Movatterモバイル変換


[0]ホーム

URL:


WO2025032513A1 - Mechanism for controlling a four-cable wristed instrument - Google Patents

Mechanism for controlling a four-cable wristed instrument
Download PDF

Info

Publication number
WO2025032513A1
WO2025032513A1PCT/IB2024/057631IB2024057631WWO2025032513A1WO 2025032513 A1WO2025032513 A1WO 2025032513A1IB 2024057631 WIB2024057631 WIB 2024057631WWO 2025032513 A1WO2025032513 A1WO 2025032513A1
Authority
WO
WIPO (PCT)
Prior art keywords
cam
driving
cable
guide pulley
cables
Prior art date
Legal status (The legal status is an assumption and is not a legal conclusion. Google has not performed a legal analysis and makes no representation as to the accuracy of the status listed.)
Pending
Application number
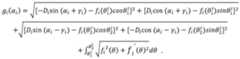
PCT/IB2024/057631
Other languages
French (fr)
Inventor
Xin Ma
Zihao Zhang
Xuchen WANG
Kwok Wai Samuel Au
Current Assignee (The listed assignees may be inaccurate. Google has not performed a legal analysis and makes no representation or warranty as to the accuracy of the list.)
Multi Scale Medical Robotics Center Ltd
Original Assignee
Multi Scale Medical Robotics Center Ltd
Priority date (The priority date is an assumption and is not a legal conclusion. Google has not performed a legal analysis and makes no representation as to the accuracy of the date listed.)
Filing date
Publication date
Application filed by Multi Scale Medical Robotics Center LtdfiledCriticalMulti Scale Medical Robotics Center Ltd
Publication of WO2025032513A1publicationCriticalpatent/WO2025032513A1/en
Pendinglegal-statusCriticalCurrent
Anticipated expirationlegal-statusCritical

Links

Classifications

Definitions

Landscapes

Abstract

This invention provides a mechanism for controlling a four-cable wristed instrument. In one embodiment, said mechanism comprises: a) A base; b) A first driving cable, a second driving cable, a third driving cable and a fourth driving cable, each driving cable comprises an end connected to said four-cable wristed instrument and another end connected to said base; c) A first cam, a second cam and a third cam, each for separately controlling a degree of freedom of said four-cable wristed instrument; each of said first, second and third cam comprises two cable adjusting surfaces, whereby a specific pair of said first, second, third or forth driving cables is placed on one of said two cable adjusting surfaces and the other two driving cables are placed on the other cable adjusting surface.

