55.01 to C-55.20 of formula (I) wherein R
2, R
4, R
5, R
6 are H, Q is Q-19 as defined in Table B, and G is as defined in Table A. Table C-56: This table provides 20 compounds C-56.01 to C-56.20 of formula (I) wherein R
2, R
5, R
6 are H, R
4 is CH3, Q is Q-19 as defined in Table B, and G is as defined in Table A. Table C-57: This table provides 20 compounds C-57.01 to C-57.20 of formula (I) wherein R
5, R
6 are H, R
2 and R
4 are CH3, Q is Q-19 as defined in Table B, and G is as defined in Table A. Table C-58: This table provides 20 compounds C-58.01 to C-58.20 of formula (I) wherein R
2, R
4, R
5, R
6 are H, Q is Q-20 as defined in Table B, and G is as defined in Table A. Table C-59: This table provides 20 compounds C-59.01 to C-59.20 of formula (I) wherein R
2, R
5, R
6 are H, R
4 is CH3, Q is Q-20 as defined in Table B, and G is as defined in Table A. For example, compound C-59.13 has the following structure:  82802_FF 63 compound C-59.13
 20 compounds C-60.01 to C-60.20 of formula (I) wherein R
5, R
6 are H, R
2 and R
4 are CH3, Q is Q-20 as defined in Table B, and G is as defined in Table A. EXAMPLES The Examples which follow serve to illustrate the invention and are not meant in any way to limit the invention. The compounds of the invention can be distinguished from known compounds by virtue of greater efficacy at low application rates, which can be verified by a person skilled in the art using the experimental procedures outlined in the Examples, using lower application rates, if necessary, for example 60 ppm, 20 ppm or 2 ppm. Compounds of formula (I) may possess any number of benefits including, inter alia, advantageous levels of biological activity for protecting plants against diseases that are caused by fungi or superior properties for use as agrochemical active ingredients (for example, greater biological activity, an advantageous spectrum of activity, an increased safety profile (including improved crop tolerance), improved physico-chemical properties, or increased biodegradability). FORMULATION EXAMPLES Wettable powders a) b) c) active ingredients 25 % 50 % 75 % sodium lignosulfonate 5 % 5 % - sodium lauryl sulfate 3 % - 5 % sodium diisobutylnaphthalenesulfonate - 6 % 10 % phenol polyethylene glycol ether (7-8 mol of ethylene oxide) - 2 % - highly dispersed silicic acid 5 % 10 % 10 % Kaolin 62 % 27 % - The combination is thoroughly mixed with the adjuvants and the mixture is thoroughly ground in a suitable mill, affording wettable powders that can be diluted with water to give suspensions of the desired concentration. Powders for dry seed treatment a) b) c) active ingredients 25 % 50 % 75 % light mineral oil 5 % 5 % 5 % highly dispersed silicic acid 5 % 5 % - Kaolin 65 % 40 % - 82802_FF 64 Talcum - - 20 % The combination is thoroughly mixed with the adjuvants and the mixture is thoroughly ground in a suitable mill, affording powders that can be used directly for seed treatment. Emulsifiable concentrate active ingredients 10 % octylphenol polyethylene glycol ether (4-5 mol of ethylene oxide) 3 % calcium dodecylbenzene sulfonate 3 % castor oil polyglycol ether (35 mol of ethylene oxide) 4 % Cyclohexanone 30 % xylene mixture 50 % Emulsions of any required dilution, which can be used in plant protection, can be obtained from this concentrate by dilution with water. Dusts a) b) c) Active ingredients 5 % 6 % 4 % Talcum 95 % - - Kaolin - 94 % - mineral filler - - 96 % Ready-for-use dusts are obtained by mixing the combination with the carrier and grinding the mixture in a suitable mill. Such dusts can also be used for dry dressings for seed. Extruder granules Active ingredients 15 % sodium lignosulfonate 2 % carboxymethylcellulose 1 % Kaolin 82 % The combination is mixed and ground with the adjuvants, and the mixture is moistened with water. The mixture is extruded and then dried in a stream of air. Coated granules Active ingredients 8% polyethylene glycol (mol. wt.200) 3 % Kaolin 89 % The finely ground combination is uniformly applied, in a mixer, to the kaolin moistened with polyethylene glycol. Non-dusty coated granules are obtained in this manner. Suspension concentrate active ingredients 40 % propylene glycol 10 % 82802_FF 65 nonylphenol polyethylene glycol ether (15 mol of ethylene oxide) 6 % Sodium lignosulfonate 10 % carboxymethylcellulose 1 % silicone oil (in the form of a 75 % emulsion in water) 1 % Water 32 % The finely ground combination is intimately mixed with the adjuvants, giving a suspension concentrate from which suspensions of any desired dilution can be obtained by dilution with water. Using such dilutions, living plants as well as plant propagation material can be treated and protected against infestation by microorganisms, by spraying, pouring or immersion. Flowable concentrate for seed treatment active ingredients 40 % propylene glycol 5 % copolymer butanol PO/EO 2 % Tristyrenephenole with 10-20 moles EO 2 % 1,2-benzisothiazolin-3-one (in the form of a 20% solution in water) 0.5 % monoazo-pigment calcium salt 5 % Silicone oil (in the form of a 75 % emulsion in water) 0.2 % Water 45.3 % The finely ground combination is intimately mixed with the adjuvants, giving a flowable concentrate from which solutions of any desired dilution can be obtained by dilution with water, that can be used directly for seed treatment. Using such solutions, living plants as well as plant propagation material can be treated and protected against infestation by microorganisms, by spraying, pouring or immersion. Slow Release Capsule Suspension 28 parts of the combination are mixed with 2 parts of an aromatic solvent and 7 parts of toluene diisocyanate/polymethylene-polyphenylisocyanate-mixture (8:1). This mixture is emulsified in a mixture of 1.2 parts of polyvinylalcohol, 0.05 parts of a defoamer and 51.6 parts of water until the desired particle size is achieved. To this emulsion a mixture of 2.8 parts 1,6-diaminohexane in 5.3 parts of water is added. The mixture is agitated until the polymerization reaction is completed. The obtained capsule suspension is stabilized by adding 0.25 parts of a thickener and 3 parts of a dispersing agent. The capsule suspension formulation contains 28% of the active ingredients. The medium capsule diameter is 8-15 microns. The resulting formulation is applied to seeds as an aqueous suspension in an apparatus suitable for that purpose. Formulation types include an emulsion concentrate (EC), a suspension concentrate (SC), a suspo-emulsion (SE), a capsule suspension (CS), a water dispersible granule (WG), an emulsifiable granule (EG), an emulsion, water in oil (EO), an emulsion, oil in water (EW), a micro-emulsion (ME), an oil dispersion (OD), an oil miscible flowable (OF), an oil miscible liquid (OL), a soluble concentrate (SL), an ultra-low volume suspension (SU), an ultra-low volume liquid (UL), a technical concentrate (TK), a dispersible concentrate (DC), a wettable powder 82802_FF 66 (WP), a soluble granule (SG) or any technically feasible formulation in combination with agriculturally acceptable adjuvants. ABBREVIATIONS CDCl3 deuterated chloroform conc. concentrated DABCO 1,4-diazabicyclo[2.2.2]octane, also known as triethylenediamine or TEDA DCC dicyclohexyl carbodiimide DCM dichloromethane DIBAL-H Diisobutylaluminiumhydrid DIPEA Diisopropylethylamine (N,N-Diisopropylethylamine) DMF dimethylformamide (N,N-dimethylformamide) DMSO dimethyl sulfoxide DMSO-d6 deuterated Dimethyl sulfoxide EDC 1-ethyl-3-(3-dimethylaminopropyl)carbodiimide equiv. equivalent Et3N triethylamine (or TEA) EtOAc ethyl acetate HATU 1-[bis(dimethylamino)methylene]-1H-1,2,3-triazolo[4,5-b]pyridinium 3-oxide hexafluorophosphate HCl hydrochloric acid h/hrs hour (s) LCMS Liquid Chromatography Mass Spectrometry rh relative humidity rt room temperature RT retention time ssp. subspecies TBME methyl tert-butyl ether or tert-butyl methyl ether THF tetrahydrofuran TLC thin layer chromatography TMS tetramethylsilan T3P propylphosphonic anhydride, a reactive n-propyl phosphonic acid cyclic anhydride PREPARATION EXAMPLES The compounds of formula (I) according to the invention may be prepared using the synthetic techniques described both above and below.
1H NMR and
19F NMR measurements were recorded on a Bruker 400MHz spectrometer, chemical shifts are given in ppm relevant to a TMS (
1H) and CFCl3 (
19F) standard. Spectra measured in deuterated solvents as  82802_FF 67 indicated. Either one of the LCMS methods below was used to characterize the compounds. The characteristic LCMS values obtained for each compound were the retention time (“Rt”, recorded in minutes) and the measured molecular ion [M+H]
+ or [M-H]-. Throughout this description, temperatures are given in degrees Celsius (°C) and “m.p.” means melting point. Free radicals represent methyl groups. LC/MS or LC-MS or LCMS means Liquid Chromatography Mass Spectroscopy and the description of the apparatus, and the methods is as follows. Method A (LCMS): Spectra were recorded on a ACQUITY Mass Spectrometer from Waters Corporations (SQD or SQDII quadrupole mass spectrometer) equipped with an electrospray source (Polarity: positive or negative ions, Capillary: 3.0 kV, Cone: 30V, Extractor: 3.00 V, Source Temperature: 150°C, Desolvation Temperature: 400°C, Cone Gas Flow: 60 L/hr, Desolvation Gas Flow: 700 L/hr, Mass range: 140 to 800 Da) and an ACQUITY UPLC from Waters Corporations with solvent degasser, binary pump, heated column compartment and diode-array detector. Column: Waters UPLC HSS T3, 1.8 µm, 30 x 2.1 mm, Temp: 60 °C, DAD Wavelength range (nm): 210 to 400, Solvent Gradient: A = Water/Methanol 9:1 + 0.1% formic acid, B= Acetonitrile + 0.1% formic acid, gradient: 0-100% B in 3.0 min; Flow (ml/min) 0.75. Method B (LCMS): Spectra were recorded on a Mass Spectrometer from Waters (Acquity QDa Mass with an electrospray source (Polarity: Positive and Negative Polarity Switch), Capillary: 0.8 kV, range: 25 V, Extractor: V (No extractor voltage for Qda detector) Source Temperature: 120°C, Desolvation Temperature: 600°C, Cone Gas Flow: 50 L/h, Desolvation Gas Flow: 1000 L/h, Mass range: 110 to 850 Da) and an Acquity UPLC from Waters: Quaternary solvent manager, heated column compartment, diode-array detector. Column: Acquity UPLC HSS T3 C18, 1.8 µm, 30 x 2.1 mm, Temp: 40 °C, DAD Wavelength range (nm): 200 to 400, Solvent Gradient: A = water + 5% Acetonitrile + 0.1 % HCOOH, B= Acetonitrile + 0.05 % HCOOH: gradient: 0 min 10% B; 0.-0.2 min 10-50% B; 0.2-0.6 min 50-100% B; 0.6-1.3 min 100% B; 1.3-1.4 min 100-10% B; 1.4-1.6 min 10% B; Flow (mL/min) 0.6. Method C (LCMS): Spectra were recorded on a Mass Spectrometer from Agilent Technologies (MSD-IQ mass with an electrospray source (Polarity: positive or negative ions, MS2 Scan, Capillary:

