Movatterモバイル変換


[0]ホーム

URL:


WO2024263694A1 - Lrrk2-modulating compositions and methods of use thereof - Google Patents

Lrrk2-modulating compositions and methods of use thereof
Download PDF

Info

Publication number
WO2024263694A1
WO2024263694A1PCT/US2024/034695US2024034695WWO2024263694A1WO 2024263694 A1WO2024263694 A1WO 2024263694A1US 2024034695 WUS2024034695 WUS 2024034695WWO 2024263694 A1WO2024263694 A1WO 2024263694A1
Authority
WO
WIPO (PCT)
Prior art keywords
compound
modified oligonucleotide
certain embodiments
modified
oligonucleotide
Prior art date
Legal status (The legal status is an assumption and is not a legal conclusion. Google has not performed a legal analysis and makes no representation as to the accuracy of the status listed.)
Pending
Application number
PCT/US2024/034695
Other languages
French (fr)
Inventor
Zhen Li
Rui ZHU
Huey-Jing Huang
Current Assignee (The listed assignees may be inaccurate. Google has not performed a legal analysis and makes no representation or warranty as to the accuracy of the list.)
AdaRx Pharmaceuticals Inc
Original Assignee
AdaRx Pharmaceuticals Inc
Priority date (The priority date is an assumption and is not a legal conclusion. Google has not performed a legal analysis and makes no representation as to the accuracy of the date listed.)
Filing date
Publication date
Application filed by AdaRx Pharmaceuticals IncfiledCriticalAdaRx Pharmaceuticals Inc
Publication of WO2024263694A1publicationCriticalpatent/WO2024263694A1/en
Pendinglegal-statusCriticalCurrent
Anticipated expirationlegal-statusCritical

Links

Classifications

Definitions

Landscapes

Abstract

Aspects of the disclosure provide compounds, compositions, and methods for modulating the expression or activity of leucine-rich repeat kinase 2 (LRRK2). In some aspects, the compounds, compositions, and methods of the disclosure can be used to reduce the expression of LRRK2 mRNA in a cell or animal. In some aspects, the compounds, compositions, and methods of the disclosure can be used to reduce the expression of LRRK2 protein in a cell or animal.

