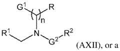
CHEMICAL STABILITY OF MRNA RELATED APPLICATION [0001] This application claims the benefit under 35 U.S.C. §119(e) of U.S. Provisional Application No.63/580,730, filed September 6, 2023, the contents of which are incorporated by reference herein in their entirety. REFERENCE TO AN ELECTRONIC SEQUENCE LISTING [0002] The contents of the electronic sequence listing (M137870288WO00-SEQ-NTJ.xml; Size: 62,662 bytes; and Date of Creation: September 5, 2024) are incorporated by reference herein in their entirety. BACKGROUND [0003] Recently, messenger ribonucleic acid (mRNA)-based therapeutics have shown promise, e.g., as vaccines for infectious diseases. However, mRNAs are susceptible to cleavage through multiple pathways, such as hydrolysis of phosphodiester bonds. Unlike DNA and self- amplifying RNAs, which can generate additional mRNAs after introduction into cells, cleavage of administered mRNAs reduces the amount of protein that can be translated. SUMMARY [0004] Some aspects relate to non-naturally occurring mRNAs having a greater proportion of CpA dinucleotides that are internally hybridized (i.e., CpA dinucleotides that are hybridized (base paired) to other nucleobases of the mRNA) than reference (e.g., naturally occurring) mRNAs encoding the same polypeptide. Increased CpA hybridization of such mRNAs is based, at least in part, on the discovery by the inventors that the phosphodiester bond between the cytidine and adenosine nucleotides of the CpA dinucleotide may be particularly susceptible to non-enzymatic cleavage (e.g., via spontaneous hydrolysis). These results are surprising, in part because previous reports in the literature suggested that the UpA dinucleotide, rather than CpA, is particularly susceptible to cleavage. See, e.g., Kierzek, Nucleic Acids Res.1992.20(19):5079– 5084; and Kaukinen et al., Nucleic Acids Res.2002.30(2):468–474. While mRNA sequences may be modified to omit CpA dinucleotides to some extent, thereby increasing stability, such modifications may also affect the codon composition of an open reading frame (ORF) and other mRNA elements, with resulting undesired effects on mRNA translation. It was found, quite surprisingly, that CpA dinucleotides are less susceptible to cleavage when hybridized (base paired) to other nucleotides (e.g., other nucleotides of the mRNA (e.g., UpG dinucleotides)). Thus, in addition or alternative to modifying mRNA sequences to reduce CpA dinucleotide abundance, modified mRNA sequences may also have an increased frequency of CpA dinucleotides that are hybridized to one or more other nucleotides of the mRNA. Without wishing to be bound by theory, such increased internal hybridization by CpA dinucleotides is expected to increase mRNA stability, while avoiding reductions in codon optimality that could result from reductions in total CpA dinucleotide abundance. Such improved RNA stability provides multiple benefits in the production of RNA therapeutics and prophylactics. For example, the improved stability of RNAs in stored RNA compositions allows efficacy to be maintained for longer durations, thereby improving the efficiency of RNA manufacturing. [0005] Increasing hybridization of CpA dinucleotides to other nucleotides or dinucleotides of an mRNA may be achieved, e.g., by modifying an RNA sequence to one that has a predicted secondary structure in which CpA dinucleotides are more frequently hydrogen bound to other nucleotides of the RNA. Methods of predicting secondary structures of an RNA having a given sequence are known in the art, and include, e.g., Mfold, UNAfold, RNAfold, and RNAstructure. See, e.g., Zuker, Nucleic Acids Res.2003.31:3406–3415; Markham & Zuker, Methods Mol Biol.2008.453:3–31; Hofacker, Nucleic Acids Res.2003.31:3429–3431; Lorenz et al., Algorithms Mol Biol.2011.6:26; Reuter & Mathews, BMC Bioinform.2010.11:129. Other exemplary methods of RNA structure prediction include CONTRAfold, ContextFold, TORNADO, SimFold, MXFold. SPOT-RNA, and E2Efold. See, e.g., Do et al., Bioinformatics. 2006.22:e90–e98; Zakov et al., J Comput Biol.2011.1525–1542; Rivas et al., RNA.2012.193– 212; Andronescu et al., Bioinformatics.2007.23:i19–i28; Akiyama et al., J Bioinform Comput Biol.2018.16:1840025; Singh et al., Nat Commun.2019.10:5407; and Chen et al., In Proceedings of the 8
th International Conference on Learning Representations.2020. doi:10.6084/m9/figshare.hgv.1920. [0006] In contrast to other methods for designing RNAs with secondary structures based on predicted free energy (e.g., CDSfold, using the Zuker algorithm to calculate thermostability of a folded secondary structure using the Turner energy model), modification of an RNA sequence to produce secondary structures with fewer unpaired CpA dinucleotides, thereby reducing the rate of spontaneous cleavage, increases the stability of a full-length RNA as an intact molecule. Such modifications to reduce the abundance or proportion of unpaired CpA dinucleotides are not contemplated by previous RNA structure design methods such as CDSfold. See Terai et al., Bioinformatics.2016.32(6):828–834. Modulating secondary structure to promote internal base pairing of CpA dinucleotides to other nucleotides of the mRNA allows CpA dinucleotides to be preserved, rather than removing them from an mRNA sequence by substitution, thereby avoiding possible reductions in gene expression that may occur, e.g., when a codon containing a CpA dinucleotide is substituted with a synonymous codon that is translated less efficiently. [0007] Modifications to mRNAs may comprise specific substitutions to maintain other features of an mRNA, such as nucleotide composition, codon optimality, and/or structure, within a desired range. For example, RNAs having higher %G/C contents (percentage of nucleotides in a sequence being guanosine or cytidine nucleotides) may have a higher thermodynamic stability than RNAs having lower %G/C contents. Without wishing to be bound by theory, the inventors posit that the formation of intramolecular secondary structures contributes to RNA thermodynamic stability, with G/C-rich RNAs forming more and stronger secondary structures. Thus, in modifying a codon to improve stability, a specific codon may be substituted to maintain or increase the %G/C content of the resulting RNA sequence. For example, a codon ending in a cytidine nucleotide may be replaced by a codon ending in a guanosine nucleotide, if possible, to avoid reducing the %G/C content of the RNA sequence. [0008] Accordingly, some aspects relate to a non-naturally occurring messenger ribonucleic acid (mRNA) comprising an open reading frame (ORF) encoding a polypeptide, wherein: (i) a higher number of CpA dinucleotides are hybridized to one or more other nucleotides of the mRNA, relative to a reference mRNA encoding the polypeptide; and/or (ii) the modified mRNA comprises fewer CpA dinucleotides that are not hybridized to one or more other nucleotides of the modified mRNA, relative to a reference mRNA encoding the polypeptide. [0009] Some aspects relate to a lipid delivery vehicle comprising the non-naturally occurring mRNA. [0010] Some aspects relate to a pharmaceutical composition comprising the lipid delivery vehicle, and a pharmaceutically acceptable excipient. [0011] Some aspects relate to a method of producing a modified messenger ribonucleic acid (mRNA) polynucleotide comprising an open reading frame (ORF) encoding a polypeptide, the method comprising: (i) adding, deleting, or substituting one or more nucleotides of a reference mRNA (r-mRNA) sequence comprising a reference ORF (r-ORF) to produce a modified mRNA sequence; and (ii) synthesizing a modified mRNA comprising the modified mRNA sequence, wherein a higher percentage of CpA dinucleotides of the modified mRNA are hybridized to one or more other nucleotides of the modified mRNA, compared to a reference percentage of CpA dinucleotides of a reference mRNA that are hybridized to one or more other nucleotides of the reference mRNA, wherein the reference mRNA comprises the reference mRNA sequence. BRIEF DESCRIPTION OF THE DRAWINGS [0012] FIG.1 shows the results of sequencing mRNA fragments generated by spontaneous cleavage of a reference mRNA, as a frequency map of cleavage positions, used to determine the positions of spontaneous (non-enzymatic) cleavage. Sequencing reads were aligned to the full- length mRNA sequence, with the 3′ end of the read indicating the nucleotide in the mRNA sequence where cleavage occurred. [0013] FIGs.2A–2B show the effects of CpA dinucleotide, and/or unhybridized CpA dinucleotide, abundance on mRNA stability. FIG.2A shows the kinetics of mRNA purity, as measured by reverse-phase ion pair (RPIP) chromatography, during storage in lipid nanoparticles (LNPs) at 25 °C. FIG.2B shows estimated degradation rates of the same mRNAs. “Low CA” refers to mRNAs with reduced abundance of CpA dinucleotides, compared to mRNAs with reference sequences (“Ref”). “Low ssCA” refers to mRNAs with reduced frequency of CpA dinucleotides that are unhybridized (single-stranded) compared to reference sequence mRNAs. [0014] FIGs.3A–3B shows the relationship between the percentage of unhybridized CpA dinucleotides in an mRNA (% ssCA) and stability, as measured by degradation rate. mRNAs, having a variety of secondary structures and consequently varying proportions of CpA dinucleotides that were not base paired with other nucleotides of the mRNA, were stored at 25 °C over 12 weeks, with mRNA purity was measured by chromatography at several timepoints. FIG.3A shows the degradation rate of mRNAs as a function of %ssCA. FIG.3B shows in vitro relative protein expression (RPE) measured as the % ratio of the EC
50s of the test sample over the reference material based on an ELISA readout over a 12-point dose curve of transfected HeLa cells from mRNAs as a function of the degradation rate measured in FIG.3A. DETAILED DESCRIPTION [0015] Some aspects relate to a non-naturally occurring messenger ribonucleic acid (mRNA) comprising an open reading frame (ORF) encoding a polypeptide, wherein: (i) a higher number of CpA dinucleotides are hybridized to one or more other nucleotides of the mRNA, relative to a reference mRNA encoding the polypeptide; and/or (ii) the modified mRNA comprises fewer CpA dinucleotides that are not hybridized to one or more other nucleotides of the modified mRNA, relative to a reference mRNA encoding the polypeptide. In some embodiments, at least 70% of CpA dinucleotides of the mRNA are hybridized to one or more other nucleotides of the mRNA. In some embodiments, 75% or more, 80% or more, 85% or more, 90% or more, or 95% or more of CpA dinucleotides of the mRNA are hybridized to one or more other nucleotides of the mRNA. [0016] In some embodiments, the ORF has a codon adaptation index (CAI) of 0.7 or higher. In some embodiments, the ORF has a codon adaptation index (CAI) of 0.75 or higher, 0.8 or higher, 0.85 or higher, 0.9 or higher, or 0.95 or higher. [0017] In some embodiments, the mRNA has an average unpaired probability (AUP) of 0.45 or less. In some embodiments, the mRNA has an average unpaired probability (AUP) of 0.4 or less, 0.35 or less, 0.3 or less, 0.25 or less, 0.2 or less, 0.15 or less. [0018] In some embodiments, the mRNA comprises a %G/C content of 30% – 80%, 40% – 70%, 50% – 60%, 35% – 50%, 50% – 65%, 65% – 70%, 40% – 45%, 45% – 50%, 50% – 55%, 55% – 70%, 70% – 75%, or 75% – 80%. [0019] In some embodiments, the mRNA comprises a chemically modified nucleotide. In some embodiments, the mRNA comprises N1-methylpseudouridine. [0020] In some embodiments, the polypeptide comprises 9–5,000, 20–4,000, 30–3,000, 40– 2,000, or 50–1,500 amino acids. In some embodiments, the polypeptide is a therapeutic protein or a vaccine antigen. [0021] In some embodiments, the mRNA comprises a 5′ untranslated region (5′ UTR) comprising a nucleotide sequence of any one of SEQ ID NOs: from SEQ ID NOs: 1, 2, 5–35, or 46–53. In some embodiments, the mRNA comprises a 3′ untranslated region (3′ UTR) comprising a nucleotide sequence of any one of SEQ ID NOs: 3–4, 36–44, or 54–61. In some embodiments, the mRNA comprises: (a) a polyadenosine (polyA) sequence comprising 100 consecutive adenosine nucleotides; (b) a polyadenosine (polyA) sequence comprising, in 5′-to-3′ order, a first nucleotide sequence comprising 30 consecutive adenosine nucleotides, an intervening sequence comprising no more than three adenosine nucleotides, and a second nucleotide sequence comprising 70 consecutive adenosine nucleotides; or (c) a nucleotide sequence of SEQ ID NO: 62. [0022] In some embodiments, a coefficient of degradation at 25 °C of the mRNA is 90% or less, 80% or less, 70% or less, 60% or less, or 50% or less, relative to the reference mRNA encoding the polypeptide. In some embodiments, a composition comprising a plurality of the mRNAs remains above 50% purity for at least 30 days, at least 60 days, at least 90 days, at least 120 days, at least 150 days, or at least 180 days longer in storage than a composition comprising a plurality of the reference mRNAs encoding the polypeptide. In some embodiments, storage of the mRNA is conducted at a temperature between about 2 °C to about 8 °C. In some embodiments, the mRNA is stored in a buffer comprising 10–50 mM Tris and 5–10% sucrose, wherein the buffer has a pH of about 7.3 to about 7.6. [0023] In some embodiments, a level of expression in a mammalian cell of the encoded polypeptide from the modified mRNA is at least 80% of a level of expression of the reference mRNA. In some embodiments, the mRNA is codon-optimized for expression in a mammalian cell. In some embodiments, the mammalian cell is a human cell. [0024] Some aspects relate to lipid delivery vehicle comprising the non-naturally occurring mRNA. [0025] In some embodiments, the lipid delivery vehicle is a lipid nanoparticle (LNP) comprising a cationic amino lipid, a non-cationic lipid, a sterol, and a polyethylene glycol (PEG)-modified lipid. In some embodiments, 20–60% ionizable cationic lipid, and 5–25% non- cationic lipid, 25–55% cholesterol, and 0.5–15% polyethylene glycol (PEG)-modified lipid. In some embodiments, the lipid delivery vehicle is a liposome, lipoplex, lipopolyplex, or cationic nanoemulsion. [0026] In some embodiments, the lipid delivery vehicle further comprises a stabilizing compound of Formula (I):

 or a tautomer or solvate thereof, wherein: is a single bond or a double bond; R
1 is H; R
2 is OCH
3, or together with R
3 is OCH
2O; R
3 is OCH3, or together with R
2 is OCH2O; R
4 is H; R
5 is H or OCH
3; R
6 is OCH3; R
7 is H or OCH3; R
8 is H; R
9 is H or CH3; and X is a pharmaceutically acceptable anion. [0027] In some embodiments, the stabilizing compound is wherein the compound is of:
 Formula (Ia) Formula (Ib)  Formula (Ic) or a tautomer or solvate thereof. [0028] In some embodiments, the lipid delivery vehicle further comprises a stabilizing compound of Formula (II):
 or a tautomer or solvate thereof, wherein: R
10 is H; R
11 is H; R
12 together with R
13 is OCH
2O; R
14 is H; R
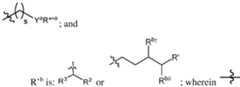
15 together with R
16 is OCH2O; R
17 is H; and X is a pharmaceutically acceptable anion. [0029] Some aspects relate to a pharmaceutical composition comprising the lipid delivery vehicle, and a pharmaceutically acceptable excipient. [0030] Some aspects relate to a method of producing a modified messenger ribonucleic acid (mRNA) polynucleotide comprising an open reading frame (ORF) encoding a polypeptide, the method comprising: (i) adding, deleting, or substituting one or more nucleotides of a reference mRNA (r-mRNA) sequence comprising a reference ORF (r-ORF) to produce a modified mRNA sequence; and (ii) synthesizing a modified mRNA comprising the modified mRNA sequence, wherein a higher percentage of CpA dinucleotides of the modified mRNA are hybridized to one or more other nucleotides of the modified mRNA, compared to a reference percentage of CpA dinucleotides of a reference mRNA that are hybridized to one or more other nucleotides of the reference mRNA, wherein the reference mRNA comprises the reference mRNA sequence. [0031] In some embodiments, the percentage of hybridized CpA dinucleotides of the modified mRNA is at least 5%, at least 10%, at least 15%, at least 20%, or at least 25% higher than the percentage of hybridized CpA dinucleotides of the reference mRNA. [0032] In some embodiments, the modified mRNA has a lower average unpaired probability (AUP) than the reference mRNA. In some embodiments, the modified mRNA has an average unpaired probability (AUP) that is at least 0.05, at least 0.1, at least 0.15, at least 0.2, or at least 0.25 lower than an AUP of the reference mRNA. [0033] In some embodiments, the ORF of the modified mRNA has a higher codon adaptation index (CAI) than the r-ORF of the reference mRNA. In some embodiments, the ORF of the modified mRNA has a codon adaptation index (CAI) that is at least 0.05, at least 0.1, at least 0.15, at least 0.2, or at least 0.25 higher than the r-ORF of the reference mRNA. mRNAs with reduced unpaired CpA dinucleotide content [0034] Non-naturally occurring mRNAs may have an increased proportion of CpA dinucleotides that are hybridized (base paired) to one or more other nucleotides of the mRNA, relative to a reference (e.g., naturally occurring) mRNA encoding the same polypeptide of the non-naturally occurring mRNA. [0035] In some aspects, a modified mRNA has a higher percentage of CpA dinucleotides that are hybridized (base paired) to one or more other nucleotides of the mRNA, compared to a reference (e.g., naturally occurring) mRNA encoding the same polypeptide as the modified mRNA. In some aspects, the modified mRNA has a lower absolute number of unpaired CpA dinucleotides (i.e., CpA dinucleotides that are not hybridized to one or more other nucleotides of the mRNA), compared to a reference (e.g., naturally occurring) mRNA encoding the same polypeptide as the modified mRNA. Pairing of CpA dinucleotides to other nucleotides of an mRNA may be assessed by any suitable method, such as use of an mRNA structure prediction tool. Non-limiting examples of tools useful for predicting mRNA structure include Mfold, UNAfold, RNAfold, and RNAstructure. See, e.g., Zuker, Nucleic Acids Res.2003.31:3406– 3415; Markham & Zuker, Methods Mol Biol.2008.453:3–31; Hofacker, Nucleic Acids Res. 2003.31:3429–3431; Lorenz et al., Algorithms Mol Biol.2011.6:26; Reuter & Mathews, BMC Bioinform.2010.11:129. Other exemplary methods of RNA structure prediction include CONTRAfold, ContextFold, TORNADO, SimFold, MXFold. SPOT-RNA, and E2Efold. See, e.g., Do et al., Bioinformatics.2006.22:e90–e98; Zakov et al., J Comput Biol.2011.1525–1542; Rivas et al., RNA.2012.193–212; Andronescu et al., Bioinformatics.2007.23:i19–i28; Akiyama et al., J Bioinform Comput Biol.2018.16:1840025; Singh et al., Nat Commun.2019. 10:5407; and Chen et al., In Proceedings of the 8
th International Conference on Learning Representations.2020. doi:10.6084/m9/figshare.hgv.1920. [0036] In some embodiments, at least 70% of CpA dinucleotides of the modified mRNA are hybridized to one or more other nucleotides of the modified mRNA. In some embodiments, at least 70%, at least 71%, at least 72%, at least 73%, at least 74%, at least 75%, at least 76%, at least 77%, at least 78%, at least 79%, at least 80%, at least 81%, at least 82%, at least 83%, at least 84%, at least 85%, at least 86%, at least 87%, at least 88%, at least 89%, at least 90%, at least 91%, at least 92%, at least 93%, at least 94%, at least 95%, at least 96%, at least 97%, at least 98%, or at least 99% of CpA dinucleotides of the modified mRNA are hybridized to one or more other nucleotides of the modified mRNA. In some embodiments, at least 75% of CpA dinucleotides of the modified mRNA are hybridized to one or more other nucleotides of the modified mRNA. In some embodiments, at least 80% of CpA dinucleotides of the modified mRNA are hybridized to one or more other nucleotides of the modified mRNA. In some embodiments, at least 85% of CpA dinucleotides of the modified mRNA are hybridized to one or more other nucleotides of the modified mRNA. In some embodiments, at least 90% of CpA dinucleotides of the modified mRNA are hybridized to one or more other nucleotides of the modified mRNA. In some embodiments, at least 92% of CpA dinucleotides of the modified mRNA are hybridized to one or more other nucleotides of the modified mRNA. In some embodiments, at least 94% of CpA dinucleotides of the modified mRNA are hybridized to one or more other nucleotides of the modified mRNA. In some embodiments, at least 96% of CpA dinucleotides of the modified mRNA are hybridized to one or more other nucleotides of the modified mRNA. In some embodiments, at least 98% of CpA dinucleotides of the modified mRNA are hybridized to one or more other nucleotides of the modified mRNA. [0037] In some embodiments, 70% to 99%, 75% to 99%, 80% to 99%, 85% to 99%, 90% to 99%, or 95% to 99% of CpA dinucleotides of the modified mRNA are hybridized to one or more other nucleotides of the modified mRNA. In some embodiments, 70% to 95%, 75% to 95%, 80% to 95%, 85% to 95%, or 90% to 95% of CpA dinucleotides of the modified mRNA are hybridized to one or more other nucleotides of the modified mRNA. In some embodiments, 70% to 99%, 70% to 95%, 70% to 90%, 70% to 85%, 70% to 80%, or 70% to 75% of CpA dinucleotides of the modified mRNA are hybridized to one or more other nucleotides of the modified mRNA. In some embodiments, 70%, 71%, 72%, 73%, 74%, 75%, 76%, 77%, 78%, 79%, 80%, 81%, 82%, 83%, 84%, 85%, 86%, 87%, 88%, 89%, 90%, 91%, 92%, 93%, 94%, 95%, 96%, 97%, 98%, 99%, or 100% of CpA dinucleotides of the modified mRNA are hybridized to one or more other nucleotides of the modified mRNA. In some embodiments, the percentage of CpA dinucleotides of the modified mRNA that are hybridized to one or more other nucleotides of the modified mRNA is 70% to 80%, 80% to 90%, or 90% to 99%. In some embodiments, the percentage of CpA dinucleotides of the modified mRNA that are hybridized to one or more other nucleotides of the modified mRNA is 70% to 75%, 75% to 80%, 80% to 85%, 85% to 90%, 90% to 95%, or 95% to 99%. [0038] A modified mRNA may comprise a certain absolute number of CpA dinucleotides relative to a theoretical minimum. As used herein, a “theoretical minimum” number of CpA dinucleotides refers to the number of histidine and glutamine residues present in a polypeptide encoded by an open reading frame. If a histidine or glutamine is present in an amino acid sequence, a codon beginning with CA is required to encode that amino acid, and so some CpA dinucleotides are required for a nucleic acid to encode a protein comprising histidine and/or glutamine residues. However, other amino acids that may be encoded by codons containing CpA dinucleotides (e.g., threonine, encoded by the codon ACA) may be also encoded by codons that do not contain a CpA dinucleotide (e.g., ACU, ACC, and ACG codons also encode threonine). Thus, portions of an mRNA sequence other than codons encoding histidine or glutamine may be mutated to reduce the number of CpA dinucleotides in an mRNA sequence to a level closer to the theoretical minimum. In some embodiments, a modified mRNA comprises at most 300%, at most 250%, at most 200%, at most 175%, at most 150%, at most 140%, at most 130%, at most 120%, or at most 110% of a theoretical minimum of CpA dinucleotides. In some embodiments, a modified mRNA comprises 300 or fewer, 250 or fewer, 200 or fewer, 175 or fewer, 150 or fewer, 125 or fewer, 100 or fewer, 90 or fewer, 80 or fewer, 70 or fewer, 60 or fewer, 50 or fewer, 40 or fewer, 30 or fewer, 25 or fewer, 20 or fewer, 15 or fewer, 10 or fewer, or 5 or fewer CpA dinucleotides above a theoretical minimum. [0039] In some embodiments, the number of CpA dinucleotides of the modified mRNA that are hybridized to one or more other nucleotides of the mRNA, is increased relative to a reference mRNA encoding the same polypeptide. In some embodiments, the modified mRNA comprises at least 5% more, at least 10% more, at least 15% more, at least 20% more, at least 25% more, at least 30% more, at least 35% more, at least 40% more, at least 45% more, at least 50% more, at least 55% more, at least 60% more, at least 65% more, at least 70% more, at least 75% more, at least 80% more, at least 85% more, at least 90% more, or at least 95% more CpA dinucleotides that are hybridized to one or more other nucleotides of the modified mRNA, compared to a number of CpA dinucleotides of a reference mRNA, encoding the same polypeptide, that are hybridized to one or more other nucleotides of the reference mRNA. In some embodiments, the modified mRNA comprises at least 5 more, at least 10 more, at least 15 more, at least 20 more, at least 25 more, at least 30 more, at least 35 more, at least 40 more, at least 45 more, at least 50 more, at least 55 more, at least 60 more, at least 65 more, at least 70 more, at least 75 more, at least 80 more, at least 85 more, at least 90 more, or at least 95 more CpA dinucleotides that are hybridized to one or more other nucleotides of the modified mRNA, compared to a number of CpA dinucleotides of a reference mRNA, encoding the same polypeptide, that are hybridized to one or more other nucleotides of the reference mRNA. [0040] In some embodiments, the number of CpA dinucleotides of the modified mRNA that are not hybridized to one or more other nucleotides of the mRNA (i.e., unpaired CpA dinucleotides), is decreased relative to a reference mRNA encoding the same polypeptide. In some embodiments, the modified mRNA comprises at least 5% fewer, at least 10% fewer, at least 15% fewer, at least 20% fewer, at least 25% fewer, at least 30% fewer, at least 35% fewer, at least 40% fewer, at least 45% fewer, at least 50% fewer, at least 55% fewer, at least 60% fewer, at least 65% fewer, at least 70% fewer, at least 75% fewer, at least 80% fewer, at least 85% fewer, at least 90% fewer, or at least 95% fewer CpA dinucleotides that are not hybridized to one or fewer other nucleotides of the modified mRNA, compared to a number of CpA dinucleotides of a reference mRNA, encoding the same polypeptide, that are not hybridized to one or fewer other nucleotides of the reference mRNA. In some embodiments, the modified mRNA comprises at least 5 fewer, at least 10 fewer, at least 15 fewer, at least 20 fewer, at least 25 fewer, at least 30 fewer, at least 35 fewer, at least 40 fewer, at least 45 fewer, at least 50 fewer, at least 55 fewer, at least 60 fewer, at least 65 fewer, at least 70 fewer, at least 75 fewer, at least 80 fewer, at least 85 fewer, at least 90 fewer, or at least 95 fewer CpA dinucleotides that are not hybridized to one or fewer other nucleotides of the modified mRNA, compared to a number of CpA dinucleotides of a reference mRNA, encoding the same polypeptide, that are not hybridized to one or fewer other nucleotides of the reference mRNA. Codon adaptation index (CAI) [0041] In some embodiments, a modified mRNA has an open reading frame (ORF) with a codon adaptation index (CAI) that is equal to or greater than a CAI of a reference (e.g., naturally occurring) mRNA ORF encoding the same polypeptide as the mRNA. The Codon Adaptation Index, which varies between 0 and 1, is a measure of synonymous codon usage bias, which may be used to predict expression levels for varying nucleotide sequences encoding the same amino acid sequence. See Sharp and Li, Nucleic Acids Res.1987.15(3):1281–1295; and Parvathy et al., Mol Biol Rep.2022.49:539–565. CAI may be calculated using any suitable method, such as those known in the art and described in Puigbò et al., BMC Bioinformatics.2008.9:65; and Puigbò et al., Biol Direct.2008.3:38. Unlike other mRNA features, such as hybridized CpA dinucleotides and %G/C content, a Codon Adaptation Index is calculated with respect to the ORF of the mRNA, as upstream and downstream regions (e.g., 5′ and 3′ UTRs, or a polyA tail) of the mRNA are not translated. [0042] In some embodiments, a modified mRNA has a CAI of 0.70 or higher, 0.71 or higher, 0.72 or higher, 0.73 or higher, 0.74 or higher, 0.75 or higher, 0.76 or higher, 0.77 or higher, 0.78 or higher, 0.79 or higher, 0.80 or higher, 0.81 or higher, 0.82 or higher, 0.83 or higher, 0.84 or higher, 0.85 or higher, 0.86 or higher, 0.87 or higher, 0.88 or higher, 0.89 or higher, 0.90 or higher, 0.91 or higher, 0.92 or higher, 0.93 or higher, 0.94 or higher, 0.95 or higher, 0.96 or higher, 0.97 or higher, 0.98 or higher, or 0.99 or higher. In some embodiments, a modified mRNA has a CAI that is 0.75 or higher. In some embodiments, a modified mRNA has a CAI that is 0.80 or higher. In some embodiments, a modified mRNA has a CAI that is 0.90 or higher. In some embodiments, a modified mRNA has a CAI that is 0.95 or higher. In some embodiments, a modified mRNA has a CAI that is 0.70 to 0.99, 0.75 to 0.99, 0.80 to 0.99, 0.85 to 0.99, 0.90 to 0.99, or 0.95 to 0.99. In some embodiments, a modified mRNA has a CAI that is 0.70 to 0.95, 0.75 to 0.95, 0.80 to 0.95, 0.85 to 0.95, or 0.90 to 0.95. In some embodiments, a modified mRNA has a CAI that is 0.70 to 0.99, 0.70 to 0.95, 0.70 to 0.90, 0.70 to 0.85, 0.70 to 0.80, or 0.70 to 0.75. In some embodiments, a modified mRNA has a CAI of 0.7, 0.71, 0.72, 0.73, 0.74, 0.75, 0.76, 0.77, 0.78, 0.79, 0.8, 0.81, 0.82, 0.83, 0.84, 0.85, 0.86, 0.87, 0.88, 0.89, 0.9, 0.91, 0.92, 0.93, 0.94, 0.95, 0.96, 0.97, 0.98, 0.99, or 1. In some embodiments, a modified mRNA has a CAI of 0.70 to 0.80, 0.80 to 0.90, or 0.90 to 0.99. In some embodiments, a modified mRNA has a CAI of 0.70 to 0.75, 0.75 to 0.80, 0.80 to 0.85, 0.85 to 0.90, 0.90 to 0.95, or 0.95 to 0.99. [0043] In some embodiments, the CAI of the modified mRNA is increased relative to a reference mRNA encoding the same polypeptide. In some embodiments, the modified mRNA has a CAI that is at least 0.01, 0.02, 0.03, 0.04, 0.05, 0.06, 0.07, 0.08, 0.09, 0.1, 0.11, 0.12, 0.13, 0.14, 0.15, 0.16, 0.17, 0.18, 0.19, 0.20, 0.21, 0.22, 0.23, 0.24, 0.25, 0.26, 0.27, 0.28, 0.29, or 0.3 higher than a CAI of the reference mRNA. In some embodiments, the modified mRNA has a CAI that is not lower than the reference mRNA encoding the same polypeptide. In some embodiments, the modified mRNA has a CAI that is no more than 0.2 lower, no more than 0.15 lower, no more than 0.1 lower, no more than 0.05 lower, no more than 0.04 lower, no more than 0.03 lower, no more than 0.02 lower, or no more than 0.01 lower than a reference mRNA encoding the same polypeptide. Average unpaired probability (AUP) [0044] In some embodiments, a modified mRNA has an average unpaired probability (AUP) that is higher than a reference (e.g., naturally occurring) mRNA encoding the same polypeptide as the modified mRNA. In some embodiments, a modified mRNA has a certain AUP or an AUP within a certain range. AUP, and the related parameter Summed Unpaired Probability (SUP), relate to the equilibrium probability that RNA nucleotides are in their unpaired state. Derivations of both parameters are discussed in Wayment-Steele et al., Nucleic Acids Res. 2021. 49(18):10604–10617 and PCT Publication No. WO 2022/177597. For an RNA of N nucleotides in length, SUP is defined by the summation:

 [0045] The term punpaired(i) can be predicted by any RNA secondary structure prediction package, algorithm, or program, which output base pair probabilities equation p(i:j), the probability that bases I and j are paired. Non-limiting examples of RNA structure prediction tools include Mfold, UNAfold, RNAfold, and RNAstructure. See, e.g., Zuker, Nucleic Acids Res. 2003. 31:3406–3415; Markham & Zuker, Methods Mol Biol. 2008. 453:3–31; Hofacker, Nucleic Acids Res. 2003. 31:3429–3431; Lorenz et al., Algorithms Mol Biol. 2011. 6:26; Reuter & Mathews, BMC Bioinform. 2010. 11:129. Other exemplary methods of RNA structure prediction include CONTRAfold, ContextFold, TORNADO, SimFold, MXFold. SPOT-RNA, and E2Efold. See, e.g., Do et al., Bioinformatics. 2006. 22:e90–e98; Zakov et al., J Comput Biol. 2011. 1525–1542; Rivas et al., RNA. 2012. 193–212; Andronescu et al., Bioinformatics. 2007. 23:i19–i28; Akiyama et al., J Bioinform Comput Biol. 2018. 16:1840025; Singh et al., Nat Commun. 2019. 10:5407; and Chen et al., In Proceedings of the 8
th International Conference on Learning Representations. 2020. doi:10.6084/m9/figshare.hgv.1920. [0046] AUP is then the SUP scaled by RNA length:

 [0047] AUP, which varies between 0 and 1, reflects the overall secondary structure of the RNA molecule, and accounts for unpaired regions in any given secondary structure. An mRNA with a lower AUP thus has, on average, more nucleotides that are based paired to other nucleotides of the mRNA, whereas an mRNA with a higher AUP has fewer internally hybridized nucleotides and less secondary structure. [0048] In some embodiments, a modified mRNA has an AUP that is 0.5 or lower. In some embodiments, a modified mRNA has an AUP that is 0.49 or lower, 0.48 or lower, 0.47 or lower, 0.46 or lower, 0.45 or lower, 0.44 or lower, 0.43 or lower, 0.42 or lower, 0.41 or lower, 0.40 or lower, 0.39 or lower, 0.38 or lower, 0.37 or lower, 0.36 or lower, 0.35 or lower, 0.34 or lower, 0.33 or lower, 0.32 or lower, 0.31 or lower, 0.30 or lower, 0.29 or lower, 0.28 or lower, 0.27 or lower, 0.26 or lower, 0.25 or lower, 0.24 or lower, 0.23 or lower, 0.22 or lower, 0.21 or lower, 0.20 or lower, 0.19 or lower, 0.18 or lower, 0.17 or lower, 0.16 or lower, 0.15 or lower, 0.14 or lower, 0.13 or lower, 0.12 or lower, 0.11 or lower, 0.10 or lower, 0.09 or lower, 0.08 or lower, 0.07 or lower, 0.06 or lower, 0.05 or lower, 0.04 or lower, 0.03 or lower, 0.02 or lower, or 0.01. In some embodiments, a modified mRNA has an AUP that is 0.4 or lower. In some embodiments, a modified mRNA has an AUP that is 0.3 or lower. In some embodiments, a modified mRNA has an AUP that is 0.2 or lower. In some embodiments, a modified mRNA has an AUP that is 0.1 or lower. In some embodiments, a modified mRNA has an AUP of 0.01 to 0.45, 0.01 to 0.40, 0.01 to 0.35, 0.01 to 0.30, 0.01 to 0.25, 0.01 to 0.20, 0.01 to 0.15, 0.01 to 0.10, or 0.01 to 0.05. In some embodiments, a modified mRNA has an AUP of 0.05 to 0.45, 0.05 to 0.40, 0.05 to 0.35, 0.05 to 0.30, 0.05 to 0.25, 0.05 to 0.20, 0.05 to 0.15, 0.05 to 0.10, or 0.05 to 0.05. In some embodiments, a modified mRNA has an AUP of 0.01 to 0.5, 0.05 to 0.5, 0.10 to 0.5, 0.15 to 0.5, 0.20 to 0.5, 0.25 to 0.5, 0.30 to 0.5, 0.35 to 0.5, 0.40 to 0.5, or 0.45 to 0.5. In some embodiments, a modified mRNA has an AUP of 0.49, 0.48, 0.47, 0.46, 0.45, 0.44, 0.43, 0.42, 0.41, 0.40, 0.39, 0.38, 0.37, 0.36, 0.35, 0.34, 0.33, 0.32, 0.31, 0.30, 0.29, 0.28, 0.27, 0.26, 0.25, 0.24, 0.23, 0.22, 0.21, 0.20, 0.19, 0.18, 0.17, 0.16, 0.15, 0.14, 0.13, 0.12, 0.11, 0.10, 0.09, 0.08, 0.07, 0.06, 0.05, 0.04, 0.03, 0.02, or 0.01. In some embodiments, a modified mRNA has an AUP of 0.01 to 0.1, 0.1 to 0.2, 0.2 to 0.3, or 0.3 to 0.4. In some embodiments, a modified mRNA has an AUP of 0.01 to 0.05, 0.05 to 0.1, 0.1 to 0.15, 0.15 to 0.2, 0.2 to 0.25, 0.25 to 0.3, 0.3 to 0.35, or 0.35 to 0.4. [0049] In some embodiments, the AUP of the modified mRNA is decreased relative to a reference mRNA encoding the same polypeptide. In some embodiments, the modified mRNA has an AUP that is at least 0.01, 0.02, 0.03, 0.04, 0.05, 0.06, 0.07, 0.08, 0.09, 0.1, 0.11, 0.12, 0.13, 0.14, 0.15, 0.16, 0.17, 0.18, 0.19, 0.20, 0.21, 0.22, 0.23, 0.24, 0.25, 0.26, 0.27, 0.28, 0.29, or 0.3 lower than an AUP of the reference mRNA. In some embodiments, the modified mRNA has an AUP that is not higher than the reference mRNA encoding the same polypeptide. In some embodiments, the modified mRNA has an AUP that is no more than 0.2 higher, no more than 0.15 higher, no more than 0.1 higher, no more than 0.05 higher, no more than 0.04 higher, no more than 0.03 higher, no more than 0.02 higher, or no more than 0.01 higher than an AUP of a reference mRNA encoding the same polypeptide. mRNA stability [0050] Some embodiments of modified mRNAs, and modified mRNAs made by methods of modifying an RNA sequence, comprise a sequence with a %G/C content of 30% – 80%, 40% – 70%, 50% – 60%, 35% – 50%, 50% – 65%, 65% – 70%, 40% – 45%, 45% – 50%, 50% – 55%, 55% – 70%, 70% – 75%, or 75% – 80%. In some embodiments, the nucleic acid sequence of the full-length mRNA comprises a %G/C content of 30% to 80%, 40% – 70%, 50% – 60%, 35% – 50%, 50% – 65%, 65% – 70%, 40% – 45%, 45% – 50%, 50% – 55%, 55% – 70%, 70% – 75%, or 75% – 80%. In some embodiments, the mRNA comprises an ORF with a %G/C content from about 30% to about 80%, about 35% to about 70%, about 40% to about 60%, about 45% to about 55%, about 40% to about 70%, about 50% to about 60%, about 35% to about 50%, about 50% to about 50% to about 65%, about 65% to about 70%, about 40% to about 45%, about 45% to about 50%, about 50% to about 55%, about 55% to about 70%, about 70% to about 75%, or about 75% to about 80%. In some embodiments, the mRNA comprises 5′ UTR with a %G/C content from about 30% to about 80%, about 35% to about 70%, about 40% to about 60%, about 45% to about 55%, about 40% to about 70%, about 50% to about 60%, about 35% to about 50%, about 50% to about 50% to about 65%, about 65% to about 70%, about 40% to about 45%, about 45% to about 50%, about 50% to about 55%, about 55% to about 70%, about 70% to about 75%, or about 75% to about 80%. In some embodiments, the mRNA comprises 3′ UTR with a %G/C content from about 30% to about 80%, about 35% to about 70%, about 40% to about 60%, about 45% to about 55%, about 40% to about 70%, about 50% to about 60%, about 35% to about 50%, about 50% to about 50% to about 65%, about 65% to about 70%, about 40% to about 45%, about 45% to about 50%, about 50% to about 55%, about 55% to about 70%, about 70% to about 75%, or about 75% to about 80%. In some embodiments, a modified mRNA made by a method of modifying an RNA sequence comprises a higher %G/C content than a reference mRNA sequence. In some embodiments, the %G/C content of the modified mRNA sequence is 2% or more, 3% or more, 4% or more, 5% or more, 6% or more, 7% or more, 8% or more, 9% or more, 10% or more, 12% or more, 15% or more, or 20% or more than the %G/C content of the reference RNA sequence. In some embodiments, the %G/C content of the modified ORF sequence is 2% or more, 3% or more, 4% or more, 5% or more, 6% or more, 7% or more, 8% or more, 9% or more, 10% or more, 12% or more, 15% or more, or 20% or more than the %G/C content of the reference ORF sequence. In some embodiments, the %G/C content of the modified 5′ UTR sequence is 2% or more, 3% or more, 4% or more, 5% or more, 6% or more, 7% or more, 8% or more, 9% or more, 10% or more, 12% or more, 15% or more, or 20% or more than the %G/C content of the reference 3′ UTR sequence. [0051] Some embodiments of modified mRNAs, and modified mRNAs made by methods of modifying an mRNA sequence, express one or more encoded proteins in a mammalian cell at a level that is at least 50% of the level of expression of a reference mRNA encoding a protein with the same amino acid sequence, but containing more unpaired (unhybridized) CpA dinucleotides or more total CpA dinucleotides. In some embodiments, the reference mRNA comprises a higher number of unpaired CpA dinucleotides than the modified mRNA. In some embodiments, the reference mRNA comprises a higher percentage of CpA dinucleotides that are unpaired, compared to the modified mRNA. In some embodiments, the reference mRNA comprises a higher number of CpA dinucleotides than the modified mRNA. Expression of an encoded protein may refer to the number of copies of an encoded polypeptide produced by translation of a given mRNA molecule. Typically, a reduction in the level of an mRNA (e.g., by mRNA cleavage) results in a reduction in the amount of a polypeptide translated therefrom. The level of expression may be determined using standard techniques for measuring protein. In some embodiments, an mRNA has a level of expression in a mammalian cell that is at least 60%, at least 70%, at least 75%, at least 80%, at least 85%, at least 90%, at least 95%, at least 97%, at least 98%, at least 99%, or at least 100% of the level of expression of a reference mRNA encoding a protein with the same amino acid sequence, but containing more unpaired CpA dinucleotides. Examples of mammalian cells for use in evaluating expression of an mRNA include, without limitation, humans, mice, rats, hamsters, guinea pigs, cats, dogs, chimpanzees, macaques, baboons, and gorillas. In some embodiments, the mammalian cell is a human cell. [0052] Some embodiments of modified mRNAs, or produced by a method of modifying an RNA sequence, are stable for longer periods of time than reference mRNAs having more unpaired CpA dinucleotides and encoding a protein with the same amino acid sequence. In some embodiments, the reference mRNA comprises a higher number of unpaired CpA dinucleotides than the modified mRNA. In some embodiments, the reference mRNA comprises a higher percentage of CpA dinucleotides that are unpaired, compared to the modified mRNA. In some embodiments, the reference mRNA comprises a higher percentage of CpA dinucleotides that are unpaired, compared to the modified mRNA. In some embodiments, the reference mRNA comprises a higher number of CpA dinucleotides than the modified mRNA. In some embodiments, the modified mRNA has a coefficient of degradation below a threshold value. As used herein, a “coefficient of degradation” refers to a parameter of an equation describing the loss of nucleic acid purity over time. As used herein, “nucleic acid purity” refers to the percentage of nucleic acid in a composition having a desired sequence and structure. Compositions may be prepared using nucleic acids having a specific sequence encoding a protein to be expressed in cells. During storage, the nucleic acid may be degraded by environmental factors such as water or nucleases. Water molecules can hydrolyze the phosphodiester bond that bridges a phosphate moiety and sugar moiety in the sugar-phosphate backbone of a nucleic acid, resulting in the production of two separate nucleic acid molecules, neither of which contains an intact sequence encoding the full-length protein encoded by the unhydrolyzed nucleic acid. Nucleases are enzymes that can facilitate this process, but nucleic acids are susceptible to degradation by water molecules even in the absence of environmental nucleases. Nucleic acid purity may be measured by any one of multiple methods known in the art, such as mass spectrometry or high-performance liquid chromatography (HPLC) (see, e.g., Papadoyannis et al., J Liq Chrom Relat Tech.2007.27(6):1083–1092). In HPLC, a sample to be analyzed, such as nucleic acid, is dissolved in a solvent (mobile phase) and passed through a column containing a solid material (stationary phase), with a detector measuring the presence of dissolved sample molecules as the mobile phase is eluted from the column. The rate at which molecules of the sample move through the stationary phase depends on multiple factors, including size, such that different components of the sample will be observed at different times. A sample containing 100% pure nucleic acid will produce a single peak (main peak) on a chromatogram when analyzed by HPLC, while a sample containing multiple different nucleic acid molecules will produce multiple peaks, including a main peak and one or more impurity peaks, for a total of N peaks. To calculate the purity of a nucleic acid using HPLC analysis, the area under the curve (A.U.C.) of each of N peaks is calculated by integration, and the percent purity is calculated ^^^ (^^^^ ^^^^) using the equation % ^^^^^^ = ^^^ .

