CHIPS FOR DETERMINING BINDING AFFINITIES OF BIOMOLECULES
RELATED APPLICATIONS
This application claims the benefit of priority of US Patent Application No. 63/548,437 filed on November 14, 2023, the contents of which are incorporated herein by reference in their entirety.
SEQUENCE LISTING STATEMENT
The ASCII file, entitled 101790 SequenceListing.txt, created on November 14, 2024, comprising 12,291 bytes, submitted concurrently with the filing of this application is incorporated herein by reference.
FIELD AND BACKGROUND OF THE INVENTION
The present invention, in some embodiments thereof, relates to methods and devices for measuring binding affinities between two biomolecules.
Molecular characterization of protein-protein interactions is fundamental for diagnosing and monitoring clinical conditions and for developing drugs to target human disease. The ability to profile the immune response by characterizing antibody (Ab) abundance, epitope specificity and binding strength is valuable for various clinical therapeutic applications, from cancer immunotherapy to vaccine development. Using biotherapeutic drugs such as monoclonal antibodies (mAbs) has emerged in recent years as a leading approach to target human disease, tailored to disrupt or enhance protein-protein interactions that are the underlying cause of a clinical condition. A common approach in the development of biotherapeutics is to search through large sequence-space libraries for potential leads with high specificity and efficacy. Yet, high- throughput approaches fall short in providing detailed and quantitative molecular information, which requires time consuming and expensive iterative protein purification steps. Therefore, quantitative characterization is currently limited to a handful of candidates.
Cell-free gene expression (CFE) is a bio-safe, cheap, fast and versatile approach to advance clinical and biopharmaceutical research. Target proteins can be synthesized at high yields with no risk of toxicity, gene circuits can be designed for point-of-care biosensing and diagnostics, mAbs can be synthesized and screened for specific epitope binding and protein-arrays have been generated from their coding genes for Ab profiling.
Additional background art includes WO2015/052717 and WO2021/059269.  SUMMARY OF THE INVENTION
According to an aspect of the present invention there is provided a device comprising a continuous planar surface, wherein at least five different amounts of biomolecule-immobilizing moieties are patterned on a surface area of between 0.05 mm2 - 50 mm2 at distinct locations of the continuous planar surface, wherein a difference between a highest amount and a lowest amount of the five different amounts is at least 5 fold; the biomolecule-immobilizing moieties being first members of an affinity pair, the biomolecule capable of binding, directly or indirectly, to the biomolecule-immobilizing moieties via the affinity pair.
According to embodiments of the invention, the locations are addressable locations.
According to embodiments of the invention, the determination is effected in a single volume.
According to embodiments of the invention, the biomolecule-immobilizing moieties form a gradient on the continuous planar surface.
According to embodiments of the invention, the Kd between the first members of the affinity pair and second members of the affinity pair is less than 10-3 M.
According to embodiments of the invention, the continuous planar surface is attached to a plurality of monolayers the monolayers being composed of a compound which comprises a general formula I:
X- L-Y
Formula I wherein:
X is a functionalized group capable of binding to the surface;
L is a polymer capable of forming the monolayer onto the surface; and
Y is a photoactivatable group capable of generating a reactive group upon exposure to the light.
According to embodiments of the invention, the biomolecule-immobilizing moieties comprise biotin or streptavidin.
According to embodiments of the invention, the biomolecule-immobilizing moieties are non-attached to its affinity pair.  According to embodiments of the invention, the reactive group is photoreactivatable.
According to embodiments of the invention, the photoreactivatable reactive group is selected from the group consisting of amine, hydroxy, thiohydroxy, halo, alkoxy, thioalkoxy, aryloxy, thioaryloxy, carboxylate, phosphate, phosphonate, sulfate and sulfonate.
According to embodiments of the invention, the device further comprises the biomolecules which are immobilized onto the surface via the biomolecule-immobilizing moieties.
According to embodiments of the invention, the biomolecules are attached to a detectable moiety.
According to embodiments of the invention, the amount of the biomolecules immobilized onto the continuous planar surface corresponds to the amount of biomolecule-immobilizing moieties patterned on the continuous planar surface.
According to embodiments of the invention, the biomolecules are directly attached to a second member of the affinity pair.
According to embodiments of the invention, the biomolecules are nucleic acid molecules.
According to embodiments of the invention, the biomolecules are protein molecules.
According to embodiments of the invention, the biomolecules are attached to a detectable moiety.
According to embodiments of the invention, the protein molecules are antibody molecules.
According to embodiments of the invention, the biomolecules are indirectly attached to a second member of the affinity pair.
According to embodiments of the invention, the device further comprises antibody molecules which are immobilized onto the surface via the biomolecule-immobilizing moieties, wherein the antibody molecules are attached to a second member of the affinity pair, wherein an antigen binding site of the antibody molecules are capable of binding specifically to an affinity tag of the biomolecule, the biomolecule being a protein. vamount of the antibody molecules immobilized to the planar surface corresponds to the amount of biomolecule-immobilizing moieties patterned on the continuous planar surface.
According to embodiments of the invention, the affinity tag is selected from the group consisting of hemagglutinin (HA) tag, histidine tag, glutathione S-transferase tag, FLAG tag, Strep-tag, maltose binding protein tag, Myc-tag, protein A tag and a calmodulin-binding peptide tag.
According to embodiments of the invention, the second member of the affinity pair comprises biotin or streptavidin.  According to embodiments of the invention, the device further comprises nucleic acid molecules which are immobilized onto the planar surface, wherein the nucleic acid molecules encode for the biomolecule.
According to embodiments of the invention, the amount and location of the nucleic acid molecules immobilized to the planar surface corresponds to the amount and location of the biomolecule-immobilizing moieties patterned on the continuous planar surface.
According to embodiments of the invention, the amount and location of the nucleic acid molecules immobilized to the planar surface does not correspond to the amount and location of the biomolecule-immobilizing moieties patterned on the continuous planar surface.
According to embodiments of the invention, the planar surface is fabricated from a material selected from the group consisting of silicon, nitrocellulose, cellulose acetate, nylon, polyvniylidene Fluoride (PVDF), polystyrene, polyacrylamide, chitosan, agarose and glass.
According to an aspect of the present invention there is provided a compartment having side walls, wherein a bottom surface thereof comprises or is fabricated from the device described herein.
According to an aspect of the present invention there is provided an article of manufacture for measuring binding affinity of a first biomolecule to a target thereof, the article of manufacture comprising a plurality of the devices described herein.
According to embodiments of the invention, the article of manufacture comprises multiple chambers, wherein a bottom surface of a first chamber of the multiple chambers comprises a first device of the plurality of devices and a bottom surface of a second chamber of the multiple chambers comprises a second device of the plurality of devices.
According to embodiments of the invention, the plurality of devices are fabricated on a surface of a single chip.
According to embodiments of the invention, each chamber of the multiple chambers is in fluid isolation from its neighboring chamber.
According to embodiments of the invention, the article of manufacture is a microfluidic device.
According to embodiments of the invention, the article of manufacture is a 96 well plate.
According to embodiments of the invention, the bottom surface of at least one well of the 96 well plate is a first device of the plurality of devices and a bottom surface of a well of the 96 well plate is a second device of the plurality of devices.  According to embodiments of the invention, the biomolecule-immobilizing moieties are patterned on the continuous planar surface of at least a portion of the plurality of devices according to identical predetermined amounts and identical locations.
According to embodiments of the invention, the biomolecule-immobilizing moieties are identical in at least a portion of the plurality of devices.
According to an aspect of the present invention there is provided a method of generating a functionalized device for measuring a binding affinity of a biomolecule to a target thereof, the method comprising: patterning a continuous planar surface of a device with at least five different amounts of biomolecule-immobilizing moieties at distinct locations over a surface area of between 0.05 mm2 - 50 mm2, wherein a difference between a highest amount and a lowest amount of the five different amounts is at least 5 fold; wherein the biomolecule-immobilizing moieties are first members of an affinity pair, wherein the biomolecule is capable of binding directly or indirectly to the biomoleculeimmobilizing moieties via the affinity pair, thereby generating the functionalized device.
According to embodiments of the invention, the distinct locations are addressable locations.
According to embodiments of the invention, the Kd between the first member of the affinity pair and a second member of the affinity pair is less than 10-3.
According to embodiments of the invention, the biomolecule-immobilizing moieties form a gradient on the continuous planar surface.
According to embodiments of the invention, the method further comprises contacting the functionalized device with the biomolecule.
According to embodiments of the invention, the biomolecule is a first protein.
According to embodiments of the invention, the method further comprises contacting the functionalized device with an antibody which is attached to a second member of the affinity pair, the antibody comprising an antigen binding site capable of specifically binding to a tag of the biomolecule.
According to embodiments of the invention, the contacting comprises contacting the device with agents for performing expression of the first protein, the continuous planar surface having nucleic acids attached thereto which encode for the first protein.
According to embodiments of the invention, the expression agents comprise at least one of RNA polymerase, ribosomes and aminoacyl tRNA synthetase.  According to embodiments of the invention, the method further comprises attaching to the planar surface the nucleic acids prior to the contacting.
According to an aspect of the present invention there is provided a method of measuring the binding affinity of a biomolecule to a target thereof, the biomolecule being patterned on a continuous planar surface of a device, the pattern comprising at least five different amounts of biomolecule-immobilizing moieties at distinct locations over a surface area of between 0.05 mm2 - 50 mm2, wherein a difference between a highest amount and a lowest amount of the five different amounts is at least 5 fold:
(a) contacting the biomolecule with the target, the target being attached to a detectable moiety;
(b) quantifying the amount of the detectable moiety immobilized on the planar surface by the biomolecule, wherein the amount of the immobilized detectable moiety is indicative of the binding affinity of the biomolecule to the target.
According to embodiments of the invention, the contacting is effected in a single volume.
According to embodiments of the invention, the biomolecules form a gradient on the continuous planar surface.
According to embodiments of the invention, the biomolecule is a first protein, which is not an antibody.
According to embodiments of the invention, the target is an antibody, a nucleic acid or a second protein.
According to embodiments of the invention, the biomolecule is an antibody and the target is a protein.
According to embodiments of the invention, the biomolecule is a nucleic acid and the target is a nucleic acid or a protein.
According to embodiments of the invention, the device is the device disclosed herein.
According to embodiments of the invention, the device is comprised in the article of manufacture disclosed herein.
According to embodiments of the invention, the biomolecule is attached to a detectable moiety which is distinguishable from the detectable moiety of the target.
According to embodiments of the invention, the detectable moiety is a fluorescent moiety or a phosphorescent moiety.
Unless otherwise defined, all technical and/or scientific terms used herein have the same meaning as commonly understood by one of ordinary skill in the art to which the invention pertains. Although methods and materials similar or equivalent to those described herein can be used in the practice or testing of embodiments of the invention, exemplary methods and/or materials are described below. In case of conflict, the patent specification, including definitions, will control. In addition, the materials, methods, and examples are illustrative only and are not intended to be necessarily limiting.
BRIEF DESCRIPTION OF THE SEVERAL VIEWS OF THE DRAWINGS
Some embodiments of the invention are herein described, by way of example only, with reference to the accompanying drawings. With specific reference now to the drawings in detail, it is stressed that the particulars shown are by way of example and for purposes of illustrative discussion of embodiments of the invention. In this regard, the description taken with the drawings makes apparent to those skilled in the art how embodiments of the invention may be practiced.
In the drawings:
FIGs. 1A-H. Multiplex quantitative characterization of antigen-antibody binding. A: Microcompartments array for in situ cell-free expression. Left: sketch of a single compartment with a DNA brush (dark circle) spotted in the center. Montage of fluorescence microscopy images of all compartments on one chip, showing captured antigens (top, GFP labeled, blue), and antibody staining (bottom, composite image, anti-His, red, anti-FLAG, orange, anti-N, yellow). Inset: single compartment microscopy images of antigen GFP fluorescence (blue) and monoclonal antibody binding: anti-His (aHis, red), anti-FLAG (FLAG, orange), anti-N (aN, yellow). Scale of all microscopy images: one compartment image has a width of 400 . B: The DNμAm brush contains a linear synthetic gene coding for the gene of interest (GOI) tagged with a GFP and HA tag under a T7 promoter. Anti-HA antibody traps cover the rest of the surface. Expression from the DNA brush in an E. coll cell-free expression system leads to subsequent capture of the antigen on the surface. Antibody samples are characterized by incubation on the chip following washing. C: Quantitative measurement of antigen-antibody binding. Antibody fluorescence against antigen fluorescence for an anti-N antibody binding to N-expressing compartments (red), His (dark grey), FLAG (median grey) or a negative control protein unrelated to SARS-CoV and non-fluorescent but HA-tagged (NC-HA, light grey). Dots represent single data points and lines represent linear regression, with m the slope of antibody recognition. Left and top: representative microscopy images of N-expressing compartments (GFP fluorescence, blue) bound by anti-N antibodies (red). D,E: Titration of total antibody concentration and characterization of affinity. D: Linear dependency of bound antibody to bound antigen for 4 concentrations of total antibodies: 5 (light red), 50 (median light red), 500 (median dark red) and 5000 (dark red) ng/mL. Dots and lines are as in C. E: Red circles with black error bars represent fitted m value and 95% confidence interval  of the fit. m values were fitted from 84 data points. Affinity is measured from fitting all antibody titration curves simultaneously. F: RBD2 Ag temperature of cell-free expression and Ab recognition. Fluorescence images of compartments expressing GFP-RBD2 (GFP signal, blue, top row) recognized by the anti-RBD2 mAb CV30 antibody (antibody signal, red, bottom row) at different temperatures (12 °C, left, 16 °C, middle, 30 °C, right). Antigen-antibody binding function for at least 23 compartments at 3 different temperatures (12 °C, blue, 16 °C, yellow, 30 °C, red). Dots represent single data points and lines represent linear regression. G: Orthogonal binding of two specific antibodies to two closely related antigens. Microscopy images of antibody binding to SARS-CoV-2 RBD (RBD2) or SARS-CoV-1 RBD (RBD1), red: anti-RBD2, pink: anti-RBDl. Fluorescence is measured from a labeled secondary antibody. Antigen-antibody binding slope (red: anti-RBD2, pink: anti-RBDl) to RBD2 and RBD1. Bars and error bars represent fitted m value and 95% confidence interval of the fit. H: Titration of anti-RBDl mAb CR3022. 20 compartments expressing each given antigen specie are fitted with a linear fit for each antibody concentration. Circles and error bars represent the fitted slope value and a 95% confidence interval of the fit. Affinity is measured from fitting all antibody titration curves simultaneously.
