LIPIDS AND LIPID NANOPARTICLE COMPOSITIONS
FOR DELIVERING POLYNUCLEOTIDES
BACKGROUND
[1] In the past few decades, nucleic acid therapeutics has rapidly expanded and has become the basis for treating a wide variety of diseases. Nucleic acid therapies available include, but are not limited to, the use of DNA or viral vectors for insertion of desired genetic information into the host cell, and/or RNA constructed to encode for a therapeutic protein. DNA and viral vector deliveries carry their own setbacks and challenges that make them less favorable to RNA therapeutics. For example, the introduced DNA in some cases may be unintentionally inserted into an intact gene and result in a mutation that impede or even wholly eliminate the function of the endogenous gene leading to an elimination or deleteriously reduced production of an essential enzyme or interruption of a gene critical for the regulating cell growth. Viral vector-based therapies can result in an adverse immune response. Compared to DNA or viral vectors, RNA is substantially safer and more effective gene therapy agent due to its ability to encode for the protein outside of the nucleus to perform its function. With this, the RNA does not involve the risk of being stably integrated into the genome of the transfected cell.
[2] RNA therapeutics conventionally has consisted of engineering linear messenger RNAs (mRNA). Although more effective than DNA or viral vectors, linear mRNAs have their own set of challenges regarding stability, immunogenicity, translation efficiency, and delivery. Some of these challenges may lead to size restraints and/or destruction of the linear mRNA due to the challenges present with linear mRNAs’ caps. To overcome these limitations, circular polynucleotides or circular RNAs may be used. Due to being covalently closed continuous loops, circular RNAs are useful in the design and production of stable forms of RNA. The circularization of an RNA molecule provides an advantage to the study of RNA structure and function, especially in the case of molecules that are prone to folding in an inactive conformation (Wang and Ruffner, 1998). Circular RNA can also be particularly interesting and useful for in vivo applications, especially in the research area of RNA-based control of gene expression and therapeutics, including protein replacement therapy and vaccination.
[3] To further promote effective delivery of the RNA polynucleotides, nanoparticle delivery systems can be used. The present disclosure provides a robust therapeutic using engineered polynucleotides and lipid nanoparticle compositions, comprising novel lipids.
SUMMARY
[4] The present application provides ionizable lipids and related transfer vehicles, compositions, and methods. The transfer vehicles can comprise ionizable lipid (e.g., ionizable lipids described herein), PEG-modified lipid, and/or structural lipid, thereby forming lipid nanoparticles encapsulating therapeutic agents (e.g., RNA polynucleotides such as circular RNAs). Pharmaceutical compositions comprising such circular RNAs and transfer vehicles are particularly suitable for efficient
1
SUBSTITUTE SHEET (RULE 26) protein expression in immune cells in vivo. The present application also provides methods of treating or preventing a disease, disorder, or condition with the pharmaceutical compositions described herein.
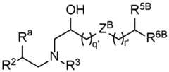
[5] In one aspect, ionizable lipids of Formula (22) are provided herein:
Formula (22) or a pharmaceutically acceptable salt thereof, wherein:
R
a is hydrogen or hydroxyl;
R1* and R2* are independently selected from:
-(CH2)qC(O)O(CH2)rC(R4)(R5)(R6),
-(CH2)qOC(O)(CH2)rC(R4)(R5)(R6), and
-(CH2)qOC(O)O(CH2)rC(R4)(R5)(R6); wherein: q is an integer from 0 to 12, r is an integer from 0 to 6, wherein at least one occurrence of r is not 0;
R4 is hydrogen or R7;
R5, R6, and R7 are each independently C1-C20 alkyl or C2-C20 alkenyl; wherein (i) R1 is R1*, (ii) R2 is R2*, or (iii) R1 is R1* and R2 is R2*; and
R3 is L-R’, wherein L is linear or branched C1-C10 alkylene, and R’ is (i) mono- or bicyclic heterocyclyl or heteroaryl, such as imidazolyl, pyrazolyl, 1,2,4-triazolyl, or benzimidazolyl, each optionally substituted at one or more available carbon and nitrogen by Ci-Ce alkyl, or (ii) RA, RB, or Rc, wherein
SUBSTITUTE SHEET (RULE 26)
SUBSTITUTE SHEET (RULE 26)
SUBSTITUTE SHEET (RULE 26) R
B is selected from:
SUBSTITUTE SHEET (RULE 26)
SUBSTITUTE SHEET (RULE 26)
SUBSTITUTE SHEET (RULE 26)
SUBSTITUTE SHEET (RULE 26)
[6] In another aspect, the present disclosure provides a pharmaceutical composition comprising a transfer vehicle, wherein the transfer vehicle comprises an ionizable lipid described above.
[7] In some embodiments, the pharmaceutical composition further comprises an RNA polynucleotide. In some embodiments, the RNA polynucleotide is a linear or circular RNA polynucleotide. In some embodiments, the RNA polynucleotide is a circular RNA polynucleotide.
[8] In another aspect, the present disclosure provides a pharmaceutical composition comprising: a. an RNA polynucleotide, wherein the RNA polynucleotide is a circular RNA polynucleotide, and b. a transfer vehicle comprising an ionizable lipid described herein.
[9] In some embodiments, the transfer vehicle comprises a nanoparticle, such as a lipid nanoparticle, a core-shell nanoparticle, a biodegradable nanoparticle, a biodegradable lipid nanoparticle, a polymer nanoparticle, or a biodegradable polymer nanoparticle.
[10] In some embodiments, the RNA polynucleotide is encapsulated in the transfer vehicle. In some embodiments, the RNA polynucleotide is encapsulated in the transfer vehicle with an encapsulation efficiency of at least 80%.
SUBSTITUTE SHEET (RULE 26) [11] In some embodiments, the circular RNA polynucleotide comprises an expression sequence. In some embodiments, the expression sequence encodes a therapeutic protein. In some embodiments, the expression sequence encodes a cytokine or a functional fragment thereof. In other embodiments, the expression sequence encodes a transcription factor. In other embodiments, the expression sequence encodes an immune checkpoint inhibitor. In other embodiments, the expression sequence encodes a chimeric antigen receptor (CAR).
[12] In some embodiments, the circular RNA polynucleotide comprises, in the following order: (a) a 5 ’ enhanced exon element, (b) a core functional element, and (c) a 3 ’ enhanced exon element. In some embodiments, the core functional element comprises a translation initiation element (TIE). In some embodiments, the TIE comprises an untranslated region (UTR) or fragment thereof. In some embodiments, the UTR or fragment thereof comprises a IRES or eukaryotic IRES. In some embodiments, the TIE comprises an aptamer complex, optionally wherein the aptamer complex comprises at least two aptamers.
[13] In some embodiments, the core functional element comprises a coding region. In some embodiments, the coding region encodes for a therapeutic protein. In some embodiments, the therapeutic protein is a chimeric antigen receptor (CAR).
[14] In some embodiments, the core functional element comprises a noncoding region.
[15] In some embodiments, the RNA polynucleotide comprised in a pharmaceutical composition described herein is from about lOOnt to about 10,000nt in length. In some embodiments, the RNA polynucleotide is from about lOOnt to about 15,000nt in length.
[16] In some embodiments, the transfer vehicle in a pharmaceutical composition described herein further comprises a structural lipid and a PEG-modified lipid.
[17] In some embodiments, the structural lipid binds to Clq and/or promotes the binding of the transfer vehicle comprising said lipid to C 1 q compared to a control transfer vehicle lacking the structural lipid and/or increases uptake of Clq-bound transfer vehicle into an immune cell compared to a control transfer vehicle lacking the structural lipid. In some embodiments, wherein the immune cell is a T cell, an NK cell, an NKT cell, a macrophage, or a neutrophil. In some embodiments, the structural lipid is cholesterol. In some embodiments, the structural lipid is beta-sitosterol. In some embodiments, the structural lipid is not beta-sitosterol.
[18] In some embodiments, the PEG-modified lipid is DSPE-PEG, DMG-PEG, PEG-DAG, PEG-S-DAG, PEG-PE, PEG-S-DMG, PEG-cer, PEG-dialkoxypropylcarbamate, PEG-OR, PEG-OH, PEG-c-DOMG, or PEG-1. In some embodiments, the PEG-modified lipid is DSPE-PEG(2000).
[19] In some embodiments, the transfer vehicle further comprises a helper lipid. In some embodiments, the helper lipid is DSPC or DOPE.
10
SUBSTITUTE SHEET (RULE 26) [20] In some embodiments, the transfer vehicle comprised in a pharmaceutical composition described herein comprises DSPC, cholesterol, and DMG-PEG(2000).
[21] In some embodiments, the transfer vehicle comprises about 0.5% to about 4% PEG- modified lipids by molar ratio. In some embodiments, the transfer vehicle comprises about 1% to about 2% PEG-modified lipids by molar ratio.
[22] In some embodiments, the transfer vehicle comprises: a. an ionizable lipid described herein, b. a helper lipid selected from DOPE or DSPC, c. cholesterol, and d. a PEG-lipid selected from DSPE-PEG(2000) or DMG-PEG(2000).
[23] In some embodiments, the transfer vehicle comprises ionizable lipid, helper lipid, cholesterol, and PEG-lipid at the molar ratio of ionizable lipid:helper lipid:cholesterol:PEG-lipid of about 45:9:44:2, about 50: 10:38.5: 1.5, about 41: 12:45:2, about 62:4:33: 1, or about 53:5:41: 1. In some embodiments, the molar ratio of each of the ionizable lipid, helper lipid, cholesterol, and PEG-lipid is within 10%, 9%, 8%, 7%, 6%, 5%, 4%, 3%, 2%, 1%, 0.9%, 0.8%, 0.7%, 0.6%, 0.5%, 0.4%, 0.3%, 0.2%, 0.1%, 0.09%, 0.08%, 0.07%, 0.06%, 0.05%, 0.04%, 0.03%, 0.02%, or 0.01% of the stated value.
[24] In some embodiments, the transfer vehicle comprises the helper lipid of DOPE and the PEG-lipid of DMG-PEG(2000), wherein the molar ratio of ionizable lipid:DOPE:cholesterol:DMG- PEG(2000) is about 45:9:44:2, about 50: 10:38.5: 1.5, about 41: 12:45:2, about 62:4:33: 1, or about 53:5:41: 1. In some embodiments, the molar ratio of ionizable lipid:DOPE:cholesterol:DSPE- PEG(2000) is about 62:4:33: 1. In some embodiments, the molar ratio of ionizable lipid:DOPE:cholesterol:DSPE-PEG(2000) is about 53:5:41: 1.
[25] In some embodiments, the transfer vehicle comprises the helper lipid of DSPC and the PEG-lipid of DMG-PEG(2000), wherein the molar ratio of ionizable lipid:DSPC:cholesterol:DMG- PEG(2000) is about 45:9:44:2, about 50: 10:38.5: 1.5, about 41: 12:45:2, about 62:4:33: 1, or about 53:5:41: 1. In some embodiments, the molar ratio of ionizable lipid:DSPC:cholesterol:DMG- PEG(2000) is about 50: 10:38.5: 1.5. In some embodiments, the molar ratio of ionizable lipid:DSPC:cholesterol:DMG-PEG(2000) is about 41: 12:45:2. In some embodiments, the molar ratio of ionizable lipid:DSPC:cholesterol:DMG-PEG(2000) is about 45:9:44:2.
[26] In some embodiments, the transfer vehicle comprises the helper lipid of DSPC and the PEG-lipid of DSPE-PEG(2000), wherein the molar ratio of ionizable lipid: DSPC:cholesterol:DSPE- PEG(2000) is about 45:9:44:2, about 50: 10:38.5: 1.5, about 41: 12:45:2, about 62:4:33: 1, or about 53:5:41: 1.
11
SUBSTITUTE SHEET (RULE 26) [27] In some embodiments, the transfer vehicle comprises the helper lipid of DOPE and the PEG-lipid is C14-PEG(2000), wherein the molar ratio of ionizable lipid:DOPE:cholesterol:C14- PEG(2000) is about 45:9:44:2, about 50: 10:38.5: 1.5, about 41: 12:45:2, about 62:4:33: 1, or about 53:5:41: 1.
[28] In some embodiments, the transfer vehicle comprises the helper lipid of DOPE and the PEG-lipid of DMG-PEG(2000), wherein the molar ratio of ionizable lipid:DOPE:cholesterol:DMG- PEG(2000) is about 45:9:44:2, about 50: 10:38.5: 1.5, about 41: 12:45:2, about 62:4:33: 1, or about 53:5:41: 1.
[29] In some embodiments, a pharmaceutical composition of the present disclosure has a lipid to phosphate (IL:P) molar ratio of about 3 to about 9, such as about 3, about 4, about 4.5, about 5, about 5.4, about 5.7, about 6, about 6.2, about 6.5, or about 7.
[30] In some embodiments, the transfer vehicle is formulated for endosomal release of the RNA polynucleotide. In some embodiments, the transfer vehicle is capable of binding to apolipoprotein E (APOE) or is substantially free of APOE binding sites. In some embodiments, the transfer vehicle is capable of low density lipoprotein receptor (LDLR) dependent uptake or LDLR independent uptake into a cell.
[31] In some embodiments, the transfer vehicle has a diameter of less than about 120 nm and/or does not form aggregates with a diameter of more than 300 nm.
[32] In some embodiments, a pharmaceutical composition of the present disclosure is substantially free of linear RNA.
[33] In some embodiments, the transfer vehicle further comprises an operably connected targeting moiety. In some embodiments, the targeting moiety specifically or indirectly binds an immune cell antigen, wherein the immune cell antigen is a T cell antigen selected from CD2, CD3, CD5, CD7, CD8, CD4, beta7 integrin, beta2 integrin, and ClqR.
[34] In some embodiments, the targeting moiety is a small molecule. In some embodiments, the small molecule is mannose, a lectin, acivicin, biotin, or digoxigenin. In some embodiments, the small molecule binds to an ectoenzyme on an immune cell, wherein the ectoenzyme is selected from CD38, CD73, adenosine 2a receptor, and adenosine 2b receptor. In some embodiments, the targeting moiety is a single chain Fv (scFv) fragment, nanobody, peptide, peptide-based macrocycle, minibody, small molecule ligand such as folate, arginylglycylaspartic acid (RGD), or phenol-soluble modulin alpha 1 peptide (PSMA1), heavy chain variable region, light chain variable region or fragment thereof.
[35] In some embodiments, the polynucleotides of the pharmaceutical composition of the present disclosure have less than 1%, by weight, double stranded RNA, DNA splints, or triphosphorylated RNA. In some embodiments, the polynucleotides and proteins of the pharmaceutical
12
SUBSTITUTE SHEET (RULE 26) composition have less than 1%, by weight, double stranded RNA, DNA splints, triphosphorylated RNA, phosphatase proteins, protein ligases, or capping enzymes.
[36] In another aspect, provided herein is a method of treating or preventing a disease, disorder, or condition, comprising administering an effective amount of a pharmaceutical composition described above and herein.
[37] In another aspect, provided herein is a method of treating a subject in need thereof comprising administering a therapeutically effective amount of the pharmaceutical composition described above and herein.
BRIEF DESCRIPTION OF THE DRAWINGS
[38] FIG. 1. depicts splenic expression of circular RNA encoding firefly luciferase delivered via LNPs formulated with various ionizable lipids from Table 2 or PBS (control) post intravenous administration. Splenic expression was measured based on total luciferase flux (p/s) from ex vivo IVIS analysis.
[39] FIG. 2. depicts expression of firefly luciferase within various organs post in vitro administration of circular RNAs encoding for firefly luciferase delivered via LNPs formulated with various ionizable lipids from Table 2 post intraperitoneal injection. Expression was measured for each of the organs based on total luciferase (p/s) from ex vivo IVIS analysis.
[40] FIG. 3. depicts expression of circular RNA encoding firefly luciferase delivered via LNPs formulated with various ionizable lipids from Table 2 post intraperitoneal injection. Splenic expression was measured based on total luciferase flux (p/s) from ex vivo IVIS analysis.
DETAILED DESCRIPTION
[41] The present disclosure provides, among other things, ionizable lipids as well as transfer vehicles and pharmaceutical compositions comprising the ionizable lipids described herein. In some embodiments, the transfer vehicles comprise ionizable lipid (e.g., ionizable lipids described herein), PEG-modified lipid, and/or structural lipid, thereby forming lipid nanoparticles suitable for delivering polynucleotides/nucleic acids. In certain embodiments, the nucleic acid may be RNA, such as siRNA, mRNA or circular RNA. The nucleic acids may encode therapeutic agents. In some embodiments, the nucleic acids are encapsulated in the transfer vehicles.
[42] Also described herein is RNA therapy, along with associated compositions and methods. In some embodiments, the RNA therapy allows for increased RNA stability, expression, and prolonged half-life, among other things.
[43] In some embodiments, provided herein are methods comprising administration of pharmaceutical compositions comprising the ionizable lipids described herein and RNA
13
SUBSTITUTE SHEET (RULE 26) polynucleotides into cells for therapy or production of useful proteins. In some embodiments, the RNA polynucleotide is a circular RNA polynucleotide, (circRNA). In some embodiments, the method is advantageous in providing the production of a desired polypeptide inside eukaryotic cells with a longer half-life than linear RNA, due to the resistance of the circular RNA to ribonucleases. In some embodiments, lipid nanoparticles comprising the ionizable lipids described herein and RNA polynucleotides, in particular circRNA, provide improved clearance in certain organs, e.g., the liver and spleen.
