Movatterモバイル変換


[0]ホーム

URL:


WO2025045613A1 - Scanning near-field acoustic microscopy using resonant gas bubble probe - Google Patents

Scanning near-field acoustic microscopy using resonant gas bubble probe
Download PDF

Info

Publication number
WO2025045613A1
WO2025045613A1PCT/EP2024/073150EP2024073150WWO2025045613A1WO 2025045613 A1WO2025045613 A1WO 2025045613A1EP 2024073150 WEP2024073150 WEP 2024073150WWO 2025045613 A1WO2025045613 A1WO 2025045613A1
Authority
WO
WIPO (PCT)
Prior art keywords
gas bubble
acoustic wave
liquid medium
sample
carrier
Prior art date
Legal status (The legal status is an assumption and is not a legal conclusion. Google has not performed a legal analysis and makes no representation as to the accuracy of the status listed.)
Pending
Application number
PCT/EP2024/073150
Other languages
French (fr)
Inventor
Emmanuel Bossy
Dorian BOUCHET
Benjamin DOLLET
Philippe MARMOTTANT
Current Assignee (The listed assignees may be inaccurate. Google has not performed a legal analysis and makes no representation or warranty as to the accuracy of the list.)
Centre National de la Recherche Scientifique CNRS
Universite Grenoble Alpes
Original Assignee
Centre National de la Recherche Scientifique CNRS
Universite Grenoble Alpes
Priority date (The priority date is an assumption and is not a legal conclusion. Google has not performed a legal analysis and makes no representation as to the accuracy of the date listed.)
Filing date
Publication date
Application filed by Centre National de la Recherche Scientifique CNRS, Universite Grenoble AlpesfiledCriticalCentre National de la Recherche Scientifique CNRS
Publication of WO2025045613A1publicationCriticalpatent/WO2025045613A1/en
Pendinglegal-statusCriticalCurrent
Anticipated expirationlegal-statusCritical

Links

Classifications

Definitions

Landscapes

Abstract

Acoustic scanning microscopy technique, in which the probe is formed by at least one acoustically resonant gas bubble immersed in a liquid medium (16) and excited by an acoustic wave that propagates in the liquid medium (16). The resonant response of the bubble is measured with a transducer (8).

