Movatterモバイル変換


[0]ホーム

URL:


WO2024253607A1 - An extended depth of field lens - Google Patents

An extended depth of field lens
Download PDF

Info

Publication number
WO2024253607A1
WO2024253607A1PCT/TR2023/050546TR2023050546WWO2024253607A1WO 2024253607 A1WO2024253607 A1WO 2024253607A1TR 2023050546 WTR2023050546 WTR 2023050546WWO 2024253607 A1WO2024253607 A1WO 2024253607A1
Authority
WO
WIPO (PCT)
Prior art keywords
lens
vision
refractive
baseline
peak
Prior art date
Legal status (The legal status is an assumption and is not a legal conclusion. Google has not performed a legal analysis and makes no representation as to the accuracy of the status listed.)
Pending
Application number
PCT/TR2023/050546
Other languages
French (fr)
Inventor
Sven Thage Sigvard HOLMSTRÖM
Amin TABATABAEI MOHSENI
Efe CAN
Current Assignee (The listed assignees may be inaccurate. Google has not performed a legal analysis and makes no representation or warranty as to the accuracy of the list.)
VSY Biyoteknoloji ve Ilac Sanayi AS
Original Assignee
VSY Biyoteknoloji ve Ilac Sanayi AS
Priority date (The priority date is an assumption and is not a legal conclusion. Google has not performed a legal analysis and makes no representation as to the accuracy of the date listed.)
Filing date
Publication date
Application filed by VSY Biyoteknoloji ve Ilac Sanayi ASfiledCriticalVSY Biyoteknoloji ve Ilac Sanayi AS
Priority to PCT/TR2023/050546priorityCriticalpatent/WO2024253607A1/en
Publication of WO2024253607A1publicationCriticalpatent/WO2024253607A1/en
Pendinglegal-statusCriticalCurrent
Anticipated expirationlegal-statusCritical

Links

Classifications

Definitions

Landscapes

Abstract

Presently disclosed is an ophthalmic multifocal lens providing far, intermediate, and near vision as well as an enhanced depth-of-field. According to multiple embodiments, disclosed EDOF lenses minimize undesired photic phenomena, provide seamless far and intermediate vision, with a plateau of vision connected to far vision rather than isolated sharp intensity peaks, and accommodate various pupil sizes, disclosing lenses with additions above 2D, allow shaping of the addition curve, and maintain sharp far vision under different lighting conditions, with phase-shifting structures that have relatively low height.