 (^^^^
^) [0053] Loss of nucleic acid purity over time may be described by a differential equation of the form
^^ = −^ , where P is nucleic acid purity (%), λ is the coefficient of degradation, and dP/dt is the rate of change in nucleic acid purity. Alternatively, nucleic acid purity over time may be described by an equation of the form P(t) = P
0e–λt, where P(t) is nucleic acid purity (%) at a given time, t, P0 is initial nucleic acid purity at time t=0, e is the base of the natural logarithm, and λ is the coefficient of degradation. In both equation forms, a positive value of λ indicates exponential decay, while a negative λ indicates exponential growth, with larger absolute values of λ indicating faster decay or growth, respectively. In some embodiments, the coefficient of degradation is expressed in units of day
-1. In some embodiments, the modified mRNA has a coefficient of degradation at 25 °C that is 90% or less, 80% or less, 70% or less, 60% or less, or 50% or less, relative to an mRNA comprising a wild-type ORF encoding the polypeptide. In some embodiments, the coefficient of degradation of the modified mRNA at a temperature of 2 °C – 8 °C is 90% or less, 80% or less, 70% or less, 60% or less, or 50% or less, relative to an mRNA comprising a wild-type ORF encoding the polypeptide. In some embodiments, the coefficient of degradation of the modified mRNA is 90% or less, relative to an mRNA comprising a wild-type ORF encoding the polypeptide. In some embodiments, the coefficient of degradation of the modified mRNA is 80% or less, relative to an mRNA comprising a wild-type ORF encoding the polypeptide. In some embodiments, the coefficient of degradation of the modified mRNA is 70% or less, relative to an mRNA comprising a wild-type ORF encoding the polypeptide. In some embodiments, the coefficient of degradation of the modified mRNA is 60% or less, relative to an mRNA comprising a wild-type ORF encoding the polypeptide. In some embodiments, the coefficient of degradation of the modified mRNA is 50% or less, relative to an mRNA comprising a wild-type ORF encoding the polypeptide. [0054] In some embodiments, the decrease in degradation coefficient is calculated with respect to storage of modified mRNAs in the absence of lipid nanoparticles. In some embodiments, the decrease in degradation coefficient is calculated with respect to storage of modified mRNAs in a buffer lacking lipid nanoparticles. In some embodiments, the buffer comprises 10–100 mM Tris. In some embodiments, the buffer comprises 5–10% sucrose. In some embodiments, the buffer has a pH of about 7.3 to about 7.6. In some embodiments, the buffer comprises 10–100 mM Tris, 5–10% sucrose, and has a pH of 7.3 to 7.6. In some embodiments, the decrease in degradation coefficient is calculated with respect to storage of mRNAs formulated in lipid nanoparticles. The lipid nanoparticles may be any suitable lipid nanoparticle. For example, the lipid nanoparticle may be a lipid nanoparticle described below in the “Lipid Compositions” section. The lipid nanoparticle may be another lipid nanoparticle known in the art. [0055] In some embodiments, reduction in degradation coefficient is measured in mRNAs having an ORF of a length in a specific range, as it is understood that the length of an mRNA affects stability during storage (e.g., shorter mRNAs are less susceptible to degradation than longer mRNAs). In some embodiments, the modified mRNA having a reduced degradation coefficient comprises an ORF that is 100–500, 500–1,000, 1,000–2,000, 2,000–3,000, 3,000– 5,000, 100–5,000, 100–2,500, 100–1,500, 100–1,000, 500–5,000, 500–2,500, 500–1,000, 1,000– 5,000, 1,000–4,000, 1,000–3,000, 1,000–2,000, 2,000–5,000, 2,000–5,000, or 3,000–4,000 nucleotides in length. In some embodiments, the modified mRNA having a reduced degradation coefficient comprises an ORF that is 300–5,000 nucleotides in length. In some embodiments, the modified mRNA having a reduced degradation coefficient comprises an ORF that is 300–1,500 nucleotides in length. In some embodiments, the modified mRNA having a reduced degradation coefficient comprises an ORF that is 1,500–3,000 nucleotides in length. In some embodiments, the modified mRNA having a reduced degradation coefficient comprises an ORF that is 3,000– 5,000 nucleotides in length. [0056] In some embodiments, the nucleic acid degrades (e.g., as measured by capillary electrophoresis) about 2% or less per month during storage, such as about 1% or less, about 0.75% or less, about 0.5% or less, about 0.4% or less, about 0.3% or less, about 0.2% or less, or about 0.1% or less per month during storage (e.g., at 4 ⁰C). In some embodiments, the methods comprise producing compositions comprising modified nucleic acid, where the modified nucleic acid in the composition is at least 50% pure (such as about 50% pure, about 55% pure, about 60% pure, about 65% pure, about 70% pure, or about 75% pure or more) after storage at 0°C or more (such as 0 °C, 2 °C, 4 °C, 5 °C, 8 °C, 10 °C, 15 °C, 20 °C, 25 °C, or 2–8 °C) for a given length of time. The length of time for which a composition will comprise at least 50% pure nucleic acid can be predicted by measuring a) the initial purity of the nucleic acid in a composition, and b) the coefficient of degradation of nucleic acid, as described above, then using the equation P(t) = P0e
–λt to calculate the value of t at which P(t) = 50% or 0.5. This length of time is given by the formula ^ =
!" #$%%!" ^& if P0 %' is expressed as a percentage or ^ = !" $.#%!"^
& %' if P
0 is expressed as a proportion. [0057] In some embodiments, a composition comprising a plurality of the modified mRNAs remains above 50% purity (such as about 50% pure, about 55% pure, about 60% pure, about 65% pure, about 70% pure, or about 75% pure or more) for at least 30 days, at least 40 days, at least 50 days, at least 60 days, at least 75 days, at least 90 days, at least 120 days, at least 150 days, or at least 180 days longer in storage than a composition comprising a plurality of mRNA comprising a wild-type ORF encoding the polypeptide. In some embodiments, the increase in duration of maintenance above 50% purity is during storage of modified mRNAs in the absence of lipid nanoparticles. In some embodiments, the increase in duration of maintenance above 50% purity is during storage of modified mRNAs in a buffer lacking lipid nanoparticles. In some embodiments, the buffer comprises 10–100 mM Tris. In some embodiments, the buffer comprises 5–10% sucrose. In some embodiments, the buffer has a pH of about 7.3 to about 7.6. In some embodiments, the buffer comprises 10–100 mM Tris, 5–10% sucrose, and has a pH of 7.3 to 7.6. In some embodiments, the increased duration of maintenance above 50% purity is during storage of mRNAs formulated in lipid nanoparticles. The lipid nanoparticles may be any suitable lipid nanoparticle, such as those described in the “Lipid Compositions” section. Alternatively, the lipid nanoparticles may be another lipid nanoparticle known in the art. In some embodiments, improved stability is measured in mRNAs having an ORF of a length in a specific range, as it is understood that the length of an mRNA affects stability during storage (e.g., longer mRNAs are less stable than shorter mRNAs). In some embodiments, the mRNA having improved stability comprises an ORF that is 100–500, 500–1,000, 1,000–2,000, 2,000–3,000, 3,000–5,000, 100–5,000, 100–2,500, 100–1,500, 100–1,000, 500–5,000, 500–2,500, 500–1,000, 1,000–5,000, 1,000–4,000, 1,000–3,000, 1,000–2,000, 2,000–5,000, 2,000–5,000, or 3,000– 4,000 nucleotides in length. In some embodiments, the mRNA having improved stability comprises an ORF that is 300–5,000 nucleotides in length. In some embodiments, the mRNA having improved stability comprises an ORF that is 300–1,500 nucleotides in length. In some embodiments, the mRNA having improved stability comprises an ORF that is 1,500–3,000 nucleotides in length. In some embodiments, the mRNA having improved stability comprises an ORF that is 3,000–5,000 nucleotides in length. [0058] In some embodiments, the storage is conducted at a temperature between about 2 °C and about 40 °C. In some embodiments, the storage is conducted at a temperature between about 22 °C and about 28 °C. In some embodiments, the storage is conducted at about 25 °C. In some embodiments, the storage is conducted at a temperature between about 2 °C and about 15 °C. In some embodiments, the storage is conducted at a temperature between about 2 °C and about 8 °C. In some embodiments, the storage is conducted at about 3 °C. In some embodiments, the storage is conducted at about 5 °C. Degradation of nucleic acids is a chemical reaction that occurs more readily at higher temperatures, and as such the coefficient of degradation and kinetics of purity depend on the temperature at which nucleic acids are stored. [0059] In some embodiments, the stability of a modified mRNA is evaluated by storing the mRNA in a buffer with a defined composition. In some embodiments, the mRNA is stored in a buffer comprising 10–100 mM Tris. In some embodiments, the mRNA is stored in a buffer comprising 5–10% sucrose. In some embodiments, the mRNA is stored in a buffer having a pH of about 7.3 to about 7.6. In some embodiments, the storage buffer comprises 10–100 mM Tris, 5–10% sucrose, and a pH of 7.3 to 7.6. Codon optimization [0060] In some embodiments, an mRNA or made by a method of modifying an RNA sequence is codon-optimized. Codon optimization methods are known in the art. Codon optimization, in some embodiments, may be used to match codon frequencies in target and host organisms to ensure proper folding; bias %G/C content to increase mRNA thermodynamic stability or reduce secondary structures; minimize tandem repeat codons or base runs that may impair gene construction or expression; customize transcriptional and translational control regions; insert or remove protein trafficking sequences; remove/add post translation modification sites in encoded protein (e.g., glycosylation sites); add, remove or shuffle protein domains; insert or delete restriction sites; modify ribosome binding sites and mRNA degradation sites; adjust translational rates to allow the various domains of the protein to fold properly; or reduce or eliminate problem secondary structures within the polynucleotide. Codon optimization tools, algorithms and services are known in the art – non-limiting examples include services from GeneArt (Life Technologies), DNA2.0 (Menlo Park CA) and/or proprietary methods. In some embodiments, the open reading frame (ORF) sequence is optimized using optimization algorithms. [0061] In some embodiments, a codon optimized sequence shares less than 95% sequence identity to a naturally-occurring or wild-type sequence ORF (e.g., a naturally-occurring or wild- type mRNA sequence encoding the polypeptide). In some embodiments, a codon optimized sequence shares less than 90% sequence identity to a naturally-occurring or wild-type sequence (e.g., a naturally-occurring or wild-type mRNA sequence encoding the polypeptide). In some embodiments, a codon optimized sequence shares less than 85% sequence identity to a naturally- occurring or wild-type sequence (e.g., a naturally-occurring or wild-type mRNA sequence encoding the polypeptide). In some embodiments, a codon optimized sequence shares less than 80% sequence identity to a naturally-occurring or wild-type sequence (e.g., a naturally-occurring or wild-type mRNA sequence encoding the polypeptide). In some embodiments, a codon optimized sequence shares less than 75% sequence identity to a naturally-occurring or wild-type sequence (e.g., a naturally-occurring or wild-type mRNA sequence encoding the polypeptide). [0062] In some embodiments, a codon optimized sequence shares between 65% and 85% (e.g., between about 67% and about 85% or between about 67% and about 80%) sequence identity to a naturally-occurring or wild-type sequence (e.g., a naturally-occurring or wild-type mRNA sequence encoding the polypeptide). In some embodiments, a codon optimized sequence shares between 65% and 75% or about 80% sequence identity to a naturally-occurring or wild- type sequence (e.g., a naturally-occurring or wild-type mRNA sequence encoding the polypeptide). [0063] When transfected into mammalian host cells, some embodiments of modified mRNAs have a stability of between 12-18 hours, or greater than 18 hours, e.g., 24, 36, 48, 60, 72, or greater than 72 hours and are capable of being expressed by the mammalian host cells. [0064] In some embodiments, a codon optimized RNA may be one in which the levels of GC are enhanced. The G/C-content of nucleic acid molecules (e.g., mRNA) may influence the stability of the RNA. RNA having an increased amount of guanine (G) and/or cytosine (C) residues may be more thermodynamically stable than RNA containing a large amount of adenine (A) and thymine (T) or uracil (U) nucleotides. As an example, WO02/098443 discloses a pharmaceutical composition containing an mRNA stabilized by sequence modifications in the translated region. Due to the degeneracy of the genetic code, the modifications work by substituting existing codons for those that promote greater RNA stability without changing the resulting amino acid. The approach is limited to coding regions of the RNA. [0065] In some embodiments, one or more cytidine or adenosine nucleotides of a CpA dinucleotide comprises a modified nucleotide. In some embodiments, one or more cytidine nucleotides of a CpA dinucleotide comprises a modified nucleotide. Without wishing to be bound by any particular theory, it is believed that the substitution of a conventional cytidine or adenosine nucleotide for a modified cytidine or adenosine nucleotide, respectively, is useful for reducing the susceptibility of the internucleoside linkage of a CpA dinucleotide to hydrolysis and/or promoting hybridization of a CpA dinucleotide to other nucleotides of the mRNA, thereby forming a hybridized CpA dinucleotide that is less susceptible to hydrolysis than an unhybridized CpA dinucleotide. Such substitutions are useful, for example, to improve mRNA stability where CpA dinucleotides are necessary, such as in codons encoding histidine or glutamine or in regulatory motifs (e.g., Kozak sequence). In some embodiments, 10% or more, 20% or more, 30% or more, 40% or more, 50% or more, 60% or more, 70% or more, 80% or more, 90% or more, 95% or more, 97% or more, 98% or more, 99% or more, or up to 100% of CpA dinucleotides in a modified mRNA sequence comprise a modified cytidine nucleotide and/or a modified adenosine nucleotide. In some embodiments, 10% or more, 20% or more, 30% or more, 40% or more, 50% or more, 60% or more, 70% or more, 80% or more, 90% or more, 95% or more, 97% or more, 98% or more, 99% or more, or up to 100% of CpA dinucleotides in a modified mRNA sequence comprise a modified cytidine nucleotide. In some embodiments, 10% or more, 20% or more, 30% or more, 40% or more, 50% or more, 60% or more, 70% or more, 80% or more, 90% or more, 95% or more, 97% or more, 98% or more, 99% or more, or up to 100% of CpA dinucleotides in a modified mRNA sequence comprise a modified adenosine nucleotide. In some embodiments, 10% or more, 20% or more, 30% or more, 40% or more, 50% or more, 60% or more, 70% or more, 80% or more, 90% or more, 95% or more, 97% or more, 98% or more, 99% or more, or up to 100% of CpA dinucleotides in a modified mRNA sequence comprise a modified cytidine nucleotide and a modified adenosine nucleotide. [0066] Multiple cytidine nucleotides may be substituted with the same or different modified cytidine nucleotides, and multiple adenosine nucleotides may be substituted with the same or different modified adenosine nucleotides. A modified cytidine nucleotide refers to a nucleotide comprising a structure different from the conventional structure of cytidine monophosphate (CMP) in an mRNA, but is still capable of hydrogen bonding with guanine (e.g., guanine of a guanosine nucleotide on a tRNA). A modified adenosine nucleotide refers to a nucleotide comprising a structure different from the conventional structure of adenosine monophosphate (AMP) in an mRNA, but is still capable of hydrogen bonding with uracil (e.g., uracil of a uridine nucleotide on a tRNA). A modified cytidine nucleotide may comprise a modified cytosine nucleobase (i.e., nucleobase that is capable of hydrogen bonding with guanine but has a different structure than canonical cytosine), a modified sugar (i.e., sugar other than ribose), and/or a modified phosphate (i.e., internucleoside linkage different from the canonical phosphate structure). Similarly, a modified adenosine nucleotide may comprise a modified adenine nucleobase (i.e., nucleobase that is capable of hydrogen bonding with uracil but has a different structure than canonical adenine), a modified sugar, and/or a modified phosphate. Non-limiting examples of modified nucleotides, including examples of modified nucleobases, modified sugars, and modified phosphates, are described in the section below entitled “Nucleic acids.” Nucleic acids [0067] Some aspects relate to compositions comprising nucleic acids and methods of producing nucleic acids. As used herein, the term “nucleic acid” includes multiple nucleotides (i.e., molecules comprising a sugar (e.g., ribose or deoxyribose) linked to a phosphate group and to an exchangeable organic base, which is either a substituted pyrimidine (e.g., cytosine (C), thymine (T) or uracil (U)) or a substituted purine (e.g., adenine (A) or guanine (G))). The term nucleic acid includes polyribonucleotides as well as polydeoxyribonucleotides. The term nucleic acid also includes polynucleosides (i.e., a polynucleotide minus the phosphate) and any other organic base containing polymer. Non-limiting examples of nucleic acids include chromosomes, genomic loci, genes, or gene segments that encode polynucleotides or polypeptides, coding sequences, non-coding sequences (e.g., intron, 5′-UTR, or 3′-UTR) of a gene, pri-mRNA, pre- mRNA, cDNA, mRNA, etc. A nucleic acid (e.g., mRNA) may include a substitution and/or modification. In some embodiments, the substitution and/or modification is in one or more bases and/or sugars. For example, in some embodiments a nucleic acid (e.g., mRNA) includes nucleotides having an organic group, such as a methyl group, attached to a nucleic acid base at the N6 position. Thus, in some embodiments, an mRNA Ies one or more N6-methyladenosine nucleotides. A phosphate, sugar, or nucleic acid base of a nucleotide may also be substituted for another phosphate, sugar, or nucleic acid base. For example, a uridine base may be substituted for a pseudouridine base, in which the uracil base is attached to the sugar by a carbon-carbon bond rather than a nitrogen-carbon bond. Thus, in some embodiments, a nucleic acid (e.g., mRNA) is heterogeneous in backbone composition thereby containing any possible combination of polymer units linked together such as peptide-nucleic acids (which have an amino acid backbone with nucleic acid bases). [0068] The nucleic acids may include nucleic acid sequences that have been removed from their naturally occurring environment, recombinant or cloned DNA isolates, and chemically synthesized analogues or analogues biologically synthesized by heterologous systems. [0069] An “engineered nucleic acid” is a nucleic acid that does not occur in nature. It should be understood, however, that while an engineered nucleic acid as a whole is not naturally- occurring, it may include nucleotide sequences that occur in nature. In some embodiments, an engineered nucleic acid comprises nucleotide sequences from different organisms (e.g., from different species). For example, in some embodiments, an engineered nucleic acid includes a bacterial nucleotide sequence, a human nucleotide sequence, and/or a viral nucleotide sequence. [0070] Engineered nucleic acids include recombinant nucleic acids and synthetic nucleic acids. A “recombinant nucleic acid” is a molecule that is constructed by joining nucleic acids (e.g., isolated nucleic acids, synthetic nucleic acids, or a combination thereof) and, in some embodiments, can replicate in a living cell. A “synthetic nucleic acid” is a molecule that is amplified or chemically, or by other means, synthesized. A synthetic nucleic acid includes those that are chemically modified, or otherwise modified, but can base pair with naturally-occurring nucleic acid molecules. Recombinant and synthetic nucleic acids also include those molecules that result from the replication of either of the foregoing. A nucleic may comprise naturally occurring nucleotides and/or non-naturally occurring nucleotides such as modified nucleotides. [0071] In some embodiments, a nucleic acid is present in (or on) a vector. Examples of vectors include but are not limited to bacterial plasmids, phage, cosmids, phasmids, fosmids, bacterial artificial chromosomes, yeast artificial chromosomes, viruses, and retroviruses (for example vaccinia, adenovirus, adeno-associated virus, lentivirus, herpes-simplex virus, Epstein- Barr virus, fowlpox virus, pseudorabies, baculovirus) and vectors derived therefrom. In some embodiments, a nucleic acid (e.g., DNA) used as an input molecule for in vitro transcription (IVT) is present in a plasmid vector. [0072] When applied to a nucleic acid sequence, the term “isolated” denotes that the polynucleotide sequence has been removed from its natural genetic milieu and is thus free of other extraneous or unwanted coding sequences (but may include naturally occurring 5′ and 3′ untranslated regions such as promoters and terminators), and is in a form suitable for use within genetically engineered protein production systems. Such isolated molecules are those that are separated from their natural environment. [0073] The terms 5′ and 3′ are used herein to describe features of a nucleic acid sequence related to either the position of genetic elements and/or the direction of events (5′ to 3′), such as e.g. transcription by RNA polymerase or translation by the ribosome which proceeds in 5′ to 3′ direction. Synonyms are upstream (5′) and downstream (3′). Conventionally, DNA sequences, gene maps, vector cards and RNA sequences are drawn with 5′ to 3′ from left to right or the 5′ to 3′ direction is indicated with arrows, wherein the arrowhead points in the 3′ direction. Accordingly, 5′ (upstream) indicates genetic elements positioned towards the left-hand side, and 3′ (downstream) indicates genetic elements positioned towards the right-hand side, when following this convention. [0074] A nucleic acid (e.g., mRNA) typically comprises a plurality of nucleotides. A nucleotide includes a nitrogenous base, a five-carbon sugar (ribose or deoxyribose), and at least one phosphate group. Nucleotides include nucleoside monophosphates, nucleoside diphosphates, and nucleoside triphosphates. A nucleoside monophosphate (NMP) includes a nucleobase linked to a ribose and a single phosphate; a nucleoside diphosphate (NDP) includes a nucleobase linked to a ribose and two phosphates; and a nucleoside triphosphate (NTP) includes a nucleobase linked to a ribose and three phosphates. Nucleotide analogs are compounds that have the general structure of a nucleotide or are structurally similar to a nucleotide. Nucleotide analogs, for example, include an analog of the nucleobase, an analog of the sugar and/or an analog of the phosphate group(s) of a nucleotide. [0075] A nucleoside includes a nitrogenous base and a 5-carbon sugar. Thus, a nucleoside plus a phosphate group yields a nucleotide. Nucleoside analogs are compounds that have the general structure of a nucleoside or are structurally similar to a nucleoside. Nucleoside analogs, for example, include an analog of the nucleobase and/or an analog of the sugar of a nucleoside. [0076] It should be understood that the term “nucleotide” includes naturally-occurring nucleotides, synthetic nucleotides and modified nucleotides, unless indicated otherwise. Examples of naturally-occurring nucleotides used for the production of RNA, e.g., in an IVT reaction, include adenosine triphosphate (ATP), guanosine triphosphate (GTP), cytidine triphosphate (CTP), uridine triphosphate (UTP), and 5-methyluridine triphosphate (m
5UTP). In some embodiments, adenosine diphosphate (ADP), guanosine diphosphate (GDP), cytidine diphosphate (CDP), and/or uridine diphosphate (UDP) are used. [0077] Examples of nucleotide analogs include, but are not limited to, antiviral nucleotide analogs, phosphate analogs (soluble or immobilized, hydrolyzable or non-hydrolyzable), dinucleotide, trinucleotide, tetranucleotide, e.g., a cap analog, or a precursor/substrate for enzymatic capping (vaccinia or ligase), a nucleotide labeled with a functional group to facilitate ligation/conjugation of cap or 5 ^ moiety (IRES), a nucleotide labeled with a 5 ^ PO4 to facilitate ligation of cap or 5 ^ moiety, or a nucleotide labeled with a functional group/protecting group that can be chemically or enzymatically cleaved. Examples of antiviral nucleotide/nucleoside analogs include, but are not limited, to Ganciclovir, Entecavir, Telbivudine, Vidarabine and Cidofovir. [0078] Modified nucleotides may include modified nucleobases. For example, an RNA transcript (e.g., mRNA transcript) may include a modified nucleobase selected from pseudouracil (ψ), N1-methylpseudouracil (m1ψ), 1-ethylpseudouracil, 2-thiouracil, 4′-thiouracil, 2-thio-1- methyl-1-deaza-pseudouracil, 2-thio-1-methyl-pseudouracil, 2-thio-5-aza-uracil, 2-thio- dihydropseudouracil, 2-thio-dihydrouracil, 2-thio-pseudouracil, 4-methoxy-2-thio-pseudouracil, 4-methoxy-pseudouracil, 4-thio-1-methyl-pseudouracil, 4-thio-pseudouracil, 5-aza-uracil, dihydropseudouracil, 5-methyluracil, 5-methoxyuracil (mo5U) and 2′-O-methyluracil. In some embodiments, an RNA transcript may include a modified cytosine nucleobase selected from digoxigeninated cytosine, 2-thiocytosine, 5-aminoallylcytosine, 5-bromocytosine, 5- carboxycytosine, 5-formylcytosine, 5-hydroxycytosine, 5-hydroxymethylcytosine, 5- methoxycytosine, 5-methylcytosine, 5-propargylaminocytosine, 5-propynylcytosine, 6- azacytosine, aracytosine, cyanine 3-5-propargylaminocytosine, cyanine 3-aminoallylcytosine, cyanine 5-6-propargylaminocytosine, cyanine 5-aminoallylcytosine, desthiobiotin-6- aminoallylcytosine, N4-biotin-OBEA-cytosine, N4-methylcytosine, pseudoisocytosine, and thienocytosine. In some embodiments, an RNA transcript may include a modified adenine nucleobase selected from digoxigeninated adenine, N6-methyladenine, 7-deazaadenine, 7-deaza- 7-propargylaminoadenine, 8-azaadenine, 8-azidoadenine, 8-chloroadenine, 8-oxoadenine, araadenine, N1-methyladenine, N6-methyladenine, 3-deazaadenine, 2,6-diaminoadenine, 2- methyl-thio-N6-isopentenyladenine (ms2i6A), 2-methylthio-N6-methyladenine (ms2m6A), N6- (cis-hydroxyisopentenyl)adenine (io6A), 2-methylthio-N6-(cis-hydroxyisopentenyl)adenine (ms2io6A), N6-glycinylcarbamoyladenine (g6A), N6-threonylcarbamoyladenine (t6A), 2- methylthio-N6-threonyl carbamoyladenine (ms2t6A), N6-methyl-N6-threonylcarbamoyladenine (m6t6A), N6-hydroxynorvalylcarbamoyladenine (hn6A), 2-methylthio-N6-hydroxynorvalyl carbamoyladenine (ms2hn6A), N6,N6-dimethyladenine (m62A), and N6-acetyladenine (ac6A). In some embodiments, an RNA transcript (e.g., mRNA transcript) includes a combination of at least two (e.g., 2, 3, 4 or more) of the foregoing modified nucleobases. [0079] Modified nucleotides may include modified sugars. For example, an RNA transcript (e.g., mRNA transcript) may include a modified sugar selected from 2′-thioribose, 2′,3′- dideoxyribose, 2′-amino-2′-deoxyribose, 2′ deoxyribose, 2′-azido-2′-deoxyribose, 2′-fluoro-2′- deoxyribose, 2′-O-methylribose, 2′-O-methyldeoxyribose, 3′-amino-2′,3′-dideoxyribose, 3′- azido-2′,3′-dideoxyribose, 3′-deoxyribose, 3′-O-(2-nitrobenzyl)-2′-deoxyribose, 3′-O- methylribose, 5′-aminoribose, 5′-thioribose, 5-nitro-1-indolyl-2′-deoxyribose, 5′-biotin-ribose, 2′- O,4′-C-methylene-linked, 2′-O,4′-C-amino-linked ribose, and 2′-O,4′-C-thio-linked ribose. In some embodiments, an RNA transcript (e.g., mRNA transcript) includes a combination of at least two (e.g., 2, 3, 4 or more) of the foregoing modified sugars. [0080] Modified nucleotides may include modified phosphates. A modified phosphate group is a phosphate group that differs from the canonical structure of phosphate. An example of a canonical structure of a phosphate is shown below: , where R
5 and R
3 are atoms or molecules to which the canonical phosphate is bonded. For example, for a phosphate in a nucleic acid sequence, R5 may refer to the upstream nucleotide of the nucleic acid, and R3 may refer to the downstream nucleotide of the nucleic acid. The canonical structure of phosphate also refers to structures in which one or more hydroxyl groups of the phosphate are deprotonated, or in which an oxygen atom of the phosphate is bonded to an adjacent nucleotide in a nucleic acid sequence. In some embodiments, an RNA transcript (e.g., mRNA transcript) may include a modified phosphate selected from phosphorothioate (PS), thiophosphate, 5′-O-methylphosphonate, 3′-O-methylphosphonate, 5′-hydroxyphosphonate, hydroxyphosphanate, phosphoroselenoate, selenophosphate, phosphoramidate, carbophosphonate, methylphosphonate, phenylphosphonate, ethylphosphonate, H-phosphonate, guanidinium ring, triazole ring, boranophosphate (BP), methylphosphonate, and guanidinopropyl phosphoramidate. In some embodiments, an RNA transcript (e.g., mRNA transcript) includes a combination of at least two (e.g., 2, 3, 4 or more) of the foregoing modified phosphates. [0081] mRNAs may be used to produce polypeptides of interest, such as therapeutic proteins and/or vaccine antigens. In some embodiments, an mRNA encodes a vaccine antigen. In some embodiments, an mRNA encodes a therapeutic protein. In some embodiments, the encoded polypeptide comprises 9–10,000, 9–9,000, 9–8,000, 9–7,000, 9–6,000, 9–5,000, 9–4,000, 9– 3,000, 9–2,000, 9–1,000, 9–500, 9–400, 9–300, 9–200, 9–100, 9–10,000, 100–9,000, 100–8,000, 100–7,000, 100–6,000, 100–5,000, 100–4,000, 100–3,000, 100–2,000, 100–1,000, 100–500, 100–400, 100–300, 100–200, 100–9,000, 200–10,000, 200–9,000200–8,000, 200–7,000, 200– 6,000, 200–5,000, 200–4,000, 200–3,000, 200–2,000, 200–1,000, 200–500, 200–400, 500– 10,000, 500–9,000, 500–8,000, 500–7,000, 500–6,000, 500–5,000, 500–4,000, 500–3,000, 500– 2,000, 500–1,000, 1,000–10,000, 1,000–9,000, 1,000–8,000, 1,000–7,000, 1,000–6,000, 1,000– 5,000, 1,000–4,000, 1,000–3,000, or 1,000–2,000 amino acids. In some embodiments, the encoded polypeptide consists of 9–10,000, 9–9,000, 9–8,000, 9–7,000, 9–6,000, 9–5,000, 9– 4,000, 9–3,000, 9–2,000, 9–1,000, 9–500, 9–400, 9–300, 9–200, 9–100, 9–10,000, 100–9,000, 100–8,000, 100–7,000, 100–6,000, 100–5,000, 100–4,000, 100–3,000, 100–2,000, 100–1,000, 100–500, 100–400, 100–300, 100–200, 100–9,000, 200–10,000, 200–9,000200–8,000, 200– 7,000, 200–6,000, 200–5,000, 200–4,000, 200–3,000, 200–2,000, 200–1,000, 200–500, 200– 400, 500–10,000, 500–9,000, 500–8,000, 500–7,000, 500–6,000, 500–5,000, 500–4,000, 500– 3,000, 500–2,000, 500–1,000, 1,000–10,000, 1,000–9,000, 1,000–8,000, 1,000–7,000, 1,000– 6,000, 1,000–5,000, 1,000–4,000, 1,000–3,000, or 1,000–2,000 amino acids. In some embodiments, the encoded polypeptide comprises 9–5,000 amino acids. In some embodiments, the encoded polypeptide consists of 9–5,000 amino acids. In some embodiments, the encoded polypeptide comprises 20–4,000 amino acids. In some embodiments, the encoded polypeptide consists of 20–4,000 amino acids. In some embodiments, the encoded polypeptide comprises 30– 3,000 amino acids. In some embodiments, the encoded polypeptide consists of 30–3,000 amino acids. In some embodiments, the encoded polypeptide comprises 40–2,000 amino acids. In some embodiments, the encoded polypeptide consists of 40–2,000 amino acids. In some embodiments, the encoded polypeptide comprises 50–1,500 amino acids. In some embodiments, the encoded polypeptide consists of 50–1,500 amino acids. In some embodiments, the encoded polypeptide comprises 100–5,000 amino acids. In some embodiments, the encoded polypeptide consists of 100–5,000 amino acids. In some embodiments, the encoded polypeptide comprises 200–4,000 amino acids. In some embodiments, the encoded polypeptide consists of 200–4,000 amino acids. In some embodiments, the encoded polypeptide comprises 300–3,000 amino acids. In some embodiments, the encoded polypeptide consists of 300–3,000 amino acids. In some embodiments, the encoded polypeptide comprises 400–2,000 amino acids. In some embodiments, the encoded polypeptide consists of 400–2,000 amino acids. In some embodiments, the encoded polypeptide comprises 500–1,500 amino acids. In some embodiments, the encoded polypeptide consists of 500–1,500 amino acids. [0082] A therapeutic mRNA is an mRNA that encodes a therapeutic protein (the term ‘protein’ encompasses peptides). In some embodiments, RNA compositions comprise one or more RNAs that encode peptides or proteins that interact or complex in a cell or subject to form a multi-subunit protein (e.g., an antibody comprising a heavy chain and a light chain, a multi- subunit receptor protein, a multi-subunit signaling protein, a multi-subunit antigen, etc.) or a multivalent vaccine. [0083] Therapeutic proteins mediate a variety of effects in a host cell or in a subject to treat a disease or ameliorate the signs and symptoms of a disease. For example, a therapeutic protein can replace a protein that is deficient or abnormal, augment the function of an endogenous protein, provide a novel function to a cell (e.g., inhibit or activate an endogenous cellular activity, or act as a delivery agent for another therapeutic compound (e.g., an antibody-drug conjugate). Therapeutic mRNA may be useful for the treatment of the following diseases and conditions: bacterial infections, viral infections, parasitic infections, cell proliferation disorders, genetic disorders, and autoimmune disorders. Other diseases and conditions are encompassed herein. [0084] A protein or proteins of interest encoded by an RNA composition can be essentially any protein or peptide (e.g., peptide antigen). [0085] In some embodiments, a therapeutic peptide or therapeutic protein is a biologic. A biologic is a polypeptide-based molecule that may be used to treat, cure, mitigate, prevent, or diagnose a serious or life-threatening disease or medical condition. Biologics include, but are not limited to, allergenic extracts (e.g. for allergy shots and tests), blood components, gene therapy products, human tissue or cellular products used in transplantation, vaccines, monoclonal antibodies, cytokines, growth factors, enzymes, thrombolytics, and immunomodulators, among others. [0086] In some embodiments, the therapeutic protein is a cytokine, a growth factor, an antibody (e.g., monoclonal antibody), a fusion protein, or a vaccine (e.g., an RNA encoding one or more peptide antigens designed to elicit an immune response in a subject). Non-limiting examples of therapeutic proteins include blood factors (such as Factor VIII and Factor VII), complement factors, Low Density Lipoprotein Receptor (LDLR) and MUT1. Non-limiting examples of cytokines include interleukins, interferons, chemokines, lymphokines and the like. Non-limiting examples of growth factors include erythropoietin, EGFs, PDGFs, FGFs, TGFs, IGFs, TNFs, CSFs, MCSFs, GMCSFs and the like. Non-limiting examples of antibodies include adalimumab, infliximab, rituximab, ipilimumab, tocilizumab, canakinumab, itolizumab, tralokinumab, anti-influenza virus monoclonal antibody, anti-Chikungunya virus monoclonal antibody, anti-Zika virus monoclonal antibody, anti-SARS-CoV-2 monoclonal antibody. Non- limiting examples of fusion proteins include, for example, etanercept, abatacept and belatacept. Non-limiting examples of multivalent vaccines include, for example, multivalent cytomegalovirus (CMV) vaccine, and personalized cancer vaccines. [0087] One or more biologics currently being marketed or in development may be encoded by the RNA. While not wishing to be bound by theory, it is believed that incorporation of the encoding polynucleotides of a known biologic into the RNA will result in improved therapeutic efficacy due at least in part to the specificity, purity and/or selectivity of the construct designs. [0088] An RNA composition may encode one or more antibodies (e.g., may comprise a first mRNA encoding an antibody heavy chain and a second RNA encoding an antibody light chain). The term “antibody” includes monoclonal antibodies (including full length antibodies which have an immunoglobulin Fc region), antibody compositions with polyepitopic specificity, multispecific antibodies (e.g., bispecific antibodies, diabodies, and single-chain molecules), as well as antibody fragments. The term “immunoglobulin” (Ig) is used interchangeably with “antibody” herein. A monoclonal antibody is an antibody obtained from a population of substantially homogeneous antibodies, i.e., the individual antibodies comprising the population are identical except for possible naturally occurring mutations and/or post-translation modifications (e.g., isomerizations, amidations) that may be present in minor amounts. Monoclonal antibodies are highly specific, being directed against a single antigenic site. [0089] Monoclonal antibodies specifically include chimeric antibodies (immunoglobulins) in which a portion of the heavy and/or light chain is identical with or homologous to corresponding sequences in antibodies derived from a particular species or belonging to a particular antibody class or subclass, while the remainder of the chain(s) is(are) identical with or homologous to corresponding sequences in antibodies derived from another species or belonging to another antibody class or subclass, as well as fragments of such antibodies, so long as they exhibit the desired biological activity. Chimeric antibodies include, but are not limited to, “primatized” antibodies comprising variable domain antigen-binding sequences derived from a non-human primate (e.g., Old World Monkey, Ape etc.) and human constant region sequences. [0090] Antibodies encoded in the RNA compositions may be utilized to treat conditions or diseases in many therapeutic areas such as, but not limited to, blood, cardiovascular, CNS, poisoning (including antivenoms), dermatology, endocrinology, gastrointestinal, medical imaging, musculoskeletal, oncology, immunology, respiratory, sensory and anti-infective. [0091] An RNA composition may encode one or more vaccine antigens. A vaccine antigen is a biological preparation that improves immunity to a particular disease or infectious agent. One or more vaccine antigens currently being marketed or in development may be encoded by the RNA. Vaccine antigens encoded in the RNA may be utilized to treat conditions or diseases in many therapeutic areas such as, but not limited to, cancer, allergy, and infectious disease. In some embodiments, a vaccine may be a personalized vaccine in the form of a concatemer or individual RNAs encoding peptide epitopes or a combination thereof. [0092] An RNA composition may be designed to encode on or more antimicrobial peptides (AMP) or antiviral peptides (AVP). AMPs and AVPs have been isolated and described from a wide range of animals such as, but not limited to, microorganisms, invertebrates, plants, amphibians, birds, fish, and mammals. The anti-microbial polypeptides may block cell fusion and/or viral entry by one or more enveloped viruses (e.g., HIV, HCV). For example, the anti- microbial polypeptide can comprise or consist of a synthetic peptide corresponding to a region, e.g., a consecutive sequence of at least about 5, 10, 15, 20, 25, 30, 35, 40, 45, 50, 55, or 60 amino acids of the transmembrane subunit of a viral envelope protein, e.g., HIV-1 gp120 or gp41. The amino acid and nucleotide sequences of HIV-1 gp120 or gp41 are described in, e.g., Kuiken et al., (2008). “HIV Sequence Compendium,” Los Alamos National Laboratory. [0093] In some embodiments, RNA transcripts (e.g., mRNA) are used for in vitro translation and microinjection. In some embodiments, RNA transcripts are used for RNA structure, processing and catalysis studies. In some embodiments, RNA transcripts are used for RNA amplification. In some embodiments, RNA transcripts are used as anti-sense RNA for gene expression modulation. Other applications are also encompassed. 5′ cap structures [0094] In some embodiments, a composition includes an RNA polynucleotide having an open reading frame encoding at least one polypeptide having at least one modification, at least one 5′ terminal cap. [0095] 5′ terminal caps can include endogenous caps or cap analogs. According to the present invention, a 5′ terminal cap can comprise a guanine analog. Useful guanine analogs include, but are not limited to, inosine, N1-methyl-guanosine, 2′fluoro-guanosine, 7-deaza- guanosine, 8-oxo-guanosine, 2-amino-guanosine, LNA-guanosine, and 2-azido-guanosine. [0096] Exemplary caps also include those that can be used in co-transcriptional capping methods for ribonucleic acid (RNA) synthesis, using RNA polymerase, e.g., wild type RNA polymerase or variants thereof. In one embodiment, caps can be added when RNA is produced in a “one-pot” reaction, without the need for a separate capping reaction. Thus, the methods, in some embodiments, comprise reacting a polynucleotide template with a RNA polymerase variant, nucleoside triphosphates, and a cap analog under in vitro transcription reaction conditions to produce RNA transcript. [0097] In some embodiments, the cap analog binds to a polynucleotide template that comprises a promoter region comprising a transcriptional start site having a first nucleotide at nucleotide position +1, a second nucleotide at nucleotide position +2, and a third nucleotide at nucleotide position +3. In some embodiments, the cap analog hybridizes to the polynucleotide template at least at nucleotide position +1, such as at the +1 and +2 positions, or at the +1, +2, and +3 positions. [0098] A cap analog may be, for example, a dinucleotide cap, a trinucleotide cap, or a tetranucleotide cap. In some embodiments, a cap analog is a dinucleotide cap. In some embodiments, a cap analog is a trinucleotide cap. In some embodiments, a cap analog is a tetranucleotide cap. As used here the term “cap” includes the inverted G nucleotide and can comprise additional nucleotides 3’ of the inverted G, .e.g., 1, 2, or more nucleotides 3’ of the inverted G and 5’ to the 5’ UTR. [0099] Exemplary caps comprise a sequence GG, GA, or GGA wherein the underlined, italicized G is an inverted G. [0100] In some embodiments, a trinucleotide cap comprises a compound of Formula (III) or (IV), or a stereoisomer, tautomer, or salt thereof.