Description

LRRK2-MODULATING COMPOSITIONS AND METHODS OF USE THEREOF
CROSS-REFERENCE TO RELATED APPLICATIONS
This application claims the benefit of priority under 35 U.S.C. § 119(e) of U.S. Provisional Application No. 63/509,259, filed June 20, 2023, which is considered part of and is incorporated by reference in its entirety in the disclosure of this application.
SUMMARY
The present disclosure provides compounds, compositions, and methods for modulating the expression or activity of leucine -rich repeat kinase 2 (LRRK2). In certain embodiments, the compounds, compositions, and methods can be used to reduce the expression of LRRK2 mRNA in a cell or animal. In certain embodiments, the compounds, compositions, and methods can be used to reduce the amount of LRRK2 protein in a cell or animal.
In certain embodiments, the animal has a CNS related disease, disorder or condition. In certain embodiments, the disease, disorder or condition is a neurodegenerative disease, including Parkinson’s Disease. Certain compounds, compositions and methods provided herein are directed to reducing a CNS related disease, disorder or condition or a symptom thereof or a neurodegenerative disease or a symptom thereof, including Parkinson’s Disease or cognitive impairment in an animal or a symptom such as loss of motor function, aggregate formation, and neuron death. In certain embodiments, the compounds and compositions provided herein are potent and tolerable and inhibit LRRK2 expression, which can be used to treat, prevent, ameliorate, or slow progression of a CNS related disease, disorder or condition or a symptom thereof or a neurodegenerative disease or a symptom thereof, including Parkinson’s Disease or cognitive impairment or a symptom such as loss of motor function, aggregate formation, and neuron death.
In certain embodiments, the compounds and compositions comprise one or more features that are effective for increasing potency. In certain embodiments, the compounds and compositions comprise one or more features that are effective for increasing tolerability. In certain embodiments, compounds and compositions comprise one or more features that are effective for targeting the compound or composition to a cell or tissue. In certain embodiments, the compounds and compositions are more potent, have greater duration of action or have greater therapeutic value than compounds publicly disclosed.
DETAILED DESCRIPTION
It is to be understood that both the foregoing summary and the following detailed description are exemplary and explanatory only and are not restrictive of the embodiments, as claimed. The section headings used herein are for organizational purposes only and are not to be construed as limiting the subject matter described.
All documents, or portions of documents, cited in this application, including, but not limited to, patents, patent applications, articles, books, treatises, and GenBank, NCBI and other sequence reference records are hereby expressly incorporated by reference for the portions of the document discussed herein, as well as in their entirety as of the date of filing this application.
It is understood that the sequence set forth in each SEQ ID NO contained herein is independent of any modification to a sugar moiety, an intemucleoside linkage, or a nucleobase even if shown in context with a modified compound. As such, compounds defined by a SEQ ID NO may comprise, independently, one or more modifications to a sugar moiety, an internucleoside linkage, or a nucleobase. Oligomeric compounds referenced by Compound Number or Ref ID NO indicate a combination of nucleobase sequence, chemical modification, and motif.
Herein, the use of the singular includes the plural unless specifically stated otherwise. For example, the articles “a” and “an” are used herein to refer to one or to more than one (i.e., to at least one) of the grammatical object of the article. By way of example, “an element” means one element or more than one element, e.g., a plurality of elements. As used herein, the use of “or” means “and/or” unless stated otherwise. Furthermore, the use of the term “including” as well as other forms, such as “includes” and “included”, is not limiting and is used interchangeably with, the phrase "including but not limited to".
Definitions
Unless otherwise indicated, the following terms have the following meanings:
“Leucine -rich repeat kinase 2,” used interchangeably with the term “LRRK2,” refers to any nucleic acid or protein of LRRK2. Exemplary nucleotide and amino acid sequences of LRRK2 can be found, for example, at GenBank Accession No. NM_198578.4 (incorporated herein as SEQ ID NO: 1), and nucleotides 5002 to 149290 of NG_011709.2 (incorporated herein as SEQ ID NO: 2). Additional examples of LRRK2 sequences are readily available through publicly available databases, e.g., GenBank, UniProt, and OMIM. Further information on LRRK2 can be found, for example, at www.ncbi.nlm.nih. gov/gene/?term=LRRK2. LRRK2, as used herein, also refers to variations of the LRRK2 gene including variants provided in the SNP database. Numerous sequence variations within the LRRK2 gene have been identified and may be found at, for example, NCBI dbSNP and UniProt (see, e.g., www.ncbi.nlm.nih. gov/snp/?term=LRRK2). “LRRK2 mRNA” means an mRNA encoding a LRRK2 protein. LRRK2 may be referred to in either upper or lower case.
“LRRK2 specific inhibitor” refers to any agent capable of specifically inhibiting LRRK2 RNA and/or LRRK2 protein expression or activity at the molecular level. For example, LRRK2 specific inhibitors include nucleic acids (including oligonucleotide compounds), peptides, antibodies, small molecules, and other agents capable of inhibiting the expression of LRRK2 RNA and/or LRRK2 protein.
“2’-O-methoxyethyl” or “2’ -MOE” means a 2’-O(CH2)2-OCH3 modification. A 2’-O- methoxyethyl modified sugar is a modified sugar with 2’-O(CH2)2-OCH3 in the place of the 2’ -OH group of a ribosyl ring.
“5’ start site” means the nucleotide of the target nucleic acid or region which is aligned to the 3 ’-most nucleoside of an antisense oligonucleotide.
“3’ stop site” means the nucleotide of the target nucleic acid or region which is aligned to the 5 ’-most nucleoside of an antisense oligonucleotide.
“About” means within ±10% of a value. For example, if it is stated, “a compound achieved about 70% inhibition of LRRK2”, it is implied that LRRK2 levels are inhibited within a range of 60% and 80%. When about is present before a series of numbers or a range, it is understood that “about” can modify each of the numbers in the series or range.
“Administer” or “administering” refers to routes of introducing a compound or composition provided herein to an individual to perform its intended function. An example, routes of administration that can be used include, but are not limited to, intrathecal (IT) administration, intracerebroventricular (ICV) administration, parenteral administration, such as subcutaneous administration, intravenous administration, intramuscular administration, intraarterial administration, intraperitoneal administration, or intracranial administration, e.g. intrathecal or intracerebroventricular administration.
“Ameliorate” refers to an improvement or lessening of at least one indicator, sign, or symptom of an associated disease, disorder, or condition. In certain embodiments, amelioration includes a delay or slowing in the progression or severity of one or more indicators of a condition or disease. The progression or severity of indicators may be determined by subjective or objective measures, which are known to those skilled in the art.
“Animal” refers to a human or non-human animal, including, but not limited to, mice, rats, rabbits, dogs, cats, pigs, and non-human primates, including, but not limited to, monkeys and chimpanzees.
“Antisense oligonucleotide” or “antisense strand” means an oligonucleotide which includes a region that is complementary to a target nucleic acid, e.g., a LRRK2 RNA or a region thereof.
“Complementarity” in reference to an oligonucleotide means the nucleobase sequence of such oligonucleotide or one or more regions thereof that is complementary to the nucleobase sequence of another oligonucleotide or nucleic acid or one or more regions thereof when the two nucleobase sequences are aligned in opposing directions. Complementary nucleobases, as described herein, are limited to the following pairs: adenine (A) and thymine (T), adenine (A) and uracil (U), and cytosine (C) and guanine (G) unless otherwise specified. Complementary oligonucleotides and/or nucleic acids need not have nucleobase complementarity at each nucleoside and may include one or more nucleobase mismatches. By contrast, “fully complementary” or “100% complementary” in reference to oligonucleotides means that such oligonucleotides have nucleobase matches at each nucleoside without any nucleobase mismatches.
“Composition” or “pharmaceutical composition” means a mixture of substances suitable for administering to an individual. For example, a composition may comprise one or more compounds or salt thereof and a sterile aqueous solution.
“Co-administration” means administration of two or more compounds in any manner in which the pharmacological effects of both are manifest in the patient. Co-administration does not require both compounds to be administered in a single pharmaceutical composition, in the same dosage form, by the same route of administration, or at the same time. The effects of both compounds need not manifest themselves at the same time. The effects need only be overlapping for a period of time and need not be coextensive. Co-administration includes parallel or sequential administration of the one or more compounds.
“Conjugate group” means a group of atoms that is attached to an oligonucleotide. A conjugate group is optionally attached to an oligonucleotide through a conjugate linker. A conjugate group may, for example, alter the distribution, targeting, or half-life of a compound into which it is incorporated. Conjugate groups include lipids (or lipophilic moieties), ligands, and other targeting moieties.
“Conjugate linker” means a group of atoms comprising at least one bond that connects a linked moiety to an oligonucleotide.
“Identity” in reference to an oligonucleotide means the nucleobase sequence of such oligonucleotide or one or more regions thereof that matches the nucleobase sequence of another oligonucleotide or nucleic acid or one or more regions thereof. Identity of an oligonucleotide to another oligonucleotide or nucleic acid need not require each nucleobase to match and may include one or more different nucleobases. By contrast, “fully identical” or “100% identity” in reference to oligonucleotides means that such oligonucleotides have the same nucleobase at each relative position over its length as the other oligonucleotide or nucleic acid.
“Individual” means a human or non-human animal selected for treatment or therapy.
“Inhibiting the expression or activity” with reference to a target nucleic acid or protein means to reduce or block the expression or activity of such target relative to the expression or activity in an untreated or control sample and does not necessarily indicate a total elimination of expression or activity.
As used herein, the term “intemucleoside linkage” is the covalent linkage between adjacent nucleosides in an oligonucleotide. As used herein, “modified internucleoside linkage” means any internucleoside linkage other than a phosphodiester internucleoside linkage. “Phosphorothioate intemucleoside linkage” is a modified intemucleoside linkage in which one of the non-bridging oxygen atoms of a phosphodiester intemucleoside linkage is replaced with a sulfur atom. Representative internucleoside linkages having a chiral center include but are not limited to alkylphosphonates and phosphorothioates. Modified oligonucleotides comprising intemucleoside linkages having a chiral center can be prepared as populations of modified oligonucleotides comprising stereorandom internucleoside linkages, or as populations of modified oligonucleotides comprising phosphorothioate linkages in particular stereochemical configurations as further described below. Unless otherwise indicated, chiral internucleoside linkages of modified oligonucleotides described herein can be stereorandom or in a particular stereochemical configuration.
The compounds of the present disclosure may also contain unnatural proportions of atomic isotopes at one or more of the atoms that constitute such compounds. For example, the compounds may be radiolabeled with radioactive isotopes, such as for example tritium (3H), iodine-125 (125I), or carbon-14 (14C). All isotopic variations of the compounds of the present disclosure, whether radioactive or not, are encompassed within the scope of the present disclosure.
The term “isotopic variant” refers to a therapeutic agent (e.g., a compound and/or modified oligonucleotide disclosed herein) that contains an unnatural proportion of an isotope at one or more of the atoms that constitute such a therapeutic agent. In certain embodiments, an “isotopic variant” of a therapeutic agent contains unnatural proportions of one or more isotopes, including, but not limited to, hydrogen (H), deuterium (2H), tritium (3H), carbon- 11 (nC), carbon-12 (12C), carbon-13 (13C), carbon-14 (14C), nitrogen-13 (13N), nitrogen-14 (14N), nitrogen-15 (15N), oxygen-14 (14O), oxygen-15 (15O), oxygen-16 (16O), oxygen-17 (17O), oxygen- 18 (18O), fluorine- 17 (17F), fluorine- 18 (18F), phosphorus-31 (31P), phosphorus-32 (32P), phosphorus-33 (33P), sulfur-32 (32S), sulfur-33 (33S), sulfur-34 (34S), sulfur-35 (35S), sulfur-36 (36S), chlorine-35 (35C1), chlorine-36 (36C1), chlorine-37 (37C1), bromine-79 (79Br), bromine-81 (81Br), iodine 123 (123I), iodine-125 (125I), iodine- 127 (127I), iodine- 129 (129I), and iodine-131 (131I). In certain embodiments, an “isotopic variant” of a therapeutic agent contains unnatural proportions of one or more isotopes, including, but not limited to, hydrogen (H), deuterium (2H), tritium (3H), carbon-11 (nC), carbon-12 (12C), carbon-13 (13C), carbon-14 (14C), nitrogen-13 (13N), nitrogen-14 (14N), nitrogen-15 (15N), oxygen-14 (14O), oxygen-15 (15O), oxygen-16 (16O), oxygen-17 (17O), oxygen-18 (18O), fluorine-17 (17F), fluorine- 18 (18F), phosphorus-31 (31P), phosphorus-32 (32P), phosphorus-33 (33P), sulfur-32 (32S), sulfur-33 (33S), sulfur-34 (34S), sulfur-35 (35S), sulfur-36 (36S), chlorine-35 (35C1), chlorine-36 (36C1), chlorine-37 (37C1), bromine-79 (79Br), bromine-81 (81Br), iodine 123 (123I), iodine-125 (125I), iodine-127 (127I), iodine-129 (129I), and iodine-131 (131I).
It will be understood that, in a therapeutic agent (e.g., a compound and/or modified oligonucleotide disclosed herein), any hydrogen can be2H, for example, or any carbon can be13C, for example, or any nitrogen can be15N, for example, or any oxygen can be18O, for example, where feasible according to the judgment of one of skill. In certain embodiments, an “isotopic variant” of a therapeutic agent contains unnatural proportions of deuterium (D).
“Lipid” or “lipophilic moiety” refers to an aliphatic, cyclic (such as alicyclic), or polycyclic (such as polyalicyclic) compound, such as a steroid (e.g., sterol) or a linear or branched aliphatic hydrocarbon. The term lipid includes cholesterol, retinoic acid, cholic acid, adamantane acetic acid, 1 -pyrene butyric acid, dihydrotestosterone, 1,3-bis- O(hexadecyl)glycerol, geranyloxyhexyanol, hexadecylglycerol, borneol, menthol, 1,3- propanediol, heptadecyl group, palmitic acid, myristic acid, O3-(oleoyl)lithocholic acid, 03- (oleoyl)cholenic acid, ibuprofen, naproxen, dimethoxytrityl, or phenoxazine. The term lipid includes a saturated or unsaturated C4-C30 hydrocarbon chain (e.g., C4-C30 alkyl or alkenyl). In certain embodiments, the lipophilic moiety contains a saturated or unsaturated C5-C20 hydrocarbon chain (e.g., a linear C5-C20 alkyl or alkenyl). In certain embodiments, the lipophilic moiety contains a saturated or unsaturated C14-C20 hydrocarbon chain (e.g., a linear C14-C20 alkyl or alkenyl). In certain embodiments, the lipophilic moiety contains a saturated or unsaturated Ce-Cis hydrocarbon chain (e.g., a linear Ce-Cis alkyl or alkenyl). In certain embodiments, the lipophilic moiety contains a saturated or unsaturated Ci6 hydrocarbon chain (e.g., a linear Ci6 alkyl or alkenyl). In certain embodiments, the lipophilic moiety contains a saturated or unsaturated C17 hydrocarbon chain (e.g., a linear C17 alkyl or alkenyl). In certain embodiments, the lipophilic moiety contains a saturated or unsaturated Cis hydrocarbon chain (e.g., a linear Cis alkyl or alkenyl). In certain embodiments, the lipophilic moiety contains a saturated or unsaturated C22 hydrocarbon chain (e.g., a linear C22 alkyl or alkenyl).
“Mismatch” or “non-complementary” means a nucleobase of a first oligonucleotide or nucleic acid that is not complementary to the corresponding nucleobase of a second oligonucleotide or nucleic acid when the first oligonucleotide/nucleic acid and second oligonucleotide/nucleic acid are aligned in an antiparallel orientation. For example, nucleobases including, but not limited to, a universal nucleobase, inosine, and hypoxanthine, are capable of hybridizing with at least one nucleobase but are still mismatched or non- complementary with respect to the nucleobase to which they are hybridized. As another example, a nucleobase of a first oligonucleotide/nucleic acid that is not capable of hybridizing to the corresponding nucleobase of a second oligonucleotide/nucleic acid when the first and second oligonucleotides are aligned in an antiparallel orientation is a mismatch or non-complementary nucleobase.
“Modified oligonucleotide” means an oligonucleotide, wherein at least one sugar, nucleobase, or intemucleoside linkage is modified.
“Modulating” refers to changing or adjusting a feature in a cell, tissue, organ or organism. For example, modulating LRRK2 RNA can mean to increase or decrease the level of LRRK2 RNA and/or LRRK2 protein in a cell, tissue, organ or organism. A “modulator” effects the change in the cell, tissue, organ or organism. For example, a LRRK2 compound can be a modulator that decreases the amount of LRRK2 RNA and/or LRRK2 protein in a cell, tissue, organ or organism.
“Motif’ means the pattern of unmodified and modified sugar moieties, nucleobases, and/or intemucleoside linkages, in an oligonucleotide.
“Nucleic acid” refers to molecules composed of monomeric nucleotides. A nucleic acid includes, but is not limited to, ribonucleic acids (RNA), deoxyribonucleic acids (DNA), single- stranded nucleic acids, and double-stranded nucleic acids.
“Nucleobase” means a heterocyclic moiety capable of pairing with a base of another nucleic acid. As used herein a “naturally occurring nucleobase” is adenine (A), thymine (T), cytosine (C), uracil (U), and guanine (G). A “modified nucleobase” is a naturally occurring nucleobase that is chemically modified. A “universal base” or “universal nucleobase” is a nucleobase other than a naturally occurring nucleobase and modified nucleobase and is capable of pairing with any nucleobase.
“Nucleobase sequence” means the order of contiguous nucleobases in a nucleic acid or oligonucleotide independent of any sugar or intemucleoside linkage.
“Nucleoside” means a compound comprising a nucleobase and a sugar moiety. The nucleobase and sugar moiety are each, independently, unmodified or modified. “Modified nucleoside” means a nucleoside comprising a modified nucleobase and/or a modified sugar moiety. Modified nucleosides include abasic nucleosides, which lack a nucleobase. “Oligomeric Compound” means a compound comprising one or more oligonucleotides and optionally one or more additional features, such as a conjugate group or terminal group. Examples of oligomeric compounds include single-stranded and doublestranded compounds, such as, oligonucleotides, antisense oligonucleotides, interfering RNA compounds (RNAi compounds), microRNA targeting oligonucleotides, occupancy-based compounds (e.g., mRNA processing or translation blocking compounds and splicing compounds). RNAi compounds include double-stranded compounds (e.g., short- interfering RNA (siRNA) and double- stranded RNA (dsRNA)) and single- stranded compounds (e.g., single- stranded siRNA (ssRNA), single- stranded RNAi (ssRNAi), short hairpin RNA (shRNA) and microRNA mimics) which work at least in part through the RNA-induced silencing complex (RISC) pathway resulting in sequence specific degradation and/or sequestration of a target nucleic acid through a process known as RNA interference (RNAi). The term “RNAi compound” is meant to be equivalent to other terms used to describe nucleic acid compounds that are capable of mediating sequence- specific RNA interference, for example, interfering RNA (iRNA), iRNA agent, RNAi agent, short interfering oligonucleotide, short interfering nucleic acid, short interfering modified oligonucleotide, chemically modified siRNA, and others. Additionally, the term “RNAi” is meant to be equivalent to other terms used to describe sequence- specific RNA interference.
“Oligomeric duplex” means a duplex formed by two oligomeric compounds having complementary nucleobase sequences. Each oligomeric compound of an oligomeric duplex may be referred to as a “duplexed oligomeric compound.” The oligonucleotides of each oligomeric compound of an oligomeric duplex may include non-complementary overhanging nucleosides. In some embodiments, the terms “duplexed oligomeric compound” and “modified oligonucleotide” are used interchangeably. In other embodiments, the terms “oligomeric duplex” and “compound” are used interchangeably.
“Oligonucleotide” means a polymer of linked nucleosides, each of which can be modified or unmodified, independent from one another.
“Parenteral administration” means administration through injection or infusion. Parenteral administration includes subcutaneous administration, intravenous administration, intramuscular administration, intraarterial administration, intraperitoneal administration, or intracranial administration, e.g. intrathecal or intracerebroventricular administration. “Pharmaceutically acceptable carrier or diluent” means any substance suitable for use in administering to an individual. In certain embodiments, a pharmaceutically acceptable carrier or diluent aids the administration of a compound to and absorption by an individual and can be included in the compositions of the present disclosure without causing a significant adverse toxicological effect on the patient. Non-limiting examples of pharmaceutically acceptable excipients include water, NaCl, normal saline solutions, and the like. For example, a pharmaceutically acceptable carrier can be a sterile aqueous solution, such as PBS or water-for-injection. One of skill in the art will recognize that other pharmaceutical excipients are useful in the present disclosure.
“Pharmaceutically acceptable salt” means or refers to physiologically and pharmaceutically acceptable salts of compounds, such as oligomeric compounds or oligonucleotides, i.e., salts that retain the desired biological activity of the parent compound and do not impart undesired toxicological effects thereto.
“Tropomyosin Receptor Kinase B” or “TrkB,” as may be used interchangeably herein, means the receptor for brain-derived neurotrophic factor (BDNF) protein encoded by the NTRK2 gene. TrkB is also known as tyrosine receptor kinase B, BDNF/NT-3 growth factors receptor and neurotrophic tyrosine kinase, receptor, type 2.
As used herein, a pharmaceutically acceptable salt is any salt of a compound provided herein which retains its biological properties and which is not toxic or otherwise undesirable for pharmaceutical use. The pharmaceutically acceptable salts of the therapeutic agents disclosed herein include salts that are prepared with relatively nontoxic acids or bases, depending on the particular substituents found on the compounds or modified oligonucleotides described herein.
When compounds of the present disclosure contain relatively acidic functionalities, base addition salts can be obtained by contacting the neutral form of such compounds with a sufficient amount of the desired base, either neat or in a suitable inert solvent.
When compounds of the present disclosure contain relatively basic functionalities, acid addition salts can be obtained by contacting the neutral form of such compounds with a sufficient amount of the desired acid, either neat or in a suitable inert solvent.
Thus, the compounds of the present disclosure may exist as salts, such as with pharmaceutically acceptable acids. Such salts may be derived from a variety of organic and inorganic counter-ions well known in the art. Such salts include, but are not limited to: (1) acid addition salts formed with organic or inorganic acids such as hydrochloric, hydrobromic, sulfuric, nitric, phosphoric, sulfamic, acetic, trifluoroacetic, trichloroacetic, propionic, hexanoic, cyclopentylpropionic, glycolic, glutaric, pyruvic, lactic, malonic, succinic, sorbic, ascorbic, malic, maleic, fumaric, tartaric, citric, benzoic, 3-(4-hydroxybenzoyl)benzoic, picric, cinnamic, mandelic, phthalic, lauric, methanesulfonic, ethanesulfonic, 1,2-ethane- disulfonic, 2-hydroxyethanesulfonic, benzenesulfonic, 4-chlorobenzenesulfonic, 2- naphthalenesulfonic, 4-toluenesulfonic, camphoric, camphorsulfonic, 4-methylbicyclo[2.2.2]- oct-2-ene-l -carboxylic, glucohep tonic, 3 -phenylpropionic, trimethylacetic, tert-butylacetic, lauryl sulfuric, gluconic, benzoic, glutamic, hydroxynaphthoic, salicylic, stearic, cyclohexylsulfamic, quinic, muconic acid and the like acids; or (2) salts formed when an acidic proton present in the parent compound either (a) is replaced by a metal ion, e.g., an alkali metal ion, an alkaline earth ion or an aluminum ion, or alkali metal or alkaline earth metal hydroxides, such as sodium, potassium, calcium, magnesium, aluminum, lithium, zinc, and barium hydroxide, ammonia, or (b) coordinates with an organic base, such as aliphatic, alicyclic, or aromatic organic amines, such as ammonia, methylamine, dimethylamine, diethylamine, picoline, ethanolamine, diethanolamine, triethanolamine, ethylenediamine, lysine, arginine, ornithine, choline, N,N'-dibenzylethylene-diamine, chloroprocaine, diethanolamine, procaine, N-benzylphenethylamine, N-methylglucamine piperazine, tris(hydroxymethyl)-aminomethane, tetramethylammonium hydroxide, and the like (see, for example, Berge et al., “Pharmaceutical Salts,'’ Journal of Pharmaceutical Science, 1977, 66, 1-19).
Pharmaceutically acceptable salts further include, by way of example only and without limitation, sodium, potassium, calcium, magnesium, ammonium, tetraalkylammonium, and the like, and when the compound contains a basic functionality, salts of non-toxic organic or inorganic acids, such as hydrohalides, e.g. hydrochloride and hydrobromide, sulfate, phosphate, sulfamate, nitrate, acetate, trifluoroacetate, trichloroacetate, propionate, hexanoate, cyclopentylpropionate, glycolate, glutarate, pyruvate, lactate, malonate, succinate, sorbate, ascorbate, malate, maleate, fumarate, tartarate, citrate, benzoate, 3-(4-hydroxybenzoyl)benzoate, picrate, cinnamate, mandelate, phthalate, laurate, methanesulfonate (mesylate), ethanesulfonate, 1,2-ethane-disulfonate, 2- hydroxy ethanesulfonate, benzenesulfonate (besylate), 4-chlorobenzenesulfonate, 2- naphthalenesulfonate, 4-toluenesulfonate, camphorate, camphorsulfonate, 4- methylbicyclo[2.2.2]-oct-2-ene- 1 -carboxylate, glucoheptonate, 3-phenylpropionate, trimethylacetate, tert-butylacetate, lauryl sulfate, gluconate, benzoate, glutamate, hydroxynaphthoate, salicylate, stearate, cyclohexylsulfamate, quinate, muconate, and the like. In some embodiments, the pharmaceutically acceptable salt of the compounds and modified oligonucleotides disclosed herein is a sodium or a potassium salt. In some embodiments, the pharmaceutically acceptable salt of the compounds and modified oligonucleotides disclosed herein is a sodium salt.
The neutral forms of the compounds are preferably regenerated by contacting the salt with a base or acid and isolating the parent compound in the conventional manner. The parent form of the compound may differ from the various salt forms in certain physical properties, such as solubility in polar solvents. In embodiments, compounds of the present disclosure contain both basic and acidic functionalities that allow the compounds to be converted into either base or acid addition salts. The neutral forms of the compounds may be regenerated by contacting the salt with a base or acid and isolating the parent compound in a conventional manner. The parent form of the compounds differs from the various salt forms in certain physical properties, such as solubility in polar solvents, but, unless specifically indicated, the salts disclosed herein are equivalent to the parent form of the compound for the purposes of the present disclosure.
“Pharmaceutical agent” means a compound that provides a therapeutic benefit when administered to an individual.
“Phosphorothioate linkage” means a modified phosphate linkage in which one of the non-bridging oxygen atoms is replaced with a sulfur atom.
“Portion” means a defined number of contiguous (i.e., linked) nucleobases of a nucleic acid. In certain embodiments, a portion is a defined number of contiguous nucleobases of a target nucleic acid. In certain embodiments, a portion is a defined number of contiguous nucleobases of an oligonucleotide.
“Prevent” refers to delaying or forestalling the onset, development or progression of a disease, disorder, or condition for a period of time.
“RNA interference compound” or “RNAi compound” means a compound that acts, at least in part, through an RNA-induced silencing complex (RISC) pathway or Ago2, but not through RNase H, to modulate a target nucleic acid and/or protein encoded by a target nucleic acid. RNAi compounds include, but are not limited to double- stranded siRNA, singlestranded siRNA, and microRNA, including microRNA mimics.
“Sense oligonucleotide” or “sense strand” means the strand of a double-stranded compound that includes a region that is substantially complementary to a region of the antisense strand of the compound.
“Specifically inhibit” with reference to a target nucleic acid or protein means to reduce or block expression or activity of the target nucleic acid or protein while minimizing or eliminating effects on non-target nucleic acids or proteins.
“Subunit” with reference to an oligonucleotide means a nucleotide, nucleoside, nucleobase or sugar or a modified nucleotide, nucleoside, nucleobase or sugar as provided herein.
“Target nucleic acid,” “target RNA,” and “nucleic acid target” all mean a nucleic acid capable of being targeted by compounds described herein.
“Target region” means a portion of a target nucleic acid to which one or more compounds is targeted.
“Targeting moiety” means a conjugate group that provides an enhanced affinity for a selected target, e.g., molecule, cell or cell type, compartment, e.g., a cellular or organ compartment, tissue, organ or region of the body, as, e.g., compared to a compound absent such a moiety.
“Terminal group” means a chemical group or group of atoms that is covalently linked to a terminus of an oligonucleotide.
“Therapeutically effective amount” or “effective amount” means an amount of a compound, pharmaceutical agent, or composition that provides a therapeutic benefit to an individual. A “therapeutically effective amount” or “effective amount” is an amount sufficient for a compound to accomplish a stated purpose relative to the absence of the compound (e.g., achieve the effect for which it is administered, treat, prevent or ameliorate a disease or reduce one or more symptoms of a disease or condition). An example of a “therapeutically effective amount” or “effective amount” is an amount sufficient to contribute to the treatment, prevention, amelioration, or reduction of a symptom or symptoms of a disease. A “reduction” of a symptom or symptoms (and grammatical equivalents of this phrase) means decreasing of the severity or frequency of the symptom(s), or elimination of the symptom(s). A “prophylactically effective amount” of a drug is an amount of a drug that, when administered to a subject, will have the intended prophylactic effect, e.g., preventing or delaying the onset (or reoccurrence) of an injury, disease, pathology or condition, or reducing the likelihood of the onset (or reoccurrence) of an injury, disease, pathology, or condition, or their symptoms. The term “therapeutically effective amount,” as used herein, refers to that amount of the therapeutic agent sufficient to provide a therapeutic benefit to an individual, such as treating, preventing or ameliorating the disease or disorder or symptom thereof, as described above. For example, for the given parameter, a therapeutically effective amount will show an increase or decrease of at least 5%, 10%, 15%, 20%, 25%, 40%, 50%, 60%, 75%, 80%, 90%, or at least 100%. Therapeutic efficacy can also be expressed as “-fold” increase or decrease. For example, a therapeutically effective amount can have at least a 1.2- fold, 1.5-fold, 2-fold, 5-fold, or more effect over a control.
The terms “treating” or “treatment” refer to any indicia of success in the therapy or amelioration of an injury, disease, pathology or condition, including any objective or subjective parameter such as abatement; remission; diminishing of symptoms or making the injury, pathology or condition more tolerable to the patient; slowing in the rate of degeneration or decline; making the final point of degeneration less debilitating; improving a patient's physical or mental well-being. The treatment or amelioration of symptoms can be based on objective or subjective parameters, including the results of a physical examination. The term “treating” and conjugations thereof, may include prevention of an injury, pathology, condition, or disease. In embodiments, treating is preventing. In embodiments, treating does not include preventing.
“Treating” or “treatment” as used herein (and as well-understood in the art) also broadly includes any approach for obtaining beneficial or desired results in a subject's condition, including clinical results. Beneficial or desired clinical results can include, but are not limited to, alleviation or amelioration of one or more symptoms or conditions, diminishment of the extent of a disease, stabilizing (i.e., not worsening) the state of disease, prevention of a disease’s transmission or spread, delay or slowing of disease progression, amelioration or palliation of the disease state, diminishment of the reoccurrence of disease, and remission, whether partial or total and whether detectable or undetectable. In other words, “treatment” as used herein includes any cure, amelioration, or prevention of a disease. Treatment may prevent the disease from occurring; inhibit the disease’s spread; relieve the disease’s symptoms, fully or partially remove the disease’s underlying cause, shorten a disease’s duration, or do a combination of these things.
“Treating” and “treatment” as used herein include prophylactic treatment. Treatment methods include administering to a subject a therapeutically effective amount of a compound described herein. The administering step may consist of a single administration or may include a series of administrations. The length of the treatment period depends on a variety of factors, such as the severity of the condition, the age of the patient, the concentration of the compound, the activity of the compositions used in the treatment, or a combination thereof. It will also be appreciated that the effective dosage of an agent used for the treatment or prophylaxis may increase or decrease over the course of a particular treatment or prophylaxis regime. In some instances, chronic administration may be required. For example, the compositions are administered to the subject in an amount and for a duration sufficient to treat the patient. “Treat” refers to administering a compound or pharmaceutical composition to an animal in order to effect an alteration or improvement of a disease, disorder, or condition in the animal.
Certain compounds of the present disclosure possess asymmetric carbon atoms (optical or chiral centers) or double bonds; the enantiomers, racemates, diastereomers, tautomers, geometric isomers, stereoisometric forms that may be defined, in terms of absolute stereochemistry, as (R)- or (S)- or, as (D)- or (L)-for amino acids, and individual isomers are encompassed within the scope of the present disclosure. The compounds of the present disclosure do not include those that are known in art to be too unstable to synthesize and/or isolate. The present disclosure is meant to include compounds in racemic and optically pure forms. Optically active (R)- and (S)-, or (D)- and (L)-isomers may be prepared using chiral synthons or chiral reagents or resolved using conventional techniques. When the compounds described herein contain olefinic bonds or other centers of geometric asymmetry, and unless specified otherwise, it is intended that the compounds include both E and Z geometric isomers.
As used herein, the term “isomers” refers to compounds having the same number and kind of atoms, and hence the same molecular weight, but differing in respect to the structural arrangement or configuration of the atoms. The term “tautomer,” as used herein, refers to one of two or more structural isomers which exist in equilibrium and which are readily converted from one isomeric form to another.
It will be apparent to one skilled in the art that certain compounds of this disclosure may exist in tautomeric forms, all such tautomeric forms of the compounds being within the scope of the disclosure.
Unless otherwise stated, structures depicted herein are also meant to include all stereochemical forms of the structure (i.e., the R and S configurations for each asymmetric center). Therefore, single stereochemical isomers as well as enantiomeric and diastereomeric mixtures of the present compounds are within the scope of the disclosure.
As used herein, “chirally enriched population” means a plurality of molecules of identical molecular formula, wherein the number or percentage of molecules within the population that contain a particular stereochemical configuration at a particular chiral center is greater than the number or percentage of molecules expected to contain the same particular stereochemical configuration at the same particular chiral center within the population if the particular chiral center were stereorandom. Chirally enriched populations of molecules having multiple chiral centers within each molecule may contain one or more stereorandom chiral centers. In certain embodiments, the molecules are modified oligonucleotides. In certain embodiments, the molecules are compounds comprising modified oligonucleotides.
Unless otherwise stated, structures depicted herein are also meant to include compounds which differ only in the presence of one or more isotopically enriched atoms. For example, compounds having the present structures except for the replacement of a hydrogen by a deuterium or tritium, or the replacement of a carbon by13C- or14C-enriched carbon are within the scope of this disclosure.
As used herein, “stereorandom chiral center” in the context of a population of molecules of identical molecular formula means a chiral center having a random stereochemical configuration. For example, in a population of molecules comprising a stereorandom chiral center, the number of molecules having the (S) configuration of the stereorandom chiral center may be but is not necessarily the same as the number of molecules having the (R) configuration of the stereorandom chiral center. The stereochemical configuration of a chiral center is considered random when it is the results of a synthetic method that is not designed to control the stereochemical configuration. In certain embodiments, a stereorandom chiral center is a stereorandom phosphorothioate intemucleoside linkage.
Certain Embodiments
In certain aspects, the disclosure relates to methods, compounds and compositions for inhibiting LRRK2. In certain embodiments, LRRK2 is specifically inhibited. In certain embodiments, LRRK2 is specifically degraded. In certain embodiments, LRRK2 expression is inhibited. In certain embodiments, LRRK2 translation is inhibited. In certain embodiments, LRRK2 activity is inhibited. In certain embodiments, LRRK2 expression, translation, or activity is reduced by at least 10% relative to the expression, translation, or activity in an untreated or control sample. For example, in certain embodiments, LRRK2 expression, translation, or activity is reduced by at least 10%, at least 20%, at least 30%, at least 40%, at least 50%, at least 60%, at least 70%, at least 80%, at least 90%, at least 95%, 10-50%, 25-50%, 25-75%, 50-75%, 50-99%, or 75-99% relative to the expression, translation, or activity in an untreated or control sample. In certain embodiments, LRRK2 expression, translation, or activity is reduced as measured by any suitable assay, including but not limited to, an immunoassay, a hybridization-based assay, or a sequencing-based assay (e.g., RNA-Seq).
In certain aspects, the disclosure relates to compounds targeted to a LRRK2 nucleic acid. In certain embodiments, the LRRK2 nucleic acid has the sequence set forth in GenBank Accession No. NM_198578.4 (incorporated herein as SEQ ID NO: 1), and nucleotides 5002 to 149290 of NG_011709.2 (incorporated herein as SEQ ID NO: 2).
In certain embodiments, the compound is an oligomeric compound. In certain embodiments, the compound is single-stranded. In certain embodiments, the compound is double-stranded.
Certain embodiments provide a compound comprising a modified oligonucleotide (e.g., of 14 to 30, for example, 14 to 23, linked nucleosides in length) having a nucleobase sequence comprising at least 14, at least 15, at least 16, at least 17, at least 18, at least 19, at least 20, at least 21, at least 22, at least 23 contiguous nucleobases of any of the nucleobase sequence of SEQ ID NOs: 11-44 or 83-89. Certain embodiments provide a compound comprising a modified oligonucleotide (e.g., of 14 to 30, for example, 14 to 23, linked nucleosides in length) having a nucleobase sequence comprising the nucleobase sequence of any one of SEQ ID NOs: 11-44 and 83-89.
Certain embodiments provide a compound comprising a modified oligonucleotide having a nucleobase sequence selected from the group consisting of any one of SEQ ID NOs: 11-44 and 83-89.
In certain embodiments, the modified oligonucleotide is at least 80%, at least 85%, at least 90%, or at least 95% complementary to SEQ ID NO: 1 or 2. In certain embodiments, the modified oligonucleotide comprises at least one modification selected from a modified intemucleoside linkage, a modified sugar, and a modified nucleobase. In certain embodiments, the compound is double- stranded.
Certain embodiments provide a compound comprising a first modified oligonucleotide (e.g., of 14 to 30, for example, 14 to 23, linked nucleosides in length) having a nucleobase sequence comprising at least 14, at least 15, at least 16, at least 17, at least 18, at least 19, at least 20, at least 21, at least 22, at least 23 contiguous nucleobases of any of the nucleobase sequence of SEQ ID NOs: 11-44 and 83-89 or SEQ ID NOs: 45-82 and 90-96, and a second modified oligonucleotide (e.g., of 14 to 30, for example, 14 to 23, linked nucleosides in length) having a region of complementarity to the first modified oligonucleotide.
In certain embodiments, the compound comprises a first modified oligonucleotide (e.g., of 14 to 30, for example, 14 to 23, linked nucleosides in length) having a nucleobase sequence comprising at least 14, at least 15, at least 16, at least 17, at least 18, at least 19, at least 20, at least 21, at least 22, at least 23 contiguous nucleobases of any of the nucleobase sequence provided in Tables 2 and 3, and a second modified oligonucleotide (e.g., of 14 to 30, for example, 14 to 23, linked nucleosides in length) having a region of complementarity to the first modified oligonucleotide.
Certain embodiments provide a compound comprising a first modified oligonucleotide (e.g., of 14 to 30, for example, 14 to 23, linked nucleosides in length) having a nucleobase sequence comprising the nucleobase sequence of any one of SEQ ID NOs: 11- 44 and 83-89 or SEQ ID NOs: 45-82 and 90-96, and a second modified oligonucleotide (e.g., of 14 to 30, for example, 14 to 23, linked nucleosides in length) having a region of complementarity to the first modified oligonucleotide.
Certain embodiments provide a compound comprising a first modified oligonucleotide having a nucleobase sequence selected from the group consisting of any one of SEQ ID NOs: 11-44 and 83-89 or SEQ ID NOs: 45-82 and 90-96, and a second modified oligonucleotide 19 to 23 linked nucleosides in length having a region of complementarity to the first modified oligonucleotide.
Certain embodiments provide a compound comprising a first modified oligonucleotide comprising a 5 '-phosphonate modification, where the first modified oligonucleotide is at least 80% complementary to a region of SEQ ID NO: 1 or 2, and a second modified oligonucleotide comprising one or more ligands described herein (e.g., one or more Tropomyosin receptor B (TrkB) ligands). In certain embodiments, the first modified oligonucleotide comprises a 5 '-terminal nucleoside comprising the 5 '-phosphonate modification. In certain embodiments, the 5 '-phosphonate modification is a 5'- vinylphosphonate modification or a 5'-ethylenephosphonate modification.
In certain embodiments, a compound comprises a modified oligonucleotide (e.g., of 14 to 30, for example, 14 to 23, linked nucleosides in length) having a nucleobase sequence comprising at least 14, at least 15, at least 16, at least 17, at least 18, at least 19, at least 20, at least 21, at least 22, at least 23 contiguous nucleobases of any of the nucleobase sequences of SEQ ID NOs: 11-44 and 83-89. In certain embodiments, a compound comprises a modified oligonucleotide (e.g., of 14 to 30, for example, 14 to 23, linked nucleosides in length) having a nucleobase sequence comprising at least 14, at least 15, at least 16, at least 17, at least 18, at least 19, at least 20, at least 21, at least 22, at least 23 contiguous nucleobases of any of the nucleobase sequence of SEQ ID NOs: 45-82 and 90-96. In certain embodiments, a compound comprises a modified oligonucleotide selected from the group consisting of the nucleobase sequence of SEQ ID NOs: 11-44 and 83-89. In certain embodiments, a compound comprises a modified oligonucleotide selected from the group consisting of the nucleobase sequence of SEQ ID NOs: 45-82 and 90-96. In certain embodiments, the compound comprises a first modified oligonucleotide having a nucleobase sequence selected from the group consisting of the nucleobase sequence of SEQ ID NOs: 11-44 and 83-89, and a second modified oligonucleotide having a nucleobase sequence selected from the group consisting of the nucleobase sequence of SEQ ID NOs: 45-82 and 90-96. In certain embodiments, the modified oligonucleotide or first modified oligonucleotide of any preceding compound has at least 80%, at least 85%, at least 90%, or at least 95% complementarity or identity to SEQ ID NO: 1 or 2 over its length. In certain embodiments, the modified oligonucleotide or first modified oligonucleotide has at least 1, at least 2, at least 3 mismatches to a region of SEQ ID NO: 1 or 2. In certain embodiments, the region of complementarity between the first modified oligonucleotide or first strand and the second modified oligonucleotide or second strand is 14 to 30 linked nucleosides in length. In certain embodiments, the region of complementarity between the first modified oligonucleotide or first strand and the second modified oligonucleotide or second strand is 14 to 23 linked nucleosides in length. In certain embodiments, the region of complementarity between the first modified oligonucleotide or first strand and the second modified oligonucleotide or second strand is 19 to 23 linked nucleosides in length. In certain embodiments, the region of complementarity between the first modified oligonucleotide or first strand and the second modified oligonucleotide or second strand is 21 to 23 linked nucleosides in length. In certain embodiments, the first modified oligonucleotide is fully complementary to the second modified oligonucleotide.
In certain embodiments, the modified oligonucleotide or first modified oligonucleotide of any preceding compound comprises at least one modification selected from a modified intemucleoside linkage, a modified sugar, and a modified nucleobase. In certain embodiments, the second modified oligonucleotide of any preceding compound comprises at least one modification selected from the group consisting of a modified intemucleoside linkage, a modified sugar, and a modified nucleobase. In certain embodiments, the modified intemucleoside linkage is a phosphorothioate intemucleoside linkage or a methylphosphonate intemucleoside linkage. In certain embodiments, the phosphorothioate intemucleoside linkage or methylphosphonate intemucleoside linkage is at the 3’ terminus of the first or second modified oligonucleotide or at the 5’ terminus of the first modified oligonucleotide. In certain embodiments, the modified sugar comprises a modification selected from the group consisting of a halogen, an alkoxy group and a bicyclic sugar. In certain embodiments, the modified sugar comprises a 2’-F modification. In certain embodiments, the modified sugar comprises a 2’-OMe modification. In certain embodiments, each nucleoside of the first modified oligonucleotide comprises a modified sugar. In certain embodiments, each nucleoside of the second modified oligonucleotide comprises a modified sugar. In certain embodiments, the modified sugar comprises a modification selected from the group consisting of a halogen, an alkoxy group and a bicyclic sugar or a combination thereof. In certain embodiments, the modified sugar comprises a modification selected from the group consisting of 2’ -MOE, 2’-F, and 2’-0Me or a combination thereof. In certain embodiments, the first modified oligonucleotide comprises no more than ten 2’-F sugar modifications. In certain embodiments, the second modified oligonucleotide comprises no more than five 2’-F sugar modifications.