Description

DESCRIPTION
Title: Scanning near-field acoustic microscopy using resonant gas bubble probe
Technical field
[0001] The present invention relates to scanning acoustic microscopy, and more specifically scanning near-field acoustic microscopy.
Background
[0002] Conventional scanning acoustic microscopy (SAM) techniques make it possible to image samples with diffraction-limited resolution, i.e. no smaller than half the acoustic wavelength.
[0003] To achieve micrometric resolution, conventional SAM techniques require transducers operating at frequencies typically ranging from 400 MHz to 1 or 2 GHz. These techniques therefore require costly equipment.
[0004] Scanning near-field acoustic microscopy (SNAM) techniques have been proposed to get super-resolution, i.e. resolution beyond the diffraction limit, for example in the following document: P. Gunther, U. Ch. Fischer, and K. Dransfeld, Scanning near-field acoustic microscopy, Applied Physics B 48, 89-92 (1989).
[0005] In SNAM techniques, resolution is given by the size of the acoustic resonator, which is required to be subwavelength, i.e. much smaller than the acoustic wavelength, to provide superresolution. However, known resonators as the tuning fork described in the latter document are expensive.
Description of the invention
[0006] An objective of the invention is to provide an acoustic imaging technique less costly than techniques known in the prior art, for a given resolution.
[0007] An object of the invention relates to an acoustic scanning microscopy method, comprising:
- placing a sample to be imaged in contact with a liquid medium,
- immersing at least one gas bubble in the liquid medium,
- propagating an excitation acoustic wave in the liquid medium,
- measuring a response of the gas bubble to the excitation acoustic wave.
[0008] Gas bubble, thus forming an acoustic resonator, is then used as a probe in the method of the invention, which provide a new scanning near-field acoustic microscopy technique.
[0009] Gas bubble, including when it is of a subwavelength size, can be obtained easily and inexpensively. [0010] Said at least one gas bubble may include a plurality of gas bubbles. In other words, the method may use several gas bubbles as respective probes.
[0011] In an embodiment, the gas bubble has a size smaller than a wavelength of said excitation acoustic wave, preferably smaller than one or more tenths of this wavelength, preferably smaller than one or more hundredths of this wavelength.
[0012] The term "gas bubble" generally relates to a volume of gas that can be of any shape, including but not limited to a spherical shape.
[0013] The size of the gas bubble may be a diameter of the bubble, or an analogous dimension.
[0014] For example, the size may be the diameter of the bubble when the latter is spherical. When the bubble is cubic, or substantially cubic, said size may be the length of one of its edge. When the bubble has a parallelepipeds or parallelepipeds polyhedral shape, said size may be the length of its longer edge.
[0015] More generally, the size of the gas bubble may be the longer edge of a fictitious parallelepiped into which the bubble fits, at least at equilibrium.
[0016] The gas bubble may have a size ranging from 1 nm to 1 m, preferably from 1 nm to 1 pm.
[0017] In an embodiment, the gas bubble has a size ranging from 1 nm to 10 cm, for example from 1 nm to 1 cm, for example from 1 nm to 1 mm, for example from 1 nm to 100 pm, for example from 1 nm to 10 pm, for example from 1 nm to 1 pm, for example from 1 nm to 100 nm, for example from 1 nm to 10 nm.
[0018] In an embodiment, the gas bubble has a size ranging from 1 nm to 1 m, for example from 10 nm to 1 m, for example from 100 nm to 1 m, for example from 1 pm to 1 m, for example from 10 pm to 1 m, for example from 100 pm to 1 m, for example from 1 mm to 1 m, for example from 1 cm to 1 m.
[0019] In an embodiment, the method comprises holding the gas bubble in the liquid medium with a carrier.
[0020] Said carrier, also called "probe carrier", may comprise a frame configured to receive the gas bubble.
[0021] In an embodiment, the frame is cubic.
[0022] In other embodiments, the frame has another shape, for example a polyhedral, parallelepipeds, pyramidal, spherical, or ovoid shape.
[0023] When holding the gas bubble is done using a frame, the shape of the frame may typically define the shape of the bubble. [0024] In an embodiment, the method comprises creating the gas bubble by moving said carrier from a gaseous medium to said liquid medium.
[0025] In an embodiment, the method comprises moving the gas bubble within the liquid medium, relative to the sample.
[0026] In an embodiment, the step of measuring is carried out at different positions of the gas bubble relative to the sample.
[0027] In an embodiment, in one or more of said positions, the gas bubble is at a distance from the sample smaller than a wavelength of said excitation acoustic wave, preferably smaller than one or more tenths of this wavelength, preferably smaller than one or more hundredths of this wavelength.
[0028] Said distance may be the distance between the centre of the gas bubble and the sample.
[0029] Said distance may range from 0.1 nm to 10 mm, preferably from 0.1 nm to 1 pm.