FIGs. 2A-E. One compartment antigen-antibody titration, variants characterization. A: Fluorescence montage of all compartments on a chip (96 compartments) Ag synthesis (top, blue), and anti-RBD2 mAb 5G8 binding (bottom, red). Scale for all microscopy images: the long axis of one compartment is 750μm . B: The surface is activated by gradient UV exposure, which leads to a linear gradient of surface activation and of surface traps (top). Following protein synthesis, the antigen is displayed as a gradient (blue, center). The consequent binding of the antibody to the antigen (red, bottom) allows for the titration of the antigen-antibody interaction in a single compartment. DNA brush is indicated with dashed line. Arrow indicates direction of the gradient from high to low density. C,D: Antibody titration and affinity measurement in elongated compartments. C: bound antibody as a function of displayed antigen for four compartments displaying GFP-RBD2 WT-HA (shades of red) or a negative control His-GFP-HA (shades of grey) for different 5G8 mAb incubation concentration. Each compartment consists of 320 individual data points along the long axis of the compartment. DNA brush is indicated with dashed line. Arrow indicates direction of the gradient from high to low density.D: Red dots with black error bars represent fitted m value and 95% confidence interval of the fit. m values were fitted from 84 data points. Affinity is measured from fitting all antibody titration curves simultaneously. E: Slopes m of four anti-RBD2 mAbs (i: 5G8, ii: CV30, iii: CAI 1, iv: HL1003) binding to RBD2 WT, variants

N501Y) and negative control (His-GFP-HA). Bars and error bars represent average and standard deviation of m values fitted on three different chips with at least 28 data points each, normalized bymwron each chip. White: WT, dark blue: variants, light blue: single point mutants, grey: negative control. Shaded grey area: variants not tested with slope quantification.
FIGs. 3A-D. A: Nucleocapsid gene split into 100 amino acids fragments overlapping by 50 aa covering the whole gene. B: Antibody binding for two anti-N mAbs against antigens N, fragments (a-h) and negative control (His-GFP-HA). Dots: data from three chips, lines: fitted slope averaged over three chips. Color: slopes values, m, averaged from slope fits of three different chips, each slope fitted from at least 23 data points. Top: anti-N mAb 1A6, bottom: anti-N mAb 6H3. C: SI gene split into 100 amino acids fragments scanning the RBD2 sequence with 20-30 amino acids overlap and the rest of the sequence with 0-30 amino acids overlap. Fragment j was not tested with 5G8 but used with other Abs D: Antibody binding for anti-RBD2 mAb 5G8 against antigens SI, fragments (a-1) and negative control (His-GFP-HA). Dots: data from 1 chip, lines: fitted slope averaged over all data points. Color: slopes values, m, each slope fitted from at least 960 data points.
FIGs. 4A-D. Detection of polyclonal antibodies in human sera. Binding of human sera was assessed against on-chip displayed antigens derived from N (A: N and fragments), SI and RBD (B: SI and fragments, RBD and variants). A,B: Fitted slope of antibody-antigen binding, represented as the slope fold change from a negative control (His) on a log scale (shades of red). Data plotted for twenty positive (PS) samples and six negative (SN) samples. Cut-off is set as mAg > 2mneg ,controi. In both 4A and 4B, lower bar graph: sensitivity (dark blue) and specificity (light blue) for each antigen; bottom right bar graph: sensitivity and specificity of N (A) and Sl/RBD (B) recognition (samples are considered positives if two or more antigens are above cutoff); right hand bar graph: number of antigens recognized in each sample, dark blue: all antigens, light blue: subset of antigens (A: Ng,h, B: all antigens overlapping with RBD). B, right hand box panel: scores of IgG anti-RBD2 from a commercial ELISA test are indicated in shades of blue on a scale from 0 to 255 a.u., with a cut-off at 15 a.u.. ELISA scores for negative samples were not provided. C: Representative microscopy images of sample PS313 antigen synthesis (Ag, blue, top), IgG binding (IgG, red, center), IgM binding (IgM, orange, bottom) for all antigens (as in A and B, N indicates N and fragments, SI indicates SI, fragments, and RBD variants). Scale for microscopy images: the long axis of one compartment is 750 μm. D: IgG and IgM scores for 7 positive samples. Red and orange indicate above background binding of IgG and IgM respectively. Above background binding is determined by mAg > 2mneg controi. Grey indicates below background binding for either antibody. Antigens are as in C. The fragments overlapping with the RBD region are highlighted with a black outline box.  FIG. 5 is a graph illustrating a theoretical binding curve between antigen (A) and antibody (B) generating complex (AB) where B is the limiting reagent.
FIG. 6 is a graph illustrating a theoretical binding curve between antigen (A) and antibody (B) generating complex (AB) where A is the limiting reagent.
FIG. 7 is a graph illustrating theoretical binding curves which can be used to determine Kd.
FIG. 8 is a graph illustrating theoretical binding curves which can be used to determine Kd.
DESCRIPTION OF SPECIFIC EMBODIMENTS OF THE INVENTION
The present invention, in some embodiments thereof, relates to methods and devices for measuring binding affinities between two biomolecules.
Before explaining at least one embodiment of the invention in detail, it is to be understood that the invention is not necessarily limited in its application to the details set forth in the following description or exemplified by the Examples. The invention is capable of other embodiments or of being practiced or carried out in various ways.
Binding affinity measurements reveal the strength and specificity of interactions between biomolecules, which are critical for understanding cellular processes and developing targeted therapeutics. Traditional methods often analyze interactions one at a time, consuming significant time and resources. However, multiplexed approaches allow researchers to assess multiple interactions simultaneously, dramatically improving throughput and efficiency. This advancement enables rapid screening of drug candidates, the development of precise diagnostic assays, and comprehensive biomolecular studies, all while reducing costs and resource requirements. As a result, accessible, high-throughput affinity analysis accelerates scientific discovery and opens new possibilities in both research and clinical applications.
The present inventors have now established a quantitative cell-free miniaturized platform for the rapid, safe and multiplexed characterization of biomolecular interactions. Specifically, the present inventors generated a continuous surface density gradient of labeled proteins on the surface of miniaturized compartments (Figure 2C). Photolithographic surface patterning of protein traps generated a continuous surface density gradient of fluorescently labeled antigens. Antibodies binding to the antigen gradient generated a full binding curve in each single compartment for affinity determination. Using a chip having an elongated compartment of dimensions 750 pm x 200 μm , the present inventors were able to resolve more than 300 data points in a single compartment, drastically improving the resolution of antigen titration in a single reaction volume.  Whilst further reducing the present invention to practice, the present inventors fabricated each compartment with a DNA brush coding fully for the desired protein, bypassing the need for tedious protein purification steps.
Thus, according to a first aspect of the present invention there is provided a device comprising a continuous planar surface, wherein at least five different amounts of biomoleculeimmobilizing moieties are patterned on a surface area of between 0.05 mm2 - 50 mm2 at distinct locations of the continuous planar surface, wherein a difference between a highest amount and a lowest amount of the five different amounts is at least 5 fold;
The term “device” refers to a continuous planar surface on which biomoleculeimmobilizing moieties may be patterned in a precise and reproducible fashion.
In the context of the planar surface, the term “continuous” refers to a surface which is not interrupted by a side wall.
The device may be any shape - e.g. rectangular, square or circular.
According to a particular embodiment, the device is rectangular.
The device may be fabricated from materials including, but not limited to silicon, nitrocellulose, cellulose acetate, nylon, polyvniylidene Fluoride (PVDF), polystyrene, polyacrylamide, chitosan, agarose and glass.
In one embodiment, the device is fabricated from a single material. In another embodiment, the device is fabricated from a combination of materials.
The biomolecule-immobilizing moieties may be spotted onto the materials (e.g. by inkjet technology, piezoelectric technology or pin-based technology), so as to form the pattern. Examples of micropotters that can be used include but are not limited to Scienion sciFLEXARRAYER, ArrayJet NanoPlotter, Aushon 2470 Microarrayer, BioDot AD Series and PRi Arrayer by Horiba Scientific.
In one embodiment, the device of the present invention is fabricated from a substrate (i.e. a single material or a combination of materials) which is coated with a coat being amenable for attaching biomolecule-immobilizing moieties in predetermined amounts and positions.
According to a preferred embodiment of this aspect of the present invention, the substrate is coated with a coat composed of a compound which can be represented by the general formula I below:
X- L-Y
Formula I  wherein X is the functionalized group capable of binding to the substrate; L is the polymer capable of forming a monolayer on the substrate; and Y is a photoactivatable group capable of generating a reactive group upon exposure to light.
The functionalized group is preferably selected such that it binds to the substrate by reacting with at least one functional group present on a surface of the substrate.
Preferred functionalized groups according to the present invention comprise one or more reactive silyl group(s).
As used herein, the phrase "reactive silyl group" describes a residue of a compound comprising at least one silicon atom and at least one reactive group, such as an alkoxy or halide, such that the silyl group is capable of reacting with a functional group, for example on a surface of a microfluidic device, to form a covalent bond with the surface. For example, the reactive silyl group can react with the surface of a silica substrate comprising surface Si— OH groups to create siloxane bonds between the compound and the silica substrate.
Exemplary reactive silyl groups that are usable in the context of the present invention include, without limitation, trialkoxysilanes, alkyldialkoxysilanes, alkoxydialkylsilanes, trihalosilanes, alkyldihalosilanes and dialkylhalosilanes. Such reactive groups are easily reacted when contacted with free hydroxyl groups on a surface of solid surfaces and particularly with such hydroxyl groups on a silica surface.
Herein, the terms "silica" and "SiO2" are used interchangeably.
In a preferred embodiment of the present invention the reactive silyl group is trialkoxysilane such as, for example trimethoxysilane, triethoxysilane, tripropyloxysilane or trihalosilane such as, for example, trichlorosilane.
The functionalized group according to the present invention may further include a chemical moiety that is terminated with the reactive silyl group. Such a chemical moiety can comprise, for example, alkyl, alkenyl, aryl, cycloalkyl and derivatives thereof, as these terms are defined herein.
Preferably, the functionalized group comprises an alkyl terminating with a trialkoxysilane.
As discussed hereinabove, the polymer is selected so as to form a monolayer on the substrate. Thus, the polymer group in the coat compounds of the present invention may be any hydrophobic, hydrophilic and amphiphilic polymer that has suitable characteristics for forming a monolayer. Such characteristics include, for example, long, relatively inert chains, which may interact therebetween via e.g., hydrogen or Van-der-Waals interactions.
A preferred polymer according to the present invention comprises polyethylene glycol (PEG). As described hereinabove, PEG is characterized by resistance to nonspecific absorptions of biomolecules and is therefore beneficial for use in some contexts of the present invention. In addition, when self-assembled on a substrate, PEG chains typically interact therebetween via hydrogen bonds, so as to produce a well-ordered monolayered film.
The polyethylene glycol residue in the coat compounds described herein can be derived from PEGs having a molecular weight that ranges from about 400 grams/mol and about 10000 grams/mol. Preferred PEGs are those having a molecular weight that ranges from about 2000 grams/mol and about 5000 grams/mol. Such PEGs allow the productions of a monolayered film when deposited on a solid surface in the presence of a functionalized group, as described hereinabove.
The polyethylene glycol residue may be substituted or unsubstituted and can be represented by the general Formula II below:
Formula II wherein n is an integer from 10 to 200; and R1, R2, R3 and R4 are each independently selected from the group consisting of hydrogen, alkyl, cycloalkyl, aryl, alkenyl alkynyl, alkoxy, thioalkoxy, aryloxy and thioaryloxy.
In a preferred embodiment, the PEG is unsubstituted such that R1, R2, R3 and R4 are each hydrogen.
In another preferred embodiment, the PEG residue is a medium-sized residue such that n is an integer from 60 to 100.
The polymer is preferably attached to the functionalized group described above via a linking moiety.
Exemplary linking moieties include, without limitation, oxygen, sulfur, amine, amide, carboxylate, carbamate, sulphonate, sulphonamide, phosphate, hydrazine, hydrazide, as these terms are defined herein and derivatives thereof.
In a representative example the linking moiety is an amide, formed between a carboxylic end group of the polymer and an amine end group of the functionalized moiety, as is detailed herein under.
The compounds of the present invention, by comprising the functionalized group and the polymer described hereinabove, readily form self-assembled monolayers when contacted with the substrate of the device, in a one-step, simple to perform, reaction.
As the polymer residue in the compounds of the present invention further has a photoactivatable group attached thereto, each of the formed monolayers has a photoactivatable group attached thereto.  As used herein, the phrase "photoactivatable group" describes a group that is rendered active when exposed to photoactivation, namely when exposed to light. Photoactivatable groups typically comprise a protected reactive group, which upon exposure to light are de-protected, so as to generate a reactive group.
As used herein, the phrase "reactive group" describes a chemical moiety that is capable of interacting with another moiety. This interaction typically results in a bond formation between these moieties, whereby the bond can be, for example a covalent bond, a hydrogen bond, a coordinative bond, or an ionic bond.
Representative examples of reactive groups include, without limitation, amine, hydroxy, thiohydroxy, halo, alkoxy, thioalkoxy, aryloxy, thioaryloxy, carboxylate, phosphate, phosphonate, sulfate and sulfonate, as these terms are defined herein.
Depending on the intended use of the compound, the photoactivatable group is selected so as to generate a desired reactive group.
Thus, for example, a photoactivatable group that comprises a carbamate can generate upon exposure to light amine as the reactive group.
The photoactivatable groups according to the present invention are preferably derived from photoactivatable compounds and therefore preferably include a residue of, for example, photoactivatable compounds that has light-absorbing characteristics such as 6-nitrovertaryl chloroformate, 6-nitrovertaryl carbonyl, 2-nitrotoluene, 2-nitroaniline, phenacyl, phenoxy, azidoaryl, sulfonic ester, desyl, -hydroxyphenacyl, 7-methoxy coumarin, o-ethyl acetophenone, 3,5-dimethylphenacyl, dimethyl dimethoxybenzyloxy carbonyl, 5-bromo-7-nitroindolinyl, o- hydroxy-a-methyl cinnamoyl and 2-oxymethylene anthraquinone.