In certain embodiments, the compound of any preceding embodiment comprises a conjugate group. In certain embodiments, the conjugate group is attached to the 5’ end of the modified oligonucleotide. In certain embodiments, the conjugate group is a targeting moiety. In certain embodiments, the targeting moiety comprises one or more TrkB ligands. In certain embodiments, the modified oligonucleotide is the second modified oligonucleotide or sense oligonucleotide. In certain embodiments, the one or more TrkB ligands are attached at the 5’ or 3’ end of the oligonucleotide or both the 5’ and 3’ ends of the oligonucleotide.
In certain embodiments, the TrkB ligand of a modified oligonucleotide is of the Formula (I) or a salt, solvate, or hydrate thereof:
Figure imgf000022_0001
Formula (I), wherein:
R1 is the modified oligonucleotide;
L1, L2, L3, and L4 are as described herein;
R2 is hydrogen, -OR7, -SR8, or -NR9R10;
R3 is hydrogen, -OR11, -SR12, or -NR13R14;
R4 is hydrogen, -OR15, -SR16, or -NR17R18;
R5 is hydrogen, -OR19, -SR20, or -NR21R22;
R6 is hydrogen, -OH, optionally substituted -O-alkyl, optionally substituted -OAc, - NH2, optionally substituted -NHAc, -SH, or =0; R7, R8, R9, R10, R11, R12, R13, R14, R15, R16, R17, R18, R19, R20, R21, and R22 are each independently hydrogen, optionally substituted alkyl, optionally substituted heteroalkyl, optionally substituted cycloalkyl, optionally substituted heterocycloalkyl, optionally substituted aryl, optionally substituted heteroaryl;
Y is CH2, NH, S, or O; and
Z is optionally substituted aryl or optionally substituted heteroaryl.
In certain embodiments, R7, R8, R9, R10, R11, R12, R13, R14, R15, R16, R17, R18, R19, R20, R21, and R22 are each independently optionally substituted unsaturated or partially unsaturated alkyl. In certain embodiments, R7, R8, R9, and R10 are each independently alkenyl. In certain embodiments, R7, R8, R9, and R10 are each independently alkynyl.
In certain embodiments, R2 is OR7. In certain embodiments, R3 is OR11. In certain embodiments, R7 and R11 are each independently hydrogen, optionally substituted alkyl or optionally substituted alkenyl. In certain embodiments, one or both R7 and R11 are each independently hydrogen. In certain embodiments, one or both R7 and R11 are each independently optionally substituted alkyl. In certain embodiments, one or both R7 and R11 are each independently optionally substituted unsaturated or partially unsaturated alkyl. In certain embodiments, one or both R7 and R11 are each independently alkenyl. In certain embodiments, R7 is optionally substituted alkyl and R11 is hydrogen. In certain embodiments, R7 is hydrogen and R11 is optionally substituted alkyl. In certain embodiments, R7 is alkenyl and R11 is hydrogen. In certain embodiments, R7 is hydrogen and R11 is optionally substituted alkenyl.
In certain embodiments, the TrkB ligand of a modified oligonucleotide is selected from the following Formulae or a salt, solvate, or hydrate thereof:
Figure imgf000023_0001
Formula (II-B),
Figure imgf000024_0001
Formula (II-C), wherein:
R1 is the modified oligonucleotide;
L1, L2, L3, and L4 are as described herein.
In certain embodiments, L1, L2, L3, and L4 are each independently absent, a bond, an optionally substituted alkyl linker, an optionally substituted polyethylene glycol (PEG) linker, an optionally substituted heteroalkyl linker, or an optionally substituted heteroaryl linker.
In certain embodiments, L1 is an optionally substituted heteroaryl linker.
In certain embodiments, L1 is an optionally substituted unsaturated heteroaryl, an optionally substituted heteroaryl or an optionally substituted saturated or partially unsaturated heterocycloalkyl linker.
In certain embodiments, L1 comprises the structure:
Figure imgf000024_0002
In certain embodiments, L1 is an optionally substituted heteroalkyl linker. In certain embodiments, the optionally substituted heteroalkyl linker is an optionally substituted heteroalkyl or optionally substituted Ci-io alkyl chain in which one or more carbon atoms are replaced with O, N, or S.
In certain embodiments, L1 comprises the structure:
Figure imgf000024_0003
In certain embodiments, L1 comprises the structure:
Figure imgf000024_0004
or -N(CH3)-. In certain embodiments, L2 is an optionally substituted PEG linker.
In certain embodiments, the PEG linker is five PEG units in length. In certain embodiments, the PEG linker is four PEG units in length. In certain embodiments, the PEG linker is three PEG units in length.
In certain embodiments, L2 is an optionally substituted alkyl linker. In certain embodiments, L2 is an optionally substituted C1-20 alkyl linker. In certain embodiments, L2 is an optionally substituted Cs alkyl linker. In certain embodiments, L3 is an optionally substituted heteroaryl linker.
In certain embodiments, L3 is an optionally substituted partially unsaturated heteroaryl linker, an optionally substituted heteroaryl or an optionally substituted saturated or partially unsaturated heterocycloalkyl linker.
In certain embodiments, L3 comprises the structure:
Figure imgf000025_0001
In certain embodiments, L4 is an optionally substituted heteroalkyl linker. In certain embodiments, the heteroalkyl linker is substituted with one or more =0 substituents.
In certain embodiments, the heteroalkyl linker comprises two substituents joined together to form an optionally substituted carbocyclyl ring.
In certain embodiments, L4 comprises the structure:
Figure imgf000025_0002
salt thereof, wherein X is O or S.
In certain embodiments, L4 comprises the structure:
Figure imgf000025_0003
salt thereof, wherein
X is O or S. In certain embodiments, L1- L2-L3-L4 comprises the structure:
Figure imgf000026_0001
Figure imgf000027_0001
Figure imgf000028_0001
Figure imgf000029_0001
or a salt thereof, wherein X is O or S.
In certain embodiments, the TrkB ligand of a modified oligonucleotide is selected from the following Formulae or a salt, solvate, or hydrate thereof:
Figure imgf000029_0002
X = 0 or S
Formula (III),
Figure imgf000030_0001
Formula (VII),
Figure imgf000031_0001
Formula (X),
Figure imgf000032_0001
Formula (XIV),
Figure imgf000033_0001
Figure imgf000034_0001
Formula (XX), wherein:
R is the modified oligonucleotide;
X is S or O.
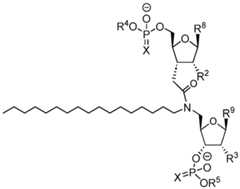
In certain embodiments, the compound of any preceding embodiment comprises a lipid. In certain embodiments, the lipid is attached to an intemucleoside linkage of the modified oligonucleotide. In certain embodiments, the modified oligonucleotide comprises one or more lipids. In certain embodiments, the one or more lipids are attached to one or more intemucleoside linkages of the modified oligonucleotide. In certain embodiments, the modified oligonucleotide is the second modified oligonucleotide or sense oligonucleotide.
In certain embodiments, the compound of any preceding embodiment comprises one or more substituted or unsubstituted alkyl or alkenyl. In certain embodiments, the substituted or unsubstituted alkyl or alkenyl is attached to an internucleoside linkage of a modified oligonucleotide. In certain embodiments, the modified oligonucleotide comprises one or more substituted or unsubstituted alkyl or alkenyl. In certain embodiments, the one or more substituted or unsubstituted alkyl or alkenyl are attached to one or more intemucleoside linkages of the modified oligonucleotide. In certain embodiments, the modified oligonucleotide is the second modified oligonucleotide or sense oligonucleotide.
In certain embodiments, the one or more substituted or unsubstituted alkyl or alkenyl comprise a saturated or unsaturated C4-C30 hydrocarbon chain. In certain embodiments, the one or more substituted or unsubstituted alkyl or alkenyl comprise a saturated or unsaturated C5-C20 hydrocarbon chain. In certain embodiments, the one or more substituted or unsubstituted alkyl or alkenyl comprise a saturated or unsaturated C14-C20 hydrocarbon chain. In certain embodiments, the one or more substituted or unsubstituted alkyl or alkenyl comprise a saturated or unsaturated Ci6 hydrocarbon chain. In certain embodiments, the one or more substituted or unsubstituted alkyl or alkenyl comprise a saturated or unsaturated C17 hydrocarbon chain. In certain embodiments, the one or more substituted or unsubstituted alkyl or alkenyl comprise a saturated or unsaturated Cis hydrocarbon chain. In certain embodiments, the one or more substituted or unsubstituted alkyl or alkenyl comprise a saturated or unsaturated C22 hydrocarbon chain.
In certain embodiments, a substituted or unsubstituted alkyl or alkenyl is attached to an internucleoside linkage of a modified oligonucleotide (e.g., a second modified oligonucleotide or sense oligonucleotide). In certain embodiments, the internucleoside linkage is between nucleosides that are within 10 positions (e.g., within 8 positions, within 6 positions, within 5 positions, within 4 positions, within 3 positions, within 2 positions) from a terminal end (e.g., the 5' and/or 3' end) of the modified oligonucleotide. In certain embodiments, the intemucleoside linkage is between nucleosides that are within 5 positions from the 5' end of the modified oligonucleotide. In certain embodiments, the internucleoside linkage is between nucleosides that are within 5 positions from the 3' end of the modified oligonucleotide.
In certain embodiments, the internucleoside linkage is between positions 1 and 2, positions 2 and 3, positions 3 and 4, positions 4 and 5, positions 5 and 6, positions 6 and 7, positions 7 and 8, positions 8 and 9, positions 9 and 10, positions 10 and 11, positions 11 and 12, positions 12 and 13, or positions 13 and 14 from the 5' end of the modified oligonucleotide. In certain embodiments, the internucleoside linkage is between positions 1 and 2, positions 2 and 3, positions 3 and 4, positions 4 and 5, positions 5 and 6, positions 6 and 7, or positions 7 and 8 from the 5' end of the modified oligonucleotide. In certain embodiments, the intemucleoside linkage is between positions 2 and 3 from the 5' end of the modified oligonucleotide. In certain embodiments, the intemucleoside linkage is between positions 1 and 2, positions 2 and 3, positions 3 and 4, positions 4 and 5, positions 5 and 6, positions 6 and 7, positions 7 and 8, positions 8 and 9, positions 9 and 10, positions 10 and 11, positions 11 and 12, positions 12 and 13, or positions 13 and 14 from the 3' end of the modified oligonucleotide. In certain embodiments, the intemucleoside linkage is between positions 1 and 2, positions 2 and 3, positions 3 and 4, positions 4 and 5, positions 5 and 6, positions 6 and 7, or positions 7 and 8 from the 3' end of the modified oligonucleotide. In certain embodiments, the intemucleoside linkage is between positions 2 and 3 from the 3' end of the modified oligonucleotide.
In certain embodiments, the intemucleoside linkage of the modified oligonucleotide is selected from any one of Formulae XXI-XXIV.
In certain embodiments, an intemucleoside linkage of the modified oligonucleotide comprises Formula (XXI), or a salt solvate, or hydrate thereof:
Figure imgf000036_0001
Formula (XXI), wherein:
Figure imgf000036_0002
Q1 and Q3 are each independently -H, -OR4, a ligand, a linker, or a lipid;
2 ,
Figure imgf000036_0003
Q2 and Q4 are each independently a bond, X , a ligand, a linker, or a lipid; Rc is independently -H, substituted or unsubstituted alkyl, substituted or unsubstituted alkenyl, substituted or unsubstituted alkynyl, substituted or unsubstituted heteroalkyl, substituted or unsubstituted aryl, or substituted or unsubstituted heteroaryl; each R2 is independently -H, halogen, substituted or unsubstituted alkyl, substituted or unsubstituted alkenyl, substituted or unsubstituted alkynyl, -OR6, -N(R6), or -SR6; each R3 is independently -H, halogen, substituted or unsubstituted alkyl, substituted or unsubstituted alkenyl, substituted or unsubstituted alkynyl, -OR7, -N(R7), or -SR7;
R4 and R5 are independently an oligonucleotide, or R4 and R5 are joined together to form a single oligonucleotide; each R6 is independently hydrogen, substituted or unsubstituted alkyl, or substituted or unsubstituted heteroalkyl; each R7 is independently hydrogen, substituted or unsubstituted alkyl, or substituted or unsubstituted heteroalkyl; each R8 is independently a substituted or unsubstituted heteroaryl; each R9 is independently a substituted or unsubstituted heteroaryl; each instance of Z1 or Z2 is independently a bond, Ci-Ce alkylene, or C2-C6 alkenylene; and each X is independently O or S; or a salt thereof.
In certain embodiments, an internucleoside linkage of the modified oligonucleotide comprises Formula (XXII), or a salt solvate, or hydrate thereof:
Figure imgf000038_0001
Formula (XXII), wherein:
Rc is -H, substituted or unsubstituted alkyl, substituted or unsubstituted alkenyl, substituted or unsubstituted alkynyl, substituted or unsubstituted heteroalkyl, substituted or unsubstituted aryl, or substituted or unsubstituted heteroaryl; each R2 is independently -H, halogen, substituted or unsubstituted alkyl, substituted or unsubstituted alkenyl, substituted or unsubstituted alkynyl, -OR6, -N(R6), or -SR6; each R3 is independently -H, halogen, substituted or unsubstituted alkyl, substituted or unsubstituted alkenyl, substituted or unsubstituted alkynyl, -OR7, -N(R7), or -SR7;
R4 and R5 are independently an oligonucleotide, or R4 and R5 are joined together to form a single oligonucleotide; each R6 is independently hydrogen, substituted or unsubstituted alkyl, or substituted or unsubstituted heteroalkyl; each R7 is independently hydrogen, substituted or unsubstituted alkyl, or substituted or unsubstituted heteroalkyl; each R8 is independently a substituted or unsubstituted heteroaryl ring; each R9 is independently a substituted or unsubstituted heteroaryl ring; and each X is independently O or S; or a salt or prodrug thereof. In certain embodiments, an internucleoside linkage of the modified oligonucleotide comprises Formula (XXIII), or a salt solvate, or hydrate thereof:
Figure imgf000039_0001
Formula (XXIII), wherein: each R2 is independently -H, halogen, substituted or unsubstituted alkyl, substituted or unsubstituted alkenyl, substituted or unsubstituted alkynyl, -OR6, -N(R6), or -SR6; each R3 is independently -H, halogen, substituted or unsubstituted alkyl, substituted or unsubstituted alkenyl, substituted or unsubstituted alkynyl, -OR7, -N(R7), or -SR7; R4 and R5 are independently an oligonucleotide, or R4 and R5 are joined together to form a single oligonucleotide; each R6 is independently hydrogen, substituted or unsubstituted alkyl, or substituted or unsubstituted heteroalkyl; each R7 is independently hydrogen, substituted or unsubstituted alkyl, or substituted or unsubstituted heteroalkyl; each R8 is independently a substituted or unsubstituted heteroaryl ring; each R9 is independently a substituted or unsubstituted heteroaryl ring; and each X is independently O or S; or a salt or prodrug thereof. In certain embodiments, an internucleoside linkage of the modified oligonucleotide comprises Formula (XXIV), or a salt solvate, or hydrate thereof:
Figure imgf000040_0001
Formula (XXIV), wherein:
R4 and R5 are independently an oligonucleotide, or R4 and R5 are joined together to form a single oligonucleotide; and each X is independently O or S.
In certain embodiments, the compound of any preceding embodiment comprises a 5'- phosphonate modification. For example, in certain embodiments, a modified oligonucleotide comprises one or more sugars having a phosphonate modification at the 5' position. In certain embodiments, the modified oligonucleotide comprises a 5 '-phosphonate modification. In certain embodiments, the modified oligonucleotide comprises a 5 '-terminal nucleoside (e.g., 5' terminus) comprising the 5 '-phosphonate modification. In certain embodiments, the 5 '-phosphonate modification is a 5'-vinylphosphonate modification or a 5'- ethylenephosphonate modification. In certain embodiments, the 5 '-phosphonate modification is a 5'-vinylphosphonate modification. In certain embodiments, the 5 '-phosphonate modification is a 5'-ethylenephosphonate modification. In certain embodiments, the modified oligonucleotide is the first modified oligonucleotide or antisense oligonucleotide.
Certain embodiments provide a compound comprising: a first modified oligonucleotide comprising a 5 '-phosphonate modification, where the first modified oligonucleotide is at least 80% complementary to a region of SEQ ID NO: 1 or 2; and a second modified oligonucleotide comprising one or more ligands.
In some embodiments, the first modified oligonucleotide comprises a 5 '-terminal nucleoside comprising the 5 '-phosphonate modification. In some embodiments, the 5'- phosphonate modification is a 5'-vinylphosphonate modification or a 5'-ethylenephosphonate modification. In some embodiments, the 5 '-phosphonate modification is a 5'- vinylphosphonate modification. In some embodiments, the 5 '-phosphonate modification is a 5 '-ethylenephosphonate modification.
In some embodiments, the one or more ligands of the second modified oligonucleotide comprise one or more TrkB ligands. In some embodiments, the one or more TrkB ligands are attached to the 5’ end of the second modified oligonucleotide. In some embodiments, the one or more TrkB ligands are attached to the 3’ end of the second modified oligonucleotide. In some embodiments, the one or more TrkB ligands are attached to the 5’ end and the 3’ end of the second modified oligonucleotide. In some embodiments, the one or more TrkB ligands are selected from any one of Formulae I-XX. In some embodiments, the second modified oligonucleotide comprises one TrkB ligand. In some embodiments, the second modified oligonucleotide comprises two TrkB ligands. In some embodiments, the second modified oligonucleotide comprises at least two TrkB ligands. In some embodiments, the at least two TrkB ligands are the same. In some embodiments, the at least two TrkB ligands are different.
In some embodiments, the second modified oligonucleotide comprises one or more lipids. In some embodiments, the second modified oligonucleotide comprises one or more substituted or unsubstituted alkyl or alkenyl. In some embodiments, the one or more substituted or unsubstituted alkyl or alkenyl comprise a saturated or unsaturated C4-C30 hydrocarbon chain. In some embodiments, the one or more substituted or unsubstituted alkyl or alkenyl comprise a saturated or unsaturated C5-C20 hydrocarbon chain. In some embodiments, the one or more substituted or unsubstituted alkyl or alkenyl comprise a saturated or unsaturated C14-C20 hydrocarbon chain. In some embodiments, the one or more substituted or unsubstituted alkyl or alkenyl comprise a saturated or unsaturated Ci6 hydrocarbon chain, a saturated or unsaturated C17 hydrocarbon chain, a saturated or unsaturated Cis hydrocarbon chain, or a saturated or unsaturated C22 hydrocarbon chain. In some embodiments, the one or more substituted or unsubstituted alkyl or alkenyl are attached to an internucleoside linkage of the second modified oligonucleotide. In certain embodiments, the intemucleoside linkage is between nucleosides that are within 10 positions (e.g., within 8 positions, within 6 positions, within 5 positions, within 4 positions, within 3 positions, within 2 positions) from a terminal end (e.g., the 5' and/or 3' end) of the second modified oligonucleotide. In certain embodiments, the intemucleoside linkage is between nucleosides that are within 5 positions from the 5' end of the second modified oligonucleotide. In certain embodiments, the internucleoside linkage is between nucleosides that are within 5 positions from the 3' end of the second modified oligonucleotide.
In certain embodiments, the internucleoside linkage is between positions 1 and 2, positions 2 and 3, positions 3 and 4, positions 4 and 5, positions 5 and 6, positions 6 and 7, positions 7 and 8, positions 8 and 9, positions 9 and 10, positions 10 and 11, positions 11 and 12, positions 12 and 13, or positions 13 and 14 from the 5' end of the second modified oligonucleotide. In certain embodiments, the internucleoside linkage is between positions 1 and 2, positions 2 and 3, positions 3 and 4, positions 4 and 5, positions 5 and 6, positions 6 and 7, or positions 7 and 8 from the 5' end of the second modified oligonucleotide. In certain embodiments, the intemucleoside linkage is between positions 2 and 3 from the 5' end of the second modified oligonucleotide. In certain embodiments, the intemucleoside linkage is between positions 1 and 2, positions 2 and 3, positions 3 and 4, positions 4 and 5, positions 5 and 6, positions 6 and 7, positions 7 and 8, positions 8 and 9, positions 9 and 10, positions 10 and 11, positions 11 and 12, positions 12 and 13, or positions 13 and 14 from the 3' end of the second modified oligonucleotide. In certain embodiments, the intemucleoside linkage is between positions 1 and 2, positions 2 and 3, positions 3 and 4, positions 4 and 5, positions 5 and 6, positions 6 and 7, or positions 7 and 8 from the 3' end of the second modified oligonucleotide. In certain embodiments, the intemucleoside linkage is between positions 2 and 3 from the 3' end of the second modified oligonucleotide.
In some embodiments, the intemucleoside linkage of the second modified oligonucleotide is selected from any one of Formulae XXI-XXIV.
In some embodiments, the first modified oligonucleotide is 14 to 30 linked nucleosides in length. In some embodiments, the second modified oligonucleotide is 14 to 30 linked nucleosides in length having a region of complementarity to the first modified oligonucleotide. In some embodiments, the first modified oligonucleotide has a nucleobase sequence comprising at least 14 contiguous nucleobases of any one of SEQ ID NOs: 11-44 and 83-89. In some embodiments, the second modified oligonucleotide has a nucleobase sequence comprising at least 14 contiguous nucleobases of any one of SEQ ID NOs: 45-82 and 90-96. In some embodiments, the first modified oligonucleotide is selected from any one of the IA Ref ID NOs in Table 3. In some embodiments, the second modified oligonucleotide is selected from any one of the IS Ref ID NOs in Table 3.
Certain embodiments provide a compound comprising a first modified oligonucleotide selected from the group consisting of any one of Ref ID NOs listed in Table 3 and a second modified oligonucleotide 14 to 21 linked nucleosides in length fully complementary to the first modified oligonucleotide.
Certain embodiments provide a compound comprising a first modified oligonucleotide selected from the group consisting of any one of the IA Ref ID NOs listed in Table 3 and a second modified oligonucleotide selected from the group consisting of any one of the IS Ref ID NOs listed in Table 3.
In certain embodiments, the pharmaceutically acceptable salt of the modified oligonucleotides provided herein is a sodium salt or a potassium salt. In certain embodiments, the pharmaceutically acceptable salt of the compounds provided herein is a sodium salt or a potassium salt.
In certain embodiments, provided herein is a population of modified oligonucleotides, wherein all of the phosphorothioate intemucleoside linkages of the modified oligonucleotide are stereorandom. In certain embodiments, provided herein is a population of compounds, wherein all of the phosphorothioate intemucleoside linkages of the modified oligonucleotide are stereorandom.
In certain embodiments, the compound of any foregoing embodiment is in a pharmaceutically acceptable salt form. In certain embodiments, the pharmaceutically acceptable salt is a sodium salt. In certain embodiments, the pharmaceutically acceptable salt is a potassium salt.
Certain embodiments provide a composition comprising the compound of any one of the foregoing embodiments and a pharmaceutically acceptable carrier. Certain embodiments provide a composition comprising a compound of any preceding embodiment, for use in therapy.
Certain embodiments provide a method of treating, preventing, or ameliorating a disease, disorder or condition associated with LRRK2 in an individual comprising administering to the individual a compound targeted to LRRK2, thereby treating, preventing, or ameliorating the disease.
In certain embodiments, the compound or composition of any foregoing embodiment is administered to an individual. In certain embodiments, the disease, disorder or condition is a CNS related disease, disorder or condition or a symptom thereof or a neurodegenerative disease or a symptom thereof, including Parkinson’s Disease or cognitive impairment or a symptom thereof such as loss of motor function, aggregate formation, and neuron death.
In certain embodiments, administering the compound inhibits or reduces or improves a CNS related disease, disorder or condition or a symptom thereof or a neurodegenerative disease or a symptom thereof, including Parkinson’s Disease or cognitive impairment or a symptom thereof such as loss of motor function, aggregate formation, and neuron death.
In certain embodiments, a compound or composition comprising a compound of any preceding embodiment is administered to an individual in a therapeutically effective amount. In certain embodiments, a compound or composition comprising a compound of any preceding embodiment is administered to an individual at a dosage level sufficient to deliver about 1 to 100 mg/kg of body weight of the individual. In certain embodiments, a compound or composition comprising a compound of any preceding embodiment is administered to an individual at a fixed dose of about 25 mg to about 1,000 mg. In certain embodiments, the compound or composition is administered to the individual one or more times in a day up to the dosage level or fixed dose.
In certain embodiments, a compound or composition comprising a compound of any preceding embodiment is administered to an individual daily, weekly, monthly, quarterly or yearly. In certain embodiments, a compound or composition comprising a compound of any preceding embodiment is administered to an individual about once per quarter (i.e., once every three months) to about once per year. In certain embodiments, a compound or composition comprising a compound of any preceding embodiment is administered to an individual about once per quarter, about once every six months or about once per year. Certain embodiments provide a method of inhibiting expression of LRRK2 in a cell comprising contacting the cell with a compound targeted to LRRK2, thereby inhibiting expression of LRRK2 in the cell. In certain embodiments, the cell is in the liver of an individual. In certain embodiments, the individual has, or is at risk of having, a CNS related disease, disorder or condition or a symptom thereof or a neurodegenerative disease or a symptom thereof, including Parkinson’s Disease or cognitive impairment or a symptom thereof such as loss of motor function, aggregate formation, and neuron death.
Certain embodiments provide a method of reducing or inhibiting a CNS related disease, disorder or condition or a symptom thereof or a neurodegenerative disease or a symptom thereof, including Parkinson’s Disease or cognitive impairment or a symptom thereof such as loss of motor function, aggregate formation, and neuron death in an individual, comprising administering a compound targeted to LRRK2 to the individual, thereby reducing or inhibiting a CNS related disease, disorder or condition or a symptom thereof or a neurodegenerative disease or a symptom thereof, including Parkinson’s Disease or cognitive impairment or a symptom thereof such as loss of motor function, aggregate formation, and neuron death in the individual. In certain embodiments, the individual has, or is at risk of having, a CNS related disease, disorder or condition or a symptom thereof or a neurodegenerative disease or a symptom thereof, including Parkinson’s Disease or cognitive impairment or a symptom thereof such as loss of motor function, aggregate formation, and neuron death. In certain embodiments, the compound is a compound targeted to LRRK2. In certain embodiments, the compound is any of the foregoing compounds. In certain embodiments, the compound or composition is administered parenterally. In certain embodiments, the compound or composition is administered by intrathecal (IT) administration.
Certain embodiments provide use of a compound targeted to LRRK2 for treating, preventing, or ameliorating a disease, disorder or condition associated with LRRK2. In certain embodiments, the disease, disorder or condition is a CNS related disease, disorder or condition or a symptom thereof or a neurodegenerative disease or a symptom thereof, including Parkinson’s Disease or cognitive impairment or a symptom thereof such as loss of motor function, aggregate formation, and neuron death. In certain embodiments, the compound is a compound targeted to LRRK2. In certain embodiments, the compound is any of the foregoing compounds. Certain embodiments provide use of a compound targeted to LRRK2 in the manufacture of a medicament for treating, preventing, or ameliorating a disease, disorder or condition associated with LRRK2. In certain embodiments, the disease, disorder or condition is a CNS related disease, disorder or condition or a symptom thereof or a neurodegenerative disease or a symptom thereof, including Parkinson’s Disease or cognitive impairment or a symptom thereof such as loss of motor function, aggregate formation, and neuron death. In certain embodiments, the compound is a compound targeted to LRRK2. In certain embodiments, the compound is any of the foregoing compounds.
Certain Indications
In certain aspects, the disclosure relates to methods of inhibiting LRRK2 expression, which can be useful for treating, preventing, or ameliorating a disease associated with LRRK2 in an individual, by administration of a compound that targets LRRK2. In certain embodiments, the compound can be a LRRK2 specific inhibitor. In certain embodiments, the compound can be an antisense oligonucleotide, an oligomeric compound, or an oligonucleotide targeted to LRRK2.
In certain aspects, the disclosure relates to treating, preventing, or ameliorating a disease, disorder or condition associated with LRRK2. In certain embodiments, diseases, disorders or conditions associated with LRRK2 treatable, preventable, and/or ameliorable with the methods provided herein include a CNS related disease, disorder or condition or a symptom thereof or a neurodegenerative disease or a symptom thereof, including Parkinson’s Disease or cognitive impairment or a symptom thereof such as loss of motor function, aggregate formation, and neuron death. Certain compounds provided herein are directed to compounds and compositions that reduce a CNS related disease, disorder or condition or a symptom thereof or a neurodegenerative disease or a symptom thereof, including Parkinson’s Disease or cognitive impairment or a symptom thereof such as loss of motor function, aggregate formation, and neuron death in an animal.
In certain embodiments, a method of treating, preventing, or ameliorating a disease associated with LRRK2 in an individual comprises administering to the individual a compound comprising a LRRK2 specific inhibitor, thereby treating, preventing, or ameliorating the disease. In certain embodiments, the individual is identified as having, or at risk of having, a disease associated with LRRK2. In certain embodiments, the disease is a CNS related disease. In certain embodiments, the compound comprises an antisense oligonucleotide targeted to LRRK2. In certain embodiments, the compound comprises an oligonucleotide targeted to LRRK2. In certain embodiments, a compound comprises a modified oligonucleotide (e.g., of 14 to 30, for example, 14 to 23, linked nucleosides) in length having a nucleobase sequence comprising at least 14, at least 15, at least 16, at least 17, at least 18, at least 19, at least 20, at least 21, at least 22, at least 23 contiguous nucleobases of any of the nucleobase sequence of SEQ ID NOs: 11-44 and 83-89. In certain embodiments, a compound comprises a modified oligonucleotide (e.g., of 14 to 30, for example, 14 to 23, linked nucleosides in length) and having a nucleobase sequence comprising the nucleobase sequence of any one of SEQ ID NOs: 11-44 and 83-89. In certain embodiments, a compound comprises a modified oligonucleotide selected from the group consisting of the nucleobase sequence of any one of SEQ ID NOs: 11-44 and 83-89. In certain embodiments, a compound comprises a modified oligonucleotide (e.g., of 14 to 30, for example, 14 to 23, linked nucleosides in length) having a nucleobase sequence comprising at least 14, at least 15, at least 16, at least 17, at least 18, at least 19, at least 20, at least 21, at least 22, at least 23 contiguous nucleobases of any of the nucleobase sequences of SEQ ID NOs: 11-44 and 83-89. In certain embodiments, a compound comprises a modified oligonucleotide (e.g., of 14 to 30, for example, 14 to 23, linked nucleosides in length) having a nucleobase sequence comprising at least 14, at least 15, at least 16, at least 17, at least 18, at least 19, at least 20, at least 21, at least 22, at least 23 contiguous nucleobases of any of the nucleobase sequence of SEQ ID NOs: 45-82 and 90-96. In certain embodiments, a compound comprises a modified oligonucleotide selected from the group consisting of the nucleobase sequence of SEQ ID NOs: 11-44 and 83-89. In certain embodiments, a compound comprises a modified oligonucleotide selected from the group consisting of the nucleobase sequence of SEQ ID NOs: 45-82 and 90-96. In certain embodiments, the compound comprises a first modified oligonucleotide having a nucleobase sequence selected from the group consisting of the nucleobase sequence of SEQ ID NOs: 11-44 and 83-89, and a second modified oligonucleotide having a nucleobase sequence selected from the group consisting of the nucleobase sequence of SEQ ID NOs: 45-82 and 90-96. In any of the foregoing embodiments, the compound can be single-stranded or double-stranded. In certain embodiments, a single- stranded compound can be 14 to 30, 14 to 23, 14 to 20, 16 to 20, or 14 to 16, linked nucleosides in length. In certain embodiments, a single-stranded compound can be 14, 15, 16, 17, 18, 19, 20, 21, 22, 23, 24, 25, 26, 27, 28, 29, or 30, linked nucleosides in length. In certain embodiments, a double- stranded compound can comprise two oligonucleotides of the same or different lengths, as described elsewhere herein. In any of the foregoing embodiments, the compound can be an antisense oligonucleotide or oligomeric compound. In certain embodiments, a compound comprises a first modified oligonucleotide (e.g., of 14 to 30, for example, 14 to 23, linked nucleosides in length) having a nucleobase sequence comprising at least 14, at least 15, at least 16, at least 17, at least 18, at least 19, at least 20, at least 21, at least 22, at least 23 contiguous nucleobases of any of the nucleobase sequence of SEQ ID NOs: 11-44 and 83-89 or SEQ ID NOs: 45-82 and 90-96, and a second modified oligonucleotide (e.g., of 14 to 30, for example, 14 to 23, linked nucleosides in length) having a region of complementarity to the first modified oligonucleotide. In certain embodiments, a compound comprises a first modified oligonucleotide (e.g., of 14 to 30, for example, 14 to 23, linked nucleosides in length) having a nucleobase sequence comprising the nucleobase sequence of any one of SEQ ID NOs: 11-44 and 83-89 or SEQ ID NOs: 45-82 and 90-96, and a second modified oligonucleotide (e.g., of 14 to 30, for example, 14 to 23, linked nucleosides in length) having a region of complementarity to the first modified oligonucleotide. In certain embodiments, a compound comprises a first modified oligonucleotide having a nucleobase sequence selected from the group consisting of any one of SEQ ID NOs: 11-44 and 83-89 or SEQ ID NOs: 45-82 and 90-96, and a second modified oligonucleotide 19 to 23 linked nucleosides in length having a region of complementarity to the first modified oligonucleotide. In certain embodiments, the compound is administered to the individual parenterally. In certain embodiments, the compound is administered to the individual by intrathecal (IT) administration. In certain embodiments, administering the compound improves, preserves, or prevents a CNS related disease, disorder or condition or a symptom thereof or a neurodegenerative disease or a symptom thereof, including Parkinson’s Disease or cognitive impairment or a symptom thereof such as loss of motor function, aggregate formation, and neuron death in an animal.
In certain embodiments, a method of treating, preventing, or ameliorating a CNS related disease, disorder or condition or a symptom thereof or a neurodegenerative disease or a symptom thereof, including Parkinson’s Disease or cognitive impairment or a symptom thereof such as loss of motor function, aggregate formation, and neuron death in an animal comprises administering to the individual a compound comprising a LRRK2 specific inhibitor, thereby treating, preventing, or ameliorating a CNS related disease, disorder or condition or a symptom thereof or a neurodegenerative disease or a symptom thereof, including Parkinson’s Disease or cognitive impairment or a symptom thereof such as loss of motor function, aggregate formation, and neuron death. In certain embodiments, the compound comprises an antisense oligonucleotide targeted to LRRK2. In certain embodiments, the compound comprises an oligonucleotide targeted to LRRK2. In certain embodiments, a compound comprises a modified oligonucleotide (e.g., of 14 to 30, for example, 14 to 23, linked nucleosides in length) having a nucleobase sequence comprising at least 14, at least 15, at least 16, at least 17, at least 18, at least 19, at least 20, at least 21, at least 22, at least 23 contiguous nucleobases of any of the nucleobase sequence of SEQ ID NOs: 11-44 and 83-89. In certain embodiments, a compound comprises a modified oligonucleotide (e.g., of 14 to 30, for example, 14 to 23, linked nucleosides in length) and having a nucleobase sequence comprising the nucleobase sequence of any one of SEQ ID NOs: 11-44 and 83-89. In certain embodiments, a compound comprises a modified oligonucleotide selected from the group consisting of the nucleobase sequence of any one of SEQ ID NOs: 11-44 and 83-89. In certain embodiments, a compound comprises a modified oligonucleotide (e.g., of 14 to 30, for example, 14 to 23, linked nucleosides in length) having a nucleobase sequence comprising at least 14, at least 15, at least 16, at least 17, at least 18, at least 19, at least 20, at least 21, at least 22, at least 23 contiguous nucleobases of any of the nucleobase sequences of SEQ ID NOs: 11-44 and 83-89. In certain embodiments, a compound comprises a modified oligonucleotide (e.g., of 14 to 30, for example, 14 to 23, linked nucleosides in length) having a nucleobase sequence comprising at least 14, at least 15, at least 16, at least 17, at least 18, at least 19, at least 20, at least 21, at least 22, at least 23 contiguous nucleobases of any of the nucleobase sequence of SEQ ID NOs: 45-82 and 90-96. In certain embodiments, a compound comprises a modified oligonucleotide selected from the group consisting of the nucleobase sequence of SEQ ID NOs: 11-44 and 83-89. In certain embodiments, a compound comprises a modified oligonucleotide selected from the group consisting of the nucleobase sequence of SEQ ID NOs: 45-82 and 90-96. In certain embodiments, the compound comprises a first modified oligonucleotide having a nucleobase sequence selected from the group consisting of the nucleobase sequence of SEQ ID NOs: 11- 44 and 83-89, and a second modified oligonucleotide having a nucleobase sequence selected from the group consisting of the nucleobase sequence of SEQ ID NOs: 45-82 and 90-96. In any of the foregoing embodiments, the compound can be single- stranded or double- stranded. In any of the foregoing embodiments, the compound can be an antisense oligonucleotide or oligomeric compound. In certain embodiments, a compound comprises a first modified oligonucleotide (e.g., of 14 to 30, for example, 14 to 23, linked nucleosides in length) having a nucleobase sequence comprising at least 14, at least 15, at least 16, at least 17, at least 18, at least 19, at least 20, at least 21, at least 22, at least 23 contiguous nucleobases of any of the nucleobase sequence of SEQ ID NOs: 11-44 and 83-89 or SEQ ID NOs: 45-82 and 90-96, and a second modified oligonucleotide (e.g., of 14 to 30, for example, 14 to 23, linked nucleosides in length) having a region of complementarity to the first modified oligonucleotide. In certain embodiments, a compound comprises a first modified oligonucleotide (e.g., of 14 to 30, for example, 14 to 23, linked nucleosides in length) having a nucleobase sequence comprising the nucleobase sequence of any one of SEQ ID NOs: 11- 44 and 83-89 or SEQ ID NOs: 45-82 and 90-96, and a second modified oligonucleotide (e.g., of 14 to 30, for example, 14 to 23, linked nucleosides in length) having a region of complementarity to the first modified oligonucleotide. In certain embodiments, a compound comprises a first modified oligonucleotide having a nucleobase sequence selected from the group consisting of any one of SEQ ID NOs: 11-44 and 83-89 or SEQ ID NOs: 45-82 and 90- 96, and a second modified oligonucleotide 19 to 23 linked nucleosides in length having a region of complementarity to the first modified oligonucleotide. In certain embodiments, administering the compound improves, preserves, or prevents a CNS related disease, disorder or condition or a symptom thereof or a neurodegenerative disease or a symptom thereof, including Parkinson’s Disease or cognitive impairment or a symptom thereof such as loss of motor function, aggregate formation, and neuron death in an animal. In certain embodiments, the individual is identified as having, or at risk of having, a disease associated with LRRK2.
In certain embodiments, a method of inhibiting expression of LRRK2 in an individual having, or at risk of having, a disease associated with LRRK2 comprises administering to the individual a compound comprising a LRRK2 specific inhibitor, thereby inhibiting expression of LRRK2 in the individual. In certain embodiments, administering the compound inhibits expression of LRRK2 in the liver. In certain embodiments, the disease is a CNS related disease. In certain embodiments, the individual has, or is at risk of having, a CNS related disease, disorder or condition or a symptom thereof or a neurodegenerative disease or a symptom thereof, including Parkinson’s Disease or cognitive impairment or a symptom thereof such as loss of motor function, aggregate formation, and neuron death. In certain embodiments, the compound comprises an antisense oligonucleotide targeted to LRRK2. In certain embodiments, the compound comprises an oligonucleotide targeted to LRRK2. In certain embodiments, a compound comprises a modified oligonucleotide (e.g., of 14 to 30, for example, 14 to 23, linked nucleosides in length) having a nucleobase sequence comprising at least 14, at least 15, at least 16, at least 17, at least 18, at least 19, at least 20, at least 21, at least 22, at least 23 contiguous nucleobases of any of the nucleobase sequence of SEQ ID NOs: 11-44 and 83-89. In certain embodiments, a compound comprises a modified oligonucleotide (e.g., of 14 to 30, for example, 14 to 23, linked nucleosides in length) and having a nucleobase sequence comprising the nucleobase sequence of any one of SEQ ID NOs: 11-44 and 83-89. In certain embodiments, a compound comprises a modified oligonucleotide selected from the group consisting of the nucleobase sequence of any one of SEQ ID NOs: 11-44 and 83-89. In certain embodiments, a compound comprises a modified oligonucleotide (e.g., of 14 to 30, for example, 14 to 23, linked nucleosides in length) having a nucleobase sequence comprising at least 14, at least 15, at least 16, at least 17, at least 18, at least 19, at least 20, at least 21, at least 22, at least 23 contiguous nucleobases of any of the nucleobase sequences of SEQ ID NOs: 11-44 and 83-89. In certain embodiments, a compound comprises a modified oligonucleotide (e.g., of 14 to 30, for example, 14 to 23, linked nucleosides in length) having a nucleobase sequence comprising at least 14, at least 15, at least 16, at least 17, at least 18, at least 19, at least 20, at least 21, at least 22, at least 23 contiguous nucleobases of any of the nucleobase sequence of SEQ ID NOs: 45-82 and 90-96. In certain embodiments, a compound comprises a modified oligonucleotide selected from the group consisting of the nucleobase sequence of SEQ ID NOs: 11-44 and 83-89. In certain embodiments, a compound comprises a modified oligonucleotide selected from the group consisting of the nucleobase sequence of SEQ ID NOs: 45-82 and 90-96. In certain embodiments, the compound comprises a first modified oligonucleotide having a nucleobase sequence selected from the group consisting of the nucleobase sequence of SEQ ID NOs: 11- 44 and 83-89, and a second modified oligonucleotide having a nucleobase sequence selected from the group consisting of the nucleobase sequence of SEQ ID NOs: 45-82 and 90-96. In any of the foregoing embodiments, the compound can be single- stranded or double- stranded. In any of the foregoing embodiments, the compound can be an antisense oligonucleotide or oligomeric compound. In certain embodiments, a compound comprises a first modified oligonucleotide (e.g., of 14 to 30, for example, 14 to 23, linked nucleosides in length) having a nucleobase sequence comprising at least 14, at least 15, at least 16, at least 17, at least 18, at least 19, at least 20, at least 21, at least 22, at least 23 contiguous nucleobases of any of the nucleobase sequence of SEQ ID NOs: 11-44 and 83-89 or SEQ ID NOs: 45-82 and 90-96, and a second modified oligonucleotide (e.g., of 14 to 30, for example, 14 to 23, linked nucleosides in length) having a region of complementarity to the first modified oligonucleotide. In certain embodiments, a compound comprises a first modified oligonucleotide (e.g., of 14 to 30, for example, 14 to 23, linked nucleosides in length) having a nucleobase sequence comprising the nucleobase sequence of any one of SEQ ID NOs: 11- 44 and 83-89 or SEQ ID NOs: 45-82 and 90-96, and a second modified oligonucleotide (e.g., of 14 to 30, for example, 14 to 23, linked nucleosides in length) having a region of complementarity to the first modified oligonucleotide. In certain embodiments, a compound comprises a first modified oligonucleotide having a nucleobase sequence selected from the group consisting of any one of SEQ ID NOs: 11-44 and 83-89 or SEQ ID NOs: 45-82 and 90- 96, and a second modified oligonucleotide 19 to 23 linked nucleosides in length having a region of complementarity to the first modified oligonucleotide. In certain embodiments, the compound is administered to the individual parenterally. In certain embodiments, the compound is administered to the individual by intrathecal (IT) administration. In certain embodiments, administering the compound improves, preserves, or prevents a CNS related disease, disorder or condition or a symptom thereof, a neurodegenerative disease or a symptom thereof, including Parkinson’s Disease or cognitive impairment or a symptom thereof such as loss of motor function, aggregate formation, and neuron death.