Description

Dkt.3654-A-PCT MECHANISM FOR CONTROLLING A FOUR-CABLE WRISTED INSTRUMENT FIELD OF THE INVENTION [0001] The invention relates to a mechanism for controlling a four-cable wristed instrument. BACKGROUND OF THE INVENTION [0002] Four-cable wristed instrument is commonly used in robot-assisted minimally invasive surgery. In operations, it is usually driven via a backend transmission mechanism. Existing backend transmission mechanisms usually employ cylindrical capstans, connecting rods, rocker arms, or movable pulleys to control the four-cable wristed instrument to release two cables and tighten the other two cables in the same length, thereby achieving three degrees of freedom. The released length and tightened length must remain equal with the angle change in the process of pitch, yaw or grip. However, the structure design of the wrist cannot always ensure an equal released and tightened length when it is pitching. In addition, existing backend transmission mechanisms use at least three motors to realize the control of the three degrees of freedom of the four-cable wristed instrument. Each degree of freedom needs to be coupling driven by at least two motors. As a result, the four-cable wristed instrument cannot be manually controlled. In this application, a cam-based backend transmission mechanism is presented. The 3 degrees of freedom of the four-cable wristed instrument are completely decoupled, thus enabling the manual control of the four-cable wristed instrument. In addition, the cam shape can be optimized specifically to adapt to different demands for the changing relationships among four cables of four-cable wristed instrument, thus enhancing its versatility. SUMMARY OF THE INVENTION [0003] This invention provides a mechanism for controlling a four-cable wristed instrument. In one embodiment, said mechanism comprises: a) A base; b) A first driving cable, a second driving cable, a third driving cable and a fourth driving cable, each driving cable comprises an end connected to said four-cable wristed instrument and another end connected to said base; c) A first cam, a second cam and a third cam, each for separately controlling a degree of freedom of said four-cable wristed instrument; each of said first, second and third cam comprises two cable adjusting surfaces, whereby a specific pair of said first, second, third or forth driving cables is placed on one of said two cable adjusting surfaces and the other two driving cables are placed on the other cable adjusting surface; wherein said first cam is adapted to cause said first and third driving cables to release or tighten together while said second and forth driving cables to correspondingly tighten or release together when said first cam is driven to rotate; said second cam is adapted to cause said first and second driving cables to release or tighten together while said third and forth driving cables to correspondingly tighten or release together when said second cam is driven to rotate; and said third cam is adapted to cause said second and third driving cables to release or tighten together while said first and forth driving cables to correspondingly tighten or release together when said third cam is driven to rotate. BRIEF DESCRIPTION OF THE DRAWINGS [0004] Fig. 1A shows a four-cable wristed instrument to be used in an embodiment of this invention. [0005] Fig.1B shows the jaw 6 of the four-cable wristed instrument in Fig.1A. [0006] Fig. 1C shows the four-cable wristed instrument in Fig.1A assembled with four instrument driving cables. [0007] Fig.1D shows which of the four instrument driving cables must be released or tightened to achieve pitch, yaw or grip. [0008] Fig. 2 illustrates the equations used for determining cam shape in an embodiment of this invention [0009] Fig.3A shows one embodiment of the mechanism for controlling a four-cable wristed instrument. [0010] Fig.3B shows the base of the mechanism in Fig.3A. [0011] Fig.3C shows further details of the mechanism in Fig.3A. DETAILED DESCRIPTION OF THE PREFERRED EMBODIMENTS [0012] Backend transmission mechanism, which is applied in the minimally invasive surgery, can drive the four-cable wristed instrument to pitch, yaw and grip through four cables. Existing backend transmission mechanisms use cylindrical capstans, connecting rods, rocker arms, or movable pulleys to control the four-cable wristed instruments, which entails coupling control of four-cable wristed instrument. This application develops a cam-based backend transmission mechanism which employs three cams to realize the completely decoupled controlling of the three degrees of freedom of the four-cable wristed instrument. The cam-based backend transmission mechanism enables manual operation and is more versatile. [0013] This application presents a cam-based backend transmission mechanism, which uses cams to control four-cable wristed instrument. A cam shape optimization method is developed. Additionally, the cam-based backend transmission mechanism’s sequencing assembly method and the four-cable wristed instrument’s driving method are also devised. Three cams are employed in the cam-based backend transmission mechanism and each of them can be used to separately control one of the three degrees of freedom of the four-cable wristed instrument (yaw, pitch and grip), thus realizing complete decoupling. [0014] The cam-based backend transmission mechanism can control the four-cable wristed instrument’s three degrees of freedom in a complete decoupling way. The complete decoupling enables the manual control of the four-cable wristed instrument. In addition, there are specific relationships among the length changes of the four cables according to different structures of the four-cable wristed instruments. The cam shape optimization enables the cam-based backend transmission mechanism to meet these relationships, based on which it is adaptable to more types of four-cable wristed instruments. [0015] In one embodiment, the backend transmission mechanism in this application includes three cams and is used to control a four-cable wristed instrument as shown in Fig.1A to 1D. In another embodiment, each of the three cams has a cam shape optimized for a motion of said four-cable wristed instrument using the equation and model shown in Fig.2. [0016] As described below, this application takes Cam-based Backend Transmission Mechanism 300 as example to show the technical details. As shown in Fig. 3A, Cam-based Backend Transmission Mechanism 300 can be operated by either medical robot or by handheld equipment to control the four-cable wristed instrument to pitch, yaw and grip. Cam-based Backend Transmission Mechanism 300 is composed of: [0017] Base 310 of Cam-based Backend Transmission Mechanism 300 is shown in Fig.3B. It is an integrated component that can be manufactured by light-curing 3D printing resin. It can be installed in medical robots or handheld equipment in a detachable way. All components are installed in Base 310. The 4 driving cables are wound around the components and fixed at Pillar 371 or Pillar 372 of Base 310. [0018] Cam 351 provides solid surface and is used to adjust the lengths of the two specific pairs of driving cables; Cam 352 provides solid surface and is used to adjust the lengths of the two specific pairs of driving cables; Cam 353 provides solid surface and is used to adjust the lengths of the two specific pairs of driving cables. Driving connector 354 is used to connect Cam 351 and the driving equipment below; Driving connector 355 is used to connect Cam 352 and the driving equipment below; Driving connector 356 is used to connect Cam 353 and the driving equipment below. The driving equipment includes motors, handheld equipment, etc. [0019] Driving cable 301, through which the four-cable wristed instrument is controlled, is attached to the three cams and then secured to Pillar 371 of Base 301; Driving cable 302, through which the four-cable wristed instrument is controlled, is attached to the three cams and then secured to Pillar 372 of Base 310; Driving cable 303, through which the four-cable wristed instrument is controlled, is attached to the three cams and then secured to Pillar 372 of Base 310; Driving cable 304, through which the four-cable wristed instrument is controlled, is attached to the three cams and then secured to Pillar 371 