Movatterモバイル変換


[0]ホーム

URL:


WO2024231384A1 - Compositions for treating senescence related disease - Google Patents

Compositions for treating senescence related disease
Download PDF

Info

Publication number
WO2024231384A1
WO2024231384A1PCT/EP2024/062559EP2024062559WWO2024231384A1WO 2024231384 A1WO2024231384 A1WO 2024231384A1EP 2024062559 WEP2024062559 WEP 2024062559WWO 2024231384 A1WO2024231384 A1WO 2024231384A1
Authority
WO
WIPO (PCT)
Prior art keywords
senescence
disease
cells
phosphate
glycerol
Prior art date
Legal status (The legal status is an assumption and is not a legal conclusion. Google has not performed a legal analysis and makes no representation as to the accuracy of the status listed.)
Pending
Application number
PCT/EP2024/062559
Other languages
French (fr)
Inventor
Mario PENDE
Stefano Fumagalli
Current Assignee (The listed assignees may be inaccurate. Google has not performed a legal analysis and makes no representation or warranty as to the accuracy of the list.)
Centre National de la Recherche Scientifique CNRS
Institut National de la Sante et de la Recherche Medicale INSERM
Universite Paris Cite
Original Assignee
Centre National de la Recherche Scientifique CNRS
Institut National de la Sante et de la Recherche Medicale INSERM
Universite Paris Cite
Priority date (The priority date is an assumption and is not a legal conclusion. Google has not performed a legal analysis and makes no representation as to the accuracy of the date listed.)
Filing date
Publication date
Application filed by Centre National de la Recherche Scientifique CNRS, Institut National de la Sante et de la Recherche Medicale INSERM, Universite Paris CitefiledCriticalCentre National de la Recherche Scientifique CNRS
Publication of WO2024231384A1publicationCriticalpatent/WO2024231384A1/en
Pendinglegal-statusCriticalCurrent
Anticipated expirationlegal-statusCritical

Links

Classifications

Definitions

Landscapes

Abstract

Inventors have identified glycerol-3-phosphate (G3P) and phosphoethanolamine (PEtn) metabolism as potent regulators of the senescent program at the nexus of TAG and PL metabolism. They show that Glycerol kinase (GK) and Phosphate Cytidylyltransferase 2 Ethanolamine (Pcyt2) activities, which catalyse regulatory steps in TAG and PL synthesis impact G3P and PEtn levels in a homeostatic fashion controlling the senescence program. Finally, they provide evidence that pharmacological inhibitors of GK activity act senomorphic, thus suggesting a novel therapeutic target for interventions in age-related diseases and cancer. The present invention relates to a method for treating senescence related disease in a subject in need thereof comprising administering said subject with a therapeutically effective amount of a modulator of Glycerol kinase (GK), Glycerol 3 phosphate phosphatase (G3PP), Ethanolamine-Phosphate Phospho-Lyase (ETNPPL) and/or Phosphate Cytidylyltransferase 2 (PCYT2).