Description

AN EXTENDED DEPTH OF FIELD LENS
Technical Field of the Present Invention
The present disclosure generally relates to aperture adaptive ophthalmic lenses and, more specifically, to ophthalmic eyeglasses, ophthalmic contact and intraocular lenses with extended depth-of-field, the extended depth-of-field being provided by a central convex structure with at least two different curvatures and a lower smooth ridge, arranged to best serve human vision for different pupil sizes under various light conditions.
Background of the Present Invention
There are different types of presbyopia correcting lenses. On the one hand there are accommodative lenses, a category that comprises different types of active lenses, albeit there being scarce clinical evidence of such a lens being used as an effective long-term solution. On the other hand, there are passive presbyopic lenses. These can be categorized by the intended range of vision. One common type is the full range of focus lens, that is the lens intends to provide at least far and near vision, and often also some intermediate vision. In the past many such lenses were strictly bifocal, later it became common with strictly trifocal lenses, having three separate foci for far, intermediate, and far vision, respectively. Increasingly it has become common to use more than three focal points, since focal points at close distances can practically blend together and provide what are perceived as continuous viewing zones. Another type is the lens with extended depth-of-field or extended depth-of-focus (EDOF) lens. This type of lens intends to provide far vision, intermediate vision and often with emphasis on having a continuous viewing zone between the far and intermediate vision, perhaps extending to close distances than the intermediate distance proper. The term 'multifocal' is sometimes used exclusionary of EDOF lenses, but since most effective EDOF lenses actually makes use of more than one focal point this is not a proper use of the term.
Present disclosure concerns multifocal EDOF lenses. The latter requires a mechanical mechanism, rendering them more complex than passive lenses. All ophthalmological lenses much provide a strong distance (far) vision, e.g. for cataract surgery the quality of far vision is indeed what determines clinical success. The primary distinction among passive presbyopia correction lenses lies in the amount of optical addition they provide. Contemporary multifocal lenses intend to provide far, intermediate and near vision, often targeting to provide full spectacle independence for the user. Many solutions exist for such lenses, including sawtooth diffractive, sinusoidal diffractive, and refractive zonal lenses. Each solution has its own limitations, but two very common problems are lack of acuity for the far vision for large apertures (scotopic conditions) and increased incidence of undesired photic phenomena such as stray light and glare i.e. sight difficulty under bright light conditions such as direct or reflected sunlight or artificial light such as car headlamps at night, and halo effects i.e. white or colored light rings or spots seen at dim light, i.e. under mesopic conditions.
There exist in the literature and the market several ways to create EDOF lenses or EDOF-like lenses. One type of lens that has been used for a long time is the zonal refractive, as exemplified by US8486141B2, where an extended focus is created by having the lens is divided into three concentric zones where the middle zone has a stronger optical power.
US10437078 puts forward a lens with three concentric zones, where two zones have different optical power and a third zone in between them has a power that progresses from the power of one of the adjacent zones to the power of the other adjacent zone.
US2004230299 presents a lens with extended depth of focus that utilizes central convex shape and a sinusoidal grating. The grating has a pitch that is not conforming to that of a typical multifocal, leading instead to a widened peak.
Central convex shapes have of course been used in lenses (e.g. intraocular lenses) for different purposes for many different reasons, but many of these make use relatively large convex shapes with heights equivalent to phase modulations of several multiples of visible wavelengths, which is not desirable. PCT/TR2020/050735 described a lens with a sinusoidal multifocal center and a monofocal periphery.
WO2021209954A1 demonstrates a lens design to enhance depth-of-focus for intermediate vision, while maintaining distance vision. This is done by superimposing a simple phase shifting structure and a refractive zonal structure onto a base structure. The zonal structure on its own creates a bifocal lens, the added phase shift shifts more light towards the far focus.
W02017149401, which presents a lens with extended depth of focus. This extended depth of focus is obtained using a ridge at around a lens radius of about 1mm. The curvature of the lens surface is different on two sides of the ridge. The ridge "produces a controlled variation of phase shifts" to extend the depths of focus. To able to provide continuous vision instead of only two separate peaks strong spherical aberration is combined with different curvatures inside and outside the ridge. EP3954327A1 presents a lens with a single, isolated echelette around the optical axis is imposed on either an anterior or posterior surface thereof that provides an extended depth of focus. W02009027438A2 presents an intraocular lens having extended depth of focus. A sharp transition zone connects the echelette with the lens periphery.
Above listed and mentioned instances of prior art notwithstanding, there exists no perfect way of constructing extended depth-of-focus lenses for the following reasons: Diffractive lenses as well as zonal lenses with strong additions are known to produce undesired halo effects. The eye is especially sensitive for positive dysphotopsia, such as halo and glare, in dim lighting conditions. This means that, to minimize these phenomena, the lens should be as similar as possible to a monofocal lens for larger apertures.
However, because of the well-known pinhole effect that causes a small pupil to provide a much higher depth of focus, small shifts in power for tiny pupils have no negative effect on vision. This means that a proper EDOF lens should shift the optical power in the center of the lens, while being substantially monofocal towards the periphery. Further, a good EDOF lens should provide good intermediate vision, but ideally not as a sharp intensity peak for an isolated distance, but instead a plateau of vision connected to the far vision. The far vision, however, should keep its sharp peak for mesopic and scotopic conditions. Likewise, the design methodology for making the lens should make it possible to design for additions well above 2D and should allow for shaping the addition curve. Finally, the total height of the phase shifting structures should be less than one full phase modulation (i.e. less than 2 n).
Accordingly, there is a need for an improved EDOF lens that minimizes undesired photic phenomena, provides seamless far and intermediate vision, with a plateau of vision connected to far vision rather than isolated sharp intensity peaks, and accommodates various pupil sizes. The design should enable lenses with additions above 2D, allow shaping of the addition curve, and maintain sharp far vision under different lighting conditions, with phaseshifting structures that have relatively low height.
Objects of the Present Invention
Primary object of the present invention is to provide an ophthalmic enhanced depth-of-field lens, comprising a refractive baseline, a phase shifting structure, an optical axis and providing adequate far vision for all lighting conditions and intermediate vision for at least photopic conditions.
Another object of the present invention is to provide an ophthalmic enhanced depth-of-field lens, comprising a refractive baseline and a phase shifting structure minimizing detrimental photic phenomena such as dysphotopsias.
Another object of the present invention is to provide an ophthalmic enhanced depth-of-field lens, comprising a refractive baseline and a phase shifting structure offering a vision plateau for far vision instead of sharp, isolated intensity peaks.
Another object of the present invention is to provide an ophthalmic enhanced depth-of-field lens, comprising a refractive baseline and a phase shifting structure enabling lenses with additions over 2D.
Another object of the present invention is to provide an ophthalmic enhanced depth-of-field lens, comprising a refractive baseline and a phase shifting structure that allows shaping of the addition curve. Brief Description of the Present Invention
In a first aspect, there is provided an ophthalmic multifocal lens that is at least configured to provide a focal point for far vision. Said ophthalmic multifocal lens have a light transmissive lens body comprising a phase shifting structure arranged for providing vision over a range of optical power stronger than that of the distance vision, the phase shifting structure having a design that is rotationally symmetric around the optical axis.
Said ophthalmic lens, in a second aspect of the present disclosure, is configured to operate and function as a standard monofocal lens outside at least a 3 mm lens aperture. This EDOF configuration allows for embodiments with good acuity for intermediate vision. Furthermore, ophthalmic lenses according to different embodiments allow for easy tuning between one peak, one separate, secondary peak or fully continuous distribution across all powers.
In the context of this invention, EDOF lenses are designed to provide far and intermediate vision, but not full near vision. EDOF lenses have recently gained increased popularity, to a large extent because they can significantly mitigate the two primary issues mentioned above. Although they may not offer a completely spectacle-free experience for most users, the idea is that they can be combined with reading glasses for reading tasks, but on their own suffice for most other activities, including driving in any condition. In a multifocal lens intended for full spectacle independence, it is usually the case that light is provided to three or more distances, leaving gaps in between. However, an effective EDOF lens aims to deliver a continuous range of vision from far to intermediate distances while maintaining a particularly sharp far vision. Published efforts tend to either employ an elongated focus or distinct peaks, neither is enough to fulfill the requirements of a well-functioning EDOF lens. EDOF lenses described in this document makes use of phase shifting structures superimposed onto the surfaces one would find on a typical monofocal lens. Often one side of the lens is purely monofocal, while the other side has a phase shifting profile consisting of one of more phase shifting structures super positioned over a refractive baseline. The refractive baseline can be spherical, or alternatively have an aspherical shape. The phase shifting structures can in general be applied to any of the two sides of the lens, since when a phase shifting structure is to be combined with a refractive baseline with some special feature it generally does not matter if they are added to the same side or if one is added to a first side and the other to a second side of the lens. Concurrently, two phase shifting structures may be combined either by super positioning on one side, or by adding them on both sides of the lens in an overlapping fashion.