[44] Circular RNA polynucleotides lack the free ends necessary for exonuclease-mediated degradation, causing them to be resistant to several mechanisms of RNA degradation and granting extended half-lives when compared to an equivalent linear RNA. Circularization may allow for the stabilization of RNA polynucleotides that generally suffer from short half-lives and may improve the overall efficacy of exogenous mRNA in a variety of applications. In an embodiment, the functional half-life of the circular RNA polynucleotides provided herein in eukaryotic cells (e.g., mammalian cells, such as human cells) as assessed by protein synthesis is at least 20 hours (e.g., at least 80 hours).
[45] Various aspects of the present disclosure are described in detail in the following sections. The use of sections is not meant to limit the described embodiments of the present disclosure. Rather, each section can apply to any aspect of the present disclosure. In this application, the use of “or” means “and/or” unless stated otherwise.
1. DEFINITIONS
[46] As used herein, the terms “circRNA” or “circular polyribonucleotide” or “circular RNA” or “oRNA” are used interchangeably and refer to a single -stranded RNA polynucleotide wherein the 3’ and 5’ ends that are normally present in a linear RNA polynucleotide have been joined together.
[47] As used herein, the term “DNA template” refers to a DNA sequence capable of transcribing a linear RNA polynucleotide. For example, but not intending to be limiting, a DNA template may include a DNA vector, PCR product or plasmid.
[48] As used herein, the term “3’ group I intron fragment” refers to a sequence with 75% or higher similarity to the 3 ’-proximal end of a natural group I intron including the splice site dinucleotide and optionally a stretch of natural exon sequence. In some embodiments, a circular RNA comprises a post splicing 3’ group I intron fragment. In some embodiments, the post splicing 3’ group I intron fragment in the circular RNA is a post splicing stretch of exon sequence. In some embodiments, the circular RNA further comprises a desired expression sequence, and the post splicing stretch of exon sequence is (e.g., designed) to be a portion of the desired expression sequence, contiguous with the desired expression sequence, and/or in frame with the desired expression sequence.
14
SUBSTITUTE SHEET (RULE 26) [49] As used herein, the term “5’ group I intron fragment” refers to a sequence with 75% or higher similarity to the 5 ’-proximal end of a natural group I intron including the splice site dinucleotide and optionally a stretch of natural exon sequence. In some embodiments, a circular RNA comprises a post splicing 5’ group I intron fragment. In some embodiments, the post splicing 5’ group I intron fragment in the circular RNA is a post splicing stretch of exon sequence. In some embodiments, the circular RNA further comprises a desired expression sequence, and the post splicing stretch of exon sequence is (e.g., designed) to be a portion of the desired expression sequence, contiguous with the desired expression sequence, and/or in frame with the desired expression sequence.
[50] As used herein, the term “permutation site” refers to the site in a group I intron where a cut is made prior to permutation of the intron. This cut generates 3’ and 5’ group I intron fragments that are permuted to be on either side of a stretch of precursor RNA to be circularized.
[51] As used herein, the term “splice site” refers to a dinucleotide that is partially or fully included in a group I intron and between which a phosphodiester bond is cleaved during RNA circularization. (As used herein, “splice site” refers to the dinucleotide or dinucleotides between which cleavage of the phosphodiester bond occurs during a splicing reaction. A “5’ splice site” refers to the natural 5’ dinucleotide of the intron e.g., group I intron, while a “3’ splice site” refers to the natural 3’ dinucleotide of the intron).
[52] As used herein, the term “expression sequence” refers to a nucleic acid sequence that encodes a product, e.g., a peptide or polypeptide, regulatory nucleic acid, or non-coding nucleic acid. An exemplary expression sequence that codes for a peptide or polypeptide can comprise a plurality of nucleotide triads, each of which can code for an amino acid and is termed as a “codon.”
[53] As used herein, “coding element” or “coding region” is region located within the expression sequence and encodings for one or more proteins or polypeptides (e.g., therapeutic protein).
[54] As used herein, a "noncoding element" or "non-coding nucleic acid" is a region located within the expression sequence. This sequence, but itself does not encode for a protein or polypeptide, but may have other regulatory functions, including but not limited, allow the overall polynucleotide to act as a biomarker or adjuvant to a specific cell.
[55] As used herein, the term “therapeutic protein” refers to any protein that, when administered to a subject directly or indirectly in the form of a translated nucleic acid, has a therapeutic, diagnostic, and/or prophylactic effect and/or elicits a desired biological and/or pharmacological effect.
[56] As used herein, the term “immunogenic” refers to a potential to induce an immune response to a substance. An immune response may be induced when an immune system of an organism or a certain type of immune cells is exposed to an immunogenic substance. The term “non-immunogenic” refers to a lack of or absence of an immune response above a detectable threshold to a substance. No
15
SUBSTITUTE SHEET (RULE 26) immune response is detected when an immune system of an organism or a certain type of immune cells is exposed to a non-immunogenic substance. In some embodiments, a non-immunogenic circular polyribonucleotide as provided herein, does not induce an immune response above a pre-determined threshold when measured by an immunogenicity assay. In some embodiments, no innate immune response is detected when an immune system of an organism or a certain type of immune cells is exposed to a non-immunogenic circular polyribonucleotide as provided herein. In some embodiments, no adaptive immune response is detected when an immune system of an organism or a certain type of immune cell is exposed to a non-immunogenic circular polyribonucleotide as provided herein.
[57] As used herein, the term “circularization efficiency” refers to a measurement of resultant circular polyribonucleotide as compared to its linear starting material.
[58] As used herein, the term “translation efficiency” refers to a rate or amount of protein or peptide production from a ribonucleotide transcript. In some embodiments, translation efficiency can be expressed as amount of protein or peptide produced per given amount of transcript that codes for the protein or peptide.
[59] The term “nucleotide” refers to a ribonucleotide, a deoxyribonucleotide, a modified form thereof, or an analog thereof. Nucleotides include species that comprise purines, e.g., adenine, hypoxanthine, guanine, and their derivatives and analogs, as well as pyrimidines, e.g., cytosine, uracil, thymine, and their derivatives and analogs. Nucleotide analogs include nucleotides having modifications in the chemical structure of the base, sugar and/or phosphate, including, but not limited to, 5 ’-position pyrimidine modifications, 8 ’-position purine modifications, modifications at cytosine exocyclic amines, and substitution of 5-bromo-uracil; and 2’-position sugar modifications, including but not limited to, sugar-modified ribonucleotides in which the 2 ’-OH is replaced by a group such as an H, OR, R, halo, SH, SR, NH2, NHR, NR2, or CN, wherein R is an alkyl moiety as defined herein. Nucleotide analogs are also meant to include nucleotides with bases such as inosine, queuosine, xanthine; sugars such as 2’-methyl ribose; non-natural phosphodiester linkages such as methylphosphonate, phosphorothioate and peptide linkages. Nucleotide analogs include 5- methoxyuridine, 1 -methylpseudouridine, and 6-methyladenosine.
[60] The term “nucleic acid” and “polynucleotide” are used interchangeably herein to describe a polymer of any length, e.g., greaterthan about 2 bases, greaterthan about 10 bases, greater than about 100 bases, greater than about 500 bases, greater than 1000 bases, or up to about 10,000 or more bases, composed of nucleotides, e.g., deoxyribonucleotides or ribonucleotides, and may be produced enzymatically or synthetically (e.g., as described in U.S. Pat. No. 5,948,902 and the references cited therein), which can hybridize with naturally occurring nucleic acids in a sequence specific manner analogous to that of two naturally occurring nucleic acids, e.g., can participate in Watson-Crick base
16
SUBSTITUTE SHEET (RULE 26) pairing interactions. Naturally occurring nucleic acids are comprised of nucleotides including guanine, cytosine, adenine, thymine, and uracil (G, C, A, T, and U respectively).
[61] The terms “ribonucleic acid” and “RNA” as used herein mean a polymer composed of ribonucleotides.
[62] The terms “deoxyribonucleic acid” and “DNA” as used herein mean a polymer composed of deoxyribonucleotides.
[63] “Isolated” or “purified” generally refers to isolation of a substance (for example, in some embodiments, a compound, a polynucleotide, a protein, a polypeptide, a polynucleotide composition, or a polypeptide composition) such that the substance comprises a significant percent (e.g., greater than 1%, greater than 2%, greater than 5%, greater than 10%, greater than 20%, greater than 50%, or more, usually up to about 90%-100%) of the sample in which it resides. In certain embodiments, a substantially purified component comprises at least 50%, 80%-85%, or 90%-95% of the sample. Techniques for purifying polynucleotides and polypeptides of interest are well-known in the art and include, for example, ion-exchange chromatography, affinity chromatography and sedimentation according to density. Generally, a substance is purified when it exists in a sample in an amount, relative to other components of the sample, that is more than as it is found naturally.
[64] The terms “duplexed,” “double-stranded,” or “hybridized” as used herein refer to nucleic acids formed by hybridization of two single strands of nucleic acids containing complementary sequences. In most cases, genomic DNA is double-stranded. Sequences can be fully complementary or partially complementary.
[65] As used herein, “unstructured” with regard to RNA refers to an RNA sequence that is not predicted by the RNAFold software or similar predictive tools to form a structure (e.g., a hairpin loop) with itself or other sequences in the same RNA molecule. In some embodiments, unstructured RNA can be functionally characterized using nuclease protection assays.
[66] As used herein, “structured” with regard to RNA refers to an RNA sequence that is predicted by the RNAFold software or similar predictive tools to form a structure (e.g., a hairpin loop) with itself or other sequences in the same RNA molecule.
[67] As used herein, two “duplex sequences,” “duplex region,” “duplex regions,” homology arms,” or “homology regions” may be any two regions that are thermodynamically favored to crosspair in a sequence specific interaction. In some embodiments, two duplex sequences, duplex regions, homology arms, or homology regions, share a sufficient level of sequence identity to one another’s reverse complement to act as substrates for a hybridization reaction. As used herein polynucleotide sequences have “homology” when they are either identical or share sequence identity to a reverse complement or “complementary” sequence. The percent sequence identity between a homology region
17
SUBSTITUTE SHEET (RULE 26) and a counterpart homology region’s reverse complement can be any percent of sequence identity that allows for hybridization to occur. In some embodiments, an internal duplex region of an inventive polynucleotide is capable of forming a duplex with another internal duplex region and does not form a duplex with an external duplex region.
[68] As used herein, an “affinity sequence” or “affinity tag” is a region of polynucleotide sequences polynucleotide sequence ranging from 1 nucleotide to hundreds or thousands of nucleotides containing a repeated set of nucleotides for the purposes of aiding purification of a polynucleotide sequence. For example, an affinity sequence may comprise, but is not limited to, a polyA or polyAC sequence.
[69] As used herein, a “spacer” refers to a region of a polynucleotide sequence ranging from 1 nucleotide to hundreds or thousands of nucleotides separating two other elements along a polynucleotide sequence. The sequences can be defined or can be random. A spacer is typically noncoding. In some embodiments, spacers include duplex regions.
[70] Linear nucleic acid molecules are said to have a “5 ’-terminus” (5’ end) and a “3 ’-terminus” (3 ’ end) because nucleic acid phosphodiester linkages occur at the 5 ’ carbon and 3 ’ carbon of the sugar moieties of the substituent mononucleotides. The end nucleotide of a polynucleotide at which a new linkage would be to a 5’ carbon is its 5’ terminal nucleotide. The end nucleotide of a polynucleotide at which a new linkage would be to a 3’ carbon is its 3’ terminal nucleotide. A terminal nucleotide, as used herein, is the nucleotide at the end position of the 3’- or 5 ’-terminus.
[71] As used herein, a “leading untranslated sequence” is a region of polynucleotide sequences ranging from 1 nucleotide to hundreds of nucleotides located at the upmost 5' end of a polynucleotide sequence. The sequences can be defined or can be random. A leading untranslated sequence is noncoding.
[72] As used herein, a “leading untranslated sequence” is a region of polynucleotide sequences ranging from 1 nucleotide to hundreds of nucleotides located at the downmost 3' end of a polynucleotide sequence. The sequences can be defined or can be random. A leading untranslated sequence is noncoding.
[73] “Transcription” means the formation or synthesis of an RNA molecule by an RNA polymerase using a DNA molecule as a template. The present disclosure is not limited with respect to the RNA polymerase that is used for transcription. For example, in some embodiments, a T7-type RNA polymerase can be used.
[74] “Translation” means the formation of a polypeptide molecule by a ribosome based upon an RNA template.
18
SUBSTITUTE SHEET (RULE 26) [75] It is to be understood that the terminology used herein is for the purpose of describing particular embodiments only and is not intended to be limiting. As used in this specification and the appended claims, the singular forms “a,” “an,” and “the” include plural referents unless the content clearly dictates otherwise. Thus, for example, reference to “a cell” includes combinations of two or more cells, or entire cultures of cells; reference to “a polynucleotide” includes, as a practical matter, many copies of that polynucleotide. Unless specifically stated or obvious from context, as used herein, the term “or” is understood to be inclusive. Unless defined herein and below in the reminder of the specification, all technical and scientific terms used herein have the same meaning as commonly understood by one of ordinary skill in the art to which the present disclosure pertains.
[76] Unless specifically stated or obvious from context, as used herein, the term “about,” is understood as within a range of normal tolerance in the art, for example within 2 standard deviations of the mean. “About” can be understood as within 10%, 9%, 8%, 7%, 6%, 5%, 4%, 3%, 2%, 1%, 0.9%, 0.8%, 0.7%, 0.6%, 0.5%, 0.4%, 0.3%, 0.2%, 0.1%, 0.09%, 0.08%, 0.07%, 0.06%, 0.05%, 0.04%, 0.03%, 0.02%, or 0.01% of the stated value. Unless otherwise clear from the context, all numerical values provided herein are modified by the term “about.”
[77] As used herein, the term “encode” refers broadly to any process whereby the information in a polymeric macromolecule is used to direct the production of a second molecule that is different from the first. The second molecule may have a chemical structure that is different from the chemical nature of the first molecule.
[78] By “co-administering” is meant administering a therapeutic agent provided herein in conjunction with one or more additional therapeutic agents sufficiently close in time such that the therapeutic agent provided herein can enhance the effect of the one or more additional therapeutic agents, or vice versa.
[79] The terms “treat,” and “prevent” as well as words stemming therefrom, as used herein, do not necessarily imply 100% or complete treatment or prevention. Rather, there are varying degrees of treatment or prevention of which one of ordinary skill in the art recognizes as having a potential benefit or therapeutic effect. The treatment or prevention provided by the method described herein can include treatment or prevention of one or more conditions or symptoms of the disease. Also, for purposes herein, “prevention” can encompass delaying the onset of the disease, or a symptom or condition thereof.
[80] As used herein, an “internal ribosome entry site” or “IRES” refers to an RNA sequence or structural element ranging in size from 10 nt to 1000 nt or more, capable of initiating translation of a polypeptide in the absence of a typical RNA cap structure. An IRES is typically about 500 nt to about 700 nt in length.
19
SUBSTITUTE SHEET (RULE 26) [81] As used herein, “aptamer” refers in general to either an oligonucleotide of a single defined sequence or a mixture of said nucleotides, wherein the mixture retains the properties of binding specifically to the target molecule (e.g., eukaryotic initiation factor, 40S ribosome, polyC binding protein, polyA binding protein, polypyrimidine tract-binding protein, argonaute protein family, Heterogeneous nuclear ribonucleoprotein K and La and related RNA-binding protein). Thus, as used herein “aptamer” denotes both singular and plural sequences of nucleotides, as defined hereinabove. The term “aptamer” is meant to refer to a single- or double-stranded nucleic acid which is capable of binding to a protein or other molecule. In general, aptamers preferably comprise about 10 to about 100 nucleotides, preferably about 15 to about 40 nucleotides, more preferably about 20 to about 40 nucleotides, in that oligonucleotides of a length that falls within these ranges are readily prepared by conventional techniques. Optionally, aptamers can further comprise a minimum of approximately 6 nucleotides, preferably 10, and more preferably 14 or 15 nucleotides, that are necessary to effect specific binding.
[82] An “eukaryotic initiation factor” or “elF” refers to a protein or protein complex used in assembling an initiator tRNA, 40S and 60S ribosomal subunits required for initiating eukaryotic translation.
[83] As used herein, an “internal ribosome entry site” or “IRES” refers to an RNA sequence or structural element ranging in size from 10 nt to 1000 nt or more that is capable of initiating translation of a polypeptide in the absence of a typical RNA cap structure. An IRES is typically about 500 nt to about 700 nt in length.
[84] As used herein, a “miRNA site” refers to a stretch of nucleotides within a polynucleotide that is capable of forming a duplex with at least 8 nucleotides of a natural miRNA sequence.
[85] As used herein, an "endonuclease site" refers to a stretch of nucleotides within a polynucleotide that is capable of being recognized and cleaved by an endonuclease protein.
[86] As used herein, “bicistronic RNA” refers to a polynucleotide that includes two expression sequences coding for two distinct proteins. These expression sequences can be separated by a nucleotide sequence encoding a cleavable peptide such as a protease cleavage site. They can also be separated by a ribosomal skipping element.