Description

METHODS AND COMPOSITIONS FOR TREATING SENESCENCE RELATED
DISEASE
FIELD OF THE INVENTION:
The invention is in the field of metabolic diseases, more particularly in the field of senescence related diseases.
BACKGROUND OF THE INVENTION:
Senescence is a stable cell cycle arrest in response to diverse forms of nonlethal cellular stress1>2. It is involved in many physiological and pathophysiological processes, including wound healing, embryonic development, age-related diseases, and aging. Two potent tumor suppressors, p53 and Retinoblastoma proteins (RB), orchestrate the establishment and maintenance of the senescence phenotype. During senescence, p53 becomes stabilized, inducing the expression of the cyclin-dependent kinase inhibitor CDKN1A (alias p21). RB is instrumental in assembling a co-repressor complex in senescence that inactivates the pro- proliferative transcription factor E2F. RB activity is negatively regulated by CDK-dependent phosphorylation and positively by CDKN2A (alias pl 6), the expression of which is strongly upregulated in senescence. Unperturbed cell mass accumulation during senescence cell cycle arrest may result in enlarged morphology with increased in cytoplasm to nucleus ratio3. Intracellular compartments are also affected during senescence, with an increase in lysosomal mass and activity reflected in the increase of the senescence biomarker senescence-associated P galactosidase (SABG).
Senescent cells interact with immune cells via the senescent-associated secretory phenotype (SASP), characterized by the production of inflammatory cytokines (IL6, IL la, ILlb), chemokines (CCL2, IL8), immune modulators (prostaglandins) and matrix remodeling factors (MMP, Serpin, PAI1, TIMP) 1. The SASP may also spread senescence to its cellular environment in a paracrine fashion. Acute responses mostly resolve with the clearing of senescent cells by the immune cells and may represent an important tumor suppressor mechanism. However, chronic responses maintain an environment promoting tissue inflammation and fibrosis that favours tumor development and other age-related diseases. Therefore, therapeutic strategies aiming at eliminating senescence (senolytic drugs) or offsetting the SASP (senomorphic drugs) present interesting inroads for the treatment of several age-related pathological conditions4 Cellular metabolism is largely impacted during senescence5'11, and the rewiring of these metabolic adaptations may represent a powerful avenue for therapeutic interventions2. In response to oncogenic insults and telomere erosion, mitochondria of senescent cells tend to decrease ATP production and increase reactive oxygen species (ROS)12. Hence, energy metabolism is shifted to glycolysis9. To regenerate NAD+ levels for the glycolytic flux and maintain the redox status, cytosolic pyruvate is reduced to lactate by lactate dehydrogenase (LDH) while oxaloacetate is reduced to malate by malate dehydrogenase 1 (MDH1). Another common metabolic hallmark of cellular senescence is the accumulation of lipid droplets711,13. Profound alterations of triacylglycerol (TAG) metabolism reflect and result from the complex interplay between lipid uptake, synthesis and fatty acid oxidation (FAO)2. CD36-mediated free fatty acid (FFA) uptake is upregulated in senescent cells14. This effect and an increased enzyme activity in fatty acid synthesis may account for the TAG accumulation. However, the involvement of fatty acid synthase (FASN) and acetyl-CoA carboxylase (ACC) is variable depending on the cell type and senescence insults, as their activity is rather down-regulated during oncogene-induced senescence (OIS)10,15. In addition, there is evidence of increased FAO in senescent cells2. It is unclear whether FAO up-regulation during senescence mainly serves purposes of energy homeostasis, lipid detoxification, SASP maintenance or epigenetic modifications through histone acetylation2. Similarly, the role of LD formation may be multifaceted. It has been proposed as a defence mechanism to cope with the metabolic stress. The formation of polyunsaturated fatty acids (PUFA), that are enriched in LD of senescent cells, could also participate in NAD+ recycling16. PUFA are prone to lipid peroxidation in the context of ROS production and may severely harm the integrity of cellular membranes. Thus, LD formation may represent a protective mechanism to sequester potentially toxic compounds such as glycerolipids and PUFA away from cell membranes.
On the other hand, lipid accumulation could also contribute to the senescence program, as the modulation of both CD36 dependent lipid uptake and FASN activity affect the entry into senescence15. Structural features, such as the stiffness of the extracellular matrix and cell geometry, have been shown to regulate both senescence and LD formation through changes in the endoplasmic reticulum (ER) and Golgi trafficking17,18. It can be hypothesized that phospholipid (PL) synthesis is essential to sustain the cell growth and organelle remodelling in senescent cells, though this still needs to be addressed.
Finally, it remains to be established whether strategies altering lipid metabolism and the neutral vs. phospho-lipid switch in senescent cells may act as senolytics, senomorphics or be used as a senogenic anti-cancer therapy. SUMMARY OF THE INVENTION:
The invention relates to a method for treating senescence related disease in a subject comprising administering said subject with a therapeutically effective amount of a modulator of Glycerol kinase (GK), Glycerol 3 phosphate phosphatase (G3PP), Ethanolamine-Phosphate Phospho-Lyase (ETNPPL) and/or Phosphate Cytidylyltransferase 2 (PCYT2). In particular, the invention is defined by claims.
DETAILED DESCRIPTION OF THE INVENTION:
Inventors used dynamic analyses of transcriptome and metabolome profiles in senescence subtypes to reveal a homeostatic switch of glycerol -3 -phosphate (G3P) and phosphoethanolamine (PEtn) accumulation linking lipid metabolism to the senescence gene expression program. Specifically, p53-dependent activation of glycerol kinase (GK) and post- translational downregulation of Phosphate Cytidylyltransferase 2- Ethanolamine (PCYT2) drive this metabolic switch, which is senogenic. Conversely, G3P phosphatase (G3PP) and Ethanolamine-Phosphate Phospho-Lyase (ETNPPL)-based scavenging of G3P and PEtn is senomorphic.
Their results identify glycerol-3 -phosphate (G3P) and phosphoethanolamine (PEtn) metabolism as potent regulators of the senescent program at the nexus of TAG and PL metabolism. They show that Glycerol kinase (GK) and Phosphate Cytidylyltransferase 2 Ethanolamine (Pcyt2) activities, which catalyse regulatory steps in TAG and PL synthesis impact G3P and PEtn levels in a homeostatic fashion controlling the senescence program. Finally, they provide evidence that pharmacological inhibitors of GK activity act senomorphic, thus suggesting a novel therapeutic target for interventions in age-related diseases and cancer.
Accordingly, in a first aspect, the invention relates to a method for treating senescence related disease in a subject in need thereof comprising administering said subject with a therapeutically effective amount of a modulator of Glycerol kinase (GK), Glycerol 3 phosphate phosphatase (G3PP), Ethanolamine-Phosphate Phospho-Lyase (ETNPPL) and/or Phosphate Cytidylyltransferase 2 (PCYT2).
As used herein, the terms “treating” or “treatment” refer to both prophylactic or preventive treatment as well as curative or disease modifying treatment, including treatment of subject at risk of contracting the disease or suspected to have contracted the disease as well as subject who are ill or have been diagnosed as suffering from a disease or medical condition, and includes suppression of clinical relapse. The treatment may be administered to a subject having a medical disorder or who ultimately may acquire the disorder, in order to prevent, cure, delay the onset of, reduce the severity of, or ameliorate one or more symptoms of a disorder or recurring disorder, or in order to prolong the survival of a subject beyond that expected in the absence of such treatment. By "therapeutic regimen" is meant the pattern of treatment of an illness, e.g., the pattern of dosing used during therapy. A therapeutic regimen may include an induction regimen and a maintenance regimen. The phrase "induction regimen" or "induction period" refers to a therapeutic regimen (or the portion of a therapeutic regimen) that is used for the initial treatment of a disease. The general goal of an induction regimen is to provide a high level of drug to a subject during the initial period of a treatment regimen. An induction regimen may employ (in part or in whole) a "loading regimen", which may include administering a greater dose of the drug than a physician would employ during a maintenance regimen, administering a drug more frequently than a physician would administer the drug during a maintenance regimen, or both. The phrase "maintenance regimen" or "maintenance period" refers to a therapeutic regimen (or the portion of a therapeutic regimen) that is used for the maintenance of a subject during treatment of an illness, e.g., to keep the subject in remission for long periods of time (months or years). A maintenance regimen may employ continuous therapy (e.g., administering a drug at a regular intervals, e.g., weekly, monthly, yearly, etc.) or intermittent therapy (e.g., interrupted treatment, intermittent treatment, treatment at relapse, or treatment upon achievement of a particular predetermined criteria [e.g., pain, disease manifestation, etc.]).
As used herein, the term “subject” denotes a mammal, such as a rodent, a feline, a canine, and a primate. Particularly, the subject according to the invention is a human. More particularly, the subject according to the invention has or is susceptible to have a senescence related disease. In another embodiment, the subject according to the invention has or is susceptible to have age-related or obesity-related diseases with hallmarks of senescence, lipid droplet accumulation and inflammation. In another embodiment, the subject according to the invention has or is susceptible to have pathological conditions include obesity and fat mass accumulation due to nutritional and genetic factors.
As used herein, the term "senescence" has its general mean in the art and refers to the stable cessation of DNA replication and cell proliferation. Senescence can be characterized by certain morphological features including, but not limited to, increased size, flattened morphology, increased granularity, and senescence-associated b- galactosidase activity (SA- b- gal).
As used herein, the term "senescent cell" is generally thought to be derived from a cell type that typically replicates, but as a result of aging or other event that causes a change in cell state, can no longer replicate. It remains metabolically active and commonly adopts a senescence associated secretory phenotype (SASP) that includes chemokines, cytokines and extracellular matrix and fibrosis modifying proteins and enzymes. The nucleus of senescent cells is often characterized by senescence-associated heterochromatin foci and DNA segments with chromatin alterations reinforcing senescence. Without implying any limitation on the practice of what is claimed in this disclosure that is not explicitly stated or required, the invention is premised on the hypothesis that senescent cells cause or mediate certain conditions associated with tissue damage or aging. For the purpose of practicing aspects of this invention, senescent cells can be identified as expressing at least one marker selected from pl6, senescence-associated b-galactosidase, and lipofuscin; sometimes two or more of these markers, and other markers of SASP such as but not limited to, interleukin 6 (IL-6), and inflammatory, angiogenic and extracellular matrix modifying proteins.
As used herein, the term “senescent cell clearance” refers to a compound that selectively (preferentially or to a greater extent) destroys, kills, removes, or promotes selective destruction of senescent cells, i.e., the compound destroys senescent cells in a biologically, clinically, and/or statistically significant manner as compared to its ability to destroy or kill non-senescent cells, or annihilate. The senescent cell-depleting compound is sufficient to selectively kill established senescent cells, but is in an insufficient amount to kill non-senescent cells in a clinically or biologically significant manner.
As used herein, the term “senescence process” refers to a cellular response characterized by a stable growth arrest and other phenotypic alterations that include a proinflammatory secretome. Senescence plays roles in normal development, maintains tissue homeostasis, and limits tumor progression.
As used herein, the terms “senescence related disease”, “age-related disease” or “senescent cells accumulation related disease” are used interchangeably and refer to disorders or diseases in which senescence process is deregulated.
In a particular embodiment, the senescence related disease is selected from the group consisting of but not limited to: aging or chronic age- related pathology (e.g arthritis or osteoarthritis, osteoporosis and atherosclerosis); dysplastic or preneoplastic lesions, benign prostatic hyperplasia; normal and/or tumor tissues following DNA-damaging therapy; Alzheimer's disease, Parkinson's disease, cataracts, macular degeneration, glaucoma, atherosclerosis, acute coronary syndrome, myocardial infarction, stroke, hypertension, pulmonary fibrosis, kidney fibrosis, idiopathic pulmonary fibrosis (IPF), chronic obstructive pulmonary disease (COPD), osteoarthritis, osteoporosis, type 2 diabetes, obesity, fat dysfunction, coronary artery disease, cerebrovascular disease, periodontal disease; cancer treatment-related disability (e.g. atrophy and fibrosis in various tissues), brain and heart injury, and therapy-related myelodysplastic syndromes; Hutchinson-Gilford progeria syndrome, Werner syndrome, Cockayne syndrome, xeroderma pigmentosum, ataxia telangiectasia, Fanconi anemia, dyskeratosis congenital, aplastic anemia, idiopathic pulmonary fibrosis; cardiovascular diseases such as angina, aortic aneurysm, arrhythmia, brain aneurysm, cardiac diastolic dysfunction, cardiac fibrosis, cardiac stress resistance, cardiomyopathy, carotid artery disease, coronary thrombosis, endocarditis, hypercholesterolemia, hyperlipidemia, mitral valve prolapsed, and peripheral vascular disease; inflammatory or autoimmune diseases such as herniated intervertebral disc, inflammatory bowel disease, kyphosis, oral mucositis, lupus, interstital cystitis, scleroderma, and alopecia; neurodegenerative diseases such as dementia, Huntington's disease, motor neuron dysfunction, age-related memory decline, and depression/mood disorders; metabolic diseases such as diabetic ulcer and metabolic syndrome; pulmonary diseases such as age-related loss of pulmonary function, asthma, bronchiectasis, cystic fibrosis, emphysema, and age-associated sleep apnea; gastrointestinal diseases such as Barrett's esophagus; age-related disorders such as liver fibrosis, muscle fatigue, oral submucosa fibrosis, pancreatic fibrosis, benign prostatic hyperplasia (BPH), and age-related sleep disorders; reproductive disorders such as menopause (male and female), egg supply (female), sperm viability (male), fertility (male and female), sex drive, and erectile function and arousal (male and female); dermatological diseases such as atopic dermatitis, cutaneous lupus, cutaneous lymphomas, dysesthesia, eczema, eczematous eruptions, eosinophilic dermatosis, fibrohistocytic proliferations of skin, hyperpigmentation, immunobullous dermatosis, nevi, pemphigoid, pemphigus, pruritis, psoriasis, rashes, reactive neutrophilic dermatosis, rhytides, and urticarial; and other diseases such as wound healing, diabetic wound healing, posttransplant kidney fibrosis, cancers, and carotid thrombosis.
In a particular embodiment, the senescence related disease is type 2 diabetes, obesity, or fat dysfunction related disease.
In some embodiments, the senescence related disease is a cancer. As used herein, the term "cancer" has its general meaning in the art and includes, but is not limited to, solid tumors and blood borne tumors. The term cancer includes diseases of the skin, tissues, organs, bone, cartilage, blood and vessels. The term "cancer" further encompasses both primary and metastatic cancers. Examples of cancers include, but are not limited to, cancer cells from the bladder, blood, bone, bone marrow, brain, breast, colon, esophagus, gastrointestine, gum, head, kidney, liver, lung, nasopharynx, neck, ovary, prostate, skin, stomach, testis, tongue, or uterus. In addition, the cancer may specifically be of the following histological type, though it is not limited to these: neoplasm, malignant; carcinoma; carcinoma, undifferentiated; giant and spindle cell carcinoma; small cell carcinoma; papillary carcinoma; squamous cell carcinoma; lymphoepithelial carcinoma; basal cell carcinoma; pilomatrix carcinoma; transitional cell carcinoma; papillary transitional cell carcinoma; adenocarcinoma; gastrinoma, malignant; cholangiocarcinoma; hepatocellular carcinoma; combined hepatocellular carcinoma and cholangiocarcinoma; trabecular adenocarcinoma; adenoid cystic carcinoma; adenocarcinoma in adenomatous polyp; adenocarcinoma, familial polyposis coli; solid carcinoma; carcinoid tumor, malignant; branchiolo-alveolar adenocarcinoma; papillary adenocarcinoma; chromophobe carcinoma; acidophil carcinoma; oxyphilic adenocarcinoma; basophil carcinoma; clear cell adenocarcinoma; granular cell carcinoma; follicular adenocarcinoma; papillary and follicular adenocarcinoma; nonencapsulating sclerosing carcinoma; adrenal cortical carcinoma; endometroid carcinoma; skin appendage carcinoma; apocrine adenocarcinoma; sebaceous adenocarcinoma; ceruminous; adenocarcinoma; mucoepidermoid carcinoma; cystadenocarcinoma; papillary cystadenocarcinoma; papillary serous cystadenocarcinoma; mucinous cystadenocarcinoma; mucinous adenocarcinoma; signet ring cell carcinoma; infiltrating duct carcinoma; medullary carcinoma; lobular carcinoma; inflammatory carcinoma; paget's disease, mammary; acinar cell carcinoma; adenosquamous carcinoma; adenocarcinoma w/squamous metaplasia; thymoma, malignant; ovarian stromal tumor, malignant; thecoma, malignant; granulosa cell tumor, malignant; and roblastoma, malignant; Sertoli cell carcinoma; leydig cell tumor, malignant; lipid cell tumor, malignant; paraganglioma, malignant; extra-mammary paraganglioma, malignant; pheochromocytoma; glomangiosarcoma; malignant melanoma; amelanotic melanoma; superficial spreading melanoma; malig melanoma in giant pigmented nevus; epithelioid cell melanoma; blue nevus, malignant; sarcoma; fibrosarcoma; fibrous histiocytoma, malignant; myxosarcoma; liposarcoma; leiomyosarcoma; rhabdomyosarcoma; embryonal rhabdomyosarcoma; alveolar rhabdomyosarcoma; stromal sarcoma; mixed tumor, malignant; mullerian mixed tumor; nephroblastoma; hepatoblastoma; carcinosarcoma; mesenchymoma, malignant; brenner tumor, malignant; phyllodes tumor, malignant; synovial sarcoma; mesothelioma, malignant; dysgerminoma; embryonal carcinoma; teratoma, malignant; struma ovarii, malignant; choriocarcinoma; mesonephroma, malignant; hemangiosarcoma; hemangioendothelioma, malignant; kaposi's sarcoma; hemangiopericytoma, malignant; lymphangiosarcoma; osteosarcoma; juxtacortical osteosarcoma; chondrosarcoma; chondroblastoma, malignant; mesenchymal chondrosarcoma; giant cell tumor of bone; ewing's sarcoma; odontogenic tumor, malignant; ameloblastic odontosarcoma; ameloblastoma, malignant; ameloblastic fibrosarcoma; pinealoma, malignant; chordoma; glioma, malignant; ependymoma; astrocytoma; protoplasmic astrocytoma; fibrillary astrocytoma; astroblastoma; glioblastoma; oligodendroglioma; oligodendroblastoma; primitive neuroectodermal; cerebellar sarcoma; ganglioneuroblastoma; neuroblastoma; retinoblastoma; olfactory neurogenic tumor; meningioma, malignant; neurofibrosarcoma; neurilemmoma, malignant; granular cell tumor, malignant; malignant lymphoma; Hodgkin's disease; Hodgkin's lymphoma; paragranuloma; malignant lymphoma, small lymphocytic; malignant lymphoma, large cell, diffuse; malignant lymphoma, follicular; mycosis fungoides; other specified non-Hodgkin's lymphomas; malignant histiocytosis; multiple myeloma; mast cell sarcoma; immunoproliferative small intestinal disease; leukemia; lymphoid leukemia; plasma cell leukemia; erythroleukemia; lymphosarcoma cell leukemia; myeloid leukemia; basophilic leukemia; eosinophilic leukemia; monocytic leukemia; mast cell leukemia; megakaryoblastic leukemia; myeloid sarcoma; and hairy cell leukemia.
As used herein, the term “Glycerol kinase (GK)” refers to an enzyme that catalyzes the phosphorylation of glycerol to glycerophosphate which can enter the pathways of lipid synthesis, gluconeogenesis, glycolysis, mitochondrial respiration.
As used herein, the term “modulator” refers to any molecule, agent or compound that increases or decreases GK activity, including a molecule that changes GK downstream signaling activities, said modulator being an activator or an inhibitor as defined herein below.
In the context of the invention, the modulator of GK is an inhibitor of GK.
As used herein, the term “GK inhibitor” refers to a natural or synthetic compound that has a biological effect to inhibit the activity or the expression of GK.
The term “inhibitor” as used herein, refers to an agent that is capable of specifically binding and inhibiting signaling through a receptor to fully block, as does an antagonist, or detectably inhibit a response mediated by the receptor. For example, as used herein the term “GK inhibitor” is a natural or synthetic compound which binds and inactivates fully or partially GK for initiating or participating to a pathway signalling. The term inhibitor encompasses the term “antagonist”.
In the context of the invention, the inhibitor of GK is a peptide, peptidomimetic, small organic molecule, antibody, aptamers, siRNA or antisense oligonucleotide.
In a particular embodiment, the inhibitor of GK is thioglycerol and its derivatives thereof.
As used herein, the term “thioglycerol” also known as 3 -Mercaptopropane- 1 ,2-diol has the following CAS number: 96-27-5 and the molecular formula CsHsChS. As used herein, the term “Glycerol 3 phosphate phosphatase” (G3PP) encoded by the PGP gene, regulates glucose, lipid and energy metabolism by hydrolyzing Glycerophosphate to glycerol and controls glucose-stimulated insulin secretion (GSIS) in P- cells.
As used herein, the term “modulator” refers to any molecule, agent or compound that increases or decreases G3PP activity, including a molecule that changes G3PP downstream signaling activities, said modulator being an activator or an inhibitor as defined herein below.
In the context of the invention, the modulator of G3PP is an activator of G3PP. In the context of the invention, the activator of G3PP is a peptide, peptidomimetic, small organic molecule or cDNA.
As used herein, the term “Phosphate Cytidylyltransferase 2” (PCYT2) refers to an enzyme that catalyzes the formation of CDP-ethanolamine from CTP and phosphoethanolamine in the Kennedy pathway of phosphatidylethanolamine synthesis.
As used herein, the term “modulator” refers to any molecule, agent or compound that increases or decreases PCYT2 activity, including a molecule that changes PCYT2 downstream signaling activities, said modulator being an activator or an inhibitor as defined herein below.
In the context of the invention, the modulator of PCYT2 is an activator of PCYT2. In the context of the invention, the activator of G3PP is a peptide, peptidomimetic, small organic molecule or cDNA.
As used herein, the term “Ethanolamine-Phosphate Phospho-Lyase” (ETNPPL) catalyzes the pyridoxal-phosphate-dependent breakdown of phosphoethanolamine, converting it to ammonia, inorganic phosphate and acetaldehyde.
As used herein, the term “modulator” refers to any molecule, agent or compound that increases or decreases ETNPPL activity, including a molecule that changes ETNPPL downstream signaling activities, said modulator being an activator or an inhibitor as defined herein below.