Ophthalmic lenses that are built according to the present disclosure also have the marked advantage of providing a very sharp far vision for scotopic conditions. Providing a sufficient distance vision is considered the criterion for success in surgical interventions. Next to this, another advantage is the strong addition which is essentially achievable through small modifications to the structure of a monofocal lens.
Brief Description of the Figures of the Present Invention
Accompanying drawings are given solely for the purpose of exemplifying an enhanced depth-of-field lens intraocular lens, whose advantages over prior art were outlined above and will be explained in brief hereinafter.
The drawings are not meant to delimit the scope of protection as identified in the claims nor should they be referred to alone in an effort to interpret the scope identified in said claims without recourse to the technical disclosure in the description of the present invention.
Figure 1 demonstrates a simplified anatomy of the human eye.
Figures 2a and 2b demonstrate a front and side view, respectively, of an ophthalmic multifocal aphakic intraocular lens as known in the art.
Figures 3a and 3b demonstrate a front and side view, respectively, of an ophthalmic multifocal intraocular lens made according to the present invention.
Figures 4a, 4b, 4c, and 4d illustrate several surface profiles, less respective refractive baseline, and their respective modelled absolute intensities at 2.5 mm and 3.5 mm lens apertures. These figures illustrate the functionality of the present invention.
Figure 5a demonstrates four different surface profiles, less the respective refractive baseline, for enhanced depth-of-field lenses made according to the present invention.
Figures 5b, 5c, 5d, and 5e demonstrate the modelled relative intensity of the surface profiles in Figure 5a.
Figure 5f demonstrates the absolute modelled intensity distributions at 3 mm lens aperture for the surface profiles in Figure 5a.
Figure 6a demonstrate four different possible surface profiles on lenses made according to the present invention. Figures 6b and 6c demonstrate modelled absolute intensity and modelled relative intensity, respectively, of the profiles in Figure 6a.
Figure 6d demonstrate four different possible surface profiles on lenses made according to the present invention.
Figures 6e and 6f demonstrate modelled absolute intensity and modelled relative intensity, respectively, of the profiles in Figure 6d.
Figure 7a shows measurements of a lens manufactured according to the present invention, MTF measured at 50lp/mm.
Figure 7b shows measurements of a lens manufactured according to the present invention, MTF measured at lOOIp/mm.
Detailed Description of the Present Invention
10 Eye
11 Cornea
12 Pupil
13 Natural crystalline lens
14 Retina
15 Posterior cavity
16 Anterior and posterior chambers
17 Far vision
18 Intermediate vision
19 Near vision
20 Optical axis 29 Optical axis
30 Ophthalmic lens
31 Lens body
32 Haptic(s)
33 Center part
34 Front surface
35 Rear surface
36 Adapted optical surface
37 Optic diameter
38 Outer diameter
39 Center thickness
50 Aphakic intraocular lens with enhanced DoF
51 Phase shifting structure
52 Anterior surface
53 Posterior surface
54 Lens body
The lens according to the present invention is an ophthalmic lens comprising at least a refractive baseline and a phase shifting structure super-positioned onto the refractive baseline, arranged so that the lens, to a user, provides far vision, intermediate vision, the intermediate vision being spread broadly rather than at one narrow depth.
A strong far vision is the typical criterion to ascertain the success of cataract surgery. This is because a strong far vision is important for all apertures. In this document there is a lot of specific discussion of lens performance at different apertures. To simplify the text the apertures and pupil sizes that are all defined in the anterior lens plane, assuming an average human eye. But to be clear, the corresponding pupil sizes are larger, the exact sizes of which will differ slightly from person to person. In the average human eye, a 2 mm aperture in the lens plane corresponds to a 2.35 mm pupil diameter, 3 mm in the lens plane corresponds to 3.515 mm, 4.5 mm to 5.28 mm, and 6 mm to 7.04 mm.
In the detailed descriptions below of different lens designs distinctions between usable and non-usable light, and between desired and undesired intensity peaks are used. This distinction is very important for designing and tuning lenses of the type proscribed in this document. An ophthalmic lens will always be intended to provide an intensity peak for far vision. Intensity peaks at optical power higher than this - i.e. power on the myopic side - are generally usable, at least up to three or four diopters. On the other hand, power below far vision - i.e. power on the hyperopic side - is unusable. Furthermore, it is also known that undesired (negative) additions are more detrimental the closer they are to the far vision. This is, for example, discussed in detail in US 8,573,775 B2 (column 3, lines 6-14).
One important aspect of the present invention is tuning the intensity distribution as a function of the lens aperture, from the optical axis up to a radius from where the lens is substantially behaving as a monofocal lens. Generally, the eye has a much larger depth of field at pupil sizes that are smaller, due to the pinhole effect. Pupil size, not being solely dependent on the pupillary light reflex, is also dependent on the accommodation reflex, which causes the pupil to enlarge insufficiently while focusing on objects of closer proximity. Due to this, it is generally advantageous to arrange large apertures of an ophthalmological lens so that it provides far vision only, since for increasing pupil sizes the highest power the eye can make use of decreases. Thus, providing stronger power for in scotopic conditions will decrease light efficiency of the lens.
For small pupil sizes the pinhole effect is important to consider. A constriction of the pupil increases the depth of field of the lens, for tiny pupils this effect generally provides a relatively good vision at all distances even with a lens that is providing only a single focus. Many modern multifocal and enhanced depth- of-focus (EDOF) lenses take advantage of this effect by allowing the light provided by the lens to be dominated by intermediate or near vision. The argument is that if this is provided in the center of the lens it will work well enough for the user in photopic conditions, because of large depth of field for tiny apertures, while this intensity provided for near and/or intermediate vision can be of use especially for mesopic conditions with slightly larger pupil sizes. However, the addition of intermediate vision is important for photopic and mesopic conditions to enable viable vision for most ranges.
When measurements of physical lenses are discussed in this document, what is referred to are measurements made with a physical optical bench using Eye model 1 according to ISO 11979-2. In said standard, Eye model 1 uses a neutral cornea. Eye model 1 can be used to measure either the intensity or the Through Focus Modulation Transfer Function (MTF). The MTF is always measured at some specific frequency, measured line pairs per millimeter (Ip/mm). It is common to compare MTF values at 50 Ip/mm or 100 Ip/mm.
Figure 1 shows, in a simplified manner, the anatomy of the human eye 10, for the purpose of illustrating the present disclosure. The front part of the eye 10 is formed by the cornea 11, a spherical clear tissue that covers the pupil 12. The pupil 12 is the adaptable light receiving part of the eye 10 that controls the amount of light received in the eye 10. Light rays passing the pupil 12 are received at the natural crystalline lens 13, a small clear and flexible disk inside the eye 10, that focuses light rays onto the retina 14 at the rear part of the eye 10. The retina 14 serves the image forming by the eye 10. The posterior cavity 15, i.e. the space between the retina 14 and the lens 13, is filled with vitreous humour, a clear, jelly-like substance. The anterior and posterior chambers 16, i.e. the space between the lens 13 and the cornea 11, is filled with aqueous humour, a clear, watery liquid. Reference numeral 20 indicates the optical axis of the eye 10.
For a sharp and clear far field view by the eye 10, the lens 13 should be relatively flat, while for a sharp and clear near field view the lens 13 should be relatively curved. The curvature of the lens 13 is controlled by the ciliary muscles (not shown) that are in turn controlled from the human brain. A healthy eye 10 is able to accommodate, i.e. to control the lens 13, in a manner for providing a clear and sharp view of images at any distance in front of the cornea 11, between far field and near field.
Ophthalmic or artificial lenses are applied to correct vision by the eye 10 in combination with the lens 13, in which cases the ophthalmic lens is positioned in front of the cornea 11, or to replace the lens 13. In the latter case also indicated as aphakic ophthalmic lenses. The optics used for aphakic lenses can easily be adapted for use as phakic lenses, that is lenses meant for use in an eye with an intact natural lens. Multifocal phakic lenses often are arranged to have less power than a corresponding aphakic lens. Multifocal phakic lenses are often useful to treat presbyopia in patients without cataracts. It can generally be assumed that all lens designs and lens profiles in this document that are indicated as aphakic lenses can as well be used for phakic lenses.
Presbyopic ophthalmic lenses e.g. multifocal lenses or lenses with enhanced depth-of-field are used to enhance or correct vision by the eye 10 for various distances. In the case of trifocal ophthalmic lenses, for example, the ophthalmic lens is arranged for sharp and clear vision at three more or less discrete distances or focal points, often including far intermediate, and near vision, in Figure 1 indicated by reference numerals 17, 18 and 19, respectively. An EDOF lens might correct vision at far and intermediate vision only. Far vision is in optical terms when the incoming light rays are parallel or close to parallel. Light rays emanating from objects arranged at or near these distances or focal points 17, 18 and 19 are correctly focused at the retina 14, i.e. such that clear and sharp images of these objects are projected. The focal points 17, 18 and 19, in practice, may correspond to focal distances ranging from a few meters to tens of centimeters, to centimeters, respectively. Usually, ophthalmologists choose lenses for the patients so that the far focus allows the patient to focus on parallel light, in the common optical terminology it is that the far is focused on infinity. Ophthalmologists will, when testing patients, commonly measure near vision as 40 cm distance from the eyes and intermediate vision at a distance of 66 cm, but other values can be used.