[0030] Said distance may range from 0.1 nm to 10 cm, for example from 0.1 nm to 1 cm, for example from 0.1 nm to 1 mm, for example from 0.1 nm to 100 pm, for example from 0.1 nm to 10 pm, for example from 0.1 nm to 1 pm, for example from 0.1 nm to 100 nm, for example from 0.1 nm to 10 nm.
[0031] In an embodiment, the method comprises constructing an image of the sample based on the measured response of the gas bubble to the excitation acoustic wave.
[0032] In an embodiment, said liquid medium comprises water.
[0033] In an embodiment, said gas bubble comprises air.
[0034] According to another aspect, the invention relates to a device, in particular a device forming or intended to form an acoustic microscope.
[0035] The device is preferably configured for performing a method as defined above.
[0036] In an embodiment, the device comprises:
- means for placing a sample to be imaged in contact with a liquid medium,
- means for immersing at least one gas bubble in the liquid medium,
- means for propagating an excitation acoustic wave in the liquid medium,
- means for measuring a response of the gas bubble to the excitation acoustic wave.
[0037] In an embodiment, said means for propagating excitation acoustic wave and/or said means for measuring response of the gas bubble comprise one or more electroacoustic transducers. [0038] According to a first alternative, one of said electroacoustic transducers constitutes said means for propagating excitation acoustic wave and another of said electroacoustic transducers constitutes means for measuring response of the gas bubble.
[0039] According to a second alternative, one of said electroacoustic transducers constitutes both means for propagating excitation acoustic wave and means for measuring response of the gas bubble.
[0040] In an embodiment, said means for immersing the gas bubble comprises a carrier.
[0041] In an embodiment, said carrier has a frame configured to receive the gas bubble inside the frame.
[0042] In an embodiment, the frame is cubic.
[0043] In other embodiments, the frame has another shape, for example a polyhedral, parallelepipeds, pyramidal, spherical, or ovoid shape.
[0044] The frame may define a holding space, or internal volume, sized to receive a gas bubble as defined above.
[0045] The holding space may have a volume ranging from 1 nm3 to 1 m3.
[0046] In an embodiment, the device comprises moving means to move the gas bubble relative to the sample.
[0047] Said moving means may comprise a motorized arm.
[0048] In an embodiment, the device comprises an electronic system configured to construct an image of the sample based on the measured response of the gas bubble to the excitation acoustic wave.
[0049] Said carrier may comprise a one-piece structure or may comprise an assembly of several parts. For example, in the latter case, the carrier may comprise a multi-layer structure, or a structure having a so-called "support structure" - also called "core" - covered with one or more layers.
[0050] For example, in a non-limiting embodiment, said carrier comprises a support structure and a silane layer deposited on said support structure.
[0051] More specifically, said carried is preferably configured so that the gas bubble received by the carrier is in contact with the silane layer.
[0052] A silane layer makes it possible to render the carrier - and particularly a surface of the carrier that is configured to be in contact with the gas bubble when implementing the acoustic scanning microscopy method of the invention - hydrophobic.
[0053] In an embodiment, the silane layer comprises at least oxygen atoms and silicon atoms, preferably comprises at least oxygen atoms, silicon atoms and carbon atoms, and more preferably comprises at least oxygen atoms, silicon atoms, carbon atoms and halogen atoms (e.g. fluorine atoms).
[0054] In other embodiments, said carrier does not comprise a silane layer or does comprise a layer forming a coating having a material other than silane.
[0055] According to another aspect, the invention relates to a method for manufacturing said device.
[0056] In an embodiment, the manufacturing method comprises depositing a silane layer on a support structure to form said carrier.
[0057] In an embodiment, depositing silane layer comprises vapor deposition.
[0058] In an embodiment, depositing silane layer comprises using trihalogenofluoroalkylsilane or trihalogenoperfluoroalkylsilane, for example trichloro(lH,lH,2H,2H-perfluorooctyl)silane.
[0059] Such a depositing step is also referred to as silanization.
[0060] The inventors have shown that a carrier having a silane layer significantly extends the lifetime of the gas bubble when implementing the acoustic scanning microscopy method of the invention, compared with a carrier without such a silane layer, typically a duration of minutes or hours versus a few tens of seconds. The lifetime may non-limitatively range from 1 min to 24 hours.
[0061] In an embodiment, the manufacturing method comprises manufacturing said carrier, or at least a part of said carrier, using a two-photon polymerization technique.
[0062] In an embodiment in which the carrier comprises said support structure and said silane layer or another type of coating layer deposited on said support structure, the manufacturing method comprises manufacturing said support structure using a two-photon polymerization technique.