Formula (III) [0101] A trinucleotide cap, in some embodiments, comprises a compound of formula (III):
 ring B
1 is a modified or unmodified Guanine; ring B2 and ring B3 each independently is a nucleobase or a modified nucleobase; X2 is O, S(O)p, NR24 or CR25R26 in which p is 0, 1, or 2; Y
0 is O or CR
6R
7; Y1 is O, S(O)n, CR6R7, or NR8, in which n is 0, 1, or 2; each --- is a single bond or absent, wherein when each --- is a single bond, Yi is O, S(O)n, CR
6R
7, or NR
8; and when each --- is absent, Y
1 is void; Y
2 is (OP(O)R
4)
m in which m is 0, 1, or 2, or -O-(CR
40R
41)u-Q
0-(CR
42R
43)v-, in which Q
0 is a bond, O, S(O)r, NR44, or CR45R46, r is 0, 1 , or 2, and each of u and v independently is 1, 2, 3 or 4; each R
2 and R
2' independently is halo, LNA, or OR
3; each R3 independently is H, C1-C6 alkyl, C2-C6 alkenyl, or C2-C6 alkynyl and R3, when being C1-C6 alkyl, C2-C6 alkenyl, or C2-C6 alkynyl, is optionally substituted with one or more of halo, OH and C
1-C
6 alkoxyl that is optionally substituted with one or more OH or OC(O)-C
1-C
6 alkyl; each R4 and R4' independently is H, halo, C1-C6 alkyl, OH, SH, SeH, or BH3-; each of R
6, R
7, and R
8, independently, is -Q
1-T
1, in which Q
1 is a bond or C
1-C
3 alkyl linker optionally substituted with one or more of halo, cyano, OH and C
1-C
6 alkoxy, and T
1 is H, halo, OH, COOH, cyano, or R
s1, in which R
s1 is C
1-C
3 alkyl, C
2-C
6 alkenyl, C
2-C
6 alkynyl, C
1- C6 alkoxyl, C(O)O-C1-C6 alkyl, C3-C8 cycloalkyl, C6-C10 aryl, NR31R32, (NR31R32R33)
+, 4 to 12- membered heterocycloalkyl, or 5- or 6-membered heteroaryl, and R
s1 is optionally substituted with one or more substituents selected from the group consisting of halo, OH, oxo, C
1-C
6 alkyl, COOH, C(O)O-C1-C6 alkyl, cyano, C1-C6 alkoxyl, NR31R32, (NR31R32R33)
+, C3-C8 cycloalkyl, C6-C10 aryl, 4 to 12-membered heterocycloalkyl, and 5- or 6-membered heteroaryl; each of R
10, R
11, R
12, R
13 R
14, and R
15, independently, is -Q
2-T
2, in which Q
2 is a bond or C1-C3 alkyl linker optionally substituted with one or more of halo, cyano, OH and C1-C6 alkoxy, and T2 is H, halo, OH, NH2, cyano, NO2, N3, Rs2, or ORs2, in which Rs2 is C1-C6 alkyl, C2-C6 alkenyl, C
2-C
6 alkynyl, C
3-C
8 cycloalkyl, C
6-C
10 aryl, NHC(O)-C
1-C
6 alkyl, NR
31R
32, (NR
31R
32R
33)
+, 4 to 12-membered heterocycloalkyl, or 5- or 6-membered heteroaryl, and R
s2 is optionally substituted with one or more substituents selected from the group consisting of halo, OH, oxo, C
1-C
6 alkyl, COOH, C(O)O-C
1-C
6 alkyl, cyano, C
1 - C
6 alkoxyl, NR
31R
32, (NR
31R
32R
33)
+, C
3-C
8 cycloalkyl, C
6-C
10 aryl, 4 to 12-membered heterocycloalkyl, and 5- or 6- membered heteroaryl; or alternatively R12 together with R14 is oxo, or R13 together with R15 is oxo, each of R
20, R
21, R
22, and R
23 independently is -Q
3-T
3, in which Q
3 is a bond or C
1-C
3 alkyl linker optionally substituted with one or more of halo, cyano, OH and C1-C6 alkoxy, and T3 is H, halo, OH, NH2, cyano, NO2, N3, RS3, or ORS3, in which RS3 is C1-C6 alkyl, C2- C
6 alkenyl, C
2-C
6 alkynyl, C
3-C
8 cycloalkyl, C
6-C
10 aryl, NHC(O)-C
1-C
6 alkyl, mono-C
1- C
6 alkylamino, di-C
1-C
6 alkylamino, 4 to 12-membered heterocycloalkyl, or 5- or 6-membered heteroaryl, and Rs3 is optionally substituted with one or more substituents selected from the group consisting of halo, OH, oxo, C
1-C
6 alkyl, COOH, C(O)O-C
1-C
6 alkyl, cyano, C
1-C
6 alkoxyl, amino, mono-C
1-C
6 alkylamino, di-C
1-C
6 alkylamino, C
3-C
8 cycloalkyl, C
6-C
10 aryl, 4 to 12-membered heterocycloalkyl, and 5- or 6-membered heteroaryl; each of R
24, R
25, and R
26 independently is H or C
1-C
6 alkyl; each of R
27 and R
28 independently is H or OR
29; or R
27 and R
28 together form O-R
30-O; each R29 independently is H, C1-C6 alkyl, C2-C6 alkenyl, or C2-C6 alkynyl and R29, when being C1-C6 alkyl, C2-C6 alkenyl, or C2-C6 alkynyl, is optionally substituted with one or more of halo, OH and C
1-C
6 alkoxyl that is optionally substituted with one or more OH or OC(O)-C
1-C
6 alkyl; R
30 is C
1-C
6 alkylene optionally substituted with one or more of halo, OH and C
1-C
6 alkoxyl; each of R
31, R
32, and R
33, independently is H, C
1-C
6 alkyl, C
3-C
8 cycloalkyl, C
6-C
10 aryl, 4 to 12-membered heterocycloalkyl, or 5- or 6-membered heteroaryl;  each of R
40, R
41, R
42, and R
43 independently is H, halo, OH, cyano, N
3, OP(O)R
47R
48, or C1-C6 alkyl optionally substituted with one or more OP(O)R47R48, or one R41 and one R43, together with the carbon atoms to which they are attached and Q
0, form C
4-C
10 cycloalkyl, 4- to 14-membered heterocycloalkyl, C
6-C
10 aryl, or 5- to 14-membered heteroaryl, and each of the cycloalkyl, heterocycloalkyl, phenyl, or 5- to 6-membered heteroaryl is optionally substituted with one or more of OH, halo, cyano, N3, oxo, OP(O)R47R48, C1-C6 alkyl, C1-C6 haloalkyl, COOH, C(O)O-C
1-C
6 alkyl, C
1-C
6 alkoxyl, C
1-C
6 haloalkoxyl, amino, mono-C
1-C
6 alkylamino, and di-C1-C6 alkylamino; R44 is H, C1-C6 alkyl, or an amine protecting group; each of R
45 and R
46 independently is H, OP(O)R
47R
48, or C
1-C
6 alkyl optionally substituted with one or more OP(O)R
47R
48, and each of R47 and R48, independently is H, halo, C1-C6 alkyl, OH, SH, SeH, or BH3. [0102] It should be understood that a cap analog may include any of the cap analogs described in international publication WO 2017/066797, published on 20 April 2017, incorporated by reference herein in its entirety. [0103] In some embodiments, the B
2 middle position can be a non-ribose molecule, such as arabinose. [0104] In some embodiments R2 is ethyl-based. [0105] Thus, in some embodiments, a trinucleotide cap comprises the following structure:
 (IIIa), or a stereoisomer, tautomer, or salt thereof. [0106] In yet other embodiments, a trinucleotide cap comprises the following structure:
 (IIIb), or a stereoisomer, tautomer or salt thereof. [0107] In still other embodiments, a trinucleotide cap comprises the following structure:
 (IIIc), or a stereoisomer, tautomer, or salt thereof. [0108] In some embodiments, R is an alkyl (e.g., C
1-C
6 alkyl). In some embodiments, R is a methyl group (e.g., C
1 alkyl). In some embodiments, R is an ethyl group (e.g., C
2 alkyl). [0109] A trinucleotide cap, in some embodiments, comprises a sequence selected from the following sequences: GAA, GAC, GAG, GAU, GCA, GCC, GCG, GCU, GGA, GGC, GGG, GGU, GUA, GUC, GUG, and GUU. In some embodiments, a trinucleotide cap comprises GAA. In some embodiments, a trinucleotide cap comprises GAC. In some embodiments, a trinucleotide cap comprises GAG. In some embodiments, a trinucleotide cap comprises GAU. In some embodiments, a trinucleotide cap comprises GCA. In some embodiments, a trinucleotide cap comprises GCC. In some embodiments, a trinucleotide cap comprises GCG. In some embodiments, a trinucleotide cap comprises GCU. In some embodiments, a trinucleotide cap comprises GGA. In some embodiments, a trinucleotide cap comprises GGC. In some embodiments, a trinucleotide cap comprises GGG. In some embodiments, a trinucleotide cap comprises GGU. In some embodiments, a trinucleotide cap comprises GUA. In some embodiments, a trinucleotide cap comprises GUC. In some embodiments, a trinucleotide cap comprises GUG. In some embodiments, a trinucleotide cap comprises GUU. [0110] In some embodiments, a trinucleotide cap comprises a sequence selected from the following sequences: m
7GpppApA, m
7GpppApC, m
7GpppApG, m
7GpppApU, m
7GpppCpA, m
7GpppCpC, m
7GpppCpG, m
7GpppCpU, m
7GpppGpA, m
7GpppGpC, m
7GpppGpG, m
7GpppGpU, m
7GpppUpA, m
7GpppUpC, m
7GpppUpG, and m
7GpppUpU. [0111] In some embodiments, a trinucleotide cap comprises m
7GpppApA. In some embodiments, a trinucleotide cap comprises m
7GpppApC. In some embodiments, a trinucleotide cap comprises m
7GpppApG. In some embodiments, a trinucleotide cap comprises m
7GpppApU. In some embodiments, a trinucleotide cap comprises m
7GpppCpA. In some embodiments, a trinucleotide cap comprises m
7GpppCpC. In some embodiments, a trinucleotide cap comprises m
7GpppCpG. In some embodiments, a trinucleotide cap comprises m
7GpppCpU. In some embodiments, a trinucleotide cap comprises m
7GpppGpA. In some embodiments, a trinucleotide cap comprises m
7GpppGpC. In some embodiments, a trinucleotide cap comprises m
7GpppGpG. In some embodiments, a trinucleotide cap comprises m
7GpppGpU. In some embodiments, a trinucleotide cap comprises m
7GpppUpA. In some embodiments, a trinucleotide cap comprises m
7GpppUpC. In some embodiments, a trinucleotide cap comprises m
7GpppUpG. In some embodiments, a trinucleotide cap comprises m
7GpppUpU. [0112] A trinucleotide cap, in some embodiments, comprises a sequence selected from the following sequences: m
7g3′OMepppApA, m
7g3′OMepppApC, m
7g3′OMepppApG, m
7g3′OMepppApU, m
7g3′OMepppCpA, m
7g3′OMepppCpC, m
7g3′OMepppCpG, m
7g3′OMepppCpU, m
7g3′OMepppGpA, m
7g3′OMepppGpC, m
7g3′OMepppGpG, m
7g3′OMepppGpU, m
7g3′OMepppUpA, m
7g3′OMepppUpC, m
7G3′OmepppUpG, and m
7G3′OMepppUpU. [0113] In some embodiments, a trinucleotide cap comprises m
7G3′OMepppApA. In some embodiments, a trinucleotide cap comprises m
7G3′OMepppApC. In some embodiments, a trinucleotide cap comprises m
7G3′OMepppApG. In some embodiments, a trinucleotide cap comprises m
7G
3′
OMepppApU. In some embodiments, a trinucleotide cap comprises m
7G
3′
OMepppCpA. In some embodiments, a trinucleotide cap comprises m
7G
3′
OMepppCpC. In some embodiments, a trinucleotide cap comprises m
7G
3′
OMepppCpG. In some embodiments, a trinucleotide cap comprises m
7G
3′
OMepppCpU. In some embodiments, a trinucleotide cap comprises m
7G
3′
OMepppGpA. In some embodiments, a trinucleotide cap comprises m
7G
3′
OMepppGpC. In some embodiments, a trinucleotide cap comprises m
7G
3′
OMepppGpG. In some embodiments, a trinucleotide cap comprises m
7G3′OMepppGpU. In some embodiments, a trinucleotide cap comprises m
7G
3′
OMepppUpA. In some embodiments, a trinucleotide cap comprises m
7G
3′
OMepppUpC. In some embodiments, a trinucleotide cap comprises m
7G
3′
OMepppUpG. In some embodiments, a trinucleotide cap comprises m
7G
3′
OMepppUpU. [0114] A trinucleotide cap, in other embodiments, comprises a sequence selected from the following sequences: m
7G3′OMepppA2′OMepA, m
7G3′OMepppA2′OMepC, m
7G3′OMepppA2′OMepG, m
7G3′OMepppA2′OMepU, m
7G3′OMepppC2′OMepA, m
7G3′OMepppC2′OMepC, m
7G3′OMepppC2′OMepG, m
7G3′OMepppC2′OMepU, m
7G3′OMepppG2′OMepA, m
7G3′OMepppG2′OMepC, m
7G3′OMepppG2′OMepG, m
7G
3′
OMepppG
2′
OMepU, m
7G
3′
OMepppU
2′
OMepA, m
7G
3′
OMepppU
2′
OMepC, m
7G
3′
OMepppu
2′
OMepG, and m
7G
3′
OMepppU
2′
OMepU. [0115] In some embodiments, a trinucleotide cap comprises m
7G
3′
OMepppA
2′
OMepA. In some embodiments, a trinucleotide cap comprises m
7G
3′
OMepppA
2′
OMepC. In some embodiments, a trinucleotide cap comprises m
7G
3′
OMepppA
2′
OMepG. In some embodiments, a trinucleotide cap comprises m
7G
3′
OMepppA
2′
OMepU. In some embodiments, a trinucleotide cap comprises m
7G
3′
OMepppC
2′
OMepA. In some embodiments, a trinucleotide cap comprises m
7G
3′
OMepppC
2′
OMepC. In some embodiments, a trinucleotide cap comprises m
7G
3′
OMepppC
2′
OMepG. In some embodiments, a trinucleotide cap comprises m
7G3′OMepppC2′OMepU. In some embodiments, a trinucleotide cap comprises m
7G3′OMepppG2′OMepA. In some embodiments, a trinucleotide cap comprises m
7G3′OMepppG2′OMepC. In some embodiments, a trinucleotide cap comprises m
7G3′OMepppG2′OMepG. In some embodiments, a trinucleotide cap comprises m
7G3′OMepppG2′OMepU. In some embodiments, a trinucleotide cap comprises m
7G3′OMepppU2′OMepA. In some embodiments, a trinucleotide cap comprises m
7G3′OMepppU2′OMepC. In some embodiments, a trinucleotide cap comprises m
7G3′OMepppU2′OMepG. In some embodiments, a trinucleotide cap comprises m
7G3′OMepppU2′OMepU. [0116] A trinucleotide cap, in still other embodiments, comprises a sequence selected from the following sequences: m
7Gpppa2′OMepA, m
7Gpppa2′OMepC, m
7Gpppa2′OMepG, m
7Gpppa2′OMepU, m
7Gpppc2′OMepA, m
7Gpppc2′OMepC, m
7Gpppc2′OMepG, m
7Gpppc2′OMepU, m
7Gpppg2′OMepA, m
7Gpppg2′OMepC, m
7Gpppg2′OMepG, m
7Gpppg2′OMepU, m
7Gpppu2′OMepA, m
7Gpppu2′OMepC, m
7GpppU2′OmepG, and m
7GpppU2′OMepU. [0117] In some embodiments, a trinucleotide cap comprises m
7GpppA2′OMepA. In some embodiments, a trinucleotide cap comprises m
7GpppA2′OMepC. In some embodiments, a trinucleotide cap comprises m
7GpppA2′OMepG. In some embodiments, a trinucleotide cap comprises m
7GpppA
2′
OMepU. In some embodiments, a trinucleotide cap comprises m
7GpppC
2′
OMepA. In some embodiments, a trinucleotide cap comprises m
7GpppC
2′
OMepC. In some embodiments, a trinucleotide cap comprises m
7GpppC
2′
OMepG. In some embodiments, a trinucleotide cap comprises m
7GpppC
2′
OMepU. In some embodiments, a trinucleotide cap comprises m
7GpppG
2′
OMepA. In some embodiments, a trinucleotide cap comprises m
7GpppG
2′
OMepC. In some embodiments, a trinucleotide cap comprises m
7GpppG
2′
OMepG. In some embodiments, a trinucleotide cap comprises m
7GpppG
2′
OMepU. In some embodiments, a trinucleotide cap comprises m
7GpppU
2′
OMepA. In some embodiments, a trinucleotide cap comprises m
7GpppU
2′
OMepC. In some embodiments, a trinucleotide cap comprises m
7GpppU2′OMepG. In some embodiments, a trinucleotide cap comprises m
7GpppU2′OMepU. [0118] In some embodiments, a trinucleotide cap comprises m
7Gpppm
6A2’OmepG. In some embodiments, a trinucleotide cap comprises m
7Gpppe
6A
2’OmepG. [0119] In some embodiments, a trinucleotide cap comprises GAG. In some embodiments, a trinucleotide cap comprises GCG. In some embodiments, a trinucleotide cap comprises GUG. In some embodiments, a trinucleotide cap comprises GGG. [0120] In some embodiments, a trinucleotide cap comprises any one of the following structures:
  ), or a stereoisomer, tautomer, or salt thereof. [0121] In some embodiments, the cap analog comprises a tetranucleotide cap. In some embodiments, the tetranucleotide cap comprises a trinucleotide as set forth above. In some embodiments, the tetranucleotide cap comprises
m7GpppN
1N
2N
3, where N
1, N
2, and N
3 are optional (i.e., can be absent or one or more can be present) and are independently a natural, a modified, or an unnatural nucleoside base. In some embodiments,
m7G is further methylated, e.g., at the 3’ position. In some embodiments, the
m7G comprises an O-methyl at the 3’ position. In some embodiments N1, N2, and N3 if present, optionally, are independently an adenine, a uracil, a guanidine, a thymine, or a cytosine. In some embodiments, one or more (or all) of N1, N
2, and N
3, if present, are methylated, e.g., at the 2’ position. In some embodiments, one or more (or all) of N
1, N
2, and N
3, if present have an O-methyl at the 2’ position. Formula (IV) [0122] In some embodiments, the tetranucleotide cap comprises formula (IV):
 or a stereoisomer, tautomer, or salt thereof,  wherein B
1, B
2, and B
3 are independently a natural, a modified, or an unnatural nucleoside based; and R1, R2, R3, and R4 are independently OH or O-methyl. In some embodiments, R
3 is O-methyl and R
4 is OH. In some embodiments, R
3 and R
4 are O-methyl. In some embodiments, R
4 is O-methyl. In some embodiments, R
1 is OH, R
2 is OH, R
3 is O-methyl, and R4 is OH. In some embodiments, R1 is OH, R2 is OH, R3 is O-methyl, and R4 is O-methyl. In some embodiments, at least one of R1 and R2 is O-methyl, R3 is O-methyl, and R4 is OH. In some embodiments, at least one of R
1 and R
2 is O-methyl, R
3 is O-methyl, and R
4 is O-methyl. [0123] In some embodiments, B1, B3, and B3 are natural nucleoside bases. In some embodiments, at least one of B1, B2, and B3 is a modified or unnatural base. In some embodiments, at least one of B
1, B
2, and B
3 is N6-methyladenine. In some embodiments, B
1 is adenine, cytosine, thymine, or uracil. In some embodiments, B
1 is adenine, B
2 is uracil, and B
3 is adenine. In some embodiments, R1 and R2 are OH, R3 and R4 are O-methyl, B1 is adenine, B2 is uracil, and B
3 is adenine. [0124] In some embodiments the tetranucleotide cap comprises a sequence selected from the following sequences: GAAA, GACA, GAGA, GAUA, GCAA, GCCA, GCGA, GCUA, GGAA, GGCA, GGGA, GGUA, GUCA, and GUUA. In some embodiments the tetranucleotide cap comprises a sequence selected from the following sequences: GAAG, GACG, GAGG, GAUG, GCAG, GCCG, GCGG, GCUG, GGAG, GGCG, GGGG, GGUG, GUCG, GUGG, and GUUG. In some embodiments the tetranucleotide cap comprises a sequence selected from the following sequences: GAAU, GACU, GAGU, GAUU, GCAU, GCCU, GCGU, GCUU, GGAU, GGCU, GGGU, GGUU, GUAU, GUCU, GUGU, and GUUU. In some embodiments the tetranucleotide cap comprises a sequence selected from the following sequences: GAAC, GACC, GAGC, GAUC, GCAC, GCCC, GCGC, GCUC, GGAC, GGCC, GGGC, GGUC, GUAC, GUCC, GUGC, and GUUC. [0125] A tetranucleotide cap, in some embodiments, comprises a sequence selected from the following sequences: m
7G
3′
OMepppApApN, m
7G
3′
OMepppApCpN, m
7G
3′
OMepppApGpN, m
7G3′OMepppApUpN, m
7G3′OMepppCpApN, m
7G3′OMepppCpCpN, m
7G3′OMepppCpGpN, m
7G3′OMepppCpUpN, m
7G3′OMepppGpApN, m
7G3′OMepppGpCpN, m
7G3′OMepppGpGpN, m
7G3′OMepppGpUpN, m
7G3′OMepppUpApN, m
7G3′OMepppUpCpN, m
7G3′OMepppUpGpN, and m
7G3′OMepppUpUpN, where N is a natural, a modified, or an unnatural nucleoside base. [0126] A tetranucleotide cap, in other embodiments, comprises a sequence selected from the following sequences: m
7G
3′
OMepppA
2′
OMepapN, m
7G
3′
OMepppA
2′
OMepcpN, m
7G
3′
OMepppA
2′
OMepgpN, m
7G
3′
OMepppA
2′
OMepupN, m
7G
3′
OMepppC
2′
OMepapN, m
7G3′OMepppC2′OMepcpN, m
7G3′OMepppC2′OMepgpN, m
7G3′OMepppC2′OMepupN, m
7G3′OMepppG2′OMepapN, m
7G3′OMepppG2′OMepcpN, m
7G3′OMepppG2′OMepgpN, m
7G
3′
OMepppG
2′
OMepupN, m
7G
3′
OMepppU
2′
OMepapN, m
7G
3′
OMepppU
2′
OMepcpN, m
7G
3′
OMepppU
2′
OMepGpN, and m
7G
3′
OMepppU
2′
OMepUpN, where N is a natural, a modified, or an unnatural nucleoside base. [0127] A tetranucleotide cap, in still other embodiments, comprises a sequence selected from the following sequences: m
7GpppA2′OMepApN, m
7GpppA2′OMepCpN, m
7GpppA2′OMepGpN, m
7GpppA2′OMepUpN, m
7GpppC2′OMepApN, m
7GpppC2′OMepCpN, m
7GpppC2′OMepGpN, m
7GpppC2′OMepUpN, m
7GpppG2′OMepApN, m
7GpppG2′OMepCpN, m
7GpppG2′OMepGpN, m
7GpppG2′OMepUpN, m
7GpppU2′OMepApN, m
7GpppU2′OMepCpN, m
7GpppU2′OMepGpN, and m
7GpppU2′OMepUpN, where N is a natural, a modified, or an unnatural nucleoside base. [0128] A tetranucleotide cap, in other embodiments, comprises a sequence selected from the following sequences: m
7g3′OMepppA2′oMepA2′OMepN, m
7g3′OMepppA2′oMepC2′OMepN, m
7g3′OMepppA2′oMepG2′OMepN, m
7g3′OMepppA2′oMepU2′OMepN, m
7g3′OMepppC2′oMepA2′OMepN, m
7g3′OMepppC2′oMepC2′OMepN, m
7g3′OMepppC2′oMepG2′OMepN, m
7g3′OMepppC2′oMepU2′OMepN, m
7g3′OMepppG2′oMepA2′OMepN, m
7g3′OMepppG2′oMepC2′OMepN, m
7g3′OMepppG2′oMepG2′OMepN, m
7g3′OMepppG2′oMepU2′OMepN, m
7g3′OMepppU2′oMepA2′OMepN, m
7g3′OMepppU2′oMepC2′OMepN, m
7g3′OMepppU2′OMepg2′OMepN, and m
7g3′OMepppU2′OMepU2′OMepN, where N is a natural, a modified, or an unnatural nucleoside base. [0129] A tetranucleotide cap, in still other embodiments, comprises a sequence selected from the following sequences: m
7GpppA
2′
OMepa
2′
OMepn, m
7GpppA
2′
OMepc
2′
OMepn, m
7GpppA
2′
OMepg
2′
OMepn, m
7GpppA
2′
OMepu
2′
OMepn, m
7GpppC
2′
OMepa
2′
OMepn, m
7GpppC
2′
OMepc
2′
OMepn, m
7GpppC
2′
OMepg
2′
OMepn, m
7GpppC
2′
OMepu
2′
OMepn, m
7GpppG
2′
OMepa
2′
OMepn, m
7GpppG
2′
OMepc
2′
OMepn, m
7GpppG
2′
OMepg
2′
OMepn, m
7GpppG
2′
OMepu
2′
OMepn, m
7GpppU
2′
OMepa
2′
OMepn, m
7GpppU
2′
OMepc
2′
OMepn, m
7GpppU
2′
OMepG
2′
OmepN, and m
7GpppU
2′
OMepU
2′
OMepN, where N is a natural, a modified, or an unnatural nucleoside base. [0130] In some embodiments, a tetranucleotide cap comprises GGAG. In some embodiments, a tetranucleotide cap comprises the following structure:

 [0131] The capping efficiency of a post-transcriptional or co-transcriptional capping reaction may vary. As used herein “capping efficiency” refers to the amount (e.g., expressed as a percentage) of mRNAs comprising a cap structure relative to the total mRNAs in a mixture (e.g., a post-translational capping reaction or a co-transcriptional calling reaction). In some embodiments, the capping efficiency of a capping reaction is at least 60%, 70%, 80%, 90%, 95%, 99%, or 99.9% (e.g., after the capping reaction at least 60%, 70%, 80%, 90%, 95%, 99%, or 99.9% of the input mRNAs comprise a cap). In some embodiments, multivalent co-IVT reactions do not affect the capping efficiency of the mRNAs resulting from the IVT reaction. [0132] A 3′-poly(A) tail is typically a stretch of adenine nucleotides added to the 3′-end of the transcribed mRNA. It can, in some instances, comprise up to about 400 adenine nucleotides. In some embodiments, the length of the 3′-poly(A) tail may be an essential element with respect to the stability of the individual mRNA. [0133] In some embodiments, a composition comprises an RNA (e.g., mRNA) having an ORF that encodes a signal peptide fused to the expressed polypeptide. Signal peptides, usually comprising the N-terminal 15-60 amino acids of proteins, are typically needed for the translocation across the membrane on the secretory pathway and, thus, universally control the entry of most proteins both in eukaryotes and prokaryotes to the secretory pathway. A signal peptide may have a length of 15-60 amino acids. [0134] In some embodiments, an ORF encoding a polypeptide is codon optimized. Codon optimization methods are known in the art. For example, an ORF of any one or more of the sequences may be codon optimized. Codon optimization, in some embodiments, may be used to match codon frequencies in target and host organisms to ensure proper folding; bias %G/C content to increase mRNA thermodynamic stability or reduce secondary structures; minimize tandem repeat codons or base runs that may impair gene construction or expression; customize transcriptional and translational control regions; insert or remove protein trafficking sequences; remove/add post translation modification sites in encoded protein (e.g., glycosylation sites); add, remove or shuffle protein domains; insert or delete restriction sites; modify ribosome binding sites and mRNA degradation sites; adjust translational rates to allow the various domains of the protein to fold properly; or reduce or eliminate problem secondary structures within the polynucleotide. Codon optimization tools, algorithms and services are known in the art – non- limiting examples include services from GeneArt (Life Technologies), DNA2.0 (Menlo Park CA) and/or proprietary methods. In some embodiments, the open reading frame (ORF) sequence is optimized using optimization algorithms. [0135] In some embodiments, an RNA (e.g., mRNA) is not chemically modified and comprises the standard ribonucleotides consisting of adenosine, guanosine, cytosine and uridine. In some embodiments, nucleotides and nucleosides comprise standard nucleoside residues such as those present in transcribed RNA (e.g. A, G, C, or U). In some embodiments, nucleotides and nucleosides comprise standard deoxyribonucleosides such as those present in DNA (e.g. dA, dG, dC, or dT). [0136] The compositions can comprise, in some embodiments, an RNA having an open reading frame encoding a polypeptide, wherein the nucleic acid comprises nucleotides and/or nucleosides that can be standard (unmodified) or modified as is known in the art. In some embodiments, nucleotides and nucleosides comprise modified nucleotides or nucleosides. Such modified nucleotides and nucleosides can be naturally-occurring modified nucleotides and nucleosides or non-naturally occurring modified nucleotides and nucleosides. Such modifications can include those at the sugar, backbone, or nucleobase portion of the nucleotide and/or nucleoside as are recognized in the art. [0137] In some embodiments, a naturally-occurring modified nucleotide or nucleotide is one as is generally known or recognized in the art. Non-limiting examples of such naturally occurring modified nucleotides and nucleotides can be found, inter alia, in the widely recognized MODOMICS database. [0138] Also provided are modified nucleosides and nucleotides of a nucleic acid (e.g., RNA nucleic acids, such as mRNA nucleic acids). A “nucleoside” refers to a compound containing a sugar molecule (e.g., a pentose or ribose) or a derivative thereof in combination with an organic base (e.g., a purine or pyrimidine) or a derivative thereof (also referred to herein as “nucleobase”). A “nucleotide” refers to a nucleoside, including a phosphate group. Modified nucleotides may by synthesized by any useful method, such as, for example, chemically, enzymatically, or recombinantly, to include one or more modified or non-natural nucleosides. Nucleic acids can comprise a region or regions of linked nucleosides. Such regions may have variable backbone linkages. The linkages can be standard phosphodiester linkages, in which case the nucleic acids would comprise regions of nucleotides. [0139] In some embodiments, modified nucleosides in nucleic acids (e.g., RNA nucleic acids, such as mRNA nucleic acids) comprise N1-methyl-pseudouridine (m1ψ), 1-ethyl- pseudouridine (e1ψ), 5-methoxy-uridine (mo5U), 5-methyl-cytidine (m5C), and/or pseudouridine (ψ). In some embodiments, modified nucleobases in nucleic acids (e.g., RNA nucleic acids, such as mRNA nucleic acids) comprise 5-methoxymethyl uridine, 5-methylthio uridine, 1-methoxymethyl pseudouridine, 5-methyl cytidine, and/or 5-methoxycytidine. In some embodiments, the polyribonucleotide includes a combination of at least two (e.g., 2, 3, 4 or more) of any of the aforementioned modified nucleobases, including but not limited to chemical modifications. [0140] In some embodiments, an mRNA comprises N1-methyl-pseudouridine (m1ψ) substitutions at one or more or all uridine positions of the nucleic acid. [0141] In some embodiments, an mRNA comprises N1-methyl-pseudouridine (m1ψ) substitutions at one or more or all uridine positions of the nucleic acid and 5-methyl cytidine substitutions at one or more or all cytidine positions of the nucleic acid. [0142] In some embodiments, a mRNA comprises pseudouridine (ψ) substitutions at one or more or all uridine positions of the nucleic acid. [0143] In some embodiments, a mRNA pseudouridine (ψ) substitutions at one or more or all uridine positions of the nucleic acid and 5-methyl cytidine substitutions at one or more or all cytidine positions of the nucleic acid. [0144] In some embodiments, a mRNA comprises uridine at one or more or all uridine positions of the nucleic acid. [0145] In some embodiments, mRNAs are uniformly modified (e.g., fully modified, modified throughout the entire sequence) for a particular modification. For example, a nucleic acid can be uniformly modified with N1-methyl-pseudouridine, meaning that all uridine residues in the mRNA sequence are replaced with N1-methyl-pseudouridine. Similarly, a nucleic acid can be uniformly modified for any type of nucleoside residue present in the sequence by replacement with a modified residue such as those set forth above. [0146] The nucleic acids may be partially or fully modified along the entire length of the molecule. For example, one or more or all or a given type of nucleotide (e.g., purine or pyrimidine, or any one or more or all of A, G, U, C) may be uniformly modified in a nucleic acid, or in a predetermined sequence region thereof (e.g., in the mRNA including or excluding the poly(A) tail). In some embodiments, all nucleotides X in a nucleic acid (or in a sequence region thereof) are modified nucleotides, wherein X may be any one of nucleotides A, G, U, C, or any one of the combinations A+G, A+U, A+C, G+U, G+C, U+C, A+G+U, A+G+C, G+U+C or A+G+C. [0147] The mRNAs may comprise one or more regions or parts which act or function as an untranslated region. Where mRNAs are designed to encode at least one polypeptide of interest, the nucleic may comprise one or more of these untranslated regions (UTRs). Wild-type untranslated regions of a nucleic acid are transcribed but not translated. In mRNA, the 5′ UTR starts at the transcription start site and continues to the start codon but does not include the start codon; whereas the 3′ UTR starts immediately following the stop codon and continues until the transcriptional termination signal. The regulatory features of a UTR can be incorporated into the polynucleotides to, among other things, enhance the stability of the molecule. The specific features can also be incorporated to ensure controlled down-regulation of the transcript in case they are misdirected to undesired organs sites. A variety of 5’UTR and 3’UTR sequences are known and available in the art. Untranslated regions [0148] Untranslated regions (UTRs) are sections of a nucleic acid before a start codon (5′ UTR) and after a stop codon (3′ UTR) that are not translated. In some embodiments, a nucleic acid (e.g., a ribonucleic acid (RNA), e.g., a messenger RNA (mRNA)) comprising an open reading frame (ORF) encoding one or more proteins or peptides further comprises one or more UTR (e.g., a 5′ UTR or functional fragment thereof, a 3′ UTR or functional fragment thereof, or a combination thereof). [0149] A UTR can be homologous or heterologous to the coding region in a nucleic acid. In some embodiments, the UTR is homologous to the ORF encoding the one or more proteins. In some embodiments, the UTR is heterologous to the ORF encoding the one or more proteins. In some embodiments, the nucleic acid comprises two or more 5′ UTRs or functional fragments thereof, each of which have the same or different nucleotide sequences. In some embodiments, the nucleic acid comprises two or more 3′ UTRs or functional fragments thereof, each of which have the same or different nucleotide sequences. [0150] In some embodiments, the 5′ UTR or functional fragment thereof, 3′ UTR or functional fragment thereof, or any combination thereof is sequence optimized. [0151] In some embodiments, the 5′ UTR or functional fragment thereof, 3′ UTR or functional fragment thereof, or any combination thereof comprises at least one chemically modified nucleobase, e.g., 5-methoxyuracil. [0152] UTRs can have features that provide a regulatory role, e.g., increased or decreased stability, localization, and/or translation efficiency. A nucleic acid comprising a UTR can be administered to a cell, tissue, or organism, and one or more regulatory features can be measured using routine methods. In some embodiments, a functional fragment of a 5′ UTR or 3′ UTR comprises one or more regulatory features of a full length 5′ or 3′ UTR, respectively. [0153] Natural 5′ UTRs bear features that play roles in translation initiation. They harbor signatures like Kozak sequences that are commonly known to be involved in the process by which the ribosome initiates translation of many genes.5′ UTRs also have been known to form secondary structures that are involved in elongation factor binding. [0154] By engineering the features typically found in abundantly expressed genes of specific target organs, one can enhance the stability and protein production of a nucleic acid. For example, introduction of 5′ UTR of liver-expressed mRNA, such as albumin, serum amyloid A, Apolipoprotein A/B/E, transferrin, alpha fetoprotein, erythropoietin, or Factor VIII, can enhance expression of nucleic acids in hepatic cell lines or liver. Likewise, use of 5′ UTRs from other tissue-specific mRNA to improve expression in that tissue is possible for muscle (e.g., MyoD, Myosin, Myoglobin, Myogenin, Herculin), for endothelial cells (e.g., Tie-1, CD36), for myeloid cells (e.g., C/EBP, AML1, G-CSF, GM-CSF, CD11b, MSR, Fr-1, i-NOS), for leukocytes (e.g., CD45, CD18), for adipose tissue (e.g., CD36, GLUT4, ACRP30, adiponectin), and for lung epithelial cells (e.g., SP-A/B/C/D). [0155] In some embodiments, UTRs are selected from a family of transcripts whose proteins share a common function, structure, feature, or property. For example, an encoded polypeptide can belong to a family of proteins (i.e., that share at least one function, structure, feature, localization, origin, or expression pattern), which are expressed in a particular cell, tissue or at some time during development. The UTRs from any of the genes or mRNA can be swapped for any other UTR of the same or different family of proteins to create a new nucleic acid. [0156] In some embodiments, the 5′ UTR and the 3′ UTR can be heterologous. In some embodiments, the 5′ UTR can be derived from a different species than the 3′ UTR. In some embodiments, the 3′ UTR can be derived from a different species than the 5′ UTR. [0157] International Patent Application No. PCT/US2014/021522 (Publ. No. WO 2014/164253) provides a listing of exemplary UTRs that may be utilized in the nucleic acids as flanking regions to an ORF. This publication is incorporated by reference herein for this purpose. [0158] Additional exemplary UTRs that may be utilized in the nucleic acids include, but are not limited to, one or more 5′ UTRs and/or 3′ UTRs derived from the nucleic acid sequence of: a globin, such as an α- or β-globin (e.g., a Xenopus, mouse, rabbit, or human globin); a strong Kozak translational initiation signal; a CYBA (e.g., human cytochrome b-245 α polypeptide); an albumin (e.g., human albumin7); a HSD17B4 (hydroxysteroid (17-β) dehydrogenase); a virus (e.g., a tobacco etch virus (TEV), a Venezuelan equine encephalitis virus (VEEV), a Dengue virus, a cytomegalovirus (CMV; e.g., CMV immediate early 1 (IE1)), a hepatitis virus (e.g., hepatitis B virus), a sindbis virus, or a PAV barley yellow dwarf virus); a heat shock protein (e.g., hsp70); a translation initiation factor (e.g., elF4G); a glucose transporter (e.g., hGLUT1 (human glucose transporter 1)); an actin (e.g., human α or β actin); a GAPDH; a tubulin; a histone; a citric acid cycle enzyme; a topoisomerase (e.g., a 5′ UTR of a TOP gene lacking the 5′ TOP motif (the oligopyrimidine tract)); a ribosomal protein Large 32 (L32); a ribosomal protein (e.g., human or mouse ribosomal protein, such as, for example, rps9); an ATP synthase (e.g., ATP5A1 or the β subunit of mitochondrial H