The amount of correction that an ophthalmic lens provides is called the optical power, OP, and is expressed in Diopter, D. The optical power OP is calculated as the inverse of a focal distance f measured in meters. That is, OP = 1/f, wherein f is a respective focal distance from the lens to a respective focal point for far 17, intermediate 18 or near vision 19.
Figures 2a and 2b demonstrate ophthalmic aphakic intraocular lens for treatment of presbyopia, as known in the art. Such presbyopic lenses can for example make use of a diffractive grating, a refractive zonal construction, a phase shaping structure or spherical aberration that varies with lens aperture. Figure 2a shows a top view of a typical ophthalmic multifocal aphakic intraocular lens 30, and Figure 2b shows a side view of the lens 30. The lens 30 comprises a light transmissive circular disk-shaped lens body 31 and a pair of haptics 32, that extend outwardly from the lens body 31, for supporting the lens 30 in the human eye. Note that this is one example of a haptic, and there are many known haptic designs. The lens body 31 has a biconvex shape, comprising a center part 33, a front or anterior surface 34 and a rear or posterior surface 35. The lens body 31 further comprises an optical axis 29 extending transverse to front and rear surfaces 34, 35 and through the center of the center part 33. Those skilled in the art will appreciate that the optical axis 29 is a virtual axis, for the purpose of referring the optical properties of the lens 30. The convex lens body 31, in a practical embodiment, provides a refractive optical power of about 2D to 35D, with around 20D to 22D being the most common.
In the embodiment shown, at the front surface 34 of the lens body 31 a periodic light transmissive adapted optical surface 36 is arranged to provide far vision and some additional power to a user and might be comprised of a diffractive grating, a zonal arrangement or a phase shifting structure, arranged concentrically with respect to the optical axis 29 through the center part 33 over at least part of the front surface 34 of the lens body 31. The adapted optical surface36 provides a focal point for far vision and some additional vision at closer distances. Although not shown, the adapted optical surface 36 may also be arranged at the rear surface 35 of the lens body 31, or at both surfaces 34, 35.
In practice the optic diameter 37 of the lens body 31 is about 5 - 7 mm, while the total outer diameter 38 of the lens 30 including the haptics 31 is about 12- 14 mm. The lens 30 may have a center thickness 39 of about 1 mm. In the case of ophthalmic multifocal contact lenses and spectacle or eye glass lenses, the haptics 32 at the lens body 31 are not provided, while the lens body 31 may have a plano-convex, a biconcave or plano-concave shape, or combinations of convex and concave shapes. The lens body may comprise any of Hydrophobic Acrylic, Hydrophilic Acrylic, Silicone materials, or any other suitable light transmissive material for use in the human eye in case of an aphakic ophthalmic lens.
Those skilled in the art will appreciate that the lens body 31 may comprise a plano-convex, a biconcave or plano-concave shape, and combinations of convex and concave shapes or curvatures (not shown).
Figure 3a shows a top view of an aphakic intraocular lens with enhanced depth- of- field 50, working in accordance with the present invention, and Figure 3b shows a side view of the lens 50. The difference over the prior art, exemplified in Figure 2 are in the optics of the lens. The lens body 54 has a biconvex shape, comprising a front or anterior surface 52 and a rear or posterior surface 53. The skilled person would know that for some embodiments one or both of the anterior surface 52 and the posterior surface 53 might be concave or planar, depending on the refractive baseline needed for a specific application. In this application of the invention the lens body, in accordance with the present disclosure, the anterior surface 52 is formed as a summation of a phase shifting structure 51 and a refractive baseline. The refractive baseline is substantially monofocal and any substantially monofocal design can be used. It is of course well-known that any monofocal design takes into consideration both the anterior and posterior sides. The point being that any useful monofocal design can be used to define the refractive baselines of the current invention. It is obvious to the skilled person that this is only one possible configuration. It is possible, for example, to place the phase shifting structure 51 on the posterior side to distribute the phase shifting structure over both sides or superposition the phase shifting structure to either side of a plano-convex or plano-concave lens.
The shape or height profile of the refractive baseline for any of the portions of the lens may be selected among a plurality of continuous refraction profiles known from monofocal lenses, such as spherical or any variant of aspherical profiles. Most modern intraocular monofocal lenses are aspherical with the asphericity chosen to either be neutral and thus causing no further aberration in the eye, or they are purposefully induced to, given the optics of an average eye to exhibit negative spherical aberration to neutralize, fully or partly, the positive spherical aberration usually present in the human cornea. Those choices should all be seen as different ways to create monofocal bases. The invention disclosed hereby can be incorporated with any such monofocal base. The manufacturing of refractive surfaces or surfaces with phase shifting structures can be carried out by any of laser micro machining, diamond turning, 3D printing, or any other machining or lithographic surface processing technique.
Figure 4a demonstrates two lens profiles less the refractive baseline, profile 4.1 and profile 4.2. As all such profiles in this document they show the cross section of a concentric pattern. Both surface profiles are designed for a lens having a refractive power of 20D and a refractive index of the lens material of 1.52. Profile 4.1 illustrates a lens profile that uses a central shape that protrudes at its peak 1.73 pm over the refractive baseline, this peak coincides with the optical axis. This central shape decreases monotonically until it reaches the refractive baseline 0.72 mm distance from the optical axis, or in other words at a radius of 0.72 mm. Profile 4.2 is a surface profile made according to the present invention, the central shape of Profile 4.2 coincides with that of 4.1, but it is circumscribed by a trough, with its lowest point at a radius of 0.72 mm, to which trough it is smoothly linked. This trough is in turn circumscribed by a smooth ridge that has its highest peak at a radius of 0.89 mm, and it connects to the refractive baseline at a radius of 0.99 mm. Note that the refractive baseline is a very small amount higher in Profile 4.2 compared to Profile 4.1. The effect of the change in refractive baseline height is discussed in detail in Figures 6a, 6b, 6c, and 6d.
The full lens aperture is in intraocular lenses often 6 mm, that is a distance of 3 mm from optical axis to lens edge. To better show the patterned central part of the lens only the central 3 mm aperture is shown, but it is assumed for all lens profiles in this document that the peripheral part of the lens that starts at a lens radius smaller than 1.5 mm continues out the edge of the lens (i.e., to the edge of the optic). This peripheral part is in all cases substantially monofocal and coincides with the refractive baseline. The refractive baseline can of course for example be a sphere of suitable power. Often the refractive baseline will be a chosen asphere to either limit the added positive spherical aberration or to negate corneal spherical aberration.
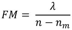
The protruding features consisting of the central shape and the smooth ridge modulate the incoming light. The step height needed for full phase modulation (or 2n modulation), FM, in an intraocular lens of a specific wavelength, 2, is determined by the refractive index of lens material, n, the refractive index of the aqueous humour, nm, and the maximum height, h, of the feature in question. The 2n modulation is given by:
Figure imgf000020_0001
Given nm= 1.336 the 2n modulation for 2 = 550 nm, as given the lens material assumed for Figure 4a the 2n modulation is 2.99 pm. In a lens design using Profile 4.2 the trough is below the refractive baseline, so it is compared to the trough. The maximum phase modulation for the smooth ridge is then 0.33 n, while the maximum phase modulation for the central protrusion is 1.16 n.
Figure 4b shows the modelled absolute intensity distributions at two different apertures for the two profiles shown in Figure 4a. The intensity distributions are calculated using MATLABTM-based simulation software. Those skilled in the art will appreciate that these optical powers or focal points may differ for actual lenses, dependent on the target focal points. The light intensity is expressed in arbitrary units, but the exact same arbitrary scale is used for all graphs in this document showing absolute simulated intensity. The far focus can here be assumed be around 20D. Profile 4.1 provides for a 2.5 mm lens aperture a peak intensity at an addition of about 0.48D. The intensity is generally decreasing with increasing power. There is also a relatively large undesired peak at 19.55D. This is unusable light, additionally it is known that undesired additions are more detrimental the closer they are to the far vision. This is a pronounced undesired peak very close to the desired far peak. For the 3.5 mm aperture the addition is down to 0.17D. The intensity again generally decreases as a function of increasing optical power, but at a lower level. The placement of the far power here is acceptable for an EDOF lens and there is a significant broadening of the depth of focus. These lenses would provide intermediate power for photopic and mesopic conditions and for scotopic conditions (not shown in Figure 4b) a strong and broadened far vision.
It can be concluded that a centrally placed protrusion with a modulation below 2n modulation can provide many of the desired properties an EDOF lens. However, it does not allow for proper tuning of the broadened focus and not for creation of a desired peak or stable plateau of intermediate vision. This is a point which needs to be improved. When developing an EDOF lens there is a desire to direct the intensity especially to intermediate vision or power close to intermediate vision. Generally, one would desire either a peak or a broad plateau somewhere in the range 1.2D to 2.5D. The effect of the added smooth ridge in Profile 4.2 can likewise be found in Figure 4b. This is a very small ridge with low modulation, but for the 2.5 mm it still creates a plateau for addition of 1.3D to 2D. Further, less intensity is directed toward very high additions and the undesired peak at 19.55D is greatly reduced. For the larger 3.5 mm aperture the 4.2 profile creates a typical intermediate addition of 1.7D, but with retained continuous vision between the far focus and the intermediate. In simple terms, the addition of the even such a small smooth edge tunes the intensity distribution so that more light is directed toward far vision and the prioritized intermediate power, while the main undesired peak is reduced.