In certain embodiments, a method of inhibiting expression of LRRK2 in a cell comprises contacting the cell with a compound comprising a LRRK2 specific inhibitor, thereby inhibiting expression of LRRK2 in the cell. In certain embodiments, the cell is a hepatocyte. In certain embodiments, the cell is in the liver. In certain embodiments, the cell is in the liver of an individual who has, or is at risk of having, a CNS related disease, disorder or condition or a symptom thereof or a neurodegenerative disease or a symptom thereof, including Parkinson’s Disease or cognitive impairment or a symptom thereof such as loss of motor function, aggregate formation, and neuron death. In certain embodiments, the compound comprises an antisense oligonucleotide targeted to LRRK2. In certain embodiments, the compound comprises an oligonucleotide targeted to LRRK2. In certain embodiments, a compound comprises a modified oligonucleotide (e.g., of 14 to 30, for example, 14 to 23, linked nucleosides in length) having a nucleobase sequence comprising at least 14, at least 15, at least 16, at least 17, at least 18, at least 19, at least 20, at least 21, at least 22, at least 23 contiguous nucleobases of any of the nucleobase sequence of SEQ ID NOs: 11-44 and 83-89. In certain embodiments, a compound comprises a modified oligonucleotide (e.g., of 14 to 30, for example, 14 to 23, linked nucleosides in length) and having a nucleobase sequence comprising the nucleobase sequence of any one of SEQ ID NOs: 11-44 and 83-89. In certain embodiments, a compound comprises a modified oligonucleotide selected from the group consisting of the nucleobase sequence of any one of SEQ ID NOs: 11-44 and 83-89. In certain embodiments, a compound comprises a modified oligonucleotide (e.g., of 14 to 30, for example, 14 to 23, linked nucleosides in length) having a nucleobase sequence comprising at least 14, at least 15, at least 16, at least 17, at least 18, at least 19, at least 20, at least 21, at least 22, at least 23 contiguous nucleobases of any of the nucleobase sequences of SEQ ID NOs: 11-44 and 83-89. In certain embodiments, a compound comprises a modified oligonucleotide (e.g., of 14 to 30, for example, 14 to 23, linked nucleosides in length) having a nucleobase sequence comprising at least 14, at least 15, at least 16, at least 17, at least 18, at least 19, at least 20, at least 21, at least 22, at least 23 contiguous nucleobases of any of the nucleobase sequence of SEQ ID NOs: 45-82 and 90-96. In certain embodiments, a compound comprises a modified oligonucleotide selected from the group consisting of the nucleobase sequence of SEQ ID NOs: 11-44 and 83-89. In certain embodiments, a compound comprises a modified oligonucleotide selected from the group consisting of the nucleobase sequence of SEQ ID NOs: 45-82 and 90-96. In certain embodiments, the compound comprises a first modified oligonucleotide having a nucleobase sequence selected from the group consisting of the nucleobase sequence of SEQ ID NOs: 11- 44 and 83-89, and a second modified oligonucleotide having a nucleobase sequence selected from the group consisting of the nucleobase sequence of SEQ ID NOs: 45-82 and 90-96. In any of the foregoing embodiments, the compound can be single- stranded or double- stranded. In any of the foregoing embodiments, the compound can be an antisense oligonucleotide or oligomeric compound. In certain embodiments, a compound comprises a first modified oligonucleotide (e.g., of 14 to 30, for example, 14 to 23, linked nucleosides in length) having a nucleobase sequence comprising at least 14, at least 15, at least 16, at least 17, at least 18, at least 19, at least 20, at least 21, at least 22, at least 23 contiguous nucleobases of any of the nucleobase sequence of SEQ ID NOs: 11-44 and 83-89 or SEQ ID NOs: 45-82 and 90-96, and a second modified oligonucleotide (e.g., of 14 to 30, for example, 14 to 23, linked nucleosides in length) having a region of complementarity to the first modified oligonucleotide. In certain embodiments, a compound comprises a first modified oligonucleotide (e.g., of 14 to 30, for example, 14 to 23, linked nucleosides in length) having a nucleobase sequence comprising the nucleobase sequence of any one of SEQ ID NOs: 11- 44 and 83-89 or SEQ ID NOs: 45-82 and 90-96, and a second modified oligonucleotide (e.g., of 14 to 30, for example, 14 to 23, linked nucleosides in length) having a region of complementarity to the first modified oligonucleotide. In certain embodiments, a compound comprises a first modified oligonucleotide having a nucleobase sequence selected from the group consisting of any one of SEQ ID NOs: 11-44 and 83-89 or SEQ ID NOs: 45-82 and 90- 96, and a second modified oligonucleotide 19 to 23 linked nucleosides in length having a region of complementarity to the first modified oligonucleotide.
In certain embodiments, a method of reducing or inhibiting a CNS related disease, disorder or condition or a symptom thereof or a neurodegenerative disease or a symptom thereof, including Parkinson’s Disease or cognitive impairment or a symptom thereof such as loss of motor function, aggregate formation, and neuron death in an individual having, or at risk of having, a disease associated with LRRK2 comprises administering to the individual a compound comprising a LRRK2 specific inhibitor, thereby reducing or inhibiting a CNS related disease, disorder or condition or a symptom thereof or a neurodegenerative disease or a symptom thereof, including Parkinson’s Disease or cognitive impairment or a symptom thereof such as loss of motor function, aggregate formation, and neuron death in the individual. In certain embodiments, the individual has, or is at risk of having, a CNS related disease, disorder or condition or a symptom thereof or a neurodegenerative disease or a symptom thereof, including Parkinson’s Disease or cognitive impairment or a symptom thereof such as loss of motor function, aggregate formation, and neuron death. In certain embodiments, the compound comprises an antisense oligonucleotide targeted to LRRK2. In certain embodiments, the compound comprises an oligonucleotide targeted to LRRK2. In certain embodiments, a compound comprises a modified oligonucleotide (e.g., of 14 to 30, for example, 14 to 23, linked nucleosides in length) having a nucleobase sequence comprising at least 14, at least 15, at least 16, at least 17, at least 18, at least 19, at least 20, at least 21, at least 22, at least 23 contiguous nucleobases of any of the nucleobase sequence of SEQ ID NOs: 11-44 and 83-89. In certain embodiments, a compound comprises a modified oligonucleotide (e.g., of 14 to 30, for example, 14 to 23, linked nucleosides in length) and having a nucleobase sequence comprising the nucleobase sequence of any one of SEQ ID NOs: 11-44 and 83-89. In certain embodiments, a compound comprises a modified oligonucleotide selected from the group consisting of the nucleobase sequence of any one of SEQ ID NOs: 11-44 and 83-89. In certain embodiments, a compound comprises a modified oligonucleotide (e.g., of 14 to 30, for example, 14 to 23, linked nucleosides in length) having a nucleobase sequence comprising at least 14, at least 15, at least 16, at least 17, at least 18, at least 19, at least 20, at least 21, at least 22, at least 23 contiguous nucleobases of any of the nucleobase sequences of SEQ ID NOs: 11-44 and 83-89. In certain embodiments, a compound comprises a modified oligonucleotide (e.g., of 14 to 30, for example, 14 to 23, linked nucleosides in length) having a nucleobase sequence comprising at least 14, at least 15, at least 16, at least 17, at least 18, at least 19, at least 20, at least 21, at least 22, at least 23 contiguous nucleobases of any of the nucleobase sequence of SEQ ID NOs: 45-82 and 90-96. In certain embodiments, a compound comprises a modified oligonucleotide selected from the group consisting of the nucleobase sequence of SEQ ID NOs: 11-44 and 83-89. In certain embodiments, a compound comprises a modified oligonucleotide selected from the group consisting of the nucleobase sequence of SEQ ID NOs: 45-82 and 90-96. In certain embodiments, the compound comprises a first modified oligonucleotide having a nucleobase sequence selected from the group consisting of the nucleobase sequence of SEQ ID NOs: 11- 44 and 83-89, and a second modified oligonucleotide having a nucleobase sequence selected from the group consisting of the nucleobase sequence of SEQ ID NOs: 45-82 and 90-96. In any of the foregoing embodiments, the compound can be single- stranded or double- stranded. In any of the foregoing embodiments, the compound can be an antisense oligonucleotide or oligomeric compound. In certain embodiments, a compound comprises a first modified oligonucleotide (e.g., of 14 to 30, for example, 14 to 23, linked nucleosides in length) having a nucleobase sequence comprising at least 14, at least 15, at least 16, at least 17, at least 18, at least 19, at least 20, at least 21, at least 22, at least 23 contiguous nucleobases of any of the nucleobase sequence of SEQ ID NOs: 11-44 and 83-89 or SEQ ID NOs: 45-82 and 90-96, and a second modified oligonucleotide (e.g., of 14 to 30, for example, 14 to 23, linked nucleosides in length) having a region of complementarity to the first modified oligonucleotide. In certain embodiments, a compound comprises a first modified oligonucleotide (e.g., of 14 to 30, for example, 14 to 23, linked nucleosides in length) having a nucleobase sequence comprising the nucleobase sequence of any one of SEQ ID NOs: 11- 44 and 83-89 or SEQ ID NOs: 45-82 and 90-96, and a second modified oligonucleotide (e.g., of 14 to 30, for example, 14 to 23, linked nucleosides in length) having a region of complementarity to the first modified oligonucleotide. In certain embodiments, a compound comprises a first modified oligonucleotide having a nucleobase sequence selected from the group consisting of any one of SEQ ID NOs: 11-44 and 83-89 or SEQ ID NOs: 45-82 and 90- 96, and a second modified oligonucleotide 19 to 23 linked nucleosides in length having a region of complementarity to the first modified oligonucleotide. In certain embodiments, the compound is administered to the individual parenterally. In certain embodiments, the compound is administered to the individual by intrathecal (IT) administration. In certain embodiments, the individual is identified as having, or at risk of having, a disease associated with LRRK2.
Certain embodiments are drawn to a compound comprising a LRRK2 specific inhibitor for use in treating a disease, disorder or condition associated with LRRK2. In certain embodiments, the disease, disorder or condition is a CNS related disease, disorder or condition or a symptom thereof or a neurodegenerative disease or a symptom thereof, including Parkinson’s Disease or cognitive impairment or a symptom thereof such as loss of motor function, aggregate formation, and neuron death. In certain embodiments, the compound comprises an antisense oligonucleotide targeted to LRRK2. In certain embodiments, the compound comprises an oligonucleotide targeted to LRRK2. In certain embodiments, a compound comprises a modified oligonucleotide (e.g., of 14 to 30, for example, 14 to 23, linked nucleosides in length) having a nucleobase sequence comprising at least 14, at least 15, at least 16, at least 17, at least 18, at least 19, at least 20, at least 21, at least 22, at least 23 contiguous nucleobases of any of the nucleobase sequence of SEQ ID NOs: 11-44 and 83-89. In certain embodiments, a compound comprises a modified oligonucleotide (e.g., of 14 to 30, for example, 14 to 23, linked nucleosides in length) and having a nucleobase sequence comprising the nucleobase sequence of any one of SEQ ID NOs: 11-44 and 83-89. In certain embodiments, a compound comprises a modified oligonucleotide selected from the group consisting of the nucleobase sequence of any one of SEQ ID NOs: 11-44 and 83-89. In certain embodiments, a compound comprises a modified oligonucleotide (e.g., of 14 to 30, for example, 14 to 23, linked nucleosides in length) having a nucleobase sequence comprising at least 14, at least 15, at least 16, at least 17, at least 18, at least 19, at least 20, at least 21, at least 22, at least 23 contiguous nucleobases of any of the nucleobase sequences of SEQ ID NOs: 11-44 and 83-89. In certain embodiments, a compound comprises a modified oligonucleotide (e.g., of 14 to 30, for example, 14 to 23, linked nucleosides in length) having a nucleobase sequence comprising at least 14, at least 15, at least 16, at least 17, at least 18, at least 19, at least 20, at least 21, at least 22, at least 23 contiguous nucleobases of any of the nucleobase sequence of SEQ ID NOs: 45-82 and 90-96. In certain embodiments, a compound comprises a modified oligonucleotide selected from the group consisting of the nucleobase sequence of SEQ ID NOs: 11-44 and 83-89. In certain embodiments, a compound comprises a modified oligonucleotide selected from the group consisting of the nucleobase sequence of SEQ ID NOs: 45-82 and 90-96. In certain embodiments, the compound comprises a first modified oligonucleotide having a nucleobase sequence selected from the group consisting of the nucleobase sequence of SEQ ID NOs: 11- 44 and 83-89, and a second modified oligonucleotide having a nucleobase sequence selected from the group consisting of the nucleobase sequence of SEQ ID NOs: 45-82 and 90-96. In any of the foregoing embodiments, the compound can be single- stranded or double- stranded. In any of the foregoing embodiments, the compound can be an antisense oligonucleotide or oligomeric compound. In certain embodiments, a compound comprises a first modified oligonucleotide (e.g., of 14 to 30, for example, 14 to 23, linked nucleosides in length) having a nucleobase sequence comprising at least 14, at least 15, at least 16, at least 17, at least 18, at least 19, at least 20, at least 21, at least 22, at least 23 contiguous nucleobases of any of the nucleobase sequence of SEQ ID NOs: 11-44 and 83-89 or SEQ ID NOs: 45-82 and 90-96, and a second modified oligonucleotide (e.g., of 14 to 30, for example, 14 to 23, linked nucleosides in length) having a region of complementarity to the first modified oligonucleotide. In certain embodiments, a compound comprises a first modified oligonucleotide (e.g., of 14 to 30, for example, 14 to 23, linked nucleosides in length) having a nucleobase sequence comprising the nucleobase sequence of any one of SEQ ID NOs: 11- 44 and 83-89 or SEQ ID NOs: 45-82 and 90-96, and a second modified oligonucleotide (e.g., of 14 to 30, for example, 14 to 23, linked nucleosides in length) having a region of complementarity to the first modified oligonucleotide. In certain embodiments, a compound comprises a first modified oligonucleotide having a nucleobase sequence selected from the group consisting of any one of SEQ ID NOs: 11-44 and 83-89 or SEQ ID NOs: 45-82 and 90- 96, and a second modified oligonucleotide 19 to 23 linked nucleosides in length having a region of complementarity to the first modified oligonucleotide. In certain embodiments, the compound is administered to the individual parenterally. In certain embodiments, the compound is administered to the individual by intrathecal (IT) administration.
Certain embodiments are drawn to a compound comprising a LRRK2 specific inhibitor for use in reducing or inhibiting a CNS related disease, disorder or condition or a symptom thereof or a neurodegenerative disease or a symptom thereof, including Parkinson’s Disease or cognitive impairment or a symptom thereof such as loss of motor function, aggregate formation, and neuron death. In certain embodiments, the compound comprises an antisense oligonucleotide targeted to LRRK2. In certain embodiments, the compound comprises an oligonucleotide targeted to LRRK2. In certain embodiments, a compound comprises a modified oligonucleotide (e.g., of 14 to 30, for example, 14 to 23, linked nucleosides in length) having a nucleobase sequence comprising at least 14, at least 15, at least 16, at least 17, at least 18, at least 19, at least 20, at least 21, at least 22, at least 23 contiguous nucleobases of any of the nucleobase sequence of SEQ ID NOs: 11-44 and 83-89. In certain embodiments, a compound comprises a modified oligonucleotide (e.g., of 14 to 30, for example, 14 to 23, linked nucleosides in length) and having a nucleobase sequence comprising the nucleobase sequence of any one of SEQ ID NOs: 11-44 and 83-89. In certain embodiments, a compound comprises a modified oligonucleotide selected from the group consisting of the nucleobase sequence of any one of SEQ ID NOs: 11-44 and 83-89. In certain embodiments, a compound comprises a first modified oligonucleotide (e.g., of 14 to 30, for example, 14 to 23, linked nucleosides in length) having a nucleobase sequence comprising at least 14, at least 15, at least 16, at least 17, at least 18, at least 19, at least 20, at least 21, at least 22, at least 23 contiguous nucleobases of any of the nucleobase sequence of SEQ ID NOs: 11-44 and 83-89 or SEQ ID NOs: 45-82 and 90-96, and a second modified oligonucleotide (e.g., of 14 to 30, for example, 14 to 23, linked nucleosides in length) having a region of complementarity to the first modified oligonucleotide. In certain embodiments, a compound comprises a first modified oligonucleotide (e.g., of 14 to 30, for example, 14 to 23, linked nucleosides in length) having a nucleobase sequence comprising the nucleobase sequence of any one of SEQ ID NOs: 11-44 and 83-89 or SEQ ID NOs: 45-82 and 90-96, and a second modified oligonucleotide (e.g., of 14 to 30, for example, 14 to 23, linked nucleosides in length) having a region of complementarity to the first modified oligonucleotide. In certain embodiments, a compound comprises a first modified oligonucleotide having a nucleobase sequence selected from the group consisting of any one of SEQ ID NOs: 11-44 and 83-89 or SEQ ID NOs: 45-82 and 90-96, and a second modified oligonucleotide 19 to 23 linked nucleosides in length having a region of complementarity to the first modified oligonucleotide.
Certain embodiments are drawn to the use of a compound comprising a LRRK2 specific inhibitor for the manufacture or preparation of a medicament for treating a disease associated with LRRK2. Certain embodiments are drawn to the use of a compound comprising a LRRK2 specific inhibitor for the preparation of a medicament for treating a disease, disorder or condition associated with LRRK2. In certain embodiments, the disease, disorder or condition is a CNS related disease, disorder or condition or a symptom thereof. In certain embodiments, the disease, disorder or condition is a neurodegenerative disease or a symptom thereof, including Parkinson’s Disease or cognitive impairment or a symptom thereof such as loss of motor function, aggregate formation, and neuron death. In certain embodiments, the compound comprises an antisense oligonucleotide targeted to LRRK2. In certain embodiments, the compound comprises an oligonucleotide targeted to LRRK2. In certain embodiments, a compound comprises a modified oligonucleotide (e.g., of 14 to 30, for example, 14 to 23, linked nucleosides in length) having a nucleobase sequence comprising at least 14, at least 15, at least 16, at least 17, at least 18, at least 19, at least 20, at least 21, at least 22, at least 23 contiguous nucleobases of any of the nucleobase sequence of SEQ ID NOs: 11-44 and 83-89. In certain embodiments, a compound comprises a modified oligonucleotide (e.g., of 14 to 30, for example, 14 to 23, linked nucleosides in length) and having a nucleobase sequence comprising the nucleobase sequence of any one of SEQ ID NOs: 11-44 and 83-89. In certain embodiments, a compound comprises a modified oligonucleotide selected from the group consisting of the nucleobase sequence of any one of SEQ ID NOs: 11-44 and 83-89. In certain embodiments, a compound comprises a modified oligonucleotide (e.g., of 14 to 30, for example, 14 to 23, linked nucleosides in length) having a nucleobase sequence comprising at least 14, at least 15, at least 16, at least 17, at least 18, at least 19, at least 20, at least 21, at least 22, at least 23 contiguous nucleobases of any of the nucleobase sequences of SEQ ID NOs: 11-44 and 83-89. In certain embodiments, a compound comprises a modified oligonucleotide (e.g., of 14 to 30, for example, 14 to 23, linked nucleosides in length) having a nucleobase sequence comprising at least 14, at least 15, at least 16, at least 17, at least 18, at least 19, at least 20, at least 21, at least 22, at least 23 contiguous nucleobases of any of the nucleobase sequence of SEQ ID NOs: 45-82 and 90-96. In certain embodiments, a compound comprises a modified oligonucleotide selected from the group consisting of the nucleobase sequence of SEQ ID NOs: 11-44 and 83-89. In certain embodiments, a compound comprises a modified oligonucleotide selected from the group consisting of the nucleobase sequence of SEQ ID NOs: 45-82 and 90-96. In certain embodiments, the compound comprises a first modified oligonucleotide having a nucleobase sequence selected from the group consisting of the nucleobase sequence of SEQ ID NOs: 11- 44 and 83-89, and a second modified oligonucleotide having a nucleobase sequence selected from the group consisting of the nucleobase sequence of SEQ ID NOs: 45-82 and 90-96. In any of the foregoing embodiments, the compound can be single- stranded or double- stranded. In any of the foregoing embodiments, the compound can be an antisense oligonucleotide or oligomeric compound. In certain embodiments, a compound comprises a first modified oligonucleotide (e.g., of 14 to 30, for example, 14 to 23, linked nucleosides in length) having a nucleobase sequence comprising at least 14, at least 15, at least 16, at least 17, at least 18, at least 19, at least 20, at least 21, at least 22, at least 23 contiguous nucleobases of any of the nucleobase sequence of SEQ ID NOs: 11-44 and 83-89 or SEQ ID NOs: 45-82 and 90-96, and a second modified oligonucleotide (e.g., of 14 to 30, for example, 14 to 23, linked nucleosides in length) having a region of complementarity to the first modified oligonucleotide. In certain embodiments, a compound comprises a first modified oligonucleotide (e.g., of 14 to 30, for example, 14 to 23, linked nucleosides in length) having a nucleobase sequence comprising the nucleobase sequence of any one of SEQ ID NOs: 11- 44 and 83-89 or SEQ ID NOs: 45-82 and 90-96, and a second modified oligonucleotide (e.g., of 14 to 30, for example, 14 to 23, linked nucleosides in length) having a region of complementarity to the first modified oligonucleotide. In certain embodiments, a compound comprises a first modified oligonucleotide having a nucleobase sequence selected from the group consisting of any one of SEQ ID NOs: 11-44 and 83-89 or SEQ ID NOs: 45-82 and 90- 96, and a second modified oligonucleotide 19 to 23 linked nucleosides in length having a region of complementarity to the first modified oligonucleotide.
Certain embodiments are drawn to the use of a compound comprising a LRRK2 specific inhibitor for the manufacture or preparation of a medicament for reducing or inhibiting a CNS related disease, disorder or condition or a symptom thereof in an individual having, or at risk of having, a CNS related disease, disorder or condition or a symptom thereof associated with LRRK2. In certain embodiments, the CNS related disease, disorder or condition is a neurodegenerative disease or a symptom thereof, including Parkinson’s Disease or cognitive impairment or a symptom thereof such as loss of motor function, aggregate formation, and neuron death. Certain embodiments are drawn to use of a compound comprising a LRRK2 specific inhibitor for the preparation of a medicament for treating a disease, disorder or condition associated with LRRK2. In certain embodiments, the disease, disorder or condition is a CNS related disease, disorder or condition or a symptom thereof or a neurodegenerative disease or a symptom thereof, including Parkinson’s Disease or cognitive impairment or a symptom thereof such as loss of motor function, aggregate formation, and neuron death. In certain embodiments, the compound comprises an antisense oligonucleotide targeted to LRRK2. In certain embodiments, the compound comprises an oligonucleotide targeted to LRRK2. In certain embodiments, a compound comprises a modified oligonucleotide (e.g., of 14 to 30, for example, 14 to 23, linked nucleosides in length) having a nucleobase sequence comprising at least 14, at least 15, at least 16, at least 17, at least 18, at least 19, at least 20, at least 21, at least 22, at least 23 contiguous nucleobases of any of the nucleobase sequences of SEQ ID NOs: 11-44 and 83-89. In certain embodiments, a compound comprises a modified oligonucleotide (e.g., of 14 to 30, for example, 14 to 23, linked nucleosides in length) and having a nucleobase sequence comprising the nucleobase sequence of any one of SEQ ID NOs: 11-44 and 83-89. In certain embodiments, a compound comprises a modified oligonucleotide selected from the group consisting of the nucleobase sequence of any one of SEQ ID NOs: 11-44 and 83-89. In certain embodiments, a compound comprises a modified oligonucleotide (e.g., of 14 to 30, for example, 14 to 23, linked nucleosides in length) having a nucleobase sequence comprising at least 14, at least 15, at least 16, at least 17, at least 18, at least 19, at least 20, at least 21, at least 22, at least 23 contiguous nucleobases of any of the nucleobase sequences of SEQ ID NOs: 11-44 and 83-89. In certain embodiments, a compound comprises a modified oligonucleotide (e.g., of 14 to 30, for example, 14 to 23, linked nucleosides in length) having a nucleobase sequence comprising at least 14, at least 15, at least 16, at least 17, at least 18, at least 19, at least 20, at least 21, at least 22, at least 23 contiguous nucleobases of any of the nucleobase sequence of SEQ ID NOs: 45-82 and 90-96. In certain embodiments, a compound comprises a modified oligonucleotide selected from the group consisting of the nucleobase sequence of SEQ ID NOs: 11-44 and 83-89. In certain embodiments, a compound comprises a modified oligonucleotide selected from the group consisting of the nucleobase sequence of SEQ ID NOs: 45-82 and 90-96. In certain embodiments, the compound comprises a first modified oligonucleotide having a nucleobase sequence selected from the group consisting of the nucleobase sequence of SEQ ID NOs: 11-44 and 83-89, and a second modified oligonucleotide having a nucleobase sequence selected from the group consisting of the nucleobase sequence of SEQ ID NOs: 45-82 and 90-96. In any of the foregoing embodiments, the compound can be single-stranded or double-stranded. In any of the foregoing embodiments, the compound can be an antisense oligonucleotide or oligomeric compound. In certain embodiments, a compound comprises a first modified oligonucleotide (e.g., of 14 to 30, for example, 14 to 23, linked nucleosides in length) having a nucleobase sequence comprising at least 14, at least 15, at least 16, at least 17, at least 18, at least 19, at least 20, at least 21, at least 22, at least 23 contiguous nucleobases of any of the nucleobase sequence of SEQ ID NOs: 11-44 and 83-89 or SEQ ID NOs: 45-82 and 90-96, and a second modified oligonucleotide (e.g., of 14 to 30, for example, 14 to 23, linked nucleosides in length) having a region of complementarity to the first modified oligonucleotide. In certain embodiments, a compound comprises a first modified oligonucleotide (e.g., of 14 to 30, for example, 14 to 23, linked nucleosides in length) having a nucleobase sequence comprising the nucleobase sequence of any one of SEQ ID NOs: 11-44 and 83-89 or SEQ ID NOs: 45-82 and 90-96, and a second modified oligonucleotide (e.g., of 14 to 30, for example, 14 to 23, linked nucleosides in length) having a region of complementarity to the first modified oligonucleotide. In certain embodiments, a compound comprises a first modified oligonucleotide having a nucleobase sequence selected from the group consisting of any one of SEQ ID NOs: 11-44 and 83-89 or SEQ ID NOs: 45-82 and 90-96, and a second modified oligonucleotide 19 to 23 linked nucleosides in length having a region of complementarity to the first modified oligonucleotide.
In any of the foregoing methods or uses, the compound can be an oligomeric compound. In any of the foregoing methods or uses, the compound can be single- stranded or double-stranded. In any of the foregoing methods or uses, the compound can be targeted to LRRK2. In certain embodiments, the compound comprises or consists of a modified oligonucleotide. In certain embodiments, the compound comprises one or more modified oligonucleotides. In certain embodiments, the compound comprises a first modified oligonucleotide and a second modified oligonucleotide. In certain embodiments, a modified oligonucleotide is 8 to 80 linked nucleosides in length, 10 to 30 linked nucleosides in length, 14 to 30 linked nucleosides in length, 14 to 23 linked nucleosides in length, or 19 to 23 linked nucleosides in length. In certain embodiments, a modified oligonucleotide is at least 80%, at least 85%, at least 90%, at least 95% or 100% complementary to any of the nucleobase sequences recited in SEQ ID NO: 1 or 2 over its length. In certain embodiments, a modified oligonucleotide comprises at least one modified internucleoside linkage, at least one modified sugar and/or at least one modified nucleobase. In certain embodiments, the modified intemucleoside linkage is a phosphorothioate internucleoside linkage. In certain embodiments, the modified sugar is a bicyclic sugar, 2’ -MOE, 2’-F, or 2’-0Me. In certain embodiments, the modified nucleobase is a 5 -methylcytosine. In any of the foregoing embodiments, each modified oligonucleotide is independently 12 to 30, 14 to 30, 14 to 25, 14 to 24, 14 to 23, 16 to 23, 17 to 23, 18 to 23, 19 to 23, 19 to 22, or 19 to 20 linked nucleosides in length. In certain embodiments, a modified oligonucleotide has at least 1, at least 2, at least 3 mismatches to a region of SEQ ID NOs: 1 and 2. In any of the forgoing methods or uses, the compound comprises a first and second modified oligonucleotide, wherein there is a region of complementarity between a first modified oligonucleotide and a second modified oligonucleotide. In certain embodiments, the region of complementarity between the first oligonucleotide and the second oligonucleotide is 14 to 23, 19 to 23, or 21 to 23 linked nucleosides in length. In certain embodiments, the first modified oligonucleotide is fully complementary to the second modified oligonucleotide. In certain embodiments, the first modified oligonucleotide comprises at least one modification selected from a modified internucleoside linkage, a modified sugar, and a modified nucleobase. In certain embodiments, the second modified oligonucleotide comprises at least one modification selected from the group consisting of a modified intemucleoside linkage, a modified sugar, and a modified nucleobase. In certain embodiments, the modified intemucleoside linkage is a phosphorothioate intemucleoside linkage or a methylphosphonate intemucleoside linkage. In certain embodiments, the modified intemucleoside linkage is at the 3’ terminus of the first or second modified oligonucleotide or at the 5’ terminus of the first or second modified oligonucleotide. In certain embodiments, the first or second modified oligonucleotide comprises one or more modified sugars. In certain embodiments, each nucleoside of the first or second modified oligonucleotide comprises a modified sugar. In certain embodiments, the modified sugar comprises a modification selected from the group consisting of a halogen, an alkoxy group and a bicyclic sugar. In certain embodiments, the modified sugar comprises a modification selected from group consisting of 2’ -MOE, 2’-F, and 2’-0Me or a combination thereof. In certain embodiments, the first or second modified oligonucleotide comprises no more than ten 2’-F sugar modifications. In certain embodiments, the first or second modified oligonucleotide comprises no more than five 2’-F sugar modifications.
In any of the forgoing methods or uses, a compound comprises a conjugate group. In certain embodiments, the conjugate group is attached to the 5’ end of a modified oligonucleotide. In certain embodiments, the conjugate group is a targeting moiety. In certain embodiments, the targeting moiety comprises one or more TrkB ligands. In certain embodiments, the one or more TrkB ligands are attached at the 5’ or 3’ end of the oligonucleotide or both the 5’ and 3’ ends of the oligonucleotide. In certain embodiments, the TrkB ligand is selected from Formulae I-XX, or a salt, solvate, or hydrate thereof, wherein R is the modified oligonucleotide. In certain embodiments, the modified oligonucleotide is attached to the TrkB ligand through a phosphodiester group. In certain embodiments, the modified oligonucleotide is attached to the TrkB ligand through a phosphorothioate group. In certain embodiments, the conjugate group comprises one or more lipids. In certain embodiments, the modified oligonucleotide is the second modified oligonucleotide. In certain embodiments, the one or more lipids are attached to an internucleoside linkage of the modified oligonucleotide. In certain embodiments, the internucleoside linkage of the modified oligonucleotide is selected from any one of Formulae XXI-XXIV, or a salt, solvate, or hydrate thereof, wherein R is the modified oligonucleotide. In certain embodiments, the modified oligonucleotide comprises one or more TrkB ligands and one or more lipids. In certain embodiments, the modified oligonucleotide is the second modified oligonucleotide. In certain embodiments, the one or more TrkB ligands are attached to the 5’ end of the modified oligonucleotide. In certain embodiments, the one or more TrkB ligands are attached to the 3’ end of the modified oligonucleotide. In certain embodiments, the one or more TrkB ligands are attached to the 5’ end and the 3’ end of the modified oligonucleotide. In certain embodiments, the one or more lipids are attached to an internucleoside linkage of the modified oligonucleotide. In certain embodiments, the one or more TrkB ligands are selected from any one of Formulae I-XX, or a salt, solvate, or hydrate thereof, wherein R is the modified oligonucleotide, and the intemucleoside linkage of the modified oligonucleotide is selected from any one of Formulae XXI-XXIV, or a salt, solvate, or hydrate thereof, wherein R is the modified oligonucleotide.
In any of the foregoing methods or uses, in certain embodiments, a compound comprises one or more substituted or unsubstituted alkyl or alkenyl. In certain embodiments, the substituted or unsubstituted alkyl or alkenyl is attached to an internucleoside linkage of a modified oligonucleotide. In certain embodiments, the modified oligonucleotide comprises one or more substituted or unsubstituted alkyl or alkenyl. In certain embodiments, the one or more substituted or unsubstituted alkyl or alkenyl are attached to one or more intemucleoside linkages of the modified oligonucleotide. In certain embodiments, the modified oligonucleotide is the second modified oligonucleotide or sense oligonucleotide. In certain embodiments, the one or more substituted or unsubstituted alkyl or alkenyl comprise a saturated or unsaturated C4-C30 hydrocarbon chain. In certain embodiments, the one or more substituted or unsubstituted alkyl or alkenyl comprise a saturated or unsaturated C5-C20 hydrocarbon chain. In certain embodiments, the one or more substituted or unsubstituted alkyl or alkenyl comprise a saturated or unsaturated C14-C20 hydrocarbon chain. In certain embodiments, the one or more substituted or unsubstituted alkyl or alkenyl comprise a saturated or unsaturated Ci6 hydrocarbon chain. In certain embodiments, the one or more substituted or unsubstituted alkyl or alkenyl comprise a saturated or unsaturated C17 hydrocarbon chain. In certain embodiments, the one or more substituted or unsubstituted alkyl or alkenyl comprise a saturated or unsaturated Cis hydrocarbon chain. In certain embodiments, the one or more substituted or unsubstituted alkyl or alkenyl comprise a saturated or unsaturated C22 hydrocarbon chain.
In certain embodiments, a substituted or unsubstituted alkyl or alkenyl is attached to an internucleoside linkage of a modified oligonucleotide (e.g., a second modified oligonucleotide or sense oligonucleotide). In certain embodiments, a substituted or unsubstituted alkyl or alkenyl is attached to an internucleoside linkage of a modified oligonucleotide (e.g., a second modified oligonucleotide or sense oligonucleotide). In certain embodiments, the intemucleoside linkage is between nucleosides that are within 10 positions (e.g., within 8 positions, within 6 positions, within 5 positions, within 4 positions, within 3 positions, within 2 positions) from a terminal end (e.g., the 5' and/or 3' end) of the modified oligonucleotide. In certain embodiments, the internucleoside linkage is between nucleosides that are within 5 positions from the 5' end of the modified oligonucleotide. In certain embodiments, the intemucleoside linkage is between nucleosides that are within 5 positions from the 3' end of the modified oligonucleotide.
In certain embodiments, the internucleoside linkage is between positions 1 and 2, positions 2 and 3, positions 3 and 4, positions 4 and 5, positions 5 and 6, positions 6 and 7, positions 7 and 8, positions 8 and 9, positions 9 and 10, positions 10 and 11, positions 11 and 12, positions 12 and 13, or positions 13 and 14 from the 5' end of the modified oligonucleotide. In certain embodiments, the internucleoside linkage is between positions 1 and 2, positions 2 and 3, positions 3 and 4, positions 4 and 5, positions 5 and 6, positions 6 and 7, or positions 7 and 8 from the 5' end of the modified oligonucleotide. In certain embodiments, the intemucleoside linkage is between positions 2 and 3 from the 5' end of the modified oligonucleotide. In certain embodiments, the intemucleoside linkage is between positions 1 and 2, positions 2 and 3, positions 3 and 4, positions 4 and 5, positions 5 and 6, positions 6 and 7, positions 7 and 8, positions 8 and 9, positions 9 and 10, positions 10 and 11, positions 11 and 12, positions 12 and 13, or positions 13 and 14 from the 3' end of the modified oligonucleotide. In certain embodiments, the intemucleoside linkage is between positions 1 and 2, positions 2 and 3, positions 3 and 4, positions 4 and 5, positions 5 and 6, positions 6 and 7, or positions 7 and 8 from the 3' end of the modified oligonucleotide. In certain embodiments, the internucleoside linkage is between positions 2 and 3 from the 3' end of the modified oligonucleotide.
In certain embodiments, the internucleoside linkage of the modified oligonucleotide is selected from any one of Formulae XXI-XXIV.
In any of the foregoing methods or uses, in certain embodiments, a compound comprises a 5 '-phosphonate modification. For example, in certain embodiments, a modified oligonucleotide comprises one or more sugars having a phosphonate modification at the 5' position. In certain embodiments, the modified oligonucleotide comprises a 5 '-phosphonate modification. In certain embodiments, the modified oligonucleotide comprises a 5 '-terminal nucleoside (e.g., 5' terminus) comprising the 5 '-phosphonate modification. In certain embodiments, the 5 '-phosphonate modification is a 5'-vinylphosphonate modification or a 5'- ethylenephosphonate modification. In certain embodiments, the 5 '-phosphonate modification is a 5'-vinylphosphonate modification. In certain embodiments, the 5 '-phosphonate modification is a 5'-ethylenephosphonate modification. In certain embodiments, the modified oligonucleotide is the first modified oligonucleotide or antisense oligonucleotide.
In any of the foregoing methods or uses, the compound comprises a first modified oligonucleotide selected from the group consisting of any one of the IA Ref ID NOs in Table 3 and a second modified oligonucleotide 14 to 23 linked nucleosides in length fully complementary to the first modified oligonucleotide. In certain embodiments, the compound comprises a first modified oligonucleotide selected from any one of the IA Ref ID NOs in Table 3 and a second modified oligonucleotide selected from any one of the IS Ref ID NOs in Table 3. In certain embodiments, the compound is in a pharmaceutically acceptable salt form. In certain embodiments, the pharmaceutically acceptable salt is a sodium salt. In certain embodiments, the pharmaceutically acceptable salt is a potassium salt. In certain embodiments, a composition comprises the compound of any one of the foregoing embodiments and a pharmaceutically acceptable carrier.
In any of the foregoing methods or uses, a compound or composition comprising a compound of any preceding embodiment is administered to an individual in a therapeutically effective amount. In certain embodiments, a compound or composition comprising a compound of any preceding embodiment is administered to an individual at a dosage level sufficient to deliver about 1 to 100 mg/kg of body weight of the individual. In certain embodiments, a compound or composition comprising a compound of any preceding embodiment is administered to an individual at a fixed dose of about 25 mg to about 1,000 mg. In certain embodiments, the composition is administered to the individual one or more times in a day up to the dosage level or fixed dose.
In any of the foregoing methods or uses, a compound or composition comprising a compound of any preceding embodiment is administered to an individual daily, weekly, monthly, quarterly or yearly. In certain embodiments, a compound or composition comprising a compound of any preceding embodiment is administered to an individual about once per quarter (i.e., once every three months) to about once per year. In certain embodiments, a compound or composition comprising a compound of any preceding embodiment is administered to an individual about once per quarter, about once every six months or about once per year.
Certain Compounds
In certain aspects, the disclosure relates to a compound that comprises or consists of an oligomeric compound. In certain embodiments, the oligomeric compound comprises a nucleobase sequence complementary to that of a target nucleic acid.
In certain aspects, the disclosure relates to a compound that comprises or consists of a modified oligonucleotide. In certain embodiments, the modified oligonucleotide has a nucleobase sequence complementary to that of a target nucleic acid.
In certain aspects, the disclosure relates to a compound that comprises or consists of an antisense oligonucleotide. In certain embodiments, the antisense oligonucleotide has a nucleobase sequence complementary to that of a target nucleic acid.
In certain aspects, the disclosure relates to a compound that is a single-stranded compound. In certain embodiments, the single- stranded compound comprises or consists of an oligomeric compound. In certain embodiments, such an oligomeric compound comprises or consists of an oligonucleotide and optionally a conjugate group. In certain embodiments, the oligonucleotide is a modified oligonucleotide. In certain embodiments, the oligonucleotide is an antisense oligonucleotide. In certain embodiments, the oligonucleotide or modified oligonucleotide of a single- stranded compound comprises a self-complementary nucleobase sequence.
In certain aspects, the disclosure relates to a compound that is a double- stranded compound. In certain embodiments, the double-stranded compound comprises or consists of an oligomeric compound. In certain embodiments, the double- stranded compound comprises a first oligonucleotide and a second oligonucleotide. In certain embodiments, the first oligonucleotide has a region complementarity to a target nucleic acid and the second oligonucleotide has a region complementarity to the first modified oligonucleotide. In certain embodiments, the double-stranded compound comprises a modified oligonucleotide. In certain embodiments, the modified oligonucleotide has a region complementarity to a target nucleic acid. In certain embodiments, the double-stranded compound comprises a first modified oligonucleotide and a second modified oligonucleotide. In certain embodiments, the first modified oligonucleotide has a region complementarity to a target nucleic acid and the second modified oligonucleotide has a region complementarity to the first modified oligonucleotide. In certain embodiments, an oligonucleotide or modified oligonucleotide of a double-stranded compound is an RNA oligonucleotide. In such embodiments, the thymine nucleobase in the modified oligonucleotide is replaced by a uracil nucleobase.
In certain embodiments, a compound described herein comprises a conjugate group. In certain embodiments, the first oligonucleotide or first modified oligonucleotide of a double-stranded compound comprises a conjugate group. In certain embodiments, the second oligonucleotide or second modified oligonucleotide of a double- stranded compound comprises a conjugate group. In certain embodiments, a first oligonucleotide or first modified oligonucleotide and a second oligonucleotide or second modified oligonucleotide of a double-stranded compound each comprises a conjugate group.
In certain embodiments, a compound is 14-30 linked nucleosides in length. In certain embodiments, the first oligonucleotide or first modified oligonucleotide of a double- stranded compound is 14-30 linked nucleosides in length. In certain embodiments, the second oligonucleotide or second modified oligonucleotide is 14-30 linked nucleosides in length. In certain embodiments, the oligonucleotides or modified oligonucleotides of a double- stranded compound are blunt ended at one or both ends of the compound. In certain embodiments, the oligonucleotides or modified oligonucleotides of a double-stranded compound include non- complementary overhanging nucleosides at one or both ends of the compound. In certain embodiments, a compound has a nucleobase sequence comprising at least 14 contiguous nucleobases of any of SEQ ID NOs: 11-44 and 83-89. In certain embodiments, one of the oligonucleotides or modified oligonucleotides of a double-stranded compound has a nucleobase sequence comprising at least 14 contiguous nucleobases of any of SEQ ID NOs: 11-44 and 83-89.
Examples of single-stranded and double-stranded compounds include, but are not limited to, oligonucleotides, antisense oligonucleotides, siRNAs, microRNA targeting oligonucleotides, occupancy-based compounds (e.g., mRNA processing or translation blocking compounds and splicing compounds), and single-stranded RNAi compounds (e.g. small hairpin RNAs (shRNAs), single stranded siRNAs (ssRNAs) and microRNA mimics).
In certain embodiments, a compound described herein has a nucleobase sequence that, when written in the 5’ to 3’ direction, comprises the reverse complement of the target region of a target nucleic acid to which it is targeted.
In certain embodiments, a compound described herein comprises an oligonucleotide 12 to 30 linked subunits in length. In certain embodiments, a compound described herein comprises an oligonucleotide 12 to 23 linked subunits in length. In certain embodiments, compound described herein comprises an oligonucleotide 14 to 30 linked subunits in length. In certain embodiments, compound described herein comprises an oligonucleotide 14 to 23 linked subunits in length. In certain embodiments, a compound described herein comprises an oligonucleotide 15 to 30 linked subunits in length. In certain embodiments, a compound described herein comprises an oligonucleotide 15 to 23 linked subunits in length. In certain embodiments, a compound described herein comprises an oligonucleotide 16 to 30 linked subunits in length. In certain embodiments, a compound described herein comprises an oligonucleotide 16 to 23 linked subunits in length. In certain embodiments, a compound described herein comprises an oligonucleotide 17 to 30 linked subunits in length. In certain embodiments, a compound described herein comprises an oligonucleotide 17 to 23 linked subunits in length. In certain embodiments, a compound described herein comprises an oligonucleotide 18 to 30 linked subunits in length. In certain embodiments, a compound described herein comprises an oligonucleotide 18 to 23 linked subunits in length. In certain embodiments, a compound described herein comprises an oligonucleotide 19 to 30 linked subunits in length. In certain embodiments, a compound described herein comprises an oligonucleotide 19 to 23 linked subunits in length. In other words, such oligonucleotides are 12 to 30 linked subunits, 12 to 23 linked subunits, 14 to 30 linked subunits, 14 to 23 linked subunits, 15 to 30 linked subunits, 15 to 23 linked subunits, 16 to 30 linked subunits, 16 to 23 linked subunits, 17 to 30 linked subunits, 17 to 23 linked subunits, 18 to 30 linked subunits, 18 to 23 linked subunits, 19 to 30 linked subunits or 19 to 23 linked subunits, respectively. In certain embodiments, a compound described herein comprises an oligonucleotide 14 linked subunits in length. In certain embodiments, a compound described herein comprises an oligonucleotide 16 linked subunits in length. In certain embodiments, a compound described herein comprises an oligonucleotide 17 linked subunits in length. In certain embodiments, compound described herein comprises an oligonucleotide 18 linked subunits in length. In certain embodiments, a compound described herein comprises an oligonucleotide 19 linked subunits in length. In certain embodiments, a compound described herein comprises an oligonucleotide 20 linked subunits in length. In certain embodiments, a compound described herein comprises an oligonucleotide 21 linked subunits in length. In certain embodiments, a compound described herein comprises an oligonucleotide 22 linked subunits in length. In certain embodiments, a compound described herein comprises an oligonucleotide 23 linked subunits in length. In other embodiments, a compound described herein comprises an oligonucleotide 8 to 80, 12 to 50, 13 to 30, 13 to 50, 14 to 30, 14 to 50, 15 to 30, 15 to 50, 16 to 30, 16 to 50, 17 to 30, 17 to 50, 18 to 23, 18 to 24, 18 to 25, 18 to 50, 19 to 23, 19 to 30, 19 to 50, 20 to 23 or 20 to 30 linked subunits. In certain such embodiments, the compound described herein comprises an oligonucleotide 8, 9, 10, 11, 12, 13, 14, 15, 16, 17, 18, 19, 20, 21, 22, 23, 24, 25, 26, 27, 28, 29, or 30 linked subunits in length, or a range defined by any two of the above values.
In certain embodiments, the compound may further comprise an additional moiety, such as a conjugate group or delivery moiety. In certain embodiments, such compounds are oligomeric compounds, and the additional moiety is attached to an oligonucleotide. In certain embodiments, a conjugate group is attached to a nucleoside of an oligonucleotide.