When exposed to light such as, for example, UV, IR, or visible light or a monochromatic light of a predetermined wavelength, primary amines are exposed by releasing protecting groups. The exposed amines can react with certain reactive chemical moieties (such as succinimide) thus providing means to conjugate (e.g. covalently bind to) biomolecule-immobilizing moieties such as biotin.
In one embodiment, the surface is activated at particular areas using a laser writer (e.g. a microwriter laser lithography system).
Electron beams can also be used to activate the surface.
The above-described compounds can be readily prepared using a simple two-step synthesis. A process of preparing the compounds is described in details in PCT Application No. W02006/064505 to the present inventor.  As discussed hereinabove, the surface of the device and the compound of the present invention may be selected such that upon contacting the polymer with the substrate, a selfassembled monolayered film of the polymer forms on the device surface, in a one-step reaction.
The contacting procedure is preferably effected by incubating the compound with the selected surface, preferably in the presence of an organic solvent such as, for example, toluene.
Once a monolayered film of the polymer is deposited on the device surface, the reactive group for binding a biomolecule-immobilizing moiety can be generated by exposing a pre-selected area of the substrate to light.
Depending on the selected photoactivatable group and the active wavelength in which it is active, the light can be a UV, IR or visible light, or, optionally and preferably, the light can be a monochromatic light of a predetermined wavelength.
Patterning of the device surface may be effected using a photo mask to illuminate selected regions of the coating and avoid illuminating the coating at other regions. However, other techniques may also be used, as further described below.
For example, the solid surface may be translated under a modulated laser or diode light source. Such techniques are discussed in, for example, U.S. Pat. No. 4,719,615 (Feyrer et al.), which is incorporated herein by reference. In alternative embodiments a laser galvanometric scanner is utilized. In other embodiments, the synthesis may take place on or in contact with a conventional liquid crystal (referred to herein as a "light valve") or fiber optic light sources. By appropriately modulating liquid crystals, light may be selectively controlled so as to permit light to contact selected regions of the solid surface. Alternatively, synthesis may take place on the end of a series of optical fibers to which light is selectively applied. Other means of controlling the location of light exposure will be apparent to those of skill in the art.
In an exemplary embodiment, exposing the device surface to light is effected so as to provide a patterned substrate in which reactive groups are generated according to a pre-selected pattern. The reactive groups are capable of specifically binding to a biomolecule-immobilizing moiety. The pattern can be printed directly onto the substrate or, alternatively, a "lift off' technique can be utilized. In the lift off technique, a patterned resist is laid onto the substrate or onto the light source. Resists are known to those of skill in the art. See, for example, Kleinfield et al., J. Neurosci. 8:4098-120 (1998). In some embodiments, following removal of the resist, a second pattern is printed onto the substrate on those areas initially covered by the resist; a process that can be repeated any selected number of times with different components to produce an array having a desired format.  The surface area of the pattern is selected such that it contains at least five different amounts of reactive groups at five different positions.
In one embodiment, the positions are addressable positions.
The lowest amount of exposed reactive agent of the five different amounts is typically at least 5 fold less than the highest amount of exposed reactive agent of the five different amounts.
In other embodiments, the lowest amount of exposed reactive agent of the five different amounts is typically at least 10 fold less than the highest amount of exposed reactive agent of the five different amounts.
In other embodiments, the lowest amount of exposed reactive agent of the five different amounts is typically at least 100 fold less than the highest amount of exposed reactive agent of the five different amounts.
At its minimum, the patterned surface area is about 0.01 mm2, 0.02 mm2, 0.03 mm2, 0.04 mm2, 0.05 mm2, 0.06 mm2, 0.07 mm2, 0.08 mm2, 0.09 mm2 or even 0.1 mm2.
At its maximum, the patterned area of the device is no greater than 200 mm2. In another embodiment, the patterned surface area of the device is no greater than 100 mm2. In another embodiment, the patterned surface area of the device is no greater than 50 mm2. In another embodiment, the patterned surface area of the device is no greater than 32 mm2.
The patterning may be such that the patterned surface area contains at least 5, 10, 15, 20, 25, 30, 40, 50, 100, different amounts of reactive groups.
Typically, each device generates at least 5, 10, 20, 30, 40, 50, 100, 150, 200, 250, 300, 360, 400, 450, 500 distinct points of data, each point of data representing a particular concentration of biomolecule.
The patterning may be such that the patterned surface area contains at least 5, 10, 15, 20, 25, 30, 40, 50, 100, different amounts of immobilized biomolecule attached thereto at different positions.
According to a particular embodiment, the patterned surface area of the device is between 0.05 mm2 - 50 mm2.
In one embodiment, the pattern is a gradient, whereby the amount of exposed reactive groups gradually decreases along the length (or width) of the device. Thus, the pattern of exposed reactive groups forms a continuous gradient along the length of the device.
In another embodiment, the pattern is a randomized pattern.
The surface of the device may be irradiated either in contact or not in contact with a solution and is, preferably, irradiated in contact with a solution. The solution may contain reagents to prevent the by-products formed by irradiation. Such by-products might include, for example, carbon dioxide, nitrosocarbonyl compounds, styrene derivatives, indole derivatives, and products of their photochemical reactions. Alternatively, the solution may contain reagents used to match the index of refraction of the substrate. Reagents added to the solution may further include, for example, acidic or basic buffers, thiols, substituted hydrazines and hydroxyl amines, or reducing agents (e.g., NADH).
Preferably, the substrate material is substantially non-fluorescent or emits light of a wavelength range that does not interfere with the photoactivation. Examples of such materials include, but are not limited to, silicon-based materials (exemplified hereinbelow) and elastomeric materials.
The term "elastomer" and "elastomeric" as used herein refers to the general meaning as used in the art. Thus, for example, Allcock et al. (Contemporary Polymer Chemistry, 2nd Ed.) describes elastomers in general as polymers existing at a temperature between their glass transition temperature and liquefaction temperature. Elastomeric materials exhibit elastic properties because the polymer chains readily undergo torsional motion to permit uncoiling of the backbone chains in response to a force, with the backbone chains recoiling to assume the prior shape in the absence of the force. In general, elastomers deform when force is applied, but then return to their original shape when the force is removed. The elasticity exhibited by elastomeric materials can be characterized by a Young's modulus. The elastomeric materials utilized in the devices disclosed herein typically have a Young's modulus of between about 1 Pa-1 TPa, in other instances between about 10 Pa- 100 GPa, in still other instances between about 20 Pa-1 GPa, in yet other instances between about 50 Pa-10 MPa, and in certain instances between about 100 Pa-1 MPa. Elastomeric materials having a Young's modulus outside of these ranges can also be utilized depending upon the needs of a particular application. Examples of elastomeric materials which can be used to fabricate the devices of the present invention include, but are not limited to, GE RTV 615 (formulation), a vinyl-silane crosslinked (type) silicone elastomer (family e.g., PDMS).
The choice of materials typically depends upon the particular material properties (e.g., solvent resistance, stiffness, gas permeability, and/or temperature stability) required for the application being conducted. Additional details regarding the type of materials that can be used in the manufacture of the chamber are disclosed herein are set forth in Unger et al. (2000) Science 288: 113-116, and PCT Publications WO 02/43615, and WO 01/01025. Exemplary low- background substrates include those disclosed by Cassin et al., U.S. Patents No. 5,910,287 and Pham et al., U.S. Patent No. 6,063,338.
Preferred elastomers of the instant invention are biocompatible, gas permeable, optically clear elastomers useful in soft lithography including silicone rubbers, most preferably PDMS. Other possible elastomers for use in the devices of the invention include, but are not limited to, polyisoprene, polybutadiene, polychloroprene, polyisobutylene, poly(styrene-butadiene-styrene), the polyurethanes, and silicone polymers; or poly(bis(fhioroalkoxy)phosphazene) (PNF, Eypel- F), poly(carborane-siloxanes) (Dexsil), poly(acrylonitrile-butadiene) (nitrile rubber), poly(l- butene), poly(chlorotrifluoroethylene-vinylidene fluoride) copolymers (Kel-F), poly(ethyl vinyl ether), poly(vinylidene fluoride), poly(vinylidene fluoride-hexafluoropropylene) copolymer (Viton), elastomeric compositions of polyvinylchloride (PVC), polysulfone, polycarbonate, polymethylmethacrylate (PMMA), and polytertrafluoroethylene (Teflon).
In a preferred embodiment, the substrate material is substantially non-reactive with nucleic acids, thus preventing non-specific binding between the substrate and the nucleic acids. Methods of coating substrates with materials to prevent non-specific binding are generally known in the art. Exemplary coating agents include, but are not limited to cellulose, bovine serum albumin, and poly(ethyleneglycol). The proper coating agent for a particular application will be apparent to one of skill in the art.
In one embodiment, the device forms the bottom surface of a chamber. The chamber may be a single chamber or part of a multi-chamber apparatus.
The multi-chamber apparatus may contain at least 50, 100, 150, 200, 250, 300, 350, 400, 450, 500 or more chambers.
In one embodiment, each chamber of the multiple-chamber apparatus is in fluid isolation from its neighboring chamber.
In another embodiment, a portion of the chambers of the multi-chamber apparatus are in fluid isolation from at least one of its neighboring chamber.
According to a specific embodiment, the multi-chamber apparatus is a 96 well plate (e.g. as manufactured by Corning or ThermoFisher).
According to another embodiment, the multi-chamber apparatus is a microchip.
In another embodiment, the device is placed in a chamber (e.g. in a well of a 96 well plate).
The term “chamber” as used herein, refers to an open or closed compartment in which the affinity of a biomolecule for its target is determined.
The bottom surface of the chamber may be the device per se. In this arrangement, the chamber further comprise side walls.
In one embodiment, the bottom surface of the chamber is a single device.
Alternatively, one or a plurality of devices may sit inside a single chamber and serve as the bottom surface of the chamber.
The chamber may comprise volumes of between I pl - 10 ml.  Exemplary ranges include 1 pl -100 μl, 1 pl - 1000 μl, 1 μl - 100 μl, 1 pl - 10 μl, 1 pl - 1 pl.
According to a particular embodiment, the height of the chamber is between 1μm -20pm or between 1μm -10μm.
The aspect ratio of the height of the chamber: lateral dimension of the chamber (e.g. a diameter of a circle or the length of a rectangle/square is preferably 1 : 10 - 1 : 100.
In one embodiment, the chamber is comprised in a microfluidic device comprising, at its minimum, a test chamber and a flow-through channel.
As used herein the phrase "microfluidic device" refers to a synthetic device in which minute volumes of fluids are flowed. The flow-through channel of the device is generally fabricated at the micron to sub-micron scale, e.g., the flow-through channel typically has at least one cross-sectional dimension in the range of less than about 1 mm.
As mentioned, the reactive groups of the coating are capable of binding specifically to biomolecule-immobilizing moiety. The amount of biomolecule-immobilizing moiety which binds to the device is directly proportional to the amount of reactive groups on the surface of the device.
As used herein, the phrase "biomolecule-immobilizing moiety" describes a capturing agent or a plurality of capturing agents being linked therebetween that may bind to both the surface of the device (e.g. via the reactive group) and the tested biomolecule, and thus mediates the binding of the biomolecule to the surface of the device.
The biomolecule-immobilizing moiety can thus be a bifunctional moiety, having two reactive groups, each independently capable of reacting with the reactive group attached to the device or the biomolecule. Alternatively, the biomolecule-immobilizing moiety can comprise two or more moieties, whereby the first moiety can be attached to the reactive group and the second moiety can be attached to a second mediating moiety, whereby the second mediating moiety can bind the biomolecule (e.g. polypeptide).
Optionally and preferably, the biomolecule-immobilizing moiety is a member of an affinity pair, such as, for example, the biotin-avidin affinity pair. In one embodiment, the members of the affinity pair bind (e.g. non-covalently) to one another. Typically, the dissociation constant (Kd) of the first member of the affinity pair from the second member of the affinity pair is less than 10-3 M, less than 10-4 M, less than 10-5M, less than 10-6M, less than 10-7 M, less than 10-8M, less than 10-9 M, less than 10-10 M, less than 10-11 M, less than 10-12 M, less than 10-13 M, less than 10-14M, less than 10-15 M.  In one embodiment, the biomolecule-immobilizing moiety is biotin. When attached to the reactive group, biotin can bind covalently a variety of chemical and biological substances that are capable of reacting with the free carboxylic group thereof.
In one embodiment, the biomolecule-immobilizing moiety comprises avidin (e.g. streptavidin).
The biomolecule-immobilizing moiety per se is not visibly detectable (i.e. it does not comprise a detectable moiety such as a visible color moiety, a fluorescent moiety or a phosphorescent moiety).
In one embodiment, the device is provided, wherein the biomolecule-immobilizing moieties are pre-bound to the device according to the predetermined pattern (the predetermined pattern being at least 5 distinct amounts), and are free to bind (directly or indirectly) with the second member of the affinity pair.
In another embodiment, the device is provided, wherein the biomolecule-immobilizing moieties are pre-bound to the device according to the predetermined pattern, and is no longer free to bind with the second member of the affinity pair, as further described below.
As mentioned, the purpose of the device of this aspect of the present invention is to determine binding affinity of a biomolecule for its target.
The term “biomolecule” refers to a molecule which belongs to a category that is found in nature. Exemplary biomolecules contemplated by the present invention include polypeptide, nucleic acids, carbohydrates, lipids and vitamins.
In one embodiment, the biomolecule is made up of amino acids (e.g. a peptide, a polypeptide, a protein).
The protein may be from any source, e.g. a mammalian protein, a viral protein, a bacterial protein, a plant protein etc.
Targets of proteinaceous biomolecules include proteins, nucleic acids, carbohydrates, lipids and vitamins.
According to a specific embodiment, the biomolecule is a first protein (e.g. not an antibody) and the target is a second protein (e.g. an antibody).
The antibody may be a monoclonal antibody or a polyclonal antibody.
In one embodiment, the antibody is an antibody fragment.
According to a specific embodiment, the biomolecule is a first protein (e.g. antibody) and the target is a second protein (e.g. a not an antibody).
In another embodiment, the biomolecule is a nucleic acid.