of Base 310. [0020] Guide pulley 311 is used to guide Driving cable 301 and change its direction; Guide pulley 312 is used to guide Driving cable 302 and change its direction; Guide pulley 313 is used to guide Driving cable 303 and change its direction; Guide pulley 314 is used to guide Driving cable 304 and change its direction. Guide pulleys 321-327 and Guide pulleys 331-337 are used to change the cable direction and to work with cams to quantitatively tighten and release the cables. The centers of Guide pulleys 322-325 form a rectangle that is centrally symmetric around the rotation axis of Cam 351. The centers of Guide pulleys 324-327 form a rectangle that is centrally symmetric around the rotation axis of Cam 352. The center of Guide pulley 326, the center of Guide pulley 327 and the two tangential points between driving cables and pillars of Base 310 form a rectangle that is centrally symmetric around the rotation axis of Cam 353. [0021] Bearings 361~366 are used to fix Driving connectors 354~356 and assemble the driving connectors and Base 310 together. [0022] Each of the three cams separately controls a degree of freedom (pitch, yaw, or grip) of the four-cable wristed instrument. In the case that the four driving cables of the four-cable wristed instrument have equal changes and the directions of the two pairs’ change are opposite, the winding sequences of the four driving cables on the surface of the three cams are different, but the shape optimization of each cam is the same. Since the motions of the three cams are completely decoupled, each cam shape can be optimized separately. The cam shape optimization method of Cam-based Backend Transmission Mechanism 300 is as follows. [0023] Assuming that ^^^^^^^^( ^^^^^^^^) represents the function of how the length of a driving cable changes with ^^^^^^^^ , the rotation angle of Cam i (i=351,352,353). Assuming that ^^^^^^^^( ^^^^^^^^) is the function of how the polar diameter of the shape curve’s polar coordinate of Cam i changes with polar angle ^^^^^^^^. Assuming that ^^^^1^^^^ and ^^^^2^^^^ are the polar angles of the point of tangency of the driving cables and the cams. The cam shape optimization method follows the following calculation equation:
Figure imgf000006_0001
[0024] In the equation, as is shown in Fig.2, ^^^^^^^^ is the angle between ^^^^^^^^ (the perpendicular line from ^^^^^^^^ to the cam rotational axis) and ^^^^^^^^ (the guide pulleys are symmetric around ^^^^^^^^ in pairs); ^^^^^^^^ is one of the two points of intersection between the connecting line of the two nearest guide pulleys’ centers and guide pulley outline; and ^^^^^^^^ is half of the distance between the axes of the two further guide pulleys, namely, ^^^^^^^^ ^^^^ ^^^^ ^^^^( ^^^^^^^^) = ^^^^^^^^ (2) [0025] In the case that the four driving cables of the four-cable wristed instrument have equal changes and the directions of the two pairs’ change are opposite, the winding sequences of the four driving cables on the surface of the three cams are different, but the shape optimization method of each cam is the same. The change of rotation angle of the four-cable wristed instrument is directly proportional to the change of cable length during pitch, yaw and grip, and the proportions are the same during yaw and grip. [0026] ^^^^^^^^( ^^^^^^^^) is a proportional function of ^^^^^^^^ , which is written as ^^^^^^^^( ^^^^^^^^) = ^^^^^^^^ ^^^^^^^^ (i=351,352,353).
Figure imgf000007_0001
indicates the length change speed of the driving cable when the cam angular speed is fixed, which is manually specified. To simplify the optimization, it is usually made that ^^^^351 = ^^^^352 = ^^^^353. [0027] As is shown in Fig.2, when the cam shape curve is composed of half of ^^^^ ^^^^ ^^^^ ^^^^ ^^^^ ^^^^ ^^^^^^^^ 1 and half of ^^^^ ^^^^ ^^^^ ^^^^ ^^^^ ^^^^ ^^^^^^^^ 2 , ^^^^^^^^( ^^^^^^^^) and its first derivative equation ^^^ ^^^^^ ( ^^^^^^^^) are as equation (3) and equation (4), respectively. Line ^^^^^^^^1 ^^^^^^^^2 is the minor axis of ^^^^ ^^^^ ^^^^ ^^^^ ^^^^ ^^^^ ^^^^^^^^ 1 and the major axis of ^^^^ ^^^^ ^^^^ ^^^^ ^^^^ ^^^^ ^^^^^^^^ 2, and its length is 2 ^^^^^^^^. In addition, the major axis length of ^^^^ ^^^^ ^^^^ ^^^^ ^^^^ ^^^^ ^^^^^^^^ 1 is 2 ^^^^^^^^ and the minor axis length of ^^^^ ^^^^ ^^^^ ^^^^ ^^^^ ^^^^ ^^^^^^^^ 2 is 2 ^^^^^^^^ .
Figure imgf000007_0002
[0028] At the tangent point of each driving cable and the cam, the tangent slope of the cam shape is equal to the slope of the driving cable. The polar angles ^^^^1^^^^ ^^^^ ^^^^ ^^^^ ^^^^2^^^^ can be expressed respectively in the following equations.
Figure imgf000007_0003
[0029] Ideally, when the cam is in its initial position, it is bilaterally symmetric around ^^^^^^^^ as shown in Fig.2. When the rotation angle of the cam reaches
Figure imgf000008_0001
= ± ^^^^ ^^^^/2, the length change of the four driving cables on both sides reaches the limit. The changes are equal, and the directions of the changes are opposite. [0030] In practice, the optimal solution of ^^^^^^^^, ^^^^^^^^, ^^^^^^^^, and ^^^^^^^^ is found by optimization methodto minimize max{ ^^^^ ^^^^(^^^^ ^^^^)− ^^�^^ ^^^^(^^^^ ^^^^, ^^^^ ^^^^, ^^^^ ^^^^ , ^^^^ ^^^^, ^^^^ ^^^^)}. It can be found that the actual elliptic curve can basically realize the linear change of driving cable length with the cam rotation angle. [0031] In this application, Cam-based Backend Transmission Mechanism 300 is connected to the four-cable wristed instrument via four driving cables. Driving cable 1, Driving cable 2, Driving cable 3 and Driving cable 4 are tightened or released by rotating Cams 351, 352 and 353 on Cam-based Backend Transmission Mechanism 300, so that the four-cable wristed instrument works collaboratively with the Cam-based Backend Transmission Mechanism 300 to achieve the four-cable wristed instrument’s pitch, yaw and grip. In this mode, no matter whether the length changes of the four driving cables with the change of the cam angle are equal, proportional relationship can be designed between the opening and closing angle of the four-cable wristed instrument and the cam rotation angle when the four-cable wristed instrument is pitching, yawing or griping. Due to the completely decoupling design, the control of the four-cable wristed instrument by Cam-based Backend Transmission Mechanism 300 is more intuitive and independent of motors, and can be achieved manually. [0032] The components of the Cam-based Backend Transmission Mechanism 300 comprise cams, driving cables, guide pulleys, driving connectors, bearings, etc. The three cams are driven to control the three degrees of freedom of the four-cable wristed instrument separately. The three cams’ assembly positions should be co-linear, and the sequence of the three cam positions can be arbitrarily specified. As shown in Fig.3A to 3C, the cam sequencing assembly method of Cam-based Backend Transmission Mechanism 300 is as follows. [0033] The first driving module includes: Cam 351, Driving cable 301, Driving cable 302, Driving cable 303, Driving cable 304, Guide pulley 321, Guide pulley 322, Guide pulley 323, Guide pulley 324, Guide pulley 331, Guide pulley 333, Guide pulley 334, Guide pulley 335. And Driving cable 301 is connected to Driving cable 1 of the four-cable wristed instrument, bypassing the Guide pulley 323, Cam 351 and Guide pulley 325 in turn; Driving cable 302 is connected to Driving cable 2 of the four-cable wristed instrument, and bypassing Guide pulley 333, Cam 351 and Guide pulley 335 in turn; Driving cable 303 is connected to Driving cable 3 of the four-cable wristed instrument, bypassing Guide pulley 321, Guide pulley 322, Cam 351 and Guide pulley 324 in turn; Driving cable 304 is connected to Driving cable 4 of the four-cable wristed instrument, and bypassing the Guide pulley 331, Guide pulley 332, Cam 351 and Guide pulley 334 in turn. Driving cable 301 and Driving cable 302 are placed on the same side of Cam 351 at the nearest; Driving cable 303 and Driving cable 304 are placed on the same side of Cam 351 at the nearest and are located on the opposite side of Driving cable 301 and Driving cable 302. [0034] The second driving module includes: Cam 352, Driving cable 301, Driving cable 302, Driving cable 303, Driving cable 304, Guide pulley 324, Guide pulley 325, Guide pulley 326, Guide pulley 327, Guide pulley 334, Guide pulley 335, Guide