[87] As used herein, the term “ribosomal skipping element” refers to a nucleotide sequence encoding a short peptide sequence capable of causing generation of two peptide chains from translation of one RNA molecule. While not wishing to be bound by theory, it is hypothesized that ribosomal skipping elements function by (1) terminating translation of the first peptide chain and re -initiating translation of the second peptide chain; or (2) cleavage of a peptide bond in the peptide sequence encoded by the ribosomal skipping element by an intrinsic protease activity of the encoded peptide, or by another protease in the environment (e.g., cytosol).
20
SUBSTITUTE SHEET (RULE 26) [88] As used herein, the term “co-formulate” refers to a nanoparticle formulation comprising two or more nucleic acids or a nucleic acid and other active drug substance. Typically, the ratios are equimolar or defined in the ratiometric amount of the two or more nucleic acids or the nucleic acid and other active drug substance.
[89] As used herein, “transfer vehicle” includes any of the standard pharmaceutical carriers, diluents, excipients, and the like, which are generally intended for use in connection with the administration of biologically active agents, including nucleic acids.
[90] As used herein, the phrase “lipid nanoparticle” refers to a transfer vehicle comprising one or more lipids (e.g., in some embodiments, cationic lipids, non-cationic lipids, and PEG-modified lipids).
[91] As used herein, the phrase “ionizable lipid” refers to any of a number of lipid species that carry a net positive charge at a selected pH, such as physiological pH 4 and a neutral charge at other pHs such as physiological pH 7.
[92] In some embodiments, a lipid, e.g., an ionizable lipid, described herein comprises one or more cleavable groups. The terms “cleave” and “cleavable” are used herein to mean that one or more chemical bonds (e.g., one or more of covalent bonds, hydrogen-bonds, van der Waals forces and/or ionic interactions) between atoms in or adjacent to the subject functional group are broken (e.g., hydrolyzed) or are capable of being broken upon exposure to selected conditions (e.g., upon exposure to enzymatic conditions). In certain embodiments, the cleavable group is an ester functional group that is capable of being cleaved upon exposure to selected biological conditions Upon cleavage of such functional group, the one or more functional moieties or groups (e.g., one or more of a head-group and/or a tail-group) that are bound thereto may be liberated. Exemplary cleavable groups may include, but are not limited to, ester groups, ether groups, carbonate groups, and any derivatives thereof (e.g., alkyl and aryl esters). In certain embodiments, the cleavable group is not an ester group or an ether group. In some embodiments, a cleavable group is bound (e.g., bound by one or more of hydrogenbonds, van der Waals forces, ionic interactions and covalent bonds) to one or more functional moieties or groups (e.g., at least one head-group and at least one tail-group). In certain embodiments, at least one of the functional moieties or groups is hydrophilic (e.g., a hydrophilic head-group comprising one or more of imidazole, guanidinium, amino, imine, enamine, optionally-substituted alkyl amino and Pyridyl).
[93] As used herein, the term “hydrophilic” is used to indicate in qualitative terms that a functional group is water-preferring, and typically such groups are water-soluble. For example, described herein are compounds that comprise a cleavable ester or carbonate functional group bound to one or more hydrophilic groups (e.g., a hydrophilic head-group), wherein such hydrophilic groups are alkyl hydroxyl.
21
SUBSTITUTE SHEET (RULE 26) [94] In certain embodiments, at least one of the functional groups of moieties that comprise the compounds described herein is hydrophobic in nature (e.g., a hydrophobic tail -group comprising a naturally occurring lipid such as cholesterol). As used herein, the term “hydrophobic” is used to indicate in qualitative terms that a functional group is water-avoiding, and typically such groups are not water soluble.
[95] Compounds described herein may also comprise one or more isotopic substitutions. For example, H may be in any isotopic form, including ’H,2H (D or deuterium), and3H (T or tritium); C may be in any isotopic form, including12C,13C, and14C; and O may be in any isotopic form, including16O and18O.
[96] When describing the embodiments of the present disclosure, which may include compounds and pharmaceutically acceptable salts thereof, pharmaceutical compositions containing such compounds and methods of using such compounds and compositions, the following terms, if present, have the following meanings unless otherwise indicated. It should also be understood that when described herein any of the moieties defined forth below may be substituted with a variety of substituents, and that the respective definitions are intended to include such substituted moieties within their scope as set out below. Unless otherwise stated, the term “substituted” is to be defined as set out below. It should be further understood that the terms “groups” and “radicals” can be considered interchangeable when used herein.
[97] When a range of values is listed, it is intended to encompass each value and sub-range within the range. For example, “Ci-e alkyl” is intended to encompass, Ci, C2, C3, C4, C5, Ce, Ci-e, Ci- 5, Ci— 4, Ci— 3, Ci— 2, C2— e, C2— 5, C2— 4, C2— 3, C3— e, C3— 5, C3— 4, C4— 6, C4— 5, and C5— 6 alkyl.
[98] In certain embodiments, the compounds described herein comprise, for example, at least one hydrophilic head-group and at least one hydrophobic tail-group, each bound to at least one cleavable group, thereby rendering such compounds amphiphilic. As used herein to describe a compound or composition, the term “amphiphilic” means the ability to dissolve in both polar (e.g., water) and nonpolar (e.g., lipid) environments. For example, in certain embodiments, the compounds described herein comprise at least one lipophilic tail-group (e.g., a C6-C20 alkyl) and at least one hydrophilic head-group (e.g., imidazolyl), each bound to a cleavable group (e.g., ester).
[99] It should be noted that the terms “head-group” and “tail-group” as used describe the compounds of the present disclosure, and in particular functional groups that comprise such compounds, are used for ease of reference to describe the orientation of one or more functional groups relative to other functional groups. For example, in certain embodiments a hydrophilic head-group is bound (e.g., by one or more of hydrogen-bonds, van der Waals forces, ionic interactions and covalent bonds) to a cleavable functional group, which in turn is bound to a hydrophobic tail-group.
22
SUBSTITUTE SHEET (RULE 26) [100] As used herein, the term “alkyl” refers to both straight and branched chain C1-C30 hydrocarbons and includes both saturated and unsaturated hydrocarbons. The use of designations such as, for example, “C1-C20” is intended to refer to an alkyl (e.g., straight or branched chain and inclusive of alkenes and alkyls) having the recited range carbon atoms. In some embodiments, an alkyl group has 1 to 10 carbon atoms (“Ci- 10 alkyl”). In some embodiments, an alkyl group has 1 to 9 carbon atoms (“C1-9 alkyl”). In some embodiments, an alkyl group has 1 to 8 carbon atoms (“Ci-s alkyl”). In some embodiments, an alkyl group has 1 to 7 carbon atoms (“Ci- 7 alkyl”). In some embodiments, an alkyl group has 1 to 6 carbon atoms (“Ci- e alkyl”). In some embodiments, an alkyl group has 1 to 5 carbon atoms (“Ci— 5 alkyl”). In some embodiments, an alkyl group has 1 to 4 carbon atoms (“C1-4 alkyl”). In some embodiments, an alkyl group has 1 to 3 carbon atoms (“Ci— 3 alkyl”). In some embodiments, an alkyl group has 1 to 2 carbon atoms (“C1-2 alkyl”). In some embodiments, an alkyl group has 1 carbon atom (“Ci alkyl”). Examples of Ci-e alkyl groups include methyl, ethyl, propyl, isopropyl, butyl, isobutyl, pentyl, hexyl, and the like.
[101] As used herein, “alkenyl” refers to a radical of a straight-chain or branched hydrocarbon group having from 2 to 20 carbon atoms, one or more carbon-carbon double bonds (e.g., 1, 2, 3, or 4 carbon-carbon double bonds), and optionally one or more carbon-carbon triple bonds (e.g., 1, 2, 3, or 4 carbon-carbon triple bonds) (“C2-20 alkenyl”). In certain embodiments, alkenyl does not contain any triple bonds. In some embodiments, an alkenyl group has 2 to 10 carbon atoms (“C2-10 alkenyl”). In some embodiments, an alkenyl group has 2 to 9 carbon atoms (“C2-9 alkenyl”). In some embodiments, an alkenyl group has 2 to 8 carbon atoms (“C2-8 alkenyl”). In some embodiments, an alkenyl group has 2 to 7 carbon atoms (“C2-7 alkenyl”). In some embodiments, an alkenyl group has 2 to 6 carbon atoms (“C2-6 alkenyl”). In some embodiments, an alkenyl group has 2 to 5 carbon atoms (“C2-5 alkenyl”). In some embodiments, an alkenyl group has 2 to 4 carbon atoms (“C2-4 alkenyl”). In some embodiments, an alkenyl group has 2 to 3 carbon atoms (“C2-3 alkenyl”). In some embodiments, an alkenyl group has 2 carbon atoms (“C2 alkenyl”). The one or more carbon-carbon double bonds can be internal (such as in 2-butenyl) or terminal (such as in 1-butenyl). Examples of C2-4 alkenyl groups include ethenyl (C2), 1-propenyl (C3), 2-propenyl (C3), 1-butenyl (C4), 2-butenyl (C4), butadienyl (C4), and the like. Examples of C2-6 alkenyl groups include the aforementioned C2-4 alkenyl groups as well as pentenyl (C5), pentadienyl (C5), hexenyl (Ce), and the like. Additional examples of alkenyl include heptenyl (C7), octenyl (Cs), octatrienyl (Cs), and the like.
[102] As used herein, “alkylene” and “alkenylene” refer to a divalent radical of an alkyl or alkenyl group, respectively. When a range or number of carbons is provided for a particular “alkylene” or “alkenylene”, it is understood that the range or number refers to the range or number of carbons in the linear carbon divalent chain. “Alkylene” and “alkenylene,” groups may be substituted or unsubstituted with one or more substituents as described herein.
23
SUBSTITUTE SHEET (RULE 26) [103] As used herein, the term “aryl” refers to aromatic groups (e.g., monocyclic, bicyclic and tricyclic structures) containing six to ten carbons in the ring portion. The aryl groups may be optionally substituted through available carbon atoms and in certain embodiments may include one or more heteroatoms such as oxygen, nitrogen or sulfur. In some embodiments, an aryl group has six ring carbon atoms (“Ce aryl”; e.g., phenyl). In some embodiments, an aryl group has ten ring carbon atoms (“Cio aryl”; e.g., naphthyl such as 1-naphthyl and 2-naphthyl).
[104] The term “heteroalkyl” refers to a non-cyclic stable straight or branched chain, or combinations thereof, including at least one carbon atom and at least one heteroatom selected from of O, N, P, Si, and S, and wherein the nitrogen and sulfur atoms may optionally be oxidized, and the nitrogen heteroatom may optionally be quatemized. The heteroatom(s) O, N, P, S, and Si may be placed at any interior position of the heteroalkyl group or at the position at which the alkyl group is attached to the remainder of the molecule. Exemplary heteroalkyl groups include, but are not limited to: -CH2- CH2-O-CH3, -CH2-CH2-NH-CH3, -CH2-CH2-N(CH3)-CH3, -CH2-S-CH2-CH3, -CH2-CH2, -S(O)2, - S(O)-CH3, -S(O)2-CH2, -CH2-CH2-S(O)2-CH3, -CH=CH-O-CH3, -Si(CH3)3, -CH2-CH=N-OCH3, - CH=CH-N(CH3)-CH3, -O-CH3, and -O-CH2-CH3. Up to two or three heteroatoms may be consecutive, such as, for example, -CH2-NH-OCH3 and -CH2-O-Si(CH3)3. Where “heteroalkyl” is recited, followed by recitations of specific heteroalkyl groups, such as -CH2O, -NRBRC, or the like, it will be understood that the terms heteroalkyl and -CH2O or -NRBRC are not redundant or mutually exclusive. Rather, the specific heteroalkyl groups are recited to add clarity. Thus, the term “heteroalkyl” should not be interpreted herein as excluding specific heteroalkyl groups, such as -CH2O, -NRBRC, or the like.
[105] As used herein, “heteroaryl” refers to a radical of a 5-10 membered monocyclic or bicyclic 4n+2 aromatic ring system (e.g., having 6 or 10 electrons shared in a cyclic array) having ring carbon atoms and 1-4 ring heteroatoms provided in the aromatic ring system, wherein each heteroatom is independently selected from nitrogen, oxygen and sulfur (“5-10 membered heteroaryl”). In heteroaryl groups that contain one or more nitrogen atoms, the point of attachment can be a carbon or nitrogen atom, as valency permits. Heteroaryl bicyclic ring systems can include one or more heteroatoms in one or both rings. “Heteroaryl” includes ring systems wherein the heteroaryl ring, as defined above, is fused with one or more carbocyclyl or heterocyclyl groups wherein the point of attachment is on the heteroaryl ring, and in such instances, the number of ring members continue to designate the number of ring members in the heteroaryl ring system. “Heteroaryl” also includes ring systems wherein the heteroaryl ring, as defined above, is fused with one or more aryl groups wherein the point of attachment is either on the aryl or heteroaryl ring, and in such instances, the number of ring members designates the number of ring members in the fused (aryl/heteroaryl) ring system. Bicyclic heteroaryl groups wherein one ring does not contain a heteroatom (e.g., indolyl, quinolinyl, carbazolyl, and the like) the point of attachment can be on either ring, i.e., either the ring bearing a heteroatom (e.g., 2-indolyl) or the ring that does not contain a heteroatom (e.g., 5-indolyl).
24
SUBSTITUTE SHEET (RULE 26) [106] As used herein, “heterocyclyl” or “heterocyclic” refers to a radical of a 3- to 10-membered non-aromatic ring system having ring carbon atoms and 1 to 4 ring heteroatoms, wherein each heteroatom is independently selected from nitrogen, oxygen, sulfur, boron, phosphorus, and silicon (“3- 10 membered heterocyclyl”) . In heterocyclyl groups that contain one or more nitrogen atoms, the point of attachment can be a carbon or nitrogen atom, as valency permits. A heterocyclyl group can either be monocyclic (“monocyclic heterocyclyl”) or a fused, bridged or spiro ring system such as a bicyclic system (“bicyclic heterocyclyl”), and can be saturated or can be partially unsaturated. Heterocyclyl bicyclic ring systems can include one or more heteroatoms in one or both rings. “Heterocyclyl” also includes ring systems wherein the heterocyclyl ring, as defined above, is fused with one or more carbocyclyl groups wherein the point of attachment is either on the carbocyclyl or heterocyclyl ring, or ring systems wherein the heterocyclyl ring, as defined above, is fused with one or more aryl or heteroaryl groups, wherein the point of attachment is on the heterocyclyl ring, and in such instances, the number of ring members continue to designate the number of ring members in the heterocyclyl ring system. The terms “heterocycle,” “heterocyclyl,” “heterocyclyl ring,” “heterocyclic group,” “heterocyclic moiety,” and “heterocyclic radical,” may be used interchangeably.
[107] As used herein, “cyano” refers to -CN.
[108] The terms “halo” and “halogen” as used herein refer to an atom selected from fluorine (fluoro, F), chlorine (chloro, Cl), bromine (bromo, Br), and iodine (iodo, I). In certain embodiments, the halo group is either fluoro or chloro.
[109] The term “alkoxy,” as used herein, refers to an alkyl group which is attached to another moiety via an oxygen atom (-O(alkyl)). Non-limiting examples include e.g., methoxy, ethoxy, propoxy, and butoxy.
[HO] In general, the term “substituted”, whether preceded by the term “optionally” or not, means that at least one hydrogen present on a group (e.g., a hydrogen attached to a carbon or nitrogen atom of a group) is replaced with a permissible substituent, e.g., a substituent which upon substitution results in a stable compound, e.g., a compound which does not spontaneously undergo transformation such as by rearrangement, cyclization, elimination, or other reaction. Unless otherwise indicated, a “substituted” group has a substituent at one or more substitutable positions of the group, and when more than one position in any given structure is substituted, the substituent is either the same or different at each position.
[Hl] As used herein, “pharmaceutically acceptable salt” refers to those salts which are, within the scope of sound medical judgment, suitable for use in contact with the tissues of humans and lower animals without undue toxicity, irritation, allergic response and the like, and are commensurate with a reasonable benefit/risk ratio. Pharmaceutically acceptable salts are well known in the art. For example, Berge et al., describes pharmaceutically acceptable salts in detail in J. Pharmaceutical Sciences (1977)
25
SUBSTITUTE SHEET (RULE 26) 66: 1-19. Pharmaceutically acceptable salts of the compounds of this disclosure include those derived from suitable inorganic and organic acids and bases. Examples of pharmaceutically acceptable, nontoxic acid addition salts are salts of an amino group formed with inorganic acids such as hydrochloric acid, hydrobromic acid, phosphoric acid, sulfuric acid and perchloric acid or with organic acids such as acetic acid, oxalic acid, maleic acid, tartaric acid, citric acid, succinic acid or malonic acid or by using other methods used in the art such as ion exchange. Other pharmaceutically acceptable salts include adipate, alginate, ascorbate, aspartate, benzenesulfonate, benzoate, bisulfate, borate, butyrate, camphorate, camphorsulfonate, citrate, cyclopentanepropionate, digluconate, dodecylsulfate, ethane sulfonate, formate, fumarate, glucoheptonate, glycerophosphate, gluconate, hemisulfate, heptanoate, hexanoate, hydroiodide, 2-hydroxy-ethanesulfonate, lactobionate, lactate, laurate, lauryl sulfate, malate, maleate, malonate, methanesulfonate, 2-naphthalenesulfonate, nicotinate, nitrate, oleate, oxalate, palmitate, pamoate, pectinate, persulfate, 3-phenylpropionate, phosphate, picrate, pivalate, propionate, stearate, succinate, sulfate, tartrate, thiocyanate, p-toluenesulfonate, undecanoate, valerate salts, and the like. Pharmaceutically acceptable salts derived from appropriate bases include alkali metal, alkaline earth metal, ammonium and N+(C l-4alkyl)4 salts. Representative alkali or alkaline earth metal salts include sodium, lithium, potassium, calcium, magnesium, and the like. Further pharmaceutically acceptable salts include, when appropriate, nontoxic ammonium, quaternary ammonium, and amine cations formed using counterions such as halide, hydroxide, carboxylate, sulfate, phosphate, nitrate, lower alkyl sulfonate, and aryl sulfonate.