 110 V, Desolvation Temperature: 325°C, Gas Flow: 13 L/min, Nebulizer Gas: 55 psi, Mass range: 110 to 850 Da) and a 1290 Series HPLC from Agilent: quaternary pump, heated column compartment and diode-array detector. Column: AGILENT POROSHELL 120 EC-C18, 1.9 µm, 50 x 2.1 mm, Temp: 40 °C, DAD Wavelength range (nm): 190 to 400, Solvent Gradient: A = water + 5% Acetonitrile + 0.1 % HCOOH, B= Acetonitrile + 0.1 % HCOOH: gradient: 0-0.5 min 10% B, 90%A; 1.2-1.5 min 95% B, 05 %A; 1.8-2.5 min 10%B, 90%A; Flow (mL/min) 0.8 Method D (LCMS): Spectra were recorded on a Mass Spectrometer from Waters (SQD2 or QDA Single spectrometer) equipped with an electrospray source (Polarity: Positive and Negative Polarity Switch), 0.8-3.00 kV, Cone range: 25 Source Temperature: 120-150°C, Desolvation Temperature: 500-600°C, Cone Gas Flow: 50 L/h, Desolvation Gas Flow: 1000 L/h, Mass range: 110 to 850 Da) and an  82802_FF 68 Acquity UPLC from Waters: Quaternary solvent manager, heated column compartment, diode-array detector. Column: Acquity UPLC HSS T3 C18, 1.8 µm, 30 x 2.1 mm, Temp: 40 °C, DAD Wavelength range (nm): 200 to 400, Solvent Gradient: A = water + 5% Acetonitrile + 0.1 % HCOOH, B= Acetonitrile + 0.05 % HCOOH: gradient: 0 min 10% B; 0.-0.2 min 10-50% B; 0.2-0.6 min 50-100% B; 0.6-1.3 min 100% B; 1.3-1.4 min 100-10% B; 1.4- 1.6 min 10% B; Flow (mL/min) 0.6. Method E (LCMS): Spectra were recorded on a Mass Spectrometer from Waters (SQD, SQDII Single spectrometer) equipped with an electrospray source (Polarity: positive and negative ions, Capillary: Cone range: 30 V, Extractor: 2.00 V, Source Temperature: 150°C, Desolvation Temperature: 350°C, Cone Gas Flow: 50 l/h, Desolvation Gas Flow: 650 l/h, Mass range: 100 to 900 Da) and an Acquity UPLC from Waters: Binary pump, heated column compartment, diode-array detector and ELSD detector. Column: Waters UPLC HSS T3, 1.8 m, 30 x 2.1 mm, Temp: 60 °C, DAD Wavelength range (nm): 210 to 500, Solvent Gradient: A = water + 5% MeOH + 0.05 % HCOOH, B= Acetonitrile + 0.05 % HCOOH, gradient: 10- 100% B in 1.2 min; Flow (ml/min) 0.85 PREPARATION EXAMPLES Example P1: Preparation of N-[2-(4-cyclopropylthiazol-2-yl)-2-(1-methylpyrazol-4-yl)propyl]-1-(2,4- difluorophenyl)triazole-4-carboxamide (compound P-2, table P) Compound P-2, Table P

 4-yl)propane nitrile
 1h-pyrazol-4-yl)acetonitrile (CAS: 754159-15-4, 10.00 g, 78.42 mmol) was dissolved in THF (314 mL) under argon and the pale-yellow solution was cooled to -78°C. To this solution was added dropwise n-butyl lithium (31 mL, 78.42 mmol) and the resulting pale brown suspension was stirred at this temperature for 25 minutes. After this time, iodomethane (11.24 g, 4.93 mL, 78.42 mmol) was added dropwise. The resulting brown solution was stirred at -78°C for 5 minutes, allowed to warm to rt and stirred for 30 minutes under argon. The reaction mixture was poured into water and extracted twice with EtOAc. The combined organic layers were washed once with brine, dried over anhydrous sodium sulfate, filtered, and concentrated in vacuo to give 2-(1-methylpyrazol-4-yl)propanenitrile as a light brown liquid.  82802_FF 69 LC/MS (Method E); RT = 0.43 min, 136 [M+H],
1H NMR (400 MHz, CDCl3) δ ppm 1.64 (d, J=6.90 Hz, 3 H) 3.86 - 3.93 (m, 4 H) 7.40 (s, 1 H) 7.46 (s, 1 H). Step 2: Preparation of 2-(4-cyclopropylthiazol-2-yl)-2-(1-methylpyrazol-4-yl)propanenitrile
 in ethanol (10Ml) was treated with sodium thiocyanate (1.0g, 12.3mmol) and stirred at rt, monitoring by TLC. Upon reaction completion, the suspension was filtered, the filter cake washed with EtOH, and the filtrate concentrated in vacuo. The residue was diluted with water and extracted with t-butyl methyl ether, The combined organic layers were washed successively with water and brine, dried over anhydrous Na2SO4, filtered, and concentrated in vacuo to give the title compound as a brown oil which was used as such for the next step. 1H NMR (400 MHz, CDCl3) δ ppm 4.21 (s, 2 H) 4.05 (s, 1 H) 2.03 - 2.10 (m, 1 H) 1.04 - 1.16 (m, 2H) 0.88 (br s, 2 H) Step 2Ab: Preparation of 2-chloro-4-cyclopropyl-thiazole

