Movatterモバイル変換


[0]ホーム

URL:


WO2025106367A1 - Additively manufactured lattices having modified strut cross-sections - Google Patents

Additively manufactured lattices having modified strut cross-sections
Download PDF

Info

Publication number
WO2025106367A1
WO2025106367A1PCT/US2024/055335US2024055335WWO2025106367A1WO 2025106367 A1WO2025106367 A1WO 2025106367A1US 2024055335 WUS2024055335 WUS 2024055335WWO 2025106367 A1WO2025106367 A1WO 2025106367A1
Authority
WO
WIPO (PCT)
Prior art keywords
cross
strut
lattice
polymer
polymer lattice
Prior art date
Legal status (The legal status is an assumption and is not a legal conclusion. Google has not performed a legal analysis and makes no representation as to the accuracy of the status listed.)
Pending
Application number
PCT/US2024/055335
Other languages
French (fr)
Inventor
Kai Chen
Wilson Wong
Huang WU
Sophie DOWER
Bob E. FELLER
Current Assignee (The listed assignees may be inaccurate. Google has not performed a legal analysis and makes no representation or warranty as to the accuracy of the list.)
Carbon Inc
Original Assignee
Carbon Inc
Priority date (The priority date is an assumption and is not a legal conclusion. Google has not performed a legal analysis and makes no representation as to the accuracy of the date listed.)
Filing date
Publication date
Application filed by Carbon IncfiledCriticalCarbon Inc
Publication of WO2025106367A1publicationCriticalpatent/WO2025106367A1/en
Pendinglegal-statusCriticalCurrent
Anticipated expirationlegal-statusCritical

Links

Classifications

Definitions

Landscapes

Abstract

Provided according to some embodiments of the present invention are additively manufactured parts that include a polymer lattice comprising a plurality of interconnected struts formed by additive manufacturing. In some embodiments, at least one strut of the plurality of interconnected struts in the polymer lattice has a cross-section having a first cross-sectional area and at least 5%, 10%, or 20% greater area moment of inertia with respect to a reference axis in one direction relative to an area moment of inertia of a disc cross-section with a second cross-sectional area that is equal to the first cross-sectional area, optionally wherein the part and/or polymer lattice comprise drain holes.

