Ionizable Cationic Lipids with Conserved Spacing and Lipid Nanoparticles
CROSS-REFERENCE TO RELATED APPLICATIONS
[0001] This application claims priority U.S. provisional application number 63/588,284, filed October 5, 2023; U.S. provisional application number 63/632,937, filed April 11, 2024; and U.S. provisional application number 63/654,752, filed May 31, 2024; the disclosures of which are expressly incorporated by reference herein.
REFERENCE TO AN ELECTRONIC SEQUENCE LISTING
[0002] The instant application contains a Sequence Listing that has been submitted electronically and is hereby incorporated by reference in its entirety. The Sequence Listing was created on October 1 , 2024, is named “24-0225-WO.xml”, and is 1,973 bytes in size.
BACKGROUND
[0003] Lipid formulations have been used in the laboratory for delivering nucleic acids into cells. Early formulations based on the cationic lipid 1 ,2-dioleoyl-3-trimethylammonium propane (DOTAP) and the ionizable, fusogenic lipid dioleoylphosphatidyl ethanolamine (DOPE) had a large particle size and were problematic when used in vivo, exhibiting clearance that was too rapid, tropism for the lung, and toxicity. Lipid nanoparticles (LNPs) comprising ionizable cationic lipids have been developed to address these issues to the extent that RNA based products, such as the siRNA ONPATTRO® and two mRNA-based SARS-CoV-2 vaccines have received regulatory approval and entered the marketplace.
[0004] However, there is limited ability to control which tissues or cells take up the LNP once administered. LNP administered intravenously are taken up primarily in the liver, lung, or spleen depending to a significant degree on net charge and particle size. It is possible to direct >90% of LNP to the liver by a combination of formulation and intravenous administration, for example. Intramuscular administration can provide a clinically useful level of local delivery and expression. LNP can be redirected to other tissues or cell types by conjugating to the LNP a binding moiety with specificity for the target tissue or cell type, for example, conjugating an antibody to an LNP (see, e.g., Endsley and Ho, J. Acquir. Immune Defic. Syndr. 61 :417, 2012; Ramishetti et al., ACS Nano 9:6706, 2015; Veiga et al., Nat. Comms. 9:4493, 2018; US Patent No. 10,920,246). Nonetheless, avoiding uptake by the liver remains a challenge. Moreover, with current systems only a minor portion of the encapsulated nucleic acid is successfully delivered to the cells of interest and into the cytoplasm. Current formulations may release only 2-5% of the administered RNA into the cytoplasm (see, for example, Gilleron et al., 2013, Nat. Biotechnol. 31 :638-646 and Munson et al., 2021, Commun. Biol. 4:211-224).
[0005] Thus, there exists a need to address issues of off-target delivery, poor efficiency of release of therapeutic agents into the cytoplasm, and toxicity associated with accumulation of the component lipids.
SUMMARY
[0006] This disclosure is directed towards fulling the needs for addressing issues of off- target delivery, poor efficiency of release of therapeutic agents and provides further related advantages.
[0007] In certain aspects, this disclosure provides ionizable cationic lipids having a structure of formulas M1 set forth herein.
[0008] In some embodiments, this disclosure provides ionizable cationic lipids CICL- 208, CICL-227, CICL-228, CICL-229, CICL-233, CICL-234, and CICL-235.
[0009] In certain aspects, the present disclosure provides methods of synthesizing ionizable cationic lipids, e.g., CICL-208, CICL-227, CICL-228, CICL-229, CICL-233, CICL- 234, and CICL-235.
[0010] In certain aspects, this disclosure provides lipid nanoparticles (LNPs) and targeted lipid nanoparticles (tLNPs) incorporating the ionizable cationic lipids of this disclosure set forth herein.
[0011] In certain aspects, this disclosure provides methods for preparing LNPs and tLNPs as described herein.
[0012] In certain embodiments, this disclosure provides methods of delivering a biologically active payload (e.g., nucleic acid molecules encoding a therapeutic agent) into a cell (such as a T cell or hematopoietic stem cell) comprising contacting the cell with an LNP or tLNP of this disclosure.
[0013] These and other features, objects, and advantages of this disclosure will become better understood from the description that follows. In the description, reference is made to the accompanying drawings, which form a part hereof and in which there is shown by way of illustration, not limitation, embodiments of this disclosure. The description of preferred embodiments is not intended to limit this disclosure to cover all modifications, equivalents, and alternatives. Reference should therefore be made to the claims recited herein for interpreting the scope of the disclosure.
BRIEF DESCRIPTION OF THE DRAWINGS
[0014] The disclosure will be better understood and features, aspects, and advantages other than those set forth above will become apparent when consideration is given to the following description of the drawings.
[0015] Figures 1 A-1 D depict the transfection rate (percentage of cells expressing the mRNA) versus expression level (as molecules of equivalent soluble fluorochrome (MESF) or mean fluorescence intensity (MFI)) for tLNP compositions varying only in the ionizable cationic lipid component, as indicated. Figure 1A shows results from in vitro transfection of isolated mouse T cells. Figures 1 B-1 D show results from in vivo transfection of mice for splenic T cells (Figure 1B), CD45' liver cells, representing hepatocytes (Figure 1C), and CD45+/CD11+ liver cells, representing Kupffer cells (Figure 1 D).
DETAILED DESCRIPTION
[0016] This disclosure provides ionizable cationic lipids, methods for synthesizing them, as well as intermediates useful in synthesis of these lipids and methods of synthesizing the intermediates. This disclosure provides ionizable cationic lipids as a component of lipid nanoparticles (LNPs) that can be used for delivering a biologically active payload (e.g., nucleic acid molecules encoding a therapeutic agent) into cells in vivo or ex vivo. LNP compositions are also disclosed herein, including LNPs comprising a functionalized PEG-lipid to enable conjugation of a binding moiety to generate targeted LNPs (tLNPs); that is, LNPs containing a binding moiety that directs the tLNP to a desired tissue or cell type (e.g., immune cells such as T cells or stem cells such as hematopoietic stem cells (HSCs). Also disclosed herein are methods of delivering a nucleic acid molecule into a cell comprising contacting the cell with a LNP or tLNP of this disclosure. The LNP and tLNP of this disclosure can be used for in vivo, ex vivo, or extracorporeal transfection. Also disclosed herein are methods for preparing LNPs and tLNPs comprising the ionizable cationic lipids as described herein.
[0017] Prior to setting forth this disclosure in more detail, it can be helpful to provide abbreviations of certain terms used herein. Additional abbreviations are set forth throughout this disclosure.
Abbreviations
[0018] Abbreviations used herein include:
[0019] BOC - tert-Butyoxycarbonyl
[0020] CDI - Carbonyl diimidazole
[0021] DMAP - 4-Dimethylaminopyridine
[0022] EDC-HCI - 1-Ethyl-3-(3'-dimethylaminopropyl)carbodiimide ■ HCI
[0023] EtaN - Triethylamine
[0024] HATU - Hexafluorophosphate Azabenzotriazole Tetramethyl Uranium
[0025] HaB-HzN-fBu - borane-f-butylamine complex [0026] /-PrzNet - Diisopropylethylamine
[0027] CH3CN - Acetonitrile
[0028] MeOH - Methanol
[0029] MeOTf - methyl trifluoromethanesulfonate
[0030] Pd/C - Palladium on carbon
[0031] PPTS - Pyridinium p-toluenesulfonate
[0032] TFA - Trifluoroacetic acid
[0033] THF - Tetrahydrofuran
[0034] While this disclosure is capable of being embodied in various forms, the description below of several embodiments is made with the understanding that the disclosure is to be considered as an exemplification of the innovations disclosed herein and is not intended to limit the disclosure to the specific embodiments illustrated.
[0035] Headings are provided for convenience only and are not to be construed to limit the embodiments in any manner. Embodiments illustrated under any heading can be combined with embodiments illustrated under any other heading.
[0036] To the extent any materials incorporated herein by reference conflict with this disclosure, this disclosure controls.
Definitions
[0037] Prior to setting forth this disclosure in more detail, it can be helpful to provide definitions of certain terms to be used herein. Additional definitions are set forth throughout this disclosure.
[0038] As used in the specification and claims, the singular form “a,” “an,” and “the” includes plural references unless the context clearly dictates otherwise. It should be understood that the terms “a” and “an” as used herein refer to “one or more” of the enumerated components.
[0039] The use of the alternative (e.g., “or”) should be understood to mean either one, both, or any combination thereof of the alternatives.
[0040] The term “about” as used herein in the context of a number refers to a range centered on that number and spanning 10% less than that number and 10% more than that number. The term “about” used in the context of a range refers to an extended range spanning 10% less than that of the lowest number listed in the range and 10% more than the greatest number listed in the range.
[0041] Throughout this disclosure, any concentration range, percentage range, ratio range, or integer range is to be understood to include the value of any integer within the recited range and, when appropriate, fractions thereof (such as one tenth and one hundredth of an integer), unless otherwise indicated. Also, any number range of this disclosure relating to any physical feature, such as polymer subunits, size, or thickness, are to be understood to include any integer within the recited range, unless otherwise indicated. Throughout this disclosure, numerical ranges are inclusive of their recited endpoints, unless specifically stated otherwise. [0042] Unless the context requires otherwise, throughout this specification and claims, the word "comprise" and variations thereof, such as, "comprises" and "comprising" are to be construed in an open, inclusive sense, that is, as "including, but not limited to." As used herein, the terms “include” and “comprise” are used synonymously.
[0043] The phrase “at least one of’ when followed by a list of items or elements refers to an open-ended set of one or more of the elements in the list, which can, but does not necessarily, include more than one of the elements.
[0044] "Derivative," as used herein, refers to a chemically or biologically modified version of a compound that is structurally similar to a parent compound and (actually or theoretically) derivable from that parent compound. Generally, a "derivative" differs from an "analogue" in that a parent compound can be the starting material to generate a "derivative," whereas the parent compound is not necessarily used as the starting material to generate an "analogue." A derivative may have different chemical or physical properties than the parent compound. For example, a derivative may be more hydrophilic or hydrophobic, or it may have altered reactivity as compared to the parent compound. Although a derivative can be obtained by physical (for example, biological or chemical) modification of the parent compound, a derivative can also be conceptually derived, for example, as when a protein sequence is designed based on one or more known sequences, an encoding nucleic acid is constructed, and the derived protein obtained by expression of the encoding nucleic acid.
[0045] As used herein “expansion” refers to proliferation of cells increasing their number. Activating agents can be used to stimulate proliferation (among other metabolic changes) but can also result in activation-induced death upon initial exposure so that there is no immediate expansion. For T cells treated in vitro with activating agents such as IL-2 or CD3/CD28 activators, doubling time can be about 24 hours (which is fairly typical of mammalian cells in vitro generally); in vivo doubling time can be substantially shorter, depending on the presence and type of stimulation. Accordingly, during the limited time of extracorporeal manipulation, even when activating agents are used, such protocols will be effectively expansion-less.
[0046] As used herein an “exogenous protein” refers to a synthetic, recombinant, or other peptide or protein that is not produced by a wild-type cell of that type or is expressed at a lower level in a wild-type cell than in a cell containing the exogenous polypeptide. In some embodiments, an exogenous peptide is a peptide or protein encoded by a nucleic acid that was introduced into the cell, which nucleic acid is optionally not retained by the cell. As used herein “peptide” refers to a chain of amino acids less than 50 amino acids in length, while “protein” and “polypeptide” refer to a chain of amino acids at least 50 amino acids in length.
[0047] As used herein “extracorporeal” is used in reference to cells, such as peripheral blood or bone marrow cells, harvested or extracted from the body and the manipulation or modification of those cells prior to their intended return (reinfusion). Manipulation and modification of cells generally relates to cell separation and washing procedures and exposure to activation agents (e.g., biological response modifiers (BRMs)) and transfection agents (e.g., LNPs, tLNPs), over a time interval of several hours, for example, less than 6 hours, less than 5 hours, less than 4 hours, less than 3 hours, less than 2 hours, or less than 1 hour; and in space to a single institution. Extracorporeal is used in contradistinction to ex vivo which, as used herein, includes more extensive manipulation including extended periods of cell culture and expansion, and/or refrigerated or cryogenic storage or shipment, over several days or longer.
[0048] As used herein “transfection” or “transfecting” refers to the introduction of nucleic acids into cells by non-viral methods. Transfection can be mediated by calcium phosphate, cationic polymers, magnetic beads, electroporation, and lipid-based reagents. In preferred embodiments disclosed herein transfection is mediated by solid lipid nanoparticles (LNP) including targeted LNP (tLNP) (which can also be used to deliver non-nucleic acid payloads into cells). The term transfection is used in distinction to transduction - transfer of genetic material from cell to cell or virus to cell - and transformation - the uptake of extracellular genetic material by the natural processes of a cell. As used herein, phrases such as “delivering a nucleic acid into a cell” are synonymous with transfection.
[0049] “Reprogramming,” as used herein with respect to immune cells, refers to changing the functionality of an immune cell with respect to antigenic specificity by causing expression of an exogenous T cell receptor (TCR), a chimeric antigen receptor (CAR), or an immune cell engager (“reprogramming agents”). Generally, T lymphocytes and natural killer (NK) cells could be reprogrammed with a TCR, a CAR, or an immune cell engager while only a CAR or an immune cell engager would be used in reprogramming monocytes. As used herein with respect to stem cells, for example hematopoietic stem cells (HSC) or mesenchymal stem cells (MSC), “reprogramming” refers to correction or amelioration of a genetic defect (for example, a hemoglobinopathy) so that the modified or corrected gene and gene product are the reprogramming agents. Reprogramming can be transient or durable depending on the nature of the engineering agent.
[0050] “Engineering agent,” as used herein, refers to agents that confer the expression of a reprogramming agent by an immune cell, particularly a non-B lymphocyte or monocyte. Engineering agents can include nucleic acids, including mRNA, that encode the reprogramming agent. Engineering agents can also include nucleic acids that are or encode components of gene editing systems such as RNA-guided nucleases, guide RNA, and nucleic acid templates for knocking-in a reprogramming agent or knocking-out an endogenous antigen receptor. Gene editing systems comprise base-editors, prime-editors or gene-writers. RNA- guided nucleases include CRISPR nucleases such as Cas9, Cas12, Cas13, Cas3, CasMINI, Cas7-11 , and CasX. For transient expression of a reprogramming agent, such as a CAR, an mRNA encoding the reprogramming agent can be used as the engineering agent. For durable expression of the reprogramming agent, such as an exogenous, modified, or corrected gene (and its gene product), the engineering agent can comprise mRNA-encoded RNA-directed nucleases, guide RNAs, nucleic acid templates and other components of gene/genome editing systems.
[0051] Examples of gene editing components that are encoded by a nucleic acid molecule include an mRNA encoding an RNA-guided nuclease, a gene or base editing protein, a prime editing protein, a Gene Writer protein (e.g., a modified or modularized non-long terminal repeat (LTR) retrotransposon), a retrotransposase, an RNA writer, a zinc finger nuclease (ZFN), a transcription activator-like effector nuclease (TALEN), a meganuclease, a transposase, a retrotransposon, a reverse transcriptase (e.g., M-MLV reverse transcriptase), a nickase or inactive nuclease (e.g., Cas9, nCas9, dCas9), a DNA recombinase, a CRISPR nuclease (e.g., Cas9, Cas12, Cas13, Cas3, CasMINI, Cas7-11 , CasX), a DNA nickase, a Cas9 nickase (e.g., D10A or H840A), or any fusion or combination thereof. Other components include a guide RNA (gRNA), a single guide RNA (sgRNA), a prime editing guide RNA (pegRNA), a clustered regularly interspaced short palindromic repeat (CRISPR) RNA (crRNA), a trans-activating clustered regularly interspaced short palindromic repeat (CRISPR) RNA (tracrRNA), or a DNA molecule to be inserted or serve as a template for double-strand break (DSB) repair at a specific genomic locus. Genome-, gene-, and base-editing technology are reviewed in Anzalone et al., Nature Biotechnology 38:824-844, 2020, Sakuma, Gene and Genome Editing 3-4:100017, 2022, and Zhou et al., MedComm 3(3):e155, 2022, each of which is incorporated by reference for all that they teach about the components and uses of this technology to the extent that it does not conflict with the present disclosure. [0052] “Conditioning agent,” as used herein, refers to a biological response modifier (BRM) that enhances the efficiency of engineering an immune cell, expands the number of immune cells available to be engineered or the number of engineered cells in a target tissue (for example, a tumor, fibrotic tissue, or tissue undergoing autoimmune attack), promotes activity of the engineered cell in a target tissue, or broadens the range of operative mechanisms contributing to a therapeutic immune reaction. A conditioning agent may be provided by delivering an encoding nucleic acid in a tLNP. Exemplary BRMs include cytokines, such as IL-7, IL-15, or IL-18.
[0053] “Immune cell,” as used herein, can refer to any cell of the immune system. However, particular aspects can exclude polymorphonuclear leukocytes and/or B cells, or be limited to non-B lymphocytes such as T cell and/or NK cells, or to monocytes such as dendritic cells and/or macrophages in their various forms.
[0054] As used herein, “lipid nanoparticle” (LNP) means a solid particle, as distinct from a liposome having an aqueous lumen. The core of an LNP, like the lumen of a liposome, is surrounded by a layer of lipid that can be, but is not necessarily, a continuous lipid monolayer, a bilayer, or multi-layer having three or more lipid layers.
[0055] As used herein, a “binding moiety” or “targeting moiety” refers to a protein, polypeptide, oligopeptide, peptide, carbohydrate, nucleic acid, or combination thereof that is capable of specifically binding to a target or multiple targets. A binding domain includes any naturally occurring, synthetic, semi-synthetic, or recombinantly produced binding partner for a biological molecule or another target of interest. Exemplary binding moieties of this disclosure include an antibody, a Fab', F(ab')2, Fab, Fv, rlgG, scFv, hcAbs (heavy chain antibodies), a single domain antibody, VHH, VNAR, sdAbs, nanobody, receptor ectodomains or ligandbinding portions thereof, or ligands (e.g., cytokines, chemokines). A “Fab” (fragment antigen binding) is the part of an antibody that binds to antigens and includes the variable region and CH1 of the heavy chain linked to the light chain via an inter-chain disulfide bond. In other embodiments, a binding moiety comprises a ligand-binding domain of a receptor or a receptor ligand. In some embodiments, a binding moiety can have more than one specificity including, for example, bispecific or multispecific binders. A variety of assays are known for identifying binding moieties of this disclosure that specifically bind a particular target, including Western blot, ELISA, and Biacore® analysis. A binding moiety, such as a binding moiety comprising immunoglobulin light and heavy chain variable domains (e.g., scFv), can be incorporated into a variety of protein scaffolds or structures as described herein, such as an antibody or an antigen binding fragment thereof, a scFv-Fc fusion protein, or a fusion protein comprising two or more of such immunoglobulin binding domains.
[0056] As used herein, “antibody” refers to a protein comprising an immunoglobulin domain having hypervariable regions determining the specificity with which the antibody binds antigen; so-called complementarity determining regions (CDRs). The term antibody can thus refer to intact or whole antibodies as well as antibody fragments and constructs comprising an antigen binding portion of a whole antibody. While the canonical natural antibody has a pair of heavy and light chains, camelids (camels, alpacas, llamas, etc.) produce antibodies with both the canonical structure and antibodies comprising only heavy chains. The variable region of the camelid heavy chain only antibody has a distinct structure with a lengthened CDR3 referred to as VHH or, when produced as a fragment, a nanobody. Antigen binding fragments and constructs of antibodies include F(ab)2, F(ab), minibodies, Fv, single-chain Fv (scFv), diabodies, and VH. Such elements can be combined to produce bi- and multi-specific reagents, such as Bispecific T-cell Engagers (BiTEs). The term “monoclonal antibody” arose out of hybridoma technology but is now used to refer to any singular molecular species of antibody regardless of how it was originated or produced. Antibodies can be obtained through immunization, selection from a naive or immunized library (for example, by phage display), alteration of an isolated antibody-encoding sequence, or any combination thereof. Numerous antibodies that could be used as binding moieties are known in the art. An excellent source of information about antibodies for an International Non-proprietary Name (INN) has been proposed or recommended, including sequence information, is Wilkinson & Hale, 2022, MAbs 14(1 ):2123299, including its Supplementary Tables, which is incorporated by reference herein for all that it teaches about individual antibodies and the various antibody formats that can be constructed. U.S. Patent No. 11,326,182 and especially its Table 9 entitled “Cancer, Inflammation and Immune System Antibodies,” is a source of sequence and other information for a wide range of antibodies including many that do not have an INN and is incorporated herein by reference for all that it teaches about individual antibodies.
[0057] An antibody or other binding moiety (or a fusion protein thereof) “specifically binds” a target if it binds the target with an affinity or Ka (i.e., an equilibrium association constant of a particular binding interaction with units of 1/M) equal to or greater than 105 M1, while not significantly binding other components present in a test sample. Binding domains (or fusion proteins thereof) can be classified as “high affinity” binding domains (or fusion proteins thereof) and “low affinity” binding domains (or fusion proteins thereof). “High affinity” binding domains refer to those binding domains with a Ka of at least 108 M1, at least 109 M1, at least 1010 M1, at least 1011 M1, at least 1012 M1, or at least 1013 M1, preferably at least 108 M1 or at least 109 M’1. “Low affinity” binding domains refer to those binding domains with a Ka of up to 108 M1, up to 107 M"1, up to 106 M"1, up to 105 M"1. Alternatively, affinity can be defined as an equilibrium dissociation constant (Kd) of a particular binding interaction with units of M (e.g., 105 M to 10"13 M). Affinities of binding domain polypeptides and fusion proteins according to this disclosure can be readily determined using conventional techniques (see, e.g., Scatchard et a!., 1949, Ann. N.Y. Acad. Sci. 51 :660; and U.S. Patent Nos. 5,283,173, 5,468,614, or the equivalent).
[0058] As used herein, “payload” refers to a negatively charged biologically active agent that can interact with cationic lipids, such as the ionizable cationic lipids of this disclosure, to become encapsulated within lipid nanoparticles comprising the cationic lipid. The negatively charged, biologically active agent can be a small organic molecule, or a macromolecule such as a nucleic acid, a carbohydrate, or a peptide or polypeptide. In many embodiments, the payload can be one or more nucleic acid molecules, RNA or DNA, including mRNA and guide RNA (gRNA) molecules.
[0059] As used herein, “biologically active agent” refers to any substance, or a component of a combination of substances, that affects a metabolic or physiologic response in a living organism or cultured cells thereof.
[0060] As used herein, “therapeutic agent” is a substance the biological activity of which can potentially cure, ameliorate, stabilize, prevent, or otherwise beneficially impact a disease, pathological condition, or other disorder.
[0061] For simplicity, chemical moieties are defined and referred to throughout primarily as univalent chemical moieties (e.g., alkyl, aryl, and the like). Nevertheless, such terms can also be used to convey corresponding multivalent moieties under the appropriate structural circumstances clear to those skilled in the art. For example, while an “alkyl” moiety generally refers to a monovalent radical (e.g. CH3-CH2-), in certain circumstances a bivalent linking moiety can be “alkyl,” in which case those skilled in the art will understand the alkyl to be a divalent radical (e.g., -CH2-CH2-), which is equivalent to the term “alkylene.” (Similarly, in circumstances in which a divalent moiety is required and is stated as being “aryl,” those skilled in the art will understand that the term “aryl” refers to the corresponding divalent moiety, arylene.) All atoms are understood to have their normal number of valences for bond formation (i.e., 4 for carbon, 3 for N, 2 for O, and 2, 4, or 6 for S, depending on the oxidation state of the S).
[0062] The term "alkyl" as employed herein refers to saturated straight and branched chain aliphatic groups having from 1 to 12 carbon atoms. As such, “alkyl” encompasses Ci, C2, C3, C4, C5, C6, C7, C8, C9, C10, C11 and C12 groups.
[0063] The term "alkenyl" as used herein means an unsaturated straight or branched chain aliphatic group with one or more carbon-carbon double bonds, having from 2 to 12 carbon atoms. As such, “alkenyl” encompasses C2, C3, C4, C5, C6, C7, C8, C9, C10, C11 and C12 groups.
[0064] In some embodiments, the hydrocarbon chain is unsubstituted. In other embodiments, one or more hydrogens of the alkyl or alkenyl group can be substituted with the same or different substituents.
[0065] Alkynoic refers to a carboxylic acid moiety comprising one or more carboncarbon triple bonds. In some embodiments, hydrogens are unsubstituted. In other embodiments, one or more hydrogens of the alkynoic group can be substituted with the same or different substituents.
[0066] Amide refers to a carboxylic acid derivative comprising a carbonyl group of a carboxylic acid bonded to an amine moiety.
[0067] Ester refers to a carboxylic acid derivative comprising a carbonyl group bond to an alkyloxy group to form an ester bond -C(=O)-O-.
[0068] Head group refers to the hydrophilic or polar portion of a lipid.
[0069] Sterol refers to a subgroup of steroids that contain at least one hydroxyl (OH) group. Examples of sterols include, without limitation, cholesterol, ergosterol, P-sitosterol, stigmasterol, stigmastanol, 20-hydroxycholesterol, 22-hydroxycholesterol, and the like.
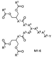
[0070] In the formulas shown throughout this disclosure, the bond represented as a solid wedge extends above the plane and the bond represented as a dashed wedge extends below the plane when depicting absolute stereochemistry, throughout.
Ionizable Cationic Lipids
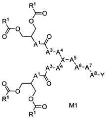
[0071] In designing families of chemical compounds, it is common to have a constant or near-constant core and vary the pendant groups attached to it. A different approach has been taken with the ionizable cationic lipids disclosed herein. Only a small set of branched fatty ester tail groupings, believed to promote biodegradability, and a small set of ionizable head groups were utilized while the connecting molecular scaffold to which they are attached was varied. These scaffolds were chosen to provide similar c-pKa and cLogD for any pairing of head and tail groups and the same spacing between the nitrogen in the head group and the ester tails to promote similar differences between c-pKa and pKa measured after incorporation into an LNP. Biodegradability should not be substantially changed by the differences among these scaffolds.
[0072] In certain aspects, the ionizable cationic lipids of this disclosure have a structure of formula M1 :
 wherein each R
1 is independently selected from a C7-C11 alkyl or a C7-C11 alkenyl,
A1 is CH2 or CH2CH2,
A3 is O,
A4 is CH2CH2 or CH2, wherein A4 is not CH2 if X is N,
X is N, CH, or C-CH3,
A5 is CH2, C=O, NH, NCH3, or O,
A6 is O, S, NH, or NCH3 if A5 is C=O, or A6 is C=O if A5 is not C=O,
A7 is (CH2)0-4, O, S, NH, NCH3,
A
8 is (CH2)O 4, wherein if A
7 is O, S, NH, NCH
3, A
8 is (CH2)
2-4,
 wherein Z is a bond; and wherein A
7 and A
8 are not both (CH
2)
0 unless A
6 is C=O.
[0073] A4 and A4 are intended to represent the same variable moiety wherever it is used herein.
[0074] In certain embodiments of M1 when A1 and A4 are CH2, then X is CH, A5 is CH2, NH, NCH3, or O, A6 is C=O, A7 is O, S, NH, NCH3, or (CH2)M, and A8 is (CH2)0-4, wherein if A7 is 0, NH, or NCH3, A8 is (CH2)2-4, or when A1 is CH2 and A4 is CH2 or CH2CH2, X is CH and A7 is S, then A5 is NH, or NCH3, A6 is C=O, and A8 is (CH2)2-4, or when A1 is CH2, A4 is CH2CH2, and X is CH, then A5 is NH, NCH3, or 0, A6 is C=O, A7 is (CH2)M, and A8 is (CH2)i^, or when A1 is CH2, A4 is CH2CH2, and X is N, then A5 is C=O, A6 is O or S, A7 is (CH2)O- 4, and A8 is (CH2)0-4, wherein A6 is not bonded directly to a nitrogen, or when A1 is CH2CH2, then A4 is CH2, X is C-CH3, A5 is C=O, A8 is O, NH, or NCH3, A7 is (CH2)o-4, and A8 is (CH2)CM, wherein A6 is not bonded directly to a nitrogen.
[0075] In this disclosure, the combinations of A1, A4, A5, A6, A7, and A8, are defined by subsets of the specified alternatives at these positions or exclude one or more of the specified alternatives at these positions. These are referred to as formulas M1-1, M1 -2, M1- 3, M1-4, and M1-5 and are described in more detail below. Each of formulas M1-1, M1-2, M1-3, M1-4, and M1-5 have the general formula M1 , described above.
[0076] In certain embodiments of formula M1 , the ionizable cationic lipids have a structure of formula M1-1 ,
[0078] wherein:
[0079] each R1 is individually selected from a C7-C11 alkyl or a C7-C11 alkenyl,
[0080] A1 is CH2 or CH2CH2,
[0081] A3 is O,
[0082] A4 is CH2 or CH2CH2, wherein A4 is not CH2 if X is N,
[0083] X is N, CH or C-CH3,
[0084] A5 is CH2, C=O, NH, NCH3, or O,
[0085] A6 is O, S, NH, NCH3, or C=O,
[0086] A7 is O, S, NH, NCH3, or CH2,
[0087] A
8 is CH
2 or CH
2CH
2, wherein if A
7 is O, S, NH, NCH
3, A
8 is CH
2CH
2, and
[0089] wherein
[0090] when A1 and A4 are CH2, then X is CH, A5 is CH2, NH, NCH3, or O, A8 is C=O, A7 is O, S, NH, or NCH3, and A8 is CH2CH2;
[0091] when A1 is CH2, A4 is CH2CH2, and X is CH, then A5 is NH, NCH3, or O, A6 is C=O, A7 is CH2, and A8 is CH2;
[0092] when A1 is CH2, A4 is CH2CH2, and X is N, then A5 is C=O, A6 is O, S, NH, or NCH3, A7 is CH2, and A8 is CH2; or
[0093] when A1 is CH2CH2 then A4 is CH2, X is C-CH3, A5 is C=O, A8 is O, NH, or NCH3, A7 is CH2, and A8 is CH2.
[0094] In certain embodiments of formula M1-1, A1 and A4 are CH2, X is CH, A5 is CH2, NH, NCH3, or O, A8 is C=O, A7 is O, S, NH, or NCH3, and A8 is CH2CH2.
[0095] In certain embodiments of formula M1-1, A1 is CH2, A4 is CH2CH2, X is CH, A5 is NH, NCH3, or O, A8 is C=O, A7 is CH2, and A8 is CH2.
[0096] In certain embodiments of formula M1-1, A1 is CH2, A4 is CH2CH2, X is N, A5 is C=O, A8 is O, S, NH, or NCH3, A7 is CH2, and A8 is CH2.
[0097] In certain embodiments of formula M1-1, A1 is CH2CH2, A4 is CH2, X is C-CH3, A5 is C=O, A8 is O, NH, or NCH3, A7 is CH2, and A8 is CH2.
[0098] In certain embodiments of formula M1, as the ionizable cationic lipids have a structure of formula M1-2, wherein X is not N. For example, in certain embodiments the ionizable cationic lipids have a structure of formula M1-2,
[00100] wherein:
[00101] each R1 is independently selected from a C7-C11 alkyl or a C7-C11 alkenyl,
[00102] A1 is CH2 or CH2CH2,
[00103] A3 is O,
[00104] A4 is CH2 or CH2CH2,
[00105] X is CH or C-CH3,
[00106] A5 is CH2, C=O, NH, NCH3, or O,
[00107] A6 is O, NH, NCH3, or C=O,
[00108] A7 is O, S, NH, NCH3, or CH2,
[00109] A
8 is CH
2 or CH
2CH
2, wherein if A
7 is O, S, NH, NCH
3, A
8 is CH
2CH
2, and
[00111] wherein Z is a bond; and
[00112] wherein
[00113] when A1 and A4 are CH2, then X is CH, A5 is CH2, NH, NCH3, or O, A6 is C=O,
A7 is O, S, NH, or NCH3, and A8 is CH2CH2;
[00114] when A1 is CH2, A4 is CH2CH2, and X is CH, then A5 is NH, NCH3, or O, A6 is C=O, A7 is CH2, and A8 is CH2; and
[00115] when A1 is CH2CH2. then A4 is CH2, X is C-CH3, A5 is C=O, A6 is O, NH, or
NCH3, A7 is CH2, and A8 is CH2.
[00116] In certain embodiments of formula M1-2, A1 and A4 are CH2. X is CH, A5 is CH2, NH, NCH3, or O, A8 is C=O, A7 is O, S, NH, or NCH3, and A8 is CH2CH2. For example, in certain embodiments of formula M1-2, A1 and A4 are CH2. X is CH, A5 is NH, A8 is C=O, A7 is O, and A8 is CH2CH2. In certain other embodiments of formula M1-2, A1 and A4 are CH2. X is CH, A5 is CH2, A8 is C=O, A7 is O, and A8 is CH2CH2.
[00117] In certain embodiments of formula M1-2, A1 is CH2, A4 is CH2CH2, X is CH, A5 is NH, NCH3, or O, A6 is C=O, A7 is CH2, and A8 is CH2. For example, in certain embodiments, A1 is CH2, A4 is CH2CH2, X is CH, A5 is O, A6 is C=O, A7 is CH2, and A8 is CH2. For example, in certain embodiments, A1 is CH2, A4 is CH2CH2, X is CH, A5 is NH, A6 is C=O, A7 is CH2, and A8 is CH2. For example, in certain other embodiments, A1 is CH2, A4 is CH2CH2, X is CH, A5 is NCH3, A8 is C=O, A7 is CH2, and A8 is CH2.
[00118] In certain embodiments of formula M1-2, A1 is CH2CH2, A4 is CH2, X is C-CH3, A5 is C=O, A6 is O, NH, or NCH3, A7 is CH2, and A8 is CH2. For example, in certain embodiments of formula M1-2, A1 is CH2CH2, A4 is CH2, X is C-CH3, A5 is C=O, A6 is O, A7 is CH2, and A8 is CH2.
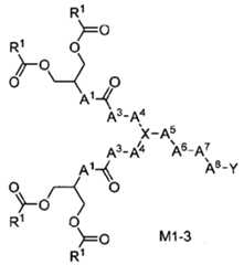
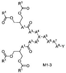
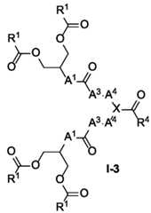
[00119] In certain embodiments of formula M1, the ionizable cationic lipids have a structure of formula M1-3, wherein when X is N, then A6 is S. For example, in certain embodiments, the ionizable cationic lipids have a structure of formula M1-3,
[00121] wherein:
[00122] each R1 is individually selected from a C7-C11 alkyl or a C7-C11 alkenyl,
[00123] A1 is CH2 or CH2CH2,
[00124] A3 is O,
[00125] A4 is CH2 or CH2CH2, wherein A4 is not CH2 if X is N,
[00126] X is N, CH or C-CH3,
[00127] A5 is CH2, C=O, NH, NCH3, or O,
[00128] A6 is O, S, NH, NCH3, or C=O, if A5 is C=O, or A6 is C=O if A5 is not C=O
[00129] A7 is (CH2)0-4, O, S, NH, NCH3,
[00130] A
8 is (CH
2)o-4, wherein if A
7 is O, S, NH, NCH
3, A
8 is (CH
2)M, and
 wherein Z is a bond; wherein A
7 and A
8 are not both (CHzJo unless A
6 is C=O; and
[00132] wherein
[00133] when A1 and A4 are CH2 then X is CH, A5 is CH2, NH, NCH3, or O, A6 is C=O, A7 is O, S, NH, or NCH3, or (CH2)o-4, and A8 is (CH2)o-4, wherein if A7 is O, NH, or NCH3, A8 is (CH2)2-4i
[00134] when A1 is CH2 and A4 is CH2 or CH2CH2, X is CH and A7 is S, then A5 is NH, or NCH3, A6 is C=O, and A8 is (CH2)2-4;
[00135] when A1 is CH2, A4 is CH2CH2, and X is CH, then A5 is NH, NCH3, or O, A6 is C=O, A7 is (CH2)I-4, and A8 is (CH2)I-4;
[00136] when A1 is CH2, A4 is CH2CH2, and X is N, then A5 is C=O, A6 is S, A7 is (CH2)o- 4, and A8 is (CH2)o-4, wherein A6 is not bonded directly to a nitrogen; and
[00137] when A1 is CH2CH2 then A4 is CH2, X is C-CH3, A5 is C=O, A8 is O, NH, or NCH3,
A7 is (CH2)O-4, and A8 is (CH2)o-4, wherein A6 is not bonded directly to a nitrogen.
[00138] In certain embodiments of formula M1-3, A1 and A4 are CH2, X is CH, A5 is CH2, NH, NCH3, or O, A8 is C=O, A7 is O, S, NH, or NCH3, or (CH2)CM, and A8 is (CH2)o-4, wherein if A7 is O, NH, or NCH3, A8 is (CH2)2-4- For example, in some embodiments of formula M1-3, A1 and A4 are CH2, X is CH, A5 is NH, A8 is C=O, A7 is (CH2)CM, and A8 is (CH2)o-4.
[00139] In certain embodiments of formula M1-3, A1 is CH2 and A4 is CH2 or CH2CH2, X is CH and A7 is S, A5 is NH, or NCH3, A8 is C=O, and A8 is (CH2)2-4-
[00140] In certain embodiments of formula M1-3, A1 is CH2, A4 is CH2CH2, X is CH, A5 is NH, NCH3, or O, A8 is C=O, A7 is (CH2)M, and A8 is (CH2)I-4.
[00141] In certain embodiments of formula M1-3, A1 is CH2, A4 is CH2CH2, X is N, A5 is C=O, A8 is S, A7 is (CH2)CM, and A8 is (CH2)CM, wherein A8 is not bonded directly to a nitrogen. [00142] In certain embodiments of formula M1-3, A1 is CH2CH2, A4 is CH2, X is C-CH3, A5 is C=O, A8 is O, NH, or NCH3, A7 is (CH2)CM, and A8 is (CH2)o-4, wherein A8 is not bonded directly to a nitrogen.
[00143] In certain embodiments of formula M1-3, A1 and A4 are CH2, X is CH, A5 is CH2, NH, NCH3, or O, A6 is C=O, A7 is O, S, NH, or NCH3, and A8 is CH2CH2. For example, in some embodiments of formula M1-3, A1 and A4 are CH2, X is CH, A5 is CH2, C=O, NH, NCH3, or O, A6 is C=O, A7 is O, NH, or NCH3, and A8 is CH2CH2. In some embodiments of formula M1-3, A1 and A4 are CH2, X is CH, A5 is CH2, A6 is C=O, A7 is O, and A8 is CH2CH2. In some embodiments of formula M1-3, A1 and A4 are CH2, X is CH, A5 is NH, A6 is C=O, A7 is (CH2)o- 4, and A8 is (CH2)o-4- In some embodiments of formula M1-3, wherein A1 and A4 are CH2, X is CH, A5 is NH, A8 is C=O, A7 is O, and A8 is CH2CH2.
[00144] In certain embodiments of formula M1-3, A1 is CH2, A4 is CH2CH2, X is CH, A5 is NH, NCH3, or O, A6 is C=O, A7 is CH2, and A8 is CH2. For example, in some embodiments of formula M1-3, A1 is CH2, A4 is CH2CH2, X is CH, A5 is NH, A6 is C=O, A7 is CH2, and A8 is CH2. In some embodiments of formula M1-3, A1 is CH2, A4 is CH2CH2, X is CH, A5 is O, A6 is C=O, A7 is CH2, and A8 is CH2. In some embodiments of formula M1-3, A1 is CH2, A4 is CH2CH2, X is CH, A5 is NCH3, A8 is C=O, A7 is CH2, and A8 is CH2.
[00145] In certain embodiments of formula M1-3, A1 is CH2, A4 is CH2CH2, X is N, A5 is C=O, A8 is O or S, A7 is (CH2)CM, and A8 is (CH2)o-4- For example, in some embodiments of formula M1-3, A1 is CH2, A4 is CH2CH2, X is N, A5 is C=O, A8 is S, A7 is (CH2)I-3, and A8 is (CH2)I-3. In certain embodiments of formula M1-3, A1 is CH2, A4 is CH2CH2, X is N, A5 is C=O, A8 is S, A7 is CH2, and A8 is CH2.
[00146] In some embodiments of formula M1-3, A1 is CH2CH2, A4 is CH2, X is C-CH3, A5 is C=O, A8 is O, NH, or NCH3, A7 is (CH2)M, and A8 is (CH2)I-4. In certain embodiments of formula M1-3, A1 is CH2CH2, A4 is CH2, X is C-CH3, A5 is C=O, A8 is O, NH, or NCH3, A7 is CH2, and A8 is CH2. In some embodiments of formula M1-3, A1 is CH2CH2, A4 is CH2, X is C- CH3, A5 is C=O, A8 is O, A7 is CH2, and A8 is CH2.
[00147] In some embodiments of formula M1-3, the number of contiguous connective O
AIKA3A4V'A-A6A7XA8 atoms present in a span:A A x A A js in the range from 7-17 atoms.
[00148] In certain embodiments of M1-3, the number of contiguous connective atoms O JI A4 A5 A7 present in a spana1 a3 x ''a6 '~a8 is in the range of 7-10, 7-12, 7-15, 8-10, 8-12, 8-13, 10-12, 10-13, 10-14, or 10-16. For example, in certain embodiments, the number of contiguous O
At ,A5X At connective atoms present in a span A1 A3 'X' ''A6 'A8 js 10. The present inventors have found that changing the number of contiguous connective atoms present in each span can allow for tuning of the pKa of the cationic lipid. Ionizable cationic lipids of this disclosure have a branched structure to give the lipid a conical rather than cylindrical shape and such structure helps promote endosomolytic activity. The greater the endosomolytic activity, the more efficient release of the biologically active payload (e.g., one or more species of nucleic acid molecule).
[00149] In the various embodiments of formulas M1-1 , M1-2, and M1-3, the number of main chain atoms from either position of A1 through to position A8 (inclusive) is 10.
[00150] In certain embodiments of formula M1, the ionizable cationic lipids have a structure of formula M1-4, wherein A
7 is O, S, NH, NCH3, or (CH2)I-3, A
8 is (CH2)I-3, and when X is N, then A
6 is S. For example, in certain embodiments, the ionizable cationic lipids have a structure of formula M1-4,
[00152] wherein:
[00153] each R1 is individually selected from a C7-C11 alkyl or a C7-C11 alkenyl,
[00154] A1 is CH2 or CH2CH2,
[00155] A3 is O,
[00156] A4 is CH2 or CH2CH2, wherein A4 is not CH2 if X is N,
[00157] X is N, CH or C-CH3, [00158] A5 is CH2, C=0, NH, NCH3J or O,
[00159] A8 is O, S, NH, NCH3, or C=O,
[00160] A7 is O, S, NH, NCH3, or (CH2)I-3,
[00161] A
8 is (CH
2)I-
3, wherein if A
7 is O, S, NH, NCH
3, A
8 is (CH
2)
2.3, and
 wherein Z is a bond; and
[00163] wherein
[00164] when A1 and A4 are CH2 then X is CH, A5 is CH2, NH, NCH3, or O, A6 is C=O, A7 is O, S, NH, or NCH3, and A8 is (CH2)2.3;
[00165] when A1 is CH2, A4 is CH2CH2, and X is CH, then A5 is NH, NCH3, or O, A6 is C=O, A7 is CH2, and A8 is CH2;
[00166] when A1 is CH2, A4 is CH2CH2, and X is N, then A5 is C=O, A6 is S, A7 is (CH2)I.
3, and A8 is (CH2)I-3; and
[00167] when A1 is CH2CH2 then A4 is CH2, X is C-CH3, A5 is C=O, A8 is O, NH, or NCH3,
A7 is CH2, and A8 is CH2; and
[00168] wherein the number of contiguous connective atoms present in a span:
 is in the range from 10-14 atoms.