 2-oxo-ethyl) thiocyanate (1.17 g, 7.96 mmol) was treated with hydrogen chloride in Dioxane (11.7 mL, 12.3 g, 47 mmol) at 5 °C. The reaction mixture was allowed to warm to rt and stirred for 12 hr. The reaction mixture was poured onto ice and neutralised with saturated aqueous NaHCO3. The reaction mixture was extracted with EtOAc (3X15mL), and the combined organic layers dried over anhydrous Na2SO4, filtered, and concentrated in vacuo to give the crude product. This was purified by CombiFlash chromatography eluting with cyclohexane: EtOAc to the title compound as a yellow liquid. LCMS (Method B): RT = 1.16 min, 160.0 [M+H] Step 2Ac: Preparation of 2-(4-cyclopropylthiazol-2-yl)-2-(1-methylpyrazol-4-yl)propanenitrile A solution of 2-(1-methylpyrazol-4-yl)propanenitrile (5 g, 37 mmol) in THF (50 mL) was cooled to -78°C under nitrogen. To this mixture was added n-butyllithium (22 mL, 44.38 mmol, 2.0 mol/L in hexane), dropwise, at -  82802_FF 70 78°C. The resulting pale green suspension was stirred at this temperature for 10 minutes and then treated portion wise with 2-chloro-4-cyclopropyl-thiazole (5.9 g, 36.99 mmol). The resulting green suspension was stirred at -78°C for 5 minutes, and then allowed to warm to rt. After stirring at ambient temperature for 16 hr, LCMS showed reaction completion. The reaction mixture was slowly quenched with aqueous NH4Cl at 0° C and then poured into water (50 mL). This mixture was extracted with EtOAc (2X100 mL), and the combined organic layers washed once with brine (50 mL), dried over anhydrous Na2SO4, filtered and concentrated in vacuo. The crude compound was purified by CombiFlash chromatography eluting EtOAc/cyclohexane (10- 60%) to afford the title compound as a pale oil. LCMS (Method B): RT = 1.08 min, 259.1 [M+H] Method B: Step 2Ba: Preparation of 2-(4-bromothiazol-2-yl)-2-(1-methylpyrazol-4-yl)propanenitrile ,

 and water (0.67 mL) was added cyclopropylboronic acid (0.254 g, 2.96 mmol) and cesium carbonate (1.754 g, 5.38 mmol). The reaction mixture was purged with nitrogen for 10 min and then treated with Pd(dppf)Cl2 · CH2Cl2 (0.111 g, 0.1346 mmol). The resulting reaction mixture was stirred at 80 °C for 6 hours, monitoring by LCMS. Upon reaction completion, the reaction mixture was quenched with water (20 mL) and filtered over celite. The filtrate was extracted with EtOAc (2 X 30 mL) and the combined organic layers dried over anhydrous Na2SO4 and concentrated in vacuo. The crude product was adsorbed on silica gel and purified by normal phase column chromatography using (0-50% EtOAc in cyclohexane) to obtain the pure title compound. LCMS:- (Method B): RT = 1.09 min, 259.1 [M+H];
1H NMR (400 MHz, CDCl3) δ ppm 7.54 (d, J=0.73 Hz, 1 H), 7.50 (s, 1 H), 6.79 (s, 1 H), 3.92 (s, 3 H), 2.14 (s, 3 H),1.98 - 2.05 (m, 1 H), 0.93 (br d, J=18.71 Hz, 4 H) Step 3: Preparation of 2-(4-cyclopropylthiazol-2-yl)-2-(1-methylpyrazol-4-yl)propan-1-amine

  82802_FF 71 To a stirred solution of 2-(4-cyclopropylthiazol-2-yl)-2-(1-methylpyrazol-4-yl)propanenitrile (1.32 g, 5.11 mmol) in THF (15.3 mL) was added borane;methylsulfanylmethane (7.7 mL, 15.3 mmol) dropwise at rt under a nitrogen atmosphere. The resulting reaction mixture was stirred at 60 °C for 6 hr, monitoring by LCMS. Upon reaction completion, the mixture was cooled to 0°C and treated dropwise with hydrochloric acid (3.42 mL, 20.5 mmol, strong gas evolution!). The mixture was then stirred at 60 °C for 1 hr. After allowing it to cool to rt, the reaction mixture was carefully treated with 6N NaOH until the mixture reached ca. pH 12. The reaction mixture was extracted with EtOAc (3X30 mL), and the combined organic layers were washed once with brine, dried over and concentrated in vacuo to afford 2-(4-cyclopropylthiazol-2-yl)-2-(1-methylpyrazol-4-yl)propan-1-amine as a pale brown oil. LCMS (Method B): RT = 0.89 min, 263.1 [M+H] Step 4: Preparation of methyl 1-(2,4-difluorophenyl)triazole-4-carboxylate:

 mmol) in methanol (3.6 mL) was treated successively with anhydrous copper(II)sulphate (0.053 g, 0.33 mmol), a solution of sodium ascorbate (0.46 g, 2.3 mmol) in water (3.6 mL), and then methyl prop-2-ynoate (0.14 g, 0.14 mL, 1.7 mmol). The reddish reaction mixture was stirred for 2 days at rt monitoring by LCMS. Upon reaction completion, the reaction mixture was concentrated in vacuo, and the residue taken up in water and EtOAc. The organic layer was separated, washed with brine, and the separated organic layer dried over anhydrous MgSO4, filtered, and concentrated in vacuo. The crude product was purified over a silica gel cartridge (Rf200), eluting with cyclohexane/EtOAc, to give the title compound as a white solid. LCMS (Method B): RT = 0.79 min, 240 [M+H];
1H NMR (400 MHz, CDCl3) δ ppm; 8.59 (d, J=2.57 Hz, 1 H), 7.96 - 8.05 (m, 1 H), 7.09 - 7.17 (m, 2 H), 4.02 (s, 3 H) Step 5: Preparation of 1-(2,4-difluorophenyl)triazole-4-carboxylic acid
 triazole-4-carboxylate (0.31 g, 1.3 mmol) in THF (6.5 mL) and water (3.2 mL) was treated with lithium hydroxide monohydrate (0.047 g, 1.9 mmol), and the mixture was stirred at rt. After 3 hr, LCMS shows desired mass and consumption of starting material. The THF was evaporated in vacuo, and the remaining aqueous residue acidified with 2N HCl (ca. 0.5 mL).The resulting lightly red suspension was filtered, the white cake washed with water and cyclohexane and dried in vacuo at 55°C to give 1-(2,4-difluorophenyl)triazole-4-carboxylic acid as white solid.  82802_FF 72 LCMS (Method B): RT = 0.63 min, RT = 0.79 min;
1H NMR (400 MHz, DMSO-d6) δ ppm 7.27 - 7.52 (m, 1 H), 7.73 (ddd, J=11.10, 8.71, 2.57 Hz, 1 H), 7.95 (td, J=8.80, 5.87 Hz, 1 H), 9.15 (d, J=1.47 Hz, 1 H), 13.26-13.60 (bs,1H). Step 6: Preparation of N-[2-(4-cyclopropylthiazol-2-yl)-2-(1-methylpyrazol-4-yl)propyl]-1-(2,4-difluorophenyl)
 1-(2,4-difluorophenyl)