In the context of the invention, the modulator of ETNPPL is an activator of ETNPPL. In the context of the invention, the activator of ETNPPL is a peptide, peptidomimetic, small organic molecule or cDNA.
In another aspect, the invention relates to a modulator of Glycerol kinase (GK), Glycerol 3 phosphate phosphatase (G3PP), ETNPPL or Phosphate Cytidylyltransferase 2 (PCYT2) and ii) a classical treatment, as a combined preparation for use in the prevention and/or treatment of senescence related disease in a subject in need thereof. In a particular embodiment, the invention relates to i) a modulator of Glycerol kinase (GK), Glycerol 3 phosphate phosphatase (G3PP), Ethanolamine-Phosphate Phospho-Lyase (ETNPPL) or Phosphate Cytidylyltransferase 2 (PCYT2) and ii) a classical treatment for use by simultaneous, separate or sequential administration in the prevention and/or treatment of senescence related disease in a subject in need thereof.
As used herein, the terms “combined treatment”, “combined therapy” or “therapy combination” refer to a treatment that uses more than one medication.
As used herein, the term “administration simultaneously” refers to administration of 2 active ingredients by the same route and at the same time or at substantially the same time. The term “administration separately” refers to an administration of 2 active ingredients at the same time or at substantially the same time by different routes. The term “administration sequentially” refers to an administration of 2 active ingredients at different times, the administration route being identical or different.
As used herein, the term “classical treatment” refers to treatments well known in the art and used to treat obesity- and inflammation-related diseases with hallmarks of senescence. In the context of the invention, the classical treatment refers to an immunotherapy, anti-diabetic drugs or lipid-normalizing agents.
As used herein, the term “immunotherapy” has its general meaning in the art and refers to the treatment that consists in administering an immunogenic agent i.e. an agent capable of inducing, enhancing, suppressing or otherwise modifying an immune response. In a particular embodiment, the immunotherapy consists of use of an immune check point inhibitor.
As used herein, the term "immune checkpoint" or "immune checkpoint protein" has its general meaning in the art and refers to a molecule that is expressed by immune or cancer cells in that either turn up a signal (stimulatory checkpoint molecules) or turn down a signal (inhibitory checkpoint molecules). Many of the immune checkpoints are regulated by interactions between specific receptor and ligand pairs. Overexpression of inhibitory checkpoint molecules by cancer cells have often been associated with inhibition of anti tumor immune response as immune cell express their ligand or receptor counterparts.
Immune checkpoint molecules are recognized in the art to constitute immune checkpoint pathways similar to the CTLA-4 and PD-1 dependent pathways (see e.g. Pardoll, 2012. Nature Rev Cancer 12:252-264; Mellman et al. 2011. Nature 480:480- 489). Examples of stimulatory checkpoint include CD27 CD28 CD40, CD122, CD137, 0X40, GITR, and ICOS. Examples of inhibitory checkpoint molecules include A2AR, B7-H3, B7-H4, BTLA, CTLA-4, CD277, IDO, KIR, PD-1, LAG-3, TIM-3 and VISTA. The Adenosine A2A receptor (A2AR) is regarded as an important checkpoint in cancer therapy because adenosine in the immune microenvironment, leading to the activation of the A2a receptor, is negative immune feedback loop and the tumor microenvironment has relatively high concentrations of adenosine. B7-H3, also called CD276, was originally understood to be a co-stimulatory molecule but is now regarded as co-inhibitory. B7-H4, also called VTCN1, is expressed by tumor cells and tumor-associated macrophages and plays a role in tumour escape. B and T Lymphocyte Attenuator (BTLA) and also called CD272, has HVEM (Herpesvirus Entry Mediator) as its ligand. Surface expression of BTLA is gradually downregulated during differentiation of human CD8+ T cells from the naive to effector cell phenotype, however tumor-specific human CD8+ T cells express high levels of BTLA. CTLA-4, Cytotoxic T-Lymphocyte-Associated protein 4 and also called CD152. Expression of CTLA-4 on Treg cells serves to control T cell proliferation. IDO, Indoleamine 2,3 -dioxygenase, is a tryptophan catabolic enzyme. Another important molecule is TDO, tryptophan 2,3-dioxygenase. IDO is known to suppress T and NK cells, generate and activate Tregs and myeloid-derived suppressor cells, and promote tumour angiogenesis. KIR, Killercell Immunoglobulin-like Receptor, is a receptor for MHC Class I molecules on Natural Killer cells. LAG3, Lymphocyte Activation Gene-3, works to suppress an immune response by action to Tregs as well as direct effects on CD8+ T cells. PD-1, Programmed Death 1 (PD-1) receptor, has two ligands, PD-L1 and PD-L2. This checkpoint is the target of Merck & Co.'s melanoma drug Keytruda, which gained FDA approval in September 2014. An advantage of targeting PD- 1 is that it can restore immune function in the tumor microenvironment. TIM-3, short for T-cell Immunoglobulin domain and Mucin domain 3, expresses on activated human CD4+ T cells and regulates Thl and Thl7 cytokines. TIM-3 acts as a negative regulator of Thl/Tcl function by triggering cell death upon interaction with its ligand, galectin-9. VISTA, Short for V-domain Ig suppressor of T cell activation, VISTA is primarily expressed on hematopoietic cells so that consistent expression of VISTA on leukocytes within tumors may allow VISTA blockade to be effective across a broad range of solid tumors. Tumor cells often take advantage of these checkpoints to escape detection by the immune system. Thus, inhibiting a checkpoint protein on the immune system may enhance the anti -tumor T-cell response.
As used herein, the expressions "immune checkpoint inhibitor", "checkpoint inhibitor" or "checkpoint blockade cancer immunotherapy agent" are used interchangeably and have its general meaning in the art and refers to any compound inhibiting the function of an immune checkpoint protein. Inhibition includes reduction of function and full blockade. The immune checkpoint inhibitors include peptides, proteins, antibodies, nucleic acid molecules and small molecules. Preferred immune checkpoint inhibitors are antibodies that specifically recognize immune checkpoint proteins. Examples of immune checkpoint inhibitors are provided here below under the associated paragraph.
In a particular embodiment, the immune checkpoint inhibitor is an antibody.
Typically, antibodies are directed against PD-1, CTLA-4, A2AR, B7-H3, B7-H4, BTLA, CD277, IDO, KIR, LAG-3, TIM-3 or VISTA.
In a particular embodiment, the immune checkpoint inhibitor is an anti -PD-1 antibody such as described in WO2011082400, W02006121168, W02015035606, W02004056875, W02010036959, W02009114335, W02010089411, WO2008156712, WO2011110621, WO2014055648 and WO2014194302. Examples of anti-PD-1 antibodies which are commercialized: Nivolumab (Opdivo®, BMS), Pembrolizumab (also called Lambrolizumab, KEYTRUDA® or MK-3475, MERCK).
In some embodiments, the immune checkpoint inhibitor is an anti-PD-Ll antibody such as described in WO2013079174, W02010077634, W02004004771, WO2014195852, W02010036959, WO2011066389, W02007005874, W02015048520, US8617546 and WO2014055897. Examples of anti-PD-Ll antibodies which are on clinical trial: Atezolizumab (MPDL3280A, Genentech/Roche), Durvalumab (AZD9291, AstraZeneca), Avelumab (also known as MSB0010718C, Merck) and BMS-936559 (BMS).
In a particular embodiment, the anti-PD-1 or anti-PD-Ll antibody is atezolizumab, durvalumab, avelumab, nivolumab, pembrolizumab, pidilizumab, cemiplimab, camrelizumab, sintilimab (IB 1308), tislelizumab (BGB-A317), toripalimab (JS 001), dostarlimab (TSR-042, WBP-285), BMS 936559, MPDL3280A, MSB0010718C, MEDI4736 and any combination thereof.
In a particular embodiment, the immune checkpoint inhibitor is an antibody directed against CTLA-4. Antibodies directed against CTLA-4 are also known such as ipilimumab, tremelimumab, MK-1308, AGEN-1884, XmAb20717 (Xencor), MEDI5752 (AstraZeneca).
In the context of the invention, the monotherapy is performed with an-anti PD-1. More particularly, the anti-PD-1 is nivolumab.
In the context of the invention, the bi-therapy (as a combined therapy) is performed with anti-PD-1 and anti-CTLA-4. More particularly, the anti-PD-1 is nivolumab and anti-CTLA-4 is ipilimumab.
In some embodiments, the immune checkpoint inhibitor is an anti-PD-L2 antibody such as described in US7709214, US7432059 and US8552154.
In the context of the invention, the immune checkpoint inhibitor inhibits Tim-3 or its ligand. In a particular embodiment, the immune checkpoint inhibitor is an anti-Tim-3 antibody such as described in WO03063792, WO2011155607, WO2015117002, WO2010117057 and W02013006490. n a particular embodiment, the immune checkpoint inhibitor is a monoclonal antibody directed against LAG-3. Antibodies directed against LAG-3 are also known such as: Relatlimab (BMS-986016), Favezelimab (MK-4280, Merck), LAG3-Ab (Protheragen), TJA-3(I-Mab), LBL-007(BeiGene), LAG525 (Novartis), Tesaro (GSK) (TSR-033), Sym022 (Symphogen), GSK2831781 (GlaxoSmith), INCAGN02385 (Incyte Biosciences International), IMP321(Prima BioMed/Immutep), MGD013 (MacroGenics), FS118 (F-Star), RO7247669 (Hoffmann-La Roche), EMB-02(Shanghai EpimAb Biotherapeutics), XmAb841 (Xencor) or IBI323(Innovent Biologies).
In a particular embodiment, the immune checkpoint inhibitor is a bispecific antibody directed against LAG-3 and another immune check point (PD-1, PDL-1, PD-2 etc). Bispecific antibodies directed against LAG-3 are also known such as: Tebotelimab (MGD013, Macrogenetics), FS118 (F-star Therapeutics), RO7247669 (Hoffmann-La Roche), EMB-02 (EpimAb Biotherapeutics).
In the context of the invention, the bi-therapy (as a combined therapy) is performed with anti -PD-1 and anti -LAG-3. More particularly, the anti -PD-1 is nivolumab and anti -LAG-3 is Relatlimab.
In some embodiments, the immune checkpoint inhibitor is a small organic molecule.
The term "small organic molecule" as used herein, refers to a molecule of a size comparable to those organic molecules generally used in pharmaceuticals. The term excludes biological macro molecules (e. g. proteins, nucleic acids, etc.). Typically, small organic molecules range in size up to about 5000 Da, more preferably up to 2000 Da, and most preferably up to about 1000 Da.
Typically, the small organic molecules interfere with transduction pathway of A2AR, B7-H3, B7-H4, BTLA, CTLA-4, CD277, IDO, KIR, PD-1, LAG-3, TIM-3 or VISTA.
In a particular embodiment, small organic molecules interfere with transduction pathway of PD-1 and Tim-3. For example, they can interfere with molecules, receptors or enzymes involved in PD-1 and Tim-3 pathway.
In a particular embodiment, the small organic molecules interfere with Indoleamine- pyrrole 2, 3 -dioxygenase (IDO) inhibitor. IDO is involved in the tryptophan catabolism (Liu et al 2010, Vacchelli et al 2014, Zhai et al 2015). Examples of IDO inhibitors are described in WO 2014150677. Examples of IDO inhibitors include without limitation 1 -methyl -tryptophan (IMT), P- (3-benzofuranyl)-alanine, P-(3-benzo(b)thienyl)-alanine), 6 -nitro-tryptophan, 6- fluoro-tryptophan, 4-methyl -tryptophan, 5 -methyl tryptophan, 6-methyl -tryptophan, 5- methoxy-tryptophan, 5 -hydroxy-tryptophan, indole 3-carbinol, 3,3'- diindolylmethane, epigallocatechin gallate, 5 -Br-4-Cl -indoxyl 1,3 -diacetate, 9- vinylcarbazole, acemetacin, 5- bromo-tryptophan, 5 -bromoindoxyl diacetate, 3- Amino-naphtoic acid, pyrrolidine dithiocarbamate, 4-phenylimidazole a brassinin derivative, a thiohydantoin derivative, a P- carboline derivative or a brassilexin derivative. In a particular embodiment, the IDO inhibitor is selected from 1-methyl-tryptophan, P-(3- benzofuranyl)-alanine, 6-nitro-L-tryptophan, 3- Amino-naphtoic acid and P-[3- benzo(b)thienyl] -alanine or a derivative or prodrug thereof.
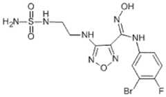
In a particular embodiment, the inhibitor of IDO is Epacadostat, (INCB24360, INCB024360) has the following chemical formula in the art and refers to -N-(3-bromo-4- fluorophenyl)-N'-hydroxy-4-{[2-(sulfamoylamino)-ethyl]amino}-l,2,5-oxadiazole-3 carboximidamide :
Figure imgf000015_0001
In a particular embodiment, the inhibitor is BGB324, also called R428, such as described in W02009054864, refers to lH-l,2,4-Triazole-3,5-diamine, l-(6,7-dihydro-5H- benzo[6,7]cyclohepta[l,2-c]pyridazin-3-yl)-N3-[(7S)-6,7,8,9-tetrahydro-7-(l-pyrrolidinyl)- 5H-benzocyclohepten-2-yl]- and has the following formula in the art:
Figure imgf000015_0002
In a particular embodiment, the inhibitor is CA-170 (or AUPM-170): an oral, small molecule immune checkpoint antagonist targeting programmed death ligand-1 (PD-L1) and V- domain Ig suppressor of T cell activation (VISTA) (Liu et al 2015). Preclinical data of CA-170 are presented by Curis Collaborator and Aurigene on November at ACR-NCI-EORTC International Conference on Molecular Targets and Cancer Therapeutics.
In some embodiments, the immune checkpoint inhibitor is an aptamer. Typically, the aptamers are directed against A2AR, B7-H3, B7-H4, BTLA, CTLA-4, CD277, IDO, KIR, PD-1, LAG-3, TIM-3 or VISTA.
In a particular embodiment, aptamers are DNA aptamers such as described in Prodeus et al 2015. A major disadvantage of aptamers as therapeutic entities is their poor pharmacokinetic profiles, as these short DNA strands are rapidly removed from circulation due to renal filtration. Thus, aptamers according to the invention are conjugated to with high molecular weight polymers such as polyethylene glycol (PEG). In a particular embodiment, the aptamer is an anti-PD-1 aptamer. Particularly, the anti-PD-1 aptamer is MP7 pegylated as described in Prodeus et al 2015.
As used herein, the term “anti-diabetic drugs” refers to drugs used in diabetes treat diabetes mellitus by altering the glucose level in the blood.
In a particular embodiment, the anti-diabetic drug is selected from the group consisting of but not limited to: alpha-glucosidase inhibitors (acarbose, miglitol), amylin analogs (pramlintide), dipeptidyl peptidase 4 inhibitors (alogliptan, linagliptan, saxagliptin, sitagliptin), incretin mimetics (albiglutide, dulaglutide, exenatide, liraglutide, lixisenatide), insulin, meglitinides (nateglinide, repaglinide), non-sulfonylureas (metformin), SGLT-2 inhibitors (canagliflozin, dapagliflozin, empagliflozin), sulfonylureas (chlorpropamide, glimepiride, glipizide, glyburide, tolazamide, tolbutamide), and thiazolidinediones (rosiglitazone, pioglitazone).
As used herein, the term “lipid-normalizing agents” refers to drugs/agents which normalize the lipid level in the blood. In a particular embodiment, the lipid-normalizing agents is selected from the group consisting of but not limited to: Atorvastatin, Fluvastatin, Lovastatin, Pitavastatin, Pravastatin, Rosuvastatin, Simvastatin, Alirocumab, Evolocumab, Ezetimibe, Cholestyramine, Colesevelam, Colestipol, Fenofibrate, or Gemfibrozil.
As used herein, the term "therapeutically effective amount" refers to a sufficient amount of the polypeptide or the nucleic acid molecule encoding thereof to prevent for use in a method for the treatment of the disease (e.g., a senescence related disease) at a reasonable benefit/risk ratio applicable to any medical treatment. It will be understood that the total daily usage of the compounds and compositions of the present invention will be decided by the attending physician within the scope of sound medical judgment. The specific therapeutically effective dose level for any particular subject will depend upon a variety of factors, including the age, body weight, general health, sex and diet of the subject; the time of administration, route of administration, and rate of excretion of the specific compound employed; the duration of the treatment; drugs used in combination or coincidental with the specific polypeptide employed; and like factors well known in the medical arts. For example, it is well known within the skill of the art to start doses of the compound at levels lower than those required to achieve the desired therapeutic effect and to gradually increase the dosage until the desired effect is achieved. However, the daily dosage of the products may be varied over a wide range from 0.01 to 1,000 mg per adult per day. Preferably, the compositions contain 0.01, 0.05, 0.1, 0.5, 1.0, 2.5, 5.0, 10.0, 15.0, 25.0, 50.0, 100, 250 and 500 mg of the active ingredient for the symptomatic adjustment of the dosage to the subject to be treated. A medicament typically contains from about 0.01 mg to about 500 mg of the active ingredient, preferably from 1 mg to about 100 mg of the active ingredient. An effective amount of the drug is ordinarily supplied at a dosage level from 0.0002 mg/kg to about 20 mg/kg of body weight per day, especially from about 0.001 mg/kg to 7 mg/kg of body weight per day.
Pharmaceutical composition
The modulator of Glycerol kinase (GK), Glycerol 3 phosphate phosphatase (G3PP) Ethanolamine-Phosphate Phospho-Lyase (ETNPPL) and/or Phosphate Cytidylyltransferase 2 (PCYT2) alone or with a classical treatment as described above may be combined with pharmaceutically acceptable excipients, and optionally sustained-release matrices, such as biodegradable polymers, to form pharmaceutical compositions.
Accordingly, in another aspect, the invention relates to a pharmaceutical composition comprising a modulator of Glycerol kinase (GK), Glycerol 3 phosphate phosphatase (G3PP), Ethanolamine-Phosphate Phospho-Lyase (ETNPPL) and/or Phosphate Cytidylyltransferase 2 (PCYT2) and pharmaceutically acceptable excipients.
In a particular embodiment, the pharmaceutical composition comprising a modulator of Glycerol kinase (GK), Glycerol 3 phosphate phosphatase (G3PP), Ethanolamine-Phosphate Phospho-Lyase (ETNPPL) and/or Phosphate Cytidylyltransferase 2 (PCYT2) for use in the therapy.
In a particular embodiment, the pharmaceutical composition comprising a modulator of Glycerol kinase (GK), Glycerol 3 phosphate phosphatase (G3PP), Ethanolamine-Phosphate Phospho-Lyase (ETNPPL) and/or Phosphate Cytidylyltransferase 2 (PCYT2) for use in the treatment of senescence related disease.
In a particular embodiment, the pharmaceutical composition according to the invention comprising i) modulator of Glycerol kinase (GK), Glycerol 3 phosphate phosphatase (G3PP), Ethanolamine-Phosphate Phospho-Lyase (ETNPPL) and/or Phosphate Cytidylyltransferase 2 (PCYT2) and ii) a classical treatment for use by simultaneous, separate or sequential administration in the prevention and/or treatment of senescence related disease in a subject in need thereof.
As used herein, the terms "pharmaceutically" or "pharmaceutically acceptable" refer to molecular entities and compositions that do not produce an adverse, allergic or other untoward reaction when administered to a mammal, especially a human, as appropriate. A pharmaceutically acceptable carrier or excipient refers to a non-toxic solid, semi-solid or liquid filler, diluent, encapsulating material or formulation auxiliary of any type. The pharmaceutical compositions of the present invention for oral, sublingual, subcutaneous, intramuscular, intravenous, transdermal, local or rectal administration, the active principle, alone or in combination with another active principle, can be administered in a unit administration form, as a mixture with conventional pharmaceutical supports, to animals and human beings. Suitable unit administration forms comprise oral-route forms such as tablets, gel capsules, powders, granules and oral suspensions or solutions, sublingual and buccal administration forms, aerosols, implants, subcutaneous, transdermal, topical, intraperitoneal, intramuscular, intravenous, subdermal, transdermal, intrathecal and intranasal administration forms and rectal administration forms. Typically, the pharmaceutical compositions contain vehicles which are pharmaceutically acceptable for a formulation capable of being injected. These may be in particular isotonic, sterile, saline solutions (monosodium or disodium phosphate, sodium, potassium, calcium or magnesium chloride and the like or mixtures of such salts), or dry, especially freeze-dried compositions which upon addition, depending on the case, of sterilized water or physiological saline, permit the constitution of injectable solutions. The pharmaceutical forms suitable for injectable use include sterile aqueous solutions or dispersions; formulations including sesame oil, peanut oil or aqueous propylene glycol; and sterile powders for the extemporaneous preparation of sterile injectable solutions or dispersions. In all cases, the form must be sterile and must be fluid to the extent that easy syringability exists. It must be stable under the conditions of manufacture and storage and must be preserved against the contaminating action of microorganisms, such as bacteria and fungi. Solutions comprising compounds of the invention as free base or pharmacologically acceptable salts can be prepared in water suitably mixed with a surfactant, such as hydroxypropylcellulose. Dispersions can also be prepared in glycerol, liquid polyethylene glycols, and mixtures thereof and in oils. Under ordinary conditions of storage and use, these preparations contain a preservative to prevent the growth of microorganisms. The polypeptide (or nucleic acid encoding thereof) can be formulated into a composition in a neutral or salt form. Pharmaceutically acceptable salts include the acid addition salts (formed with the free amino groups of the protein) and which are formed with inorganic acids such as, for example, hydrochloric or phosphoric acids, or such organic acids as acetic, oxalic, tartaric, mandelic, and the like. Salts formed with the free carboxyl groups can also be derived from inorganic bases such as, for example, sodium, potassium, ammonium, calcium, or ferric hydroxides, and such organic bases as isopropylamine, trimethylamine, histidine, procaine and the like. The carrier can also be a solvent or dispersion medium containing, for example, water, ethanol, polyol (for example, glycerol, propylene glycol, and liquid polyethylene glycol, and the like), suitable mixtures thereof, and vegetables oils. The proper fluidity can be maintained, for example, by the use of a coating, such as lecithin, by the maintenance of the required particle size in the case of dispersion and by the use of surfactants. The prevention of the action of microorganisms can be brought about by various antibacterial and antifungal agents, for example, parabens, chlorobutanol, phenol, sorbic acid, thimerosal, and the like. In many cases, it will be preferable to include isotonic agents, for example, sugars or sodium chloride. Prolonged absorption of the injectable compositions can be brought about by the use in the compositions of agents delaying absorption, for example, aluminium monostearate and gelatin. Sterile injectable solutions are prepared by incorporating the active polypeptides in the required amount in the appropriate solvent with several of the other ingredients enumerated above, as required, followed by filtered sterilization. Generally, dispersions are prepared by incorporating the various sterilized active ingredients into a sterile vehicle which contains the basic dispersion medium and the required other ingredients from those enumerated above. In the case of sterile powders for the preparation of sterile injectable solutions, the preferred methods of preparation are vacuumdrying and freeze-drying techniques which yield a powder of the active ingredient plus any additional desired ingredient from a previously sterile-filtered solution thereof. Upon formulation, solutions will be administered in a manner compatible with the dosage formulation and in such amount as is therapeutically effective. The formulations are easily administered in a variety of dosage forms, such as the type of injectable solutions described above, but drug release capsules and the like can also be employed. For parenteral administration in an aqueous solution, for example, the solution should be suitably buffered if necessary and the liquid diluent first rendered isotonic with sufficient saline or glucose. These particular aqueous solutions are especially suitable for intravenous, intramuscular, subcutaneous and intraperitoneal administration. In this connection, sterile aqueous media which can be employed will be known to those of skill in the art in light of the present disclosure. For example, one dosage could be dissolved in 1 ml of isotonic NaCl solution and either added to 1000 ml of hypodermoclysis fluid or inj ected at the proposed site of infusion. Some variation in dosage will necessarily occur depending on the condition of the subject being treated. The person responsible for administration will, in any event, determine the appropriate dose for the individual subject.