Description

ADDITIVELY MANUFACTURED LATTICES HAVING MODIFIED STRUT CROSS-SECTIONS
CROSS-REFERENCE TO RELATED APPLICATIONS
[0001] This application claims priority from U.S. Provisional Application No. 63/589,705, filed November 14, 2023; U.S. Provisional Application No. 63/608,483, filed December 11, 2023; and U.S. Provisional Application No. 63/562,439, filed March 7, 2024, the disclosure of each of which is hereby incorporated by reference in its entirety.
FIELD OF THE INVENTION
[0002] The present invention concerns additively manufactured lattices. The present invention also concerns methods of additively manufacturing lattices and products including lattice structures.
BACKGROUND OF THE INVENTION
[0003] A group of additive manufacturing techniques sometimes referred to as “stereolithography” create a three-dimensional object by the sequential polymerization of a light polymerizable resin. Such techniques may be “bottom-up” techniques, where light is projected into the resin onto the bottom of the growing object through a light transmissive window, or “top down” techniques, where light is projected onto the resin on top of the growing object, which is then immersed downward into a pool of resin.
[0004] The introduction of a rapid stereolithography technique sometimes referred to as continuous liquid interface production (CLIP) has expanded the usefulness of stereolithography from prototyping to manufacturing. See e g., J. Tumbleston, et al., Continuous liquid interface production of 3D objects, Science, 347, 1349-1352; R. Janusziewicz, et al., Layerless fabrication with continuous liquid interface production, PNAS, 113, 11703-11708 (18 October 2016); and U.S. Pat. Nos. 9,211,678, 9,205,601, and 9,216,546.
[0005] There is great interest in developing lattices for additively manufactured products. While desirable lattice products have been produced, there remains a desire for lighter weight lattice materials and lattice materials having improved performance properties in certain products and environments. SUMMARY OF THE INVENTION
[0006] Provided according to some embodiments of the present invention are additively manufactured parts that include a polymer lattice comprising a plurality of interconnected struts formed by additive manufacturing. In some embodiments, at least one strut of the plurality of interconnected struts in the polymer lattice has a cross-section having a first cross-sectional area and at least 5%, 10%, or 20% greater area moment of inertia with respect to a reference axis in one direction relative to an area moment of inertia of a disc cross-section with a second cross-sectional area that is equal to the first cross-sectional area, optionally wherein the part and/or polymer lattice comprise drain holes.
[0007] In some embodiments, the cross-section of at least one strut is convex. In some embodiments, the cross-section of at least one strut is concave. In some embodiments, at least one strut in the polymer lattice comprises a plurality of cross-sections along a length of the strut. In some embodiments, at least one strut comprises a different cross-section than at least one other strut in the polymer lattice.
[0008] In some embodiments, a polymer lattice having a modified cross-section as described herein has substantially the same density and/or weight as an equivalent polymer lattice with conventional struts but has a compression modulus, stiffness, or compressive stress (e.g., at 10% or 25% strain) that is 10% to 2,000 % greater than the equivalent polymer lattice.
[0009] In some embodiments, the polymer lattice has substantially the same density and/or weight as an equivalent polymer lattice with conventional struts but has a delayed onset of densification (increased densification onset strain) under compression relative to the equivalent polymer lattice.
[0010] In some embodiments, the polymer lattice has substantially the same density and/or weight as an equivalent polymer lattice with conventional struts but has increased energy dissipation under compression relative to the equivalent polymer lattice.
[0011] In some embodiments, a polymer lattice having a modified cross-section as described herein may have a substantially equivalent stiffness, compression modulus, and/or compressive strain (e.g., within 5%) as an equivalent polymer lattice having conventional struts but may have a density that is decreased by 1% to 90% (e.g., 5% to 30%) relative to the equivalent polymer lattice. [0012] In some embodiments, a polymer lattice has a hollow cross-section and is sealed so that air (or another gas) is trapped within a portion of the struts (including a majority of the struts (>50%), most of the struts (>70%, >80%, or >90%), substantially all of the struts (>95%), or all of the struts (100%)) within a lattice or part. In some embodiments, a sealed hollow strut may include one or more holes within the outer strut layer.
BRIEF DESCRIPTION OF THE DRAWINGS
[0013] FIG. 1A is an illustration of a disc-shaped cross-section. FIG. IB is an illustration of conventional lattices that include strut with disc-shaped cross-sections.
[0014] FIGS. 2A-2H are illustrations of convex cross-sections according to some embodiments of the invention.
[0015] FIG. 3 is an illustration of a convex cross-section of an embodiment of the invention that includes a void space therein.
[0016] FIGS. 4A-4H are illustrations of concave cross-sections according to some embodiments of the invention.
[0017] FIGS. 5A-5H are illustrations of concave cross-sections according to some embodiments of the invention.
[0018] FIGS. 6A-6C are illustrations of concave cross-sections having notches in the external perimeter according to some embodiments of the invention.
[0019] FIG. 7 is a diagram of an apparatus that may produce a polymer lattice and/or part of an embodiment of the invention.
[0020] FIG. 8 shows examples of polymer lattices having disc-shaped (“solid”) or hollow strut cross-sections.
[0021] FIG. 9A provides a compressive stress vs. strain curve comparing the polymer lattices shown in FIG. 8. FIG. 9B is a magnified portion of FIG. 9A.
[0022] FIG. 10 shows the onset of densification (%), stiffness at 50% to density (Pa/g/L), the density (g/L), and compressive stress at 1-50% (MPa) for the polymer lattices shown in FIG. 8.
[0023] FIG. 11 provides examples of polymer lattices having I-bar shaped strut cross-sections according to some embodiments of the invention. [0024] FIG. 12A provides a compressive stress vs. strain curve comparing polymer lattices having struts with disc-shaped cross-sections and polymer lattices having I-bar cross-sections. FIG. 12B is a magnified portion of FIG. 12A.
[0025] FIG. 13 shows the onset of densification (%), stiffness at 50% to density ratio (Pa/g/L), the density (g/L), and compressive stress at 1-50% (MPa) for the polymer lattices described with respect to FIGS. 12A and 12B.
[0026] FIG. 14 is a plot comparing compressive stress (kPa) at 10%, 25%, and 50% and onset of densification vs. density for solid (disc-shaped) and hollow lattices.
[0027] FIGS. 15-17 are stress-strain curves that were used to calculate the values in FIG. 14.
[0028] FIG. 18 replots the data from FIG. 14 to compare equi-density hollow and solid polymer lattices.
[0029] FIG. 19 is a plot of the stress-strain curves for equi-density solid and hollow samples at 270 g/L.
[0030] FIG. 20 is a magnified portion of FIG. 19.
[0031] FIG. 21 replots the data from FIG. 14 to compare the density (g/L) of solid and hollow samples having roughly equivalent stiffness values.
[0032] FIG. 22 provides the stress-strain curves that were used to calculate the values in FIG.
21
[0033] FIG. 23 shows that the hollow strut samples from FIGS. 21 and 22 had similar compressive stress values as the solid strut samples but significantly lower density.
[0034] FIG. 24 illustrates a simple model of a rod and the force of deflection.
[0035] FIG. 25 shows the mass ratio with different combinations of external and internal diameters, and the corresponding wall thicknesses for hollow lattice models.
[0036] FIG. 26 is an image of BBC lattices that are additively manufactured according to some embodiments.
[0037] FIG. 27 is a graph of the compressive strain as a function of compressive stress for two replicate specimens in which Specimen A was unsealed and Specimen B was sealed with epoxy.
[0038] FIG. 28 is an image of a pressurization system for testing Specimen B with a ladder of pressures. [0039] FIG. 29 is a graph of the compressive strain as a function of compressive stress for Specimen B of FIG. 28 at different internal pressures and consecutively tested under uniaxial compression at 50mm/min, to 70% strain.
[0040] FIG. 30 illustrates bar graphs of the compressive stress at loading for 2-50% (MPa) and of the energy return for Specimen A, which is unsealed, and Specimen B under different internal pressures.
[0041] FIGS. 31A-31B are images of specimens according to some embodiments.
[0042] FIG. 32 illustrates bar graphs of the compressive stress at loading for 2-50% (MPa) and of the energy return for a specimen under different internal pressures.
[0043] FIG. 33 is a bar graph of the percentage change for energy return, compressive stress (2-25%(MPa)) and compressive stress (2-50% MPa)) at different pressures.
[0044] FIG. 34 is a graph of the compressive strain as a function of the compressive stress at different internal pressures.
DETAILED DESCRIPTION OF ILLUSTRATIVE EMBODIMENTS
[0045] The present invention is now described more fully hereinafter with reference to the accompanying drawings, in which embodiments of the invention are shown. This invention may, however, be embodied in many different forms and should not be construed as limited to the embodiments set forth herein; rather these embodiments are provided so that this disclosure will be thorough and complete and will fully convey the scope of the invention to those skilled in the art.
[0046] Like numbers refer to like elements throughout. In the figures, the thickness of certain lines, layers, components, elements or features may be exaggerated for clarity.
[0047] The terminology used herein is for the purpose of describing particular embodiments only and is not intended to be limiting of the invention. As used herein, the singular forms “a,” “an” and “the” are intended to include plural forms as well, unless the context clearly indicates otherwise. It will be further understood that the terms “comprises” or “comprising,” when used in this specification, specify the presence of stated features, integers, steps, operations, elements components and/or groups or combinations thereof, but do not preclude the presence or addition of one or more other features, integers, steps, operations, elements, components and/or groups or combinations thereof. [0048] As used herein, the term “and/or” includes any and all possible combinations or one or more of the associated listed items, as well as the lack of combinations when interpreted in the alternative (“or”).
[0049] Unless otherwise defined, all terms (including technical and scientific terms) used herein have the same meaning as commonly understood by one of ordinary skill in the art to which this invention belongs. It will be further understood that terms, such as those defined in commonly used dictionaries, should be interpreted as having a meaning that is consistent with their meaning in the context of the specification and claims and should not be interpreted in an idealized or overly formal sense unless expressly so defined herein. Well-known functions or constructions may not be described in detail for brevity and/or clarity.
[0050] It will be understood that when an element is referred to as being “on,” “attached” to, “connected” to, “coupled” with, “contacting,” etc., another element, it can be directly on, attached to, connected to, coupled with and/or contacting the other element or intervening elements can also be present. In contrast, when an element is referred to as being, for example, “directly on,” “directly attached” to, “directly connected” to, “directly coupled” with or “directly contacting” another element, there are no intervening elements present. It will also be appreciated by those of skill in the art that references to a structure or feature that is disposed “adjacent” another feature can have portions that overlap or underlie the adjacent feature.
[0051] Spatially relative terms, such as “under,” “below,” “lower,” “over,” “upper” and the like, may be used herein for ease of description to describe an element's or feature's relationship to another element(s) or feature(s) as illustrated in the figures. It will be understood that the spatially relative terms are intended to encompass different orientations of the device in use or operation in addition to the orientation depicted in the figures. For example, if the device in the figures is inverted, elements described as “under” or “beneath” other elements or features would then be oriented “over” the other elements or features. Thus the exemplary term “under” can encompass both an orientation of over and under. The device may otherwise be oriented (rotated 90 degrees or at other orientations) and the spatially relative descriptors used herein interpreted accordingly. Similarly, the terms “upwardly,” “downwardly,” “vertical,” “horizontal” and the like are used herein for the purpose of explanation only, unless specifically indicated otherwise.