 (1.5eq, 0.6mmol) was dissolved in 1.5mL N,N- Dimethylacetamide. The solution was treated with DIPEA (6eq., 2.4mmol), and stirred for 10 min at rt. To this was added 2-(4-cyclopropylthiazol-2-yl)-2-(1-methylpyrazol-4-yl)propan-1-amine (1eq. 0.04mmol) and O-(7- Azabenzotriazol-1-yl)-N,N,N',N'-tetramethyluronium Hexafluorophosphate (2eq., 0.8mmol) and the reaction mixture stirred at rt for 8 hr. The crude sample was transferred into a well in a 24 DeepWell plate, diluted with 1.5mL MeOH and then purified by reverse phase preparative HPLC.50mL Flow purification (2 injections per samples). All fractions were analyzed by UPLC-MS (aliquoting of 50µL and dilution in 100µL of acetonitrile), then concentrated and concentrated in vacuo. The fractions which contained desired product were dissolved in acetonitrile and transferred into final destination vessel. A last quality control of the product was performed before being concentrated by evaporation (aliquoting of 10µL and dilution in 100µL of acetonitrile). The expected mass was confirmed by UPLC-MS (Method A) LCMS (Method A): RT = 1.58 min, 470.2 [M+H]; Example P2: Preparation of N-[2-(2-bromothiazol-4-yl)-2-(1-methylpyrazol-4-yl)propyl]-2-(2,4-difluorophenyl)- tetrazole-5-carboxamide (Compound P-4, table P) P

 10.7 mmol) in ethanol (40 mL) was treated with ethyl 2-oxoacetate (2.63 g, 12.8 mmol) at rt. The reaction mixture was stirred for 1 hr and the ethanol removed by concentration in vacuo. The residue obtained was diluted with water and extracted with EtOAc. The organic phase was separated, and the solvent was evaporated in vacuo to afford ethyl (2E)-2-(p- tolylsulfonylhydrazono)acetate which was used as such for next step.  82802_FF 73 LCMS (Method B): RT = 1.06 min, 271 [M+H];
1H NMR (400 MHz, CDCl3) δ ppm 9.31 (s, 1 H), 7.85 (d, J=8.31 Hz, 2 H), 7.34 (d, J=8.07 Hz, 2 H), 7.23 (s, 1 H), 4.27 (q, J=7.09 Hz, 2 H), 2.44 (s, 3 H) 1.23 - 1.37 (m, 3 H). Step 2: Preparation of ethyl 2-(2,4-difluorophenyl)tetrazole-5-carboxylate

 g, 7.74 mmol) in a solution of 6M hydrochloric acid in deionized water (6 mL, 36 mmol) and ethanol (5 mL) was cooled to 0 °C. To this solution was added sodium nitrite (0.64 g, 9.29 mmol) and the resulting solution stirred for 1 hr, and then added dropwise to a solution of ethyl (2E)-2-(p- tolylsulfonylhydrazono) acetate (2.3 g, 8.51 mmol) in pyridine (20 mL) at -20°C. The reaction mixture was slowly allowed to warm to rt and then stirred for 5 hours. The resulting mixture was diluted with 1N HCl and the aqueous layer was extracted with EtOAc (X3). The combined organic layers were dried over anhydrous Na2SO4 and concentrated in vacuo to give the crude product which was purified by column chromatography eluting with 30% EtOAc in hexane to give ethyl 2-(2,4-difluorophenyl) tetrazole-5-carboxylate as a reddish oil. 1H NMR (400 MHz, CDCl3) δ ppm 7.86 - 7.94 (m, 1 H), 7.11 - 7.21 (m, 2 H), 4.60 (q, J=7.21 Hz, 2 H), 1.51 (t, J=7.13 Hz, 3 H) Step 3: Preparation of 2-(2,4-difluorophenyl)tetrazole-5-carboxylic acid

 2-(2,4-difluorophenyl)tetrazole-5-carboxylate (1g, 3.93mmol) in THF (10 mL) and water (5 mL) was added lithium hydroxide monohydrate (0.376 mg, 15.736 mmol) and the resulting mixture was stirred at rt for 30 min. After reaction completion, the mixture was cooled and acidified 2N HCl aq solution. The aqueous layer was extracted with EtOAc (X3), and the combined organic layers dried over anhydrous Na2SO4 and concentrated in vacuo to give the title compound as solid. LCMS (Method B): RT = 0.35 min, 227.1[M+H];
1H NMR (400 MHz, DMSO-d6) δ ppm 8.06 - 8.13 (m, 1 H) 7.80 (ddd, J=11.13, 8.80, 2.69 Hz, 1 H) 7.42 - 7.49 (m, 1 H) 2.48 - 2.52 (m, 5 H) Step 4: Preparation of (2-bromothiazol-4-yl)-(1-methylpyrazol-4-yl)methanol

 in THF (40 mL) was cooled to 0 °C and treated dropwise with isopropyl magnesium chloride lithium chloride complex solution (1.3 mol/L) in  82802_FF 74 THF (11 mL, 14.4 mmol). After stirring for 30 min at 0°C, a solution of 2-bromothiazole-4-carbaldehyde (CAS: [5198-80-1], 2.77 g, 14.4 mmol) in THF(5 mL) was added and the reaction mixture was then allowed to warm to rt for and stirred for 1 hr (reaction complete after this time as shown by LCMS analysis). The reaction mixture was quenched with sat. aqueous solution of NH4Cl (40 ml), diluted with water and extracted with EtOAc (50mL x 2). The combined organic layers were washed with brine, dried over anhydrous Na2SO4, and concentrated in vacuo to give the title compound as a solid. LCMS (Method B): rt: = 0.40 min, 273.1 [M+H] Step 5: Preparation of 2-(2-bromothiazol-4-yl)-2-(1-methylpyrazol-4-yl)acetonitrile

 in acetonitrile (48 mL) was treated with lithium carbonate (0.12g, 1.6 mmol), trimethylsilyl cyanide (4.9 mL, 36 mmol) and iodine (3.7 g, 14 mmol) at rt. The resulting mixture was stirred at 60 °C for 4 hours and then cooled to rt and poured into aqueous sat. sodium thiosulphate solution. The mixture was extracted with EtOAc (2X80mL), and the combined organic layers washed with brine, dried over anhydrous Na2SO4 and concentrated in vacuo to afford the crude product. The crude product was purified by silica gel column chromatography using 0-40% EtOAc in cyclohexane as eluent to afford the title compound. LCMS (Method B): RT = 1.02 min, 282 [M+H]; Step 6: Preparation of 2-(2-bromothiazol-4-yl)-2-(1-methylpyrazol-4-yl)propanenitrile

 mmol) in THF (14 mL) was cooled to -78°C under argon and treated dropwise with sodium bis(trimethylsilyl)amide (1.0 mol/L) in THF (5.1 mL, 5.1 mmol). The resulting suspension was stirred at this temperature for 25 minutes and then treated with iodomethane (0.31 mL, 5.1 mmol). The resulting solution was stirred at -78°C for 5 minutes, allowed to warm to rt and then stirred for a further 30 minutes. The reaction mixture was then cooled to 0 °C and quenched with aq. NH4Cl (20 ml). The mixture was extracted with EtOAc (2 x 30 ml), the combined organic phases dried over anhydrous Na2SO4, filtered, and concentrated in vacuo. The crude product was purified by silica gel column chromatography using 0-20% EtOAc in cyclohexane as an eluent to obtain the title compound. LCMS (Method B): RT =1.02 min, 296 [M+H]; 82802_FF 75 Step 7: Preparation of 2-(2-bromothiazol-4-yl)-2-(1-methylpyrazol-4-yl)propan-1-amine