[00169] In certain embodiments of formula M1 -4, A1 and A4 are CH2, X is CH, A5 is CH2, NH, NCH3, or O, A6 is C=O, A7 is O, S, NH, or NCH3, and A8 is CH2CH2.
[00170] In certain embodiments of formula M1-4, A1 is CH2, A4 is CH2CH2, X is CH, A5 is NH, NCH3, or O, A6 is C=O, A7 is CH2, and A8 is CH2.
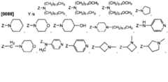
[00171] In certain embodiments of formula M1-4, A1 is CH2, A4 is CH2CH2, X is N, A5 is C=O, A6 is S, A7 is (CH2)I-3, and A8 is (CH2)i.3.
[00172] In certain embodiments of formula M1-4, A1 is CH2CH2, A4 is CH2, X is C-CH3, A5 is C=O, A6 is O, NH, or NCH3, A7 is CH2, and A8 is CH2.
[00173] In certain embodiments of formula M1-4, the number of contiguous connective O
A4 ,A3 A7X atoms present in a span: A1 A3 'X' "A6 XA8 is in the range from 10-12. For example, in certain embodiments, the number of contiguous connective atoms present in a span: O
A4 ,A5x A7
A1 A3 'X' '"A6 "A8 js 10. The present inventors have found that changing the number of contiguous connective atoms present in each span can allow for tuning of the pKa of the ionizable cationic lipid.
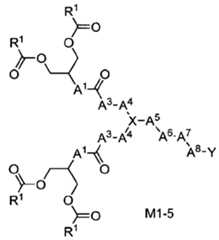
[00174] In certain embodiments of formula M1, the ionizable cationic lipids have a structure of formula M1-5, wherein A
7 is O, S, NH, NCH
3, or (CH
2)CM, A
8 is (CH
2)
M, and when X is N, then A
6 is S. For example, in certain embodiments, the ionizable cationic lipids have a structure of formula M1-5,
 [00176] wherein:
[00177] each R1 is individually selected from a C7-C11 alkyl or a C7-C11 alkenyl,
[00178] A1 is CH2 or CH2CH2,
[00179] A3 is O,
[00180] A4 is CH2 or CH2CH2, wherein A4 is not CH2 if X is N,
[00181] X is N, CH or C-CH3,
[00182] A5 is CH2, C=O, NH, NCH3, or O,
[00183] A8 is O, S, NH, NCH3, or C=O,
[00184] A7 is O, S, NH, NCH3, or (CH2)o-4,
[00185] A
8 is (CH2)O-4, wherein if A
7 is O, S, NH, NCH3, A
8 is (CH2)2-4, and
 , ;
[00187] wherein A7 and A8 are not both (CH2)o unless A6 is C=O; and
[00188] wherein
[00189] when A1 and A4 are CH2 then X is CH, A5 is CH2, NH, NCH3, or O, A6 is C=O, A7 is O, NH, NCH3, or (CH2)o-4, and A8 is (CH2)CM, wherein if A7 is O, NH, or NCH3, A8 is (CH2)2- [00190] when A1 is CH2 and A4 is CH2 or CH2CH2, X is CH and A7 is S, then A5 is NH, or NCH3, A8 is C=O, and A8 is (CH2)o-4;
[00191] when A1 is CH2, A4 is CH2CH2, and X is CH, then A5 is NH, NCH3, or O, A6 is C=O, A7 is (CH2)I-4, and A8 is (CH2)I_4;
[00192] when A1 is CH2, A4 is CH2CH2, and X is N, then A5 is C=O, A6 is S, A7 is (CH2)I- 4, and A8 is (CH2)I-4;
[00193] when A1 is CH2CH2 then A4 is CH2, X is C-CH3, A5 is C=O, A8 is O, NH, or NCH3,
A7 is (CH2)I-4, and A8 is (CH2)I-4; and
[00194] wherein the number of contiguous connective atoms present in a span:
 the range from 7-16 atoms.
[00195] In certain embodiments of formula M1-5, A1 and A4 are CH2, X is CH, A5 is CH2, NH, NCH3, or O, A8 is C=O, A7 is O, S, NH, or NCH3, and A8 is (CH2)2-4. In certain embodiments of formula M1-5, A1 and A4 are CH2, X is CH, A5 is NH, A8 is C=O, A7 is (CH2)o- 4, and A8 is (CH2)o-4-
[00196] In certain embodiments of formula M1-5, A1 is CH2, A4 is CH2CH2, X is CH, A5 is NH, NCH3, or O, A8 is C=O, A7 is (CH2)M, and A8 is (CH2)I.4.
[00197] In certain embodiments of formula M1-5, A1 is CH2, A4 is CH2CH2, X is N, A5 is C=O, A8 is S, A7 is (CH2)M, and A8 is (CH2)M.
[00198] In certain embodiments of formula M1-5, A1 is CH2CH2, A4 is CH2, X is C-CH3, A5 is C=O, A8 is O, NH, or NCH3, A7 is (CH2)M, and A8 is (CH2)I-4.
[00199] In certain embodiments of formula M1-5, A1 and A4 are CH2 then X is CH, A5 is NH, A8 is C=O, A7 is (CH2)o-4 and A8 is (CH2)CM.
[00200] In certain embodiments of M1-5, the number of contiguous connective atoms O
U A4 A5 A7 present in a spana1 a3 x xa6 is in the range of 7-10, 7-12, 7-15, 8-10, 8-12, 8-13, 10-12, 10-13, 10-14, or 10-16. For example, in certain embodiments, the number of contiguous O
A1'^A3A\'A\6ALA8 connective atoms present in a spanA A x AA is 10. The present inventors have found that changing the number of contiguous connective atoms present in each span can allow for tuning of the pKa of the cationic lipid. Ionizable cationic lipids of this disclosure have a branched structure to give the lipid a conical rather than cylindrical shape and such structure helps promote endosomolytic activity. The greater the endosomolytic activity, the more efficient release of the biologically active payload (e.g., one or more species of nucleic acid molecule).
[00201] In certain embodiments of formula M1 , the ionizable cationic lipids have a
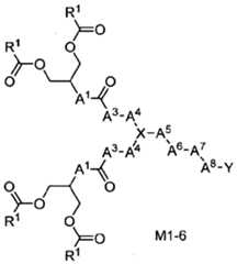
 ple, in certain embodiments, the ionizable cationic lipids have a structure of formula M1-6,
[00203] wherein:
[00204] each R1 is individually selected from a C7-C11 alkyl or a C7-C11 alkenyl,
[00205] A1 is CH2 or CH2CH2,
[00206] A3 is O,
[00207] A4 is CH2 or CH2CH2, wherein A4 is not CH2 if X is N,
[00208] X is N, CH or C-CH3, [00209] A5 is CH2, C=O, NH, NCH3J or O,
[00210] A6 is O, S, NH, NCH3, or C=O,
[00211] A7 is O, S, NH, NCH3, or CH2,
[00212] A
8 is CH
2 or CH
2CH
2, wherein if A
7 is O, S, NH, NCH
3, A
8 is CH
2CH
2, and
 wherein Z is a bond; and
[00214] wherein
[00215] when A1 and A4 are CH2 then X is CH, A5 is CH2, NH, NCH3, or O, A6 is C=O, A7 is O, S, NH, or NCH3, or (CH2)o-4, and A8 is (CH2)o-4, wherein if A7 is O, NH, or NCH3, A8 is CH2CH2;
[00216] when A1 is CH2 and A4 is CH2 or CH2CH2, X is CH and A7 is S, then A5 is NH, or NCH3, A8 is C=O, and A8 is (CH2)2.4;
[00217] when A1 is CH2, A4 is CH2CH2, and X is CH, then A5 is NH, NCH3, or O, A8 is C=O, A7 is (CH2)I-4, and A8 is (CH2)I_4;
[00218] when A1 is CH2, A4 is CH2CH2, and X is N, then A5 is C=O, A8 is O or S, A7 is (CH2)O-4, and A8 is (CH2)o-4, wherein A8 is not bonded directly to a nitrogen; and
[00219] when A1 is CH2CH2 then A4 is CH2, X is C-CH3, A5 is C=O, A8 is O, NH, or NCH3, A7 is (CH2)O-4, and A8 is (CH2)o-4, wherein A8 is not bonded directly to a nitrogen.
[00220] In certain embodiments of formula M1-6, A1 and A4 are CH2, X is CH, A5 is CH2, NH, NCH3, or O, A8 is C=O, A7 is O, S, NH, or NCH3, or (CH2)CM, and A8 is (CH2)0.4, wherein if A7 is O, NH, or NCH3, A8 is (CH2)2.4.
[00221] In certain embodiments of formula M1-6, A1 is CH2 and A4 is CH2 or CH2CH2, X is CH and A7 is S, A5 is NH, or NCH3, A8 is C=O, and A8 is (CH2)2-4.
[00222] In certain embodiments of formula M1-6, A1 is CH2, A4 is CH2CH2, X is CH, A5 is NH, NCH3, or O, A6 is C=O, A7 is (CH2)M, and A8 is (CH2)I.4.
[00223] In certain embodiments of formula M1-6, A1 is CH2, A4 is CH2CH2, X is N, A5 is C=O, A6 is O or S, A7 is (CH2)o-4, and A8 is (CH2)o-4, wherein A6 is not bonded directly to a nitrogen.
[00224] In certain embodiments of formula M1-6, A1 is CH2CH2, A4 is CH2, X is C-CH3, A5 is C=O, A6 is O, NH, or NCH3, A7 is (CH2)CM, and A8 is (CH2)o-4, wherein A6 is not bonded directly to a nitrogen.
[00225] In certain embodiments of formula M1-6, A1 and A4 are CH2, X is CH, A5 is CH2, NH, NCH3, or O, A8 is C=O, A7 is O, S, NH, or NCH3, and A8 is CH2CH2.
[00226] In certain embodiments of formula M1-6, A1 is CH2, A4 is CH2CH2, X is CH, A5 is NH, NCH3, or O, A8 is C=O, A7 is CH2, and A8 is CH2.
[00227] In certain embodiments of formula M1-6, A1 is CH2, A4 is CH2CH2, X is N, A5 is C=O, A8 is S, A7 is CH2, and A8 is CH2.
[00228] In certain embodiments of formula M1-6, A1 is CH2, A4 is CH2CH2, X is N, A5 is C=O, A8 is O, A7 is CH2, and A8 is CH2.
[00229] In certain embodiments of formula M1-6, A1 is CH2CH2, A4 is CH2, X is C-CH3, A5 is C=O, A8 is O, NH, or NCH3, A7 is CH2, and A8 is CH2.
[00230] In the various embodiments of formulas M1-6, the number of main chain atoms from either position of A1 through to position A8 (inclusive) is 10.
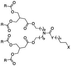
[00231] Ionizable cationic lipids as described herein, can be useful as a component of lipid nanoparticles for delivering nucleic acids, including DNA, mRNA, or siRNA into cells. The ionizable cationic lipids can have a c-pKa (calculated pKa) in the range of from about 6, 7, or 8 to about 9, 10, or 11. For example, in various embodiments as described herein, the ionizable cationic lipids have a c-pKa ranging from about 6 to about 10, about 7 to about 10, about 8 to about 10, about 8 to about 9, 6 to 10, 7 to 10, 8 to 10, or 8 to 9. In certain embodiments, the ionizable cationic lipids have a c-pKa ranging from about 8.2 to about 9.0 or from 8.2 to 9.0. In certain embodiments, the ionizable cationic lipids have a c-pKa ranging from about 8.4 to about 8.7 or 8.4 to 8.7. The ionizable cationic lipids as described herein can have cLogD ranging from about 9 to about 18, for example, ranging from about 10 to about 18, or about 10 to about 16, to about 10 to about 14, or about 11 to about 18, or about 11 to about 15, or about 11 to about 14. The ionizable cationic lipids as described herein can have cLogD ranging from 9 to 18, for example, ranging from 10 to 18, or 10 to 16, to 10 to 14, or 11 to 18, or 11 to 15, or 11 to 14. In certain embodiments, the ionizable cationic lipids have a cLogD ranging from about 13.6 to about 14.4 or from 13.6 to 14.4. In certain embodiments, the ionizable cationic lipids as described herein can have a c-pKa ranging from about 8 to about 11 or from 8 to 11 and a cLogD ranging from about 9 to about 18 or from 9 to 18. For example, in certain embodiments, the ionizable cationic lipids have a c-pKa ranging from about 8.4 to about 8.7 or from 8.4 to 8.7 and cLogD ranging from about 13.6 to about 14.4 or from 13.6 to 14.4. These ranges can lead to a measured pKa in the LNP ranging from about 6 to about 7 or from 6 to 7, which facilitates ionization in an endosome after delivery into a cell.
[00232] In some embodiments, somewhat greater basicity can be desirable and can be obtained from ionizable cationic lipids with c-pKa and cLogD in the ranges disclosed herein. In some embodiments, cLogD of ionizable cationic lipids of this disclosure is about 9, about 10, about 11 , about 12, about 13, about 14, about 15, about 16, about 17, about 18, or in a range bound by any pair of these values. Lipid design also accounts for potential biodegradability pathways of target lipids, such as by way of esterases in plasma, liver and other tissues. Another consideration in lipid design is the fate of fragments of ionizable lipids resulting from degradation, such as after esterase cleavage(s). Preferably, the resulting fragments are rapidly cleared from the body without the need for hepatic oxidative metabolism.
[00233] As used herein, cLogD is a calculated measure of lipophilicity that accounts for the state of ionization of the molecule at a particular pH, which is a predictor of partitioning of the lipid between water and octanol as a function of pH. More specifically, cLogD is calculated at a specified pH based on cLogP and c-pKa. LogP is the partition coefficient of a lipid molecule between aqueous (e.g., water) and lipophilic (e.g., octanol) phases. Numerous software packages are available to calculate cLogD values. When higher basicity of an ionizable lipid is desired, it should be balanced by greater lipophilicity as represented by a higher cLogD value. Balance of basicity and lipophilicity is needed for optimal functioning of the LNP for both stability of the particle and release of the biologically active (e.g., one or more species of nucleic acid molecule that can encode a therapeutic agent) upon uptake by a cell. Accordingly, for the ionizable cationic of this disclosure having a formula M1, as R1 increases from Ce-Cio, the overall lipophilicity of the ionizable cationic lipid will increase, as represented by cLogD. This can be balanced by alterations in A7, A8, and Y, which result in higher c-pKa based on the basicity of the head group. Each of the ionizable cationic lipid species described herein have a cLogD and c-pKa values within the desired range(s) as described herein. Specific cLogD and c-pka valued have been calculated using ACD Labs Structure Designer v 12.0, cLogP was calculated using ACD Labs Version B; cLogD was calculated at pH 7.4. Table 1 shows cLogD and c-pKa for CICL-208, CICL-227, CICL-228, CICL-229, CICL-233, CICL- 234, and CICL-235.
[00234] Table 1. cLogD and c-pKa for CICL-208, CICL-227, CICL-228, CICL-229,
CICL-233, CICL-234, and CICL-235
[00235]
[00236] Different constituents for Y, A
7, A
8, and R
1 allow for tuning of cLogD and c-pKa to achieve a target value of measured pKa within a LNP or a tLNP. For example, to make a lipid with a head group (comprising A
7, A
8, and Y) of
 less basic, the following
CH3
(CH2)2-N'
[00237] tH
Conversely, to make a lipid with a head group of
3 more basic, the following head groups could be used instead:
[00238] The addition of CH2 groups in the head group (comprising A7, A8, and Y), will tend to increase basicity of the lipid which in turn will tend to increase measured pKa. The addition of CH2 groups in R1 will tend to increase the lipophilicity (cLogD) of the lipid which in turn will tend to decrease measured pKa of the LNP or tLNP.
[00239] In some embodiments of formulas M1-1 , M1-2, M1-3, M1-4, and M1-5, Y is
(CH2)0-3CH3
Z-N
(CH2)o-3CH3 anc| jS a bond. In some embodiments of formulas M1-1, M1-2, M1-3, MI-  (CH2)0-lCH3 Z-N
4, and M1-5, Y is (CH2)O-ICH
3 ANC|
 j
S a bond. For example, in some embodiments of formulas
 bond. some embodiments of formulas M1-1 , M1-2, M1-3, M1-4, and M1-5, Y is
anc| z j
S a bond. For example, on some embodiments of M1-1, M1-2, M1-
 bond.
[00241] In some embodiments of formulas M1-1 , M1-2, M1-3, M1-4, and M1-5, Y is
(CH2)2-4OCH3
Z-N
(CH
2)2-4OCH
3 and z j
S a bond. For example, in some embodiments of M1-1 , M1-2, M1-3,
 bond.
[00242] In some embodiments of formulas M1-1 M1-2, M1-3, M1-4, and M1-5, Y is
N^ and Z is a bond. some embodiments of formulas M1-1 M1-2, M1-3, M1-4, and M1-5, Y is Z is a bond. some embodiments of formulas M1-1 , M1-2, M1-3, M1-4, and M1-5, Y is
 d Z is a bond.
[00245] In some embodiments of formulas M1-1 , M1-2, M1-3, M1-4, and M1-5, Y is
 [00246] In some embodiment of formulas M1-1 , M1-2, M1-3, M1-4, and M1-5, Y is
Z-l/ \l- (CH2)O-3CH3
\ / and Z is a bond.
[00247] In some embodiments of formulas M1-1 , M1-2, M1-3, M1-4, and M1-5, Y is
[00249] In some embodiments of formulas M1-1 , M1-2, M1-3, M1-4, and M1-5, Y is bond. embodiments of M1-1 M1-2, M1-3, M1-4, M1-5, and M1-6, Y is
 bond.
[00251] In some embodiments of M1-1 M1-2, M1-3, M1-4, M1-5, and M1-6, Y is d Z is a bond. some embodiments of M1-1 M1-2, M1-3, M1-4, M1-5, and M1-6, Y is is a bond. some embodiments of M1-1 M1-2, M1-3, M1-4, M1-5, and M1-6, Y is d Z is a bond. some embodiments of M1-1 M1-2, M1-3, M1-4, M1-5, and M1-6, Y is
 is a bond.
[00255] In some embodiments of M1-1 M1-2, M1-3, M1-4, M1-5, and M1-6, Y is
 bond. some embodiments of M1-1 , M1-2, M1-3, M1-4, M1-5, and M1-6, Y is is a bond. some embodiments of M1-1 , M1-2, M1-3, M1-4, M1-5, and M1-6, Y is d Z is a bond. some embodiments of M1-1 , M1-2, M1-3, M1-4, M1-5, and M1-6, Y is
 Z is a bond.
[00259] In some embodiments of M1-1 , M1-2, M1-3, M1-4, M1-5, and M1-6, Y is
[00261] As described above, each R1 is independently selected from C7-C11 alkyl or C7-C11 alkenyl. In some embodiments, each R1 is independently selected from C7-C11 alkyl, e.g., C7- C10 alkyl, or C7-C9 alkyl. In certain embodiments, each R1 is independently selected from a linear C7-C11 alkyl, e.g., a linear C7-C10 alkyl, or a linear C7-C9 alkyl. In some embodiments as described herein, each R1 is independently selected from (CHzJe-sCHa. In some of these and other embodiments, R1 is (CHz^CHa. In some embodiments, each R1 is independently selected from a linear C7-C11 alkenyl, e.g., a linear C7-C10 alkenyl, or a linear C7-C9 alkenyl. For example, in some embodiments, each R1 is a linear Cs alkenyl. In certain other embodiments, each R1 is independently selected from a branched C7-C11 alkyl, e.g., C7-C10 alkyl, or C7-C9 alkyl. For example, in some embodiments, each R1 is a branched Cs alkyl. In certain embodiments, each R1 is independently selected from a branched C7-C11 alkenyl, e.g., C7-C10 alkenyl, or C7-C9 alkenyl. For example, in some embodiments, each R1 is a branched Cs alkenyl. In some embodiments, wherein R1 is a branched alkyl or alkenyl, the branch point is positioned so that ester carbonyls are not in an a position relative to the branch point, for example they are in a p position relative to the branch point.
[00262] In certain embodiments as described herein, each R1 is the same. In certain embodiments, each R1 nearest a common branch point is the same, but those nearest a first common branch point differ from those nearest a second common branch point. In certain embodiments, each R1 nearest a common branch point is different but the pair of R1s nearest a first common branch point is the same the pair nearest a second common branch point.
[00263] In various embodiments as described herein, the ionizable cationic lipids of formulas M1-1 , M1-2, M1-3, M1-4, M1-5, and M1-6 are as described herein with the proviso that they do not have the structure of Formula 1 ,
 (Formula 1) wherein Y is O, NH, N-CH3, or CH2, n is an integer from 0 to 4,

  m is an integer from 1 to 3, o is an integer from 1 to 4, p is an integer from 1 to 4, wherein when p = 1, each R is independently Ce to Ci6 straight-chain alkyl; Ce to Ci6 branched alkyl; Ce to Cie straight-chain alkenyl; Ce to Cie branched alkenyl; Cg to Cie cycloal kyl-alkyl in which the cycloalkyl is C3 to Cg cycloalkyl positioned at either end or within the alkyl chain; or Cs to Cis aryl-alkyl in which the aryl is phenyl or naphthalenyl and is positioned at either end or within the alkyl chain, wherein when p = 2, each R is independently Ce to C14 straight-chain alkyl; Ce to C14 straight-chain alkenyl; Ce to C14 branched alkyl; Ce to C14 branched alkenyl; Cg to C14 cycloal kyl-alkyl in which the cycloalkyl is C3 to Cs cycloalkyl positioned at the either end or within the alkyl chain; or Cs to C16 aryl-alkyl in which the aryl is phenyl or naphthalenyl and is positioned at either end or within the alkyl chain, wherein when p = 3, each R is independently Ce to C12 straight-chain alkyl; Ce to C12 straight-chain alkenyl; Ce to C12 branched alkyl; Ce to C12 branched alkenyl; Cg to C12 cycloal kyl-alkyl in which the cycloalkyl is C3 to Cs cycloalkyl positioned at either end or within the alkyl chain; or Cs to C14 aryl-alkyl in which the aryl is phenyl or naphthalenyl and is positioned at the either end or within the alkyl chain, and wherein when p = 4, each R is independently Ce to C10 straight-chain alkyl; Ce to C10 straight-chain alkenyl; Ce to C10 branched alkyl; Ce to C10 branched alkenyl; Cg to C10 cycloal kyl-alkyl in which the cycloalkyl is C3 to Cs cycloalkyl positioned at either end or within the alkyl; or Cs to C12 aryl-alky in which the aryl is phenyl or naphthalenyl and is positioned at the either end or within the alkyl chain.
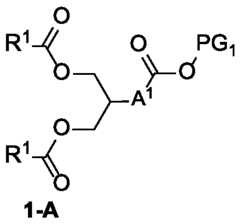
[00264] In various embodiments as described herein, the ionizable cationic lipids of formulas M1-1 , M1-2, M1-3, M1-4, M1-5, and M1-6 are as described herein with the proviso that they do not have the structure of Formula 1a,
 (Formula 1a) wherein each R is independently Ce to C16 straight-chain alkyl; Ce to C16 straightchain alkenyl; Ce to C16 branched alkyl; Ce to Cie branched alkenyl; Cg to Cie cycloal kyl-alkyl in which the cycloalkyl is C3 to Cg cycloalkyl positioned at either end or within the alkyl chain; or Ce to Cis aryl-al kyl in which the aryl is phenyl or naphthalenyl and is positioned at either end or within the alkyl chain,
Y is O, NH, N-CH3, or CH
2, n is an integer from 0 to 4,
 m is an integer from 1 to 3, and o is an integer from 1 to 4.
[00265] In various embodiments as described herein, the ionizable cationic lipids of formulas M1-1 , M1-2, M1-3, M1-4, M1-5, and M1-6 are as described herein with the proviso that they do not have a structure selected from the following:
[00266] In some embodiments, the ionizable cationic lipid has the structure of formula CICL-208A:
[00268] wherein each R1 is independently selected from a C7-C11 alkyl or a C7 or C11 alkenyl,
[00269] A1 is CH2 or CH2CH2,
[00270] A3 is O,
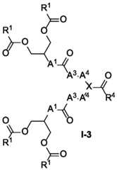
[00271] A4 is CH2 or CH2CH2, wherein A4 is not CH2 if X is N,
[00272] A6 is O, S, NH, or NCH3,
[00273] A7 is CH2,
[00274] A8 is CH2 or CH2CH2, and
[00276] In some embodiments of CICL-208A, the number of main chain atoms from either position of A1 through to position A8 (inclusive) is ten. In some embodiments of CICL- 208A, each R1 is (CH2)7CH3.
[00277] In some instances, the ionizable cationic lipid has the structure CICL-208:
[00278] The ionizable cationic lipid CICL-1 has the structure:
[00279] In some embodiments, the ionizable cationic lipid has the structure CICL-1- 29:
[00280] In some embodiments, the ionizable cationic lipid has the structure CICL-1- 30:
 [00281] In some embodiments, the ionizable cationic lipid has the structure CICL-1- 31 :
[00282] In some embodiments, the ionizable cationic lipid has the structure CICL-1- 32:
[00283] In some embodiments, the ionizable cationic lipid has the structure CICL-1-
33:
[00284] In some embodiments, the ionizable cationic lipid has the structure CICL-1-
[00285] In some embodiments, the ionizable cationic lipid has the structure CICL-1-
35:
 [00286] In some embodiments, the ionizable cationic lipid has the structure CICL-1- 36:
[00287] In some embodiments, the ionizable cationic lipid has the structure CICL-1- 37:
[00288] In some embodiments, the ionizable cationic lipid has the structure CICL-1-
[00289] In some embodiments, the ionizable cationic lipid has the structure CICL-1-
[00290] In some embodiments, the ionizable cationic lipid has the structure CICL-1-
40:
 [00291] In some embodiments, the ionizable cationic lipid has the structure CICL-1- 41 :
[00292] In some embodiments, the ionizable cationic lipid has the structure CICL-1- 42:
[00293] In some embodiments, the ionizable cationic lipid has the structure CICL-1-
43:
[00294] In some embodiments, the ionizable cationic lipid has the structure CICL-1- 44:
[00295] In some embodiments, the ionizable cationic lipid has the structure CICL-1- 45:
[00296] In some embodiments, the ionizable cationic lipid has the structure CICL-1-
[00297] In some embodiments, the ionizable cationic lipid has the structure CICL-1-
[00298] In some embodiments, the ionizable cationic lipid has the structure CICL-1-
48:
[00299] In some embodiments, the ionizable cationic lipid has the structure CICL-1- 49:
[00300] In some embodiments, the ionizable cationic lipid has the structure CICL-1- 50:
[00301] In some embodiments, the ionizable cationic lipid has the structure CICL-1-
[00302] In some embodiments, the ionizable cationic lipid has the structure CICL-1-
52:
[00303] In some embodiments, the ionizable cationic lipid has the structure CICL-1-
[00304] In some embodiments, the ionizable cationic lipid has the structure CICL-1-
54:
[00305] In some embodiments, the ionizable cationic lipid has the structure CICL-1- 55:
[00306] In some embodiments, the ionizable cationic lipid has the structure CICL-1-
56:
[00307] In some embodiments, the ionizable cationic lipid has the structure CICL-1-
[00308] In some embodiments, the ionizable cationic lipid has the structure CICL-1-
58:
[00309] In some embodiments, the ionizable cationic lipid has the structure CICL-1-
[00310] In some embodiments, the ionizable cationic lipid has the structure CICL-1-
60:
[00311] In some embodiments, the ionizable cationic lipid has the structure CICL-1- 61 :
[00312] In some embodiments, the ionizable cationic lipid has the structure CICL-1-
62:
[00313] In some embodiments, the ionizable cationic lipid has the structure CICL-1- 63:
[00314] In some embodiments, the ionizable cationic lipid has the structure CICL-1-
64:
[00315] In some embodiments, the ionizable cationic lipid has the structure CICL-1- 65:
[00316] In some embodiments, the ionizable cationic lipid has the structure CICL-1-
66:
[00317] In some embodiments, the ionizable cationic lipid has the structure CICL-1- 67:
[00318] In some embodiments, the ionizable cationic lipid has the structure CICL-1-
68:
[00319] In some embodiments, the ionizable cationic lipid has the structure CICL-1- 69:
[00320] In some embodiments, the ionizable cationic lipid has the structure CICL-1-
70:
[00321] In some embodiments, the ionizable cationic lipid has the structure CICL-1- 71 :
[00322] In some embodiments, the ionizable cationic lipid has the structure of formula CICL-227A:
[00324] wherein each R1 is independently selected from a C7-C11 alkyl or a C7 or C11 alkenyl,
[00325] A1 is CH2 or CH2CH2,
[00326] A3 is O,
[00327] A4 is CH2 or CH2CH2,
[00328] A5 is NH or NCH3,
[00329] X is CH or C-CH3,
[00330] A7 is O, S, NH, NCH3, or CH2
[00331] A
8 is CH
2 or CH
2CH
2, wherein if A
7 is O, S, NH, NCH
3, A
8 is CH
2CH
2, and
[00333] In some embodiments of CICL-227A, the number of main chain atoms from either position of A1 through to position A8 (inclusive) is ten. In some embodiments of CICL- 227A, each R1 is (CH2)7CH3.
[00334] In some instances, the ionizable cationic lipid has the structure CICL-227:
[00335] In some embodiments, the ionizable cationic lipid has the structure of formula
CICL-228A:
 [00337] wherein each R
1 is independently selected from a C7-C11 alkyl or a C7 or C11 alkenyl,
[00338] A1 is CH2 or CH2CH2,
[00339] A3 is O,
[00340] A4 is CH2 or CH2CH2,
[00341] X is CH or C-CH3,
[00342] A5 is CH2,
[00343] A7 is O, NH, or NCH3,
[00344] A
8 is CH
2 or CH2CH2, wherein if A
7 is O, NH, NCH
3, A
8 is CH2CH2, and
[00346] In some embodiments of CICL-228A, the number of main chain atoms from either position of A1 through to position A8 (inclusive) is ten. In some embodiments of CICL- 228A, each R1 is a (CH2)7CH3.
[00347] In some instances, the ionizable cationic lipid has the structure CICL-228:
[00348] In some embodiments, the ionizable cationic lipid has the structure of formula
CICL-229A:
[00350] wherein each R1 is independently selected from a C7-C11 alkyl or a C7 or Cn alkenyl,
[00351] A1 is CH2 or CH2CH2,
[00352] A3 is O,
[00353] A4 is CH2 or CH2CH2,
[00354] X is CH or C-CH3,
[00355] A6 is O, NH, or NCH3,
[00356] A7 is CH2,
[00357] A8 is CH2 or CH2CH2, and
[00359] In some embodiments of CICL-229A, the number of main chain atoms from either position of A1 through to position A8 (inclusive) is ten. In some embodiments of CICL- 229, each R1 is (CH2)7CH3.
[00360] In some instances, the ionizable cationic lipid has the structure CICL-229:
[00361] In some embodiments, the ionizable cationic lipid has the structure of formula CICL-233A:
[00363] wherein each R1 is independently selected from a C7-C11 alkyl or a C7 or C11 alkenyl,
[00364] A1 is CH2 or CH2CH2,
[00365] A3 is O,
[00366] A4 is CH2 or CH2CH2,
[00367] X is CH or C-CH3,
[00368] A5 is O, NH, or NCH3
[00369] A7 is CH2,
[00370] A
8 is CH
2 or CH
2CH
2, and
 wherein Z is a bond.
[00372] In some embodiments of CICL-233A, the number of main chain atoms from either position of A1 through to position A8 (inclusive) is ten. In some embodiments of CICL- 233A, each R1 is a (CH2)7CH3.
[00373] In some instances, the ionizable cationic lipid has the structure CICL-233:
[00374] In some instances, the ionizable cationic lipid has the structure CICL-234:
[00375] In some instances, the ionizable cationic lipid has the structure CICL-235:
[00376] In some embodiments, the ionizable cationic lipid has a structure selected from the following:
[00377] In some embodiments, the ionizable cationic lipid has the structure selected from the following:
[00378] In other aspects of this disclosure are provided intermediate lipids of the ionizable cationic lipids disclosed herein. In some embodiments, the lipid (e.g., intermediate lipid) of the ionizable cationic lipid of formula M1 has the structure of formula 1-1 :
 wherein each R
1 is independently selected from a C7-C11 alkyl or a C7-C11 alkenyl;
R2 is H or a protecting group;
A1 is CH2 or CH2CH2,
A3 is O,
A4 is CH2 orCH2CH2, wherein A4 is not CH2 if X is N,
X is N, CH, or C-CH3, and A5 is CH2, NH, NCH3J or O.
[00379] In various embodiments as described herein, R2 is H.
[00380] In various embodiments as described herein, R2 is a protecting group (i.e., PG1). PG1 can be selected from base labile or acid labile protecting groups as known in the art. For example, in some embodiments, R2 is an acid labile protecting group such as t-butoxycarbonyl (BOC) or benzyloxycarbonyl (Cbz). In some other embodiments, R2 is a base labile protecting group such as a trimethylsilylethoxycarbonyl moiety.
[00381] In certain embodiments of formula 1-1 , when A1 and A4 are CH2, then X is CH, A5 is CH2, NH, NCH3, or O. In certain embodiments of 1-1 , when A1 and A4 are CH2, then X is CH, and A5 is NH2.
[00382] In certain embodiments of formula 1-1, when A1 is CH2 and A4 is CH2 or CH2CH2, and X is CH, then A5 is NH, NCH3, or O. In certain embodiments of formula 1-1, when A1 is CH2, A4 is CH2CH2, X is CH, and A5 is O. In certain embodiments of formula 1-1, when A1 is CH2, A4 is CH2CH2, X is C-CH3, and A5 is NH. In certain embodiments of formula 1-1, when A1 is CH2, A4 is CH2CH2, X is C-CH3, and A5 is NCH3.
[00383] In some embodiments, the lipid (e.g., intermediate lipid) of the ionizable cationic lipid of formula M1 has the structure of formula I-2:
 wherein each R
1 is independently selected from a C7-C11 alkyl or a C7-C11 alkenyl;
A1 is CH2 or CH2CH2,
A3 is O,
A4 is CH2 or CH2CH2, wherein A4 is not CH2 if X is N,
X is N, CH, or C-CH3, and
A5 is CH2, NH, NCH3J or O.
[00384] In various embodiments of formula I-2, R3 is OH.
[00385] In various embodiments of formula
 .
[00386] In certain embodiments of formula I-2, when A
1 and A
4 are CH
2, then X is CH, A
5 is CH
2, NH, NCH
3, or O. [00387] In certain embodiments of formula I-2, A
1 and A
4 are CH2, X is CH, A
5 is NH2, and
[00388] In certain embodiments of formula I-2, A1 and A4 are CH2, X is CH, A5 is CH2, and R3 is OH.
[00389] In some embodiments, the lipid (e.g., intermediate lipid) of the ionizable cationic lipid of formula M1 has the structure of formula I-3:
 wherein each R
1 is independently selected from a C7-C11 alkyl or a C7-C11 alkenyl;
A1 is CH2 or CH2CH2,
A3 is O,
A4 is CH2 or CH2CH2, wherein A4 is not CH2 if X is N, and
X is N, CH, or C-CH3.
[00390] In various embodiments of formula I-3, R4 is OH.
[00391] In various embodiments of formula
[00392] In certain embodiments of formula I-3, A1 is CH2 or CH2CH2, A4 is CH2 or CH2CH2, and X is C-CH3.
[00393] In certain embodiments of formula I-3, A1 is CH2, A4 is CH2CH2, X is C-CH3, and R4 is OH. [00394] In certain embodiments of formula 1-3, A1 is CH2 or CH2CH2, A4 is CH2 or CH2CH2, and X is N.
[00395] In certain embodiments of formula I-3, A
1 is CH2, A
3 is O, A
4 is CH2CH2, X is N, and
[00396] To promote biodegradability and minimize the accumulation of ionizable cationic lipids of this disclosure, the fatty acid tails are designed to comprise esters in a position that minimizes steric hinderance of ester cleavage. For example, while a single fatty acid tail will tend to extend away from the ester carbonyl to provide the most energetically favorable position, the presence of two tails leads to the tails extending in opposite directions to provide the most energetically favorable conformation. In certain other embodiments, the fatty acid tails can be in a less energetically favorable position. For example, in certain embodiments, one of the tails extends toward the carbonyl and sterically hinders cleavage of the ester. Accordingly, large branches immediately adjacent to the ester carbonyl were avoided. Accordingly, in some embodiments, the ester carbonyls are not in an a position relative to the branch point, for example they are in a p position relative to the branch point. In positioning the ester(s) within the lipid, consideration was also given to potential degradation products to avoid the generation of toxic compounds, such as formaldehyde.
[00397] An advantage of ionizable cationic lipids of this disclosure is that, at least in part, the toxicity associated with quaternary ammonium cationic lipids can be avoided. Accordingly, in various embodiments as described herein, the ionizable cation lipid does not include a quaternary ammonium (e.g., a quaternary nitrogen group). Some LNPs containing quaternary ammonium lipids, which are effectively permanently cationic, have displayed a fatal hyperacute toxicity in laboratory animals. In contrast, the use of ionizable cationic lipids of this disclosure in an LNP obviates the need for quaternary ammonium cationic lipids and, thereby, can mitigate or avoid potential LNP toxicity. In certain embodiments, use of an LNP or tLNP of this disclosure causes no detectable toxicity to cells or in a subject. In certain embodiments, use of an LNP or tLNP of this disclosure causes no more than mild toxicity to cells or in a subject that is asymptomatic or induces only mild symptoms that do not require intervention. In certain embodiments, use of an LNP or tLNP of this disclosure causes no more than moderate toxicity to cells or in a subject which can impair activities of daily living that requires only minimal, local, or non-invasive interventions.
[00398] The relationship between the efficacy and toxicity of a drug is generally expressed in terms of therapeutic window and therapeutic index. Therapeutic window is the dose range from the lowest dose that exhibits a detectable therapeutic effect up to the maximum tolerated dose (MTD); the highest dose that will the desired therapeutic effect without producing unacceptable toxicity. Most typically, therapeutic index is calculated as the ratio of LD50:ED50 when based on animal studies and TD50:ED50 when based on studies in humans (though this calculation could also be derived from animal studies and is sometimes called the protective index), where LD50, TD50, and ED50 are the doses that are lethal, toxic, and effective in 50% of the tested population, respectively. These concepts are applicable whether the toxicity is based on the active agent itself or some other component of the drug product, such as, for example, the LNP or its components. For any inherent level of toxicity of the disclosed lipids or LNPs themselves, an increase in the efficiency of delivering the nucleic acid into the cytoplasm improves the therapeutic window or index, as an effective amount of the biologically active payload (e.g., one or more species of nucleic acid molecule) would be deliverable with a smaller dosage of LNP (and its component lipids).
[00399] Toxicities and adverse events are sometimes graded according to a 5-point scale. A grade 1 or mild toxicity is asymptomatic or induces only mild symptoms; can be characterized by clinical or diagnostic observations only; and intervention is not indicated. A grade 2 or moderate toxicity can impair activities of daily living (such as preparing meals, shopping, managing money, using the telephone, etc.) but only minimal, local, or non-invasive interventions are indicated. Grade 3 toxicities are medically significant but not immediately lifethreatening; hospitalization or prolongation of hospitalization is indicated; activities of daily living related to self-care (such as bathing, dressing and undressing, feeding oneself, using the toilet, taking medications, and not being bedridden) can be impaired. Grade 4 toxicities are life-threatening and urgent intervention is indicated. Grade 5 toxicity produces an adverse event-related death. Thus, in various embodiments, by use of the disclosed LNP and tLNP a toxicity is confined to grade 2 or less, grade 1 or less, or produces no observed toxicity.
[00400] Tolerability
[00401] Conventional LNPs deliver primarily to the liver. Liver toxicity has been the major dose limiting parameter observed with LNP-containing pharmaceuticals. For example, ONPATTRO®, comprising the ionizable lipid MC3, has a NOAEL (no observed adverse effect level) of only 0.3 mg/kg for multiple dosing in rats. A benchmark LNP comprising the ionizable cationic lipid ALC-0315, used in the SARS-CoV-2 vaccine COMIRNATY®, caused elevated levels of liver enzymes and acute phase proteins at single doses of mg/kg in the rat. Merely attaching an antibody to the benchmark LNP partially reverses that elevation and the reversal is greater if the antibody directs the LNP to some other tissue (that is, a tLNP). However, use of a highly biodegradable ionizable cationic lipid, CICL-1 , the catabolism of which should be similar to those disclosed herein, reduced delivery to the liver and associated liver enzyme  and acute phase protein levels to a greater extent for LNP, antibody-conjugated LNP, and tLNP.
Methods of Making Ionizable Cationic Lipids
[00402] Structural symmetries and convergent rather than linear synthesis pathways can be used to simplify the synthesis of the ionizable lipids of this disclosure.
[00403] In certain aspects, this disclosure provides a method of synthesizing an ionizable cationic lipid of formula M1. In certain embodiments, the method synthesizes an ionizable cationic lipid of formula M1 where X = CH or C-CH3. In certain embodiments, the method synthesizes an ionizable cationic lipid of formula CICL-227A (e.g., without limitation, CICL- 227), an ionizable cationic lipid of formula CICL-228A (e.g., without limitation, CICL-228), an ionizable cationic lipid of formula CICL-229A (e.g., without limitation, CICL-209), an ionizable cationic lipid of formula CICL-233A (e.g., without limitation, CICL-233, CICL-234, CICL-235), or an ionizable cationic lipids of formula CICL-208A (e.g., without limitation, CICL-208).
[00404] Table 2 provides a summary of substituents in formula M1 for CICL-208, CICL- 227, CICL-228, CICL-229, CICL-233, CICL-234, and CICL-235.
Table 2. Substituents in formula M1 for CICL-208, CICL-227, CICL-228, CICL-229, CICL- 233, CICL-234, and CICL-235
Synthesis of an ionizable cationic lipid of formula CICL-227 A
[00405] In certain embodiments, this disclosure provides a method of synthesizing an ionizable cationic lipid of formula CICL-227A comprising the synthesis step as shown in Scheme CICL-227A, A is an anion of an acid AH, and the rest of the substituents are defined the same as in formula CICL-227A. In certain embodiments, the method further comprises one or more synthesis steps shown in Scheme 1-A, Scheme 2-A, Scheme 3-A, and/or Scheme 4-A.
Scheme CICL-227A
[00406] The synthesis step shown in Scheme CICL-227A comprises reacting a diester-X- amine 4-A with 1,T-carbonyldiimidazole (CDI) to provide an imidazolecarboxyamide 5-A; and coupling the imidazolecarboxyamide 5-A with a desired Y-alcohol/thiol/amine/alkyl (H-A7-A8- Y) to a corresponding carbamate/thiocarbamate/urea/amide having the structure of formula CICL-227A, all substituents are defined the same as those in formula CICL-227A. In certain embodiments, the imidazolecarboxyamide 5-A synthesis is carried out in an organic solvent (e.g., without limitation, CH2CI2) in the presence of a basic catalyst (e.g., without limitation, EtaN). In certain embodiments, the carbamate/thiocarbamate/urea synthesis can comprise first reacting the imidazolecarboxyamide 5-A with MeOTf, then reacting with the desired Y- alcohol/thiol/amine/alkyl (H-A7-A8-Y) in the presence of a base (e.g., trimethylamine). The reaction can be carried out in an organic solvent (e.g., acetonitrile). In certain embodiments as described herein, H-A7-A8-Y is an alcohol, wherein A7, A8, and Y is as described herein. In certain embodiments as described herein, H-A7-A8-Y is a thiol, wherein A7, A8, and Y is as described herein. In certain embodiments as described herein, H-A7-A8-Y is an amine, wherein A7, A8, and Y is as described herein. Accordingly, in some embodiments, H-A7-A8-Y is an alcohol/thiol/amine that provides that desired A7, A8, and Y group to the lipids of formula CICL- 227A. For example, in some embodiments as described herein, A7 is O, S, NH, NCH3 or CH2, and A8 is CH2 or CH2CH2.