[0063] The invention generally provides a technique to probe acoustic interactions, using one or more resonating bubbles, allowing super-resolution acoustic imaging of samples.
[0064] The invention can be used to determine acoustic properties of structured materials as well as soft tissues without mechanical contact, providing interesting perspectives for acoustic microrheology.
[0065] The present invention, and all its aspects, embodiments and advantages associated therewith will become more readily apparent in view of the detailed description of particular embodiments provided below, including the accompanying drawings. Brief description of the drawings
[0066] The following, non-limiting, embodiments of the invention are described with reference to the accompanying drawings in which:
- Figure 1 is a schematic representation of a device according to the invention, the device comprising a probe carrier configured to hold an acoustic resonant gas bubble forming a probe;
- Figure 2 is perspective view of a probe carrier according to a non-limiting embodiment of the invention.
Detailed description of embodiments
[0067] Figure 1 shows schematically a device 1 according to the invention, for acoustic imaging.
[0068] In this non-limiting example, the device 1 comprises a tank 2, a sample holder 4, two electroacoustic transducers 6 and 8, a probe carrier 10, a moving arm 12, and an electronic system 14.
[0069] The tank 2 is filled with a liquid medium 16.
[0070] In this example, the liquid medium 16 comprises distilled water.
[0071] In the configuration of figure 1, the holder 4, the transducers 6 and 8, the carrier 10, and a part of the moving arm 12 are received in the tank 2 and immersed in the liquid medium 16.
[0072] The holder 4 comprises a bearing surface 18 configured to receive a sample 20 to be imaged, and to hold the sample 20 in position during an imaging process, which is described below in a non-limitative way.
[0073] In the configuration of figure 1, the sample 20 has an internal surface arranged on said bearing surface 18 of the holder 4 and an external surface 22 covered with the liquid medium 16. [0074] The external surface 22 of the sample 20 thus forms an interface in contact with the liquid medium 16, which covers it completely in this example.
[0075] The transducer 6 is configured to generate and propagate an excitation acoustic wave in the liquid medium 16.
[0076] The excitation acoustic wave can be a pulsed signal.
[0077] In this example, the transducer 6 is configured to generate and propagate an excitation acoustic wave having in water a wavelength in the mm range for a frequency in the MHz range. [0078] As described below in more detail, the excitation acoustic wave generated by the transducer 6 is intended to excite an acoustically resonant gas bubble held by the probe carrier 10.
[0079] In the embodiment of figure 1, the transducer 8 and the probe carrier 10 are attached to the moving arm 12, which is motorized so that it can be moved relative to the sample 20.
[0080] The transducer 8 is generally configured to measure a resonant response of said gas bubble to the excitation acoustic wave (see below).
[0081] The electronic system 14 is configured and programmed to construct one or more images of the sample 20 based on data provided by the transducer 8.
[0082] Referring to the non-limiting embodiment of figure 2, the probe carrier 10 comprises a mounting ring 32, a frame 34, and lugs 36 connecting the ring 32 to the frame 34.
[0083] In this example, the carrier 10 is mounted at an end of the transducer 8 by fitting the ring 32 around this transducer end.
[0084] The lugs 36 are designed to keep the frame 34 at a distance from the ring 32, so that the frame 34 can be placed between the transducer 8 and the sample 20 during imaging process (see below).
[0085] The frame 34 has in this example a hollow cubic structure, with an interior size XI and an edge size X2 defining an internal volume having a size equal to XI3 and an external volume of the frame 34 having a size equal to (X1+2*X2)3.
[0086] In this particular example, XI is 10 pm and X2 is 1 pm.
[0087] The probe carrier 10 can be made using a stereolithographic technology.
[0088] In the embodiment of figure 1, the probe carrier 10 of the device 1 is similar to that of figure 2.
[0089] An acoustic microscopy method according to the invention is described below.
[0090] In this non-limiting example, the method is implemented with the device 1 of figure 1.
[0091] Referring to figure 1, the sample 20 is arranged on the holder 4 in the configuration described above, so that the sample 20, in particular its surface 22, is in contact with the liquid medium 16.
[0092] A gas bubble is formed in the probe carrier 10, more specifically in said internal volume of the frame 34 (see figure 2).
[0093] In this example, the gas bubble is created by moving the carrier 10 from a position (not shown) in which the frame 34 extends in a space containing the gas forming the bubble, in this example atmospheric air outside the tank 2, to the position illustrated in figure 1 in which the frame 34 and the gas bubble are immersed in the medium liquid 16. [0094] The gas bubble trapped in the frame 34 of the carrier 10 can thus be moved in the medium liquid 16.