 bromothiazol-4-yl)-2-(1-methylpyrazol-4-yl)propanenitrile (2 mmol, 0.5 g) in dichloromethane (20 mL) was added DIBAL-H (1.0 mol/L) in toluene (5 mL, 5 mmol) at 0°C and stirred for 5 min. Then this mixture was added to a suspension of sodium borohydride (0.3 g, 7 mmol) in THF (8 mL) and methanol (20 mL) at 0 °C and slowly allow to stir at rt for 1 h. After completion of reaction, reaction mixture was quenched with saturated aqueous ammonium chloride (20 mL) and stirred continued for 30 min, aqueous solution of 10% NaOH (10 mL) was added, and the mixture was extracted with dichloromethane (25 ml x 2). The combined organic layers were washed with brine, dried over anhydrous Na2SO4, filtered, and concentrated in vacuo to give 2-(2-bromothiazol-4-yl)-2-(1-methylpyrazol-4-yl)propan-1-amine as a brown oil. LCMS (Method B): RT = 0.21 min, 301 [M+H] Step 8: Preparation of N-[2-(2-bromothiazol-4-yl)-2-(1-methylpyrazol-4-yl)propyl]-2-(2,4- difluorophenyl)tetrazole-5-carboxamide (compound P-4, table P) In a dry 50 mL RBF equipped with nitrogen inlet, 2-(2,4-difluorophenyl)tetrazole-5-carboxylic acid (0.06 g, 0.3 mmol) and 2-(2-bromothiazol-4-yl)-2-(1-methylpyrazol-4-yl)propan-1-amine (0.09 g, 0.2 mmol, 80 mass%) were suspended in EtOAc (1 mL). To this mixture were added DIPEA (0.1 mL, 0.7 mmol) and T3P (50 mass%) in EtOAc (0.4 mL, 0.7 mmol, 50 mass%) at 0 °C and the reaction mixture was stirred at rt for 3 hrs. The progress of the reaction was monitored by LCMS and TLC. After the completion of the reaction, the reaction mixture was diluted with water (20 ml) and extracted with EtOAc (2 x 25 ml). The combined organic layer was washed with brine, dried over anhydrous Na2SO4 and concentrated under reduced pressure to obtain the crude. The crude product was absorbed over silica gel and purified by combi flash by using 0-60% EA in cyclohexane as an eluent to obtain the product as a dark brown gummy mass. LCMS (Method B): RT =1.10 min, 509 [M+H];
1H NMR (400 MHz, CDCl3) δ ppm 7.98 (br t, J=5.69 Hz, 1 H) 7.95 - 7.85 (m, 1 H) 7.40 (s, 1 H) 7.31 - 7.36 (m, 1 H) 7.19 - 7.09 (m, 2 H) 6.98 (s, 1 H) 4.17 - 4.10 (m, 1 H) 4.03 (br d, J=6.24 Hz, 1 H) 3.88 (s, 3 H) 1.74 (s, 3 H) Example P3: Preparation of N-[2-(4,5-dichlorothiazol-2-yl)-2-(1-methylpyrazol-4-yl)propyl]-2-(2,4- difluorophenyl)tetrazole-5-carboxamide (compound P-3, Table P)  82802_FF 76 compound P-3, Table P
 2-yl)-2-(1-methylpyrazol-4-yl)propanenitrile
 4-yl)propanenitrile (0.400 g, 2.96 mmol) in THF ( 12 mL) under was cooled to -78°C. A solution of N-butyllithium (1.2 mL, 2.6 mmol, 2.5 N in hexanes) was added dropwise and the resulting pale brown suspension was stirred at this temperature for 10 minutes before adding the 2,4,5-trichlorothiazole (CAS 50844-30-9, 0.558 g, 2.96 mmol). The resulting suspension was stirred at -78°C for 5 minutes, allowed to warm to rt and then stirred for 30 minutes under argon. The reaction mixture was poured into water and extracted twice with some EtOAc. Combined organic layers were washed once with brine, dried over anhydrous sodium sulfate, filtered, and concentrated under vacuum. The crude was purified by flash chromatography using EtOAc and cyclohexane as eluants to get the title compound. LCMS (Method E): RT = 0.95 min, 287 [M+H];
1H NMR (400 MHz, CDCl3) δ ppm 2.1 (s, 3 H) 3.9 (s, 3 H) 7.6 (d, J=3 Hz, 2 H) Step 2: Preparation of 2-(4,5-dichlorothiazol-2-yl)-2-(1-methylpyrazol-4-yl)propan-1-amine

 dichlorothiazol-2-yl)-2-(1-methylpyrazol-4-yl)propanenitrile (0.20 g, 0.70 mmol) and Cobalt dichloride (0.092 g, 0.70 mmol) in methanol (2.3 mL) at 0°C was added sodium borohydride (0.069 g, 1.7 mmol) in small portions (caution: vigorous reaction with hydrogen evolution!). The immediate formation of a black precipitate was observed, and the mixture was stirred for 1h at 0°C. After this time, 1M HCl was added until pH 3–4 and the mixture was extracted three times with DCM to remove the impurities. The extraction was difficult due to a persistent emulsion further DCM and brine were added to enhance the separation. The pH of the aqueous phase was adjusted to 10 with 2M NaOH and the mixture was extracted with DCM (large amount of DCM added to enhance once more the separation of both phase). The combined organic layers were washed with brine, dried over anhydrous Na2SO4, filtered and concentrated to give the title compound.  82802_FF 77 LCMS (Method E):), RT = 0.57 min, 291 [M+H] Step 3: Preparation of N-[2-(4,5-dichlorothiazol-2-yl)-2-(1-methylpyrazol-4-yl)propyl]-2-(2,4-difluorophenyl) tetrazole-5-carboxamide


 To a solution of 2-(2,4-difluorophenyl)tetrazole-5-carboxylic acid (0.155g, 0.69 mmol) in EtOAc (6.0 mL) was added 2-(4,5-dichlorothiazol-2-yl)-2-(1-methylpyrazol-4-yl)propan-1-amine (0.20 g, 0.69 mmol) at rt. To this mixture was added DIPEA (0.480 mL, 2.747 mmol) and 1-propanephosphonic anhydride (1.022 mL, 1.717 mmol) at 0 °C and the reaction mixture was stirred at rt for 16 h. After the completion of the reaction, the reaction mixture was diluted with water ( 10 mL) and extracted with EtOAc (2 X 20 mL). The combined organic layers were washed with brine (10 mL), dried over anhydrous Na2SO4, filtered and concentrated under reduced pressure to obtain the crude. The crude product was absorbed over silica gel and purified by CombiFlash by using 0-80% EtOAc in cyclohexane as an eluent to obtain the desired product N-[2-(4,5-dichlorothiazol-2-yl)- 2-(1-methylpyrazol-4-yl)propyl]-2-(2,4-difluorophenyl)tetrazole-5-carboxamide. LCMS (Method B): RT = 1.18 min, 499.0 [M+H];
1H NMR (400 MHz, CDCl3) δ ppm 8.05 (br t, J=6.07 Hz, 1 H), 7.87 - 7.95 (m, 1 H), 7.48 (s, 1 H), 7.42 (s, 1 H), 7.10 - 7.20 (m, 2 H), 4.09 - 4.20 (m, 2 H), 3.92 (s, 3 H), 1.82 (s, 3 H);
19F NMR (377 MHz, CDCl3) δ ppm -103.47 (s, 1 F), -103.49 (s, 1 F), -114.74 (s, 1 F), -114.76 (s, 1 F) Example P4: Preparation of N-[2-(4-bromothiazol-2-yl)-2-(1-methylpyrazol-4-yl)propyl]-2-(2,4-difluorophenyl)
 Compound P-12, Table P
 2-yl)-2-(1-methylpyrazol-4-yl)propan-1-amine
 as described in Step 2Ba, Example 1) was reduced to 2-(4-bromothiazol-2-yl)-2-(1-methylpyrazol-4-yl)propan-1-amine analogously to the method described in step 3, Example P1. LCMS (Method D) RT = 0.39 min, 302 [M+H]. Step 2: Preparation of N-[2-(4-bromothiazol-2-yl)-2-(1-methylpyrazol-4-yl)propyl]-2-(2,4-difluorophenyl)-
  82802_FF 78 The title compound was prepared by coupling 2-(4-bromothiazol-2-yl)-2-(1-methylpyrazol-4-yl)propan-1-amine with 2-(2,4-difluorophenyl)tetrazole-5-carboxylic acid (prepared as described in step 3, Example 2, using the general coupling conditions described in example P-1, step 6. LCMS (Method D), RT = 1.04 min, 509.2 [M+H];
1H NMR (400 MHz, CDCl3) δ ppm 8.26 (br t, J=6.13 Hz, 1 H), 7.87 - 7.97 (m, 1 H), 7.47 (s, 1 H), 7.40 (s, 1 H), 7.05 - 7.22 (m, 3 H), 4.16 (d, J=6.50 Hz, 2 H), 3.91 (s, 3 H), 1.85 (s, 3 H);
19F NMR (377 MHz, CDCl3) δ ppm -103.63 (s, 1 F), -114.67 (s, 1 F) Example P5: Preparation of N-[2-(4-cyanothiazol-2-yl)-2-(1-methylpyrazol-4-yl)propyl]-2-(2,4-difluorophenyl) tetrazole-5-carboxamide (Compound P-8, Table P) (Compound P-8, Table P)