+-ATP synthase); a growth hormone (e.g., bovine (bGH) or human (hGH)); an elongation factor (e.g., elongation factor 1 α1 (EEF1A1)); a manganese superoxide dismutase (MnSOD); a myocyte enhancer factor 2A (MEF2A); a β-F1- ATPase, a creatine kinase, a myoglobin, a granulocyte-colony stimulating factor (G-CSF); a collagen (e.g., collagen type I, alpha 2 (Col1A2), collagen type I, alpha 1 (Col1A1), collagen type VI, alpha 2 (Col6A2), collagen type VI, alpha 1 (Col6A1)); a ribophorin (e.g., ribophorin I (RPNI)); a low density lipoprotein receptor-related protein (e.g., LRP1); a cardiotrophin-like cytokine factor (e.g., Nnt1); calreticulin (Calr); a procollagen-lysine, 2-oxoglutarate 5- dioxygenase 1 (Plod1); and a nucleobindin (e.g., Nucb1). [0159] In some embodiments, the 5′ UTR is selected from the group consisting of a β-globin 5′ UTR; a 5′ UTR containing a strong Kozak translational initiation signal; a cytochrome b-245 α polypeptide (CYBA) 5′ UTR; a hydroxysteroid (17-β) dehydrogenase (HSD17B4) 5′ UTR; a Tobacco etch virus (TEV) 5′ UTR; a Venezuelen equine encephalitis virus (TEEV) 5′ UTR; a 5′ proximal open reading frame of rubella virus (RV) RNA encoding nonstructural proteins; a Dengue virus (DEN) 5′ UTR; a heat shock protein 70 (Hsp70) 5′ UTR; a eIF4G 5′ UTR; a GLUT1 5′ UTR; functional fragments thereof and any combination thereof. [0160] In some embodiments, the 3′ UTR is selected from the group consisting of a β-globin 3′ UTR; a CYBA 3′ UTR; an albumin 3′ UTR; a growth hormone (GH) 3′ UTR; a VEEV 3′ UTR; a hepatitis B virus (HBV) 3′ UTR; α-globin 3′ UTR; a DEN 3′ UTR; a PAV barley yellow dwarf virus (BYDV-PAV) 3′ UTR; an elongation factor 1 α1 (EEF1A1) 3′ UTR; a manganese superoxide dismutase (MnSOD) 3′ UTR; a β subunit of mitochondrial H(+)-ATP synthase (β- mRNA) 3′ UTR; a GLUT13′ UTR; a MEF2A 3′ UTR; a β-F1-ATPase 3′ UTR; functional fragments thereof and combinations thereof. [0161] Wild-type UTRs derived from any gene or mRNA can be incorporated into the nucleic acids. In some embodiments, a UTR can be altered relative to a wild type or native UTR to produce a variant UTR, e.g., by changing the orientation or location of the UTR relative to the ORF; or by inclusion of additional nucleotides, deletion of nucleotides, swapping or transposition of nucleotides. In some embodiments, variants of 5′ or 3′ UTRs can be utilized, for example, mutants of wild type UTRs, or variants wherein one or more nucleotides are added to or removed from a terminus of the UTR. [0162] Additionally, one or more synthetic UTRs can be used in combination with one or more non-synthetic UTRs. See, e.g., Mandal and Rossi, Nat. Protoc.20138(3):568-82, and sequences available at www.addgene.org, the contents of each are incorporated herein by reference in their entirety. UTRs or portions thereof can be placed in the same orientation as in the transcript from which they were selected or can be altered in orientation or location. Hence, a 5′ and/or 3′ UTR can be inverted, shortened, lengthened, or combined with one or more other 5′ UTRs or 3′ UTRs. [0163] In some embodiments, the nucleic acid may comprise multiple UTRs, e.g., a double, a triple or a quadruple 5′ UTR or 3′ UTR. For example, a double UTR comprises two copies of the same UTR either in series or substantially in series. For example, a double beta-globin 3′ UTR can be used (see, e.g., US 2010/0129877, the contents of which are incorporated herein by reference for this purpose). [0164] The nucleic acids can comprise combinations of features. For example, the ORF can be flanked by a 5′ UTR that comprises a strong Kozak translational initiation signal and/or a 3′ UTR comprising an oligo(dT) sequence for templated addition of a polyA tail. A 5′ UTR can comprise a first nucleic acid fragment and a second nucleic acid fragment from the same and/or different UTRs (see, e.g., US 2010/0293625, herein incorporated by reference in its entirety for this purpose). [0165] Other non-UTR sequences can be used as regions or subregions within the nucleic acids. For example, introns or portions of intron sequences can be incorporated into the nucleic acids. Incorporation of intronic sequences can increase protein production as well as nucleic acid expression levels. In some embodiments, the nucleic acid comprises an internal ribosome entry site (IRES) instead of or in addition to a UTR (see, e.g., Yakubov et al., Biochem. Biophys Res Commun.2010.394(1):189-193, the contents of which are incorporated herein by reference in their entirety). In some embodiments, the nucleic acid comprises an IRES instead of a 5′ UTR sequence. In some embodiments, the nucleic acid comprises an IRES that is located between a 5′ UTR and an open reading frame. In some embodiments, the nucleic acid comprises an ORF encoding a viral capsid sequence. In some embodiments, the nucleic acid comprises a synthetic 5′ UTR in combination with a non-synthetic 3′ UTR. [0166] In some embodiments, the UTR can also include at least one translation enhancer nucleic acid, translation enhancer element, or translational enhancer elements (collectively, “TEE,” which refers to nucleic acid sequences that increase the amount of polypeptide or protein produced from a polynucleotide. As a non-limiting example, the TEE can include those described in US2009/0226470, incorporated herein by reference in its entirety for this purpose, and others known in the art. As a non-limiting example, the TEE can be located between the transcription promoter and the start codon. In some embodiments, the 5′ UTR comprises a TEE. In one aspect, a TEE is a conserved element in a UTR that can promote translational activity of a nucleic acid such as, but not limited to, cap-dependent or cap-independent translation. In one non-limiting example, the TEE comprises the TEE sequence in the 5′-leader of the Gtx homeodomain protein. See, e.g., Chappell et al., PNAS.2004.101:9590-9594, incorporated herein by reference in its entirety for this purpose. [0167] In some embodiments, the 5′ UTR comprises a sequence provided in Table 1 or a sequence with at least 80%, 85%, 90%, 95%, 96%, 97%, 98%, 99% or 100% identity to a 5′ UTR sequence provided in Table 1, or a variant or a fragment thereof. [0168] In some embodiments, the 3′ UTR comprises a sequence provided in Table 2 or a sequence with at least 80%, 85%, 90%, 95%, 96%, 97%, 98%, 99% or 100% identity to a 3′ UTR sequence provided in Table 2, or a variant or a fragment thereof. [0169] It should also be understood that the mRNA of the present disclosure may include any 5’ UTR and/or any 3’ UTR. Exemplary UTR sequences include SEQ ID NOs: 1-44, 66-79 and 81-82; however, other UTR sequences may be used or exchanged for any of the UTR sequences. [0170] In some embodiments, a 5' UTR comprises a sequence selected from: GGGAAAUAAGAGAGAAAAGAAGAGUAAGAAGAAAUAUAAGAGCCACC (SEQ ID NO: 1), GGGAAAUAAGAGAGAAAAGAAGAGUAAGAAGAAAUAUAAGACCCCGGCGCCGCCACC (SEQ ID NO: 2), GAGGAAAUCGCAAAAUUUGCUCUUCGCGUUAGAUUUCUUUUAGUUUUCUCGCAACUAGCAAGCU UUUUGUUCUCGCC (SEQ ID NO: 46), and GGAAAUCGCAAAAUUUGCUCUUCGCGUUAGAUUUCUUUUAGUUUUCUCGCAACUAGCAAGCUUU UUGUUCUCGCC (SEQ ID NO: 47). In some embodiments, a 3′ UTR comprises, in 5′-to-3′ order: (a) the nucleic acid sequence UAAAGCUCCCCGGGGGCCUCGGUGGCCUAGCUUCUUGCCCCUUGGGCCUCCCCCCAGCCCCUCC UCCCCUUCCUGCAG (SEQ ID NO: 54), (b) an identification and ratio determination (IDR) sequence, and (c) the nucleic acid sequenceUGGUCUUUGAAUAAAGUCUGAGUGGGCGGC (SEQ ID NO: 55). In some embodiments, each mRNA encoding a distinct protein (i.e., having a different amino acid sequence from proteins encoded by other mRNAs in a composition) comprises a 3′ UTR comprising, in 5′-to-3′ order: (a) the nucleotide sequence of SEQ ID NO: 54; (b) a distinct IDR sequence; and (c) the nucleotide sequence of SEQ ID NO: 55. Other IDR sequences are described in more detail below in the section entitled “Identification and Ratio Determination (IDR) Sequences.” [0171] In some embodiments, a 5′ UTR comprises a sequence derived from a 5′ UTR of a gene selected from HSD17B4, RPL32, ASAH1, ATP5A1, MP68, NDUFA4, NOSIP, RPL31, SLC7A3, TUBB4B and UBQLN2. In some embodiments, the 5′ UTR comprises a sequence derived from the 5′ UTR of human hydroxysteroid 17-beta dehydrogenase 4 (HSD17B4). In some embodiments, a 5′ UTR comprises the sequence GGGAGAGUCCCGCAGUCGGCGUCCAGCGGCUCUGCUUGUUCGUGUGUGUGUCGUUGCAGGCCUU AUUCAAGCUUACC (SEQ ID NO: 48). In some embodiments, a 5′ UTR comprises the sequence GUCCCGCAGUCGGCGUCCAGCGGCUCUGCUUGUUCGUGUGUGUGUCGUUGCAGGCCUUAUUC (SEQ ID NO: 49). In some embodiments, a 5′ UTR comprises the sequence GGGAGAAAGCUUACC (SEQ ID NO: 50). In some embodiments, a 3′ UTR comprises a sequence derived from a 3′ UTR of a gene selected from PSMB3, ALB7, alpha-globin, CASP1, COX6B1, GNAS, NDUFA1 and RPS9. In some embodiments, a 3′ UTR comprises a sequence derived from a 3′ UTR of PSMB3 (proteasome 20S subunit beta 3). In some embodiments, a 3′ UTR comprises a sequence derived from a 3′ UTR of alpha-globin (MUAG). In some embodiments, a 3′ UTR comprises the sequence AGGACUAGUCCCUGUUCCCAGAGCCCACUUUUUUUUCUUUUUUUGAAAUAAAAUAGCCUGUCUU UCAGAUCU (SEQ ID NO: 56). In some embodiments, a 3′ UTR comprises the sequence GGACUAGUUAUAAGACUGACUAGCCCGAUGGGCCUCCCAACGGGCCCUCCUCCCCUCCUUGCAC CGAGAUUAAU (SEQ ID NO: 57). In some embodiments, the mRNA comprises a 5′ UTR comprising the nucleotide sequence of any one of SEQ ID NOs: 48–50, an open reading frame, one or more stop codons, and a 3′ UTR comprising the nucleotide sequence of SEQ ID NO: 56 or SEQ ID NO: 57. In some embodiments, the mRNA further comprises a polyA sequence comprising at least 64 consecutive adenosine nucleotides. In some embodiments, the mRNA further comprises a polyC sequence comprising at least 30 consecutive cytidine nucleotides. [0172] In some embodiments, a 5′ UTR comprises the sequence GAAUAAACUAGUAUUCUUCUGGUCCCCACAGACUCAGAGAGAACCCGCCACC (SEQ ID NO: 51). In some embodiments, a 5′ UTR comprises the sequence GAGAAUAAACUAGUAUUCUUCUGGUCCCCACAGACUCAGAGAGAACCCGCCACC (SEQ ID NO: 52). In some embodiments, a 3′ UTR comprises the sequence CUGGUACUGCAUGCACGCAAUGCUAGCUGCCCCUUUCCCGUCCUGGGUACCCCGAGUCUCCCCC GACCUCGGGUCCCAGGUAUGCUCCCACCUCCACCUGCCCCACUCACCACCUCUGCUAGUUCCAG ACACCUCCCAAGCACGCAGCAAUGCAGCUCAAAACGCUUAGCCUAGCCACACCCCCACGGGAAA CAGCAGUGAUUAACCUUUAGCAAUAAACGAAAGUUUAACUAAGCUAUACUAACCCCAGGGUUGG UCAAUUUCGUGCCAGCCACACC (SEQ ID NO: 58). In some embodiments, a 3′ UTR comprises the sequence CUCGAGCUGGUACUGCAUGCACGCAAUGCUAGCUGCCCCUUUCCCGUCCUGGGUACCCCGAGUC UCCCCCGACCUCGGGUCCCAGGUAUGCUCCCACCUCCACCUGCCCCACUCACCACCUCUGCUAG UUCCAGACACCUCCCAAGCACGCAGCAAUGCAGCUCAAAACGCUUAGCCUAGCCACACCCCCAC GGGAAACAGCAGUGAUUAACCUUUAGCAAUAAACGAAAGUUUAACUAAGCUAUACUAACCCCAG GGUUGGUCAAUUUCGUGCCAGCCACACCCUGGAGCUAGC (SEQ ID NO: 59). In some embodiments, a 3′ UTR comprises the sequence CUGGUACUGCAUGCACGCAAUGCUAGCUGCCCCUUUCCCGUCCUGGGUACCCCGAGUCUCCCCC GACCUCGGGUCCCAGGUAUGCUCCCACCUCCACCUGCCCCACUCACCACCUCUGCUAGUUCCAG ACACCUCCCAAGCACGCAGCAAUGCAGCUCAAAACGCUUAGCCUAGCCACACCCCCACGGGAAA CAGCAGUGAUUAACCUUUAGCAAUAAACGAAAGUUUAACUAAGCUAUACUAACCCCAGGGUUGG UCAAUUUCGUGCCAGCCACACCCUGGAGCUAGC (SEQ ID NO: 60). In some embodiments, an mRNA comprises a 5′ UTR comprising the nucleotide sequence of SEQ ID NO: 51 or SEQ ID NO: 52, an open reading frame, one or more stop codons, and a 3′ UTR comprising the nucleotide sequence of any one of SEQ ID NOs: 58–60. In some embodiments, an mRNA comprises a 5′ UTR comprising the nucleotide sequence of SEQ ID NO: 52, an open reading frame, one or more stop codons, and a 3′ UTR comprising the nucleotide sequence of SEQ ID NO: 59. In some embodiments, an mRNA comprises a 5′ UTR comprising the nucleotide sequence of SEQ ID NO: 52, an open reading frame, the nucleotide sequence UGAUGA, and a 3′ UTR comprising the nucleotide sequence of SEQ ID NO: 59. In some embodiments, the mRNA further comprises two poly(A) sequences separated by an intervening nucleotide sequence. In some embodiments, the mRNA further comprises the nucleotide sequence of SEQ ID NO: 62. [0173] In some embodiments, a 5′ UTR comprises the sequence GAGGAGACCCAAGCUACAUUUGCUUCUGACACAACUGUGUUCACUAGCAACCUCAAACAGACAC CGCCACC (SEQ ID NO: 53). In some embodiments, a 3′ UTR comprises the sequence GCUCGCUUUCUUGCUGUCCAAUUUCUAUUAAAGGUUCCUUUGUUCCCUAAGUCCAACUACUAAA CUGGGGGAUAUUAUGAAGGGCCUUGAGCAUCUGGAUUCUGCCUAAUAAAAAACAUUUAUUUUCA UUGC (SEQ ID NO: 61). In some embodiments, an mRNA comprises a 5′ UTR comprising the nucleotide sequence of SEQ ID NO: 53, an open reading frame, one or more stop codons, and a 3′ UTR comprising the nucleotide sequence of SEQ ID NO: 61. In some embodiments, the mRNA further comprises a polyA tail comprising 109 consecutive adenosine nucleotides. [0174] UTRs may also be omitted from the mRNA. Poly(A) tails [0175] Some aspects relate to methods of producing RNAs containing one or more polyA tails. A “polyA tail” is a region of mRNA that is downstream, e.g., directly downstream (i.e., 3′), from the open reading frame and/or the 3′ UTR that contains multiple, consecutive adenosine monophosphates. A polyA tail may contain 10 to 300 adenosine monophosphates. For example, a polyA tail may contain 10, 20, 30, 40, 50, 60, 70, 80, 90, 100, 110, 120, 130, 140, 150, 160, 170, 180, 190, 200, 210, 220, 230, 240, 250, 260, 270, 280, 290 or 300 adenosine monophosphates. In some embodiments, a polyA tail contains 50 to 250 adenosine monophosphates. In a relevant biological setting (e.g., in cells, in vivo, etc.) the poly(A) tail functions to protect mRNA from enzymatic degradation, e.g., in the cytoplasm, and aids in transcription termination, export of the mRNA from the nucleus, and translation. [0176] As used herein, “polyA-tailing efficiency” refers to the amount (e.g., expressed as a percentage) of mRNAs having polyA tail that are produced by an IVT reaction using an input DNA relative to the total number of mRNAs produced in the IVT reaction using the input DNA. The polyA-tailing efficiency of an IVT reaction may vary, for example depending upon the RNA polymerase used, amount or purity of input DNA used, etc. In some embodiments, the polyA- tailing efficiency of an IVT reaction is greater than 85%, 90%, 95%, or 99.9%. Methods of calculating polyA-tailing efficiency are known, for example by determining the amount of polyA tail-containing mRNA relative to total mRNA produced in an IVT reaction by column chromatography (e.g., oligo-dT chromatography). [0177] In some embodiments, at least 40%, 45%, 50%, 55%, 60%, 65%, 70%, 75%, 80%, 85%, 86%, 87%, 88%, 89%, 90%, 91%, 92%, 93%, 94%, 95%, 96%, 97%, 98%, 99%, or 99.9% of RNAs in an RNA composition produced by a method of modifying an RNA sequence comprise a polyA tail. In some embodiments, at least 85%, 86%, 87%, 88%, 89%, 90%, 91%, 92%, 93%, 94%, 95%, 96%, 97%, 98%, 99%, or 99.9% of each RNA in an RNA composition produced by a method of modifying an RNA sequence comprise a polyA tail. The efficiency (e.g., percentage of polyA tail-containing RNAs in an RNA composition may be measured i) after the IVT reaction and before purification, or ii) after the RNA composition has been purified (e.g., by chromatography, such as oligo-dT chromatography). [0178] Unique polyA tail lengths provide certain advantages to nucleic acids. Generally, the length of a polyA tail, when present, is greater than 30 nucleotides in length. In another embodiment, the polyA tail is greater than 35 nucleotides in length (e.g., at least or greater than about 15, 20, 25, 30, 35, 40, 45, 50, 55, 60, 70, 80, 90, 100, 120, 140, 160, 180, 200, 250, 300, 350, 400, 450, 500, 600, 700, 800, 900, 1,000, 1,100, 1,200, 1,300, 1,400, 1,500, 1,600, 1,700, 1,800, 1,900, 2,000, 2,500, or 3,000 nucleotides). [0179] In some embodiments, the polyA tail is designed relative to the length of the overall nucleic acid or the length of a particular region of the nucleic acid. This design can be based on the length of a coding region, the length of a particular feature or region or based on the length of the ultimate product expressed from the nucleic acids. [0180] In this context, the polyA tail can be 10, 20, 30, 40, 50, 60, 70, 80, 90, or 100% greater in length than the nucleic acid or feature thereof. The polyA tail can also be designed as a fraction of the nucleic acid to which it belongs. In this context, the polyA tail can be 10, 20, 30, 40, 50, 60, 70, 80, or 90% or more of the total length of the construct, a construct region, or the total length of the construct minus the polyA tail. Further, engineered binding sites and conjugation of nucleic acids for PolyA-binding protein can enhance expression. [0181] In some embodiments, an mRNA comprises a poly(A) sequence that has a length of 50–75 nucleotides. In some embodiments, an mRNA comprises a poly(A) sequence that comprises 60, 61, 62, 63, 64, 65, 66, 67, 68, 69, or 70 consecutive adenosine nucleotides. In some embodiments, an mRNA comprises a poly(A) sequence comprising 64 consecutive adenosine nucleotides. In some embodiments, the consecutive adenosine nucleotides of a poly(A) sequence are flanked at the 5′ and 3′ end by nucleotides that are not adenosine nucleotides. In some embodiments, an mRNA comprises a poly(C) sequence, which may comprise 10 to 300 cytidine nucleotides. In some embodiments, the poly(C) sequence comprises 20, 21, 22, 23, 24, 25, 26, 27, 28, 29, 30, 31, 32, 33, 34, 35, 36, 37, 38, 39, or 40 consecutive cytidine nucleotides. In some embodiments, the poly(C) sequence comprises 30 cytidine nucleotides. In some embodiments, the consecutive cytidine nucleotides of a poly(C) sequence are flanked at the 5′ and 3′ end by nucleotides that are not cytidine nucleotides. [0182] In some embodiments, an mRNA comprises two poly(A) sequences separated by an intervening nucleotide sequence. In some embodiments, the intervening nucleotide sequence comprises no more than 3, no more than two, no more than 1, or no adenosine nucleotides. In some embodiments, the intervening sequence comprises 3 adenosine nucleotides. In some embodiments, the intervening sequence does not comprise an adenosine nucleotide. In some embodiments, the intervening sequence is no more than 30, no more than 25, no more than 20, no more than 15, or no more than 10 nucleotides long. In some embodiments, the intervening sequence consists of 10 nucleotides. In some embodiments, the intervening sequence comprises the sequence ofGCAUAUGACU (SEQ ID NO: 45). In some embodiments, the intervening sequence does not begin with an adenosine nucleotide, and does not end with an adenosine nucleotide. In some embodiments, the first poly(A) sequences comprises at least 15, at least 20, at least 25, or at least 30 consecutive adenosine nucleotides. In some embodiments, the second poly(A) sequences comprises at least 55, at least 60, at least 65, or at least 70 consecutive adenosine nucleotides. In some embodiments, the first poly(A) sequence comprises 30 consecutive adenosine nucleotides. In some embodiments, the second poly(A) sequence comprises 70 adenosine nucleotides. In some embodiments, an mRNA comprises the nucleotide sequence AAAAAAAAAAAAAAAAAAAAAAAAAAAAAAGCAUAUGACUAAAAAAAAAAAAAAAAAAAAAAAA AAAAAAAAAAAAAAAAAAAAAAAAAAAAAAAAAAAAAAAAAAAAAA (SEQ ID NO: 62). [0183] In some embodiments, an mRNA comprises a poly(A) sequence that has a length of 90–120 nucleotides. In some embodiments, an mRNA comprises a poly(A) sequence that comprises 100, 101, 102, 103, 104, 105, 106, 107, 108, 109, 110, 111, 112, 113, 114, 115, 116, 117, 118, 190, or 120 consecutive adenosine nucleotides. In some embodiments, an mRNA comprises a poly(A) sequence that comprises at least 109 consecutive adenosine nucleotides. In some embodiments, an mRNA comprises a poly(A) sequence that comprises 109 consecutive adenosine nucleotides. In some embodiments, an mRNA comprises a poly(A) sequence that consists of 109 consecutive adenosine nucleotides. In vitro transcription [0184] Some aspects relate to mRNAs produced by “in vitro transcription” or IVT. IVT methods produce (e.g., synthesize) an RNA transcript (e.g., mRNA transcript) by contacting a DNA template (e.g., a first input DNA and a second input DNA) with an RNA polymerase (e.g., a T7 RNA polymerase, a T7 RNA polymerase variant, etc.) under conditions that result in the production of the RNA transcript. IVT conditions typically require a purified DNA template containing a promoter, nucleoside triphosphates, a buffer system that includes dithiothreitol (DTT) and magnesium ions, and an RNA polymerase. The exact conditions used in the transcription reaction depend on the amount of RNA needed for a specific application. Typical IVT reactions are performed by incubating a DNA template with an RNA polymerase and nucleoside triphosphates, including GTP, ATP, CTP, and UTP (or nucleotide analogs) in a transcription buffer. An RNA transcript having a 5 ^ terminal guanosine triphosphate is produced from this reaction. [0185] In some embodiments, IVT methods further comprise a step of separating (e.g., purifying) in vitro transcription products (e.g., mRNA) from other reaction components. In some embodiments, the separating comprises performing chromatography on the IVT reaction mixture. In some embodiments, the method comprises reverse phase chromatography. In some embodiments, the method comprises reverse phase column chromatography. In some embodiments, the chromatography comprises size-based (e.g., length-based) chromatography. In some embodiments, the method comprises size exclusion chromatography. In some embodiments, the chromatography comprises oligo-dT chromatography. Multivalent in vitro transcription (IVT) [0186] Some aspects relate to multivalent in vitro transcription. Multivalent in vitro transcription refers to contacting two or more DNA templates (e.g., a first input DNA and a second input DNA) with an RNA polymerase (e.g., a T7 RNA polymerase) under conditions that result in the production of RNA transcripts. [0187] Each input DNA (e.g., in a population of input DNA templates) in a co-IVT reaction may be obtained from a different source than other input DNAs. For example, each input DNA may be obtained from a different bacterial cell or population or bacterial cells. For example, in a co-IVT reaction having three populations of input DNAs, a first input DNA can be produced in bacterial cell population A, a second input DNA can be produced in bacterial cell population B, and a third input DNA can be produced in bacterial cell population C, where each of A, B, and C are not the same bacterial culture (e.g., co-cultured in the same container or plate). In another example, different input DNAs are obtained by separate synthesis reactions or produced by separate amplification reactions. [0188] The amounts of input DNAs used in multivalent co-IVT reactions may be normalized. Normalization may be based, for example, on the molar masses, lengths, nucleotide contents, degradation rates, and/or purity of input DNAs. In some embodiments, normalization is based on the degradation rate of resulting RNAs. [0189] Normalization may be based on the lowest level of a certain characteristic present among the input DNAs (e.g., lowest molar mass, degradation rate (e.g., of the input DNA and/or output RNA), nucleotide content, purity, and/or polyA-tailing efficiency). Alternatively, normalization may be based on the highest level of a certain characteristic present among the input DNAs (e.g., highest molar mass, degradation rate (e.g., of the input DNA and/or output RNA), nucleotide context, purity, and/or polyA-tailing efficiency). In some embodiments, normalization is based on the rate of RNA production from the input DNAs (e.g., the highest rate of RNA production of an input DNA or the lowest rate of RNA production of an input DNA in a reaction mixture). [0190] The amount of one or more input DNAs may be adjusted and/or normalized to improve production of RNA compositions having a pre-defined or desired ratio of RNA components. Adjusting and/or normalizing amounts of input DNAs may compensate for differences between input DNAs (e.g., large differences in lengths of two input DNAs, or different polyA tailing efficiencies) that can affect the ratio of RNAs in a multivalent RNA composition, thereby allowing for the production of RNA compositions having desired ratios of different RNAs. For example, the amount of two input DNAs present in a co-IVT reaction may be determined by selecting a desired molar ratio of a first RNA to a second RNA, calculating the mass of each DNA template necessary to achieve the same molar ratio between input DNAs, and combining input DNAs encoding each of the first and second RNAs in the same molar ratio. [0191] The number of input DNAs (e.g., populations of input DNA molecules) used in an IVT reaction may vary, depending upon the number of different RNA molecules desired to be included in the multivalent RNA composition. An IVT reaction mixture may comprise 2 or more different input DNAs (e.g., 2, 3, 4, 5, 6, 7, 8, 9, 10, or more different input DNAs). [0192] The concentration of each of the populations of DNA molecules may also vary. [0193] The input DNAs may be added to an IVT reaction are a predefined DNA ratio, which may comprise a ratio between 2, 3, 4, 5, 6, 7, 8, 9, 10, or more different input DNAs (e.g., depending on the number of different RNAs in a composition). [0194] The size of two or more input DNAs (e.g., DNAs in two or more different populations of input DNAs) may also vary. [0195] The mass of each population of input DNA molecules in an IVT reaction may also vary. [0196] The molar ratio between populations of input DNA molecules in an IVT reaction may also vary. [0197] Different input DNA molecules used in an IVT reaction may have a different length (e.g., comprises a different number of nucleotides). [0198] A co-IVT reaction may include co-transcription of at least 2 different input DNAs (e.g., at least 2 of DNA A, B, C, D, E, F, F, H, I, J, etc.) at a ratio of A:B:C:D:E:F:G:H:I:J, wherein if DNA A is normalized to 1, one or more of DNA B, C, D, E, F, G, H, I, J, etc. can each independently be present at an amount (e.g., a concentration) that is from 0.01 to 100 times the amount (e.g., a concentration) of A. One or more of DNA B, C, D, E, F, G, H, I, or J may also be absent. [0199] A multivalent RNA composition may be produced by combining RNA transcripts (e.g., mRNAs) from separate sources. For example, each of two or more DNA templates may be transcribed in separate IVT reactions, and combined to produce a multivalent RNA composition. RNAs may be combined in any desired amount to produce a multivalent RNA composition comprising two or more RNAs in a specific ratio. Identification and Ratio Determination (IDR) sequences [0200] In some embodiments, one or more nucleic acids comprises an Identification and Ratio Determination sequence. An Identification and Ratio Determination (IDR) sequence is a sequence of a biological molecule (e.g., nucleic acid or protein) that, when combined with the sequence of a target biological molecule, serves to identify the target biological molecule. Typically, an IDR sequence is a heterologous sequence that is incorporated within or appended to a sequence of a target biological molecule and can be used as a reference to identify the target molecule. Thus, in some embodiments, a nucleic acid (e.g., mRNA) comprises (i) a target sequence of interest (e.g., a coding sequence encoding a therapeutic and/or antigenic peptide or protein); and (ii) a unique IDR sequence. [0201] An RNA species (e.g., RNA having a given coding sequence) may comprise an IDR sequence that differs from the IDR sequence of other RNA species (e.g., RNA(s) having different coding sequence(s)). Each IDR sequence thus identifies a particular RNA species, and so the abundance of IDR sequences may be measured to determine the abundance of each RNA species in a composition. Use of distinct IDR sequences to identify RNA species allows for analysis of multivalent RNA compositions (e.g., containing multiple RNA species) containing RNA species with similar coding sequences and/or lengths, which could otherwise be difficult to distinguish using PCR- or chromatography-based analysis of full-length RNAs. [0202] Each RNA species in a multivalent RNA composition may comprise an IDR sequence that is not a sequence isomer of an IDR sequence of another RNA species in a multivalent RNA composition (e.g., the IDR sequence does not have the same number of adenosine nucleotides, the same number of cytosine nucleotides, the same number of guanine nucleotides, and the same number of uracil nucleotides, as another IDR sequence in the composition, even if those sequences have different sequences). Having identical nucleotide compositions causes sequence isomers to have the same mass, presenting a challenge to distinguishing sequence isomers using mass-based identification methods (e.g., mass spectrometry). [0203] Each RNA species in a multivalent RNA composition may comprise an IDR sequence having a mass that differs from the mass of IDR sequences of each other RNA species in a multivalent RNA composition. For example, the mass of each IDR sequence may differ from the mass of other IDR sequences by at least 9 Da, at least 25 Da, at least 25 Da, or at least 50 Da. Use of IDR sequences with distinct masses allows RNA fragments comprising different IDR sequences to be distinguished using mass-based analysis methods (e.g., mass spectrometry), which do not require reverse transcription, amplification, or sequencing of RNAs. [0204] Each RNA species in an RNA composition may comprises an IDR sequence with a different length. For example, each IDR sequence may have a length independently selected from 0 to 25 nucleotides. The length of a nucleic acid influences the rate at which the nucleic acid traverses a chromatography column, and so the use of IDR sequences of different lengths on different RNA species allows RNA fragments having different IDR sequences to be distinguished using chromatography-based methods (e.g., LC-UV). [0205] IDR sequences may be chosen such that no IDR sequence comprises a start codon, ‘AUG’. Lack of a start codon in an IDR sequence prevents undesired translation of nucleotide sequences within and/or downstream from the IDR sequence. [0206] IDR sequences may be chosen such that no IDR sequence comprises a recognition site for a restriction enzyme. In one example, no IDR sequence comprises a recognition site for XbaI, ‘UCUAG’. Lack of a recognition site for a restriction enzyme (e.g., XbaI recognition site ‘UCUAG’) allows the restriction enzyme to be used in generating and modifying a DNA template for in vitro transcription, without affecting the IDR sequence or sequence of the transcribed RNA. Lipid Compositions [0207] In some embodiments, the nucleic acids are formulated as a lipid composition, such as a composition comprising a lipid nanoparticle, a liposome, and/or a lipoplex. In some embodiments, nucleic acids are formulated as lipid nanoparticle (LNP) compositions. Lipid nanoparticles typically comprise amino lipid, non-cationic lipid, structural lipid, and PEG lipid components along with the nucleic acid cargo of interest. The lipid nanoparticles can be generated using components, compositions, and methods as are generally known in the art, see for example PCT/US2016/052352; PCT/US2016/068300; PCT/US2017/037551; PCT/US2015/027400; PCT/US2016/047406; PCT/US2016/000129; PCT/US2016/014280; PCT/US2017/038426; PCT/US2014/027077; PCT/US2014/055394; PCT/US2016/052117; PCT/US2012/069610; PCT/US2017/027492; PCT/US2016/059575; PCT/US2016/069491; PCT/US2016/069493; and PCT/US2014/066242, all of which are incorporated by reference herein in their entirety. [0208] In some embodiments, the lipid nanoparticle comprises at least one cationic amino lipid, at least one non-cationic lipid, at least one sterol, and/or at least one polyethylene glycol (PEG)-modified lipid. [0209] In some embodiments, the lipid nanoparticle comprises a molar ratio of 20-60% cationic amino lipid, 5-25% non-cationic lipid, 25-55% structural lipid, and 0.5-15% PEG- modified lipid. [0210] In some embodiments, the lipid nanoparticle comprises a molar ratio of 20-60% cationic amino lipid, 5-30% non-cationic lipid, 10-55% structural lipid, and 0.5-15% PEG- modified lipid. [0211] In some embodiments, the lipid nanoparticle comprises 40-50 mol% ionizable lipid, optionally 45-50 mol%, for example, 45-46 mol%, 46-47 mol%, 47-48 mol%, 48-49 mol%, or 49-50 mol% for example about 45 mol%, 45.5 mol%, 46 mol%, 46.5 mol%, 47 mol%, 47.5 mol%, 48 mol%, 48.5 mol%, 49 mol%, or 49.5 mol%. [0212] In some embodiments, the lipid nanoparticle comprises 20-60 mol% cationic amino lipid. For example, the lipid nanoparticle may comprise 20-50 mol%, 20-40 mol%, 20-30 mol%, 30-60 mol%, 30-50 mol%, 30-40 mol%, 40-60 mol%, 40-50 mol%, or 50-60 mol% cationic amino lipid. In some embodiments, the lipid nanoparticle comprises 20 mol%, 30 mol%, 40 mol%, 50 mol%, or 60 mol% cationic amino lipid. In some embodiments, the lipid nanoparticle comprises 35 mol%, 36 mol%, 37 mol%, 38 mol%, 39 mol%, 40 mol%, 41 mol%, 42 mol%, 43 mol%, 44 mol%, 45 mol%, 46 mol%, 47 mol%, 48 mol%, 49 mol%, 50 mol%, 51 mol%, 52 mol%, 53 mol%, 54 mol%, or 55 mol% cationic amino lipid. [0213] In some embodiments, the lipid nanoparticle comprises 45 – 55 mole percent (mol%) cationic amino lipid. For example, lipid nanoparticle may comprise 45, 46, 47, 48, 49, 50, 51, 52, 53, 54, or 55 mol% cationic amino lipid. Cationic amino lipids Formula (AI) [0214] In some embodiments, the cationic amino lipid is a compound of Formula (AI):