[0095] The carrier 10 and the transducer s are moved towards the sample 20 using the arm 12, until an initial position is reached where the gas bubble is located in the vicinity of the interface 22 of the sample 20, more specifically in this example at a distance from this interface 22 of the order of the size of the bubble.
[0096] The excitation acoustic wave is then generated by the transducer 6, which is propagated in the liquid medium 16.
[0097] In this example, the wavelength of the excitation acoustic wave is 1 MHz.
[0098] Considering in this example that the celerity c of propagation of the excitation acoustic wave in the liquid medium 16 is 1500 m/s, is in this case equal to 1.5 mm.
[0099] In this example, both the size of the gas bubble and the distance at which it is placed from the interface 22 of the sample 20 are thus highly subwavelength.
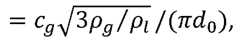
[0100] As known per se, following a mechanical excitation by an acoustic wave, a gas bubble in liquid behaves as a resonant scatterer, as its volume oscillates about an equilibrium value. For a spherical bubble of diameter dQ at equilibrium, the resonance frequency is given by the Minneart formula fQ
Figure imgf000010_0001
where cg is the celerity of acoustic waves in the gas, and pg and pt are the densities of the gas and the liquid respectively. At resonance, the ratio between the wavelength of acoustic waves in the liquid and the diameter of the bubble is thus where c, is the celerity of acoustic waves in the liquid. For an air bubble in
Figure imgf000010_0002
water at 20°C, the latter equation yields — = 226. As such, an air bubble in water is inherently a d0 strongly subwavelength resonant scatter, constituting an ideal local probe for the acoustic field.
[0101] The gas bubble in the carrier 10 thus constitutes a subwavelength acoustically resonant object.
[0102] The response of the gas bubble to the excitation acoustic wave is measured by the transducer 8.
[0103] The gas bubble is then moved relative to the sample 20 between successive positions, under the action of a displacement of the arm 12, and then of the transducer 8 and the carrier 10. [0104] In this example, the gas bubble is moved so that in said successive positions, it remains at approximately the same distance from the interface 22 of the sample 20 than in said initial position (see above).
[0105] In other words, the bubble is moved to scan the interface 22 of the sample 20. [0106] The above-described step of measuring the response of the gas bubble to the excitation acoustic wave is carried out at each of said successive positions.
[0107] An image of the sample 20 is constructed using the measured response of the gas bubble to the excitation acoustic wave.
[0108] The invention thus allows construction of images of sample interfaces, by measuring variations in the resonance properties of the gas bubble induced by near-field acoustic interactions, with a resolution that is in this example two order of magnitudes smaller than the wavelength of the acoustic field in the liquid medium.
[0109] As known per se, image construction may be based on features of the power spectral densities, such as central frequency or total energy.
[0110] The invention generally provides a scanning near-field acoustic microscopy technique using a probe formed by gas bubble(s) providing a subwavelength resolution, in the above example micrometric resolution with excitation frequency ranges of the MHz order.
[0111] The invention is not limited to the above-described embodiment. In particular, other resolution and/or excitation frequency ranges can be used. For example, the excitation acoustic wave may have a wavelength in the kHz range and the gas bubble a size in the mm range.
[0112] The probe carrier 10 of the device 1 of figure 1 can be different than that of figure 2. For example, in an embodiment (not shown), the probe carrier is directly attached to the arm 12, without being in contact with the transducer 8. Of course, the probe carrier 10 of figure 2 can be used in a device according to embodiments different than that of figure 1.
[0113] In alternative embodiments, not shown, the probe carrier has a frame having other size and/or shape than that of figure 2, for example a polyhedral, parallelepipeds, pyramidal, spherical, or ovoid shape.
[0114] In others embodiments, not shown, the probe carrier comprises a bladder balloon or a dropper or a microcapillary, preferably associated with a pressure controller, to introduce gas in the medium liquid to form a gas bubble and to hold the gas bubble on to an end of the balloon or dropper or microcapillary.
[0115] In an embodiment, not show, the acoustic wave for mechanical excitation of the gas bubble can be generated by a transducer that is also configured to measure the response of the gas bubble.
[0116] Of course, the medium may comprise other liquid than distilled water, for example seawater, or oil. In addition, the gas forming the bubble can also comprise other gas than air, for example argon. [0117] In an embodiment, the movement of the gas bubble relative to the sample is achieved by moving the sample, or both the sample and the gas bubble.
[0118] The foregoing description applies mutatis mutandis to the manipulation of several gas bubbles, for example to study multiple scattering and cooperative emission phenomena in complex acoustic environments and metamaterials.