Targets of nucleic-acid based biomolecules include proteins and nucleic acids.  In one embodiment, the device comprises a mediating moiety which mediates the binding of the biomolecule (e.g. protein) to the biomolecule-immobilizing moieties. The amount and positioning of mediating moieties immobilized on the device correlates with the amount and positioning of the biomolecule-immobilizing moieties patterned on the device.
The mediating moiety typically comprises the second member of the affinity pair (e.g. biotin or streptavidin) so that it can be immobilized to the device.
Immobilization of the mediating moiety can be effected as known in the art. In one embodiment, the mediating moiety (e.g. antibody) is biotinylated, mixed with streptavidin and attached to the surface of the device which is pre-patterned with biotin, as described herein above (see also examples section herein below).
In one embodiment, the mediating moiety is an antibody directed towards a protein biomolecule. Typically, the mediating moiety is selected such that binding thereof to the biomolecule does not interfere with binding of the biomolecule to its target.
In one embodiment, the mediating moiety is an antibody directed towards an affinity tag which is expressed on the protein biomolecule or comprised on a non-protein biomolecule. Typically, the position of the tag on the biomolecule is such that it does not interfere with the binding of the biomolecule to the target.
In other embodiments, the mediating moiety (e.g. antibody) is specific to an antigenic determinant of the protein biomolecule, rendering the tag redundant.
Several different kinds of affinity tags are known in the art. In particular embodiments, the affinity tag is selected from the group consisting of hemagglutinin (HA), AviTag™, V5, Myc, T7, FLAG, HSV, VSV-G, His, biotin, or streptavidin.
According to a particular embodiment, the affinity tag is HA and the mediating moiety is an anti-HA antibody. The anti-HA antibodies are contemplated which comprise an immobilizing moiety (e.g. avidin, streptavidin) so that they can be immobilized on the surface of the device.
Optionally, the device described herein can further comprise the biomolecule which is being tested, irrespective of whether the device further comprises the mediating moiety. The biomolecule is immobilized to the surface of the device such that the amount and positioning thereof on the device correlates with the amount and positioning of the biomolecule- immobilizing moieties patterned on the device.
The biomolecule may be immobilized to the device directly (i.e. may comprise a second member of the affinity pair) or indirectly via the mediating moiety as further described herein above.  According to another embodiment, the biomolecule attached to the surface of the device comprises a detectable moiety.
Examples of detectable moieties include, but are not limited to fluorescent moieties, phosphorescent moieties, chemiluminescent moieties and luminescent moieties.
Examples of such detectable moieties include, but are not limited to green fluorescent protein from Aequorea victoria ("GFP"), the yellow fluorescent protein (YFP) and the red fluorescent protein (RFP) and their variants (e.g., Evrogen). Others may include unnatural fluorescent amino acids (as in Figure 10).
Table 1 provides non-limiting examples of detectable moieties and affinity tags contemplated by the present invention.
The present invention further contemplates that the biomolecule is generated on the device surface by cell-free gene expression.
Accordingly, the device surface may be fabricated with nucleic acids which encode the biomolecule.
In one embodiment, the nucleic acids are attached to the second member of the affinity pair so that they can bind to the first member of the affinity pair which is on the planar surface.
Alternatively, the nucleic acids are attached to a member of a different affinity pair, such that binding of the nucleic acids to the device is not affected by binding of the mediating moiety to the device.  In one embodiment, the nucleic acids are immobilized on the planar surface at a single predetermined position. For example, when the biomolecule-immobilizing moieties are patterned as a gradient, with the highest amount at one end of the device and the lowest amount on the opposite end of the device, the nucleic acids are immobilized to the end with the highest amount of biomolecule-immobilizing moieties. It will be appreciated that the nucleic acids may be immobilized according to any pattern which can be selected by the user according to whether the user wishes to enhance the gradient of biomolecules attached to biomolecule-immobilizing moieties or offset the gradient of biomolecules attached to biomolecule-immobilizing moieties.
In another embodiment, the nucleic acids are immobilized throughout the planar surface. In one embodiment, the positioning of the nucleic acids on the planar surface is not the same as the positioning of the mediating moieties that are immobilized to the surface.
The nucleic acids may be spotted (e.g. using a microspotter) in designated regions within the biotinylated regions. Following washing of excess nucleic acids, the mediating moieties (e.g. antibodies) may be added onto the entire surface which bind selectively to the patterned biotins. Excess antibodies may then be washed.
The nucleic acid may be single stranded or double stranded. The nucleic acid may be DNA (e.g. cDNA, genomic DNA, synthetic DNA), RNA, a combination of both. Preferably, the nucleic acid is linear DNA. The nucleic acid may be isolated from a cell, or may by synthesized in vitro. Typically, the nucleic acids of this aspect of the present invention comprise at least one promoter and encodes the biomolecule - e.g. a biomolecule labeled with a detectable moiety.
The nucleic acids may be of any length. According to a particular embodiment, the nucleic acids are between 200 bp-500 bp, or between 200 bp-2000 bp, or between 200 bp-3000 bp, or between 200 bp-4000 bp, or between 200 -5000 bp.
Nucleic acids of this aspect of the present invention are further described herein below.
According to one embodiment, at least a portion of the surface of the device is coated with the nucleic acids.
Preferably, the density of the nucleic acids on the surface of the device is between 1- 103 DNAμm2, for example in the order of 102 DNA2. μm
According to a specific embodiment, each nucleic acid is immobilized to the surface of the device such that the space between them is about 30-100 nm.
The nucleic acids are typically orientated on the device such that the regulatory region of the nucleic acid (e.g. promoter) is further from the device and the direction of protein synthesis is in the direction towards the device.  The nucleic acids encoding the biomolecule may be attached to the device (or portion thereof) in a wide variety of ways, as will be appreciated by those in the art. The nucleic acids may either be synthesized first, with subsequent attachment to the device, or may be directly synthesized on the device.
The isolated nucleic acid may also be attached to the device non-covalently. For example, a biotinylated nucleic acid can be prepared, which may bind to surfaces covalently coated with streptavidin, resulting in attachment. Alternatively, a biotinylated nucleic acid can be prepared, mixed with streptavidin and bind to surfaces coated with biotin, resulting in attachment. Alternatively, a nucleic acid may be synthesized on the surface using techniques such as photopolymerization and photolithography. Additional methods of attaching nucleic acids to solid surfaces and methods of synthesizing nucleic acids on solid surfaces are well known in the art, i.e. VLSIPS technology from Affymetrix (e.g., see U.S. Pat. No. 6,566,495, and Rockett and Dix, "DNA arrays: technology, options and toxicological applications," Xenobiotica 30(2): 155-177, all of which are hereby incorporated by reference in their entirety).
As mentioned herein above, the sequence of the isolated nucleic acids which are attached to the device encodes a promoter which is operatively linked to a nucleic acid sequence encoding the protein biomolecule.
As used herein, the term "promoter" refers to a nucleic acid fragment that functions to control the transcription of one or more genes, located upstream with respect to the direction of transcription of the transcription initiation site of the gene, and is structurally identified by the presence of a binding site for DNA-dependent RNA polymerase, transcription initiation sites and any other DNA sequences, including, but not limited to transcription factor binding sites, repressor and activator protein binding sites, and any other sequences of nucleotides known to one of skill in the art to act directly or indirectly to regulate the amount of transcription from the promoter.
A "constitutive" promoter is a promoter that is active under most environmental and developmental conditions. An example of a constitutive promoter is cytomegalovirus (CMV) or Rous sarcoma virus (RSV) promoter.
An "inducible" promoter is a promoter that is active under environmental or developmental regulation.
Examples of inducible promoters include the tetracycline-inducible promoter (Srour, M.A., et al., 2003. Thromb. Haemost. 90: 398-405), an IPTG inducible promoter, P70, P70b, P28, P38 or Plac\arac (Pla).
In the isolated nucleic acid, the promoter is preferably positioned approximately the same distance from the heterologous transcription start site as it is from the transcription start site in its natural setting. As is known in the art, however, some variation in this distance can be accommodated without loss of promoter function.
A DNA segment such as an expression control sequence is "operably linked" when it is placed into a functional relationship with another DNA segment. For example, a promoter or enhancer is operably linked to a coding sequence if it stimulates the transcription of the sequence. DNA for a signal sequence is operably linked to DNA encoding a polypeptide if it is expressed as a pre-protein that participates in the secretion of the polypeptide. Generally, DNA sequences that are operably linked are contiguous, and, in the case of a signal sequence, both contiguous and in reading phase. However, enhancers need not be contiguous with the coding sequences whose transcription they control. Linking is accomplished by ligation at convenient restriction sites or at adapters, linkers, or PCR fragments by means know in the art.
According to one embodiment, the promoter is a eukaryotic promoter.
Eukaryotic promoters typically contain two types of recognition sequences, the TATA box and upstream promoter elements. The TATA box, located 25-30 base pairs upstream of the transcription initiation site, is thought to be involved in directing RNA polymerase to begin RNA synthesis. The other upstream promoter elements determine the rate at which transcription is initiated.
According to another embodiment, the promoter is a prokaryotic promoter.
According to still another embodiment, the promoter is a tissue specific promoter.
The nucleic acid of this aspect of the present invention may further comprise an enhancer element. Enhancer elements can stimulate transcription up to 1,000 fold from linked homologous or heterologous promoters. Enhancers are active when placed downstream or upstream from the transcription initiation site. Many enhancer elements derived from viruses have a broad host range and are active in a variety of tissues. For example, the SV40 early gene enhancer is suitable for many cell types. Other enhancer/promoter combinations that are suitable for some embodiments of the invention include those derived from polyoma virus, human or murine cytomegalovirus (CMV), the long term repeat from various retroviruses such as murine leukemia virus, murine or Rous sarcoma virus and HIV. See, Enhancers and Eukaryotic Expression, Cold Spring Harbor Press, Cold Spring Harbor, N.Y. 1983, which is incorporated herein by reference.
Polyadenylation sequences may also be present in the nucleic acids in order to increase the efficiency of mRNA translation. Two distinct sequence elements are required for accurate and efficient polyadenylation: GU or U rich sequences located downstream from the polyadenylation site and a highly conserved sequence of six nucleotides, AAUAAA, located 11-30 nucleotides upstream. Termination and polyadenylation signals that are suitable for some embodiments of the invention include those derived from SV40.
The nucleic acid of some embodiments of the invention can further include additional polynucleotide sequences that allow, for example, the translation of several proteins from a single mRNA such as an internal ribosome entry site (IRES) and sequences for genomic integration of the promoter-chimeric polypeptide.
In the context of this invention, the term "translational initiator sequence" is defined as the ten nucleotides immediately upstream of the initiator or start codon of the open reading frame of a DNA sequence coding for a polypeptide. The initiator or start codon encodes for the amino acid methionine. The initiator codon is typically ATG, but may also be any functional start codon such as GTG, TTG or CTG.
It will be appreciated that the individual elements comprised in the nucleic acid can be arranged in a variety of configurations. For example, enhancer elements, promoters and the like, and even the polynucleotide sequence(s) encoding the polypeptide can be arranged in a "head-to- tail" configuration, may be present as an inverted complement, or in a complementary configuration, as an anti-parallel strand. While such variety of configuration is more likely to occur with non-coding elements of the nucleic acid, alternative configurations of the coding sequence within the nucleic acid are also envisioned.
In order to express the biomolecule in a chamber comprising the device, the immobilized nucleic acids are contacted with agents for performing expression therefrom. Such agents are typically not immobilized to the device, although it will be appreciated that it is possible to also mobilize certain of these agents to the device if desired. The contacting is effected under conditions (e.g. temperature and time) that allow expression from the immobilized nucleic acids of the biomolecule.
Exemplary agents for performing expression include but are not limited to ribonucleotides, RNA polymerase (e.g. RNA polymerase II), transcription factors, ribosomes, tRNA, tRNA amino acyl synthetase, initiation factors, elongation factors, termination factors and amino acids. Preferably, the non-immobilized agents of this aspect of the present invention do not include DNA.
The fluid which carries/contains the non-immobilized components are typically buffered solutions which are physiologically relevant such that they do not interfere with expression of the components or interaction therebetween.
In one embodiment, the chamber is heated to physiological temperatures (e.g. 37 °C) to promote transcription/translation and/or association of the components. In another embodiment, the chamber is maintained at a temperature of 10-37°C (e.g. 16-25 °C or 16-20 °C).  In one embodiment, a cell-free protein expression system is used in the method to provide the non-immobilized agents. Examples of cell-free expression systems include minimal expression systems from purified components: PUREexpress from New England Biolabs; PUREfrex from CosmoBio, Japan;Cell extracts: myTXTL™ - Cell-Free Protein Expression from arbor biosciences; Expressway cell-free Expression system, Invitrogen; E. coll S30 Extract System, Promega; Remarkable Yield Expression System (RYTS), CosmoBio, Japan.
In another embodiment, a cell-extract is used in the method to provide the non-immobilized agents.
As mentioned, a plurality of devices of the present invention may be comprised in a multichamber apparatus, wherein the bottom surface of at least 10 %, 20 %, 30 %, 40 %, 50 %, 60 %, 70 %, 80 %, 90 % or 100 % of the compartments thereof comprises or is composed of a single device.
Each device of the multi-chamber apparatus may be fabricated with an identical pattern of biomolecule-immobilizing moi eties.
Alternatively, at least two devices of the multi-chamber apparatus have non-identical patterns of biomolecule-immobilizing moieties. Typically, the identity of the biomoleculeimmobilizing moieties is identical in each of the devices.
Typically, when the devices of the multi-chamber apparatus are fabricated with nucleic acids for expressing the biomolecule by cell-free protein expression, at least two, three, four, five, six, seven, eight, nine or more of the devices are fabricated with nucleic acids encoding different biomolecules.
In one embodiment, the biomolecules are different due to a mutation (e.g. (e.g., amino acid substitution, deletion, insertion). According to a specific embodiment, the mutation is a point mutation. According to another embodiment, the mutation is a substitution.
Furthermore, the present inventors conceive that at least two of the devices are fabricated with nucleic acids encoding an identical biomolecule. This may be important to ensure experimental reliability and reproducibility, such that duplicate assays are performed using the same biomolecule and target
Thus, for example, the present inventors contemplate a multi -chamber apparatus, having at least two, three, four, five, six, seven, eight, nine, ten or more of the chambers comprises devices which encode distinct biomolecules. Thus, for example, if the target is an antibody, at least two, three, four, five, six, seven, eight, nine, ten or more of the chambers comprises devices which encode distinct candidate antigens.  Typically, when the device further comprises mediating moieties (such as the anti-tag antibodies described herein above), typically the identity of the mediating moieties is identical in each device.