 its N-oxide, or a salt or isomer thereof, wherein R’
a is R’
branched; wherein
 denotes a point of attachment; wherein R
aα, R
aβ, R
aγ, and R
aδ are each independently selected from the group consisting of H, C
2-12 alkyl, and C
2-12 alkenyl; R
2 and R
3 are each independently selected from the group consisting of C
1-14 alkyl and C2-14 alkenyl; R
4 is selected from the group consisting of -(CH2)nOH, wherein n is selected from the
 group consisting
 wherein denotes a point of attachment; wherein R
10 is N(R)2; each R is independently selected from the group consisting of C
1-6 alkyl, C
2-3 alkenyl, and H; and n2 is selected from the group consisting of 1, 2, 3, 4, 5, 6, 7, 8, 9, and 10;  each R
5 is independently selected from the group consisting of C
1-3 alkyl, C
2-3 alkenyl, and H; each R
6 is independently selected from the group consisting of C
1-3 alkyl, C
2-3 alkenyl, and H; M and M’ are each independently selected from the group consisting of -C(O)O- and -OC(O)-; R’ is a C
1-12 alkyl or C
2-12 alkenyl; l is selected from the group consisting of 1, 2, 3, 4, and 5; and m is selected from the group consisting of 5, 6, 7, 8, 9, 10, 11, 12, and 13. In some embodiments of the compounds of Formula (AI), R’
a is R’
branched; R’
branched is denotes a point of attachment; R
aα, R
aβ, R
aγ, and R
aδ are each H; R
2 and is -(CH2)nOH; n is 2; each R
5 is H; each R
6 is H; M and M’ are each - l is 5; and m is 7. of the compounds of Formula (AI), R’
a is R’
branched; R’
branched is denotes a point of attachment; R
aα, R
aβ, R
aγ, and R
aδ are each H; R
2 and is -(CH
2)
nOH; n is 2; each R
5 is H; each R
6 is H; M and M’ are each - l is 3; and m is 7. of the compounds of Formula (AI), R’
a is R’
branched; R’
branched is
 denotes a point of attachment; R
aα is C
2-12 alkyl; R
aβ, R
aγ, and R
aδ are each H; R
2 and R
3 are each C1-14 alkyl;
 alkyl); n2 is 2; R
5 is H; each R
6 is H; M and M’ are each -C(O)O-; R’ is a C
1-12 alkyl; l is 5; and m is 7. [0217] In some embodiments of the compounds of Formula (AI), R’
a is R’
branched; R’
branched is
 denotes a point of attachment; R
aα, R
aβ, and R
aδ are each H; R
aγ is C
2-12 alkyl; R
2 and R
3 are each C
1-14 alkyl; R
4 is -(CH
2)
nOH; n is 2; each R
5 is H; each R
6 is H; M and M’ are each -C(O)O-; R’ is a C1-12 alkyl; l is 5; and m is 7. [0218] In some embodiments, the compound of Formula (AI) is selected from:
 . [0219] In some embodiments, the cationic amino lipid of Formula (AI) is a compound of Formula (AIa):
 its N-oxide, or a salt or isomer thereof, wherein R’
a is R’
branched; wherein
 wherein
 denotes a point of attachment; wherein R
aβ, R
aγ, and R
aδ are each independently selected from the group consisting of H, C
2-12 alkyl, and C
2-12 alkenyl; R
2 and R
3 are each independently selected from the group consisting of C1-14 alkyl and C2-14 alkenyl;  R
4 is selected from the group consisting of -(CH
2)
nOH wherein n is selected from the group consisting
 wherein denotes a point of attachment; wherein R
10 is N(R)
2; each R is independently selected from the group consisting of C1-6 alkyl, C2-3 alkenyl, and H; and n2 is selected from the group consisting of 1, 2, 3, 4, 5, 6, 7, 8, 9, and 10; each R
5 is independently selected from the group consisting of C
1-3 alkyl, C
2-3 alkenyl, and H; each R
6 is independently selected from the group consisting of C1-3 alkyl, C2-3 alkenyl, and H; M and M’ are each independently selected from the group consisting of -C(O)O- and -OC(O)-; R’ is a C1-12 alkyl or C2-12 alkenyl; l is selected from the group consisting of 1, 2, 3, 4, and 5; and m is selected from the group consisting of 5, 6, 7, 8, 9, 10, 11, 12, and 13. [0220] In some embodiments, the cationic amino lipid of Formula (AI) is a compound of Formula (AIb):
 its N-oxide, or a salt or isomer thereof, wherein R’
a is R’
branched; wherein
 denotes a point of attachment; wherein R
aα, R
aβ, R
aγ, and R
aδ are each independently selected from the group consisting of H, C2-12 alkyl, and C2-12 alkenyl; R
2 and R
3 are each independently selected from the group consisting of C
1-14 alkyl and C
2-14 alkenyl; R
4 is -(CH2)nOH, wherein n is selected from the group consisting of 1, 2, 3, 4, and 5; each R
5 is independently selected from the group consisting of C1-3 alkyl, C2-3 alkenyl, and H; each R
6 is independently selected from the group consisting of C
1-3 alkyl, C
2-3 alkenyl, and H;  M and M’ are each independently selected from the group consisting of -C(O)O- and -OC(O)-; R’ is a C
1-12 alkyl or C
2-12 alkenyl; l is selected from the group consisting of 1, 2, 3, 4, and 5; and m is selected from the group consisting of 5, 6, 7, 8, 9, 10, 11, 12, and 13. [0221] In some embodiments of Formula (AI) or (AIb), R’
a is R’
branched; R’
branched is
 denotes a point of attachment; R
aβ, R
aγ, and R
aδ are each H; R
2 and R
3 are each C1-14 alkyl; R
4 is -(CH2)nOH; n is 2; each R
5 is H; each R
6 is H; M and M’ are each - C(O)O-; R’ is a C
1-12 alkyl; l is 5; and m is 7. [0222] In some embodiments of Formula (AI) or (AIb), R’
a is R’
branched; R’
branched is
 denotes a point of attachment; R
aβ, R
aγ, and R
aδ are each H; R
2 and R
3 are each C
1-14 alkyl; R
4 is -(CH
2)
nOH; n is 2; each R
5 is H; each R
6 is H; M and M’ are each - C(O)O-; R’ is a C
1-12 alkyl; l is 3; and m is 7. [0223] In some embodiments of Formula (AI) or (AIb), R’
a is R’
branched; R’
branched is
 denotes a point of attachment; R
aβ and R
aδ are each H; R
aγ is C2-12 alkyl; R
2 and R
3 are each C
1-14 alkyl; R
4 is -(CH
2)
nOH; n is 2; each R
5 is H; each R
6 is H; M and M’ are each -C(O)O-; R’ is a C
1-12 alkyl; l is 5; and m is 7. [0224] In some embodiments, the cationic amino lipid of Formula (AI) is a compound of Formula (AIc):
 its N-oxide, or a salt or isomer thereof, wherein R’
a is R’
branched; wherein R’
branched is:
 wherein
 denotes a point of attachment; wherein R
aα, R
aβ, R
aγ, and R
aδ are each independently selected from the group consisting of H, C2-12 alkyl, and C2-12 alkenyl;  R
2 and R
3 are each independently selected from the group consisting of C
1-14 alkyl and C2-14 alkenyl;
 wherein denotes a point of attachment; wherein R
10 is N(R)2; each R is independently selected from the group consisting of C1-6 alkyl, C2-3 alkenyl, and H; n2 is selected from the group consisting of 1, 2, 3, 4, 5, 6, 7, 8, 9, and 10; each R
5 is independently selected from the group consisting of C
1-3 alkyl, C
2-3 alkenyl, and H; each R
6 is independently selected from the group consisting of C1-3 alkyl, C2-3 alkenyl, and H; M and M’ are each independently selected from the group consisting of -C(O)O- and -OC(O)-; R’ is a C1-12 alkyl or C2-12 alkenyl; l is selected from the group consisting of 1, 2, 3, 4, and 5; and m is selected from the group consisting of 5, 6, 7, 8, 9, 10, 11, 12, and 13. [0225] In some embodiments,
 denotes a point of attachment; R
aβ, R
aγ, and R
aδ are each H; R
aα is C
2-12 alkyl; R
2 and R
3 are each C
1-14 alkyl;
 denotes a point of attachment; R
10 is NH(C1-6 alkyl); n2 is 2; each R
5 is H; each R
6 is H; M and M’ are each -C(O)O-; R’ is a C
1-12 alkyl; l is 5; and m is 7. [0226] In some embodiments, the compound of Formula (AIc) is:
 .  Formula (AII) [0227] In some embodiments, the cationic amino lipid is a compound of Formula (AII):
 its N-oxide, or a salt or isomer thereof, wherein R’
a is R’
branched or R’
cyclic; wherein
 is:
 denotes a point of attachment; R
aγ and R
aδ are each independently selected from the group consisting of H, C1-12 alkyl, and C2-12 alkenyl, wherein at least one of R
aγ and R
aδ is selected from the group consisting of C
1-12 alkyl and C2-12 alkenyl; R
bγ and R
bδ are each independently selected from the group consisting of H, C1-12 alkyl, and C2-12 alkenyl, wherein at least one of R
bγ and R
bδ is selected from the group consisting of C
1-12 alkyl and C
2-12 alkenyl; R
2 and R
3 are each independently selected from the group consisting of C
1-14 alkyl and C2-14 alkenyl; R
4 is selected from the group consisting of -(CH
2)
nOH wherein n is selected from the group consisting
 wherein denotes a point of attachment; wherein R
10 is N(R)2; each R is independently selected from the group consisting of C
1-6 alkyl, C
2-3 alkenyl, and H; and n2 is selected from the group consisting of 1, 2, 3, 4, 5, 6, 7, 8, 9, and 10; each R’ independently is a C1-12 alkyl or C2-12 alkenyl; Y
a is a C
3-6 carbocycle; R*”
a is selected from the group consisting of C
1-15 alkyl and C
2-15 alkenyl; and s is 2 or 3; m is selected from 1, 2, 3, 4, 5, 6, 7, 8, and 9;  l is selected from 1, 2, 3, 4, 5, 6, 7, 8, and 9. [0228] In some embodiments, the cationic amino lipid of Formula (AII) is a compound of Formula (AII-a):
 its N-oxide, or a salt or isomer thereof, wherein R’
a is R’
branched or R’
cyclic; wherein
 is:
 denotes a point of attachment; R
aγ and R
aδ are each independently selected from the group consisting of H, C1-12 alkyl, and C2-12 alkenyl, wherein at least one of R
aγ and R
aδ is selected from the group consisting of C
1-12 alkyl and C
2-12 alkenyl; R
bγ and R
bδ are each independently selected from the group consisting of H, C
1-12 alkyl, and C2-12 alkenyl, wherein at least one of R
bγ and R
bδ is selected from the group consisting of C1-
12 alkyl and C
2-12 alkenyl; R
2 and R
3 are each independently selected from the group consisting of C
1-14 alkyl and C2-14 alkenyl; R
4 is selected from the group consisting of -(CH
2)
nOH wherein n is selected from the group consisting
 wherein denotes a point of attachment; wherein R
10 is N(R)2; each R is independently selected from the group consisting of C
1-6 alkyl, C
2-3 alkenyl, and H; and n2 is selected from the group consisting of 1, 2, 3, 4, 5, 6, 7, 8, 9, and 10; each R’ independently is a C1-12 alkyl or C2-12 alkenyl; m is selected from 1, 2, 3, 4, 5, 6, 7, 8, and 9; l is selected from 1, 2, 3, 4, 5, 6, 7, 8, and 9. [0229] In some embodiments, the cationic amino lipid of Formula (AII) is a compound of Formula (AII-b):
 its N-oxide, or a salt or isomer thereof, wherein R’
a is R’
branched or R’
cyclic; wherein
 is:
 denotes a point of attachment; R
aγ and R
bγ are each independently selected from the group consisting of C1-12 alkyl and C2-12 alkenyl; R
2 and R
3 are each independently selected from the group consisting of C
1-14 alkyl and C
2-14 alkenyl; R
4 is selected from the group consisting of -(CH2)nOH wherein n is selected from the group consisting
 wherein
 denotes a point of attachment; wherein R
10 is N(R)2; each R is independently selected from the group consisting of C1-6 alkyl, C2-3 alkenyl, and H; and n2 is selected from the group consisting of 1, 2, 3, 4, 5, 6, 7, 8, 9, and 10; each R’ independently is a C
1-12 alkyl or C
2-12 alkenyl; m is selected from 1, 2, 3, 4, 5, 6, 7, 8, and 9; l is selected from 1, 2, 3, 4, 5, 6, 7, 8, and 9. [0230] In some embodiments, the cationic amino lipid of Formula (AII) is a compound of Formula (AII-c):
 its N-oxide, or a salt or isomer thereof,  wherein R’
a is R’
branched or R’
cyclic; wherein ; wherein
 denotes a point of attachment; wherein R
aγ is selected from the group consisting of C1-12 alkyl and C2-12 alkenyl; R
2 and R
3 are each independently selected from the group consisting of C
1-14 alkyl and C2-14 alkenyl; R
4 is selected from the group consisting of -(CH2)nOH wherein n is selected from the group consisting
 wherein denotes a point of attachment; wherein R
10 is N(R)2; each R is independently selected from the group consisting of C
1-6 alkyl, C
2-3 alkenyl, and H; and n2 is selected from the group consisting of 1, 2, 3, 4, 5, 6, 7, 8, 9, and 10; R’ is a C1-12 alkyl or C2-12 alkenyl; m is selected from 1, 2, 3, 4, 5, 6, 7, 8, and 9; l is selected from 1, 2, 3, 4, 5, 6, 7, 8, and 9. [0231] In some embodiments, the cationic amino lipid of Formula (AII) is a compound of Formula (AII-d):
 its N-oxide, or a salt or isomer thereof, wherein R’
a is R’
branched or R’
cyclic; wherein
 ; wherein denotes a point of attachment; wherein R
aγ and R
bγ are each independently selected from the group consisting of C
1-12 alkyl and C
2-12 alkenyl; R
4 is selected from the group consisting of -(CH
2)
nOH wherein n is selected from the group consisting
 wherein denotes a point of attachment; wherein R
10 is N(R)
2; each R is independently selected from the group consisting of C
1-6 alkyl, C
2-3 alkenyl, and H; and n2 is selected from the group consisting of 1, 2, 3, 4, 5, 6, 7, 8, 9, and 10; each R’ independently is a C
1-12 alkyl or C
2-12 alkenyl; m is selected from 1, 2, 3, 4, 5, 6, 7, 8, and 9; l is selected from 1, 2, 3, 4, 5, 6, 7, 8, and 9. [0232] In some embodiments, the cationic amino lipid of Formula (AII) is a compound of Formula (AII-e):
 its N-oxide, or a salt or isomer thereof, wherein R’
a is R’
branched or R’
cyclic; wherein
 ; wherein
 denotes a point of attachment; wherein R
aγ is selected from the group consisting of C1-12 alkyl and C2-12 alkenyl; R
2 and R
3 are each independently selected from the group consisting of C1-14 alkyl and C
2-14 alkenyl; R
4 is -(CH
2)
nOH wherein n is selected from the group consisting of 1, 2, 3, 4, and 5; R’ is a C1-12 alkyl or C2-12 alkenyl; m is selected from 1, 2, 3, 4, 5, 6, 7, 8, and 9; l is selected from 1, 2, 3, 4, 5, 6, 7, 8, and 9. [0233] In some embodiments of the compound of Formula (AII), (AII-a), (AII-b), (AII-c), (AII-d), or (AII-e), m and l are each independently selected from 4, 5, and 6. In some embodiments of the compound of Formula (AII), (AII-a), (AII-b), (AII-c), (AII-d), or (AII-e), m and l are each 5. [0234] In some embodiments of the compound of Formula (AII), (AII-a), (AII-b), (AII-c), (AII-d), or (AII-e), each R’ independently is a C
1-12 alkyl. In some embodiments of the compound of Formula (AII), (AII-a), (AII-b), (AII-c), (AII-d), or (AII-e), each R’ independently is a C2-5 alkyl. [0235] In some embodiments of the compound of Formula (AII), (AII-a), (AII-b), (AII-c), (AII-d), or (AII-e), R’
b is: and R
2 and R
3 are each independently a C1-14 alkyl. In some embodiments of the compound of Formula (AII), (AII-a), (AII-b), (AII-c), (AII-d), or (AII-e), R’
b is: and R
2 and R
3 are each independently a C6-10 alkyl. In some embodiments of the compound of Formula (AII), (AII-a), (AII-b), (AII-c), (AII-d), or (AII-e), R’
b is: and R
2 and R
3 are each a C8 alkyl. [0236] In some embodiments of the compound of Formula (AII), (AII-a), (AII-b), (AII-c),
 R
2 and R
3 are each independently a C
6-10 alkyl. In some embodiments of the compound of
 embodiments of the compound of Formula (AII), (AII-a), (AII-b), (AII-c), (AII-d), or (AII-e),
 alkyl, and R
2 and R
3 are each a C
8 alkyl. [0237] In some embodiments of the compound of Formula (AII), (AII-a), (AII-b), (AII-c),
 are each a C
1-12 alkyl. In some embodiments of the compound of Formula (AII), (AII-a), (AII-b),
 and R
bγ are each a C
2-6 alkyl. [0238] In some embodiments of the compound of Formula (AII), (AII-a), (AII-b), (AII-c), (AII-d), or (AII-e), m and l are each independently selected from 4, 5, and 6 and each R’ independently is a C
1-12 alkyl. In some embodiments of the compound of Formula (AII), (AII-a), (AII-b), (AII-c), (AII-d), or (AII-e), m and l are each 5 and each R’ independently is a C2-5 alkyl. [0239] In some embodiments of the compound of (AII), (AII-a), (AII-b), (AII-c), (AII-d), or
 independently selected from 4, 5, and 6, each R’ independently is a C
1-12 alkyl, and R
aγ and R
bγ are each a C
1-12 alkyl. In some embodiments of the compound of Formula (AII), (AII-a), (AII-b),
 are each 5, each R’ independently is a C2-5 alkyl, and R
aγ and R
bγ are each a C2-6 alkyl. [0240] In some embodiments of the compound of Formula (AII), (AII-a), (AII-b), (AII-c),
 are each independently selected from 4, 5, and 6, R’ is a C
1-12 alkyl, R
aγ is a C
1-12 alkyl and R
2 and R
3 are each independently a C6-10 alkyl. [0241] In some embodiments of the compound of Formula (AII), (AII-a), (AII-b), (AII-c),
 a C
2-5 alkyl, R
aγ is a C
2-6 alkyl, and R
2 and R
3 are each a C
8 alkyl. [0242] In some embodiments of the compound of (AII), (AII-a), (AII-b), (AII-c), (AII-d), or
 wherein R
10 is NH(C
1-6 alkyl) and n2 is 2. In some embodiments of the compound of Formula (AII), (AII-a), (AII-b), (AII-c), (AII-d), or (AII-e), R
4 wherein R
10 is NH(CH3) and n2 is 2. [0243] In some embodiments of the compound of Formula (AII), (AII-a), (AII-b), (AII-c),
 independently selected from 4, 5, and 6, each R’ independently is a C
1-12 alkyl, R
aγ and R
bγ are each a C1-12 alkyl,
 wherein R
10 is NH(C1-6 alkyl), and n2 is 2. In some embodiments of the compound of Formula (AII), (AII-a), (AII-b), (AII-c), (AII-d), or (AII-
 are each 5, each R’ independently is a C2-5 alkyl, R
aγ and R
bγ are each a C2-6 alkyl, , wherein R
10 is NH(CH3) and n2 is 2. [0244] In some embodiments of the compound of Formula (AII), (AII-a), (AII-b), (AII-c),
 are each independently selected from 4, 5, and 6, R’ is a C1-12 alkyl, R
2 and R
3 are each independently a C
6-10 alkyl, R
aγ is a C
1-12 alkyl,
 wherein R
10 is NH(C
1-6 alkyl) and n2 is 2. In some embodiments of the compound of Formula (AII), (AII-a), (AII-b), (AII-c), (AII-
 are each 5, R’ is a C
2- 5 alkyl, R
aγ is a C2-6 alkyl, R
2 and R
3 are each a C8 alkyl,
 wherein R
10 is NH(CH
3) and n2 is 2. [0245] In some embodiments of the compound of Formula (AII), (AII-a), (AII-b), (AII-c), (AII-d), or (AII-e), R
4 is -(CH2)nOH and n is 2, 3, or 4. In some embodiments of the compound of Formula (AII), (AII-a), (AII-b), (AII-c), (AII-d), or (AII-e), R
4 is -(CH
2)
nOH and n is 2. [0246] In some embodiments of the compound of Formula (AII), (AII-a), (AII-b), (AII-c),
 each independently selected from 4, 5, and 6, each R’ independently is a C1-12 alkyl, R
aγ and R
bγ are each a C
1-12 alkyl, R
4 is -(CH
2)
nOH, and n is 2, 3, or 4. In some embodiments of the compound of Formula
 R’
b is: , m and l are each 5, each R’ independently is a C2-5 alkyl, R
aγ and R
bγ are each a C
2-6 alkyl, R
4 is -(CH
2)
nOH, and n is 2. [0247] In some embodiments, the cationic amino lipid of Formula (AII) is a compound of Formula (AII-f):
 its N-oxide, or a salt or isomer thereof, wherein R’
a is R’
branched or R’
cyclic; wherein
 is:
 denotes a point of attachment; R
aγ is a C1-12 alkyl; R
2 and R
3 are each independently a C
1-14 alkyl; R
4 is -(CH
2)
nOH wherein n is selected from the group consisting of 1, 2, 3, 4, and 5; R’ is a C1-12 alkyl; m is selected from 4, 5, and 6; and l is selected from 4, 5, and 6. [0248] In some embodiments of the compound of Formula (AII-f), m and l are each 5, and n is 2, 3, or 4. [0249] In some embodiments of the compound of Formula (AII-f) R’ is a C
2-5 alkyl, R
aγ is a C
2-6 alkyl, and R
2 and R
3 are each a C
6-10 alkyl. [0250] In some embodiments of the compound of Formula (AII-f), m and l are each 5, n is 2, 3, or 4, R’ is a C
2-5 alkyl, R
aγ is a C
2-6 alkyl, and R
2 and R
3 are each a C
6-10 alkyl. [0251] In some embodiments, the cationic amino lipid of Formula (AII) is a compound of Formula (AII-g):
 its N-oxide, or a salt or isomer thereof; wherein R
aγ is a C
2-6 alkyl; R’ is a C2-5 alkyl; and  R
4 is selected from the group consisting of -(CH
2)
nOH wherein n is selected from the group consisting
 wherein denotes a point of attachment, R
10 is NH(C
1-6 alkyl), and n2 is selected from the group consisting of 1, 2, and 3. [0252] In some embodiments, the cationic amino lipid of Formula (AII) is a compound of Formula (AII-h):
 isomer thereof; wherein R
aγ and R
bγ are each independently a C2-6 alkyl; each R’ independently is a C
2-5 alkyl; and R
4 is selected from the group consisting of -(CH2)nOH wherein n is selected from the group consisting
 wherein denotes a point of attachment, R
10 is NH(C
1-6 alkyl), and n2 is selected from the group consisting of 1, 2, and 3. [0253] In some embodiments of the compound of Formula (AII-g) or (AII-h), R
4 is
 , wherein R
10 is NH(CH
3) and n2 is 2. [0254] In some embodiments of the compound of Formula (AII-g) or (AII-h), R
4 is - (CH2)2OH. Formula (AIII) [0255] In some embodiments, the cationic amino lipid may be one or more of compounds of Formula (AIII):
 (AIII),  or their N-oxides, or salts or isomers thereof, wherein: R1 is selected from the group consisting of C5-30 alkyl, C5-20 alkenyl, -R*YR”, -YR”, and -R”M’R’; R
2 and R
3 are independently selected from the group consisting of H, C
1-14 alkyl, C
2-14 alkenyl, -R*YR”, -YR”, and -R*OR”, or R2 and R3, together with the atom to which they are attached, form a heterocycle or carbocycle; R
4 is selected from the group consisting of hydrogen, a C
3-6 carbocycle, -(CH
2)
nQ, -(CH2)nCHQR, -CHQR, -CQ(R)2, and unsubstituted C1-6 alkyl, where Q is selected from a carbocycle, heterocycle, -OR, -O(CH2)nN(R)2, -C(O)OR, -OC(O)R, -CX3, -CX2H, -CXH2, -CN, -N(R)
2, -C(O)N(R)
2, -N(R)C(O)R, -N(R)S(O)
2R, -N(R)C(O)N(R)
2, -N(R)C(S)N(R)
2, -N(R)R
8, -N(R)S(O)
2R
8, -O(CH
2)
nOR, -N(R)C(=NR
9)N(R)
2, -N(R)C(=CHR
9)N(R)
2, -OC(O)N(R)
2, -N(R)C(O)OR, -N(OR)C(O)R, -N(OR)S(O)2R, -N(OR)C(O)OR, -N(OR)C(O)N(R)2, -N(OR)C(S)N(R)
2, -N(OR)C(=NR
9)N(R)
2, -N(OR)C(=CHR
9)N(R)
2, -C(=NR
9)N(R)
2, -C(=NR
9)R, -C(O)N(R)OR, and –C(R)N(R)
2C(O)OR, and each n is independently selected from 1, 2, 3, 4, and 5; each R
5 is independently selected from the group consisting of C
1-3 alkyl, C
2-3 alkenyl, and H; each R6 is independently selected from the group consisting of C1-3 alkyl, C2-3 alkenyl, and H; M and M’ are independently selected from -C(O)O-, -OC(O)-, -OC(O)-M”-C(O)O-, -C(O)N(R’)-, -N(R’)C(O)-, -C(O)-, -C(S)-, -C(S)S-, -SC(S)-, -CH(OH)-, -P(O)(OR’)O-, -S(O)
2-, -S-S-, an aryl group, and a heteroaryl group, in which M” is a bond, C1-13 alkyl or C2-13 alkenyl; R
7 is selected from the group consisting of C
1-3 alkyl, C
2-3 alkenyl, and H; R
8 is selected from the group consisting of C
3-6 carbocycle and heterocycle; R9 is selected from the group consisting of H, CN, NO2, C1-6 alkyl, -OR, -S(O)2R, -S(O)
2N(R)
2, C
2-6 alkenyl, C
3-6 carbocycle and heterocycle; each R is independently selected from the group consisting of C
1-3 alkyl, C
2-3 alkenyl, and H; each R’ is independently selected from the group consisting of C1-18 alkyl, C2-18 alkenyl, -R*YR”, -YR”, and H; each R” is independently selected from the group consisting of C
3-15 alkyl and C
3-15 alkenyl; each R* is independently selected from the group consisting of C
1-12 alkyl and C
2-12 alkenyl; each Y is independently a C3-6 carbocycle;  each X is independently selected from the group consisting of F, Cl, Br, and I; and m is selected from 5, 6, 7, 8, 9, 10, 11, 12, and 13; and wherein when R4 is -(CH2)nQ, -(CH
2)
nCHQR, –CHQR, or -CQ(R)
2, then (i) Q is not -N(R)
2 when n is 1, 2, 3, 4 or 5, or (ii) Q is not 5, 6, or 7-membered heterocycloalkyl when n is 1 or 2. [0256] In some embodiments, another subset of compounds of Formula (AIII) includes those in which: R
1 is selected from the group consisting of C
5-30 alkyl, C
5-20 alkenyl, -R*YR”, -YR”, and -R”M’R’; R2 and R3 are independently selected from the group consisting of H, C1-14 alkyl, C2-14 alkenyl, -R*YR”, -YR”, and -R*OR”, or R
2 and R
3, together with the atom to which they are attached, form a heterocycle or carbocycle; R4 is selected from the group consisting of a C3-6 carbocycle, -(CH2)nQ, -(CH2)nCHQR, -CHQR, -CQ(R)
2, and unsubstituted C
1-6 alkyl, where Q is selected from a C
3-6 carbocycle, a 5- to 14-membered heteroaryl having one or more heteroatoms selected from N, O, and S, -OR, -O(CH2)nN(R)2, -C(O)OR, -OC(O)R, -CX3, -CX2H, -CXH2, -CN, -C(O)N(R)2, -N(R)C(O)R, -N(R)S(O)
2R, -N(R)C(O)N(R)
2, -N(R)C(S)N(R)
2, -CRN(R)
2C(O)OR, -N(R)R
8, -O(CH
2)
nOR, -N(R)C(=NR
9)N(R)
2, -N(R)C(=CHR
9)N(R)
2, -OC(O)N(R)
2, -N(R)C(O)OR, -N(OR)C(O)R, -N(OR)S(O)2R, -N(OR)C(O)OR, -N(OR)C(O)N(R)2, -N(OR)C(S)N(R)2, -N(OR)C(=NR9)N(R)2, -N(OR)C(=CHR9)N(R)2, -C(=NR9)N(R)2, -C(=NR9)R, -C(O)N(R)OR, and a 5- to 14-membered heterocycloalkyl having one or more heteroatoms selected from N, O, and S which is substituted with one or more substituents selected from oxo (=O), OH, amino, mono- or di-alkylamino, and C1-3 alkyl, and each n is independently selected from 1, 2, 3, 4, and 5; each R
5 is independently selected from the group consisting of C
1-3 alkyl, C
2-3 alkenyl, and H; each R6 is independently selected from the group consisting of C1-3 alkyl, C2-3 alkenyl, and H; M and M’ are independently selected from -C(O)O-, -OC(O)-, -C(O)N(R’)-, -N(R’)C(O)-, -C(O)-, -C(S)-, -C(S)S-, -SC(S)-, -CH(OH)-, -P(O)(OR’)O-, -S(O)2-, -S-S-, an aryl group, and a heteroaryl group; R
7 is selected from the group consisting of C
1-3 alkyl, C
2-3 alkenyl, and H; R
8 is selected from the group consisting of C
3-6 carbocycle and heterocycle; R9 is selected from the group consisting of H, CN, NO2, C1-6 alkyl, -OR, -S(O)2R, -S(O)
2N(R)
2, C
2-6 alkenyl, C
3-6 carbocycle and heterocycle; each R is independently selected from the group consisting of C
1-3 alkyl, C
2-3 alkenyl, and H;  each R’ is independently selected from the group consisting of C
1-18 alkyl, C
2-18 alkenyl, -R*YR”, -YR”, and H; each R” is independently selected from the group consisting of C
3-14 alkyl and C
3-14 alkenyl; each R* is independently selected from the group consisting of C1-12 alkyl and C2-12 alkenyl; each Y is independently a C
3-6 carbocycle; each X is independently selected from the group consisting of F, Cl, Br, and I; and m is selected from 5, 6, 7, 8, 9, 10, 11, 12, and 13, or salts or isomers thereof. [0257] In some embodiments, another subset of compounds of Formula (AIII) includes those in which: R
1 is selected from the group consisting of C
5-30 alkyl, C
5-20 alkenyl, -R*YR”, -YR”, and -R”M’R’; R2 and R3 are independently selected from the group consisting of H, C1-14 alkyl, C2-14 alkenyl, -R*YR”, -YR”, and -R*OR”, or R
2 and R
3, together with the atom to which they are attached, form a heterocycle or carbocycle; R4 is selected from the group consisting of a C3-6 carbocycle, -(CH2)nQ, -(CH2)nCHQR, -CHQR, -CQ(R)2, and unsubstituted C1-6 alkyl, where Q is selected from a C3-6 carbocycle, a 5- to 14-membered heterocycle having one or more heteroatoms selected from N, O, and S, -OR, -O(CH
2)
nN(R)
2, -C(O)OR, -OC(O)R, -CX
3, -CX
2H, -CXH
2, -CN, -C(O)N(R)
2, -N(R)C(O)R, -N(R)S(O)2R, -N(R)C(O)N(R)2, -N(R)C(S)N(R)2, -CRN(R)2C(O)OR, -N(R)R8, -O(CH2)nOR, -N(R)C(=NR
9)N(R)
2, -N(R)C(=CHR
9)N(R)
2, -OC(O)N(R)
2, -N(R)C(O)OR, -N(OR)C(O)R, -N(OR)S(O)
2R, -N(OR)C(O)OR, -N(OR)C(O)N(R)
2, -N(OR)C(S)N(R)
2, -N(OR)C(=NR
9)N(R)
2, -N(OR)C(=CHR9)N(R)2, -C(=NR9)R, -C(O)N(R)OR, and -C(=NR9)N(R)2, and each n is independently selected from 1, 2, 3, 4, and 5; and when Q is a 5- to 14-membered heterocycle and (i) R
4 is -(CH
2)
nQ in which n is 1 or 2, or (ii) R
4 is -(CH
2)
nCHQR in which n is 1, or (iii) R
4 is -CHQR, and -CQ(R)2, then Q is either a 5- to 14-membered heteroaryl or 8- to 14-membered heterocycloalkyl; each R
5 is independently selected from the group consisting of C
1-3 alkyl, C
2-3 alkenyl, and H; each R6 is independently selected from the group consisting of C1-3 alkyl, C2-3 alkenyl, and H;  M and M’ are independently selected from -C(O)O-, -OC(O)-, -C(O)N(R’)-, -N(R’)C(O)-, -C(O)-, -C(S)-, -C(S)S-, -SC(S)-, -CH(OH)-, -P(O)(OR’)O-, -S(O)2-, -S-S-, an aryl group, and a heteroaryl group; R
7 is selected from the group consisting of C
1-3 alkyl, C
2-3 alkenyl, and H; R8 is selected from the group consisting of C3-6 carbocycle and heterocycle; R9 is selected from the group consisting of H, CN, NO2, C1-6 alkyl, -OR, -S(O)2R, -S(O)
2N(R)
2, C
2-6 alkenyl, C
3-6 carbocycle and heterocycle; each R is independently selected from the group consisting of C1-3 alkyl, C2-3 alkenyl, and H; each R’ is independently selected from the group consisting of C
1-18 alkyl, C
2-18 alkenyl, -R*YR”, -YR”, and H; each R” is independently selected from the group consisting of C3-14 alkyl and C3-14 alkenyl; each R* is independently selected from the group consisting of C
1-12 alkyl and C
2-12 alkenyl; each Y is independently a C
3-6 carbocycle; each X is independently selected from the group consisting of F, Cl, Br, and I; and m is selected from 5, 6, 7, 8, 9, 10, 11, 12, and 13, or salts or isomers thereof. [0258] In some embodiments, another subset of compounds of Formula (AIII) includes those in which: R1 is selected from the group consisting of C5-30 alkyl, C5-20 alkenyl, -R*YR”, -YR”, and -R”M’R’; R
2 and R
3 are independently selected from the group consisting of H, C
1-14 alkyl, C
2-14 alkenyl, -R*YR”, -YR”, and -R*OR”, or R2 and R3, together with the atom to which they are attached, form a heterocycle or carbocycle; R
4 is selected from the group consisting of a C
3-6 carbocycle, -(CH
2)
nQ, -(CH
2)
nCHQR, -CHQR, -CQ(R)2, and unsubstituted C1-6 alkyl, where Q is selected from a C3-6 carbocycle, a 5- to 14-membered heteroaryl having one or more heteroatoms selected from N, O, and S, -OR, -O(CH
2)
nN(R)
2, -C(O)OR, -OC(O)R, -CX
3, -CX
2H, -CXH
2, -CN, -C(O)N(R)
2, -N(R)C(O)R, -N(R)S(O)
2R, -N(R)C(O)N(R)
2, -N(R)C(S)N(R)
2, -CRN(R)
2C(O)OR, -N(R)R
8, -O(CH
2)
nOR, -N(R)C(=NR9)N(R)2, -N(R)C(=CHR9)N(R)2, -OC(O)N(R)2, -N(R)C(O)OR, -N(OR)C(O)R, -N(OR)S(O)
2R, -N(OR)C(O)OR, -N(OR)C(O)N(R)
2, -N(OR)C(S)N(R)
2, -N(OR)C(=NR
9)N(R)
2, -N(OR)C(=CHR
9)N(R)
2, -C(=NR
9)R, -C(O)N(R)OR, and -C(=NR
9)N(R)
2, and each n is independently selected from 1, 2, 3, 4, and 5;  each R
5 is independently selected from the group consisting of C
1-3 alkyl, C
2-3 alkenyl, and H; each R
6 is independently selected from the group consisting of C
1-3 alkyl, C
2-3 alkenyl, and H; M and M’ are independently selected from -C(O)O-, -OC(O)-, -C(O)N(R’)-, -N(R’)C(O)-, -C(O)-, -C(S)-, -C(S)S-, -SC(S)-, -CH(OH)-, -P(O)(OR’)O-, -S(O)2-, -S-S-, an aryl group, and a heteroaryl group; R7 is selected from the group consisting of C1-3 alkyl, C2-3 alkenyl, and H; R8 is selected from the group consisting of C3-6 carbocycle and heterocycle; R
9 is selected from the group consisting of H, CN, NO
2, C
1-6 alkyl, -OR, -S(O)
2R, -S(O)
2N(R)
2, C
2-6 alkenyl, C
3-6 carbocycle and heterocycle; each R is independently selected from the group consisting of C1-3 alkyl, C2-3 alkenyl, and H; each R’ is independently selected from the group consisting of C
1-18 alkyl, C
2-18 alkenyl, -R*YR”, -YR”, and H; each R” is independently selected from the group consisting of C
3-14 alkyl and C
3-14 alkenyl; each R* is independently selected from the group consisting of C1-12 alkyl and C2-12 alkenyl; each Y is independently a C
3-6 carbocycle; each X is independently selected from the group consisting of F, Cl, Br, and I; and m is selected from 5, 6, 7, 8, 9, 10, 11, 12, and 13, or salts or isomers thereof. [0259] In some embodiments, another subset of compounds of Formula (AIII) includes those in which R
1 is selected from the group consisting of C
5-30 alkyl, C
5-20 alkenyl, -R*YR”, -YR”, and -R”M’R’; R2 and R3 are independently selected from the group consisting of H, C2-14 alkyl, C2-14 alkenyl, -R*YR”, -YR”, and -R*OR”, or R2 and R3, together with the atom to which they are attached, form a heterocycle or carbocycle; R
4 is -(CH
2)
nQ or -(CH
2)
nCHQR, where Q is -N(R)
2, and n is selected from 3, 4, and 5; each R5 is independently selected from the group consisting of C1-3 alkyl, C2-3 alkenyl, and H; each R
6 is independently selected from the group consisting of C
1-3 alkyl, C
2-3 alkenyl, and H;  M and M’ are independently selected from -C(O)O-, -OC(O)-, -C(O)N(R’)-, -N(R’)C(O)-, -C(O)-, -C(S)-, -C(S)S-, -SC(S)-, -CH(OH)-, -P(O)(OR’)O-, -S(O)2-, -S-S-, an aryl group, and a heteroaryl group; R
7 is selected from the group consisting of C
1-3 alkyl, C
2-3 alkenyl, and H; each R is independently selected from the group consisting of C1-3 alkyl, C2-3 alkenyl, and H; each R’ is independently selected from the group consisting of C
1-18 alkyl, C
2-18 alkenyl, -R*YR”, -YR”, and H; each R” is independently selected from the group consisting of C3-14 alkyl and C3-14 alkenyl; each R* is independently selected from the group consisting of C
1-12 alkyl and C
1-12 alkenyl; each Y is independently a C