[112] In typical embodiments, the present disclosure is intended to encompass the compounds described herein, and the pharmaceutically acceptable salts, pharmaceutically acceptable esters, tautomeric forms, polymorphs, and prodrugs of such compounds. In some embodiments, the present disclosure includes a pharmaceutically acceptable addition salt, a pharmaceutically acceptable ester, a solvate (e.g., hydrate) of an addition salt, a tautomeric form, a polymorph, an enantiomer, a mixture of enantiomers, a stereoisomer or mixture of stereoisomers (pure or as a racemic or non-racemic mixture) of a compound described herein.
[113] Compounds described herein can comprise one or more asymmetric centers, and thus can exist in various isomeric forms, e.g., enantiomers and/or diastereomers. For example, the compounds described herein can be in the form of an individual enantiomer, diastereomer or geometric isomer, or can be in the form of a mixture of stereoisomers, including racemic mixtures and mixtures enriched in one or more stereoisomer. Isomers can be isolated from mixtures by methods known to those skilled in the art, including chiral high pressure liquid chromatography (HPLC) and the formation and crystallization of chiral salts; or preferred isomers can be prepared by asymmetric syntheses. See, for example, Jacques et al., Enantiomers, Racemates and Resolutions (Wiley Interscience, New York, 1981); Wilen et al., Tetrahedron 33:2725 (1977); Eliel, Stereochemistry of Carbon Compounds (McGraw-Hill, NY, 1962); and Wilen, Tables of Resolving Agents and Optical Resolutions p. 268
26
SUBSTITUTE SHEET (RULE 26) (E.L. Eliel, Ed., Univ, of Notre Dame Press, Notre Dame, IN 1972). The present disclosure additionally encompasses compounds described herein as individual isomers substantially free of other isomers, and alternatively, as mixtures of various isomers.
[114] In certain embodiments the compounds and the transfer vehicles of which such compounds are a component (e.g., lipid nanoparticles) exhibit an enhanced (e.g., increased) ability to transfect one or more target cells. Accordingly, also provided herein are methods of transfecting one or more target cells. Such methods generally comprise the step of contacting the one or more target cells with the compounds and/or pharmaceutical compositions described herein such that the one or more target cells are transfected with the circular RNA encapsulated therein. As used herein, the terms “transfect” or “transfection” refer to the intracellular introduction of one or more encapsulated materials (e.g., nucleic acids and/or polynucleotides) into a cell, or preferably into a target cell. The term “transfection efficiency” refers to the relative amount of such encapsulated material (e.g., polynucleotides) up-taken by, introduced into and/or expressed by the target cell which is subject to transfection. In some embodiments, transfection efficiency may be estimated by the amount of a reporter polynucleotide product produced by the target cells following transfection. In some embodiments, a transfer vehicle has high transfection efficiency. In some embodiments, a transfer vehicle has at least about 10%, 20%, 30%, 40%, 50%, 60%, 70%, 80%, or 90% transfection efficiency.
[115] As used herein, the term “liposome” generally refers to a vesicle composed of lipids (e.g., amphiphilic lipids) arranged in one or more spherical bilayer or bilayers. In certain embodiments, the liposome is a lipid nanoparticle (e.g., a lipid nanoparticle comprising one or more of the ionizable lipid compounds described herein). Such liposomes may be unilamellar or multilamellar vesicles which have a membrane formed from a lipophilic material and an aqueous interior that contains the encapsulated circRNA to be delivered to one or more target cells, tissues and organs. In certain embodiments, the compositions described herein comprise one or more lipid nanoparticles. Examples of suitable lipids (e.g., ionizable lipids) that may be used to form the liposomes and lipid nanoparticles contemplated include one or more of the compounds described herein and/or those known in the art (e.g., HGT4001, HGT4002, HGT4003, HGT4004 and/or HGT4005). Such liposomes and lipid nanoparticles may also comprise additional ionizable lipids such as C12-200, DLin-KC2-DMA, and/or HGT5001, helper lipids, structural lipids, PEG-modified lipids, MC3, DLinDMA, DLinkC2DMA, cKK-E12, ICE, HGT5000, DODAC, DDAB, DMRIE, DOSPA, DOGS, DODAP, DODMA, DMDMA, DODAC, DLenDMA, DMRIE, CLinDMA, CpLinDMA, DMOBA, DOcarbDAP, DLinDAP, DLincarbDAP, DLinCDAP, KLin-K-DMA, DLin-K-XTC2-DMA, HGT4003, and combinations thereof.
[116] As used herein, the phrases “non-cationic lipid”, “non-cationic helper lipid”, and “helper lipid” are used interchangeably and refer to any neutral, zwitterionic or anionic lipid.
27
SUBSTITUTE SHEET (RULE 26) [117] As used herein, the phrase “anionic lipid” refers to any of a number of lipid species that carry a net negative charge at a selected pH, such as physiological pH.
[118] As used herein, the phrase “biodegradable lipid” or “degradable lipid” refers to any of several lipid species that are broken down in a host environment on the order of minutes, hours, or days ideally making them less toxic and unlikely to accumulate in a host over time. Common modifications to lipids include ester bonds, and disulfide bonds among others to increase the biodegradability of a lipid.
[119] As used herein, the phrase “biodegradable PEG lipid” or “degradable PEG lipid” refers to any of a number of lipid species where the PEG molecules are cleaved from the lipid in a host environment on the order of minutes, hours, or days ideally making them less immunogenic. Common modifications to PEG lipids include ester bonds, and disulfide bonds among others to increase the biodegradability of a lipid.
[120] In certain embodiments of the present disclosure, the transfer vehicles (e.g., lipid nanoparticles) are prepared to encapsulate one or more materials or therapeutic agents (e.g., circRNA). The process of incorporating a desired therapeutic agent (e.g., circRNA) into a transfer vehicle is referred to herein as or “loading” or “encapsulating” (Lasic, et al., FEBS Lett., 312: 255-258, 1992). The transfer vehicle-loaded or -encapsulated materials (e.g., circRNA) may be completely or partially located in the interior space of the transfer vehicle, within a bilayer membrane of the transfer vehicle, or associated with the exterior surface of the transfer vehicle.
[121] As used herein, the term “structural lipid” refers to sterols and also to lipids containing sterol moieties.
[122] As defined herein, “sterols” are a subgroup of steroids consisting of steroid alcohols.
[123] As used herein, the term “PEG” means any polyethylene glycol or other polyalkylene ether polymer.
[124] As generally defined herein, a “PEG-OH lipid” (also referred to herein as “hydroxy- PEGylated lipid”) is a PEGylated lipid having one or more hydroxyl (-OH) groups on the lipid.
[125] As used herein, a “phospholipid” is a lipid that includes a phosphate moiety and one or more carbon chains, such as unsaturated fatty acid chains.
[126] All nucleotide sequences described herein can represent an RNA sequence or a corresponding DNA sequence. It is understood that deoxythymidine (dT or T) in a DNA is transcribed into a uridine (U) in an RNA. As such, “T” and “U” are used interchangeably herein in nucleotide sequences.
28
SUBSTITUTE SHEET (RULE 26) [127] The recitations “sequence identity” or, for example, comprising a “sequence 50% identical to,” as used herein, refer to the extent that sequences are identical on a nucleotide-by-nucleotide basis or an amino acid-by-amino acid basis over a window of comparison. Thus, a “percentage of sequence identity” may be calculated by comparing two optimally aligned sequences over the window of comparison, determining the number of positions at which the identical nucleic acid base (e.g., A, T, C, G, I) or the identical amino acid residue (e.g., Ala, Pro, Ser, Thr, Gly, Vai, Leu, He, Phe, Tyr, Trp, Lys, Arg, His, Asp, Glu, Asn, Gin, Cys and Met) occurs in both sequences to yield the number of matched positions, dividing the number of matched positions by the total number of positions in the window of comparison (i.e., the window size), and multiplying the result by 100 to yield the percentage of sequence identity. Included are nucleotides and polypeptides having at least about 50%, 55%, 60%, 65%, 70%, 75%, 80%, 85%, 90%, 95%, 96%, 97%, 98%, 99% or 100% sequence identity to any of the reference sequences described herein, typically where the polypeptide variant maintains at least one biological activity of the reference polypeptide.
[128] The expression sequences in the polynucleotide construct may be separated by a “cleavage site” sequence which enables polypeptides encoded by the expression sequences, once translated, to be expressed separately by the cell.
[129] A “self-cleaving peptide” refers to a peptide which is translated without a peptide bond between two adjacent amino acids, or functions such that when the polypeptide comprising the proteins and the self-cleaving peptide is produced, it is immediately cleaved or separated into distinct and discrete first and second polypeptides without the need for any external cleavage activity.
[130] The a and (3 chains of a(3 TCRs are generally regarded as each having two domains or regions, namely variable and constant domains/regions. The variable domain consists of a concatenation of variable regions and joining regions. In the present specification and claims, the term “TCR alpha variable domain” therefore refers to the concatenation of TRAV and TRAJ regions, and the term TCR alpha constant domain refers to the extracellular TRAC region, or to a C-terminal truncated TRAC sequence. Likewise, the term “TCR beta variable domain” refers to the concatenation of TRBV and TRBD/TRBJ regions, and the term TCR beta constant domain refers to the extracellular TRBC region, or to a C-terminal truncated TRBC sequence.
[131] The terms “duplexed,” “double-stranded,” or “hybridized” as used herein refer to nucleic acids formed by hybridization of two single strands of nucleic acids containing complementary sequences. In most cases, genomic DNA is double-stranded. Sequences can be fully complementary or partially complementary.
[132] As used herein, “autoimmunity” is defined as persistent and progressive immune reactions to non-infectious self-antigens, as distinct from infectious non self-antigens from bacterial, viral, fungal, or parasitic organisms which invade and persist within mammals and humans. Autoimmune conditions
29
SUBSTITUTE SHEET (RULE 26) include scleroderma, Grave's disease, Crohn's disease, Sjorgen's disease, multiple sclerosis, Hashimoto's disease, psoriasis, myasthenia gravis, autoimmune polyendocrinopathy syndromes, Type I diabetes mellitus (TIDM), autoimmune gastritis, autoimmune uveoretinitis, polymyositis, colitis, and thyroiditis, as well as in the generalized autoimmune diseases typified by human Lupus. “Autoantigen” or “self-antigen” as used herein refers to an antigen or epitope that is native to the mammal and is immunogenic in said mammal.
[133] As used herein, the phrase “cationic lipid” refers to any of a number of lipid species that carry a net positive charge at a selected pH, such as physiological pH.
[134] The term “antibody” (Ab) includes, without limitation, a glycoprotein immunoglobulin which binds specifically to an antigen. In general, an antibody may comprise at least two heavy (H) chains and two light (L) chains interconnected by disulfide bonds, or an antigen-binding molecule thereof. Each H chain may comprise a heavy chain variable region (abbreviated herein as VH) and a heavy chain constant region. The heavy chain constant region can comprise three constant domains, CHI, CH2 and CH3. Each light chain can comprise a light chain variable region (abbreviated herein as VL) and a light chain constant region. The light chain constant region can comprise one constant domain, CL. The VH and VL regions may be further subdivided into regions of hypervariability, termed complementarity determining regions (CDRs), interspersed with regions that are more conserved, termed framework regions (FR). Each VH and VL may comprise three CDRs and four FRs, arranged from amino-terminus to carboxy-terminus in the following order: FR1, CDR1, FR2, CDR2, FR3, CDR3, and FR4. The variable regions of the heavy and light chains contain a binding domain that interacts with an antigen. The constant regions of the Abs may mediate the binding of the immunoglobulin to host tissues or factors, including various cells of the immune system (e.g., effector cells) and the first component of the classical complement system. Antibodies may include, for example, monoclonal antibodies, recombinantly produced antibodies, monospecific antibodies, multispecific antibodies (including bispecific antibodies), human antibodies, engineered antibodies, humanized antibodies, chimeric antibodies, immunoglobulins, synthetic antibodies, tetrameric antibodies comprising two heavy chain and two light chain molecules, an antibody light chain monomer, an antibody heavy chain monomer, an antibody light chain dimer, an antibody heavy chain dimer, an antibody light chain- antibody heavy chain pair, intrabodies, antibody fusions (sometimes referred to herein as “antibody conjugates”), heteroconjugate antibodies, single domain antibodies, monovalent antibodies, single chain antibodies or single-chain variable fragments (scFv), camelized antibodies, affybodies, Fab fragments, F(ab’)2 fragments, disulfide-linked variable fragments (sdFv), anti-idiotypic (anti-id) antibodies (including, e.g., anti-anti-Id antibodies), minibodies, domain antibodies, synthetic antibodies (sometimes referred to herein as “antibody mimetics”), and antigenbinding fragments of any of the above. In some embodiments, antibodies described herein refer to polyclonal antibody populations.
30
SUBSTITUTE SHEET (RULE 26) [135] An immunoglobulin may derive from any of the commonly known isotypes, including but not limited to IgA, secretory IgA, IgG and IgM. IgG subclasses are also well known to those in the art and include but are not limited to human IgGl, IgG2, IgG3 and IgG4. “Isotype” refers to the Ab class or subclass (e.g., IgM or IgGl) that is encoded by the heavy chain constant region genes. The term “antibody” includes, by way of example, both naturally occurring and non-naturally occurring Abs; monoclonal and polyclonal Abs; chimeric and humanized Abs; human or nonhuman Abs; wholly synthetic Abs; and single chain Abs. A nonhuman Ab may be humanized by recombinant methods to reduce its immunogenicity in humans. Where not expressly stated, and unless the context indicates otherwise, the term “antibody” also includes an antigen-binding fragment or an antigen-binding portion of any of the aforementioned immunoglobulins, and includes a monovalent and a divalent fragment or portion, and a single chain Ab.
[136] An “antigen binding molecule,” “antigen binding portion,” or “antibody fragment” refers to any molecule that comprises the antigen binding parts (e.g., CD Rs) of the antibody from which the molecule is derived. An antigen binding molecule may include the antigenic complementarity determining regions (CDRs). Examples of antibody fragments include, but are not limited to, Fab, Fab', F(ab')2, Fv fragments, dAb, linear antibodies, scFv antibodies, and multispecific antibodies formed from antigen binding molecules. Peptibodies (i.e., Fc fusion molecules comprising peptide binding domains) are another example of suitable antigen binding molecules. In some embodiments, the antigen binding molecule binds to an antigen on a tumor cell. In some embodiments, the antigen binding molecule binds to an antigen on a cell involved in a hyperproliferative disease or to a viral or bacterial antigen. In some embodiments, the antigen binding molecule binds to BCMA. In further embodiments, the antigen binding molecule is an antibody fragment, including one or more of the complementarity determining regions (CDRs) thereof, that specifically binds to the antigen. In further embodiments, the antigen binding molecule is a single chain variable fragment (scFv). In some embodiments, the antigen binding molecule comprises or consists of avimers.
[137] As used herein, the term “variable region” or “variable domain” is used interchangeably and are common in the art. The variable region typically refers to a portion of an antibody, generally, a portion of a light or heavy chain, typically about the amino-terminal 110 to 120 amino acids in the mature heavy chain and about 90 to 115 amino acids in the mature light chain, which differ extensively in sequence among antibodies and are used in the binding and specificity of a particular antibody for its particular antigen. The variability in sequence is concentrated in those regions called complementarity determining regions (CDRs) while the more highly conserved regions in the variable domain are called framework regions (FR). Without wishing to be bound by any particular mechanism or theory, it is believed that the CDRs of the light and heavy chains are primarily responsible for the interaction and specificity of the antibody with antigen. In some embodiments, the variable region is a human variable region. In some embodiments, the variable region comprises rodent or murine CDRs and human
31
SUBSTITUTE SHEET (RULE 26) framework regions (FRs). In particular embodiments, the variable region is a primate (e.g., non-human primate) variable region. In some embodiments, the variable region comprises rodent or murine CDRs and primate (e.g., non-human primate) framework regions (FRs).
[138] The terms “VL” and “VL domain” are used interchangeably to refer to the light chain variable region of an antibody or an antigen-binding molecule thereof.
[139] The terms “VH” and “VH domain” are used interchangeably to refer to the heavy chain variable region of an antibody or an antigen-binding molecule thereof.