In certain embodiments, compounds may be shortened or truncated. For example, one or more subunits may be deleted from the 5’ end (5’ truncation), or alternatively from the 3’ end (3’ truncation) of an oligonucleotide.
In certain embodiments, compounds may be lengthened. For example, one or more subunits may be attached to the 3' end or 5' end of an oligonucleotide. In certain embodiments, at least one subunit (e.g., 1, 2, 3, 4, 5, 6, 7, 8, 9, 10, 11, 12, 13, 14, 15, 16, 17, 18, 19, 20, 21, 22, 23, 24, 25, 26, 27, 28, 29, 30, 31, 32, 33, 34, 35, 36, 37, 38, 39, 40, 41, 42,
43, 44, 45, 46, 47, 48, 49, 50, or more subunits) is attached to the 5' end of an oligonucleotide. In certain embodiments, at least one subunit (e.g., 1, 2, 3, 4, 5, 6, 7, 8, 9, 10, 11, 12, 13, 14, 15, 16, 17, 18, 19, 20, 21, 22, 23, 24, 25, 26, 27, 28, 29, 30, 31, 32, 33, 34, 35,
36, 37, 38, 39, 40, 41, 42, 43, 44, 45, 46, 47, 48, 49, 50, or more subunits) is attached to the 3' end of an oligonucleotide. In certain embodiments, at least one or more subunits may be attached to the 3' end or 5' end of an oligonucleotide of a double-stranded compound creating a 3' and/or 5' end overhang. In certain embodiments, at least one subunit (e.g., 1, 2, 3, 4, 5, 6, 7, 8, 9, 10, 11, 12, 13, 14, 15, 16, 17, 18, 19, 20, 21, 22, 23, 24, 25, 26, 27, 28, 29, 30, 31, 32, 33, 34, 35, 36, 37, 38, 39, 40, 41, 42, 43, 44, 45, 46, 47, 48, 49, 50, or more subunits) is attached to the 5' end of both oligonucleotides of a double- stranded compound. In certain embodiments, at least one subunit (e.g., 1, 2, 3, 4, 5, 6, 7, 8, 9, 10, 11, 12, 13, 14, 15, 16, 17, 18, 19, 20, 21, 22, 23, 24, 25, 26, 27, 28, 29, 30, 31, 32, 33, 34, 35, 36, 37, 38, 39, 40, 41, 42, 43, 44, 45, 46, 47, 48, 49, 50, or more subunit) is attached to the 3' end of both oligonucleotides of a double-stranded compound. In certain embodiments, subunits are attached to both oligonucleotides of a double- stranded compound at the same end (e.g., that subunits are attached to the 3' end of one of the oligonucleotides and subunits are attached to the 5' end of the other oligonucleotide). In certain embodiments, when subunits are attached to both oligonucleotides of a double- stranded compound at the same end, the number of subunits attached to each oligonucleotide may be the same or may be different. In certain embodiments, when subunits are attached to both oligonucleotides of a double- stranded compound at the same end, the number of subunits attached to each oligonucleotide is the same. In certain embodiments, when subunits are attached to both oligonucleotides of a double-stranded compound at the same end, the number of subunits attached to each oligonucleotide is different. This scenario, where subunits are attached to both oligonucleotides of a double-stranded compound at the same end, may occur at one or both ends of a double-stranded compound. In certain embodiments, the subunits attached to the 3' and/or 5' end are modified.
In certain embodiments, compounds described herein are oligonucleotides. In certain embodiments, compounds described herein are modified oligonucleotides. In certain embodiments, compounds described herein are antisense oligonucleotides. In certain embodiments, compounds described herein are oligomeric compounds. In certain embodiments, compounds described herein are RNAi compounds. In certain embodiments, compounds described herein are siRNA compounds.
In certain embodiments, a compound described herein can comprise any of the oligonucleotide sequences targeted to LRRK2 described herein. In certain embodiments, the compound can be double- stranded.
In certain embodiments, the compound comprises an oligonucleotide comprising at least an 8, 9, 10, 11, 12, 13, 14, 15, 16, 17, 18, 19, 20, 21, 22 or 23 contiguous nucleobase portion of any one of SEQ ID NOs: 11-44 and 83-89. In certain embodiments, the compound comprises an oligonucleotide comprising at least an 8, 9, 10, 11, 12, 13, 14, 15, 16, 17, 18, 19, 20, 21, 22 or 23 contiguous nucleobase portion of any one of SEQ ID NOs: 11-44 and 83- 89. In certain embodiments, the compound comprises a second oligonucleotide. In certain embodiments, the compound comprises an oligonucleotide comprising at least an 8, 9, 10, 11, 12, 13, 14, 15, 16, 17, 18, 19, 20, 21, 22 or 23 contiguous nucleobase portion of any one of SEQ ID NOs: 45-82 and 90-96.
In certain embodiments, the compound comprises ribonucleotides in which the oligonucleotide has uracil (U) in place of thymine (T) for any of the sequences provided here. In certain embodiments, the compound comprises deoxyribonucleotides in which the oligonucleotide has thymine (T) in place of uracil (U) for any of the sequences provided here.
Certain Mechanisms
In certain embodiments, compounds described herein comprise or consist of modified oligonucleotides. In certain embodiments, compounds described herein comprise or consist of antisense oligonucleotides. In certain embodiments, compounds comprise or consist of oligomeric compounds. In certain embodiments, compounds described herein are capable of hybridizing to a target nucleic acid. In certain embodiments, compounds described herein selectively affect one or more target nucleic acid. Such compounds comprise a nucleobase sequence that hybridizes to one or more target nucleic acid, resulting in one or more desired activity and does not hybridize to one or more non-target nucleic acid or does not hybridize to one or more non-target nucleic acid in such a way that results in a significant undesired activity.
In certain embodiments, hybridization of a compound described herein to a target nucleic acid results in recruitment of one or more proteins that cause the cleavage of the target nucleic acid. For example, certain compounds described herein or a portion of the compound is loaded into an RNA-induced silencing complex (RISC), ultimately resulting in cleavage of the target nucleic acid. For example, certain compounds described herein result in cleavage of the target nucleic acid by Argonaute. Compounds that are loaded into RISC are RNAi compounds. RNAi compounds may be double-stranded (siRNA) or single-stranded (ssRNA).
In certain embodiments, hybridization of compounds described herein to a target nucleic acid does not result in recruitment of a protein that cleaves that target nucleic acid. In certain such embodiments, hybridization of the compound to the target nucleic acid results in the alteration of splicing of the target nucleic acid. In certain embodiments, hybridization of the compound to a target nucleic acid results in inhibition of a binding interaction between the target nucleic acid and a protein or other nucleic acid. In certain such embodiments, hybridization of the compound to the target nucleic acid results in the alteration of RNA processing. In certain such embodiments, hybridization of the compound to a target nucleic acid results in alteration of translation of the target nucleic acid.
Activities resulting from the hybridization of a compound to a target nucleic acid may be observed directly or indirectly. In certain embodiments, observation or detection of an activity involves observation or detection of a change in an amount of a target nucleic acid or protein encoded by such target nucleic acid, a change in the ratio of splice variants of a nucleic acid or protein, and/or a phenotypic change in a cell or animal.
Certain Modifications
In certain aspects, the disclosure relates to compounds that comprise or consist of oligonucleotides. Oligonucleotides consist of linked nucleosides. In certain embodiments, oligonucleotides may be unmodified RNA or DNA or may be modified. In certain embodiments, the oligonucleotides are modified oligonucleotides. In certain embodiments, the modified oligonucleotides comprise at least one modified sugar, modified nucleobase or modified intemucleoside linkage relative to an unmodified RNA or DNA. In certain embodiments, an oligonucleotide has a modified nucleoside. A modified nucleoside may comprise a modified sugar, a modified nucleobase or both a modified sugar and a modified nucleobase. Modified oligonucleotides may also include end modifications, e.g., 5’-end modifications and 3 ’-end modifications. Sugar Modifications and Motifs
In certain embodiments, a modified sugar is a substituted furanosyl sugar or non- bicyclic modified sugar. In certain embodiments, a modified sugar is a bicyclic or tricyclic modified sugar. In certain embodiments, a modified sugar is a sugar surrogate. A sugar surrogate may comprise one or more substitutions described herein.
In certain embodiments, a modified sugar is a substituted furanosyl or non-bicyclic modified sugar. In certain embodiments, the furanosyl sugar is a ribosyl sugar. In certain embodiments, the furanosyl sugar comprises one or more substituent groups, including, but not limited to, substituent groups at the 2’, 3’, 4’, and 5’ positions.
In certain embodiments, substituents at the 2’ position include, but are not limited to, F and OCH3 (“OMe”, “O-methyl” or “methoxy”). In certain embodiments, substituent groups at the 2’ position suitable for non-bicyclic modified sugars include, but are not limited to, halo, allyl, amino, azido, SH, CN, OCN, CF3, OCF3, F, Cl, Br, SCH3, SOCH3, SO2CH3, ONO2, NO2, N3, and NH2. In certain embodiments, substituent groups at the 2’ position include, but are not limited to, O-(Ci-Cio) alkoxy, alkoxyalkyl, O-alkyl, S-alkyl, N-alkyl, O- alkenyl, S-alkenyl, N-alkenyl, O-alkynyl, S-alkynyl, N-alkynyl, O-alkyl-O-alkyl, alkynyl, wherein the alkyl, alkenyl and alkynyl can be substituted or unsubstituted Ci to C10 alkyl or C2 to C10 alkenyl and alkynyl. In certain embodiments, substituent groups at the 2’ position include, but are not limited to, alkaryl, aralkyl, O-alkaryl, and O-aralkyl. In certain embodiments, these 2’ substituent groups can be further substituted with one or more substituent groups independently selected from hydroxyl, alkoxy, carboxy, benzyl, phenyl, nitro (NO2), thiol, thioalkoxy, thioalkyl, halogen, alkyl, aryl, alkenyl, and alkynyl. In certain embodiments, substituent groups at the 2’ position include, but are not limited to, O[(CH2)nO]mCH3, O(CH2)nOCH3, O(CH2)nCH3, O(CH2)nONH2, O(CH2)nNH2, O(CH2)nSCH3, and O(CH2)nON[(CH2)nCH3)]2, where n and m are independently from 1 to about 10. In certain embodiments, substituent groups at the 2’ position include, but are not limited to, OCH2CH2OCH3 (“MOE”), O(CH2)2ON(CH3)2 (“DMAOE”), O(CH2)2O(CH2)2N(CH3)2 (“DMAEOE”), and OCH2C(=O)-N(H)CH3 (“NMA”).
In certain embodiments, substituent groups at the 4’ position suitable for non-bicyclic modified sugars include, but are not limited to, alkoxy (e.g., methoxy), alkyl, and those described in Manoharan et al., WO 2015/106128. In certain embodiments, substituent groups at the 5’ position suitable for non-bicyclic modified sugars include, but are not limited to, methyl (“Me” or “CH3”) (R or S), vinyl, and methoxy. In certain embodiments, the 5' modification is a 5'-monophosphate ((HO)2(O)P-O-5'); 5'-diphosphate ((HO)2(O)P-O-P(HO)(O)-O- 5'); 5'-triphosphate ((HO)2(O)P-O-(HO)(O)P-O-P(HO)(O)-O-5'); 5'-guanosine cap (7-methylated or non-methylated) (7m-G-O-5'-(HO)(O)P-O-(HO)(O)P-O-P(HO)(O)-O-5'); 5'adenosine cap (Appp), and any modified or unmodified nucleotide cap structure (N-O-5'(HO)(O)P-O-(HO)(O)P-O- P(HO)(O)-O-5'); 5'-monothiophosphate (phosphorothioate; (HO)2(S)P-O-5'); 5'-monodithiophosphate (phosphorodithioate; (HO)(HS)(S)P-O-5'), 5'phosphorothiolate ((HO)2(O)P-S-5'); any additional combination of oxygen/sulfur replaced monophosphate, diphosphate and triphosphates (e.g. 5'-alpha- thiotriphosphate, 5'-gammathiotriphosphate, etc.), 5'-phosphoramidates ((HO)2(O)P-NH-5', (HO)(NH2)(O)P-O-5'), 5'alkylphosphonates (R=alkyl=methyl, ethyl, isopropyl, propyl, etc., e.g. RP(0H)(0)-0-5'-, 5'alkenylphosphonates (i.e. vinyl, substituted vinyl), (OH)2(O)P-5'-CH2-), 5'alkyletherphosphonates (R=alkylether=methoxymethyl (MeOCH2-), ethoxymethyl, etc., e.g. RP(0H)(0)-0-5'-). In certain embodiments, one or more sugars comprise a 5 '-phosphonate modification. In certain embodiments, the 5 '-phosphonate modification is a 5'- vinylphosphonate modification or a 5'-ethylenephosphonate modification. In certain embodiments, one or more sugars comprise a 5'-vinylphosphonate modification. In certain embodiments, one or more sugars comprise a 5'-ethylenephosphonate modification. In certain embodiments the 5' modification is at the terminus of an oligonucleotide. In certain embodiments the 5' modification is at the terminus of an antisense oligonucleotide. In certain embodiments, substituents described herein for the 2’, 4’ and 5’ position can be added to other specific positions on the sugar. In certain embodiments, such substituents may be added to the 3’ position of the sugar on the 3’ terminal nucleoside or the 5’ position of the 5’ terminal nucleoside. In certain embodiments, a non-bicyclic modified sugar may comprise more than one non-bridging sugar substituent. In certain such embodiments, non-bicyclic modified sugars substituents include, but are not limited to, 5’-Me-2’-F, 5’-Me-2’-OMe (including both R and S isomers). In certain embodiments, modified sugar substituents include those described in Migawa et al., WO 2008/101157 and Rajeev et al., US2013/0203836.
In certain embodiments, a modified sugar is a bicyclic sugar. A bicyclic sugar is a modified sugar comprising two rings, wherein the second ring is formed via a bridge connecting two of the atoms in the first ring thereby forming a bicyclic structure. In certain embodiments, a bicyclic sugar comprises a bridging substituent that bridges two atoms of the furanosyl ring to form a second ring. In certain embodiments, a bicyclic sugar does not comprise a furanosyl moiety. A “bicyclic nucleoside” (“BNA”) is a nucleoside having a bicyclic sugar. In certain embodiments, the bicyclic sugar comprises a bridge between the 4’ and 2’ furanose ring atoms. In certain embodiments, the bicyclic sugar comprises a bridge between the 5’ and 3’ furanose ring atoms. In certain such embodiments, the furanose ring is a ribose ring. In certain embodiments, 4’ to 2’ bridging substituents include, but are not limited to, 4'-CH2-2', 4'-(CH2)2-2', 4'- (CH2)3-2', 4'-CH2-O-2' (“LNA”), 4'-CH2-S-2', 4'- (CH2)2-O-2' (“ENA”), 4'-CH(CH3)-O-2' (“constrained ethyl” or “cEt” when in the S configuration), 4’-CH2-O-CH2-2’, 4’-CH2-N(R)-2’, 4'- CH(CH2OCH3)-O-2' (“constrained MOE” or “cMOE”) and analogs thereof (e.g., U.S. Patent No. 7,399,845), 4'-C(CH3)(CH3)- 0-2' and analogs thereof (e.g., U.S. Patent No. 8,278,283), 4'-CH2-N(OCH3)-2' and analogs thereof (e.g., U.S. Patent No. 8,278,425), 4'-CH2-O-N(CH3)-2' (e.g., U.S. Patent Publication No. 2004/0171570), 4'-CH2-N(R)-O-2', wherein R is H, C1-C12 alkyl, or a protecting group (e.g., U.S. Patent No. 7,427,672), 4'-CH2-C(H)(CH3)-2' (e.g., Chattopadhyaya el al., J. Org. Chem., 2009, 74, 118- 134), and 4'-CH2-C(=CH2)-2' and analogs thereof (e.g., U.S. Patent No. 8,278,426). The entire contents of each of the foregoing are hereby incorporated herein by reference. Additional representative U.S. Patents and U.S. Patent Publications that teach the preparation of bicyclic nucleic acid nucleotides include, but are not limited to, the following: U.S. Patent Nos. 6,268,490; 6,525,191; 6,670,461; 6,770,748; 6,794,499;
6,998,484; 7,053,207; 7,034,133; 7,084,125; 7,399,845; 7,427,672; 7,569,686; 7,741,457; 8,022,193; 8,030,467; 8,278,425; 8,278,426; 8,278,283; US 2008/0039618; and US 2009/0012281, US 2013/0190383; and WO 2013/036868, the entire contents of each of which are hereby incorporated herein by reference. Any of the foregoing bicyclic nucleosides can be prepared having one or more stereochemical sugar configurations including for example a-L-ribofuranose and P-D-ribofuranose (see e.g., WO 99/14226). Specified bicyclic nucleosides herein are in the P-D configuration, unless otherwise specified.
In certain embodiments, a modified sugar is a sugar surrogate. In certain embodiments, a sugar surrogate has the oxygen atom replaced, e.g., with a sulfur, carbon or nitrogen atom. In certain such embodiments, the sugar surrogate may also comprise bridging and/or non-bridging substituents as described herein. In certain embodiments, sugar surrogates comprise rings having other than 5 atoms. In certain such embodiments, the sugar surrogate comprises a cyclobutyl moiety in place of the pentofuranosyl sugar. In certain embodiments, the sugar surrogate comprises a six membered ring in place of the pentofuranosyl sugar. In certain embodiments, the sugar surrogate comprises a tetrahydropyran (“THP”) in place of the pentofuranosyl sugar. In certain embodiments, the sugar surrogate comprises a morpholino in place of the pentofuranosyl sugar. Representative US patents that teach the preparation of such modified sugar structures include, but are not limited to, U.S. Patent Nos. 4,981,957; 5,118,800; 5,166,315; 5,185,444; 5,319,080; 5,359,044; 5,393,878; 5,446,137; 5,466,786; 5,514,785; 5,519,134; 5,567,811; 5,576,427; 5,591,722; 5,597,909; 5,610,300; 5,627,053; 5,639,873; 5,646,265; 5,658,873; 5,670,633; 5,700,920; 7,875,733; 7,939,677, 8,088,904; 8,440,803; and 9,005,906, the entire contents of each of the foregoing are hereby incorporated herein by reference.
In some embodiments, sugar surrogates comprise acyclic moieties. In certain embodiments, the sugar surrogate is an unlocked nucleic acid (“UNA”). A UNA is unlocked acyclic nucleic acid, wherein any of the bonds of the sugar has been removed, forming an unlocked "sugar" residue. In one example, UNA also encompasses a monomer where the bonds between Cl’-C4’ have been removed (i.e. the covalent carbon-oxygen-carbon bond between the Cl’ and C4’ carbons). In another example, the C2’-C3’ bond (i.e. the covalent carbon-carbon bond between the C2’ and C3’ carbons) of the sugar has been removed. Representative U.S. publications that teach the preparation of UNA include, but are not limited to, U.S. Patent No. 8,314,227; and U.S. Patent Publication Nos. 2013/0096289; 2013/0011922; and 2011/0313020, the entire contents of each of which are hereby incorporated herein by reference. In certain embodiments, sugar surrogates comprise peptide nucleic acid (“PNA”), acyclic butyl nucleic acid (see, e.g., Kumar et al., Org. Biomol. Chem., 2013, 11, 5853-5865), and nucleosides and oligonucleotides described in Manoharan et al., US2013/130378, the entire contents of which is hereby incorporated herein by reference. Many other bicyclic and tricyclic sugar and sugar surrogate ring systems are known in the art that can be used in modified nucleosides.
In certain aspects, the disclosure relates to compounds comprising at least one oligonucleotide wherein the nucleosides of such oligonucleotide comprise one or more types of modified sugars and/or unmodified sugars arranged along the oligonucleotide or region thereof in a defined pattern or “sugar motif’. In certain instances, such sugar motifs include, but are not limited to, any of the patterns of sugar modifications described herein.
In certain embodiments, an oligonucleotide comprises a gapmer sugar motif. A gapmer oligonucleotide comprises or consists of a region having two external “wing” regions and a central or internal “gap” region. The gap and wing regions form a contiguous sequence of nucleosides, wherein the majority of nucleoside sugars of each of the wings differ from the majority of nucleoside sugars of the gap. In certain embodiments, the wing regions comprise a majority of modified sugars and the gap comprises a majority of unmodified sugars. In certain embodiments, the nucleosides of the gap are deoxynucleosides. Compounds with a gapmer sugar motif are described in, for example US Patent 8,790,919, the entire contents of which is hereby incorporated herein by reference.
In certain embodiments, one or both oligonucleotides of a double-stranded compound comprise a triplet sugar motif. An oligonucleotide with a triplet sugar motif comprises three identical sugar modifications on three consecutive nucleosides. In certain embodiments, the triplet is at or near the cleavage site of the oligonucleotide. In certain embodiments, an oligonucleotide of a double- stranded compound may contain more than one triplet sugar motif. In certain embodiments, the identical sugar modification of the triplet sugar motif is a 2’-F modification. Compounds with a triplet sugar motif are disclosed, for example, in US Patent 10,668,170, the entire contents of which is incorporated herein by reference.
In certain embodiments, one or both oligonucleotides of a double-stranded compound comprise a quadruplet sugar motif. An oligonucleotide with a quadruplet sugar motif comprises four identical sugar modifications on four consecutive nucleosides. In certain embodiments, the quadruplet is at or near the cleavage site. In certain embodiments, an oligonucleotide of a double- stranded compound may contain more than one quadruplet sugar motif. In certain embodiments, the identical sugar modification of the quadruplet sugar motif is a 2’-F modification. For a double-stranded compound having a duplex region of 19-23 nucleotides in length, the cleavage site of the antisense oligonucleotide is typically around the 10, 11, and 12 positions from the 5’-end. In certain embodiments, the quadruplet sugar motif is at the 8, 9, 10, 11 positions; the 9, 10, 11, 12 positions; the 10, 11, 12, 13 positions; the 11, 12, 13, 14 positions; or the 12, 13, 14, 15 positions of the sense oligonucleotide, counting from the first nucleoside of the 5 ’-end of the sense oligonucleotide, or, the count starting from the first paired nucleotide within the duplex region from the 5 ’-end of the sense oligonucleotide. In certain embodiments, the quadruplet sugar motif is at the 8, 9, 10, 11 positions; the 9, 10, 11, 12 positions; the 10, 11, 12, 13 positions; the 11, 12, 13, 14 positions; or the 12, 13, 14, 15 positions of the antisense oligonucleotide, counting from the first nucleoside of the 5 ’-end of the antisense oligonucleotide, or, the count starting from the first paired nucleotide within the duplex region from the 5’- end of the antisense oligonucleotide. The cleavage site may change according to the length of the duplex region of the doublestranded compound and may change the position of the quadruplet accordingly. In certain embodiments, an oligonucleotide comprises an alternating sugar motif. In certain embodiments, one or both oligonucleotides of a double-stranded compound comprise an alternating sugar motif. An oligonucleotide with an alternating sugar motif comprises at least two different sugar modifications wherein one or more consecutive nucleosides comprising a first sugar modification alternates with one or more consecutive nucleosides comprising a second sugar modification and one or more consecutive nucleosides comprising a third sugar modification, etc. For example, if A, B and C each represent one type of modification to the nucleoside, the alternating motif can be “AB AB AB AB AB AB...,” “AABBAABBAABB...,” “AABAABAABAAB...,” “AAABAAABAAAB...,” “AAABBBAAABBB...,” or “ABC ABC ABC ABC...” etc. In certain embodiments, the alternating sugar motif is repeated for at least 2, 3, 4, 5, 6, 7, 8, 9, 10, 11, 12, 13, 14, 15, 16, 17, 18, 19, 20, 21, 22, or 23 contiguous nucleobases along an oligonucleotide. In certain embodiments, the alternating sugar motif is comprised of two different sugar modifications. In certain embodiments, the alternating sugar motif comprises 2’-OMe and 2’-F sugar modifications.
In certain embodiments, each nucleoside of an oligonucleotide is independently modified with one or more sugar modifications provided herein. In certain embodiments, each oligonucleotide of a double- stranded compound independently has one or more sugar motifs provided herein. In certain embodiments, an oligonucleotide containing a sugar motif, is fully modified in that each nucleoside other than the nucleosides comprising the sugar motif comprises a sugar modification.
Nucleobase Modifications and Motifs
In certain embodiments, compounds described herein comprise modified oligonucleotides. In certain embodiments, modified oligonucleotides comprise one or more nucleosides comprising a modified nucleobase. In certain embodiments, modified oligonucleotides comprise one or more nucleosides that do not comprise a nucleobase, referred to as an abasic nucleoside.
In certain embodiments, modified nucleobases are selected from: 5-substituted pyrimidines, 6-azapyrimidines, alkyl or alkynyl substituted pyrimidines, alkyl substituted purines, and N-2, N-6 and 0-6 substituted purines. In certain embodiments, modified nucleobases are selected from: 2-aminopropyladenine, 5- hydroxymethyl cytosine, 5- methylcytosine, xanthine, hypoxanthine, 2-aminoadenine, 6-N-methylguanine, 6-N- methyladenine, 2-propyladenine, 2-thiouracil, 2-thiothymine and 2-thiocytosine, 5-propynyl (C=C-CH3) uracil, 5-propynylcytosine, 6-azouracil, 6-azocytosine, 6-azothymine, 5- ribosyluracil (pseudouracil), 4-thiouracil, 8-halo, 8-amino, 8-thiol, 8-thioalkyl, 8-hydroxyl, 8- aza and other 8-substituted purines, 5-halo, particularly, 5-bromo, 5-trifluoromethyl, 5- halouracil, and 5-halocytosine, 7-methylguanine, 7-methyladenine, 2-F-adenine, 2- aminoadenine, 7-deazaguanine, 7-deazaadenine, 3 -deazaguanine, 3-deazaadenine, 6-N- benzoyladenine, 2-N-isobutyrylguanine, 4-N-benzoylcytosine, 4-N-benzoyluracil, 5-methyl 4-N-benzoylcytosine, 5-methyl 4-N-benzoyluracil, universal bases, hydrophobic bases, promiscuous bases, size expanded bases, and fluorinated bases. Further modified nucleobases include tricyclic pyrimidines, such as l,3-diazaphenoxazine-2-one, l,3-diazaphenothiazine-2- one, and 9-(2-aminoethoxy)-l,3-diazaphenoxazine-2-one (G-clamp). Modified nucleobases may also include those in which the purine or pyrimidine base is replaced with other heterocycles, for example, 7-deaza- adenine, 7-deazaguanosine, 2-aminopyridine and 2- pyridone.
Further nucleobases include those disclosed in U.S. Patent 3,687,808; Modified Nucleosides in Biochemistry, Biotechnology and Medicine, Herdewijn, P. ed. Wiley-VCH, 2008; The Concise Encyclopedia Of Polymer Science And Engineering, pages 858-859; Kroschwitz, J.L., Ed., John Wiley & Sons, 1990, 858-859; Englisch et al., Angewandte Chemie, International Edition, 1991, 30, 613; Sanghvi, Y.S., Chapter 15, dsRNA Research and Applications, pages 289-302; Antisense Research and Applications, Crooke, S.T. and Lebleu, B., Eds., CRC Press, 1993, 273-288; Antisense Drug Technology, Crooke S.T., Ed., CRC Press, 2008, 163-166 and 442-443 (Chapters 6 and 15), each of which are hereby incorporated herein by reference.
Publications that teach the preparation of certain of the above noted modified nucleobases, as well as other modified nucleobases include without limitation, US Application Publication Nos. 2003/0158403 and 2003/0175906; U.S. Patents 4,845,205; 5,130,302; 5,134,066; 5,175,273; 5,367,066; 5,432,272; 5,434,257; 5,457,187; 5,459,255; 5,484,908; 5,502,177; 5,525,711; 5,552,540; 5,587,469; 5,594,121; 5,596,091; 5,614,617; 5,645,985; 5,681,941; 5,811,534; 5,750,692; 5,948,903; 5,587,470; 5,457,191; 5,763,588; 5,830,653; 5,808,027; 6,005,096. 6,015,886; 6,147,200; 6,166,197; 6,166,199; 6,222,025; 6,235,887; 6,380,368; 6,528,640; 6,639,062; 6,617,438; 7,045,610; 7,427,672; and 7,495,088, the entire contents of each of which are hereby incorporated herein by reference. In certain embodiments, compounds described herein comprise oligonucleotides. In certain embodiments, oligonucleotides comprise modified and/or unmodified nucleobases arranged along the oligonucleotide or region thereof in a defined pattern or motif. In certain embodiments, each nucleobase is modified. In certain embodiments, none of the nucleobases are modified. In certain embodiments, each purine or each pyrimidine is modified. In certain embodiments, each adenine is modified. In certain embodiments, each guanine is modified. In certain embodiments, each thymine is modified. In certain embodiments, each uracil is modified. In certain embodiments, each cytosine is modified. In certain embodiments, some or all of the cytosine nucleobases in a modified oligonucleotide are 5-methylcytosines.
In certain embodiments, modified oligonucleotides comprise a block of modified nucleobases. In certain such embodiments, the block is at the 3 ’-end of the oligonucleotide. In certain embodiments, the block is within 3 nucleosides of the 3’-end of the oligonucleotide. In certain embodiments, the block is at the 5’-end of the oligonucleotide. In certain embodiments, the block is within 3 nucleosides of the 5 ’-end of the oligonucleotide.
Internucleoside Linkage Modifications and Motifs
A 3' to 5' phosphodiester linkage is the naturally occurring internucleoside linkage of RNA and DNA. In certain embodiments, compounds described herein have one or more modified, i.e. non-naturally occurring, intemucleoside linkages. Certain non-naturally occurring internucleoside linkages may impart desirable properties such as, for example, enhanced cellular uptake, enhanced affinity for target nucleic acids, and increased stability in the presence of nucleases. Representative phosphorus-containing modified intemucleoside linkages include, but are not limited to, phosphotriesters, alkylphosphonates (e.g. methylphosphonates), phosphoramidates, and phosphorothioates (“P=S”), and phosphorodithioates (“HS-P=S”). Representative non-phosphorus containing intemucleoside linking groups include, but are not limited to, methylenemethylimino (-CH2-N(CH3)-O-CH2), thiodiester, thionocarbamate (-O-C(=O)(NH)-S-); siloxane (-O-Sith-O-); and N,N'- dimethylhydrazine (-CH2-N((CH3)-N((CH3)-). Methods of preparation of phosphorous- containing and non-phosphorous-containing intemucleoside linkages are well known to those skilled in the art. Neutral intemucleoside linkages include, without limitation, phosphotriesters, methylphosphonates, MMI (3'-CH2-N(CH3)-O-5'), amide-3 (3'-CH2-C(=O)- N(H)-5'), amide-4 (3'-CH2-N(H)-C(=O)-5'), formacetal (3'-O-CH2-O-5'), methoxypropyl, and thioformacetal (3'-S-CH2-O-5'). Further neutral intemucleoside linkages include nonionic linkages comprising siloxane (dialkylsiloxane), carboxylate ester, carboxamide, sulfide, sulfonate ester and amides (See, for example: Carbohydrate Modifications in Antisense Research; Y.S. Sanghvi and P.D. Cook, Eds., ACS Symposium Series 580; Chapters 3 and 4, 40-65). Further neutral intemucleoside linkages include nonionic linkages comprising mixed N, O, S and CH2 component parts.
In certain embodiments, compounds provided herein comprise at least one modified intemucleoside linkage. A modified internucleoside linkage may be placed at any position of an oligonucleotide. For double-stranded compounds, a modified internucleoside linkage may be placed within the sense oligonucleotide, antisense oligonucleotide, or both oligonucleotides of the double-stranded compound.
In certain embodiments, the internucleoside linkage modification may occur on every nucleoside of an oligonucleotide. In certain embodiments, intemucleoside linkage modifications may occur in an alternating pattern along an oligonucleotide. In certain embodiments, essentially each intemucleoside linking group is a phosphate intemucleoside linkage (P=O). In certain embodiments, each intemucleoside linking group of a modified oligonucleotide is a phosphorothioate (P=S). In certain embodiments, each intemucleoside linking group of a modified oligonucleotide is independently selected from a phosphorothioate and phosphate intemucleoside linkage. In certain embodiments, the pattern of the intemucleoside linkage modification on each oligonucleotide of a double- stranded compound is the same. In certain embodiments, the pattern of the intemucleoside linkage modification on each oligonucleotide of a double-stranded compound is different. In certain embodiments, a double-stranded compound comprises 6-8 modified intemucleoside linkages. In certain embodiments, the 6-8 modified intemucleoside linkages are phosphorothioate intemucleoside linkages or alkylphosphonate intemucleoside linkages. In certain embodiments, the sense oligonucleotide comprises at least two modified intemucleoside linkages at either or both the 5 ’-end and the 3 ’-end. In certain such embodiments, the modified intemucleoside linkages are phosphorothioate intemucleoside linkages or alkylphosphonate intemucleoside linkages. In certain embodiments, the antisense oligonucleotide comprises at least two modified intemucleoside linkages at either or both the 5’-end and the 3’-end. In certain such embodiments, the modified intemucleoside linkages are phosphorothioate intemucleoside linkages or alkylphosphonate intemucleoside linkages. In certain embodiments, a double- stranded compound comprises an overhang region. In certain embodiments, a double- stranded compound comprises a phosphorothioate or alkylphosphonate intemucleoside linkage modification in the overhang region. In certain embodiments, a double-stranded compound comprises a phosphorothioate or alkylphosphonate intemucleotide linkage linking the overhang nucleotide with a paired nucleotide that is next to the overhang nucleotide. For instance, there may be at least two phosphorothioate internucleoside linkages between the terminal three nucleosides, in which two of the three nucleosides are overhang nucleosides, and the third is a paired nucleoside next to the overhang nucleoside. These terminal three nucleosides may be at the 3 ’-end of the antisense oligonucleotide, the 3 ’-end of the sense oligonucleotide, the 5 ’-end of the antisense oligonucleotide, or the 5 ’end of the antisense oligonucleotide.
In certain embodiments, modified oligonucleotides comprise one or more intemucleoside linkages having chiral centers. Representative chiral internucleoside linkages include, but are not limited to, alkylphosphonates and phosphorothioates. Modified oligonucleotides comprising internucleoside linkages having chiral centers can be prepared as populations of modified oligonucleotides comprising stereorandom internucleoside linkages, or as populations of modified oligonucleotides comprising phosphorothioate linkages in particular stereochemical configurations. In certain embodiments, populations of modified oligonucleotides comprise phosphorothioate intemucleoside linkages wherein all of the phosphorothioate intemucleoside linkages are stereorandom. Such modified oligonucleotides can be generated using synthetic methods that result in random selection of the stereochemical configuration of each phosphorothioate linkage. As is well understood by those of skill in the art, each individual phosphorothioate of each individual oligonucleotide molecule has a defined stereoconfiguration. In certain embodiments, populations of modified oligonucleotides are enriched for modified oligonucleotides comprising one or more particular phosphorothioate intemucleoside linkages in a particular, independently selected stereochemical configuration. In certain embodiments, the particular configuration of the particular phosphorothioate linkage is present in at least 65% of the molecules in the population. In certain embodiments, the particular configuration of the particular phosphorothioate linkage is present in at least 70% of the molecules in the population. In certain embodiments, the particular configuration of the particular phosphorothioate linkage is present in at least 80% of the molecules in the population. In certain embodiments, the particular configuration of the particular phosphorothioate linkage is present in at least 90% of the molecules in the population. In certain embodiments, the particular configuration of the particular phosphoro thio ate linkage is present in at least 99% of the molecules in the population. Such enriched populations of modified oligonucleotides can be generated using synthetic methods known in the art, e.g., methods described in Oka et al., JACS 125, 8307 (2003), Wan et al. Nuc. Acid. Res. 42, 13456 (2014), and WO 2017/015555. In certain embodiments, a population of modified oligonucleotides is enriched for modified oligonucleotides having at least one indicated phosphorothioate in the (Sp) configuration. In certain embodiments, a population of modified oligonucleotides is enriched for modified oligonucleotides having at least one phosphorothioate in the (Rp) configuration.
Conjugate Groups
In certain embodiments, the compounds described herein comprise or consist of one or more oligonucleotides and, optionally, one or more conjugate groups. Conjugate groups may be attached to either or both ends of an oligonucleotide and/or at any internal position. In certain embodiments, a conjugate group is attached at the 3’ end of an oligonucleotide. In certain embodiments, a conjugate group is attached at the 5’ end of an oligonucleotide. In certain embodiments, oligonucleotides are covalently attached to one or more conjugate groups.
In certain embodiments, conjugate groups are terminal groups attached to either or both ends of an oligonucleotide. In certain such embodiments, terminal groups are attached at the 3’ end of an oligonucleotide. In certain such embodiments, terminal groups are attached at the 5’ end of an oligonucleotide. In certain embodiments, terminal groups include, but are not limited to, capping groups, phosphate moieties, protecting groups, modified or unmodified nucleosides, and two or more nucleosides that are independently modified or unmodified, such as an overhang.
In certain embodiments, conjugate groups modify one or more properties of the attached oligonucleotide, including, but not limited to, pharmacodynamics, pharmacokinetics, stability, activity, half-life, binding, absorption, tissue distribution, cellular distribution, cellular uptake, charge and clearance. In certain embodiments, conjugate groups enhance the affinity of a compound for a selected target, e.g., molecule, cell or cell type, compartment, e.g., a cellular or organ compartment, tissue, organ or region of the body, as, e.g., compared to a compound absent such a conjugate group. In certain embodiments, conjugate groups impart a new property on the attached oligonucleotide, e.g., fluorophores or reporter groups that enable detection of the oligonucleotide.
In certain embodiments, conjugate groups include, but are not limited to, intercalators, reporter molecules, polyamines, polyamides, peptides, carbohydrates, vitamin moieties, polyethylene glycols, thioethers, polyethers, cholesterols, thiocholesterols, cholic acid moieties, folate, lipids, phospholipids, biotin, phenazine, phenanthridine, anthraquinone, adamantane, acridine, fluoresceins, rhodamines, coumarins, fluorophores, and dyes.
In certain embodiments, conjugate groups include an active drug substance, for example, aspirin, warfarin, phenylbutazone, ibuprofen, suprofen, fen-bufen, ketoprofen, (S)- (+)-pranoprofen, carprofen, dansylsarcosine, 2,3,5-triiodobenzoic acid, fingolimod, flufenamic acid, folinic acid, a benzothiadiazide, chlorothiazide, a diazepine, indo-methicin, a barbiturate, a cephalosporin, a sulfa drug, an antidiabetic, an antibacterial, or an antibiotic.
In certain embodiments, conjugate groups are targeting moieties. In certain embodiments, a targeting moiety includes, but is not limited to, a lectin, glycoprotein, lipid, protein, peptide, peptide mimetic, receptor ligand, antibody, thyrotropin, melanotropin, surfactant protein A, carbohydrate, carbohydrate derivative, modified carbohydrate, carbohydrate cluster, polysaccharide, modified polysaccharide, or polysaccharide derivative, mucin carbohydrate, multivalent lactose, multivalent galactose, N-acetyl-galactosamine (GalNAc), N-acetylglucosamine multivalent mannose, multivalent fucose, glycosylated polyaminoacids, multivalent galactose, transferrin, bisphosphonate, polyglutamate, polyaspartate, a lipid, cholesterol, a steroid, bile acid, folate, vitamin B12, vitamin A, biotin, or an RGD peptide or RGD peptide mimetic.
In certain embodiments, conjugate groups may include, but are not limited to, the conjugate groups described in the following references such as cholesterol (e.g., Letsinger et al., Proc. Natl. Acid. Sci. USA, 1989, 86: 6553-6556), cholic acid (e.g., Manoharan et al., Biorg. Med. Chem. Let., 1994, 4:1053-1060), thioether, e.g., hexyl-S-tritylthiol (e.g., Manoharan et al., Ann. NY. Acad. Sci., 1992, 660:306-309; Manoharan et al., Biorg. Med. Chem. Let., 1993, 3:2765-2770), thiocholesterol (e.g., Oberhauser et al., Nucl. Acids Res., 1992, 20:533-538), aliphatic chains, e.g., do-decan-diol or undecyl residues (e.g., Saison- Behmoaras et al., EMBO J, 1991, 10:1111-1118; Kabanov et al., FEBS Lett., 1990, 259:327- 330; Svinarchuk et al., Biochimie, 1993, 75:49-54), phospholipids, e.g., di-hexadecyl-rac- glycerol or triethyl- ammonium l,2-di-O-hexadecyl-rac-glycero-3-H-phosphonate (e.g, Manoharan et al., Tetrahedron Lett., 1995, 36:3651-3654; Shea et al., Nucl. Acids Res., 1990, 18:3777-3783), polyamines or a polyethylene glycol chains (e.g., Manoharan et al., Nucleosides & Nucleotides, 1995, 14:969-973), adamantane acetic acid (e.g., Manoharan et al., Tetrahedron Lett., 1995, 36:3651-3654), palmityl (e.g., Mishra et al., Biochim. Biophys. Acta, 1995, 1264:229-237), octadecylamine or hexylamino-carbonyloxychole sterol moiety (e.g., Crooke et al. J. Pharmacol. Exp. Ther., 1996, 277:923-937), tocopherol (e.g., Nishina et al., Molecular Therapy Nucleic Acids, 2015, 4, e220 and Nishina et al., Molecular Therapy, 2008, 16:734-740), GalNAc and other carbohydrates (e.g., Maier et al., Bioconjugate Chemistry, 2003, 14, 18-29; Rensen et al., J. Med. Chem. 2004, 47, 5798-5808; W02009/073809 and US Patents 8,106,022; 8,450,467 and 8,828,957; and WO2014/179445; WO2014/179620 and US Patents 9,127,276; 9,181,549 and 10,844,379) each of which is incorporated herein by reference in its entirety.
Conjugate groups may be attached to oligonucleotides through conjugate linkers. In certain embodiments, a conjugate linker comprises a chain structure, such as a hydrocarbyl chain, or an oligomer of repeating units or combination of such repeating units. In certain embodiments, a conjugate linker comprises one or more groups selected from alkyl, amino, oxo, amide, disulfide, polyethylene glycol, ether, thioether, and hydroxylamino. In certain embodiments, a conjugate linker comprises at least one phosphorus group. In certain embodiments, a conjugate linker comprises at least one phosphate group. In certain embodiments, a conjugate linker includes at least one neutral linking group. In certain embodiments, conjugate linkers include, but are not limited to, pyrrolidine, 8-amino-3,6- dioxaoctanoic acid (ADO), succinimidyl 4-(N-maleimidomethyl) cyclohexane- 1 -carboxylate (SMCC) and 6-aminohexanoic acid (AHEX or AHA). Other conjugate linkers include, but are not limited to, substituted or unsubstituted Ci-Cio alkyl, substituted or unsubstituted C2- C10 alkenyl, or substituted or unsubstituted C2-C10 alkynyl, wherein a nonlimiting list of preferred substituent groups includes hydroxyl, amino, alkoxy, carboxy, benzyl, phenyl, nitro, thiol, thioalkoxy, halogen, alkyl, aryl, alkenyl, and alkynyl. In certain embodiments, conjugate linkers comprise 1-10 linker- nucleosides. In certain embodiments, such linker- nucleosides may be modified or unmodified nucleosides. It is typically desirable for linker- nucleosides to be cleaved from the compound after it reaches a target tissue. Accordingly, linker-nucleosides herein can be linked to one another and to the remainder of the compound through cleavable bonds. Herein, linker-nucleosides are not considered to be part of the oligonucleotide. Accordingly, in embodiments in which a compound comprises an oligonucleotide consisting of a specified number or range of linked nucleosides and/or a specified percent complementarity to a reference nucleic acid and the compound also comprises a conjugate group comprising a conjugate linker comprising linker-nucleosides, those linker-nucleosides are not counted toward the length of the oligonucleotide and are not used in determining the percent complementarity of the oligonucleotide for the reference nucleic acid.
In certain embodiments, conjugate groups and conjugate linkers as well as other modifications include, without limitation, those described in the following references: US 5,994,517; US 6,300,319; US 6,660,720; US 6,906,182; US 7,262,177; US 7,491,805; US 8,106,022; US 7,723,509; US 9,127,276; US 2006/0148740; US 2011/0123520;
WO20 13/033230; WO2012/037254, Biessen et al., J. Med. Chem. 1995, 38, 1846-1852; Lee et al., Bioorganic & Medicinal Chemistry 2011,19, 2494-2500; Rensen et al., J. Biol. Chem. 2001, 276, 37577-37584; Rensen et al., J. Med. Chem. 2004, 47, 5798-5808; Sliedregt et al., J. Med. Chem. 1999, 42, 609-618; Valentijn et al., Tetrahedron, 1997, 53, 759-770; Lee, Carhohydr Res, 1978, 67, 509-514; Connolly et al., J Biol Chem, 1982, 257, 939-945; Pavia et al., Int J Pep Protein Res, 1983, 22, 539-548; Lee et al., Biochem, 1984, 23, 4255-4261; Lee et al., Glycoconjugate J, 1987, 4, 317-328; Toyokuni et al., Tetrahedron Lett, 1990, 31, 2673-2676; Biessen et al., J Med Chem, 1995, 38, 1538-1546; Valentijn et al., Tetrahedron, 1997, 53, 759-770; Kim et al., Tetrahedron Lett, 1997, 38, 3487-3490; Lee et al., Bioconjug Chem, 1997, 8, 762-765; Kato et al., Glycohiol, 2001, 11, 821-829; Rensen et al., J Biol Chem, 2001, 276, 37577-37584; Lee et al., Methods Enzymol, 2003, 362, 38-43; Westerlind et al., Glycoconj J, 2004, 21, 227-241; Lee et al., Bioorg Med Chem Lett, 2006, 16(19), 5132-5135; Maierhofer et al., Bioorg Med Chem, 2007, 15, 7661-7676; Khorev et al., Bioorg Med Chem, 2008, 16, 5216-5231; Lee et al., Bioorg Med Chem, 2011, 19, 2494-2500;
Kornilova et al., Analyt Biochem, 2012, 425, 43-46; Pujol et al., Angew Chemie Int Ed Engl, 2012, 51, 7445-7448; Biessen et al., J Med Chem, 1995, 38, 1846-1852; Sliedregt et al., J Med Chem, 1999, 42, 609-618; Rensen et al., J Med Chem, 2004, 47, 5798-5808; Rensen et al., Arterioscler Thromh Vase Biol, 2006, 26, 169-175; van Rossenberg et al., Gene Ther, 2004, 11, 457-464; Sato et al., JAm Chem Soc, 2004, 126, 14013-14022; Lee et al., J Org Chem, 2012, 77, 7564-7571; Biessen et al., FASEB J, 2000, 14, 1784-1792; Rajur et al., Bioconjug Chem, 1997, 8, 935-940; Duff et al., Methods Enzymol, 2000, 313, 297-321; Maier et al., Bioconjug Chem, 2003, 14, 18-29; Jayaprakash et al., Org Lett, 2010, 12, 5410- 5413; Manoharan, Antisense Nucleic Acid Drug Dev, 2002, 12, 103-128; Merwin et al., Bioconjug Chem, 1994, 5, 612-620; Tomiya et al., Bioorg Med Chem, 2013, 21, 5275-5281; International applications WO1998/013381; WO2011/038356; WO 1997/046098;
W02008/098788; W02004/101619; WO2012/037254; WO2011/120053; WO2011/100131;
WO201 1/163121; WO2012/177947; W02013/033230; W02013/075035; WO2012/083185; W02012/083046; W02009/082607; W02009/ 134487; W02010/144740; W02010/148013; WO 1997/020563; W02010/088537; W02002/043771 ; W02010/129709; WO2012/068187;
WO2009/126933; W02004/024757; WO2010/054406; WO2012/089352; W02012/089602;
WO2013/166121; WO2013/165816; U.S. Patents 4,751,219; 7,582,744; 8,552,163;
8,137,695; 6,908,903; 6,383,812; 7,262,177; 6,525,031; 5,994,517; 6,660,720; 6,300,319;
7,723,509; 8,106,022; 7,491,805; 7,491,805; 8,541,548; 8,344,125; 8,313,772; 8,349,308;
8,450,467; 8,501,930; 8,158,601; 7,262,177; 6,906,182; 6,620,916; 8,435,491; 8,404,862;
7,851,615; Published U.S. Patent Application Publications US2011/0097264;
US2011/0097265; US2013/0004427; US2003/0119724; US2011/0207799;
US2012/0035115; US2012/0230938; US2005/0164235; US2006/0183886;
US2012/0136042; US2012/0095075; US2013/0109817; US2006/0148740;
US2008/0206869; US2012/0165393; US2012/0101148; US2013/0121954;
US2011/0123520; US2003/0077829; US2008/0108801; and US2009/0203132; each of which is incorporated herein by reference in its entirety.
Certain Conjugate Groups
In certain embodiments, a compound provided herein comprises a conjugate group.
In certain embodiments, an oligonucleotide provided herein comprises a conjugate group. In certain embodiments, the conjugate group is a targeting moiety. In certain embodiments, the targeting moiety comprises one or more TrkB ligands.
In certain embodiments, the TrkB ligand of a modified oligonucleotide is of the Formula (I) or a salt, solvate, or hydrate thereof:
Figure imgf000088_0001
Formula (I), wherein:
R1 is the modified oligonucleotide;
L1, L2, L3, and L4 are as described herein;
R2 is hydrogen, -OR7, -SR8, or -NR9R10;
R3 is hydrogen, -OR11, -SR12, or -NR13R14;
R4 is hydrogen, -OR15, -SR16, or -NR17R18;
R5 is hydrogen, -OR19, -SR20, or -NR21R22;
R6 is hydrogen, -OH, optionally substituted -O-alkyl, optionally substituted -OAc, - NH2, optionally substituted -NHAc, -SH, or =0;
R7, R8, R9, R10, R11, R12, R13, R14, R15, R16, R17, R18, R19, R20, R21, and R22 are each independently hydrogen, optionally substituted alkyl, optionally substituted heteroalkyl, optionally substituted cycloalkyl, optionally substituted heterocycloalkyl, optionally substituted aryl, optionally substituted heteroaryl;
Y is CH2, NH, S, or O; and
Z is optionally substituted aryl or optionally substituted heteroaryl.
In certain embodiments, R7, R8, R9, R10, R11, R12, R13, R14, R15, R16, R17, R18, R19, R20, R21, and R22 are each independently optionally substituted unsaturated or partially unsaturated alkyl. In certain embodiments, R7, R8, R9, and R10 are each independently alkenyl. In certain embodiments, R7, R8, R9, and R10 are each independently alkynyl.