The devices of the present invention may be used to measure the binding affinity of a biomolecule to a target thereof.
Thus, according to another aspect of the invention there is provided a method of measuring the binding affinity of a biomolecule to a target thereof, the biomolecule being patterned on a continuous planar surface of a device, the pattern comprising at least 5 different amounts of biomolecule-immobilizing moieties at distinct locations over a surface area of between 0.05 mm2 - 50 mm2, wherein a difference between a highest amount and a lowest amount of the 5 different amounts is at least 5 fold:
(a) contacting the biomolecule with the target, the target being attached to a detectable moiety;
(b) quantifying the amount of the detectable moiety immobilized on the planar surface by the biomolecule, wherein the amount of the immobilized detectable moiety is indicative of the binding affinity of the biomolecule to the target.
The method of this aspect of the invention allows for determining on a single device a full binding curve between a biomolecule and its target to thereby derive an affinity equilibrium constant using a single reaction volume. Due to the miniaturized system, the reaction volume may be less than 1 ml, less than 500 μl, less than 100 μl, less than 10 μl, less than 1 pl, less than 500 nl, less than 100 nl, less than 10 nl, less than 1 nl.
According to this aspect of the present invention, the target molecule comprises a detectable moiety. Preferably, the detectable moiety of the target is distinguishable from the detectable moiety of the biomolecule.
The target molecule (and optionally also the attached molecule) may be detected according to methods known in the art and according to the nature of the detectable moiety which is comprised in each.
In one embodiment, the detection is carried out by fluorescent microscopy imaging.
In a particular embodiment, the imaging is carried out using Total Internal Reflection Fluorescence (TIRF) microscopy.
In one embodiment, the binding affinity of a plurality of molecules to their targets are determined simultaneously using the same multi-chamber apparatus (i.e. by multiplexing).
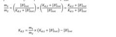
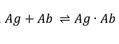
In order to determine binding affinity, the following chemical equilibrium A + B AB can be considered, with A being the biomolecule patterned on the surface and B the target that is applied on the surface. The binding affinity between A and B can be described by the dissociation constant according to the following equation:
To derive Kd, a solution of target B at a concentration [B]tot is applied on the surface of the device. After washing, the amount of B that is left bound on the surface is determined and plotted against the amount of A at each surface position (whereby the amount of A and the amount of B can be determined by quantifying detectable moiety attached to each).
In the limit that [B]tot is in excess over the A concentration on the surface, the data can be fitted according to the following equation
Y is the amount of B at each position on the surface after washing and x is the amount of A bound on the surface. The slope is proportional to both [B]tot and Kd. Since all devices may be exposed to the same [B]tot, comparing the slopes of different devices on the same multi chamber apparatus is sufficient to derive affinity rankings. If however an absolute Kd is desired, the experiment can be repeated with increasing [B]tot. Each will have a different slope. By plotting the slopes as a function of [B]tot, the Kd can be derived.
Other calculations that can be used to determined binding affinity are presented in the Examples section herein below.
As used herein the term “about” refers to ± 10 %
The terms "comprises", "comprising", "includes", "including", “having” and their conjugates mean "including but not limited to".
The term “consisting of’ means “including and limited to”.
The term "consisting essentially of' means that the composition, method or structure may include additional ingredients, steps and/or parts, but only if the additional ingredients, steps and/or parts do not materially alter the basic and novel characteristics of the claimed composition, method or structure.
As used herein, the singular form "a", "an" and "the" include plural references unless the context clearly dictates otherwise. For example, the term "a compound" or "at least one compound" may include a plurality of compounds, including mixtures thereof.
Throughout this application, various embodiments of this invention may be presented in a range format. It should be understood that the description in range format is merely for convenience and brevity and should not be construed as an inflexible limitation on the scope of the invention. Accordingly, the description of a range should be considered to have specifically disclosed all the possible subranges as well as individual numerical values within that range. For example, description of a range such as from 1 to 6 should be considered to have specifically disclosed subranges such as from 1 to 3, from 1 to 4, from 1 to 5, from 2 to 4, from 2 to 6, from 3 to 6 etc., as well as individual numbers within that range, for example, 1, 2, 3, 4, 5, and 6. This applies regardless of the breadth of the range.
Whenever a numerical range is indicated herein, it is meant to include any cited numeral (fractional or integral) within the indicated range. The phrases “ranging/ranges between” a first indicate number and a second indicate number and “ranging/ranges from” a first indicate number “to” a second indicate number are used herein interchangeably and are meant to include the first and second indicated numbers and all the fractional and integral numerals therebetween.
As used herein the term "method" refers to manners, means, techniques and procedures for accomplishing a given task including, but not limited to, those manners, means, techniques and procedures either known to, or readily developed from known manners, means, techniques and procedures by practitioners of the chemical, pharmacological, biological, biochemical and medical arts.
When reference is made to particular sequence listings, such reference is to be understood to also encompass sequences that substantially correspond to its complementary sequence as including minor sequence variations, resulting from, e.g., sequencing errors, cloning errors, or other alterations resulting in base substitution, base deletion or base addition, provided that the frequency of such variations is less than 1 in 50 nucleotides, alternatively, less than 1 in 100 nucleotides, alternatively, less than 1 in 200 nucleotides, alternatively, less than 1 in 500 nucleotides, alternatively, less than 1 in 1000 nucleotides, alternatively, less than 1 in 5,000 nucleotides, alternatively, less than 1 in 10,000 nucleotides.
It is appreciated that certain features of the invention, which are, for clarity, described in the context of separate embodiments, may also be provided in combination in a single embodiment. Conversely, various features of the invention, which are, for brevity, described in the context of a single embodiment, may also be provided separately or in any suitable sub-combination or as suitable in any other described embodiment of the invention. Certain features described in the context of various embodiments are not to be considered essential features of those embodiments, unless the embodiment is inoperative without those elements.
Various embodiments and aspects of the present invention as delineated hereinabove and as claimed in the claims section below find experimental support in the following examples.  EXAMPLES
Reference is now made to the following examples, which together with the above descriptions illustrate some embodiments of the invention in a non-limiting fashion.
Generally, the nomenclature used herein and the laboratory procedures utilized in the present invention include molecular, biochemical, microbiological and recombinant DNA techniques. Such techniques are thoroughly explained in the literature.
MATERIALS AND METHODS
Chip preparation
The process of chip preparation was previously described in Vonshak et al., Nat Nanotechnol 1-9 (2020) doi: 10.1038/s41565-020-0720-7.
Briefly, a Si wafer (University Wafer, USA) was etched in three steps. The patterns were created using AutoCAD software (AutoDesk) in dxf format and converted to CIF format using KLayout. Photolithography on the wafer was done using a Microwriter ML3 (Durham Magneto Optics, UK) and etched with an inductively couple plasma (ICP) machine (LPX ICP, SPTS Technologies, UK). For the first step a ~0.5 thicμkm layer of S1805 resist (MicroChemicals, Germany) was spin-coated on the wafer, which was then etched using 10 cycles (circular compartments) or 20 cycles (elongated compartments) of an SF6 etch alternating with C4F8 polymer deposition (Bosch process). This resulted in - 5 deep (cirμcumlar compartments) or -10μm deep (elongated compartments) chambers. Similarly, in the second step a -3 thick layer of S 1818\S 1828 resist (MicroChemicals, Germany) was spin-coated on the wafer that was etched in the first step. Following 100 cycles of Bosch process on the ICP the - 50 deep sepμamration channels were formed. On the third step a -3-9 tμhmick layer of S1828\AZ4562 resist (MicroChemicals, Germany) was spin-coated on the back side of the wafer. Following 600-700 cycles of Bosch process etching the outer rim of the chip wafer was divided into separate chips. All heights were measured using a stylus profiler (DktakXT, Dektak/Bruker, USA).
The silicon chips were then coated with a photosensitive and biocompatible monolayer. The monolayer consists of a polymer formed by a polyethylene glycol backbone with a protected amine at one end and a triethoxysilyl group at the other end. The chips are incubated with a 1 mg. ml'1 solution of the polymer in dried toluene (244511, Sigma-Aldrich, USA), for 15 min, then rinsed with toluene (Bio-Lab, Israel) and dried. For the elongated compartments, pre-treatment of the surface was done to reduce noise. Chips were incubated for 10 minutes in m-dPEG 4-NHS ester (QBD10211 Sigma-Aldrich) diluted 1 :100 v/v in 0.2 M borate-buffered solution pH 8.6 (Thermo Fisher Scientific), rinsed with water and dried. Deprotection of the surface amines is then performed with UV exposition using the MicroWriter ML3. For the circular compartments and full surface exposure of the elongated compartments, the patterns were created using AutoCAD software in dxf format and converted to CIF format using KLayout. For elongated compartments with surface density gradient, a 24 bit RGB PNG was created using MATLAB. The gradient was coded on the Blue channel. The chips were immediately incubated with 0.5 mg/ml biotin 3-sulfo- A-hydroxysuccinimide ester (EZ-link NHS biotin, 20217, Thermo Fisher Scientific, USA) in 0.2 M borate-buffered solution pH 8.6 (Thermo Fisher Scientific) for 30 min, then rinsed with water and dried.
DNA preparation
All coding sequences are placed under a T7 promoter, a strong ribosome binding site (RBS) and are optimized for expression in E. coli. Exemplary sequences uses in the devices are provided in SEQ ID NOs: 4-10. All genes were ordered as gBlocks from IDT, USA and cloned into a pIVEX2.5 plasmid using Gibson Assembly (NEBuilderHiFi Assembly Master Mix, E2621, NEB, USA). For ACE2/RBD binding experiments, ACE2 was tagged with a HA peptide tag, and RBD was tagged with a N-ters eGFP. For Ab binding experiments, genes coding for the antigens were placed in our expression cassette: T7 promoter-RBS-[Ag]-eGFP-HA-T7 terminator. All Nucleocapsid (N) related constructs, all Spike 1 (SI) fragments and all control constructs (His, FLAG) were cloned with eGFP at the C-ter of the antigen. All RBD2 variants and single point mutants were cloned with eGFP at the N-ter of the antigen. SI, RBD2 WT and RBD1 constructs were cloned with both positions, eGFP at the N- or at the C-ter.
Plasmids were transformed into E. coli DH5a, purified using Wizard SV-Gel Miniprep (Promega, USA) and DNA concentrations were determined using a NanoDrop (NanoPhotometer, Implen, USA). Linear double-stranded DNA fragments were then amplified with Polymerase Chain Reaction (PCR) with KAPA HotStart ready mix (07958935001, Roche, Switzerland) using a reverse primer conjugated to biotin as previously described, and purified with the Wizard SV- Gel and PCR Clean-Up System (Promega, USA). DNA was then mixed with streptavidin (S0677 or S4762, Sigma- Aldrich) at a 1.4: 1 streptavidin:DNA ratio in lx phosphate-buffered saline (PBS, 02-023-5A, Sartorius, Germany) and 5-7% glycerol (Bio-Lab, Israel), forming a DNA-streptavi din conjugate. The correct amplification of DNA fragments and conjugation with streptavidin were verified with 1% agarose gel electrophoresis.
DNA brushes contained various percentages of the genes of interest, typically 1-50% of the total brush. The brush density was normalized to 150 nM total concentration of DNA- streptavidin conjugates with a non-coding DNA fragment from an unrelated gene amplified without a promoter.
Chip patterning, expression and staining  DNA deposition
The biotinylated compartments of the chips were patterned with DNA-streptavidin conjugate mixes using a sciFLEXARRAYER S3 spotter with a non-coated PDC60 nozzle (Scienion, Germany). For elongated compartments, smaller drops were generated using sciPU Vario (Scienion, Germany). Several compartments (typically ~10 for circular compartments and -3 for elongated ones) were patterned with the same DNA brush mix, and the position of the DNA species across the chip was randomized to average out noise caused by chip inhomogeneities. Microdroplets were incubated for 2 h to overnight at room temperature and 50% humidity to limit evaporation. The chips were then washed with lx PBS.
Immobilization of capture Abs
High affinity biotinylated anti-HA Abs (50 pg/ml, -500 nM, 12158167001, Roche, Sigma- Aldrich) were mixed with streptavidin at a concentration ratio between 1.5: 1 and 2: 1 streptavidin:Abs in lx PBS and incubated for 30min at 4 °C. The mix was then diluted to 25-50 nM in lx PBS. 75-100 μl of this solution was incubated on the surface of the chip for Ih at 4 °C, and then washed with lx PBS. For ACE2/RBD co-expression experiments in circular experiments, the surface was incubated for 30 min at room temperature with 100 μl of a 3% (w/v) BSA (Bovine Serum Albumin, A7030, Sigma-Aldrich), 0.1% (v/v) Tween-20 (P1379, Sigma-Aldrich) solution in lx PBS (BSA PBS-T) and washed with lx PBS prior to incubation with anti-HA Abs.
Cell-free protein synthesis
All protein synthesis was carried out in an E. coli CFE system prepared according to published protocols57. The CFE reactions were supplemented with 5 pM 6xHis-GamS and 100 nM 6xHis-T7 RNA Polymerase, purified following published protocols (GamS58,T7 RNAP59). The chip was rinsed with lx PBS and excess solution was carefully blotted using paper (Whatman grade 1, 1001-070, Cytiva, USA) without drying the chambers. The chip was rinsed then incubated with 2x50 μl of CFE, excess solution was removed and a 1-2 mm thick polydimethylsiloxane (PDMS) slab (SYLGARD 184 silicone elastomer kit, Dow Corning, USA) previously incubated in a plasma cleaner (PDC-32G-2, Harrick Plasma, USA) for 5 min was applied to seal the chambers. Expression was carried out at temperatures ranging from 16 °C to 30 °C and for times ranging from 30 min to 8 h, in a PCR machine (Labcycler 48, SensoQuest, Germany) fitted with a slide hybridization adapter. After expression, the PDMS slab was removed, and the chip was washed with 1 * PBS. For ACE2/RBD experiments in elongated compartments, the total GFP synthesis in each compartment was measured by imaging chips through the PDMS before opening them. As a negative control for synthesis, a non-fluorescent, HA-tagged protein was synthesized in selected compartments (NC-HA): the coding sequence corresponds to the tail tubular protein of the T4 phage, gpl I32, and is unrelated to SARS-CoV.