The invention will be further illustrated by the following figures and examples. However, these examples and figures should not be interpreted in any way as limiting the scope of the present invention.
FIGURES:
Figure 1: Identification of Common Senescence-Associated Metabolic Shifts (SAMS). A-D: Fold change of the ratios between the indicated metabolites in WI38 fibroblasts undergoing RAS- (n=3), RAF-OIS (n=3), DDIS (n=3), and RS (n=6), measured for each treatment at the last timepoint of the kinetics and relative to the values of proliferating cells. Bars represent the means of biological replicates +/- s.d. Indicative p-values were calculated using an unpaired two-sided Student’s t-test. Abbreviations: aKG = alpha-ketoglutarate; G3P = glycerol -3 -phosphate; DHAP = dihydroxyacetone phosphate; PEtn = phosphoethanolamine; CDP-Etn = CDPethanolamine.
Figure 2: Senescence repression correlates with SAMS repression. A: Percentage of Senescence-associated 0-gal positive (SABG) cells of cultures of WI38 fibroblasts non-treated (Prolif.) undergoing DDIS in the presence or the absence of Rapamycin for 7 days. B: Percentage of SABG-positive cells of WI38 fibroblasts non-treated (Prolif.) or undergoing Ras- induced senescence (RAS-OIS) and treated or not with DMOG for 7 days. C-D: Fold changes of SAMS in WI38 fibroblasts undergoing DDIS +/- for 14 days (C) and RAS-OIS +/- DMOG for 7 days (D). For panels A, B, C and D bars represent the means of 3 biological replicates +/- s.d.
Figure 3: Glycerol 3-P accumulation at the onset of senescence metabolic reprogramming: A: Nodes with the highest betweenness values (top 20) in the Gene- Metabolite Correlation Network connecting genes and metabolites presenting a correlation with an absolute value greater than 0.5 for RAS- and RAF-OIS, etoposide-mediated DDIS, RS, and Q. Abbreviations: S7P = Sedoheptulose-7- phosphate; UDP-GlcNAc = Uridine diphosphate N- acetylglucosamine; GSSG = glutathione disulfide (oxidized glutathione); MY09A = myosin 9- A; SCN9A = sodium voltage-gated channel alpha subunit 9; HMGN2 = high mobility group nucleosomal binding domain 2 ; UDP-Gal/Glc = Uridine diphosphate galactose/glucose; DARS2 = aspartyl-tRNA synthetase 2, mitochondrial; FAM43A = family with sequence similarity 43 member A; HEG1 = heart development protein with EGF like domains 1; PAPPA = pappalysin 1; GCC2 = GRIP and coiled-coil domain containing 2. B: Densitometric quantification of GK and p21 protein levels relative to actin from three experiments including the one of panel, in RAS-OIS (Day 7) and DDIS (Day 6). Data are presented as mean values +/- s.d. Indicated p-values are calculated using an unpaired two-sided Student’s t-test.
Figure 4: Glycerol 3-P accumulation drives metabolic senescence program and SASP induction. A. mRNA levels of the indicated SASP markers as measured by RT-qPCR in WI38 fibroblasts treated, relative to the value of non-infected cells (Prolif.).,=3 biologically independent experiments. Data are presented as mean values +/- SD. Indicated p-values were calculated using an unpaired two-sided Student’s t-test. B: Fold change of G3P levels in WI38 fibroblasts undergoing RAS-OIS and infected with GFP- or G3PP- overexpressing adenoviruses for 7 days, relative to the value of non-infected cells (Prolif.). n=3 biologically independent experiments. Data are presented as mean values +/- SD. Indicated p-values were calculated using an unpaired two-sided Student’s t-test. C: Levels of the indicated mRNAs in WI38 fibroblasts subjected to RAS-OIS and treated with DMSO or 1 -thioglycerol (ImM) for 7 days, relative to the value of non-infected cells (Prolif.) (n=2).
Figure 5: PCYT2 is less active and dephosphorylated in senescent cells. A: Schematic overview (Biorender) of the phosphatidylethanolamine pathway highlighting phosphoethanolamine (PEtn) and the enzymes involved in the pathway. B: Measurement of the labelled Petn/labelled CDP-Petn ratio in WI38 fibroblasts proliferating, undergoing DDIS (7 days) or RAS-OIS (7 days). Bars represent the means of 2 biological replicates +/- s.d.
Figure 6: PCYT2 and Petn modulation regulate the senescence metabolic reprogramming. A: Fold change of Petn/CDP-Etn ratio in WI38 fibroblasts infected with an adenovirus driving the expression of a control shRNA (shCtrl) or an shRNA targeting the PCYT2 mRNA (shPCYT2) for 7 days, relative to the value of noninfected cells (Prolif.) B: mRNA levels of senescence markers scored by RT-qPCR in WI38 fibroblasts treated as in A. n=6 biologically independent experiments. Data are represented as mean values +/- SD. Indicated p-values were calculated using an unpaired two-sided Student’s t-test. C: Fold change of PEtn/CDP-Etn ratio in WI38 fibroblasts treated as in E, normalized to the value of non-infected cells (Prolif.). For panels A, B, C bars represent the means of 3 biological replicates +/- s.d. Indicated p-values were calculated using an unpaired two-sided Student’s t- test.
Figure 7: Phosphoethanolamine and G3P accumulation are interconnected and regulate Rb phosphorylation during senescence. A: Fold change of G3P levels in WI38 fibroblasts infected with an adenovirus overexpressing a control shRNA (shCtrl) or an shRNA targeting the PCYT2 mRNA (shPCYT2) for 7 days, relative to the value of non-infected cells (Prolif.) B: Fold change of G3P levels and PEtn/CDP-Etn ratio in WI38 fibroblasts infected with GFP- or GK- overexpressing adenovirus for 7 days, relative to the value of non-infected cells (Prolif.) C: Fold change of PEtn/CDP-Etn ratio in WI38 fibroblasts infected with GFP- or G3PP- overexpressing adenovirus for 7 days, relative to the value of non-infected cells (Prolif.).
Figure 8: (A) Levels of the indicated mRNAs normalized to those of Pinin as measured by RT-qPCR in mouse adipose tissue not expressing (PIK3CAWT) or expressing (PIK3CAAdipo'CreER) the constitutively active PI3KCA mutant. The reported values are relative to those of the PIK3CAWT genotype. Bars represent the means of n=6 biological replicates (7 males and 5 females) +/- s.d.. Indicated p-values were calculated using an unpaired two-sided Student’s t- test. (B) Levels of the GK protein normalized to those of a-tubulin as measured on western blots on total protein extracts of mouse adipose tissue not expressing (PIK3CAWT) or expressing (PIK3CAAdipo'CreER) the constitutively active PI3KCA mutant. Values are normalized to those of the PIK3CAWT sample. Bars represent the means of 3 biological replicates +/- s.d (4 males and 2 females). Indicated p-values were calculated using an unpaired two-sided Student’ s t-test. (C) Immunostaining with an anti-p21 and an anti-GK antibody on sections of the pancreas of WT mice (male) and of mice overexpressing in the pancreas the constitutively active G12D K- Ras mutant (male). Asteriks indicate Langerhans islets. Scale bars represent 20pm. The experiment was repeated independently twice with similar results.
Figure 9: Representation of G3P and PEtn metabolic interconnections leading to TAG accumulation and senescence. Model illustrating p53-dependent upregulation of GK and the consequent increase in G3P level in senescent cells that in turn contributes to DAG accumulation. p53 also drives dephosphorylation and inactivation of PCYT2 and hence impairs the PE synthesis pathway, favoring DAG utilization in the synthesis of TAG. Both G3P and PEtn accumulation drive Rb hypo-phosphorylation and SASP induction.
EXAMPLE:
Material & Methods
Cell culture
WI-38 fibroblasts (purchased from ATCC; #CCL-75TM) were cultured in DMEM GLUTAMAX, high glucose (Gibco) containing 10% fetal bovine serum (FBS), and lx PenStrep (Therm ofi scher) at 37 °C with a 5% atmospheric concentration of 02 and CO2. The medium was changed every 2 days. Cells were split as they reached a confluency of 70-80%. Experiments were performed on cells at a population doubling level (PDL) inferior to 45 divisions, (except for the replicative senescence model). WI-38-ER:RASV12 fibroblasts were generated by retroviral transduction as previously described 20. RAS-OIS was induced by adding 400 nM 4-hydroxytamoxifen (4-OHT) to the culture medium. Cells were collected and processed at the indicated time points following the treatment. The doxycycline-inducible oncogenic BRAFV600E retroviral construct was a gift from C. Mann (CEA, Gif-sur-Yvette, France). RAF-OIS was induced in WI-38 fibroblasts with 100 ng/mL doxycycline. DNA damage-induced senescence (DDIS) was triggered by etoposide treatment at a concentration of 20pM for two 2 days. Cells were then washed and incubated with fresh medium without drug. Cells were collected and processed at the indicated time points following the treatment. Replicative senescence was obtained through proliferative exhaustion. For the induction of quiescence, WI-38 fibroblasts were cultured in DMEM containing 0.2% FBS. Primary human myoblasts (SkMC) were isolated from a skeletal muscle biopsy of a healthy donor (PromoCell #C-12530, Lot 414Z025.11) and were purified with an immuno-magnetic sorting system using CD56/NCAM magnetic beads (Miltenyui Biotec #130-050-401) following the manufacturer’s specifications. The purified CD56-positive myoblasts were seeded in dishes coated with type I collagen (Sigma-Aldrich #C 8919) and cultured in the proliferation medium (DMEM-high glucose (Sigma # D6429), 20% FBS (Life Technologies #10270106), 50pg/ml gentamicin (Life technologies # 15750037), 0,5% Ultroser G (PALL # 15950-017) at 37°C with 5% CO2. All experiments were conducted CPD11 and CPD29 to avoid replicative senescence, and myoblasts were passaged at a cell confluency not exceeding 50 % to avoid myogenic differentiation. Retroviral infections were performed as outlined for WI38 fibroblasts. For all the indicated treatments of fibroblasts and myoblasts, cells were collected and processed at the indicated time points.
Reagents for cell culture
4-hydroxytamoxifene (4OHT) (#H7904; Sigma) and doxocycline (#D3447; Sigma) were used as already described 20. Etoposide (#E1383; Sigma) was dissolved in DMSO at a 50mM concentration, aliquoted and stored at -20°C. Before use, etoposide was added to fresh medium at a final concentration of 20pM. Rapamycin (#1292; Tocris) was dissolved in 100% ethanol at a 27.3 mM concentration aliquoted and stored at -20°C. Rapamycin was added to fresh medium from an intermediate 27.3 mM solution at a final concentration of 20 nM just before use. Dimethyloxalylglycine (DMOG) (#D3695; Sigma) was dissolved in water at a 150 mM concentration aliquoted and stored at -20°C. Before use, DMOG was added to fresh medium at a final concentration of 1 mM. 1 -Thioglycerol (#M1753; Sigma) was stored at 4°C. Before use, 1 -Thioglycerol was added to fresh medium at a final concentration of ImM. Nutlin- 3 (#S1061; Selleckchem) was dissolved in DMSO at a 10 mM concentration, aliquoted and stored at 80°C. Before use, Nutlin-3 was added to fresh medium at a final concentration of 10 pM. Viral transduction and transfection of siRNAs
Adenoviruses were transduced in cells incubated in FBS-deprived medium for 3 hours. Subsequently, the cells were gently washed and incubated with fresh complete medium containing 40HT where required to trigger ER:RASV12 induction. Cells were collected and processed at indicated timepoints. For the transfection of siRNAs, cells plated in 6 cm dishes were transfected with siRNAs at a final 25nM concentration using the Transit-X2 Dynamic Delivery System (MIR6003; Minis) according to manufacturer’s instructions.
Targeted LC-MS metabolomics analyses
For metabolomic analysis, the extraction solution was composed of 50% methanol, 30% acetonitrile (ACN) and 20% water. The volume of the extraction solution was adjusted to urea volume (1ml per IxlO6 cells). After adding the extraction solution, samples were vortexed for 5 min at 4 °C and centrifuged at 16,000g for 15 min at 4 °C. The supernatants were collected and stored at -80 °C until analysis. LC/MS analyses were conducted on a QExactive Plus Orbitrap mass spectrometer equipped with an Ion Max source and a HESI II probe coupled to a Dionex UltiMate 3000 uHPLC system (Thermo). External mass calibration was performed using a standard calibration mixture every seven days, as recommended by the manufacturer. The 5 pl samples were injected onto a ZICpHILIC column (150 mm * 2.1 mm; i.d. 5 pm) with a guard column (20 mm * 2.1 mm; i.d. 5 pm) (Millipore) for LC separation. Buffer A was 20 mM ammonium carbonate, 0.1% ammonium hydroxide (pH 9.2), and buffer B was ACN. The chromatographic gradient was run at a flow rate of 0.200 pl min-1 as follows: 0-20 min, linear gradient from 80% to 20% of buffer B; 20-20.5 min, linear gradient from 20% to 80% of buffer B; 20.5-28 min, 80% buffer B. The mass spectrometer was operated in full scan, polarity switching mode with the spray voltage set to 2.5 kV and the heated capillary held at 320 °C. The sheath gas flow was set to 20 units, the auxiliary gas flow to 5 units and the sweep gas flow to 0 units. The metabolites were detected across a mass range of 75-1,000 m/z at a resolution of 35,000 (at 200 m/z) with the automatic gain control target at 106 and the maximum injection time at 250 ms. Lock masses were used to ensure mass accuracy below 5 ppm. Data were acquired with Thermo Xcalibur software (Thermo). The peak areas of metabolites were determined using Thermo TraceFinder software (Thermo), identified by the exact mass of each singly charged ion and by the known retention time on the HPLC column. Targeted metabolomics analyses were focused on small polar compounds in central carbon metabolism. Established methods for sample extraction and LC-MS analyses using pHILIC HPLC column for polar metabolites separation were used69. As a part of the routine analytical pipeline, recommendations of the metabolomics Quality Assurance and quality Control Consortium (mQACC) were applied: the routine quality controls include regular equipment maintenance (Thermo), the use of standard operating procedures for sample extraction, storage and analyses. General practices also include weekly test runs to assure system stability and quality of runs. Several QCs were used (1) pooled interstudy QC, (2) process and extraction blanks, (3) system stability blanks, (4) solvents blanks, (5) long-term reference standard inter-laboratory QC mix to ensure system stability and (6) the samples were blinded and loaded in randomized order. The analyses of pooled samples QC showed no significant difference in metabolites levels between QCs.
Lipidomic
Phospholipid (PL), triacylglycerol (TAG) and di acylglycerol (DAG) species in cells were analyzed by Nano-Electrospray Ionization Tandem Mass Spectrometry (Nano-ESI- MS/MS) with direct infusion of the lipid extract (Shotgun Lipidomics). 5 to 10 x 106 cells were homogenized in 500 pl of Milli-Q water using the Precellys 24 Homogenisator (Peqlab) at 6.500 rpm for 30 sec. The protein content of the homogenate was determined using bicinchoninic acid. 35 pl (for PL analysis), 100 pl (for TAG analysis) or 20 pl (for DAG analysis) of homogenate were diluted to 500 pl with Milli-Q water. For PL analysis, 1.875 ml of methanol/chloroform 2: 1 (v/v) and internal standards (125 pmol PC 17:0-20:4, 132 pmol PE 17:0-20:4, 118 pmol PI 17:0-20:4, 131 pmol PS 17:0-20:4, 62 pmol PG 17:0/20:4; Avanti Polar Lipids) were added. For the analysis of TAG and DAG species, 1.875 ml of chloroform/methanol/37% hydrochloric acid 5: 10:0.15 (v/v/v) and 20 pl of d5-TG Internal Standard Mixture I (for TAGs) or 30 pl each of d5-DG Internal Standard Mixtures I and II (for DAGs) (Avanti Polar Lipids) were used. Conditions of lipid extraction and Nano-ESI-MS/MS analysis have been previously described61. PC analysis was performed by scanning for precursors of m/z 184 Da at a collision energy (CE) of 35 eV. PE, PI, PS, and PG measurements were conducted by scanning for neutral losses of m/z 141, 277, 185, and 189 Da with a CE of 25 eV. The value for the declustering potential was 100 V62. Scanning was performed in a mass range of m/z 650-900 Da. TAG and DAG species were detected by scanning for the neutral losses of the ammonium adducts of distinct fatty acids: 271 (16: 1), 273 (16:0), 295 (18:3), 297 (18:2), 299 (18: 1), 301 (18:0), 321 (20:4), and 345 Da (22:6). For the analysis of TAG species, a mass range of m/z 750-1100 Da was scanned with a CE of 40 eV, for DAG species the mass range was m/z 500-750 Da and the CE 25 eV62. All scans were conducted in the positive ion mode at a scan rate of 200 Da/s. Mass spectra were processed by the LipidView 1.2 Software (SCIEX) to identify and quantify lipids. Endogenous lipid species were quantified by referring their peak areas to those of the internal standards. The calculated lipid amounts were normalized to the protein content of the cell homogenate.
Isotope labelling of Kennedy pathway metabolites
To assess ethanolamine and glycerol uptake, we incubated the cells with 100 pg/mL of isotope-labelled Etn (MW+2) (#606294; Sigma) or 1.05mM of labelled Glycerol (MW+3) (#489476; sigma) for 1 hour. For pulse-chase experiment the cells were washed with PBS twice after the pulse, then incubated with fresh medium containing an excess of non-labelled Etn (ImM). Preparation of the extracts and measurement of labeled metabolite levels were performed as described above for the Targeted LC-MS metabolomics analyses.
Mitochondrial glycerol-3-phosphate dehydrogenase activity
The mitochondrial glycerol-3 -phosphate dehydrogenase (EC 1.1.5.3) activity was estimated through the activity of the glycerol-3 -phosphate cytochrome c reductase spectrophotometrically measured on cell pellets at 37°C (Cary 60 double wavelength spectrophotometer, Varian) according to63. Protein was estimated by the Bradford test.
RNA purification reverse transcription and RT-qPCR
Total RNA was isolated using Trizol (Qiagen) following the manufacturer’s instructions. RNA concentration was determined with a nanodrop 2000 apparatus (Thermosci entific). Reverse transcription was carried out on 100-150 ng of RNA using a SuperScript II RT kit (Invitrogen). 4uL of 1 : 50 dilutions of the cDNAs were used in RT-qPCR reactions containing a SYBR Green PCR Master Mix (BioRad). The reactions were carried on in a in a Stratagene MX3005P apparatus (Agilent Technologies). The thermal profile setup was as follows: 15 min. at 95°C followed by 40 cycles of alternating steps of 15 sec. at 95°C and 30 sec. at 60°C. Melt curve analysis was performed at the end of each run. The relative quantification of gene expression was performed using the 2-AACt method, normalizing with RPS14 as a housekeeping transcript.
RNA Microarrays
Total RNA was purified using the Qiagen RNeasy Plus kit according to the manufacturer’s instructions. 100 ng RNA per sample were analyzed using Affymetrix Human Transcriptome Arrays 2.0, according to the manufacturer’s instructions.
Cellular staining
Senescence-associated beta-galactosidase (SABG) activity was assessed using Staining Kit (Cell Signaling Technology) following the manufacturer’s instructions. Images were taken using an optical microscope and analyzed using the Imaged software. Staining of lipid droplets was performed as previously described64 Briefly, cells seeded in 24 well plates were fixed with 4% paraformaldehyde (PF A) for 15min then permeabilized and blocked for 45 min in 200 mM glycine, 3% bovine serum albumin (BSA), 0.01% saponin, IX PBS. After washing with PBS IX, cells were incubated for 30min with LipidTox Red (Thermo Fischer) diluted 1 :200 in 0.1% BSA, 0.01% saponin, and IX PBS. All the steps were carried on at room temperature. The coverslips were mounted using Mounting medium containing DAPI. The cells were imaged using a Spinning Disk microscope (Zeiss, Zen software) and analysed using the ImageJ software.
Immunohistochemistry
Mice tissues were fixed in 4% paraformaldehyde (PF A), embedded in paraffin and sectioned at 4 pm. Sections were deparaffinized and hydrated before being boiled for for 10 min in citrate buffer (pH6). Sections were blocked for Ih in 0.1% Triton- X100, 0.1% Tween- 20, 3% BSA, 5% goat serum in TBS and then incubated with primary antibody overnight at 4°C. Next, sections were incubated with biotinylated secondary antibodies and signal detected with the Vectastain Elite ABC kit (PK- 6100; VectorLaboratories) and DAB chromogen system (DAKO). Pictures were acquired using the Nikon Eclipse Ti-S microscope (Nikon) using a 10X and 20X magnification objective.
Immunoblotting
Cells were lysed in ice-cold lysis buffer (50 mM Tris. Cl pH 7.4, 138 mMNaCl, 2.7 mM KC1, 5 mM EDTA, 20 mM NaF 5% Glycerol, 1% NP40) supplemented with protease and phosphatase inhibitor mixes (Roche). Protein concentrations were determined using the Bradford reagent (Bio-Rad). Equal amounts of extracts were resolved by 8, 10 or 12% SDS- PAGE and electro-transferred onto a polyvinylidene difluoride (PVDF) membrane (Amersham Biosciences). The preparation of 6% Phos-tag gels, migration and transfer were performed as described65. Blots were blocked in Tris-buffered saline (TBS) IX supplemented with 5% milk and subsequently incubated overnight at 4°C in 3% BSA in TBS-1X supplemented with the primary antibodies diluted 1 : 1000. After washing in TBS-Tween 0.1%, blots were incubated for 1 h at room temperature in TBS-milk 5% supplemented with horseradish peroxidase- conjugated secondary antibodies (Cell signaling technology) diluted 1 :5000. After washing in TBS-Tween 0.1%, blots were developed with the Immobilon western chemiluminescence HRP substrate (Millipore). Images were acquired with a ChemiDocTM Imager from Bio-Rad.
Mice
The generation and genotyping of PIK3CAAdipo'CreER mice and LSL- KrasG12Dptfla'Cre transgenic mice are described elsewhere50,51. The experiments were approved by the Direction Departementale des Services Veterinaires (Prefecture de Police, Paris, France; authorization number 75-1313 and APAFIS #34979). Mice were housed in a 12-h light/dark cycle and fed a standard chow (2018 Teklad global 18% protein rodent diets, 3.1 kcal/g; Envigo). At the age of 6 weeks, PIK3CAWT and p ^QAdiPo-CreER mice received a daily dose of tamoxifen (40 mg kg1 ) for five days and sacrificed six weeks later. LSL- KrasG12Dptfla'Cre mice were sacrificed at 2 months old together with the control mice.
Analysis of metabolomics data
The data matrices were log-transformed for each batch, and an ANOVA test was performed to determine the statistical significance of metabolite differential accumulation. P-values were corrected using the false discovery rate (FDR) approach, and metabolites with a q-value lower than 0.05 were considered differentially accumulated. In total, 137 molecules were identified as differentially accumulated, at least in one sample and one experiment. Compound time profiles for each dataset were clustered independently using the WGCNA package66 , with each sample being represented by the median of its replicates. The “soft threshold” parameter was determined for each batch separately, with the choice of the lowest value leading to a high Scale-free topology fit by applying the elbow method, as suggested by the tool authors. We set the parameters “minimum cluster size”, “deepSplit“ and “correlation threshold for cluster merging”, respectively, to 3, 3 and 0.60. We inspected signaling pathways enriched in each WGCNA module for each dataset by performing a hypergeometric test with pathways stored in the KEGG database67. We normalized the time profiles for the 46 metabolites identified in all batches with the ComBat tool 23, using the initial, uninduced samples from each batch to estimate interbatch effects. We performed an integrated Principal Component Analysis with the R package factoextra. We identified the specificities of the metabolic response elicited by distinct stressors by performing a Sparse Partial Least Squares Discriminant Analysis (sPLS-DA) using the mixOmics package77. We selected the 101 metabolites differentially accumulated in at least one-time point for the CS fibroblast datasets (RAS-OIS, RAF-OIS, DDIS, and RS) and determined the optimal number of components and features using the function perf. We integrated the RAS-OIS metabolic response in fibroblasts and myoblasts by computing the overlap between each module identified for each dataset and by generating riverplots connecting these modules with the R package networkD3 (https://cran.r- project.org/web/packages/networkD3/index.html).