pulley 336, Guide pulley 337. And Driving cable 301 bypasses Guide pulley 325, Cam 352 and Guide pulley 327 in turn; Driving cable 302 bypasses Guide pulley 335, Cam 352 and Guide pulley 326 in turn; Driving cable 303 bypasses Guide pulley 324, Cam 352 and Guide pulley 336 in turn; Driving cable 304 bypasses Guide pulley 334, Cam 352 and Guide pulley 337 in turn. Driving cable 301 and Driving cable 303 are placed on the same side of Cam 352; Driving cable 302 and Driving cable 304 are placed on the same side of Cam 352 and are located on the opposite side of Driving cable 301 and Driving cable 303. [0035] The third driving module includes: Cam 353, Base 310, Driving cable 301, Driving cable 302, Driving cable 303, Driving cable 304, Guide pulley 326, Guide pulley 327, Guide pulley 336, Guide pulley 337. And Driving cable 301 bypasses Guide pulley 327 and Cam 353 in turn and is fixed on Base 310 of Cam-based Backend Transmission Mechanism 300; Driving cable 302 bypasses Guide pulley 326 and Cam 353 in turn and is fixed on Base 310 of Cam- based Backend Transmission Mechanism 300; Driving cable 303 bypasses Guide pulley 336 and Cam 353 in turn and is fixed on Base 310 of Cam-based Backend Transmission Mechanism 300; Driving cable 304 bypasses Guide pulley 337 and Cam 353 in turn and is fixed on Base 310 of Cam-based Backend Transmission Mechanism 300. Driving cable 301 and Driving cable 304 are placed on the same side of Cam 353 at the nearest; Driving cable 302 and Driving cable 303 are placed on the same side of Cam 353 at the nearest, and are located on the opposite side of Driving cable 301 and Driving cable 304. [0036] Each cam of the Cam-based Backend Transmission Mechanism 300 is driven to control the four driving cables, and individually controls one of the three degrees of freedom. The four driving cables of Cam-based Backend Transmission Mechanism 300 are driven to control the four-cable wristed instrument, as is shown in Fig.1C. The methods are as follows. [0037] Driving cable 1 and Driving cable 3 of the four-cable wristed instrument are connected to the front driving cable guide channel of Jaw 5; Driving cable 2 and Driving cable 4 are connected to the front driving cable guide channel of Jaw 6. Driving cables 1 and 2 pass through the front driving cable guide channel and bypass rear Guide channel 7 on the same side. Driving cables 3 and 4 pass through the front driving cable guide channel and bypass the opposite side of the rear Guide channel 7. As shown in Fig.1C, Driving cable 1 and Driving cable 2 bypass the rear Guide channel 7, and then bypass the opposite side of Pin 11 to connect to Cam-based Backend Transmission Mechanism 300. Similarly, Driving cable 3 and Driving cable 4 bypass the rear Guide channel 7 and then bypass the opposite side of Pin 11 to connect to Cam-based Backend Transmission Mechanism 300. [0038] Cable 1 of the four-cable wristed instrument is connected to Driving cable 301; Cable 2 of the four-cable wristed instrument is connected to Driving cable 302; Cable 3 of the four- cable wristed instrument is connected to Driving cable 303; Cable 4 of the four-cable wristed instrument is connected to Driving cable 304. [0039] Cam-based Backend Transmission Mechanism 300 controls each degree of freedom of the four-cable wristed instrument in the same method. Cam 351 can be driven to rotate around the first central axis and control the two jaws to yaw together. Cam 352 can be driven to rotate around the second central axis and control the two jaws to pitch together. Cam 353 can be driven to rotate around the third central axis and control the two jaws to grip together. The first central axis is parallel to the second central axis and the third central axis. [0040] This invention provides a cam-based backend transmission mechanism. In one embodiment, said cam-based backend transmission mechanism comprises: a base; Four driving cables that are used to connect four-cable wristed instrument; Three cams, each of which provides solid surface and is used to adjust the lengths of the two specific pairs of driving cables; Three driving connectors, each of which is used to connect one of the three cams separately and the driving equipment below; A first set of four pulleys arranged along an axis of rotation. The four pulleys are configured to guide driving cables and change their directions; A second set of fourteen pulleys arranged in four layers, with each layer being dedicated to one of the four driving cables. The second set of pulleys work with the three cams to quantitatively tighten and release the driving cables; Three pairs of bearings, fixed to which the driving connectors and the base are assembled. [0041] In one embodiment, the base of the cam-based backend transmission mechanism comprises two pillars on which the driving cables are fixed. [0042] This invention also provides a method for optimizing the cam shape of the three cams in the mechanism. In one embodiment, each of the three cams separately controls a degree of freedom (pitch, yaw, or grip) of the four-cable wristed instrument. Since the motions of the three cams are completely decoupled, each cam shape can be optimized separately. Assuming that represents the function of how the length of a driving cable changes with ^^^^^^^^, the rotation angle of Cam i (i=351,352,353). Assuming that ^^^^^^^^( ^^^^^^^^) is the function of how the polar diameter of the shape curve’s polar coordinate of Cam i changes with polar angle ^^^^^^^^. Assuming that ^^^^1^^^^ and ^^^^2^^^^ are the polar angles of the point of tangency of the driving cables and the cams. The shape optimization method of the cam follows equation (1). [0043] In the equation, as is shown in Fig.2, ^^^^^^^^is the angle between ^^^^^^^^ (the perpendicular line from ^^^^^^^^ to the cam rotational axis) and ^^^^^^^^ (the guide pulleys are symmetric around ^^^^^^^^ in pairs); ^^^^^^^^ is one of the two points of intersection between the connecting line of the two nearest guide pulleys’ centers and guide pulley outline; and ^^^^^^^^ is half of the distance between the axes of the two further guide pulleys shown in equation (2). [0044] In one further embodiment, in the case that the four driving cables of the four-cable wristed instrument have equal changes and the directions of the two pairs’ change are opposite, the winding sequences of the four driving cables on the surface of the three cams are different, but the shape optimization method of each cam is the same. The change of rotation angle of the four-cable wristed instrument is directly proportional to the change of cable length during pitch, yaw and grip, and the proportions are the same during yaw and grip. ^^^^^^^^( ^^^^^^^^) is a proportional function of ^^^^^^^^ , which is written as ^^^^^^^^( ^^^^^^^^) = ^^^^^^^^ ^^^^^^^^ (i=351,352,353).
Figure imgf000011_0001
indicates the length change speed of the driving cable when the cam angular speed is fixed, which is manually specified. To simplify the optimization, it is usually made that ^^^^351 = ^^^^352 = ^^^^353. [0045] In another embodiment, when the cam shape is composed of half of ^^^^ ^^^^ ^^^^ ^^^^ ^^^^ ^^^^ ^^^^^^^^ 1 and half of ^^^^ ^^^^ ^^^^ ^^^^ ^^^^ ^^^^ ^^^^^^^^ 2, line
Figure imgf000011_0002
is the minor axis of ^^^^ ^^^^ ^^^^ ^^^^ ^^^^ ^^^^ ^^^^^^^^ 1 and the major axis of ^^^^ ^^^^ ^^^^ ^^^^ ^^^^ ^^^^ ^^^^^^^^ 2, and its length is 2 ^^^^^^^^ . In addition, the major axis length of ^^^^ ^^^^ ^^^^ ^^^^ ^^^^ ^^^^ ^^^^^^^^ 1 is 2 ^^^^^^^^ and the minor axis length of ^^^^ ^^^^ ^^^^ ^^^^ ^^^^ ^^^^ ^^^^^^^^ 2 is 2 ^^^^^^^^ . ^^^^^^^^( ^^^^^^^^) and its first derivative equation ^^^ ^^^^^ ( ^^^^^^^^) are shown in equation (3) and equation (4). [0046] In one embodiment, at the tangent point of each driving cable and the cam, the tangent slope of the cam shape is equal to the slope of the driving cable. The polar angles ^^^^1^^^^ ^^^^ ^^^^ ^^^^ ^^^^2^^^^ can be expressed respectively in equations (5) and (6). [0047] In one embodiment, the cam is bilaterally symmetric around ^^^^^^^^ when it is in its initial position, as shown in Fig.2. Ideally, when the rotation angle of the cam reaches
Figure imgf000011_0003