Figure 4c demonstrates two lens profiles less the refractive baseline, Profiles 4.3 and 4.4. Both surface profiles are designed for a lens having a refractive power of 20D and a refractive index of the lens material of 1.525. Profile 4.3 illustrates a lens profile that uses a central shape that protrudes at its peak 1.50 pm over the refractive baseline, this peak coincides with the optical axis.
This central shape decreases monotonically until it reaches the refractive baseline at a 0.66 mm radius. Importantly the central protrusion in Profile 4.3 and Profile 4.4 is different than the one used in Profiles 4.1 and 4.2. While the central protrusion in Profiles 4.3 and 4.4 is still decreases monotonically with increasing aperture this profile features a more complex central protrusion where a convex portion coinciding with the optical axis is circumscribed by a concave part, which in turn is circumscribed by a second convex part. This gives a more complex structure which might be slightly more difficult to manufacture well and might be slightly less desirable to some doctors because of aesthetic considerations, but on the other hand it gives additional design freedom to distribute the light, as it will be demonstrated. The central protrusion is also here circumscribed by a trough, this time with its lowest point at a radius of 0.66 mm, to which trough it is smoothly linked for Profile 4.3. This trough is in turn circumscribed by a smooth ridge that has its highest peak at a radius of 0.84 mm, and it connects to the refractive baseline at a radius of 0.91 mm. Note that the refractive baseline is 0.16 pm higher in Profile 4.4 compared to Profile 4.3.
For the refractive index of 1.525 used for Figures 4c and 4d the 2*n modulation is 2.91 pm. In Profile 4.4 the trough is below the refractive baseline, so it is compared to the trough. The maximum phase modulation for the smooth ridge is then 0.31*n, while the maximum phase modulation for the central protrusion is 1.03*n.
Figure 4d shows the modelled absolute intensity distributions at two different apertures for the two profiles shown in Figure 4c. The intensity distributions are calculated using MATLABTM-based simulation software. Those skilled in the art will appreciate that these optical powers or focal points may differ for actual lenses, dependent on the target focal points. The light intensity is expressed in arbitrary units, but the exact same arbitrary scale is used for all graphs in this document showing absolute simulated intensity. The far focus can here be assumed be around 20D. Profile 4.3 provides for a 2.5 mm lens aperture a peak far intensity at an addition of about 0.33D. The intensity is generally decreasing with increasing power. There is also a relatively large undesired peak at 19.42D. This is unusable light, additionally it is known that undesired additions are more detrimental the closer they are to the far vision. This is a pronounced undesired peak very close to the desired far peak. For the 3.5 mm aperture the addition is down to 0.11D. The intensity again generally decreases as a function of increasing optical power, but at a lower level. The placement of the far power here is acceptable for an EDOF lens and there is a significant broadening of the depth of focus. Such a lens would provide intermediate power for photopic and mesopic conditions and for scotopic conditions (not shown in Figure 4d) a strong and broadened far vision, but it is not a recommended design.
There are some differences between the outcome of Profile 4.3 and that of Profile 4.1, the former gives a much stronger intensity to the far focus and produces less undesired and unusable intensity below 20D. The desired peak broadening for this specific configuration is about similar, but it produces it with less offset of the far power, which is an advantage. However, the general shape of the broadening is similar. Again, this can be solved by adding a trough and a smooth ridge, the latter being connected to the refractive baseline at the correct relative height. This ridge has a modulation of 0.31 n for 550 nm, but for the 2.5 mm it still creates a plateau for addition of 1.1D to 2.0D. Further, less intensity is directed toward very high additions and the undesired peak at 19.42D is reduced. The undesired peak at 18.65D is increased, but it is less damaging than the one at 19.42D. For the larger 3.5 mm aperture the 4.2 profile creates a typical intermediate addition of 1.7D, but with retained continuous vision between the far focus and the intermediate. This lens has a very good peak broadening, very strong far and very little undesired light. In simple terms, the addition of the even such a small smooth edge tunes the intensity distribution so that more light is directed toward far vision and the prioritized intermediate power, while the main undesired peak is reduced. Thus, it is asserted that the combination of a trough and smooth ridge can be used to shape of the broadening of the peak. Generally, a higher smooth ridge will give higher intensity to the main intermediate peak. The horizontal placement of the ridge will affect the power of the intermediate peak.
Figure 5a demonstrates four different surface profiles, less the respective refractive baseline, for EDOF lenses. All four surface profiles are designed for a lens having a refractive power of 20D and a refractive index of the lens material of 1.525. These four profiles are structurally similar to Profiles 4.2 and 4.4, each has a central protrusion that decreases in height monotonically into a trough, the trough being circumscribed by a smooth ridge.
Profile 5.1 has a relatively simple convex shape at the center of the lens, that then turns into a concave shape that leads into the trough. The peak of the central protrusion corresponds to 0.87*n modulation of 550 nm light. The trough is placed at a radius of 0.67 mm, the peak of the smooth ridge is placed a radius of 0.87 mm and a has a height corresponding to a 0.73*n modulation of 550 nm light. Its modelled, relative intensity distribution at several lens apertures is shown in Figure 5b. For smaller apertures this lens has a very strong peak corresponding to intermediate vision, even stronger than the far peak at 2 mm aperture. For larger apertures, as expected, the lens behaves more and more like a monofocal lens, however at 3 mm good continuous vision is provided for additions of 0.6D to 1.8D, but with a strong dip in intensity at around 0.4D addition. This is due to the smooth ridge being relatively high. This lens still functions as an EDOF lens, as the dip is narrow. This type of lens can be preferred when it is a priority to provide a strong intermediate peak, as in absolute terms the intermediate vision peak has higher intensity than for any of the Profiles 5.2, 5.3, or 5.4, the same is true for the peak for far vision. Figure 5f shows a comparison of the modelled absolute intensity distribution for 3 mm lens aperture for the four profiles. Profile 5.1 provides strong peaks for far and intermediate vision, with significant broadening of the intermediate peak, but less of the peak for far vision. It also has a relatively strong undesired peak between 18D and 19D, but as can be seen in Figure 5f this is further away from far vision than the other profiles, so the placement is an advantage.
Profile 5.2 features a complex central protrusion where a convex portion coincides with the optical axis, circumscribed by a concave part, in turn is circumscribed by a second convex part, before leading into the trough. The peak of the central protrusion corresponds to 1.1 l*n modulation of 550 nm light. The trough is placed at a radius of 0.65 mm, and the peak of the smooth ridge is placed at a radius of 0.843 mm, with a height corresponding to a 0.33 n modulation of 550 nm light. Its modelled, relative intensity distribution at several lens apertures is shown in Figure 5c. The more complex shape of the central protrusion gives the ability to further fine tune the intensity distribution, by changing the curvatures of each portion. Compared to Profile 5.1 this profile has a more balanced behavior at a 2 mm aperture, that is more far-centric. For the 3 mm aperture this lens provides a plateau behavior, where a strong peak for far vision is combined with a vision plateau all the way up to an addition of 2.4D. This is very desirous EDOF behavior. The undesired peak around 19D is slightly strong, but becomes greatly reduced for larger apertures.
Profile 5.3 has a relatively simple convex shape at the center of the lens, which then transitions into a concave shape that leads into the trough. The peak of the central protrusion corresponds to 1.08*n modulation of 550 nm light. The trough is placed at a radius of 0.7 mm, and the peak of the smooth ridge is placed at a radius of 0.88 mm, with a height corresponding to a 0.38*n modulation of 550 nm light slightly too strong for the 2 mm aperture, but quickly recede for larger apertures. Its modelled, relative intensity distribution at several lens apertures is shown in Figure 5d. This profile with a simpler central protrusion behaves in a very similar fashion to Profile 5.2. The main difference is that Profile 5.3 provides a slightly less flat plateau, with an increased intensity distribution for additions between 1.2D and 2.0D.
Profile 5.4 exhibits a complex central protrusion characterized by a complex central protrusion where a convex portion coinciding with the optical axis is circumscribed by a concave part, in turn circumscribed by a second convex part. The peak of the central protrusion corresponds to 1.40*n modulation of 550 nm light. The trough is placed at a radius of 0.63 mm, and the peak of the smooth ridge is placed at a radius of 0.79 mm, with a height corresponding to a 0.43*n modulation of 550 nm light. Its modelled, relative intensity distribution at several lens apertures is shown in Figure 5e. Profile 5.4 has a very wide distribution of light intensity, useful to a user in a very wide variety of conditions. It exhibits an increased intensity distribution for additions between 1.7D and 3. ID, while maintaining a continuous vision from the far peak through intermediate vision, having a main secondary intensity peak at an addition of 2.4D. A lens using this profile will for photopic and scotopic vision have strong far and intermediate vision, but also a functional or even relatively good near vision (depending on the eye of the user). The undesired secondary peaks are very low in this design, as the lens is very efficient. The comparative drawback of this design can be seen in Figure 5f; the far vision is weaker at the 3 mm lens aperture. For larger apertures this is not a problem, as also this lens behaves more and more as a monofocal lens for large apertures.