3-6 carbocycle; each X is independently selected from the group consisting of F, Cl, Br, and I; and m is selected from 5, 6, 7, 8, 9, 10, 11, 12, and 13, or salts or isomers thereof. [0260] In some embodiments, another subset of compounds of Formula (AIII) includes those in which R1 is selected from the group consisting of C5-30 alkyl, C5-20 alkenyl, -R*YR”, -YR”, and -R”M’R’; R
2 and R
3 are independently selected from the group consisting of C
1-14 alkyl, C
2-14 alkenyl, -R*YR”, -YR”, and -R*OR”, or R2 and R3, together with the atom to which they are attached, form a heterocycle or carbocycle; R
4 is selected from the group consisting of -(CH
2)
nQ, -(CH
2)
nCHQR, -CHQR, and -CQ(R)2, where Q is -N(R)2, and n is selected from 1, 2, 3, 4, and 5; each R
5 is independently selected from the group consisting of C
1-3 alkyl, C
2-3 alkenyl, and H; each R6 is independently selected from the group consisting of C1-3 alkyl, C2-3 alkenyl, and H; M and M’ are independently selected from -C(O)O-, -OC(O)-, -C(O)N(R’)-, -N(R’)C(O)-, -C(O)-, -C(S)-, -C(S)S-, -SC(S)-, -CH(OH)-, -P(O)(OR’)O-, -S(O)
2-, -S-S-, an aryl group, and a heteroaryl group; R
7 is selected from the group consisting of C
1-3 alkyl, C
2-3 alkenyl, and H; each R is independently selected from the group consisting of C
1-3 alkyl, C
2-3 alkenyl, and H;  each R’ is independently selected from the group consisting of C
1-18 alkyl, C
2-18 alkenyl, -R*YR”, -YR”, and H; each R” is independently selected from the group consisting of C
3-14 alkyl and C
3-14 alkenyl; each R* is independently selected from the group consisting of C1-12 alkyl and C1-12 alkenyl; each Y is independently a C
3-6 carbocycle; each X is independently selected from the group consisting of F, Cl, Br, and I; and m is selected from 5, 6, 7, 8, 9, 10, 11, 12, and 13, or salts or isomers thereof. [0261] In certain embodiments, a subset of compounds of Formula (AIII) includes those of Formula (AIII-A):
 (AIII-A), or its N-oxide, or a salt or isomer thereof, wherein l is selected from 1, 2, 3, 4, and 5; m is selected from 5, 6, 7, 8, and 9; M1 is a bond or M’; R4 is hydrogen, unsubstituted C1-3 alkyl, or -(CH2)nQ, in which Q is -OH, -NHC(S)N(R)2, -NHC(O)N(R)
2, -N(R)C(O)R, -N(R)S(O)
2R, -N(R)R
8, -NHC(=NR
9)N(R)
2,-NHC(=CHR
9)N(R)
2, -OC(O)N(R)
2, -N(R)C(O)OR, heteroaryl or heterocycloalkyl; M and M’ are independently selected from -C(O)O-, -OC(O)-, -OC(O)-M”-C(O)O-, -C(O)N(R’)-, -P(O)(OR’)O-, -S-S-, an aryl group, and a heteroaryl group,; and R
2 and R
3 are independently selected from the group consisting of H, C
1-14 alkyl, and C
2-14 alkenyl. For example, m is 5, 7, or 9. For example, Q is OH, -NHC(S)N(R)2, or -NHC(O)N(R)2. For example, Q is -N(R)C(O)R, or -N(R)S(O)2R. [0262] In certain embodiments, a subset of compounds of Formula (AIII) includes those of Formula (AIII-B):
 (AIII-B), or its N-oxide, or a salt or isomer thereof in which all variables are as described in this “Lipid Compositions” section. For example, m is selected from 5, 6, 7, 8, and 9; R4 is hydrogen, unsubstituted C1-3 alkyl, or -(CH2)nQ, in which Q is H, -NHC(S)N(R)
2, -NHC(O)N(R)
2, -N(R)C(O)R, -N(R)S(O)
2R, -N(R)R
8, -NHC(=NR
9)N(R)
2, -NHC(=CHR
9)N(R)
2, -OC(O)N(R)
2, -N(R)C(O)OR, heteroaryl or heterocycloalkyl; M and M’ are independently selected from -C(O)O-, -OC(O)-, -OC(O)-M”-C(O)O-, -C(O)N(R’)-, -P(O)(OR’)O-, -S-S-, an aryl group, and a heteroaryl group; and R
2 and R
3 are independently selected from the group consisting of H, C
1-14 alkyl, and C
2-14 alkenyl. For example, m is 5, 7, or 9. For example, Q is OH, -NHC(S)N(R)2, or -NHC(O)N(R)2. For example, Q is -N(R)C(O)R, or -N(R)S(O)2R. [0263] In certain embodiments, a subset of compounds of Formula (AIII) includes those of Formula (AIII-C):
 (AIII-C), or its N-oxide, or a salt or isomer thereof, wherein l is selected from 1, 2, 3, 4, and 5; M
1 is a bond or M’; R
4 is hydrogen, unsubstituted C1-3 alkyl, or -(CH2)nQ, in which n is 2, 3, or 4, and Q is OH, -NHC(S)N(R)2, -NHC(O)N(R)2, -N(R)C(O)R, -N(R)S(O)2R, -N(R)R8, -NHC(=NR9)N(R)2,-NHC(=CHR9)N(R)2, -OC(O)N(R)
2, -N(R)C(O)OR, heteroaryl or heterocycloalkyl; M and M’ are independently selected from -C(O)O-, -OC(O)-, -OC(O)-M”-C(O)O-, -C(O)N(R’)-, -P(O)(OR’)O-, -S-S-, an aryl group, and a heteroaryl group; and R2 and R3 are independently selected from the group consisting of H, C
1-14 alkyl, and C
2-14 alkenyl. [0264] In some embodiments, the compounds of Formula (AIII) are of Formula (AIII-D),
 their N-oxides, or salts or isomers thereof, wherein R4 is as described in this “Lipid Compositions” section. [0265] In another embodiment, the compounds of Formula (AIII) are of Formula (AIII-E),
 their N-oxides, or salts or isomers thereof, wherein R
4 is as described in this “Lipid Compositions” section. [0266] In another embodiment, the compounds of Formula (AIII) are of Formula (AIII-F) or (AIII-G):
 their N-oxides, or salts or isomers thereof, wherein R
4 is as described in this “Lipid Compositions” section. [0267] In another embodiment, the compounds of Formula (AIII) are of Formula (AIII-H):
 their N-oxides, or salts or isomers thereof, wherein M is -C(O)O- or –OC(O)-, M” is C1-6 alkyl or C2-6 alkenyl, R2 and R3 are independently selected from the group consisting of C
5-14 alkyl and C
5-14 alkenyl, and n is selected from 2, 3, and 4. [0268] In a further embodiment, the compounds of Formula (AIII) are of Formula (AIII-I):
 (AIII-I), or their N-oxides, or salts or isomers thereof, wherein n is 2, 3, or 4; and m, R’, R”, and R
2 through R
6 are as described in this “Lipid Compositions” section. For example, each of R2 and R3 may be independently selected from the group consisting of C5-14 alkyl and C5-14 alkenyl. [0269] In some embodiments, an cationic amino lipid comprises a compound having
 (Compound 1). [0270] In some embodiments, an cationic amino lipid comprises a compound having structure:
 (Compound 2). [0271] In a further embodiment, the compounds of Formula (AIII) are of Formula (AIII-J),
 (AIII-J), or their N-oxides, or salts or isomers thereof, wherein l is selected from 1, 2, 3, 4, and 5; m is selected from 5, 6, 7, 8, and 9; M1 is a bond or M’; M and M’ are independently selected from -C(O)O-, -OC(O)-, -OC(O)-M”-C(O)O-, -C(O)N(R’)-, -P(O)(OR’)O-, -S-S-, an aryl group, and a heteroaryl group; and R2 and R3 are independently selected from the group consisting of H, C1-14 alkyl, and C2-14 alkenyl. For example, M” is C
1-6 alkyl (e.g., C
1-4 alkyl) or C
2-6 alkenyl (e.g. C
2-4 alkenyl). For example, R
2 and R
3 are independently selected from the group consisting of C
5-14 alkyl and C
5-14 alkenyl. [0272] In some embodiments, the cationic amino lipids are one or more of the compounds described in U.S. Application Nos. 62/220,091, 62/252,316, 62/253,433, 62/266,460, 62/333,557, 62/382,740, 62/393,940, 62/471,937, 62/471,949, 62/475,140, and 62/475,166, and PCT Application No. PCT/US2016/052352. [0273] The central amine moiety of a lipid according to Formula (AIII), (AIII-A), (AIII-B), (AIII-C), (AIII-D), (AIII-E), (AIII-F), (AIII-G), (AIII-H), (AIII-I), or (AIII-J) may be protonated at a physiological pH. Thus, a lipid may have a positive or partial positive charge at physiological pH. Such amino lipids may be referred to as cationic lipids, ionizable lipids, cationic amino lipids, or cationic amino lipids. Amino lipids may also be zwitterionic, i.e., neutral molecules having both a positive and a negative charge.  Formula (AIV) [0274] In some embodiments, the cationic amino lipid may be one or more of compounds of formula (AIV),
 salts or isomers thereof, wherein
 t is 1 or 2; A
1 and A
2 are each independently selected from CH or N; Z is CH2 or absent wherein when Z is CH2, the dashed lines (1) and (2) each represent a single bond; and when Z is absent, the dashed lines (1) and (2) are both absent; R
1, R
2, R
3, R
4, and R
5 are independently selected from the group consisting of C
5-20 alkyl, C5-20 alkenyl, -R”MR’, -R*YR”, -YR”, and -R*OR”; RX1 and RX2 are each independently H or C1-3 alkyl; each M is independently selected from the group consisting of -C(O)O-, -OC(O)-, -OC(O)O-, -C(O)N(R’)-, -N(R’)C(O)-, -C(O)-, -C(S)-, -C(S)S-, -SC(S)-, -CH(OH)-, -P(O)(OR’)O-, -S(O)2-, -C(O)S-, -SC(O)-, an aryl group, and a heteroaryl group; M* is C
1-C
6 alkyl, W
1 and W
2 are each independently selected from the group consisting of -O- and -N(R6)-; each R6 is independently selected from the group consisting of H and C1-5 alkyl; X
1, X
2, and X
3 are independently selected from the group consisting of a bond, -CH
2-, -(CH
2)
2-, -CHR-, -CHY-, -C(O)-, -C(O)O-, -OC(O)-, -(CH
2)
n-C(O)-, -C(O)-(CH
2)
n-, -(CH2)n-C(O)O-, -OC(O)-(CH2)n-, -(CH2)n-OC(O)-, -C(O)O-(CH2)n-, -CH(OH)-, -C(S)-, and -CH(SH)-; each Y is independently a C
3-6 carbocycle;  each R* is independently selected from the group consisting of C
1-12 alkyl and C
2-12 alkenyl; each R is independently selected from the group consisting of C
1-3 alkyl and a C
3-6 carbocycle; each R’ is independently selected from the group consisting of C1-12 alkyl, C2-12 alkenyl, and H; each R” is independently selected from the group consisting of C
3-12 alkyl, C
3-12 alkenyl and -R*MR’; and n is an integer from 1-6; wherein when ring
 then i) at least one of X
1, X
2, and X
3 is not -CH2-; and/or ii) at least one of R1, R2, R3, R4, and R5 is -R”MR’. [0275] In some embodiments, the compound is of any of formulae (AIVa)-(AIVh):
 [0276] In some embodiments, the cationic amino lipid is
 salt thereof. [0277] The central amine moiety of a lipid according to Formula (AIV), (AIVa), (AIVb), (AIVc), (AIVd), (AIVe), (AIVf), (AIVg), or (AIVh) may be protonated at a physiological pH. Thus, a lipid may have a positive or partial positive charge at physiological pH. Formula (AV) [0278] In some embodiments, the lipid nanoparticle comprises a lipid having the structure:  pharmaceutically acceptable salt, tautomer, or stereoisomer thereof, wherein: R
1 is optionally substituted C
1-C
24 alkyl or optionally substituted C
2-C
24 alkenyl; R
2 and R
3 are each independently optionally substituted C1-C36 alkyl; R
4 and R
5 are each independently optionally substituted C
1-C
6 alkyl, or R
4 and R
5 join, along with the N to which they are attached, to form a heterocyclyl or heteroaryl; L
1, L
2, and L
3 are each independently optionally substituted C1-C18 alkylene; G
1 is a direct bond, -(CH2)nO(C=O)-, -(CH2)n(C=O)O-, or –(C=O)-; G
2 and G
3 are each independently –(C=O)O- or -O(C=O)-; and n is an integer greater than 0. Formula (AVI) [0279] In some embodiments, the lipid nanoparticle comprises a lipid having the structure:
 pharmaceutically acceptable salt, tautomer, or stereoisomer thereof, wherein: G
1 is -N(R
3)R
4 or -OR
5; R
1 is optionally substituted branched, saturated or unsaturated C12-C36 alkyl; R
2 is optionally substituted branched or unbranched, saturated or unsaturated C
12-C
36 alkyl when L is -C(=O)-; or R
2 is optionally substituted branched or unbranched, saturated or unsaturated C4-C36 alkyl when L is C6-C12 alkylene, C6-C12 alkenylene, or C2-C6 alkynylene; R
3 and R
4 are each independently H, optionally substituted branched or unbranched, saturated or unsaturated C
1-C
6 alkyl; or R
3 and R
4 are each independently optionally substituted branched or unbranched, saturated or unsaturated C1-C6 alkyl when L is C6-C12 alkylene, C6-C12 alkenylene, or C2-C6 alkynylene; or R
3 and R
4, together with the nitrogen to which they are attached, join to form a heterocyclyl; R
5 is H or optionally substituted C1-C6 alkyl; L is -C(=O)-, C6-C12 alkylene, C6-C12 alkenylene, or C2-C6 alkynylene; and n is an integer from 1 to 12.  Formula (AVII) [0280] In some embodiments, the lipid nanoparticle comprises a lipid having the structure:
 pharmaceutically acceptable salt thereof, wherein: each R
1a is independently hydrogen, R
1c, or R
1d; each R
1b is independently R
1c or R
1d; each R
1c is independently –[CH2]2C(O)X
1R
3; each R
1d Is independently -C(O)R
4; each R
2 is independently -[C(R
2a)2]cR
2b; each R
2a is independently hydrogen or C1-C6 alkyl; R
2b is -N(L
1-B)
2; -(OCH
2CH
2)
6OH; or -(OCH
2CH
2)
bOCH
3; each R
3 and R
4 is independently C
6-C
30 aliphatic; each I.3 is independently C1-C10 alkylene; each B is independently hydrogen or an ionizable nitrogen-containing group; each X
1 is independently a covalent bond or O; each a is independently an integer of 1-10; each b is independently an integer of 1-10; and each c is independently an integer of 1-10. Formula (AVIII) [0281] In some embodiments, the lipid nanoparticle comprises a lipid having the structure: (AVIII), or a pharmaceutically acceptable salt, prodrug or stereoisomer thereof, wherein: X is N, and Y is absent; or X is CR, and Y is NR; L
1 is -O(C-O)R
1, -(C=O)OR
1, -C(=O)R
1, -OR
1, -S(O)xR
1, -S-SR
1, -C(=O)SR
1, - SC(=O)R
1, -NR
aC(=O)R
1, -C(=O)NR
bR
c, -NR
aC(=O)NR
bR
c, -OC(=O)NR
bR
c, or - NR
aC(=O)OR
1;
 SC(=O)R
2, -NR
dC(=O)R
2, -C(=O)NR
eR
f, -NR
dC(=O)NR
eR
f, -OC(=O)NR
eR
f, -NR
dC(=O)OR
2 or a direct bond to R
2;  L
3 is -O(C=O)R
3 or -(C=O)OR
3; G
1 and G
2 are each independently C2-C12 alkylene or C2-C12 alkenylene; G
3 is C
1-C
24 alkylene, C
2-C
24 alkenylene, C
1-C
24 heteroalkylene or C
2-C
24 heteroalkenylene when X is CR, and Y is NR; and G
3 is C
1-C
24 heteroalkylene or C
2-C
24 heteroalkenylene when X is N, and Y is absent; R
a, R
b, R
d and R
e are each independently H or C1-C12 alkyl or C1-C12 alkenyl; R
c and R
f are each independently C
1-C
12 alkyl or C
2-C
12 alkenyl; each R is independently H or C1-C12 alkyl; R
1, R
2 and R
3 are each independently C1-C24 alkyl or C2-C24 alkenyl; and x is 0, 1 or 2, and wherein each alkyl, alkenyl, alkylene, alkenylene, heteroalkylene and heteroalkenylene is independently substituted or unsubstituted unless otherwise specified. Formula (AIX) [0282] In some embodiments, the lipid nanoparticle comprises a lipid having the structure:
 pharmaceutically acceptable salt, tautomer, prodrug or stereoisomer thereof, wherein: L
1 and L
2 are each independently -O(C=O)-, -(C=O)O-, -C(=O)-, -O-, -S(O)
x-, -S-S-, - C(=O)S-, -SC(=O)-, -NR
aC(=O)-, -C(=O)NR
a-, -NR
aC(=O)NR
a-, -OC(=O)NR
a-, -NR
aC(=O)O- or a direct bond; G
1 is C
1-C
2 alkylene, -(C=O)-, -O(C=O)-, -SC(=O)-, -NR
aC(=O)- or a direct bond; G
2 is -C(O)-, -(CO)O-, -C(=O)S-, -C(=O)NR
a- or a direct bond; G
3 is C1-C6 alkylene; R
a is H or C
1-C
12 alkyl; R
1a and R
1b are, at each occurrence, independently either: (a) H or C1-C12 alkyl; or (b) R
1a is H or C1-C12 alkyl, and R
1b together with the carbon atom to which it is bound is taken together with an adjacent R
1b and the carbon atom to which it is bound to form a carbon-carbon double bond; R
2a and R
2b are, at each occurrence, independently either: (a) H or C1-C12 alkyl; or (b) R
2a is H or C
1-C
12 alkyl, and R
2b together with the carbon atom to which it is bound is taken together with an adjacent R
2b and the carbon atom to which it is bound to form a carbon-carbon double bond; R
3a and R
3b are, at each occurrence, independently either (a): H or C
1-C
12 alkyl; or (b) R
3a is H or C
1-C
12 alkyl, and R
3b together with the carbon atom to which it is bound is taken together with an adjacent R and the carbon atom to which it is bound to form a carbon-carbon double bond; R
4a and R
4b are, at each occurrence, independently either: (a) H or C
1-C
12 alkyl; or (b) R
4a is H or C1-C12 alkyl, and R
4b together with the carbon atom to which it is bound is taken together with an adjacent R
4b and the carbon atom to which it is bound to form a carbon-carbon double bond; R
5 and R
6 are each independently H or methyl; R
7 is H or C1-C20 alkyl; R
8 is OH, -N(R
9)(C=O)R
10, -(C=O)NR
9R
10, -NR
9R
10, -(C=O)OR”
1 or -O(C=O)R”, provided that G
3 is C
4-C
6 alkylene when R
8 is -NR
9R
10, R
9 and R
10 are each independently H or C1-C12 alkyl; R” is aralkyl; a, b, c and d are each independently an integer from 1 to 24; and x is 0, 1 or 2, and wherein each alkyl, alkylene and aralkyl is optionally substituted. Formula (AX) [0283] In some embodiments, the lipid nanoparticle comprises a lipid having the structure:
 pharmaceutically acceptable salt, prodrug or stereoisomer thereof, wherein: X and X’ are each independently N or CR; Y and Y’ are each independently absent, -O(C=O)-, -(C=O)O- or NR, provided that: a) Y is absent when X is N; b) Y’ is absent when X’ is N; c) Y is -O(C=O)-, -(C=O)O- or NR when X is CR; and d) Y’ is -O(C=O)-, -(C=O)O- or NR when X’ is CR, L
1 and L
1’ are each independently -O(C=O)R’, -(C=O)OR’, -C(=O)R’, -OR
1, -S(O)
xR’, -
 OC(=O)NR
bR
c or -NR
aC(=O)OR’;  L
2 and L
2’ are each independently -O(C=O)R
2, -(C=O)OR
2, -C(=O)R
2, -OR
2, -S(O)
xR
2, - S-SR
2, -C(=O)SR
2, -SC(=O)R
2, -NR
dC(=O)R
2, -C(=O)NR
eR
f, -NR
dC(=O)NR
eR
f, - OC(=O)NR
eR
f, -NR
dC(=O)OR
2 or a direct bond to R
2; G
1. G
1’, G
2 and G
2’ are each independently C
2-C
12 alkylene or C
2-C
12 alkenylene; G is C2-C24 heteroalkylene or C2-C24 heteroalkenylene; R
a, R
b, R
d and R
e are, at each occurrence, independently H, C1-C12 alkyl or C2-C12 alkenyl; R
c and R
f are, at each occurrence, independently C1-C12 alkyl or C2-C12 alkenyl; R is, at each occurrence, independently H or C1-C12 alkyl; R
1 and R
2 are, at each occurrence, independently branched C
6-C
24 alkyl or branched C
6-C
24 alkenyl; z is 0, 1 or 2, and wherein each alkyl, alkenyl, alkylene, alkenylene, heteroalkylene and heteroalkenylene is independently substituted or unsubstituted unless otherwise specified. Formula (AXI) [0284] In some embodiments, the lipid nanoparticle comprises a lipid having the structure:
 or a pharmaceutically acceptable salt, prodrug or stereoisomer thereof, wherein: L
1 is -O(C=O)R
1, -(C=O)OR
1, -C(=O)R
1, -OR
1, -S(O)
xR
1, -S-SR
1, -C(=O)SR
1, -SC(=O)R
1, -NR
aC(=O)R
1, -C(=O)NR
bR
c, -NR
aC(=O)NR
bR
c, -OC(=O)NR
bR
c or - NR
aC(=O)OR
1; L
2 is -O(C=O)R
2, -(C=O)OR
2, -C(=O)R
2, -OR
2, -S(O)
xR
2, -S-SR
2, -C(=O)SR
2, -SC(=O)R
2, -NR
dC(=O)R
2, -C(=O)NR
eR
f, -NR
dC(=O)NR
eR
f, -OC(=O)NR
eR
f, -NR
dC(=O)OR
2 or a direct bond to R
2; G
1 and G
2 are each independently C
2-C
12 alkylene or C
2-C
12 alkenylene; G
3 is C1-C24 alkylene, C2-C24 alkenylene, C3-C8 cycloalkylene or C3-C8 cycloalkenylene; R
a, R
b, R
d and R
e are each independently H or C1-C12 alkyl or C1-C12 alkenyl; R
c and R
f are each independently C
1-C
12 alkyl or C
2-C
12 alkenyl; R
1 and R
2 are each independently branched C6-C24 alkyl or branched C6-C24 alkenyl; R
3 is -N(R
4)R
5; R
4 is C
1-C
12 alkyl; R
5 is substituted C
1-C
12 alkyl; and  x is 0, 1 or 2, and wherein each alkyl, alkenyl, alkylene, alkenylene, cycloalkylene, cycloalkenylene, aryl and aralkyl is independently substituted or unsubstituted unless otherwise specified. [0285] In some embodiments, the lipid nanoparticle comprises a lipid having the structure:
 pharmaceutically acceptable salt, prodrug or stereoisomer thereof, wherein: L
1 is -O(C=O)R
1, -(C=O)OR
1, -C(=O)R
1, -OR
1, -S(O)
xR
1, -S-SR
1, -C(=O)SR
1, - SC(=O)R
1, -NR
aC(=O)R
1, -C(=O)NR
bR
c, -NR
aC(=O)NR
bR
c, -OC(=O)NR
bR
c or - NR
aC(=O)OR
1; L
2 is -O(C=O)R
2, -(C=O)OR
2, -C(=O)R
2, -OR
2, -S(O)
xR
2, -S-SR
2, -C(=O)SR
2, - SC(=O)R
2, -NR
dC(=O)R
2, -C(=O)NR
eR
f, -NR
dC(=O)NR
eR
f, -OC(=O)NR
eR
f, -NR
dC(=O)OR
2 or a direct bond to R
2; G
1a and G
2b are each independently C2-C12 alkylene or C2-C12 alkenylene; G
1b and G
2b are each independently C
1-C
12 alkylene or C
2-C
12 alkenylene; G
3 is C1-C24 alkylene, C2-C24 alkenylene, C3-C8 cycloalkylene or C3-C8 cycloalkenylene; R
a, R
b, R
d and R
e are each independently H or C1-C12 alkyl or C2-C12 alkenyl; R
c and R
f are each independently C
1-C
12 alkyl or C
2-C
12 alkenyl; R
1 and R
2 are each independently branched C6-C24 alkyl or branched C6-C24 alkenyl; R
3a is -C(=O)N(R
4a)R
5a or -C(=O)OR
6; R
3b is -NR
4bC(=O)R
5b; R
4a is C
1-C
12 alkyl; R
4b is H, C1-C12 alkyl or C2-C12 alkenyl; R
5a is H, C1-C8 alkyl or C2-C8 alkenyl; R
5b is C
2-C
12 alkyl or C
2-C
12 alkenyl when R
4b is H; or R
5b is C
1-C
12 alkyl or C
2-C
12 alkenyl when R
4b is C1-C12 alkyl or C2-C12 alkenyl; R
6 is H, aryl or aralkyl; and x is 0, 1 or 2, and wherein each alkyl, alkenyl, alkylene, alkenylene, cycloalkylene, cycloalkenylene, aryl and aralkyl is independently substituted or unsubstituted.  Formula (AXII) [0286] In some embodiments, the lipid nanoparticle comprises a lipid having the structure:
 pharmaceutically acceptable salt, prodrug or stereoisomer thereof, wherein: G
1 is -OH, -R
3R
4, -(C=O)R
5 or -R
3(C=O)R
5; G
2 is -CH2- or -(C=O)-; R is, at each occurrence, independently H or OH; R
1 and R
2 are each independently optionally substituted branched, saturated or unsaturated C12-C36 alkyl; R
3 and R
4 are each independently H or optionally substituted straight or branched, saturated or unsaturated C
1-C
6 alkyl; R
5 is optionally substituted straight or branched, saturated or unsaturated C1-C6 alkyl; and n is an integer from 2 to 6. Formula (AXIII) [0287] In some embodiments, the lipid nanoparticle comprises a lipid having the structure:
 pharmaceutically acceptable salt, prodrug or stereoisomer thereof, wherein: one of G
1 or G
2 is, at each occurrence, -O(C=O)-, -(C=O)O-, -C(=O)-, -O-, -S(O)
X, -S-S-, -C(=O)S-, SC(=O)-, -N(R
a)C(=O)-, -C(=O)N(R
a)-, -N(R
a)C(=O)N(R
a)-, -OC(=O)N(R
a)- or - N(R
a)C(=O)O-, and the other of G
1 or G
2 is, at each occurrence, -O(C=O)-, -(C=O)O-, -C(=O)-, -O-, -S(O)
X, -S-S-, -C(=O)S-, -SC(=O)-, -N(R
a)C(=O)-, -C(=O)N(R
a)-, -N(R
a)C(=O)N(R
a)-, - OC(=O)N(R
a)- or -N(R
a)C(=O)O- or a direct bond; L is, at each occurrence, ~O(C=O)-, wherein ~ represents a covalent bond to X; X is CR
a;  Z is alkyl, cycloalkyl or a monovalent moiety comprising at least one polar functional group when n is 1; or Z is alkylene, cycloalkylene or a polyvalent moiety comprising at least one polar functional group when n is greater than 1; R
a is, at each occurrence, independently H, C
1-C
12 alkyl, C
1-C
12 hydroxylalkyl, C
1-C
12 aminoalkyl, C1-C12 alkylaminylalkyl, C1-C12 alkoxyalkyl, C1-C12 alkoxycarbonyl, C1-C12 alkylcarbonyloxy, C1-C12 alkylcarbonyloxyalkyl or C1-C12 alkylcarbonyl; R is, at each occurrence, independently either: (a) H or C
1-C
12 alkyl; or (b) R together with the carbon atom to which it is bound is taken together with an adjacent R and the carbon atom to which it is bound to form a carbon-carbon double bond; R
1 and R
2 have, at each occurrence, the following structure, respectively:
 a
1 and a
2 are, at each occurrence, independently an integer from 3 to 12; b
1 and b
2 are, at each occurrence, independently 0 or 1; c
1 and c
2 are, at each occurrence, independently an integer from 5 to 10; d
1 and d
2 are, at each occurrence, independently an integer from 5 to 10; y is, at each occurrence, independently an integer from 0 to 2; and n is an integer from 1 to 6, and wherein each alkyl, alkylene, hydroxylalkyl, aminoalkyl, alkylaminylalkyl, alkoxyalkyl, alkoxycarbonyl, alkylcarbonyloxy, alkylcarbonyloxyalkyl and alkylcarbonyl is optionally substituted with one or more substituent. Formula (AXIV) [0288] In some embodiments, the lipid nanoparticle comprises a lipid having the structure:
 pharmaceutically acceptable salt, prodrug or stereoisomer thereof, wherein: one
 SC(=O)-, -R
aC(=O)-, -C(=O)R
a-, R
aC(=O)R
a-, -OC(=O)R
a- or -R
aC(=O)O-, and the other of C(=O)R
a-, R
aC(=O)R
a-, -OC(=O)R
a- or -NR
aC(=O)O- or a direct bond; G
1 and G
2 are each independently unsubstituted C
1-C
12 alkylene or C
1-C
12 alkenylene; G
3 is C
1-C
24 alkylene, C
1-C
24 alkenylene, C
3-C
8 cycloalkylene, C
3-C
8 cycloalkenylene; R
a is H or C1-C12 alkyl; R
1 and R
2 are each independently C6-C24 alkyl or C6-C24 alkenyl; R
3 is H, OR
5, CN, -C(=O)OR
4, -OC(=O)R
4 or -R
5C(=O)R
4; R
4 is C1-C12 alkyl; R
5 is H or C1-C6 alkyl; and x is 0, 1 or 2. Formula (AXV) [0289] In some embodiments, the lipid nanoparticle comprises a lipid having the structure:
 pharmaceutically acceptable salt, tautomer, prodrug or stereoisomer thereof, wherein: L
1 and L
2 are each independently -O(C=O)-, -(C=O)O-, -C(=O)-, -O-, -S(O)
x-, -S-S-, - C(=O)S-, -SC(=O)-, -R
aC(=O)-, -C(=O)R
a-, -R
aC(=O)R
a-, -OC(=O)R
a-, -R
aC(=O)O- or a direct bond; G
1 is C
1-C
2 alkylene, -(C=O)-, -O(C=O)-, -SC(=O)-, -R
aC(=O)- or a direct bond:
 direct bond; G
3 is C1-C6 alkylene; R
a is H or C
1-C
12 alkyl; R
1a and R
1b are, at each occurrence, independently either: (a) H or C1-C12 alkyl; or (b) R
1a is H or C1-C12 alkyl, and R
1b together with the carbon atom to which it is bound is taken together with an adjacent R
1b and the carbon atom to which it is bound to form a carbon-carbon double bond; R
2a and R
2b are, at each occurrence, independently either: (a) H or C1-C12 alkyl; or (b) R
2a is H or C1-C12 alkyl, and R
2b together with the carbon atom to which it is bound is taken together with an adjacent R
2b and the carbon atom to which it is bound to form a carbon-carbon double bond; R
3a and R
3b are, at each occurrence, independently either (a): H or C
1-C
12 alkyl; or (b) R
3a is H or C
1-C
12 alkyl, and R
3b together with the carbon atom to which it is bound is taken together with an adjacent R and the carbon atom to which it is bound to form a carbon-carbon double bond; R
4a and R
4b are, at each occurrence, independently either: (a) H or C
1-C
12 alkyl; or (b) R
4a is H or C1-C12 alkyl, and R
4b together with the carbon atom to which it is bound is taken together with an adjacent R
4b and the carbon atom to which it is bound to form a carbon-carbon double bond; R
5 and R
6 are each independently H or methyl; R
7 is C4-C20 alkyl; R
8 and R
9 are each independently C
1-C
12 alkyl; or R
8 and R
9, together with the nitrogen atom to which they are attached, form a 5, 6 or 7-membered heterocyclic ring; a, b, c and d are each independently an integer from 1 to 24; and x is 0, 1 or 2. Formula (AXVI) [0290] In some embodiments, the lipid nanoparticle comprises a lipid having the structure:
 pharmaceutically acceptable salt, tautomer, prodrug or stereoisomer thereof, wherein: L
1 and L
2 are each independently -O(C=O)-, -(C=O)O- or a carbon-carbon double bond; R
1a and R
1b are, at each occurrence, independently either (a) H or C
1-C
12 alkyl, or (b) R
1a is H or C
1-C
12 alkyl, and R
1b together with the carbon atom to which it is bound is taken together with an adjacent R
1b and the carbon atom to which it is bound to form a carbon-carbon double bond; R
2a and R
2b are, at each occurrence, independently either (a) H or C
1-C
12 alkyl, or (b) R
2a is H or C1-C12 alkyl, and R
2b together with the carbon atom to which it is bound is taken together with an adjacent R
2b and the carbon atom to which it is bound to form a carbon-carbon double bond;  R
3a and R
3b are, at each occurrence, independently either (a) H or C
1-C
12 alkyl, or (b) R
3a is H or C1-C12 alkyl, and R
3b together with the carbon atom to which it is bound is taken together with an adjacent R
3b and the carbon atom to which it is bound to form a carbon-carbon double bond; R
4a and R
4b are, at each occurrence, independently either (a) H or C1-C12 alkyl, or (b) R
4a is H or C1-C12 alkyl, and R
4b together with the carbon atom to which it is bound is taken together with an adjacent R
4b and the carbon atom to which it is bound to form a carbon-carbon double bond; R
5 and R
6 are each independently methyl or cycloalkyl; R
7 is, at each occurrence, independently H or C
1-C
12 alkyl; R
8 and R
9 are each independently unsubstituted C
1-C
12 alkyl; or R
8 and R
9, together with the nitrogen atom to which they are attached, form a 5, 6 or 7- membered heterocyclic ring comprising one nitrogen atom; a and d are each independently an integer from 0 to 24; b and c are each independently an integer from 1 to 24; and e is 1 or 2, provided that: at least one of R
1a, R
2a, R
3a or R
4a is C
1-C
12 alkyl, or at least one of L
1 or L
2 is -O(C=O)- or -(C=O)O-; and R
1a and R
1b are not isopropyl when a is 6 or n-butyl when a is 8. Formula (AXVII) [0291] In some embodiments, the lipid nanoparticle comprises a lipid having the structure:
 pharmaceutically acceptable salt thereof, wherein R1 and R2 are the same or different, each a linear or branched alkyl with 1-9 carbons, or as alkenyl or alkynyl with 2 to 11 carbon atoms, L
1 and L
2 are the same or different, each a linear alkyl having 5 to 18 carbon atoms, or form a heterocycle with N, X1 is a bond, or is -CG-G- whereby L2-CO-O-R2 is formed, X
2 is S or O, L
3 is a bond or a lower alkyl, or form a heterocycle with N, R3 is a lower alkyl, and  R
4 and R
5 are the same or different, each a lower alkyl. Compounds (A1)-(A11) [0292] In some embodiments, the lipid nanoparticle comprises an ionizable lipid having the structure:
 (A1), or a pharmaceutically acceptable salt thereof. [0293] In some embodiments, the lipid nanoparticle comprises a lipid having the structure:
 pharmaceutically acceptable salt thereof. [0294] In some embodiments, the lipid nanoparticle comprises a lipid having the structure:
 pharmaceutically acceptable salt thereof. [0295] In some embodiments, the lipid nanoparticle comprises a lipid having the structure:
 (A4), or a pharmaceutically acceptable salt thereof. [0296] In some embodiments, the lipid nanoparticle comprises a lipid having the structure:
 pharmaceutically acceptable salt thereof. [0297] In some embodiments, the lipid nanoparticle comprises a lipid having the structure:
 pharmaceutically acceptable salt thereof. [0298] In some embodiments, the lipid nanoparticle comprises a lipid having the structure:
 (A7), or a pharmaceutically acceptable salt thereof. [0299] In some embodiments, the lipid nanoparticle comprises a lipid having the structure:
 pharmaceutically acceptable salt thereof. [0300] In some embodiments, the lipid nanoparticle comprises a lipid having the structure:
 (A9), or a pharmaceutically acceptable salt thereof. [0301] In some embodiments, the lipid nanoparticle comprises a lipid having the structure:
 (A10), or a pharmaceutically acceptable salt thereof. [0302] In some embodiments, the lipid nanoparticle comprises a lipid having the structure:

 pharmaceutically acceptable salt thereof. Non-cationic lipids [0303] In certain embodiments, the lipid nanoparticles comprise one or more non-cationic lipids. Non-cationic lipids may be phospholipids. [0304] In some embodiments, the lipid nanoparticle comprises 5-25 mol% non-cationic lipid. For example, the lipid nanoparticle may comprise 5-20 mol%, 5-15 mol%, 5-10 mol%, 10-25 mol%, 10-20 mol%, 10-25 mol%, 15-25 mol%, 15-20 mol%, or 20-25 mol% non-cationic lipid. In some embodiments, the lipid nanoparticle comprises 5 mol%, 10 mol%, 15 mol%, 20 mol%, or 25 mol% non-cationic lipid. [0305] In some embodiments, a non-cationic lipid comprises 1,2-distearoyl-sn-glycero-3- phosphocholine (DSPC), 1,2-dioleoyl-sn-glycero-3-phosphoethanolamine (DOPE), 1,2- dilinoleoyl-sn-glycero-3-phosphocholine (DLPC), 1,2-dimyristoyl-sn-gly cero-phosphocholine (DMPC), 1,2-dioleoyl-sn-glycero-3-phosphocholine (DOPC), l,2-dipalmitoyl-sn-glycero-3- phosphocholine (DPPC), 1,2-diundecanoyl-sn-glycero-phosphocholine (DUPC), 1-palmitoyl-2- oleoyl-sn-glycero-3-phosphocholine (POPC), 1,2-di-O-octadecenyl-sn-glycero-3- phosphocholine (18:0 Diether PC), 1-oleoyl-2 cholesterylhemisuccinoyl-sn-glycero-3- phosphocholine (OChemsPC), 1-hexadecyl-sn-glycero-3-phosphocholine (C16 Lyso PC), 1,2- dilinolenoyl-sn-glycero-3-phosphocholine,1,2-diarachidonoyl-sn-glycero-3-phosphocholine, 1,2- didocosahexaenoyl-sn-glycero-3-phosphocholine, 1,2-diphytanoyl-sn-glycero-3- phosphoethanolamine (ME 16.0 PE), 1,2-distearoyl-sn-glycero-3-phosphoethanolamine, 1,2- dilinoleoyl-sn-glycero-3-phosphoethanolamine, 1,2-dilinolenoyl-sn-glycero-3- phosphoethanolamine, 1,2-diarachidonoyl-sn-glycero-3-phosphoethanolamine, 1,2- didocosahexaenoyl-sn-glycero-3-phosphoethanolamine, 1,2-dioleoyl-sn-glycero-3-phospho-rac- (1-glycerol) sodium salt (DOPG), sphingomyelin, or mixtures thereof. [0306] In some embodiments, the lipid nanoparticle comprises 5 – 15 mol%, 5 – 10 mol%, or 10 – 15 mol% DSPC. For example, the lipid nanoparticle may comprise 5, 6, 7, 8, 9, 10, 11, 12, 13, 14, or 15 mol% DSPC. [0307] In certain embodiments, the lipid composition of the lipid nanoparticle composition can comprise one or more phospholipids, for example, one or more saturated or (poly)unsaturated phospholipids or a combination thereof. In general, phospholipids comprise a phospholipid moiety and one or more fatty acid moieties. [0308] A phospholipid moiety can be selected, for example, from the non-limiting group consisting of phosphatidyl choline, phosphatidyl ethanolamine, phosphatidyl glycerol, phosphatidyl serine, phosphatidic acid, 2-lysophosphatidyl choline, and a sphingomyelin. [0309] A fatty acid moiety can be selected, for example, from the non-limiting group consisting of lauric acid, myristic acid, myristoleic acid, palmitic acid, palmitoleic acid, stearic acid, oleic acid, linoleic acid, alpha-linolenic acid, erucic acid, phytanoic acid, arachidic acid, arachidonic acid, eicosapentaenoic acid, behenic acid, docosapentaenoic acid, and docosahexaenoic acid. [0310] Particular phospholipids can facilitate fusion to a membrane. For example, a cationic phospholipid can interact with one or more negatively charged phospholipids of a membrane (e.g., a cellular or intracellular membrane). Fusion of a phospholipid to a membrane can allow one or more elements (e.g., a therapeutic agent) of a lipid-containing composition (e.g., LNPs) to pass through the membrane permitting, e.g., delivery of the one or more elements to a target tissue. [0311] Non-natural phospholipid species including natural species with modifications and substitutions including branching, oxidation, cyclization, and alkynes are also contemplated. For example, a phospholipid can be functionalized with or cross-linked to one or more alkynes (e.g., an alkenyl group in which one or more double bonds is replaced with a triple bond). Under appropriate reaction conditions, an alkyne group can undergo a copper-catalyzed cycloaddition upon exposure to an azide. Such reactions can be useful in functionalizing a lipid bilayer of a nanoparticle composition to facilitate membrane permeation or cellular recognition or in conjugating a nanoparticle composition to a useful component such as a targeting or imaging moiety (e.g., a dye). [0312] Phospholipids include, but are not limited to, glycerophospholipids such as phosphatidylcholines, phosphatidylethanolamines, phosphatidylserines, phosphatidylinositols, phosphatidy glycerols, and phosphatidic acids. Phospholipids also include phosphosphingolipid, such as sphingomyelin. [0313] In some embodiments, a phospholipid comprises 1,2-distearoyl-sn-glycero-3- phosphocholine (DSPC), 1,2-Distearoyl-sn-glycero-3-phosphoethanolamine (DSPE), 1,2- dioleoyl-sn-glycero-3-phosphoethanolamine (DOPE), 1,2-dilinoleoyl-sn-glycero-3- phosphocholine (DLPC), 1,2-dimyristoyl-sn-gly cero-phosphocholine (DMPC), 1,2-dioleoyl-sn- glycero-3-phosphocholine (DOPC), l,2-dipalmitoyl-sn-glycero-3-phosphocholine (DPPC), 1,2- diundecanoyl-sn-glycero-phosphocholine (DUPC), 1-palmitoyl-2-oleoyl-sn-glycero-3- phosphocholine (POPC), 1,2-di-O-octadecenyl-sn-glycero-3-phosphocholine (18:0 Diether PC), 1-oleoyl-2 cholesterylhemisuccinoyl-sn-glycero-3-phosphocholine (OChemsPC), 1-hexadecyl- sn-glycero-3-phosphocholine (C16 Lyso PC), 1,2-dilinolenoyl-sn-glycero-3-phosphocholine,1,2- diarachidonoyl-sn-glycero-3-phosphocholine, 1,2-didocosahexaenoyl-sn-glycero-3- phosphocholine, 1,2-diphytanoyl-sn-glycero-3-phosphoethanolamine (ME 16.0 PE), 1,2- distearoyl-sn-glycero-3-phosphoethanolamine, 1,2-dilinoleoyl-sn-glycero-3- phosphoethanolamine, 1,2-dilinolenoyl-sn-glycero-3-phosphoethanolamine, 1,2-diarachidonoyl- sn-glycero-3-phosphoethanolamine, 1,2-didocosahexaenoyl-sn-glycero-3-phosphoethanolamine, 1,2-dioleoyl-sn-glycero-3-phospho-rac-(1-glycerol) sodium salt (DOPG), sphingomyelin, or mixtures thereof. Formula (HI) [0314] In certain embodiments, a phospholipid is an analog or variant of DSPC. In certain embodiments, a phospholipid is a compound of Formula (HI):