[00407] The synthesis step shown in Scheme 1-A comprises coupling R
1-COOH with a diol-A
1-COOH that is protected by a protecting group (PGi) (Diol-A
1-protected acid)(e.g., PGi = tert-butyl in the tert-butyl butanoate ester as show in Example 1) to form a diester with a protected carboxylic acid (1-A, also referred to as diester-A
1-protected acid). In certain embodiments, the coupling reaction is carried out in an organic solvent (e.g., acetonitrile) in the presence of a nucleophilic catalyst (e.g., DMAP) and an acidic catalyst (e.g., EDC-HCI). Coupling condition - ►
Scheme 1-A
[00408] The synthesis step shown in Scheme 2-A comprises deprotecting the diester-A
1- protected acid 1-A to provide the corresponding unprotected diester-A
1-acid 2-A. The deprotection can be carried out under acidic, select basic, or hydrogenolytic conditions, depending on the protection group (PGi). For example, the deprotection step can be carried out under an acidic condition (e.g., in the presence of TFA) in an organic solution (e.g., toluene) as shown in Example 2.
Scheme 2-A
[00409] The synthesis step shown in Scheme 3-A comprises coupling the unprotected diester-A
1-acid 2-A with a desired diol-X-amine/alcohol/thiol protected by a second protecting group (PG
2) (diol-X-protected amine/alcohol/thiol) to form protected diester-X- amine/alcohol/thiol 3-A. In certain embodiments, the coupling reaction is carried out in an organic solvent (e.g., acetonitrile) in the presence of a nucleophilic catalyst (e.g., DMAP) and an acidic catalyst (e.g., EDC-HCI). In certain embodiments, PG
2 can be -C(=O)-O-C(CH3)3, as used in Example 3).
Scheme 3-A
[00410] The synthesis step shown in Scheme 4-A comprises deprotecting the protected diester-X-amine/alcohol/thiol 3-A to provide the unprotected diester-X-amine/alcohol/thiol 4- A. The deprotection can be carried out under acidic or basic conditions, depending on the protection group (PG2). For example, the deprotection step can be carried out under an acidic condition (e.g., in the presence of an acid AH, such as TFA) in an organic solution (e.g., CH
2CI
2).
Scheme 4-A Synthesis of an ionizable cationic lipid of formula CICL-228A
[00411] In certain embodiments, this disclosure provides a method of synthesizing an ionizable cationic lipid of formula CICL-228A comprising the synthesis step shown in CICL- 228A, all substituents are defined the same as in formula CICL-228A. In certain embodiments, the method can further comprise the synthesis steps shown in Schemes 6-A to Scheme 7-A. [00412] The synthesis step shown in Scheme CICL-228A comprises coupling a diester-X- A
5-acid 7-A with an amine/alcohol (H-A
7-A
8-Y) to provide an amide/ester having the structure of formula CICL-228A. In certain embodiments, the coupling reaction is carried out in an organic solvent (e.g., THF) in the presence of basic catalysts (e.g., HATU, i-Pr
2NEt), as shown in Example 9. In certain embodiments as described herein, H-A
7-A
8-Y is an alcohol, wherein A
7, A
8, and Y is as described herein. In certain embodiments as described herein, H-A
7-A
8-Y is an amine, wherein A
7, A
8, and Y is as described herein. Accordingly, in some embodiments, H-A
7-A
8-Y is an alcohol/amine that provides that desired A
7, A
8, and Y group to the lipids of formula CICL-228. For example, in some embodiments as described herein, A
7 is O, NH, or NCH
3, and A
8 is CH
2 or CH
2CH
2.
Scheme CICL-228A
[00413] The synthesis step shown in Scheme 6-A comprises coupling a diester-A
1-acid 2- A with a desired diol-X-A
5-acid protected by a third protecting group (PG
3) (diol-X-A
5-protected acid) to form protected diester-X-A
5-acid 6-A. In certain embodiments, the coupling reaction is carried out in an organic solvent (e.g., acetonitrile) in the presence of a nucleophilic catalyst (e.g., DMAP), an acidic catalyst (e.g., EDC-HCI) and/or a basic catalyst (e.g., Et
3N). In certain embodiments, PG
3 can be -C(CH
3)
3, as used in Example 7)
Scheme 6-A
[00414] The synthesis step shown in Scheme 7-A comprises deprotecting the protected diester-X-A
5-acid 6-A to provide the unprotected diester-X-A
5-acid 7-A. The deprotection can be carried out under acidic or basic conditions, depending on the protection group (PG3). For example, the deprotection step can be carried out under an acidic condition (e.g., in the presence of an acid AH, such as trifluoroacetic acid, TFA).
Scheme 7-A
Synthesis of an ionizable cationic lipid of formula CICL-229A
[00415] In certain embodiments, this disclosure provides a method of synthesizing an ionizable cationic lipid of formula CICL-228A comprising the synthesis step shown in Scheme CICL-229A, all substituents are defined the same as in formula CICL-229A. In certain embodiments, the method can further comprise the synthesis steps shown in Schemes 12-A to 13-A.
Scheme CICL-229A
[00416] The synthesis step shown in Scheme CICL-229A comprises coupling a diester-X- A5-acid 13-A with an amine/alcohol (H-A6-A7-A8-Y) to provide an amide/ester having the structure of formula CICL-229A. In certain embodiments, the coupling reaction is carried out in an organic solvent (e.g., THF) in the presence of basic catalysts (e.g., HATU, i-PrzNEt), as shown in Example 14. In certain embodiments as described herein, H-A6-A7-A8-Y is an alcohol, wherein A6, A7, A8, and Y is as described herein. In certain embodiments as described herein, H-A6-A7-A8-Y is an amine, wherein A6, A7, A8, and Y is as described herein. Accordingly, in some embodiments H-A6-A7-A8-Y is an alcohol/amine that provides that desired A6, A7, A8, and Y group to the lipids of formula CICL-229A. For example, in some embodiments as described herein, A6 O, NH, or NCH3, A7 is CH2, and A8 is CH2 or CH2CH2.
[00417] The synthesis step shown in Scheme 12-A comprises coupling a diester- A
1 -acid 2-A with a desired diol/-X-acid protected by a fourth protecting group (PG
4) (diol-X-protected acid) to form protected diester-X-acid 12-A. In certain embodiments, the coupling reaction is carried out in an organic solvent (e.g., acetonitrile) in the presence of a nucleophilic catalyst (e.g., DMAP), an acidic catalyst (e.g., EDC-HCI) and/or a basic catalyst (e.g., EtaN). In certain embodiments, PG
4 can be -CHzPh.
Scheme 12-A
[00418] The synthesis step shown in Scheme 13-A comprises deprotecting the protected diester-X-acid 12-A to provide the unprotected diester-X-acid 13-A. The deprotection can be carried out under acidic or basic conditions, depending on the protection group (PG4). For example, the deprotection step can be carried out under a reductive condition (e.g., in the presence of hydrogen and catalyst, such as Pd/C as shown in Example 13).
Scheme 13-A
Synthesis of an ionizable cationic lipid of formula CICL-233A
[00419] In some embodiments, the ionizable cationic lipid of formula M1 synthesized has a structure of formula CICL-233A, where A5 is O (e.g., which covers compound CICL-233), N (e.g., which covers compound CICL-234) or N(Me) (e.g., which covers compound CICL-235). The method comprises the synthesis steps shown in Scheme CICL-233A.
Scheme CICL-233A
[00420] In certain embodiments, the method further comprises one or more steps shown in Schemes 16-A, and Scheme 23-A.
Scheme 16-A
Scheme 23-A
[00421] The synthesis step shown in Scheme CICL-233A comprises coupling the diester- X-amine/alcohol 16-A with a desired acid HOOC-A7-A8-Y, wherein A7, A8, and Y is as described herein to provide an amide/ester having the structure of formula CICL-233A. In certain embodiments, the coupling reaction is carried out in an organic solvent (e.g., acetonitrile, THF, or CH2CI2) in the presence of a nucleophilic catalyst (e.g., DMAP), an acidic catalyst (e.g., EDC-HCI) and a basic catalyst (e.g., EtsN).
[00422] In certain embodiments, a method of preparing diester-X-amine/alcohol 16-A comprises deprotecting a protected diester-X-amine/alcohol 15-A. The protecting group (PG5) can be tetrahydropyran (THP when A5 is O, and can be deprotected e.g., as shown in Example 15, in the presence of PPTS in MeOH). The protection group (PG5) can be BOC when A5 is NH or NCH3, and can be deprotected e.g., as shown in Example 16, in the presence of an acid such as CF3CO2H.
[00423] In certain embodiments, a method of preparing a protected diol-amine 23-A comprises one or more synthesis steps as shown in Scheme 23-A, A5 being NH or NCH3. In certain embodiments, the method comprises converting diol-benzyl-A5-H (22B-A) to the protected diol-amine 23-A. In certain embodiments, the method further comprises one or more additional steps shown in Scheme 23-A.
[00424] In certain instances, the conversion comprises hydrogenolysis of diol-benzyl-A5-H (22B-A) to remove the benzyl group and followed by protecting procedure to add the protection group (PG).
[00425] In certain embodiments, the method further comprises reduction of di-ester-benzyl- A5-H (22A-A) to diol-benzyl-A5-H (22B-A).
[00426] In certain embodiments, the method further comprises reduction of di-ester- enamine (21 -A) to diester-benzyl-A5-H (22A-A).
[00427] In certain embodiments, the method further comprises reacting dimethyl-3- oxopentanedioate 20 with benzyl-A5-H to provide di-ester-enamine (21 -A).
[00428] In certain embodiments, the method further comprises reduction reacting dimethyl- 3-oxopentaned ioate 20 with benzyl amine or N-methyl benzyl amine to provide enamine 21- A.
[00429] Synthesis of an ionizable cationic lipid of formula CICL-208A
[00430] In certain embodiments, this disclosure provides a method of synthesizing an ionizable cationic lipid of formula CICL-208A comprising the synthesis step as shown in Scheme CICL-208A, A is an anion of an acid AH, and the rest of the substituents are defined the same as in formula CICL-208A. In certain embodiments, the method further comprises one or more synthesis steps shown in Scheme 1-A with the corresponding substitution group. [00431] The synthesis step shown in Scheme CICL-208A comprises reacting a diester-X- amine 27 -A with 1,1'-carbonyldiimidazole (CDI) to provide an imidazolecarboxyamide 28-A; and coupling the imidazolecarboxyamide 28-A with a desired Y-alcohol/thiol/amine (H-A
6-A
7- A
8-Y) to a corresponding carbamate/thiocarbamate/urea having the structure of formula CICL- 208A, all substituents are defined the same as those in formula CICL-208A. In certain embodiments, the imidazolecarboxyamide 27 -A synthesis is carried out in an organic solvent (e.g., without limitation, CH2CI2) in the presence of a basic catalyst (e.g., without limitation, Et
3N). In certain embodiments, the carbamate/thiocarbamate/urea synthesis can comprise first reacting the imidazolecarboxyamide 28-A with MeOTf, then reacting with the desired Y- alcohol/thiol/amine (H-A
6-A
7-A
8-Y) in the presence of a base (e.g., trimethylamine). The reaction can be carried out in an organic solvent (e.g., acetonitrile). In certain embodiments as described herein, H-A
6-A
7-A
8-Y is an alcohol, wherein A
6, A
7, A
8, and Y is as described herein. In certain embodiments as described herein, H-A
6-A
7-A
8-Y is a thiol, wherein A
6, A
7, A
8, and Y is as described herein. In certain embodiments as described herein, H-A
6-A
7-A
8-Y is an amine, wherein A
6, A
7, A
8, and Y is as described herein. Accordingly, in some embodiments, H-A
6-A
7-A
8-Y is an alcohol/thiol/amine that provides that desired A
6, A
7, A
8, and Y group to the lipids of formula CICL-208A. For example, in some embodiments as described herein, A
8 is O, S, NH, NCH
3, A
7 is CH
2, and A
8 is CH
2 or CH2CH2.
Scheme CICL-208A
[00432] In certain embodiments, the method further comprises a synthesis step shown in Scheme CICL-208-A comprises coupling the unprotected diester-A1-acid 2-A with a desired diol-amine protected by a second protecting group (PG2) (diol-protected amine) to form protected diester-amine 26-A. In certain embodiments, the coupling reaction is carried out in an organic solvent (e.g., acetonitrile) in the presence of a nucleophilic catalyst (e.g., DMAP) and an acidic catalyst (e.g., EDC-HCI). In certain embodiments, PG2 can be -C(=O)-O- C(CH3)3.
[00433] As described above, in various embodiments as described herein, H-A7-A8-Y, H- A6-A7-A8-Y, and HOOC-A7-A8-Y are used under coupling conditions to provide the ionizable cationic lipids of formula M1 as described herein. In various embodiments as described
(CH2)0-3CH3
H-A
7 A
8-N herein, H-A
7-A
8-Y is selected from the group consisting of
 wherein A
7 and A
8 are as otherwise described herein. The various H-A
7-A
8-Y compounds disclosed herein are commercially available, are known in the scientific literature, or can be made using procedures familiar to the person of ordinary skill in the art, provided from commercial sources, or the general procedures described in the Examples below.
[00434] For example, in various embodiments, H-A
7-A
8-Y is selected from any one of
[00435] In various embodiments as described herein, H-A
6-A
7-A
8-Y is selected from the
H-A6-A7-A8-Y compounds disclosed herein are commercially available, are known in the scientific literature, or can be made using procedures familiar to the person of ordinary skill in the art, provided from commercial sources, or the general procedures described in the Examples below.
[00436] In various embodiments as described herein, HOOC-A7-A8-Y is
(CH2)O-3CH3 (CH2)2-4OCH3 (CH2)2-4OCH3
HOOC-A7-A8-N HOOC-A7-A8-N HOOC-A7-A8-N
(CH
2)O-3CH
3 (CH2)O-ICH
3 (CH2)2-4OCH
3 herein. The various HOOC-A
7-A
8-Y compounds disclosed herein are commercially available, are known in the scientific literature, or can be made using procedures familiar to the person of ordinary skill in the art, provided from commercial sources, or the general procedures described in the Examples below.
[00437] The syntheses are described using specific solvents, but in all cases alternative solvents are known to the person of skill in the art. THF can be substituted, for example, without limitation, by DMF, diethyl ether, methyl t-butyl ether, dioxane, or 2-methyl THF. Ethyl acetate can be substituted by, for example, without limitation, isopropyl acetate, THF, 2-methyl THF, dioxane, or methyl t-butyl ether. Dichloromethane can be substituted by, for example, without limitation, ethyl acetate, isopropyl acetate, THF, methyl t-butyl ether, 2-methly THF, dioxane, or heptane. Methanol can be substituted by, for example, without limitation, ethanol, or aqueous THF. Acetonitrile can be substituted by, for example, THF, 2-methyl THF, dichloromethane, ethyl acetate, isopropyl acetate, methyl t-butyl ether, or toluene.
[00438] Many general references providing commonly known chemical synthetic schemes and conditions useful for synthesizing materials/intermediates used in the synthesis of the disclosed compounds are available (see, e.g., Smith , March's Advanced Organic Chemistry: Reactions, Mechanisms, and Structure, Eighth Edition, Wiley-lnterscience, 2019; or Furniss, Hannaford, Smith, Tatchelll, Vogel’s Textbook of Practical Organic Chemistry, Including Qualitative Organic Analysis, Fifth Edition, New York: Longman, 1989).
[00439] Compounds as described herein can be purified by any of the means known in the art, including chromatographic means, such as HPLC, preparative thin layer chromatography, flash column chromatography and ion exchange chromatography. Any suitable stationary phase can be used, including normal and reversed phases as well as ionic resins. Most typically, the disclosed compounds are purified via silica gel and/or alumina chromatography. See, e.g., Still, Kahn, Mitra, J. Org. Chem. 1978, 43, 2923-292, Introduction to Modern Liquid Chromatography, 2nd Edition, ed. L. R. Snyder and J. J.
Kirkland, John Wiley and Sons, 1979; and Thin Layer Chromatography, ed E. Stahl, Springer-Verlag, New York, 1969. [00440] During any of the processes for preparation of the subject compounds, it may be necessary and/or desirable to protect sensitive or reactive groups on any of the molecules concerned. This may be achieved by means of conventional protecting groups as described in standard works, such as J. F. W. McOmie, "Protective Groups in Organic Chemistry,” Plenum Press, London and New York 1973, in P. G. M. Wuts, "Greene’s Protective Groups in Organic Synthesis,” Fifth edition, Wiley, New York 2014, in "The Peptides"; Volume 3 (editors: E. Gross and J. Meienhofer), Academic Press, London and New York 1981, in "Methoden der organischen Chemie,” Houben-Weyl, 4.sup.th edition, Vol. 15/1, Georg Thieme Verlag, Stuttgart 1974, in H.-D. Jakubke and H. Jescheit, "Aminosauren, Peptide, Proteine,” Verlag Chemie, Weinheim, Deerfield Beach, and Basel 1982, and/or in Jochen Lehmann, "Chemie der Kohlenhydrate: Monosaccharide and Derivate,” Georg Thieme Verlag, Stuttgart 1974. The protecting groups may be removed at a convenient subsequent stage using methods known from the art.
[00441] The intermediate compounds of the ionizable cationic lipids disclosed herein can be made using procedures familiar to the person of ordinary skill in the art and as described herein. For example, compounds of structural formula M1-1 , M1-2, M1-3, M1-4, M1-5, and M1-6 can be prepared according to Scheme 1A, Scheme 2A, Scheme 3A, Scheme 4A, Scheme 6A, Scheme 7A, Scheme 12A, Scheme 13A, Scheme 16A, Scheme 23A, Scheme CICL-227A, Scheme CICL-228A, Scheme CICL-229A, Scheme CICL-233A, Scheme CICL-208A, general procedures (see the Examples below), and/or analogous synthetic procedures. One of skill in the art can adapt the reaction sequences of Scheme 1A, Scheme 2A, Scheme 3A, Scheme 4A, Scheme 6A, Scheme 7A, Scheme 12A, Scheme 13A, Scheme 16A, Scheme 23A, Scheme CICL-227A, Scheme CICL-228A, Scheme CICL- 229A, Scheme CICL-233A, Scheme CICL-208A, general procedures, and Examples described to fit the desired target molecule. Of course, in certain situations one of skill in the art will use different reagents to affect one or more of the individual steps or to use protected versions of certain of the substituents. Additionally, one skilled in the art would recognize that compounds of the disclosure can be synthesized using different routes altogether.
Lipid Nanoparticles (LNPs) and Targeted LNPs (tLNPs)
[00442] In certain aspects, this disclosure provides an LNP comprising an ionizable cationic lipid of formula M1. In some embodiments, an LNP comprises an ionizable cationic lipid of formula M1 and a phospholipid, a sterol, a co-lipid, a PEGylated lipid, or a combination thereof. In certain embodiments, the PEG-lipids are not functionalized PEG-lipids. In other embodiments, the PEG-lipids are functionalized PEG-Lipids. In certain embodiments, the LNP comprises at least one PEG-lipid that is functionalized and at least one PEG-lipid that is not functionalized.
[00443] In further aspects, this disclosure provides a targeted lipid nanoparticle (tLNP) comprising an ionizable cationic lipid of formula M1. In some embodiments, the aforementioned tLNP can further comprise one or more of a phospholipid, a sterol, a co-lipid, and a PEG-lipid, or a combination thereof, and a functionalized PEG-lipid. As used herein, “functionalized PEG-lipid” refers to a PEG-lipid in which the PEG moiety has been derivatized with a chemically reactive group that can be used for conjugating a targeting moiety to the PEG-lipid. The functionalized PEG-lipid can be reacted with a binding moiety (e.g., an antibody of Fab) after the LNP is formed, so that the binding moiety is conjugated to the PEG portion of the lipid. The conjugated binding moiety can thus serve as a targeting moiety for the tLNP. [00444] In various embodiments, a binding moiety of a LNP or tLNP comprises an antigen binding domain, an antigen, a ligand-binding domain of a receptor, or a receptor ligand. In some embodiments, a binding moiety comprises a complete antibody, an F(ab)2, an Fab, a minibody, a single-chain Fv (scFv), a diabody, a VH domain, or a nanobody, such as a VHH or single domain antibody. In some embodiments, the receptor ligand is a carbohydrate, for example, a carbohydrate comprising terminal galactose or N-acetylgalactosamine units, which are bound by the asialoglycoprotein receptor. These binding moieties constitute means for LNP targeting. Some embodiments specifically include one or more of these binding moieties. Other embodiments specifically exclude one or more of these binding moieties.
LNP and tLNP Compositions
[00445] The LNP composition contributes to the formation of stable LNPs and tLNPs, efficient encapsulation of a payload, protection of a payload from degradation until it is delivered into a cell, and promotion of endosomal escape of a payload into the cytoplasm. These functions are primarily independent of the specificity of the binding moiety (or moieties) serving to direct or bias a tLNP to a particular cell type(s). Additional LNP and tLNP compositions are generally disclosed in PCT/US2024/032141, filed 31 May 2024 and entitled Lipid Nanoparticle Formulations and Compositions, which is incorporated by reference for all that it teaches about the design, formation, characterization, properties, and use of LNPs and tLNPs.
[00446] The LNPs and/or tLNPs can include the various components in amounts sufficient to provide a nanoparticle with a desired shape, fluidity, and bio-acceptability as described herein. With respect to LNPs or tLNPs of this disclosure, in some embodiments, the LNP (or tLNP) comprises at least one ionizable cationic lipid (e.g., as described herein) in an amount in the range of from about 35 to about 65 mol%, or any integer bound sub-range thereof, e.g., in an amount of from about 40 to about 65 mol%, or about 40 to about 60 mol%, or about 40 molt% to about 62 mol%. In some embodiments, the LNP or tLNP comprises about 58 mol%, about 60 mol%, or 62 mol% ionizable cationic lipid. In some embodiments, the LNP (or tLNP) comprises a phospholipid in an amount in the range of from about 7 to about 30 mol%, or any integer bound sub-range thereof, e.g., in an amount of from about 13 to about 30 mol%. In some embodiments, the LNP or tLNP comprises about 10 mol% phospholipid. In some embodiments, the LNP (or tLNP) comprises a sterol in an amount in the range of from about 20 to about 50 mol% or any integer bound sub-range thereof, e.g., in an amount in the range of from about 20 to about 45 mol%, or about 30 to about 50 mol%, or about 30 to about 45 mol%. In some embodiments, the LNP or tLNP comprises about 30.5, 26.5, or 23.5 mol% sterol. In some embodiments, the LNP (or tLNP) comprises at least one co-lipid in an amount in the range of from about 1 to about 30 mol%. In some embodiments, an LNP or tLNP comprises total PEG-lipid in an amount in the range of from about 1 mol% to about 5 mol% or any integer x 10’1 bound sub-range thereof, e.g., in an amount in the range of from about 1 mol% to about 2 mol% total PEG-lipid. In some embodiments, the LNP (or tLNP) comprises at least one unfunctionalized PEG-lipid in an amount of from 0 to about 5 mol% or any integer x 10'1 bound sub-range thereof, e.g., in the range of amount 0 to about 3 mol%, or about 0.1 to about 5 mol%, or about 0.5 to about 5 mol%, or about 0.5 to about 3 mol%. In some embodiments, the LNP or tLNP comprises about 1.4 mol% unfunctionalized PEG-lipid. In some embodiments, the LNP or tLNP comprises at least one functionalized PEG-lipid in an amount in the range of from about 0.1 to about 5 mol% or any integer x 10’1 bound sub-range thereof, e.g., in the range of from about 0.1 to 0.3 mol%. In certain embodiments, an LNP or tLNP comprises about 0.1 mol%, about 0.2 mol%, or about 0.3 mol% functionalized PEG-lipid. In some embodiments, the LNP or tLNP comprises about 0.1 mol% functionalized PEG-lipid. In some embodiments, the functionalized PEG-lipid is conjugated to a binding moiety. In certain instances, a tLNP is an LNP that further comprises an antibody (for example, a whole IgG) as the binding moiety which is present at an antibody:mRNA ratio (w/w) of about 0.3 to about 1 .0.
[00447] In certain aspects, this disclosure provides an LNP or tLNP, wherein the LNP or tLNP comprises about 35 mol% to about 65 mol% of an ionizable cationic lipid, about 0.5 mol% to about 3 mol% of a PEG-lipid (including non-functionalized PEG-lipid and optionally a functionalized PEG-lipid), about 7 mol% to about 13 mol% of a phospholipid, and about 30 mol% to about 50 mol% of a sterol. In some embodiments, an LNP or tLNP comprises a payload with a net negative charge for example, a peptide, a polypeptide, a protein, a small molecule, or a nucleic acid molecule, and combinations thereof. A payload is generally encompassed by or in the interior of an LNP or tLNP. As disclosed herein dosages always refer to the amount of payload being provided. In some embodiments, a payload comprises one or more species of nucleic acid molecule. For tLNP encapsulating mRNA dosages are typically in the range of 0.05 to 5 mg/kg without regard for recipient species. In some embodiments, the dosage is in the range of 0.1 to 1 mg/kg.
[00448] With respect to LNPs or tLNPs of this disclosure, in some embodiments, the ratio of total lipid to nucleic acid is about 10:1 to about 50:1 on a weight basis. In some embodiments, the ratio of total lipid to nucleic acid is about 10:1 , about 20:1 , about 30:1, or about 40:1 to about 50:1, or 10:1 to 20:1, 30:1 , 40:1 or 50:1, or any range bound by a pair of these ratios. The ratio of lipid to nucleic acid can also be reported as an N/P ratio, the ratio of positively chargeable lipid amine (N = nitrogen) groups to negatively-charged nucleic acid molecule phosphate (P) groups. In some embodiments, the N/P ratio is from about 3 to about 9, about 3 to about 7, about 3 to about 6, about 4 to about 6, about 5 to about 6, or about 6. In some embodiments, the N/P ratio is from 3 to 9, 3 to 7, 3 to 6, 4 to 6, 5 to 6, or 6. In certain embodiments as described herein, the LNP (or tLNP) comprises a binding moiety, wherein the binding moiety comprises an antigen binding domain of an antibody and wherein the antibody is a whole antibody and the ratio of a lipid to nucleic acid is in the range of from about 0.3 to about 1.0 w/w.
[00449] Due to physiologic and manufacturing constraints LNP or tLNP, particles with a hydrodynamic diameter of about 50 to about 150 nm are desirable for in vivo use. Accordingly, in some embodiments, the LNP or tLNP has a hydrodynamic diameter of 50 to 150 nm and in some embodiments the hydrodynamic diameter is £120, £110, £100, or £90 nm. Uniformity of particle size is also desirable with a polydispersity index (PDI) of £0.2 (on a scale of 0 to 1) being acceptable. Both hydrodynamic diameter and polydispersity index are determined by dynamic light scattering (DLS). Particle diameter as assessed from cryo-transmission electron microscopy (Cryo-TEM) can be smaller than the DLS-determined value.
Phospholipids
[00450] As described above, in various embodiments, the LNPs and tLNPs include a phospholipid. As would be understood by the person or ordinary skill in the art, phospholipids are amphiphilic molecules. Due to the amphiphilic nature of phospholipids, these molecules are known to form bilayers and by including them in the LNPs and tLNPs, as described herein, they can provide membrane formation, stability, and rigidity. As used herein, phospholipids include a hydrophilic head group, including a functionalized phosphate group, and two hydrophobic tail groups derived from faty acids. For example, in various embodiments as described herein, the phospholipids include a phosphate group functionalized with ethanolamine, choline, glycerol, serine, or inositol. As described above, the phospholipid includes two hydrophobic tail groups derived from fatty acids. These hydrophobic tail groups can be derived from unsaturated or saturated fatty acids. For example, the hydrophobic tail groups can be derived from a C12-C20 faty acid. With respect to LNPs or tLNPs of this disclosure, in various embodiments, a phospholipid comprises dioleoylphosphatidyl ethanolamine (DOPE), dimyristoylphosphatidyl choline (DMPC), distearoylphosphatidylcholine (DSPC), dimyristoylphosphatidyl glycerol (DMPG), dipalmitoyl phosphatidylcholine (DPPC), or 1,2-diarachidoyl-sn-glycero-3-phosphocholine (DAPC), or a combination thereof. In various embodiments, the phospholipid is dioleoylphosphatidyl ethanolamine (DOPE), dimyristoylphosphatidyl choline (DMPC), distearoylphosphatidylcholine (DSPC), dimyristoylphosphatidyl glycerol (DMPG), dipalmitoyl phosphatidylcholine (DPPC), or 1,2-diarachidoyl-sn-glycero-3-phosphocholine (DAPC). In some embodiments, the phospholipid is distearoylphosphatidylcholine (DSPC). Phospholipids can contribute to formation of a membrane, whether monolayer, bilayer, or multi-layer, surrounding the core of the LNP or tLNP. Additionally, phospholipids such as DSPC, DMPC, DPPC, DAPC impart stability and rigidity to membrane structure. Phospholipids, such as DOPE, impart fusogenicity. Further phospholipids, such as DMPG, which atain negative charge at physiologic pH, facilitates charge modulation. Thus, phospholipids constitute means for facilitating membrane formation, means for imparting membrane stability and rigidity, means for imparting fusogenicity, and means for charge modulation.
[00451] In some embodiments, an LNP or tLNP has about 7 mol% to about 13 mol% phospholipid, about 7 mol% to about 10 mol% phospholipid, or about 10 mol% to about 13 mol% phospholipid. In certain embodiments, an LNP has about 7 mol%, about 10 mol%, or about 13 mol% phospholipid. In certain instances, the phospholipid is DSPC. In certain instances, the phospholipid is DAPC.
Sterols
[00452] The disclosed LNP and tLNP comprise a sterol. Sterol refers to a subgroup of steroids that contain at least one hydroxyl (OH) group. More specifically, a gonane derivative with an OH group substituted for an H at position 3, or said differently, but equivalently, a steroid with an OH group substituted for an H at position 3. Examples of sterols include, without limitation, cholesterol, ergosterol, P-sitosterol, stigmasterol, stigmastanol, 20- hydroxycholesterol, 22-hydroxycholesterol, and the like. With respect to LNPs ortLNPs of this disclosure, in various embodiments, a sterol is cholesterol, 20-hydroxycholesterol, 22- hydroxycholesterol, or a phytosterol. In further embodiments the phytosterol comprises campesterol, sitosterol, or stigmasterol, or combinations thereof. In preferred embodiments, the cholesterol is not animal-sourced but is obtained by synthesis using a plant sterol as a starting point. LNPs incorporating C-24 alkyl (such as methyl or ethyl) phytosterols have been reported to provide enhanced gene transfection. The length of the alkyl tail, the flexibility of the sterol ring, and polarity related to a retain C-3 -OH group are important to obtaining high transfection efficiency. While P-sitosterol and stigmasterol performed well, vitamin D2, D3 and calcipotriol, (analogs lacking intact body of cholesterol) and betulin, lupeol ursolic acid and olenolic acid (comprising a 5th ring) should be avoided. Sterols serve to fill space between other lipids in the LNP or tLNP and influence LNP or tLNP shape. Sterols also control fluidity of lipid compositions, reducing temperature dependence. Thus, sterols such as cholesterol, 20-hydroxycholesterol, 22-hydroxycholesterol, campesterol, fucosterol, P-sitosterol, and stigmasterol constitute means for controlling LNP shape and fluidity or sterol means for increasing transfection efficiency. In designing a lipid composition for a LNP or tLNP, in some embodiments, sterol content can be chosen to compensate for different amounts of other types of lipids, for example, ionizable cationic lipid or phospholipid.
[00453] In some embodiments, an LNP or tLNP has about 27 mol% or about 30 mol% to about 50 mol% sterol, or about 30 mol% to about 38 mol% sterol. In certain embodiments, an LNP or tLNP has about 30.5 mol%, about 33.5 mol%, or about 37.5 mol% sterol. In certain embodiments, an LNP or tLNP has 27 mol% or 30 mol% to 50 mol% sterol or 30 mol% to 38 mol% sterol. In further embodiments, an LNP or tLNP has 30.5 mol%, 33.5 mol%, or 37.5 mol% sterol. In certain instances, the sterol is cholesterol. In certain embodiments, the sterol is a mixture of sterols, for example, cholesterol and P-sitosterol or cholesterol and 20- hydroxycholesterol. In some instances, the sterol component is about 25 mol% 20- hydroxycholesterol and about 75 mol% cholesterol. In some instances, the sterol component is about 25 mol% P-sitosterol and about 75 mol% cholesterol. In some instances, the sterol component is about 50 mol% P-sitosterol and about 50 mol% cholesterol. In some instances, a sterol component is 25 mol% 20-hydroxycholesterol and 75 mol% cholesterol. In further instances, a sterol component is 25 mol% P-sitosterol and 75 mol% cholesterol. In still further instances, a sterol component is 50 mol% P-sitosterol and 50 mol% cholesterol.
Co-lipids
[00454] With respect to LNPs or tLNPs of this disclosure, in some embodiments, a co-lipid is absent or comprises an ionizable lipid, anionic or cationic. A co-lipid can be used to adjust various properties of an LNP or tLNP, such as surface charge, fluidity, rigidity, size, stability, and the like properties. In some embodiments, a co-lipid is an ionizable lipid, such as cholesterol hemisuccinate (CHEMS) or an ionizable lipid of this disclosure. In some embodiments, a co-lipid is a charged lipid, such as a quaternary ammonium headgroup containing lipid. In some embodiemnts, a quaternary ammonium headgroup containing lipid comprises 1 ,2-dioleoyl-3-trimethylammonium propane (DOTAP), N-(1-(2,3-dioleyloxy)propyl)- N,N,N-trimethylammonium (DOTMA), or 3P-(N-(N’,N’-
Dimethylaminoethane)carbamoyl)cholesterol (DC-Chol), or combinations thereof. In certain embodiments, these compounds a chloride, bromide, mesylate, or tosylate salt. As described above, when quaternary ammonium headgroup containing lipids are included in LNPs or tLNPs, fatal hyperacute toxicity in laboratory animals has been observed. As described above, when quaternary ammonium headgroup containing lipids are included in LNPs or tLNPs, fatal hyperacute toxicity in laboratory animals has been observed. Accordingly, when the co-lipid is a quaternary ammonium headgroup containing lipid, the quaternary ammonium headgroup containing lipid is present it makes up no more than 50 mol% of the total cationic lipid, for example, from 5 to 50% of the total cationic lipid. For illustration, if an LNP or tLNP were to have cationic lipid content of 70 mol% and 5 to 50 mol% of the total cationic lipid as quaternary ammonium lipid, the LNP of tLNP would have from 3.5 mol% quaternary ammonium lipid and 66.5 mol% ionizable cationic lipid to 35 mol% each of quaternary ammonium lipid and ionizable cationic lipid.
[00455] When the disclosed ionizable lipids of formula M1 have a measured pKa ranging from about to about 7 or from 6 to 7, they can contribute substantial endosomal release activity to an LNP or tLNP containing the ionizable lipid. More acidic or basic ionizable lipids of formula M1 can contribute surface charge and thus serve as a co-lipid as described immediately above. In such cases, it can be advantageous to incorporate another lipid with fusogenic activity into a LNP or tLNP of this disclosure. Surface charge is known to influence the tissue tropism of LNPs or tLNPs; for example, positively charged LNPs or tLNPs have shown a tropism for spleen and lung.
PEG-Lipids
[00456] With respect to a LNP or tLNP of this disclosure, a PEG-lipid is a lipid conjugated to a polyethylene glycol (PEG). In some embodiments as described herein, the PEG-lipid is a C14-C20 lipid conjugated with a PEG. For example, in various embodiments as described herein, the PEG-lipid is a C14-C20 lipid conjugated with a PEG, or a C14-C18 lipid conjugated with a PEG, or a C14-C16 lipid conjugated with a PEG. In certain embodiments as described herein, the PEG-lipid is a fatty acid conjugated with a PEG. The fatty acid of the PEG-lipid can have a variety of chain lengths. For each, in some embodiments, the PEG-lipid is a fatty acid conjugated with PEG, wherein the fatty acid chain length is in the range of Ci4-C2o (e.g., in the range of C14-C18, or C14-C16). PEG-lipids with fatty acid chain lengths less than C14 are too rapidly lost from the LNP or tLNP while those with chain lengths greater than C20 are prone to difficulties with formulation.
[00457] PEG can be made in a large range of sizes. In certain embodiments, the PEG of the disclosed LNP and tLNP is PEG-1000 to PEG-5000. It is to be understood that polyethylene preparations of these sizes are polydisperse and that the nominal size indicates an approximate average molecular weight of the distribution. Taking the molecular weight of an individual repeating unit of (OCH2CH2)n to be 44, a PEG molecule with n=22 would have a molecular weight of 986, with n=45 a molecular weight of 1998, and with n=113 a molecular weight of 4990. n«22 to 113 is used to represent PEG-lipids incorporating PEG moieties in the range of PEG-1000 to PEG-5000 such as PEG-1000, PEG-1500, PEG- 2000, PEG-2500, PEG-3000, PEG-3500, PEG-4000, PEG-4500, and PEG-5000, although some molecules from preparations at the average molecular weight boundaries will have an n outside that range. For individual preparations n«22 is used to represent PEG-lipids incorporating PEG moieties from PEG-1000, n«45 is used to represent PEG-lipids incorporating PEG moieties from PEG-2000 n«67 is used to represent PEG-lipids incorporating PEG moieties from PEG-3000, n«90 is used to represent PEG-lipids incorporating PEG moieties from PEG-4000, n«113 is used to represent PEG-lipids incorporating PEG moieties from PEG-5000. Some embodiments incorporate PEG moieties in a range bounded by any pair of the foregoing values of n or average molecular weight. In some embodiments of the PEG-lipid, a PEG is of 500-5000 or 1000-5000 Da molecular weight (MW). For example, in some embodiments, the PEG of the PEG-lipid has a molecular weight in the range of 1500-5000 Da or 2000-5000 Da. In some embodiments as described herein, the PEG-lipid has a molecular weight in the range of 500-4000 Da, or 500-3000 Da, or 1000-4000 Da, or 1000-3000, or 1000-2500, or 1500-4000, or 1500-3000, or 1500-2500 Da. In some embodiments, the PEG moiety is PEG-500, PEG-1000, PEG-1500, PEG-2000, PEG-2500, PEG-3000, PEG-3500, PEG-4000, PEG-4500, and PEG-5000. In some embodiments, the PEG unit has a MW of 2000 Da (sometime abbreviated as PEG(2k)). Some embodiments incorporate PEG moieties of PEG-1000, PEG-2000, or PEG-5000. In some instances, the PEG moiety is PEG-2000. Certain embodiments comprise a DSG-PEG, for example, DSG-PEG-2000. Certain embodiments comprise a DSPE-PEG, for example, DSPE-PEG-2000. Certain embodiments comprise both DSG-PEG-2000 and/or DSPE- PEG2000.
[00458] Common PEG-lipids fall into two classes diacyl glycerols and diacyl phospholipids. Examples of diacyl glycerol PEG-lipids include DMG-PEG (1,2-dimyristoyl-glycero-3- methoxypolyethylene glycol), DPG-PEG (1,2-dipalmitoyl-glycero-3-methoxypolyethylene glycol), DSG-PEG (1,2-distearoyl-glycero-3-methoxypolyethylene glycol), and DOG-PEG (1,2-dioleoyl-glycero-3-methoxypolyethylene glycol). Examples of diacyl phospholipids include DMPE-PEG (1 ,2-dimyristoyl-glycero-3-phosphoethanolamine-3-methoxypolyethylene glycol), DPPE-PEG (1 ,2-dipalmitoyl-glycero-3-phosphoethanolamine-3-methoxypolyethylene glycol), DSPE-PEG (1 ,2-distearoyl-glycero-3-phosphoethanolamine-3-methoxypolyethylene glycol), and DOPE-PEG (1,2-dioleoyl-glycero-3-phosphoethanolamine-3- methoxypolyethylene glycol).
[00459] In some embodiments, the MW2000 PEG-lipid (e.g., a PEG-lipid compising a PEG of a molecular weight of 2000 Da) comprises DMG-PEG2000 (1,2-dimyristoyl-glycero-3- methoxypolyethylene glycol-2000), DPG-PEG2000 (1 ,2-dipalmitoyl-glycero-3- methoxypolyethylene glycol-2000), DSG-PEG2000 (1 ,2-distearoyl-glycero-3- methoxypolyethylene glycol-2000), DOG-PEG2000 (1 ,2-dioleoyl-glycero-3- methoxypolyethylene glycol-2000), DMPE-PEG200 (1 ,2-dimyristoyl-glycero-3- phosphoethanolamine-3-methoxypolyethylene glycol-2000), DPPE-PEG2000 (1,2- dipalmitoyl-glycero-3-phosphoethanolamine-3-methoxypolyethylene glycol-2000), DSPE-
PEG2000 (1,2-distearoyl-glycero-3-phosphoethanolamine-3-methoxypolyethylene glycol -
2000), DOPE-PEG2000 (1 ,2-dioleoyl-glycero-3-phosphoethanolamine-3- methoxypolyethylene glycol-2000), or combinations thereof. In some embodiments, the PEG unit has a MW of 2000 Da. In some embodiments, the MW2000 PEG-lipid comprises DMrG- PEG2000 (1,2-dimyristoyl-rac-glycero-3-methoxypolyethylene glycol-2000), DPrG-PEG2000 (1,2-dipalmitoyl-rac-glycero-3-methoxypolyethylene glycol-2000), DSrG-PEG2000 (1,2- distearoyl-rac-glycero-3-methoxypolyethylene glycol-2000), DorG-PEG2000 (1,2-dioleoyl- glycero-3-methoxypolyethylene-rac-glycol-2000), DMPEr-PEG200 (1 ,2-dimyristoyl-rac- glycero-3-phosphoethanolamine-3-methoxypolyethylene glycol-2000), DPPEr-PEG2000 (1,2-dipalmitoyl-rac-glycero-3-phosphoethanolamine-3-methoxypolyethylene glycol-2000), DSPEr-PEG2000 (1,2-distearoyl-rac-glycero-3-phosphoethanolamine-3- methoxypolyethylene glycol-2000), DOPEr-PEG2000 (1 ,2-dioleoyl-rac-glycero-3- phosphoethanolamine-3-methoxypolyethylene glycol-2000), or combinations thereof. The glycerol in these lipids is chiral. Thus, in some embodiments, the PEG-lipid is racemic. Alternatively, optically pure antipodes of the glycerol portion can be employed, that is, the glycerol portion is homochiral. As used herein with respect to glycerol moieties, optically pure means S95% of a single enantiomer (D or L). In some embodiments, the enantiomeric excess is S98%. In some embodiments, the enantiomeric excess is S99%. Additional PEG-lipids, including achiral PEG-lipids built on a symmetric dihydroxyacetone scaffold, a symmetric 2- (hydroxymethyl)butane-1 ,4-diol, or a symmetric glycerol scaffold, are disclosed in U.S. Provisional Application No. 63/362,502, filed on April 5, 2022, and PCT/US2023/017648 application filed on April 5, 2023 (WO 2023/196445), both entitled PEG-Lipids and Lipid Nanoparticles, which are incorporated by reference in their entirety.