Analysis of transcriptomics data
We downloaded the raw Affymetrix HTA 2.0 transcriptome data for the RAF-induced senescence and quiescence experiments from the Gene Expression Omnibus database (BioProject PRJNA439263, accession codes GSE143248 and GSE112084 20). Oncogenic RAS- and RAF-, DNA damage-induced, and replicative senescence transcriptome were measured as described above. For each dataset, we normalized expression levels using the robust multichip average (RMA) tool provided by the oligo R package68 and performed a Surrogate Variable Analysis with the sva69 and limma70 R packages. We eliminated internal Affymetrix control probes and annotated the remaining probes using the hta20sttranscri ptcluster. db R package. We removed lowly expressed probes, specifically the bottom 40 % of genes considering all samples in a dataset. We applied ANOVA FDR and selected genes with a q-value lower than 0.05 and 1.5 log2FC for each dataset. The hierarchical clustering performed on the transcriptome data is similar to the one applied to the metabolome. We clustered genes from each experiment with WGCNA66 , using their replicates median value for each sample. As mentioned above, we individually determined the “soft threshold” for each dataset. The parameters “minimum cluster size” and “deepSplit“ were set to 100 and 3. The “correlation threshold for cluster merging” parameter was optimized independently for each inducer and set to 0.7 forRAS-OIS (fibroblasts), 0.75 for RAS-OIS (myoblasts), 0.75 for RAF - OIS, 0.8 for DDIS; 0.8 FOR RS; and 0.9 for Q. Furthermore, we integrated the fibroblast and myoblast RAS-OIS response by computing the overlap between each transcriptional cluster and by generating riverplots using the networkD3 R package, also in a similar procedure as performed for the metabolome. We investigated signaling pathways enriched for differential genes in each dataset by performing an over-representation analysis using the R package version 7.5.1.9001 msigdb (https://igordot.github.io/msigdbr/) and clusterProfiler71, combined with the Molecular Signature Database (MsigDB) hallmark gene sets72,73. For each dataset, we analyzed each coexpression module identified by WGCNA separately. As described above, we also used riverplots produced by the R package networkD3 to integrate the gene expression dynamics from both experiments. To assess DMOG and rapamycin-induced changes in SASP gene expression of RAS-OIS or DDIS cells, we ranked differentially expressed genes according to their fold change, comparing the samples at the end of each time-course (Day 07 for RAS- OIS + DMOG, Day 14 for DDIS + Rapamycin) and performed a gene set enrichment analysis (GSEA) using a comprehensive, published SASP Atlas as reference22.
Batch correction methods benchmark
We evaluated five batch correction (BC) methods reported in the literature to integrate the data from different senescence inducers. Namely, the methods are: quantile normalization (QN), implemented by the oligo R package 68; a BC technique using the QC samples from each batch as a reference, as described by74; a third approach based on the average of all samples in a given batch as a reference for normalization75; a strategy using samples corresponding to biological replicates in each batch as reference for BC (cells before CS or quiescence induction); and the ComBat tool, which infers the parameters of a linear model for BC using a Bayesian approach23. The approaches consisting of using a set of samples average as the normalization reference follow the general form given by equation 3.1 :
Figure imgf000030_0001
Where X’p,s,b and Xp,s,b are respectively the normalized and raw intensity of peak p at sample s in batch b; Rp is a scaling factor computed by the average of all detected values for a peak p in all samples in all batches and Cp,s,b is the correction factor computed on the set of reference samples. The following equation give its computation for each set of reference samples:
Figure imgf000030_0002
We compared those methods based on the values obtained by the computation of three metrics: relative standard deviation (RSD), repeatability and the Bhattacharyya distance. The RSD consists of the ratio between the standard deviation (c) and the average intensity values (p) measured for each peak p. This value is computed for each sample s over all batches as determined by the following equation75.
Figure imgf000030_0003
Repeatability measures the fraction of the variance between replicates of the same sample s over all batches76. Its computation is performed for each measured peak p, dividing the variance between the averages of all replicates for sample s by the variance of the intensity observed in all replicates within the same sample, as shown in equation 5. High repeatability is attained by samples sparsely distributed, with replicates densely clustered. As the variance for replicates within a sample approaches (or surpasses) the variance between samples, this quantity decreases.
Figure imgf000031_0001
The Bhattacharyya distance DB is an extension of the Malahanobis distance. The Malahanobis distance measures the distance between two sets of points, normalized by their covariance. Therefore, tighter clusters will lead to a higher Malahanobis distance, for the same distance between their center of mass. The Bhattacharyya distance extends this concept by introducing a factor accounting for a distinct distribution in both sets. This metric was calculated using the fpc R package (Hennig, 2019) and is given by (Wehrens et al., 2016):
Figure imgf000031_0002
Where pb;s corresponds to the center of mass of sample s for batch b, Sb;s is the covariance matrix for sample s replicates in batch b and Xs is the covariance matrix for sample s in all batches.
Integration of transcriptomics and metabolomics data
Aiming to identify potential non-linear molecular interactions, we computed the Spearman correlation for each gene-metabolite pair in each dataset, in an approach inspired by Siddiqui et al.78. We calculated the overlap of high correlations (absolute value higher than 0.5) in all datasets with the R package Vennerable. We visualized these overlapping correlations to build gene-metabolite networks with the R packages ComplexHeatmap79, CyREST80, RCy381 and the Cytoscape software82. Gene ontology analysis of G3P-correlating genes was performed on targets correlating either positively or negatively with G3P in at least 3 out of 4 senescence inducers (Q condition excluded). This analysis was done on ShinyGO using the “hallmark MSigDB” database. Curated Reactome analysis was performed on G3P-correlating gene either positively or negatively. The analysis was done on ShinyGO using the “Curated Reactome” database.
Statistics
Quantitative data in graphs are presented as the mean ± S.D, unless indicated otherwise in the figure legends. Statistical tests used in this study include unpaired two-sided Student’s t-test and one-way analysis of variance (ANOVA) as indicated in the figure legends. Significant differences are reported as P-values in the figure legends, and the exact values are indicated where appropriate. No statistical method was used to predetermine the sample size. Data derived from time-series Affymetrix microarrays were highly reproducible. All transcriptomics were performed in biological duplicates (WI38 Ras +/- DMOG, WI38 etoposide +/- Rapamycin). RT-qPCR on adenovirus-infected cells was performed in biological triplicates. Metabolomics was performed on biological triplicates for each timepoint and condition, and lipidomics were performed on a minimum 4 biological replicates for each condition. Data distribution was assumed to be normal but this was not formally tested. Biological materials (cells and mice) were randomized before experiments. Data collection and analysis were not performed blind to the conditions of the experiments. Outliers were identified and excluded by the ROUT method (default setting) on GraphPad Prism.
Data availability
Metabolomics data which includes four senescence onset and quiescence models; RAS- OIS cells treated with DMOG or shPCYT2, overexpressing G3PP, PCYT2 or ETNPPL and etoposide-induced cells treated with Rapamycin have been deposited to the EMBL-EBI MetaboLights database83 with the identifier MTBLS7118. The complete dataset can be accessed here https://www.ebi.ac.uk/metabolights/MTBLS7118. Transcriptome raw data for RAS-induced senescence, DNA damage and replicative senescence will be published in the Gene Expression Omnibus (GEO) database (under accession) code GSE248824. Previously published transcriptome data (RAF-induced senescence and quiescence) are hosted on the GEO website under accession codes GSE143248 and GSE112084.
Code availability
The scripts used to preprocess raw transcriptomic data, perform statistical analyses, visualize and integrate metabolomics and transcriptomic data are hosted on Zenodo (https://zenodo.org/records/8199751) as both Rmardkdown and HTML files. Where applicable, we uploaded the necessary processed data to generate the figures in this manuscript.
Results
The metabolic landscape of senescent cell subtypes
To identify the metabolic signatures and potential metabolic vulnerabilities of individual senescent cells, we performed targeted, time-resolved metabolic profiling using mass spectrometry (MS)-based analysis in normal, human diploid fibroblasts (strain WI38) exposed to diverse forms of senescence-inducing stress including hyper-active oncogenes (i.e., RAS- and RAF-OIS), replicative exhaustion (RS), and DNA damage (etoposide, i.e., DDIS). For comparison, we included cells undergoing quiescence (Q) by serum withdrawal, as well as proliferating cells (time DOO in each condition) (data not shown). To track senescence dynamics and for downstream metabolome-transcriptome integration, we performed time- series gene expression profiling. As previously published20, senescence dynamics are inducerspecific, spanning different time scales. Accordingly, we intermittently sampled cells in line with inducer-specific senescence dynamics to adequately cover the senescence establishment and maintenance phases (data not shown). Congruent with our published data20, differentially expressed genes for each senescent subtype were partitioned into various dynamic gene expression modules (data not shown) with distinct functional over-representation profiles in line with the senescence phenotype (data not shown). In particular, cell-cycle-related (RAS, module V; RAF, module II; DDIS, module IV; RS, module I) and S ASP-related inflammatory transcriptional modules (RAS, modules III and IV; RAF, module III; DDIS, module I; RS, module II) were similar across all senescence models, which we further corroborated by expression profiling of a core senescence gene signature (data not shown)21,22. This analysis confirmed that the cells in our time courses display classic senescence transcriptome features. To characterize the metabolic evolution of the different senescence subtypes, we identified metabolites by targeted mode in the MS analysis. We independently clustered their time courses using weighted correlation network analysis (WGCNA), identifying metabolite modules with highly correlated metabolite expression trajectories, thereby revealing senescence state- and inducer-specific metabolite patterns (data not shown). The levels of 115 metabolites in RAS-OIS, 71 in RAF-OIS, 107 in DDIS, 118 in RS, and 94 in Q were significantly changed (adjusted p-value < 5%). Consistent with previous studies in various cell biology models of senescence6'12, we found increased fatty acid metabolism (e.g., acylcarnitines), increased glucose shunts to lactate, pentose phosphate pathway (sedoheptulose 7 phosphate S7P) and Uridine diphosphate N-acetylglucosamine (UDP-GlcNAc), and altered central carbon metabolism (e.g., a -ketoglutarate and malate) and Kennedy pathway (e.g., PEtn). Next, we visualized the metabolome dynamics of each senescence inducer to identify commonalities and specificities of individual senescent subtypes performing an integrated dynamic metabolome Principal Component Analysis (PCA) (data not shown). Because massspectrometry-based metabolome analysis is prone to technical variations, making an accurate integration of disparate datasets challenging, we first normalized all metabolome datasets using ComBat (data not shown)23. The PCA analysis illustrated three key points. First, metabolic landscapes of senescence and quiescence are diametrically opposed (PCI, 31,8%). Second, the overall temporal trajectory between senescence subtype metabolomes correspond to neighbouring states, finishing at the top right PCA quadrant (data not shown). Third, plotting the correlation between metabolites and the principal components data not shown) identifies metabolites that contribute significantly to the quiescence-associated (QAMS) (top left quadrant of the correlation circle) and senescence-associated metabolic shift (SAMS) (data not shown), notably a-ketoglutarate (aKG), G3P, PEtn, UDP-GlcNAc, inosine, S7P, oxypurinol, acylcamitines, and lactate. We consolidated the SAMS by calculating, for each senescence subtype, the ratios between metabolites and their immediate precursors or endproducts in the same metabolic pathway, using as denominator start (proliferation) and as numerator endpoint (senescence) metabolite levels of the individual time-courses (Figure 1A, IB, 1C, ID). Irrespective of the inducer, senescent cells significantly increased lactate/pyruvate, aKG/ succinate, G3P/glycerol, G3P/di-hydroxy acetone phosphate (DHAP), and PEtn/CDP -Ethanolamine (CDP-Etn) ratios. To underscore the kinetics of these metabolites, we visualised the curve of their fold changes over time compared to day 0 in RAS- OIS and DDIS. In both instances, starting two days after stress induction, the metabolite shift increased almost linearly before reaching a plateau at 10-14 days of treatment (data not shown). An increased lactate/pyruvate ratio is consistent with the glycolytic shift and mitochondrial activity decrease observed in senescence10,13. In addition, a high proportion of the two oncometabolites, aKG and succinate, was previously observed as a p53-dependent senescence response of KRAS mutant cancer cells, leading to the modulation of aKG- dependent dioxygenases and tumor suppression24 However, the mechanistic underpinnings and functional implications of altered G3P/DHAP, G3P/glycerol and PEtn/CDP -Etn ratios in senescence regulation are unknown. Next, we performed a sparse Partial Least Squares Discriminant Analysis (sPLS-DA) to identify metabolite signatures that could discriminate between the different senescence inducers (data not shown). sPLS-DA separated samples according to their treatment in three sectors (data not shown), with cells undergoing RS (purple sector), RAS- (blue sector), and RAF-OIS (green sector) following distinct dynamics. In comparison, DDIS was intercalated between the three sectors. We then associated each sPLS-DA component with its respective metabolite(s) and its/their corresponding median level (data not shown). We observed that metabolites positively related to the first component (i.e., Palmitoyl-camitine and Ribose Phosphate; data not shown) are produced at exceptionally high levels in RS, thus distinguishing it from the other senescence inducers (data not shown). Conversely, Butyryl-carnitine is negatively associated with the first component (data not shown), presenting higher levels, especially in RAS-OIS and DDIS (data not shown). Finally, GLN is positively associated with the second sPLS-DA component (data not shown), and its lower levels specify RAF-OIS (data not shown). We confirmed these results in additional senescence models: human primary myoblasts undergoing RAS-OIS and RS (data not shown). In particular, cell-cycle- and SASP-related transcriptional modules (data not shown), senescence index (data not shown), the SAMS (data not shown) and its kinetics (data not shown) were highly similar. Altogether, our investigation of metabolome dynamics in different cell biology models of senescence defined a dynamic inducer-specific modular organization of the senescence metabolic program with a shared and pronounced metabolic shift, particularly in the central carbon metabolism, towards a G3P and PEtn accumulation.
Pharmacological inhibition of mTOR and aKG links SAMS and SASP expression
To test if the SAMS was predictive of the senescence status, we administered the mTOR inhibitor rapamycin, an established senomorphic25'27, to WI38 cells undergoing DDIS, and Dimethyloxalylglycine (DMOG), a hypoxia-mimetic and competitive aKG antagonist24,28, to cells undergoing RAS-OIS. Hypoxia-mimetic compounds were recently shown to suppress SASP expression in vitro and in vivo29. Rapamycin and DMOG significantly reduced the number of SABG-positive cells by 2.5- and 4-fold (Figures 2A, 2B). Next, we performed time- resolved gene expression and metabolic profiling to measure rapamycin- and DMOG-mediated changes in the senescence transcriptome and metabolome. Gene clustering, pathway enrichment, and GSEA analyses revealed that rapamycin and DMOG shift the transcriptional landscape closer to proliferative control cells, markedly perturbing SASP expression and downregulating the cyclin-dependent kinase inhibitor CDKNlA/p21 (data not shown).
We applied a river plot analysis to visualize and quantify the relationship between the two pharmacological treatments. This analysis pinpointed genes in DMOG-treated RAS-OIS cells that trend similarly to genes in rapamycin-treated DDIS cells (data not shown: blue waves connecting clusters II and III (RAS-OIS-DMOG) to clusters III and V (DDIS- Rapamycin), i.e., repressed genes; red waves connecting modules I and V (RAS-OIS-DMOG) to modules IV and VI (DDIS-Rapamycin), i.e., activated genes). In addition, DMOG also provoked a hypoxia-related gene expression program, which is consistent with its known antagonistic effect on Fe(II)/aKG-dependent dioxygenases, including hypoxia inducible factor (HIF) hydroxylases (EGLNs), ribosomal protein hydroxylases (OGFOD), ten-eleven translocation DNA (TETs,) and JmjC histone lysine demethylases (KDMs)24,2830'33(data not shown). Congruent with the senomorphic effects on the senescence transcriptome, metabolic profiling demonstrated that rapamycin and DMOG also attenuated the SAMS in a major fashion (Figure 2C, 2D and data not shown). In essence, these results highlight that the identified metabolic alterations correlate with the senescence status rather than the nature of the stress inducer and reinforce a functional intersection between SAMS and the senescence gene expression program. Glycerol shunt intersects with senescence gene expression program
Measurement and integration of the transcriptome and metabolome in the same cells are increasingly applied to elucidate mechanisms that drive diseases and uncover putative biomarkers (metabolites) and targets (genes). Previous studies have revealed that functionally related genes and metabolites show coherent co-regulation patterns34,35. Accordingly, we computed the Spearman correlation between all differentially expressed genes and metabolites, accounting for possible non-linear molecular interactions for the individual senescence subtypes and quiescence. We combined the results obtained from each experiment by selecting gene-metabolite pairs with an absolute correlation higher than 0.5 for all datasets (data not shown). Then, we joined these pairs into a gene-metabolite network that connects all molecules with similar profiles over time, regardless of the senescence inducer. The latter allowed us to compute the betweenness centrality, a measure that detects the amount of influence a node has over the flow of information in a graph. Figure 3A shows that S7P and G3P has the highest betweenness centrality in the gene-metabolite network (data not shown). This results remains unchanged in the presence of myoblast-RAS-OIS gene-metabolite network data (data not shown). Reactome analysis of G3P-correlated genes (data not shown) revealed an association with inflammation and epigenetic regulation of cell cycle genes, thus raising the possibility that G3P acts as a novel core “hub” metabolite central to regulating the senescence gene expression program. G3P is situated at the crossroad of multiple metabolic pathways. Through the redox conversion to DHAP, G3P can enter glycolysis and gluconeogenesis (data not shown). DHAP reduction to G3P by the G3P dehydrogenase GPD1 regenerates NAD+ levels in the cytosolic side of the G3P shuttle while the mitochondrial side catalyzed by GPD2 leads to the formation of DHAP and FADH2 that feeds the electron transport chain. Finally, G3P and free fatty acids (FAs) are the critical intermediates for lipogenesis, TAG, and PL synthesis. We hypothesized a crucial role of the G3P shuttle in the senescence program, similar to the malate-aspartate shuttle36. However, GPD1 and GPD2 protein levels and GPD2 mitochondrial activity remained unchanged, as exemplified for DDIS and RAS-OIS cells (data not shown). Moreover, adenoviral -mediated GPD1 overexpression or its shRNA-mediated knockdown failed to impact the expression of senescence biomarkers including CDKNlA/p21, CDKN2A/pl6, and IL6 (data not shown). These findings thus rule out an involvement of the G3P shuttle in regulating senescence. Given its role in lipid synthesis, we tested the implication of G3P in the lipid metabolism of senescent cells. Lipidomic analysis revealed a substantial increase of diacylglycerol (DAG) in DDIS compared to control cells. DAG serves as a precursor of neutral lipids (NL) TAG and PL. Strikingly, both RS and DDIS also led to the accumulation of TAG. In contrast, the levels of different PL species were not affected significantly compared to control cells, except for decreased phosphatidylglycerol levels (PG) (data not shown). Consequently, the amount of total PL relative to total TAG (NL) was reduced in senescent cells (data not shown). Our data support a view in which senescent cells divert available resources toward converting FA to TAGs stored in LDs812. Glycerol kinase (GK) expression levels were upregulated in all senescence models (data not shown), an effect that was confirmed at the protein level in RAS-OIS and DDIS (Figure 3B). In contrast, the invariable increase in GK expression was not mirrored by consistent glycerol uptake changes that were down-regulated in RAS-OIS and increased in DDIS (data not shown). The tumor suppressor p53 regulates GK expression, as demonstrated by siRNA- or shRNA-mediated depletion of p53 in DDIS cells (data not shown). GK catalyzes the phosphate transfer from ATP to glycerol to form G3P controlling whether G3P, a critical intermediate at the crossroad of carbohydrate, lipid, and energy metabolism, leaves the cell as glycerol upon its direct dephosphorylation or enters intracellular metabolic pathways. To corroborate the link between p53, GK and G3P accumulation, we analyzed the effects of pharmacologic activation of p53 by the small molecule MDM2 antagonist Nutlin-3. This treatment was sufficient to activate p21 expression and up-regulate GK levels (data not shown). Consistent with published data 38-40, p53 activation suppressed SASP biomarker ILla, IL6, and CXCL8 expression (data not shown). In contrast, and congruent with other senescence inducers, p53 activation led to a SAMS (data not shown), including a rise in G3P levels (data not shown) and neutral lipid droplet accumulation (data not shown). We conclude that p53 controls a senescence program involving a p21 -dependent cell cycle arrest, GK upregulation, concomitant G3P accumulation and a SAMS independently of its suppressive effect on the SASP. To evaluate the functional role of GK in the senescence program, we first transduced proliferating fibroblasts with an adenovirus overexpressing GK (GK-OE). GK-OE was sufficient to trigger a senescence-like state, as evidenced by the dramatic increase in the % of SABG-positive cells and expression of SASP genes CXCL8 and ILla (Figure 4A). These effects were accompanied by a considerable accumulation of neutral lipids, consistent with the utilization of G3P in TAG synthesis (data not shown), and a senescence-like metabolic shift, notably of G3P and PEtn levels (data not shown). Thus, GK-OE acts senogenic. Conversely, GK knock-down (KD) repressed SASP genes in RAS-OIS cells. At the same time, p21 and pl6 expression were unaffected or minorly affected, respectively (data not shown). Thus, reduction in GK activity acts as senomorphic uncoupling SASP expression and senescence arrest. In line with our above findings, scavenging G3P by overexpressing G3P phosphatase (G3PP-OE)37 (i.e., forcing G3P conversion to glycerol) had similar effects as GK depletion, reversing G3P accumulation in RAS-OIS cells (Figure 4B and data not shown), concomitant with a down-regulation of a select number of SASP genes (data not shown). Finally, pharmacological treatment with thioglycerol, a competitive inhibitor of GK38, also reduced SASP factors such as ILla and IL6 in RAS-OIS (Figure 4C). Together, these results reinforce the crucial role of G3P metabolism in senescence regulation.