 yl)-2-(1-methylpyrazol-4-yl)propyl]-2-(2,4-difluorophenyl)tetrazole-5- carboxamide (0.0500 g, 0.0982 mmol) and zinc cyanide (0.0235 g, 0.196 mmol) in DMF (0.491 mL) was degassed under nitrogen for 10 minutes and treated with tetrakis(triphenylphosphine)palladium (0.0115 g, 0.00982 mmol) and stirred in the microwave at 120°C for 2 hours. LCMS analysis after this time showed reaction completion. The mixture was diluted with water and extracted with EtOAc (X3). The combined organic layers were dried over anhydrous Na2SO4 and concentrated in vacuo. The crude compound was purified by CombiFlash using EtOAc in cyclohexane eluent, then further purified by reverse phase column using CH3CN in water as eluent to give the title compound. LCMS (Method D): RT = 1.03 min, 456.4 [M+H];
1H NMR (400 MHz, CDCl3) δ ppm 8.07 (br t, J=6.42 Hz, 1 H), 7.97 (s, 1 H), 7.90 (td, J=8.62, 5.62 Hz, 1 H), 7.44 (s, 1 H), 7.41 (s, 1 H), 7.09 - 7.18 (m, 2 H), 4.17 (dd, J=6.54, 2.63 Hz, 2 H), 3.91 (s, 3 H), 1.87 (s, 3 H);
19F NMR (377 MHz, CDCl3) δ ppm -103.45 (s, 1 F), -103.48 (s, 1 F), -114.74 (s, 1 F), -114.77 (s, 1 F) Example P6: Preparation of N-[2-(4-cyclopropylthiazol-2-yl)-2-(1-methylpyrazol-4-yl)propyl]-1-(3,5-difluoro-2- 4-carboxamide P)
 (Compound P-1, Table P)
  82802_FF 79 Step 1: Preparation of 2-azido-3,5-difluoro-pyridine
 2-amine (CAS: [732306-31-9], 500 mg, 3.84 mmol) in acetonitrile (15 mL), cooled to 0
oC and treated dropwise with tert-butyl nitrite (0.660 mL, 4.9962 mmol), followed by azidotrimethylsilane (0.593 mL, 4.4197 mmol). The resulting solution was allowed to warm to rt and stirred for 2 hr. The reaction mixture was diluted with water and extracted with diethyl ether (X3). The combined organic layers were washed with water and brine solution, dried over anhydrous Na2SO4 and concentrated in vacuo to give the title compound. Step 2: Preparation of methyl 1-(3,5-difluoro-2-pyridyl)triazole-4-carboxylate

 pyridine (5.5 g, 35 mmol) in methanol (66 mL) was stirred under nitrogen atmosphere and treated with anhydrous copper sulfate anhydrous (1.0 g, 6.3 mmol), water (66 mL), sodium ascorbate (8.8 g, 44 mmol) and methyl prop-2-ynoate (2.7 mL, 32 mmol). The reaction mixture was stirred at rt for 15 hours, whereupon TLC analysis showed reaction completion. The reaction mixture was concentrated in vacuo. The residue was dissolved in EtOAc and washed with water and brine. The organic layer was dried over anhydrous MgSO4, filtered, and concentrated in vacuo. The crude was product was purified by chromatography over silica gel to afford the title compound. LCMS (Method D): RT = 0.79 min, 241.1[M+H];
1H NMR (400 MHz, CDCl
3) δ ppm 8.80 (s, 1 H) 8.35 (d, J=2.32 Hz, 1 H) 7.60 (ddd, J=9.38, 7.24, 2.32 Hz, 1 H) 4.01 (s, 3 H) Step 3: Preparation of lithium;1-(3,5-difluoro-2-pyridyl)triazole-4-carboxylate
 difluoro-2-pyridyl)triazole-4-carboxylate (5.3 g, 22 mmol) in THF (55 mL) and water (22 mL) was added hydroxy lithium monohydrate (0.93 g, 22 mmol) at rt. The resulting reaction mixture was stirred at rt for 18 hr. After reaction completion, the organic solvent was removed in vacuo, and the compound dried by azeotropic drying with toluene. The title compound was obtained as a white solid.  82802_FF 80 LCMS; (Method B), RT = 0.43 min, 227.0 [M+H];
1H NMR (400 MHz, DMSO-d6) δ ppm 8.61 (d, J=2.50 Hz, 1 H), 8.52 (s, 1 H), 8.41 (ddd, J=10.35, 8.29, 2.50 Hz, 1 H);
19F NMR (377 MHz, DMSO-d6) δ ppm -122.05 (s, 1 F), -122.12 (s, 1 F) Step 4: Preparation of N-[2-(4-cyclopropylthiazol-2-yl)-2-(1-methylpyrazol-4-yl)propyl]-1-(3,5-difluoro-2- pyridyl)triazole-4-carboxamide (compound P-1, Table P) Prepared by reaction of lithium;1-(3,5-difluoro-2-pyridyl)triazole-4-carboxylate and 2-(4-cyclopropylthiazol-2- yl)-2-(1-methylpyrazol-4-yl)propan-1-amine analogously to the coupling method described in Example 1, step 6. LCMS (Method A) LCMS; RT = 1.45 min, 471.8 [M+H] Example P7: Preparation of N-[2-(4-bromothiazol-2-yl)-2-(1-methylpyrazol-4-yl)propyl]-2-(2,4-difluorophenyl) triazole-4-carboxamide (compound P-9, table P) compound P-9, table P
 hydrazono]-3-oxo-propanoate
 (4.00 g, 30.9 mmol) in water (32 mL) and hydrogen chloride (12 mL, 35%) was cooled to 0 °C and treated with sodium nitrite (2.56 g, 37.1 mmol) in water (32 mL). The mixture was stirred at 0 °C for 5 min. In a separate reaction vessel, a solution of ethyl 3-(dimethylamino)prop-2-enoate (12.0 g, 23.4 mmol) and potassium acetate (4.61 g, 46.4 mmol) in ethanol (40 mL) was cooled to 0 °C and then added to the above diazotized solution at 0 °C, The reaction mixture was allowed to warm to rt and stirred for 12hr. LCMS analysis after this time showed reaction completion. The reaction mixture was diluted with water and extracted with EtOAc (50 mL x 3). The combined organic layers were washed with brine, dried over anhydrous Na2SO4, and concentrated in vacuo to give the title compound which was used as such for the next step. LCMS (Method B): RT = 1.09 min, 257 [M+H] Step 2: Preparation of ethyl 2-[(2,4-difluorophenyl)hydrazono]-3-hydroxyimino-propanoate  82802_FF 81