= ± ^^^^ ^^^^/2, the length change of the four driving cables on both sides reaches the limit. The changes are equal, and the directions of the changes are opposite. In practice, the optimal solution of ^^^^^^^^, ^^^^^^^^, and ^^^^^^^^is found by optimization method to minimize max{ ^^^^^^^^( ^^^^^^^^) − ^^�^^^^^^ ( ^^^^^^^^, ^^^^^^^^ , ^^^^^^^^, ^^^^^^^^, ^^^^^^^^ )}. It can be found that the actual elliptic curve can basically realize the linear change of driving cable length with the cam rotation angle. [0048] This invention also provides a cam sequence assembly method. In one embodiment, the three cams are driven to control the three degrees of freedom of the four-cable wristed instrument separately. The three cams’ assembly positions should be co-linear. The sequence of the three cam positions can be arbitrarily specified. [0049] In one embodiment, the first driving module includes: Cam 351, Driving cable 301, Driving cable 302, Driving cable 303, Driving cable 304, Guide pulley 321, Guide pulley 322, Guide pulley 323, Guide pulley 324, Guide pulley 331, Guide pulley 333, Guide pulley 334, Guide pulley 335. In another embodiment, the second driving module includes: Cam 352, Driving cable 301, Driving cable 302, Driving cable 303, Driving cable 304, Guide pulley 324, Guide pulley 325, Guide pulley 326, Guide pulley 327, Guide pulley 334, Guide pulley 335, Guide pulley 336, Guide pulley 337. In yet another embodiment, the third driving module includes: Cam 353, Base 310, Driving cable 301, Driving cable 302, Driving cable 303, Driving cable 304, Guide pulley 326, Guide pulley 327, Guide pulley 336, Guide pulley 337. [0050] In one embodiment, yaw of the four-cable wristed instrument can be achieved in any of the three modules. Here, the first driving module is taken as example: Driving cable 301 is connected to Driving cable 1 on the four-cable wristed instrument, bypassing the Guide pulley 323, Cam 351 and Guide pulley 325 in turn; Driving cable 302 is connected to Driving cable 2 on the four-cable wristed instrument, and bypassing Guide pulley 333, Cam 351 and Guide pulley 335 in turn; Driving cable 303 is connected to Driving cable 3 on the four-cable wristed instrument, bypassing Guide pulley 321, Guide pulley 322, Cam 351 and Guide pulley 324 in turn; Driving cable 304 is connected to Driving cable 4 on the four-cable wristed instrument, and bypassing the Guide pulley 331, Guide pulley 332, Cam 351 and Guide pulley 334 in turn. Driving cable 301 and Driving cable 302 are placed on the same side of Cam 351 at the nearest; Driving cable 303 and Driving cable 304 are placed on the same side of Cam 351 at the nearest and are located on the opposite side of Driving cable 301 and Driving cable 302. [0051] In one embodiment, Pitch of the four-cable wristed instrument can be achieved in any of the three modules. Here, the second driving module is taken as example: Driving cable 301 in turn bypasses Guide pulley 325, Cam 352 and Guide pulley 327; Driving cable 302 in turn bypasses Guide pulley 335, Cam 352 and Guide pulley 326; Driving cable 303 in turn bypasses Guide pulley 324, Cam 352 and Guide pulley 336; Driving cable 304 in turn bypasses Guide pulley 334, Cam 352 and Guide pulley 337. Driving cable 301 and Driving cable 303 are placed on the same side of Cam 352; Driving cable 302 and Driving cable 304 are placed on the same side of Cam 352 and are located on the opposite side of Driving cable 301 and Driving cable 303. [0052] In one embodiment, Grip of the four-cable wristed instrument can be achieved in any of the three modules. Here, the third driving module is taken as example: [0053] Driving cable 301 bypasses Guide pulley 327 and Cam 353 in turn and is fixed on Base 310 of the cam-based backend transmission mechanism; Driving cable 302 bypasses Guide pulley 326 and Cam 353 in turn and is fixed on Base 310 of the cam-based backend transmission mechanism; Driving cable 303 bypasses Guide pulley 336 and Cam 353 in turn and is fixed on Base 310 of the cam-based backend transmission mechanism; Driving cable 304 bypasses Guide pulley 337 and Cam 353 in turn and is fixed on Base 310 of the cam-based backend transmission mechanism. Driving cable 301 and Driving cable 304 are placed on the same side of Cam 353 at the nearest; Driving cable 302 and Driving cable 303 are placed on the same side of Cam 353 at the nearest and are located on the opposite side of Driving cable 301 and Driving cable 304. [0054] This invention also provides a medical device that includes a cam-based backend transmission mechanism described herein. [0055] This invention also provides a surgical robot that includes the medical device as described herein. [0056] This invention provides a mechanism for controlling a four-cable wristed instrument. In one embodiment, said mechanism comprises: a) A base; b) A first driving cable, a second driving cable, a third driving cable and a fourth driving cable, each driving cable comprises an end connected to said four-cable wristed instrument and another end connected to said base; c) A first cam, a second cam and a third cam, each for separately controlling a degree of freedom of said four-cable wristed instrument; each of said first, second and third cam comprises two cable adjusting surfaces, whereby a specific pair of said first, second, third or forth driving cables is placed on one of said two cable adjusting surfaces and the other two driving cables are placed on the other cable adjusting surface; wherein said first cam is adapted to cause said first and third driving cables to release or tighten together while said second and forth driving cables to correspondingly tighten or release together when said first cam is driven to rotate; said second cam is adapted to cause said first and second driving cables to release or tighten together while said third and forth driving cables to correspondingly tighten or release together when said second cam is driven to rotate; and said third cam is adapted to cause said second and third driving cables to release or tighten together while said first and forth driving cables to correspondingly tighten or release together when said third cam is driven to rotate. [0057] In one embodiment, said first, second and third cam control pitch, yaw and grip of said four-cable wristed instrument respectively. [0058] In one embodiment, said base comprises three driving connectors, each for connecting said first, second and third cam to a driving equipment. [0059] In one embodiment, said driving equipment is driven by motor or manual controlled. [0060] In one embodiment, said base comprises at least one pillar for connecting said first, second, third and fourth driving cables. [0061] In one embodiment, said mechanism further comprises one or more sets of guide pulleys forming a first driving module with said first cam, a second driving module with said second cam and a third driving module with said third cam. [0062] In one embodiment, said first driving module comprises said first cam, a guide pulley 321, a guide pulley 322, a guide pulley 323, a guide pulley 324, a guide pulley 331, a guide pulley 333, a guide pulley 334, and a guide pulley 335, wherein said first driving cable passes over said guide pulley 323, said first cam 351 and said guide pulley 325 in turn; said second driving cable passes over said guide pulley 333, said first cam 351 and said guide pulley 335 in turn; said third driving cable passes over said guide pulley 321, said guide pulley 322, said first cam 351 and said guide pulley 324 in turn; said fourth driving cable passes over said guide pulley 331, said guide pulley 332, said first cam 351 and said guide pulley 334 in turn; said first and second driving cables are placed on the same cable adjusting surface on said first cam; said third and fourth driving cables are placed on the other cable adjusting surface on said first cam. [0063] In one embodiment, said second driving module comprises said second cam 352, a guide pulley 324, a guide pulley 325, a guide pulley 326, a guide pulley 327, a guide pulley 334, a guide pulley 335, a guide pulley 336, a guide pulley 337, wherein said first driving cable passes over said guide pulley 325, said second cam 352 and said guide pulley 327 in turn; said second driving cable passes over said guide pulley 335, said second cam 352 and said guide pulley 326 in turn; said third driving cable passes over said guide pulley 324, said second cam 352 and said guide pulley 336 in turn; said fourth driving