Claims

1. Acoustic scanning microscopy method, characterized in that it comprises:
- placing a sample (20) to be imaged in contact with a liquid medium (16),
- immersing at least one gas bubble in the liquid medium (16),
- propagating an excitation acoustic wave in the liquid medium (16),
- measuring a response of the gas bubble to the excitation acoustic wave.
2. Method according to claim 1, wherein the gas bubble has a size smaller than a wavelength of said excitation acoustic wave, preferably smaller than one or more tenths of this wavelength, preferably smaller than one or more hundredths of this wavelength, for example a size ranging from 1 nm to 1 m, preferably from 1 nm to 1 pm.
3. Method according to claim 1 or 2, comprising holding the gas bubble in the liquid medium (16) with a carrier (10), said carrier (10) comprising a frame (34), for example a cubic frame (34), configured to receive the gas bubble, the method preferably comprises creating the gas bubble by moving said carrier (10) from a gaseous medium to said liquid medium (16).
4. Method according to anyone of claims 1 to 3, comprising moving the gas bubble within the liquid medium (16), relative to the sample (20).
5. Method according to claim 4, wherein the step of measuring is carried out at different positions of the gas bubble relative to the sample (20), and preferably wherein, in one or more of said positions, the gas bubble is at a distance from the sample (20) smaller than a wavelength of said excitation acoustic wave, preferably smaller than one or more tenths of this wavelength, preferably smaller than one or more hundredths of this wavelength, for example ranging from 0.1 nm to 10 mm, preferably from 0.1 nm to 1 pm.
6. Method according to anyone of claims 1 to 5, comprising constructing an image of the sample (20) based on the measured response of the gas bubble to the excitation acoustic wave.
7. Method according to anyone of claims 1 to 6, wherein said liquid medium (16) comprises water and said gas bubble comprises air.
8. Device (1) for performing a method according to anyone of claims 1 to 7, characterized in that it comprises:
- means (4) for placing a sample (20) to be imaged in contact with a liquid medium (16),
- means (10) for immersing at least one gas bubble in the liquid medium (16), said means for immersing the gas bubble comprises a carrier (10) configured to receive the gas bubble, - means (6) for propagating an excitation acoustic wave in the liquid medium (16),
- means (8) for measuring a response of the gas bubble to the excitation acoustic wave.
9. Device (1) according to claim 8, wherein said means for propagating excitation acoustic wave and/or said means for measuring response of the gas bubble comprise one or more electroacoustic transducers (6, 8).
10. Device (1) according to claim 9, wherein:
- one of said electroacoustic transducers (6) constitutes said means for propagating excitation acoustic wave and another of said electroacoustic transducers (8) constitutes means for measuring response of the gas bubble, or
- one of said electroacoustic transducers constitutes both means for propagating excitation acoustic wave and means for measuring response of the gas bubble.
11. Device (1) according to anyone of claims 8 to 10, wherein said carrier (10) comprises a frame (34), for example a cubic frame.
12. Device (1) according to anyone of claims 8 to 11, for performing a method according to claim 4, comprising moving means such as a motorized arm (12) to move the gas bubble relative to the sample (20).
13. Device (1) according to anyone of claims 8 to 12, for performing a method according to claim 6, comprising an electronic system (14) configured to construct an image of the sample (20) based on the measured response of the gas bubble to the excitation acoustic wave.
14. Device (1) according to anyone of claims 8 to 13, wherein said carrier (10) comprises a support structure and a silane layer deposited on said support structure.
15. Method for manufacturing a device (1) according to claim 14, comprising depositing a silane layer on a support structure to form said carrier (10).
PCT/EP2024/0731502023-08-282024-08-16Scanning near-field acoustic microscopy using resonant gas bubble probePendingWO2025045613A1 (en)

Applications Claiming Priority (2)

Application NumberPriority DateFiling DateTitle
EP23306423.72023-08-28
EP233064232023-08-28

Publications (1)

Publication NumberPublication Date
WO2025045613A1true WO2025045613A1 (en)2025-03-06

Family

ID=88600445

Family Applications (1)

Application NumberTitlePriority DateFiling Date
PCT/EP2024/073150PendingWO2025045613A1 (en)2023-08-282024-08-16Scanning near-field acoustic microscopy using resonant gas bubble probe

Country Status (1)

CountryLink
WO (1)WO2025045613A1 (en)

Citations (2)

* Cited by examiner, † Cited by third party
Publication numberPriority datePublication dateAssigneeTitle
US4366713A (en)*1981-03-251983-01-04General Electric CompanyUltrasonic bond testing of semiconductor devices
US5099693A (en)*1987-11-271992-03-31Cogent LimitedApparatus for investigating a sample with ultrasound

Patent Citations (2)

* Cited by examiner, † Cited by third party
Publication numberPriority datePublication dateAssigneeTitle
US4366713A (en)*1981-03-251983-01-04General Electric CompanyUltrasonic bond testing of semiconductor devices
US5099693A (en)*1987-11-271992-03-31Cogent LimitedApparatus for investigating a sample with ultrasound