The person skilled in the art will understand that behaviors between the performance of the four different profiles 5.1, 5.2, 5.3, and 5.4, and that every choice is a compromise. These design principles allow to create a lens with a very prolonged and shaped focus that provides not only intermediate, but only near vision with negligible undesired/unusable peaks (Profile 5.4) or a lens with very pronounced and sharp far vision combined with a very broad intermediate peak, but with less continuous vision and almost no provided near vision (Profile 5.1), as well as most possible performances between these. The development and design of high performing profiles require iterative testing either by physical production of lenses or by software to model the intensity distribution, preferably both. The shapes can either be calculated, for example as a sum of sines and cosines, by a spline function or even by digitization of a drawing.
Figure 6a demonstrates four different possible surface profiles for EDOF lenses. These four profiles all have identical central protrusions, identical troughs, and identical placement of the peak of the smooth ridge, the difference between them is in the height of the smooth ridge at which the refractive baseline connects. Each of the four surface profiles are designed for a lens having a refractive power of 20D and a refractive index of the lens material of 1.525. These profiles have a relatively simple convex shape at the center of the lens, that then turns into a concave shape that leads into the trough. If calculated over the trough, the peak of the central protrusion corresponds to 0.93*n modulation of 550 nm light. The trough is placed at a radius of 0.65 mm, while the peak of the smooth ridge is placed at a radius of 0.83 mm with a height corresponding to a 0.29*n modulation of 550 nm light. Figure 6b demonstrates the absolute modelled intensity distributions of the four profiles, 6.1, 6.2, 6.3, and 6.4 at a lens aperture of 2.5 mm. Figure 6c demonstrates the relative modelled intensity distribution of the same four profiles at a lens aperture of 3.5 mm. These two specific intensity graphs are chosen because it is found that they are among the most useful for designing lenses according to the present invention. In Profile 6.1, as illustrated in Figure 6a, the refractive baseline is higher than in the other examples and connects to the smooth ridge close to the peak of the ridge, at 0.35 pm above the bottom of the trough. The corresponding values for Profiles 6.2, 6.3, and 6.4 are 0.16 pm, 0 pm, and - 0.21 pm, respectively. This means that in Profiles 6.1 and 6.2 the refractive baseline is placed above the bottom of the trough, while Profile 6.3 is placed in line with the bottom of the trough, while the refractive baseline in Profile 6.4 is placed below the trough. Figure 6b shows that when the connection point of the refractive baseline to the smooth ridge is lowered, the intensity is decreased from the most undesired region (here around 19 D to 19.5 D) as well as from around ID positive addition (around 21D in the graph), while intensity is increased for far vision and for the main intermediate peak at around 2D addition. For Profiles 6.1, 6.2, and 6.3 the undesired peak around 18.6D is close to identical, but it increases slightly for Profile 6.4. Figure 6c shows, in relative terms, that for this larger aperture, when the connection point of the refractive baseline to the smooth ridge is lowered the main effects are peak broadening of the far vision towards the usable side as well as increased intensity for the intermediate vision. It should be noted that in absolute terms for this apertures (not shown) peak intensity for far vision is increasing with lowered height of the connection point, the opposite of what is the case for the 2.5 mm aperture.
Figure 6d demonstrates four different possible surface profiles for EDOF lenses, specifically Profiles 6.5, 6.6, 6.7, and 6.8. These profiles all have identical central protrusions, identical troughs, and identical placement of the peak of the smooth ridge, with the difference between them being the height of the smooth ridge at which the refractive baseline connects. Each of these surface profiles is designed for a lens having a refractive power of 20D and a refractive index of the lens material of 1.525. These profiles exhibit a complex central protrusion where a convex portion coinciding with the optical axis is circumscribed by a concave part, in turn circumscribed by a second convex part leading into the trough. If calculated over the trough, the peak of the central protrusion corresponds to 1.25*n modulation of 550 nm light. The trough is placed at a radius of 0.585 mm, while the peak of the smooth ridge is positioned at a radius of 0.768 mm with a height corresponding to a 0.46*n modulation of 550 nm light. Figure 6e demonstrates the absolute modeled intensity distributions of the four profiles, 6.5, 6.6, 6.7, and 6.8 at a lens aperture of 2.5 mm. Figure 6f demonstrates the relative modeled intensity distribution of the same four profiles at a lens aperture of 3.5 mm. For Profiles 6.5, 6.6, 6.7, and 6.8 it is the case that the refractive baseline connects to the smooth ridge above the height of the trough, albeit at different heights, namely 0.60 pm, 0.40 pm, 0.20 pm, and 0.06 pm, respectively. This means that for all these four profiles the refractive baseline is placed above the bottom of the trough. Figure 6e shows that when the connection point of the refractive baseline to the smooth ridge is lowered, the intensity is decreased from the most undesired region (here around 19D to 19.5D), while intensity is increased for far vision and for the main intermediate peak at around 2D addition. Further, the choice of connection height significantly affects the shape of the full main region of addition (20.5D to 23D). Figure 6f shows, in relative terms, that for this larger aperture, when the connection point of the refractive baseline to the smooth ridge is lowered, the main effects are peak broadening of the far vision towards the usable side as well as increased intensity for the intermediate vision. It should be noted that in absolute terms for this aperture (not shown), peak intensity for far vision is increasing with lowered height of the connection point, the opposite of what is the case for the 2.5 mm aperture.
It can be concluded that adjusting the connection point is a very useful tool for tuning the performance of the EDOF lens. A connection point close to the peak of the smooth ridge has a relatively high degree of undesired light, but at the same time, often too low a broadening of the intensity peak for far vision in the desired direction (towards stronger power). Especially for large apertures a lower connection point leads to less monofocal behaviour. Lowering the connection point, at least down to the bottom of the trough, decreases undesired light. It also helps strengthen the intermediate peak, generally increases far vision for smaller apertures, but makes the lens retain more EDOF behavior for mesopic and mesopic/scotopic conditions. A connection point that is too low might lead to a bifocal behavior for photopic and mesopic conditions. It is observed that the connection point should preferably always be chosen to be below the peak of the smooth ridge. As a rule of thumb, it is also true that the best design is often found by choosing a connection point above the bottom of the trough.
Figures 7a and 7b contain measurements of a lens constructed according to the patent. The measured lens uses a refractive base with a power of 24.6 D, a refractive index of 1.4618 and a profile that with same intended behavior as Profile 6.2, as explained in Figures 6a, 6b, and 6c, the present profile, however, recalculated for the lower refractive index. The peak height, coinciding with the optical axis, is for this profile is 2.0 pm above the trough. Figure 7a demonstrates measurements for 50 line-pairs per millimeter (Ip/mm), while Figure 7b demonstrates measurements for 100 Ip/mm. The two measurements are carried out simultaneously on one lens with a physical optical bench measurement (the equipment used was the PMTF machine from company Lambda-X, using Eye model 1 according to ISO 11979-2). These results confirm many of the desired advantages with this type of EDOF lens: The far vision is very good and for large apertures (mesopic/scotopic vision) even similar to that of monofocal lenses, the extended vision forms a plateau that is stretched out over almost three diopters. The undesired MTF at weaker power than the far vision decreases strongly with increasing aperture. According to an embodiment, an ophthalmic multifocal intraocular lens arranged to provide far vision, and at least one other usable vision at most at a range of 1 m, said lens having a light transmissive lens body with an optical axis, an anterior and a posterior surface and a refractive baseline that extends over at least a part of the lens body is proposed.
According to an embodiment, at least one of the anterior surface and the posterior surface of said ophthalmic lens comprises a first zone extending from the optical axis to a first radius, and a second zone that extends from the first radius to the edge of the lens body.
According to an embodiment, said first zone comprises a central shape protruding above the refractive baseline and further comprises at least two radii of curvature.
According to an embodiment, said first zone comprises a trough circumscribing the central shape.
According to an embodiment, said first zone comprises a smooth ridge circumscribing the trough, said smooth ridge configured to protrude above the refractive baseline while having a peak height over the refractive baseline lower than that of the central shape.
According to an embodiment, the smooth ridge of the first zone connects at the first radius to the second zone, the second zone being configured to coincide with the refractive baseline and to be substantially monofocal, providing far vision. According to an embodiment, said trough circumscribing the central shape is configured to extend below the refractive baseline.
According to an embodiment, said central shape is configured such that it comprises a concave portion and at least two convex portions, wherein said concave portion is set in between said at least two convex portions.
According to an embodiment, said central shape is configured such that the peak with the second highest intensity is between 1.2D and 2.5D when measured at 50 line pairs per millimeter.
According to an embodiment, said lens is configured to provide, at an aperture corresponding to mesopic conditions, an MTF of at least 0.15 measured at 50 Ip/mm.
According to an embodiment, said first radius is larger than 0.7 mm and smaller than 1.3 mm.
According to an embodiment, said smooth ridge is configured to have a height that is less than half the height of the central shape.
According to an embodiment, said convex portion of said central shape is configured such that its height is less than 2n for a wavelength of 550 nm.
According to an embodiment, said central shape is further configured such that its height is greater than 0.5n for a wavelength of 550 nm.
According to an embodiment, said lens is a phakic lens, whereas according to at least one other embodiment said lens is an aphakic lens.