cable passes over said guide pulley 334, said second cam 352 and said guide pulley 337 in turn; said first and third driving cables are placed on the same cable adjusting surface on said second cam; said second and fourth driving cables are placed on the other cable adjusting surface on said second cam. [0064] In one embodiment, said third driving module comprises said third cam, a guide pulley 326, a guide pulley 327, a guide pulley 336, and a guide pulley 337, wherein said first driving cable passes over said guide pulley 327 and said third cam 353 in turn; said second driving cable passes over said guide pulley 326 and said third cam 353 in turn; said third driving cable passes over said guide pulley 336 and said third cam 353 in turn; said fourth driving cable passes over said guide pulley 337 and said third cam 353 in turn; said first and fourth driving cables are placed on the same cable adjusting surface on said third cam; said second and third driving cables are placed on the other cable adjusting surface on said third cam. [0065] In one embodiment, said four-cable wristed instrument comprises: a) A jaw 5 and a jaw 6 rotatably connected, each of said jaw 5 or jaw 6 comprises a front guide channel; b) Two rear guide channels 7 secured by a pin 10; c) A pin 11; and d) A first instrument driving cable, a second instrument driving cable, a third instrument driving cable, and a fourth instrument driving cable; wherein said first, second, third and fourth instrument driving cables pass over said front guide channel of jaw 5 or jaw 6, said two rear guide channels and said pin 11 to connect to said first second, third and fourth driving cables. [0066] In one embodiment, said cable adjusting surfaces of said first cam, second cam or third cam has a cam shape optimized for a motion of said four-cable wristed instrument. [0067] In one embodiment, said cam shape is determined using eqn (1). [0068] In one embodiment, said four-cable wristed instrument is an end-effector with three degrees of freedom. [0069] This invention also provides a medical device comprising said mechanism of this invention. [0070] This invention further provides a surgical robot comprising said medical device of this invention. [0071] EXAMPLE [0072] The medical device, whose four-cable wristed instrument is shown in Fig.1A to 1D, is a case of this application. Cam-based Backend Transmission Mechanism 300 that controls the four-cable wristed instrument is shown in Fig.3A to 3C. [0073] In this case, Cam 351 is driven to control the four-cable wristed instrument to yaw. The four driving cables are attached in pairs on opposite sides of Cam 351 and connected to the four-cable wristed instrument. Jaws 5 and 6 are separately connected to certain two driving cables. The two driving cables on the same side of both front guide channels of the two jaws are supported by one side of Cam 351. The two jaws are rotatably mounted on Pin 9. A total of four driving cables bypass the two front guide channels on Jaws 5 and 6, bypass the rear Guide channel 7 secured by Pin 10, and then bypass Pin 11. Rotate Cam 351 to drive the two driving cables connected to each jaw in opposite directions. The four driving cables pull the front guide channel to rotate, so that the torque in the same direction on the front guide channel of the two jaws is generated, thereby controlling the four-cable wristed instrument to yaw. The torque has a moment arm which depends on the distance between the central axis of Pin 9 and the tangent point of driving cable and guide channel. [0074] In this case, Cam 352 is driven to control the four-cable wristed instrument to pitch. Four driving cables are placed in pairs on opposite sides of Cam 352 and connected to the four- cable wristed instrument. Jaw 5 and Jaw 6 are separately connected to certain two driving cables. The two driving cables on the front guide channel of one jaw are supported by one side of Cam 352. The two driving cables on the other jaw are supported by the other side of Cam 352. The two jaws are rotatably mounted on Pin 9. A total of four driving cables bypass the two front guide channels on Jaws 5 and 6, bypass the rear Guide channel 7 secured by Pin 10, and then bypass Pin 11. Cam 352 is rotated to drive two driving cables connected to each jaw in the same direction, and the motion directions of the driving cables on the two jaws are opposite. Four driving cables pull the rear Guide channel 7 to rotate, thereby controlling the four-cable wristed instrument to pitch. [0075] In this case, Cam 353 is driven to control the four-cable wristed instrument to grip. Four driving cables are placed in pairs on two opposite sides of Cam 353 and connected to the four- cable wristed instrument. Jaw 5 and Jaw 6 are separately connected to certain two driving cables. The two driving cables on the opposite side of the two front guide channels of the two jaws are supported by one side of Cam 353. The two jaws are rotatably mounted on Pin 9. A total of four driving cables bypass the two front guide channels on Jaws 5 and 6, bypass the rear Guide channel 7 secured by Pin 10, and then bypass Pin 11. Cam 353 is rotated to separately drive the two driving cables connected to each jaw in opposite directions. The four driving cables pull the front guide channel to rotate, so that the torque in the opposite directions on the front guide channel of the two jaws is generated, thereby controlling the four-cable wristed instrument to grip. The torque has a moment arm which depends on the distance between the central axis of Pin 9 and the tangent point of driving cable and guide channel. [0076] Advantages of the present invention. First, the cam-based backend transmission mechanism in this application can completely decouple the three degrees of freedom of the four-cable wristed instrument. The cam-based backend transmission mechanism can be driven by either motors or handheld equipment. The four-cable wristed instrument contains three degrees of freedom. Existing backend transmission mechanisms often drive the four-cable wristed instrument in a coupling way. As shown in Patent WO2022227856A1 and Patent WO2010009221A2, there is coupling among the three cylindrical capstans. It takes two to three cylindrical capstan rotations to control a certain degree of freedom of the four-cable wristed instrument. In addition, there are also patents that use a pinion and rack to drive the four-cable wristed instrument, such as the backend transmission mechanism described in Patent WO2010009221A2. This design still requires the collaborative rotation of the pinion to control a degree of freedom of the four-cable wristed instrument. By comparison, each cam of the cam- based backend transmission mechanism in the application simultaneously controls four driving cables and the cam shape can be optimized, which enables the three cams to separately control the three degrees of freedom of the four-cable wristed instrument, realizing complete decoupling control of the three degrees of freedom of the four-cable wristed instrument. This enables the manual control of the four-cable wristed instrument. [0077] Second, the cam shape optimization in this application makes the cam-based backend transmission mechanism more versatile and can adapt to more situations where the length changing relationship of the four cables is specific. Existing backend transmission mechanisms, which drive the four-cable wristed instrument, such as Patent WO2010009221A2 and Patent WO2022227856A1, all assume that the length changes of the driving cables are proportional to the angle changes of the jaws when the backend transmission mechanism is driving the four- cable wristed instrument. It is also assumed that the length changes of the four driving cables are equal and the directions of changes are opposite in pairs. But in fact, for many four-cable wristed instruments that are pitching, the driving cable length doesn’t change linearly with the pitch angles, such as Patent WO2010009221A2. The cam shape of the cam-based backend transmission mechanism in this application can be optimized to maintain a proportional relationship between the motor rotation angle and the jaw angle of the four-cable wristed instrument. This makes the cam-based backend transmission mechanism adaptable to more types of four-cable instruments.