[0052] It will be understood that, although the terms first, second, etc., may be used herein to describe various elements, components, regions, layers and/or sections, these elements, components, regions, layers and/or sections should not be limited by these terms. Rather, these terms are only used to distinguish one element, component, region, layer and/or section, from another element, component, region, layer and/or section. Thus, a first element, component, region, layer or section discussed herein could be termed a second element, component, region, layer or section without departing from the teachings of the present invention. The sequence of operations (or steps) is not limited to the order presented in the claims or figures unless specifically indicated otherwise.
[0053] As used herein, a “plurality” of any element refers to two or more of such elements and may include 10%, 20%, 30%, 40%, 50%, 60%, 70%, 80%, 90%, 95%, 99% or 100%, or any range defined therein, of the elements in a part. For example, a plurality of struts in a lattice or part may include two or more struts within the lattice or part, or 10%, 20%, 30%, 40%, 50%, 60%, 70%, 80%, 90%, 95%, 99% or 100%, or any range defined between any two of the forgoing values, of the struts in a part. A plurality of struts further includes a majority of the struts (>50%), most of the struts (>70%, >80%, or >90%), substantially all of the struts (>95%), or all of the struts (100%) within a lattice or part.
[0054] All patents or published patent applications referenced are herein incorporated by reference in their entirety. In the case of conflicting terminology, the present application controls. [0055] Provided according to embodiments of the invention are additively manufactured parts that comprise, consist essentially of, or consist of a polymer lattice comprising a plurality of interconnected struts. In such polymer lattices, at least one strut (e g., a plurality of struts, a majority of struts, most of the struts, substantially all of the struts, or all of the struts) of the plurality of interconnected struts has a cross-section having a first cross-sectional area and at least 5%, 10%, or 20% larger area moment of inertia with respect to a reference axis in one direction relative to an area moment of inertia of a disc cross-section with a second cross-sectional area that is equal to the first cross-sectional area. Thus, the at least one strut cross-section has a higher area moment of inertia per cross-sectional area. A “modified cross-section,” as described herein, refers to a strut cross-section that has a higher area moment of inertia per cross-sectional area than a disc crosssection.
[0056] As used herein, a “disc cross-section” refers to a solid, filled (no voids) cross-section having a circular circumference (see, e.g., FIG. 1A). Conventional lattices in additive manufacturing have disc-shaped (or substantially disc-shaped) cross-sections, as shown in the unit cells in FIG. IB. As used herein, the cross-sectional area of a strut that is non-disc shaped is the cross-sectional area of the polymer portion only and does not include any void or empty spaces within the cross-section.
[0057] The area moment of inertia (also referred to as the second moment of area) defines how much resistance a shape (e.g., a cross-section of a strut) has to bending due to its geometry and is typically calculated with a multiple integral over the shape in question. In some embodiments, at least one strut (e.g., a plurality of struts, a majority of struts, most of the struts, substantially all of the struts, or all of the struts) has a higher area moment of inertia in a direction in which the lattice is compressed in its normal use (i.e., the loading direction) relative to the same lattice having discshaped cross-section and the same cross-sectional area. For example, if the polymer lattice is in a shoe insole, at least one strut has a cross-section with a larger area moment of inertia (at least 5%, 10%, or 20% larger) relative to the same strut having a disc cross-section (and the same cross- sectional area) through a bending axis that is perpendicular to the loading direction, and/or at least one strut has a larger moment of inertia (at least 5%, 10%, or 20% larger) relative to the same strut having a disc cross-section and the same cross-sectional area, such that the compressive stiffness of non-disc strut lattices (polymer lattices of the invention) is greater.
[0058] In some embodiments, the cross-section of at least one strut is convex. As defined herein, “convex” refers to a cross-section wherein any line joining two points of the cross-section lies completely within the external boundary (perimeter) of the shape. FIGS. 2A-2D provide examples of convex cross-sections 200 including those having external perimeters 210 (highlighted in black) that are triangular (FIG. 2A), teardrop (FIG. 2B), pentagon (FIG. 2C), and square (FIG. 2D). However, the external perimeter 210 of the cross-section 200 may have many other shapes including polygonal (e.g., rectangular, hexagonal, diamond, rhomboid), elliptical, or an irregular. In some embodiments, the convex shape may include at least one at least one void space 220 therein, as shown in FIGS. 2E, 2F, 2G, and 2H. The void space(s) 220 may create at least one internal surface 230, and such internal surface 230 may form a number of possible shapes (e.g., the same shape as the external perimeter 210, as shown in FIGS. 2E and 2F), including polygonal (e.g., triangular, rectangular, hexagonal), circular, or elliptical, or irregular (e.g., as shown in FIG. 2H).
[0059] While in some embodiments, there is only a single void space 220 in the cross-section 200, in some embodiments, there may be multiple void spaces, as shown in FIG. 2G. The single or multiple void spaces 220 are not created by a foaming agent or process but are printed into the structure by the additive manufacturing process. In some embodiments, the at least one void space 220 has a diameter/length along the shortest cross-section axis dv in a range of 0.2 mm to 40 mm (e.g., in a range of 0.2 mm to 10 mm, 20 mm, or 40 mm therein). In some embodiments, a void space 220 within the strut is substantially or completely hollow. However, in certain embodiments, as shown in FIG. 2F, an interior strut portion 240 may be present within void space 220 and such internal strut portion 240 may or may not be connected to an internal surface 230 of the crosssection 200.
[0060] While the external perimeter 210 of the cross-section 200 of the at least one strut may not be circular if the cross-section 200 is completely solid (as this is the conventional solid disc structure), if there are one or more void spaces 220 within the circular cross-section 200, the strut may have a higher moment of inertia relative to a disc cross-section 200 having the same cross- sectional area. Therefore, strut cross-sections 200 having circular external perimeters 210 are included in the present invention if they include one or more void spaces 220 therein, or are otherwise modified as described herein. Further, while the external perimeter 210 of the crosssection 200 of the at least one strut may not be circular if the cross-section 200 is completely solid, there may be portions of the polymer lattice or part that include conventional strut cross-sections. That is, not every strut within the additively manufactured part’s lattice may have cross-section(s) with a higher moment of inertia relative to a disc cross-section having the same cross-sectional area.
[0061] Referring to FIG. 3, in some embodiments, when the convex cross-section 200 includes a single void space 220 therein, it may be considered that the strut includes a sheath portion 310 and the void space 220, and the distance from the cross-section center 320 to an inner sheath surface 330 is rl, and the distance from the cross-section center 330 to an outer sheath surface 340 is defined as r2; and in some embodiments, rl is in a range of 0. 1 mm to 5 mm, 10 mm, or 20 mm (e.g., 0.1 mm to 5 mm); and r2-rl is in a range 0.2 mm to 10 mm (e.g., between 0.5 mm to 2.5 mm).
[0062] In some embodiments, a cross-section 200 of at least one strut in the part is concave. As defined herein, a “concave” cross-section is a cross-section that is not convex, as defined herein. Such cross-sections include polygons that have at least one internal angle greater than 180°. Examples include but are not limited to shapes such as double-cone, I-beam, hourglass, concentric, T-beam, C-channel, double-tree, irregular, and the like, including the shapes discussed further herein.
[0063] Non-limiting examples are shown in FIGS. 4A-4H. The cross-section 200 may, in some embodiments, have an external perimeter 210 of a “double cone” with the angles “a” and “b” being any suitable angle, such as 10-150 degrees (e.g., 30 to 100 degrees) (see FIGS. 4A and 4B). In some embodiments, the external perimeter 210 of the cross-section 200 is symmetrical. In some embodiments, the external perimeter 210 of the cross-section 200 is not symmetrical. In addition, any of the edges of such shapes (e.g., double-cone) may be rounded to any suitable degree, such as shown in FIGS. 4E and 4F. As with convex structures, one or more void spaces 220 may be present in cross-sections 200 having concave external perimeters 210 (e.g., such as shown in FIGS. 4F and 4G). Such void spaces 220 are not formed by a foaming agent or process but are printed into the structure by the additive manufacturing process, and may, in some embodiments, have the dimensions described above with respect to convex cross-sections. Such void spaces 220 may have a regular or irregular internal perimeter 230 and there may be a single void 220 or two or more void spaces 220. In some embodiments, the external perimeter 210 of the cross-section 220 may be irregular (See FIG. 4H).
[0064] Further examples of strut cross-sections 200 having concave external perimeters 210 are shown in FIGS. 5A-5H. In some embodiments, a strut cross-section 200 has an external perimeter 210 of an I-beam (also referred to as H-beam) structure as shown in FIGS. 5A and 5B. Such external perimeter 210 may be modified such that any portion of the I-beam structure may include a different shape (rather than rectangular), including rectangles with rounded edges, rhomboid, oval, or polygonal, and the like, such as shown in FIGS. 5C and 5D. As shown in FIG. 5C, at least one void 220 may be present in such concave cross-sections 200 as well, and the void 220 may be of any shape (although is not formed by a foaming agent or process) and, in some embodiments, have the dimensions described herein with respect to convex cross-sections, and there may be additional internal strut structures (similar to those in FIG. 2F) in any of such void spaces 220. In addition, the length, width, and/or shape of a first beam 530, second beam 540, and connecting beam 550 may be varied as shown in FIGS. 5C and 5D. For example, in some embodiments, each beam width is larger than 0.2 mm, including between 0.2 mm or 0.5 mm to 2 mm, 5mm, 10 mm, 15 mm, 20 mm, 25 mm, or 30 mm, and the first beam 530, second beam 540, and connecting beam 550 may have the same or different width as the other beams. Other examples of concave cross-sections 200 include the modified I-beam structures in FIGS. 5E-5F and cross structures (struts formed of intersecting beams), such as those shown in FIGS. 5G and 5H.
[0065] In some embodiments, a portion of an external perimeter 210 of the at least one strut cross-section 200 is notched and/or absent. Referring to FIGS. 6A-6C, other possible crosssections 200 include those cross-sections 200 (whether convex or concave) having an external perimeter 210 with one or more notches 610 (indentions or portions regularly or irregularly removed from the external perimeter 210), which thereby create a different external perimeter 210. In some embodiments, such notched and/or absent portions are air hole(s) to a void space within the strut. In some embodiments, such air holes may have a longest width in a range of 100 pm to 500 pm, 1 mm, 2 mm, or 5 mm, and such air holes may be circular, oval, polygonal, or irregularly shaped.
[0066] In some embodiments, a polymer lattice may include a strut cross-section that varies along the length of the strut, including varying in the external perimeter, the presence of void spaces, the presence of notches, etc. In addition, in some embodiments, a strut may include both cross-section(s) having a higher moment of inertia relative to a disc cross-section having the same cross-sectional area (e.g., a plurality of struts having such cross-sections) and conventional discshaped cross-sections (e.g., a plurality of cross-sections). Thus, a polymer lattice of the invention may include two or more (e.g., a plurality) of different strut cross-sections, either in the same or different struts, and may include some struts having a higher moment of inertia relative to a disc cross-section having the same cross-sectional area and other conventionally shaped struts (e.g., having conventional disc-shaped cross-sections). The diameter and cross-sectional area of the strut may be varied within a strut and/or within the polymer lattice.
[0067] In some embodiments, at least one strut in a polymer lattice of the invention has a void space therein (a hollow portion) and is sealed so that air (or another gas) is trapped within the at least one strut (or a majority of the struts (>50%), most of the struts (>70%, >80%, or >90%), substantially all of the struts (>95%), or all of the struts (100%) within a lattice). Further, in particular embodiments, the struts are sealed except an external perimeter of such sealed struts includes one or more air holes that allow air or other gas to flow between the outside of the strut and the void space but are sufficiently small that the air or gas within the strut is sufficiently pressurized when the lattice is compressed. In some embodiments, air hole(s) in an external perimeter of a sealed strut may have a longest width in a range of 100 pm to 500 pm, 1 mm, 2 mm, or 5 mm and such air holes may be circular, oval, polygonal, or irregularly shaped. Further, the size, shape, and presence of the sealed void space(s) may vary along the strut length and may vary in different struts in the polymer lattice. In addition, the presence, number, shape, and size of air holes may vary along the strut length and in different struts in the polymer lattice.