[140] Several definitions of the CDRs are commonly in use: Kabat numbering, Chothia numbering, AbM numbering, or contact numbering. The AbM definition is a compromise between the two used by Oxford Molecular’s AbM antibody modelling software. The contact definition is based on an analysis of the available complex crystal structures. The term “Kabat numbering” and like terms are recognized in the art and refer to a system of numbering amino acid residues in the heavy and light chain variable regions of an antibody, or an antigen-binding molecule thereof. In certain aspects, the CDRs of an antibody may be determined according to the Kabat numbering system (see, e.g., Kabat EA & Wu TT (1971) Ann NY Acad Sci 190: 382-391 and Kabat EA et al., (1991) Sequences of Proteins of Immunological Interest, Fifth Edition, U.S. Department of Health and Human Services, NIH Publication No. 91-3242). Using the Kabat numbering system, CDRs within an antibody heavy chain molecule are typically present at amino acid positions 31 to 35, which optionally may include one or two additional amino acids, following 35 (referred to in the Kabat numbering scheme as 35A and 35B) (CDR1), amino acid positions 50 to 65 (CDR2), and amino acid positions 95 to 102 (CDR3). Using the Kabat numbering system, CDRs within an antibody light chain molecule are typically present at amino acid positions 24 to 34 (CDR1), amino acid positions 50 to 56 (CDR2), and amino acid positions 89 to 97 (CDR3). In a specific embodiment, the CDRs of the antibodies described herein have been determined according to the Kabat numbering scheme. In certain aspects, the CDRs of an antibody may be determined according to the Chothia numbering scheme, which refers to the location of immunoglobulin structural loops (see, e.g., Chothia C & Lesk AM, (1987), J Mol Biol 196: 901-917; Al-Lazikani B et al, (1997) J Mol Biol 273: 927-948; Chothia C et al., (1992) J Mol Biol 227: 799-817; Tramontane A et al, (1990) J Mol Biol 215(1): 175- 82; and U.S. Patent No. 7,709,226). Typically, when using the Kabat numbering convention, the Chothia CDR-H1 loop is present at heavy chain amino acids 26 to 32, 33, or 34, the Chothia CDR-H2 loop is present at heavy chain amino acids 52 to 56, and the Chothia CDR-H3 loop is present at heavy chain amino acids 95 to 102, while the Chothia CDR-L1 loop is present at light chain amino acids 24 to 34, the Chothia CDR-L2 loop is present at light chain amino acids 50 to 56, and the Chothia CDR-L3 loop is present at light chain amino acids 89 to 97. The end of the Chothia CDR-HI loop when numbered using the Kabat numbering convention varies between H32 and H34 depending on the length of the loop (this is because the Kabat numbering scheme places the insertions at H35A and H35B; if neither 35A nor 35B is present, the loop ends at 32; if only 35A is
32
SUBSTITUTE SHEET (RULE 26) present, the loop ends at 33; if both 35A and 35B are present, the loop ends at 34). In a specific embodiment, the CDRs of the antibodies described herein have been determined according to the Chothia numbering scheme.
[141] As used herein, the terms “constant region” and “constant domain” are interchangeable and have a meaning common in the art. The constant region is an antibody portion, e.g., a carboxyl terminal portion of a light and/or heavy chain that is not directly involved in binding of an antibody to antigen but which may exhibit various effector functions, such as interaction with the Fc receptor. The constant region of an immunoglobulin molecule generally has a more conserved amino acid sequence relative to an immunoglobulin variable domain.
[142] “Binding affinity” generally refers to the strength of the sum total of non-covalent interactions between a single binding site of a molecule (e.g., an antibody) and its binding partner (e.g., an antigen). Unless indicated otherwise, as used herein, “binding affinity” refers to intrinsic binding affinity which reflects a 1 : 1 interaction between members of a binding pair (e.g., antibody and antigen). The affinity of a molecule X for its partner Y may generally be represented by the dissociation constant (KD or Kd). Affinity may be measured and/or expressed in several ways known in the art, including, but not limited to, equilibrium dissociation constant (KD), and equilibrium association constant (KA or Ka). The KD is calculated from the quotient of koff/kon, whereas KA is calculated from the quotient of kon/koff kon refers to the association rate constant of, e.g., an antibody to an antigen, and koff refers to the dissociation of, e.g., an antibody to an antigen. The kon and koff may be determined by techniques known to one of ordinary skill in the art, such as BIACORE® or KinExA.
[143] As used herein, a “conservative amino acid substitution” is one in which the amino acid residue is replaced with an amino acid residue having a similar side chain. Families of amino acid residues having similar side chains have been defined in the art. These families include amino acids with basic side chains (e.g., lysine, arginine, histidine), acidic side chains (e.g., aspartic acid, glutamic acid), uncharged polar side chains (e.g., glycine, asparagine, glutamine, serine, threonine, tyrosine, cysteine, tryptophan), nonpolar side chains (e.g., alanine, valine, leucine, isoleucine, proline, phenylalanine, methionine), beta-branched side chains (e.g., threonine, valine, isoleucine) and aromatic side chains (e.g., tyrosine, phenylalanine, tryptophan, histidine). In some embodiments, one or more amino acid residues within a CDR(s) or within a framework region(s) of an antibody or antigen-binding molecule thereof may be replaced with an amino acid residue with a similar side chain.
[144] As, used herein, the term “heterologous” means from any source other than naturally occurring sequences.
[145] As used herein, an “epitope” is a term in the art and refers to a localized region of an antigen to which an antibody may specifically bind. An epitope may be, for example, contiguous amino acids of a polypeptide (linear or contiguous epitope) or an epitope can, for example, come together from two
33
SUBSTITUTE SHEET (RULE 26) or more non-contiguous regions of a polypeptide or polypeptides (conformational, non-linear, discontinuous, or non-contiguous epitope). In some embodiments, the epitope to which an antibody binds may be determined by, e.g., NMR spectroscopy, X-ray diffraction crystallography studies, ELISA assays, hydrogen/deuterium exchange coupled with mass spectrometry (e.g., liquid chromatography electrospray mass spectrometry), array -based oligo-peptide scanning assays, and/or mutagenesis mapping (e.g., site- directed mutagenesis mapping). For X-ray crystallography, crystallization may be accomplished using any of the known methods in the art (e.g., Giege R et al., (1994) Acta Crystallogr D Biol Crystallogr 50(Pt 4): 339-350; McPherson A (1990) Eur J Biochem 189: 1-23; Chayen NE (1997) Structure 5: 1269- 1274; McPherson A (1976) J Biol Chem 251: 6300-6303). Antibody: antigen crystals may be studied using well known X-ray diffraction techniques and may be refined using computer software such as X- PLOR (Yale University, 1992, distributed by Molecular Simulations, Inc.; see e.g. Meth Enzymol (1985) volumes 114 & 115, eds Wyckoff HW et al.; U.S. Patent Publication No. 2004/0014194), and BUSTER (Bricogne G (1993) Acta Crystallogr D Biol Crystallogr 49(Pt 1): 37-60; Bricogne G (1997) Meth Enzymol l(K'. 361-423, ed Carter CW; Roversi P et al., (2000) Acta Crystallogr D Biol Crystallogr 56(Pt 10): 1316-1323).
[146] As used herein, an antigen binding molecule, an antibody, or an antigen binding molecule thereof “cross-competes” with a reference antibody or an antigen binding molecule thereof if the interaction between an antigen and the first binding molecule, an antibody, or an antigen binding molecule thereof blocks, limits, inhibits, or otherwise reduces the ability of the reference binding molecule, reference antibody, or an antigen binding molecule thereof to interact with the antigen. Cross competition may be complete, e.g., binding of the binding molecule to the antigen completely blocks the ability of the reference binding molecule to bind the antigen, or it may be partial, e.g., binding of the binding molecule to the antigen reduces the ability of the reference binding molecule to bind the antigen. In some embodiments, an antigen binding molecule that cross-competes with a reference antigen binding molecule binds the same or an overlapping epitope as the reference antigen binding molecule. In other embodiments, the antigen binding molecule that cross-competes with a reference antigen binding molecule binds a different epitope as the reference antigen binding molecule. Numerous types of competitive binding assays may be used to determine if one antigen binding molecule competes with another, for example: solid phase direct or indirect radioimmunoassay (RIA); solid phase direct or indirect enzyme immunoassay (EIA); sandwich competition assay (Stahli et al., 1983, Methods in Enzymology 9:242-253); solid phase direct biotin-avidin EIA (Kirkland et al., 1986, J. Immunol. 137:3614-3619); solid phase direct labeled assay, solid phase direct labeled sandwich assay (Harlow and Lane, 1988, Antibodies, A Laboratory Manual, Cold Spring Harbor Press); solid phase direct label RIA using 1-125 label (Morel et al., 1988, Molec. Immunol. 25:7-15); solid phase direct biotin-avidin EIA (Cheung, et al., 1990, Virology 176:546-552); and direct labeled RIA (Moldenhauer et al., 1990, Scand. J. Immunol. 32:77-82).
34
SUBSTITUTE SHEET (RULE 26) [147] As used herein, the terms “immunospecifically binds,” “immunospecifically recognizes,” “specifically binds,” and “specifically recognizes” are analogous terms in the context of antibodies and refer to molecules that bind to an antigen (e.g., epitope or immune complex) as such binding is understood by one skilled in the art. For example, a molecule that specifically binds to an antigen may bind to other peptides or polypeptides, generally with lower affinity as determined by, e.g., immunoassays, BIACORE®, KinExA 3000 instrument (Sapidyne Instruments, Boise, ID), or other assays known in the art. In a specific embodiment, molecules that specifically bind to an antigen bind to the antigen with a KA that is at least 2 logs, 2.5 logs, 3 logs, 4 logs or greater than the KA when the molecules bind to another antigen.
[148] An “antigen” refers to any molecule that provokes an immune response or is capable of being bound by an antibody or an antigen binding molecule. The immune response may involve either antibody production, or the activation of specific immunologically-competent cells, or both. A person of skill in the art would readily understand that any macromolecule, including virtually all proteins or peptides, may serve as an antigen. An antigen may be endogenously expressed, i.e., expressed by genomic DNA, or may be recombinantly expressed. An antigen may be specific to a certain tissue, such as a cancer cell, or it may be broadly expressed. In addition, fragments of larger molecules may act as antigens. In some embodiments, antigens are tumor antigens.
[149] The term “autologous” refers to any material derived from the same individual to which it is later to be re-introduced. For example, the engineered autologous cell therapy (eACT™) method described herein involves collection of lymphocytes from a patient, which are then engineered to express, e.g., a CAR construct, and then administered back to the same patient.
[150] The term “allogeneic” refers to any material derived from one individual which is then introduced to another individual of the same species, e.g., allogeneic T cell transplantation.
[151] A “cancer” refers to a broad group of various diseases characterized by the uncontrolled growth of abnormal cells in the body. Unregulated cell division and growth results in the formation of malignant tumors that invade neighboring tissues and may also metastasize to distant parts of the body through the lymphatic system or bloodstream. A “cancer” or “cancer tissue” may include a tumor. The particular cancer may be responsive to chemo- or radiation therapy or the cancer may be refractory. A refractory cancer refers to a cancer that is not amenable to surgical intervention and the cancer is either initially unresponsive to chemo- or radiation therapy or the cancer becomes unresponsive over time.
[152] An “anti-tumor effect” as used herein, refers to a biological effect that may present as a decrease in tumor volume, a decrease in the number of tumor cells, a decrease in tumor cell proliferation, a decrease in the number of metastases, an increase in overall or progression-free survival, an increase in life expectancy, or amelioration of various physiological symptoms associated with the tumor. An anti -tumor effect may also refer to the prevention of the occurrence of a tumor, e.g., a vaccine.
35
SUBSTITUTE SHEET (RULE 26) [153] A “cytokine,” as used herein, refers to a non-antibody protein that is released by one cell in response to contact with a specific antigen, wherein the cytokine interacts with a second cell to mediate a response in the second cell. “Cytokine” as used herein is meant to refer to proteins released by one cell population that act on another cell as intercellular mediators. A cytokine may be endogenously expressed by a cell or administered to a subject. Cytokines may be released by immune cells, including macrophages, B cells, T cells, neutrophils, dendritic cells, eosinophils and mast cells to propagate an immune response. Cytokines may induce various responses in the recipient cell. Cytokines may include homeostatic cytokines, chemokines, pro- inflammatory cytokines, effectors, and acutephase proteins. For example, homeostatic cytokines, including interleukin (IL) 7 and IL- 15, promote immune cell survival and proliferation, and pro- inflammatory cytokines may promote an inflammatory response. Examples of homeostatic cytokines include, but are not limited to, IL-2, IL-4, IL-5, IL-7, IL- 10, IL-12p40, IL-12p70, IL-15, and interferon (IFN) gamma. Examples of pro-inflammatory cytokines include, but are not limited to, IL-la, IL-lb, IL- 6, IL-13, IL-17a, IL-23, IL-27, tumor necrosis factor (TNF)-alpha, TNF-beta, fibroblast growth factor (FGF) 2, granulocyte macrophage colony-stimulating factor (GM-CSF), soluble intercellular adhesion molecule 1 (sICAM-1), soluble vascular adhesion molecule 1 (sVCAM-1), vascular endothelial growth factor (VEGF), VEGF-C, VEGF-D, and placental growth factor (PLGF). Examples of effectors include, but are not limited to, granzyme A, granzyme B, soluble Fas ligand (sFasL), TGF-beta, IL-35, and perforin. Examples of acute phase-proteins include, but are not limited to, C-reactive protein (CRP) and serum amyloid A (SAA).
[154] The term “lymphocyte” as used herein includes natural killer (NK) cells, T cells, or B cells. NK cells are a type of cytotoxic (cell toxic) lymphocyte that represent a major component of the innate immune system. NK cells reject tumors and cells infected by viruses. It works through the process of apoptosis or programmed cell death. They were termed “natural killers” because they do not require activation in order to kill cells. T cells play a major role in cell-mediated-immunity (no antibody involvement). T cell receptors (TCR) differentiate T cells from other lymphocyte types. The thymus, a specialized organ of the immune system, is the primary site for T cell maturation. There are numerous types of T cells, including: helper T cells (e.g., CD4+ cells), cytotoxic T cells (also known as TC, cytotoxic T lymphocytes, CTL, T-killer cells, cytolytic T cells, CD8+ T cells or killer T cells), memory T cells ((i) stem memory cells (TSCM), like naive cells, are CD45RO-, CCR7+, CD45RA+, CD62L+ (L- selectin), CD27+, CD28+ and IL-7Ra+, but also express large amounts of CD95, IL-2R, CXCR3, and LFA-1, and show numerous functional attributes distinctive of memory cells); (ii) central memory cells (TCM) express L-selectin and CCR7, they secrete IL-2, but not IFNy or IL-4, and (iii) effector memory cells (TEM), however, do not express L-selectin or CCR7 but produce effector cytokines like IFNy and IL-4), regulatory T cells (Tregs, suppressor T cells, or CD4+CD25+ or CD4+ FoxP3+ regulatory T cells), natural killer T cells (NKT) and gamma delta T cells. B-cells, on the other hand, play a principal role in humoral immunity (with antibody involvement). B-cells make antibodies, are
36
SUBSTITUTE SHEET (RULE 26) capable of acting as antigen-presenting cells (APCs) and turn into memory B-cells and plasma cells, both short-lived and long-lived, after activation by antigen interaction. In mammals, immature B-cells are formed in the bone marrow.
[155] The term “genetically engineered” or “engineered” refers to a method of modifying the genome of a cell, including, but not limited to, deleting a coding or non-coding region or a portion thereof or inserting a coding region or a portion thereof. In some embodiments, the cell that is modified is a lymphocyte, e.g., a T cell, which may either be obtained from a patient or a donor. The cell may be modified to express an exogenous construct, such as, e.g., a chimeric antigen receptor (CAR) or a T cell receptor (TCR), which is incorporated into the cell's genome.
[156] An “immune response” refers to the action of a cell of the immune system (for example, T lymphocytes, B lymphocytes, natural killer (NK) cells, macrophages, eosinophils, mast cells, dendritic cells and neutrophils) and soluble macromolecules produced by any of these cells or the liver (including Abs, cytokines, and complement) that results in selective targeting, binding to, damage to, destruction of, and/or elimination from a vertebrate's body of invading pathogens, cells or tissues infected with pathogens, cancerous or other abnormal cells, or, in cases of autoimmunity or pathological inflammation, normal human cells or tissues.
[157] A “costimulatory signal,” as used herein, refers to a signal, which in combination with a primary signal, such as TCR/CD3 ligation, leads to a T cell response, such as, but not limited to, proliferation and/or upregulation or down regulation of key molecules.
[158] A “costimulatory ligand,” as used herein, includes a molecule on an antigen presenting cell that specifically binds a cognate co-stimulatory molecule on a T cell. Binding of the costimulatory ligand provides a signal that mediates a T cell response, including, but not limited to, proliferation, activation, differentiation, and the like. A costimulatory ligand induces a signal that is in addition to the primary signal provided by a stimulatory molecule, for instance, by binding of a T cell receptor (TCR)/CD3 complex with a major histocompatibility complex (MHC) molecule loaded with peptide. A co-stimulatory ligand may include, but is not limited to, 3/TR6, 4-IBB ligand, agonist or antibody that binds Toll-like receptor, B7-1 (CD80), B7-2 (CD86), CD30 ligand, CD40, CD7, CD70, CD83, herpes virus entry mediator (HVEM), human leukocyte antigen G (HLA-G), ILT4, immunoglobulin- like transcript (ILT) 3, inducible costimulatory ligand (ICOS-L), intercellular adhesion molecule (ICAM), ligand that specifically binds with B7-H3, lymphotoxin beta receptor, MHC class I chain- related protein A (MICA), MHC class I chain-related protein B (MICB), 0X40 ligand, PD-L2, or programmed death (PD) LI. A co-stimulatory ligand includes, without limitation, an antibody that specifically binds with a co-stimulatory molecule present on a T cell, such as, but not limited to, 4-IBB, B7-H3, CD2, CD27, CD28, CD30, CD40, CD7, ICOS, ligand that specifically binds with CD83,
37
SUBSTITUTE SHEET (RULE 26) lymphocyte function- associated antigen- 1 (LFA-1), natural killer cell receptor C (NKG2C), 0X40, PD-1, or tumor necrosis factor superfamily member 14 (TNFSF14 or LIGHT).