Claims

What is claimed is: 1. A mechanism for controlling a four-cable wristed instrument, comprising: a. A base; b. A first driving cable, a second driving cable, a third driving cable and a fourth driving cable, each driving cable comprises an end connected to said four- cable wristed instrument and another end connected to said base; c. A first cam, a second cam and a third cam, each for separately controlling a degree of freedom of said four-cable wristed instrument; each of said first, second and third cam comprises two cable adjusting surfaces, whereby a specific pair of said first, second, third or forth driving cables is placed on one of said two cable adjusting surfaces and the other two driving cables are placed on the other cable adjusting surface; wherein said first cam is adapted to cause said first and third driving cables to release or tighten together while said second and forth driving cables to correspondingly tighten or release together when said first cam is driven to rotate; said second cam is adapted to cause said first and second driving cables to release or tighten together while said third and forth driving cables to correspondingly tighten or release together when said second cam is driven to rotate; and said third cam is adapted to cause said second and third driving cables to release or tighten together while said first and forth driving cables to correspondingly tighten or release together when said third cam is driven to rotate. 2. The mechanism of claim 1, wherein said first, second and third cam control pitch, yaw and grip of said four-cable wristed instrument respectively. 3. The mechanism of claim 1, wherein said base comprises three driving connectors, each for connecting said first, second and third cam to a driving equipment. 4. The mechanism of claim 3, wherein said driving equipment is driven by motor or manual controlled. 5. The mechanism of claim 1, wherein said base comprises at least one pillar for connecting said first, second, third and fourth driving cables. 6. The mechanism of claim 1, further comprising one or more sets of guide pulleys forming a first driving module with said first cam, a second driving module with said second cam and a third driving module with said third cam. 7. The mechanism of claim 6, wherein said first driving module comprises said first cam, a guide pulley 321, a guide pulley 322, a guide pulley 323, a guide pulley 324, a guide pulley 331, a guide pulley 333, a guide pulley 334, and a guide pulley 335, wherein said first driving cable passes over said guide pulley 323, said first cam 351 and said guide pulley 325 in turn; said second driving cable passes over said guide pulley 333, said first cam 351 and said guide pulley 335 in turn; said third driving cable passes over said guide pulley 321, said guide pulley 322, said first cam 351 and said guide pulley 324 in turn; said fourth driving cable passes over said guide pulley 331, said guide pulley 332, said first cam 351 and said guide pulley 334 in turn; said first and second driving cables are placed on the same cable adjusting surface on said first cam; said third and fourth driving cables are placed on the other cable adjusting surface on said first cam. 8. The mechanism of claim 6, wherein said second driving module comprises said second cam 352, a guide pulley 324, a guide pulley 325, a guide pulley 326, a guide pulley 327, a guide pulley 334, a guide pulley 335, a guide pulley 336, a guide pulley 337, wherein said first driving cable passes over said guide pulley 325, said second cam 352 and said guide pulley 327 in turn; said second driving cable passes over said guide pulley 335, said second cam 352 and said guide pulley 326 in turn; said third driving cable passes over said guide pulley 324, said second cam 352 and said guide pulley 336 in turn; said fourth driving cable passes over said guide pulley 334, said second cam 352 and said guide pulley 337 in turn; said first and third driving cables are placed on the same cable adjusting surface on said second cam; said second and fourth driving cables are placed on the other cable adjusting surface on said second cam. 9. The mechanism of claim 6, wherein said third driving module comprises said third cam, a guide pulley 326, a guide pulley 327, a guide pulley 336, and a guide pulley 337, wherein said first driving cable passes over said guide pulley 327 and said third cam 353 in turn; said second driving cable passes over said guide pulley 326 and said third cam 353 in turn; said third driving cable passes over said guide pulley 336 and said third cam 353 in turn; said fourth driving cable passes over said guide pulley 337 and said third cam 353 in turn; said first and fourth driving cables are placed on the same cable adjusting surface on said third cam; said second and third driving cables are placed on the other cable adjusting surface on said third cam. 10. The mechanism of claim 1, wherein said four-cable wristed instrument comprises: a. A jaw 5 and a jaw 6 rotatably connected, each of said jaw 5 or jaw 6 comprises a front guide channel; b. Two rear guide channels 7 secured by a pin 10; c. A pin 11; and d. A first instrument driving cable, a second instrument driving cable, a third instrument driving cable, and a fourth instrument driving cable; wherein said first, second, third and fourth instrument driving cables pass over said front guide channel of jaw 5 or jaw 6, said two rear guide channels and said pin 11 to connect to said first second, third and fourth driving cables. 11. The mechanism of claim 1, wherein said cable adjusting surfaces of said first cam, second cam or third cam has a cam shape optimized for a motion of said four-cable wristed instrument. 12. The mechanism of claim 11, wherein said cam shape is determined using the following function of how the length of said first, second, third or fourth driving cable changes with ^^^^^^^^, the rotation angle of Cam i (i=first cam 1, second cam, third cam):
Figure imgf000020_0001
Wherein ^^^^^^^^ is the angle between ^^^^^^^^ and ^^^^^^^^; ^^^^^^^^ is one of the two points of intersection between the connecting line of the two nearest guide pulleys’ centers and guide pulley outline; is half of the distance between the axes of the two further guide pulleys. 13. The mechanism of claim 1, wherein said four-cable wristed instrument is an end- effector with three degrees of freedom. 14. A medical device comprising said mechanism of claims 1-12. 15. A surgical robot comprising said medical device of claim 13.
PCT/IB2024/0576312023-08-072024-08-07Mechanism for controlling a four-cable wristed instrumentPendingWO2025032513A1 (en)