In certain embodiments, R2 is OR7. In certain embodiments, R3 is OR11. In certain embodiments, R7 and R11 are each independently hydrogen, optionally substituted alkyl or optionally substituted alkenyl. In certain embodiments, one or both R7 and R11 are each independently hydrogen. In certain embodiments, one or both R7 and R11 are each independently optionally substituted alkyl. In certain embodiments, one or both R7 and R11 are each independently optionally substituted unsaturated or partially unsaturated alkyl. In certain embodiments, one or both R7 and R11 are each independently alkenyl. In certain embodiments, R7 is optionally substituted alkyl and R11 is hydrogen. In certain embodiments, R7 is hydrogen and R11 is optionally substituted alkyl. In certain embodiments, R7 is alkenyl and R11 is hydrogen. In certain embodiments, R7 is hydrogen and R11 is optionally substituted alkenyl.
In certain embodiments, the TrkB ligand of a modified oligonucleotide is selected from the following Formulae or a salt, solvate, or hydrate thereof:
Figure imgf000090_0001
Formula (II-C), wherein:
R1 is the modified oligonucleotide; and
L1, L2, L3, and L4 are as described herein.
In certain embodiments, L1, L2, L3, and L4 are each independently absent, a bond, an optionally substituted alkyl linker, an optionally substituted polyethylene glycol (PEG) linker, an optionally substituted heteroalkyl linker, or an optionally substituted heteroaryl linker.
In certain embodiments, L1 is an optionally substituted heteroaryl linker.
In certain embodiments, L1 is an optionally substituted unsaturated heteroaryl, an optionally substituted heteroaryl or an optionally substituted saturated or partially unsaturated heterocycloalkyl linker. In certain embodiments, L1 comprises the structure:
Figure imgf000091_0001
In certain embodiments, L1 is an optionally substituted heteroalkyl linker. In certain embodiments, the optionally substituted heteroalkyl linker is an optionally substituted heteroalkyl or optionally substituted C1-C10 alkyl chain in which one or more carbon atoms are replaced with O, N, or S.
In certain embodiments, L1 comprises the structure:
Figure imgf000091_0002
In certain embodiments, L1 comprises the structure:
Figure imgf000091_0003
or -N(CH3)-.
In certain embodiments, L2 is an optionally substituted PEG linker.
In certain embodiments, the PEG linker is five PEG units in length. In certain embodiments, the PEG linker is four PEG units in length. In certain embodiments, the PEG linker is three PEG units in length.
In certain embodiments, L2 is an optionally substituted alkyl linker. In certain embodiments, L2 is an optionally substituted C1-20 alkyl linker. In certain embodiments, L2 is an optionally substituted Cs alkyl linker. In certain embodiments, L3 is an optionally substituted heteroaryl linker.
In certain embodiments, L3 is an optionally substituted partially unsaturated heteroaryl linker, an optionally substituted heteroaryl or an optionally substituted saturated or partially unsaturated heterocycloalkyl linker.
In certain embodiments, L3 comprises the structure:
Figure imgf000091_0004
In certain embodiments, L4 is an optionally substituted heteroalkyl linker. In certain embodiments, the heteroalkyl linker is substituted with one or more =0 substituents. In certain embodiments, the heteroalkyl linker comprises two substituents joined together to form an optionally substituted carbocyclyl ring.
In certain embodiments, L4 comprises the structure:
Figure imgf000092_0001
In certain embodiments, L4 comprises the structure:
Figure imgf000092_0002
X is O or S.
In certain embodiments, L1- L2-L3-L4 comprises the structure:
Figure imgf000092_0003
Figure imgf000093_0001
Figure imgf000094_0001
Figure imgf000095_0001
Figure imgf000096_0001
or a salt thereof, wherein X is O or S.
In certain embodiments, the TrkB ligand of a modified oligonucleotide is selected from the following Formulae or a salt, solvate, or hydrate thereof:
Figure imgf000096_0002
Formula (V),
Figure imgf000097_0001
Formula (IX),
Figure imgf000098_0001
Formula (XII),
Figure imgf000099_0001
Formula (XVI),
Figure imgf000100_0001
Formula (XX), wherein:
R is the modified oligonucleotide; and
X is S or O.
In certain embodiments, a compound provided herein comprises a conjugate group.
In certain embodiments, an oligonucleotide provided herein comprises a conjugate group. In certain embodiments, the conjugate group is a lipid. In certain embodiments, an intemucleoside linkage of a modified oligonucleotide provided herein comprises one or more lipids.
In certain embodiments, an internucleoside linkage of the modified oligonucleotide comprises Formula (XXI), or a salt solvate, or hydrate thereof:
Figure imgf000101_0001
Formula (XXI), wherein:
Y is -C(=O)N(Rc)-, or -N(Rc)C(=O)-;
Q1 and Q3 are each independently -H, -OR4, a ligand, a linker, or a lipid;
Figure imgf000101_0002
Q2 and Q4 are each independently a bond, X , a ligand, a linker, or a lipid;
Rc is independently -H, substituted or unsubstituted alkyl, substituted or unsubstituted alkenyl, substituted or unsubstituted alkynyl, substituted or unsubstituted heteroalkyl, substituted or unsubstituted aryl, or substituted or unsubstituted heteroaryl; each R2 is independently -H, halogen, substituted or unsubstituted alkyl, substituted or unsubstituted alkenyl, substituted or unsubstituted alkynyl, -OR6, -N(R6), or -SR6; each R3 is independently -H, halogen, substituted or unsubstituted alkyl, substituted or unsubstituted alkenyl, substituted or unsubstituted alkynyl, -OR7, -N(R7), or -SR7;
R4 and R5 are independently an oligonucleotide, or R4 and R5 are joined together to form a single oligonucleotide; each R6 is independently hydrogen, substituted or unsubstituted alkyl, or substituted or unsubstituted heteroalkyl; each R7 is independently hydrogen, substituted or unsubstituted alkyl, or substituted or unsubstituted heteroalkyl; each R8 is independently an substituted or unsubstituted heteroaryl; each R9 is independently an substituted or unsubstituted heteroaryl; each instance of Z1 or Z2 is independently a bond, Ci-Ce alkylene, or C2-C6 alkenylene; and each X is independently O or S; or a salt thereof. In certain embodiments, an internucleoside linkage of the modified oligonucleotide comprises Formula (XXII), or a salt solvate, or hydrate thereof:
Figure imgf000102_0001
Formula (XXII), wherein: Rc is -H, substituted or unsubstituted alkyl, substituted or unsubstituted alkenyl, substituted or unsubstituted alkynyl, substituted or unsubstituted heteroalkyl, substituted or unsubstituted aryl, or substituted or unsubstituted heteroaryl; each R2 is independently -H, halogen, substituted or unsubstituted alkyl, substituted or unsubstituted alkenyl, substituted or unsubstituted alkynyl, -OR6, -N(R6), or -SR6; each R3 is independently -H, halogen, substituted or unsubstituted alkyl, substituted or unsubstituted alkenyl, substituted or unsubstituted alkynyl, -OR7, -N(R7), or -SR7;
R4 and R5 are independently an oligonucleotide, or R4 and R5 are joined together to form a single oligonucleotide; each R6 is independently hydrogen, substituted or unsubstituted alkyl, or substituted or unsubstituted heteroalkyl; each R7 is independently hydrogen, substituted or unsubstituted alkyl, or substituted or unsubstituted heteroalkyl; each R8 is independently a substituted or unsubstituted heteroaryl ring; each R9 is independently a substituted or unsubstituted heteroaryl ring; and each X is independently O or S; or a salt or prodrug thereof.
In certain embodiments, an internucleoside linkage of the modified oligonucleotide comprises Formula (XXIII), or a salt solvate, or hydrate thereof:
Figure imgf000103_0001
Formula (XXIII), wherein: each R2 is independently -H, halogen, substituted or unsubstituted alkyl, substituted or unsubstituted alkenyl, substituted or unsubstituted alkynyl, -OR6, -N(R6), or -SR6; each R3 is independently -H, halogen, substituted or unsubstituted alkyl, substituted or unsubstituted alkenyl, substituted or unsubstituted alkynyl, -OR7, -N(R7), or -SR7;
R4 and R5 are independently an oligonucleotide, or R4 and R5 are joined together to form a single oligonucleotide; each R6 is independently hydrogen, substituted or unsubstituted alkyl, or substituted or unsubstituted heteroalkyl; each R7 is independently hydrogen, substituted or unsubstituted alkyl, or substituted or unsubstituted heteroalkyl; each R8 is independently a substituted or unsubstituted heteroaryl ring; each R9 is independently a substituted or unsubstituted heteroaryl ring; and each X is independently O or S; or a salt or prodrug thereof.
In certain embodiments, an internucleoside linkage of the modified oligonucleotide comprises Formula (XXIV), or a salt solvate, or hydrate thereof:
Figure imgf000104_0001
Formula (XXIV), wherein:
R4 and R5 are independently an oligonucleotide, or R4 and R5 are joined together to form a single oligonucleotide; and each X is independently O or S.
In certain embodiments, the compound of any preceding embodiment comprises one or more lipid conjugate groups. In certain embodiments, the one or more lipid conjugate groups are attached to one or more intemucleoside linkages of the modified oligonucleotide. In certain embodiments, the one or more lipid conjugate groups are attached to the 5’ or 3’ end of the modified oligonucleotide. In certain embodiments, the one or more lipid conjugate groups are attached to an internucleoside linkage and the 5’ or 3’ end of the modified oligonucleotide. In certain embodiments, the one or more lipid conjugate groups are attached to an intemucleoside linkage and both the 5’ and 3’ ends of the modified oligonucleotide. In certain embodiments, the one or more TrkB ligands are attached to the 5’ or 3’ end of the modified oligonucleotide or both the 5’ and 3’ ends of the modified oligonucleotide. In certain embodiments, the one or more conjugate groups comprise at least one TrkB ligand attached to the 5’ or 3’ end of the modified oligonucleotide or both the 5’ and 3’ ends of the modified oligonucleotide and at least one lipid. In certain embodiments, the one or more conjugate groups comprise at least one TrkB ligand attached to the 5’ or 3’ end of the modified oligonucleotide or both the 5’ and 3’ ends of the modified oligonucleotide and one or more lipid conjugate groups attached to one or more internucleoside linkages of the modified oligonucleotide. In certain embodiments, the modified oligonucleotide comprises a TrkB ligand and a lipid. In certain embodiments, the modified oligonucleotide comprises one or more TrkB ligands and one or more lipids. In certain embodiments, the modified oligonucleotide is the second modified oligonucleotide or sense oligonucleotide.
In certain embodiments, the compound of any preceding embodiment comprises one or more substituted or unsubstituted alkyl or alkenyl. In certain embodiments, the substituted or unsubstituted alkyl or alkenyl is attached to an internucleoside linkage of a modified oligonucleotide. In certain embodiments, the modified oligonucleotide comprises one or more substituted or unsubstituted alkyl or alkenyl. In certain embodiments, the one or more substituted or unsubstituted alkyl or alkenyl are attached to one or more intemucleoside linkages of the modified oligonucleotide. In certain embodiments, the modified oligonucleotide is the second modified oligonucleotide or sense oligonucleotide. In certain embodiments, the one or more substituted or unsubstituted alkyl or alkenyl comprise a saturated or unsaturated C4-C30 hydrocarbon chain. In certain embodiments, the one or more substituted or unsubstituted alkyl or alkenyl comprise a saturated or unsaturated C5-C20 hydrocarbon chain. In certain embodiments, the one or more substituted or unsubstituted alkyl or alkenyl comprise a saturated or unsaturated C14-C20 hydrocarbon chain. In certain embodiments, the one or more substituted or unsubstituted alkyl or alkenyl comprise a saturated or unsaturated Ci6 hydrocarbon chain. In certain embodiments, the one or more substituted or unsubstituted alkyl or alkenyl comprise a saturated or unsaturated C17 hydrocarbon chain. In certain embodiments, the one or more substituted or unsubstituted alkyl or alkenyl comprise a saturated or unsaturated Cis hydrocarbon chain. In certain embodiments, the one or more substituted or unsubstituted alkyl or alkenyl comprise a saturated or unsaturated C22 hydrocarbon chain.
In certain embodiments, a substituted or unsubstituted alkyl or alkenyl is attached to an internucleoside linkage of a modified oligonucleotide (e.g., a second modified oligonucleotide or sense oligonucleotide). In certain embodiments, a substituted or unsubstituted alkyl or alkenyl is attached to an internucleoside linkage of a modified oligonucleotide (e.g., a second modified oligonucleotide or sense oligonucleotide). In certain embodiments, the intemucleoside linkage is between nucleosides that are within 10 positions (e.g., within 8 positions, within 6 positions, within 5 positions, within 4 positions, within 3 positions, within 2 positions) from a terminal end (e.g., the 5' and/or 3' end) of the modified oligonucleotide. In certain embodiments, the internucleoside linkage is between nucleosides that are within 5 positions from the 5' end of the modified oligonucleotide. In certain embodiments, the intemucleoside linkage is between nucleosides that are within 5 positions from the 3' end of the modified oligonucleotide.
In certain embodiments, the internucleoside linkage is between positions 1 and 2, positions 2 and 3, positions 3 and 4, positions 4 and 5, positions 5 and 6, positions 6 and 7, positions 7 and 8, positions 8 and 9, positions 9 and 10, positions 10 and 11, positions 11 and 12, positions 12 and 13, or positions 13 and 14 from the 5' end of the modified oligonucleotide. In certain embodiments, the internucleoside linkage is between positions 1 and 2, positions 2 and 3, positions 3 and 4, positions 4 and 5, positions 5 and 6, positions 6 and 7, or positions 7 and 8 from the 5' end of the modified oligonucleotide. In certain embodiments, the intemucleoside linkage is between positions 2 and 3 from the 5' end of the modified oligonucleotide. In certain embodiments, the intemucleoside linkage is between positions 1 and 2, positions 2 and 3, positions 3 and 4, positions 4 and 5, positions 5 and 6, positions 6 and 7, positions 7 and 8, positions 8 and 9, positions 9 and 10, positions 10 and 11, positions 11 and 12, positions 12 and 13, or positions 13 and 14 from the 3' end of the modified oligonucleotide. In certain embodiments, the intemucleoside linkage is between positions 1 and 2, positions 2 and 3, positions 3 and 4, positions 4 and 5, positions 5 and 6, positions 6 and 7, or positions 7 and 8 from the 3' end of the modified oligonucleotide. In certain embodiments, the internucleoside linkage is between positions 2 and 3 from the 3' end of the modified oligonucleotide.
In certain embodiments, the internucleoside linkage of the modified oligonucleotide is selected from any one of Formulae XXI-XXIV.
Target Nucleic Acids and Target Regions
In certain embodiments, compounds described herein comprise or consist of an oligonucleotide comprising a region that is complementary to a target nucleic acid. In certain embodiments, the target nucleic acid is an endogenous RNA molecule. In certain embodiments, the target nucleic acid encodes a protein. In certain embodiments, the target nucleic acid is non-coding. In certain such embodiments, the target nucleic acid is selected from an mRNA and a pre-mRNA, including intronic, exonic and untranslated regions. In certain embodiments, the target RNA is an mRNA. In certain embodiments, the target nucleic acid is a pre-mRNA. In certain such embodiments, the target region is entirely within an exon. In certain such embodiments, the target region is entirely within an intron. In certain embodiments, the target region spans an intron/exon junction. In certain embodiments, the target region is at least 50% within an intron.
In certain embodiments, compounds disclosed herein hybridize with a LRRK2 nucleic acid. The most common mechanism of hybridization involves hydrogen bonding between complementary nucleobases of the nucleic acid molecules. Hybridization can occur under varying conditions. Hybridization conditions are sequence-dependent and are determined by the nature and composition of the nucleic acid molecules to be hybridized. Methods of determining whether a sequence hybridizes specifically to a target nucleic acid are well known in the art. In certain embodiments, the compounds provided herein specifically hybridize with a LRRK2 nucleic acid. Nucleotide sequences that encode LRRK2 include, without limitation, the following: GenBank Accession No. NM_198578.4 (incorporated herein as SEQ ID NO: 1), and nucleotides 5002 to 149290 of NG_011709.2 (incorporated herein as SEQ ID NO: 2).
Complementarity
Oligonucleotides provided herein may have a defined percent complementarity to a particular nucleic acid, target region, oligonucleotide, or portion thereof. Non-complementary nucleobases may be tolerated provided that the oligonucleotide remains able to specifically hybridize to the nucleic acid, oligonucleotide, or portion thereof. In certain embodiments, the oligonucleotides provided herein, or a specified portion thereof are at least, or are up to 70%, 80%, 85%, 86%, 87%, 88%, 89%, 90%, 91%, 92%, 93%, 94%, 95%, 96%, 97%, 98%, 99%, or 100% complementary to a target nucleic acid, a target region, an oligonucleotide or specified portion thereof. In certain embodiments, the oligonucleotides provided herein, or a specified portion thereof, are 70% to 75%, 75% to 80%, 80% to 85%, 85% to 90%, 90% to 95%, 95% to 100%, or any number in between these ranges, complementary to a target nucleic acid, a target region, an oligonucleotide or specified portion thereof. Percent complementarity of an oligonucleotide with a target nucleic acid, a target region, an oligonucleotide or specified portion thereof can be determined using routine methods. For example, an oligonucleotide in which 18 of 20 nucleobases of the oligonucleotide are complementary to a target region, and would therefore specifically hybridize, would represent 90 percent complementarity. In this example, the remaining non-complementary nucleobases may be clustered or interspersed with complementary nucleobases and need not be contiguous to each other or to complementary nucleobases. As such, an oligonucleotide which is 18 nucleobases in length having four non-complementary nucleobases which are flanked by two regions of complete complementarity with the target nucleic acid would have 77.8% overall complementarity with the target nucleic acid. Percent complementarity of an oligonucleotide with a region of a target nucleic acid, a target region, an oligonucleotide or specified portion thereof can be determined routinely using BLAST programs (basic local alignment search tools) known in the art. In certain embodiments, oligonucleotides described herein, or specified portions thereof, are fully complementary (i.e. 100% complementary) to a target nucleic acid, a target region, an oligonucleotide or specified portion thereof. For example, an oligonucleotide may be fully complementary to a target nucleic acid, a target region, an oligonucleotide, or specified portion thereof. As used herein, “fully complementary” means each nucleobase of an oligonucleotide is complementary to the corresponding nucleobase of a target nucleic acid, a target region, an oligonucleotide, or a specified portion thereof. For example, a 20 nucleobase oligonucleotide is fully complementary to a target sequence that is 400 nucleobases long, so long as there is a corresponding 20 nucleobase portion of the target nucleic acid that is fully complementary to the compound. “Fully complementary” can also be used in reference to a specified portion of the first and/or the second nucleic acid. For example, a 20 nucleobase portion of a 30 nucleobase oligonucleotide can be “fully complementary” to a 20 nucleobase region of a target sequence that is 400 nucleobases long. The 20 nucleobase portion of the 30 nucleobase compound is fully complementary to the target sequence if the target sequence has a corresponding 20 nucleobase portion wherein each nucleobase is complementary to the 20 nucleobase portion of the compound. At the same time, the entire 30 nucleobase compound may or may not be fully complementary to the target sequence, depending on whether the remaining 10 nucleobases of the compound are also complementary to the target sequence.
In certain embodiments, oligonucleotides described herein comprise one or more mismatched nucleobases relative to a target nucleic acid, a target region, an oligonucleotide or a specified portion thereof. In certain embodiments, oligonucleotides described herein that are, or are up to 12, 13, 14, 15, 16, 17, 18, 19, 20, 21, 22, or 23 nucleobases in length comprise no more than 4, no more than 3, no more than 2, or no more than 1 non- complementary nucleobase(s) relative to a target nucleic acid, or specified portion thereof. In certain embodiments, oligonucleotides described herein that are, or are up to 14, 15, 16, 17, 18, 19, 20, 21, 22, 23, 24, 25, 26, 27, 28, 29, or 30 nucleobases in length comprise no more than 6, no more than 5, no more than 4, no more than 3, no more than 2, or no more than 1 non-complementary nucleobase(s) relative to a target nucleic acid, a target region, an oligonucleotide, or specified portion thereof. In certain embodiments, the mismatch is at position 1, 2, 3, 4, 5, 6, 7, 8, 9, 10, 11, 12, 13 or 14 from the 5’-end of the oligonucleotide. In certain embodiments, the mismatch is at position 1, 2, 3, 4, 5, 6, 7, 8, 9, 10, 11, or 12, 13 or 14 from the 3’-end of the oligonucleotide. In certain embodiments, the mismatch forms a wobble base pair with a corresponding nucleobase on the target nucleic acid. For example, in certain embodiments, the mismatch forms a wobble base pair selected from hypoxanthine (nucleobase of inosine) and uracil (I:U base pair); guanine and uracil (G:U base pair); hypoxanthine and adenine (I: A base pair); and hypoxanthine and cytosine (I:C base pair). Accordingly, in certain embodiments, a mismatched nucleobase on an oligonucleotide comprises hypoxanthine, guanine, or uracil.
In certain embodiments, oligonucleotides described herein may be complementary to a portion of a nucleic acid. As used herein, “portion” refers to a defined number of contiguous nucleobases within a region of a nucleic acid. A “portion” can also refer to a defined number of contiguous nucleobases of an oligonucleotide. In certain embodiments, the oligonucleotides are complementary to at least an 8 nucleobase portion of a nucleic acid. In certain embodiments, the oligonucleotides are complementary to at least a 9 nucleobase portion of a nucleic acid. In certain embodiments, the oligonucleotides are complementary to at least a 10 nucleobase portion of a nucleic acid. In certain embodiments, the oligonucleotides are complementary to at least an 11 nucleobase portion of a nucleic acid. In certain embodiments, the oligonucleotides are complementary to at least a 12 nucleobase portion of a nucleic acid. In certain embodiments, the oligonucleotides are complementary to at least a 13 nucleobase portion of a nucleic acid. In certain embodiments, the oligonucleotides are complementary to at least a 14 nucleobase portion of a nucleic acid. In certain embodiments, the oligonucleotides are complementary to at least a 15 nucleobase portion of a nucleic acid. In certain embodiments, the oligonucleotides are complementary to at least a 16 nucleobase portion of a nucleic acid. Also contemplated are oligonucleotides that are complementary to at least a 9, 10, 17, 18, 19, 20, 21, 22, 23 or more nucleobase portion of a nucleic acid, or a range defined by any two of these values. In certain embodiments, the oligonucleotide is an antisense oligonucleotide. In certain embodiments, a portion of the antisense oligonucleotide is compared to an equal length portion of the target nucleic acid. In certain embodiments, an 8, 9, 10, 11, 12, 13, 14, 15, 16, 17, 18, 19, 20, 21, 22, 23, 24, or 25 nucleobase portion is compared to an equal length portion of the target nucleic acid. In certain embodiments, the oligonucleotide is a sense oligonucleotide. In certain embodiments, a portion of the sense oligonucleotide is compared to an equal length portion of an antisense oligonucleotide. In certain embodiments, an 8, 9, 10, 11, 12, 13, 14, 15, 16, 17, 18, 19, 20, 21, 22, 23, 24, or 25 nucleobase portion of a sense oligonucleotide is compared to an equal length portion of an antisense oligonucleotide.
Identity
The oligonucleotides provided herein may also have a defined percent identity to a particular nucleic acid, target region, oligonucleotide, or specified portion thereof. As used herein, an oligonucleotide is identical to a sequence disclosed herein if it has the same nucleobase pairing ability. For example, a DNA which contains thymidine in place of uracil in a disclosed RNA sequence would be considered identical to the RNA sequence since both uracil and thymidine pair with adenine. Shortened and lengthened versions of the compounds described herein as well as compounds having non-identical bases relative to the compounds provided herein also are contemplated. The non-identical bases may be adjacent to each other or dispersed throughout the compound. Percent identity of an oligonucleotide is calculated according to the number of bases that have identical base pairing relative to the sequence to which it is being compared. In certain embodiments, oligonucleotides described herein, or portions thereof, are, or are at least, 70%, 75%, 80%, 85%, 90%, 91%, 92%, 93%, 94%, 95%, 96%, 97%, 98%, 99% or 100% identical to one or more of the nucleic acids, oligonucleotides, or a portion thereof, disclosed herein. In certain embodiments, oligonucleotides described herein are about 70%, 75%, 80%, 85%, 90%, 91%, 92%, 93%, 94%, 95%, 96%, 97%, 98%, or 99% identical, or any percentage between such values, to a particular nucleic acid or oligonucleotide, or portion thereof.
In certain embodiments, an oligonucleotide may have one or more mismatched nucleobases. In certain such embodiments, the mismatch is at position 1, 2, 3, 4, 5, 6, 7, 8, 9, 10, 11, 12, 13 or 14 from the 5’-end of the oligonucleotide. In certain such embodiments, the mismatch is at position 1, 2, 3, 4, 5, 6, 7, 8, 9, 10, 11, or 12, 13 or 14 from the 3’-end of the oligonucleotide. In certain embodiments, a portion of the oligonucleotide is compared to an equal length portion of the target nucleic acid. In certain embodiments, an 8, 9, 10, 11, 12, 13, 14, 15, 16, 17, 18, 19, 20, 21, 22, 23, 24, or 25 nucleobase portion is compared to an equal length portion of the target nucleic acid. In certain embodiments, the oligonucleotide is a sense oligonucleotide. In certain embodiments, a portion of the sense oligonucleotide is compared to an equal length portion of the target nucleic acid. In certain embodiments, an 8, 9, 10, 11, 12, 13, 14, 15, 16, 17, 18, 19, 20, 21, 22, 23, 24, or 25 nucleobase portion is compared to an equal length portion of the target nucleic acid.
Pharmaceutical Compositions and Formulations
Compounds described herein may be admixed with pharmaceutically acceptable active or inert substances for the preparation of pharmaceutical compositions or formulations. Compositions and methods for the formulation of pharmaceutical compositions are dependent upon a number of criteria, including, but not limited to, route of administration, extent of disease, or dose to be administered. Certain embodiments provide pharmaceutical compositions comprising one or more compounds or a salt thereof. In certain embodiments, the compounds are antisense oligonucleotides. In certain embodiments, the compounds are oligomeric compounds. In certain embodiments, the compounds comprise or consist of one or more modified oligonucleotides. In certain such embodiments, the pharmaceutical composition comprises one or more compound and a suitable pharmaceutically acceptable diluent or carrier. In certain embodiments, a pharmaceutical composition comprises one or more compound and a sterile saline solution. In certain embodiments, such pharmaceutical composition consists of one compound and a sterile saline solution. In certain embodiments, the sterile saline is pharmaceutical grade saline. In certain embodiments, a pharmaceutical composition comprises one or more compound and sterile water. In certain embodiments, a pharmaceutical composition consists of one compound and sterile water. In certain embodiments, the sterile water is pharmaceutical grade water. In certain embodiments, a pharmaceutical composition comprises one or more compounds and phosphate-buffered saline (PBS). In certain embodiments, a pharmaceutical composition consists of one compound and sterile PBS. In certain embodiments, the sterile PBS is pharmaceutical grade PBS.
A compound described herein targeted to LRRK2 can be utilized in pharmaceutical compositions by combining the compound with a suitable pharmaceutically acceptable diluent or carrier. In certain embodiments, a pharmaceutically acceptable diluent is water, such as sterile water suitable for injection. Accordingly, in one embodiment, employed in the methods described herein is a pharmaceutical composition comprising a compound targeted to LRRK2 and a pharmaceutically acceptable diluent. In certain embodiments, the pharmaceutically acceptable diluent is water. In certain embodiments, the compound comprises or consists of one or more modified oligonucleotide provided herein.
Pharmaceutical compositions comprising compounds provided herein encompass any pharmaceutically acceptable salts, esters, or salts of such esters, or any other oligonucleotide which, upon administration to an animal, including a human, is capable of providing (directly or indirectly) the biologically active metabolite or residue thereof. In certain embodiments, the compounds are antisense oligonucleotides. In certain embodiments, the compounds are oligomeric compounds. In certain embodiments, the compound comprises or consists of one or more modified oligonucleotide. Accordingly, for example, the disclosure is also drawn to pharmaceutically acceptable salts of compounds, prodrugs, pharmaceutically acceptable salts of such prodrugs, and other bioequivalents. Suitable pharmaceutically acceptable salts include, but are not limited to, sodium and potassium salts. A prodrug can include the incorporation of additional nucleosides at one or both ends of a compound which are cleaved by endogenous nucleases within the body, to form the active compound. In certain embodiments, the compounds or compositions further comprise a pharmaceutically acceptable carrier or diluent.
EXAMPLES
The following examples describe the process to identify lead compounds targeted to LRRK2. Certain compounds are distinguished as having high potency and tolerability.
The following examples serve only to illustrate the compounds described herein and are not intended to limit the same. The following examples and related sequence listing accompanying this filing may identify sequence as either “RNA” or “DNA”; however, as disclosed herein, those sequences may be modified with any combination of chemical modifications. One of skill in the art will readily appreciate that the designation of a sequence as “RNA” or “DNA” is, in certain instances, arbitrary. For example, an oligonucleotide comprising a nucleoside comprising a 2’ -OH sugar moiety and a thymine base could be described as a DNA having a modified sugar (2’ -OH for the natural 2’-H of DNA) or as an RNA having a modified base (methylated uracil for natural uracil of RNA). Accordingly, nucleic acid sequences provided herein, including, but not limited to, those in the sequence listing, are intended to encompass nucleic acids containing any combination of natural or modified RNA and/or DNA, including, but not limited to, such nucleic acids having modified nucleobases.
Each of the references recited in the present application is incorporated herein by reference in its entirety.
Table 1
Chemical Nomenclature
Figure imgf000113_0001
Figure imgf000114_0001
Table 2
Compound Sequence and Targeting Position on SEQ ID NO: 1
Figure imgf000114_0002
Figure imgf000115_0001
Table 3
Compound Chemistry
Figure imgf000115_0002
Figure imgf000116_0001
Figure imgf000117_0001
Figure imgf000118_0001
Example 1: Effect of modified oligonucleotides targeting human LRRK2 in hLRRK2 transgenic mice Compound was evaluated in an in vivo hLRRK2 transgenic mice PD study. The animals received a single vehicle or 0.2 pg (10 mg/kg) dose via intracerebroventricular injection on day 1 (n=3/group). Animals were observed every day for behavioral changes. Brain regions were collected on Day 15 and Day 29, and tissue was immediately placed in homogenizing tube, snap frozen, then kept at -80 °C for gene expression analysis.
RNA Isolation was performed according to the RNeasy Micro Kit (Qiagen Cat #74004) instructions. Following RNA isolation, a 96-well plate was placed on ice while the qRT-PCR reaction was prepared. 2 pl of RNA was added to the reaction mixture containing 5 pl TaqMan Fast Virus 1-Step Master Mix (Thermo Fisher #44444432), 1 pl LRRK2 TaqMan Gene Expression Assay (Thermo Fisher: Hs01115057_ml), 1 pl GAPDH (VIC) TaqMan Gene Expression Assay (Thermo Fisher: Mm99999915_gl, VIC) and 11 pl RT-PCR grade nuclease-free water in a Micro Amp Optical 96-well plate (0.2 mL). qPCR was performed using a QuantStudio3 qPCR machine with the following cycles: 50 °C for 1 minute, 95 °C for 20 seconds and 40 cycles at 95 °C for 15 seconds and 60 °C for 1 minute. Results are presented in the Table below as percent inhibition of LRRK2, relative to vehicle control.
Table 4
Average LRRK2 Inhibition
Figure imgf000119_0001
Figure imgf000120_0001
Figure imgf000120_0002
Figure imgf000121_0001
Figure imgf000121_0002
SEQ ID NO: 1
GGGGCCCGCGGGGAGCGCTGGCTGCGGGCGGTGAGCTGAGCTCGCCCCCGGGGAGCTGT
GGCCGGCGCCCCTGCCGGTTCCCTGAGCAGCGGACGTTCATGCTGGGAGGGCGGCGGGT
TGGAAGCAGGTGCCACCATGGCTAGTGGCAGCTGTCAGGGGTGCGAAGAGGACGAGGA
AACTCTGAAGAAGTTGATAGTCAGGCTGAACAATGTCCAGGAAGGAAAACAGATAGAA
ACGCTGGTCCAAATCCTGGAGGATCTGCTGGTGTTCACGTACTCCGAGCGCGCCTCCAAG
TTATTTCAAGGCAAAAATATCCATGTGCCTCTGTTGATCGTCTTGGACTCCTATATGAGA
GTCGCGAGTGTGCAGCAGGTGGGTTGGTCACTTCTGTGCAAATTAATAGAAGTCTGTCCA
GGTACAATGCAAAGCTTAATGGGACCCCAGGATGTTGGAAATGATTGGGAAGTCCTTGG
TGTTCACCAATTGATTCTTAAAATGCTAACAGTTCATAATGCCAGTGTAAACTTGTCAGT
GATTGGACTGAAGACCTTAGATCTCCTCCTAACTTCAGGTAAAATCACCTTGCTGATATT
GGATGAAGAAAGTGATATTTTCATGTTAATTTTTGATGCCATGCACTCATTTCCAGCCAA
TGATGAAGTCCAGAAACTTGGATGCAAAGCTTTACATGTGCTGTTTGAGAGAGTCTCAGA
GGAGCAACTGACTGAATTTGTTGAGAACAAAGATTATATGATATTGTTAAGTGCGTTAAC
AAATTTTAAAGATGAAGAGGAAATTGTGCTTCATGTGCTGCATTGTTTACATTCCCTAGC
GATTCCTTGCAATAATGTGGAAGTCCTCATGAGTGGCAATGTCAGGTGTTATAATATTGT
GGTGGAAGCTATGAAAGCATTCCCTATGAGTGAAAGAATTCAAGAAGTGAGTTGCTGTT
TGCTCCATAGGCTTACATTAGGTAATTTTTTCAATATCCTGGTATTAAACGAAGTCCATGA
GTTTGTGGTGAAAGCTGTGCAGCAGTACCCAGAGAATGCAGCATTGCAGATCTCAGCGC TCAGCTGTTTGGCCCTCCTCACTGAGACTATTTTCTTAAATCAAGATTTAGAGGAAAAGA
ATGAGAATCAAGAGAATGATGATGAGGGGGAAGAAGATAAATTGTTTTGGCTGGAAGCC
TGTTACAAAGCATTAACGTGGCATAGAAAGAACAAGCACGTGCAGGAGGCCGCATGCTG
GGCACTAAATAATCTCCTTATGTACCAAAACAGTTTACATGAGAAGATTGGAGATGAAG
ATGGCCATTTCCCAGCTCATAGGGAAGTGATGCTCTCCATGCTGATGCATTCTTCATCAA
AGGAAGTTTTCCAGGCATCTGCGAATGCATTGTCAACTCTCTTAGAACAAAATGTTAATT
TCAGAAAAATACTGTTATCAAAAGGAATACACCTGAATGTTTTGGAGTTAATGCAGAAG
CATATACATTCTCCTGAAGTGGCTGAAAGTGGCTGTAAAATGCTAAATCATCTTTTTGAA
GGAAGCAACACTTCCCTGGATATAATGGCAGCAGTGGTCCCCAAAATACTAACAGTTAT
GAAACGTCATGAGACATCATTACCAGTGCAGCTGGAGGCGCTTCGAGCTATTTTACATTT
TATAGTGCCTGGCATGCCAGAAGAATCCAGGGAGGATACAGAATTTCATCATAAGCTAA
ATATGGTTAAAAAACAGTGTTTCAAGAATGATATTCACAAACTGGTCCTAGCAGCTTTGA
ACAGGTTCATTGGAAATCCTGGGATTCAGAAATGTGGATTAAAAGTAATTTCTTCTATTG
TACATTTTCCTGATGCATTAGAGATGTTATCCCTGGAAGGTGCTATGGATTCAGTGCTTCA
CACACTGCAGATGTATCCAGATGACCAAGAAATTCAGTGTCTGGGTTTAAGTCTTATAGG
ATACTTGATTACAAAGAAGAATGTGTTCATAGGAACTGGACATCTGCTGGCAAAAATTCT
GGTTTCCAGCTTATACCGATTTAAGGATGTTGCTGAAATACAGACTAAAGGATTTCAGAC
AATCTTAGCAATCCTCAAATTGTCAGCATCTTTTTCTAAGCTGCTGGTGCATCATTCATTT
GACTTAGTAATATTCCATCAAATGTCTTCCAATATCATGGAACAAAAGGATCAACAGTTT
CTAAACCTCTGTTGCAAGTGTTTTGCAAAAGTAGCTATGGATGATTACTTAAAAAATGTG
ATGCTAGAGAGAGCGTGTGATCAGAATAACAGCATCATGGTTGAATGCTTGCTTCTATTG
GGAGCAGATGCCAATCAAGCAAAGGAGGGATCTTCTTTAATTTGTCAGGTATGTGAGAA
AGAGAGCAGTCCCAAATTGGTGGAACTCTTACTGAATAGTGGATCTCGTGAACAAGATG
TACGAAAAGCGTTGACGATAAGCATTGGGAAAGGTGACAGCCAGATCATCAGCTTGCTC
TTAAGGAGGCTGGCCCTGGATGTGGCCAACAATAGCATTTGCCTTGGAGGATTTTGTATA
GGAAAAGTTGAACCTTCTTGGCTTGGTCCTTTATTTCCAGATAAGACTTCTAATTTAAGG
AAACAAACAAATATAGCATCTACACTAGCAAGAATGGTGATCAGATATCAGATGAAAAG
TGCTGTGGAAGAAGGAACAGCCTCAGGCAGCGATGGAAATTTTTCTGAAGATGTGCTGT
CTAAATTTGATGAATGGACCTTTATTCCTGACTCTTCTATGGACAGTGTGTTTGCTCAAAG
TGATGACCTGGATAGTGAAGGAAGTGAAGGCTCATTTCTTGTGAAAAAGAAATCTAATT
CAATTAGTGTAGGAGAATTTTACCGAGATGCCGTATTACAGCGTTGCTCACCAAATTTGC
AAAGACATTCCAATTCCTTGGGGCCCATTTTTGATCATGAAGATTTACTGAAGCGAAAAA
GAAAAATATTATCTTCAGATGATTCACTCAGGTCATCAAAACTTCAATCCCATATGAGGC
ATTCAGACAGCATTTCTTCTCTGGCTTCTGAGAGAGAATATATTACATCACTAGACCTTTC
AGCAAATGAACTAAGAGATATTGATGCCCTAAGCCAGAAATGCTGTATAAGTGTTCATTT
GGAGCATCTTGAAAAGCTGGAGCTTCACCAGAATGCACTCACGAGCTTTCCACAACAGC
TATGTGAAACTCTGAAGAGTTTGACACATTTGGACTTGCACAGTAATAAATTTACATCAT
TTCCTTCTTATTTGTTGAAAATGAGTTGTATTGCTAATCTTGATGTCTCTCGAAATGACAT
TGGACCCTCAGTGGTTTTAGATCCTACAGTGAAATGTCCAACTCTGAAACAGTTTAACCT
GTCATATAACCAGCTGTCTTTTGTACCTGAGAACCTCACTGATGTGGTAGAGAAACTGGA
GCAGCTCATTTTAGAAGGAAATAAAATATCAGGGATATGCTCCCCCTTGAGACTGAAGG
AACTGAAGATTTTAAACCTTAGTAAGAACCACATTTCATCCCTATCAGAGAACTTTCTTG
AGGCTTGTCCTAAAGTGGAGAGTTTCAGTGCCAGAATGAATTTTCTTGCTGCTATGCCTTT
CTTGCCTCCTTCTATGACAATCCTAAAATTATCTCAGAACAAATTTTCCTGTATTCCAGAA
GCAATTTTAAATCTTCCACACTTGCGGTCTTTAGATATGAGCAGCAATGATATTCAGTAC
CTACCAGGTCCCGCACACTGGAAATCTTTGAACTTAAGGGAACTCTTATTTAGCCATAAT
CAGATCAGCATCTTGGACTTGAGTGAAAAAGCATATTTATGGTCTAGAGTAGAGAAACT
GCATCTTTCTCACAATAAACTGAAAGAGATTCCTCCTGAGATTGGCTGTCTTGAAAATCT
GACATCTCTGGATGTCAGTTACAACTTGGAACTAAGATCCTTTCCCAATGAAATGGGGAA
ATTAAGCAAAATATGGGATCTTCCTTTGGATGAACTGCATCTTAACTTTGATTTTAAACAT ATAGGATGTAAAGCCAAAGACATCATAAGGTTTCTTCAACAGCGATTAAAAAAGGCTGT
GCCTTATAACCGAATGAAACTTATGATTGTGGGAAATACTGGGAGTGGTAAAACCACCTT
ATTGCAGCAATTAATGAAAACCAAGAAATCAGATCTTGGAATGCAAAGTGCCACAGTTG
GCATAGATGTGAAAGACTGGCCTATCCAAATAAGAGACAAAAGAAAGAGAGATCTCGTC
CTAAATGTGTGGGATTTTGCAGGTCGTGAGGAATTCTATAGTACTCATCCCCATTTTATG
ACGCAGCGAGCATTGTACCTTGCTGTCTATGACCTCAGCAAGGGACAGGCTGAAGTTGAT
GCCATGAAGCCTTGGCTCTTCAATATAAAGGCTCGCGCTTCTTCTTCCCCTGTGATTCTCG
TTGGCACACATTTGGATGTTTCTGATGAGAAGCAACGCAAAGCCTGCATGAGTAAAATC
ACCAAGGAACTCCTGAATAAGCGAGGGTTCCCTGCCATACGAGATTACCACTTTGTGAAT
GCCACCGAGGAATCTGATGCTTTGGCAAAACTTCGGAAAACCATCATAAACGAGAGCCT
TAATTTCAAGATCCGAGATCAGCTTGTTGTTGGACAGCTGATTCCAGACTGCTATGTAGA
ACTTGAAAAAATCATTTTATCGGAGCGTAAAAATGTGCCAATTGAATTTCCCGTAATTGA
CCGGAAACGATTATTACAACTAGTGAGAGAAAATCAGCTGCAGTTAGATGAAAATGAGC
TTCCTCACGCAGTTCACTTTCTAAATGAATCAGGAGTCCTTCTTCATTTTCAAGACCCAGC
ACTGCAGTTAAGTGACTTGTACTTTGTGGAACCCAAGTGGCTTTGTAAAATCATGGCACA
GATTTTGACAGTGAAAGTGGAAGGTTGTCCAAAACACCCTAAGGGCATTATTTCGCGTAG
AGATGTGGAAAAATTTCTTTCAAAAAAAAGGAAATTTCCAAAGAACTACATGTCACAGT
ATTTTAAGCTCCTAGAAAAATTCCAGATTGCTTTGCCAATAGGAGAAGAATATTTGCTGG
TTCCAAGCAGTTTGTCTGACCACAGGCCTGTGATAGAGCTTCCCCATTGTGAGAACTCTG
AAATTATCATCCGACTATATGAAATGCCTTATTTTCCAATGGGATTTTGGTCAAGATTAAT
CAATCGATTACTTGAGATTTCACCTTACATGCTTTCAGGGAGAGAACGAGCACTTCGCCC
AAACAGAATGTATTGGCGACAAGGCATTTACTTAAATTGGTCTCCTGAAGCTTATTGTCT
GGTAGGATCTGAAGTCTTAGACAATCATCCAGAGAGTTTCTTAAAAATTACAGTTCCTTC
TTGTAGAAAAGGCTGTATTCTTTTGGGCCAAGTTGTGGACCACATTGATTCTCTCATGGA
AGAATGGTTTCCTGGGTTGCTGGAGATTGATATTTGTGGTGAAGGAGAAACTCTGTTGAA
GAAATGGGCATTATATAGTTTTAATGATGGTGAAGAACATCAAAAAATCTTACTTGATGA
CTTGATGAAGAAAGCAGAGGAAGGAGATCTCTTAGTAAATCCAGATCAACCAAGGCTCA
CCATTCCAATATCTCAGATTGCCCCTGACTTGATTTTGGCTGACCTGCCTAGAAATATTAT
GTTGAATAATGATGAGTTGGAATTTGAACAAGCTCCAGAGTTTCTCCTAGGTGATGGCAG
TTTTGGATCAGTTTACCGAGCAGCCTATGAAGGAGAAGAAGTGGCTGTGAAGATTTTTAA
TAAACATACATCACTCAGGCTGTTAAGACAAGAGCTTGTGGTGCTTTGCCACCTCCACCA
CCCCAGTTTGATATCTTTGCTGGCAGCTGGGATTCGTCCCCGGATGTTGGTGATGGAGTT
AGCCTCCAAGGGTTCCTTGGATCGCCTGCTTCAGCAGGACAAAGCCAGCCTCACTAGAAC
CCTACAGCACAGGATTGCACTCCACGTAGCTGATGGTTTGAGATACCTCCACTCAGCCAT
GATTATATACCGAGACCTGAAACCCCACAATGTGCTGCTTTTCACACTGTATCCCAATGC
TGCCATCATTGCAAAGATTGCTGACTACGGCATTGCTCAGTACTGCTGTAGAATGGGGAT
AAAAACATCAGAGGGCACACCAGGGTTTCGTGCACCTGAAGTTGCCAGAGGAAATGTCA
TTTATAACCAACAGGCTGATGTTTATTCATTTGGTTTACTACTCTATGACATTTTGACAAC
TGGAGGTAGAATAGTAGAGGGTTTGAAGTTTCCAAATGAGTTTGATGAATTAGAAATAC
AAGGAAAATTACCTGATCCAGTTAAAGAATATGGTTGTGCCCCATGGCCTATGGTTGAGA
AATTAATTAAACAGTGTTTGAAAGAAAATCCTCAAGAAAGGCCTACTTCTGCCCAGGTCT
TTGACATTTTGAATTCAGCTGAATTAGTCTGTCTGACGAGACGCATTTTATTACCTAAAA
ACGTAATTGTTGAATGCATGGTTGCTACACATCACAACAGCAGGAATGCAAGCATTTGGC
TGGGCTGTGGGCACACCGACAGAGGACAGCTCTCATTTCTTGACTTAAATACTGAAGGAT
ACACTTCTGAGGAAGTTGCTGATAGTAGAATATTGTGCTTAGCCTTGGTGCATCTTCCTGT
TGAAAAGGAAAGCTGGATTGTGTCTGGGACACAGTCTGGTACTCTCCTGGTCATCAATAC
CGAAGATGGGAAAAAGAGACATACCCTAGAAAAGATGACTGATTCTGTCACTTGTTTGT
ATTGCAATTCCTTTTCCAAGCAAAGCAAACAAAAAAATTTTCTTTTGGTTGGAACCGCTG
ATGGCAAGTTAGCAATTTTTGAAGATAAGACTGTTAAGCTTAAAGGAGCTGCTCCTTTGA
AGATACTAAATATAGGAAATGTCAGTACTCCATTGATGTGTTTGAGTGAATCCACAAATT CAACGGAAAGAAATGTAATGTGGGGAGGATGTGGCACAAAGATTTTCTCCTTTTCTAATG
ATTTCACCATTCAGAAACTCATTGAGACAAGAACAAGCCAACTGTTTTCTTATGCAGCTT
TCAGTGATTCCAACATCATAACAGTGGTGGTAGACACTGCTCTCTATATTGCTAAGCAAA
ATAGCCCTGTTGTGGAAGTGTGGGATAAGAAAACTGAAAAACTCTGTGGACTAATAGAC
TGCGTGCACTTTTTAAGGGAGGTAATGGTAAAAGAAAACAAGGAATCAAAACACAAAAT
GTCTTATTCTGGGAGAGTGAAAACCCTCTGCCTTCAGAAGAACACTGCTCTTTGGATAGG
AACTGGAGGAGGCCATATTTTACTCCTGGATCTTTCAACTCGTCGACTTATACGTGTAATT
TACAACTTTTGTAATTCGGTCAGAGTCATGATGACAGCACAGCTAGGAAGCCTTAAAAAT
GTCATGCTGGTATTGGGCTACAACCGGAAAAATACTGAAGGTACACAAAAGCAGAAAGA
GATACAATCTTGCTTGACCGTTTGGGACATCAATCTTCCACATGAAGTGCAAAATTTAGA
AAAACACATTGAAGTGAGAAAAGAATTAGCTGAAAAAATGAGACGAACATCTGTTGAGT
AAGAGAGAAATAGGAATTGTCTTTGGATAGGAAAATTATTCTCTCCTCTTGTAAATATTT
ATTTTAAAAATGTTCACATGGAAAGGGTACTCACATTTTTTGAAATAGCTCGTGTGTATG
AAGGAATGTTATTATTTTTAATTTAAATATATGTAAAAATACTTACCAGTAAATGTGTATT
TTAAAGAACTATTTAAAACACAATGTTATATTTCTTATAAATACCAGTTACTTTCGTTCAT
TAATTAATGAAAATAAATCTGTGAAGTACCTAATTTAAGTACTCATACTAAAATTTATAA
GGCCGATAATTTTTTGTTTTCTTGTCTGTAATGGAGGTAAACTTTATTTTAAATTCTGTGC
TTAAGACAGGACTATTGCTTGTCGATTTTTCTAGAAATCTGCACGGTATAATGAAAATAT
TAAGACAGTTTCCCATGTAATGTATTCCTTCTTAGATTGCATCGAAATGACTATCATATAT
GCTTGTAAATATTCAAATGAATTTGCACTAATAAAGTCCTTTGTTGGTATGTGAATTCTCT
TTGTTGCTGTTGCAAACAGTGCATCTTACACAACTTCACTCAATTCAAAAGAAAACTCCA
TTAAAAGTACTAATGAAAAAACATGACATACTGTCAAAGTCCTCATATCTAGGAAAGAC
ACAGAAACTCTCTTTGTCACAGAAACTCTCTGTGTCTTTCCTAGACATAATAGAGTTGTTT
TTCAACTCTATGTTTGAATGTGGATACCCTGAATTTTGTATAATTAGTGTAAATACAGTGT
TCAGTCCTTCAAGTGATATTTTTATTTTTTTATTCATACCACTAGCTACTTGTTTTCTAATC
TGCTTCATTCTAATGCTTATATTCATCTTTTCCCTAAATTTGTGATGCTGCAGATCCTACAT
CATTCAGATAGAAACCTTTTTTTTTTTCAGAATTATAGAATTCCACAGCTCCTACCAAGAC
CATGAGGATAAATATCTAACACTTTTCAGTTGCTGAAGGAGAAAGGAGCTTTAGTTATGA
TGGATAAAAATATCTGCCACCCTAGGCTTCCAAATTATACTTAAATTGTTTACATAGCTT
ACCACAATAGGAGTATCAGGGCCAAATACCTATGTAATAATTTGAGGTCATTTCTGCTTT
AGGAAAAGTACTTTCGGTAAATTCTTTGGCCCTGACCAGTATTCATTATTTCAGATAATTC
CCTGTGATAGGACAACTAGTACATTTAATATTCTCAGAACTTATGGCATTTTACTATGTG
AAAACTTTAAATTTATTTATATTAAGGGTAATCAAATTCTTAAAGATGAAAGATTTTCTG
TATTTTAAAGGAAGCTATGCTTTAACTTGTTATGTAATTAACAAAAAAATCATATATAAT
AGAGCTCTTTGTTCCAGTGTTATCTCTTTCATTGTTACTTTGTATTTGCAATTTTTTTTACC
AAAGACAAATTAAAAAAATGAATACCATATTTAAATGGAATAATAAAGGTTTTTTAAAA
ACTTTAAA
EQUIVALENTS AND SCOPE
It is to be understood that this disclosure is not limited to any or all of the particular embodiments described expressly herein, and as such may, of course, vary. It is also to be understood that the terminology used herein is for the purpose of describing particular embodiments only and is not intended to be limiting.
Unless defined otherwise, all technical and scientific terms used herein have the same meaning as commonly understood by one of ordinary skill in the art to which this disclosure belongs. Although any methods and materials similar or equivalent to those described herein can also be used in the practice or testing of the present disclosure, the preferred methods and materials are now described. As will be readily apparent to the skilled artisan, and should be understood from the terms used herein, where words or terms are defined herein, their applicability should not be limited to the embodiments immediately preceding or following the definition and should be used where context permits throughout the disclosure.
All publications and patents cited in this specification are cited to disclose and describe the methods and/or materials in connection with which the publications are cited. All such publications and patents are herein incorporated by references as if each individual publication or patent were specifically and individually indicated to be incorporated by reference. Such incorporation by reference is expressly limited to the methods and/or materials described in the cited publications and patents and does not extend to any lexicographical definitions from the cited publications and patents (i.e., any lexicographical definition in the publications and patents cited that is not also expressly repeated in the disclosure should not be treated as such and should not be read as defining any terms appearing in the accompanying claims). If there is a conflict between any of the incorporated references and this disclosure, this disclosure shall control. In addition, any particular embodiment of this disclosure that falls within the prior art may be explicitly excluded from any one or more of the claims. Because such embodiments are deemed to be known to one of ordinary skill in the art, they may be excluded even if the exclusion is not set forth explicitly herein. Any particular embodiment of the disclosure can be excluded from any claim, for any reason, whether or not related to the existence of prior art.
The citation of any publication is for its disclosure prior to the filing date and should not be construed as an admission that the present disclosure is not entitled to antedate such publication by virtue of prior disclosure. Further, the dates of publication provided could be different from the actual publication dates that may need to be independently confirmed.
As will be apparent to those of skill in the art upon reading this disclosure, each of the individual embodiments described and illustrated herein has discrete components and features which may be readily separated from or combined with the features of any of the other several embodiments without departing from the scope or spirit of the present disclosure. Any recited method can be carried out in the order of events recited or in any other order that is logically possible.
In the claims articles such as “a,” “an,” and “the” may mean one or more than one unless indicated to the contrary or otherwise evident from the context. Wherever used herein, a pronoun in a gender (e.g., masculine, feminine, neuter, other, etc.) the pronoun shall be construed as gender neutral (e.g., construed to refer to all genders equally) regardless of the implied gender unless the context clearly indicates or requires otherwise. Wherever used herein, words used in the singular include the plural, and words used in the plural includes the singular, unless the context clearly indicates or requires otherwise. Claims or descriptions that include “or” between one or more members of a group are considered satisfied if one, more than one, or all of the group members are present in, employed in, or otherwise relevant to a given product or process unless indicated to the contrary or otherwise evident from the context. The disclosure includes embodiments in which exactly one member of the group is present in, employed in, or otherwise relevant to a given product or process. The disclosure includes embodiments in which more than one, or all of the group members are present in, employed in, or otherwise relevant to a given product or process.
Furthermore, the disclosure encompasses all variations, combinations, and permutations in which one or more limitations, elements, clauses, and descriptive terms from one or more of the listed claims is introduced into another claim. For example, any claim that is dependent on another claim can be modified to include one or more limitations found in any other claim that is dependent on the same base claim. Where elements are presented as lists (e.g., in Markush group format), each subgroup of the elements is also disclosed, and any element(s) can be removed from the group. It should it be understood that, in general, where the disclosure, or aspects of the disclosure, is/are referred to as comprising particular elements and/or features, certain embodiments of the disclosure or aspects of the disclosure consist, or consist essentially of, such elements and/or features. For purposes of simplicity, those embodiments have not been specifically set forth in haec verba herein. It is also noted that the terms “comprising” and “containing” are intended to be open and permits the inclusion of additional elements or steps. Where ranges are given, endpoints are included in such ranges unless otherwise specified. Furthermore, unless otherwise indicated or otherwise evident from the context and understanding of one of ordinary skill in the art, values that are expressed as ranges can assume any specific value or subrange within the stated ranges in different embodiments of the disclosure, to the tenth of the unit of the lower limit of the range, unless the context clearly dictates otherwise.
Those skilled in the art will recognize or be able to ascertain using no more than routine experimentation many equivalents to the specific embodiments described herein. The scope of the present embodiments described herein is not intended to be limited to the above Description, but rather is as set forth in the appended claims. Those of ordinary skill in the art will appreciate that various changes and modifications to this description may be made without departing from the spirit or scope of the disclosure, as defined in the following claims.