[159] A “costimulatory molecule” is a cognate binding partner on a T cell that specifically binds with a costimulatory ligand, thereby mediating a costimulatory response by the T cell, such as, but not limited to, proliferation. Costimulatory molecules include, but are not limited to, 4-1BB/CD137, B7- H3, BAFFR, BLAME (SLAMF8), BTLA, CD 33, CD 45, CD100 (SEMA4D), CD103, CD134, CD137, CD154, CD16, CD160 (BY55), CD 18, CD19, CD19a, CD2, CD22, CD247, CD27, CD276 (B7-H3), CD28, CD29, CD3 (alpha; beta; delta; epsilon; gamma; zeta), CD30, CD37, CD4, CD4, CD40, CD49a, CD49D, CD49f, CD5, CD64, CD69, CD7, CD80, CD83 ligand, CD84, CD86, CD8alpha, CD8beta, CD9, CD96 (Tactile), CD1- la, CDl-lb, CDl-lc, CDl-ld, CDS, CEACAM1, CRT AM, DAP- 10, DNAM1 (CD226), Fc gamma receptor, GADS, GITR, HVEM (LIGHTR), IA4, ICAM-1, ICAM-1, ICOS, Ig alpha (CD79a), IL2R beta, IL2R gamma, IL7R alpha, integrin, ITGA4, ITGA4, ITGA6, IT GAD, ITGAE, ITGAL, ITGAM, ITGAX, ITGB2, ITGB7, ITGB1, KIRDS2, LAT, LFA-1, LFA-1, LIGHT, LIGHT (tumor necrosis factor superfamily member 14; TNFSF14), LTBR, Ly9 (CD229), lymphocyte function-associated antigen- 1 (LFA-1 (CD1 la/CD18), MHC class I molecule, NKG2C, NKG2D, NKp30, NKp44, NKp46, NKp80 (KLRF1), 0X40, PAG/Cbp, PD-1, PSGL1, SELPLG (CD162), signaling lymphocytic activation molecule, SLAM (SLAMF1; CD150; IPO-3), SLAMF4 (CD244; 2B4), SLAMF6 (NTB-A; Lyl08), SLAMF7, SLP-76, TNF, TNFr, TNFR2, Toll ligand receptor, TRANCE/RANKL, VLA1, or VLA-6, or fragments, truncations, or combinations thereof.
[160] As used herein, a “vaccine” refers to a composition for generating immunity for the prophylaxis and/or treatment of diseases. Accordingly, vaccines are medicaments which comprise antigens and are intended to be used in humans or animals for generating specific defense and protective substances upon administration to the human or animal.
[161] As used herein, a “neoantigen” refers to a class of tumor antigens which arises from tumorspecific mutations in an expressed protein.
[162] As used herein, a “fusion protein” is a protein with at least two domains that are encoded by separate genes that have been joined to transcribe for a single peptide.
2. IONIZABLE LIPIDS
[163] In certain embodiments described herein are ionizable lipids that may be used as a component of a transfer vehicle to facilitate or enhance the delivery and release of circular RNA to one or more target cells (e.g., by permeating or fusing with the lipid membranes of such target cells). In certain embodiments, an ionizable lipid comprises one or more cleavable functional groups that allow, for example, a hydrophilic functional head-group to dissociate from a lipophilic functional tail-group of the compound (e.g., upon exposure to oxidative, reducing or acidic conditions), thereby facilitating a phase transition in the lipid bilayer of the one or more target cells.
38
SUBSTITUTE SHEET (RULE 26) [164] In various embodiments, an ionizable lipid of the present disclosure is represented by
Formula (22) or is a pharmaceutically acceptable salt thereof, wherein:
R
a is hydrogen or hydroxyl;
R1* and R2* are independently selected from:
-(CH2)qC(O)O(CH2)rC(R4)(R5)(R6),
-(CH2)qOC(O)(CH2)rC(R4)(R5)(R6), and
-(CH2)qOC(O)O(CH2)rC(R4)(R5)(R6); wherein: q is an integer from 0 to 12, r is an integer from 0 to 6, wherein at least one occurrence of r is not 0;
R4 is hydrogen or R7;
R5, R6, and R7 are each independently Ci-C2o alkyl or C2-C2o alkenyl; wherein (i) R1 is R1*, (ii) R2 is R2*, or (iii) R1 is R1* and R2 is R2*; and
R3 is L-R’, wherein L is linear or branched C1-C10 alkylene, and R’ is (i) mono- or bicyclic heterocyclyl or heteroaryl, such as imidazolyl, pyrazolyl, 1,2,4-triazolyl, or benzimidazolyl, each optionally substituted at one or more available carbon and nitrogen by Ci-Ce alkyl, or (ii) RA, RB, or Rc, wherein
SUBSTITUTE SHEET (RULE 26)
SUBSTITUTE SHEET (RULE 26)
SUBSTITUTE SHEET (RULE 26)
SUBSTITUTE SHEET (RULE 26)
SUBSTITUTE SHEET (RULE 26)
with the proviso that the ionizable lipid is not:
SUBSTITUTE SHEET (RULE 26)
SUBSTITUTE SHEET (RULE 26)
SUBSTITUTE SHEET (RULE 26) [165] In some embodiments of Formula (22), Ra is hydrogen. In some embodiments of Formula (22), Ra is hydroxyl.
[166] In some embodiments of Formula (22), R3 is L-R’, where L is linear or branched Ci-Cs alkylene. In some embodiments of Formula (22), L is linear or branched Ci-Ce alkylene. In some embodiments of Formula (22), L is linear or branched C1-C5 alkylene. In some embodiments of Formula (22), L is linear or branched C1-C4 alkylene. In some embodiments of Formula (22), L is linear or branched C1-C3 alkylene.
[167] In some embodiments of Formula (22), L is -(CH2)n-, wherein n is from 1 to 5, such as 1, 2, 3, 4, or 5.
[168] In some embodiments of Formula (22), R3 is L-R’, where R’ is mono- or bicyclic heterocyclyl or heteroaryl, such as imidazolyl, pyrazolyl, 1,2,4-triazolyl, or benzimidazolyl, each optionally substituted at one or more available carbon and nitrogen by Ci-Ce alkyl. In some embodiments of Formula (22), R’ is imidazolyl.
[169] In some embodiments of Formula (22), R3 is L-R’, where L is linear or branched C1-C5 alkylene and R’ is mono- or bicyclic heterocyclyl or heteroaryl, such as imidazolyl, pyrazolyl, 1,2,4- triazolyl, or benzimidazolyl, each optionally substituted at one or more available carbon and nitrogen by Ci-Ce alkyl. In some embodiments of Formula (22), L is linear or branched C1-C5 alkylene and R’ is imidazolyl.
[170] In certain embodiments of Formula (22), R’ is RA as described herein. In other embodiments of Formula (22), R’ is RB as described herein. In yet other embodiments of Formula (22), R’ is Rc as described herein.
[171] In some embodiments of Formula (22), R
3 is selected from:
SUBSTITUTE SHEET (RULE 26)
[172] In some embodiments of Formula (22), In some embodiments of Formula (22), R1 and R2 are independently a linear or branched C1-C20 alkyl. In some embodiments of Formula (22), R1 and R2 are independently a linear or branched C1-C12 alkyl. In some embodiments of Formula (22), R1 and R2 are independently a linear or branched C1-C10 alkyl. In some embodiments of Formula (22), R1 and R2 are independently a linear or branched Ci-Cs alkyl. In some embodiments of Formula (22), R1 and R2 are independently a linear or branched Ci-Ce alkyl.
[173] In some embodiments of Formula (22), R1* is -(CH2)qC(O)O(CH2)rC(R4)(R5)(R6).
[174] In some embodiments of Formula (22), R1* is -(CH2)qOC(O)(CH2)rC(R4)(R5)(R6). In some embodiments of Formula (22), R1* is -(CH2)qOC(O)O(CH2)rC(R4)(R5)(R6).
[175] In some embodiments of Formula (22), R2* is -(CH2)qC(O)O(CH2)rC(R4)(R5)(R6).
[176] In some embodiments of Formula (22), R2* is -(CH2)qOC(O)(CH2)rC(R4)(R5)(R6). In some embodiments of Formula (22), R2* is -(CH2)qOC(O)O(CH2)rC(R4)(R5)(R6).
[177] In some embodiments of Formula (22), R1 is linear or branched C1-C30 alkyl and R2 is R2*. In some embodiments of Formula (22), R1 is R1* and is R2 is linear or branched C1-C30 alkyl. In some embodiments of Formula (22), R1 is R1* and R2 is R2*.
[178] In some embodiments of Formula (22), R1* is -(CH2)qC(O)O(CH2)rC(R4)(R5)(R6).
In some embodiments of Formula (22), R1* is -(CH2)qOC(O)(CH2)rC(R4)(R5)(R6). In some embodiments of Formula (22), R1* is -(CH2)qOC(O)O(CH2)rC(R4)(R5)(R6).
[179] In some embodiments of Formula (22), R2* is the same as R1* ("same" referring to identical substituents). In some embodiments of Formula (22), R1* and R2* are
(CH2)qC(O)O(CH2)rC(R4)(R5)(R6), where q, r, R4, R5, and R6 are the same. In some embodiments of Formula (22), R1* and R2* are — (CH2)qOC(O)(CH2)rC(R4)(R5)(R6), where q, r, R4, R5, and R6 are the same. In some embodiments of Formula (22), R1* and R2* are -(CH2)qOC(O)O(CH2)rC(R4)(R5)(R6), where q, r, R4, R5, and R6 are the same.
[180] In some embodiments of Formula (22), R1* and R2* are different. "Different" refers to any non-equivalence between R1* and R2*, i.e., the chemical identity of R’*/R2* and the identity of the substituents (q, r, R4, R5, and R6). For example, R1* and R2 * are different if R1* and R2* are both -
SUBSTITUTE SHEET (RULE 26) (CH2)qC(O)O(CH2)rC(R4)(R5)(R6), but q of R1* is 5 and q of R2* is 4 (where r, R4, R5, and R6 of R1* and R2* are identical).
[181] In some embodiments of Formula (22), R1* and R2* are
(CH2)qC(O)O(CH2)rC(R4)(R5)(R6). In some embodiments of Formula (22), R1* is (CH2)qC(O)O(CH2)rC(R4)(R5)(R6) and R2* is -(CH2)qOC(O)(CH2)rC(R4)(R5)(R6). In some embodiments of Formula (22), R1* is -(CH2)qC(O)O(CH2)rC(R4)(R5)(R6) and R2* is - (CH2)qOC(O)O(CH2)rC(R4)(R5)(R6).
[182] In some embodiments of Formula (22), R1* and R2* are
(CH2)qOC(O)(CH2)rC(R4)(R5)(R6). In some embodiments of Formula (22), R1* is (CH2)qOC(O)(CH2)rC(R4)(R5)(R6) and R2* is -(CH2)qC(O)O(CH2)rC(R4)(R5)(R6). In some embodiments of Formula (22), R1* is -(CH2)qOC(O)(CH2)rC(R4)(R5)(R6) and R2* is - (CH2)qOC(O)O(CH2)rC(R4)(R5)(R6).
[183] In some embodiments of Formula (22), R1* and R2* are-
(CH
2)
qOC(O)O(CH
2)
rC(R
4)(R
5)(R
6). In some embodiments of Formula (22), R
1* is -
[184] In some embodiments of Formula (22), q of R1* and q of R2* are different integers. In some embodiments of Formula (22), r of R1* and r of R2* are different integers.
[185] In some embodiments of Formula (22), R4, R5, and R6 of R1*, collectively, are different than R4, R5, and R6 of R2*, collectively. “Collectively different” refers to any non-equivalence between the entire grouping of R4, R5, and R6. For example, if, for R1*, R4 is hydrogen, R5 is Cw alkyl, and R6 is Cs alkyl; and, for R2*, R4 is hydrogen, R5 is Cs alkyl, and R is Cw alkyl; R1* and R2* are not collectively different.
[186] In some embodiments of Formula (22), q is from 1 to 12. In some embodiments of Formula (22), q is from 1 to 10. In some embodiments of Formula (22), q is from 1 to 8. In some embodiments of Formula (22), q is from 1 to 6. In some embodiments of Formula (22), q is from 3 to 6. In some embodiments of Formula (22), q is 4. In some embodiments of Formula (22), q is 5. In some embodiments of Formula (22), q is 6.
[187] In some embodiments of Formula (22), r is from 0 to 6, wherein at least one occurrence of r is not 0 (i.e., when R1 is R1* and R2 is R2*). In some embodiments of Formula (22), r is from 1 to 6. In some embodiments of Formula (22), r is 1. In some embodiments of Formula (22), r is 2. In some embodiments of Formula (22), r is 3. In some embodiments of Formula (22), r is 4. In some embodiments of Formula (22), r is 5.
49
SUBSTITUTE SHEET (RULE 26) [188] In some embodiments of Formula (22), R4 is hydrogen. In some embodiments of Formula (22), R4 is linear or branched C1-C20 alkyl. In some embodiments of Formula (22), R4 is linear or branched C2-C20 alkenyl.
[189] In some embodiments of Formula (22), R5 is linear or branched C1-C20 alkyl. In some embodiments of Formula (22), R5 is linear or branched C1-C15 alkyl. In some embodiments of Formula (22), R5 is linear or branched C1-C10 alkyl. In some embodiments of Formula (22), linear or branched R5 is Ci-Cs alkyl. In some embodiments of Formula (22), R5 is linear or branched Ci-Ce alkyl. In some embodiments of Formula (22), R5 is linear or branched C3-C15 alkyl. In some embodiments of Formula (22), R5 is linear or branched C3-C10 alkyl. In some embodiments of Formula (22), R5 is linear or branched C3-C8 alkyl. In some embodiments of Formula (22), R5 is linear or branched C3-C6 alkyl.
[190] In some embodiments of Formula (22), R6 is linear or branched C1-C20 alkyl. In some embodiments of Formula (22), R6 is linear or branched C1-C15 alkyl. In some embodiments of Formula (22), R6 is linear or branched C1-C10 alkyl. In some embodiments of Formula (22), R6 is linear or branched Ci-Cs alkyl. In some embodiments of Formula (22), R6 is linear or branched Ci-Ce alkyl. In some embodiments of Formula (22), R6 is linear or branched C3-C15 alkyl. In some embodiments of Formula (22), R6 is linear or branched C3-C10 alkyl. In some embodiments of Formula (22), R6 is linear or branched C3-C8 alkyl. In some embodiments of Formula (22), R6 is linear or branched C3-C6 alkyl.
[191] In some embodiments of Formula (22), R4 is hydrogen, R5 is linear or branched C1-C20 alkyl and R6 is linear or branched C1-C20 alkyl. In some embodiments of Formula (22), R4 is hydrogen, R5 is linear or branched C1-C10 alkyl and R6 is linear or branched C1-C10 alkyl. In some embodiments of Formula (22), R4 is hydrogen, R5 is linear or branched C4 alkyl and R6 is linear or branched Ce alkyl. In some embodiments of Formula (22), R4 is hydrogen, R5 is linear or branched C5 alkyl and R6 is linear or branched C7 alkyl. In some embodiments of Formula (22), R4 is hydrogen, R5 is Ce linear or branched alkyl and R6 is linear or branched Cs alkyl.
[192] In some embodiments of Formula (22), R
1 is R
1*, R
2 is R
2*, and the ionizable lipid is of Formula (23):
Formula (23) or is a pharmaceutically acceptable salt thereof, wherein: q and q’ are each independently integers from 0 to 12; r and r’ are each independently integers from 0 to 6, wherein at least one of r or r’ is not 0;
50
SUBSTITUTE SHEET (RULE 26) ZA and ZB are each independently selected fromA-C(O)O-,A-OC(O), and -OC(O)O-; whereA denotes the attachment point to -(CFFX- or -(CH2)q and
R5A RSB R6AANC| R6Bare each indepen(ientiy C1-C20 alkyl or C2-C20 alkenyl.
[193] In some embodiments of Formula (23), ZA isA-C(O)O- and ZB isA-C(O)O-. In some embodiments of Formula (23), ZA isA-C(O)O- and ZB isA-OC(O)-. In some embodiments of Formula (23), ZA isA-C(O)O- and ZB is -OC(O)O-. In some embodiments of Formula (23), ZA isA-OC(O)- and ZB isA-C(O)O In some embodiments of Formula (23). ZA isA-OC(O)- and ZB isA-OC(O)-. In some embodiments of Formula (23), ZA isA-OC(O)- and ZB is -OC(O)O-. In some embodiments of Formula (23), ZA is -OC(O)O- and ZB isA-C(O)O -. In some embodiments of Formula (23), ZA is -OC(O)O- and ZB isA-OC(O)-. In some embodiments of Formula (23), ZA is -OC(O)O- and ZB is -OC(O)O-.