[00460] The above PEG-lipid examples are presented as methoxypolyethylene glycols, but the terminus need not necessarily be methoxyl. With respect to any of the PEG-lipids that have not been functionalized, in alternative embodiments, the PEG moiety of the PEG lipids can terminate with a methoxyl, a benzyloxyl, a 4-methoxybenzyloxyl, or a hydroxyl group (that is, an alcohol). The terminal hydroxyl facilitates functionalization. The methoxyl, benzyloxyl, and 4-methoxybenzyloxyl groups are advantageously provided for PEG-lipid that will be used as a component of the LNP without functionalization. However, all four of these alternatives are useful as the (non-functionalized) PEG-lipid component of LNPs. The 4- methoxybenzyloxyl group, often used as a protecting group during synthesis of the PEG-lipid, is readily removed to generate the corresponding hydroxyl group. Thus, the 4- methoxybenzyloxyl group offers a convenient path to the alcohol when it is not synthesized directly. The alcohol is useful for being functionalized, prior to incorporation of the PEG-lipid into a LNP, so that a binding moiety can be conjugated to it as a targeting moiety for the LNP (making it a tLNP). As used herein, the terminus of the PEG moiety, and similar constructions, refers to the end of the PEG moiety that is not attached to the lipid.
[00461] A PEG-moiety provides a hydrophilic surface on the LNP, inhibiting aggregation or merging of LNP, thus contributing to their stability and reducing polydispersity, i.e. reducing the heterogeneity of a dispersion of LNPs. Additionally, a PEG moiety can impede binding by the LNP, including binding to plasma proteins. These plasma proteins include apoE which is understood to mediate uptake of LNP by the liver so that inhibition of binding can lead to an increase in the proportion of LNP reaching other tissues. These plasma proteins also include opsonins so that inhibition of binding reduces recognition by the reticuloendothelial system. The PEG-moiety can also be functionalized to serve as an attachment point for a targeting moiety. Conjugating a cell- or tissue-specific binding moiety to the PEG-moiety enables a tLNP to avoid the liver and bind to its target tissue or cell type, greatly increasing the proportion of LNP that reaches the targeted tissue or cell type. PEG-lipid can thus serve as means for inhibiting LNP binding, and PEG-lipid conjugated to a binding moiety can serve as means for LNP-targeting.
[00462] As used herein, the term “functionalized PEG-lipid” and similar constructions refer generally to both the unreacted and reacted entities. The lipid composition of a LNP can be described referencing the reactive species even after conjugation has taken place (forming a tLNP). For example, a lipid composition can be described as comprising DSPE-PEG- maleimide and can be said to further comprise a binding moiety without explicitly noting that upon reaction to form the conjugate the maleimide will have been converted to a succinimide (or hydrolyzed succinimide). Similarly, if the reactive group is bromomaleimide, after conjugation it will be maleimide. These differences of chemical nomenclature for the unreacted and reacted species are to be implicitly understood even when not explicitly stated. Certain embodiments comprise a DSG-PEG, for example, DSG-PEG-2000. Certain embodiments comprise a functionalized DSPE-PEG, for example, functionalized DSPE-PEG-2000. Certain embodiments comprise both DSG-PEG-2000 and functionalized DSPE-PEG-2000. In some instances, the functionalized PEG-lipid is functionalized with a maleimide moiety, for example, DSPE-PEG-2000-MAL.
[00463] In certain aspects, the LNP comprises one or more PEG-lipids and/or functionalized PEG-lipids; when both a functionalized and unfunctionalized PEG-lipid, the PEG-lipid present they can be the same or different; and one or more ionizable cationic lipids; the LNP can further comprise a phospholipid, a sterol, a co-lipid, or any combination thereof. The term “functionalized PEG-lipid” refers to a PEG-lipid in which the PEG moiety has been derivatized with a chemically reactive group that can be used for conjugating a targeting moiety to the PEG-lipid. The functionalized PEG-lipid can be reacted with a binding moiety so that the binding moiety is conjugated to the PEG portion of the lipid. The conjugated binding moiety can thus serve as a targeting moiety for the LNP to constitute a tLNP. In some embodiments, the binding moiety is conjugated to the functionalized PEG-lipid after an LNP comprising the functionalized PEG-lipid is formed. In other embodiments, the binding moiety is conjugated to the PEG-lipid and then the conjugate is inserted into a previously formed LNP.
[00464] In certain embodiments, the LNP is a tLNP comprising one or more functionalized PEG-lipids that has been conjugated to a binding moiety. In certain embodiments, the tLNP also comprises PEG-lipids not functionalized or conjugated with a binding moiety. In some embodiments, the functionalization is a maleimide. In some embodiments the functionalization is a bromomaleimide or bromomaleimide amide, alkynylamide, or alkynylimide moiety at the terminal hydroxyl end of the PEG moiety. In some embodiments, the binding moiety comprises an antibody or antigen binding portion thereof. In some embodiments, the binding moiety is a polypeptide comprising a binding domain and an N- or C-terminal extension comprising an accessible thiol group. In some embodiments, the conjugation linkage comprises a reaction product of a thiol in the binding moiety with a functionalized PEG-lipid. In some embodiments, the functionalization is a maleimide, azide, alkyne, dibenzocyclooctyne (DBCO), bromomaleimide or bromomaleimide amide, alkynylamide, or alkynylimide. In some embodiments, the binding moiety comprises an antibody or antigen binding portion thereof. In some embodiments, the binding moiety is a polypeptide comprising a binding domain and an N- or C-terminal extension comprising an accessible thiol group.
[00465] In certain embodiments, the PEG-lipid and/or functionalized PEG-lipid comprises a scaffold selected from Formula S1 , Formula S2, Formula S3, or Formula S4:
Formula S3 Formula S4 wherein represents the points of ester connection with a fatty acid, and

 represents the point of ester (S1) or ether (S2, S3, and S4) formation with the PEG moiety. In some embodiments, the fatty acid esters are C14-C20 straight-chain alkyl fatty acids. In some embodiments, the PEG moiety is functionalized and the fatty acid esters are C16-C20 straightchain alkyl fatty acids. For example, the straight-chain alkyl fatty acid is C14, C15, C16, C17, C18, C19, or C20. In some embodiments, the fatty acid esters are C14-C20 symmetric branched-chain alkyl fatty acids. For example, the branched-chain alkyl fatty acid is C14, C15, C16, C17, C18, C19, or C2o- By symmetric it is meant that each alkyl branch has the same number of carbons. In some embodiments, the branch is at the 3, 4, 5, 6, or 7 position of the fatty acid ester. The synthesis and use of PEG-lipids built on scaffolds S1-S4 is disclosed in WO2023/196445A1 which is incorporated by reference for all that it teaches about PEG-lipids and their use. [00466] Some embodiments of the disclosed ionizable cationic lipids have head groups with small (<250 Da) PEG moieties. These lipids are not what is meant by the term PEG-lipid as used herein. These small PEG moieties are generally too small to impede binding to a similar extent as the larger PEG moieties of the PEG-lipids disclosed above, though they will impact the lipophilicity of ionizable cationic lipid. Moreover, the PEG-lipids are understood to be primarily located in an exterior facing lamella whereas much of the ionizable cationic lipid is in the interior of the LNP.
[00467] In certain embodiments, a functionalized PEG-lipid of a LNP or tLNP or this disclosure comprises one or more fatty acid tails, each that is no shorter than Ci6 nor longer than C20 for straight-chain fatty acids. For branched chain fatty acids, tails no shorter than C14 fatty acids nor longer than C20 are acceptable. In some embodiments, fatty acid tails are C16. In some embodiments, the fatty acid tails are Cis- In some embodiments, the functionalized PEG-lipid comprises a dipalmitoyl lipid. In some embodiments, the functionalized PEG-lipid comprises a distearoyl lipid. The fatty acid tails serve as means to anchor the PEG-lipid in the tLNP to reduce or eliminate shedding of the PEG-lipid from the tLNP. This is a useful property for the PEG-lipid whether or not it is functionalized but has greater significance for the functionalized PEG-lipid as it will have a targeting moiety attached to it and the targeting function could be impaired if the PEG-lipid (with the conjugated binding moiety, such as an antibody) were shed from the tLNP.
[00468] In some embodiments, an LNP or tLNP comprises about 0.5 mol% to about 3 mol% or 0.5 mol% to 3 mol% PEG-lipid comprising functionalized and non-functionalized PEG-lipid. In certain embodiments, an LNP or tLNP comprises DSG-PEG. In other embodiments, an LNP or tLNP comprises DMG-PEG or DPG-PEG. In certain embodiments, an LNP or tLNP comprises DSPE-PEG. In some embodiments, the functionalized and nonfunctionalized PEG-lipids are not the same PEG-lipid, for example, the non-functionalized PEG-lipid can be a diacylglycerol and the functionalized PEG-lipid a diacyl phospholipid. tLNP with such mixtures have reduced expression in the liver, possibly due to reduced uptake. In certain embodiments the functionalized PEG-lipid is DSPE-PEG and the non-functionalized PEG-lipid is DSG-PEG. In some embodiments, an LNP or tLNP comprises about 0.4 mol% to about 2.9 mol% or about 0.9 mol% to about 1.4 mol% non-functionalized PEG lipid. In certain embodiments, an LNP or tLNP comprises about 1.4 mol% or 1.4 mol% non-functionalized PEG lipid. In some embodiments, an LNP or tLNP comprises about 0.1 mol% to about 0.3 mol% or 0.1 mol% to 0.3 mol% functionalized lipid. In some instances, the functionalized lipid is DSPE-PEG. In certain instances, an LNP or tLNP comprises about 0.1 mol%, about 0.2 mol%, or about 0.3 mol% DSPE-PEG. In certain instances, an LNP or tLNP comprises 0.1 mol%, 0.2 mol%, or 0.3 mol% DSPE-PEG. In certain instances, the functionalized PEG-lipid is conjugated to a binding moiety. As used herein, the phrase “is conjugated to” and similar constructions are meant to convey a state of being, that is, a structure, and not a process, unless context dictates otherwise.
Conjugation
[00469] Any suitable chemistry can be used to conjugate the binding moiety to the PEG of the PEG-lipid, including maleimide (see Parhiz et al., J. of Controlled Release 291 :106-115, 2018) and click (see Kolb et al., Angewandte Chemie International Edition 40(11):2004, 2001; and Evans, Australian J. of Chem. 60(6):384-395, 2007) chemistries. Reagents for such reactions include lipid-PEG-maleimide, lipid-PEG-cysteine, lipid-PEG-alkyne, lipid, PEG- dibenzocyclooctyne (DBCO), and lipid-PEG-azide. Further conjugations reactions make use of lipid-PEG-bromo maleimide, lipid-PEG-alkylnoic amide, PEG-alkynoic imide, and lipid- PEG-alkyne reactions, as disclosed in U.S. Provisional Application No. 63/362,502, filed on April 5, 2022, and PCT/US2023/017648 application filed on April 5, 2023 (WO 2023/196445), both entitled PEG-Lipids and Lipid Nanoparticles; which are incorporated by reference in their entirety. On the binding moiety side of the reaction can be used an existing cysteine sulfhydryl, or the protein derivatized by adding a sulfur containing carboxylic acid, for example, to the epsilon amino of a lysine to react with a maleimide, bromomaleimide, alkylnoic amide, or alkynoic imide. In certain embodiments, to modify an epsilon amino of a binding moiety lysine to react with a maleimide functionalized PEG-lipid, the binding moiety (e.g., an antibody) can be reacted with N-succinimidyl S-acetylth ioacetate (SATA). SATA is then deprotected, for example, using 0.5 M hydroxylamine followed by removal of the unreacted components by G- 25 Sephadex Quick Spin Protein columns (Roche Applied Science, Indianapolis, IN). The reactive sulfhydryl group on the binding moiety is then conjugated to maleimide moieties on LNPs of the disclosure using thioether conjugation chemistry. Alternatively, an alkyne can be added to a sulfhydryl or an epsilon amino of a lysine to participate in a click chemistry reaction.
[00470] Purification can be performed using Sepharose CL-4B gel filtration columns (Sigma-Aldrich). tLNPs (LNPs conjugated with a targeting antibody) can be stored frozen at - 80°C until needed. Others have conjugated antibody to free functionalized PEG-lipid and then incorporated the conjugated lipid into pre-formed LNP. However, it was found that the present procedure is more controllable and produces more consistent results.
[00471] There are also several approaches to site-specific conjugation. Particularly but not exclusively suitable for truncated forms of antibody, C-terminal extensions of native or artificial sequences containing a particularly accessible cysteine residue are commonly used. Partial reduction of cysteine bonds in an antibody, for example, with tris(2-carboxy)phosphine (TCEP), can also generate thiol groups for conjugation which can be site-specific under defined conditions with an amenable antibody fragment. Alternatively, the C-terminal extension can contain a sortase A substrate sequence, LPXTG (SEQ ID NO: 1) which can then be functionalized in a reaction catalyzed by sortase A and conjugated to the PEG-lipid, including through click chemistry reactions (see, for example, Moliner-Morro et al., Biomolecules 10(12): 1661, 2020 which is incorporated by reference herein for all that it teaches about antibody conjugations mediated by the sortase A reaction and/or click chemistry). The use ofclick chemistry for the conjugation of a targeting moiety, such as various forms of antibody, is disclosed, for example, in WO2024/102,770 which is incorporated by reference in its entirety for all that it teaches about the conjugation of targeting moieties to LNPs that is not inconsistent with this disclosure.
[00472] For whole antibody and other forms comprising an Fc region, site-specific conjugation to either (or both) of two specific lysine residues (Lys248 and Lys288) can be accomplished without any change to or extension of the native antibody sequence by use of one of the AJICAP® reagents (see, for example, Matsuda et al., Mol. Pharmaceutics 18:4058, 2021 and Fujii et al., Bioconjugate Chem. 34:728, 2023, which are incorporated by reference herein for all that they teach regarding conjugation of antibodies with AJICAP reagents). AJICAP reagents are modified affinity peptides that bind to specific loci on the Fc and react with an adjacent lysine residue to form an affinity peptide conjugate of the antibody. The peptide is then cleaved with base to leave behind a thiol-functionalized lysine residue which can then undergo conjugation through maleimide or haloamide reactions, for example). Functionalization with azide or dibenzocyclooctyne (DBCO) for conjugation by click chemistry is also possible. This and similar technology are further described in US 2020/0190165 (corresponding to WO 2018/199337), US 2021/0139549 (corresponding to WO 2019/240287) and US 2023/0248842 (corresponding to WO 2020/184944) which are incorporated by reference in their entirety for all that they teach about such modified affinity peptides and their use.
[00473] Accordingly, in some embodiments the binding moiety is conjugated to the PEG moiety of the PEG-lipid through a thiol modified lysine residue. In some embodiments, the conjugation is through a cysteine residue in a native or added antibody sequence. In some embodiments, a particular cysteine residue is preferentially or exclusively reacted, for example, a cysteine residue in an antibody hinge region. In further instances, a binding moiety with a conjugatable cysteine residue in an antibody hinge region is an Fab’ or similar fragment. In other embodiments, the conjugation is through a sortase A substrate sequence. In still other embodiments, the conjugation is through a specific lysine residue (Lys248 or Lys288) in the Fc region.
Binding Moieties
[00474] The tLNP of the various disclosed aspects comprise a binding moiety, such as an antibody or antigen binding domain thereof or a cell surface receptor ligand. As used herein, a “binding moiety” or “targeting moiety” refers to a protein, polypeptide, oligopeptide or peptide, carbohydrate, nucleic acid, or combinations thereof capable of specifically binding to a target or multiple targets. A binding domain includes any naturally occurring, synthetic, semisynthetic, or recombinantly produced binding partner for a biological molecule or another target of interest. Exemplary binding moieties of this disclosure include an antibody, a Fab', F(ab')2, Fab, Fv, rlgG, scFv, hcAb (heavy chain antibody), a single domain antibody, VHH, VNAR, sdAb, nanobody, receptor ectodomain or ligand-binding portions thereof, or ligand (e.g., cytokines, chemokines). An “Fab” (antigen binding fragment) is the part of an antibody that binds to antigens and includes the variable region and CH1 of the heavy chain linked to the light chain via an inter-chain disulfide bond. In other embodiments, a binding moiety comprises a ligand-binding domain of a receptor or a receptor ligand. In some embodiments, a binding moiety can have more than one specificity including, for example, bispecific or multispecific binders. A variety of assays are known for identifying binding moieties of this disclosure that specifically bind a particular target, including Western blot, ELISA, biolayer interferometry, and surface plasmon resonance. A binding moiety, such as a binding moiety comprising immunoglobulin light and heavy chain variable domains (e.g., scFv), can be incorporated into a variety of protein scaffolds or structures as described herein, such as an antibody or an antigen binding fragment thereof, a scFv-Fc fusion protein, or a fusion protein comprising two or more of such immunoglobulin binding domains.
[00475] The fundamental ability of the tLNP to deliver a payload into the cytoplasm of a cell is agnostic with respect to, and does not depend upon, a particular binding specificity. Of course, a binding moiety is a determinant of which cells a payload is delivered into. There are many known antibodies with specificity for one or another cell surface marker associated with particular cell type(s) that could be used as the target of the binding moiety on a disclosed tLNP and there are several sources that have compiled such information. An excellent source of information about antibodies for which an International Non-proprietary Name (INN) has been proposed or recommended is Wilkinson & Hale, MAbs 14(1 ):2123299, 2022, including its Supplementary Tables, which is incorporated by reference herein for all that it teaches about individual antibodies and the various antibody formats that can be constructed. US11,326,182 and especially its Table 9 Cancer, Inflammation and Immune System Antibodies, is a source of sequence and other information for a wide range of antibodies including many that do not have an INN and is incorporated herein by reference for all that it teaches about individual antibodies. Sequence information is not always readily available for antibodies mentioned in the art, even when commercially available. This is not necessarily an impediment to their use. Where the antibody or a cell line is commercially available or obtainable from its originator it can be used as the binding moiety of tLNP without any need for sequence information. Even where sequence information is needed, it is well within the capabilities of the skilled artisan to sequence the antibody protein (or have it done by a contract laboratory) so that the antibody’s variable region can be incorporated into a scFv, a diabody, a minibody, or some other antibody format, or be humanized. In choosing among available antibodies in the art for the development of an agent to be used in humans, a human antibody is preferred to a humanized antibody is preferred to a non-human antibody, other factors being equal. Other factors can include stability and ease of production of the antibody, affinity of the antibody, lack of binding to non-target extracellular and cell surface antigens, and crossreactivity for the cognate antigen in model species to be used in product development.
[00476] In some embodiments, a binding moiety can be an antibody or an antigenbinding portion thereof; an antigen; a ligand-binding domain of a receptor; or a receptor ligand. In some embodiments, a binding moiety can have more than one specificity including, for example, bispecific or multispecific binders.
[00477] In some embodiments, a binding moiety comprises an antibody or an antigenbinding portion thereof. As used herein, “antibody” refers to a protein comprising an immunoglobulin domain having hypervariable regions determining the specificity with which the antibody binds antigen, termed complementarity determining regions (CDRs). The term antibody can thus refer to intact (i.e., whole) antibodies as well as antibody fragments and constructs comprising an antigen binding portion of a whole antibody. While the canonical natural antibody has a pair of heavy and light chains, camelids (camels, alpacas, llamas, etc.) produce antibodies with both the canonical structure and antibodies comprising only heavy chains. The variable region of the camelid heavy chain-only antibody has a distinct structure with a lengthened CDR3 referred to as VHH or, when produced as a fragment, a nanobody. Antigen binding fragments and constructs of antibodies include F(ab’)2, F(ab’), F(ab), minibodies, Fv, single-chain Fv (scFv), diabodies, and VH. Such elements can be combined to produce bi- and multi-specific reagents, including various immune cell engagers, such as BiTEs (bi-specific T-cell engagers). The term “monoclonal antibody” arose out of hybridoma technology but is now used to refer to any singular molecular species of antibody regardless of how it was originated or produced. Antibodies can be obtained through immunization, selection from a naive or immunized library (for example, by phage display), alteration of an isolated antibody-encoding sequence, or any combination thereof. Numerous antibodies that can be used as binding moieties are known in the art. An excellent source of information about antibodies for an International Non-proprietary Name (INN) has been proposed or recommended, including sequence information, is Wilkinson & Hale, 2022, MAbs 14(1 ):2123299, including its Supplementary Tables, which is incorporated by reference herein for all that it teaches about individual antibodies and the various antibody formats that can be constructed. U.S. Patent No. 11,326,182 and especially its Table 9 entitled “Cancer, Inflammation and Immune System Antibodies,” is a source of sequence and other information for a wide range of antibodies including many that do not have an INN and is incorporated herein by reference for all that it teaches about individual antibodies and the antigens they bind. W02024040195A1 is also a source of sequence and other information for a wide range of antibodies with specificity for various cell surface antigens of immune system cells and cancer cells and is incorporated herein by reference for all that it teaches about individual antibodies and the antigens they bind.
[00478] An antibody or other binding moiety (or a fusion protein thereof) “specifically binds” a target if it binds the target with an affinity or Ka (i.e., an equilibrium association constant of a particular binding interaction with units of 1 /Molar or 1/M) equal to or greater than 105 M'1, while not significantly binding other components present in a test sample. Binding domains (or fusion proteins thereof) can be classified as “high affinity” binding domains (or fusion proteins thereof) and “low affinity” binding domains (or fusion proteins thereof). “High affinity” binding domains refer to those binding domains with a Ka of at least 108 M1, at least 109 M'1, at least 1010 M1, at least 1011 M1, at least 1012 M1, or at least 1013 M1, preferably at least 108 M'1 or at least 109 M1. “Low affinity” binding domains refer to those binding domains with a Ka of up to 108 M1, up to 107 M1, up to 106 M1, up to 105 M1. Alternatively, affinity can be defined as an equilibrium dissociation constant (Kd) of a particular binding interaction with units of M (e.g., 105 M to 1013 M). Affinities of binding domain polypeptides and fusion proteins according to this disclosure can be readily determined using conventional techniques (see, e.g., Scatchard et al., 1949, Ann. N.Y. Acad. Sci. 51 :660; and U.S. Patent Nos. 5,283,173, 5,468,614, or the equivalent).
[00479] A diabody is a type of scFv dimer in which each chain consists of the VH and VL regions connected by a small peptide linker that is too short to allow pairing between the two domains of the same chain. This arrangement forces the VH of one chain to pair with the VL of a second chain thereby forming a bivalent, and often bispecific, dimer. A BiTE is a fusion protein having two scFvs of different antibodies, usually an antibody for a tumor-associated antigen and antibody for CD3, on a single peptide chain, thus forming a cytolytic synapse between T cells and target antigen-bearing cells. The term "antigen-binding portion" can refer to a portion of an antibody as described that possesses the ability to specifically recognize, associate, unite, or combine with a target molecule. An antigen-binding portion includes any naturally occurring, synthetic, semi-synthetic, or recombinantly produced binding partner for a specific antigen. Thus, antibodies and antigen-binding portions thereof constitute means for binding to the surface molecule on a cell. In various embodiments, the cell can be an immune cell, a leukocyte, a lymphocyte, a monocyte, a stem cell, an HSC or an MSC, according to the specificity of the antibody.
[00480] In some embodiments, the antibody or antigen-binding portion thereof can be derived from a mammalian species, for example, mice, rats, or human. Antibody variable regions can be those arising from one species, or they can be chimeric, containing segments of multiple species possibly further altered to optimize characteristics such as binding affinity or low immunogenicity. For human applications, it is desirable that the antibody has a human sequence. In the cases where the antibody or antigen-binding portion thereof is derived from a non-human species, the antibody or antigen-binding portion thereof can be humanized to reduce immunogenicity in a human subject. For example, if a human antibody of the desired specificity is not available, but such an antibody from a non-human species is, the non-human antibody can be humanized, e.g., through CDR grafting, in which the CDRs from the non- human antibody are placed into the respective positions in a framework of a compatible human antibody. Less preferred is an antibody in which only the constant region of the non-human antibody is replaced with human sequence. Such antibodies are commonly referred to as chimeric antibodies in distinction to humanized antibodies.
[00481] In some embodiments, the antibody or antigen-binding portion thereof is non- immunogenic. In some embodiments, the antibody can be modified in its Fc region to reduce or eliminate secondary functions, such as FcR engagement, antibody-dependent cellular cytotoxicity (ADCC), antibody-dependent cellular phagocytosis (ADCP), and/or complementdependent cytotoxicity (CDC): this is often referred to as an Fc silenced antibody.
[00482] A binding moiety density on the LNP (or tLNP) can be defined according to the ratio of antibody (binder) to mRNA (w/w) either based on the amount of antibody input in the conjugation reaction or as measured in the LNP or (tLNP) after conjugation. For an intact antibody (e.g., whole IgG), in some embodiments, preferred ratios are about 0.3 to about 1.0, about 0.3 to about 0.7, about 0.3 to about 0.5, about 0.5 to about 1 .0, and about 0.5 to about 0.7 for either the input or final measured binder ratio. In certain embodiments, a LNP (or tLNP) has an antibody ratio of 0.3 to 1 .0, 0.3 to 0.7, 0.3 to 0.5, 0.5 to 1.0, and 0.5 to 0.7 for either the input or final measured binder ratio. In some embodiments, if the binder is different in size from an intact antibody (for example a scFv, diabody, or minibody, etc.) the w/w ratio is adjusted for the different size of the binder.
[00483] In certain embodiments, a LNP or tLNP comprises a binding moiety derived from an anti-CD40** antibody, an anti-LRRC15** antibody, an anti-CTSK antibody, an anti- ADAM12* antibody, an anti-ITGA11 antibody, an anti-FAP*** antibody, an anti-NOX4 antibody, an anti-SGCD antibody, an anti-SYNDIG1 antibody, an anti-CDHU* antibody, an anti-PLPP4 antibody, an anti-SLC24A2 antibody, an anti-PDGFRB** antibody, an anti-THY1* antibody, an anti-ANTXR1* antibody, an anti-GAS1 antibody, an anti-CALHM5 antibody, an anti-SDC1** antibody, an anti-HER2*** antibody, an anti-TROP2*** antibody, an anti-MSLN** antibody, an anti-Nectin4** antibody, or an anti-MUC16*** antibody. In further embodiments, a LNP (or tLNP) comprises a binding moiety specific for an immune cell antigen selected from CD1, CD2***, CD3***, CD4*tt, CD5«, CD7**, CD8*, CD11b*, CD14**, CD16, CD25**, CD26**, CD27*tt, CD28***, CD30***, CD32*, CD38***, CD39* CD40***, CD40L (CD154)***, CD44**, CD45n, CD64**, CD62**, CD68, CD69* CD73**, CD80**, CD83* CD86**, CD95*, CD103* 00119*, CD126* CD137 (41 BB)**, CD150*, CD153* CD161* CD166* CD183 (CXCR3)*, CD183 (CXCR5)*, CD223 (LAG-3)***, CD254* CD275* CD45RA, CTLA-4****, DEC205, 0X40*, PD-1***, GITR* TIM-3***, , FasL**, IL18R1, ICOS (CD278)*, leu-12, TOR*, TLR1, TLR2**, TLR3**, TLR4**, TLR6, TREM2* NKG2D* OCR, CCR1 (CD191)*, CCR2 (CD192)***, CCR4(CD194)***, CCR6(CD196)*, CCR7* low affinity IL-2 receptor**, IL-7 receptor*, IL-12 receptor*, IL-15 receptor*, IL-18 receptor*, and IL-21 receptor*. In further embodiments, a tLNP comprises a binding moiety specific for an HSC surface molecule selected from CD117*, CD34**, CD44**, CD90 (Thy1)*, CD105* CD133*, BMPR2* and Sca-1 ; or specific for an MSC surface molecules selected from CD70**, CD105* CD73* Stro-1* SSEA-3* SSEA-4* CD271*, CD146*, GD2***, SUSD2, Stro-4, MSCA-1, CD56* CD200***, PODXL* CD13*, CD29**, CD44**, and CD10*. In various embodiments, a binding moiety is an antibody or antigen-binding portion thereof. (* indicates that exemplary antibodies with the indicated specificity from which a binding moiety could be derived can be found in US Patent 11 ,326,182B2 Table 9 or 10. *indicates that exemplary antibodies with the indicated specificity from which a binding moiety could be derived can be found in Wilkinson & Hale, 2022. Both references cited and incorporated by reference above. * indicates that exemplary antibodies with the indicated specificity from which a binding moiety could be derived can be found in the Therapeutic Antibody Database (TABS) at tabs.craic.com). Other suitable antibodies can be found in Appendix A or W02024040195A1 each of which is incorporated herein by reference for all that it teaches about individual antibodies and the antigens they bind.
[00484] The following paragraphs provide non-exhaustive examples of known antibodies that bind to cell surface markers/antigens on immune cells (lymphocytes and monocytes) and stem cells (HSC and MSC). These antibodies or the antigen binding domains thereof can be used as binding moieties to target the disclosed LNP. Similarly, these antibodies can contribute their antigen binding domains to immune cell reprogramming agents such as CARs and ICEs. While typically an immune cell reprogramming agent is expressed in an immune cell, one call also express a biological response modifier (conditioning agent) or an immune cell reprogramming agent, such as an ICE, in a tumor cell. The immune and stem cell surface markers that can serve as a targeted antigen of a tLNP can also usefully be a target of an immune cell reprogramming agent when the cell expressing that antigen has a role in the pathology of some disease or condition. Collectively these antibodies and polypeptides comprising the antigen binding domains thereof constitute means for binding cell surface markers or means for binding immune and stem cells.
[00485] In some embodiments, CD2 is a targeted cell surface antigen and a binding moiety comprises the antigen binding domain of an anti-CD2 antibody. CD2 contains three well-characterized epitopes (T11.1, T11.2, and T11.3/CD2R). T11.3/CD2R are membrane proximal and exposure is increased upon T cell activation and CD2 clustering. Accordingly, in some such embodiments, the anti-CD2 antigen binding domain is derived from, RPA-2.10; OKT11 , UMCD2, 0.1 , and 3T4-8B5 (T11.1 epitope); 9.6 and 1OLD2-4C1 (T11.2 epitope); 1Mono2A6 (T11.3 epitope), siplizumab (T11.2/T11.3 epitope), HuMCD2, TS2/18, TS1/8, AB75, LT-2, T6.3, MEM-65, OTI4E4, or an antigen-binding portion thereof. Additionally, the ligand of CD2, CD58 (LFA-3) can be used as a CD2 binding moiety as can alefacept, a CD58- Fc fusion. Each of these constitutes a means for binding CD2 (Li et al., 1996, J Mol Biol. 263:209-26; Binder et al., 2020, Front Immunol. 9:11 :1090).
[00486] In some embodiments, CD3 is a targeted cell surface antigen and a binding moiety comprises the antigen binding domain of an anti-CD3 antibody. Accordingly, in some such embodiments, the antigen binding domain is derived from muromonab-CD3 (OKT3), teplizumab, otelixizumab, visilizumab, cevostamab, teclistamab, elranatamab pavurutamab, vibecotamab, odronextamab, or an antigen-binding portion thereof. Each of these constitutes a means for binding CD3.
[00487] In some embodiments, CD4 is a targeted cell surface antigen and a binding moiety comprises the antigen binding domain of an anti-CD4 antibody. Accordingly, in some such embodiments, the antigen binding domain is derived from ibalizumab, inezetamab, semzuvolimab, zanolimumab, tregalizumab, UB-421 , priliximab, MTRX1011A, cedelizumab, clenoliximab, keliximab, M-T413, TRX1, hB-F5, MAX.16H5, IT208, or an antigen-binding portion thereof. Each of these constitutes a means for binding CD4.
[00488] In some embodiments, CD5 is a targeted cell surface antigen and a binding moiety comprises the antigen binding domain of an anti-CD5 antibody. Accordingly, in some such embodiments, the antigen binding domain is derived from 5D7, UCHT2, L17F12, H65, HE3, OKT1 , MAT304, as well as those disclosed in WO1989006968, W02008121160, US8,679,500, W02010022737, WO2019108863, W02022040608, or WO2022127844, each of which is incorporated by reference for all that they teach about anti-CD5 antibodies and their properties, or an antigen-binding portion thereof. Each of these constitutes a means for binding CD5.
[00489] In some embodiments, CD7 is a targeted cell surface antigen and a binding moiety comprises the antigen binding domain of an anti-CD7 antibody. Accordingly, in some such embodiments, the antigen binding domain is derived from TH-69, 3A1 E, 3A1 F, Huly-m2, WT1 , YTH3.2.6, T3-3A1 , grisnilimab, as well as those disclosed in US10,106,609, WO2017213979, W02018098306, US11447548, WO2022136888, W02020212710, WO2021160267, W02022095802, W02022095803, WO2022151851, or WO2022257835 each of which is incorporated by reference for all that they teach about anti-CD7 antibodies and their properties, or an antigen-binding portion thereof. Each of these constitutes a means for binding CD7.
[00490] In some embodiments, CD8 is a targeted cell surface antigen and a binding moiety comprises the antigen binding domain of an anti-CD8 antibody. Accordingly, in some such embodiments, the antigen binding domain is derived from crefmirlimab (IAB22M), 3B5, SP-16, LT8, 17D8, MEM-31, MEM-87, RIV11 , UCHT4, YTC182.20, RPA-T8, OKT8, SK1 , 51.1, TRX2, MT807-R1, HIT8a, C8/144B, RAVB3, SIDI8BEE, BU88, EPR26538-16, 2ST8.5H7, as well as those disclosed in US10,414,820, WO2015184203, WO2017134306, WO2019032661, W02020060924, US10,730,944, WO2019033043, WO2021046159, WO2021127088, WO2022081516, US11,535,869, or W02023004304 each of which is incorporated by reference for all that they teach about anti-CD8 antibodies and their properties, or an antigen-binding portion thereof. Additionally, humanized anti-CD8 antibodies are described in U.S. Provisional Patent Application Number 63/610,917, filed on December 15, 2023, and U.S. Provisional Patent Application Number (Atty Docket No. 23-1742-US- PRO2), filed on May 31 , 2024, each of which is incorporated by reference for all that it teaches about these humanized anti-CD8 antibodies and their properties, or an antigen-binding portion thereof. Each of the foregoing anti-CD8 antibodies constitutes a means for binding CD8.
[00491] In some embodiments, a tLNP is targeted to CD10 is a targeted cell surface antigen and a binding moiety comprises the antigen binding domain of an anti-CD10 antibody. Accordingly, in some such embodiments, the antigen binding domain is derived from the one produced by the hybridoma represented by Accession No. NITE BP-02489 (disclosed in WO2018235247 which is incorporated by reference for all that they teach about anti-CD10 antibodies and their properties), FR4D11, or REA877, or an antigen-binding portion thereof. Each of these constitutes a means for binding CD10.
[00492] In some embodiments, CD11b is a targeted cell surface antigen and a binding moiety comprises the antigen binding domain of an anti-CD11b antibody. Accordingly, in some such embodiments, the antigen binding domain is derived from ASD141 or MAB107 as well as those disclosed in US20150337039, US10,738, 121, WO2016197974, US10,919,967, or WO2022147338 each of which is incorporated by reference for all that they teach about anti- CD11b antibodies and their properties, or an antigen-binding portion thereof. Each of these constitutes a means for binding CD11b.
[00493] In some embodiments, CD13 is a targeted cell surface antigen and a binding moiety comprises the antigen binding domain of an anti-CD13 antibody. CD13 is also known as aminopeptidase N (APN). Accordingly, in some such embodiments, the antigen binding domain is derived from MT95-4 or Nbl57 (disclosed in WO2021072312 which is incorporated by reference for all that they teach about anti-CD13 antibodies and their properties), as well as those disclosed in W02023037015 which is incorporated by reference for all that it teaches about anti-CD13 antibodies and their properties, or an antigen-binding portion thereof. Each of these constitutes a means for binding CD13.
[00494] In some embodiments, CD14 is a targeted cell surface antigen and a binding moiety comprises the antigen binding domain of an anti-CD14 antibody. Accordingly, in some such embodiments, the antigen binding domain is derived from atibuclimab or r18D11 as well as those disclosed in WO2018191786 or W02015140591 each of which is incorporated by reference for all that they teach about anti-CD14 antibodies and their properties, or an antigenbinding portion thereof. Each of these constitutes a means for binding CD14.
[00495] In some embodiments, CD16a is a targeted cell surface antigen and a binding moiety comprises the antigen binding domain of an anti-CD16a antibody. Accordingly, in some such embodiments, the antigen binding domain is derived from AFM13, sdA1 , sdA2, or hu3G8-5.1-N297Q as well as those disclosed in US11535672, WO2018158349, W02007009065, US10385137, WO2017064221, US10,758,625, WO2018039626, WO2018152516, WO2021076564, WO2022161314, or WO2023274183 each of which is incorporated by reference for all that they teach about anti-CD16A antibodies and their properties, or an antigen-binding portion thereof. Each of these constitutes a means for binding CD16a.
[00496] In some embodiments, CD25 is a targeted cell surface antigen and a binding moiety comprises the antigen binding domain of an anti-CD25 antibody. Accordingly, in some such embodiments, the antigen binding domain is derived from daclizumab, basiliximab, camidanlumab, tesirine, inolimomab, RO7296682, HuMax-TAC, CYT-91000, STI-003, RTX- 003, or an antigen-binding portion thereof. Each of these constitutes a means for binding CD25.
[00497] In some embodiments, CD28 is a targeted cell surface antigen and a binding moiety comprises the antigen binding domain of an anti-CD28 antibody. Accordingly, in some such embodiments, the antigen binding domain is derived from GN1412, acazicolcept, lulizumab, prezalumab, theralizumab, FR104CD, and davoceticept, as well as those disclosed in US8,454,959, US8, 785,604, US11,548,947, US11,530,268, US11 ,453, 721, US11 ,591, 401, W02002030459, W02002047721, US20170335016, US20200181260, US11608376, WO2020127618, WO2021155071 , or WO2022056199 each of which is incorporated by reference for all that they teach about anti-CD28 antibodies and their properties, or an antigenbinding portion thereof. Each of these constitutes a means for binding CD28.
[00498] In some embodiments, CD29 is a targeted cell surface antigen and a binding moiety comprises the antigen binding domain of an anti-CD29 antibody. Accordingly, in some such embodiments, the antigen binding domain is derived from OS2966, 6D276, 12G10, REA1060, or an antigen-binding portion thereof. Each of these constitutes a means for binding CD29.
[00499] In some embodiments, CD32A is a targeted cell surface antigen and a binding moiety comprises the antigen binding domain of an anti-CD32A antibody. Accordingly, in some such embodiments, the antigen binding domain is derived from VIB9600, humanized IV.3, humanized AT-10, or MDE-8 as well as those disclosed in US9,688,755, US9,284,375, US9,382,321, US11306145, or WO2022067394 each of which is incorporated by reference for all that they teach about anti-CD32A antibodies and their properties, or an antigen-binding portion thereof. Each of these constitutes a means for binding CD32A.
[00500] In some embodiments, CD34 is a targeted cell surface antigen and a binding moiety comprises the antigen binding domain of an anti-CD34 antibody. Accordingly, in some such embodiments, the antigen binding domain is derived from h4C8, 9C5, 2E10, 5B12, REA1164, C5B12, C2e10, or an antigen-binding portion thereof. Each of these constitutes a means for binding CD34.
[00501] In some embodiments, CD40 is a targeted cell surface antigen and a binding moiety comprises the antigen binding domain of an anti-CD40 antibody. Accordingly, in some such embodiments, the antigen binding domain is derived from cifurtilimab, sotigalimab, iscalimab, dacetuzumab, selicrelumab, bleselumab, lucatumumab, or mitazalimab as well as those disclosed in US10633444, each of which is incorporated by reference for all that they teach about anti-CD40 antibodies and their properties, or an antigen-binding portion thereof. Each of these constitutes a means for binding CD40.
[00502] In some embodiments, CD44 is a targeted cell surface antigen and a binding moiety comprises the antigen binding domain of an anti-CD44 antibody. Accordingly, in some such embodiments, the antigen binding domain is derived from RO5429083, VB6-008, PF- 03475952, or RG7356, as well as those disclosed in W02008144890, US8,383,117, W02008079246, US20100040540, WO2015076425, US9,220,772, US20140308301 , W02020159754, WO2021160269, WO2021178896, WO2022022749, W02022022720, or WO2022243838, each of which is incorporated by reference for all that they teach about anti- CD44 antibodies and their properties, or an antigen-binding portion thereof. Each of these constitutes a means for binding CD44.
[00503] In some embodiments, CD45 is a targeted cell surface antigen and a binding moiety comprises the antigen binding domain of an anti-CD45 antibody. Accordingly, in some such embodiments, the antigen binding domain is derived from apamistamab, BC8-B10, as well as those disclosed in WO2023183927, WO2023235772, US7,825,222, WO2017009473, WO2021186056, US9,701 ,756, US9,701 ,756, W02020092654, W02022040088,
W02022040577, WO2022064191 , WO2022063853, or WO2024064771 , each of which is incorporated by reference for all that they teach about anti-CD45 antibodies and their properties, or an antigen-binding portion thereof. Each ofthese constitutes a means for binding CD45.
[00504] In some embodiments, CD56 is a targeted cell surface antigen and a binding moiety comprises the antigen binding domain of an anti-CD56 antibody. Accordingly, in some such embodiments, the antigen binding domain is derived from lorvotuzumab, adcitmer, or promiximab, as well as those disclosed in WO2012138537, US10,548,987, US10,730,941 , or US20230144142, each of which is incorporated by reference for all that they teach about anti- CD56 antibodies and their properties, or an antigen-binding portion thereof. Each of these constitutes a means for binding CD56.
[00505] In some embodiments, CD64 is a targeted cell surface antigen and a binding moiety comprises the antigen binding domain of an anti-CD64 antibody. Accordingly, in some such embodiments, the antigen binding domain is derived from HuMAb 611 or H22 as well as those disclosed in US7,378,504, WO2014083379, US20170166638, or WO2022155608 each of which is incorporated by reference for all that they teach about anti-CD64 antibodies and their properties, or an antigen-binding portion thereof. Each of these constitutes a means for binding CD64.
[00506] In some embodiments, CD68 is a targeted cell surface antigen and a binding moiety comprises the antigen binding domain of an anti-CD68 antibody. Accordingly, in some such embodiments, the antigen binding domain is derived from Ki-M7, PG-M1 , 514H12, ABM53F5, 3F7C6, 3F7D3, Y1/82A, EPR20545, CDLA68-1, LAMP4-824, or an antigenbinding portion thereof. Each of these constitutes a means for binding CD68.
[00507] In some embodiments, CD70 is a targeted cell surface antigen and a binding moiety comprises the antigen binding domain of an anti-CD70 antibody. Accordingly, in some such embodiments, the antigen binding domain is derived from cusatuzumab, vorsetuzumab, MDX-1203, MDX-1411 , AMG-172, SGN-CD70A, ARX305, PRO1160, as well as those disclosed in US9,765,148, US8,124,738, IS10,266,604, WO2021138264, US9,701 ,752, US10,108,123, WO2014158821 , US10,689,456, WO2017062271 , US11,046,775, US11,377,500, WO2021055437, WO2021245603, W02022002019, WO2022078344, WO2022105914, WO2022143951 , WO2023278520, WO2022226317, WO2022262101 , US11 ,613,584, or W02023072307, each of which is incorporated by reference for all that they teach about anti-CD70 antibodies and their properties, or an antigen-binding portion thereof. Each of these constitutes a means for binding CD70.
[00508] In some embodiments, CD73 is a targeted cell surface antigen and a binding moiety comprises the antigen binding domain of an anti-CD73 antibody. Accordingly, in some such embodiments, the antigen binding domain is derived from oleclumab, uliledlimab, mupadolimab, AK119, IBI325, BMS-986179, NZV930, JAB-BX102, Sym024, TB19, TB38, HBM1007, 3F7, mAb19, Hu001-MMAE, IPH5301, or INCA00186, as well as those disclosed in US9,938,356, US10,584, 169, WO2022083723, WO2022037531 , WO2021213466, W02022083049, US10,822,426, WO2021259199, US10,100,129, US11,312,783,
US11,174,319, US11 ,634, 500, WO2021138467, WO2017118613, US9,388,249, WO2020216697, US11180554, US11,530,273, WO2019173692, W02019170131 , US11,312,785, W02020098599, WO2020143836, W02020143710, US11 ,034,771, US11,299,550, WO2020253568, WO2021017892, WO2021032173, WO2021032173, WO2021097223, WO2021205383, WO2021227307, WO2021241729, W02022096020, WO2022105881 , WO2022179039, WO2022214677, or WO2022242758, each of which is incorporated by reference for all that they teach about anti-CD73 antibodies and their properties, or an antigen-binding portion thereof. Each of these constitutes a means for binding CD73.