G3P and PEtn homeostatic switch regulates senescence
G3P and PEtn are building blocks for TAG and PL synthesis and accrue in senescent cells. PEtn is utilized in the Kennedy pathway for the biosynthesis of phosphatidylethanolamine (PE), a major component of cell membranes accounting for 25-35% of total PL. Ethanolamine (Etn) is first taken up by cells, subsequently phosphorylated to PEtn by Ethanolamine kinase 1 (ETNK1), and finally conjugated to CDP by Phosphate Cytidylyltransferase 2 Ethanolamine (PCYT2) to react with DAG to generate phosphatidylethanolamine by Ethanol aminephosphotransferases (EPT and CEPT) (Figure 5A)39. To probe the role of Etn metabolism in senescence, we first performed flux experiments with exogenous C13-Etn (Etn MW+2). We did not detect differences in Etn uptake between proliferating and senescent cells (data not shown). However, the PEtn/CDP-Etn (MW+2) conversion were less effective in senescent cells compared to proliferative, pointing to decreased Pcyt2 activity (Figure 5B). Accordingly, we measured Pcyt2 transcript and protein levels, which were unchanged between proliferating and senescent cells (data not shown). Previous studies demonstrated that Pcyt2 activity is positively regulated by phosphorylation on several serine and threonine residues40. We, therefore, determined the Pcyt2 phosphorylation status by Phos-tag analysis. Pcyt2 displayed several band shifts in extracts from proliferating cells, consistent with its phosphorylation on multiple sites (data not shown). Strikingly, DDIS and RAS-OIS cells exhibited a dramatic reduction in Pcyt2 band shifts, indicative of reduced protein phosphorylation compared to control cells. This effect was p53- dependent because 1) p53 silencing (si- or shRNA-mediated) rescued Pcyt2 phosphorylation while reducing the PEtn/CDP-Etn ratio in RAS-OIS cells (data not shown) and 2) p53 activation by Nutlin 3 reduced Pcyt2 phosphorylation and increased the PEtn/CDP-Etn ratio in cells (data not shown)41. Thus, p53 negatively regulates Pcyt2 phosphorylation and activity in senescence, resulting in PEtn accumulation. PCYT2 phosphorylation was sensitive to treatment with the selective PKC inhibitor Bisindolylmaleimide (BisIndo.I) (data not shown). Whether p53 controls PCYT2 phosphorylation by affecting PKC activity or an uncharacterized PCYT2 phosphatase remains to be determined. To evaluate the functional consequences of PEtn levels alterations, we performed Pcyt2 KD experiments in proliferating cells, thus blocking PEtn conversion and resulting in an increased PEtn vs. CDP-Etn ratio (Figure 6A and data not shown). Analogous to GK-OE, Pcyt2 KD was sufficient to elicit a senescencelike phenotype, as evidenced by an increase in cells staining positive for SABG and in the expression of canonical senescence biomarkers CDKN1A, -2 A, and IL la (Figure 6B). In addition, Pcyt2 KD also triggered neutral lipid droplet accumulation (data not shown). By contrast, Pcyt2 OE in RAS-OIS cells reduced the expression of SASP factors ILla, ILip, IL6, and CXCL8 (data not shown) while reestablishing a PEtn/CDP-Etn ratio similar to that of proliferating control cells (Figure 6C). To further corroborate that PEtn accumulation in cells directs the senescence fate, we overexpressed Ethanolamine-Phosphate Phospho-Lyase (ETNPPL OE), an enzyme promoting the breakdown of PEtn to ammonia, inorganic phosphate, and acetaldehyde42. In line with the above results, ETNPPL-OE lowered the PEtn/CDP-Etn ratio (Figure 6C, data not shown) repressing SASP factors ILla, ILip, IL6, and CXCL8 in RAS-OIS cells (data not shown). We thus conclude that the senescence phenotype is intricately linked to PEtn homeostasis. To decipher how senescence rewired PL metabolism, we revisited our lipidomic analysis. Despite decreased Pcyt2 activity, the phosphatidylethanolamine (PE) level in senescent cells was not altered (data not shown). A similar observation was recently made in Pcyt2+/- cells and could be explained by decreased PE degradation and increased conversion of other PL to PE43. Interestingly, Pcyt2 knockdown recapitulated the alterations of glycerolipid metabolism by senescence inducers, as evidenced by the accumulation of G3P (Figure 7A) and lipid droplets (data not shown). Similarly, the modulation of G3P levels by GK or G3PP overexpression affected PEtn levels (Figure 7B, 7C), indicating a homeostatic interconnection between G3P and PEtn in the cell. At the molecular level, the increase in G3P and PEtn promoted CDKN2A/pl6 accumulation, hypophosphorylation (i.e., activation) of RB, and the consequent repression of the pro-proliferative RB/E2F target gene Cyclin A2 (CCNA2), (data not shown) with no sign of endoplasmic reticulum (ER) stress. The inhibitory effect of GK overexpression on RB phosphorylation was rapid, already detectable two days after viral transduction, indicating a role of the G3P/PEtn switch in the induction of senescence (data not shown). Of note, pl6 transcriptional upregulation was accompanied by significant down-regulation of the Idl transcription factor, and poly comb group complex 1 and 2 (PRC1 and PRC2) components Bmil, Ezh2, and SUZ12 (data not shown) implicated in pl6 repression47. GK rapidly activated Akt phosphorylation (data not shown), a known negative regulator of PRCs48,49. Mechanistically, these data suggest that the G3P/PEtn switch remodels the epigenetic and transcriptional landscape to allow pl6 transcriptional activation. To extend these observations to pathophysiological conditions, we measured GK expression in senescence-prone mouse models (Figure 8A-C): PZK3CAAdip°-CreER mice that display white adipose tissue (WAT) hypertrophy upon tamoxifen- induced expression of constitutively active PIK3CA/AKT in WAT 50 and LSL- KrasG12Dptfla'Cre transgenic mice, which develop spontaneous pancreatic premalignant lesions containing senescent cells51. PIK3CA mutant transgenic mice showed increased GK expression in their WAT coinciding with upregulated senescence biomarkers pl 6, p21, IL la , and TNFa (Figure 8A, 8B). In LSL-KrasG12Dptfla'Cre transgenic mice, GK and p21 senescence biomarkers were detectable in the pancreatic intraepithelial neoplasia (PanIN) of KrasG12D- expressing mice but not in control wild-type mice (Figure 8C). Thus, PEtn and G3P orchestrate the senescence fate by controlling a switch from PL to neutral lipid synthesis (Figure 9).
REFERENCES:
Throughout this application, various references describe the state of the art to which this invention pertains. The disclosures of these references are hereby incorporated by reference into the present disclosure.
1. Gorgoulis, V. et al. Cellular Senescence: Defining a Path Forward. Cell 179, 813-827, doi:10.1016/j. cell.2019.10.005 (2019).
2. Wiley, C. D. & Campisi, J. The metabolic roots of senescence: mechanisms and opportunities for intervention. Nat Metab 3, 1290-1301, doi: 10.1038/s42255- 02100483-8 (2021).
3. Neurohr, G. E. et al. Excessive Cell Growth Causes Cytoplasm Dilution And Contributes to Senescence. Cell 176, 1083-1097 el018, doi: 10.1016/j .cell.2019.01.018 (2019).
4. Dimri, G. P. et al. A biomarker that identifies senescent human cells in culture and in aging skin in vivo. Proceedings of the National Academy of Sciences of the United States of America 92, 9363-9367, doi:10.1073/pnas.92.20.9363 (1995).
5. Childs, B. G. et al. Senescent cells: an emerging target for diseases of ageing. Nat Rev Drug Discov 16, 718-735, doi:10.1038/nrd.2017.116 (2017).
6. Zwerschke, W. et al. Metabolic analysis of senescent human fibroblasts reveals a role for AMP in cellular senescence. The Biochemical journal 376, 403-411, doi:10.1042/BJ20030816 (2003). Unterluggauer, H. et al. Premature senescence of human endothelial cells induced by inhibition of glutaminase. Biogerontology 9, 247-259, doi:10.1007/sl0522-008-9134x (2008). Flor, A. C., Wolfgeher, D., Wu, D. & Kron, S. J. A signature of enhanced lipid metabolism, lipid peroxidation and aldehyde stress in therapy-induced senescence. Cell Death Discov 3, 17075, doi: 10.1038/cddiscovery.2017.75 (2017). Johmura, Y. et al. Senolysis by glutaminolysis inhibition ameliorates various ageassociated disorders. Science 371, 265-270, doi:10.1126/science.abb5916 (2021). Chan, M. et al. Novel insights from a multiomics dissection of the Hayflick limit. Elife 11, doi: 10.7554/eLife.70283 (2022). Quijano, C. et al. Oncogene-induced senescence results in marked metabolic and bioenergetic alterations. Cell cycle 11, 1383-1392, doi: 10.4161/cc.19800 (2012). Ogrodnik, M. et al. Obesity-Induced Cellular Senescence Drives Anxiety and Impairs Neurogenesis. Cell metabolism 29, 1233, doi: 10.1016/j.cmet.2019.01.013 (2019). Wiley, C. D. et al. Mitochondrial Dysfunction Induces Senescence with a Distinct Secretory Phenotype. Cell metabolism 23, 303-314, doi: 10.1016/j.cmet.2015.11.011 (2016). Marschallinger, J. et al. Lipid-droplet-accumulating microglia represent a dysfunctional and proinfl ammatory state in the aging brain. Nat Neurosci 23, 194-208, doi : 10.1038/s41593-019-0566-1 (2020). Saitou, M. et al. An evolutionary transcriptomics approach links CD36 to membrane remodeling in replicative senescence. Mol Omics 14, 237-246, doi : 10.1039/c8mo00099a (2018). Fafian-Labora, J. et al. FASN activity is important for the initial stages of the induction of senescence. Cell death & disease 10, 318, doi: 10.1038/s41419-019-15500 (2019). Kim, W. et al. Polyunsaturated Fatty Acid Desaturation Is a Mechanism for Glycolytic
NAD(+) Recycling. Cell metabolism 29, 856-870 e857, doi:10.1016/j.cmet.2018.12.023 (2019). Santinon, G. et al. dNTP metabolism links mechanical cues and YAP/TAZ to cell growth and oncogene-induced senescence. The EMBO journal 37, doi : 10.15252/embj .201797780 (2018). Romani, P. et al. Extracellular matrix mechanical cues regulate lipid metabolism through Lipin- 1 and SREBP. Nature cell biology 21, 338-347, doi:10.1038/s41556018- 0270-5 (2019). 20. Martinez-Zamudio, R. I. et al. AP-1 imprints a reversible transcriptional programme of senescent cells. Nature cell biology 22, 842-855, doi: 10.1038/s41556-020-0529-5 (2020).
21. Hernandez-Segura, A. et al. Unmasking Transcriptional Heterogeneity in Senescent Cells. Current biology : CB 27, 2652-2660 e2654, doi: 10.1016/j.cub.2017.07.033 (2017).
22. Basisty, N. et al. A proteomic atlas of senescence-associated secretomes for aging biomarker development. PLoS Biol 18, e3000599, doi: 10.1371/joumal.pbio.3000599 (2020).
23. Johnson, W. E., Li, C. & Rabinovic, A. Adjusting batch effects in microarray expression data using empirical Bayes methods. Biostatistics 8, 118-127, doi : 10.1093/biostatistics/kxj 037 (2007).
24. Morris, J. P. t. et al. alpha-Ketoglutarate links p53 to cell fate during tumour suppression. Nature 573, 595-599, doi:10.1038/s41586-019-1577-5 (2019).
25. Pospelova, T. V. et al. Suppression of replicative senescence by rapamycin in rodent embryonic cells. Cell cycle 11, 2402-2407, doi:10.4161/cc.20882 (2012).
26. Blagosklonny, M. V. Geroconversion: irreversible step to cellular senescence. Cell cycle 13, 3628-3635, doi: 10.4161/15384101.2014.985507 (2014).
27. Roh, K. et al. Lysosomal control of senescence and inflammation through cholesterol partitioning. Nat Metab, doi: 10.1038/s42255-023-00747-5 (2023).
28. Losman, J. A., Koivunen, P. & Kaelin, W. G., Jr. 2-Oxoglutarate-dependent dioxygenases in cancer. Nature reviews. Cancer 20, 710-726, doi:10.1038/s41568020- 00303-3 (2020).
29. Manni, W., Jianxin, X., Weiqi, H., Siyuan, C. & Huashan, S. JMJD family proteins in cancer and inflammation. Signal Transduct Target Ther 7, 304, doi : 10.1038/s41392022-01145-1 (2022).
30. Wu, S. K., Ariffin, J., Tay, S. C. & Picone, R. The variant senescence-associated secretory phenotype induced by centrosome amplification constitutes a pathway that activates hypoxia-inducible factor- 1 alpha. Aging cell 22, el3766, doi: 10.1111/acel.13766 (2023).
31. Hu, S. et al. Stabilization of HIF-lalpha alleviates osteoarthritis via enhancing mitophagy. Cell death & disease 11, 481, doi: 10.1038/s41419-020-2680-0 (2020). 32. Rasmussen, K. D. & Helin, K. Role of TET enzymes in DNA methylation, development, and cancer. Genes & development 30, 733-750, doi:10.1101/gad.276568.115 (2016).
33. van Vliet, T. et al. Physiological hypoxia restrains the senescence-associated secretory phenotype via AMPK-mediated mTOR suppression. Molecular cell 81, 2041-2052 e2046, doi: 10.1016/j.molcel.2021.03.018 (2021).
34. Wichelecki, D. J. et al. Discovery of function in the enolase superfamily: Dmannonate and d-gluconate dehydratases in the D-mannonate dehydratase subgroup. Biochemistry 53, 2722-2731, doi: 10.1021/bi500264p (2014).
35. Kamburov, A., Cavill, R., Ebbels, T. M., Herwig, R. & Keun, H. C. Integrated pathwaylevel analysis of transcriptomics and metabolomics data with IMPaLA. Bioinformatics 27, 2917-2918, doi: 10.1093/bioinformatics/btr499 (2011).
36. Jiang, P., Du, W., Mancuso, A., Wellen, K. E. & Yang, X. Reciprocal regulation of p53 and malic enzymes modulates metabolism and senescence. Nature 493, 689-693, doi:10.1038/naturel l776 (2013).
37. Mugabo, Y. et al. Identification of a mammalian glycerol -3 -phosphate phosphatase: Role in metabolism and signaling in pancreatic beta-cells and hepatocytes. Proceedings of the National Academy of Sciences of the United States of America 113, E430-439, doi: 10.1073/pnas.1514375113 (2016).
38. Seltzer, W. K., Dhariwal, G., McKelvey, H. A. & McCabe, E. R. 1 -Thioglycerol: inhibitor of glycerol kinase activity in vitro and in situ. Life sciences 39, 1417-1424, doi: 10.1016/0024-3205(86)90545-x (1986).
39. Pavlovic, Z. & Bakovic, M. Regulation of Phosphatidylethanolamine Homeostasis&#8212;The Critical Role of CTP:Phosphoethanolamine Cytidylyltransferase (Pcyt2). Int J Mol Sci 14, 2529-2550, doi:10.3390/ijmsl4022529 (2013).
40. Pavlovic, Z. et al. Isoform-specific and protein kinase C-mediated regulation of CTP:phosphoethanolamine cytidylyltransferase phosphorylation. The Journal of biological chemistry 289, 9053-9064, doi: 10.1074/jbc.M113.544932 (2014).
41. Vassilev, L. T. et al. In vivo activation of the p53 pathway by small-molecule antagonists of MDM2. Science 303, 844-848, doi: 10.1126/science.1092472 (2004).
42. Schiroli, D. & Peracchi, A. A subfamily of PLP-dependent enzymes specialized in handling terminal amines. Biochimica et biophysica acta 1854, 1200-1211, doi: 10.1016/j.bbapap.2015.02.023 (2015). 43. Grapentine, S. et al. Pcyt2 deficiency causes age-dependant development of nonalcoholic steatohepatitis and insulin resistance that could be attenuated with phosphoethanolamine. Sci Rep 12, 1048, doi: 10.1038/s41598-022-05140-y (2022).
44. Harrison, D. E. et al. Rapamycin fed late in life extends lifespan in genetically heterogeneous mice. Nature 460, 392-395, doi:10.1038/nature08221 (2009).
45. Zhdanov, A. V., Okkelman, I. A., Collins, F. W., Melgar, S. & Papkovsky, D. B. A novel effect of DMOG on cell metabolism: direct inhibition of mitochondrial function precedes HIF target gene expression. Biochimica et biophy sica acta 1847, 1254-1266, doi:10.1016/j.bbabio.2015.06.016 (2015).
46. Kamphorst, J. J. et al. Hypoxic and Ras-transformed cells support growth by scavenging unsaturated fatty acids from lysophospholipids. Proceedings of the National Academy of Sciences of the United States of America 110, 8882-8887, doi: 10.1073/pnas.1307237110 (2013).
47. Hosios, A. M. et al. mTORCl regulates a lysosome-dependent adaptive shift in intracellular lipid species. Nat Metab 4, 1792-1811, doi: 10.1038/s42255-022-00706-6 (2022).
48. Baraibar, M. A. et al. Impaired energy metabolism of senescent muscle satellite cells is associated with oxidative modifications of glycolytic enzymes. Aging 8, 3375-3389, doi: 10.18632/aging,101126 (2016).
49. Possik, E. et al. New Mammalian Glycerol-3-Phosphate Phosphatase: Role in betaCell, Liver and Adipocyte Metabolism. Front Endocrinol (Lausanne) 12, 706607, doi: 10.3389/fendo.202L 706607 (2021).
50. Taylor, A., Grapentine, S., Ichhpuniani, J. & Bakovic, M. Choline transporter-like proteins 1 and 2 are newly identified plasma membrane and mitochondrial ethanolamine transporters. The Journal of biological chemistry 296, 100604, doi: 10.1016/j.jbc.202L 100604 (2021).
51. Cikes, D. et al. PCYT2-regulated lipid biosynthesis is critical to muscle health and ageing. Nat Metab 5, 495-515, doi: 10.1038/s42255-023-00766-2 (2023).
52. Al-Mass, A. et al. Hepatic glycerol shunt and glycerol -3 -phosphate phosphatase control liver metabolism and glucodetoxification under hyperglycemia. Mol Metab 66, 101609, doi: 10.1016/j.molmet.2022.101609 (2022).
53. Al-Mass, A. et al. Glycerol-3 -phosphate phosphatase operates a glycerol shunt in pancreatic beta-cells that controls insulin secretion and metabolic stress. Mol Metab 60, 101471, doi: 10.1016/j.molmet.2022.101471 (2022). 54. Possik, E. et al. Phosphoglycolate phosphatase homologs act as glycerol -3 -phosphate phosphatase to control stress and healthspan in C. elegans. Nature communications 13, 177, doi:10.1038/s41467-021-27803-6 (2022).
55. Lee, S. J., Murphy, C. T. & Kenyon, C. Glucose shortens the life span of C. elegans by downregulating DAF-16/FOXO activity and aquaporin gene expression. Cell metabolism 10, 379-391, doi: 10.1016/j.cmet.2009.10.003 (2009).
56. Hibuse, T. et al. Aquaporin 7 deficiency is associated with development of obesity through activation of adipose glycerol kinase. Proceedings of the National Academy of Sciences of the United States of America 102, 10993-10998, doi: 10.1073/pnas.0503291102 (2005).
57. Singh, R. K., Fullerton, M. D., Vine, D. & Bakovic, M. Mechanism of hypertriglyceridemia in CTP:phosphoethanolamine cytidylyltransferase-deficient mice. J Lipid Res 53, 1811-1822, doi:10.1194/jlr.M021881 (2012).
58. Goldstein, I. et al. p53 promotes the expression of gluconeogenesis-related genes and enhances hepatic glucose production. Cancer Metab 1, 9, doi: 10.1186/2049-3002-1-9 (2013).
59. Fontana, D. et al. ETNK1 mutations induce a mutator phenotype that can be reverted with phosphoethanolamine. Nature communications 11, 5938, doi : 10.1038/s41467020- 19721 -w (2020).
60. Gohil, V. M. et al. Meclizine inhibits mitochondrial respiration through direct targeting of cytosolic phosphoethanolamine metabolism. The Journal of biological chemistry 288, 35387-35395, doi: 10.1074/jbc.M113.489237 (2013).
61. Kumar, V. et al. A keratin scaffold regulates epidermal barrier formation, mitochondrial lipid composition, and activity. The Journal of cell biology 211, 10571075, doi: 10.1083/jcb.201404147 (2015).
62. Ozbalci, C., Sachsenheimer, T. & Brugger, B. Quantitative analysis of cellular lipids by nano-electrospray ionization mass spectrometry. Methods in molecular biology 1033, 3-20, doi: 10.1007/978-l-62703-487-6_l (2013).
63. Benit, P. et al. Three spectrophotometric assays for the measurement of the five respiratory chain complexes in minuscule biological samples. Clin Chim Acta 374, 8186, doi: 10.1016/j.cca.2006.05.034 (2006).
64. Roccio, F. et al. Monitoring lipophagy in kidney epithelial cells in response to shear stress. Methods Cell Biol 164, 11-25, doi: 10.1016/bs.mcb.2020.12.003 (2021). Chen, R., Plouffe, S. W. & Guan, K. L. Determining the Phosphorylation Status of Hippo Components YAP and TAZ Using Phos-tag. Methods in molecular biology 1893, 281-287, doi: 10.1007/978-l-4939-8910-2_21 (2019). Langfelder, P. & Horvath, S. WGCNA: an R package for weighted correlation network analysis. BMC bioinformatics 9, 559, doi: 10.1186/1471-2105-9-559 (2008). Kanehisa, M. & Goto, S. KEGG: kyoto encyclopedia of genes and genomes. Nucleic acids research 28, 27-30, doi:10.1093/nar/28.1.27 (2000). Carvalho, B. S. & Irizarry, R. A. A framework for oligonucleotide microarray preprocessing. Bioinformatics 26, 2363-2367, doi: 10.1093/bioinformatics/btq431 (2010). Leek, J. T., Johnson, W. E., Parker, H. S., Jaffe, A. E. & Storey, J. D. The sva package for removing batch effects and other unwanted variation in high-throughput experiments. Bioinformatics 28, 882-883, doi: 10.1093/bioinformatics/bts034 (2012). Ritchie, M. E. et al. limma powers differential expression analyses for RNAsequencing and microarray studies. Nucleic acids research 43, e47, doi: 10.1093/nar/gkv007 (2015). Wu, T. et al. clusterProfiler 4.0: A universal enrichment tool for interpreting omics data. Innovation (Camb) 2, 100141, doi: 10.1016/j.xinn.2021.100141 (2021). Subramanian, A. et al. Gene set enrichment analysis: a knowledge-based approach for interpreting genome-wide expression profiles. Proceedings of the National Academy of Sciences of the United States of America 102, 15545-15550, doi: 10.1073/pnas.0506580102 (2005). Liberzon, A. et al. The Molecular Signatures Database (MSigDB) hallmark gene set collection. Cell Syst 1, 417-425, doi: 10.1016/j.cels.2015.12.004 (2015). Thevenot, E. A., Roux, A., Xu, Y., Ezan, E. & Junot, C. Analysis of the Human Adult Urinary Metabolome Variations with Age, Body Mass Index, and Gender by Implementing a Comprehensive Workflow for Univariate and OPLS Statistical Analyses. J Proteome Res 14, 3322-3335, doi: 10.1021/acs.jproteome.5b00354 (2015). Rusilowicz, M., Dickinson, M., Charlton, A., O'Keefe, S. & Wilson, J. A batch correction method for liquid chromatography-mass spectrometry data that does not depend on quality control samples. Metabolomics 12, 56, doi: 10.1007/sl l306- 0160972-2 (2016). Wehrens, R. et al. Improved batch correction in untargeted MS-based metabolomics. Metabolomics 12, 88, doi: 10.1007/s! 1306-016-1015-8 (2016). Rohart, F., Gautier, B., Singh, A. & Le Cao, K. A. mixOmics: An R package for 'omics feature selection and multiple data integration. PLoS Comput Biol 13, el005752, doi: 10.1371/joumal.pcbi.1005752 (2017). Siddiqui, J. K. et al. IntLIM: integration using linear models of metabolomics and gene expression data. BMC bioinformatics 19, 81, doi: 10.1186/sl2859-018-2085-6 (2018). Gu, Z., Eils, R. & Schlesner, M. Complex heatmaps reveal patterns and correlations in multidimensional genomic data. Bioinformatics 32, 2847-2849, doi : 10.1093/bioinformatics/btw313 (2016). Ono, K., Muetze, T., Kolishovski, G., Shannon, P. & Demchak, B. CyREST: Turbocharging Cytoscape Access for External Tools via a RESTful API. FlOOORes 4, 478, doi: 10.12688/flOOOresearch.6767.1 (2015). Gustavsen, J. A., Pai, S., Isserlin, R., Demchak, B. & Pico, A. R. RCy3: Network biology using Cytoscape from within R. FlOOORes 8, 1774, doi: 10.12688/flOOOresearch.20887.3 (2019). Shannon, P. et al. Cytoscape: a software environment for integrated models of biomolecular interaction networks. Genome research 13, 2498-2504, doi: 10.1101/gr.1239303 (2003). Haug, K. et al. MetaboLights: a resource evolving in response to the needs of its scientific community. Nucleic acids research 48, D440-D444, doi:10.1093/nar/gkzl019 (2020).