[194] In some embodiments of Formula (23), Z
A and Z
B are
A-C(O)O-, and the ionizable lipid is of Formula (23 a- 1 ) :
Formula (23 a- 1)
[195] In some embodiments of Formula (23), Z
A and Z
B are
A-OC(O)-, and the ionizable lipid is of Formula (23a-2)
Formula (23a-2)
[196] In some embodiments of Formula (23), Z
A and Z
B are -O(C)(O)O-, and the ionizable lipid is represented by Formula (23a-3):
Formula (23a-3)
51
SUBSTITUTE SHEET (RULE 26) [197] In some embodiments of Formula (23)-(23a-3), Ra is hydrogen. In some embodiments of Formula (23)-(23a-3), Ra is hydroxyl.
[198] In some embodiments of Formula (23)-(23a-3), R3 is L-R’, where L is linear or branched Ci-Cs alkylene. In some embodiments of Formula (23)-(23a-3), L is linear or branched Ci-Ce alkylene. In some embodiments of Formula (23)-(23a-3), L is linear or branched C1-C5 alkylene. In some embodiments of Formula (23)-(23a-3), L is linear or branched C1-C4 alkylene. In some embodiments of Formula (23)-(23a-3), L is linear or branched C1-C3 alkylene.
[199] In some embodiments of Formula (23)-(23a-3), L is -(CH2)n-, wherein n is from 1 to 5, such as 1, 2, 3, 4, or 5.
[200] In some embodiments of Formula (23)-(23a-3), R3 is L-R’, where R’ is mono- or bicyclic heterocyclyl or heteroaryl, such as imidazolyl, pyrazolyl, 1,2,4-triazolyl, or benzimidazolyl, each optionally substituted at one or more available carbon and nitrogen by Ci-Ce alkyl. In some embodiments of Formula (23)-(23a-3), R’ is imidazolyl.
[201] In some embodiments of Formula (23)-(23a-3), R3 is L-R’, where L is linear or branched C1-C5 alkylene and R’ is mono- or bicyclic heterocyclyl or heteroaryl, such as imidazolyl, pyrazolyl, 1,2,4-triazolyl, or benzimidazolyl, each optionally substituted at one or more available carbon and nitrogen by Ci-Ce alkyl. In some embodiments of Formula (23)-(23a-3), L is linear or branched C1-C5 alkylene and R’ is imidazolyl.
[202] In certain embodiments of Formula (23)-(23a-3), R’ is RA as described herein. In other embodiments of Formula (23)-(23a-3), R’ is RB as described herein. In yet other embodiments of Formula (23)-(23a-3), R’ is Rc as described herein.
[203] In some embodiments of Formula (23)-(23a-3), R
3 is selected from:
SUBSTITUTE SHEET (RULE 26)
[204] In some embodiments of Formulass (23)-(23a-3), R5A is linear or branched C1-C20 alkyl. In some embodiments of Formulass (23)-(23a-3), R5A is linear or branched C1-C15 alkyl. In some embodiments of Formulass (23)-(23a-3), R5A is linear or branched Ci-Cw alkyl. In some embodiments of Formulass (23)-(23a-3), R5A is linear or branched Ci-Cs alkyl. In some embodiments of Formulass (23)-(23a-3), R5A is linear or branched Ci-Ce alkyl. In some embodiments of Formulass (23)-(23a-3), R5A is linear or branched C3-C15 alkyl. In some embodiments of Formulass (23)-(23a-3), R5A is linear or branched C3-C10 alkyl. In some embodiments of Formulass (23)-(23a-3), R5A is linear or branched C3-C8 alkyl. In some embodiments of Formulass (23)-(23a-3), R5A is linear or branched C3-C6 alkyl.
[205] In some embodiments of Formulass (23)-(23a-3), R6A is linear or branched C1-C20 alkyl. In some embodiments of Formulas (23)-(23a-3), R6A is linear or branched C1-C15 alkyl. In some embodiments of Formulas (23)-(23a-3), R6A is linear or branched C1-C10 alkyl. In some embodiments of Formulas (23)-(23a-3), R6A is linear or branched Ci-Cs alkyl. In some embodiments of Formulas (23)-(23a-3), R6A is linear or branched Ci-Ce alkyl. In some embodiments of Formulas (23)-(23a-3), R6A is linear or branched C3-C15 alkyl. In some embodiments of Formulas (23)-(23a-3), R6A is linear or branched C3-C10 alkyl. In some embodiments of Formulas (23)-(23a-3), R6A is linear or branched C3-C8 alkyl. In some embodiments, R6A is linear or branched C3-C6 alkyl.
[206] In some embodiments of Formulas (23)-(23a-3), R5B is linear or branched C1-C20 alkyl. In some embodiments of Formulas (23)-(23a-3), R5B is linear or branched C1-C15 alkyl. In some embodiments of Formulas (23)-(23a-3), R5B is linear or branched Ci-Cw alkyl. In some embodiments of Formulas (23)-(23a-3), R5B is linear or branched Ci-Cs alkyl. In some embodiments of Formulas (23)-(23a-3), R5B is linear or branched Ci-Ce alkyl. In some embodiments of Formulas (23)-(23a-3), R5B is linear or branched C3-C15 alkyl. In some embodiments of Formulas (23)-(23a-3), R5B is linear or branched C3-C10 alkyl. In some embodiments of Formulas (23)-(23a-3), R5B is linear or branched C3-C8 alkyl. In some embodiments of Formulas (23)-(23a-3), R5B is linear or branched C3-C6 alkyl.
[207] In some embodiments of Formulas (23)-(23a-3), R6B is linear or branched C1-C20 alkyl. In some embodiments of Formulas (23)-(23a-3), R6B is linear or branched C1-C15 alkyl. In some embodiments of Formulas (23)-(23a-3), R6B is linear or branched Ci-Cw alkyl. In some embodiments of Formulas (23)-(23a-3), R6B is linear or branched Ci-Cs alkyl. In some embodiments of Formulas (23)-(23a-3), R6B is linear or branched Ci-Ce alkyl. In some embodiments of Formulas (23)-(23a-3), R6B is linear or branched C3-C15 alkyl. In some embodiments of Formulas (23)-(23a-3), R6B is linear or
53
SUBSTITUTE SHEET (RULE 26) branched C3-C10 alkyl. In some embodiments of Formulas (23)-(23a-3), R6B is linear or branched C3- C8 alkyl. In some embodiments, R6B is linear or branched Cs-Ce alkyl.
[208] In some embodiments of Formulas (23)-(23a-3), R5B and R6B are different. In some embodiments of Formulas (23)-(23a-3), R5A and R6A are different. In some embodiments of Formulas (23)-(23a-3), R5B and R6B are different, and R5A and R6A are different.
[209] In some embodiments of Formulas (23)-(23a-3), R5A is Cs and R6A is Cs+2, wherein s is the number of carbons in the C1-C20 alkyl or C2-C20 alkenyl group. In some embodiments of Formulas (23)-(23a-3), R5B is Cs and R6B is Cs+2, wherein s is the number of carbons in the C1-C20 alkyl or C2-C20 alkenyl group. In some embodiments of Formulas (23)-(23a-3), (i) R5A is Cs and R6A is Cs+2 and (ii) R5B is Cs and R6B is Cs+2. In some embodiments of Formulas (23)-(23a-3), s is an integer from 3 to 12. In some embodiments of Formulas (23)-(23a-3), s is 4. In some embodiments of Formulas (23)- (23a-3), s is 5. In some embodiments of Formulas (23)-(23a-3), s is 6. In some embodiments of Formulas (23)-(23a-3), s is 7. In some embodiments of Formulas (23)-(23a-3), s is 8. In some embodiments of Formulas (23)-(23a-3), s is 9. In some embodiments of Formulas (23)-(23a-3), s is 10. In some embodiments of Formulas (23)-(23a-3), s is 11.
[210] In some embodiments of Formulas (23)-(23a-3), n is from 2 to 6. In some embodiments of Formulas (23)-(23a-3), n is 2. In some embodiments of Formulas (23)-(23a-3), n is 3. In some embodiments of Formulas (23)-(23a-3), n is 4. In some embodiments of Formulas (23)-(23a-3), n is 5. In some embodiments of Formulas (23)-(23a-3), n is 6.
[2H] In some embodiments of Formulas (23)-(23a-3), q is from 1 to 12. In some embodiments of Formulas (23)-(23a-3), q is from 1 to 10. In some embodiments of Formulas (23)-(23a-3), q is from 1 to 6. In some embodiments of Formulas (23)-(23a-3), q is from 1 to 4. In some embodiments of Formulas (23)-(23a-3), q is 2. In some embodiments of Formulas (23)-(23a-3), q is 3. In some embodiments of Formulas (23)-(23a-3), q is 4. In some embodiments of Formulas (23)-(23a-3), q is 5.
[212] In some embodiments of Formulas (23)-(23a-3), q’ is from 1 to 12. In some embodiments of Formulas (23)-(23a-3), q’ is from 1 to 10. In some embodiments of Formulas (23)-(23a-3), q’ is from 1 to 6. In some embodiments of Formulas (23)-(23a-3), q’ is from 1 to 4. In some embodiments of Formulas (23)-(23a-3), q’ is 2. In some embodiments of Formulas (23)-(23a-3), q’ is 3. In some embodiments of Formulas (23)-(23a-3), q’ is 4. In some embodiments of Formulas (23)-(23a-3), q’ is 5.
[213] In some embodiments of Formulas (23)-(23a-3), r is 0. In some embodiments of Formulas (23)-(23a-3), r is from 1 to 6. In some embodiments of Formulas (23)-(23a-3), r is from 1 to 4. In some embodiments of Formulas (23)-(23a-3), r is 1. In some embodiments of Formulas (23)-(23a-3), r is 2. In some embodiments of Formulas (23)-(23a-3), r is 3. In some embodiments of Formulas (23)-(23a-
54
SUBSTITUTE SHEET (RULE 26) 3), r is 4.
[214] In some embodiments of Formulas (23)-(23a-3), r’ is 0. In some embodiments of Formulas (23)-(23a-3), r’ is from 1 to 6. In some embodiments of Formulas (23)-(23a-3), r’ is from 1 to 4. In some embodiments of Formulas (23)-(23a-3), r’ is 1. In some embodiments of Formulas (23)-(23a-3), r’ is 2. In some embodiments of Formulas (23)-(23a-3), r’ is 3. In some embodiments of Formulas (23)- (23a-3), r’ is 4.
[215] In some embodiments of Formulas (23)-(23a-3), r and r’ are different. In some embodiments of Formulas (23)-(23a-3), (a) r is 0 and r’ is 1, 2, 3 or 4; (b) r is 1 and r’ is 0, 2, 3, or 4; (c) r is 2 and r’ is 0, 1, 3, or 4; (d) r is 3 and r’ is 0, 1, 2, or 4; or (e) r is 4 and r’ is 0, 1, 2, or 3. In some embodiments of Formulas (23)-(23a-3), (a) r’ is 0 and r is 1, 2, 3, or 4; (b) r’ is 1 and r is 0, 2, 3, or 4; (c) r’ is 2 and r is 0, 1, 3, or 4; (d) r’ is 3 and r is 0, 1, 2, or 4; or (e) r’ is 4 and r is 0, 1, 2, or 3.
[216] In some embodiments of Formula (22), R
1 is C1-C30 alkyl, and the ionizable lipid is of Formula (24):
Formula (24) or is a pharmaceutically acceptable salt thereof, wherein:
ZA is selected fromA-C(O)O-,A-OC(O)-, and -OC(O)O-; whereA denotes the attachment point to -(CH2)q-;
R5A and R6A are each independently C1-C20 alkyl or C2-C20 alkenyl; q is an integer from 0 to 12; and r is an integer from 1 to 6.
[217] In some embodiments of Formula (24), Z
A is
A-C(O)O-, and the ionizable lipid is of Formula (24a- 1):
Formula (24a- 1)
[218] In some embodiments of Formula (24), ZA isA-OC(O)-, and the ionizable lipid is of Formula (24a-2):
55
SUBSTITUTE SHEET (RULE 26)
Formula (24a-2)
[219] In some embodiments of Formula (24), Z
A is -OC(O)O-, and the ionizable lipid is of Formula (24a-3):
Formula (24a-3)
[220] In some embodiments of Formulas (24)-(24a-3), Ra is hydrogen. In some embodiments of Formulas (24)-(24a-3), Ra is hydroxyl.
[221] In some embodiments of Formulas (24)-(24a-3), R3 is L-R’, where L is linear or branched Ci-Cs alkylene. In some embodiments ofFormulas (24)-(24a-3), L is linear or branched Ci-Ce alkylene. In some embodiments of Formulas (24)-(24a-3), L is linear or branched C1-C5 alkylene. In some embodiments ofFormulas (24)-(24a-3), L is linear or branched C1-C4 alkylene. In some embodiments ofFormulas (24)-(24a-3), L is linear or branched C1-C3 alkylene.
[222] In some embodiments of Formulas (24)-(24a-3), L is -(CH2)n-, wherein n is from 1 to 5, such as 1, 2, 3, 4, or 5.
[223] In some embodiments ofFormulas (24)-(24a-3), R3 is L-R’, where R’ is mono- or bicyclic heterocyclyl or heteroaryl, such as imidazolyl, pyrazolyl, 1,2,4-triazolyl, or benzimidazolyl, each optionally substituted at one or more available carbon and nitrogen by Ci-Ce alkyl. In some embodiments ofFormulas (24)-(24a-3), R’ is imidazolyl.
[224] In some embodiments ofFormulas (24)-(24a-3), R3 is L-R’, where L is linear or branched C1-C5 alkylene and R’ is mono- or bicyclic heterocyclyl or heteroaryl, such as imidazolyl, pyrazolyl, 1,2,4-triazolyl, or benzimidazolyl, each optionally substituted at one or more available carbon and nitrogen by Ci-Ce alkyl. In some embodiments ofFormulas (24)-(24a-3), L is linear or branched C1-C5 alkylene and R’ is imidazolyl.
56
SUBSTITUTE SHEET (RULE 26) [225] In certain embodiments of Formulas (24)-(24a-3), R’ is RA as described herein. In other embodiments of Formulas (24)-(24a-3), R’ is RB as described herein. In yet other embodiments of Formulas (24)-(24a-3), R’ is Rc as described herein.
[226] In some embodiments of Formulas (24)-(24a-3), R
3 is selected from:
[227] In some embodiments of Formulas (24)-(24a-3), R1 is a linear or branched C1-C20 alkyl. In some embodiments of Formulas (24)-(24a-3), R1 is a linear or branched C1-C12 alkyl. In some embodiments of Formulas (24)-(24a-3), R1 is a linear or branched C1-C10 alkyl. In some embodiments of Formulas (24)-(24a-3), R1 is a linear or branched Ci-Cs alkyl. In some embodiments of Formulas (24)-(24a-3), R1 is a linear or branched Ci-Ce alkyl.
[228] In some embodiments of Formulas (24)-(24a-3), R5A is a linear or branched C1-C20 alkyl. In some embodiments of Formulas (24)-(24a-3), R5A is a linear or branched C1-C15 alkyl. In some embodiments of Formulas (24)-(24a-3), R5A is a linear or branched C1-C10 alkyl. In some embodiments of Formulas (24)-(24a-3), R5A is a linear or branched Ci-Cs alkyl. In some embodiments of Formulas (24)-(24a-3), R5A is a linear or branched Ci-Ce alkyl. In some embodiments of Formulas (24)-(24a-3), R5A is a linear or branched C3-C15 alkyl. In some embodiments of Formulas (24)-(24a-3), R5A is a linear or branched C3-C10 alkyl. In some embodiments of Formulas (24)-(24a-3), R5A is a linear or branched C3-C8 alkyl. In some embodiments of Formulas (24)-(24a-3), R5A is a linear or branched C3-C6 alkyl.
[229] In some embodiments of Formulas (24)-(24a-3), R6A is a linear or branched C1-C20 alkyl. In some embodiments of Formulas (24)-(24a-3), R6A is a linear or branched C1-C15 alkyl. In some embodiments of Formulas (24)-(24a-3), R6A is a linear or branched C1-C10 alkyl. In some embodiments of Formulas (24)-(24a-3), R6A is a linear or branched Ci-Cs alkyl. In some embodiments of Formulas
57
SUBSTITUTE SHEET (RULE 26) (24)-(24a-3), R6A is a linear or branched Ci-Ce alkyl. In some embodiments of Formulas (24)-(24a-3), R6A is a linear or branched C3-C15 alkyl. In some embodiments of Formulas (24)-(24a-3), R6A is a linear or branched C3-C10 alkyl. In some embodiments of Formulas (24)-(24a-3), R6A is a linear or branched C3-C8 alkyl. In some embodiments of Formulas (24)-(24a-3), R6A is a linear or branched C3-C6 alkyl.
[230] In some embodiments of (24)-(24a-3), R5A and R6A are different. In some embodiments of (24)-(24a-3), R5A is Cs and R6A is Cs+2, wherein s is the number of carbons in the C1-C20 alkyl or C2-C20 alkenyl group. In some embodiments of Formulas (24)-(24a-3), s is an integer from 3 to 12. In some embodiments of Formulas (24)-(24a-3), s is 4. In some embodiments of Formulas (24)-(24a- 3), s is 5. In some embodiments of Formulas (24)-(24a-3), s is 6. In some embodiments of Formulas (24)-(24a-3), s is 7. In some embodiments of Formulas (24)-(24a-3), s is 8. In some embodiments of Formulas (24)-(24a-3), s is 9. In some embodiments of Formulas (24)-(24a-3), s is 10. In some embodiments of Formulas (24)-(24a-3), s is 11.