A b staining
Chips were blocked following expression by overnight incubation at 4 °C in 1-2 ml BSA PBS-T. All Ab incubation steps were conducted for Ih at room temperature in 2 ml (1 ml for elongated compartments) of a 1 pg/ml Ab dilution in BSA PBS-T. Between incubation of the primary and the secondary Abs, the chips were washed 3 times for 20 min in 2 ml PBS-T (0.1% (v/v) Tween-20 in lx PBS). After staining with the secondary Ab, the chips were washed in PBS- T and imaged. Anti-N mAb 1A6 titration (Fig. 1C,) was conducted by diluting the primary mAb in BSA PBS-T, fetal bovine serum (FBS), or human serum (SI -100 mL, Sigma- Aldrich, Germany). Titrations with anti-RBDl mAb CR3022 (Fig. IH) and anti-N mAb 6H3 were conducted by dilutions the primary mAb in BSA PBS-T.
Primary and secondary mAbs were purchased from Abeam (UK) and Jackson ImmunoResearch (USA), and are listed below:
Primary Abs: monoclonal Mouse anti-6x His tag DyLight650 (abl 17504), monoclonal Rabbit anti-FLAG Alexa647 (ab245893), monoclonal Chimeric anti-SARS-CoV-2 Nucleocapsid 1A6 (ab272852), monoclonal Mouse anti-SARS Nucleocapsid 6H3 (ab273434), monoclonal Human anti-SARS-CoV-2 Spike RBD CV30 (ab277513), monoclonal Mouse anti-SARS-CoV-2 Spike RBD 5G8 (ab277628), monoclonal Human anti-SARS-CoV-1 Spike Glycoprotein SI CR3022 (ab273073), monoclonal Rabbit anti-SARS-CoV-2 Spike RBD HL1003 (ab281303), monoclonal Rabbit anti-SARS-CoV-2 Spike RBD CA11 (ab284651), monoclonal Rabbit anti- ACE2 (abl 08252).
Secondary Abs, used accordingly to primary Abs: Donkey anti-Rabbit Alexa647 (abl 50075), Goat anti-Rabbit Alexa594 (abl 50080), Goat anti-Human DyLight650 (ab97006), Goat anti-Human DyLight550 (ab97004), Goat anti-Mouse DyLight650 (ab97018) and AffiniPure Goat Anti-Human IgM Cy3 (109-165-129).
Negative GFP staining
On-chip protein synthesis of non-fluorescently labeled proteins (ACE2-HA, NC-HA) was quantified using crude E. coll lysate with overexpressed recombinant GFP -HA gene, prepared as follows: A GFP -HA gene under a T7 promoter was transformed in BL21 (DE3) E. coli cells. A single colony was used to inoculate an overnight culture in LB medium with the appropriate antibiotic resistance. A large volume of LB medium (> 1 L) was then inoculated with the overnight culture, and protein synthesis was induced with 0.1 mM IPTG once OD reached 0.8. Cells were further grown at 37 °C for 3 h. Cells were then centrifuged, resuspended in a PBS buffer and lysed with sonication. After centrifugation of the cell debris, the supernatant (GFP crude lysate) was aliquoted and stored at -20 °C. GFP concentration in the crude lysate was estimated with absorbance at 495 nm. Chips were incubated in 2 mL of 50 nM GFP diluted in PBS buffer at room temperature for 10 min, then washed and imaged. The GFP-HA binds to surface anti-HA Abs that were left unbound during the CFE reaction, thereby providing a negative image of the occupied sites.
Human samples
Serum samples were obtained from RayBiotech, CoV-PosSet-Sl (Georgia, USA). Anti-N IgG and IgM were detected by the company with lateral flow assay, anti-RBD2 IgG and IgM were detected and quantified by the company with ELISA. All positive samples but one were tested positive with PCR, one was tested positive with Abs. Negative samples were taken pre-pandemic and were not otherwise tested.
For on chip measurement, 4 μL of serum sample were mixed with 8 μL of BSA PBS-T buffer and 4 μL of crude NC-HA lysate, prepared as described above for GFP crude lysate. The serum and NC-HA mixture was incubated for 10 min at room temperature. The goal of this step was to capture anti-HA antibodies present in the serum and prevent them from forming a background binding to surface captured HA tags. The HA tag is derived from the human influenza hemagglutinin protein, and therefore human sera are likely to present antibodies recognizing this peptide. Although different serum samples showed different background binding to HA tags, spiking the serum with NC-HA alleviated this binding and reduced false positive detection of antigens. Following this incubation, the serum was diluted to 100 μL total volume with BSA PBS- T, and was incubated for 2 h at room temperature on the chip. The chips were then washed with PBS-T and incubated with a secondary antibody as described above.
Fluorescent microscopy imaging
Fluorescent images were obtained using two microscopes:
AxioObserver Z1 inverted microscope with a motorized stage (Zeiss) and Plan- Apochromat 20*/0.8 M27 (Olympus) objective. Illumination was performed using a Colibri2 LED illumination system equipped with a 470-nm, 555-nm, and 625-nm LED module (Zeiss) and filter set 38 HE (Zeiss; excitation 470/40nm, dichroic mirror 495nm, emission 525/50nm), filter set 43 HE (Zeiss; excitation 550/25nm, dichroic mirror 570nm, emission 605/70nm) and filter set 50 (Zeiss; excitation 640/30nm, dichroic mirror 660nm, emission 690/50nm) respectively. Images were captured using an iXon Ultra CCD camera (Andor Technology, Belfast, UK). Chip alignment and multi-image acquisition was performed using the Zeiss ZEN 2012 software.  AxioZoom VI 6 stereo zoom microscope with a motorized stage (Zeiss, Germany) and ApoZ 1.5x 10.37 FWD 30mm (Zeiss) objective. Illumination was performed using a Zeiss Illuminator HXP 200C equipped with filter set 38 (Zeiss; excitation 470/40nm, dichroic mirror 495nm, emission 525/50nm), filter set 43 HE (Zeiss; excitation 550/25nm, dichroic mirror 570nm, emission 605/70nm) and filter set 50 (Zeiss; excitation 640/30nm, dichroic mirror 660nm, emission 690/50nm) respectively. Images were captured using a Zeiss Axiocam 712 monochrome camera. Chip alignment and multi-image acquisition was performed using the Zeiss ZEN 3.4 pro software.
Data analysis
For both circular and elongated compartments, fluorescence intensity data was extracted with an in-house script that cross-correlated the compartment’s image to a reference image to identify the circular or linear region of above-background fluorescence.
For circular compartments, the average intensity of this circular region was subtracted by its local background, the average intensity of the area outside the circle. Fluorescence intensity was normalized by exposure time and gain. All compartments containing a given DNA specie were averaged, and the average of the relevant negative control (gpl 1 for GFP synthesis, a nonbinding antigen for Ab binding) was subtracted from all fluorescence intensity values.
For elongated compartments, the fluorescence intensity was summed on the short axis to extract a one-dimensional vector along the long axis. The fluorescence intensity of a negative control (gpl 1 for both GFP synthesis and Ab binding) was averaged over the long axis and over all compartments. This was taken as background and all fluorescence intensities were subtracted by this value.
Bulk characterization
Expression was characterized in bulk in three types of experiment.
Expression in E. coll CFE system at 30 °C was conducted in a ClarioStar plate reader (BMG Labtech, Germany). 1 nM of Streptavidin conjugated DNA was added to the CFE reaction supplemented with 5 pM 6xHis-GamS and 100 nM 6xHis-T7 RNA Polymerase. Volumes of 10 μL were pipetted in a black flat-bottomed 384-well plate and spun down at 1,000 ref for 2 min. GFP fluorescence was measured with excitation filter 470/15 nm, dichroic filter 491 nm, and emission filter 515-20 nm.
Expression in human cell extract at 30 °C was conducted in a ClarioStar plate reader (BMG Labtech, Germany). 40 ng/μL of plasmid DNA was added to a 1-Step Human Coupled IVT Kit (catalog number: 88881, Thermo Fisher Scientific, USA) according to the kit specifications. Volumes of 10 μL were pipetted in a black flat-bottomed 384-well plate and spun down at 1,000 ref for 2 min. GFP fluorescence was measured with excitation filter 470/15nm, dichroic filter 491 nm, and emission filter 515-20 nm.
E. coll CFE at temperatures varying from 16 °C to 30 °C was conducted in a StepOnePlus (Applied Biosystems, USA) real-time PCR. 1 nM of Streptavidin conjugated DNA was added to the CFE reactions supplemented with 5 pM 6xHis-GamS and 100 nM 6xHis-T7 RNA Polymerase. Volumes of 10 μL were pipetted in a white v-bottomed 96-well plate. GFP fluorescence was measured with the FAM fluorescent channel (excitation: 493 nm, emission: 517 nm).
Protein synthesis and solubility characterization
Synthesis and solubility of proteins was assessed using SDS-Poly Acrylamide- Gel- Electrophoresis (PAGE). Proteins were synthesized in an E. coll CFE system as described above. A sample of the whole CFE reaction was collected, and the rest was centrifuged at 30,000xg for 20 min at 4 °C. The supernatant and the pellet were collected separately. All samples were diluted or resuspended (for the pellet) in lx sample buffer (4x sample buffer: 40% glycerol v/v, 8% SDS w/v, 400 mM DTT, 200 mM Tris pH 6.8, 0.1% bromo-phenol blue). A 4-20% PAGE-gel (Gene Bio- Application, Israel) was pre-run at 160V for 12 min. Samples were loaded unto the gel together with a protein marker (PM2700, SMOBIO, Taiwan) and ran at 160V for 70 min. The gel was imaged with a Typhoon FLA 9500 laser scanner (GE Healthcare, USA) in the GFP channel (excitation: 473 nm, filter LPB) and the far-red channel (excitation: 635 nm, filter LPR).
Disulfide bond formation
To enable the formation of disulfide bonds, iodoacetamide (11149, Sigma-Aldrich, USA) was added to the CFE reaction (naturally reducing) to a final concentration of 0.1 to 0.5 mM. Correct formation of disulfide bonds in this environment was assessed with synthesis of Gaussia luciferase and luminescence measurement with a Pierce Gaussia Luciferase Glow Assay Kit (16160, Thermo Fisher Scientific, USA). The sequence of RBD2 used throughout this work contains seven Cysteine. To enable an additional disulfide bond to form, an elongated sequence of RBD2 with an extra Cysteine codon was cloned.
Affinity measurement with biolayer interferometry
On-chip measured affinity of antigen-Ab pairs was confirmed with biolayer interferometry using an Octet RED96e (Sartorius, Germany). Samples were dispensed into 96-well microtiter plates (655209 Greiner) at a volume of 160 μL per well. Operating temperature was maintained at 30 °C. Streptavidin-coated biosensor tips (18-009 Sartorius, Germany) were dipped into assay buffer (lx PBS, 0.1% BSA, 0.02% Tween-20) for 60 s to establish a baseline. All solutions were diluted in assay buffer, and all steps were carried oud while agitating at 1000 rpm. The tips were then loaded with the antigen by serial dipping into the following solutions: 2.5 pg/mL biotinylated anti -HA Abs 240 s, assay buffer 60 s, 100 nM antigen-HA (synthesized overnight at 16 °C in cellextract with 1 nM plasmid, quantified by GFP fluorescence) 240 s, assay buffer 60 s. Ab association to the antigen was then measured by dipping tips in an Ab solution, ranging from 0 nM to 400 nM Ab for 100 s. Ab dissociation was measured by dipping the tips in assay buffer for 180 s. Tips were recycled by 3 cycles of regeneration buffer (glycine HC1 10 mM pH 1.7) and assay buffer, and were reused until anti-HA attachment could not be detected. Negative controls validating the absence of Ab association to non-cognitive antigens, tips not coated with anti-HA or tips not coated with antigens were conducted. Data were generated automatically by the Octet User Software (version 3.1) and were subsequently plotted with Matlab_R2020a. Kinetics and affinity fits were performed in the software.
RESULTS
Multiplexed antigens display for on chip quantitative antibody-antigen binding assay
In a first chip layout, 384 circular compartments of 150 radius anμdm 5 height were μm etched in a silicon chip (Fig. 1A). Each compartment was patterned in its centre with surfacebound linear DNA polymers forming a high-density gene brush coding for an antigen of interest under a T7 promoter and fused to the GFP gene and an HA peptide tag (FIG. 1A,B, Methods). Upon addition of an E. coll CFE system onto the chip, antigens fused to GFP -HA were synthesized simultaneously in each compartment according to its genetic program and captured on anti-HA Abs immobilized on the surface surrounding the DNA (Fig. 1C,D, Methods). Specifically, the present inventors synthesized in different compartments on one chip the SARS-CoV-2 Nucleocapsid protein (N-GFP-HA) in addition to two control antigens, His-tagged and FLAG- tagged GFP (His-GFP-HA, FLAG-GFP-HA, respectively). The gene fraction in different compartments was varied by mixing it with different amounts of a promoter-less DNA of the same length to maintain a constant DNA brush density, leading to a protein synthesis proportional to gene fraction. Following CFE and washing, the chip was incubated with the anti-N mAb 1A6, which was later detected by a second incubation with fluorescently labeled secondary Abs (Fig. 1C, Methods). Two more identical chips were exposed after CFE to anti -His and anti -FLAG mAbs, respectively. Specific binding of each mAb to its target antigen was detected, with low binding to its non-specific targets (Fig. 1 A inset).
N CFE levels were evaluated by the GFP signal and the corresponding mAb binding level by the secondary Ab signal, resulting in a linear response curve (Fig. 1C). The linear dependency between N antigens and bound Abs for the specific pair agreed well with a limit case of the chemical equilibrium where Abs are in excess compared to antigens. In this
 limit case, the slope m of the linear antigen-Ab binding is proportional to the total Ab concentration and the binding affinity with
 Therefore, by simply diluting genes on-chip a titration curve of antigen-Ab interaction was obtained.