[0068] Without being bound to any theory, it is believed that the sealed struts will allow for gas in the void space to become compressed when the polymer lattice is compressed. This gas compression may further increase the stiffness/weight ratio of the lattice. When present, the one or more air holes in the external perimeter may act as release vent(s) to dissipate a portion of the pressure in a sealed strut that is formed on compression. The air hole(s) may also allow for a void space in the sealed strut to refill with air/gas after the compression force is removed. The air hole(s) may have a similar effect in non-sealed struts having void spaces therein, so such air holes may have application in both sealed and non-sealed strut embodiments.
[0069] In some embodiments, the void space within sealed struts is pressurized, which may increase the stiffness and/or energy return of the lattice. Accordingly, in some embodiments, the void space has a pressure greater than atmospheric pressure. In other embodiments, the void space has a pressure equal to atmospheric pressure or less than atmospheric pressure (e.g., to increase packing density or minimize size of part to be inserted into small cavities). The internal pressure of the void space may be varied depending on the type of lattice, the wall thickness, etc. In some embodiments, the void space has a pressure in a range of 0 psi to 100 psi (e.g., 0 psi, 1 psi, 10 psi, or 20 psi to 45 psi or 60 psi), including 0 psi, 1 psi, 5 psi, 10 psi, 20 psi, 25psi, 30 psi, 35 psi, 40 psi, 45 psi, 50 psi, 60 psi, psi, 80 psi, 90 psi, 100 psi, and any range defined between any two of the foregoing values. The void space may be pressurized with any suitable gas including but not limited to compressed air, nitrogen, and the like. In some embodiments, the void space is completely sealed, and the void space has a pressure greater than atmospheric pressure or the void space has a pressure of less than atmospheric pressure. In some embodiments, the void space has a pressure in a range of 0 psi to 60 psi (e.g., 20 psi to 45 psi). In some embodiments, the void space includes a soft robotic element that allows for the pressure within the strut to be modulated (increased or decreased). For example, a soft robotic element may be a pressure controller connected to a void space in the strut(s) of the lattice as described in Figure 26. A pressure controller may modulate the pressure within the strut, for example, to expand or contract portions of the lattice or strut, which may result in movement of the lattice or portion of the lattice in a robotic fashion.
[0070] In some embodiments, the pressure inside a sealed strut may be controlled and/or modified. For example, one or more soft robotic element(s) may be included within one or more sealed strut(s) in the lattice and so may increase or decrease the pressure of the strut(s) over time. Such pressurize modulation may allow for a change in pressure to increase or decrease stiffness in a portion or all of the lattice as desired but may also be used to allow for movement of the lattice in one or more directions as appropriate for the desired application.
[0071] Struts may be sealed in a number of possible manners. For example, when draining excess resin from a void space/hollow portion of the strut after the lattice is formed, a drain hole may be sized and/or shaped to allow for residual resin to remain present after the bulk of the strut has drained, and this residual resin may be cured to seal the strut. For example, an S-trap drain hole may be used to drain resin from the void spaces in the lattice, which may result in sufficient residual resin after drainage to seal the strut when cured. As another example, after a lattice having a void space is formed and excess resin is drained, a portion of the formed lattice may be contacted with additional resin (e.g., manually or via an additive manufacturing method) to seal the struts.
[0072] In some embodiments, a polymer lattice of the invention may have improved properties relative to an equivalent polymer lattice with conventional struts. As used herein, an “equivalent polymer lattice with conventional struts” refers to a lattice having the same lattice structure (unit cell type) and dimension (strut length) and formed of the same material but having a conventional strut cross-section (solid disc shaped). The struts in an “equivalent polymer lattice with conventional struts” may or may not have the same cross-sectional area as struts in a polymer lattice of the invention.
[0073] In some embodiments, a polymer lattice having a modified cross-section as described herein (a polymer lattice of the invention) may have a substantially equivalent stiffness, compression modulus, and/or compressive strain (e.g., within 5%) as an equivalent polymer lattice having conventional struts but may have a density that is decreased by 1% to 90% (e.g., 5% to 30%) relative to the equivalent polymer lattice. Thus, such a polymer lattice may also have a weight that is decreased by 1% to 90% (e.g., 5% to 30%) relative to the equivalent polymer lattice having conventional struts. [0074] In some embodiments, a polymer lattice of the invention may have the same density as an equivalent polymer lattice having conventional struts but may have a stiffness or compressive stress (e.g., at 10% or 25% strain) that is 10% to 2,000 % greater (e.g., 10% greater, 50% greater, 100% greater, 200% greater, 300% greater, 400% greater, 500% greater, 600% greater, 700% greater, 800% greater, 900% greater, 1000% greater, 1500% greater, 2000% greater, or any range defined between any two of the forgoing values). The compressive stress may be determined when compressed at 50mm/min with flat platens on an electromechanical universal testing system such as an Instron 5969.
[0075] In some embodiments, a polymer lattice of the invention may have the same density as an equivalent polymer lattice having conventional struts but have a delayed (e.g., by 10%, 20%, 30%, 40%, 50% or more) onset of densification (increased densification onset strain) under compression relative to the equivalent polymer lattice. The “onset of densification under compression” is defined as the strain value at which the measured compressive stress is 100% more than the stress value of the extended segment modulus line fit between 25% and 50% strain. [0076] In some embodiments, a polymer lattice of the invention may have the same density as an equivalent polymer lattice having conventional struts but have an increased energy dissipation under compression (e.g., by 10%, 20%, 30%, 40%, 50% or more) relative to the equivalent polymer lattice. The energy dissipation may be determined by the area under the stress-strain curve.
[0077] The polymer used to form the polymer lattice may be varied according to the performance needs of the part or lattice, including both elastomeric polymer and rigid polymers. Non-limiting examples of polymers include polyurethanes, polyureas, polycyanurates and copolymers thereof; epoxy-functional polymers; cyanate esters; silicones, and the like. While in general, the present invention is used with polymer lattices, in some embodiments, the lattice is metal or ceramic, with any of the strut lattice cross-sections described herein. In some embodiments, the polymer lattice of the invention is rigid, flexible, or elastic.
[0078] A variety of lattice configurations may also be used. Examples include, but are not limited to, icosahedral, tetrahedral, voronoi, kagome rhombic, etc.
[0079] In some embodiments, a plurality of the struts in the polymer lattice are perpendicular or substantially perpendicular (e.g., within 5 to 20 degrees) to the loading direction in its intended use. [0080] In some embodiments, the polymer lattice and/or part may include one or more drain holes or slits that may facilitate draining of polymer resin from certain portions of the lattice (e.g., hollow portions). In some embodiments, the drain holes or slits may have a minimum length in a range of 0.1, 0.5, or 1 mm to 5 mm or 10 mm.
[0081] Also provided herein are polymer objects (e.g., lattices) formed by injection molding a polymer resin into one or more void spaces in a polymer lattice and/or part. For example, if a lattice includes a void space, in certain embodiments, a polymer resin is injected into the void space of the polymer lattice and cured so that the original polymer lattice includes a second polymer matrix in the void space. The second polymer matrix may be the same polymer as the original polymer lattice/part or may be a different type of polymer resin, including polymer resins that are not cured by UV or additive manufacturing processes. Further, in particular embodiments, the original lattice is removed (e.g., physically or chemically removed) and the internal structure (e.g., internal lattice) is the desired part or object. Accordingly, the invention encompasses polymer objects (e.g., lattices) that include a second polymer matrix in a void space therein, as well as polymer objects (e.g., lattices) formed from the internal space of the original polymer matrix (e.g., after the original polymer matrix is removed). Although any suitable polymer resin may be injected into the void space, in some embodiments, the injected liquid resin is a liquid curable silicone and/or epoxy. In addition, although removal of the original lattice may be achieved by a number of different methods, in some embodiments, the original (external) lattice includes acid labile groups and the external lattice is degraded by an acidic wash solution. For example, the external lattice may be formed using acid labile methacrylate crosslinkers such as, e.g., silyl ether and/or acetal based (meth)acrylate crosslinkers.
[0082] In some embodiments, the polymer resin that is injected into a void space in the polymer lattice is foamed. The foamed polymer resin may then be cured by any suitable method (e.g., heating). In some embodiments, the polymer resin that is injected into a void space in the polymer lattice comprises heat expandable microspheres. As used herein, the term “heat expandable microsphere” (sometimes referred to as a microballoon, polymeric microsphere, or hollow microbead) refers to a polymer shell (e.g., an elastic and/or thermoplastic polymer shell) having a void space therein that includes a core material (propellant) in the form of a gas, liquid or combination thereof that expands upon heating. The heat expandable microspheres are typically in the micro size range (about 1 pm to about 100 pm) but may in some embodiments be smaller (e g., about 500 nm to about 1 gm) or larger (about 100 gm to 500 gm) prior to heat expansion. In some embodiments, the polymer shell of the heat expandable microspheres expands without breaking. However, in some embodiments, some or all of the expandable microspheres may break or burst upon expansion. Heat expandable microspheres are typically approximately spherical hollow bodies but may be other shapes and may, in some embodiments, not be entirely hollow and so may be considered partially hollow. In some embodiments, upon heating, the heat expandable microspheres expand so that the diameter is increased by at least 2-10 times and/or the volume is increased by at least 50-fold to 1000-fold. Examples of heat expandable microspheres include but at not limited to those described in U.S. Patent Nos. 10,030,115 and 10,023,712, 9,902,829, 9,062,170, 8,388,809, 10,029,550, and 3,615,972. See also U.S. Patent No. 11,292,186 to Poelma et al.
[0083] In some embodiments, methods further include heating the polymer lattice to a temperature at which the heat expandable microspheres expand and/or the foamed polymer resin is cured. In some embodiments, the polymer lattice is heated to a first temperature to expand the microspheres and then heated to a second temperature to cure the polymer resin. However, in some embodiments, the expansion of the microspheres may occur after and/or concurrently with curing of the injected polymer resin.
Additive Manufacturing Methods, Apparatus and Resins
[0084] Also provided according to embodiments of the invention are methods of making a lattice of the invention. Lattices as described above, typically embodied in an object or part comprising that lattice as described above, may be made by additive manufacturing processes that include the steps of: (a) providing a digital model of the lattice or object including the lattice; and then (b) producing that object or lattice from the digital model by an additive manufacturing process.
[0085] Numerous additive manufacturing processes are known. Suitable techniques include, but are not limited to, techniques such as selective laser sintering (SLS), fused deposition modeling (FDM), stereolithography (SLA), material jetting including three-dimensional printing (3DP) and multijet modeling (MJM)(MJM including Multi-Jet Fusion such as available from Hewlett Packard), and others. See, e.g., H. Bikas et al., Additive manufacturing methods and modelling approaches: a critical review, Int. J. Adv. Manuf. Technol. 83, 389-405 (2016). [0086] Stereolithography, including bottom-up and top-down techniques, are known and described in, for example, U.S. Pat. No. 5,236,637 to Hull, U.S. Pat. Nos. 5,391,072 and 5,529,473 to Lawton, U.S. Pat. No. 7,438,846 to John, U.S. Pat. No. 7,892,474 to Shkolnik, U.S. Pat. No. 8,110,135 to El-Siblani, U.S. Patent Application Publication No. 2013/0292862 to Joyce, and US Patent Application Publication No. 2013/0295212 to Chen et al.