[00509] In some embodiments, CD90 is a targeted cell surface antigen and a binding moiety comprises the antigen binding domain of an anti-CD90 antibody. Accordingly, in some such embodiments, the antigen binding domain is derived from REA897, OX7, 5E10, K117, L127, or an antigen-binding portion thereof. Each of these constitutes a means for binding CD90.
[00510] In some embodiments, CD105 is a targeted cell surface antigen and a binding moiety comprises the antigen binding domain of an anti-CD105 antibody. Accordingly, in some such embodiments, the antigen binding domain is derived from carotuximab, TRC205, or huRH105, as well as those disclosed in US8,221,753, US9,926,375, W02010039873, WO2010032059, WO2012149412, WO2015118031, WO2021118955, US20220233591, or US20230075244, each of which is incorporated by reference for all that they teach about anti- CD105 antibodies and their properties, or an antigen-binding portion thereof. Each of these constitutes a means for binding CD105.
[00511] In some embodiments, CD117 is a targeted cell surface antigen and a binding moiety comprises the antigen binding domain of an anti-CD117 antibody. Accordingly, in some such embodiments, the antigen binding domain is derived from briquilimab, barzolvolimab, CDX-0158, LOP628, MGTA-117, NN2101 , CK6, JSP191, Ab85, 104D2, or SR1 , as well as those disclosed in US7,915,391 , WO2022159737, US9540443, W02015050959, US9,789,203, US8,552,157, US10,406, 179, US9,932,410, WO2019084067,
W02020219770, US10,611,838, W02020076105, WO2021107566, US11,208,482, W02021044008, WO2021099418, W02022187050, or WO2023026791 , WO2021188590, each of which is incorporated by reference for all that they teach about anti-CD117 antibodies and their properties, or an antigen-binding portion thereof. Each of these constitutes a means for binding CD117.
[00512] In some embodiments, CD133 is a targeted cell surface antigen and a binding moiety comprises the antigen binding domain of an anti-CD133 antibody. Accordingly, in some such embodiments, the antigen binding domain is derived from AC133, 293C3, CMab-43, or RW03, as well as those disclosed in WO2018045880, US8,722,858, US9,249,225, WO2014128185, US10,711 ,068, US10,106,623, W02018072025, or WO2022022718, each of which is incorporated by reference for all that they teach about anti-CD133 antibodies and their properties, or an antigen-binding portion thereof. Each of these constitutes a means for binding CD133.
[00513] In some embodiments, CD137 is a targeted cell surface antigen and a binding moiety comprises the antigen binding domain of an anti-CD137 antibody. CD137 is also known as 4-1 BB. Accordingly, in some such embodiments, the antigen binding domain is derived from YH004, urelumab (BMS-663513), utomilumab (PF-05082566), ADG106, LVGN6051 , PRS-343, as well as those disclosed in W02005035584, WO2012032433, WO2017123650, US11,203,643, US11,242,395, US11 ,555, 077, US20230067770, US11 ,535, 678, US11,440,966, WO2019092451 , US10,174,122, US11 ,242, 385, US10,716,851 , W02020011966, W02020011964, or US11,447,558, each of which is incorporated by reference for all that they teach about CD137 antibodies and their properties, or an antigenbinding portion thereof. Each of these constitutes a means for binding CD137.
[00514] In some embodiments, CD146 is a targeted cell surface antigen and a binding moiety comprises the antigen binding domain of an anti-CD146 antibody. Accordingly, in some such embodiments, the antigen binding domain is derived from imaprelimab, ABX-MA1 , huAA98, M2H, or IM1-24-3, as well as those disclosed in US10,407,506, US10,414,825, US6,924,360, US9,447,190, WO2014000338, US9,782,500, WO2018220467,
US11,427,648, WO2019133639, WO2019137309, W02020132190, or W02022082073, each of which is incorporated by reference for all that they teach about CD146 antibodies and their properties, or an antigen-binding portion thereof. Each of these constitutes a means for binding CD146.
[00515] In some embodiments, CD166 is a targeted cell surface antigen and a binding moiety comprises the antigen binding domain of an anti-CD166 antibody. Accordingly, in some such embodiments, the antigen binding domain is derived from praluzatamab, AZN-L50, REA442, or AT002, as well as those disclosed in US10,745,481 , US11 ,220, 544, or W02008117049, each of which is incorporated by reference for all that they teach about CD166 antibodies and their properties, or an antigen-binding portion thereof. Each of these constitutes a means for binding CD166.
[00516] In some embodiments, CD200 is a targeted cell surface antigen and a binding moiety comprises the antigen binding domain of an anti-CD200 antibody. Accordingly, in some such embodiments, the antigen binding domain is derived from samalizumab, OX-104, REA1067, B7V3V2, HPAB-0260-YJ, or TTI-CD200, as well as those disclosed in W02007084321 or WO2019126536, each of which is incorporated by reference for all that they teach about CD200 antibodies and their properties, or an antigen-binding portion thereof. Each of these constitutes a means for binding CD200.
[00517] In some embodiments, CD205 is a targeted cell surface antigen and a binding moiety comprises the antigen binding domain of an anti-CD205 antibody. CD205 is also known as DEC205. Accordingly, in some such embodiments, the antibody comprises 3G9-2D2 (a component of CDX-1401) or LY75_A1 (a component of MEN1309) as well as those disclosed in US8,236,318, US10,081 ,682, or US11,365,258, each of which is incorporated by reference for all that they teach about anti-CD205 antibodies and their properties, or an antigen-binding portion thereof. Each of these constitutes a means for binding CD205.
[00518] In some embodiments, CD271 is a targeted cell surface antigen and a binding moiety comprises the antigen binding domain of an anti-CD271 antibody. Accordingly, in some such embodiments, the antigen binding domain is derived from REA844 or REAL709 as well as those disclosed in WO2022166802 which is incorporated by reference for all that it teaches about anti-CD271 antibodies and their properties, or an antigen-binding portion thereof. Each of these constitutes a means for binding CD271.
[00519] In some embodiments, BMPR2 is a targeted cell surface antigen and a binding moiety comprises the antigen binding domain of an anti-BMPR2 antibody. Accordingly, in some such embodiments, the antigen binding domain is derived from TAB-071 CL (Creative Biolabs catalog no.) as well as those disclosed in US11,292,846 or WO2021174198, each of which is incorporated by reference for all that they teach about anti-BMPR2 antibodies and their properties, or an antigen-binding portion thereof. Each of these constitutes a means for binding BMPR2.
[00520] In some embodiments, claudin 18.2 (CLDN18.2) is a targeted cell surface antigen and a binding moiety comprises the antigen binding domain of an anti-claudin 18.2 antibody. Accordingly, in some such embodiments, the antigen binding domain is derived from zolbetuximab, osemitamab, RC118, IBI-343, AZD0901 , M108, SYSA1801, TORL-2- 307-ADC, LM-302, ASKB589, gresonitamab, SPX-101, SKB315, Q-1802, GIVASTOMIG, LCAR-C18S, SOT102, CT041 as well as those disclosed in WO2013167259, WO2021032157, WO2021254481 , W02022007808, W02021008463, WO2022111616, W02018006882, WO2020147321 , WO2019219089, US20200040101, W02020025792, WO2020139956, W02020135201 , US20240228610, WO2021218874, W02021027850, WO2021129765, WO2022068854, W02021111003, each of which is incorporated by reference for all that it teaches about anti- claudin 18.2 antibodies and their properties, or an antigen-binding portion thereof. Each of these constitutes a means for binding claudin 18.2.
[00521] In some embodiments, CTLA-4 is a targeted cell surface antigen and a binding moiety comprises the antigen binding domain of an anti-CTLA-4 antibody. Accordingly, in some such embodiments, the antigen binding domain is derived from botensilimab, ipilimumab, nurulimab, quavonlimab, tremelimumab, zalifrelimab, ADG116, ADG126, ADU- 1604, AGEN1181 , BCD-145, BMS-986218, BMS-986249, BT-007, CS1002, GIGA-564, HBM4003, IBI310 JK08, JMW-3B3, JS007, KD6001 , KN044, ONC-392, REGN4659, TG6050, XTX101, YH001 , or an antigen-binding portion thereof. Each of these constitutes a means for binding CTLA-4.
[00522] In some embodiments, GD2 is a targeted cell surface antigen and a binding moiety comprises the antigen binding domain of an anti-GD2 antibody. Accordingly, in some such embodiments, the antigen binding domain is derived from dinutuximab, ganglidiximab, naxitamab, nivatrotamab, EMD 273063, hu14.18k322A, MORAb-028, 3F8BiAb, BCD-245, KM666, ATL301, Ektomab, as well as those disclosed in US9,777,068, US9, 315,585, W02004055056, US9, 617,349, US9,493,740, US20210002384, US8507657,
WO2001023573, W02012071216, WO2018010846, US8,951,524, W02023280880, US9,856,324, WO2015132604, WO2017055385, WO2019059771, W02020020194, or an antigen-binding portion thereof. Each of these constitutes a means for binding GD2.
[00523] In some embodiments, GITR is a targeted cell surface antigen and a binding moiety comprises the antigen binding domain of an anti-GITR antibody. Accordingly, in some such embodiments, the antigen binding domain is derived from ragifilimab, TRX518, MK-4166, AMG 228, MEDI1873, BMS-986156, REGN6569, ASP1951, MK-1248, FRA154, GWN323, JNJ-64164711, ATOR-1144, or an antigen-binding portion thereof. Each of these constitutes a means for binding GITR.
[00524] In some embodiments, a low affinity IL-2 receptor is a targeted cell surface antigen (CD122 and/or CD132) and a binding moiety comprises the antigen binding domain of an anti-IL-2 receptor antibody. Accordingly, in some such embodiments, the antiCD122 antibody comprises ANV419, FB102, MiK-Beta-1 and the anti CD122 antibodies disclosed in WO2011127324, W02017021540, WO2022212848, WO2022221409, WO2023078113, US20230272090, WO2024073723, or an antigen-binding portion thereof. Accordingly, in some such embodiments, the anti-CD132 antibody comprises REGN7257 and the anti-CD132 antibodies disclosed in W02020160242, WO2017021540, WO2022212848, W02023078113, US20230272089, or an antigen-binding portion thereof. Each of these constitutes a means for binding the low affinity IL-2 receptor (CD122 or CD132, as appropriate), [00525] In some embodiments, a high affinity IL-2 receptor is a targeted cell surface antigen (CD25) and a binding moiety comprises the antigen binding domain of an anti-IL-2 receptor antibody. Accordingly, in some such embodiments, the antigen binding domain is derived from daclizumab, basiliximab, camidanlumab, vopitug, inolimomab, HuMAx-TAC, Xenopax, STI-003, RA8, RTX-003, and the anti-CD25 antibodies disclosed in W02023031403, W02006108670, WO2019175223, WO2019175215, WO2019175226, W02004045512, WO2022104009, W02020102591, or an antigen-binding portion thereof. Each of these constitutes a means for binding the high affinity IL-2 receptor (CD25).
[00526] In some embodiments, IL-7 receptor (CD127) is a targeted cell surface antigen and a binding moiety comprises the antigen binding domain of an anti-IL-7 receptor antibody. Accordingly, in some such embodiments, the antigen binding domain is derived from PF- 06342674, GSK2618960, OSE-127, lusvertikimab, bempikibart, and the anti-CD127 antibodies disclosed in WO2011104687, WO2011094259, WO2013056984, WO2015189302, WO2017062748, W02020154293, WO2020254827, WO2021222227, WO2023201316, or an antigen-binding portion thereof. Each of these constitutes a means for binding the CD127.
[00527] In some embodiments, IL-12 receptor is a targeted cell surface antigen and a binding moiety comprises the antigen binding domain of an anti-IL-12 receptor antibody. Accordingly, in some such embodiments, the antigen binding domain is derived from CBYY- 10413, REA333, or an antigen-binding portion thereof. Each of these constitutes a means for binding the IL-12 receptor.
[00528] In some embodiments, IL-15 receptor a is a targeted cell surface antigen and a binding moiety comprises the antigen binding domain of an anti-IL-15 receptor a antibody. Accordingly, in some such embodiments, the antigen binding domain is derived from MAB1472-100, MAB5511, JM7A4, 5E3E1 , JM7A4, 2639B, or an antigen-binding portion thereof. Each of these constitutes a means for binding the IL-15 receptor a.
[00529] In some embodiments, IL-18 receptor a is a targeted cell surface antigen and a binding moiety comprises the antigen binding domain of an anti-IL-18 receptor a antibody. Accordingly, in some such embodiments, the antigen binding domain is derived from H44, or an antigen-binding portion thereof. Each of these constitutes a means for binding the IL-18 receptor a.
[00530] In some embodiments, IL-21 receptor is a targeted cell surface antigen and a binding moiety comprises the antigen binding domain of an anti-IL-21 receptor antibody. Accordingly, in some such embodiments, the antigen binding domain is derived from 1 D1C2, 19F5, 18A5, REA233, or an antigen-binding portion thereof. Each of these constitutes a means for binding the IL-21 receptor a.
[00531] In some embodiments, LAG-3 is a targeted cell surface antigen and a binding moiety comprises the antigen binding domain of an anti-LAG-3 antibody. Accordingly, in some such embodiments, the antigen binding domain is derived from relatlimab, tebotelimab, favezelimab, fianlimab, miptenalimab, HLX26, ieramilimab, GSK2831781 , INCAGN2385, RO7247669, encelimab, FS118, SHR-1802, Sym022, IBI110, IBI323, bavunalimab, EMB-02, ABL501 , INCA32459, AK129, or an antigen-binding portion thereof. Each of these constitutes a means for binding LAG-3.
[00532] In some embodiments, MSCA-1 is a targeted cell surface antigen and a binding moiety comprises the antigen binding domain of an anti- MSCA-1 antibody. Accordingly, in some such embodiments, the antigen binding domain is derived from REAL219, W8B2, X9C3, or an antigen-binding portion thereof. Each of these constitutes a means for binding MSCA-1.
[00533] In some embodiments, 0X40 is a targeted cell surface antigen and a binding moiety comprises the antigen binding domain of an anti-OX40 antibody. Accordingly, in some such embodiments, the antigen binding domain is derived from MEDI6469, ivuxolimab, rocatinlimab, GSK3174998, BMS-986178, vonlerizumab, INCAGN1949, tavolimab, BGB- A445, INBRX-106, BAT6026, telazorlimab, ATOR-1015, MEDI6383, cudarolimab, FS120, HFB301001, EMB-09, HLX51, Hu222, ABM193, or an antigen-binding portion thereof. Each of these constitutes a means for binding 0X40.
[00534] In some embodiments, PD-1 is a targeted cell surface antigen and a binding moiety comprises the antigen binding domain of an anti-PD-1 antibody. Accordingly, in some such embodiments, the antigen binding domain is derived from nivolumab, pembrolizumab, camrelizumab, torpalimab, sintilimab, tislelizumab, cemiplimab, spartalizumab, serplulimab, cadonilimab, penpulimab, dostarlimab, zimberelimab, retifanlimab, pucotenlimab, pidilizumab, pidilizumab, balstilimab, ezabenlimab, AK112, geptanolimab, cetrelimab, prolgolimab, tebotelimab, sasanlimab, SG001, vudalimab, MEDI5752, rulonilimab, peresolimab, IBI318, budigalimab, MEDI0680, pimivalimab, QL1706, AMG 404, RO7121661 , lorigerlimab, nofazinlimab, sindelizumab, or an antigen-binding portion thereof. Each of these constitutes a means for binding PD-1.
[00535] In some embodiments, PODXL is a targeted cell surface antigen and a binding moiety comprises the antigen binding domain of an anti-PODXL antibody. Accordingly, in some such embodiments, the antigen binding domain is derived from MA11738, HPAB- 3334LY, HPAB-MO612-YC, REA246, REA157, or an antigen-binding portion thereof. Each of these constitutes a means for binding PODXL. [00536] In some embodiments, Sca-1 is a targeted cell surface antigen and a binding moiety comprises the antigen binding domain of an anti-Sca-1 antibody. Accordingly, in some such embodiments, the antigen binding domain is derived from CPP32 4-1-18, 2D4-C9-F1 , AMM22070N, or an antigen-binding portion thereof. Each of these constitutes a means for binding SCA-1.
[00537] In some embodiments, SSEA-3 is a targeted cell surface antigen and a binding moiety comprises the antigen binding domain of an anti-SSEA-3 antibody. Accordingly, in some such embodiments, the antigen binding domain is derived from MC631 , 2A9, 8A7, ND- 742, 3H420, as well as those disclosed in US11,643,456 or WO2021138378, each of which is incorporated by reference for all that they teach about anti-SSEA-3 antibodies and their properties, or an antigen-binding portion thereof. Each of these constitutes a means for binding SSEA-3.
[00538] In some embodiments, SSEA-4 is a targeted cell surface antigen and a binding moiety comprises the antigen binding domain of an anti-SSEA-4 antibody. Accordingly, in some such embodiments, the antigen binding domain is derived from ch28/11 , REA101 , MC- 813-70, ND-942-80, as well as those disclosed in US11 ,446, 379, US10,273,295, US11,643,456, WO2019190952, or WO2021044039, each of which is incorporated by reference for all that they teach about anti-SSEA-4 antibodies and their properties, or an antigen-binding portion thereof. Each of these constitutes a means for binding SSEA-4.
[00539] In some embodiments, Stro-1 is a targeted cell surface antigen and a binding moiety comprises the antigen binding domain of an anti-Stro-1 antibody. Accordingly, in some such embodiments, the antigen binding domain is derived from STRO-1, TUSP-2, as well as those disclosed in US20130122022, which is incorporated by reference for all that it teaches about anti-Stro-1 antibodies and their properties, or an antigen-binding portion thereof. Each of these constitutes a means for binding Stro-1 .
[00540] In some embodiments, Stro-4 is a targeted cell surface antigen and a binding moiety comprises the antigen binding domain of an anti-Stro-4 antibody. Accordingly, in some such embodiments, the antigen binding domain is derived from STRO-4, efungumab, 4C5, as well as those disclosed in US7,722,869, US20110280881, US9,115,192, US10,273,294, US10,457,726, W02023091148, each of which is incorporated by reference for all that they teach about anti-Stro-4 antibodies and their properties, or an antigen-binding portion thereof. Each of these constitutes a means for binding Stro-4 (also known as heat shock protein-90).
[00541] In some embodiments, SUSD2 is a targeted cell surface antigen and a binding moiety comprises the antigen binding domain of an anti-SUSD2 antibody. Accordingly, in some such embodiments, the antigen binding domain is derived from REA795, CBXS-3571 , CBXS-1650, CBXS-1989, CBXS-1671 , CBXS1990, CBXS-3676, 1279B, EPR8913(2), W5C5, or an antigen-binding portion thereof. Each of these constitutes a means for binding SUSD2.
[00542] In some embodiments, TIM-3 is a targeted cell surface antigen and a binding moiety comprises the antigen binding domain of an anti-TIM-3 antibody. Accordingly, in some such embodiments, the antigen binding domain is derived from TQB2618, sabatolimab, cobolimab, RO7121661, INCAGN02390, AZD7789, surzebiclimab, LY3321367, Sym023, BMS-986258, SHR-1702, LY3415244, LB1410, or an antigen-binding portion thereof. Each of these constitutes a means for binding TIM-3.
[00543] In some embodiments, TREM2 is a targeted cell surface antigen and a binding moiety comprises the antigen binding domain of an anti-TREM2 antibody. Accordingly, in some such embodiments, the antigen binding domain is derived from PI37012 as well as those disclosed in US10,508,148, US10,676,525, WO2017058866, US11 ,186,636, US11,124,567, W02020055975, US11,492,402, W02020121195, W02023012802, WO2021101823, W02023047100, WO2022032293, WO2022241082, W02023039450, or WO2023039612, each of which is incorporated by reference for all that they teach about anti-TREM2 antibodies and their properties, or an antigen-binding portion thereof. Each of these constitutes a means for binding TREM2.
[00544] In some embodiments, G protein-coupled receptor, class C, group 5, member D (GPRC5D) is a targeted cell surface antigen and a binding moiety comprises the antigen binding domain of an anti-GPRC5D antibody. Accordingly, in some such embodiments, the antigen binding domain of an anti-GPRC5D antibody is derived from talquetamab, forimtamig, BMS-986393, IBI-3003, QLS32015, SIM0500, or EPR28376-41, or is disclosed in WO2018017786, W02016090329, WO2022174813, WO2023236889, WO2018147245,
W02024079015, WO2019154890, WO2021018859, WO2021018925, W02020092854,
W02024031091 , WO2020148677, WO2022175255, WO2022222910, WO2022247804,
WO2022247756, WO2023078382, WO2023125728, WO2023143537, WO2024046239, or WO2024131962 each of which is incorporated by reference for all that they teach about anti- GPRC5D antibodies and their properties, or an antigen-binding portion thereof. Each of these constitutes a means for binding GPRC5D.
[00545] In some embodiments, FCRL5 (CD307E) is a targeted cell surface antigen and binding moiety comprises the antigen binding domain of an anti-FCRL5 antibody. Accordingly, in some such embodiments, the antigen binding domain of an anti-FCRL5 antibody is derived from cevostamab, 2A10H7, 307307, 2A10D6, EPR27365-87, EPR26948-19, or EPR26948- 67, or is disclosed in WO2016090337, WO2017096120, WO2022263855, or WO2024047558 each of which is incorporated by reference for all that they teach about anti-FCRL5 antibodies and their properties, or an antigen-binding portion thereof. Each of these constitutes a means for binding FCRL5.
[00546] In some embodiments, LRRC15 is a targeted cell surface antigen and binding moiety comprises the antigen binding domain of an anti-LRRC15 antibody. Accordingly, in some such embodiments, the antigen binding domain of an anti-LRRC15 antibody is derived from samrotamab or DUNP19 or is disclosed in W02005037999, WO2021022304, WO2024081729, WO2021102332, WO2021202642, WO2022157094, or WO2024158047, each of which is incorporated by reference for all that they teach about anti-LRRC15 antibodies and their properties, or an antigen-binding portion thereof. Each of these constitutes a means for binding LRRC15.
[00547] In still further embodiments, a tLNP is targeted to a tumor cell. In some embodiments, the tumor cell expresses one of the antigens described above and the tLNP is targeted to antigen expressing tumors using the same means as described above. In other embodiments the tLNP is targeted to some other tumor antigen, such as those enumerated in U.S. Provisional Application No. 63/371 ,742, filed on August 17, 2022, entitled CONDITIONING FOR IN VIVO IMMUNE CELL ENGINEERING which is incorporated by reference for all that it teaches about the delivery of nucleic acids into tumor cells using tLNP that is not inconsistent with the present disclosure.
Nucleic Acid
[00548] In certain embodiments, the disclosed LNP and tLNP comprise a payload comprising or consisting of one or more nucleic acid species. In some embodiments, the LNP or tLNP payload comprises only one nucleic acid species while in other embodiments the LNP or tLNP payload comprises multiple nucleic acid species, for example, 2, 3, or 4 nucleic acid species. For example, in embodiments in which the payload comprises a nucleic acid encoding a CAR or immune cell engager (ICE), the payload can comprise or consist of 1) a single nucleic acid species encoding a single species of CAR or ICE, 2) a single nucleic acid species encoding 2 or more species of CAR or ICE (or a mixture of CAR and ICE) such as a bicistronic or multicistronic mRNA in which each CAR and/or ICE has specificity for a same target antigen, 3) a single nucleic acid species encoding 2 or more species of CAR or ICE (or a mixture of CAR and ICE) such as a bicistronic or multicistronic mRNA in which at least one CAR and/or ICE has specificity for a different target antigen than the other(s), 4) two or more nucleic acid species encoding 2 or more species of CAR or ICE (or a mixture of CAR and ICE) in which each CAR and/or ICE has specificity for a same target antigen, 5) two or more nucleic acid species encoding 2 or more species of CAR or ICE (or a mixture of CAR and ICE) in which at least one CAR and/or ICE has specificity for a different target antigen than the other(s). When two or more CAR and/or ICE have specificity for a same target antigen, they can have specificity for same or different epitopes of the same target antigen. Further variations will be apparent to one of skill in the art (e.g., multiple bi- or multicistronic nucleic acids, nucleic acids encoding a TCR and the like). The nucleic acid can be RNA or DNA. The nucleic acid can be multicistronic, for example, bicistronic.
[00549] In some embodiments, LNPs or tLNPs of this disclosure further comprise a biologically active payload, such as a nucleic acid molecule. In various embodiments, a nucleic acid molecule is an mRNA, a self-replicating RNA, a circular RNA, a siRNA, a miRNA, DNA, a gene editing component (for example, a guide RNA, a tracr RNA, a sgRNA), a gene writing component, an mRNA encoding a gene or base editing protein, a zinc-finger nuclease, a TALEN, a CRISPR nuclease, such as Cas9, a DNA molecule to be inserted or serve as a template for repair), and the like, or a combination thereof. In some embodiments, the nucleic acid comprises small interfering RNA (siRNA), microRNA (miRNA), antisense oligonucleotide (ASO). In some embodiments, the nucleic acid comprises a self-replicating RNA or a circular RNA. In some embodiments, the mRNA encodes a reprogramming agent or comprises or encodes a conditioning agent. In some embodiments, the mRNA (linear, circular, or selfreplicating) comprises an miRNA binding site. In some embodiments, an mRNA encodes a chimeric antigen receptor (CAR). In other embodiments, an mRNA encodes a gene-editing or base-editing or gene writing protein. In some embodiments, a nucleic acid is a guide RNA. In some embodiments, an LNP or tLNP comprises both a gene- or base-editing or gene writing protein-encoding mRNA and one or more guide RNAs. CRISPR nucleases can have altered activity, for example, modifying the nuclease so that it is a nickase instead of making doublestrand cuts or so that it binds the sequence specified by the guide RNA but has no enzymatic activity. Base-editing proteins are often fusion proteins comprising a deaminase domain and a sequence-specific DNA binding domain (such as an inactive CRISPR nuclease).
[00550] In some embodiments, the reprogramming agent comprises an immune receptor (for example, a chimeric antigen receptor or a T cell receptor) or an immune cell engager (for example, a bispecific T cell engager (BiTE), a bispecific killer cell engager (BiKE), a trispecific kill cell engager (TriKE), a dual affinity retargeting antibody (DART), a TRIDENT (linking two DART units or a DART unit and a Fab domain), a macrophage engager (e.g., BiME), an innate cell engager, and the like).
[00551] In some embodiments, the nucleic acid is an RNA, for example, mRNA, and the RNA comprises at least one modified nucleoside. In some embodiments, the modified nucleoside is pseudouridine, N1-methylpseudouridine, 5-methylcytosine, 5-methyluridine, N6- methyladenosine, 2’-O-methyluridine, or 2-thiouridine. In certain embodiments, all of the uridines are substituted with a modified nucleoside. Further disclosure of modified nucleosides and their use can be found in U.S. Patent No. 8,278,036 which is incorporated herein by reference for those teachings.
[00552] In some embodiments, the reprogramming agent encodes or is a gene/genome editing component. In some embodiments, the gene/genome editing component is a guide RNA for an RNA-directed nuclease or other nucleic acid editing enzyme, clustered regularly interspaced short palindromic repeat RNA (crisprRNA), a trans-activating clustered regularly interspaced short palindromic repeat RNA (tracrRNA). In some embodiments, the gene/genome editing component is a nucleic acid-encoded enzyme, such as RNA-guided nuclease, a gene or base editing protein, a zinc finger nuclease (ZFN), a transcription activator-like effector nuclease (TALEN), a meganuclease, a transposase, or a CRISPR nuclease (e.g., Cas9 or Cas 12, etc.). In some embodiments, the gene/genome editing component is DNA to be inserted or that serves as a template in gene or genome editing for example a template for repair of a double-strand break.
[00553] In some embodiments comprising multiple agents, the nucleic acid can be multicistronic. In other embodiments comprising multiple agents or components, each agent or component is encoded or contained is a separate nucleic acid species. In some embodiments involving multiple payload nucleic acid species, two or more nucleic acid species are packaged together in a single LNP species. In other embodiments, a subset of the payload nucleic acid species to be delivered, (e.g., a single nucleic acid species) is packaged in one LNP or tLNP species while another subset of the nucleic acid species is packaged in another LNP or tLNP species. The different (t)LNP species can differ by only the payload they contain. The different (t)LNP species can be combined in a single formulation or pharmaceutical composition for administration.
Methods of Making an LNP or tLNP
[00554] In some aspects, the present disclosure provides a method of making a LNP or tLNP comprising mixing of an aqueous solution of a nucleic acid (or other negatively charged payload) and an alcoholic solution of the lipids in proportions disclosed herein. In particular embodiments, the mixing is rapid.
[00555] The aqueous solution is buffered at pH of about 3 to about 5, for example, without limitation, with citrate or acetate. In various embodiments, the alcohol can be ethanol, isopropanol, t-butanol, or a combination thereof. In some embodiments, the rapid mixing is accomplished by pumping the two solutions through a T-junction or with an impinging jet mixer. Microfluidic mixing through a staggered herringbone mixer (SHM) or a hydrodynamic mixer (microfluidic hydrodynamic focusing), microfluidic bifurcating mixers, and microfluidic baffle mixers can also be used. After the LNPs are formed they are diluted with buffer, for example phosphate, HEPES, or Tris, in a pH range of 6 to 8.5 to reduce the alcohol (ethanol) concentration, The diluted LNPs are purified either by dialysis or ultrafiltration or diafiltration using tangential flow filtration (TFF) against a buffer in a pH range of 6 to 8.5 (for example, phosphate, HEPES, or Tris) to remove the alcohol. Alternatively, one can use size exclusion chromatography. Once the alcohol is completely removed the buffer is exchanged with like buffer containing a cryoprotectant (for example, glycerol or a sugar such as sucrose, trehalose, or mannose). The LNPs are concentrated to a desired concentrated, followed by 0.2 pm filtration through, for example, a polyethersulfone (PES) or modified PES filter and filled into glass vials, stoppered, capped, and stored frozen. In alternative embodiments, a lyoprotectant is used and the LNP lyophilized for storage instead of as a frozen liquid. Further methodologies for making LNP can be found, for example, in U.S. Patent Application Publication Nos. US 2020/0297634, US 2013/0115274, and International Patent Application Publication No. WO 2017/048770, each of which is incorporated by reference for all that they teach about the production of LNP.
[00556] Some aspects are a method of making a tLNP comprising rapid mixing of an aqueous solution of a nucleic acid (or other negatively charged payload) and an alcoholic solution of the lipids as disclosed for LNP. In some embodiments, the lipid mixture includes functionalized PEG-lipid, for later conjugation to a targeting moiety. As used herein, functionalized PEG-lipid refers to a PEG-lipid in which the PEG moiety has been derivatized with a chemically reactive group (such as, maleimide, N-hydroxysuccinimide (NHS) ester, Cys, azide, alkyne, and the like) that can be used for conjugating a targeting moiety to the PEG- lipid, and thus, to the LNP comprising the PEG-lipid. In other embodiments, the functionalized PEG-lipid is inserted into and LNP subsequent to initial formation of an LNP from other components. In either type of embodiment, the targeting moiety is conjugated to functionalized PEG-lipid after the functionalized PEG-lipid containing LNP is formed. Protocols for conjugation can be found, for example, in Parhiz et al. 2018, J. Controlled Release 291 JOSHS, and Tombacz et aL, 2021 , Molecular Therapy 29(11):3293-3304, each of which is incorporated by reference for all that it teaches about conjugation of PEG-lipids to binding moieties. Alternatively, the targeting moiety can be conjugated to the PEG-lipid prior to insertion into pre-formed LNP. [00557] In certain embodiments of the preparation methods of tLNP, the method comprises: i). forming an initial LNP by mixing all components of the tLNP, in proportions disclosed herein, except for the one or more functionalized PEG-lipids and the one or more targeting moieties; ii). forming a pre-conjugation tLNP by mixing the initial LNP with the one or more functionalized PEG-lipids; and iii). forming the tLNP by conjugating the pre-conjugation tLNP with the one or more targeting moieties.
[00558] In certain embodiments of the preparation methods of tLNP, the method comprises: i). forming a pre-conjugation tLNP by mixing all components of the tLNP, in proportions disclosed herein, including the one or more functionalized PEG-lipids, except for the one or more targeting moieties; and ii). forming the tLNP by conjugating the pre-conjugation tLNP with the one or more targeting moieties.
[00559] In certain embodiments of the preparation methods of tLNP, the method comprises: i). forming one or more conjugated functionalized PEG-lipids by conjugating the one or more functionalized PEG-lipids with the one or more targeting moieties; and ii) forming the tLNP by mixing all components of the tLNP, in proportions disclosed herein, including the one or more conjugated functionalized PEG-lipids.
[00560] In certain embodiments of the preparation methods of tLNP, the method comprises: i). forming one or more conjugated functionalized PEG-lipids by conjugating the one or more functionalized PEG-lipids with the one or more targeting moieties; ii) forming an LNP by mixing all components of the tLNP, except the one or more conjugated functionalized PEG-lipids; and iii) forming the tLNP by mixing the initial LNP with the one or more conjugated functionalized PEG-lipids.
[00561] After the conjugation the tLNPs are purified by dialysis, tangential flow filtration, or size exclusion chromatography, and stored, as disclosed above for LNPs.
[00562] The encapsulation efficiency of the nucleic acid by the LNP or tLNP is typically determined with a nucleic acid binding fluorescent dye added to intact and lysed aliquots of the final LNP or tLNP preparation to determine the amounts of unencapsulated and total nucleic acid, respectively. Encapsulation efficiency is typically expressed as a percentage and calculated as 100 x (T-U)/T where T is the total amount of nucleic acid and U is the amount of unencapsulated nucleic acid. In various embodiments, the encapsulation efficiency is £80%, ≥85%, ≥90%, or ≥95%.
Methods of Delivering a Payload into a Cell
[00563] In other aspects, disclosed herein are methods of delivering a nucleic acid (or other negatively charged payload) into a cell comprising contacting the cell with LNP or tLNP disclosed herein. Accordingly, each of the herein disclosed genera, subgenera, and or species of LNP or tLNP disclosed herein including those based on the inclusion or exclusion of particular lipids, particular lipid compositions, particular payloads, and/or particular targeting moieties can be used in defining the scope of the methods of delivering a payload to a cell. In some embodiments the contacting takes place ex vivo. In some embodiments, the contacting takes place extracorporeally. In some embodiments, the contacting takes place in vivo. In some embodiments, an LNP or tLNP is contacted with target cells in vivo, by systemic or local administration. In some embodiments, the in vivo contacting comprises intravenous, intramuscular, subcutaneous, intralesional, intranodal or intralymphatic administration. In some embodiments, administration is by intravenous or subcutaneous infusion or injection. In some embodiments, administration is by intraperitoneal or intralesional infusion injection. In further instances, transfection of hepatocytes is reduced as compared to tLNPs comprising a conventional ionizable cationic lipid, such as ALC-0315. In some embodiments, an LNP or tLNP is administered 1-3 times a week for 1 , 2, 3, or 4 weeks. In some embodiments, toxicity is confined (or largely confined) to grades of 0 or 1 or 2, as discussed above.
[00564] The herein disclosed LNP and tLNP compositions and formulations have reduced toxicity as compared to widely used prior art LNP compositions such as those containing ALC- 0315. In various embodiments the toxicity can be described as an observable toxicity, a substantial toxicity, a severe toxicity, or an acceptable toxicity, or a dose-limiting toxicity (such as but not limited to a maximum tolerated dose (MTD)). By an observable toxicity it is meant that while a change is observed the effect is negligible or mild. By substantial toxicity it is meant that there is a negative impact on the patient’s overall health or quality of life. In some instances, a substantial toxicity can be mitigated or resolved with other ongoing medical intervention. By a severe toxicity it is meant that the effect requires acute medical intervention and/or dose reduction or suspension of treatment. The acceptability of a toxicity will be influenced by the particular disease being treated and its severity and the availability of mitigating medical intervention. In some embodiments, toxicity is confined (or largely confined) to an observable toxicity. In some embodiments, toxicity is confined (or largely confined) to grades of 0 or 1 or 2. [00565] In some embodiments, the payload is a nucleic acid and the method of delivering is a method of transfecting. In some embodiments, the nucleic acid payload comprises an mRNA, circular RNA, self-amplifying RNA, or guide RNA. Nucleic acid structures and especially mRNA structures, as well as individual RNA molecules encoding particular polypeptides, that are well-adapted to delivery by LNP or tLNP are disclosed in U.S. Provisional Patent Application Number. 63/595,753 filed November 2, 2023, U.S. Provisional Patent Application Number. 63/611 ,092 filed December 15, 2023, and U.S. Provisional Patent Application Number (Attorney Docket Number 23-1871 -US-PRO3), filed May 31 , 2024, each of which is incorporated by reference for all that it teaches about nucleic acid payloads for in vivo transfection and their design.
[00566] In some embodiments, the payload comprises a nucleic acid encoding an immune receptor or immune cell engager and the method of delivering is also a method of reprogramming an immune cell. In some embodiments, the payload comprises a nucleic acid that encodes, or is, a BRM and the method of delivering is also a method of providing a conditioning agent. In various embodiments, the BRM or conditioning agent is a gamma chain receptor cytokine such as IL-2, IL-7, IL-15, IL-15/15Ralpha, IL-21; an immune modulating cytokine such as IL-12, IL-18; a chemokine such as RANTES, IP10, MIG; or another BRM such as Flt3, GM-CSF, and G-CSF.
[00567] In some embodiments, the payload comprises a nucleic acid encoding a gene/genome editing enzyme and/or a guide RNA or other component of a gene/genome editing system and the method of delivering is also a method of reprogramming a cell. In some instances, the cell is an immune cell. In some instances, the cell is an HSC. In some instances, the cell is an MSC.
[00568] In certain embodiments comprising delivering the payload into an immune cell, the binding moiety binds to a lymphocyte surface molecule or a monocyte surface molecule. Lymphocyte surface molecules include CD2, CD3, CD4, CD5, CD7, CD8, CD28, 4-1 BB (CD137), CD166, CTLA-4, 0X40, PD-1 , GITR, LAG-3, TIM-3, CD25, low affinity IL-2 receptor, IL-7 receptor, IL-12 receptor, IL-15 receptor, IL-18 receptor, and IL-21 receptor. Monocyte surface molecules include CD5, CD14, CD16a, CD32, CD40, CD11b (Mac-1), CD64, DEC205, CD68, and TREM2. Exemplary antibodies that can provide antigen binding domains to bind these surface molecules are disclosed herein. Such antibodies, individually and collectively, constitute means for binding to an immune cell (or leukocyte) - or to a lymphocyte or monocyte, as indicated.
[00569] In certain embodiments comprising delivering the payload into a stem cell, the binding moiety binds to a HSC surface molecule or a MSC surface molecule. HSC surface molecules include CD117, CD34, CD44, CD90 (Thy1), CD105, CD133, BMPR2, and Sca-1. MSC surface molecules include CD70, CD105, CD73, Stro-1, SSEA-4, CD271, CD146, GD2, SSEA-3, SUSD2, Stro-4, MSCA-1, CD56, CD200, PODXL, CD13, CD29, CD44, and CD10. Exemplary antibodies that can provide antigen binding domains to bind these surface molecules are disclosed herein above. Such antibodies, individually and collectively, constitute means for binding to a stem cell - or to an HSC or MSC, as indicated.
Methods of Treatment
[00570] In certain aspects, this disclosure provides methods of treating a disease or disorder comprising administering a tLNP of this disclosure to a subject in need thereof. Each of the herein disclosed genera, subgenera, and or species of LNP or tLNP disclosed herein including those based on the inclusion or exclusion of particular lipids, particular lipid compositions, particular payloads, and/or particular targeting moieties can be used in defining the scope of the methods of treatment.
[00571] In some embodiments, a subject is a human. In some embodiments, a tLNP is administered systemically. In some embodiments, a tLNP is administered by intravenous or subcutaneous infusion or injection. In some embodiments, a tLNP is administered locally. In some embodiments, a tLNP is administered by intraperitoneal or intralesional infusion injection.
[00572] In further embodiments, a tLNP can be administered in combination with the standard of care for a particular indication, such as corticosteroids (e.g., prednisone) for management of myositis or lupus nephritis. In certain cases, myositis is also treated with methotrexate, which can be combined with immunosuppressive agents (e.g., azathioprine, mycophenolate mofetil, tacrolimus), which are usually required in addition to corticosteroids. For membranous nephropathy, cyclical steroids and cyclophosphamide might be used in combination with tLNPs of this disclosure. In other cases, an anti-IL-6, such as tocilizumab, can also be used as a pretreatment or in combination with tLNPs of this disclosure. These combinations can be administered concurrently or sequentially.
[00573] In some embodiments, the disease or disorder is an autoimmune disease. Examples of autoimmune disease include, without limitation, myocarditis, acute idiopathic thrombocytopenic purpura, chronic idiopathic thrombocytopenic purpura, dermatomyositis, Sydenham's chorea, myasthenia gravis, systemic lupus erythematosus, fibrosing alveolitis, multiple sclerosis, rheumatic fever, polyglandular syndromes, agranulocytosis, autoimmune hemolytic anemias, bullous pemphigoid, Wegener's granulomatosis, membranous nephropathy, amyotrophic lateral sclerosis, tabes dorsalis, giant cell arteritis/polymyalgia, pernicious anemia, rapidly progressive glomerulonephritis, IgA nephropathy, polyarteritis nodosa, ankylosing spondylitis, allergic responses, insulin-resistant diabetes, psoriasis, diabetes mellitus, Addison’s disease, Grave’s disease, diabetes, endometriosis, celiac disease, Crohn’s disease, Henoch-Schonlein purpura, ulcerative colitis, Goodpasture's syndrome, thromboangitisubiterans, Sjogren's syndrome, aplastic anemia, rheumatoid arthritis, sarcoidosis, scleritis, a T cell-mediated autoimmunity or a B cell-mediated autoimmunity, a B cell-mediated (antibody-mediated) autoimmune disease, necrotizing myopathy, chronic inflammatory demyelinating polyneuropathy (CIDP), neuromyelitis optica (NMO) myositis, neuromyelitis optica spectrum disorders, pemphigus vulgaris, systemic sclerosis, antisynthetase syndrome (idiopathic inflammatory myopathy), lupus nephritis, membranous nephropathy, Fanconi anemia, and vasculitis.
[00574] In some embodiments, the autoimmune disease is a T cell-mediated autoimmunity or a B cell-mediated autoimmunity. In some instances, the B cell-mediated autoimmune disease is myositis (such as anti-synthetase myositis), lupus nephritis, membranous nephropathy, systemic lupus erythematosus, anti-neutrophilic cytoplasmic antibody (ANCA) vasculitis, neuromyelitis optica spectrum disorder (NMOSD), myasthenia gravis, pemphigus vulgaris, rheumatoid arthritis, dermatomyositis, immune mediated necrotizing myopathy (IMNM), anti-synthetase syndrome, polymyositis, systemic sclerosis, diffuse cutaneous systemic sclerosis, limited cutaneous systemic sclerosis, anti-synthetase syndrome (idiopathic inflammatory myopathy), stiff person syndrome, myeloid oligodendrocyte glycoprotein autoantibody associated disease (MOGAD), amyloid light-chain amyloidosis, multiple sclerosis, relapsing-remitting multiple sclerosis, secondary progressive multiple sclerosis, primary progressive multiple sclerosis, non-active secondary progressive multiple sclerosis, Sjbrgen’s syndrome, IgA nephropathy, lgG4-related disease, or Fanconi anemia. In certain embodiments, the B cell-mediated autoimmune disease is myositis, lupus nephritis, membranous neuropathy, scleroderma, systemic lupus erythematosus, myasthenia gravis, ANCA vasculitis, multiple sclerosis, or pemphigus vulgaris. In certain embodiments, the B cell-mediated autoimmune disease is myositis, lupus nephritis, membranous neuropathy, or scleroderma. In certain embodiments, the B cell-mediated autoimmune disease is myositis. In some instances, the myositis is anti-synthetase myositis. In certain embodiments, the B cell-mediated autoimmune disease is systemic lupus erythematosus, myasthenia gravis, ANCA vasculitis, multiple sclerosis, or pemphigus vulgaris.