Non-Patent Citations (4)

* Cited by examiner, † Cited by third party
Title
GOLAN G ET AL: "Novel approach in scanning acoustic microscopy-the resonance mode", ELECTRICAL AND ELECTRONICS ENGINEERS IN ISRAEL, 1995., EIGHTEENTH CONVENTION OF, IEEE, 7 March 1995 (1995-03-07), pages 2.5.1/1 - 2.5.1/5, XP032150292, ISBN: 978-0-7803-2498-5, DOI: 10.1109/EEIS.1995.513809*
P. GÜNTHERU. CH. FISCHERK. DRANSFELD: "Scanning near-field acoustic microscopy", APPLIED PHYSICS B, vol. 48, 1989, pages 89 - 92
YANG JINGWU ET AL: "Very small bubble formation at the solid-water interface", J. PHYS. CHEM. B, vol. 107, no. 25, 30 May 2003 (2003-05-30), pages 6139 - 6147, XP093222906, Retrieved from the Internet <URL:https://pubs.acs.org/doi/epdf/10.1021/jp0224113?ref=article_openPDF> [retrieved on 20241111]*
ZHEREN CAI ET AL: "Bubble Architectures for Locally Resonant Acoustic Metamaterials", ADVANCED FUNCTIONAL MATERIALS, WILEY - V C H VERLAG GMBH & CO. KGAA, DE, vol. 29, no. 51, 21 October 2019 (2019-10-21), pages n/a, XP072408263, ISSN: 1616-301X, DOI: 10.1002/ADFM.201906984*

Similar Documents

PublicationPublication DateTitle
US8183745B2 (en)High frequency ultrasound transducers
US8296858B2 (en)Flexibly displaceable coupling device for acoustically excited atomic force microscopy with acoustic excitation of the sample
JP2903211B2 (en) Probe, probe manufacturing method, and scanning probe microscope
KR101989155B1 (en)The ultrasonic wave converter, the ultrasonic wave generating apparatus and system including the same
Wang et al.Collective resonances of a chain of coupled phononic microresonators
Ogi et al.Noncontact measurement of ultrasonic attenuation during rotating fatigue test of steel
JP2001091441A (en) Mechanical vibrator of nanometer order, method of manufacturing the same, and measuring device using the same
Kazari et al.Multi-frequency piezoelectric micromachined ultrasonic transducers
Li et al.An AlN piezoelectric micromachined ultrasonic transducer-based liquid density sensor
WO2025045613A1 (en)Scanning near-field acoustic microscopy using resonant gas bubble probe
Makkonen et al.Estimating materials parameters in thin-film BAW resonators using measured dispersion curves
Asaki et al.Acoustic radiation force on a bubble driven above resonance
JPH03500213A (en) Acoustic scanning microscope that inspects objects in the near field of a resonant acoustic oscillator
JP5585965B2 (en) Cantilever excitation device and scanning probe microscope
Lu et al.Mechanical quality factor of microcantilevers for mass sensing applications
Jaakkola et al.Piezoelectrically transduced single-crystal-silicon plate resonators
JPH11285096A (en)Composite piezoelectric vibrator
JP2005308756A (en) Device for cantilever detection and control
WO2018206720A1 (en)Method for operation of resonator
Ali et al.Super Resolution Imaging using Off-the-Shelf Ultrasonic Probes
JP2003149120A (en)Probe head for device utilizing near field light and its utilizing device
Tang et al.A comparison of laser ultrasound measurements and finite-element simulations for the dispersion behavior of antisymmetric flexural modes propagating along wedge tips with coatings
AlsolamiDesign and Implementation of Solid/Solid Phononic Crystal Structures in Lateral Extensional Thin-film Piezoelectric on Silicon Micromechanical Resonators
HavrelandMicromachined integrated 2D transducers for ultrasound imaging
Sohn et al.Fabrication of Microcantilever Ultrasound Sensor and Its Application to the Scanning Laser Source Technique

Legal Events

DateCodeTitleDescription
121Ep: the epo has been informed by wipo that ep was designated in this application

Ref document number:24758254

Country of ref document:EP

Kind code of ref document:A1


[8]ページ先頭

©2009-2025 Movatter.jp