[0087] Resins for additive manufacturing of polymer articles are known and described in, for example, DeSimone et al., U.S. Pat. Nos. 9,211,678; 9,205,601; and 9,216,546. Dual cure resins for additive manufacturing are known and described in, for example, Rolland et al., U.S. Pat. Nos. 9,676,963; 9,598,606; and 9,453,142. Non-limiting examples of dual cure resins include, but are not limited to, resins for producing objects comprised of polymers such as polyurethane, polyurea, and copolymers thereof; objects comprised of epoxy; objects comprised of cyanate ester; objects comprised of silicone, etc. Any suitable resin may be used to form the parts or polymer lattices of the invention, including single cure, dual cure, elastomer-forming resins, and thermoset-forming resins.
[0088] In some embodiments, the object is formed by continuous liquid interface production (CLIP). CLIP is known and described in, for example, PCT Application Nos. PCT/US2014/015486 (U.S. Pat. No. 9,211,678); PCT/US2014/015506 (U.S. Pat. No. 9,205,601), PCT/US2014/015497 (U.S. Pat. No. 9,216,546), and in J. Tumbleston, D. Shirvanyants, N. Ermoshkin et al., Continuous liquid interface production of 3D Objects, Science 347, 1349-1352 (2015). See also R. Janusziewicz et al., Layerless fabrication with continuous liquid interface production, Proc. Natl. Acad. Sci. USA 113, 11703-11708 (Oct. 18, 2016). In some embodiments, CLIP employs features of a bottom-up three-dimensional fabrication as described above, but the irradiating and/or the advancing steps are carried out while also concurrently maintaining a stable or persistent liquid interface between the growing object and the build surface or window, such as by: (i) continuously maintaining a dead zone of polymerizable liquid in contact with the build surface, and (ii) continuously maintaining a gradient of polymerization zone (such as an active surface) between the dead zone and the solid polymer and in contact with each thereof, the gradient of polymerization zone comprising the first component in partially-cured form. In some embodiments of CLIP, the optically transparent member comprises a semipermeable member (e.g., a fluoropolymer), and the continuously maintaining a dead zone is carried out by feeding an inhibitor of polymerization through the optically transparent member, thereby creating a gradient of inhibitor in the dead zone and optionally in at least a portion of the gradient of polymerization zone. Other approaches for carrying out CLIP that can be used in the present invention and obviate the need for a semipermeable “window” or window structure include utilizing a liquid interface comprising an immiscible liquid (see L. Robeson et al., WO 2015/164234, published Oct. 29, 2015), generating oxygen as an inhibitor by electrolysis (see I. Craven et al., WO 2016/133759, published Aug. 25, 2016), and incorporating magnetically positionable particles to which the photoactivator is coupled into the polymerizable liquid (see J. Rolland, WO 2016/145182, published Sep. 15, 2016).
[0089] Other examples of methods and apparatus for carrying out particular embodiments of CLIP include, but are not limited to: Batchelder et al., Continuous liquid interface production system with viscosity pump, US Patent Application Pub. No. US 2017/0129169 (May 11, 2017); Sun and Lichkus, Three-dimensional fabricating system for rapidly producing objects, US Patent Application Pub. No. US 2016/0288376 (Oct. 6, 2016); Willis et al., 3d print adhesion reduction during cure process, US Patent Application Pub. No. US 2015/0360419 (Dec. 17, 2015); Lin et al., Intelligent 3d printing through optimization of 3d print parameters, US Patent Application Pub. No. US 2015/0331402 (Nov. 19, 2015); and D. Castanon, Stereolithography System, US Patent Application Pub. No. US 2017/0129167 (May 11, 2017).
[0090] After the object or part (or lattice) is formed, it is typically cleaned (e.g., by washing, centrifugal separation, wiping, blowing, etc.), and in some embodiments then further cured, such as by baking (although further curing may in some embodiments be concurrent with the first cure, or may be by different mechanisms such as contacting to water, as described in U.S. Pat. No. 9,453,142 to Rolland et al.). Cleaning may include draining uncured resin from on and/or in a polymer lattice and/or strut.
[0091] In some embodiments, the part and/or polymer lattice is formed using a method or apparatus schematically illustrated in Fig. 7. Such an apparatus includes a user interface 3 for inputting instructions (such as selection of an object to be produced, and selection of features to be added to the object), a controller 4, and an additive manufacturing apparatus 5 such as described above. An optional washer (not shown) can be included in the system if desired, or a separate washer can be utilized. Similarly, for dual cure resins, an oven (not shown) can be included in the system, although a separately operated oven can also be utilized. [0092] Connections between components of the system can be by any suitable configuration, including wired and/or wireless connections. The components may also communicate over one or more networks, including any conventional, public and/or private, real and/or virtual, wired and/or wireless network.
[0093] Controller 4 may be of any suitable type, such as a general -purpose computer. Typically, the controller 4 will include at least one processor 4 a, a volatile (or “working”) memory 4b, such as random-access memory, and at least one non-volatile or persistent memory 4c, such as a hard drive or a flash drive. The controller 4 may use hardware, software implemented with hardware, firmware, tangible computer-readable storage media having instructions stored thereon, and/or a combination thereof, and may be implemented in one or more computer systems or other processing systems. The controller 4 may also utilize a virtual instance of a computer. As such, the devices and methods described herein may be embodied in any combination of hardware and software that may all generally be referred to herein as a “circuit,” “module,” “component,” and/or “system.” Furthermore, aspects of the present invention may take the form of a computer program product embodied in one or more computer readable media having computer readable program code embodied thereon.
[0094] Any combination of one or more computer readable media may be utilized. The computer readable media may be a computer readable signal medium or a computer readable storage medium. A computer readable storage medium may be, for example, but not limited to, an electronic, magnetic, optical, electromagnetic, or semiconductor system, apparatus, or device, or any suitable combination of the foregoing. More specific examples (a non-exhaustive list) of the computer readable storage medium would include the following: a portable computer diskette, a hard disk, a random access memory (RAM), a read-only memory (ROM), an erasable programmable read-only memory (EPROM or Flash memory), an appropriate optical fiber with a repeater, a portable compact disc read-only memory (CD-ROM), an optical storage device, a magnetic storage device, or any suitable combination of the foregoing. In the context of this document, a computer readable storage medium may be any tangible medium that can contain, or store a program for use by or in connection with an instruction execution system, apparatus, or device.
[0095] A computer readable signal medium may include a propagated data signal with computer readable program code embodied therein, for example, in baseband or as part of a carrier wave. Such a propagated signal may take any of a variety of forms, including, but not limited to, electro-magnetic, optical, or any suitable combination thereof. A computer readable signal medium may be any computer readable medium that is not a computer readable storage medium and that can communicate, propagate, or transport a program for use by or in connection with an instruction execution system, apparatus, or device. Program code embodied on a computer readable signal medium may be transmitted using any appropriate medium, including but not limited to wireless, wireline, optical fiber cable, RF, etc., or any suitable combination of the foregoing.
[0096] The at least one processor 4a of the controller 4 may be configured to execute computer program code for carrying out operations for aspects of the present invention, which computer program code may be written in any combination of one or more programming languages, including an object oriented programming language such as Java, Scala, Smalltalk, Eiffel, JADE, Emerald, C++, C#, VB.NET, or the like, conventional procedural programming languages, such as the “C” programming language, Visual Basic, Fortran 2003, COBOL 2002, PHP, ABAP, dynamic programming languages such as Python, PERL, Ruby, and Groovy, or other programming languages.
[0097] The at least one processor 4a may be, or may include, one or more programmable general purpose or special-purpose microprocessors, digital signal processors (DSPs), programmable controllers, application specific integrated circuits (ASICs), programmable logic devices (PLDs), field-programmable gate arrays (FPGAs), trusted platform modules (TPMs), or a combination of such or similar devices, which may be collocated or distributed across one or more data networks.
[0098] Connections between internal components of the controller 4 are shown only in part and connections between internal components of the controller 4 and external components are not shown for clarity, but are provided by additional components known in the art, such as busses, input/output boards, communication adapters, network adapters, etc. The connections between the internal components of the controller 4, therefore, may include, for example, a system bus, a Peripheral Component Interconnect (PCI) bus or PCI-Express bus, a HyperTransport or industry standard architecture (ISA) bus, a small computer system interface (SCSI) bus, a universal serial bus (USB), IIC (I2C) bus, an Advanced Technology Attachment (ATA) bus, a Serial ATA (SATA) bus, and/or an Institute of Electrical and Electronics Engineers (IEEE) standard 1394 bus, also called “Firewire.”
[0099] The user interface 3 may be of any suitable type. The user interface 3 may include a display and/or one or more user input devices. The display may be accessible to the at least one processor 4 a via the connections between the system components. The display may provide graphical user interfaces for receiving input, displaying intermediate operation/data, and/or exporting output of the methods described herein. The display may include, but is not limited to, a monitor, a touch screen device, etc., including combinations thereof. The input device may include, but is not limited to, a mouse, keyboard, camera, etc., including combinations thereof. The input device may be accessible to the at least one processor 4a via the connections between the system components. The user interface 3 may interface with and/or be operated by computer readable software code instructions resident in the volatile memory 4b that are executed by the processor 4a.
Uses and Applications
[0100] The polymer lattices and parts (and in some embodiments, the part consists of, or substantially consists of, the polymer lattice) described herein have a variety of uses. They can serve as a cushion, shock absorber, vibration isolator, protective pad, or spring. In some embodiments they can be configured as a heat exchanger (i.e., connected to a heat source such as an electrical, opto-electrical, or electromechanical device, to serve as a heat sink). In some applications, a wearable garment, helmet or footwear article can have an impact absorbing protective pad or cushion therein, with the protective pad comprising a lattice as described above. In some embodiments, the polymer lattice is rigid and so can be used in place of conventional rigid parts.
[0101] More specific examples of articles or objects that can contain lattices as described herein include, but are not limited to, shin guards, knee pads, elbow pads, sports brassieres, bicycling shorts, backpack straps, backpack backs, neck braces, chest protectors, shoulder pads, protective vest, protective jackets, protective slacks, protective suits, protective overalls, protective jumpsuits, etc. [0102] The foregoing is illustrative of the present invention and is not to be construed as limiting thereof. The invention is defined by the following claims, with equivalents of the claims to be included therein.
EXAMPLES
[0103] Example 1
[0104] Four simple BCC lattices were produced by a M2 3D printer from Carbon, Inc (Redwood City, CA) using an elastomeric polyurethane resin, including two control lattices having solid struts and two lattices having hollowed struts. As shown in FIG. 8, the solid BCC lattices had a density of 297 g/L and 319 g/L, respectively, and the two hollow lattices had a density of 251 g/L and 303 g/L, respectively. Outer and inner strut diameters are shown in Table 1, below.
Table 1
Figure imgf000024_0001
*OD = outer diameter; ID = inner diameter