 difluorophenyl)hydrazono]-3-oxo-propanoate (3.00 g, 5.85 mmol) in ethanol (30 mL) was added potassium acetate (1.45 g, 14.6 mmol) and hydroxylamine hydrochloride (0.49 g, 7.02 mmol). The reaction mixture was stirred for 2hr at 80°C whereupon LCMS analysis showed complete conversion to the desired product. The reaction mixture was cooled, diluted with water, and extracted with EtOAc (50 ml x 3). The combined organic layers were washed with brine, dried over anhydrous Na2SO4, and concentrated in vacuo to give the title compound which was used as such for the next step. LCMS (Method B): RT = 1.16 min, 272 [M+H] Step 3: Preparation of ethyl 2-(2,4-difluorophenyl)triazole-4-carboxylate
 (3.4 g, 6.3 mmol) in EtOAc (34 mL, 10mL/g) was stirred at 140 °C for 1 hr in a sealed vessel, monitoring by LCMS. Upon reaction completion the mixture was cooled, diluted with brine, and extracted with EtOAc. The organic layer was dried over anhydrous Na
2SO
4 and concentrated in vacuo. The crude product was purified by CombiFlash using EtOAc:cyclohexane as eluent (5:95) to afford ethyl 2-(2,4-difluorophenyl)triazole-4-carboxylate as brown solid. LCMS (Method D): RT = 1.19 min, [M+H] Step 4: Preparation of lithium;2-(2,4-difluorophenyl)triazole-4-carboxylate

 (0.10 g, 0.31 mmol) in THF (0.4 mL) and water (0.1 mL) was added lithium hydroxide (11.0 mg 0.47 mmol) and the reaction mixture stirred at rt for 3 hours. After completion of reaction, the reaction mixture was concentrated, the residue triturated with TBME and filtered. The filtered solid was dried in vacuo to give the tile compound as a white solid. LCMS (Method B): RT = 0.29 min, 224 [M-H] 82802_FF 82 Step 5: Preparation of N-[2-(4-bromothiazol-2-yl)-2-(1-methylpyrazol-4-yl)propyl]-2-(2,4-difluorophenyl)- triazole-4-carboxamide (compound P-9, table P) A suspension of lithium;2-(2,4-difluorophenyl)triazole-4-carboxylate (0.115 g, 0.4980 mmol) in EtOAc (4.5 mL) was treated with 2-(4-bromothiazol-2-yl)-2-(1-methylpyrazol-4-yl)propan-1-amine (0.150 g, 0.498 mmol), DIPEA (0.263 g, 0.348 ml, 1.99 mmol) and 1-propanephosphonic anhydride (0.792 g, 0.741 mL, 1.25 mmol) at 0 °C. The reaction mixture was allowed to warm to rt and stirred 16 hr. TLC and LCMS analysis after this time showed reaction completion. The reaction mixture was diluted with water (10 mL) and extracted with EtOAc (2 x 20 ml). The combined organic layers were washed with brine (10 ml), dried over anhydrous Na2SO4, filtered and concentrated in vacuo. The crude product was absorbed over silica gel and purified by CombiFlash using 0-80% EtOAc in cyclohexane as eluent to obtain the title product as a yellow gummy mass. LCMS (Method B): RT = 1.14 min, 508 [M+H];
1H NMR (400 MHz, CDCl3) δ ppm 8.39 (s, 1 H), 8.04 (br d, J=9.41 Hz, 1 H), 8.00 (d, J=7.27 Hz, 1 H), 7.55 (s, 1 H), 7.47 (s, 1 H), 7.36 (s, 1 H), 7.13 - 7.21 (m, 2 H), 4.15 (t, J=6.05 Hz, 2 H), 3.99 (s, 3 H), 1.91 (s, 3 H);
19F NMR (377 MHz, CDCl3) δ ppm -107.32 (s, 1 F), -107.34 (s, 1 F), -116.52 (s, 1 F), -116.54 (s, 1 F) Examples of synthesized compounds, with analytical data, of formula (I) are shown in Table P. Table P: Synthesized compounds and Spectral and Physical Chemical Data. ) d y
d r
tni ]er n IUPAC name Molecule
H+us )oh Em ( T
 a te RM[ e m
( M N-[2-(4-cyclopropylthiazol-2-yl)-2-(1- P-1 methylpyrazol-4-yl)propyl]-1-(3,5- 1.45 471.18 A difluoro-2-pyridyl)triazole-4- carboxamide N-[2-(4-cyclopropylthiazol-2-yl)-2-(1- methylpyrazol-4-yl)propyl]-1-(2,4- P-2 1.58 470.2 A difluorophenyl)triazole-4- carboxamide P-3 N-[2-(4,5-dichlorothiazol-2-yl)-2-(1- 1.19 499 B methylpyrazol-4-yl)propyl]-2-(2,4- 82802_FF 83 difluorophenyl)tetrazole-5- carboxamide N-[2-(2-bromothiazol-4-yl)-2-(1- P-4 methylpyrazol-4-yl)propyl]-2-(2,4- 1.10 509 B difluorophenyl)tetrazole-5- carboxamide N-[2-(4-cyclopropylthiazol-2-yl)-2-(1- P-5 methylpyrazol-4-yl)propyl]-2-(2,4- 1.14 471 B difluorophenyl)tetrazole-5- carboxamide N-[2-(4-chlorothiazol-2-yl)-2-(1- P-6 methylpyrazol-4-yl)propyl]-2-(2,4- 1.12 464 B difluorophenyl)triazole-4- carboxamide N-[2-(4-chlorothiazol-2-yl)-2-(1- P-7 methylpyrazol-4-yl)propyl]-1-(2,4- 1.01 464 B difluorophenyl)triazole-4- carboxamide N-[2-(4-cyanothiazol-2-yl)-2-(1- P-8 methylpyrazol-4-yl)propyl]-2-(2,4- 1.10 456 B difluorophenyl)tetrazole-5- carboxamide N-[2-(4-bromothiazol-2-yl)-2-(1- P-9 1.15 508 B methylpyrazol-4-yl)propyl]-2-(2,4- 82802_FF 84 difluorophenyl)triazole-4- carboxamide N-[2-(4-chlorothiazol-2-yl)-2-(1- P-10 methylpyrazol-4-yl)propyl]-2-(2,4- 1.13 465 B difluorophenyl)tetrazole-5- carboxamide N-[2-(4-bromothiazol-2-yl)-2-(1- methylpyrazol-4-yl)propyl]-1-(2,4- P-11 1.58 508 C difluorophenyl)triazole-4- carboxamide N-[2-(4-bromothiazol-2-yl)-2-(1- methylpyrazol-4-yl)propyl]-2-(2,4- P-12 1.04 509 D difluorophenyl)tetrazole-5- carboxamide N-[2-(2-cyclopropylthiazol-4-yl)-2-(1- P-13 methylpyrazol-4-yl)propyl]-2-(2,4- 1.07 471 B difluorophenyl)tetrazole-5- carboxamide 2-(2,4-difluorophenyl)-N-[2-(1- P-14 methylpyrazol-4-yl)-2-thiazol-4-yl- 1.04 431 B propyl]tetrazole-5-carboxamide BIOLOGICAL EXAMPLES Example B1: Alternaria solani / tomato / leaf disc (early blight)  82802_FF 85 Tomato leaf disks cv. Baby are placed on agar in multiwell plates (24-well format) and sprayed with the formulated test compound diluted in water. The leaf disks are inoculated with a spore suspension of the fungus 2 days after application. The inoculated leaf disks are incubated at 23°C / 21°C (day/night) and 80% rh under a light regime of 12/12 h (light/dark) in a climate cabinet and the activity of a compound is assessed as percent disease control compared to untreated when an appropriate level of disease damage appears on untreated check disk leaf disks (5 to 7 days after application). The following compounds gave at least 80% control of Alternaria solani at 200 ppm when compared to untreated control under the same conditions, which showed extensive disease development: P-1, P-2, P-3, P-4, P-5, P-8, P-10, P-11, P-12, P-13, and P-14 Example B2: Botryotinia fuckeliana (Botrytis cinerea) / liquid culture (Gray mould)