Claims

CLAIMS:
1. A method for treating senescence related disease in a subj ect in need thereof comprising administering said subject with a therapeutically effective amount of a modulator of Glycerol kinase (GK), Glycerol 3 phosphate phosphatase (G3PP), Ethanolamine- Phosphate Phospho-Lyase (ETNPPL) and/or Phosphate Cytidylyltransferase 2 (PCYT2).
2. The method according to claim 1, wherein, the modulator of Glycerol kinase (GK) is an inhibitor of GK.
3. The method according to claim 2, wherein, the inhibitor of GK is a peptide, peptidomimetic, small organic molecule, antibody, aptamers, siRNA or antisense oligonucleotide.
4. The method according to claim 2, wherein, the inhibitor of GK is thioglycerol and its derivatives thereof.
5. The method according to claim 1, wherein, the modulator of Glycerol 3 phosphate phosphatase (G3PP) is an activator of G3PP.
6. The method according to claim 1, wherein, the modulator of Phosphate Cytidylyltransferase 2 (PCYT2) is an activator of PCYT2.
7. The method according to claim 5, wherein, the activator of G3PP is a peptide, peptidomimetic, small organic molecule, antibody, cDNA or aptamers.
8. The method according to claim 6, wherein, the activator of PCYT2 is a peptide, peptidomimetic, small organic molecule, antibody, cDNA or aptamers.
9. The method according to claim 1, wherein, the modulator of Ethanolamine-Phosphate Phospho-Lyase (ETNPPL) is an activator of ETNPPL.
10. The method according to claim 9, wherein, the activator of ETNPPL is a peptide, peptidomimetic, small organic molecule, antibody, cDNA or aptamers.
11. The method according to claim 1, wherein the senescence related disease is selected from the group consisting of but not limited to: aging or chronic age- related pathology (e.g arthritis or osteoarthritis, osteoporosis and atherosclerosis); dysplastic or preneoplastic lesions, benign prostatic hyperplasia; normal and/or tumor tissues following DNA-damaging therapy; Alzheimer's disease, Parkinson's disease, cataracts, macular degeneration, glaucoma, atherosclerosis, acute coronary syndrome, myocardial infarction, stroke, hypertension, pulmonary fibrosis, kidney fibrosis, idiopathic pulmonary fibrosis (IPF), chronic obstructive pulmonary disease (COPD), osteoarthritis, osteoporosis, type 2 diabetes, obesity, fat dysfunction, coronary artery disease, cerebrovascular disease, periodontal disease; cancer treatment-related disability (e.g. atrophy and fibrosis in various tissues), brain and heart injury, and therapy-related myelodysplastic syndromes; Hutchinson-Gilford progeria syndrome, Werner syndrome, Cockayne syndrome, xeroderma pigmentosum, ataxia telangiectasia, Fanconi anemia, dyskeratosis congenital, aplastic anemia, idiopathic pulmonary fibrosis; cardiovascular diseases such as angina, aortic aneurysm, arrhythmia, brain aneurysm, cardiac diastolic dysfunction, cardiac fibrosis, cardiac stress resistance, cardiomyopathy, carotid artery disease, coronary thrombosis, endocarditis, hypercholesterolemia, hyperlipidemia, mitral valve prolapsed, and peripheral vascular disease; inflammatory or autoimmune diseases such as herniated intervertebral disc, inflammatory bowel disease, kyphosis, oral mucositis, lupus, interstital cystitis, scleroderma, and alopecia; neurodegenerative diseases such as dementia, Huntington's disease, motor neuron dysfunction, age-related memory decline, and depression/mood disorders; metabolic diseases such as diabetic ulcer and metabolic syndrome; pulmonary diseases such as age-related loss of pulmonary function, asthma, bronchiectasis, cystic fibrosis, emphysema, and age-associated sleep apnea; gastrointestinal diseases such as Barrett's esophagus; age-related disorders such as liver fibrosis, muscle fatigue, oral submucosa fibrosis, pancreatic fibrosis, benign prostatic hyperplasia (BPH), and age-related sleep disorders; reproductive disorders such as menopause (male and female), egg supply (female), sperm viability (male), fertility (male and female), sex drive, and erectile function and arousal (male and female); dermatological diseases such as atopic dermatitis, cutaneous lupus, cutaneous lymphomas, dysesthesia, eczema, eczematous eruptions, eosinophilic dermatosis, fibrohistocytic proliferations of skin, hyperpigmentation, immunobullous dermatosis, nevi, pemphigoid, pemphigus, pruritis, psoriasis, rashes, reactive neutrophilic dermatosis, rhytides, and urticarial; and other diseases such as wound healing, diabetic wound healing, post-transplant kidney fibrosis, cancers and carotid thrombosis.
12. A pharmaceutical composition comprising a modulator of GK, G3PP, ETNPPL and/or PYCT2 for use in the treatment of senescence related disease.
PCT/EP2024/0625592023-05-102024-05-07Compositions for treating senescence related diseasePendingWO2024231384A1 (en)

Applications Claiming Priority (2)

Application NumberPriority DateFiling DateTitle
EP233151822023-05-10
EP23315182.82023-05-10

Publications (1)

Publication NumberPublication Date
WO2024231384A1true WO2024231384A1 (en)2024-11-14

Family

ID=86692830

Family Applications (1)

Application NumberTitlePriority DateFiling Date
PCT/EP2024/062559PendingWO2024231384A1 (en)2023-05-102024-05-07Compositions for treating senescence related disease

Country Status (1)

CountryLink
WO (1)WO2024231384A1 (en)

Cited By (1)

* Cited by examiner, † Cited by third party
Publication numberPriority datePublication dateAssigneeTitle
CN119916004A (en)*2025-01-232025-05-02百欧派(天津)生物技术有限公司 Application of reagents for detecting aging-related metabolites in the preparation of products for detecting mammalian aging

Citations (29)

* Cited by examiner, † Cited by third party
Publication numberPriority datePublication dateAssigneeTitle
WO2003063792A2 (en)2002-01-302003-08-07The Brigham And Women's Hospital, Inc.Compositions and methods related to tim-3, a th1-specific cell surface molecule
WO2004004771A1 (en)2002-07-032004-01-15Ono Pharmaceutical Co., Ltd.Immunopotentiating compositions
WO2004056875A1 (en)2002-12-232004-07-08WyethAntibodies against pd-1 and uses therefor
WO2006121168A1 (en)2005-05-092006-11-16Ono Pharmaceutical Co., Ltd.Human monoclonal antibodies to programmed death 1(pd-1) and methods for treating cancer using anti-pd-1 antibodies alone or in combination with other immunotherapeutics
WO2007005874A2 (en)2005-07-012007-01-11Medarex, Inc.Human monoclonal antibodies to programmed death ligand 1 (pd-l1)
US7432059B2 (en)2000-06-282008-10-07Dana-Farber Cancer Institute, Inc.Methods of identifying compounds that upmodulate T cell activation in the presence of a PD-1 mediated signal
WO2008156712A1 (en)2007-06-182008-12-24N. V. OrganonAntibodies to human programmed death receptor pd-1
WO2009054864A1 (en)2007-10-262009-04-30Rigel Pharmaceuticals, Inc.Polycyclic aryl substituted triazoles and polycyclic heteroaryl substituted triazoles useful as axl inhibitors
WO2009114335A2 (en)2008-03-122009-09-17Merck & Co., Inc.Pd-1 binding proteins
WO2010036959A2 (en)2008-09-262010-04-01Dana-Farber Cancer InstituteHuman anti-pd-1, pd-l1, and pd-l2 antibodies and uses therefor
WO2010077634A1 (en)2008-12-092010-07-08Genentech, Inc.Anti-pd-l1 antibodies and their use to enhance t-cell function
WO2010089411A2 (en)2009-02-092010-08-12Universite De La MediterraneePd-1 antibodies and pd-l1 antibodies and uses thereof
WO2010117057A1 (en)2009-04-102010-10-14協和発酵キリン株式会社Method for treatment of blood tumor using anti-tim-3 antibody
WO2011066389A1 (en)2009-11-242011-06-03Medimmmune, LimitedTargeted binding agents against b7-h1
WO2011082400A2 (en)2010-01-042011-07-07President And Fellows Of Harvard CollegeModulators of immunoinhibitory receptor pd-1, and methods of use thereof
WO2011110621A1 (en)2010-03-112011-09-15Ucb Pharma, S.A.Biological products: humanised agonistic anti-pd-1 antibodies
WO2011155607A1 (en)2010-06-112011-12-15協和発酵キリン株式会社Anti-tim-3 antibody
WO2013006490A2 (en)2011-07-012013-01-10Cellerant Therapeutics, Inc.Antibodies that specifically bind to tim3
WO2013079174A1 (en)2011-11-282013-06-06Merck Patent GmbhAnti-pd-l1 antibodies and uses thereof
US8617546B2 (en)2008-10-022013-12-31Seoul National University Industry FoundationAnticancer agent comprising anti-PD-1 antibody or anti-PD-L1 antibody
WO2014055648A1 (en)2012-10-022014-04-10Bristol-Myers Squibb CompanyCombination of anti-kir antibodies and anti-pd-1 antibodies to treat cancer
WO2014055897A2 (en)2012-10-042014-04-10Dana-Farber Cancer Institute, Inc.Human monoclonal anti-pd-l1 antibodies and methods of use
WO2014150677A1 (en)2013-03-152014-09-25Bristol-Myers Squibb CompanyInhibitors of indoleamine 2,3-dioxygenase (ido)
WO2014194302A2 (en)2013-05-312014-12-04Sorrento Therapeutics, Inc.Antigen binding proteins that bind pd-1
WO2014195852A1 (en)2013-06-032014-12-11Glaxosmithkline Intellectual Property (No.2) LimitedCombinations of an anti-pd-l1 antibody and a mek inhibitor and/or a braf inhibitor
WO2015035606A1 (en)2013-09-132015-03-19Beigene, Ltd.Anti-pd1 antibodies and their use as therapeutics and diagnostics
WO2015048520A1 (en)2013-09-272015-04-02Genentech, Inc.Anti-pdl1 antibody formulations
WO2015117002A1 (en)2014-01-312015-08-06Novartis AgAntibody molecules to tim-3 and uses thereof
WO2015116735A1 (en)*2014-01-282015-08-06Mayo Foundation For Medical Education And ResearchMethods and combinations for killing senescent cells and for treating senescence-associated diseases and disorders

Patent Citations (31)

* Cited by examiner, † Cited by third party
Publication numberPriority datePublication dateAssigneeTitle
US7432059B2 (en)2000-06-282008-10-07Dana-Farber Cancer Institute, Inc.Methods of identifying compounds that upmodulate T cell activation in the presence of a PD-1 mediated signal
US7709214B2 (en)2000-06-282010-05-04Dana-Farber Cancer Institute, Inc.Methods for upregulating an immune response with agents that inhibit the intereaction between PD-L2 and PD-1
WO2003063792A2 (en)2002-01-302003-08-07The Brigham And Women's Hospital, Inc.Compositions and methods related to tim-3, a th1-specific cell surface molecule
WO2004004771A1 (en)2002-07-032004-01-15Ono Pharmaceutical Co., Ltd.Immunopotentiating compositions
WO2004056875A1 (en)2002-12-232004-07-08WyethAntibodies against pd-1 and uses therefor
WO2006121168A1 (en)2005-05-092006-11-16Ono Pharmaceutical Co., Ltd.Human monoclonal antibodies to programmed death 1(pd-1) and methods for treating cancer using anti-pd-1 antibodies alone or in combination with other immunotherapeutics
WO2007005874A2 (en)2005-07-012007-01-11Medarex, Inc.Human monoclonal antibodies to programmed death ligand 1 (pd-l1)
WO2008156712A1 (en)2007-06-182008-12-24N. V. OrganonAntibodies to human programmed death receptor pd-1
WO2009054864A1 (en)2007-10-262009-04-30Rigel Pharmaceuticals, Inc.Polycyclic aryl substituted triazoles and polycyclic heteroaryl substituted triazoles useful as axl inhibitors
WO2009114335A2 (en)2008-03-122009-09-17Merck & Co., Inc.Pd-1 binding proteins
US8552154B2 (en)2008-09-262013-10-08Emory UniversityAnti-PD-L1 antibodies and uses therefor
WO2010036959A2 (en)2008-09-262010-04-01Dana-Farber Cancer InstituteHuman anti-pd-1, pd-l1, and pd-l2 antibodies and uses therefor
US8617546B2 (en)2008-10-022013-12-31Seoul National University Industry FoundationAnticancer agent comprising anti-PD-1 antibody or anti-PD-L1 antibody
WO2010077634A1 (en)2008-12-092010-07-08Genentech, Inc.Anti-pd-l1 antibodies and their use to enhance t-cell function
WO2010089411A2 (en)2009-02-092010-08-12Universite De La MediterraneePd-1 antibodies and pd-l1 antibodies and uses thereof
WO2010117057A1 (en)2009-04-102010-10-14協和発酵キリン株式会社Method for treatment of blood tumor using anti-tim-3 antibody
WO2011066389A1 (en)2009-11-242011-06-03Medimmmune, LimitedTargeted binding agents against b7-h1
WO2011082400A2 (en)2010-01-042011-07-07President And Fellows Of Harvard CollegeModulators of immunoinhibitory receptor pd-1, and methods of use thereof
WO2011110621A1 (en)2010-03-112011-09-15Ucb Pharma, S.A.Biological products: humanised agonistic anti-pd-1 antibodies
WO2011155607A1 (en)2010-06-112011-12-15協和発酵キリン株式会社Anti-tim-3 antibody
WO2013006490A2 (en)2011-07-012013-01-10Cellerant Therapeutics, Inc.Antibodies that specifically bind to tim3
WO2013079174A1 (en)2011-11-282013-06-06Merck Patent GmbhAnti-pd-l1 antibodies and uses thereof
WO2014055648A1 (en)2012-10-022014-04-10Bristol-Myers Squibb CompanyCombination of anti-kir antibodies and anti-pd-1 antibodies to treat cancer
WO2014055897A2 (en)2012-10-042014-04-10Dana-Farber Cancer Institute, Inc.Human monoclonal anti-pd-l1 antibodies and methods of use
WO2014150677A1 (en)2013-03-152014-09-25Bristol-Myers Squibb CompanyInhibitors of indoleamine 2,3-dioxygenase (ido)
WO2014194302A2 (en)2013-05-312014-12-04Sorrento Therapeutics, Inc.Antigen binding proteins that bind pd-1
WO2014195852A1 (en)2013-06-032014-12-11Glaxosmithkline Intellectual Property (No.2) LimitedCombinations of an anti-pd-l1 antibody and a mek inhibitor and/or a braf inhibitor
WO2015035606A1 (en)2013-09-132015-03-19Beigene, Ltd.Anti-pd1 antibodies and their use as therapeutics and diagnostics
WO2015048520A1 (en)2013-09-272015-04-02Genentech, Inc.Anti-pdl1 antibody formulations
WO2015116735A1 (en)*2014-01-282015-08-06Mayo Foundation For Medical Education And ResearchMethods and combinations for killing senescent cells and for treating senescence-associated diseases and disorders
WO2015117002A1 (en)2014-01-312015-08-06Novartis AgAntibody molecules to tim-3 and uses thereof

Non-Patent Citations (86)