[0105] Specimens were compressed with a universal testing machine, Instron 5969, using a flat 50 mm diameter circular plunger centered over the middle of the specimen. Lattice specimens tested were all nominally 75mm x 75 mm x 30mm in dimensions. Lattice specimens were tested through their thickness (the shortest dimension) and specimens were supported by a 150mm diameter flat rigid platen. The test involves 2 cycles of: compression at 50mm/min to 80% of the measured specimen thickness, followed by return to starting position.
[0106] The results of compressive testing of the lattices in Table 1 are shown in FIG. 9A (full view) and FIG. 9B (magnified view). Comparing the equi-density conditions of Solid Strut 1 (297 g/L) and Hollow Strut 2 (303 g/L), it is evident that for -10% to 50% strain, the Hollow Strut 2 sample has ~2.3x higher compressive stress and therefore is significantly stiffer than the Solid Strut 1. Comparing the same equi-density conditions, the onset of densification of Hollow Strut-2 (303g/L) is also significantly delayed relative to Solid Strut 1 (SS-1). Additional metrics are shown in FIG. 10 [0107] Example 2
[0108] Concave cross-sections were investigated. BCC unit cells with variations of I-Beam cross-section were created. These unit cells were then used to populate rectangular prism-shaped design spaces (nominally 75 x 75 x 30 mm). The specimens were printed on a 3D printer by Carbon, Inc. using an elastomeric polyurethane resin. FIG. 11 shows 3D lattices printed with I- beam strut cross-sections of differing dimensions. See Table 2 below for density information.
Table 2
Figure imgf000025_0001
[0109] Specimens were tested with the same testing parameters used in Example 1.
[0110] FIGS. 12A (full view) and 12B (magnified view) show the compressive stress-strain curves for these lattices. It is evident that the I-Beam lattice with I-Beam Strut 1 is ~2.3x as stiff (0.102 MPa vs. 0.045 MPa at 50% Strain) as Solid Strut 3, which has a similar density. I-Beam Strut 2 has a significantly higher density and so cannot be directly compared to Solid Strut 3 but it is equi -density to Solid Strut 1 and Hollow Strut 2 (in Example 1). I-Beam Strut 2 is ~3.9x stiffer than Solid Strut 1 and ~1.7x stiffer than Hollow Strut 2 for the same density. Further metrics for the I-beam samples are shown in FIG. 13.
[0111] Example 3
[0112] Polymer lattice samples having hollow struts with a variety of different outer and inner diameters were prepared. The strut dimensions for these lattices are shown in Table 3 below.
Table 3
Figure imgf000025_0002
Figure imgf000026_0001
[0113] All lattice specimens were statically compressed at 50mm/min for 2 cycles: up to a maximum measured strain of 70%, followed by return to 0% strain at the same rate for the first cycle, and then 80% measured strain followed by a return to 0% strain on the second cycle. The compression was performed with a pair of 150mm flat platens - compressing the entirety of the tested specimen on a 5969 Instron universal testing machine. At the end of each cycle, the median thickness for each specimen was recorded, and x-y dimensions were assumed to be nominal at 56mm. Metrics reported are from Cycle 1, since many specimens maxed out the load limit of lOkN (no cycle 2 data).
[0114] To compare stiffness between samples, stress values at 10%, 25%, and 50% from the first cycle are summarized in FIG. 14. The onset of densification values, defined according to the yield proportional limit using a segment modulus line between 20% and 30% strain on cycle 1, are also shown in FIG. 14. The region of strain between 20% and 30% were qualitatively checked for all stress-strain curves, and verified to be well before any signs of densification. For 10% and 25% strain, the compressive stress as a function of density curves are shifted up vertically for the hollow strut samples relative to the solid strut samples. In addition, the larger outer diameter (6 mm) hollow struts were stiffer (higher compressive stress for a particular density) than the smaller outer diameter struts (4 mm). [0115] Referring to FIG. 14, the 4 mm hollow strut sample having the highest density (Hollow Strut 14) appears to almost intersect the solid strut stiffness values (underperforming expectations). However, upon further inspection, it was determined that because of the small inner diameter of 1 mm, the resin did not drain properly, thereby fdling the hollow portion. Thus, this hollow strut sample effectively mirrored the comparative solid strut sample (Solid Strut 6) both in stiffness and measured density.
[0116] For the compressive stress at 50% strain, it initially appeared that hollowing showed little to no benefit for certain densities, and at higher densities, the solid strut lattices appeared to have higher specific stiffness. However, looking at the onset of densification plot in FIG. 14 and the full stress strain curves in FIGS. 15-17, it can be seen that at 50% strain, the solid strut samples densify so early such that the stress at 50% strain values are inflated due to densification. FIG. 15 shows stress-strain curves for the solid strut samples only. FIG. 16 shows the stress-strain curves for the hollow strut samples having 6 mm outer diameter. As the inner diameter increases (the walls become thinner), the curves move down and to the right - the struts become softer and have a higher onset of densification. FIG. 17 shows the stress-strain curves for the hollow strut samples having 4 mm outer diameter. As the inner diameter increases (walls become thinner), the curves move down and to the right - the struts become softer and have a higher onset of densification.
[0117] FIG. 18 replots the data from FIG. 14 for the purposes of comparing equi-density hollow and solid polymer lattices (corresponding to Solid Strut 11, Hollow Strut 5, and Hollow Strut 7 samples). As shown in the highlighted region of FIG. 18, for lattices having a density of -270 g/L, the hollow lattice samples are significantly stiffer than the solid lattice samples, and the larger outer diameter strut hollow samples have the highest stiffness. FIG. 19 plots the stressstrain curves for equi-density solid and hollow samples at 270 g/L, with FIG. 20 showing a magnified view of FIG. 19.
[0118] Next, samples having roughly equal stiffness are analyzed to assess the difference in densities. The samples having the closest stiffness values are those in Solid Strut Sample 6, and Hollow Strut Samples 5 and 14. These samples (highlighted) are compared in FIG. 21 at 10% and 25% strain. The full stress-strain curves are shown in FIG. 22. In FIG. 22, the stress-strain curves for the hollow strut sample having a 6 mm outer diameter (Hollow Strut 5) shift significantly further to the right, indicating a higher efficiency and higher onset of densification. As described above, Solid Strut Sample 14 cannot be relied upon as the resin did not drain properly so the samples acted more like solid strut samples. The data is also compared in FIG. 23, which shows that for the same stiffness, the solid strut samples are significantly denser. Specifically, the hollow struts having the 6 mm outer diameter had a 26% decrease in density relative to the solid strut sample having comparative stiffness. Trendlines constructed using these samples may be used to predict gains in lightweighting from hollowing across a wide range of stiffnesses.
[0119] Example 4
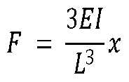
[0120] The theoretical basis for the effect of strut modification leading to higher stiffness to weight ratios is as follows. Referring to a simple model of a rod, see FIG. 24. Assuming a rod with length L, radius of r, the force F required to deflect the rod (assuming one side fixed and the other free) for a displacement of x will be:
Figure imgf000028_0001
and I is the moment of inertia and E is Young’s modulus.
, F 3EI
K — — — >
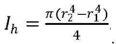
[0121] The stiffness of a rod can be defined asx l3 . nr 4 is = - -
[0122] For a rod,4 Fora hollow cylinder with inner radius of rl and outer radius of r2, the area moment of inertia will be
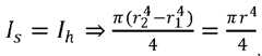
Figure imgf000028_0002
[0123] For a lattice made from solid struts versus a hollow struts, with the same length of struts, when the compression of the two lattices are equivalent, we will have:
Figure imgf000028_0003
[0124] Therefore, we haver ~ fi4 -r4.
[0125] If we make lattices from a solid cylinder-based struts versus a hollow cylinder struts, but keeping overall design including the cell density and strut length (L) the same, the weight of the two midsoles can be compared using the scaling way as: mhn(.r2 ~rl )f (r22 — rl ) ms nr2L r2
Figure imgf000028_0004
[0126] FIG. 25 shows the mass ratioms with different combinations of r2 (or r) and rl inputs, and the corresponding wall thickness (r2-rl, defined by d) for hollow models. As can be seen from FIG. 25, for a given fixed design with known r, a hollow model design may be chosen to retain the same lattice design, strut length, but with desired inner and outer radius to match the compression/stiffness while reducing the weight. For example, for a strut-based lattice with strut radius of 0.75 mm, if we choose a hollow model to have inner radius of 0.75 mm, and outer radius of 0.89 mm, the compression modulus of the two lattices can be matched, and the weight for the hollow design will be 40% of the solid one.
[0127] Example 5
[0128] Hollow BCC lattices were additively manufactured. All lattice specimens had a BCC unit cell size of 15 mm. As shown in FIG. 26, the puck specimen is made up on a 3d grid: 5 units in the x-y, and 3 units thick. Specimens were designed such that:
• The cavity inside the lattice is all interconnected. All boundary unit cells are sealed.
• The side of the specimen that is opposite of the platform side is perforated at the nodes such that resin can drain out when the platform is spun.
• The design accommodates the installation of a needle ball valve (like those used in soccer and basketballs) to facilitate pressurizing with a pump.
[0129] Two replicate specimens were compared. Specimen A was unsealed and Specimen B was sealed with epoxy. Specimen A was stiffer as shown in FIG. 27, but this is believed to be due to part-to-part variation only.
[0130] Next, Specimen B was tested with a ladder of pressures using the pressurization system shown in FIG. 28. As illustrated in FIG. 28, a pressure controlled lattice system 700 includes a pressurized lattice 710 (Specimen B) connected to a pressure controller 730 with a valve 720, such as a needle ball valve, although any suitable valve can be used. The pressurized lattice 710 was pumped to a target pressure, tested, then the pumped to a higher target pressure and tested, and so on. The pressurized lattice 710 was also submerged to check for leaks. The needle ball valve 720 leaked at pressures greater than 45 psi. A max stable pressure of 60 psi was reached. At 90 psi, whistling due to leakage was observed.
[0131] Specimen B at different internal pressures was consecutively tested under uniaxial compression at 50mm/min, to 70% strain. Thickness of Specimen B (L_0) was measured before pressurization and was assumed to be the same at all pressures, although some swelling was observed. The results are shown in FIG. 29 and FIG. 30. Although pressure increased stiffness to a certain point, pressures more than 45 psi showed marginal benefit. Energy return was increased by -20% when pressurized but did not seem to increase with higher pressures. Stiffness (stress at 50% strain) was boosted up to -50%.
[0132] In some embodiments, the lattice 710 can be configured as a soft robot and the pressure controller 730 may be a soft robotic element that controls the lattice 710 as a soft robot. That is, changing the pressure within the void spaces of the lattice 710 may cause movement of a portion or all of the lattice 710 in a robotic fashion to provide, for example, expansion or contraction of the lattice 710. The struts with different moments of inertia and/or interior void spaces may be configured for particular movements as a soft robot.
[0133] Example 6
[0134] The pressurized hollow lattice structures were reproduced with a few differences. The wall thickness was decreased to 400 microns. In addition, the pressurization was achieved with a Schrader valve whereas in Example 5, pressurization was achieved with a sports ball valve. A specimen is shown in FIGS. 31A-31B. The Schrader valve is the same valve used in automotive tires. This platform is suitable for a wider range of pressures and there are more compatible accessories (e.g., tire pressure monitoring systems). The previous sports ball valve is only intended to be used at pressures up to 15psi.
[0135] From 0 psi to increasing psi values, the specimen was compression tested, then reinflated to the next successive (higher) pressure, and then retested. Specimen thickness was remeasured after every successive inflation. The specimen was statically compression tested with a 50 mm diameter curved plunger on the Instron 5969 - involving 2 cycles to 70% strain. The results are shown in FIGS. 32-34.
[0136] The testing described in Examples 5 and 6 show that pressurizing a sealed hollow lattice boosted energy return by 15% and increased stiffness by approximately 40-85%. Thus, pressurizing hollow lattices may be a useful means of increasing stiffness and energy return in additively manufactured lattices.
[0137] The foregoing is illustrative of the present invention, and is not to be construed as limiting thereof. The invention is defined by the following claims, with equivalents of the claims to be included therein.