Claims

1) An ophthalmic multifocal intraocular lens arranged to provide far vision, and at least one other usable vision at most at a range of 1 m, said lens having a light transmissive lens body with an optical axis, an anterior and a posterior surface and a refractive baseline that extends over at least a part of the lens body characterized in that at least one of the anterior surface and the posterior surface of said ophthalmic lens comprises: a first zone extending from the optical axis to a first radius; and a second zone that extends from the first radius to the edge of the lens body, wherein the first zone comprises: a central shape protruding above the refractive baseline and further comprises at least two radii, and whose peak is coinciding with the optical axis, and has a height over the refractive baseline configured such that said height decreases monotonically with increasing distance to the optical axis, a trough circumscribing the central shape, a smooth ridge circumscribing the trough, said smooth ridge being configured to protrude above the refractive baseline while having a peak height over the refractive baseline lower than that of the central shape; and the smooth ridge connects at the first radius to the second zone, the second zone being configured to coincide with the refractive baseline and to be substantially monofocal, providing far vision.
2) An ophthalmic multifocal intraocular lens as set forth in Claim 1 characterized in that said trough extends below the refractive baseline. 3) An ophthalmic multifocal intraocular lens as set forth in Claims 1 and 2 characterized in that said central shape is configured such that it comprises a concave portion and at least two convex portions, wherein said concave portion is set in between said at least two convex portions.
4) An ophthalmic multifocal intraocular lens as set forth in any preceding Claim characterized in that said central shape is configured such that the peak with the second highest intensity is between 1.2D and 2.5D when measured at 50 line pairs per millimeter.
5) An ophthalmic multifocal intraocular lens as set forth in Claim 4 characterized in that it arranged to provide, at an aperture corresponding to mesopic conditions, an MTF of at least 0.15 measured at 50 Ip/mm.
6) An ophthalmic multifocal intraocular lens as set forth in any preceding Claim characterized in that said first radius is larger than 0.7 mm and smaller than 1.3 mm.
7) An ophthalmic multifocal intraocular lens as set forth in Claim 1 characterized in that said smooth ridge is configured to have a height that is less than half the height of the central shape.
8) An ophthalmic multifocal intraocular lens as set forth in any preceding Claim characterized in that said convex portion of said central shape is configured such that its height is less than 2n for a wavelength of 550 nm.
9) An ophthalmic multifocal intraocular lens as set forth in Claim 8 characterized in that said central shape is further configured such that its height is greater than 0.5n for a wavelength of 550 nm.
10) An ophthalmic multifocal intraocular lens as set forth in any preceding Claim characterized in that said lens is a phakic lens.
11) An ophthalmic multifocal intraocular lens as set forth in Claims 1 to 9 characterized in that said lens is an aphakic lens.
PCT/TR2023/0505462023-06-092023-06-09An extended depth of field lensPendingWO2024253607A1 (en)