* Cited by examiner, † Cited by third party
Title
AL-MASS, A. ET AL.: "Glycerol-3-phosphate phosphatase operates a glycerol shunt in pancreatic beta-cells that controls insulin secretion and metabolic stress", MOL METAB, vol. 60, 2022, pages 101471
AL-MASS, A. ET AL.: "Hepatic glycerol shunt and glycerol-3-phosphate phosphatase control liver metabolism and glucodetoxification under hyperglycemia", MOL METAB, vol. 66, 2022, pages 101609
BARAIBAR, M. A. ET AL.: "Impaired energy metabolism of senescent muscle satellite cells is associated with oxidative modifications of glycolytic enzymes", AGING, vol. 8, 2016, pages 3375 - 3389
BASISTY, N. ET AL.: "A proteomic atlas of senescence-associated secretomes for aging biomarker development", PLOS BIOL, vol. 18, 2020, pages e3000599
BENIT, P. ET AL.: "Three spectrophotometric assays for the measurement of the five respiratory chain complexes in minuscule biological samples", CLIN CHIM ACTA, vol. 374, 2006, XP025058965, DOI: 10.1016/j.cca.2006.05.034
BLAGOSKLONNY, M. V.: "Geroconversion: irreversible step to cellular senescence", CELL CYCLE, vol. 13, 2014, pages 3628 - 3635
CARVALHO, B. S.IRIZARRY, R. A.: "A framework for oligonucleotide microarray preprocessing", BIOINFORMATICS, vol. 26, 2010, pages 2363 - 2367
CHAN, M. ET AL.: "Novel insights from a multiomics dissection of the Hayflick limit", ELIFE, vol. 11, 2022
CHEN, R.PLOUFFE, S. W.GUAN, K. L.: "Determining the Phosphorylation Status of Hippo Components YAP and TAZ Using Phos-tag", METHODS IN MOLECULAR BIOLOGY, vol. 1893, 2019, pages 281 - 287
CHILDS, B. G. ET AL.: "Senescent cells: an emerging target for diseases of ageing.", NAT REV DRUG DISCOV, vol. 16, 2017, pages 718 - 735, XP055979258, DOI: 10.1038/nrd.2017.116
CIKES DOMAGOJ ET AL: "PCYT2 controls muscle health and muscle aging", BIORXIV, 12 March 2023 (2023-03-12), pages 1 - 67, XP093043317, Retrieved from the Internet <URL:https://www.biorxiv.org/content/10.1101/2022.03.02.482658v1> [retrieved on 20230501], DOI: 10.1101/2022.03.02.482658*
CIKES, D. ET AL.: "PCYT2-regulated lipid biosynthesis is critical to muscle health and ageing.", NAT METAB, vol. 5, 2023, pages 495 - 515, XP093084559, DOI: 10.1038/s42255-023-00766-2
DIMRI, G. P. ET AL.: "A biomarker that identifies senescent human cells in culture and in aging skin in vivo.", PROCEEDINGS OF THE NATIONAL ACADEMY OF SCIENCES OF THE UNITED STATES OF AMERICA, vol. 92, 1995, pages 9363 - 9367, XP009065201, DOI: 10.1073/pnas.92.20.9363
FAFIAN-LABORA, J. ET AL.: "FASN activity is important for the initial stages of the induction of senescence", CELL DEATH & DISEASE, vol. 10, 2019, pages 318
FLOR, A. C.WOLFGEHER, D.WU, D.KRON, S. J.: "A signature of enhanced lipid metabolism, lipid peroxidation and aldehyde stress in therapy-induced senescence", CELL DEATH DISCOV, vol. 3, 2017, pages 17075
FONTANA, D. ET AL.: "ETNK1 mutations induce a mutator phenotype that can be reverted with phosphoethanolamine.", NATURE COMMUNICATIONS, vol. 11, 2020, pages 5938
GOHIL, V. M. ET AL.: "Meclizine inhibits mitochondrial respiration through direct targeting of cytosolic phosphoethanolamine metabolism", THE JOURNAL OF BIOLOGICAL CHEMISTRY, vol. 288, 2013, pages 35387 - 35395
GOLDSTEIN, I. ET AL.: "p53 promotes the expression of gluconeogenesis-related genes and enhances hepatic glucose production", CANCER METAB, vol. 1, 2013, pages 9, XP021140503, DOI: 10.1186/2049-3002-1-9
GORGOULIS, V. ET AL.: "Cellular Senescence: Defining a Path Forward.", CELL, vol. 179, 2019, pages 813 - 827, XP085886747, DOI: 10.1016/j.cell.2019.10.005
GRAPENTINE, S. ET AL.: "Pcyt2 deficiency causes age-dependant development of nonalcoholic steatohepatitis and insulin resistance that could be attenuated with phosphoethanolamine", SCI REP, vol. 12, 2022, pages 1048
GU, Z.EILS, R.SCHLESNER, M.: "Complex heatmaps reveal patterns and correlations in multidimensional genomic data", BIOINFORMATICS, vol. 32, 2016, pages 2847 - 2849
GUSTAVSEN, J. A.PAI, S.ISSERLIN, R.DEMCHAK, B.PICO, A. R.: "RCy3: Network biology using Cytoscape from within R", F 1000RES, vol. 8, 2019, pages 1774
HARRISON, D. E. ET AL.: "Rapamycin fed late in life extends lifespan in genetically heterogeneous mice.", NATURE, vol. 460, 2009, pages 392 - 395, XP002689994, DOI: 10.1038/nature08221
HAUG, K. ET AL.: "MetaboLights: a resource evolving in response to the needs of its scientific community.", NUCLEIC ACIDS RESEARCH, vol. 48, 2020, pages D440 - D444
HERNANDEZ-SEGURA, A. ET AL.: "Unmasking Transcriptional Heterogeneity in Senescent Cells", CURRENT BIOLOGY : CB, vol. 27, 2017, pages 2652 - 2660
HIBUSE, T. ET AL.: "Aquaporin 7 deficiency is associated with development of obesity through activation of adipose glycerol kinase.", PROCEEDINGS OF THE NATIONAL ACADEMY OF SCIENCES OF THE UNITED STATES OF AMERICA, vol. 102, 2005, pages 10993 - 10998
HOSIOS, A. M. ET AL.: "mTORCl regulates a lysosome-dependent adaptive shift in intracellular lipid species.", NAT METAB, vol. 4, 2022, pages 1792 - 1811
HU, S. ET AL.: "Stabilization of HIF-lalpha alleviates osteoarthritis via enhancing mitophagy.", CELL DEATH & DISEASE, vol. 11, 2020, pages 481
JIANG, P.DU, W.MANCUSO, A.WELLEN, K. E.YANG, X.: "Reciprocal regulation of p53 and malic enzymes modulates metabolism and senescence.", NATURE, vol. 493, 2013, pages 689 - 693
JOHMURA, Y. ET AL.: "Senolysis by glutaminolysis inhibition ameliorates various ageassociated disorders.", SCIENCE, vol. 371, 2021, pages 265 - 270, XP093095033, DOI: 10.1126/science.abb5916
JOHNSON, W. E.LI, C.RABINOVIC, A.: "Adjusting batch effects in microarray expression data using empirical Bayes methods", BIOSTATISTICS, vol. 8, 2007, pages 118 - 127, XP055067729, DOI: 10.1093/biostatistics/kxj037
KAMBUROV, A.CAVILL, R.EBBELS, T. M.HERWIG, R.KEUN, H. C.: "Integrated pathway-level analysis of transcriptomics and metabolomics data with IMPaLA", BIOINFORMATICS, vol. 27, 2011, pages 2917 - 2918
KAMPHORST, J. J. ET AL.: "Hypoxic and Ras-transformed cells support growth by scavenging unsaturated fatty acids from lysophospholipids.", PROCEEDINGS OF THE NATIONAL ACADEMY OF SCIENCES OF THE UNITED STATES OF AMERICA, vol. 110, 2013, pages 8882 - 8887, XP055292661, DOI: 10.1073/pnas.1307237110
KANEHISA, M.GOTO, S.: "KEGG: kyoto encyclopedia of genes and genomes.", NUCLEIC ACIDS RESEARCH, vol. 28, 2000, pages 27 - 30, XP055322110, DOI: 10.1093/nar/28.1.27
KIM, W. ET AL.: "Polyunsaturated Fatty Acid Desaturation Is a Mechanism for Glycolytic NAD(+) Recycling", CELL METABOLISM, vol. 29, 2019, pages 856 - 870,e857
KUMAR, V. ET AL.: "A keratin scaffold regulates epidermal barrier formation, mitochondrial lipid composition, and activity", THE JOURNAL OF CELL BIOLOGY, vol. 211, 2015, pages 10571075
LANGFELDER, P.HORVATH, S.: "WGCNA: an R package for weighted correlation network analysis", BMC BIOINFORMATICS, vol. 9, 2008, pages 559, XP021047563, DOI: 10.1186/1471-2105-9-559
LEE, S. J.MURPHY, C. T.KENYON, C.: "Glucose shortens the life span of C. elegans by downregulating DAF-16/FOXO activity and aquaporin gene expression", CELL METABOLISM, vol. 10, 2009, pages 379 - 391, XP055138097, DOI: 10.1016/j.cmet.2009.10.003
LEEK, J. T.JOHNSON, W. E.PARKER, H. S.JAFFE, A. E.STOREY, J. D.: "The sva package for removing batch effects and other unwanted variation in high-throughput experiments", BIOINFORMATICS, vol. 28, 2012, pages 882 - 883, XP093097004, DOI: 10.1093/bioinformatics/bts034
LIBERZON, A. ET AL.: "The Molecular Signatures Database (MSigDB) hallmark gene set collection", CELL SYST, vol. 1, 2015, pages 417 - 425, XP093098081, DOI: 10.1016/j.cels.2015.12.004
LOSMAN, J. A.KOIVUNEN, P.KAELIN, W. G., JR.: "2-Oxoglutarate-dependent dioxygenases in cancer.", NATURE REVIEWS. CANCER, vol. 20, 2020, pages 710 - 726, XP037303197, DOI: 10.1038/s41568-020-00303-3
MANNI, W.JIANXIN, X.WEIQI, H.SIYUAN, C.HUASHAN, S.: "JMJD family proteins in cancer and inflammation.", SIGNAL TRANSDUCT TARGET THER, vol. 7, 2022, pages 304
MARSCHALLINGER, J. ET AL.: "Lipid-droplet-accumulating microglia represent a dysfunctional and proinflammatory state in the aging brain.", NAT NEUROSCI, vol. 23, 2020, pages 194 - 208, XP037523252, DOI: 10.1038/s41593-019-0566-1
MARTINEZ-ZAMUDIO, R. I. ET AL.: "AP-1 imprints a reversible transcriptional programme of senescent cells.", NATURE CELL BIOLOGY, vol. 22, 2020, pages 842 - 855, XP037261010, DOI: 10.1038/s41556-020-0529-5
MELLMAN ET AL., NATURE, vol. 480, 2011, pages 480 - 489
MORRIS, J. P. T. ET AL.: "alpha-Ketoglutarate links p53 to cell fate during tumour suppression.", NATURE, vol. 573, 2019, pages 595 - 599
MUGABO, Y.: "Role in metabolism and signaling in pancreatic beta-cells and hepatocytes.", PROCEEDINGS OF THE NATIONAL ACADEMY OF SCIENCES OF THE UNITED STATES OF AMERICA, vol. 113, 2016, pages E430 - 439, XP055362026, DOI: 10.1073/pnas.1514375113
NEUROHR, G. E. ET AL.: "Excessive Cell Growth Causes Cytoplasm Dilution And Contributes to Senescence.", CELL, vol. 176, 2019, pages 1083 - 1097
OGRODNIK, M.: " Obesity-Induced Cellular Senescence Drives Anxiety and Impairs Neurogenesis", CELL METABOLISM, vol. 29, 2019, pages 1233
ONO, K., MUETZE, T., KOLISHOVSKI, G., SHANNON, P., DEMCHAK, B.: "Turbocharging Cytoscape Access for External Tools via a RESTful API", F 1000RES, vol. 4, 2015, pages 478
OZBALCI, C.SACHSENHEIMER, T.BRUGGER, B.: "Quantitative analysis of cellular lipids by nano-electrospray ionization mass spectrometry", METHODS IN MOLECULAR BIOLOGY, vol. 1033, 2013, pages 3 - 20
PARDOLL, 2012., NATURE REV CANCER, vol. 12, no. 96-27-5, pages 252 - 264
PAVLOVIC, Z. ET AL.: "Isoform-specific and protein kinase C-mediated regulation of CTP:phosphoethanolamine cytidylyltransferase phosphorylation", THE JOURNAL OF BIOLOGICAL CHEMISTRY, vol. 289, 2014, pages 9053 - 9064
PAVLOVIC, Z.BAKOVIC, M.: "Regulation of Phosphatidylethanolamine Homeostasis—The Critical Role of CTP:Phosphoethanolamine Cytidylyltransferase (Pcyt2", INT JMOL SCI, vol. 14, 2013, pages 2529 - 2550
POSPELOVA, T. V. ET AL.: "Suppression of replicative senescence by rapamycin in rodent embryonic cells", CELL CYCLE, vol. 11, 2012, pages 2402 - 2407, XP055561163, DOI: 10.4161/cc.20882
POSSIK, E. ET AL.: "New Mammalian Glycerol-3-Phosphate Phosphatase: Role in betaCell, Liver and Adipocyte Metabolism", FRONT ENDOCRINOL (LAUSANNE, vol. 12, 2021, pages 706607
POSSIK, E. ET AL.: "Phosphoglycolate phosphatase homologs act as glycerol-3-phosphate phosphatase to control stress and healthspan in C. elegans.", NATURE COMMUNICATIONS, vol. 13, 2022, pages 177
QUIJANO, C. ET AL.: "Oncogene-induced senescence results in marked metabolic and bioenergetic alterations", CELL CYCLE, vol. 11, 2012, pages 1383 - 1392
RASMUSSEN, K. D.HELIN, K.: "Role of TET enzymes in DNA methylation, development, and cancer", GENES & DEVELOPMENT, vol. 30, 2016, pages 733 - 750
RITCHIE, M. E. ET AL.: "limma powers differential expression analyses for RNAsequencing and microarray studies.", NUCLEIC ACIDS RESEARCH, vol. 43, 2015, pages e47
ROCCIO, F. ET AL.: "Monitoring lipophagy in kidney epithelial cells in response to shear stress", METHODS CELL BIOL, vol. 164, 2021, pages 11 - 25
ROH, K. ET AL.: "Lysosomal control of senescence and inflammation through cholesterol partitioning.", NAT METAB, 2023
ROMANI, P. ET AL.: "Extracellular matrix mechanical cues regulate lipid metabolism through Lipin-1 and SREBP.", NATURE CELL BIOLOGY, vol. 21, 2019, pages 338 - 347, XP036715658, DOI: 10.1038/s41556-018-0270-5
RUSILOWICZ, M.DICKINSON, M.CHARLTON, A.O'KEEFE, S.WILSON, J.: "A batch correction method for liquid chromatography-mass spectrometry data that does not depend on quality control samples", METABOLOMICS, vol. 12, 2016, pages 56
SAITOU, M. ET AL.: "An evolutionary transcriptomics approach links CD36 to membrane remodeling in replicative senescence", MOL OMICS, vol. 14, 2018, pages 237 - 246
SANTINON, G. ET AL.: "dNTP metabolism links mechanical cues and YAP/TAZ to cell growth and oncogene-induced senescence", THE EMBO JOURNAL, vol. 37, 2018
SCHIROLI, D.PERACCHI, A.: "A subfamily of PLP-dependent enzymes specialized in handling terminal amines.", BIOCHIMICA ET BIOPHYSICA ACTA, vol. 1854, 2015, pages 1200 - 1211
SELTZER W K ET AL: "1-thioglycerol: Inhibitor of glycerol kinase activity in vitro and in situ", LIFE SCIENCE, PERGAMON PRESS, OXFORD, GB, vol. 39, no. 16, 20 October 1986 (1986-10-20), pages 1417 - 1424, XP023742085, ISSN: 0024-3205, [retrieved on 19861020], DOI: 10.1016/0024-3205(86)90545-X*
SELTZER, W. K., DHARIWAL, G., MCKELVEY, H. A. , MCCABE, E. R.: " 1-Thioglycerol: inhibitor of glycerol kinase activity in vitro and in situ", LIFE SCIENCES, vol. 39, 1986, pages 1417 - 1424, XP023742085, DOI: 10.1016/0024-3205(86)90545-X
SHANNON, P. ET AL.: "Cytoscape: a software environment for integrated models of biomolecular interaction networks", GENOME RESEARCH, vol. 13, 2003, pages 2498 - 2504, XP055105995, DOI: 10.1101/gr.1239303
SIDDIQUI, J. K. ET AL.: "IntLIM: integration using linear models of metabolomics and gene expression data", BMC BIOINFORMATICS, vol. 19, 2018, pages 81
SINGH, R. K.FULLERTON, M. D.VINE, D.BAKOVIC, M.: "Mechanism of hypertriglyceridemia in CTP:phosphoethanolamine cytidylyltransferase-deficient mice", J LIPID RES, vol. 53, 2012, pages 1811 - 1822, XP093084445, DOI: 10.1194/jlr.M021881
SUBRAMANIAN, A. ET AL.: "Gene set enrichment analysis: a knowledge-based approach for interpreting genome-wide expression profiles", PROCEEDINGS OF THE NATIONAL ACADEMY OF SCIENCES OF THE UNITED STATES OF AMERICA, vol. 102, 2005, pages 15545 - 15550, XP002464143, DOI: 10.1073/pnas.0506580102
TAYLOR, A.GRAPENTINE, S.ICHHPUNIANI, J.BAKOVIC, M.: "Choline transporter-like proteins 1 and 2 are newly identified plasma membrane and mitochondrial ethanolamine transporters", THE JOURNAL OF BIOLOGICAL CHEMISTRY, vol. 296, 2021, pages 100604
THEVENOT, E. A., ROUX, A., XU, Y., EZAN, E., JUNOT, C.: "Analysis of the Human Adult Urinary Metabolome Variations with Age, Body Mass Index, and Gender by Implementing a Comprehensive Workflow for Univariate and OPLS Statistical Analyses", J PROTEOME RES, vol. 14, 2015, pages 3322 - 3335
UNTERLUGGAUER, H. ET AL.: "Premature senescence of human endothelial cells induced by inhibition of glutaminase", BIOGERONTOLOGY, vol. 9, 2008, pages 247 - 259, XP019599810
VAN VLIET, T. ET AL.: "Physiological hypoxia restrains the senescence-associated secretory phenotype via AMPK-mediated mTOR suppression", MOLECULAR CELL, vol. 81, 2021, pages 2041 - 2052
VASSILEV, L. T. ET AL.: "In vivo activation of the p53 pathway by small-molecule antagonists of MDM2.", SCIENCE, vol. 303, 2004, pages 844 - 848, XP002508999, DOI: 10.1126/science.1092472
WEHRENS, R. ET AL.: "Improved batch correction in untargeted MS-based metabolomics", METABOLOMICS, vol. 12, 2016, pages 88
WICHELECKI, D. J. ET AL.: "Discovery of function in the enolase superfamily: Dmannonate and d-gluconate dehydratases in the D-mannonate dehydratase subgroup.", BIOCHEMISTRY, vol. 53, 2014, pages 2722 - 2731
WILEY, C. D. ET AL.: "Mitochondrial Dysfunction Induces Senescence with a Distinct Secretory Phenotype", CELL METABOLISM, vol. 23, 2016, pages 303 - 314, XP055586276, DOI: 10.1016/j.cmet.2015.11.011
WILEY, C. D.CAMPISI: "J. The metabolic roots of senescence: mechanisms and opportunities for intervention", NAT METAB, vol. 3, 2021, pages 1290 - 1301
WU, S. K.ARIFFIN, J.TAY, S. C.PICONE, R.: "The variant senescence-associated secretory phenotype induced by centrosome amplification constitutes a pathway that activates hypoxia-inducible factor-1 alpha", AGING CELL, vol. 22, 2023, pages e13766
WU, T. ET AL.: "clusterProfiler 4.0: A universal enrichment tool for interpreting omics data", INNOVATION (CAMB, vol. 2, 2021, pages 100141
ZHDANOV, A. V.OKKELMAN, I. A.COLLINS, F. W.MELGAR, S.PAPKOVSKY, D. B.: "A novel effect of DMOG on cell metabolism: direct inhibition of mitochondrial function precedes HIF target gene expression.", BIOCHIMICA ET BIOPHYSICA ACTA, vol. 1847, 2015, pages 1254 - 1266
ZWERSCHKE, W. ET AL.: "Metabolic analysis of senescent human fibroblasts reveals a role for AMP in cellular senescence", THE BIOCHEMICAL JOURNAL, vol. 376, 2003, pages 403 - 411

Cited By (1)

* Cited by examiner, † Cited by third party
Publication numberPriority datePublication dateAssigneeTitle
CN119916004A (en)*2025-01-232025-05-02百欧派(天津)生物技术有限公司 Application of reagents for detecting aging-related metabolites in the preparation of products for detecting mammalian aging

Similar Documents

PublicationPublication DateTitle
Mossmann et al.Arginine reprograms metabolism in liver cancer via RBM39
Chung et al.Integrated metabolic and epigenomic reprograming by H3K27M mutations in diffuse intrinsic pontine gliomas
Hu et al.Mutational landscape of secondary glioblastoma guides MET-targeted trial in brain tumor
Chen et al.Tumor-associated macrophages are shaped by intratumoral high potassium via Kir2. 1
Paul et al.Coenzyme A fuels T cell anti-tumor immunity
Zhao et al.STIM1 is a metabolic checkpoint regulating the invasion and metastasis of hepatocellular carcinoma
Hulea et al.Translational and HIF-1α-dependent metabolic reprogramming underpin metabolic plasticity and responses to kinase inhibitors and biguanides
Tan et al.Targeting CPT1A-mediated fatty acid oxidation sensitizes nasopharyngeal carcinoma to radiation therapy
Papathanassiu et al.BCAT1 controls metabolic reprogramming in activated human macrophages and is associated with inflammatory diseases
Xihua et al.Circulating miR-143-3p inhibition protects against insulin resistance in Metabolic Syndrome via targeting of the insulin-like growth factor 2 receptor
Tighanimine et al.A homoeostatic switch causing glycerol-3-phosphate and phosphoethanolamine accumulation triggers senescence by rewiring lipid metabolism
Lv et al.EGFR promotes ALKBH5 nuclear retention to attenuate N6-methyladenosine and protect against ferroptosis in glioblastoma
Li et al.MiR-362-3p inhibits the proliferation and migration of vascular smooth muscle cells in atherosclerosis by targeting ADAMTS1
Du et al.A PRMT5-RNF168-SMURF2 axis controls h2ax proteostasis
Audano et al.Zc3h10 is a novel mitochondrial regulator
Sinam et al.Pyruvate dehydrogenase kinase 4 promotes ubiquitin–proteasome system‐dependent muscle atrophy
Zhang et al.Identification of novel adipokines through proteomic profiling of small extracellular vesicles derived from adipose tissue
Tian et al.Melatonin inhibits RANKL-induced osteoclastogenesis through the miR-882/Rev-erbα axis in Raw264. 7 cells
WO2024231384A1 (en)Compositions for treating senescence related disease
Pitera et al.Cellular responses to halofuginone reveal a vulnerability of the GCN2 branch of the integrated stress response
Liu et al.INSR mediated by transcription factor KLF4 and DNA methylation ameliorates osteoarthritis progression via inactivation of JAK2/STAT3 signaling pathway
Yang et al.Nicotinamide N-methyltransferase remodeled cell metabolism and aggravated proinflammatory responses by activating STAT3/IL1β/PGE2 pathway
Masibag et al.Pharmacological targeting of Sam68 functions in colorectal cancer stem cells
Lin et al.Disrupted methionine cycle triggers muscle atrophy in cancer cachexia through epigenetic regulation of REDD1
Fujinuma et al.FOXK1 promotes nonalcoholic fatty liver disease by mediating mTORC1-dependent inhibition of hepatic fatty acid oxidation

Legal Events

DateCodeTitleDescription
121Ep: the epo has been informed by wipo that ep was designated in this application

Ref document number:24725122

Country of ref document:EP

Kind code of ref document:A1


[8]ページ先頭

©2009-2025 Movatter.jp