Claims

WE CLAIM:
1. An additively manufactured part comprising: a polymer lattice comprising a plurality of interconnected struts formed by additive manufacturing, wherein at least one strut of the plurality of interconnected struts has a cross-section having a first cross-sectional area and at least 5%, 10%, or 20% greater area moment of inertia with respect to a reference axis in one direction relative to an area moment of inertia of a disc cross-section with a second cross-sectional area that is equal to the first cross-sectional area, optionally wherein the part and/or polymer lattice comprise drain holes.
2. The additively manufactured part of claim 1, wherein the cross-section of the at least one strut is convex.
3. The additively manufactured part of claim 2, wherein the cross-section of the at least one strut includes at least one void space therein having a diameter in a range of 0.2 mm to 10 mm, 20 mm, or 40 mm (e.g., between 0.2 mm to 5 mm) therein.
4. The additively manufactured part of claim 3, wherein an inner perimeter created by the at least one void space is polygonal (e.g., triangular, rectangular, hexagonal), circular, elliptical, or irregular.
5. The additively manufactured part of any one of claims 1-4, wherein an external perimeter of the cross-section of the at least one strut is polygonal (e.g., triangular, rectangular, hexagonal), circular, elliptical, or irregular.
6. The additively manufactured part of any one of claims 3-5, wherein the cross-section of the at least one strut comprises a sheath portion and hollow portion, and wherein a distance from the cross-section center to an inner sheath surface is defined as rl, and the distance from the cross-section center to an outer sheath surface is defined as r2; and rl is in a range of 0.1 to 5 mm, 10 mm, or 20 mm; and r2-rl is in a range 0.2 mm to 5mm (e g., between 0.5 mm to 2.5 mm).
7. The additively manufactured part of claim 1, wherein the cross-section of the at least one strut is concave.
8. The additively manufactured part of claim 7, wherein the cross-section of the at least one strut has a shape selected from the group consisting of double-cone, I-beam, hourglass, concentric, T-beam, C-channel, double-tree, and irregular.
9. The additively manufactured part of any one of claims 1-8, wherein the polymer lattice has substantially the same density and/or weight as an equivalent polymer lattice having conventional struts but has a compression modulus, stiffness, or compressive stress (e.g., at 10% or 25% strain) that is 10% to 2,000 % greater than the equivalent polymer lattice.
10. The additively manufactured part of any one of claims 1-9, wherein at least a portion of an external perimeter of the at least one strut is notched and/or absent, optionally wherein the notched or absent portion is an airhole to a void space within the strut.
11. The additively manufactured part of any one of claims 1-10, wherein the at least one strut in the polymer lattice comprises a plurality of cross-sections along a length of the strut.
12. The additively manufactured part of any one of claims 1-11, wherein the at least one strut comprises a different cross-section than at least one other strut in the polymer lattice.
13. The additively manufactured part of any one of claims 1-12, wherein the polymer lattice has substantially the same density and/or weight as an equivalent polymer lattice having conventional struts but has a delayed onset of densification (increased densification onset strain) under compression than the equivalent polymer lattice.
14. The additively manufactured part of any one of claims 1-13, wherein the polymer lattice has substantially the same density and/or weight as an equivalent polymer lattice having conventional struts but has increased energy dissipation under compression than the equivalent polymer lattice.
15. An additively manufactured part comprising: a polymer lattice comprising a plurality of interconnected struts formed by additive manufacturing (e.g., wherein at least one strut of the plurality of interconnected struts has a modified cross-section), wherein the polymer lattice has substantially the same compression modulus (or stiffness or compressive stress) relative to an equivalent polymer lattice with conventional struts but the weight and/or density of the polymer lattice is 1% to 90% (e.g., 5% to 30%) less than the equivalent polymer lattice.
16. The additively manufactured part comprising: a polymer lattice comprising a plurality of interconnected struts formed by additive manufacturing (e.g., wherein at least one strut of the plurality of interconnected struts has a modified cross-section), wherein the polymer lattice has substantially the same density and/or weight as an equivalent polymer lattice but has a compression modulus, stiffness, or compressive stress (e.g., at 10% or 25% strain) that is 10% to 2,000 % greater than the equivalent polymer lattice.
17. The additively manufactured part of claim 3 or claim 4, wherein the void space is completely sealed or is sealed except for at least one air hole on an external perimeter of the strut.
18. The additively manufactured part of claim 17, wherein the void space is completely sealed, and the void space has a pressure greater than atmospheric pressure.
19. The additively manufactured part of claim 17, wherein the void space is completely sealed, and the void space has a pressure of less than atmospheric pressure.
20. The additively manufactured part of claim 18, wherein the void space has a pressure in a range of 0 psi to 60 psi (e.g., 20 psi to 45 psi).
21. The additively manufactured part of claim 17, wherein the void space includes a soft robotic element that allows for the pressure within the strut to be modulated (increased or decreased).
22. A method of forming an additively manufactured part comprising (a) providing a digital model of a polymer lattice; and then
(b) producing the polymer lattice from the digital model by an additive manufacturing process, wherein the polymer lattice comprises a plurality of interconnected struts formed by additive manufacturing, and wherein at least one strut of the plurality of interconnected struts has a cross-section having a first cross-sectional area and at least 5%, 10%, or 20% greater area moment of inertia with respect to a reference axis in one direction relative to an area moment of inertia of a disc cross-section with a second cross-sectional area that is equal to the first cross-sectional area, optionally wherein the part and/or polymer lattice comprise drain holes.
23. The method of claim 22, wherein the cross-section of the at least one strut is convex.
24. The method of claim 23, wherein the cross-section of the at least one strut includes at least one void space therein having a diameter in a range of 0.2 mm to 10 mm, 20 mm, or 40 mm (e.g., between 0.2 mm to 5 mm) therein.
25. The method of claim 24, further comprising reducing a pressure in the void space and sealing the void space.
26. The method of claim 24, further comprising increasing the pressure in the void space and sealing the void space.
27. The method of claim 24, further comprising (c) injecting a polymer resin (e.g., a resin that is different from the resin used to form the polymer lattice) into the void space.
28. The method of claim 27, further comprising curing the injected polymer resin in the void space.
29. The method of claim 28, further comprising removing the polymer lattice from around the cured injected polymer.
30. The method of claim 29, wherein the polymer lattice is removed by placing the polymer lattice in a liquid (e.g., an acidic liquid) that chemically degrades the polymer lattice.
31. The method of any of claims 27-30, wherein the polymer resin injected into the void space is a foam or comprises heat expandable microspheres.
32. The method of claim 31, wherein the polymer lattice is heated to a temperature at which the heat expandable microspheres expand and/or at which the polymer resin is cured.
PCT/US2024/0553352023-11-142024-11-11Additively manufactured lattices having modified strut cross-sectionsPendingWO2025106367A1 (en)

Applications Claiming Priority (6)

Application NumberPriority DateFiling DateTitle
US202363598705P2023-11-142023-11-14
US63/598,7052023-11-14
US202363608483P2023-12-112023-12-11
US63/608,4832023-12-11
US202463562439P2024-03-072024-03-07
US63/562,4392024-03-07

Publications (1)

Publication NumberPublication Date
WO2025106367A1true WO2025106367A1 (en)2025-05-22

Family

ID=93853331

Family Applications (1)

Application NumberTitlePriority DateFiling Date
PCT/US2024/055335PendingWO2025106367A1 (en)2023-11-142024-11-11Additively manufactured lattices having modified strut cross-sections

Country Status (1)

CountryLink
WO (1)WO2025106367A1 (en)

Citations (29)