 (HI), or a salt thereof, wherein: each R
1 is independently optionally substituted alkyl; or optionally two R
1 are joined together with the intervening atoms to form optionally substituted monocyclic carbocyclyl or optionally substituted monocyclic heterocyclyl; or optionally three R
1 are joined together with the intervening atoms to form optionally substituted bicyclic carbocyclyl or optionally substitute bicyclic heterocyclyl; n is 1, 2, 3, 4, 5, 6, 7, 8, 9, or 10; m is 0, 1, 2, 3, 4, 5, 6, 7, 8, 9, or 10; A is of the formula:
  each instance of L
2 is independently a bond or optionally substituted C
1-6 alkylene, wherein one methylene unit of the optionally substituted C1-6 alkylene is optionally replaced with O, N(R
N), S, C(O), C(O)N(R
N), NR
NC(O), C(O)O, OC(O), OC(O)O, OC(O)N(R
N), NR
NC(O)O, or NR
NC(O)N(R
N); each instance of R
2 is independently optionally substituted C1-30 alkyl, optionally substituted C1-30 alkenyl, or optionally substituted C1-30 alkynyl; optionally wherein one or more methylene units of R
2 are independently replaced with optionally substituted carbocyclylene, optionally substituted heterocyclylene, optionally substituted arylene, optionally substituted heteroarylene, N(R
N), O, S, C(O), C(O)N(R
N), NR
NC(O), NR
NC(O)N(R
N), C(O)O, OC(O), - OC(O)O, OC(O)N(R
N), NR
NC(O)O, C(O)S, SC(O), C(=NR
N), C(=NR
N)N(R
N), NR
NC(=NR
N), NR
NC(=NR
N)N(R
N), C(S), C(S)N(R
N), NR
NC(S), NR
NC(S)N(R
N), S(O), OS(O), S(O)O, - OS(O)O, OS(O)2, S(O)2O, OS(O)2O, N(R
N)S(O), S(O)N(R
N), N(R
N)S(O)N(R
N), OS(O)N(R
N), N(R
N)S(O)O, S(O)
2, N(R
N)S(O)
2, S(O)
2N(R
N), N(R
N)S(O)
2N(R
N), OS(O)
2N(R
N), or - N(R
N)S(O)
2O; each instance of R
N is independently hydrogen, optionally substituted alkyl, or a nitrogen protecting group; Ring B is optionally substituted carbocyclyl, optionally substituted heterocyclyl, optionally substituted aryl, or optionally substituted heteroaryl; and p is 1 or 2. [0315] In certain embodiments, the compound is not of the formula:
 , wherein each instance of R
2 is independently unsubstituted alkyl, unsubstituted alkenyl, or unsubstituted alkynyl. [0316] In some embodiments, the phospholipids may be one or more of the phospholipids described in PCT Application No. PCT/US2018/037922. [0317] In some embodiments, the lipid nanoparticle comprises a molar ratio of 5-25% non- cationic lipid relative to the other lipid components. For example, the lipid nanoparticle may comprise a molar ratio of 5-30%, 5-15%, 5-10%, 10-25%, 10-20%, 10-25%, 15-25%, 15-20%, 20-25%, or 25-30% non-cationic lipid. In some embodiments, the lipid nanoparticle comprises a molar ratio of 5%, 10%, 15%, 20%, 25%, or 30% non-cationic lipid. [0318] In some embodiments, the lipid nanoparticle comprises a molar ratio of 5-25% phospholipid relative to the other lipid components. For example, the lipid nanoparticle may comprise a molar ratio of 5-30%, 5-15%, 5-10%, 10-25%, 10-20%, 10-25%, 15-25%, 15-20%, 20-25%, or 25-30% phospholipid. In some embodiments, the lipid nanoparticle comprises a molar ratio of 5%, 10%, 15%, 20%, 25%, or 30% phospholipid lipid. Structural lipids [0319] The lipid composition of a pharmaceutical composition can comprise one or more structural lipids. As used herein, the term “structural lipid” includes sterols and also to lipids containing sterol moieties. [0320] Incorporation of structural lipids in the lipid nanoparticle may help mitigate aggregation of other lipids in the particle. Structural lipids can be selected from the group including but not limited to, cholesterol, fecosterol, sitosterol, ergosterol, campesterol, stigmasterol, brassicasterol, tomatidine, tomatine, ursolic acid, alpha-tocopherol, hopanoids, phytosterols, steroids, and mixtures thereof. In some embodiments, the structural lipid is a sterol. As defined herein, “sterols” are a subgroup of steroids consisting of steroid alcohols. In certain embodiments, the structural lipid is a steroid. In certain embodiments, the structural lipid is cholesterol. In certain embodiments, the structural lipid is an analog of cholesterol. In certain embodiments, the structural lipid is alpha-tocopherol. [0321] In some embodiments, the structural lipids may be one or more of the structural lipids described in U.S. Application No.16/493,814. [0322] In some embodiments, the lipid nanoparticle comprises a molar ratio of 25-55% structural lipid relative to the other lipid components. For example, the lipid nanoparticle may comprise a molar ratio of 10- 55%, 25-50%, 25-45%, 25-40%, 25-35%, 25-30%, 30-55%, 30- 50%, 30-45%, 30-40%, 30-35%, 35-55%, 35-50%, 35-45%, 35-40%, 40-55%, 40-50%, 40-45%, 45-55%, 45-50%, or 50-55% structural lipid. In some embodiments, the lipid nanoparticle comprises a molar ratio of 10%, 15%, 20%, 25%, 30%, 35%, 40%, 45%, 50%, or 55% structural lipid. [0323] In some embodiments, the lipid nanoparticle comprises 30-45 mol% sterol, optionally 35-40 mol%, for example, 30-31 mol%, 31-32 mol%, 32-33 mol%, 33-34 mol%, 34-35 mol%, 35-36 mol%, 36-37 mol%, 37-38 mol%, 38-39 mol%, or 39-40 mol%. In some embodiments, the lipid nanoparticle comprises 25-55 mol% sterol. For example, the lipid nanoparticle may comprise 25-50 mol%, 25-45 mol%, 25-40 mol%, 25-35 mol%, 25-30 mol%, 30-55 mol%, 30- 50 mol%, 30-45 mol%, 30-40 mol%, 30-35 mol%, 35-55 mol%, 35-50 mol%, 35-45 mol%, 35- 40 mol%, 40-55 mol%, 40-50 mol%, 40-45 mol%, 45-55 mol%, 45-50 mol%, or 50-55 mol% sterol. In some embodiments, the lipid nanoparticle comprises 25 mol%, 30 mol%, 35 mol%, 40 mol%, 45 mol%, 50 mol%, or 55 mol% sterol. [0324] In some embodiments, the lipid nanoparticle comprises 35 – 40 mol% cholesterol. For example, the lipid nanoparticle may comprise 35, 35.5, 36, 36.5, 37, 37.5, 38, 38.5, 39, 39.5, or 40 mol% cholesterol. Polyethylene glycol (PEG)-Lipids [0325] The lipid composition of a pharmaceutical composition can comprise one or more polyethylene glycol (PEG) lipids. [0326] As used herein, the term “PEG-lipid” or “PEG-modified lipid” refers to polyethylene glycol (PEG)-modified lipids. Non-limiting examples of PEG-lipids include PEG-modified phosphatidylethanolamine and phosphatidic acid, PEG-ceramide conjugates (e.g., PEG-CerC14 or PEG-CerC20), PEG-modified dialkylamines, and PEG-modified 1,2-diacyloxypropan-3- amines. Such lipids are also referred to as PEGylated lipids. For example, a PEG lipid can be PEG-c-DOMG, PEG-DMG, PEG-DLPE, PEG-DMPE, PEG-DPPC, or a PEG-DSPE lipid. [0327] In some embodiments, the PEG-lipid includes, but not limited to 1,2-dimyristoyl-sn- glycerol methoxypolyethylene glycol (PEG-DMG), 1,2-distearoyl-sn-glycero-3- phosphoethanolamine-N-[amino(polyethylene glycol)] (PEG-DSPE), PEG-disteryl glycerol (PEG-DSG), PEG-dipalmetoleyl, PEG-dioleyl, PEG-distearyl, PEG-diacylglycamide (PEG- DAG), PEG-dipalmitoyl phosphatidylethanolamine (PEG-DPPE), or PEG-l,2- dimyristyloxlpropyl-3-amine (PEG-c-DMA). [0328] In some embodiments, the PEG-lipid is selected from the group consisting of a PEG- modified phosphatidylethanolamine, a PEG-modified phosphatidic acid, a PEG-modified ceramide, a PEG-modified dialkylamine, a PEG-modified diacylglycerol, a PEG-modified dialkylglycerol, and mixtures thereof. In some embodiments, the PEG-modified lipid is PEG- DMG, PEG-c-DOMG (also referred to as PEG-DOMG), PEG-DSG, and/or PEG-DPG. [0329] In some embodiments, the lipid moiety of the PEG-lipids includes those having lengths of from about C14 to about C22, preferably from about C14 to about C16. In some embodiments, a PEG moiety, for example an mPEG-NH
2, has a size of about 1000, 2000, 5000, 10,000, 15,000 or 20,000 daltons. In some embodiments, the PEG-lipid is PEG
2k-DMG. [0330] In some embodiments, the lipid nanoparticles can comprise a PEG lipid which is a non-diffusible PEG. Non-limiting examples of non-diffusible PEGs include PEG-DSG and PEG- DSPE. [0331] PEG-lipids are known in the art, such as those described in U.S. Patent No.8158601 and International Publ. No. WO 2015/130584 A2, which are incorporated herein by reference in their entirety. [0332] In general, some of the other lipid components (e.g., PEG lipids) of various formulae may be synthesized as described International Patent Application No. PCT/US2016/000129, filed December 10, 2016, entitled “Compositions and Methods for Delivery of Therapeutic Agents,” which is incorporated by reference in its entirety. [0333] The lipid component of a lipid nanoparticle composition may include one or more molecules comprising polyethylene glycol, such as PEG or PEG-modified lipids. Such species may be alternately referred to as PEGylated lipids. A PEG lipid is a lipid modified with polyethylene glycol. A PEG lipid may be selected from the non-limiting group including PEG- modified phosphatidylethanolamines, PEG-modified phosphatidic acids, PEG-modified ceramides, PEG-modified dialkylamines, PEG-modified diacylglycerols, PEG-modified dialkylglycerols, and mixtures thereof. For example, a PEG lipid may be PEG-c-DOMG, PEG- DMG, PEG-DLPE, PEG-DMPE, PEG-DPPC, or a PEG-DSPE lipid. [0334] In some embodiments the PEG-modified lipids are a modified form of PEG DMG. PEG-DMG has the following structure:

 [0335] In some embodiments, PEG lipids can be PEGylated lipids described in International Publication No. WO2012099755, the contents of which is herein incorporated by reference in its entirety. Any of these exemplary PEG lipids may be modified to comprise a hydroxyl group on the PEG chain. In certain embodiments, the PEG lipid is a PEG-OH lipid. As generally defined herein, a “PEG-OH lipid” (also referred to herein as “hydroxy-PEGylated lipid”) is a PEGylated lipid having one or more hydroxyl (–OH) groups on the lipid. In certain embodiments, the PEG- OH lipid includes one or more hydroxyl groups on the PEG chain. In certain embodiments, a PEG-OH or hydroxy-PEGylated lipid comprises an –OH group at the terminus of the PEG chain. Each possibility represents a separate embodiment. Formula (PI) [0336] In certain embodiments, a PEG lipid is a compound of Formula (PI):
 (PI), or salts thereof, wherein: R
3 is –OR
O; R
O is hydrogen, optionally substituted alkyl, or an oxygen protecting group; r is an integer between 1 and 100, inclusive; L
1 is optionally substituted C1-10 alkylene, wherein at least one methylene of the optionally substituted C
1-10 alkylene is independently replaced with optionally substituted carbocyclylene, optionally substituted heterocyclylene, optionally substituted arylene, optionally substituted heteroarylene, O, N(R
N), S, C(O), C(O)N(R
N), NR
NC(O), C(O)O, OC(O), OC(O)O, OC(O)N(R
N), NR
NC(O)O, or NR
NC(O)N(R
N); D is a moiety obtained by click chemistry or a moiety cleavable under physiological conditions; m is 0, 1, 2, 3, 4, 5, 6, 7, 8, 9, or 10; A is of the formula:
 each instance of L
2 is independently a bond or optionally substituted C1-6 alkylene, wherein one methylene unit of the optionally substituted C
1-6 alkylene is optionally replaced with O, N(R
N), S, C(O), C(O)N(R
N), NR
NC(O), C(O)O, OC(O), OC(O)O, OC(O)N(R
N), NR
NC(O)O, or NR
NC(O)N(R
N); each instance of R
2 is independently optionally substituted C
1-30 alkyl, optionally substituted C
1-30 alkenyl, or optionally substituted C
1-30 alkynyl; optionally wherein one or more methylene units of R
2 are independently replaced with optionally substituted carbocyclylene, optionally substituted heterocyclylene, optionally substituted arylene, optionally substituted heteroarylene, N(R
N), O, S, C(O), C(O)N(R
N), NR
NC(O), NR
NC(O)N(R
N), C(O)O, OC(O), - OC(O)O, OC(O)N(R
N), NR
NC(O)O, C(O)S, SC(O), C(=NR
N), C(=NR
N)N(R
N), NR
NC(=NR
N), NR
NC(=NR
N)N(R
N), C(S), C(S)N(R
N), NR
NC(S), NR
NC(S)N(R
N), S(O) , OS(O), S(O)O, - OS(O)O, OS(O)
2, S(O)
2O, OS(O)
2O, N(R
N)S(O), S(O)N(R
N), N(R
N)S(O)N(R
N), OS(O)N(R
N), N(R
N)S(O)O, S(O)2, N(R
N)S(O)2, S(O)2N(R
N), N(R
N)S(O)2N(R
N), OS(O)2N(R
N), or - N(R
N)S(O)2O; each instance of R
N is independently hydrogen, optionally substituted alkyl, or a nitrogen protecting group; Ring B is optionally substituted carbocyclyl, optionally substituted heterocyclyl, optionally substituted aryl, or optionally substituted heteroaryl; and p is 1 or 2. [0337] In certain embodiments, the compound of Fomula (PI) is a PEG-OH lipid (i.e., R
3 is – OR
O, and R
O is hydrogen). In certain embodiments, the compound of Formula (PI) is of Formula (PI-OH):
 salt thereof.  Formula (PII) [0338] In certain embodiments, a PEG lipid is a PEGylated fatty acid. In certain embodiments, a PEG lipid is a compound of Formula (PII). In some embodiments, compounds of Formula (PII) have the following formula:
 (PII), or a salts thereof, wherein: R
3 is–OR
O; R
O is hydrogen, optionally substituted alkyl or an oxygen protecting group; r is an integer between 1 and 100, inclusive; R
5 is optionally substituted C10-40 alkyl, optionally substituted C10-40 alkenyl, or optionally substituted C10-40 alkynyl; and optionally one or more methylene groups of R
5 are replaced with optionally substituted carbocyclylene, optionally substituted heterocyclylene, optionally substituted arylene, optionally substituted heteroarylene, N(R
N), O, S, C(O), C(O)N(R
N), - NR
NC(O), NR
NC(O)N(R
N), C(O)O, OC(O), OC(O)O, OC(O)N(R
N), NR
NC(O)O, C(O)S, SC(O), C(=NR
N), C(=NR
N)N(R
N), NR
NC(=NR
N), NR
NC(=NR
N)N(R
N), C(S), C(S)N(R
N), NR
NC(S), - NR
NC(S)N(R
N), S(O), OS(O), S(O)O, OS(O)O, OS(O)
2, S(O)
2O, OS(O)
2O, N(R
N)S(O), - S(O)N(R
N), N(R
N)S(O)N(R
N), OS(O)N(R
N), N(R
N)S(O)O, S(O)2, N(R
N)S(O)2, S(O)2N(R
N), - N(R
N)S(O)2N(R
N), OS(O)2N(R
N), or N(R
N)S(O)2O; and each instance of R
N is independently hydrogen, optionally substituted alkyl, or a nitrogen protecting group. [0339] In certain embodiments, the compound of Formula (PII) is of Formula (PII-OH):
 (PII-OH), or a salt thereof. In some embodiments, r is 40-50. [0340] In yet other embodiments the compound of Formula (PII) is:
 . or a salt thereof. [0341] In some embodiments, the compound of Formula (PII) is

 . [0342] In some embodiments, the lipid composition of the pharmaceutical compositions does not comprise a PEG-lipid. [0343] In some embodiments, the PEG-lipids may be one or more of the PEG lipids described in U.S. Application No. US15/674,872. [0344] In some embodiments, the lipid nanoparticle comprises a molar ratio of 0.5-15% PEG lipid relative to the other lipid components. For example, the lipid nanoparticle may comprise a molar ratio of 0.5-10%, 0.5-5%, 1-15%, 1-10%, 1-5%, 2-15%, 2-10%, 2-5%, 5-15%, 5-10%, or 10-15% PEG lipid. In some embodiments, the lipid nanoparticle comprises a molar ratio of 0.5%, 1%, 2%, 3%, 4%, 5%, 6%, 7%, 8%, 9%, 10%, 11%, 12%, 13%, 14%, or 15% PEG- lipid. [0345] In some embodiments, the lipid nanoparticle comprises 1-5% PEG-modified lipid, optionally 1-3 mol%, for example 1.5 to 2.5 mol%, 1-2 mol%, 2-3 mol%, 3-4 mol%, or 4-5 mol%. In some embodiments, the lipid nanoparticle comprises 0.5-15 mol% PEG-modified lipid. For example, the lipid nanoparticle may comprise 0.5-10 mol%, 0.5-5 mol%, 1-15 mol%, 1-10 mol%, 1-5 mol%, 2-15 mol%, 2-10 mol%, 2-5 mol%, 5-15 mol%, 5-10 mol%, or 10-15 mol%. In some embodiments, the lipid nanoparticle comprises 0.5 mol%, 1 mol%, 2 mol%, 3 mol%, 4 mol%, 5 mol%, 6 mol%, 7 mol%, 8 mol%, 9 mol%, 10 mol%, 11 mol%, 12 mol%, 13 mol%, 14 mol%, or 15 mol% PEG-modified lipid. [0346] Some embodiments comprise adding PEG to a composition comprising an LNP encapsulating a nucleic acid (e.g., which already includes PEG in the amounts listed above). In embodiments comprise adding about 0.5mo% or more PEG to an LNP composition, such as about 1mol%, about 1.5mol%, about 2mol%, about 2.5mol%, about 3mol%, about 3.5mol%, about 4mol%, about 5mol%, or more after formation of an LNP composition (e.g., which already contains PEG in amount listed elsewhere in this “Lipid Compositions” section). [0347] In some embodiments, the lipid nanoparticle comprises 20-60 mol% cationic amino lipid, 5-25 mol% non-cationic lipid, 25-55 mol% sterol, and 0.5-15 mol% PEG-modified lipid. [0348] In some embodiments, a LNP comprises an cationic amino lipid of Compound 1, wherein the non-cationic lipid is DSPC, the structural lipid that is cholesterol, and the PEG lipid is DMG-PEG. [0349] In some embodiments, a LNP comprises an cationic amino lipid of Compound 2, wherein the non-cationic lipid is DSPC, the structural lipid that is cholesterol, and the PEG lipid is DMG-PEG. [0350] In some embodiments, a LNP comprises an cationic amino lipid of any of Formula (AIII), (AIV), or (AV), a phospholipid comprising DSPC, a structural lipid, and a PEG lipid comprising PEG-DMG. [0351] In some embodiments, a LNP comprises an cationic amino lipid of any of Formula (AIII), (AIV), or (AV), a phospholipid comprising DSPC, a structural lipid, and a PEG lipid comprising a compound having Formula (PII). [0352] In some embodiments, a LNP comprises an cationic amino lipid of Formula (AIII), (AIV), or (AV), a phospholipid comprising a compound having Formula (HI), a structural lipid, and the PEG lipid comprising a compound having Formula (PI) or (PII). [0353] In some embodiments, a LNP comprises an cationic amino lipid of Formula (AIII), (AIV), or (AV), a phospholipid comprising a compound having Formula (HI), a structural lipid, and the PEG lipid comprising a compound having Formula (PI) or (PII). [0354] In some embodiments, a LNP comprises an cationic amino lipid of Formula (AIII), (AIV), or (AV), a phospholipid having Formula (HI), a structural lipid, and a PEG lipid comprising a compound having Formula (PII). [0355] In some embodiments, the lipid nanoparticle comprises 49 mol% cationic amino lipid, 10 mol% DSPC, 38.5 mol% cholesterol, and 2.5 mol% DMG-PEG. [0356] In some embodiments, the lipid nanoparticle comprises 49 mol% cationic amino lipid, 11 mol% DSPC, 38.5 mol% cholesterol, and 1.5 mol% DMG-PEG. [0357] In some embodiments, the lipid nanoparticle comprises 48 mol% cationic amino lipid, 11 mol% DSPC, 38.5 mol% cholesterol, and 2.5 mol% DMG-PEG. [0358] In some embodiments, a LNP comprises an N:P ratio of from about 2:1 to about 30:1. [0359] In some embodiments, a LNP comprises an N:P ratio of about 6:1. [0360] In some embodiments, a LNP comprises an N:P ratio of about 3:1, 4:1, or 5:1. [0361] In some embodiments, a LNP comprises a wt/wt ratio of the cationic amino lipid component to the RNA of from about 10:1 to about 100:1. [0362] In some embodiments, a LNP comprises a wt/wt ratio of the cationic amino lipid component to the RNA of about 20:1. [0363] In some embodiments, a LNP comprises a wt/wt ratio of the cationic amino lipid component to the RNA of about 10:1. [0364] Some embodiments comprise a composition having one or more LNPs having a diameter of about 150 nm or less, such as about 140 nm, 130 nm, 120 nm, 110 nm, 100 nm, 90 nm, 80 nm, 70 nm, 60 nm, 50 nm, 40 nm, 30 nm, or 20 nm or less. Some embodiments comprise a composition having a mean LNP diameter of about 150 nm or less, such as about 140 nm, 130 nm, 120 nm, 110 nm, 100 nm, 90 nm, 80 nm, 70 nm, 60 nm, 50 nm, 40 nm, 30 nm, or 20 nm or less. In some embodiments, the composition has a mean LNP diameter from about 30nm to about 150nm, or a mean diameter from about 60nm to about 120nm. [0365] A LNP may comprise or one or more types of lipids, including but not limited to amino lipids (e.g., cationic amino lipids), neutral lipids, non-cationic lipids, charged lipids, PEG- modified lipids, phospholipids, structural lipids and sterols. In some embodiments, a LNP may further comprise one or more cargo molecules, including but not limited to nucleic acids (e.g., mRNA, plasmid DNA, DNA or RNA oligonucleotides, siRNA, shRNA, snRNA, snoRNA, lncRNA, etc.), small molecules, proteins and peptides. [0366] In some embodiments, the composition comprises a liposome. A liposome is a lipid particle comprising lipids arranged into one or more concentric lipid bilayers around a central region. The central region of a liposome may comprises an aqueous solution, suspension, or other aqueous composition. [0367] In some embodiments, the composition comprises a lipoplex. A lipoplex is a lipid particle comprising a cationic liposome and a nucleic acid (e.g., mRNA). Lipoplexes may be formed by contacting a liposome comprising a cationic lipid with a nucleic acid. A lipoplex may comprise multiple concentric lipid bilayers, each concentric bilayer separated by one or more nucleic acids. The central region of the lipoplex may comprise an aqueous solution, suspension, or other aqueous composition. [0368] In some embodiments, the composition comprises a lipopolyplex. A lipopolyplex is a lipid particle comprising a lipid bilayer surrounding a complex of a cationic polymer and a nucleic acid (e.g., mRNA). See Midoux & Pichon, Expert Rev Vaccines.2015.14(2):221–234. A lipopolyplex may be formed by contacting a cationic liposome (e.g., liposome comprising a cationic lipid) with the complex of nucleic acid and cationic polymer. The central region of the lipopolyplex may comprise an aqueous solution, suspension, or other aqueous composition. [0369] In some embodiments, the composition comprises a cationic nanoemulsion. A cationic nanoemulsion comprises a cationic lipid, hydrophilic surfactant, and hydrophobic surfactant. [0370] A liposome, lipoplex, lipopolyplex, or cationic nanoemulsion may comprise a sterol. A liposome, lipoplex, lipopolyplex, or cationic nanoemulsion may comprise a neutral lipid. A liposome, lipoplex, lipopolyplex, or cationic nanoemulsion may comprise a PEG-modified lipid. [0371] In some embodiments, a lipid nanoparticle may comprise two or more components (e.g., amino lipid and nucleic acid, PEG-lipid, phospholipid, structural lipid). For instance, a lipid nanoparticle may comprise an amino lipid and a nucleic acid. Compositions comprising the lipid nanoparticles may be used for a wide variety of applications, including the stealth delivery of therapeutic payloads with minimal adverse innate immune response. [0372] Effective in vivo delivery of nucleic acids represents a continuing medical challenge. Exogenous nucleic acids (i.e., originating from outside of a cell or organism) are readily degraded in the body, e.g., by the immune system. Accordingly, effective delivery of nucleic acids to cells often requires the use of a particulate carrier (e.g., lipid nanoparticles). The particulate carrier should be formulated to have minimal particle aggregation, be relatively stable prior to intracellular delivery, effectively deliver nucleic acids intracellularly, and illicit no or minimal immune response. To achieve minimal particle aggregation and pre-delivery stability, many conventional particulate carriers have relied on the presence and/or concentration of certain components (e.g., PEG-lipid). However, it has been discovered that certain components may decrease the stability of encapsulated nucleic acids (e.g., mRNA molecules). The reduced stability may limit the broad applicability of the particulate carriers. As such, there remains a need for methods by which to improve the stability of nucleic acid (e.g., mRNA) encapsulated within lipid nanoparticles. [0373] In some embodiments, the lipid nanoparticles comprise one or more of ionizable molecules, polynucleotides, and optional components, such as structural lipids, sterols, neutral lipids, phospholipids and a molecule capable of reducing particle aggregation (e.g., polyethylene glycol (PEG), PEG-modified lipid), such as those described above. [0374] In some embodiments, a LNP may include one or more ionizable molecules (e.g., amino lipids or ionizable lipids). The ionizable molecule may comprise a charged group and may have a certain pKa. In certain embodiments, the pKa of the ionizable molecule may be greater than or equal to about 6, greater than or equal to about 6.2, greater than or equal to about 6.5, greater than or equal to about 6.8, greater than or equal to about 7, greater than or equal to about 7.2, greater than or equal to about 7.5, greater than or equal to about 7.8, greater than or equal to about 8. In some embodiments, the pKa of the ionizable molecule may be less than or equal to about 10, less than or equal to about 9.8, less than or equal to about 9.5, less than or equal to about 9.2, less than or equal to about 9.0, less than or equal to about 8.8, or less than or equal to about 8.5. Combinations of the above referenced ranges are also possible (e.g., greater than or equal to 6 and less than or equal to about 8.5). Other ranges are also possible. In embodiments in which more than one type of ionizable molecule are present in a particle, each type of ionizable molecule may independently have a pKa in one or more of the ranges described above. [0375] In general, an ionizable molecule comprises one or more charged groups. In some embodiments, an ionizable molecule may be positively charged or negatively charged. For instance, an ionizable molecule may be positively charged. For example, an ionizable molecule may comprise an amine group. As used herein, the term “ionizable molecule” has its ordinary meaning in the art and may refer to a molecule or matrix comprising one or more charged moiety. As used herein, a “charged moiety” is a chemical moiety that carries a formal electronic charge, e.g., monovalent (+1, or -1), divalent (+2, or -2), trivalent (+3, or -3), etc. The charged moiety may be anionic (i.e., negatively charged) or cationic (i.e., positively charged). Examples of positively-charged moieties include amine groups (e.g., primary, secondary, and/or tertiary amines), ammonium groups, pyridinium group, guanidine groups, and imidizolium groups. In a particular embodiment, the charged moieties comprise amine groups. Examples of negatively- charged groups or precursors thereof, include carboxylate groups, sulfonate groups, sulfate groups, phosphonate groups, phosphate groups, hydroxyl groups, and the like. The charge of the charged moiety may vary, in some cases, with the environmental conditions, for example, changes in pH may alter the charge of the moiety, and/or cause the moiety to become charged or uncharged. In general, the charge density of the molecule and/or matrix may be selected as desired. [0376] In some cases, an ionizable molecule (e.g., an amino lipid or ionizable lipid) may include one or more precursor moieties that can be converted to charged moieties. For instance, the ionizable molecule may include a neutral moiety that can be hydrolyzed to form a charged moiety, such as those described above. As a non-limiting specific example, the molecule or matrix may include an amide, which can be hydrolyzed to form an amine, respectively. Those of ordinary skill in the art will be able to determine whether a given chemical moiety carries a formal electronic charge (for example, by inspection, pH titration, ionic conductivity measurements, etc.), and/or whether a given chemical moiety can be reacted (e.g., hydrolyzed) to form a chemical moiety that carries a formal electronic charge. [0377] The ionizable molecule (e.g., amino lipid or ionizable lipid) may have any suitable molecular weight. In certain embodiments, the molecular weight of an ionizable molecule is less than or equal to about 2,500 g/mol, less than or equal to about 2,000 g/mol, less than or equal to about 1,500 g/mol, less than or equal to about 1,250 g/mol, less than or equal to about 1,000 g/mol, less than or equal to about 900 g/mol, less than or equal to about 800 g/mol, less than or equal to about 700 g/mol, less than or equal to about 600 g/mol, less than or equal to about 500 g/mol, less than or equal to about 400 g/mol, less than or equal to about 300 g/mol, less than or equal to about 200 g/mol, or less than or equal to about 100 g/mol. In some instances, the molecular weight of an ionizable molecule is greater than or equal to about 100 g/mol, greater than or equal to about 200 g/mol, greater than or equal to about 300 g/mol, greater than or equal to about 400 g/mol, greater than or equal to about 500 g/mol, greater than or equal to about 600 g/mol, greater than or equal to about 700 g/mol, greater than or equal to about 1000 g/mol, greater than or equal to about 1,250 g/mol, greater than or equal to about 1,500 g/mol, greater than or equal to about 1,750 g/mol, greater than or equal to about 2,000 g/mol, or greater than or equal to about 2,250 g/mol. Combinations of the above ranges (e.g., at least about 200 g/mol and less than or equal to about 2,500 g/mol) are also possible. In embodiments in which more than one type of ionizable molecules are present in a particle, each type of ionizable molecule may independently have a molecular weight in one or more of the ranges described above. [0378] In some embodiments, the percentage (e.g., by weight, or by mole) of a single type of ionizable molecule (e.g., amino lipid or ionizable lipid) and/or of all the ionizable molecules within a particle may be greater than or equal to about 15%, greater than or equal to about 16%, greater than or equal to about 17%, greater than or equal to about 18%, greater than or equal to about 19%, greater than or equal to about 20%, greater than or equal to about 21%, greater than or equal to about 22%, greater than or equal to about 23%, greater than or equal to about 24%, greater than or equal to about 25%, greater than or equal to about 30%, greater than or equal to about 35%, greater than or equal to about 40%, greater than or equal to about 42%, greater than or equal to about 45%, greater than or equal to about 48%, greater than or equal to about 50%, greater than or equal to about 52%, greater than or equal to about 55%, greater than or equal to about 58%, greater than or equal to about 60%, greater than or equal to about 62%, greater than or equal to about 65%, or greater than or equal to about 68%. In some instances, the percentage (e.g., by weight, or by mole) may be less than or equal to about 70%, less than or equal to about 68%, less than or equal to about 65%, less than or equal to about 62%, less than or equal to about 60%, less than or equal to about 58%, less than or equal to about 55%, less than or equal to about 52%, less than or equal to about 50%, or less than or equal to about 48%. Combinations of the above referenced ranges are also possible (e.g., greater than or equal to 20% and less than or equal to about 60%, greater than or equal to 40% and less than or equal to about 55%, etc.). In embodiments in which more than one type of ionizable molecule is present in a particle, each type of ionizable molecule may independently have a percentage (e.g., by weight, or by mole) in one or more of the ranges described above. The percentage (e.g., by weight, or by mole) may be determined by extracting the ionizable molecule(s) from the dried particles using, e.g., organic solvents, and measuring the quantity of the agent using high pressure liquid chromatography (i.e., HPLC), liquid chromatography-mass spectrometry (LC-MS), nuclear magnetic resonance (NMR), or mass spectrometry (MS). Those of ordinary skill in the art would be knowledgeable of techniques to determine the quantity of a component using the above-referenced techniques. For example, HPLC may be used to quantify the amount of a component, by, e.g., comparing the area under the curve of a HPLC chromatogram to a standard curve. [0379] It should be understood that the terms “charged” or “charged moiety” does not refer to a “partial negative charge" or “partial positive charge" on a molecule. The terms “partial negative charge" and “partial positive charge" are given their ordinary meaning in the art. A “partial negative charge" may result when a functional group comprises a bond that becomes polarized such that electron density is pulled toward one atom of the bond, creating a partial negative charge on the atom. Those of ordinary skill in the art will, in general, recognize bonds that can become polarized in this way. [0380] A lipid composition may comprise one or more lipids as described in this section. Such lipids may include those useful in the preparation of lipid nanoparticle formulations as described above or as known in the art. Stabilizing compounds [0381] Some embodiments of the compositions are stabilized pharmaceutical compositions. Various non-viral delivery systems, including nanoparticle formulations, present attractive opportunities to overcome many challenges associated with mRNA delivery. Lipid nanoparticles (LNPs) have drawn particular attention in recent years as various LNP formulations have shown promise in a variety of pharmaceutical applications. However, lipids have been shown to degrade nucleic acids, including mRNA, and lipid nanoparticle formulations undergo rapid loss of purity when stored as refrigerated liquids. Moreover, the storage stability of mRNA encapsulated within LNPs is lower than that of unencapsulated mRNA. [0382] A class of compounds has been found to stabilize nucleic acids within a lipid carrier such as an LNP, an unexpected and unprecedented discovery which enables applications including extended refrigerated liquid shelf-life, extended in-use periods at room temperature, and extended in-use stability at physiological temperatures up to higher temperatures such as 40°C. Such stabilizing compounds solve a critical problem, as current manufacturing processes and formulations experience a 5-10% purity loss during LNP formation and processing that is typical with current large-scale LNP production. [0383] In some embodiments, the stabilized pharmaceutical composition comprises a nucleic acid formulation comprising a nucleic acid and a stabilizing compound (e.g., a compound of Formula (I), of Formula (II), or a tautomer or solvate thereof). In some embodiments, the stabilized pharmaceutical composition comprises a nucleic acid formulation comprising a nucleic acid and a lipid, and a compound of Formula (I):