Applications Claiming Priority (2)

Application NumberPriority DateFiling DateTitle
US202363531314P2023-08-072023-08-07
US63/531,3142023-08-07

Publications (1)

Publication NumberPublication Date
WO2025032513A1true WO2025032513A1 (en)2025-02-13

Family

ID=94533937

Family Applications (1)

Application NumberTitlePriority DateFiling Date
PCT/IB2024/057631PendingWO2025032513A1 (en)2023-08-072024-08-07Mechanism for controlling a four-cable wristed instrument

Country Status (1)

CountryLink
WO (1)WO2025032513A1 (en)

Citations (7)

* Cited by examiner, † Cited by third party
Publication numberPriority datePublication dateAssigneeTitle
US20050043718A1 (en)*1997-09-192005-02-24Intuitive Surgical, Inc.Robotic apparatus
CN110382179A (en)*2017-02-272019-10-25朝日英达科株式会社Executor
CN112274251A (en)*2020-09-302021-01-29深圳市精锋医疗科技有限公司Surgical instrument, slave operation device, and surgical robot
CN113367796A (en)*2021-04-302021-09-10康诺思腾机器人(深圳)有限公司Rear end transmission device, medical instrument and surgical robot
CN113491580A (en)*2020-03-202021-10-12上海微创医疗机器人(集团)股份有限公司Wire transmission structure, surgical instrument and surgical robot
CN115426966A (en)*2020-02-132022-12-02直观外科手术操作公司Apparatus and method for coupling a cable to a medical device
CN115916094A (en)*2020-07-312023-04-04索尼集团公司 Medical manipulator system and adapter device

Patent Citations (7)

* Cited by examiner, † Cited by third party
Publication numberPriority datePublication dateAssigneeTitle
US20050043718A1 (en)*1997-09-192005-02-24Intuitive Surgical, Inc.Robotic apparatus
CN110382179A (en)*2017-02-272019-10-25朝日英达科株式会社Executor
CN115426966A (en)*2020-02-132022-12-02直观外科手术操作公司Apparatus and method for coupling a cable to a medical device
CN113491580A (en)*2020-03-202021-10-12上海微创医疗机器人(集团)股份有限公司Wire transmission structure, surgical instrument and surgical robot
CN115916094A (en)*2020-07-312023-04-04索尼集团公司 Medical manipulator system and adapter device
CN112274251A (en)*2020-09-302021-01-29深圳市精锋医疗科技有限公司Surgical instrument, slave operation device, and surgical robot
CN113367796A (en)*2021-04-302021-09-10康诺思腾机器人(深圳)有限公司Rear end transmission device, medical instrument and surgical robot

Similar Documents

PublicationPublication DateTitle
US7391173B2 (en)Mechanically decoupled capstan drive
CN112545658B (en) Surgical instruments, operating equipment and surgical robots
US8151661B2 (en)Compact capstan
WO2022227854A1 (en)Rear-end transmission apparatus, medical instrument and surgical robot
CN112043390B (en) Surgical instruments, operating equipment and surgical robots
GB2540457A (en)Surgical instrument driving mechanism
CN212853621U (en)Surgical instrument, slave operation device, and surgical robot
JP2025026517A (en) Back-end transmissions, medical equipment and surgical robots
KR20100099817A (en)Surgical instrument
WO2025032513A1 (en)Mechanism for controlling a four-cable wristed instrument
CN216933459U (en)Rear end transmission device, medical instrument and surgical robot
CN112043392B (en) Surgical instruments, operating equipment and surgical robots
CN112057173B (en) Surgical instruments, operating equipment and surgical robots
CN113288432B (en)Minimally invasive surgery manipulator capable of replacing scalpel
CN112274252B (en) Surgical instruments, operating equipment and surgical robots
CN212788687U (en)Surgical instrument, slave operation device, and surgical robot
CN112043395B (en) Surgical instruments, operating equipment and surgical robots
CN212996718U (en)Surgical instrument, slave operation device, and surgical robot
CN112043391A (en)Surgical instrument, slave operation device, and surgical robot
CN112370173A (en)Surgical instrument, slave operation device, and surgical robot
EP4324407B1 (en)Tissue suturing system
CN118383817B (en)Mechanical transmission type multi-angle surgical instrument
WO2022068039A1 (en)Surgical instrument, slave operating device, and surgical robot
CN115211967A (en) Endoscopic surgery robot
CN116138887A (en)Locking component, rear end driving seat and mechanical arm for laparoscopic surgery

Legal Events

DateCodeTitleDescription
121Ep: the epo has been informed by wipo that ep was designated in this application

Ref document number:24851222

Country of ref document:EP

Kind code of ref document:A1


[8]ページ先頭

©2009-2025 Movatter.jp