Based on this model, it was hypothesized that antigen-antibody affinity Kd could be derived by obtaining several on-chip antigen-antibody response curves at different total mAb concentration. Twelve identical chips were patterned, each with compartments with variable concentration of N genes and a negative control. Following antigen CFE and capture, each chip was incubated with a different concentration of the same anti-N 1 A6, ranging over three orders of magnitude (Fig. ID). It was found that the slope m increased with increasing Ab concentration (Fig. IE), consistent with the above model. An on-chip Kd of 558±197 ng/mL (~4 ±1 nM, averaged from three titrations) was determined. This affinity was confirmed with biolayer interferometry (BLI) using cell-free synthesized antigen (Kd BLI = 8±4 nM, Methods). Other studies reported an EC50 of 43.50 - 118.4 ng/mL (-0.3-0.7 nM) with ELISA35, and an affinity Kd < 0.7 nM with BLI36. As reported, these methods required 50-100 nM purified N protein whereas no purified protein was required to generate our data. mAb binding to N was still distinguishable from non-specific binding to a control antigen at mAb concentration as low as 0.1 ng/mL (Methods). This chip layout required a mAb volume of - 5 μL per compartment compared to ELISA kits with a similar detection limit37 requiring typically 100 μL of Ab sample per well.
Temperature modulation of antigen synthesis and antibody binding
To demonstrate the generality of the on-chip immuno-profiling platform the present inventors tested CFE and Ab detection of the SARS-CoV-2 SI and its RBD (RBD2). Initial CFE reactions off-chip indicated that the SI and RBD antigens with a C terminus (C-ter) GFP-HA fusion expressed about one order of magnitude lower than the N-GFP-HA antigen. An N terminus (N-ter) GFP fusion improved the expression yet was still lower than N-GFP-HA expression, and expression of both SI -GFP-HA and GFP-S1-HA in a human cell lysate were even lower, suggesting that the E. coli lysate was not the underlying reason for low expression of the mammalian antigens. Protein detection was improved by carrying out CFE at lower temperatures, at the cost of a slower protein synthesis rates. It was found that for all antigen constructs, CFE at temperatures lower than the usual 30 °C resulted in increased CFE signals.
Interestingly, on-chip expression of GFP-RBD2-HA at various temperatures revealed a significant increase in binding of the anti-RBD2 mAb CV30 as the temperature decreased, despite lower CFE (FIG. IF). A similar effect was observed for the N antigen and its specific mAb, and additionally it was found that a shorter expression time led to an improved mAb recognition. Taken together, these data suggest that the GFP-fused antigens are better recognized by Abs when synthesized at lower temperatures, most likely due to their improved correct folding and solubility. The slower translation rate may improve co-translational folding and limit the collapse of insoluble proteins into misfolded and aggregating forms. The present inventors subsequently chose intermediary on-chip CFE temperatures (16-18 °C) to allow for sufficient protein synthesis for detection while minimizing protein misfolding.
With these improved CFE conditions of the RBD antigens on chip it was possible to compare the binding specificity of the anti-RBD2 mAb CV30 to that of CR3022, a mAb recognizing the RBD of the SARS-CoV emerged in 2002-2003 (RBD1). Indeed, it was found that each of these two human patients derived mAbs had high selectivity towards their corresponding antigens (RBD1 and RBD2 to CR3022 and CV30, respectively) (Fig. 1G). Similarly to the titration of anti-N mAb (FIG. ID, E), the present inventors performed an on-chip titration of the CR3022 mAb to the RBD1 antigen synthesis on chip and calculated a Kd=7.4±0.7 nM (FIG. 1H). Furthermore, the effect of disulfide bond formation on mAb recognition was tested by comparing synthesis at reducing or oxidizing conditions (Methods). mAb binding at the oxidizing conditions, that promote disulfide bonds, was only slightly increased compared to the reducing conditions, suggesting that mAb recognition was not hindered by incorrect formation of disulfide bonds.
A full antigen-antibody binding curve in one compartment
The quantitative antigen-antibody interaction analysis presented in FIGs. 1 A-H used over >10 compartments of variable gene fraction per antigen. To dramatically increase the throughput of each chip and the accuracy of the measurement, a different chip layout was used with elongated compartments of 750 xμm 200 andμm 10 heighμtm (FIG. 2B), previously shown to provide increased spatial resolution of protein synthesis and capture32. A spatial gradient of surface traps was created along the long axis of the compartment by UV lithography (Methods). A DNA brush coding fully for the desired antigen was immobilized on one end of the compartment, bypassing the need to prepare multiple gene fraction solutions. After CFE from the immobilized DNA brush, a linear and reproducible gradient of antigens was displayed on the surface (FIGs. 2A,B). Addition of mAbs onto the chip exposed them to a broad range of antigen surface densities, and by averaging over the short axis and considering a pixel size of 1-2 , the prμemsent inventors were able to resolve >300 data points in a single compartment, drastically improving the resolution of the antigen titration. This approach can be considered similarly to a Langmuir adsorption isotherm, where a single compartment displays an array of densities of adsorption sites. The adsorbent (the Ab) adsorbs onto immobile sites of antigens arranged as a monolayer, with no interactions between adjacent sites. A single chip presents a plurality of different antigen-antibody binding isotherms with improved reproducibility as well as resolution, since the antigen gradient is dominated by the surface patterning and not just by the CFE level. With this approach, the present inventors recapitulated the linear antigen-antibody binding function measured in the circular compartments and the Ab-concentration dependent increase of the slope m, as well as the affinity measurement (FIG. 2C,D). Performing a total Ab titration, it was possible to measure the affinity of anti-RBD2 mAb 5G8 to RBD2 (Kd=10.9+0.2 nM, confirmed with BLI).
The improved chip layout with elongated compartments can accommodate many more different antigens on one chip, without compromising the amount of data points. This chip layout could therefore be used to profile the binding of Abs to a large panel of antigenic variants. During the COVID-19 pandemic, new SARS-CoV-2 Variants of Concern (VoC) were constantly emerging with variability in transmissibility, virulence and immune evasion. The Spike region of SARS-CoV-2 is particularly prone to mutations that affect virus fitness. Several chips were patterned with elongated compartments with DNA brushes encoding the RBD2 (WT) antigen and 5 VoC (Alpha, Beta, Delta, Theta, Omicron). These variants differ from the WT sequence by 1 (Alpha) to 15 (Omicron) point mutations. The present inventors further included the single point mutations that constitute each of the Beta, Delta, and Theta variants (FIG. 2E). These point mutations are part of or immediately adjacent to the epitope recognized by this Ab, as determined by X-ray crystallography40.
Post on-chip CFE, each chip was incubated with a different anti-RBD2 mAb, 5G8, CAI 1 and HL1003, and compared to a more limited variant profile of CV30 obtained on a chip with circular compartments (FIG. 2E). In elongated chips, mAb volume could be minimized to ~1 μL per compartment. Unlike the CV30 whose epitope has been previously characterized40, the RBD2 epitopes recognized by the mAbs 5G8, CA11 and HL1003 have not been characterized so far. According to the present epitope profiling, all mutations in the RBD region between amino acids 450 to 500 did not affect binding of 5G8, while mutations of amino acid R346 and K417 abolished its binding entirely, suggesting that the epitope of 5G8 is in the N-ter region of the RBD. CV30 and 5G8 lost their binding to the Beta variant due to the K417N mutation, while CAI 1 and HL1003 lost Beta binding due to the E484K mutation. CV30 had increased binding to the Delta variant due to L452R, but not T478K, and CA11 binding was sensitive to mutations of amino acids K417, L452, T478 and E484, suggesting that these amino acids are part of this mAb’s epitope. The present data suggest that HL1003’s epitope includes amino acids R346, K417, L452, T478 and F490. Interestingly, for some amino acids, such as K417, the K417N substitution did not affect HL1003 binding, while K417T improved HL1003 binding, revealing that this amino acid is most likely part of the epitope of that mAb. The K417N substitution suggests that the interaction of  HL1003 is not with the charge on the side chain of K417 but rather with the long side chain of Lysin (K) and Asparagine (N). The K417T substitution might allow the shorter side chain of threonine (T) to form a hydrogen bond previously not possible.
As all antigen variants on one chip were exposed to the same concentration of mAb, the ratio of the slopes obtained for each variant is proportional to the inverse ratio of the affinities:
 calculated the relative binding affinity of CV30 to the variants and to the single point mutants compared to WT to be: Alpha 0.30 ± 0.05, Beta 0.024 ± 0.006, Delta 2.7 ± 0.4, Theta 0.23 ± 0.04, Omicron 0.033 ± 0.006.
Thorough epitope mapping by gene truncations
The full SARS-CoV-2 N gene (419 amino acids aa) was split into 100 aa-long fragments with a 50 amino acid long overlap (fragments a-h, FIG. 3 A). One chip was programmed with DNA encoding all N-fragments and after antigen CFE, the chip was stained with two anti-N mAbs: 1 A6 (originally raised against the full N protein) and 6H3 (raised against a fragment of N covering aa 121 to 419, see Methods). The chip was stained with the two mAbs simultaneously taking advantage of their orthogonal secondary Abs (Methods). While both mAbs bound strongly to the full N protein (mAb = 0.24 ± 0.04 a.u., mAb2 = 1.4 ± 0.1 a.u., FIG. 3B), 1A6 showed no recognition of any of the N fragments, whereas 6H3 bound strongly to fragment f, aa 252-351 (m = 0.55 ± 0.04 a.u.), did not bind to fragment e, and bound very weakly to fragment g (aa 302-401, m = 0.071 ± 0.004 a.u.). According to this analysis it could be deduced that 6H3 recognizes a region within aa 302-351, while 1 A6 recognizes structural elements only present in the full tertiary structure, in agreement with the way the two mAbs were raised.
A similar fragmentation of the SI gene into 100 aa-long fragments revealed binding of 5G8 to the full SI spike and to 4 fragments within the RBD2, namely fragments e (aa 322-421), f (aa 352-451), g (aa 382-481) and h (aa 402-501), but not to neighboring fragments d (aa 302-401) and i (aa 422-521) (FIGs. 3C,D). The common region of fragments that bind 5G8 is aa 402-421, suggesting this specific subsequence of RBD is the epitope of this mAb. mAbs CV30, CAI 1 and HL1003 did not recognize the full SI protein nor any of the sub-fragments, although they recognized RBD2 WT and variants.
Profiling polyclonal Abs in human sera with a broad antigens panel
Next, the platform was investigated to see whether it could detect pAbs in human sera samples. Whole serum is a challenge compared to mAbs, as it contains a spectrum of Abs relating to an individual’s entire immunity history, varying by epitope recognition and relative amounts. To increase the likelihood of identifying as many sera Abs as possible, chips were patterned with a full battery of antigens related to SARS-CoV-2, full and eight fragments of N, full and twelve fragments of SI, as well as some RBD variants (RBD2 WT, Delta, Omicron and RBD1). Twenty serum samples taken from infected individuals (Methods, PCR-confirmed, sampled between April and August 2020 within 1 to 35 days after onset of the infection) were analyzed and six negative serum samples predating the COVID-19 outbreak. Only 4 μL of each serum was applied per chip (Methods) and following washing, serum Abs were detected with a fluorescently labeled secondary anti -Human IgG Ab. A detection threshold at one standard deviation above the mean of the negative control was set and the Ab signals above this threshold were fitted with a linear fit. The vast majority of binding responses were linear, suggesting a saturating Ab concentration in the serum, while some had non-linear binding curves implying a limiting Ab concentration in the serum. For these limiting concentration cases, the antigen-Ab response was fitted in the low antigen region where the response was still linear.
A large diversity in the Ab binding signatures was found within all 26 serum samples (FIGs. 4A, B). Every N and SI sub-fragment were recognized in at least one patient, while none were recognized in all patients, suggesting that lack of binding of a particular antigen was not due to its poor display but rather for lack of an immune response to this antigen in a particular individual. The strength of antigen recognition (as evident by the slope ni) was also very variable between samples and between antigens: theN antigens slopes had an 85% coefficient of variation, while the Sl/RBD antigens slopes had a 325% coefficient of variation, suggesting that the Sl/RBD antigen profiles provide a better signature of a patient-specific immune response.
To extract information from this analysis, the sensitivity and specificity for each antigen was calculated individually. Overall sensitivity and specificity across a set of antigens were calculated by considering a sample positive if at least 2 antigens are recognized. While the sensitivity for each N antigen was found to vary between 35% and 90%, the overall sensitivity across N antigens was 100% (FIG. 3A). The specificity of individual antigens varied between 33% and 100% while the overall N specificity was only 33%. However, the specificity calculated for only the C-ter fragments g and h, was 100%, with an 85% sensitivity. This result complies well with the fact that the N protein is highly homologous among coronaviruses except for its C-ter region42,43. The recognition of the full N and its N-ter fragments in pre-pandemic negative samples could therefore indicate an immunity against a previous infection with a coronavirus other than SARS-CoV-2. In comparison to the 100% sensitivity of fragments g and h only, a lateral flow assay using the full N antigen had only a 30% sensitivity for the detection of anti-N IgG for the same set of samples (Methods, specificity could not be measured as negative samples were not tested). This comparison highlights the increased reliability of an extended antigen fragmentation scan compared to a single antigen test.
Almost all Sl/RBD antigens had 100% specificity but low sensitivity that varied from 5- 50%. The overall sensitivity increased to 70% when calculated based on the recognition of at least two Sl/RBD, with an overall specificity of 83% (FIG. 3B), and comparable to the 70% sensitivity measured by a standard ELISA assay performed on these samples (Methods). Interestingly, it was found that the detection of anti-Sl/RBD Abs was not correlated with the ELISA scores (FIG. 3B). For example, samples PS347, PS348, PS326, PS333, PS351 and PS358 were below detection with ELISA but showed an immune response to more than two, and up to seven Sl/RBD antigens in the present assay. Conversely, samples PS305 and PS310 that had the highest ELISA score, showed binding to only two and one antigens, respectively. By presenting a panel of antigens, rather than a single antigen in a standard ELISA, the present assay offers a strong validation of immune response by simultaneously detecting several Abs binding to a variety of antigen targets. Of note, the samples presented in FIGs. 4A,B were classified according to their response to N antigens (FIG. 4A) demonstrating that samples with a strong immune response to N (FIG. 4A) tended to have a strong response to Sl/RBD antigens (FIG. 4B).