 tautomer or solvate thereof, wherein: is a single bond or a double bond;  R
1 is H; R
2 is OCH
3, or together with R
3 is OCH
2O; R
3 is OCH
3, or together with R
2 is OCH2O; R
4 is H; R
5 is H or OCH3; R
6 is OCH3; R
7 is H or OCH3; R
8 is H; R
9 is H or CH3; and X is a pharmaceutically acceptable anion, e.g., a halide such as chloride. [0384] In some embodiments, the compound of Formula (I) has the structure of:
 Formula (Ia) Formula (Ib) or Formula (Ic) or a tautomer or solvate thereof. [0385] In some embodiments, the stabilized pharmaceutical composition comprises a nucleic acid formulation comprising a nucleic acid and a lipid, and a compound of Formula (II):
 (II), or a tautomer or solvate thereof, wherein: R
10 is H; R
11 is H; R
12 together with R
13 is OCH2O; R
14 is H; R
15 together with R
16 is OCH
2O; R
17 is H; and X is a pharmaceutically acceptable anion, e.g., a halide such as chloride. [0386] In some embodiments, the compound of Formula (II) has the structure of:

 Formula (IIa), or a tautomer or solvate thereof. [0387] Stabilizing compounds of Formulas (I), (Ia), (Ib), (Ic), (II), and (Iia) are described in International Application No. PCT/US2022/025967, which is incorporated by reference herein in its entirety. [0388] In some embodiments, the nucleic acid formulation comprises lipid nanoparticles. In some embodiments, the nucleic acid is mRNA. [0389] In some embodiments, the stabilizing compound (“the compound”) has a purity of at least 70%, 80%, 90%, 95%, or 99%. In some embodiments, the compound contains fewer than 100ppm of elemental metals. In some embodiments, the stabilized pharmaceutical composition (“the composition”) comprises a pharmaceutically acceptable metal chelator, e.g., EDTA (ethylenediaminetetraacetic acid) or DTPA (diethylenetriaminepentaacetic acid). [0390] In some embodiments, the composition is an aqueous solution. In some embodiments, the compound is present at a concentration between about 0.1mM and about 10mM in the aqueous solution. In some embodiments, the aqueous solution has a pH of or about 5 to 8, including pH of about 5, 5.5, 6, 6.5, 7, 7.5, or 8. In some embodiments, the aqueous solution does not comprise NaCl. In some embodiments, the aqueous solution comprises NaCl in a concentration of or about 150mM. In some embodiments, the aqueous solution comprises a phosphate buffer, a tris buffer, an acetate buffer, a histidine buffer, or a citrate buffer. [0391] In some embodiments, microbial growth in the composition is inhibited by the compound. [0392] In some embodiments, the composition is characterized as having a mRNA purity level of greater than 60%, greater than 70%, greater than 80%, or greater than 90% main peak mRNA purity after at least thirty days of storage. In some embodiments, the composition comprises a mRNA purity level of greater than 50% main peak mRNA purity after at least six months of storage. In some embodiments, the storage is at room temperature. [0393] In some embodiments, the composition comprises a lipid nanoparticle encapsulating a mRNA, and the composition comprises less than 50%, less than 60%, less than 70%, less than 80%, less than 90%, or less than 95% RNA fragments after at least thirty days of storage. In some embodiments, the storage temperature is greater than room temperature. In some embodiments, the storage temperature is about 4°C. [0394] In some embodiments, the compound interacts with the nucleic acid comprised within a lipid nanostructure (e.g., a lipid nanoparticle, liposome, or lipoplex), e.g., via pi-pi stacking and/or by changing backbone helicity of the nucleic acid. In some embodiments, the compound intercalates with a nucleic acid. In some embodiments, the compound binds with a nucleic acid, e.g., reversible binding, and/or binding to the stranded regions of the nucleic acid. In some embodiments, the compound self-associates, binds to nucleic acid ribose contacts, and/or binds to nucleic acid base contacts. In some embodiments, the compound does not substantially bind to nucleic acid phosphate contacts. In some embodiments, the positive charge of the compound contributes to nucleic acid binding. In some embodiments, the interacts with the nucleic acid with a binding affinity defined by an equilibrium dissociation constant of less than 10
-3 M (e.g., less than 10
-4 M, less than 10
-5 M, less than 10
-5 M, less than 10
-7 M, less than 10
-8 M, or less than 10
-9 M). [0395] In some embodiments, the compound interacts with a nucleic acid and provides shielding from solvent, e.g., water. In some embodiments, the compound shields ribose from solvent more than the compound shields the phosphate groups of the nucleic acid. In some embodiments, the solvent exposure is measured by the solvent accessible surface area (SASA). In some embodiments, a stabilizing compound decreases the solvent accessible area of ribose to about 5-10 nm
2. In some embodiments, a stabilizing compound decreases the solvent accessible area of ribose to about 6-8 nm
2. In some embodiments, a stabilizing compound decreases the solvent accessible area of phosphate to about 9-12 nm
2. In some embodiments, a stabilizing compound decreases the solvent accessible area of phosphate to about 10-11 nm
2. [0396] In some embodiments, a nucleic acid that is conformationally stabilized by the compound exhibits thermal unfolding temperatures (measured by circular dichroism or DSC, for example) that are higher than in the absence of the compound. In some embodiments, the compound confers increased stability, e.g., thermal stability, to the nucleic acid in a folded structure, e.g., relative to its unfolded or less folded or more linear form. In some embodiments, the compound causes compaction of the nucleic acid upon interaction with the nucleic acid. In some embodiments, the compound causes a decrease in the hydrodynamic radius of the nucleic acid molecule upon interaction with the nucleic acid. In some embodiments, a stabilizing compound causes compaction or a decrease in the hydrodynamic radius of a nucleic acid molecule by 5%, 10%, 15%, 20%, 25%, 30%, 35%, 40%, 45%, 50%, 55%, 60%, or more. In some embodiments, a stabilizing compound causes compaction or a decrease in the hydrodynamic radius of a nucleic acid molecule when the compound is in a concentration of 1 μM, 2 μM, 3 μM, 4 μM, 5 μM, 6 μM, 7 μM, 8 μM, 9 μM, 10 μM, 15 μM, 20 μM, 25 μM, 30 μM, 35 μM, 40 μM, 45 μM, 50 μM, 60 μM, 70 μM, 80 μM, 90 μM, or 100 μM. EXAMPLES Example 1: Chemical stability of CpA dinucleotide in mRNA [0397] The susceptibility of different dinucleotide pairs to spontaneous cleavage was analyzed by incubating a test mRNA in water for 4 hours, and analyzing the resulting mRNA cleavage fragments by Illumina 3′ end sequencing. After incubation, fragments were sequenced, and reads were aligned to the reference sequence, with the 3′ nucleotide of each read corresponding to the first nucleotide in a dinucleotide pair that was cleaved to generate the sequenced mRNA fragment (e.g., a read ending in AAGCAC (SEQ ID NO: 63) that aligned to the sequence AAGCACAAUC (SEQ ID NO: 64) indicated that the bolded CpA dinucleotide was cleaved to generate the 3′ of the mRNA fragment). Analysis of the resulting abundance of cleaved dinucleotides indicated that the CpA dinucleotide was the most represented dinucleotide, indicating that this dinucleotide is particularly susceptible to cleavage (FIG.1). [0398] A panel of mRNAs were designed, each having a different nucleotide sequence but encoding the same polypeptide. Some mRNAs were designed using CDSfold, whereas others were designed using different methods. Secondary structures for each mRNA were predicted using to calculate the percentage of CpA dinucleotides in each mRNA that were unpaired, i.e., not hybridized to one or more other nucleotides of the mRNA (%ssCA). Additionally, some mRNAs were designed having a lower abundance of CpA dinucleotides. [0399] mRNAs were prepared in LNP compositions, and stored for several weeks at 25 °C. Following storage, LNP-mRNA compositions were analyzed by reverse phase ion pair (RPIP) high performance liquid chromatography (HPLC). mRNA degradation during storage was quantified based on % main peak purity at each timepoint (FIG.2A), and calculation of the degradation rate based on a first-order kinetic model (FIGs.2B and 3A). %ssCA was strongly correlated with both mRNA purity and degradation rates, as mRNAs with lower %ssCA exhibited lower degradation rates (FIG.3A). These results indicate that %ssCA substantially affects mRNA stability, and that reducing %ssCA allows for increased maintenance of mRNA purity during extended storage. [0400] Expression from these mRNAs was tested using the in vitro relative protein expression (IVRPE) assay described in Example 6. mRNAs with low %ssCA dinucleotide content not only had markedly lower degradation rates than reference mRNAs, but still produced substantial amounts of protein (FIG.3B). These results indicate that reduction in unhybridized CpA dinucleotide abundance improves mRNA stability, without unduly comprising expression of an encoded protein. Example 2: In vitro transcription (IVT) Materials and Methods [0401] Alternative mRNAs are made using standard laboratory methods and materials for in vitro transcription. The open reading frame (ORF) of the gene of interest may be flanked by a 5′ untranslated region (UTR) containing a strong Kozak translational initiation signal, and an alpha- globin 3′ UTR. [0402] The ORF may also include various upstream or downstream additions (such as, but not limited to, β-globin, tags, etc.) may be ordered from an optimization service such as, but limited to, DNA2.0 (Menlo Park, Calif.) and may contain multiple cloning sites which may have XbaI recognition. Upon receipt of the construct, it may be reconstituted and transformed into chemically competent E. coli. NEB DH5-alpha Competent E. coli may be used. Transformations are performed according to NEB instructions using 100 ng of plasmid. The protocol is as follows: Thaw a tube of NEB 5-alpha Competent E. coli cells on ice for 10 minutes.  Add 1-5 μl containing 1 pg-100 ng of plasmid DNA to the cell mixture. Carefully flick the tube 4-5 times to mix cells and DNA. Do not vortex. Place the mixture on ice for 30 minutes. Do not mix. Heat shock at 42° C. for exactly 30 seconds. Do not mix. Place on ice for 5 minutes. Do not mix. Pipette 950 μl of room temperature SOC into the mixture. Place at 37° C. for 60 minutes. Shake vigorously (250 rpm) or rotate. Warm selection plates to 37° C. Mix the cells thoroughly by flicking the tube and inverting. Spread 50-100 μl of each dilution onto a selection plate and incubate overnight at 37° C. Alternatively, incubate at 30° C. for 24-36 hours or 25° C. for 48 hours. [0403] A single colony is then used to inoculate 5 ml of LB growth media using the appropriate antibiotic and then allowed to grow (250 RPM, 37° C.) for 5 hours. This is then used to inoculate a 200 ml culture medium and allowed to grow overnight under the same conditions. [0404] To isolate the plasmid (up to 850 μg), a maxi prep is performed using the Invitrogen PURELINK™ HiPure Maxiprep Kit (Carlsbad, Calif.), following the manufacturer's instructions. [0405] In order to generate cDNA for In Vitro Transcription (IVT), the plasmid is first linearized using a restriction enzyme such as XbaI. A typical restriction digest with XbaI will comprise the following: Plasmid 1.0 μg; 10× Buffer 1.0 μl; XbaI 1.5 μl; dH2O up to 10 μl; incubated at 37° C. for 1 hr. If performing at lab scale (<5 μg), the reaction is cleaned up using Invitrogen's PURELINK™ PCR Micro Kit (Carlsbad, Calif.) per manufacturer's instructions. Larger scale purifications may need to be done with a product that has a larger load capacity such as Invitrogen's standard PURELINK™ PCR Kit (Carlsbad, Calif.). Following the cleanup, the linearized vector is quantified using the NanoDrop and analyzed to confirm linearization using agarose gel electrophoresis. IVT Reaction [0406] The in vitro transcription reaction generates mRNA containing alternative nucleotides or alternative RNA. The input nucleotide triphosphate (NTP) mix is made in-house using natural and unnatural NTPs. A typical in vitro transcription reaction includes the following: Template cDNA 1.0 μg 10x transcription buffer (400 mM Tris-HCl 2.0 μl pH 8.0, 190 mM MgCl2, 50 mM DTT, 10 mM Spermidine) Custom NTPs (25 mM each) 7.2 μl  RNase Inhibitor 20 U T7 RNA polymerase 3000 U dH2O up to 20.0 μl Incubation at 37 °C for 3 hr-5 hrs. [0407] The crude IVT mix may be stored at 4° C overnight for cleanup the next day.1 U of RNase-free DNase is then used to digest the original template. After 15 minutes of incubation at 37° C., the mRNA is purified using Ambion's MEGACLEAR™ Kit (Austin, Tex.) following the manufacturer's instructions. This kit can purify up to 500 μg of RNA. Following the cleanup, the RNA is quantified using the NanoDrop and analyzed by agarose gel electrophoresis to confirm the RNA is the proper size and that no degradation of the RNA has occurred. [0408] The T7 RNA polymerase may be selected from, T7 RNA polymerase, T3 RNA polymerase and mutant polymerases such as, but not limited to, the novel polymerases able to incorporate alternative NTPs as well as those polymerases described by Liu (Esvelt et al. (Nature (2011) 472(7344):499-503 and U.S. Publication No. US 2011/0177495) which recognize alternate promoters, Ellington (Chelliserrykattil and Ellington, Nature Biotechnology (2004) 22(9):1155-1160) describing a T7 RNA polymerase variant to transcribe 2′-O-methyl RNA and Sousa (Padilla and Sousa, Nucleic Acids Research (2002) 30(24):e128) describing a T7 RNA polymerase double mutant; herein incorporated by reference in their entireties. Agarose Gel Electrophoresis of Alternative mRNA [0409] Individual alternative mRNAs (200-400 ng in a 20 μl volume) are loaded into a well on a non-denaturing 1.2% Agarose E-Gel (Invitrogen, Carlsbad, Calif.) and run for 12-15 minutes according to the manufacturer protocol. Agarose Gel Electrophoresis of RT-PCR Products [0410] Individual reverse transcribed-PCR products (200-400 ng) are loaded into a well of a non-denaturing 1.2% Agarose E-Gel (Invitrogen, Carlsbad, Calif.) and run for 12-15 minutes according to the manufacturer protocol. Nanodrop Alternative mRNA Quantification and UV Spectral Data [0411] Alternative mRNAs in TE buffer (1 μl) are used for Nanodrop UV absorbance readings to quantitate the yield of each alternative mRNA from an in vitro transcription reaction (UV absorbance traces are not shown). Example 3: Enzymatic capping of mRNA [0412] Capping of the mRNA is performed as follows where the mixture includes: IVT RNA 60 μg–180 μg and dH2O up to 72 μl. The mixture is incubated at 65 °C for 5 minutes to denature RNA, and then is transferred immediately to ice. [0413] The protocol then involves the mixing of 10× Capping Buffer (0.5 M Tris-HCl (pH 8.0), 60 mM KCl, 12.5 mM MgCl2) (10.0 μl); 20 mM GTP (5.0 μl); 20 mM S-Adenosyl Methionine (2.5 μl); RNase Inhibitor (100 U); 2′-O-Methyltransferase (400 U); Vaccinia capping enzyme (Guanylyl transferase) (40 U); dH2O (Up to 28 μl); and incubation at 37 °C for 30 minutes for 60 μg RNA or up to 2 hours for 180 μg of RNA. [0414] The mRNA is then purified using Ambion's MEGACLEAR™ Kit (Austin, Tex.) following the manufacturer's instructions. Following the cleanup, the RNA is quantified using the NANODROP™ (ThermoFisher, Waltham, Mass.) and analyzed by agarose gel electrophoresis to confirm the RNA is the proper size and that no degradation of the RNA has occurred. The RNA product may also be sequenced by running a reverse-transcription-PCR to generate the cDNA for sequencing. Example 4: 5′-Guanosine capping Materials and Methods [0415] The cloning, gene synthesis and vector sequencing may be performed by DNA2.0 Inc. (Menlo Park, Calif.). The ORF is restriction digested using XbaI and used for cDNA synthesis using tailed- or tail-less-PCR. The tailed-PCR cDNA product is used as the template for the alternative mRNA synthesis reaction using 25 mM each alternative nucleotide mix (all alternative nucleotides may be custom synthesized or purchased from TriLink Biotech, San Diego, Calif. except pyrrolo-C triphosphate which may be purchased from Glen Research, Sterling Va.; unmodified nucleotides are purchased from Epicenter Biotechnologies, Madison, Wis.) and CellScript MEGASCRIPT™ (Epicenter Biotechnologies, Madison, Wis.) complete mRNA synthesis kit. [0416] The in vitro transcription reaction is run for 4 hours at 37 °C. Alternative mRNAs incorporating adenosine analogs are poly (A) tailed using yeast Poly (A) Polymerase (Affymetrix, Santa Clara, Calif.). The PCR reaction uses HiFi PCR 2× MASTER MIX™ (Kapa Biosystems, Woburn, Mass.). Alternative mRNAs are post-transcriptionally capped using recombinant Vaccinia Virus Capping Enzyme (New England BioLabs, Ipswich, Mass.) and a recombinant 2′-O-methyltransferase (Epicenter Biotechnologies, Madison, Wis.) to generate the 5′-guanosine Cap1 structure. Cap 2 structure and Cap 2 structures may be generated using additional 2′-O-methyltransferases. The in vitro transcribed mRNA product is run on an agarose gel and visualized. Alternative mRNA may be purified with Ambion/Applied Biosystems (Austin, Tex.) MEGAClear RNA™ purification kit. The PCR uses PURELINK™ PCR purification kit (Invitrogen, Carlsbad, Calif.). The product is quantified on NANODROP™ UV Absorbance (ThermoFisher, Waltham, Mass.). Quality, UV absorbance quality and visualization of the product was performed on an 1.2% agarose gel. The product is resuspended in TE buffer. 5′-Capping Alternative Nucleic Acid (mRNA) Structure [0417] 5′-capping of alternative mRNA may be completed concomitantly during the in vitro- transcription reaction using the following chemical RNA cap analogs to generate the 5′- guanosine cap structure according to manufacturer protocols: 3″-O-Me-m7G(5′)ppp(5′)G (the ARCA cap); G(5′)ppp(5′)A; G(5′)ppp(5′)G; m7G(5′)ppp(5′)A; m7G(5′)ppp(5′)G (New England BioLabs, Ipswich, Mass.).5′-capping of alternative mRNA may be completed post- transcriptionally using a Vaccinia Virus Capping Enzyme to generate the “Cap 0” structure: m7G(5′)ppp(5′)G (New England BioLabs, Ipswich, Mass.). Cap 1 structure may be generated using both Vaccinia Virus Capping Enzyme and a 2′-O methyl-transferase to generate: m7G(5′)ppp(5′)G-2′-O-methyl. Cap 2 structure may be generated from the Cap 1 structure followed by the 2′-O-methylation of the 5′-antepenultimate nucleotide using a 2′-O methyl- transferase. Cap 3 structure may be generated from the Cap 2 structure followed by the 2′-O- methylation of the 5′-preantepenultimate nucleotide using a 2′-O methyl-transferase. Enzymes are preferably derived from a recombinant source. [0418] When transfected into mammalian cells, the alternative mRNAs have a stability of 12-18 hours or more than 18 hours, e.g., 24, 36, 48, 60, 72 or greater than 72 hours. Example 5: In vivo expression of selected sequences [0419] Lipid nanoparticles containing modified or unmodified mRNA are administered to mice at mRNA doses of at 0.05 mg/kg intravenously, subcutaneous, or intramuscularly. Expression of polypeptides encoded mRNAs is evaluated by any method known in the art. For example, expression of encoded fluorescent protein may be evaluated by isolating cells and measuring fluorescence intensity by fluorescence activated cell sorting (FACS) or fluorescent microscopy. Example 6: Method of screening for protein expression Electrospray Ionization [0420] A biological sample which may contain proteins encoded by modified RNA administered to the subject is prepared and analyzed according to the manufacturer protocol for electrospray ionization (ESI) using 1, 2, 3 or 4 mass analyzers. A biologic sample may also be analyzed using a tandem ESI mass spectrometry system. [0421] Patterns of protein fragments, or whole proteins, are compared to known controls for a given protein and identity is determined by comparison. Matrix-Assisted Laser Desorption/Ionization [0422] A biological sample which may contain proteins encoded by alternative RNA administered to the subject is prepared and analyzed according to the manufacturer protocol for matrix-assisted laser desorption/ionization (MALDI). [0423] Patterns of protein fragments, or whole proteins, are compared to known controls for a given protein and identity is determined by comparison. Liquid Chromatography-Mass Spectrometry-Mass Spectrometry [0424] A biological sample, which may contain proteins encoded by alternative RNA, may be treated with a trypsin enzyme to digest the proteins contained within. The resulting peptides are analyzed by liquid chromatography-mass spectrometry-mass spectrometry (LC/MS/MS). The peptides are fragmented in the mass spectrometer to yield diagnostic patterns that can be matched to protein sequence databases via computer algorithms. The digested sample may be diluted to achieve 1 ng or less starting material for a given protein. Biological samples containing a simple buffer background (e.g., water or volatile salts) are amenable to direct in- solution digest; more complex backgrounds (e.g., detergent, non-volatile salts, glycerol) require an additional clean-up step to facilitate the sample analysis. [0425] Patterns of protein fragments, or whole proteins, are compared to known controls for a given protein and identity is determined by comparison. In vitro relative protein expression (IVRPE) Assay [0426] Lipid nanoparticles (LNPs) containing mRNAs are used to measured relative protein expression in vitro. Serial dilutions of LNP-mRNA compositions are transfected into HeLa cells (20,000 cells/well) in 96-well format. Following transfection, cells are stained with antibodies specific to the encoded protein, and analyzed by ELISA to quantify the percentage of cells expressing the protein. Dose-response curves are calculated to determine the EC
50 of each LNP- mRNA composition to achieve protein expression by 50% of cells. Relative protein expression (RPE) for each test substance (TS (e.g., modified mRNA)) is calculated by dividing the EC50 of the TS by an EC50 of the reference material (RM (e.g., containing unmodified reference mRNA)). Example 7: In vivo assays containing alternative nucleotide formulation [0427] Modified mRNAs encoding a protein are present in lipid nanoparticles (LNPs) comprising Compound 1, DSPC, Cholesterol, and PEG-DMG at 50:10:38.5:1.5 mol % respectively. The LNPs are made by direct injection utilizing nanoprecipitation of ethanol solubilized lipids into a pH 4.050 mM citrate mRNA solution. The LNP particle size distributions are characterized by DLS. Encapsulation efficiency (EE) is determined using a Ribogreen™ fluorescence-based assay for detection and quantification of nucleic acids.

 Methods [0428] BALB/c or C57BL/6 mice (n=5) are administered 0.05 mg/kg IM (50 μl in the quadriceps) or IV (100 μl in the tail vein) of mRNA. At time 8 hours after the injection mice are euthanized and blood was collected in serum separator tubes. The samples are spun, and serum samples are then run on an ELISA following kit protocol. Table 1.5′ UTR sequences
 Table 2.3′ UTR sequences (stop cassette is italicized; miR binding sites are boldened)



 EQUIVALENTS AND SCOPE [0429] While several inventive embodiments have been described and illustrated herein, those of ordinary skill in the art will readily envision a variety of other means and/or structures for performing the function and/or obtaining the results and/or one or more of the advantages described herein, and each of such variations and/or modifications is deemed to be within the scope of the inventive embodiments described herein. More generally, those skilled in the art will readily appreciate that all parameters, dimensions, materials, and configurations described herein are meant to be exemplary and that the actual parameters, dimensions, materials, and/or configurations will depend upon the specific application or applications for which the inventive teachings is/are used. Those skilled in the art will recognize, or be able to ascertain using no more than routine experimentation, many equivalents to the specific inventive embodiments described herein. It is, therefore, to be understood that the foregoing embodiments are presented by way of example only and that, within the scope of the appended claims and equivalents thereto, inventive embodiments may be practiced otherwise than as specifically described and claimed. Inventive embodiments of the present disclosure are directed to each individual feature, system, article, material, kit, and/or method described herein. In addition, any combination of two or more such features, systems, articles, materials, kits, and/or methods, if such features, systems, articles, materials, kits, and/or methods are not mutually inconsistent, is included within the inventive scope of the present disclosure. [0430] All definitions, as defined and used herein, should be understood to control over dictionary definitions, definitions in documents incorporated by reference, and/or ordinary meanings of the defined terms. [0431] The indefinite articles “a” and “an,” as used herein in the specification and in the claims, unless clearly indicated to the contrary, should be understood to mean “at least one.” [0432] The phrase “and/or,” as used herein in the specification and in the claims, should be understood to mean “either or both” of the elements so conjoined, i.e., elements that are conjunctively present in some cases and disjunctively present in other cases. Multiple elements listed with “and/or” should be construed in the same fashion, i.e., “one or more” of the elements so conjoined. Other elements may optionally be present other than the elements specifically identified by the “and/or” clause, whether related or unrelated to those elements specifically identified. Thus, as a non-limiting example, a reference to “A and/or B”, when used in conjunction with open-ended language such as “comprising” can refer, in some embodiments, to A only (optionally including elements other than B); in another embodiment, to B only (optionally including elements other than A); in yet another embodiment, to both A and B (optionally including other elements); etc. As used herein in the specification and in the claims, “or” should be understood to have the same meaning as “and/or” as defined above. For example, when separating items in a list, “or” or “and/or” shall be interpreted as being inclusive, i.e., the inclusion of at least one, but also including more than one, of a number or list of elements, and, optionally, additional unlisted items. Only terms clearly indicated to the contrary, such as “only one of” or “exactly one of,” or, when used in the claims, “consisting of,” will refer to the inclusion of exactly one element of a number or list of elements. In general, the term “or” as used herein shall only be interpreted as indicating exclusive alternatives (i.e. “one or the other but not both”) when preceded by terms of exclusivity, such as “either,” “one of,” “only one of,” or “exactly one of.” “Consisting essentially of,” when used in the claims, shall have its ordinary meaning as used in the field of patent law. [0433] As used herein in the specification and in the claims, the phrase “at least one,” in reference to a list of one or more elements, should be understood to mean at least one element selected from any one or more of the elements in the list of elements, but not necessarily including at least one of each and every element specifically listed within the list of elements and not excluding any combinations of elements in the list of elements. This definition also allows that elements may optionally be present other than the elements specifically identified within the list of elements to which the phrase “at least one” refers, whether related or unrelated to those elements specifically identified. Thus, as a non-limiting example, “at least one of A and B” (or, equivalently, “at least one of A or B,” or, equivalently “at least one of A and/or B”) can refer, in some embodiments, to at least one, optionally including more than one, A, with no B present (and optionally including elements other than B); in another embodiment, to at least one, optionally including more than one, B, with no A present (and optionally including elements other than A); in yet another embodiment, to at least one, optionally including more than one, A, and at least one, optionally including more than one, B (and optionally including other elements); etc. Each possibility represents a separate embodiment of the present invention. [0434] It should be understood that, unless clearly indicated to the contrary, the disclosure of numerical values and ranges of numerical values in the specification includes both i) the exact value(s) or range specified, and ii) values that are “about” the value(s) or ranges specified (e.g., values or ranges falling within a reasonable range (e.g., about 10% similar)) as would be understood by a person of ordinary skill in the art. [0435] It should also be understood that, unless clearly indicated to the contrary, in any methods disclosed herein that include more than one step or act, the order of the steps or acts of the method is not necessarily limited to the order in which the steps or acts of the method are disclosed. [0436] In the claims, as well as in the specification above, all transitional phrases such as “comprising,” “including,” “carrying,” “having,” “containing,” “involving,” “holding,” “composed of,” and the like are to be understood to be open-ended, i.e., to mean including but not limited to. Only the transitional phrases “consisting of” and “consisting essentially of” shall be closed or semi-closed transitional phrases, respectively, as set forth in the United States Patent Office Manual of Patent Examining Procedures, Section 2111.03.