Priority Applications (1)

Application NumberPriority DateFiling DateTitle
PCT/TR2023/050546WO2024253607A1 (en)2023-06-092023-06-09An extended depth of field lens

Applications Claiming Priority (1)

Application NumberPriority DateFiling DateTitle
PCT/TR2023/050546WO2024253607A1 (en)2023-06-092023-06-09An extended depth of field lens

Publications (1)

Publication NumberPublication Date
WO2024253607A1true WO2024253607A1 (en)2024-12-12

Family

ID=87845690

Family Applications (1)

Application NumberTitlePriority DateFiling Date
PCT/TR2023/050546PendingWO2024253607A1 (en)2023-06-092023-06-09An extended depth of field lens

Country Status (1)

CountryLink
WO (1)WO2024253607A1 (en)

Citations (12)

* Cited by examiner, † Cited by third party
Publication numberPriority datePublication dateAssigneeTitle
US20040230299A1 (en)2003-05-122004-11-18Simpson Michael J.Aspheric lenses
WO2009027438A2 (en)2007-08-272009-03-05Amo Regional HoldingsIntraocular lens having extended depth of focus
US20120307202A1 (en)*2008-04-242012-12-06Amo Groningen B.V.Diffractive lens exhibiting enhanced optical performance
US20130090730A1 (en)*2008-10-202013-04-11Abbott Medical Optics Inc.Multifocal intraocular lens
US8486141B2 (en)2002-11-082013-07-16Abbott Medical Optics Inc.Multi-zonal monofocal intraocular lens for correcting optical aberrations
WO2017149401A1 (en)2016-02-292017-09-08Novartis AgOphthalmic lens having an extended depth of focus
US10437078B2 (en)2010-12-012019-10-08Amo Groningen B.V.Lens having an optical add power progression
US10792147B2 (en)*2018-08-092020-10-06Nikon CorporationOphthalmic lens and method of manufacturing ophthalmic lens
WO2021209954A1 (en)2020-04-162021-10-21Alcon Inc.Ophthalmic lenses having an extended depth of focus for improving intermediate vision
EP3954327A1 (en)2009-12-182022-02-16AMO Groningen B.V.Single microstructure lens, systems and methods
ES2895799A1 (en)*2021-07-062022-02-22Univ Madrid Complutense Refracto-diffractive ophthalmic lens with extended depth of focus
US20220113557A1 (en)*2020-10-082022-04-14Alcon Inc.Ophthalmic lens with phase-shift structure and method

Patent Citations (13)

* Cited by examiner, † Cited by third party
Publication numberPriority datePublication dateAssigneeTitle
US8486141B2 (en)2002-11-082013-07-16Abbott Medical Optics Inc.Multi-zonal monofocal intraocular lens for correcting optical aberrations
US20040230299A1 (en)2003-05-122004-11-18Simpson Michael J.Aspheric lenses
WO2009027438A2 (en)2007-08-272009-03-05Amo Regional HoldingsIntraocular lens having extended depth of focus
US20120307202A1 (en)*2008-04-242012-12-06Amo Groningen B.V.Diffractive lens exhibiting enhanced optical performance
US8573775B2 (en)2008-04-242013-11-05Amo Groningen B.V.Diffractive lens exhibiting enhanced optical performance
US20130090730A1 (en)*2008-10-202013-04-11Abbott Medical Optics Inc.Multifocal intraocular lens
EP3954327A1 (en)2009-12-182022-02-16AMO Groningen B.V.Single microstructure lens, systems and methods
US10437078B2 (en)2010-12-012019-10-08Amo Groningen B.V.Lens having an optical add power progression
WO2017149401A1 (en)2016-02-292017-09-08Novartis AgOphthalmic lens having an extended depth of focus
US10792147B2 (en)*2018-08-092020-10-06Nikon CorporationOphthalmic lens and method of manufacturing ophthalmic lens
WO2021209954A1 (en)2020-04-162021-10-21Alcon Inc.Ophthalmic lenses having an extended depth of focus for improving intermediate vision
US20220113557A1 (en)*2020-10-082022-04-14Alcon Inc.Ophthalmic lens with phase-shift structure and method
ES2895799A1 (en)*2021-07-062022-02-22Univ Madrid Complutense Refracto-diffractive ophthalmic lens with extended depth of focus

Similar Documents

PublicationPublication DateTitle
JP7731199B2 (en) Full depth of focus intraocular lens
CN107219640B (en)Multifocal lens design and method for preventing and/or slowing myopia progression
JP7620700B2 (en) Double-sided aspheric diffractive multifocal lenses, their manufacture and use
RU2689287C2 (en)Multifocal correction providing improved quality of vision
CN102460272B (en) Anisocorrected Intraocular Lenses with Chromatic Aberration
CN101636683B (en)Lens package
AU2021428508B2 (en)An adaptive multifocal diffractive ocular lens
AU2019362472B2 (en)Extended depth of focus intraocular lens
AU2021431053B2 (en)Intraocular lens with focal performance tailored to pupil size deploying refractive power modification along spiral tracks
CN114651203A (en)New generation multifocal ophthalmic lenses
Bilbao-Calabuig et al.Lens-based surgical correction of presbyopia. Where are we in 2020?
US20120033177A1 (en)Aspheric, astigmatic, multi-focal contact lens with asymmetric point spread function
WO2022192339A1 (en)Intraocular lens providing extended depth of focus
JP2025501395A (en) Aspheric phase ring structured lens design, its manufacture and use
WO2024253607A1 (en)An extended depth of field lens
RU2832807C1 (en)Adaptive multifocal diffraction ocular lens
RU2834758C2 (en)Intraocular lens
WO2024144489A1 (en)A quadrifocal diffractive ocular lens
WO2024144490A1 (en)A synergistic pair of multifocal diffractive ocular lenses
WO2024144487A1 (en)A multifocal diffractive ocular lens with adaptive power

Legal Events

DateCodeTitleDescription
121Ep: the epo has been informed by wipo that ep was designated in this application

Ref document number:23761631

Country of ref document:EP

Kind code of ref document:A1


[8]ページ先頭

©2009-2025 Movatter.jp