In addition, seven of the positive samples were further analyzed with orthogonal anti-IgM secondary Abs (FIG. 4C). IgM Abs are predominant during the early immune response, in the first seven days after the onset of infection, while IgG builds up as a delayed and more sustained immune response44. No general correlation between IgG and IgM signals was found (FIG. 4D), and instead individual signatures were observed for each sample and each type of Ab. This suggests that despite the presence of both types of Abs in the serum samples, one type does not mask the binding of the other type to the antigens. Rather the present assay could reveal a complex and rich picture of patient-specific immune profiles, that goes beyond a simple diagnostic test.
Derivation of the antigen-antibody binding chemical equilibrium
The following chemical equilibrium is considered:
A + B AB with A the antigen, B the antibody, AB the complex for which the dissociation constant is:
 with eq denoting equilibrium, when the reaction is complete.
We are varying the total amount of antigen available and measuring the bound antibodyantigen, assuming equilibrium. Therefore, we set:
The general dependency between these two values is:
We consider four limit cases:
 y is a Hill function of x with cooperativity 1.
 y is linearly correlated to x, and the slope is a Hill function of [B]
tot with cooperativity 1, the total concentration of antibodies incubated.
The difference between two slopes can be due to an increase in [B]tot or a decrease in Kd.
Langmuir isotherm model
The binding of ACE2-HA to GFP-RBD or antigen-antibody binding can be modelled similarly to a Langmuir isotherm as follows.
The surface is covered with A-HA sites (A=ACE2) that bind a second molecule B (GFP- RBD), with adsorption rate r
ad = k
on x A x B and desorption rate r
d = k
0^ X (AB).
The ratio of bound sites is
Estimation of synthesized antigen
The present data shows a linear correlation between the total antigen concentration and the bound antibody concentration, which varies with total antibody concentration. This suggests we are in limit case d, where [B]tot » x and x is in concentrations lower or similar to Kd so that the reaction is not total. As the affinity of antibodies for their specific antigens is in the order of magnitude of Kd ~ 1 nM, the effective concentration of antigens captured on the surface is in the tens of nM or lower.
Fluorescence intensity quantification
Fluorescence intensity (FI) of the bound antibodies relates to the equilibrium antigenantibody complex as follows:
In limit case d,
Relative affinity calculation
We consider two antigens A
r and A
2 that are synthesized in similar concentration ranges and bind to the same antibody B with affinities K
d l and K
d 2 respectively. Both antigens are incubated with the same antibody in identical conditions. As derived above, in our experimental conditions, the antigen-antibody complex concentration [AB]
eq depends linearly on the total antigen concentration |A]
tot with the slope :
The ratio of the slopes of the antigens exposed to the same [B]tot is therefore:
Although the invention has been described in conjunction with specific embodiments thereof, it is evident that many alternatives, modifications and variations will be apparent to those skilled in the art. Accordingly, it is intended to embrace all such alternatives, modifications and variations that fall within the spirit and broad scope of the appended claims.
All publications, patents and patent applications mentioned in this specification are herein incorporated in their entirety by reference into the specification, to the same extent as if each individual publication, patent or patent application was specifically and individually indicated to be incorporated herein by reference. In addition, citation or identification of any reference in this application shall not be construed as an admission that such reference is available as prior art to the present invention. To the extent that section headings are used, they should not be construed as necessarily limiting.
In addition, any priority document(s) of this application is/are hereby incorporated herein by reference in its/their entirety.
References
1. Yuan, J. et al. Novel technologies and emerging biomarkers for personalized cancer immunotherapy. J Immunother Cancer 4, (2016).
2. Connors, J. et al. Using the power of innate immunoprofiling to understand vaccine design, infection, and immunity. Hum Vaccin Immunother 19, (2023).
3. Ogunniyi, A. O. et al. Profiling human antibody responses by integrated singlecell analysis. Vaccine 32, 2866-2873 (2014).
4. Stork, E. M. et al. Antigen-specific Fab profiling achieves molecular-resolution analysis of human autoantibody repertoires in rheumatoid arthritis. Nature Communications 2024 15:1 15, 1-12 (2024).
5. Lu, R. M. et al. Development of therapeutic antibodies for the treatment of diseases. Journal of Biomedical Science 202027:1 27, 1-30 (2020).
6. Deshaies, R. J. Multispecific drugs herald a new era of biopharmaceutical innovation. Nature 580, 329-338 (2020).
7. Zhong, X., D’antona, A. M., Karagiannis, S. & White, A. Recent Advances in the Molecular Design and Applications of Multispecific Biotherapeutics. Antibodies 2021, Vol. 10, Page 13 10, 13 (2021).
8. Weiner, G. J. Building better monoclonal antibody-based therapeutics. Nature Reviews Cancer 2015 15:6 15, 361-370 (2015).
9. Gerard, A. et al. High-throughput single-cell activity-based screening and sequencing of antibodies using droplet microfluidics. Nature Biotechnology 2020 38:638, 715— 721 (2020).
10. Muruato, A. E. et al. A high-throughput neutralizing antibody assay for CO VID- 19 diagnosis and vaccine evaluation. Nature Communications 2020 11:1 11, 1-6 (2020).
11. Tickle, S. et al. High-Throughput Screening for High Affinity Antibodies. J Lab Autom 14, 303-307 (2009).
12. Schofield, D. J. et al. Application of phage display to high throughput antibody generation and characterization. Genome Biol 8, 1-18 (2007).
13. Cubillos-Ruiz, A. et al. Engineering living therapeutics with synthetic biology. Nat Rev Drug Discov 20, 941-960 (2021).
14. Gu, Y. et al. Cell-free protein synthesis system for bioanalysis: Advances in methods and applications. TrAC Trends in Analytical Chemistry 161, 117015 (2023).
15. Slomovic, S., Pardee, K. & Collins, J. J. Synthetic biology devices for in vitro and in vivo diagnostics. Proc Natl Acad Sci USA 112, 14429-14435 (2015).
16. Murray, C. J. & Baliga, R. Cell-free translation of peptides and proteins:from high throughput screening to clinical production. Curr Opin Chem Biol 17, 420-426 (2013).
17. Ramm, F. et al. Mammalian cell-free protein expression promotes the functional characterization of the tripartite non-hemolytic enterotoxin from Bacillus cereus. Scientific Reports 2020 10:1 10, 1-12 (2020).
18. Thoring, L. et al. Cell-Free Systems Based on CHO Cell Lysates: Optimization Strategies, Synthesis of “Difficult-to-Express” Proteins and Future Perspectives. PLoS One 11, e0163670 (2016).
19. Garenne, D., Bowden, S. & Noireaux, V. Cell-free expression and synthesis of viruses and bacteriophages: applications to medicine and nanotechnology. Curr Opin SystBiol 28, 100373 (2021).
20. Sullivan, C. J. et al. A cell-free expression and purification process for rapid production of protein biologies. Biotechnol J 11, 238-248 (2016).
21. Pardee, K. et al. Rapid, Low-Cost Detection of Zika Virus Using Programmable Biomolecular Components. Cell 165, 1255-1266 (2016).  22. Gootenberg, J. S. et al. Nucleic acid detection with CRISPR-Casl3a/C2c2. Science (1979) 356, 438-442 (2017).
23. van Dongen, J. E. et al. Point-of-care CRISPR/Cas nucleic acid detection: Recent advances, challenges and opportunities. Biosens Bioelectron 166, 112445 (2020).
24. Hunt, A. C. et al. A rapid cell-free expression and screening platform for antibody discovery. Nature Communications 2023 14:1 14, 1-14 (2023).
25. Ojima-Kato, T., Nagai, S. & Nakano, H. Ecobody technology: rapid monoclonal antibody screening method from single B cells using cell-free protein synthesis for antigenbinding fragment formation OPEN, doi: 10.1038/s41598-017-14277-0.
26. Stech, M. & Kubick, S. Cell-Free Synthesis Meets Antibody Production: A Review. Antibodies 4, 12-33 (2015).
27. Norouzi, M. et al. Cell-Free Dot Blot: an Ultra-Low-Cost and Practical Immunoassay Platform for Detection of Anti-SARS-CoV-2 Antibodies in Human and Animal Sera. Microbiol Spectr 11, (2023).
28. Hufnagel, K. et al. In situ, Cell-free Protein Expression on Microarrays and Their Use for the Detection of Immune Responses. Bio Protoc 9, (2019).
29. Goshima, N. et al. Human protein factory for converting the transcriptome into an in vitro-expressed proteome. Nat Methods 5, 1011-1017 (2008).
30. Morishita, R. et al. CF-PA2Vtech: a cell-free human protein array technology for antibody validation against human proteins. Scientific Reports 20199:1 9, 1-10 (2019).
31. Levy, M., Falkovich, R., Daube, S. S. & Bar-Ziv, R. H. Autonomous synthesis and assembly of a ribosomal subunit on a chip. Sci Adv 6, eaaz6020 (2020).
32. Vonshak, O. et al. Programming multi-protein assembly by gene-brush patterns and two-dimensional compartment geometry. Nat Nanotechnol 1-9 (2020) doi: 10.1038/s41565- 020-0720-7.
33. Caschera, F. & Noireaux, V. Synthesis of 2.3 mg/ml of protein with an all Escherichia coli cell-free transcription-translation system. Biochimie 99, 162-8 (2014).
34. Buxboim, A., Daube, S. S. & Bar-Ziv, R. Synthetic gene brushes: a structurefunction relationship. Mol Syst Biol 4, 181 (2008).
35. Abeam. Recombinant Anti-SARS-CoV-2 nucleocapsid protein antibody [1 A6] - Chimeric (ab272852). www(dot)abcam(dot)com/products/primary-antibodies/sars-cov-2- nucleocapsid-protein-antibody-la6-chimeric-ab272852.html?productWallTab=ShowAll.
36. Klausberger, M. et al. A comprehensive antigen production and characterisation study for easy- to-implement, specific and quantitative SARS-CoV-2 serotests. EBioMedicine 67, (2021).
37. Zhang, S., Garcia-D’Angeli, A., Brennan, J. P. & Huo, Q. Predicting detection limits of enzyme-linked immunosorbent assay (ELISA) and bioanalytical techniques in general. Analyst 139, 439-445 (2013).
38. Telenti, A., Hodcroft, E. B. & Robertson, D. L. The Evolution and Biology of SARS-CoV-2 Variants. Cold Spring Harbor Perspectives in Medecine 12, (2022).
39. Gong, Y., Qin, S. & Dai, L. The glycosylation in SARS-CoV-2 and its receptor ACE2. Signal Transduct Target Ther 6, 396 (2021).
40. Hurlburt, N. K. et al. Structural basis for potent neutralization of SARS- CoV-2 and role of antibody affinity maturation. Nat Commun (2020) doi: 10.1038/s41467-020-19231-9.
41. Huang, M. et al. Atlas of currently available human neutralizing antibodies against SARS-CoV-2 and escape. Immunity 1501-1514 (2022) doi : 10.1016/j .immuni .2022.06.005.
42. Lee, C. H. et al. Potential CD8+ T Cell Cross-Reactivity Against SARS-CoV-2 Conferred by Other Coronavirus Strains. Front Immunol 11, 1-10 (2020).  43. Wu, W., Cheng, Y., Zhou, H., Sun, C. & Zhang, S. The SARS-CoV-2 nucleocapsid protein: its role in the viral life cycle, structure and functions, and use as a potential target in the development of vaccines and diagnostics. Virol ./ 20, 1-16 (2023).
44. Movsisyan, M. et al. Tracking the evolution of anti- SARS-CoV-2 antibodies and long-term humoral immunity within 2 years after COVID-19 infection. Sci Rep 14, 1-13 (2024).
45. Abeam. Recombinant Anti-ACE2 antibody [EPR4435(2)] (ab 108252). www(dot)abcam(dot)com/products/primary-antibodies/ace2-antibody-epr44352- ab 108252. html#lb.
46. Mannar, D. et al. SARS-CoV-2 Omicron variant: Antibody evasion and cryo-EM structure of spike protein - ACE2 complex. Science (1979) 764, 760-764 (2022).
47. Wu, L. et al. SARS-CoV-2 Omicron RBD shows weaker binding affinity than the currently dominant Delta variant to human ACE2. Signal Transduct Target Ther 7, 8 (2022).
48. Han, P. et al. Receptor binding and complex structures of human ACE2 to spike RBD from omicron and delta SARS-CoV-2. Cell 185, 630-640.el0 (2022).
49. Li, L. et al. Structural basis of human ACE2 higher binding affinity to currently circulating Omicron SARS-CoV-2 sub-variants BA.2 and BA.1.1. Cell 185, 2952-2960. elO (2022).
50. Nguyen, H. L. et al. Does SARS-CoV-2 Bind to Human ACE2 More Strongly Than Does SARS-CoV? J Phys Chem B 124, 7336-7347 (2020).
51. Starr, T. N. et al. Deep Mutational Scanning of SARS-CoV-2 Receptor Binding Domain Reveals Constraints on Folding and ACE2 Binding. Cell 182, 1295-1310. e20 (2020).
52. Kightlinger, W. et al. A cell-free biosynthesis platform for modular construction of protein glycosylation pathways. Nat Commun 10, (2019).
53. Marani, M., Katul, G. G., Pan, W. K. & Parolari, A. J. Intensity and frequency of extreme novel epidemics. PNAS 118, (2021).
54. Buxboim, A. et al. A Single-Step Photolithographic Interface for Cell-Free Gene Expression and Active Biochips. Small 3, 500-510 (2007).
55. Gibson, D. G. et al. Enzymatic assembly of DNA molecules up to several hundred kilobases. Nat Methods 6, 343-345 (2009).
56. Buxboim, A., Daube, S. S. & Bar-Ziv, R. Ultradense Synthetic Gene Brushes on a Chip. Nano Lett 9, 909-913 (2009).
57. Caschera, F. & Noireaux, V. Synthesis of 2.3 mg/ml of protein with an all Escherichia coli cell-free transcription-translation system. Biochimie 99, 162-168 (2014).
58. Garamella, J., Marshall, R., Rustad, M. & Noireaux, V. The All E. coli TX-TL Toolbox 2.0: A Platform for Cell-Free Synthetic Biology. ACS Synth Biol 5, 344-355 (2016).
59. He, B. et al. Rapid Mutagenesis and Purification of Phage RNA Polymerases. Protein Expr Purif 9, 142-151 (1997).