[00575] In some embodiments, the disease or disorder is rejection of an allogeneic organ or tissue graft. Pre-existing antibodies and/or B cells, in their role as antigen presenting cells, can facilitate rapid immune rejection through known mechanisms hence depleting a large number of B cells can help prevent allograft rejection.
[00576] In some embodiments, the disease or disorder is a cancer. Examples of cancers include, without limitation, carcinomas, sarcomas, and hematologic cancers. In some embodiments, the hematologic cancer is a lymphoma, leukemia, or myeloma. In some instances, the hematologic cancer is a B lineage or T lineage cancer. In some instances, the B lineage cancer is multiple myeloma, diffuse large B cell lymphoma, acute myeloid leukemia, Mantle Cell lymphoma, follicular lymphoma, B acute lymphoblastic leukemia, chronic lymphocytic leukemia, or myelodysplastic syndrome. In some embodiments, the cancer is a sarcoma. In some embodiments, the cancer is a carcinoma, such as breast cancer, colon cancer, ovarian cancer, lung cancer, testicular cancer, or pancreatic cancer. In some embodiments, the cancer is melanoma.
[00577] In some embodiments, the disease or disorder is a genetic disease or disorder such as a monogenic genetic disease. In some instances, the genetic disease or disorder is a hemoglobinopathy, for example, sickle cell disease or ^-thalassemia.
[00578] In some embodiments, the disease or disorder is a fibrotic disease or disorder. In some instances, the fibrotic disease is cardiac fibrosis, arthritis, idiopathic pulmonary fibrosis, and nonalcoholic steatohepatitis (also known as metabolic dysfunction-associated steatohepatitis). In other instances, the disorder involves tumor-associated fibroblasts.
[00579] In some embodiments, a tLNP of this disclosure comprises a nucleic acid encoding a chimeric antigen receptor (CAR). The receptors are chimeric because they combine both antigen-binding and T cell activating functions into a single receptor. In some embodiments, a nucleic acid encoding a CAR refers to one or more nucleic acid species encoding one or more CARs; for example, a single or multiple species of nucleic acid encoding a single CAR species, or multiple species of nucleic acid encoding multiple CAR species. In some instances, these multiple CAR species have a same specificity while in other instances they have multiple specificities. In some embodiments, a CAR of this disclosure is multispecific, for example, bispecific, comprising multiple antigen binding moieties each specific for separate antigens. For example, the CAR in LCAR-AIO targets three antigens — CD19, CD20 and CD22 (see, Blood (2021) 138 (Supplement 1): 1700). In some embodiments, a CAR can comprise an extracellular binding domain that specifically binds a target antigen, a transmembrane domain, and one or more intracellular signaling domains. In some embodiments, a CAR can further comprise one or more additional elements, including one or more signal peptides, one or more extracellular hinge domains, or one or more intracellular costimulatory domains. Domains can be directly adjacent to one another, or there can be one or more amino acids linking the domains. The signal peptide can be derived from an antibody, a TOR, CD8 or other type 1 membrane proteins, preferably a protein expressed in a T or other immune cell. The transmembrane domain can be one associated with any of the potential intracellular domains or from another type 1 membrane protein, such as TCR alpha, beta, or zeta chain, CD3 epsilon, CD4, CD8, or CD28, amongst other possibilities known in the art. The transmembrane domain can further comprise a hinge domain located between the extracellular binding domain and the hydrophobic membrane-spanning region of the transmembrane domain. In some but not all embodiments, the hinge domain and transmembrane domain are contiguous sequences in the same source protein. In some instances, the hinge and membrane-spanning domains are derived from CD28. In other instances, the hinge and membrane-spanning domains are derived from CD8a. The intracellular signaling domain can be derived from the CD3 zeta chain, DAP10, DAP12, FcyRIII, FcsRI, or an immunoreceptor tyrosine-based activation motif (ITAM) bearing cytoplasmic domain, amongst other possibilities known in the art. The intracellular costimulatory domain can be derived from CD27, CD28, 4-1 BB, 0X40, or ICOS, amongst other possibilities known in the art.
[00580] In certain embodiments, CARs are used to treat a disease or condition associated with a target cell that expresses the antigen targeted by the CAR. For example, in some embodiments, an anti-CD19 or anti-CD20 CAR can be used to target and treat B cell malignancies or B cell-mediated autoimmune conditions or diseases (e.g., having an immune cell targeting moiety, such as an anti-CD8 antibody). In other embodiments, an anti-FAP CAR can be used to target and treat solid tumors or fibrosis (e.g., cardiac fibrosis, cancer- associated fibroblasts), which can also have an immune cell targeting moiety, such as an anti- CD8 antibody. Examples of CARs that can be used in accordance with the embodiments described herein include to those disclosed in US 7,446,190, US 9,328,156, US 11,248,058, US20190321404, WO2019119822, WO2019159193, W02020011706, WO2022125837, and W02024086190 (anti-CD19), US 10,287,35 (anti-CD19), US 10,442,867 and US2021/0363245 (anti-CD19 and anti-CD20), US 10,543,263 (anti-CD22), WO2016149578 (anti-CD19 and anti-CD22), US 10,316,101, US 11 ,623,961 WO2015052538, WO2016166630, WO2017130223, WO2017173256, WO2019085102, WO2019241426, W02020065330, W02020038146, W02020190737, WO2021091945 (anti-BCMA), WO2016130598 (anti-BCMA and syndecan-1), US 10,426,797 (anti-CD33), US 10,844,128 (anti-CD123), US 10,428,141 , US 10,752,684, US 11 ,723,925, WO2016187216, WO2017156479, WO2018197675, W02020014366, and WO2020198531 (anti-ROR1), WO2022247756, WO2020148677, W02020092854, & US20230331872 (anti-GPRC5D), WO2016090337, WO2022263855, & WO2024047558 (anti-FCRL5), and US2021/0087295 (anti-FAP), each of which is incorporated by reference for all that it teaches about CAR structure and function generically and with respect to the CAR’s antigenic specificity and target indications to the extent that it is not inconsistent with the present disclosure. Each CAR constitutes means for targeting an immune cell, for example, a T cell, to the indicated antigen.
[00581] Exemplary target antigens against which a CAR, TCR, or ICE can have specificity include, but are not limited to, B cell maturation agent (BCMA)**, CA9**, CD4**, CD5**, CD19***, CD20 (MS4A1)***, CD22***, FCRL5**, GPRC5D**, CD23***, CD30 (TNFRSF8)***, CD33***, CD38***, CD44**, CD70***, CD133* CD174, CD274 (PD-L1)***, CD276 (B7-H3)**, CEACAM5***, CLL1* CSPG4**, EGFR***, EGFRvlll*, EPCAM***, EPHA2**, ERBB2**, FAP***, FOLH1 , FOLR1***, GD2***, GPC3***, GPNMB**, IL1RAP**, IL3RA**, IL13RA2**, Kappa*, KDR (VEGFR2)**, CD171 (L1CAM)**, Lambda*, MET**, MSLN (mesothelin)* «, MUC1***, NCAM1 (CD56)**, PD-1 (CD279)**, PSCA*, ROR1**, CD138 (SDC1)**, CD319 (SLAMF7)***, CD248 (TEM1)*, ULBP1, ULBP2, and G-protein coupled receptor family C group 5 member D (GPRC5D)** (associated with leukemias); CD319 (SLAMF7)***, CD38***, CD138**, GPRC5D**, CD267 (TACI)*, and BCMA** (associated with myelomas); and GD2***, GPC3***, HER2***, EGFR***, EGFRvlll*, CD276 (B7H3)**, PSMA***, PSCA*, CAIX (CA9)**, CD171 (L1-CAM)**, CEA**, CSPG4**, EPHA2**, FAP***, LRRC15**, FOLR1***, IL-13Ra***, Mesothelin***, MUC1***, MUC16***, TROP2***, claudin18.2* *, and ROR1** (associated with solid tumors). (* indicates that exemplary antibodies with the indicated specificity from which a binding moiety could be derived can be found in US Patent 11 ,326,182B2 Table 9 or 10. * indicates that exemplary antibodies with the indicated specificity from which a binding moiety could be derived can be found in Wilkinson & Hale, 2022. Both references cited and incorporated by reference above. * indicates that exemplary antibodies with the indicated specificity from which a binding moiety could be derived can be found in the Therapeutic Antibody Database (TABS) at tabs.craic.com. Other suitable antibodies can be found in Appendix A which is incorporated herein by reference for all that it teaches about individual antibodies and the antigens they bind. Many of these target antigens are themselves receptors that could bind to their ligand if expressed on an immune cell. Accordingly, in some embodiments, the extracellular binding domain of the CAR comprises a ligand of a receptor expressed on the target cell. In still further embodiments, the extracellular binding domain of the CAR comprises a ligand binding domain of a receptor for a ligand expressed on the target cell. The advantages of the aspects and embodiments disclosed herein are independent of the specificity of the binding moiety. As such, the disclosed aspects and embodiments are generally agnostic to binding specificity. In certain embodiments, a particular binding specificity can be required.
[00582] In some embodiments, the tLNP comprises a nucleic acid encoding an anti- CD19 chimeric antigen receptor (CAR). In some embodiments, the nucleic acid comprises mRNA. Examples of anti-CD19 CARs include those incorporating a CD19 binding moiety derived from the human antibody 47G4 or the mouse antibody FMC63. FMC63 and the derived scFv have been described in Nicholson et al., Mol. Immun. 34(16-17):1157-1165 (1997) and PCT Application Publication Nos. WO 2018/213337 and WO 2015/187528, the entire contents of each of which are incorporated by reference herein for all that they teach about anti-CD19 CARs and their use. CAR based on 47G4 are disclosed in United States Patent No. 10,287,350 which is incorporated by reference herein for all that it teaches about anti-CD19 CARs and their use. In some instances, the anti-CD19 CAR is the CAR found in tisagenlecleucel, lisocabtagene maraleucel, axicabtagene ciloleucel, or brexucabtagene autoleucel. Each of these CARs constitutes means for targeting an immune cell, for example, a T cell, to CD19. The entire contents of each of foregoing references in this paragraph are incorporated by reference for all that they teach about the design, structure, and activity of anti-CD19 CARs. In any of the aforementioned tLNP embodiments, certain embodiments include tLNPs encapsulating a CD19 CAR payload encoded by RNA and having a T cell targeting moiety, such as an anti-CD8 antibody.
[00583] In some embodiments, the tLNP comprises a nucleic acid encoding an anti- CD20 chimeric antigen receptor (CAR). CD20 is an antigen found on the surface of B cells as early as the pro-B phase and progressively at increasing levels until B cell maturity, as well as on the cells of most B-cell neoplasms. CD20 positive cells are also sometimes found in cases of Hodgkin's disease, myeloma, and thymoma. In some embodiments, the nucleic acid comprises mRNA. Examples of anti-CD20 CARs include those incorporating a CD20 binding moiety derived from an antibody specific to CD20, including, for example, Leu16, IF5, 1.5.3, rituximab, obinutuzumab, ibritumomab, ofatumumab, tositumumab, odronextamab, veltuzumab, ublituximab, and ocrelizumab. In some embodiments, the anti-CD20 CAR is derived from a CAR specific to CD20, including, for example, MB-106 (Fred Hutchinson Cancer Research Center, see Shadman et aL, Blood 134(SuppL1):3235 (2019)) UCART20 (Cellectis, www.cellbiomedgroup.com), or C-CAR066 (Cellular Biomedicine Group, see Liang et aL, J. Clin. Oncol. 39(15) suppl:2508 (2021)). In some embodiments, the extracellular binding domain of the anti-CD20 CAR comprises an scFv derived from the Leu16 monoclonal antibody, which comprises the heavy chain variable region (VH) and the light chain variable region (VL) of Leu16 connected by a linker. See Wu et aL, Protein Engineering. 14(12):1025- 1033 (2001). Each of these CARs constitutes means for targeting an immune cell, for example, a T cell, to CD20.The entire contents of each of foregoing references in this paragraph are incorporated by reference for all that they teach about the design, structure, and activity of anti-CD20 CARs. In any of the aforementioned tLNP embodiments, certain embodiments include tLNPs encapsulating a CD20 CAR payload encoded by RNA and having a T cell targeting moiety, such as an anti-CD8 antibody.
[00584] In some embodiments, the tLNP comprises a nucleic acid encoding an anti- BCMA chimeric antigen receptor (CAR). BCMA is a tumor necrosis family receptor (TNFR) member expressed on cells of the B cell lineage, with the highest expression on terminally differentiated B cells or mature B lymphocytes. BCMA is involved in mediating the survival of plasma cells for maintaining long-term humoral immunity. The expression of BCMA has been recently linked to a number of cancers, such as multiple myeloma, Hodgkin's and nonHodgkin's lymphoma, various leukemias, and glioblastoma. In some embodiments, the nucleic acid comprises mRNA. Examples of anti-BCMA CARs include those incorporating a BCMA binding moiety derived from C11 D5.3, a Mouse monoclonal antibody as described in Carpenter et al., Clin. Cancer Res. 19(8):2048-2060 (2013). See also PCT Application Publication No. WO 2010/104949. In some embodiments, the extracellular binding domain of the BCMA CAR comprises an scFv derived from another Mouse monoclonal antibody, C12A3.2, as described in Carpenter et aL, Clin. Cancer Res. 19(8):2048-2060 (2013) and PCT Application Publication No. W02010104949. In some embodiments, the extracellular binding domain of the BCMA CAR comprises an scFv derived from a Mouse monoclonal antibody with high specificity to human BCMA, referred to as BB2121 in Friedman et aL, Hum. Gene Ther. 29(5):585-601 (2018). See also, PCT Application Publication No. WO2012163805. In some embodiments, the extracellular binding domain of the BCMA CAR comprises single variable fragments of two heavy chains (VHH) that can bind to two epitopes of BCMA as described in Zhao et aL, J. HematoL Oncol. 11 (1 ):141 (2018), also referred to as LCAR-B38M. See also, PCT Application Publication No. WO 2018/028647. In some embodiments, the extracellular binding domain of the BCMA CAR comprises a fully human heavy-chain variable domain (FHVH) as described in Lam et aL, Nat. Commun. 11(1):283 (2020), also referred to as FHVH33. See also, PCT Application Publication No. WO 2019/006072. In some embodiments, the extracellular binding domain of the BCMA CAR comprises an scFv derived from CT103A (or CAR0085) as described in U.S. Patent No. 11 ,026,975 B2. Further anti- BCMA CARs are disclosed in U.S. Application Publication Nos. 2020/0246381 and 2020/0339699. Further anti-BCMA CARs include Allo-605 (described in U.S. Patent Publication No. 20200261503), CT053 (described in U.S. Patent No. US11,525,006), Descartes-08 (described in U.S. Patent No. 10,934,337), LCAR-B38M (described in U.S. Patent No. 10,934,363), PersonGen anti-BCMA CAR (described in CN114763383), Pregene Bio anti-BCMA CAR (described in U.S. Patent Publication No. US20220218746), the CAR in ciltacabtagene autoleucel (binding moiety described in US20170051068), and the CAR in idecabtagene vicleucel (described in U.S. Patent No. 10,383,929). Each of these CARs constitutes means for targeting an immune cell, for example, a T cell, to BCMA. Further antibodies comprising an anti-BCMA antigen binding domains that can be used in construction a CAR include AMG224 (described with other anti-BCMA antibodies in U.S. Patent No. 9,243,058), EMB-06 (described with other anti-BCMA antibodies in U.S. Patent Publication No. US20230002489), HPN217(described in U.S. Patent No. 11 ,136,403), MEDI2228 (described in U.S. Patent No. 10,988,546), REGN5459 (described in U.S. Patent No. 11 ,384,153), SAR445514 (described in U.S. Patent Publication No. 20240034816), SEA- BCMA (described in U.S. Patent No. 11 ,078,291), TNB-383B (described in U.S. Patent No. 11 ,505,606), TQB2934 (described in U.S. Patent Publication No. 20230193292), WV078 (described in U.S. Patent No. 11 ,492,409), alnuctamab (described in U.S. Patent No. 10,683,369), belantamab (described in U.S. Patent No. 9,273,141), elranatamab (described in U.S. Patent No. 11,814,435), ispectamab (described in U.S. Patent Publication No. 20210130483), linvoseltamab (described in U.S. Patent No. 11 ,919,965), pavurutamab (described in U.S. Patent No. 11,419,933), and teclistamab (described in U.S. Patent No. 10,072,088). A bispecific anti-BCMA, anti-CD19 CAR is described in W02022007650. The entire contents of each of foregoing references in this paragraph are incorporated by reference for all that they teach about the design, structure, and activity of anti-BCMA CARs and anti- BCMA antibodies that can provide an antigen binding domain for a CAR or immune cell engager. In any of the aforementioned tLNP embodiments, certain embodiments include tLNPs encapsulating a BCMA CAR payload encoded by RNA and having a T cell targeting moiety, such as an anti-CD8 antibody.
[00585] In some embodiments, the tLNP comprises a nucleic acid encoding an anti- GPRC5D chimeric antigen receptor (CAR). GPRC5D is a G protein-coupled receptor without known ligands and of unclear function in human tissue. However, this receptor is expressed in myeloma cell lines and in bone marrow plasma cells from patients with multiple myeloma. GPRC5D has been identified as an immunotherapeutic target in multiple myeloma and Hodgkin lymphomas. Examples of anti-GPRC5D CARs include those incorporating a GPRC5D binding moiety such as MCARH109 (Mailankody et al., N Engl J Med. 387(13): 1196-1206 (2022)), BMS-986393, or OriCAR-017 (Rodriguez-Otero et al., Blood Cancer J. 14(1): 24 (2024)). Examples of anti-GPRC5D CARs include those incorporating a GPRC5D binding moiety derived from an antibody specific to GPRC5D, for example, talquetamab (Pillarisetti et al., Blood 135:1232-43 (2020)), or forimtamig. In some embodiments, the extracellular binding domain of the anti-GPRC5D CAR comprises an scFv derived from a 6D9 Mouse antibody with specificity to human GPRC5D (see creative-biolabs. com/car-t/anti- gprc5d-6d9-h-41bb-cd3-car-pcdcar1-26380.htm). In some embodiments, the extracellular binding domain of the GPRC5D CAR comprises an scFv of anti-GPRC5D antibody linked to 4-1 BB or CD28 costimulatory domain and CD3^ signaling domain as described in Mailankody et al., N Engl J Med. 387(13): 1196-1206 (2022); creative-biolabs.com/car-t/anti-gprc5d-6d9- h-41bb-cd3-car-pcdcar1-26380.htm; and Rodriguez-Otero et al., Blood Cancer J. 14(1): 24 (2024). The entire contents of each of foregoing references in this paragraph are incorporated by reference for all that they teach about the design, structure, and activity of anti-GPRC5D CARs and anti-GPRC5D antibodies that can provide an antigen binding domain for a CAR or immune cell engager, and each example constitutes a means for binding GPRC5D. In any of the aforementioned tLNP embodiments, certain embodiments include tLNPs encapsulating an anti-GPRC5D CAR payload encoded by RNA and having a T cell targeting moiety, such as an anti-CD8 antibody.
[00586] In some embodiments, the tLNP comprises a nucleic acid encoding an anti- FCRL5 chimeric antigen receptor (CAR). FCRL5 (Fc receptor-like 5), also known as FCRH5, BXMAS1 , CD307, CD307E, and IRTA2, is a protein marker expressed on the surface of plasma cells in patients with multiple myeloma. Furthermore, contact with FCRL5 stimulates B-cell proliferation; thus, FCRL5 has been identified as an immunotherapeutic target for this disease. Examples of anti-FCRL5 CARS include those incorporating an FCRL5 binding moiety, such as those described in WO2016090337, WO2017096120, WO2022263855, and WO2024047558. In some embodiments, the extracellular binding domain of the anti-FCRL5 CAR comprises an scFv with specificity to FCRL5, such as ET200-31 , ET200-39, ET200-69, ET200-104, ET200-105, ET200-109, or ET200-117. In some embodiments, the extracellular binding domain of the anti-FCRL5 CAR comprises an scFv derived from a mouse antibody with specificity to human FCRL5. Such antibodies include 7D11 , F25, F56, and F119, as described in Polson et al., Int. Immunol., 18(9): 1363-1373 (2006); Franco et al., J. Immunol. 190(11): 5739-5746 (2013); Ise et al., Clin. Cancer Res. 11(1): 87-96 (2005); and Ise et aL, Clin. Chem. Lab. Med. 44(5): 594-602 (2006), all of which are incorporated by reference herein. In some embodiments, the extracellular binding domain of the anti-FCRL5 CAR comprises a binding moiety derived from the antigen binding domain of an anti-FCRL5 antibody or nanobody, including cevostamab, 2A10H7, 307307, 2A10D6, 13G9, 10A8, 509f6, EPR27365-87, EPR26948-19, or EPR26948-67, or as disclosed in WO2016090337, WO2017096120, WO2022263855, or WO2024047558. In some embodiments, the extracellular binding domain of the anti-FCRL5 CAR comprises a binding moiety derived from an antibody-drug conjugate targeting FCRL5, such as those described in Elkins et al., Mol. Cancer Then 11(10): 2222-2232 (2012). In some embodiments, the extracellular binding domain of the anti-FCRL5 CAR is linked to a costimulatory domain, such as a 4-1 BB or CD28 costimulatory domain, and a signaling domain, such as a CD3£ signaling domain. The entire contents of each of the foregoing references in this paragraph are incorporated by reference for all that they teach about the design, structure, properties, and activity of anti-FCRL5 CARs and anti-FCRL5 antibodies that can provide an antigen binding domain for a CAR or immune cell engager. Each example constitutes a means for binding FCRL5. In any of the aforementioned tLNP embodiments, certain embodiments include tLNPs encapsulating a FCRL5 CAR payload encoded by RNA and having a T cell targeting moiety, such as an anti- CD8 antibody.
[00587] In some embodiments, the tLNP comprises a nucleic acid(s) encoding one or more CARs that target multiple antigens. In some embodiments, the tLNP comprises distinct mRNAs that are encapsulated together in a single tLNP, with each mRNA encoding one monospecific CAR. For examples, the tLNP can comprise an mRNA encoding an anti-CD19 CAR and an mRNA encoding an anti-CD20 CAR, an mRNA encoding an anti-CD19 CAR and an mRNA encoding an anti-BCMA CAR, an mRNA encoding an anti-GPRC5D CAR and an mRNA encoding an anti-BCMA CAR, or an mRNA encoding an anti-FCRL5 CAR and an mRNA encoding an anti-BCMA CAR. In some embodiments, the tLNP comprises a single mRNA encoding a bicistronic mRNA encoding two monospecific CARs. For examples, the bicistronic mRNA can encode an anti-CD19 CAR and an anti-CD20 CAR, an anti-CD19 CAR and an anti-BCMA CAR, an anti-GPRC5D CAR and an anti-BCMA CAR, or an anti-FCRL5 CAR and an anti-BCMA CAR. In some embodiments, the tLNP comprises a single mRNA encoding an mRNA encoding a multispecific CAR. In some embodiments, the tLNP comprises a single mRNA encoding an mRNA encoding a bispecific CAR. For example, the mRNA can encode an anti-CD19 and anti-CD20 bispecific CAR, an anti-CD19 and anti-BCMA bispecific CAR, an anti-GPRC5D and anti-BCMA bispecific CAR, or an anti-FCRL5 and anti-BCMA bispecific CAR. In some embodiments, multiple tLNPs can be co-formulated in a combination with each tLNP comprising one mRNA. In some instances, the one mRNA encodes one monospecific CAR. For example, two tLNPs can be co-formulated with one tLNP comprising an mRNA encoding an anti-CD19 CAR and the other tLNP comprising an mRNA encoding an anti-CD20 CAR, one tLNP comprising an mRNA encoding an anti-C19 CAR and the other tLNP comprising an mRNA encoding an anti-BCMA CAR, one tLNP comprising an mRNA encoding an anti-GPRC5D CAR and the other tLNP comprising an mRNA encoding an anti- BCMA CAR, or one tLNP comprising an mRNA encoding an anti-FCRL5 CAR and the other tLNP comprising an mRNA encoding an anti-BCMA CAR. In some embodiments, multiple tLNPs can be co-administered in a combination, either simultaneously or sequentially, wherein each comprises one mRNA. In some instances, the one mRNA encodes one monospecific CAR. For example, two tLNPs can be co-administered in a combination, either simultaneously or sequentially, with one tLNP comprising an mRNA encoding an anti-CD19 CAR and the other tLNP comprising an mRNA encoding an anti-CD20 CAR, one tLNP comprising an mRNA encoding an anti-C19 CAR and the other tLNP comprising an mRNA encoding an anti-BCMA CAR, one tLNP comprising an mRNA encoding an anti-GPRC5D CAR and the other tLNP comprising an mRNA encoding an anti-BCMA CAR, or one tLNP comprising an mRNA encoding an anti-FCRL5 CAR and the other tLNP comprising an mRNA encoding an anti- BCMA CAR. The targeting can be mediated by any of the CARs described herein. In addition to combinations of two specificities, higher order combinations are also possible, especially with the use of bi- and tri-specific CARs. Following these patterns, further embodiments are constituted mutatis mutandis by other tLNP or combinations of tLNPs comprising a nucleic acid(s) encoding one or more CARs that target multiple antigens involving these and other CAR specificities disclosed herein.
[00588] Cellular therapy involving the administration of genetically engineered cells to a patient has generally required depleting or ablative conditioning to facilitate engraftment of the engineered cells (for example, T cells or HSC). In the context of in vivo engineering and reprogramming such conditioning would be counterproductive as the conditioning would eliminate the very cells that are to be engineered. Instead, one can utilize activating and/or adjuvant conditioning to increase the number of cells amenable to engineering, to mobilize them to the locus of pathology, to make the locus of pathology (for example, a tumor microenvironment) more susceptible to treatment, to augment the therapeutic effect, etc., as appropriate for the particular disease and primary treatment. Conditioning agents include biological response modifiers (BRMs) that can be delivered directly to a subject or encoded in nucleic acid molecules, including as mRNA, and delivered to a subject using the LNP and tLNP compositions and formulations disclosed herein.
[00589] Accordingly, certain aspects are methods of conditioning a subject who receives an engineering agent comprising providing a tLNP comprising a nucleic acid molecule encoding a conditioning agent to the subject prior to, concurrently with, or subsequent to administration of the engineering agent. In various embodiments, an encoded conditioning agent comprises a y-chain receptor agonist, an inflammatory chemokine, a pan- activating cytokine, an antigen presenting cell activity enhancer, an immune checkpoint inhibitor, or an anti-CCR4 antibody. In some embodiments, the y-chain receptor cytokine comprises IL-15, IL-2, IL-7, or IL-21. In some embodiments, the immune checkpoint inhibitor comprises an anti-CTLA-4, anti-PD-1 , anti-PD-L1 , anti-Tim-3, or anti-LAG-3 antibody. In some embodiments, the inflammatory chemokine comprises CCL2, CCL3, CCL4, CCL5, CCL11, CXCL1, CXCL2, CXCL-8, CXCL9, CXCL10, or CXCL11. In some embodiments, the antigen presenting cell activity enhancer comprises Flt-3 ligand, gm-CSF, or IL-18. In some embodiments, a pan-activating cytokine comprises IL-12 of IL 18. In certain embodiments, a conditioning agent comprises a transcription factor, for example, one selected from the group consisting of nuclear factor of activated T-cells (NFAT), NF-KB, T-bet, signal transducer and activator of transcription 4 (STAT4), Blimp-1 , c-Jun, and Eomesodermin (Eomes) and the tLNP is targeted to a T cell. In some embodiments, a tLNP encapsulating the nucleic acid-encoded conditioning agent is administered systemically, for example, by intravenous or subcutaneous infusion or injection. In other embodiments, the tLNP is administered locally, for example, by intralesional or intraperitoneal injection or infusion. In some embodiments, nucleic acid molecules encoding the conditioning agent and the engineering agent are encapsulated in the same tLNP while in other embodiments they are encapsulated in separate tLNPs. These two modes of delivery of conditioning agents are described in greater detail in PCT application PCT/US 2023/072426, which is incorporated by reference for all that it teaches about conditioning agents and their delivery of LNPs or tLNPs that is not inconsistent with the present disclosure. In some embodiments, the nucleic acid comprises mRNA.
[00590] The term “treating” or “treatment” broadly includes any kind of treatment activity, including the mitigation, cure or prevention of disease, or aspect thereof, in man or other animals, or any activity that otherwise affects the structure or any function of the body of man or other animals. Treatment activity includes the administration of the medicaments, dosage forms, and pharmaceutical compositions described herein to a patient, especially according to the various methods of treatment disclosed herein, whether by a healthcare professional, the patient his/herself, or any other person. Treatment activities include the orders, instructions, and advice of healthcare professionals such as physicians, physician’s assistants, nurse practitioners, and the like, that are then acted upon by any other person including other healthcare professionals or the patient him/herself. In some embodiments, the orders, instructions, and advice aspect of treatment activity can also include encouraging, inducing, or mandating that a particular medicament, or combination thereof, be chosen for treatment of a condition - and the medicament is actually used - by approving insurance coverage for the medicament, denying coverage for an alternative medicament, including the medicament on, or excluding an alternative medicament, from a drug formulary, or offering a financial incentive to use the medicament, as might be done by an insurance company or a pharmacy benefits management company, and the like. In some embodiments, treatment activity can also include encouraging, inducing, or mandating that a particular medicament be chosen for treatment of a condition - and the medicament is actually used - by a policy or practice standard as might be established by a hospital, clinic, health maintenance organization, medical practice or physicians group, and the like. All such orders, instructions, and advice are to be seen as conditioning receipt of the benefit of the treatment on compliance with the instruction. In some instances, a financial benefit is also received by the patient for compliance with such orders, instructions, and advice. In some instances, a financial benefit is also received by the healthcare professional for compliance with such orders, instructions, and advice.
[00591] Some embodiments of these methods of treatment comprise administration of an effective amount of a compound or a composition disclosed herein. Some instances relate to a therapeutically (or prophylactically) effective amount. A therapeutically effective amount is not necessarily a clinically effective amount, that is, while there can be therapeutic benefit as compared to no treatment, a method of treatment may not be equivalent or superior to a standard of care treatment existing at some point in time. Other instances relate to a pharmacologically effective amount, that is an amount or dose that produces an effect that correlates with or is reasonably predictive of therapeutic (or prophylactic) utility. As used herein, the term “therapeutically effective amount” is synonymous with “therapeutically effective dose” and means at least the minimum dose of a compound or composition disclosed herein necessary to achieve the desired therapeutic or prophylactic effect. Similarly, a pharmacologically effective dose means at least the minimum dose of a compound or composition disclosed herein necessary to achieve the desired pharmacologic effect. Some embodiments refer to an amount sufficient to prevent or disrupt a disease process, or to reduce the extent or duration of pathology. Some embodiments refer to a dose sufficient to reduce a symptom associated with the disease or condition being treated.
[00592] The following examples are intended to illustrate various embodiments. As such, the specific embodiments discussed are not to be constructed as limitations on the scope this disclosure. It will be apparent to one skilled in the art that various equivalents, changes, and modifications can be made without departing from the scope of this disclosure, and it is understood that such equivalent embodiments are to be included herein. Further, all references cited in the disclosure are hereby incorporated by reference in their entirety, as if fully set forth herein.  EXAMPLES
Example 1 : Synthesis of 2-(2-(tert-butoxy)-2-oxoethyl)propane-1,3-diyl dinonanoate (1)
[00593] To a solution of tert-butyl 4-hydroxy-3-(hydroxymethyl)butanoate (Org. Proc. Res. Dev. 2011, 15, 515) (44.0g, 0.231 mol), in acetonitrile (900mL), cooled in an ice water bath under nitrogen, was added nonanoic acid (76.86g, 0.486mol), followed by the addition of DMAP (28.22g, 0.231 mol) and EDC-HCI (97.8g, 0.513mol). The mixture was stirred for 1 hour, then was allowed to warm to room temperature and was stirred for 12 hours. The solution was cast into n-heptane (1.40L) and water (0.9L) and the organic phase was separated. The organic phase was washed twice with MeOH:10% aq. citric acid (0.90L), followed by washing twice with a mixture of MeOH:H2O:triethyl amine (0.90L, 3:1 :0.1). The organic phase was then washed with 10% aq. NaCI, dried over NazSCXi, filtered, and concentrated in vacuo to provide 2-(2-(tert-butoxy)-2-oxoethyl)propane-1,3-diyl dinonanoate 1 (90.20g, 96.3% purity by HPLC, 0.185mol, 80% yield) as a pale yellow viscous liquid.
[00594]1H-NMR (300MHz, CDCI3): δ = 4.12 (m, 4H), 2.53 (m, 1 H), 2.29-2.34 (6H), 1.52-1.64 (4H), 1.46 (s, 9H), 1.16-1.37 (24H), 0.89 (t, J = 7.0Hz, 6H); LCMS: RT = 1.748, calcd. for C27H50O6 minus t-butyl + H+: 415.31. Found: 415.20.
Example 2: Synthesis of 4-(nonanoyloxy)-3-((nonanoyloxy)methyl)butanoic acid (2)
[00595] To a solution of 1 (90.0g, 96.3% purity, 0.184mol) in toluene (0.41 L), cooled in an ice-water bath under nitrogen, was added TFA (208.46g, 1.83mol, 140mL) over a period of 30 minutes. After the addition was complete the mixture was warmed to 15° and the mixture was stirred for 18 hours. The chilled solution was cast into n-heptane (1.50L) and the resulting solution was extracted with 5% aq. Potassium phosphate (2.0L) and the aqueous phase was collected. The organic phase was extracted with MeOH:H2O:triethyl amine (2.0L, 5:1 :0.1), and the combined aq. phases were cast into n-heptane (1.80L) and 1.2M aq. HCI (1.0L). The organic layer was separated, washed with MeOH:water (1.0L, 1 :1), dried over Na2SO4, filtered and concentrated in vacuo to afford acid 2 (69.0g, 96.1% purity by HPLC, 0.177mol, 96% yield) as a pale yellow, viscous oil.
[00596]1H-NMR (300MHz, CDCI3): δ = 4.13 (m, 4H), 2.58 (m, 1H), 2.48 (m, 2H), 2.32 (m, 4H), 1 .63 (m, 4H), 1 .20-1.37 (24H), 0.89 (t, J = 7.0Hz, 6H); LCMS: RT = 1.723, Calcd. for C23H42O6+H+ 415.31 . Found 415.30.
Example 3: Synthesis of (((2-((tert-butoxycarbonyl)amino)propane-1,3- diyl)bis(oxy))bis(2-oxoethane-2,1-diyl))bis(propane-2,1,3-triyl) tetranonanoate (3)
[00597] To a solution of tert-butyl (1,3-dihydroxypropan-2-yl)carbamate (Combi-Blocks #QI-4068, 2.20g, 11.50mmol) in acetonitrile (150mL), at room temperature under nitrogen, was added 2 (9.54g, 23.01 mmol). To the resulting solution were added in order: DMAP (1 ,42g, 11.62mmol) and EDC-HCI (4.87g, 25.54mmol), and the mixture was stirred for 18 hours at room temperature. The solution was cast into n-heptane (200mL) and water (150mL). The organic phase was separated, washed with MeOH/10% aq. citric acid (4:1, 2 x 100mL), MeOH/water (4:1 , 2 x100mL) containing EtsN (10mL), 10% aq. NaCI (100mL), and dried (NazSCXi). Filtration and concentration in vacuo gave crude 3 which was dissolved in dichloromethane (15mL) to which was added silica gel (20g, type: ZCX-2, 200-300 mesh). The solvent was removed in vacuo and the impregnated silica gel was placed atop a combi- flash column of silica gel (160g, type: ZCX-2, 200-300 mesh). The column was eluted with a gradient of n-heptane:ethyl acetate from 90:10 to 80:20. Qualified fractions were combined and concentrated in vacuo to provide 3 (9.00g, 9.14mmol, 93% purity by HPLC, 80% yield) as a pale yellow oil. [00598]1H-NMR (400MHz, CDCI3): δ = 5.14 (brm, 1 H), 4.10-4.23 (13H), 2.57 (m, 2H), 2.41 (m, 4H), 2.34 (t, J = 7.2Hz, 8H), 1.62 (m, 8H), 1.46 (s, 9H), 1.20-1.37 (40H), 0.89 (m, 12H); LCMS: RT 1.978, Calcd. for C54H97NO14 + Na+ 1006.68. Found 1006.60.
Example 4: Synthesis of 12,22-bis((nonanoyloxy)methyl)-9,14,20,25-tetraoxo- 10,15,19,24-tetraoxatritriacontan-17-aminium trifluoroacetate (4)
[00599] To a solution of 3 (8.50g, 8.635mmol) in dichloromethane (805mL), at room temperature under nitrogen, was added trifluoroacetic acid (25mL, 37.22g, 0.326mol) over a period of 15 minutes. The mixture was allowed to stir for 3 hours at room temperature, then was concentrated in vacuo to afford crude 4. Ammonium salt 4 was dissolved in n-heptane (100mL) and the solution was washed with brine (2 x 100mL) and dried (NazSCXi). Filtration and concentration in vacuo afforded 4 (8.20g, 8.214mmol, 87% purity by HPLC, 95% yield) as a yellow oil.
[00600]1H-NMR (400MHz, CDCI3): δ = 5.44(m, 2H), 4.47 (m, 2H), 4.08-4.4.22 (8H), 3.89 (brs, 1H), 2.44-2.62 (6H), 2.32 (m, 8H), 1.62 (m, 8H), 1.20-1.40 (40H), 0.88 (m, 12H); LCMS: RT 1.594, Calcd. for C49H90NO12884.65. Found 884.60.
Example 5: Synthesis of (((2-(1H-imidazole-1-carboxamido)propane-1,3- diyl)bis(oxy))bis(2-oxoethane-2,1-diyl))bis(propane-2,1,3-triyl) tetranonanoate (5)
[00601] To a solution of 4 (8.00g, 8.014mmol) in dichloromethane (120mL), at room temperature under nitrogen, was added CDI (13.20g, 81.41mmol) and EtsN (4.95g, 48.92mmol), the mixture was allowed to stir for 18 hours at room temperature. The solvent was removed in vacuo and the residue was dissolved in n-heptane (300mL). The n-heptane solution was washed with MeOH/water (4:1 , 2 x 150mL), water (2 x 150mL), and dried (NazSCXi). Filtration and concentration in vacuo gave 5 (5.60g, 5.720mmol, 71%) as a yellow oil.
[00602]1H-NMR (300MHz, CDCI3): δ = 8.21 (s, 1 H), 7.51 (s, 1 H), 7.06 (s, 1 H), 4.54 (s, 1H),4.46 (m, 1 H), 4.26 (m, 4H), 4.06-4.18 (8H), 2.56 (m, 2H), 2.40 (m, 4H), 2.30 (m, 8H), 1.59 (m, 8H), 1.20-1.41 (40H), 0.88 (m, 12H); LCMS: RT 1 .702, Calcd. for C53H91 N3O13 + H+ 978.66. Found 978.60.
Example 6: Synthesis of (2-(((2-(dimethylamino)ethoxy)carbonyl)amino)propane- 1 ,3-diyl)bis(oxy))bis(2-oxoethane-2,1 -diyl))bis(propane-2,1 ,3-triyl) tetranonanoate (CICL-227)
[00603] To a solution of 5 (5.30g, 5.42mmol) in n-heptane (106mL,) cooled in an icewater bath under nitrogen, was added MeOTf (1.07g, 6.52mmol) over a period of 5 minutes. After the addition was complete, trimethylamine (2.0M in THF, 8.1 mL, 16.26mmol) was added over 5 minutes followed by the addition of 2-dimethylaminoethanol (0.724g, 8.12mmol) in one portion. The mixture was stirred for 1 hour at 0°C then was placed in a 50°C oil bath stirred for 18 hours. After cooling to room temperature, the mixture was diluted with n-heptane (212mL) and the solution was washed with water (212mL), the organic phase was extracted with MeOH/10% aq. Citric acid (3:1, 2 x 212mL). The combined MeOH/ aq. Citric acid phases were diluted with 5% aq. NaHCOs (212mL) and the resulting solution was extracted with n- heptane (2 x 424mL). The combined organic phases were washed with 10% aq. NaCI (212mL) and dried (NazSO^. Filtration and concentration in vacuo gave crude CICL-227 which was dissolved in acetonitrile (15mL) and purified by reverse phase HPLC (XB-phenyl column 50x250mm, 10pM; Mobile Phase A: water/0.1% TFA; Mobile Phase B: CH3CN; flow rate 90mL/min; Gradient 0% B to 95% B in 10 minutes; Wave Length 200nM). Qualified fractions were concentrated in vacuo, to remove CH3CN, and the pH of the aq. Residue was adjusted to 8.0 with 5% aq. NaHCOs. The aq. Phase was extracted with n-heptane (200mL) and the organic phase was washed with water (200mL). MeOH/water (4:1 , 2 x 100mL), water (200mL) and dried (NazSO^. Filtration and concentration in vacuo gave CICL-227 (1 ,40g) as a paleyellow oil which was dissolved in dichloromethane (10mL) to which was added silica gel (15g, type: ZCX-2, 200-300 mesh). The solvent was removed in vacuo and the impregnated silica gel was placed atop a combi-flash column of silica gel (120g, type: ZCX-2, 200-300 mesh). The column was eluted with a gradient of n-heptane:ethyl acetate from 75:25 to 33:67. Qualified fractions were combined and concentrated in vacuo to provide CICL-227 which was dissolved in n-heptane (100mL), the resulting solution was washed with MeOH/water (4:1, 2 x 50mL), water (50mL) and dried (NazSO^. Filtration and concentration in vacuo afforded CICL-227 (1 ,20g, 1.20mmol, 97% purity by HPLC, 22% yield) as a pale-yellow oil.
[00604]1H-NMR (400MHz, CDCI3): δ = 5.40 (brs, 1H), 4.04-4.27 (15H), 2.58 (m, 4H), 2.40 (m, 4H), 2.24-2.37 (14H), 1.61 (m, 8H), 1.20-1.37 (40H), 0.88 (t, J = 6.8Hz, 12H); LCMS: RT 1.575, Calcd. for C54H98N2O14 + H+: 999.71, Found 999.60.