 mixed into nutrient
 broth). After placing a (DMSO) solution of test compound into a microtiter plate (96-well format), the nutrient broth containing the fungal spores is added. The test plates are incubated at 24°C and the inhibition of growth is determined photometrically 3 to 4 days after application. The following compounds gave at least 80% control of Botryotinia fuckeliana at 20 ppm when compared to untreated control under the same conditions, which showed extensive disease development: P-1, P-2, P-3, P-4, P-5, P-7, P-10, P-11, P-12, and P-13 Example B3: Glomerella lagenarium (Colletotrichum lagenarium) / liquid culture (Anthracnose)

 broth). After placing a (DMSO) solution of test compound into a microtiter plate (96-well format), the nutrient broth containing the fungal spores is added. The test plates are incubated at 24°C and the inhibition of growth is measured photometrically 3 to 4 days after application. The following compounds gave at least 80% control of Glomerella lagenarium at 20 ppm when compared to untreated control under the same conditions, which showed extensive disease development: P-1, P-2, P-3, P-4, P-5, P-7, P-10, P-11, and P-12 Example B4: Blumeria graminis f. sp. tritici (Erysiphe graminis f. sp. tritici) / wheat / leaf disc preventative



 are placed on agar in a multiwell plate (24-well format) and sprayed with the formulated test compound diluted in water. The leaf disks are inoculated by shaking powdery mildew infected plants above the test plates 1 day after application. The inoculated leaf disks are incubated at 20°C and 60% rh under a light regime of 24 h darkness followed by 12 h light / 12 h darkness in a climate chamber and the activity of a compound is assessed as percent disease control compared to untreated when an appropriate level of disease damage appears on untreated check leaf segments (6 to 8 days after application). The following compounds gave at least 80% control of Blumeria graminis f. sp. tritici at 200 ppm when compared to untreated control under the same conditions, which showed extensive disease development: P-1, P-2, P-3, P-4, P-5, P- 7, P-8, P-10, P-11, P-12, P-13, and P-14 Example B5: Fusarium culmorum / liquid culture (Head blight) of the fungus from cryogenic storage are into nutrient broth (PDB potato dextrose broth). After placing a (DMSO) solution of test compound into a microtiter plate (96-well format), the nutrient broth  82802_FF 86 containing the fungal spores is added. The test plates are incubated at 24°C and the inhibition of growth is determined photometrically 3 to 4 days after application. The following compounds gave at least 80% control of Fusarium culmorum at 20 ppm when compared to untreated control under the same conditions, which showed extensive disease development: P-1, P-5, P-11, and P-13 Example B6: Phaeosphaeria nodorum (Septoria nodorum) / wheat / leaf disc preventative (Glume blotch)

 plate (24-
 the formulated test compound diluted in water. The leaf disks are inoculated with a spore suspension of the fungus 2 days after application. The inoculated test leaf disks are incubated at 20°C and 75% rh under a light regime of 12 h light / 12 h darkness in a climate cabinet and the activity of a compound is assessed as percent disease control compared to untreated when an appropriate level of disease damage appears in untreated check leaf disks (5 to 7 days after application). The following compounds gave at least 80% control of Phaeosphaeria nodorum at 200 ppm when compared to untreated control under the same conditions, which showed extensive disease development: P-1, P-2, P-3, P-4, P-5, P-8, P-10, P-11, P-12, P-13, and P-14 Example B7: Monographella nivalis (Microdochium nivale) / liquid culture (foot rot cereals)
 into nutrient broth (PDB
 dextrose broth). After placing a (DMSO) solution of test compound into a microtiter plate (96-well format), the nutrient broth containing the fungal spores is added. The test plates are incubated at 24°C and the inhibition of growth is determined photometrically 4 to 5 days after application. The following compounds gave at least 80% control of Monographella nivalis at 20 ppm when compared to untreated control under the same conditions, which showed extensive disease development: P-1, P-2, P-3, P-4, P-5, P-7, P-10, P-11, P-12, and P-13 Example B8: Mycosphaerella arachidis (Cercospora arachidicola) / liquid culture (early leaf spot)
 nutrient broth (PDB

 broth). After placing a (DMSO) solution of test compound into a microtiter plate (96-well format), the nutrient broth containing the fungal spores is added. The test plates are incubated at 24°C and the inhibition of growth is determined photometrically 4 to 5 days after application. The following compounds gave at least 80% control of Mycosphaerella arachidis at 20 ppm when compared to untreated control under the same conditions, which showed extensive disease development: P-1, P-2, P-3, P-5, P-7, P-10, P-11, P-12, and P-13 Example B9: Puccinia recondita f. sp. tritici / wheat / leaf disc curative (Brown rust) Wheat leaf segments cv. Kanzler are placed on agar in multiwell plates (24-well format). The leaf segments are inoculated with a spore suspension of the fungus. Plates are stored in darkness at 19°C and 75% rh. The formulated test compound diluted in water is applied 1 day after inoculation. The leaf segments are incubated at 19°C and 75% rh under a light regime of 12 h light / 12 h darkness in a climate cabinet and the activity of a compound is assessed as percent disease control compared to untreated when an appropriate level of disease damage appears in untreated check leaf segments (6 to 8 days after application). The following compounds gave at least 80% control of Puccinia recondita f. sp. tritici at 200 ppm when compared to untreated control under the same conditions, which showed extensive disease development: P-8, and P-13  82802_FF 87 Example B10: agnaporthe grisea (Pyricularia oryzae) / liquid culture (Rice Blast)

 (PDB potato dextrose broth). After placing a (DMSO) solution of test compound into a microtiter plate (96-well format), the nutrient broth containing the fungal spores is added. The test plates are incubated at 24°C and the inhibition of growth is determined photometrically 3 to 4 days after application. The following compounds gave at least 80% control of Magnaporthe grisea at 20 ppm when compared to untreated control under the same conditions, which showed extensive disease development: P-1, and P-2 Example B11: Pyrenophora teres / barley / leaf disc preventative (Net blotch)

 format) and sprayed with the formulated test compound diluted in water. The leaf segments are inoculated with a spore suspension of the fungus 2 days after application. The inoculated leaf segments are incubated at 20°C and 65% rh under a light regime of 12 h light / 12 h darkness in a climate cabinet and the activity of a compound is assessed as disease control compared to untreated when an appropriate level of disease damage appears in untreated check leaf segments (5 to 7 days after application). The following compounds gave at least 80% control of Pyrenophora teres at 200 ppm when compared to untreated control under the same conditions, which showed extensive disease development: P-1, P-2, P-3, P-4, P-5, P-7, P-8, P-10, P-11, P-12, P-13, and P-14 Example B12: Sclerotinia sclerotiorum / liquid culture (cottony rot) fragments of a newly grown liquid culture of

 directly mixed into nutrient broth (PDB potato dextrose broth). After placing a (DMSO) solution of test compound into a microtiter plate (96-well format) the nutrient broth containing the fungal material is added. The test plates are incubated at 24°C and the inhibition of growth is determined photometrically 3 to 4 days after application. The following compounds gave at least 80% control of Sclerotinia sclerotiorum at 20 ppm when compared to untreated control under the same conditions, which showed extensive disease development: P-5, P-12, and P-13 Example B13: Mycosphaerella graminicola (Septoria tritici) / liquid culture (Septoria blotch)

 dextrose broth). After placing a (DMSO) solution of test compound into a microtiter plate (96-well format), the nutrient broth containing the fungal spores is added. The test plates are incubated at 24°C and the inhibition of growth is determined photometrically 4 to 5 days after application. The following compounds gave at least 80% control of Mycosphaerella graminicola at 20 ppm when compared to untreated control under the same conditions, which showed extensive disease development: P-1, P-2, P-3, P-4, P-5, P-7, P-10, P-11, P-12, and P-13