Claims

CLAIMS What is claimed is:
1. A compound comprising a modified oligonucleotide 14 to 30 linked nucleosides in length having a nucleobase sequence comprising at least 14, at least 15, at least 16, at least 17, at least 18, at least 19, at least 20 contiguous nucleobases of any of the nucleobase sequence of SEQ ID NOs: 11-44 and 83-89.
2. A compound comprising a modified oligonucleotide 14 to 23 linked nucleosides in length having a nucleobase sequence comprising the nucleobase sequence of any one of SEQ ID NOs: 11-44 and 83-89.
3. A compound comprising a modified oligonucleotide having a nucleobase sequence selected from the group consisting of any one of SEQ ID NOs: 11-44 and 83-89.
4. The compound of any one of claims 1-3, wherein the modified oligonucleotide is at least 80%, at least 85%, at least 90%, or at least 95% complementary to SEQ ID NO: 1 or 2.
5. The compound of any one of claims 1-4, wherein the modified oligonucleotide comprises at least one modification selected from a modified internucleoside linkage, a modified sugar, and a modified nucleobase.
6. The compound of any one of claims 1-5, wherein the compound is double- stranded.
7. A compound comprising a first modified oligonucleotide 14 to 23 linked nucleosides in length having a nucleobase sequence comprising at least 14, at least 15, at least 16, at least 17, at least 18, at least 19, at least 20, at least 21, at least 22, at least 23 contiguous nucleobases of any of the nucleobase sequence of SEQ ID NOs: 11-44 and 83-89 or 45-82 and 90-96, and a second modified oligonucleotide 14 to 23 linked nucleosides in length having a region of complementarity to the first modified oligonucleotide.
8. A compound comprising a first modified oligonucleotide 14 to 23 linked nucleosides in length having a nucleobase sequence comprising the nucleobase sequence of any one of SEQ ID NOs: 11-44 and 83-89 or 45-82 and 90-96, and a second modified oligonucleotide 14 to 23 linked nucleosides in length having a region of complementarity to the first modified oligonucleotide.
9. A compound comprising a first modified oligonucleotide having a nucleobase sequence selected from the group consisting of any one of SEQ ID NOs: 11-44 and 83-89 or 45-82 and 90-96, and a second modified oligonucleotide 19 to 23 linked nucleosides in length having a region of complementarity to the first modified oligonucleotide.
10. The compound of any one of claims 7-9, wherein the first modified oligonucleotide has at least 80%, at least 85%, at least 90%, or at least 95% complementarity or identity to SEQ ID NO: 1 or 2 over its length.
11. The compound of any one of claims 7-10, wherein the first modified oligonucleotide has at least 1, at least 2, at least 3 mismatches to a region of SEQ ID NO: 1 or 2 that is the same length as the first modified oligonucleotide.
12. The compound of any one of claims 7-11, wherein the region of complementarity between the first modified oligonucleotide and the second modified oligonucleotide is 14 to 23 linked nucleosides in length.
13. The compound of any one of claims 7-11, wherein the region of complementarity between the first modified oligonucleotide and the second modified oligonucleotide is 19 to 23 linked nucleosides in length.
14. The compound of any one of claims 7-11, wherein the region of complementarity between the first modified oligonucleotide and the second modified oligonucleotide is 21 to 23 linked nucleosides in length.
15. The compound of any one of claims 7-11, wherein the first modified oligonucleotide is fully complementary to the second modified oligonucleotide.
16. The compound of any one of claims 7-15, wherein the first modified oligonucleotide comprises at least one modification selected from a modified internucleoside linkage, a modified sugar, and a modified nucleobase.
17. The compound of any one of claims 7-16, wherein the second modified oligonucleotide comprises at least one modification selected from the group consisting of a modified intemucleoside linkage, a modified sugar, and a modified nucleobase.
18. The compound of any one of claims 5, 16 and 17, wherein the modified intemucleoside linkage is a phosphorothioate internucleoside linkage or a methylphosphonate intemucleoside linkage.
19. The compound of claim 18, wherein the phosphorothioate intemucleoside linkage or methylphosphonate intemucleoside linkage is at the 3’ terminus of the first or second modified oligonucleotide or at the 5’ terminus of the first modified oligonucleotide.
20. The compound of any one of claims 5, 16 and 17, wherein the modified sugar comprises a modification selected from the group consisting of a halogen, an alkoxy group and a bicyclic sugar.
21. The compound of claim 20, wherein the modified sugar comprises a 2’-F modification.
22. The compound of claim 20, wherein the modified sugar comprises a 2’-OMe modification.
23. The compound of any one of claims 7-15, wherein each nucleoside of the first modified oligonucleotide comprises a modified sugar.
24. The compound of any one of claims 7-15, wherein each nucleoside of the second modified oligonucleotide comprises a modified sugar.
25. The compound of claim 23 or 24, wherein the modified sugar comprises a modification selected from the group consisting of a halogen, an alkoxy group and a bicyclic sugar, or a combination thereof.
26. The compound of claim 25, wherein the modified sugar comprises a modification selected from group consisting of LNA, cEt, 2’-M0E, 2’-F, 2’-0Me, and 2’-deoxy, or a combination thereof.
27. The compound of claim 26, wherein the first modified oligonucleotide comprises no more than ten 2’-F sugar modifications.
28. The compound of claim 27, wherein the second modified oligonucleotide comprises no more than five 2’-F sugar modifications.
29. The compound of any preceding claim, comprising a conjugate group.
30. The compound of claim 29, wherein the conjugate group is attached to the 5’ end of the modified oligonucleotide.
31. The compound of claim 29 or 30, wherein the conjugate group comprises a targeting moiety.
32. The compound of claim 31, wherein the targeting moiety comprises one or more Tropomyosin receptor B (TrkB) ligands.
33. The compound of claim 32, wherein the modified oligonucleotide is the second modified oligonucleotide.
34. The compound of claim 33, wherein the one or more TrkB ligands are attached to the 5’ end of the modified oligonucleotide.
35. The compound of claim 33, wherein the one or more TrkB ligands are attached to the
Figure imgf000131_0001
36. The compound of claim 33, wherein the one or more TrkB ligands are attached to the 5’ end and the 3’ end of the modified oligonucleotide.
37. The compound of claim 33, wherein the one or more TrkB ligands are selected from any one of Formulae I-XX.
38. The compound of any one of claims 29-37, wherein the conjugate group comprises one or more lipids.
39. The compound of claim 38, wherein the modified oligonucleotide is the second modified oligonucleotide.
40. The compound of claim 38 or 39, wherein the one or more lipids are attached to an intemucleoside linkage of the modified oligonucleotide.
41. The compound of any one of claims 38-40, wherein the intemucleoside linkage of the modified oligonucleotide is selected from any one of Formulae XXI-XXIV.
42. The compound of any one of claims 32-41, wherein the modified oligonucleotide comprises one or more TrkB ligands and one or more lipids.
43. The compound of claim 42, wherein the modified oligonucleotide is the second modified oligonucleotide.
44. The compound of claim 42, wherein the one or more TrkB ligands are attached to the 5’ end of the modified oligonucleotide.
45. The compound of claim 42, wherein the one or more TrkB ligands are attached to the 3’ end of the modified oligonucleotide.
46. The compound of claim 42, wherein the one or more TrkB ligands are attached to the 5’ end and the 3’ end of the modified oligonucleotide.
47. The compound of claim 42, wherein the one or more TrkB ligands are selected from any one of Formulae I-XX.
48. The compound of any one of claims 42-47, wherein the one or more lipids are attached to an intemucleoside linkage of the modified oligonucleotide.
49. The compound of claim 48, wherein the internucleoside linkage of the modified oligonucleotide is selected from any one of Formulae XXI-XXIV.
50. The compound of any one of claims 1-49, wherein the modified oligonucleotide comprises one or more substituted or unsubstituted alkyl or alkenyl.
51. The compound of claim 50, wherein the one or more substituted or unsubstituted alkyl or alkenyl comprise a saturated or unsaturated C4-C30 hydrocarbon chain.
52. The compound of claim 51, wherein the one or more substituted or unsubstituted alkyl or alkenyl comprise a saturated or unsaturated C5-C20 hydrocarbon chain, optionally wherein the one or more substituted or unsubstituted alkyl or alkenyl comprise a saturated or unsaturated C14-C20 hydrocarbon chain.
53. The compound of claim 52, wherein the one or more substituted or unsubstituted alkyl or alkenyl comprise a saturated or unsaturated Ci6 hydrocarbon chain, a saturated or unsaturated C17 hydrocarbon chain, a saturated or unsaturated Cis hydrocarbon chain, or a saturated or unsaturated C22 hydrocarbon chain.
54. The compound of any one of claims 50-53, wherein the one or more substituted or unsubstituted alkyl or alkenyl are attached to an intemucleoside linkage of the modified oligonucleotide.
55. The compound of claim 54, wherein the internucleoside linkage of the modified oligonucleotide is selected from any one of Formulae XXI-XXIV.
56. The compound of any one of claims 1-6, wherein the modified oligonucleotide comprises a 5 '-phosphonate modification.
57. The compound of any one of claims 7-55, wherein the first modified oligonucleotide comprises a 5 '-phosphonate modification.
58. The compound of claim 56 or 57, wherein the 5 '-phosphonate modification is a 5'- vinylphosphonate modification or a 5'-ethylenephosphonate modification.
59. A compound comprising: a first modified oligonucleotide comprising a 5 '-phosphonate modification, wherein the first modified oligonucleotide is at least 80% complementary to a region of SEQ ID NO: 1 or 2; and a second modified oligonucleotide comprising one or more ligands.
60. The compound of claim 59, wherein the first modified oligonucleotide comprises a 5'- terminal nucleoside comprising the 5 '-phosphonate modification.
61. The compound of claim 59 or 60, wherein the 5 '-phosphonate modification is a 5'- vinylphosphonate modification or a 5'-ethylenephosphonate modification.
62. The compound of any one of claims 59-61, wherein the 5 '-phosphonate modification is a 5'-vinylphosphonate modification.
63. The compound of any one of claims 59-61, wherein the 5 '-phosphonate modification is a 5'-ethylenephosphonate modification.
64. The compound of any one of claims 59-63, wherein the one or more ligands of the second modified oligonucleotide comprise one or more TrkB ligands.
65. The compound of claim 64, wherein the one or more TrkB ligands are attached to the 5’ end of the second modified oligonucleotide.
66. The compound of claim 64, wherein the one or more TrkB ligands are attached to the 3’ end of the second modified oligonucleotide.
67. The compound of claim 64, wherein the one or more TrkB ligands are attached to the 5’ end and the 3’ end of the second modified oligonucleotide.
68. The compound of claim 64, wherein the one or more TrkB ligands are selected from any one of Formulae I-XX.
69. The compound of any one of claims 64-68, wherein the second modified oligonucleotide comprises one TrkB ligand.
70. The compound of any one of claims 64-68, wherein the second modified oligonucleotide comprises at least two TrkB ligands.
71. The compound of claim 70, wherein the at least two TrkB ligands are the same.
72. The compound of claim 70, wherein the at least two TrkB ligands are different.
73. The compound of any one of claims 59-72, wherein the second modified oligonucleotide comprises one or more lipids.
74. The compound of any one of claims 59-73, wherein the second modified oligonucleotide comprises one or more substituted or unsubstituted alkyl or alkenyl.
75. The compound of claim 74, wherein the one or more substituted or unsubstituted alkyl or alkenyl comprise a saturated or unsaturated C4-C30 hydrocarbon chain.
76. The compound of claim 75, wherein the one or more substituted or unsubstituted alkyl or alkenyl comprise a saturated or unsaturated C5-C20 hydrocarbon chain, optionally wherein the one or more substituted or unsubstituted alkyl or alkenyl comprise a saturated or unsaturated C14-C20 hydrocarbon chain.
77. The compound of claim 76, wherein the one or more substituted or unsubstituted alkyl or alkenyl comprise a saturated or unsaturated Ci6 hydrocarbon chain, a saturated or unsaturated C17 hydrocarbon chain, a saturated or unsaturated Cis hydrocarbon chain, or a saturated or unsaturated C22 hydrocarbon chain.
78. The compound of any one of claims 74-77, wherein the one or more substituted or unsubstituted alkyl or alkenyl are attached to an intemucleoside linkage of the second modified oligonucleotide.
79. The compound of claim 78, wherein the internucleoside linkage of the second modified oligonucleotide is selected from any one of Formulae XXI-XXIV.
80. The compound of any one of claims 59-79, wherein the first modified oligonucleotide is 14 to 30 linked nucleosides in length.
81. The compound of any one of claims 59-80, wherein the second modified oligonucleotide is 14 to 30 linked nucleosides in length having a region of complementarity to the first modified oligonucleotide.
82. The compound of any one of claims 59-81, wherein the first modified oligonucleotide has a nucleobase sequence comprising at least 14 contiguous nucleobases of any one of SEQ ID NOs: 11-44 and 83-89.
83. The compound of any one of claims 59-82, wherein the second modified oligonucleotide has a nucleobase sequence comprising at least 14 contiguous nucleobases of any one of SEQ ID NOs: 45-82 and 90-96.
84. The compound of any one of claims 59-83, wherein the first modified oligonucleotide is selected from any one of the IA Ref ID NOs in Table 3.
85. The compound of any one of claims 59-84, wherein the second modified oligonucleotide is selected from any one of the IS Ref ID NOs in Table 3.
86. A compound comprising a first modified oligonucleotide selected from the group consisting of any one of the IA Ref ID NOs in Table 3, and a second modified oligonucleotide 14 to 21 linked nucleosides in length fully complementary to the first modified oligonucleotide.
87. A compound comprising a first modified oligonucleotide selected from the group consisting of any one of the IA Ref ID NOs in Table 3, and a second modified oligonucleotide selected from the group consisting of any one of the IS Ref ID NO in Table 3.
88. A compound comprising a first modified oligonucleotide selected from the group consisting of any one of the IA Ref ID NOs in Table 3 and a second modified oligonucleotide selected from the group consisting of any one of the IS Ref ID NOs in Table 3.
89. The compound of claim 86, 87, or 88, comprising a conjugate group.
90. The compound of claim 89, wherein the conjugate group is attached to the 5’ end of the modified oligonucleotide.
91. The compound of claim 89 or 90, wherein the conjugate group comprises a targeting moiety.
92. The compound of claim 91, wherein the targeting moiety comprises one or more Tropomyosin receptor B (TrkB) ligands.
93. The compound of claim 92, wherein the modified oligonucleotide is the second modified oligonucleotide.
94. The compound of claim 93, wherein the one or more TrkB ligands are attached to the 5’ end of the modified oligonucleotide.
95. The compound of claim 93, wherein the one or more TrkB ligands are attached to the 3’ end of the modified oligonucleotide.
96. The compound of claim 93, wherein the one or more TrkB ligands are attached to the 5’ end and the 3’ end of the modified oligonucleotide.
97. The compound of claim 93, wherein the one or more TrkB ligands are selected from any one of Formulae I-XX.
98. A compound of any one of claims 1-97, wherein the compound is in a pharmaceutically acceptable salt form.
99. The compound of claim 98, wherein the pharmaceutically acceptable salt is a sodium salt.
100. The compound of claim 98, wherein the pharmaceutically acceptable salt is a potassium salt.
101. A composition comprising the compound or modified oligonucleotide of any preceding claim and a pharmaceutically acceptable carrier.
102. A composition comprising a compound or modified oligonucleotide of any preceding claim, for use in therapy.
103. A method of treating, preventing or ameliorating a disease, disorder or condition associated with LRRK2 in an individual comprising administering to the individual a compound targeted to LRRK2, thereby treating, preventing, or ameliorating the disease, disorder or condition.
104. A method of administering the compound or modified oligonucleotide of any one of claims 1-100 or composition of claim 102 to an individual.
105. The method of claim 103 or 104, wherein the disease, disorder or condition is a neurodegenerative disease, including Parkinson’s Disease or cognitive impairment or a symptom thereof such as loss of motor function, aggregate formation, and neuron death.
106. The method of any one of claims 103-105, wherein administering the compound inhibits or reduces or improves a neurodegenerative disease, including Parkinson’s Disease or cognitive impairment or a symptom thereof such as loss of motor function, aggregate formation, and neuron death.
107. A method of inhibiting expression of LRRK2 in a cell comprising contacting the cell with a compound targeted to LRRK2, thereby inhibiting expression of LRRK2 in the cell.
108. The method of claim 107, wherein the cell is in the brain of an individual.
109. The method of claim 108, wherein the individual has, or is at risk of having, a neurodegenerative disease, including Parkinson’s Disease or cognitive impairment or a symptom thereof such as loss of motor function, aggregate formation, and neuron death.
110. A method of reducing or inhibiting a neurodegenerative disease, including Parkinson’s Disease or cognitive impairment or a symptom thereof such as loss of motor function, aggregate formation, and neuron death in an individual, comprising administering a compound targeted to LRRK2 to the individual, thereby reducing or inhibiting a neurodegenerative disease, including Parkinson’s Disease or cognitive impairment or a symptom thereof such as loss of motor function, aggregate formation, and neuron death in the individual.
111. The method of claim 110, wherein the individual has, or is at risk of having, a neurodegenerative disease, including Parkinson’s Disease or cognitive impairment or a symptom thereof such as loss of motor function, aggregate formation, and neuron death.
112. The method of any one of claims 103-111, wherein the compound is a compound targeted to LRRK2.
113. The method of any one of claims 103-112, wherein the compound or modified oligonucleotide is the compound or modified oligonucleotide of any one of claims 1-100 or composition of claim 102.
114. The method of claim 113, wherein the compound or composition is administered parenterally.
115. The method of claim 113, wherein the compound or composition is administered by intrathecal administration.
116. Use of a compound targeted to LRRK2 for treating, preventing, or ameliorating a disease, disorder or condition associated with LRRK2.
117. The use of claim 116, wherein the disease, disorder or condition is a neurodegenerative disease, including Parkinson’s Disease or cognitive impairment or a symptom thereof such as loss of motor function, aggregate formation, and neuron death.
118. The use of claim 116 or 117, wherein the compound is a compound targeted to LRRK2.
119. The use of any one of claims 116-118, wherein the compound or modified oligonucleotide is the compound or modified oligonucleotide of any one of claims 1-100 or composition of claim 102.
120. Use of a compound targeted to LRRK2 in the manufacture of a medicament for treating, preventing, or ameliorating a disease, disorder or condition associated with LRRK2.
121. The use of claim 120, wherein the disease is a neurodegenerative disease, including Parkinson’s Disease or cognitive impairment or a symptom thereof such as loss of motor function, aggregate formation, and neuron death.
122. The use of claim 120 or 121, wherein the compound is a compound targeted to LRRK2.
123. The use of any one of claims 120-122, wherein the compound or modified oligonucleotide is the compound or modified oligonucleotide of any one of claims 1-100 or composition of claim 102.
124. The method or use of any preceding claim, wherein the compound or composition is administered to an individual about once every three months to about once every year.
125. The method or use of any preceding claim, wherein the compound or composition is administered to an individual about once every three months, about once every six months, or about once every year.
126. A method for delivering a therapeutic oligonucleotide to the brain of a subject, comprising administration of a compound, or a stereoisomer, tautomer, prodrug, or salt thereof, of any one of claims 1-100 or composition of claim 102 to the subject.
127. The method of claim 126, wherein the therapeutic oligonucleotide is delivered to one or more brain regions selected from the group consisting of the striatum, the cerebellum, the brain stem, the hippocampus, the frontal cortex, and the spinal cord.
128. A method for treating or ameliorating a disease, disorder, or symptom thereof in a subject, comprising administration of a compound, or a stereoisomer, tautomer, prodrug, or salt thereof, of any one of claims 1-100 or composition of claim 102 to the subject.
129. The method of claim 128, wherein the disease, disorder, or symptom thereof is a central nervous system (CNS) disease, disorder, or symptom thereof.
130. The method of claim 128 or 129, wherein the disease, disorder, or symptom thereof is Alzheimer’ s disease, or a symptom thereof.
131. The method of any one of claims 126-130, wherein the administration is intrathecal administration or intracerebroventricular (ICV) administration.
132. A method of delivering one or more cargo molecules to a cell or tissue of a subject in vivo, comprising administering to the subject a compound of any one of claims 1-100 or composition of claim 102.
133. The method of claim 132, wherein the cell or tissue is CNS cell or tissue.
PCT/US2024/0346952023-06-202024-06-20Lrrk2-modulating compositions and methods of use thereofPendingWO2024263694A1 (en)

Applications Claiming Priority (2)

Application NumberPriority DateFiling DateTitle
US202363509259P2023-06-202023-06-20
US63/509,2592023-06-20

Publications (1)

Publication NumberPublication Date
WO2024263694A1true WO2024263694A1 (en)2024-12-26

Family

ID=91923809

Family Applications (1)

Application NumberTitlePriority DateFiling Date
PCT/US2024/034695PendingWO2024263694A1 (en)2023-06-202024-06-20Lrrk2-modulating compositions and methods of use thereof

Country Status (2)

CountryLink
TW (1)TW202506137A (en)
WO (1)WO2024263694A1 (en)

Citations (146)

* Cited by examiner, † Cited by third party
Publication numberPriority datePublication dateAssigneeTitle
US3687808A (en)1969-08-141972-08-29Univ Leland Stanford JuniorSynthetic polynucleotides
US4751219A (en)1985-02-051988-06-14Nederlandse Centrale Organisatie Voor Toegepast-Natuur-Wetenschappelijk OnderzoekSynthetic glycolipides, a process for the preparation thereof and several uses for these synthetic glycolipides
US4845205A (en)1985-01-081989-07-04Institut Pasteur2,N6 -disubstituted and 2,N6 -trisubstituted adenosine-3'-phosphoramidites
US4981957A (en)1984-07-191991-01-01Centre National De La Recherche ScientifiqueOligonucleotides with modified phosphate and modified carbohydrate moieties at the respective chain termini
US5118800A (en)1983-12-201992-06-02California Institute Of TechnologyOligonucleotides possessing a primary amino group in the terminal nucleotide
US5130302A (en)1989-12-201992-07-14Boron Bilogicals, Inc.Boronated nucleoside, nucleotide and oligonucleotide compounds, compositions and methods for using same
US5134066A (en)1989-08-291992-07-28Monsanto CompanyImproved probes using nucleosides containing 3-dezauracil analogs
US5166315A (en)1989-12-201992-11-24Anti-Gene Development GroupSequence-specific binding polymers for duplex nucleic acids
US5175273A (en)1988-07-011992-12-29Genentech, Inc.Nucleic acid intercalating agents
US5185444A (en)1985-03-151993-02-09Anti-Gene Deveopment GroupUncharged morpolino-based polymers having phosphorous containing chiral intersubunit linkages
US5319080A (en)1991-10-171994-06-07Ciba-Geigy CorporationBicyclic nucleosides, oligonucleotides, process for their preparation and intermediates
US5359044A (en)1991-12-131994-10-25Isis PharmaceuticalsCyclobutyl oligonucleotide surrogates
US5367066A (en)1984-10-161994-11-22Chiron CorporationOligonucleotides with selectably cleavable and/or abasic sites
US5432272A (en)1990-10-091995-07-11Benner; Steven A.Method for incorporating into a DNA or RNA oligonucleotide using nucleotides bearing heterocyclic bases
US5434257A (en)1992-06-011995-07-18Gilead Sciences, Inc.Binding compentent oligomers containing unsaturated 3',5' and 2',5' linkages
US5446137A (en)1993-12-091995-08-29Syntex (U.S.A.) Inc.Oligonucleotides containing 4'-substituted nucleotides
US5457191A (en)1990-01-111995-10-10Isis Pharmaceuticals, Inc.3-deazapurines
US5457187A (en)1993-12-081995-10-10Board Of Regents University Of NebraskaOligonucleotides containing 5-fluorouracil
US5459255A (en)1990-01-111995-10-17Isis Pharmaceuticals, Inc.N-2 substituted purines
US5466786A (en)1989-10-241995-11-14Gilead Sciences2'modified nucleoside and nucleotide compounds
US5484908A (en)1991-11-261996-01-16Gilead Sciences, Inc.Oligonucleotides containing 5-propynyl pyrimidines
US5502177A (en)1993-09-171996-03-26Gilead Sciences, Inc.Pyrimidine derivatives for labeled binding partners
US5514785A (en)1990-05-111996-05-07Becton Dickinson And CompanySolid supports for nucleic acid hybridization assays
US5519134A (en)1994-01-111996-05-21Isis Pharmaceuticals, Inc.Pyrrolidine-containing monomers and oligomers
US5525711A (en)1994-05-181996-06-11The United States Of America As Represented By The Secretary Of The Department Of Health And Human ServicesPteridine nucleotide analogs as fluorescent DNA probes
US5552540A (en)1987-06-241996-09-03Howard Florey Institute Of Experimental Physiology And MedicineNucleoside derivatives
US5567811A (en)1990-05-031996-10-22Amersham International PlcPhosphoramidite derivatives, their preparation and the use thereof in the incorporation of reporter groups on synthetic oligonucleotides
US5576427A (en)1993-03-301996-11-19Sterling Winthrop, Inc.Acyclic nucleoside analogs and oligonucleotide sequences containing them
US5587470A (en)1990-01-111996-12-24Isis Pharmaceuticals, Inc.3-deazapurines
US5591722A (en)1989-09-151997-01-07Southern Research Institute2'-deoxy-4'-thioribonucleosides and their antiviral activity
US5594121A (en)1991-11-071997-01-14Gilead Sciences, Inc.Enhanced triple-helix and double-helix formation with oligomers containing modified purines
US5596091A (en)1994-03-181997-01-21The Regents Of The University Of CaliforniaAntisense oligonucleotides comprising 5-aminoalkyl pyrimidine nucleotides
US5597909A (en)1994-08-251997-01-28Chiron CorporationPolynucleotide reagents containing modified deoxyribose moieties, and associated methods of synthesis and use
US5610300A (en)1992-07-011997-03-11Ciba-Geigy CorporationCarbocyclic nucleosides containing bicyclic rings, oligonucleotides therefrom, process for their preparation, their use and intermediates
US5614617A (en)1990-07-271997-03-25Isis Pharmaceuticals, Inc.Nuclease resistant, pyrimidine modified oligonucleotides that detect and modulate gene expression
US5627053A (en)1994-03-291997-05-06Ribozyme Pharmaceuticals, Inc.2'deoxy-2'-alkylnucleotide containing nucleic acid
WO1997020563A1 (en)1995-11-221997-06-12The Johns-Hopkins UniversityLigands to enhance cellular uptake of biomolecules
US5639873A (en)1992-02-051997-06-17Centre National De La Recherche Scientifique (Cnrs)Oligothionucleotides
US5645985A (en)1991-11-261997-07-08Gilead Sciences, Inc.Enhanced triple-helix and double-helix formation with oligomers containing modified pyrimidines
US5646265A (en)1990-01-111997-07-08Isis Pharmceuticals, Inc.Process for the preparation of 2'-O-alkyl purine phosphoramidites
US5658873A (en)1993-04-101997-08-19Degussa AktiengesellschaftCoated sodium percarbonate particles, a process for their production and detergent, cleaning and bleaching compositions containing them
US5670633A (en)1990-01-111997-09-23Isis Pharmaceuticals, Inc.Sugar modified oligonucleotides that detect and modulate gene expression
US5681941A (en)1990-01-111997-10-28Isis Pharmaceuticals, Inc.Substituted purines and oligonucleotide cross-linking
WO1997046098A1 (en)1996-06-061997-12-11Neorx CorporationCluster clearing agents
WO1998013381A1 (en)1996-09-261998-04-02Ajinomoto Co., Inc.Modified physiologically active proteins and medicinal compositions containing the same
US5830653A (en)1991-11-261998-11-03Gilead Sciences, Inc.Methods of using oligomers containing modified pyrimidines
WO1999014226A2 (en)1997-09-121999-03-25Exiqon A/SBi- and tri-cyclic nucleoside, nucleotide and oligonucleotide analogues
US5948903A (en)1991-01-111999-09-07Isis Pharmaceuticals, Inc.Synthesis of 3-deazapurines
US6015886A (en)1993-05-242000-01-18Chemgenes CorporationOligonucleotide phosphate esters
US6147200A (en)1999-08-192000-11-14Isis Pharmaceuticals, Inc.2'-O-acetamido modified monomers and oligomers
US6166197A (en)1995-03-062000-12-26Isis Pharmaceuticals, Inc.Oligomeric compounds having pyrimidine nucleotide (S) with 2'and 5 substitutions
US6222025B1 (en)1995-03-062001-04-24Isis Pharmaceuticals, Inc.Process for the synthesis of 2′-O-substituted pyrimidines and oligomeric compounds therefrom
US6235887B1 (en)1991-11-262001-05-22Isis Pharmaceuticals, Inc.Enhanced triple-helix and double-helix formation directed by oligonucleotides containing modified pyrimidines
US6268490B1 (en)1997-03-072001-07-31Takeshi ImanishiBicyclonucleoside and oligonucleotide analogues
US6300319B1 (en)1998-06-162001-10-09Isis Pharmaceuticals, Inc.Targeted oligonucleotide conjugates
US6383812B1 (en)1999-05-282002-05-07Academia SinicaAnti liver disease drug R-YEEE and method of synthesizing branched galactose-terminal glycoproteins
WO2002043771A2 (en)2000-12-012002-06-06Cell Works Inc.Conjugates of glycosylated/galactosylated peptide
US6525191B1 (en)1999-05-112003-02-25Kanda S. RamasamyConformationally constrained L-nucleosides
US6528640B1 (en)1997-11-052003-03-04Ribozyme Pharmaceuticals, IncorporatedSynthetic ribonucleic acids with RNAse activity
US20030077829A1 (en)2001-04-302003-04-24Protiva Biotherapeutics Inc..Lipid-based formulations
US20030119724A1 (en)1995-11-222003-06-26Ts`O Paul O.P.Ligands to enhance cellular uptake of biomolecules
US20030158403A1 (en)2001-07-032003-08-21Isis Pharmaceuticals, Inc.Nuclease resistant chimeric oligonucleotides
US6617438B1 (en)1997-11-052003-09-09Sirna Therapeutics, Inc.Oligoribonucleotides with enzymatic activity
US20030175906A1 (en)2001-07-032003-09-18Muthiah ManoharanNuclease resistant chimeric oligonucleotides
US6639062B2 (en)1997-02-142003-10-28Isis Pharmaceuticals, Inc.Aminooxy-modified nucleosidic compounds and oligomeric compounds prepared therefrom
US6670461B1 (en)1997-09-122003-12-30Exiqon A/SOligonucleotide analogues
WO2004024757A2 (en)2002-09-112004-03-25Santaris Pharma A/SModified pna molecules
US6770748B2 (en)1997-03-072004-08-03Takeshi ImanishiBicyclonucleoside and oligonucleotide analogue
US20040171570A1 (en)2002-11-052004-09-02Charles AllersonPolycyclic sugar surrogate-containing oligomeric compounds and compositions for use in gene modulation
WO2004101619A1 (en)2003-05-152004-11-25Shionogi Co., Ltd.Rational design and synthesis of functional glycopeptide
US6908903B1 (en)1994-12-072005-06-21Aletheon Pharmaceuticals, Inc.Cluster clearing agents
US20050164235A1 (en)2003-04-172005-07-28Muthiah ManoharanModified iRNA agents
US6998484B2 (en)2000-10-042006-02-14Santaris Pharma A/SSynthesis of purine locked nucleic acid analogues
US7045610B2 (en)1998-04-032006-05-16Epoch Biosciences, Inc.Modified oligonucleotides for mismatch discrimination
US7053207B2 (en)1999-05-042006-05-30Exiqon A/SL-ribo-LNA analogues
US20060148740A1 (en)2005-01-052006-07-06Prosensa B.V.Mannose-6-phosphate receptor mediated gene transfer into muscle cells
US7084125B2 (en)1999-03-182006-08-01Exiqon A/SXylo-LNA analogues
US20080039618A1 (en)2002-11-052008-02-14Charles AllersonPolycyclic sugar surrogate-containing oligomeric compounds and compositions for use in gene modulation
US20080108801A1 (en)2003-04-172008-05-08Muthiah ManoharanLipophilic Conjugated iRNA Agents
US7399845B2 (en)2006-01-272008-07-15Isis Pharmaceuticals, Inc.6-modified bicyclic nucleic acid analogs
WO2008098788A2 (en)2007-02-162008-08-21Ktb Tumorforschungsgesellschaft MbhReceptor and antigen targeted prodrug
WO2008101157A1 (en)2007-02-152008-08-21Isis Pharmaceuticals, Inc.5'-substituted-2'-f modified nucleosides and oligomeric compounds prepared therefrom
US20080206869A1 (en)2005-01-242008-08-28Avaris AbNucleic Acid Complex
US7427672B2 (en)2003-08-282008-09-23Takeshi ImanishiArtificial nucleic acids of n-o bond crosslinkage type
US7491805B2 (en)2001-05-182009-02-17Sirna Therapeutics, Inc.Conjugates and compositions for cellular delivery
US7495088B1 (en)1989-12-042009-02-24Enzo Life Sciences, Inc.Modified nucleotide compounds
WO2009073809A2 (en)2007-12-042009-06-11Alnylam Pharmaceuticals, Inc.Carbohydrate conjugates as delivery agents for oligonucleotides
US7569686B1 (en)2006-01-272009-08-04Isis Pharmaceuticals, Inc.Compounds and methods for synthesis of bicyclic nucleic acid analogs
US20090203132A1 (en)2004-09-092009-08-13Swayze Eric EPyrrolidinyl groups for attaching conjugates to oligomeric compounds
US7582744B2 (en)2004-08-102009-09-01Alnylam Pharmaceuticals, Inc.Chemically modified oligonucleotides
WO2009126933A2 (en)2008-04-112009-10-15Alnylam Pharmaceuticals, Inc.Site-specific delivery of nucleic acids by combining targeting ligands with endosomolytic components
WO2009134487A2 (en)2008-01-312009-11-05Alnylam Pharmaceuticals, Inc.Optimized methods for delivery of dsrna targeting the pcsk9 gene
WO2010054406A1 (en)2008-11-102010-05-14Alnylam Pharmaceuticals, Inc.Novel lipids and compositions for the delivery of therapeutics
US7723509B2 (en)2003-04-172010-05-25Alnylam PharmaceuticalsIRNA agents with biocleavable tethers
WO2010088537A2 (en)2009-01-292010-08-05Alnylam Pharmaceuticals, Inc.Improved lipid formulation
WO2010129709A1 (en)2009-05-052010-11-11Alnylam Pharmaceuticals, Inc.Lipid compositions
WO2010144740A1 (en)2009-06-102010-12-16Alnylam Pharmaceuticals, Inc.Improved lipid formulation
WO2010148013A2 (en)2009-06-152010-12-23Alnylam Pharmaceuticals, Inc.Lipid formulated dsrna targeting the pcsk9 gene
US7875733B2 (en)2003-09-182011-01-25Isis Pharmaceuticals, Inc.Oligomeric compounds comprising 4′-thionucleosides for use in gene modulation
WO2011038356A2 (en)2009-09-252011-03-31Johns Hopkins UniversityNovel liver-targeting agents and their synthesis
US20110097265A1 (en)2009-10-262011-04-28Institute Of Nuclear Energy Research Atomic Energy Council, Executive YuanQuantification method for remaining liver function and novel liver receptor imaging agent
US20110097264A1 (en)2009-10-262011-04-28Institute Of Nuclear Energy Research Atomic Energy Council, Executive YuanRadiolabeling method using multivalent glycoligands as hepatic receptor imaging agent
WO2011100131A2 (en)2010-01-282011-08-18Alnylam Pharmacuticals, Inc.Monomers and oligonucleotides comprising cycloaddition adduct(s)
US20110207799A1 (en)2010-02-242011-08-25Roche Madison Inc.Compositions for Targeted Delivery of siRNA
WO2011120053A1 (en)2010-03-262011-09-29Mersana Therapeutics, Inc.Modified polymers for delivery of polynucleotides, method of manufacture, and methods of use thereof
US8030467B2 (en)2006-05-112011-10-04Isis Pharmaceuticals, Inc.5′-modified bicyclic nucleic acid analogs
US20110313020A1 (en)2008-12-032011-12-22Marina Biotech, Inc.UsiRNA Complexes
WO2011163121A1 (en)2010-06-212011-12-29Alnylam Pharmaceuticals, Inc.Multifunctional copolymers for nucleic acid delivery
US8088904B2 (en)2007-08-152012-01-03Isis Pharmaceuticals, Inc.Tetrahydropyran nucleic acid analogs
US20120035115A1 (en)2008-09-232012-02-09Alnylam Pharmaceuticals, Inc.Chemical modifications of monomers and oligonucleotides with cycloaddition
US8137695B2 (en)2006-08-182012-03-20Arrowhead Madison Inc.Polyconjugates for in vivo delivery of polynucleotides
WO2012037254A1 (en)2010-09-152012-03-22Alnylam Pharmaceuticals, Inc.MODIFIED iRNA AGENTS
WO2012068187A1 (en)2010-11-192012-05-24Merck Sharp & Dohme Corp.Poly(amide) polymers for the delivery of oligonucleotides
WO2012083185A2 (en)2010-12-172012-06-21Arrowhead Research CorporationsPeptide-based in vivo sirna delivery system
WO2012083046A2 (en)2010-12-172012-06-21Arrowhead Research CorporationGalactose cluster-pharmacokinetic modulator targeting moiety for sirna
WO2012089352A1 (en)2010-12-292012-07-05F. Hoffmann-La Roche AgSmall molecule conjugates for intracellular delivery of nucleic acids
US20120230938A1 (en)2006-08-182012-09-13Arrowhead Madison Inc.Polyconjugates for In Vivo Delivery of Polynucleotides
US8278283B2 (en)2007-07-052012-10-02Isis Pharmaceuticals, Inc.6-disubstituted or unsaturated bicyclic nucleic acid analogs
US8278426B2 (en)2007-06-082012-10-02Isis Pharmaceuticals, Inc.Carbocyclic bicyclic nucleic acid analogs
US8278425B2 (en)2007-05-302012-10-02Isis Pharmaceuticals, Inc.N-substituted-aminomethylene bridged bicyclic nucleic acid analogs
US8314227B2 (en)2007-05-222012-11-20Marina Biotech, Inc.Hydroxymethyl substituted RNA oligonucleotides and RNA complexes
WO2012177947A2 (en)2011-06-212012-12-27Alnylam Pharmaceuticals, Inc.Compositions and methods for inhibition of expression of apolipoprotein c-iii (apoc3) genes
US20130004427A1 (en)2009-12-112013-01-03The Regents Of The University Of MichiganTargeted dendrimer-drug conjugates
US20130011922A1 (en)2007-03-022013-01-10F/K/A Mdrna, Inc.Nucleic acid compounds for inhibiting gene expression and uses thereof
WO2013033230A1 (en)2011-08-292013-03-07Isis Pharmaceuticals, Inc.Oligomer-conjugate complexes and their use
WO2013036868A1 (en)2011-09-072013-03-14Marina Biotech Inc.Synthesis and uses of nucleic acid compounds with conformationally restricted monomers
US20130109817A1 (en)2010-03-262013-05-02Mersana Therapeutics, Inc.Modified Polymers for Delivery of Polynucleotides, Method of Manufacture, and Methods of Use Thereof
US20130121954A1 (en)2011-08-262013-05-16Arrowhead Madison Inc.Poly(vinyl ester) Polymers for In Vivo Nucleic Acid Delivery
US20130130378A1 (en)2010-04-222013-05-23Alnylam Pharmaceuticals, Inc.Oligonucleotides comprising acyclic and abasic nucleosides and analogs
WO2013075035A1 (en)2011-11-182013-05-23Alnylam PharmaceuticalsRnai agents, compositions and methods of use thereof for treating transthyretin (ttr) associated diseases
US20130190383A1 (en)2010-04-262013-07-25Marina Biotech, Inc.Nucleic acid compounds with conformationally restricted monomers and uses thereof
US20130203836A1 (en)2010-04-012013-08-08Isis Pharmaceuticals, Inc.2' and 5' modified monomers and oligonucleotides
US8541548B2 (en)1999-06-072013-09-24Arrowhead Madison Inc.Compounds and methods for reversible modification of biologically active molecules
WO2013166121A1 (en)2012-05-022013-11-07Merck Sharp & Dohme Corp.Novel tetragalnac containing conjugates and methods for delivery of oligonucleotides
WO2013165816A2 (en)2012-05-022013-11-07Merck Sharp & Dohme Corp.SHORT INTERFERING NUCLEIC ACID (siNA) COMPOSITIONS
US8790919B2 (en)2004-03-152014-07-29Isis Pharmaceuticals, Inc.Compositions and methods for optimizing cleavage of RNA by RNase H
US8828957B2 (en)2003-12-112014-09-09Microvax, LlcMethods for generating immunity to antigen
WO2014179445A1 (en)2013-05-012014-11-06Regulus Therapeutics Inc.Compounds and methods for enhanced cellular uptake
WO2014179620A1 (en)2013-05-012014-11-06Isis Pharmaceuticals, Inc.Conjugated antisense compounds and their use
WO2015106128A2 (en)2014-01-092015-07-16Alnylam Pharmaceuticals, Inc.MODIFIED RNAi AGENTS
WO2017015555A1 (en)2015-07-222017-01-26Wave Life Sciences Ltd.Oligonucleotide compositions and methods thereof
WO2020006267A1 (en)*2018-06-272020-01-02Ionis Pharmaceuticals, Inc.Compounds and methods for reducing lrrk2 expression
US10668170B2 (en)2011-11-182020-06-02Alnylam Pharmaceuticals, Inc.Modified RNAi agents
WO2021150969A1 (en)*2020-01-242021-07-29Alnylam Pharmaceuticals, Inc.LEUCINE-RICH REPEAT KINASE 2 (LRRK2) iRNA AGENT COMPOSITIONS AND METHODS OF USE THEREOF
WO2023278607A1 (en)*2021-06-292023-01-05Alnylam Pharmaceuticals, Inc.Leucine-rich repeat kinase 2 (lrrk2) irna agent compositions and methods of use thereof
WO2023194586A2 (en)*2022-04-082023-10-12Secarna Pharmaceuticals Gmbh & Co. KgOligonucleotide for reducing the expression of leucine-rich repeat kinase 2 (lrrk2) and its use for preventing and/or treating human diseases