* Cited by examiner, † Cited by third party
Publication numberPriority datePublication dateAssigneeTitle
US3615972A (en)1967-04-281971-10-26Dow Chemical CoExpansible thermoplastic polymer particles containing volatile fluid foaming agent and method of foaming the same
US5236637A (en)1984-08-081993-08-173D Systems, Inc.Method of and apparatus for production of three dimensional objects by stereolithography
US5391072A (en)1990-10-291995-02-21E. I. Du Pont De Nemours And CompanySolid imaging apparatus having a semi-permeable film
US5529473A (en)1990-07-051996-06-25E. I. Du Pont De Nemours And CompanySolid imaging system using differential tension elastomerc film
US7438846B2 (en)2001-04-232008-10-21Envisiontec GmbhApparatus and method for the non-destructive separation of hardened material layers from a flat construction plane
US7892474B2 (en)2006-11-152011-02-22Envisiontec GmbhContinuous generative process for producing a three-dimensional object
US8110135B2 (en)2007-10-262012-02-07Envisiontec GmbhProcess and freeform fabrication system for producing a three-dimensional object
US8388809B2 (en)2006-02-102013-03-05Akzo Nobel N.V.Microspheres
US20130295212A1 (en)2012-04-272013-11-07University Of Southern CaliforniaDigital mask-image-projection-based additive manufacturing that applies shearing force to detach each added layer
US20130292862A1 (en)2012-05-032013-11-07B9Creations, LLCSolid Image Apparatus With Improved Part Separation From The Image Plate
US9062170B2 (en)2006-02-102015-06-23Akzo Nobel N.V.Microspheres
WO2015164234A1 (en)2014-04-252015-10-29Carbon3D, Inc.Continuous three dimensional fabrication from immiscible liquids
US20150331402A1 (en)2014-05-132015-11-19Autodesk, Inc.Intelligent 3d printing through optimization of 3d print parameters
US9205601B2 (en)2013-02-122015-12-08Carbon3D, Inc.Continuous liquid interphase printing
US20150360419A1 (en)2014-05-132015-12-17Autodesk, Inc.3d print adhesion reduction during cure process
WO2016133759A1 (en)2015-02-202016-08-25Carbon3D, Inc.Methods and apparatus for continuous liquid interface printing with electrochemically supported dead zone
WO2016145182A1 (en)2015-03-122016-09-15Carbon3D, Inc.Additive manufacturing using polymerization initiators or inhibitors having controlled migration
US9453142B2 (en)2014-06-232016-09-27Carbon3D, Inc.Polyurethane resins having multiple mechanisms of hardening for use in producing three-dimensional objects
US20160288376A1 (en)2015-03-312016-10-06Dentsply Sirona Inc.Three-dimensional fabricating systems for rapidly producing objects
US20170129167A1 (en)2015-04-302017-05-11Raymond FortierStereolithography system
US20170129169A1 (en)2015-11-062017-05-11Stratasys, Inc.Continuous liquid interface production system with viscosity pump
US9902829B2 (en)2012-05-302018-02-27Akzo Nobel Chemicals International B.V.Microspheres
US10023712B2 (en)2014-05-232018-07-17Matsumoto Yushi-Seiyaku Co., Ltd.Heat-expandable microspheres, process for producing the same and application thereof
US10029550B2 (en)2013-06-242018-07-243M Innovative Properties CompanyTaped seal construction
US10030115B2 (en)2013-10-242018-07-24Matsumoto Yushi-Seiyaku Co., Ltd.Heat-expandable microspheres, process for producing the same, and application thereof
US20210341031A1 (en)*2018-10-222021-11-04Carbon, Inc.Shock absorbing lattice structure produced by additive manufacturing
US11292186B2 (en)2018-08-012022-04-05Carbon, Inc.Production of low density products by additive manufacturing
US20220143917A1 (en)*2019-04-302022-05-12Carbon, Inc.Mass customization in additive manufacturing
US11659889B2 (en)*2017-03-272023-05-30Adidas AgFootwear midsole with warped lattice structure and method of making the same

Patent Citations (33)

* Cited by examiner, † Cited by third party
Publication numberPriority datePublication dateAssigneeTitle
US3615972A (en)1967-04-281971-10-26Dow Chemical CoExpansible thermoplastic polymer particles containing volatile fluid foaming agent and method of foaming the same
US5236637A (en)1984-08-081993-08-173D Systems, Inc.Method of and apparatus for production of three dimensional objects by stereolithography
US5529473A (en)1990-07-051996-06-25E. I. Du Pont De Nemours And CompanySolid imaging system using differential tension elastomerc film
US5391072A (en)1990-10-291995-02-21E. I. Du Pont De Nemours And CompanySolid imaging apparatus having a semi-permeable film
US7438846B2 (en)2001-04-232008-10-21Envisiontec GmbhApparatus and method for the non-destructive separation of hardened material layers from a flat construction plane
US8388809B2 (en)2006-02-102013-03-05Akzo Nobel N.V.Microspheres
US9062170B2 (en)2006-02-102015-06-23Akzo Nobel N.V.Microspheres
US7892474B2 (en)2006-11-152011-02-22Envisiontec GmbhContinuous generative process for producing a three-dimensional object
US8110135B2 (en)2007-10-262012-02-07Envisiontec GmbhProcess and freeform fabrication system for producing a three-dimensional object
US20130295212A1 (en)2012-04-272013-11-07University Of Southern CaliforniaDigital mask-image-projection-based additive manufacturing that applies shearing force to detach each added layer
US20130292862A1 (en)2012-05-032013-11-07B9Creations, LLCSolid Image Apparatus With Improved Part Separation From The Image Plate
US9902829B2 (en)2012-05-302018-02-27Akzo Nobel Chemicals International B.V.Microspheres
US9216546B2 (en)2013-02-122015-12-22Carbon3D, Inc.Method and apparatus for three-dimensional fabrication with feed through carrier
US9211678B2 (en)2013-02-122015-12-15Carbon3D, Inc.Method and apparatus for three-dimensional fabrication
US9205601B2 (en)2013-02-122015-12-08Carbon3D, Inc.Continuous liquid interphase printing
US10029550B2 (en)2013-06-242018-07-243M Innovative Properties CompanyTaped seal construction
US10030115B2 (en)2013-10-242018-07-24Matsumoto Yushi-Seiyaku Co., Ltd.Heat-expandable microspheres, process for producing the same, and application thereof
WO2015164234A1 (en)2014-04-252015-10-29Carbon3D, Inc.Continuous three dimensional fabrication from immiscible liquids
US20150360419A1 (en)2014-05-132015-12-17Autodesk, Inc.3d print adhesion reduction during cure process
US20150331402A1 (en)2014-05-132015-11-19Autodesk, Inc.Intelligent 3d printing through optimization of 3d print parameters
US10023712B2 (en)2014-05-232018-07-17Matsumoto Yushi-Seiyaku Co., Ltd.Heat-expandable microspheres, process for producing the same and application thereof
US9453142B2 (en)2014-06-232016-09-27Carbon3D, Inc.Polyurethane resins having multiple mechanisms of hardening for use in producing three-dimensional objects
US9598606B2 (en)2014-06-232017-03-21Carbon, Inc.Methods of producing polyurethane three-dimensional objects from materials having multiple mechanisms of hardening
US9676963B2 (en)2014-06-232017-06-13Carbon, Inc.Methods of producing three-dimensional objects from materials having multiple mechanisms of hardening
WO2016133759A1 (en)2015-02-202016-08-25Carbon3D, Inc.Methods and apparatus for continuous liquid interface printing with electrochemically supported dead zone
WO2016145182A1 (en)2015-03-122016-09-15Carbon3D, Inc.Additive manufacturing using polymerization initiators or inhibitors having controlled migration
US20160288376A1 (en)2015-03-312016-10-06Dentsply Sirona Inc.Three-dimensional fabricating systems for rapidly producing objects
US20170129167A1 (en)2015-04-302017-05-11Raymond FortierStereolithography system
US20170129169A1 (en)2015-11-062017-05-11Stratasys, Inc.Continuous liquid interface production system with viscosity pump
US11659889B2 (en)*2017-03-272023-05-30Adidas AgFootwear midsole with warped lattice structure and method of making the same
US11292186B2 (en)2018-08-012022-04-05Carbon, Inc.Production of low density products by additive manufacturing
US20210341031A1 (en)*2018-10-222021-11-04Carbon, Inc.Shock absorbing lattice structure produced by additive manufacturing
US20220143917A1 (en)*2019-04-302022-05-12Carbon, Inc.Mass customization in additive manufacturing

Non-Patent Citations (4)

* Cited by examiner, † Cited by third party
Title
H. BIKAS ET AL.: "Additive manufacturing methods and modelling approaches: a critical review", INT. J. ADV. MANUF. TECHNOL., vol. 83, 2016, pages 389 - 405, XP035858424, DOI: 10.1007/s00170-015-7576-2
J. TUMBLESTON ET AL.: "Continuous liquid interface production of 3D objects", SCIENCE, vol. 347, pages 1349 - 1352, XP055247221, DOI: 10.1126/science.aaa2397
J. TUMBLESTOND. SHIRVANYANTSN. ERMOSHKIN ET AL.: "Continuous liquid interface production of 3D Objects", SCIENCE, vol. 347, 2015, pages 1349 - 1352
R. JANUSZIEWICZ ET AL.: "Layerless fabrication with continuous liquid interface production", PROC. NATL. ACAD. SCI. USA, vol. 113, 18 October 2016 (2016-10-18), pages 11703 - 11708, XP055542052, DOI: 10.1073/pnas.1605271113

Similar Documents

PublicationPublication DateTitle
US10875239B2 (en)Head cushion including constant force compression lattice
EP3768494B1 (en)Production of low density products by additive manufacturing
Logakannan et al.Quasi-static and dynamic compression behaviors of a novel auxetic structure
Bodaghi et al.Reversible energy absorbing meta-sandwiches by FDM 4D printing
US20210341031A1 (en)Shock absorbing lattice structure produced by additive manufacturing
US20240093744A1 (en)Lattice transitioning structures in additively manufactured products
Ling et al.Mechanical behaviour of additively-manufactured polymeric octet-truss lattice structures under quasi-static and dynamic compressive loading
JP6140679B2 (en) Resin injection molding process using vacuum with reusable resin distribution line
US12263641B2 (en)Mass customization in additive manufacturing
US11167395B2 (en)Constant force expansion lattice
US20200189154A1 (en)Dynamic load-absorbing materials and articles
WO2021046376A1 (en)Cushions containing shock absorbing triply periodic lattice and related methods
KR20170129168A (en)Composite pillar structures
Li et al.Exploring the enhanced energy-absorption performance of hybrid polyurethane (PU)-foam-filled lattice metamaterials
WO2025106367A1 (en)Additively manufactured lattices having modified strut cross-sections
Giubilini et al.Multimaterial 3D printing of auxetic jounce bumpers for automotive suspensions
Williamson et al.Extending the reach of single-chamber inflatable soft robots using Magnetorheological Fluids
CN114294364B (en)Three-dimensional dome-shaped negative stiffness structure and preparation method thereof
JPWO2008120295A1 (en) Method for producing foamed resin composite structure
US20180274625A1 (en)Non-Uniform Truss Hybrid Material System
CN108698339B (en)Method and device for producing composite parts, enabling gas to be discharged from the composite parts
JP2023506617A (en) Liquid repellent fibrous dry adhesive material and manufacturing method thereof
Park et al.Bilayer glass foams with tunable energy absorption via localized void clusters
US20150291292A1 (en)Vehicle ablator system
Deng et al.Computation of partially inflated shapes of stratospheric balloon structures

Legal Events

DateCodeTitleDescription
121Ep: the epo has been informed by wipo that ep was designated in this application

Ref document number:24821621

Country of ref document:EP

Kind code of ref document:A1


[8]ページ先頭

©2009-2025 Movatter.jp