Example 7: Synthesis of (((2-(2-(tert-butoxy)-2-oxoethyl)propane-1,3- diyl)bis(oxy))bis(2-oxoethane-2,1-diyl))bis(propane-2,1,3-triyl) tetranonanoate (6)
[00605] To a solution of tert-butyl 4-hydroxy-3-(hydroxymethyl)butanoate (Org. Proc. Res. Dev. 2011, 15, 515; 2.20g, 11.56mmol) in acetonitrile (200mL), at room temperature under nitrogen, was added 2 (10.10g, 24.36mmol). To the resulting solution were added in order: Et3N (4.70g, 46.45mmol), DMAP (0.72g, 5.89mmol) and EDC-HCI (5.60g, 29.36mmol), and the mixture was stirred for 18 hours at room temperature. The solution was cast into n- heptane (200mL) and water (100mL). The organic phase was separated, washed with MeOH/10% aq. Citric acid (4:1, 2 x 100mL), 5% aq. NaHCOs (2 x 80mL), water (IOOmL), brine (100mL), and was dried over Na2SO4. Filtration and concentration in vacuo gave crude 6 which was dissolved in dichloromethane (60mL) to which was added silica gel (18g, type: ZCX-2, 200-300 mesh). The solvent was removed in vacuo and the impregnated silica gel was placed atop a combi-flash column of silica gel (270g, type: ZCX-2, 100-200 mesh). The column was eluted with a gradient of n-heptane:ethyl acetate from 100:0 to 90:10. Qualified fractions were combined and concentrated in vacuo to provide 6 (6.80g, 6.91 mmol, 91% purity by HPLC, 60% yield) as a pale yellow oil. [00606]1H-NMR (400MHz, CDCI3): δ = 4.08-4.17 (12H), 2.02-2.17 (3H), 2.43 (d, J = 6.8Hz, 4H), 2.29-2.33 (10H), 1.61 (m, 8H), 1.47 (s, 9H), 1.23-1.37 (40H), 0.90 (m, 12H); LCMS: RT 2.038, Calcd. for C55H98O14+ Na+: 1005.89. Found 1005.50.
Example 8: Synthesis of 4-((4-(nonanoyloxy)-3-((nonanoyloxy)methyl)butanoyl)oxy)-3- (((4-(nonanoyloxy)-3-((nonanoyloxy)methyl)butanoyl)oxy)methyl)butanoic acid (7)
[00607] To a solution of 6 (6.00g, 6.10mmol), in dichloromethane (90mL) at room temperature under nitrogen, was added trifluoroacetic acid (30mL, 44.67g, 392mmol) over a period of 20 minutes. The mixture was stirred for 3 hours, then was concentrated in vacuo. The residue was dissolved in n-heptane (200mL) and the resulting solution was washed with water (2 x 100mL), acetonitrile/water (5:2, 2 x 100mL), 3% aq. K2HPO4 (2 x 100mL), water (100mL), brine (100mL), and dried (NazSCXi). Filtration and concentration in vacuo gave 7 (5.20g, 5.61 mmol, 89% purity by HPLC, 92% yield) as a pale-yellow oil.
[00608]1H-NMR (400MHz, CDCI3): δ = 4.09-4.20 (12H), 2.50-2.60 (3H), 2.48 (m, 4H), 2.27-2.42 (10H), 1.62 (m, 8H), 1.20-1.38 (40H), 0.89 (t, J = 6.8Hz, 12H); LCMS: RT 1.825, Calcd. for C51H90O14 + Na+: 949.62, Found 949.50.
Example 9: Synthesis of (((2-(2-(2-(dimethylamino)ethoxy)-2-oxoethyl)propane-1,3- diyl)bis(oxy))bis(2-oxoethane-2,1-diyl))bis(propane-2,1,3-triyl) tetranonanoate (CICL-
[00609] To a solution of 7 (3.00g, 3.24mmol) and 2-dimethylamineethanol (0.455g, 5.10mmol), in THF (70mL) at room temperature under nitrogen, were added in order: /-PrzNet (0.875g, 6.77mmol) and HATU (1.95g, 5.13mmol, added in portions over 10 minutes). The solution was allowed to stir at room temperature for 3 hours, then was concentrated in vacuo. The residue was dissolved in acetonitrile (120mL) and water (120mL) was added. The mixture was extracted with n-heptane (2 x 150mL) and the combined organic phases were washed with MeOH/2.5% aq. Citric acid (2:1 , 2 x 120mL), MeOH/5% aq. NaHCO3 (5:1, 3 x 120mL), MeOH/water (5:1, 3 x 120mL), water (100mL), brine (100mL), and dried (NazSO^. Filtration and concentration in vacuo gave crude CICL-228 as a pale-yellow oil which was dissolved in acetonitrile (10mL) and purified by reverse phase HPLC (XB-phenyl column 19x250mm, 5pM; Mobile Phase A: water/0.1 % TFA; Mobile Phase B: CH3CN; flow rate 20mL/min; Gradient 50% B to 90% B in 18 minutes, hold at 90% for 8 minutes; Wave Length 200nM). Qualified fractions were concentrated in vacuo, to remove CH3CN, and the pH of the aq. Residue was adjusted to 8.0 with 5% aq. NaHCOs. The aq. Phase was extracted with n-heptane (2 x 100mL) and the combined organic phases were washed with MeOH/water (5:1, 3 x 120mL), brine (120mL), water (120mL) and dried (NazSO^. Filtration and concentration in vacuo gave CICL-228 (1 .35g, 1 ,35mmol, 99% purity by HPLC, 42% yield) as a clear, colorless, oil.
[00610]1H-NMR (400MHz, CDCI3): δ = 4.22 (m, 2H), 4.05-4.20 (12H), 2.52-2.66 (5H), 2.39-2.49 (6H), 2.25-2.35 (14H), 1.60 (m, 8H), 1.21-1.35 (40H), 0.88 (t, J = 6.8Hz, 12H); LCMS: RT 2.302, Calcd. for C55H99NO14 + H+: 998.71 , Found 998.60.
Example 10: Synthesis of 2-(3-(tert-butoxy)-3-oxopropyl)propane-1,3-diyl dinonanoate
[00611] To a solution of 8 (Org. Biomol. Chem. 2022, 20, 2424; 7.00g, 34.27mmol), in acetonitrile (280mL) under nitrogen at room temperature, was added nonanoic acid (11.93g, 75.39mmol), followed by the addition of DMAP (4.22g, 34.54mmol) and EDC-HCI (14.50g, 76.04mol). The mixture was stirred for 18 hours at room temperature, then concentrated in vacuo. The residue was dissolved in n-heptane (200mL), washed with MeOH/water (10:1 , 200mL) and concentrated in vacuo. Crude 9 was dissolved in CH3CN (10mL), purified by preparative reverse phase HPLC (XB-phenyl column 19x250mm, 5pM; Mobile Phase A: water/0.1 % TFA; Mobile Phase B: CH3CN; flow rate 20mL/min; Gradient 50% B to 90% B in 18 minutes; Wave Length 200nM). Qualified fractions were concentrated in vacuo, to remove CH3CN, and the pH of the aq. residue was adjusted to 10.0 with 2% aq. NazCOa. The aq. phase was extracted with n-heptane (3 x 500mL) and the combined organic phases were dried (NazSO4). Filtration and concentration in vacuo gave 9 (9.00g, 18.57mmol, 96% purity by HPLC, 54% yield) as a clear, colorless, oil.
[00612]1H-NMR (300MHz, CDCI3): δ = 4.09 (m, 4H), 2.30-2.35 (6H), 2.04 (m, 1H), 1.55-1 .75 (6H), 1 .45 (s, 9H), 1.20-1.37 (20H), 0.90 (t, J = 6.9Hz, 6H); LCMS: RT 1.725, Calcd. for C28H52O6 + Na+: 507.37. Found 507.40.
Example 11 : Synthesis of 5-(nonanoyloxy)-4-((nonanoyloxy)methyl)pentanoic acid (10)
[00613] To a solution of 9 (8.20g, 16.92mmol) in dichloromethane (132mL), at room temperature under nitrogen, was added TFA (32.8mL, 48.84g, 428mmol) over a period of 20 minutes. The resulting solution was allowed to stir for 2 hours at room temperature, then was concentrated in vacuo. The resulting residue was dissolved in n-heptane (400mL), washed with brine (100mL), water (100mL), and the organic phase was dried over Na2SC>4. Filtration and concentration in vacuo afforded 10 (6.80g, 15.86mmol, 93% purity by HPLC, 94% yield) as a pale-yellow oil.
[00614]1H-NMR (300MHz, CDCI3): δ = 4.09 (d, J = 5.4Hz, 4H), 2.48 (t, J = 7.8Hz, 2H), 2.33 (t, J = 7.5Hz, 4H), 2.09 (m, 1 H), 1.77 (m, 2H), 1.63 (m, 4H), 1.20-1.41 (20H), 0.89 (t, J = 6.9Hz, 6H); LCMS: RT 1.575, Calcd. for C24H44O6 + Na+: 451.30. Found 451.20.
Example 12: Synthesis of (((2-((benzyloxy)carbonyl)-2-methylpropane-1,3- diyl)bis(oxy))bis(3-oxopropane-3,1-diyl))bis(propane-2,1,3-triyl) tetranonanoate (12)
[00615] To a solution of 11 (J. Am. Chem. Soc. 2011, 133, 20288, 1 .70g, 7.58mmol) in acetonitrile (280mL) under nitrogen at room temperature, was added 10 (6.80g, 15.86mmol), followed by the addition of DMAP (40.93g, 7.61 mmol) and EDC-HCI (3.35g, 17.56mol). The mixture was stirred for 18 hours at room temperature, then extracted with n-heptane (2 x 300mL). The n-heptane phase was washed with MeOH/water (4:1 , 2 x 80mL), brine (100mL), water (2 x 80mL), and dried (NazSO^. After the removal of the NazSCXi by filtration, silica gel (15g, type: ZCX-2, 200-300 mesh) was added to the filtrate. The solvent was removed in vacuo and the impregnated silica gel was placed atop a combi-flash column of silica gel (120g, type: ZCX-2, 100-200 mesh). The column was eluted with a gradient of n-heptane:ethyl acetate from 100:0 to 90:10. Qualified fractions were combined and concentrated in vacuo to provide 12 (6.50g, 6.22mmol, 93% purity by HPLC, 82% yield) as a pale yellow oil.
[00616]1H-NMR (400MHz, CDCI3): δ = 7.30-7.42 (5H), 5.20 (s, 2H), 4.26 (s, 4H), 4.00- 4.16 (8H), 2.24-2.40 (12H), 2.10 (m, 2H), 1.54-1.75 (15H), 1.20-1.39 (40H), 0.90 (m, 12H); LCMS: RT 2.034, Calcd. for C60H100O14 + Na+: 1067.70. Found 1067.60.
Example 13: Synthesis of 2-methyl-3-((5-(nonanoyloxy)-4-
((nonanoyloxy)methyl)pentanoyl)oxy)-2-(((5-(nonanoyloxy)-4- ((nonanoyloxy)methyl)pentanoyl)oxy)methyl)propanoic acid (13)
[00617] A solution of 12 (6.50g, 6.22mmol) in THF (130mL) was sparged with nitrogen then was placed in a pressure tank reactor. To this solution was added 10% Pd/C (1 .30g) and the reactor was placed under hydrogen (50psi). The mixture was stirred under hydrogen pressure for 3 hours, the pressure was released and the mixture was filtered through a pad of Celite®, the filter cake was rinsed with THF (2 x 50mL) and the combined filtrates were concentrated in vacuo to yield 13 (5.10g, 94% purity by HPLC, 86% yield) as a pale-yellow oil. [00618]1H-NMR (300MHz, CDCI3): δ = 4.27 (m, 4H), 4.09 (m, 8H), 3.77 (m, 2H), 2.44 (t, J = 7.5Hz, 4H), 2.32 (m, 8H), 2.05 (m, 2H), 1.88 (m, 2H), 1.52-1.76 (12H), 1.20-1.37 (40H), 0.89 (t, J = 6.9Hz, 12H); LCMS: RT 1.861, Calcd. for C53H94O14 + Na+: 977.65, Found 977.60.
Example 14: Synthesis of (((2-((2-(dimethylamino)ethoxy)carbonyl)-2-methylpropane- 1,3-diyl)bis(oxy))bis(3-oxopropane-3,1-diyl))bis(propane-2,1,3-triyl) tetranonanoate
[00619] To a solution of 13 (4.00g, 4.19mmol) in THF (200mL), at room temperature under nitrogen, was added in order: HATU (2.39g, 6.29mmol), DMAP (0.52g, 4.26mmol) and dimethylaminomethanol (0.56g, 6.28mmol). The mixture was stirred for 18 hours at room temperature, then diluted with n-heptane (400mL). The solution was washed with brine (3 x 200mL), MeOH/water (4:1 , 2 x 200mL), brine (200mL), and dried (NazSCXi). Filtration and +concentration in vacuo afforded crude CICL-229 which was dissolved with acetonitrile (15mL) and purified by reverse phase HPLC (Xselect CSG-C18 column 19x250mm, 5pM; Mobile Phase A: water/0.1 % TFA; Mobile Phase B: CH3CN; flow rate 50mL/min; Gradient 70% B to 90% B in 20 minutes; Wave Length 200nM). Qualified fractions were concentrated in vacuo, to remove CH3CN, and the pH of the aq. Residue was adjusted to 8.0 with 5% aq. NaHCOs. The aq. Phase was extracted with n-heptane (200mL) and the organic phase was washed with MeOH/water (4:1, 2 x 100mL), water (200mL) and dried (Na2SO4). Filtration and concentration in vacuo gave CICL-229 (1 ,70g, 1 ,66mmol, 96% purity by HPLC, 40% yield) as a clear, colorless, oil.
[00620]
1H-NMR (400MHz, CDCI3): δ = 4.17-4.28 (6H), 4.07 (m, 8H), 2.56 (m, 2H), 2.41 (m, 4H), 2.22-2.34 (14H), 2.02 (m, 2H), 1.57-1.75 (12H), 1.20-1.38 (43H), 0.89 (m, 12H); LCMS: RT 1.608, Calcd. for C57H103NO14 + H
+: 1026.75, Found 1206.70. Example 15: Synthesis of (((3-((3-(Dimethylamino)propanoyl)oxy)pentane-1,5- diyl)bis(oxy))bis(2-oxoethane-2,1 -diyl))bis(propane-2,1 ,3-triyl) tetranonanoate (CICL-233)
[00621] Acid 2 can react (EDC-HCI, DMAP, Et
3N in CH
2CI
2, THF, or CH
3CN) with monoprotected triol 14 (Tetrahedron 1987m 43, 45) to give THP-ether 15. Deprotection of 15 with, for example PPTS in MeOH or HCI in MeOH, gives alcohol 16. The reaction of alcohol 16 with 3-dimethylamino propanoic acid, in the presence of EDC-HCI, DMAP and Et
3N in CH
2CI
2, THF, or CH
3CN, then provides CICL-233. Example 16: (((3-(3-(Dimethylamino)propanamido)pentane-1,5-diyl)bis(oxy))bis(2- oxoethane-2,1-diyl))bis(propane-2,1,3-triyl) tetranonanoate (CICL-234)
[00622] Acid 2 can react (EDC-HCI, DMAP, Et3N in CH2CI2, THF, or CH3CN) with BOC- protected amino diol 17 (Org. Proc. Res. Dev. 2009, 13, 428) to give BOC-protected amine 18. Deprotection of 18 with CF3CO2H in CH2CI2 or toluene then provides the ammonium trifluoroacetate salt 19. The coupling of 19 with 3-dimethylamino propionic acid (EDC-HCI, DMAP, Et3N) then gives CICL-234.
Example 17: Synthesis of (((3-(3-(Dimethylamino)-N-methylpropanamido)pentane-1,5- diyl)bis(oxy))bis(2-oxoethane-2,1-diyl))bis(propane-2,1,3-triyl) tetranonanoate (CICL- 235)
[00623] The reaction of dimethyl-3-oxopentanedioate 20 with N-methyl benzyl amine in methanol (Synthesis 2011, 2781) gives enamine 21. The reduction of 21 with borane-f- butylamine complex (Org. Proc. Res. Dev. 2009, 13, 478) provides amine 22A which leads to amino diol 22B after reduction with IJAIH4 in THF or diethyl ether. Hydrogenolysis (H2, Pd/C) of 22B in the presence of BOC-anhydride then affords N-protected amino diol 23. The coupling of 23 with acid 2 (EDC-HCI, DMAP, Et3N in CH2CI2, THF, or CH3CN) provides BOC-protected amine 24 which yields the ammonium trifluoroacete salt 25 after BOC removal (CF3CO2H in CH2CI2 or toluene). Amine salt 25 is then coupled (EDC-HCI, DMAP, Et3N in CH2CI2, THF, or CH3CN) with 3-dimethylamino propionic acid to give CICL-235.
Example 18. Synthesis of (((((tert-Butoxycarbonyl)azanediyl)bis(ethane-2,1- diyl))bis(oxy))bis(2-oxoethane-2,1 -diyl))bis(propane-2,1 ,3-triy I) tetranonanoate (26)
[00624] To a solution of N-BOC-diethanolamine (CombiBlocks #QB-8577, 33.60g, 0.164mol) and 2 (142.80g, 0.344mol) in CH2CI2 (1 .0L), at room temperature under nitrogen, was added in order EDC-HCI (78.70g, 0.41 Omol) and DMAP (20.00g, 0.164mol). The resulting solution was stirred for 16 hours at room temperature, then was cast into water (1.20L). The organic phase was separated, washed with water (1 .20L) and dried over MgSO4. Filtration and concentration in vacuo afforded crude 26 as a yellow oil which was dissolved in CH2CI2 (500mL) and silica gel (350g, Type ZCX-2, 100-200mesh) was added. Concentration in vacuo gave silica gel impregnated with crude 26 which was placed atop a column of silica gel (2.10kg, type ZCX-2, 100-200mesh) packed with n-heptane and eluted with a gradient of n- heptane/THF (100:0 to 95:5). Qualified fractions were pooled and concentrated in vacuo to provide 26 (143.50g, 0.144mol, 88% yield, 96% purity by HPLC) as a pale-yellow oil.
[00625]1H-NMR (400MHz, CDCI3): δ = 4.06-4.25 (12H), 3.50 (m, 4H), 2.57 (m, 2H), 4.44 (m, 4H), 2.31 (t, J = 7.2Hz, 8H), 1.58-1.67 (8H),1.49 (s, 9H), 1.21-1.40 (40H), 0.89 (t, J = 7.0Hz, 12H); LCMS: RT 2.109, Calcd. for C55H99NO14 + Na+ 1020.70. Found 1021.0.
Example 19. Synthesis of bis(2-((4-(Nonanoyloxy)-3- ((nonanoyloxy)methyl)butanoyl)oxy)ethyl)ammonium trifluoroacetate (27)
[00626] To a solution of 26 (143.0g, 137mmol) in CH2CI2 (900mL), at room temperature under nitrogen, was added trifluoroacetic acid (286mL, 426g, 3.73mol) over a period of 1 hour. The mixture was stirred at room temperature for 5 hours after the addition was complete, then was cast into 10% aq. K2HPO4 (1 .43L). The organic phase was separated, washed with water (2x700mL) and dried over anhydrous MgSO4. Filtration and concentration in vacuo provided 27 (120.60g, 119mmol, 89% HPLC purity) as a viscous yellow oil.
[00627]1H-NMR (400MHz, CDCI3): δ = 4.48 (m, 4H), 4.19 (m, 4H), 4.11 (m, 4H), 3.46 (m, 4H), 2.55 (m, 2H), 2.42 (m, 4H), 2.32 (m, 8H), 1.58-1.66 (8H), 1.21-1.39 (40H), 0.90 (m, 12H); LCMS: RT 1.349, Calcd. for C50H92NO12 898.66. Found 899.0.
Example 20. Synthesis of (((((1H-lmidazole-1-carbonyl)azanediyl)bis(ethane-2,1- diyl))bis(oxy))bis(2-oxoethane-2,1 -diyl))bis(propane-2,1 ,3-triy I) tetranonanoate (28)
[00628] To a solution of 27 (130.00g, 120mmol) in CH2CI2 (1.30L), at room temperature under nitrogen, was added in order carbonyldiimidazole (79.80g, 493mmol) and EtaN (24.90g, 246mmol). The resulting solution was allowed to stir for 14 hours at room temperature, then the mixture was cast into 0.8M aq. HCI (1,30L). The organic phase was separated, the aqueous phase was extracted with CH2CI2 (1.30L), and the combined organic phases were concentrated in vacuo. Crude 28 was dissolved in n-heptane (1.30L), washed with MeOH/FW (5:1, 2x650mL), brine (650mL), and dried (MgSO4). Filtration and concentration in vacuo afforded 28 (122.00g, 83% HPLC purity, 83% yield) as a yellow oil.
[00629]1H-NMR (400MHz, CDCI3): δ = 7.97 (s, 1H), 7.30 (s, 1H), 7.13 (s, 1H), 4.32 (m, 4H), 4.11 (m, 8H), 3.76 (m, 4H), 2.54 (m, 2H), 2.41 (m, 4H), 1.21-1.40 (40H), 0.88 (t, J = 6.7Hz, 12H); LCMS: RT 1.397, Calcd. for C54H93N3O13 + H+ 992.68. Found 993.00.
Example 21. Synthesis of (((((((2-(dimethylamino)ethyl)thio)carbonyl)- azanediyl)bis(ethane-2,1 -diyl))bis(oxy))bis(2-oxoethane-2,1 -diyl))bis(propane-2,1 ,3- triyl) tetranonanoate (CICL-208)
[00630] To a solution of 28 (6.00g, 6.06mmol) in CH2CI2 (120mL), cooled in an icewater bath under nitrogen, was added methyl trifluoromethanesulfonate (1.04g, 6.34mmol) over a period of 5 minutes. The mixture was allowed to stir for 1 hour after the addition was complete, then MesN (2M in THF, 9.06mL) was added over a period of 10 minutes, followed by the addition of 2-(dimethylamino)ethane-1 -thiol hydrochloride (1.11g, 7.84mmol) in one portion. The resulting solution was allowed to stir for 1 hour at 0°C after the addition was complete, then was warmed to room temperature and was stirred for an additional 3 hours. The mixture was extracted with a mixture of10% aq. Citric acid (60mL) and 10% aq. NaCI (60mL), twice with a mixture of 5% aq. NaHCO3 (60mL) and 10% aq. NaCI ml (60mL), and 10% aq. NaCI (60mL). The organic phase was separated and concentrated in vacuo to give crude CICL-208 as a yellow oil. Crude CICL-208 was dissolved in CH2CI2 (50 mL) and neutral alumina (25g) was added, concentration in vacuo afforded neutral alumina impregnated with CICL-208. This alumina was placed atop a column of neutral alumina (250g) which was eluted with a gradient of CHzCh/MeOH (100:0 to 90:10). Qualified fractions were combined and concentrated in vacuo and the residue was dissolved in n-heptane (100mL), filtered through a Millipore filter and concentrated in vacuo to yield CICL-208 (3.11g, 3.03mmol, 50% yield, 99.5% HPLC purity) as a pale-yellow oil.
[00631]1H-NMR (400MHz, CDCI3): δ =4.26 (m, 4H), 4.11 (m, 8H), 3.68 (m, 4H), 3.08 (m, 2H), 2.57 (m, 4H), 2.43 (m, 4H), 2.10-2.37 (14H), 1.62 (m, 8H), 1.21-1.40 (40H), 0.89 (t, J = 6.8Hz, 12H); LCMS: RT 7.650, Calcd. for C55H100N2O13S + H+ 1029.70. Found 1030.10.
Example 22. In Vitro and In Vivo Delivery of mRNA by tLNP Incorporating CICL-227, - 228, or -229 as the Ionizable Cationic Lipid
[00632] To assess the ability of a ionizable cationic lipids to facilitate in vivo transfection of T cells with mRNA, tLNP incorporating CICL-227, CICL -228, or CICL -229 or for comparison, CICL-1 , and conjugated to an anti-mouse CD5 antibody were prepared and administered to C57BL/6 mice. The tLNP comprised one of the ionizable cationic lipids, DSPC, cholesterol, DSG-PEG(2000), and DSPE-PEG(2000)-maleimide in the proportions indicated in Table 3 (below) and an N/P ratio of 6. CICL-1 has the structure:
[00633] Briefly, to prepare the tLNP, N1-methylpseudouridine (mlip)-substituted mCherry mRNA was encapsulated in LNP using a self-assembly process in which an aqueous solution of mRNA at pH = 3.5 is rapidly mixed with a solution of lipids dissolved in ethanol, then followed by stepwise phosphate and Tris buffer dilution and tangential flow filtration (TFF) purification. Then an anti-CD5 mAb was conjugated to the above LNP to generate tLNP. Purified rat anti-mouse CD5 antibody, clone 53-7.3 (BioLegend), was coupled to LNP via N- succinimidyl S-acetylthioacetate (SATA)-maleimide conjugation chemistry. Briefly, LNPs with DSPE-PEG(2000)-maleimide incorporated were formulated and stored at 4°C on the day of conjugation. The antibody was modified with SATA (Sigma-Aldrich) to introduce sulfhydryl groups at accessible lysine residues allowing conjugation to maleimide. SATA was deprotected using 0.5 M hydroxylamine followed by removal of the unreacted components by G-25 Sephadex Quick Spin Protein columns (Roche Applied Science, Indianapolis, IN). The reactive sulfhydryl group on the antibody was then conjugated to maleimide moieties on the LNPs using thioether conjugation chemistry. Purification was performed using Sepharose CL- 4B gel filtration columns (Sigma-Aldrich). tLNPs (LNPs conjugated with a targeting antibody) were frozen at -80°C. More extensive information about the formation and formulation of tLNPs can be found in provisional US patent application 63/595,201
[00634] The particle size (hydrodynamic diameter) and polydispersity index of the targeted lipid nanoparticles were determined using dynamic light scattering (DLS) on a Malvern Zetasizer Nano ZS (Malvern Instruments, Worcestershire, UK). Size measurement was carried out in pH 7.4 Tris buffer at 25°C in disposable capillary cells. A non-invasive back scatter system (NIBS) with a scattering angle of 173° was used for size measurements. mRNA content was determined using a Quant-iT™ RiboGreen RNA assay kit (Invitrogen™). Encapsulation efficiency was calculated by determining the unencapsulated mRNA content by measuring the fluorescence intensity (Fi) upon the addition of RiboGreen® reagent to the LNP and comparing this value to the total fluorescence intensity (Ft) of the RNA content that is obtained upon lysis of the LNPs by 1% Triton X-100, where % encapsulation = (Ft - Fi)/Ft x 100). After conjugation, tLNP antibody to mRNA weight ratio (binder density) was determined with the BOA (bicinchoninic acid) total protein assay and Ribogreen® assay of mRNA content.
Table 3. Physicochemical properties of the tLNP
[00635] As seen in Table 3, all of these tLNP compositions had hydrodynamic diameters and polydispersity indices within the acceptable ranges of 50-150 nm and £0.2 for PDL Encapsulation efficiency is acceptable at £80% although £85% and £90% are preferred. Binder density (Ab:mRNA ratio (wt:wt)) is acceptable at ratios of 0.3 to 1.0.
[00636] The ability of the tLNPs to transfect mouse T cells in vitro was assessed. Mouse
T cells were isolated using an EASYSEP™ Mouse T cell isolation kit (StemCell). To transfect, tLNPs containing 0.6pg of mRNA were added to 2E5 T cells in 100pL of media in 96-well U- bottom plates and incubated at 37°C for 1 hour. The cells were then washed and incubated for a day. mCherry expression was then assessed by flow cytometry. CICL-227 containing tLNP achieved a similar transfection rate (% positive cells) and expression level (mean fluorescence intensity (MFI)) as those containing the comparator ionizable cationic lipid, CICL- 1, while CICL-228 and CICL-229 mediated only minimal transfection and expression (Figure 1A).
[00637] The ability of the CD5-targeted tLNPs to preferentially transfect mouse T cells in vivo was also assessed upon intravenous administration to C57BL/6 mice. The mice were administered tLNPs containing 10 pg of mRNA by tail vein injection, spleen and liver were harvested24 hours later, and mCherry expression analyzed by flow cytometry. Similar to the results in vitro, CICL-227 containing tLNP achieved a similar transfection rate (% positive cells) and expression level (Molecules of Equivalent Soluble Fluorochrome (MESF)) in splenic T cells as those containing the comparator ionizable cationic lipid, CICL-1, while CICL-228 and CICL-229 mediated much reduced only and minimal transfection and expression, respectively (Figure 1 B). Transfection and expression by liver cells was also assessed as it is common for LNP preparations to deliver their cargo there. Transfection rates were less than 4% for tLNP comprising each of the lipids in CD45' liver cells (primarily hepatocytes) (Figure 1C) and less than 10% in CD45+/CD11+ liver cells (Kupffer cells; Figure 1 D) which are generally acceptable levels for therapeutic use. The poor performance of tLNPs incorporating CICL-228 and CICL- 229 is consistent with their low measured pKa’s as is the good overall performance of CICL- 227 with is more basic measured pKa.
Example 23. Tuning pKa of CICL-227, CICL-228, and CICL-229
[00638] The measured pKa’s of tLNP incorporating CICL-228 and CICL-229 was lower than is desirable (Table 4) while that of CICL-227 was somewhat higher (Table 4) than the expected optimum around 6.6. Analogues of these lipids were designed having more or less basic c-pKa, as appropriate, by replacing the dimethyl amine head group Y with other head groups Y of Formula M1 (Table 5). These compounds are named by appending a unique number associated with the head group to the name of the compound with a dimethyl amine head group. Additionally, the number of main chain atoms between the basic N in the head group and the carbonyl at position A6 (CICL-227 and CICL-228) or A5 (CICL-229) has been altered in some of the modified structures (Table 5). Measured pKa in the tLNP incorporating these analogues of CICL-228 and CICL-229 will be more basic, improving the performance of tLNP. Analogues of CICL-227 lowering the measured pKa in the tLNPs to around 6.6 will improve their performance as well. Table 4 summarizes properties of these three lipids before modification.
Table 4. Physicochemical properties of the of CICL-227, CICL-228 and CICL-229
 Table 5. Modifications of CICL-227, CICL-228 and CICL-229 Modulating pKa
[00639] Analysis of lipids with respect to the nature of the basic head groups Y is advantageous in order to predict the combinations of A5, A6, A7, A8, and Y to move the resulting lipids toward the center of the target measured pKa range (6-7). Lipid CICL-227, with A5 = NH, A6 = C=O, A7 = O, A8= (CH2)2, and Y = N(CH3)2 has a calculated pka (c-pKa) of 8.31 and a measured pKa in LNP formulation of 6.97. Alterations of the nature of A7, A8, and Y are designed to maintain or lower measured pKa toward the mid-point of the pH = 6-7 range. Maintenance requires a c-pKa of ca. 8.30 and lowering requires a lower c-pKa, ca. 7.5 - 8.0. Lipid CICL-228, with A5 = CH2, A8 = C=O, A7 = O, A8 = (CH2)2, and Y = N(CH3)2 has a c-pKa = 8.23 and a measured pKa = 6.04. With alterations of A7, A8, and Y designed to maintain or raise basicity (measured pKa). Maintenance requires a c-pKa of ca. 8.2, and increased basicity requires a higher c-pKa of ca. 8.3 - 9.0. Lipid CICL-229 with A5 = C=O, A6 = O, A7 = (CH2)2, A8 = (CH2)O, Y = N(CH3)2 has a c-pKa = 8.17 and a measured pKa = 5.75. Alterations of A6, A7, and Y must raise c-pKa to achieve a measured pKa at the mid-point of the target measured pKa = 6-7 range. Increased measured basicity needs a c-pKa of ca. 8.6 - 9.5.
[00640] Utilizing the chemistry of Examples 6, 9, and 14, the lipid precursors 5, 7, and 13 are reacted with head group precursors to generate lipids with measured pKa’s in the target range (6-7). The combination of acylimidazole 5 with a subset of basic head groups 46-71, utilizing the chemistry of Example 6, will result in lipids wherein the measured pKa will be maintained or reduced toward the mid-point of the target pKa range (6-7). The basic head groups selected for combination with 5 are 49, 50, 52, 53, 59, 63, 64, 67, and 71. The resulting lipid structures are shown in Table 6.
[00641] In the case of lipid CICL-228, wherein the combination of selected basic head groups from the subset of 46-71 with acid 7, using the chemistry of Example 9 will result in lipids wherein the measured pKa will be maintained or reduced toward the mid-point of the target pKa range (6-7). The basic head groups picked for combination with acid 7 are: 47, 54, 57, 60, and 68. Lipid structures appear in Table 6.
[00642] Lipid CICL-229, with a measured pKa in formulation of 5.75, requires an increase in calculated basicity in order to realize a measured basicity (pKa) at the mid-point of the target pKa range (6-7). The basic head groups selected for combination with acid 13, using the chemistry of Example14, to achieve this end are: 47, 55, 58, 68, and 70. The structures of these lipids are shown in Table 6.
[00643] Table 6: Lipids Formed from the Combination of Lipid Precursors 5, 7, and 13 with Basic Head Groups 46-71 to afford Lipids within the Target Measured pKa Range (6-7)
[00644] Utilizing the chemistry of Examples 6, 9, and 14, the lipid precursors 5, 7, and 13 are reacted with alcohols 29-45 to create the congeners having the various cyclic head groups on each of the cores described above. Given a desired range of measured pKa of from 6-7, a restriction of the range of calculated pKa (c-pKa) is needed to achieve that target measured pKa range. Given the measured pKa values associated with lipids CICL-227 (6.97), CICL-228 (6.04), and CICL-229 (5.75), a different set of alcohols from the grouping 29-45 is selected as illustrative examples, to furnish lipids after coupling with 5, 7, and 13, which will result in measured pKa values within the target range of ca. 6-7. The data of Table 4 presents c-pKa data for lipids CICL-227, -228, -229 which are 8.31, 8.23, and 8.17 respectively. The nature of lipid core structures associated with CICL-227, CICL-228, and CICL-229 has a very small impact on calculated basicity for the constant basic head group derived from N,N- di methylaminoethanol. This suggests that the c-pKa data presented in Table 8 should serve as the predictor for the calculated pKa for lipids formed from lipid precursors 5, 7, and 13 with alcohols 29-45.
[00645] The measured pKa of lipid CICL-227 (6.97) is associated with a lipid of c-pKa (Table 4) of 8.31. Cyclic head groups of similar or lesser basicity than that utilized in CICL-227 are needed to result in a measured pKa in the 6-7 range. Alcohols 29, 35, and 40, with a c- pKa range of ca. 8.0-8.4 (Table 8), are chosen for combination with acylimidazolide 5, to lead to lipids CICL-227-29, CICL-227-35, and CICL-227-40; these structures are shown in Table 7. The measured pKa of lipid CICL-228 (6.04) allows the combination of acid 7 with alcohols which will lead to a c-pKa greater than 8.23 (Table 4, vide supra) in order to attain the desired measured pKa range of 6-7 (that is, alcohols conferring similar or greater basicity). The combination of acid 7 with cyclic head group alcohols 29, 30, 31 , 33, 34, 35, 36, 37, 41 , and 43 (c-pKa range from Table 8 of 8.4-9.3) achieves this end. This leads to lipids CICL-228-29, CICL-228-30, CICL-228-31, CICL-228-33, CICL-228-34, CICL-228-35, CICL-228-36, CICL- 228-37, CICL-228-41, and CICL-228-43 as presented in Table 7. Lipid CICL-229, with a measured pKa in formulation of 5.75 (Table 4, c-pKa = 8.17) must be associated with more basic cyclic head group alcohols to achieve the target measured pKa range of 6-7. The connection of acid 13 with alcohols 31, 32, 33, 34, 36, 37, 41, 43, and 44 (c-pKa range from Table 8 is 8.75-9.50) results in lipids CICL-229-31 , CICL-229-32, CICL-229-33, CICL-229-34, CICL-229-36, CICL-229-37, CICL-229-41, CICL-229-43, and CICL-229-44 as illustrated in Table 7.
[00646] Table 7: Lipids Formed from the Combination of Lipid Precursors 5, 7, and 13 with Alcohols Mentioned Immediately Above, to afford Lipids within the Target Measured pKa Range (6-7)
Example 24: (((((((1 -Methylazetidin-3-yl)oxy)carbonyl)azanediyl)bis(ethane-2,1 - diyl))bis(oxy))bis(2-oxoethane-2,1 -diyl))bis(propane-2,1 ,3-triyl) tetranonanoate: CICL-1 - 29
[00647] Acyl imidazol ide 28, when reacted with MeOTf provides an activated acylimidazolium species. The reaction of the activated acylimidazolium species with alcohol 29 (CombiBlocks # JL-5330), in the presence of triethyl amine leads to CICL-1-29.
[00648] The numbering paradigm utilized for this compound and further congeners is based on an ionizable cationic lipid described previously (US2023/0320995) that was generated from an acylimidazolide, in this case 28, when it was reacted with 2-dimethylaminoethanol to form CICL-1 with the number associated with the head group-forming alcohol appended, in this case 29.
[00649] The utilization of the chemistry described in Example 21 above to generate the active imidazolium species, would enable the synthesis of a selection of lipids containing cyclic head groups by substitution of the alcohol 29 (vide supra) with the alcohols appearing in Table 8.
[00650] Table 8: Substitution of Alcohol 29 with Alcohols 30-45 to Prepare Lipids CICL- 1-29 to CICL-1 -45
 [00651] As a predictor of c-pKa for the desired measured pKa outcome, Table 9 presents a subset of the definitions of A
6, A
7, A
8, and Y, as defined for formula M1 , that can be utilized for the construction of lipids otherwise similar in structure to CICL-1 and having a measured pKa targeted to the range of 6-7. The basic head groups are represented by structures 46-71. The c-pKa of CICL-1 = 8.47 and the measured pKa in formulation is 6.57, at the mid-point of the target measured pKa range of 6-7, thus the basic head groups represented by structures 47, 54, 57, 60, and 68 appear suited to maintain measured pKa near the midpoint of the targeted range.
[00652] Table 9. The Combination of the Core Structure of CICL-1 with Basic Head
[00653] Additional aspects of the disclosure are provided by the following enumerated embodiments, which can be combined in any number and in any combination not technically or logically inconsistent. This is not an exhaustive listing of the embodiments disclosed which include similar embodiments directed to difference species and genera than those exemplified her. Furthermore, it is to be understood that the embodiments of the invention disclosed herein are illustrative of the principles of the present invention. Other modifications that may be employed are within the scope of the invention. Thus, by way of example, but not of limitation, alternative configurations of the present invention may be utilized in accordance with the teachings herein. Accordingly, the present invention is not limited to that precisely as shown and enumerated below
Embodiment 1. An ionizable cationic lipid having a structure of formula M1 ,
 wherein each R
1 is independently selected from a C7-C11 alkyl or a C7-C11 alkenyl,
A1 is CH2 or CH2CH2,
A3 is O,
A4 is CH2CH2, or A4 is CH2, wherein A4 is not CH2 if X is N,
X is N, CH, or C-CH3,
A5 is CH2, C=O, NH, NCH3, or O,
A6 is O, S, NH, or NCH3 if A5 is C=O, or A6 is C=O if A5 is not C=O,
A7 is (CH2)O.4, O, S, NH, NCH3,
A
8 is (CH
2)o-4, wherein if A
7 is O, S, NH, NCH3, A
8 is (CH
2)
2-4, and
187  wherein Z is a bond; and wherein A7 and A8 are not both (CH2)o unless A6 is C=O.
Embodiment 2. The ionizable cationic lipid of embodiment 1 , wherein when A1 and A4 are CH2, then X is CH, A5 is CH2, NH, NCH3, or O, A® is C=O, A7 is O, S, NH, NCH3, or (CH2)O-4, and A8 is (CH2)CM, wherein if A7 is O, NH, or NCH3, A8 is (CH2)2-4, or when A1 is CH2 and A4 is CH2 or CH2CH2, X is CH and A7 is S, then A5 is NH, or NCH3, A6 is C=O, and A8 is (CH2)2-4, or when A1 is CH2, A4 is CH2CH2, and X is CH, then A5 is NH, NCH3, or O, A6 is C=O, A7 is (CH2)I-4, and A8 is (CH2)M, or when A1 is CH2, A4 is CH2CH2, and X is N, then A5 is C=O, A® is O or S, A7 is (CH2)O.
4, and A8 is (CH2)M, wherein A6 is not bonded directly to a nitrogen, or when A1 is CH2CH2, then A4 is CH2, X is C-CH3, A5 is C=O, A® is O, NH, or NCH3, A7 is (CH2)Q-4, and A8 is (CH2)o-4, wherein A® is not bonded directly to a nitrogen.
Embodiment 3. An ionizable cationic lipid of formula M1-1 ,
 wherein each R
1 is individually selected from a C7-C11 alkyl or a C7-C11 alkenyl,
A1 is CH2 or CH2CH2,
A3 is O,
A4 is CH2 or CH2CH2, wherein A4 is not CH2 if X is N,
X is N, CH or C-CH3,
A5 is CH2, C=O, NH, NCH3, or O,
A® is O, S, NH, NCH
3, or C=O,  A
7 is O, S, NH, NCH
3, or CH
2,
 wherein Z is a bond; and wherein when A
1 and A
4 are CH2, then X is CH, A
5 is CH2, NH, NCH3, or O, A
6 is C=O, A
7 is O, S, NH, or NCH
3, and A
8 is CH
2CH
2; when A
1 is CH
2, A
4 is CH2CH2, and X is CH, then A
5 is NH, NCH
3, or O, A
8 is C=O, A
7 is CH2, and A
8 is CH
2; when A
1 is CH2, A
4 is CH2CH2, and X is N, then A
5 is C=O, A
6 is O, S, NH, or NCH3, A
7 is CH2, and A
8 is CH
2; or when A
1 is CH2CH2 then A
4 is CH
2, X is C-CH3, A
5 is C=O, A
8 is O, NH, or NCH
3, A
7 is CH
2, and A
8 is CH
2.
Embodiment 4. The ionizable cationic lipid of embodiment 3, wherein A1 and A4 are CH2, X is CH, A5 is CH2, NH, NCH3, or O, A8 is C=O, A7 is O, S, NH, or NCH3, and A8 is CH2CH2.
Embodiment 5. The ionizable cationic lipid of embodiment 3, wherein A1 is CH2, A4 is
CH2CH2, X is CH, A5 is NH, NCH3, or O, A8 is C=O, A7 is CH2, and A8 is CH2. Embodiment 6. The ionizable cationic lipid of embodiment 3, wherein A1 is CH2, A4 is CH2CH2, X is N, A5 is C=O, A6 is O, S, NH, or NCH3, A7 is CH2, and A8 is CH2.
Embodiment 7. The ionizable cationic lipid of embodiment 3, wherein A1 is CH2CH2, A4 is CH2, X is C-CH3, A5 is C=O, A6 is O, NH, or NCH3, A7 is CH2, and A8 is CH2.
Embodiment 8. An ionizable cationic lipid having a structure of formula M1-2,
 wherein each R
1 is independently selected from a C7-C11 alkyl or a C7-C11 alkenyl,
A1 is CH2 or CH2CH2,
A3 is O,
A4 is CH2 or CH2CH2,
X is CH or C-CH3,
A5 is CH2, C=O, NH, NCH3, or O,
A6 is O, NH, NCH3, or C=0,
A7 is O, S, NH, NCH3, or CH2,
A
8 is CH
2 or CH
2CH
2, wherein if A
7 is O, S, NH, NCH
3, A
8 is CH
2CH
2, and
 wherein Z is a bond; and wherein when A
1 and A
4 are CH2, then X is CH, A
5 is CH2, NH, NCH3, or O, A
6 is C=O, A
7 is O, S, NH, or NCH
3, and A
8 is CH
2CH
2; when A
1 is CH2, A
4 is CH2CH2, and X is CH, then A
5 is NH, NCH3, or O, A
6 is C=O, A
7 is CH2, and A
8 is CH2; and when A
1 is CH
2CH
2, then A
4 is CH
2, X is C-CH
3, A
5 is C=O, A
8 is O, NH, or NCH
3, A
7 is CH
2, and A
8 is CH
2.
Embodiment 9. The ionizable cationic lipid of embodiment 8, wherein A1 and A4 are CH2, X is CH, A5 is CH2, NH, NCH3, or O, A8 is C=O, A7 is O, S, NH, or NCH3, and A8 is CH2CH2.