Patent Citations (195)

* Cited by examiner, † Cited by third party
Publication numberPriority datePublication dateAssigneeTitle
US3687808A (en)1969-08-141972-08-29Univ Leland Stanford JuniorSynthetic polynucleotides
US5118800A (en)1983-12-201992-06-02California Institute Of TechnologyOligonucleotides possessing a primary amino group in the terminal nucleotide
US4981957A (en)1984-07-191991-01-01Centre National De La Recherche ScientifiqueOligonucleotides with modified phosphate and modified carbohydrate moieties at the respective chain termini
US5367066A (en)1984-10-161994-11-22Chiron CorporationOligonucleotides with selectably cleavable and/or abasic sites
US4845205A (en)1985-01-081989-07-04Institut Pasteur2,N6 -disubstituted and 2,N6 -trisubstituted adenosine-3'-phosphoramidites
US4751219A (en)1985-02-051988-06-14Nederlandse Centrale Organisatie Voor Toegepast-Natuur-Wetenschappelijk OnderzoekSynthetic glycolipides, a process for the preparation thereof and several uses for these synthetic glycolipides
US5185444A (en)1985-03-151993-02-09Anti-Gene Deveopment GroupUncharged morpolino-based polymers having phosphorous containing chiral intersubunit linkages
US5552540A (en)1987-06-241996-09-03Howard Florey Institute Of Experimental Physiology And MedicineNucleoside derivatives
US5175273A (en)1988-07-011992-12-29Genentech, Inc.Nucleic acid intercalating agents
US5134066A (en)1989-08-291992-07-28Monsanto CompanyImproved probes using nucleosides containing 3-dezauracil analogs
US5591722A (en)1989-09-151997-01-07Southern Research Institute2'-deoxy-4'-thioribonucleosides and their antiviral activity
US5466786B1 (en)1989-10-241998-04-07Gilead Sciences2' Modified nucleoside and nucleotide compounds
US5466786A (en)1989-10-241995-11-14Gilead Sciences2'modified nucleoside and nucleotide compounds
US7495088B1 (en)1989-12-042009-02-24Enzo Life Sciences, Inc.Modified nucleotide compounds
US5130302A (en)1989-12-201992-07-14Boron Bilogicals, Inc.Boronated nucleoside, nucleotide and oligonucleotide compounds, compositions and methods for using same
US5166315A (en)1989-12-201992-11-24Anti-Gene Development GroupSequence-specific binding polymers for duplex nucleic acids
US5750692A (en)1990-01-111998-05-12Isis Pharmaceuticals, Inc.Synthesis of 3-deazapurines
US5681941A (en)1990-01-111997-10-28Isis Pharmaceuticals, Inc.Substituted purines and oligonucleotide cross-linking
US5646265A (en)1990-01-111997-07-08Isis Pharmceuticals, Inc.Process for the preparation of 2'-O-alkyl purine phosphoramidites
US5459255A (en)1990-01-111995-10-17Isis Pharmaceuticals, Inc.N-2 substituted purines
US6166199A (en)1990-01-112000-12-26Isis Pharmaceuticals, IncN-2 substituted purines
US5808027A (en)1990-01-111998-09-15Isis Pharmaceuticals, Inc.N-2 substituted purines in oligonucleotides
US5587470A (en)1990-01-111996-12-24Isis Pharmaceuticals, Inc.3-deazapurines
US5587469A (en)1990-01-111996-12-24Isis Pharmaceuticals, Inc.Oligonucleotides containing N-2 substituted purines
US5670633A (en)1990-01-111997-09-23Isis Pharmaceuticals, Inc.Sugar modified oligonucleotides that detect and modulate gene expression
US5457191A (en)1990-01-111995-10-10Isis Pharmaceuticals, Inc.3-deazapurines
US5567811A (en)1990-05-031996-10-22Amersham International PlcPhosphoramidite derivatives, their preparation and the use thereof in the incorporation of reporter groups on synthetic oligonucleotides
US5514785A (en)1990-05-111996-05-07Becton Dickinson And CompanySolid supports for nucleic acid hybridization assays
US5614617A (en)1990-07-271997-03-25Isis Pharmaceuticals, Inc.Nuclease resistant, pyrimidine modified oligonucleotides that detect and modulate gene expression
US5432272A (en)1990-10-091995-07-11Benner; Steven A.Method for incorporating into a DNA or RNA oligonucleotide using nucleotides bearing heterocyclic bases
US5948903A (en)1991-01-111999-09-07Isis Pharmaceuticals, Inc.Synthesis of 3-deazapurines
US5319080A (en)1991-10-171994-06-07Ciba-Geigy CorporationBicyclic nucleosides, oligonucleotides, process for their preparation and intermediates
US5393878A (en)1991-10-171995-02-28Ciba-Geigy CorporationBicyclic nucleosides, oligonucleotides, process for their preparation and intermediates
US5594121A (en)1991-11-071997-01-14Gilead Sciences, Inc.Enhanced triple-helix and double-helix formation with oligomers containing modified purines
US5645985A (en)1991-11-261997-07-08Gilead Sciences, Inc.Enhanced triple-helix and double-helix formation with oligomers containing modified pyrimidines
US6235887B1 (en)1991-11-262001-05-22Isis Pharmaceuticals, Inc.Enhanced triple-helix and double-helix formation directed by oligonucleotides containing modified pyrimidines
US6380368B1 (en)1991-11-262002-04-30Isis Pharmaceuticals, Inc.Enhanced triple-helix and double-helix formation with oligomers containing modified pyrimidines
US5830653A (en)1991-11-261998-11-03Gilead Sciences, Inc.Methods of using oligomers containing modified pyrimidines
US5484908A (en)1991-11-261996-01-16Gilead Sciences, Inc.Oligonucleotides containing 5-propynyl pyrimidines
US5359044A (en)1991-12-131994-10-25Isis PharmaceuticalsCyclobutyl oligonucleotide surrogates
US5639873A (en)1992-02-051997-06-17Centre National De La Recherche Scientifique (Cnrs)Oligothionucleotides
US5434257A (en)1992-06-011995-07-18Gilead Sciences, Inc.Binding compentent oligomers containing unsaturated 3',5' and 2',5' linkages
US5610300A (en)1992-07-011997-03-11Ciba-Geigy CorporationCarbocyclic nucleosides containing bicyclic rings, oligonucleotides therefrom, process for their preparation, their use and intermediates
US5700920A (en)1992-07-011997-12-23Novartis CorporationCarbocyclic nucleosides containing bicyclic rings, oligonucleotides therefrom, process for their preparation, their use and intermediates
US5576427A (en)1993-03-301996-11-19Sterling Winthrop, Inc.Acyclic nucleoside analogs and oligonucleotide sequences containing them
US5658873A (en)1993-04-101997-08-19Degussa AktiengesellschaftCoated sodium percarbonate particles, a process for their production and detergent, cleaning and bleaching compositions containing them
US6015886A (en)1993-05-242000-01-18Chemgenes CorporationOligonucleotide phosphate esters
US6005096A (en)1993-09-171999-12-21Gilead Sciences, Inc.Pyrimidine derivatives
US5502177A (en)1993-09-171996-03-26Gilead Sciences, Inc.Pyrimidine derivatives for labeled binding partners
US5763588A (en)1993-09-171998-06-09Gilead Sciences, Inc.Pyrimidine derivatives for labeled binding partners
US5457187A (en)1993-12-081995-10-10Board Of Regents University Of NebraskaOligonucleotides containing 5-fluorouracil
US5446137B1 (en)1993-12-091998-10-06Behringwerke AgOligonucleotides containing 4'-substituted nucleotides
US5446137A (en)1993-12-091995-08-29Syntex (U.S.A.) Inc.Oligonucleotides containing 4'-substituted nucleotides
US5519134A (en)1994-01-111996-05-21Isis Pharmaceuticals, Inc.Pyrrolidine-containing monomers and oligomers
US5811534A (en)1994-02-011998-09-22Isis Pharmaceuticals, Inc.Substituted purines and oligonucleotide cross-linking
US5596091A (en)1994-03-181997-01-21The Regents Of The University Of CaliforniaAntisense oligonucleotides comprising 5-aminoalkyl pyrimidine nucleotides
US5627053A (en)1994-03-291997-05-06Ribozyme Pharmaceuticals, Inc.2'deoxy-2'-alkylnucleotide containing nucleic acid
US5525711A (en)1994-05-181996-06-11The United States Of America As Represented By The Secretary Of The Department Of Health And Human ServicesPteridine nucleotide analogs as fluorescent DNA probes
US5597909A (en)1994-08-251997-01-28Chiron CorporationPolynucleotide reagents containing modified deoxyribose moieties, and associated methods of synthesis and use
US6908903B1 (en)1994-12-072005-06-21Aletheon Pharmaceuticals, Inc.Cluster clearing agents
US6222025B1 (en)1995-03-062001-04-24Isis Pharmaceuticals, Inc.Process for the synthesis of 2′-O-substituted pyrimidines and oligomeric compounds therefrom
US6166197A (en)1995-03-062000-12-26Isis Pharmaceuticals, Inc.Oligomeric compounds having pyrimidine nucleotide (S) with 2'and 5 substitutions
US5994517A (en)1995-11-221999-11-30Paul O. P. Ts'oLigands to enhance cellular uptake of biomolecules
US20060183886A1 (en)1995-11-222006-08-17Cell Works Therapeutics, Inc., A Delaware CorporationLigands to enhance cellular uptake of biomolecules
WO1997020563A1 (en)1995-11-221997-06-12The Johns-Hopkins UniversityLigands to enhance cellular uptake of biomolecules
US20030119724A1 (en)1995-11-222003-06-26Ts`O Paul O.P.Ligands to enhance cellular uptake of biomolecules
WO1997046098A1 (en)1996-06-061997-12-11Neorx CorporationCluster clearing agents
US6620916B1 (en)1996-09-262003-09-16Ajinomoto Co., Inc.Modified physiologically active proteins and medicinal compositions containing the same
WO1998013381A1 (en)1996-09-261998-04-02Ajinomoto Co., Inc.Modified physiologically active proteins and medicinal compositions containing the same
US6639062B2 (en)1997-02-142003-10-28Isis Pharmaceuticals, Inc.Aminooxy-modified nucleosidic compounds and oligomeric compounds prepared therefrom
US6770748B2 (en)1997-03-072004-08-03Takeshi ImanishiBicyclonucleoside and oligonucleotide analogue
US6268490B1 (en)1997-03-072001-07-31Takeshi ImanishiBicyclonucleoside and oligonucleotide analogues
WO1999014226A2 (en)1997-09-121999-03-25Exiqon A/SBi- and tri-cyclic nucleoside, nucleotide and oligonucleotide analogues
US6670461B1 (en)1997-09-122003-12-30Exiqon A/SOligonucleotide analogues
US6794499B2 (en)1997-09-122004-09-21Exiqon A/SOligonucleotide analogues
US7034133B2 (en)1997-09-122006-04-25Exiqon A/SOligonucleotide analogues
US6617438B1 (en)1997-11-052003-09-09Sirna Therapeutics, Inc.Oligoribonucleotides with enzymatic activity
US6528640B1 (en)1997-11-052003-03-04Ribozyme Pharmaceuticals, IncorporatedSynthetic ribonucleic acids with RNAse activity
US7045610B2 (en)1998-04-032006-05-16Epoch Biosciences, Inc.Modified oligonucleotides for mismatch discrimination
US6525031B2 (en)1998-06-162003-02-25Isis Pharmaceuticals, Inc.Targeted Oligonucleotide conjugates
US6660720B2 (en)1998-06-162003-12-09Isis Pharmaceuticals, Inc.Targeted oligonucleotide conjugates
US6300319B1 (en)1998-06-162001-10-09Isis Pharmaceuticals, Inc.Targeted oligonucleotide conjugates
US7084125B2 (en)1999-03-182006-08-01Exiqon A/SXylo-LNA analogues
US7053207B2 (en)1999-05-042006-05-30Exiqon A/SL-ribo-LNA analogues
US6525191B1 (en)1999-05-112003-02-25Kanda S. RamasamyConformationally constrained L-nucleosides
US6383812B1 (en)1999-05-282002-05-07Academia SinicaAnti liver disease drug R-YEEE and method of synthesizing branched galactose-terminal glycoproteins
US8541548B2 (en)1999-06-072013-09-24Arrowhead Madison Inc.Compounds and methods for reversible modification of biologically active molecules
US6147200A (en)1999-08-192000-11-14Isis Pharmaceuticals, Inc.2'-O-acetamido modified monomers and oligomers
US6998484B2 (en)2000-10-042006-02-14Santaris Pharma A/SSynthesis of purine locked nucleic acid analogues
US7262177B2 (en)2000-12-012007-08-28Cell Works Therapeutics, Inc.Conjugates of glycosylated/galactosylated peptide, bifunctional linker, and nucleotidic monomers/polymers, and related compositions and methods of use
WO2002043771A2 (en)2000-12-012002-06-06Cell Works Inc.Conjugates of glycosylated/galactosylated peptide
US6906182B2 (en)2000-12-012005-06-14Cell Works Therapeutics, Inc.Conjugates of glycosylated/galactosylated peptide, bifunctional linker, and nucleotidic monomers/polymers, and related compositions and method of use
US20030077829A1 (en)2001-04-302003-04-24Protiva Biotherapeutics Inc..Lipid-based formulations
US7491805B2 (en)2001-05-182009-02-17Sirna Therapeutics, Inc.Conjugates and compositions for cellular delivery
US20030175906A1 (en)2001-07-032003-09-18Muthiah ManoharanNuclease resistant chimeric oligonucleotides
US20030158403A1 (en)2001-07-032003-08-21Isis Pharmaceuticals, Inc.Nuclease resistant chimeric oligonucleotides
WO2004024757A2 (en)2002-09-112004-03-25Santaris Pharma A/SModified pna molecules
US20040171570A1 (en)2002-11-052004-09-02Charles AllersonPolycyclic sugar surrogate-containing oligomeric compounds and compositions for use in gene modulation
US20080039618A1 (en)2002-11-052008-02-14Charles AllersonPolycyclic sugar surrogate-containing oligomeric compounds and compositions for use in gene modulation
US20080108801A1 (en)2003-04-172008-05-08Muthiah ManoharanLipophilic Conjugated iRNA Agents
US8344125B2 (en)2003-04-172013-01-01Alnylam Pharmaceuticals, Inc.Modified iRNA agents
US20050164235A1 (en)2003-04-172005-07-28Muthiah ManoharanModified iRNA agents
US7851615B2 (en)2003-04-172010-12-14Alnylam Pharmaceuticals, Inc.Lipophilic conjugated iRNA agents
US7723509B2 (en)2003-04-172010-05-25Alnylam PharmaceuticalsIRNA agents with biocleavable tethers
WO2004101619A1 (en)2003-05-152004-11-25Shionogi Co., Ltd.Rational design and synthesis of functional glycopeptide
US7427672B2 (en)2003-08-282008-09-23Takeshi ImanishiArtificial nucleic acids of n-o bond crosslinkage type
US7939677B2 (en)2003-09-182011-05-10Isis Pharmaceuticals, Inc.Oligomeric compounds comprising 4′-thionucleosides for use in gene modulation
US7875733B2 (en)2003-09-182011-01-25Isis Pharmaceuticals, Inc.Oligomeric compounds comprising 4′-thionucleosides for use in gene modulation
US8828957B2 (en)2003-12-112014-09-09Microvax, LlcMethods for generating immunity to antigen
US8790919B2 (en)2004-03-152014-07-29Isis Pharmaceuticals, Inc.Compositions and methods for optimizing cleavage of RNA by RNase H
US8404862B2 (en)2004-08-102013-03-26Alnylam Pharmaceuticals, Inc.Ligand-conjugated monomers
US7582744B2 (en)2004-08-102009-09-01Alnylam Pharmaceuticals, Inc.Chemically modified oligonucleotides
US20090203132A1 (en)2004-09-092009-08-13Swayze Eric EPyrrolidinyl groups for attaching conjugates to oligomeric compounds
US20060148740A1 (en)2005-01-052006-07-06Prosensa B.V.Mannose-6-phosphate receptor mediated gene transfer into muscle cells
US20080206869A1 (en)2005-01-242008-08-28Avaris AbNucleic Acid Complex
US8022193B2 (en)2006-01-272011-09-20Isis Pharmaceuticals, Inc.6-modified bicyclic nucleic acid analogs
US7741457B2 (en)2006-01-272010-06-22Isis Pharmaceuticals, Inc.6-modified bicyclic nucleic acid analogs
US7569686B1 (en)2006-01-272009-08-04Isis Pharmaceuticals, Inc.Compounds and methods for synthesis of bicyclic nucleic acid analogs
US20090012281A1 (en)2006-01-272009-01-08Isis Pharmaceuticals, Inc.6-modified bicyclic nucleic acid analogs
US7399845B2 (en)2006-01-272008-07-15Isis Pharmaceuticals, Inc.6-modified bicyclic nucleic acid analogs
US8030467B2 (en)2006-05-112011-10-04Isis Pharmaceuticals, Inc.5′-modified bicyclic nucleic acid analogs
US8137695B2 (en)2006-08-182012-03-20Arrowhead Madison Inc.Polyconjugates for in vivo delivery of polynucleotides
US20120230938A1 (en)2006-08-182012-09-13Arrowhead Madison Inc.Polyconjugates for In Vivo Delivery of Polynucleotides
WO2008101157A1 (en)2007-02-152008-08-21Isis Pharmaceuticals, Inc.5'-substituted-2'-f modified nucleosides and oligomeric compounds prepared therefrom
WO2008098788A2 (en)2007-02-162008-08-21Ktb Tumorforschungsgesellschaft MbhReceptor and antigen targeted prodrug
US20130011922A1 (en)2007-03-022013-01-10F/K/A Mdrna, Inc.Nucleic acid compounds for inhibiting gene expression and uses thereof
US8314227B2 (en)2007-05-222012-11-20Marina Biotech, Inc.Hydroxymethyl substituted RNA oligonucleotides and RNA complexes
US20130096289A1 (en)2007-05-222013-04-18Marina Biotech, Inc.Hydroxymethyl substituted rna oligonucleotides and rna complexes
US8278425B2 (en)2007-05-302012-10-02Isis Pharmaceuticals, Inc.N-substituted-aminomethylene bridged bicyclic nucleic acid analogs
US8278426B2 (en)2007-06-082012-10-02Isis Pharmaceuticals, Inc.Carbocyclic bicyclic nucleic acid analogs
US8278283B2 (en)2007-07-052012-10-02Isis Pharmaceuticals, Inc.6-disubstituted or unsaturated bicyclic nucleic acid analogs
US8440803B2 (en)2007-08-152013-05-14Isis Pharmaceuticals, Inc.Tetrahydropyran nucleic acid analogs
US9005906B2 (en)2007-08-152015-04-14Isis Pharmaceuticals, Inc.Tetrahydropyran nucleic acid analogs
US8088904B2 (en)2007-08-152012-01-03Isis Pharmaceuticals, Inc.Tetrahydropyran nucleic acid analogs
WO2009073809A2 (en)2007-12-042009-06-11Alnylam Pharmaceuticals, Inc.Carbohydrate conjugates as delivery agents for oligonucleotides
WO2009082607A2 (en)2007-12-042009-07-02Alnylam Pharmaceuticals, Inc.Targeting lipids
US8106022B2 (en)2007-12-042012-01-31Alnylam Pharmaceuticals, Inc.Carbohydrate conjugates as delivery agents for oligonucleotides
US20120136042A1 (en)2007-12-042012-05-31Alnylam Pharmaceuticals, IncCarbohydrate conjugates as delivery agents for oligonucleotides
US8450467B2 (en)2007-12-042013-05-28Alnylam Pharmaceuticals, Inc.Carbohydrate conjugates as delivery agents for oligonucleotides
WO2009134487A2 (en)2008-01-312009-11-05Alnylam Pharmaceuticals, Inc.Optimized methods for delivery of dsrna targeting the pcsk9 gene
WO2009126933A2 (en)2008-04-112009-10-15Alnylam Pharmaceuticals, Inc.Site-specific delivery of nucleic acids by combining targeting ligands with endosomolytic components
US20110123520A1 (en)2008-04-112011-05-26Alnylam Pharmaceuticals, Inc.Site-specific delivery of nucleic acids by combining targeting ligands with endosomolytic components
US20120035115A1 (en)2008-09-232012-02-09Alnylam Pharmaceuticals, Inc.Chemical modifications of monomers and oligonucleotides with cycloaddition
WO2010054406A1 (en)2008-11-102010-05-14Alnylam Pharmaceuticals, Inc.Novel lipids and compositions for the delivery of therapeutics
US20120095075A1 (en)2008-11-102012-04-19Alnylam Pharmaceuticals, Inc.Novel lipids and compositions for the delivery of therapeutics
US20110313020A1 (en)2008-12-032011-12-22Marina Biotech, Inc.UsiRNA Complexes
WO2010088537A2 (en)2009-01-292010-08-05Alnylam Pharmaceuticals, Inc.Improved lipid formulation
US20120101148A1 (en)2009-01-292012-04-26Alnylam Pharmaceuticals, Inc. lipid formulation
WO2010129709A1 (en)2009-05-052010-11-11Alnylam Pharmaceuticals, Inc.Lipid compositions
WO2010144740A1 (en)2009-06-102010-12-16Alnylam Pharmaceuticals, Inc.Improved lipid formulation
US8158601B2 (en)2009-06-102012-04-17Alnylam Pharmaceuticals, Inc.Lipid formulation
WO2010148013A2 (en)2009-06-152010-12-23Alnylam Pharmaceuticals, Inc.Lipid formulated dsrna targeting the pcsk9 gene
US8552163B2 (en)2009-09-252013-10-08Johns Hopkins UniversityLiver-targeting agents and their synthesis
WO2011038356A2 (en)2009-09-252011-03-31Johns Hopkins UniversityNovel liver-targeting agents and their synthesis
US20110097265A1 (en)2009-10-262011-04-28Institute Of Nuclear Energy Research Atomic Energy Council, Executive YuanQuantification method for remaining liver function and novel liver receptor imaging agent
US8435491B2 (en)2009-10-262013-05-07Institute Of Nuclear Energy Research Atomic Energy Council, Executive YuanQuantification method for remaining liver function and novel liver receptor imaging agent
US20110097264A1 (en)2009-10-262011-04-28Institute Of Nuclear Energy Research Atomic Energy Council, Executive YuanRadiolabeling method using multivalent glycoligands as hepatic receptor imaging agent
US20130004427A1 (en)2009-12-112013-01-03The Regents Of The University Of MichiganTargeted dendrimer-drug conjugates
WO2011100131A2 (en)2010-01-282011-08-18Alnylam Pharmacuticals, Inc.Monomers and oligonucleotides comprising cycloaddition adduct(s)
US8313772B2 (en)2010-02-242012-11-20Arrowhead Madison Inc.Compositions for targeted delivery of siRNA
US20110207799A1 (en)2010-02-242011-08-25Roche Madison Inc.Compositions for Targeted Delivery of siRNA
WO2011120053A1 (en)2010-03-262011-09-29Mersana Therapeutics, Inc.Modified polymers for delivery of polynucleotides, method of manufacture, and methods of use thereof
US8349308B2 (en)2010-03-262013-01-08Mersana Therapeutics, Inc.Modified polymers for delivery of polynucleotides, method of manufacture, and methods of use thereof
US20130109817A1 (en)2010-03-262013-05-02Mersana Therapeutics, Inc.Modified Polymers for Delivery of Polynucleotides, Method of Manufacture, and Methods of Use Thereof
US20130203836A1 (en)2010-04-012013-08-08Isis Pharmaceuticals, Inc.2' and 5' modified monomers and oligonucleotides
US20130130378A1 (en)2010-04-222013-05-23Alnylam Pharmaceuticals, Inc.Oligonucleotides comprising acyclic and abasic nucleosides and analogs
US20130190383A1 (en)2010-04-262013-07-25Marina Biotech, Inc.Nucleic acid compounds with conformationally restricted monomers and uses thereof
WO2011163121A1 (en)2010-06-212011-12-29Alnylam Pharmaceuticals, Inc.Multifunctional copolymers for nucleic acid delivery
WO2012037254A1 (en)2010-09-152012-03-22Alnylam Pharmaceuticals, Inc.MODIFIED iRNA AGENTS
WO2012068187A1 (en)2010-11-192012-05-24Merck Sharp & Dohme Corp.Poly(amide) polymers for the delivery of oligonucleotides
WO2012083046A2 (en)2010-12-172012-06-21Arrowhead Research CorporationGalactose cluster-pharmacokinetic modulator targeting moiety for sirna
US20120165393A1 (en)2010-12-172012-06-28Arrowhead Madison Inc.Peptide-Based In Vivo siRNA Delivery System
WO2012083185A2 (en)2010-12-172012-06-21Arrowhead Research CorporationsPeptide-based in vivo sirna delivery system
US8501930B2 (en)2010-12-172013-08-06Arrowhead Madison Inc.Peptide-based in vivo siRNA delivery system
WO2012089602A1 (en)2010-12-292012-07-05F. Hoffmann-La Roche AgSmall molecule conjugates for intracellular delivery of biologically active compounds
WO2012089352A1 (en)2010-12-292012-07-05F. Hoffmann-La Roche AgSmall molecule conjugates for intracellular delivery of nucleic acids
WO2012177947A2 (en)2011-06-212012-12-27Alnylam Pharmaceuticals, Inc.Compositions and methods for inhibition of expression of apolipoprotein c-iii (apoc3) genes
US20130121954A1 (en)2011-08-262013-05-16Arrowhead Madison Inc.Poly(vinyl ester) Polymers for In Vivo Nucleic Acid Delivery
WO2013033230A1 (en)2011-08-292013-03-07Isis Pharmaceuticals, Inc.Oligomer-conjugate complexes and their use
WO2013036868A1 (en)2011-09-072013-03-14Marina Biotech Inc.Synthesis and uses of nucleic acid compounds with conformationally restricted monomers
US10668170B2 (en)2011-11-182020-06-02Alnylam Pharmaceuticals, Inc.Modified RNAi agents
WO2013075035A1 (en)2011-11-182013-05-23Alnylam PharmaceuticalsRnai agents, compositions and methods of use thereof for treating transthyretin (ttr) associated diseases
WO2013166121A1 (en)2012-05-022013-11-07Merck Sharp & Dohme Corp.Novel tetragalnac containing conjugates and methods for delivery of oligonucleotides
WO2013165816A2 (en)2012-05-022013-11-07Merck Sharp & Dohme Corp.SHORT INTERFERING NUCLEIC ACID (siNA) COMPOSITIONS
WO2014179620A1 (en)2013-05-012014-11-06Isis Pharmaceuticals, Inc.Conjugated antisense compounds and their use
US9127276B2 (en)2013-05-012015-09-08Isis Pharmaceuticals, Inc.Conjugated antisense compounds and their use
US9181549B2 (en)2013-05-012015-11-10Isis Pharmaceuticals, Inc.Conjugated antisense compounds and their use
WO2014179445A1 (en)2013-05-012014-11-06Regulus Therapeutics Inc.Compounds and methods for enhanced cellular uptake
US10844379B2 (en)2013-05-012020-11-24Ionis Pharmaceuticals, Inc.Conjugated antisense compounds and their use
WO2015106128A2 (en)2014-01-092015-07-16Alnylam Pharmaceuticals, Inc.MODIFIED RNAi AGENTS
WO2017015555A1 (en)2015-07-222017-01-26Wave Life Sciences Ltd.Oligonucleotide compositions and methods thereof
WO2020006267A1 (en)*2018-06-272020-01-02Ionis Pharmaceuticals, Inc.Compounds and methods for reducing lrrk2 expression
WO2021150969A1 (en)*2020-01-242021-07-29Alnylam Pharmaceuticals, Inc.LEUCINE-RICH REPEAT KINASE 2 (LRRK2) iRNA AGENT COMPOSITIONS AND METHODS OF USE THEREOF
WO2023278607A1 (en)*2021-06-292023-01-05Alnylam Pharmaceuticals, Inc.Leucine-rich repeat kinase 2 (lrrk2) irna agent compositions and methods of use thereof
WO2023194586A2 (en)*2022-04-082023-10-12Secarna Pharmaceuticals Gmbh & Co. KgOligonucleotide for reducing the expression of leucine-rich repeat kinase 2 (lrrk2) and its use for preventing and/or treating human diseases

Non-Patent Citations (63)

* Cited by examiner, † Cited by third party
Title
"ACS Symposium Series", vol. 580, article "Carbohydrate Modifications in Antisense Research", pages: 40 - 65
"GenBank Accession", Database accession no. NM_198578.4
BERGE ET AL.: "Pharmaceutical Salts", JOURNAL OF PHARMACEUTICAL SCIENCE, vol. 66, 1977, pages 1 - 19, XP002675560, DOI: 10.1002/jps.2600660104
BIESSEN ET AL., FASEB J, vol. 14, 2000, pages 1784 - 1792
BIESSEN ET AL., J MED CHEM, vol. 38, 1995, pages 1846 - 1852
BIESSEN ET AL., J. MED. CHEM., vol. 38, 1995, pages 1846 - 1852
CHATTOPADHYAYA, J. ORG. CHEM., vol. 74, 2009, pages 118 - 134
CONNOLLY ET AL., J BIOL CHEM, vol. 257, 1982, pages 939 - 945
CROOKE ET AL., J. PHARMACOL. EXP. THER., vol. 277, 1996, pages 923 - 937
DUFF ET AL., METHODS ENZYMOL, vol. 313, 2000, pages 297 - 321
ENGLISCH ET AL., ANGEWANDTE CHEMIE, vol. 30, 1991, pages 613
JAYAPRAKASH ET AL., ORG LETT, vol. 12, 2010, pages 5410 - 5413
KABANOV ET AL., FEBS LETT., vol. 259, 1990, pages 327 - 330
KATO ET AL., GLYCOHIOL, vol. 11, 2001, pages 821 - 829
KHOREV ET AL., BIOORG MED CHEM, vol. 16, 2008, pages 5216 - 5231
KIM ET AL., TETRAHEDRON LETT, vol. 38, 1997, pages 3487 - 3490
KORNILOVA ET AL., ANALYT BIOCHEM, vol. 425, 2012, pages 43 - 46
KUMAR ET AL., ORG. BIOMOL. CHEM., vol. 11, 2013, pages 5853 - 5865
LEE ET AL., BIOCHEM, vol. 23, 1984, pages 4255 - 4261
LEE ET AL., BIOORG MED CHEM LETT, vol. 16, no. 19, 2006, pages 5132 - 5135
LEE ET AL., BIOORG MED CHEM, vol. 19, 2011, pages 2494 - 2500
LEE ET AL., BIOORGANIC & MEDICINAL CHEMISTRY, vol. 19, 2011, pages 2494 - 2500
LEE ET AL., GLYCOCONJUGATE J, vol. 4, 1987, pages 317 - 328
LEE ET AL., J ORG CHEM, vol. 77, 2012, pages 7564 - 7571
LEE ET AL., METHODS ENZYMOL, vol. 362, 2003, pages 38 - 43
LEE, CARHOHYDR RES, vol. 67, 1978, pages 509 - 514
LETSINGER ET AL., PROC. NATL. ACID. SCI. USA, vol. 86, 1989, pages 6553 - 6556
MAIER ET AL., BIOCONJUG CHEM, vol. 14, 2003, pages 18 - 29
MAIER ET AL., BIOCONJUGATE CHEMISTRY, vol. 14, 2003, pages 18 - 29
MAIERHOFER ET AL., BIOORG MED CHEM, vol. 15, 2007, pages 7661 - 7676
MANOHARAN ET AL., ANN. NY. ACAD. SCI., vol. 660, 1992, pages 306 - 309
MANOHARAN ET AL., BIORG. MED. CHEM. LET., vol. 3, 1993, pages 2765 - 2770
MANOHARAN ET AL., BIORG. MED. CHEM. LET., vol. 4, 1994, pages 1053 - 1060
MANOHARAN ET AL., NUCLEOSIDES & NUCLEOTIDES, vol. 14, 1995, pages 969 - 973
MANOHARAN ET AL., TETRAHEDRON LETT., vol. 36, 1995, pages 3651 - 3654
MANOHARAN, ANTISENSE NUCLEIC ACID DRUG DEV, vol. 12, 2002, pages 103 - 128
MERWIN ET AL., BIOCONJUG CHEM, vol. 5, 1994, pages 612 - 620
MISHRA ET AL., BIOCHIM. BIOPHYS. ACTA, vol. 1264, 1995, pages 229 - 237
NISHINA ET AL., MOLECULAR THERAPY NUCLEIC ACIDS, vol. 4, 2015, pages e220
NISHINA ET AL., MOLECULAR THERAPY, vol. 16, 2008, pages 734 - 166,442-443
OBERHAUSER ET AL., NUCL. ACIDS RES., vol. 20, 1992, pages 533 - 538
OKA ET AL., JACS, vol. 125, 2003, pages 8307
PAVIA ET AL., INT J PEP PROTEIN RES, vol. 22, 1983, pages 539 - 548
PUJOL ET AL., ANGEW CHEMIE INT ED ENGL, vol. 51, 2012, pages 7445 - 7448
RAJUR ET AL., BIOCONJUG CHEM, vol. 8, 1997, pages 935 - 940
RENSEN ET AL., ARTERIOSCLER THROMH VASE BIOL, vol. 26, 2006, pages 169 - 175
RENSEN ET AL., J BIOL CHEM, vol. 276, 2001, pages 37577 - 37584
RENSEN ET AL., J MED CHEM, vol. 47, 2004, pages 5798 - 5808
RENSEN ET AL., J. BIOL. CHEM., vol. 276, 2001, pages 37577 - 37584
RENSEN ET AL., J. MED. CHEM., vol. 47, 2004, pages 5798 - 5808
SAISON-BEHMOARAS ET AL., EMBO J, vol. 10, 1991, pages 1111 - 1118
SANGHVI, Y.S.: "dsRNA Research and Applications", 1993, CRC PRESS, article "Antisense Research and Applications", pages: 289 - 302
SATO ET AL., JAM CHEM SOC, vol. 126, 2004, pages 14013 - 14022
SHEA ET AL., NUCL. ACIDS RES., vol. 18, 1990, pages 3777 - 3783
SLIEDREGT ET AL., J MED CHEM, vol. 42, 1999, pages 609 - 618
SLIEDREGT ET AL., J. MED. CHEM., vol. 42, 1999, pages 609 - 618
SVINARCHUK ET AL., BIOCHIMIE, vol. 75, 1993, pages 49 - 54
TOMIYA ET AL., BIOORG MED CHEM, vol. 21, 2013, pages 5275 - 5281
TOYOKUNI ET AL., TETRAHEDRON LETT, vol. 31, 1990, pages 2673 - 2676
VALENTIJN ET AL., TETRAHEDRON, vol. 53, 1997, pages 759 - 770
VAN ROSSENBERG ET AL., GENE THER, vol. 11, 2004, pages 457 - 464
WAN ET AL., NUC. ACID. RES., vol. 42, 2014, pages 13456
WESTERLIND ET AL., GLYCOCONJ J, vol. 21, 2004, pages 227 - 241

Also Published As

Publication numberPublication date
TW202506137A (en)2025-02-16

Similar Documents

PublicationPublication DateTitle
JP7640651B2 (en) Modulators of HSD17B13 Expression
JP2025063137A (en) Compounds and methods for modulation of SMN2
EP3485015A1 (en)Compounds and methods for modulation of dystrophin transcript
TWI840345B (en)Modulators of irf4 expression
JP2022132548A (en)Modulators of PNPLA3 expression
EP4437104A1 (en)Complement factor b-modulating compositions and methods of use thereof
WO2023056446A1 (en)Angiotensinogen-modulating compositions and methods of use thereof
WO2024263694A1 (en)Lrrk2-modulating compositions and methods of use thereof
WO2024249328A2 (en)Sod1-modulating compositions and methods of use thereof
WO2025024283A1 (en)Coagulation factor xi-modulating compositions and methods of use thereof
EP4504937A2 (en)Angiotensinogen-modulating compositions and methods of use thereof
US12042509B2 (en)Prekallikrein-modulating compositions and methods of use thereof
HK40054232A (en)Modulators of pnpla3 expression

Legal Events

DateCodeTitleDescription
121Ep: the epo has been informed by wipo that ep was designated in this application

Ref document number:24742390

Country of ref document:EP

Kind code of ref document:A1


[8]ページ先頭

©2009-2025 Movatter.jp