Embodiment 10. The ionizable cationic lipid of embodiments, wherein A1 and A4 are CH2, X is CH, A5 is NH, A8 is C=O, A7 is O, and A8 is CH2CH2.
Embodiment 11 . The ionizable cationic lipid of embodiment 8, wherein A1 and A4 are CH2, X is CH, A5 is CH2, A8 is C=O, A7 is O, and A8 is CH2CH2.
Embodiment 12. The ionizable cationic lipid of embodiment 8, wherein A1 is CH2, A4 is CH2CH2, X is CH, A5 is NH, NCH3, or O, A8 is C=O, A7 is CH2, and A8 is CH2.
Embodiment 13. The ionizable cationic lipid of embodiment 8, wherein A1 is CH2, A4 is CH2CH2, X is CH, A5 is O, A8 is C=O, A7 is CH2, and A8 is CH2.
Embodiment 14. The ionizable cationic lipid of embodiment 8, wherein A1 is CH2, A4 is CH2CH2, X is CH, A5 is NH, A8 is C=O, A7 is CH2, and A8 is CH2.
Embodiment 15. The ionizable cationic lipid of embodiment 8, wherein A1 is CH2, A4 is CH2CH2, X is CH, A5 is NCH3, A8 is C=O, A7 is CH2, and A8 is CH2. Embodiment 15. The ionizable cationic lipid of embodiment 8, wherein A1 is CH2CH2, A4 is CH2, X is C-CH3, A5 is C=0, A6 is O, NH, or NCH3, A7 is CH2, and A8 is CH2.
Embodiment 17. The ionizable cationic lipid of embodiment 8, wherein A1 is CH2CH2, A4 is CH2, X is C-CH3, A5 is C=0, A6 is O, A7 is CH2, and A8 is CH2.
Embodiment 18. An ionizable cationic lipid having a structure of formula M1-3,
 wherein each R
1 is independently selected from a C7-C11 alkyl or a C7-C11 alkenyl,
A1 is CH2 or CH2CH2,
A3 is O,
A
4 is CH2CH2, or A
4 is CH2, wherein A
4 is not CH
2 if X is N,
 wherein Z is a bond; wherein A
7 and A
8 are not both (CHzJo unless A
6 is C=O; and wherein when A
1 and A
4 are CH2, then X is CH, A
5 is CH2, NH, NCH3, or O, A
6 is C=O, A
7 is O, S, NH, NCH3, or (CH
2)CM, and A
8 is (CH2)o-4, wherein if A
7 is O, NH, or NCH3, A
8 is (CH2)2-4, or when A
1 is CH2 and A
4 is CH2 or CH2CH2, X is CH and A
7 is S, then A
5 is NH, or NCH3, A
6 is C=O, and A
8 is (CH2)2-4, or when A
1 is CH
2, A
4 is CH2CH2, and X is CH, then A
5 is NH, NCH
3, or O, A
8 is C=O, A
7 is (CH2)I-4, and A
8 is (CH2)I-4, or when A
1 is CH2, A
4 is CH2CH2, and X is N, then A
5 is C=O, A
6 is S, A
7 is (CH2)CM, and A
8 is (CH2)O-4, wherein A
6 is not bonded directly to a nitrogen, or when A
1 is CH2CH2, then A
4 is CH
2, X is C-CH3, A
5 is C=O, A
8 is O, NH, or NCH
3, A
7 is (CH2)O-4, and A
8 is (CH2)o-4, wherein A
8 is not bonded directly to a nitrogen.
Embodiment 19. The ionizable cationic lipid of embodiment 18, wherein A1 and A4 are CH2, X is CH, A5 is CH2, NH, NCH3, or O, A8 is C=O, A7 is O, S, NH, NCH3, or (CH2)o-4, and A8 is (CH2)O-4, wherein if A7 is O, NH, or NCH3, A8 is (CH2)2^.
Embodiment 20. The ionizable cationic lipid of embodiment 18, wherein A1 and A4 are CH2, X is CH, A5 is NH, A8 is C=O, A7 is (CH2)o-4, and A8 is (CH2)o-4.
Embodiment 21. The ionizable cationic lipid of embodiment 18, wherein A1 and A4 are CH2, X is CH, A5 is CH2, NH, NCH3, or O, A8 is C=O, A7 is O, S, NH, or NCH3, and A8 is CH2CH2. Embodiment 22. The ionizable cationic lipid of embodiment 18, wherein A1 and A4 are CH2, X is CH, A5 is CH2, C=O, NH, NCH3, or O, A6 is C=O, A7 is O, NH, or NCH3, and A8 is CH2CH2.
Embodiment 23. The ionizable cationic lipid of embodiment 18, wherein A1 and A4 are CH2, X is CH, A5 is CH2, A6 is C=O, A7 is O, and A8 is CH2CH2.
Embodiment 24. The ionizable cationic lipid of embodiment 18, wherein A1 and A4 are CH2, X is CH, A5 is NH, A8 is C=O, A7 is (CH2)0.4, and A8 is (CH2)0.4.
Embodiments 25. The ionizable cationic lipid of embodiment 18, wherein A1 and A4 are CH2, X is CH, A5 is NH, A8 is C=O, A7 is O, and A8 is CH2CH2.
Embodiment 26. The ionizable cationic lipid of embodiment 18, wherein A1 is CH2 and A4 is CH2 or CH2CH2, X is CH and A7 is S, then A5 is NH, or NCH3, A8 is C=O, and A8 is (CH2)2.4.
Embodiment 27. The ionizable cationic lipid of embodiment 18, wherein A1 is CH2, A4 is CH2CH2, X is CH, A5 is NH, NCH3, or O, A8 is C=O, A7 is (CH2)I.4, and A8 is (CH2)M.
Embodiment 28. The ionizable cationic lipid of embodiment 18, wherein A1 is CH2, A4 is CH2CH2, X is CH, A5 is NH, NCH3, or O, A8 is C=O, A7 is CH2, and A8 is CH2.
Embodiment 29. The ionizable cationic lipid of embodiment 18, wherein A1 is CH2, A4 is CH2CH2, X is CH, A5 is NH, A8 is C=O, A7 is CH2, and A8 is CH2.
Embodiment 30. The ionizable cationic lipid of embodiment 18, wherein A1 is CH2, A4 is CH2CH2, X is CH, A5 is O, A8 is C=O, A7 is CH2, and A8 is CH2.
Embodiment 31 . The ionizable cationic lipid of embodiment 18, wherein A1 is CH2, A4 is CH2CH2, X is CH, A5 is NCH3, A8 is C=O, A7 is CH2, and A8 is CH2.
Embodiment 32. The ionizable cationic lipid of embodiment 18, wherein A1 is CH2, A4 is CH2CH2, X is N, A5 is C=O, A8 is S, A7 is (CH2)o-4, and A8 is (CH2)o-4, wherein A8 is not bonded directly to a nitrogen. Embodiment 33. The ionizable cationic lipid of embodiment 18, wherein A1 is CH2, A4 is CH2CH2, X is N, A5 is C=O, A6 is O or S, A7 is (CH2)o-4, and A8 is (CH2)o-4.
Embodiment 34. The ionizable cationic lipid of embodiment 18, wherein A1 is CH2, A4 is CH2CH2, X is N, A5 is C=O, A6 is S, A7 is (CH2)I-3, and A8 is (CH2)I-3.
Embodiment 35. The ionizable cationic lipid of embodiment 18, wherein A1 is CH2, A4 is CH2CH2, X is N, A5 is C=O, A8 is S, A7 is CH2, and A8 is CH2.
Embodiment 36. The ionizable cationic lipid of embodiment 18, wherein A1 is CH2CH2, A4 is CH2, X is C-CH3, A5 is C=O, A8 is O, NH, or NCH3, A7 is (CH2)CM, and A8 is (CH2)o-4, wherein A8 is not bonded directly to a nitrogen.
Embodiment 37. The ionizable cationic lipid of embodiment 18, wherein A1 is CH2CH2, A4 is CH2, X is C-CH3, A5 is C=O, A8 is O, NH, or NCH3, A7 is (CH2)I-4, and A8 is (CH2)I.4.
Embodiment 38. The ionizable cationic lipid of embodiment 18, wherein A1 is CH2CH2, A4 is CH2, X is C-CH3, A5 is C=O, A8 is O, NH, or NCH3, A7 is CH2, and A8 is CH2,
Embodiment 39. The ionizable cationic lipid of embodiment 18, wherein A1 is CH2CH2, A4 is CH2, X is C-CH3, A5 is C=O, A8 is O, A7 is CH2, and A8 is CH2.
Embodiment 40. The ionizable cationic lipid of any one of embodiments 18 to 39, wherein
O AI^A3A4'Y'A-A6AXA8 the number of contiguous connective atoms present in a span:A A x A A is in the range from 7-17 atoms.
Embodiment 41. The ionizable cationic lipid of any one of embodiments 18 to 39, wherein
O A AA3A\XA6AXA8 the number of contiguous connective atoms present in a spanA A x A A is in the range of 7-10, 7-12, 7-15, 8-10, 8-12, 8-13, 10-12, 10-13, 10-14, or 10-16.
Embodiment 42. The ionizable cationic lipid of any one of embodiments 18 to 39, wherein  o
JI A4 A5 A7 the number of contiguous connective atoms present in a span A1^A3A'X' >6%8is 10.
Embodiment 43. The ionizable cationic lipid having a structure of formula M1-4,
 wherein, each R
1 is individually selected from a C7-C11 alkyl or a C7-C11 alkenyl,
A1 is CH2 or CH2CH2,
A3 is O,
A4 is CH2 or CH2CH2, wherein A4 is not CH2 if X is N,
X is N, CH or C-CH3,
A5 is CH2, C=O, NH, NCH3, or O,
A6 is O, S, NH, NCH3, or C=O,
A7 is O, S, NH, NCH3, or (CH2)i.3,
A
8 is (CH2)I-3, wherein if A
7 is O, S, NH, NCH
3, A
8 is (CH
2)
2.3, and
196
 wherein Z is a bond wherein when A
1 and A
4 are CH2 then X is CH, A
5 is CH2, NH, NCH3, or O, A
6 is C=O, A
7 is O, S, NH, or NCH
3, and A
8 is (CH
2)
2-3; when A
1 is CH2, A
4 is CH2CH2, and X is CH, then A
5 is NH, NCH3, or O, A
6 is C=O, A
7 is CH2, and A
8 is CH2; when A
1 is CH2, A
4 is CH2CH2, and X is N, then A
5 is C=O, A
6 is S, A
7 is (CH2)I-3, and A
8 is (CH
2)I_
3; and when A
1 is CH
2CH
2 then A
4 is CH
2, X is C-CH
3, A
5 is C=O, A
8 is O, NH, or NCH
3, A
7 is CH2, and A
8 is CH2; and wherein the number of contiguous connective atoms present in a span:
O
AAAXYXA&ALA8
A A x A A jS jn the range from 10-14 atoms.
Embodiment 44. The ionizable cationic lipid of embodiment 43, wherein A1 and A4 are CH2, X is CH, A5 is CH2, NH, NCH3, or O, A8 is C=O, A7 is O, S, NH, or NCH3, and A8 is CH2CH2.
Embodiment 45. The ionizable cationic lipid of embodiment 43, wherein A1 is CH2, A4 is CH2CH2, X is CH, A5 is NH, NCH3, or O, A8 is C=O, A7 is CH2, and A8 is CH2.
Embodiment 46. The ionizable cationic lipid of embodiment 43, wherein A1 is CH2, A4 is CH2CH2, X is N, A5 is C=O, A8 is S, A7 is (CH2)I-3, and A8 is (CH2)I-3.
Embodiment 47. The ionizable cationic lipid of embodiment 43, wherein A1 is CH2CH2, A4 is CH2, X is C-CH3, A5 is C=O, A8 is O, NH, or NCH3, A7 is CH2, and A8 is CH2.
Embodiment 48. The ionizable cationic lipid of any of embodiments 43-47, wherein the  O
.A 3 mber of contiguous connective atoms present in a span: A AAV XAt* A6A nu7 A8 is in the range from 10-12.
Embodiment 49. The ionizable cationic lipid of any of embodiments 43-47, wherein the
O number of contiguous connective atoms present in a span:
Embodiment 50. An ionizable cationic lipid having a structure of formula M1-5,
 wherein each R
1 is individually selected from a C7-C11 alkyl or a C7-C11 alkenyl,
A1 is CH2 or CH2CH2,
A3 is O,
A4 is CH2 or CH2CH2, wherein A4 is not CH2 if X is N,
X is N, CH or C-CH3,
A5 is CH2, C=O, NH, NCH3, or O,
A6 is O, S, NH, NCH3, or C=O,
A
7 is O, S, NH, NCH
3, or (CH
2)O-4,
198
 wherein A
7 and A
8 are not both (CH2)o unless A
6 is C=O; and wherein when A
1 and A
4 are CH2 then X is CH, A
5 is CH2, NH, NCH3, or O, A
6 is C=O, A
7 is O, NH, NCH3, or (CH2)O-4, and A
8 is (CH2)o-4, wherein if A
7 is O, NH, or NCH3, A
8 is (CH2)2- 4,' when A
1 is CH2 and A
4 is CH2 or CH2CH2, X is CH and A
7 is S, then A
5 is NH, or NCH3, A
6 is C=O, and A
8 is (CH2)o-4; when A
1 is CH2, A
4 is CH2CH2, and X is CH, then A
5 is NH, NCH3, or O, A
6 is C=O, A
7 is (CH2)I-4, and A
8 is (CH2)I-4; when A
1 is CH2, A
4 is CH2CH2, and X is N, then A
5 is C=O, A
6 is S, A
7 is (CH
2)-M, and A
8 is (CH
2)I-
4; when A
1 is CH
2CH
2 then A
4 is CH
2, X is C-CH
3, A
5 is C=O, A
8 is O, NH, or NCH
3, A
7 is (CH
2)I-4, and A
8 is (CH
2)I.
4; and wherein the number of contiguous connective atoms present in a span:
 the range from 7-16 atoms.
Embodiment 51 . The ionizable cationic lipid of embodiment 50, wherein A1 and A4 are CH2, X is CH, A5 is CH2, NH, NCH3, or O, A8 is C=O, A7 is O, S, NH, or NCH3, and A8 is (CH2)2.
Embodiment 52. The ionizable cationic lipid of embodiment 50, wherein A1 and A4 are CH2, X is CH, A5 is NH, A8 is C=O, A7 is (CH2)o-4, and A8 is (CH2)o-4.
Embodiment 53. The ionizable cationic lipid of embodiment 50, wherein A1 is CH2, A4 is CH2CH2, X is CH, A5 is NH, NCH3, or O, A6 is C=O, A7 is (CH2)^, and A8 is (CH2),^.
Embodiment 54. The ionizable cationic lipid of embodiment 50, wherein A1 is CH2, A4 is CH2CH2, X is N, A5 is C=O, A6 is S, A7 is (CH2)w, and A8 is (CH2)i4.
Embodiment 55. The ionizable cationic lipid of embodiment 50, wherein A1 is CH2CH2, A4 is CH2, X is C-CH3, A5 is C=O, A6 is 0, NH, or NCH3, A7 is (CH2)M, and A8 is (CH2)i-4.
Embodiment 56. The ionizable cationic lipid of embodiment 50, wherein A1 and A4 are CH2 then X is CH, A5 is NH, A6 is C=O, A7 is (CH2)<M and A8 is (CH2)<M.
Embodiment 57. The ionizable cationic lipid of any of embodiments 50-56, wherein the O
 number of contiguous connective atoms present in a span
 A X A A is in the range of 7-10, 7-12, 7-15, 8-10, 8-12, 8-13, 10-12, 10-13, 10-14, or 10-16.
Embodiment 58. The ionizable cationic lipid of any of embodiments 50-56, wherein the
O
,A.3 of contiguous connective atoms present in a span A AAVA1 X A6AL number A8 is 10.
Embodiment 59. An ionizable cationic lipid having the structure of formula M1-6,
 wherein each R
1 is individually selected from a C
7-Cn alkyl or a C7-C11 alkenyl,
A1 is CH2 or CH2CH2,
200  A3 is O,
A4 is CH2 or CH2CH2, wherein A4 is not CH2 if X is N,
X is N, CH or C-CH3,
A5 is CH2, C=O, NH, NCH3J or O,
A6 is O, S, NH, NCH3, or C=O,
A
7 is O, S, NH, NCH
3, or CH
2,
 wherein Z is a bond; and wherein when A
1 and A
4 are CH2 then X is CH, A
5 is CH2, NH, NCH
3, or O, A
6 is C=O, A
7 is O, S, NH, or NCH
3, or (CH2)o-4, and A
8 is (CH2)o-4, wherein if A
7 is O, NH, or NCH
3, A
8 is CH2CH2; when A
1 is CH2 and A
4 is CH2 or CH2CH2, X is CH and A
7 is S, then A
5 is NH, or NCH
3, A
6 is C=O, and A
8 is (CH2)
2-4; when A
1 is CH
2, A
4 is CH2CH2, and X is CH, then A
5 is NH, NCH
3, or O, A
8 is C=O, A
7 is (CH2)I-4, and A
8 is (CH2)I-4; when A
1 is CH2, A
4 is CH2CH2, and X is N, then A
5 is C=O, A
6 is O or S, A
7 is (CH2)CM, and A
8 is (CH2)CM, wherein A
6 is not bonded directly to a nitrogen; and when A
1 is CH2CH2 then A
4 is CH
2, X is C-CH
3, A
5 is C=O, A
8 is O, NH, or NCH
3, A
7 is (CH2)O-4, and A
8 is (CH2)o-4, wherein A
8 is not bonded directly to a nitrogen.
Embodiment 60. The ionizable cationic lipid of embodiment 59, wherein A1 and A4 are CH2, X is CH, A5 is CH2, NH, NCH3, or O, A8 is C=O, A7 is O, S, NH, or NCH3, or (CH2)o-4, and A8 is (CH2)O-4, wherein if A7 is O, NH, or NCH3, A8 is (CH2)2-4-
Embodiment 61 . The ionizable cationic lipid of embodiment 59, wherein A1 is CH2 and A4 is CH2 or CH2CH2, X is CH and A7 is S, A5 is NH, or NCH3, A8 is C=O, and A8 is (CH2)M.
Embodiment 62. The ionizable cationic lipid of embodiment 59, wherein A1 is CH2, A4 is CH2CH2, X is CH, A5 is NH, NCH3, or O, A8 is C=O, A7 is (CH2)I-4, and A8 is (CH2)M.
Embodiment 63. The ionizable cationic lipid of embodiment 59, wherein A1 is CH2, A4 is CH2CH2, X is N, A5 is C=O, A6 is O or S, A7 is (CH2)o-4, and A8 is (CH2)o-4, wherein A6 is not bonded directly to a nitrogen.
Embodiment 64. The ionizable cationic lipid of embodiment 59, wherein A1 is CH2CH2, A4 is CH2, X is C-CH3, A5 is C=O, A6 is O, NH, or NCH3, A7 is (CH2)CM, and A8 is (CH2)o-4, wherein A6 is not bonded directly to a nitrogen.
Embodiment 65. The ionizable cationic lipid of embodiment 59, wherein A1 and A4 are CH2, X is CH, A5 is CH2, NH, NCH3, or O, A8 is C=O, A7 is O, S, NH, or NCH3, and A8 is CH2CH2.
Embodiment 66. The ionizable cationic lipid of embodiment 59, wherein A1 is CH2, A4 is CH2CH2, X is CH, A5 is NH, NCH3, or O, A8 is C=O, A7 is CH2, and A8 is CH2.
Embodiment 67. The ionizable cationic lipid of embodiment 59, wherein A1 is CH2, A4 is CH2CH2, X is N, A5 is C=O, A8 is S, A7 is CH2, and A8 is CH2.
Embodiment 68. The ionizable cationic lipid of embodiment 59, wherein A1 is CH2, A4 is CH2CH2, X is N, A5 is C=O, A8 is O, A7 is CH2, and A8 is CH2.
Embodiment 69. The ionizable cationic lipid of embodiment 59, wherein A1 is CH2CH2, A4 is CH2, X is C-CH3, A5 is C=O, A8 is O, NH, or NCH3, A7 is CH2, and A8 is CH2.
Embodiment 70. An ionizable cationic lipid having a structure of formula CICL-208A,
 wherein A
1 is CH2 or CH2CH2, A
3 is O, A
4 is CH2 or CH2CH2, wherein A
4 is not CH2 if X is N, A
6 is S, A
7 is CH
2, and A
8 is CH
2 or CH
2CH
2; a structure of formula CICL-227A,
 wherein A
1 is CH
2 or CH
2CH
2, A
3 is O, A
4 is CH
2 or CH
2CH
2, A
5 is NH or NCH
3, X is CH or C- CH
3, A
7 is O, S, NH, NCH
3, or CH
2 and A
8 is CH
2 or CH
2CH
2; a structure of formula CICL-228A,
 wherein A
1 is CH
2 or CH
2CH
2, A
3 is O, A
4 is CH
2 or CH
2CH
2, X is CH or C-CH
3, A
5 is CH
2, A
7 is O, NH, NCH
3, or CH
2, and A
8 is CH
2 or CH
2CH
2; a structure of formula CICL-229A,
 wherein A
1 is CH
2 or CH
2CH
2, A
4 is CH
2 or CH
2CH
2, X is CH or C-CH
3, A
6 is O, NH, or NCH
3, A
7 is CH
2, and A
8 is CH
2 or CH
2CH
2; or a structure of formula CICL-233A,
 wherein A
1 is CH
2 or CH
2CH
2, A
3 is O, A
4 is CH
2 or CH
2CH
2, X is CH or C-CH
3, A
5 is O, NH, or NCH
3, A
7 is CH
2, and A
8 is CH
2 or CH
2CH
2; and wherein for each formula CICL208A, CICL227A, CICL228A, CICL229A, and CICL233A each
Embodiment 71. The ionizable cationic lipid of any of embodiments 1-70, wherein the number of main chain atoms from either position of A1 through to position A8 (inclusive) is 10.
Embodiment 72. The ionizable cationic lipid of any one of embodiments 1 to 71, wherein
 bond.
Embodiment 73. The ionizable cationic lipid of any one of embodiments 1 to 71, wherein
(CH2)0-lCH3 Z-N
Y is (CH2)O-ICH3 anc| z jS a bond.
Embodiment 74. The ionizable cationic lipid of any one of embodiments 1 to 71, wherein zV
Y is \ and Z is a bond.
Embodiment 75. The ionizable cationic lipid of any one of embodiments 1 to 71, wherein
Embodiment 77. The ionizable cationic lipid of any one of embodiments 1 to 71, wherein
Embodiment 78. The ionizable cationic lipid of any one of embodiments 1 to 71, wherein
 bond.
Embodiment 79. The ionizable cationic lipid of any one of embodiments 1 to 71, wherein
Embodiment 81. The ionizable cationic lipid of any one of embodiments 1 to 71, wherein
 bond.
Embodiment 82. The ionizable cationic lipid of any one of embodiments 1 to 71, wherein
 bond.
Embodiment 83. The ionizable cationic lipid of any one of embodiments 1 to 71, wherein
 bond.
Embodiment 84. The ionizable cationic lipid of any one of embodiments 1 to 71, wherein
 Embodiment 85. The ionizable cationic lipid of any one of embodiments 1 to 71, wherein
 bond.
Embodiment 86. The ionizable cationic lipid of any one of embodiments 1 to 71, wherein
Embodiment 88. The ionizable cationic lipid of any one of embodiments 1 to 71, wherein
Embodiment 90. The ionizable cationic lipid of any one of embodiments 1 to 71, wherein
Embodiment 92. The ionizable cationic lipid of any one of embodiments 1 to 71, wherein
 Embodiment 93. The ionizable cationic lipid of any one of embodiments 1 to 71, wherein
Embodiment 95. The ionizable cationic lipid of any one of embodiments 1 to 71, wherein
Embodiment 97. The ionizable cationic lipid of any one of embodiments 1 to 71, wherein
 bond.
Embodiment 98. The ionizable cationic lipid of any one of embodiments 1 to 97, wherein each R1 is independently selected from C7-C10 alkyl or C7-C9 alkyl.
Embodiment 99. The ionizable cationic lipid of any one of embodiments 1 to 97, wherein each R1 is independently selected from a linear C7-C11 alkyl, e.g., a linear C7-C10 alkyl, or a linear C7-C9 alkyl.
Embodiment 100. The ionizable cationic lipid of any one of embodiments 1 to 97, wherein each R1 is independently selected from (CHzJs-sCHs.
Embodiment 101. The ionizable cationic lipid of any one of embodiments 1 to 97 wherein
R1 is (CH2)7CH3.
Embodiment 102. The ionizable cationic lipid of any one of embodiments 1 to 97, wherein each R1 is independently selected from a linear C7-C11 alkenyl, e.g., a linear C7-C10 alkenyl, or a linear C7-C9 alkenyl.
Embodiment 103. The ionizable cationic lipid of any one of embodiments 1 to 97, wherein each R1 is a linear Cs alkenyl.
Embodiment 104. The ionizable cationic lipid of any one of embodiments 1 to 97, wherein each R1 is independently selected from a branched C7-Cn alkyl, e.g., C7-C10 alkyl, or C7-C9 alkyl.
Embodiment 105. The ionizable cationic lipid of any one of embodiments 1 to 97, wherein each R1 is a branched Cs alkyl.
Embodiment 106. The ionizable cationic lipid of any one of embodiments 1 to 97, wherein each R1 is independently selected from a branched C7-C11 alkenyl, e.g., C7-C10 alkenyl, or C7- C9 alkenyl.
Embodiment 107. The ionizable cationic lipid of any one of embodiments 1 to 97, wherein each R1 is a branched Cs alkenyl.
Embodiment 108. The ionizable cationic lipid of any one of embodiments 1 to 97, wherein R1 is a branched alkyl or alkenyl, the branch point is positioned so that ester carbonyls are not in an a position relative to the branch point, for example they are in a 0 position relative to the branch point.
Embodiment 109. The ionizable cationic lipid of any one of embodiments 1 to 108, wherein each R
1 is the same. Embodiment 110. The ionizable cationic lipid of embodiment 1 having the structure CICL-
Embodiment 111. The ionizable cationic lipid of embodiment 1 having the structure CICL-
Embodiment 112. The ionizable cationic lipid of embodiment 1 having the structure CICL-
Embodiment 113. The ionizable cationic lipid of embodiment 1 having the structure CICL-
Embodiment 114. The ionizable cationic lipid of embodiment 1 having the structure CICL-
234:
Embodiment 115. The ionizable cationic lipid of embodiment 1 having the structure CICL-
Embodiment 116. The ionizable cationic lipid of embodiment 1 having the structure CICL-
 Embodiment 117. The ionizable cationic lipid of embodiment 1 having a structure as shown in Table 4.
Embodiment 118. The ionizable cationic lipid of embodiment 1 having a structure as shown in Table 5.
Embodiment 119. The ionizable cationic lipid of embodiment 1 having a structure as shown in Table 6.
Embodiment 120. The ionizable cationic lipid of embodiment 1 having a structure as shown in Table 7.
Embodiment 121. The ionizable cationic lipid of embodiment 1 having a structure as shown in Table 8.
Embodiment 122. The ionizable cationic lipid of embodiment 1 having a structure as shown in Table 9.
Embodiment 123. The ionizable cationic lipid of any one of embodiments 1 to 109 having a c-pKa (calculated pKa) in the range of from about 6, 7, or 8 to about 9, 10, or 11.
Embodiment 124. The ionizable cationic lipid of any one of embodiments 1 to 109 having a c-pKa ranging from about 6 to about 10, about 7 to about 10, about 8 to about 10, about 8 to about 9, 6 to 10, 7 to 10, 8 to 10, or 8 to 9.
Embodiment 125. The ionizable cationic lipid of any one of embodiments 1 to 109 having a c-pKa ranging from about 8.2 to about 9.0 or from 8.2 to 9.0.
Embodiment 126. The ionizable cationic lipid of any one of embodiments 1 to 109 having a c-pKa ranging from about 8.4 to about 8.7 or from 8.4 to 8.7.
Embodiment 127. The ionizable cationic lipid of any one of embodiments 1 to 109 or 123- 126 having a cLogD ranging from about 9 to about 18, for example, ranging from about 10 to about 18, or about 10 to about 16, to about 10 to about 14, or about 11 to about 18, or about 11 to about 15, or about 11 to about 14.
Embodiment 128. The ionizable cationic lipid of any one of embodiments 1 to 109 or 123- 126 having a cLogD ranging from 9 to 18, for example, ranging from 10 to 18, or 10 to 16, to 10 to 14, or 11 to 18, or 11 to 15, or 11 to 14.
Embodiment 129. The ionizable cationic lipid of any one of embodiments 1 to 109 or 123- 126 having a cLogD ranging from about 13.6 to about 14.4 or from 13.6 to 14.4.
Embodiment 130. The ionizable cationic lipid of any one of embodiments 1 to 109 or 123- 126 having a c-pKa ranging from about 8 to about 11 or from 8 to 11 and a cLogD ranging from about 9 to about 18 or from 9 to 18.
Embodiment 131 . The ionizable cationic lipid of any of embodiments 1 to 109 or 123-126 having a c-pKa ranging from about 8.4 to about 8.7 or from 8.4 to 8.7 and cLogD ranging from about 13.6 to about 14.4 or from 13.6 to 14.4.
Embodiment 132. The ionizable cationic lipid of any one of embodiments 1 to 109 or 123- 126 having a cLogD is about 9, about 10, about 11, about 12, about 13, about 14, about 15, about 16, about 17, or about 18.
Embodiment 133. A lipid nanoparticle (LNP) or targeted lipid nanoparticle (tLNP), comprising at least one ionizable cationic lipid of any one of embodiments 1-132.
Embodiment 134. The LNP or tLNP of embodiment 133, further comprising one or more of a phospholipid, a sterol, a co-lipid, a PEG-lipid, or combinations thereof.
Embodiment 135. The LNP or tLNP of embodiment 134, comprising an unfunctionalized PEG-lipid.
Embodiment 136. The LNP or tLNP of embodiment 133 or embodiment 134, comprising a functionalized PEG-lipid. Embodiment 137. The tLNP of embodiment 136, wherein the functionalized PEG-lipid has been conjugated with a binding moiety.
Embodiment 138. The tLNP of embodiment 136 or 137, wherein the binding moiety comprises an antigen binding domain of an antibody.
Embodiment 139. The tLNP of embodiment 136 or 137, wherein the binding moiety comprises an antigen, a ligand-binding domain of a receptor, or a receptor ligand.
Embodiment 140. The LNP or tLNP of any one of embodiments 133-139, comprising at least one phospholipid, wherein the phospholipid comprises dioleoylphosphatidyl ethanolamine (DOPE), dimyristoylphosphatidyl choline (DMPC), distearoylphosphatidylcholine (DSPC), dimyristoylphosphatidyl glycerol (DMPG), dipalmitoyl phosphatidylcholine (DPPC), or 1,2-diarachidoyl-sn-glycero-3-phosphocholine (DAPC), or a combination thereof.
Embodiment 141. The LNP or tLNP of any one of embodiments 133-140, comprising at least one sterol, wherein the sterol comprises cholesterol, campesterol, sitosterol, stigmasterol, or combinations thereof.
Embodiment 142. The LNP or tLNP of any one of embodiments 133-141, comprising at least one co-lipid, wherein the co-lipid comprises cholesterol hemisuccinate (CHEMS) or a quaternary ammonium headgroup containing lipid.
Embodiment 143. The LNP or tLNP of embodiment 142, wherein the quaternary ammonium headgroup containing lipid comprises 1,2-dioleoyl-3-trimethylammonium propane (DOTAP), N-(1-(2,3-dioleyloxy)propyl)-N,N,N-trimethylammonium (DOTMA), or 3P-(N-(N’,N’- Dimethylaminoethane)carbamoyl)cholesterol (DC-Chol), or combinations thereof.
Embodiment 144. The LNP or tLNP of any one of embodiments 133-143, comprising at least one functionalized or unfunctionalized PEG-lipid, wherein the functionalized or unfunctionalized PEG-lipid comprises a PEG moiety of 1000-5000 Da molecular weight (MW).
Embodiment 145. The LNP or tLNP of any one of embodiments 133-144, comprising at least one functionalized or unfunctionalized PEG-lipid, wherein the functionalized or unfunctionalized PEG-lipid comprises fatty acids with a fatty acid chain length of C14-C18.
Embodiment 146. The LNP or tLNP of any one of embodiments 133-145, comprising at least one functionalized or unfunctionalized PEG-lipid, wherein the functionalized or unfunctionalized PEG-lipid comprises DMG-PEG2000 (1 ,2-dimyristoyl-rglycero-3- methoxypolyethylene glycol-2000), DPG-PEG2000 (1 ,2-dipalmitoyl-glycero-3- methoxypolyethylene glycol-2000), DSG-PEG2000 (1 ,2-distearoyl-glycero-3- methoxypolyethylene glycol-2000), DOG-PEG2000 (1 ,2-dioleoyl-glycero-3- methoxypolyethylene glycol-2000), DMPE-PEG200 (1 ,2-dimyristoyl-glycero-3- phosphoethanolamine-3-methoxypolyethylene glycol-2000), DPPE-PEG2000 (1 ,2- dipalmitoyl-glycero-3-phosphoethanolamine-3-methoxypolyethylene glycol-2000), DSPE-
PEG2000 (1 ,2-distearoyl-glycero-3-phosphoethanolamine-3-methoxypolyethylene glycol-
2000), DOPE-PEG2000 (1 ,2-dioleoyl-glycero-3-phosphoethanolamine-3- methoxypolyethylene glycol-2000), or combinations thereof.
Embodiment 147. The LNP or tLNP of any one of embodiments 133-146, wherein the at least one ionizable cationic lipid is present in an amount in the range from 40 to 65 mol%.
Embodiment 148. The LNP or tLNP of any one of embodiments 133-147, comprising a phospholipid in an amount in the range from 7 to 30 mol%.
Embodiment 149. The LNP or tLNP of any one of embodiments 133-148, comprising a sterol in an amount in the range from 20 to 45 mol%.
Embodiment 150. The LNP or tLNP of any one of embodiments 133-149, comprising at least one co-lipid in an amount in the range from 1 to 30 mol%. Embodiment 151. The LNP or tLNP of any one of embodiments 133-150, comprising at least one unfunctionalized PEG-lipid in an amount in the range from 0.1 to 5 mol%.
Embodiment 152. The LNP or tLNP of any one of embodiments 133-151, comprising at least one functionalized PEG-lipid in an amount in the range from 0.1 to 5 mol%.
Embodiment 153. The LNP or tLNP of any one of embodiments 133-152, further comprising a biologically active payload nucleic acid.
Embodiment 154. The LNP or tLNP of embodiment 153, wherein the weight ratio of total lipid to nucleic acid is 10:1 to 50:1.
Embodiment 155. The LNP or tLNP of embodiment 153, wherein the N/P ratio is from 3 to 9.
Embodiment 156. The LNP or tLNP of any one of embodiments 153-155, wherein the nucleic acid payload is mRNA.
Embodiment 157. The tLNP of any one of embodiments 133-156, wherein the binding moiety is a whole antibody and the ratio of antibody to nucleic acid is from about 0.3 to about 1.0 (w/w).
Embodiment 158. The tLNP of any one of embodiment 133-157, wherein the tLNP is targeted to a T cell.
Embodiment 159. The tLNP of any one of embodiments 133-157, wherein the tLNP is targeted to a CD8+ T cell.
Embodiment 160. The tLNP of any one of embodiments 133-157, wherein the tLNP is targeted to an HSC. Embodiment 161. The tLNP of any one of embodiments 133-157, wherein the tLNP is targeted to a CD117+ cell.
Embodiment 162. A method of delivering a nucleic acid into a cell comprising contacting the cell with the LNP or tLNP of any one of embodiments 137 to 145.
Embodiment 163. An intermediate of the ionizable cationic lipid of formula M1 having the structure of formula 1-1 :
 wherein each R
1 is independently selected from a C7-C11 alkyl or a C7-C11 alkenyl;
R2 is H or a protecting group;
A1 is CH2 or CH2CH2,
A3 is O,
A4 is CH2 orCH2CH2, wherein A4 is not CH2 if X is N,
X is N, CH, or C-CH3, and A5 is CH2, NH, NCH3J or O.
Embodiment 164. The intermediate of embodiment 163, wherein R2 is H.
Embodiment 165. The intermediate of embodiment 163, wherein R2 is a protecting group (e.g., t-butoxycarbonyl (BOC), benzyloxycarbonyl (Cbz), or a trimethylsilylethoxycarbonyl moiety. Embodiment 166. The intermediate of embodiment 163, wherein when A1 and A4 are CH2, then X is CH, A5 is CH2, NH, NCH3, or O.
Embodiment 167. The intermediate of embodiment 163, wherein when A1 and A4 are CH2, then X is CH, and A5 is NH2.
Embodiment 168. The intermediate of embodiment 163, wherein when A1 is CH2 and A4 is CH2 or CH2CH2, and X is CH, then A5 is NH, NCH3, or O.
Embodiment 169. The intermediate of embodiment 163, wherein when A1 is CH2, A4 is CH2CH2, X is CH, and A5 is O.
Embodiment 170. The intermediate of embodiment 163, wherein when A1 is CH2, A4 is CH2CH2, X is C-CH3, and A5 is NH.
Embodiment 171. The intermediate of embodiment 163, wherein when A1 is CH2, A4 is CH2CH2, X is C-CH3, and A5 is NCH3.
Embodiment 172. An intermediate of the ionizable cationic lipid of formula M1 having the structure of formula I-2,
 wherein each R
1 is independently selected from a C7-C11 alkyl or a C7-C11 alkenyl;
A1 is CH2 or CH2CH2,  A3 is O,
A4 is CH2 or CH2CH2, wherein A4 is not CH2 if X is N,
X is N, CH, or C-CH3, and
A5 is CH2, NH, NCH3, or O.
Embodiment 173. The intermediate of embodiment 172, wherein R3 is OH.
Embodiment 174. The intermediate of embodiment 172, wherein R
3 is
Embodiment 175. The intermediate of embodiment 172, wherein when A1 and A4 are CH2, then X is CH, A5 is CH2, NH, NCH3, or O.
Embodiment 176. The intermediate of embodiment 172, wherein A
1 and A
4 are CH
2, X is
Embodiment 177. The intermediate of embodiment 172, wherein A1 and A4 are CH2, X is CH, A5 is CH2, and R3 is OH.
Embodiment 178. An intermediate of the ionizable cationic lipid of formula M1 having the structure of formula I-3,
 wherein each R
1 is independently selected from a C
7-Cn alkyl or a C
7-Cn alkenyl;
A1 is CH2 or CH2CH2,
A3 is O,
A4 is CH2 or CH2CH2, wherein A4 is not CH2 if X is N, and X is N, CH, or C-CH3.
Embodiment 179. The intermediate of embodiment 178, wherein R4 is OH.
Embodiment 180. The intermediate of embodiment 178, wherein R
4 is
Embodiment 181. The intermediate of embodiment 178, wherein A1 is CH2 or CH2CH2, A4 is CH2 or CH2CH2, and X is C-CH3.
Embodiment 182. The intermediate of embodiment 178, wherein A1 is CH2, A4 is CH2CH2, X is C-CH3, and R4 is OH.
Embodiment 183. The intermediate of embodiment 178, wherein A1 is CH2 or CH2CH2, A4 is CH2 or CH2CH2, and X is N.
Embodiment 184. The intermediate of embodiment 178, wherein A
1 is CH2, A
3 is O, A
4 is
Embodiment 185. A synthesis method of ionizable cationic lipid of formula CICL-227A, the method comprising: providing intermediate 4-A; reacting intermediate 4-A with carbonyl diimidazole to provide intermediate 5-A; coupling intermediate 5-A with H-A
7-A
8-Y in the presence of a base to provide the ionizable cationic lipid; wherein
 intermediate 5-A has the structure: - ; wherein each R
1 is independently selected from a C7-C11 alkyl or a C7 or Cn alkenyl,
A1 is CH2 or CH2CH2,
A3 is O,
A4 is CH2 or CH2CH2,
A5 is NH or NCH3,
X is CH or C-CH3,
A7 is O, S, NH, NCH3, or CH2
A8 is CH2 or CH2CH2, wherein if A7 is O, S, NH, NCH3, A8 is (CH2)2-4, and
Y are as otherwise described herein.
Embodiment 186. A synthesis method of ionizable cationic lipid of formula CICL-228A, the method comprising: providing intermediate 7-A; coupling intermediate 7-A with H-A
7-A
8-Y in the presence of a base to provide the  ionizable cationic lipid; wherein
 intermediate 7-A has the structure: ; wherein each R
1 is independently selected from a C
7-Cn alkyl or a C
7 or Cn alkenyl,
A1 is CH2 or CH2CH2,
A3 is O,
A4 is CH2 or CH2CH2,
X is CH or C-CH3,
A5 is CH2,
A7 is O, NH, or NCH3,
A8 is CH2 or CH2CH2, wherein if A7 is O, S, NH, NCH3, A8 is (CH2)2-4, and
Y are as otherwise described herein.
Embodiment 187. A synthesis method of ionizable cationic lipid of formula CICL-229A, the method comprising: providing intermediate 13-A; coupling intermediate 13-A with H-A
6-A
7-A
8-Y in the presence of a base to provide the ionizable cationic lipid; wherein  intermediate 13-A has the structure:
 wherein each R
1 is independently selected from a C7-C11 alkyl or a C7 or Cn alkenyl,
A1 is CH2 or CH2CH2,
A3 is O,
A4 is CH2 or CH2CH2,
X is CH or C-CH3,
A6 is O, NH, or NCH3,
A7 is CH2,
A8 is CH2 or CH2CH2, wherein if A7 is O, S, NH, NCH3, A8 is (CH2)2-4, and
Y is as otherwise described herein.
Embodiment 188. A synthesis method of ionizable cationic lipid of formula CICL-233A, the method comprising: providing intermediate 16-A; coupling intermediate 16-A with HOOC-A
7-A
8-Y to provide the ionizable cationic lipid; wherein intermediate 16-A has the structure:
 wherein each R
1 is independently selected from a C
7-Cn alkyl or a C
7 or Cn alkenyl,  A
1 is CH
2 or CH2CH2,
A3 is O,
A4 is CH2 or CH2CH2,
X is CH or C-CH3,
A5 is O, NH, or NCH3
A7 is CH2,
A8 is CH2 or CH2CH2; and
Y are as otherwise described herein.
Embodiment 189. A synthesis method of ionizable cationic lipid of formula CICL-208A, the method comprising: providing intermediate 27-A; reacting intermediate 27-A with carbonyl diimazole to provide intermediate 28-A; coupling intermediate 28-A with H-A
6-A
7-A
8-Y in the presence of a base to provide the ionizable cationic lipid; wherein
 intermediate 27-A has the structure:
 intermediate 28-A has the structure:  wherein each R
1 is independently selected from a C7-C11 alkyl or a C7 or Cn alkenyl, A
1 is CH
2 or CH2CH2, A
3 is O,
A4 is CH2 or CH2CH2, wherein A4 is not CH2 if X is N,
A6 is O, S, NH, or NCH3, A7 is CH2,
A8 is CH2 or CH2CH2; and
Y are as otherwise described herein.
[00654] All publications, patents, and patent applications mentioned in this specification are herein incorporated by reference to the same extent as if each individual publication, patent, and patent application was specifically and individually indicated to be incorporated by reference.
[00655] While some embodiments have been illustrated and described in detail in the appended drawings and the foregoing description, such illustration and description are to be considered illustrative and not restrictive. Other variations to the disclosed embodiments can be understood and effected in practicing the claims, from a study of the drawings, the disclosure, andthe appended claims. The mere fact that certain measures or features are recited in mutually different dependent claims does not indicate that the combination of these measures or features cannot be used. Any reference signs in the claims should not be construed as limiting the scope.