[231] In some embodiments of Formulas (24)-(24a-3), n is from 2 to 6. In some embodiments of Formulas (24)-(24a-3), n is 2. In some embodiments of Formulas (24)-(24a-3), n is 3. In some embodiments of Formulas (24)-(24a-3), n is 4. In some embodiments of Formulas (24)-(24a-3), n is 5. In some embodiments of Formulas (24)-(24a-3), n is 6.
[232] In some embodiments of Formulas (24)-(24a-3), q is from 1 to 12. In some embodiments of Formulas (24)-(24a-3), q is from 1 to 10. In some embodiments of Formulas (24)-(24a-3), q is from 1 to 6. In some embodiments of Formulas (24)-(24a-3), q is from 1 to 4. In some embodiments of Formulas (24)-(24a-3), q is 2. In some embodiments of Formulas (24)-(24a-3), q is 3. In some embodiments of Formulas (24)-(24a-3), q is 4. In some embodiments of Formulas (24)-(24a-3), q is 5.
[233] In some embodiments of Formulas (24)-(24a-3), r is 0. In some embodiments of Formulas (24)-(24a-3), r is from 1 to 6. In some embodiments of Formulas (24)-(24a-3), r is from 1 to 4. In some embodiments of Formulas (24)-(24a-3), r is 1. In some embodiments of Formulas (24)-(24a-3), r is 2. In some embodiments of Formulas (24)-(24a-3), r is 3. In some embodiments of Formulas (24)-(24a- 3), r is 4.
[234] In some embodiments of Formula (22), R
2 is C1-C30 alkyl, and the ionizable lipid is of Formula (25):
Formula (25) or is a pharmaceutically acceptable salt thereof, wherein:
58
SUBSTITUTE SHEET (RULE 26) ZB is selected fromA-C(O)O-,A-OC(O)-, and -OC(O)O-; whereA denotes the attachment point to -(CH2)q -;
R5B and R6B are each independently C1-C20 alkyl or C2-C20 alkenyl; q’ is an integer from 0 to 12; and r’ is an integer from 1 to 6.
[235] In some embodiments of Formula (25), Z
B is
A-C(O)O-, and the ionizable lipid is of Formula (25a- 1):
Formula (25a-l)
[236] In some embodiments of Formula (25), Z
B is
A-OC(O)-, and the ionizable lipid is of Formula (25a-2):
Formula (25a-2)
[237] In some embodiments of Formula (25), Z
B is -OC(O)O-, and the ionizable lipid is of Formula (25a-3):
Formula (25a-3)
[238] In some embodiments of Formulas (25)-(25a-3), Ra is hydrogen. In some embodiments of Formulas (25)-(25a-3), Ra is hydroxyl.
[239] In some embodiments of Formulas (25)-(25a-3), R3 is L-R’, where L is linear or branched C1-C10 alkylene. In some embodiments ofFormulas (25)-(25a-3), L is linear or branched Ci-Cs alkylene. In some embodiments of Formulas (25)-(25a-3), L is linear or branched Ci-Ce alkylene. In some embodiments ofFormulas (25)-(25a-3), L is linear or branched C1-C5 alkylene. In some embodiments
59
SUBSTITUTE SHEET (RULE 26) of Formulas (25)-(25a-3), L is linear or branched C1-C4 alkylene. In some embodiments of Formulas (25)-(25a-3), L is linear or branched C1-C3 alkylene.
[240] In some embodiments of Formulas (25)-(25a-3), L is -(CH2)n-, wherein n is from 1 to 5, such as 1, 2, 3, 4, or 5.
[241] In some embodiments of Formulas (25)-(25a-3), R3 is L-R’, where R’ is mono- or bicyclic heterocyclyl or heteroaryl, such as imidazolyl, pyrazolyl, 1,2,4-triazolyl, or benzimidazolyl, each optionally substituted at one or more available carbon and nitrogen by Ci-Ce alkyl. In some embodiments of Formulas (25)-(25a-3), R’ is imidazolyl.
[242] In some embodiments of Formulas (25)-(25a-3), R3 is L-R’, where L is linear or branched C1-C5 alkylene and R’ is mono- or bicyclic heterocyclyl or heteroaryl, such as imidazolyl, pyrazolyl, 1,2,4-triazolyl, or benzimidazolyl, each optionally substituted at one or more available carbon and nitrogen by Ci-Ce alkyl. In some embodiments of Formulas (25)-(25a-3), L is linear or branched C1-C5 alkylene and R’ is imidazolyl.
[243] In certain embodiments of Formulas (25)-(25a-3), R’ is RA as described herein. In other embodiments of Formulas (25)-(25a-3), R’ is RB as described herein. In yet other embodiments of Formulas (25)-(25a-3), R’ is Rc as described herein.
[244] In some embodiments of Formulas (25)-(25a-3), R
3 is selected from:
[245] In some embodiments of Formulas (25)-(25a-3), R2 is a linear or branched C1-C20 alkyl. In some embodiments of Formulas (25)-(25a-3), R2 is a linear or branched C1-C12 alkyl. In some embodiments of Formulas (25)-(25a-3), R2 is a linear or branched C1-C10 alkyl. In some embodiments
60
SUBSTITUTE SHEET (RULE 26) of Formulas (25)-(25a-3), R2 is a linear or branched Ci-Cs alkyl. In some embodiments of Formulas (25)-(25a-3), R2 is a linear or branched Ci-Ce alkyl.
[246] In some embodiments of Formulas (25)-(25a-3), R5B is a linear or branched C1-C20 alkyl. In some embodiments of Formulas (25)-(25a-3), R5B is a linear or branched C1-C15 alkyl. In some embodiments of Formulas (25)-(25a-3), R5B is a linear or branched C1-C10 alkyl. In some embodiments of Formulas (25)-(25a-3), R5B is a linear or branched Ci-Cs alkyl. In some embodiments of Formulas (25)-(25a-3), R5B is a linear or branched Ci-Ce alkyl. In some embodiments of Formulas (25)-(25a-3), R5B is a linear or branched C3-C15 alkyl. In some embodiments of Formulas (25)-(25a-3), R5B is a linear or branched C3-C10 alkyl. In some embodiments of Formulas (25)-(25a-3), R5B is a linear or branched C3-C8 alkyl. In some embodiments of Formulas (25)-(25a-3), R5B is a linear or branched C3-C6 alkyl.
[247] In some embodiments of Formulas (25)-(25a-3), R6B is a linear or branched C1-C20 alkyl. In some embodiments of Formulas (25)-(25a-3), R6B is a linear or branched C1-C15 alkyl. In some embodiments of Formulas (25)-(25a-3), R6B is a linear or branched C1-C10 alkyl. In some embodiments of Formulas (25)-(25a-3), R6B is a linear or branched Ci-Cs alkyl. In some embodiments of Formulas (25)-(25a-3), R6B is a linear or branched Ci-Ce alkyl. In some embodiments of Formulas (25)-(25a-3), R6B is a linear or branched C3-C15 alkyl. In some embodiments of Formulas (25)-(25a-3), R6B is a linear or branched C3-C10 alkyl. In some embodiments of Formulas (25)-(25a-3), R6B is a linear or branched C3-C8 alkyl. In some embodiments of Formulas (25)-(25a-3), R6B is a linear or branched C3-C6 alkyl.
[248] In some embodiments of Formulas (25)-(25a-3), R5B and R6B are different. In some embodiments of (20)-(20a-3), R5B is Cs and R6B is Cs+2, wherein s is the number of carbons in the C1-C20 alkyl or C2-C20 alkenyl group. In some embodiments of Formulas (25)-(25a-3), s is an integer from 3 to 12. In some embodiments of Formulas (25)-(25a-3), s is 4. In some embodiments of Formulas (25)-(25a-3), s is 5. In some embodiments of Formulas (25)-(25a-3), s is 6. In some embodiments of Formulas (25)-(25a-3), s is 7. In some embodiments of Formulas (25)-(25a-3), s is 8. In some embodiments of Formulas (25)-(25a-3), s is 9. In some embodiments of Formulas (25)-(25a-3), s is 10. In some embodiments of Formulas (25)-(25a-3), s is 11.
[249] In some embodiments of Formulas (25)-(25a-3), n is from 2 to 6. In some embodiments of Formulas (25)-(25a-3), n is 2. In some embodiments of Formulas (25)-(25a-3), n is 3. In some embodiments of Formulas (25)-(25a-3), n is 4. In some embodiments of Formulas (25)-(25a-3), n is 5. In some embodiments of Formulas (25)-(25a-3), n is 6.
[250] In some embodiments of Formulas (25)-(25a-3), q’ is from 1 to 12. In some embodiments of Formulas (25)-(25a-3), q’ is from 1 to 10. In some embodiments of Formulas (25)-(25a-3), q’ is from 1 to 6. In some embodiments of Formulas (25)-(25a-3), q’ is from 1 to 4. In some embodiments of Formulas (25)-(25a-3), q’ is 2. In some embodiments of Formulas (25)-(25a-3), q’ is 3. In some
61
SUBSTITUTE SHEET (RULE 26) embodiments of Formulas (25)-(25a-3), q’ is 4. In some embodiments of Formulas (25)-(25a-3), q’ is 5.
[251] In some embodiments of Formulas (25)-(25a-3), r’ is 0. In some embodiments of Formulas (25)-(25a-3), r’ is from 1 to 6. In some embodiments of Formulas (25)-(25a-3), r’ is from 1 to 4. In some embodiments of Formulas (25)-(25a-3), r is 1. In some embodiments of Formulas (25)-(25a-3), r’ is 2. In some embodiments of Formulas (25)-(25a-3), r’ is 3. In some embodiments of Formulas (25)- (25a-3), r’ is 4.
[252] In some embodiments, an ionizable lipid of the present disclosure is selected from Table 1, below.
3. PHARMACEUTICAL COMPOSITIONS
[253] Also provided herein are compositions (e.g., pharmaceutical compositions) comprising the at least one of the lipids described herein.
62
SUBSTITUTE SHEET (RULE 26) [254] In some embodiments, lipids described herein are component(s) of a transfer vehicle to facilitate or enhance the delivery and release of a polynucleotide (e.g., circular RNA) to one or more target cells (e.g., by permeating or fusing with the lipid membranes of such target cells). In certain embodiments, an ionizable lipid comprises one or more cleavable functional groups that allow, for example, a hydrophilic functional head-group to dissociate from a lipophilic functional tail-group of the compound (e.g., upon exposure to oxidative, reducing, or acidic conditions), thereby facilitating aphase transition in the lipid bilayer of the one or more target cells.
[255] In some embodiments, a pharmaceutical composition comprises at least one lipid described herein and a therapeutic agent. In some embodiments, the therapeutic agent is a polynucleotide. In some embodiments, the therapeutic agent is a circular RNA polynucleotide. In some embodiments the therapeutic agent is a vector. In some embodiments, the therapeutic agent is a cell comprising a circular RNA or vector (e.g., a human cell, such as a human T cell).
[256] In certain embodiments, the composition further comprises a pharmaceutically acceptable carrier. In some embodiments, the compositions provided herein comprise a therapeutic agent provided herein in combination with other pharmaceutically active agents or drugs, such as anti-inflammatory drugs or antibodies capable of targeting B cell antigens, e.g., anti-CD20 antibodies, e.g., rituximab.
[257] With respect to pharmaceutical compositions, the pharmaceutically acceptable carrier can be any of those conventionally used and is limited only by chemico-physical considerations, such as solubility and lack of reactivity with the active agent(s), and by the route of administration. The pharmaceutically acceptable carriers described herein, for example, vehicles, adjuvants, excipients, and diluents, are well-known to those skilled in the art and are readily available to the public. In certain embodiments, the pharmaceutically acceptable carrier is chemically inert to the therapeutic agent(s) and has no detrimental side effects or toxicity under the conditions of use.
[258] The choice of carrier will be determined in part by the particular therapeutic agent, as well as by the particular method used to administer the therapeutic agent. Accordingly, there are a variety of suitable formulations of the pharmaceutical compositions provided herein.
[259] In certain embodiments, the pharmaceutical composition comprises a preservative. In certain embodiments, suitable preservatives may include, for example, methylparaben, propylparaben, sodium benzoate, and benzalkonium chloride. Optionally, a mixture of two or more preservatives may be used. The preservative or mixtures thereof are typically present in an amount of about 0.0001% to about 2% by weight of the total composition.
[260] In some embodiments, the pharmaceutical composition comprises a buffering agent. In some embodiments, suitable buffering agents may include, for example, citric acid, sodium citrate, phosphoric acid, potassium phosphate, and various other acids and salts. A mixture of two or more
63
SUBSTITUTE SHEET (RULE 26) buffering agents optionally may be used. The buffering agent or mixtures thereof are typically present in an amount of about 0.001% to about 4% by weight of the total composition.
[261] In some embodiments, the concentration of therapeutic agent in the pharmaceutical composition can vary, e.g., less than about 1%, or at least about 1%, 2%, 3%, 4%, 5%, 6%, 7%, 8%, 9% 10%, 15%, 20%, 25%, 30%, 35%, 40%, 45%, or about 50% or more by weight, and can be selected primarily by fluid volumes, and viscosities, in accordance with the particular mode of administration selected.
[262] In some embodiments, the formulations are administered parenterally (e.g., subcutaneous, intravenous, intraarterial, intramuscular, intradermal, intraperitoneal, and intrathecal).
[263] Formulations suitable for parenteral administration include aqueous and nonaqueous isotonic sterile injection solutions, which can contain antioxidants, buffers, bacteriostats, and solutes that render the formulation isotonic with the blood of the intended recipient, and aqueous and nonaqueous sterile suspensions that can include suspending agents, solubilizers, thickening agents, stabilizers, and preservatives. In some embodiments, the therapeutic agents provided herein can be administered in a physiologically acceptable diluent in a pharmaceutical carrier, such as a sterile liquid or mixture of liquids including water, saline, aqueous dextrose and related sugar solutions, an alcohol such as ethanol or hexadecyl alcohol, a glycol such as propylene glycol or polyethylene glycol, dimethylsulfoxide, glycerol, ketals such as 2,2-dimethyl-l,3-dioxolane-4-methanol, ethers, poly(ethyleneglycol) 400, oils, fatty acids, fatty acid esters or glycerides, or acetylated fatty acid glycerides with or without the addition of a pharmaceutically acceptable surfactant such as a soap or a detergent, suspending agent such as pectin, carbomers, methylcellulose, hydroxypropylmethylcellulose, or carboxymethylcellulose, or emulsifying agents and other pharmaceutical adjuvants.
[264] Oils, which can be used in parenteral formulations in some embodiments, include petroleum, animal oils, vegetable oils, or synthetic oils. Specific examples of oils include peanut, soybean, sesame, cottonseed, com, olive, petrolatum, and mineral oil. Suitable fatty acids for use in parenteral formulations include oleic acid, stearic acid, and isostearic acid. Ethyl oleate and isopropyl myristate are examples of suitable fatty acid esters.
[265] Suitable soaps for use in certain embodiments of parenteral formulations include fatty alkali metal, ammonium, and triethanolamine salts, and suitable detergents include (a) cationic detergents such as, for example, dimethyl dialkyl ammonium halides, and alkyl pyridinium halides, (b) anionic detergents such as, for example, alkyl, aryl, and olefin sulfonates, alky, olefin, ether, and monoglyceride sulfates, and sulfosuccinates, (c) nonionic detergents such as, for example, fatty amine oxides, fatty acid alkanolamides, and polyoxyethylenepolypropylene copolymers, (d) amphoteric detergents such as, for example, alkyl-[3-aminopropionates, and 2-alkyl-imidazoline quaternary ammonium salts, and (e) mixtures thereof.
64
SUBSTITUTE SHEET (RULE 26) [266] In some embodiments, the parenteral formulations will contain, for example, from about 0.5% to about 25% by weight of the therapeutic agent in solution. Preservatives and buffers may be used. In order to minimize or eliminate irritation at the site of injection, such compositions may contain one or more nonionic surfactants having, for example, a hydrophile-lipophile balance (HLB) of from about 12 to about 17. The quantity of surfactant in such formulations will typically range, for example, from about 5% to about 15% by weight. Suitable surfactants include polyethylene glycol, sorbitan, fatty acid esters such as sorbitan monooleate, and high molecular weight adducts of ethylene oxide with a hydrophobic base formed by the condensation of propylene oxide with propylene glycol. The parenteral formulations can be presented in unit-dose or multi-dose sealed containers, such as ampoules or vials, and can be stored in a freeze-dried (lyophilized) condition requiring only the addition of a sterile liquid excipient, for example, water for injections, immediately prior to use. Extemporaneous injection solutions and suspensions can be prepared from sterile powders, granules, and tablets of the kind previously described.
[267] In certain embodiments, injectable formulations are provided herein. The requirements for effective pharmaceutical carriers for injectable compositions are well-known to those of ordinary skill in the art (see, e.g., Pharmaceutics and Pharmacy Practice, J.B. Lippincott Company, Philadelphia, PA, Banker and Chalmers, eds., pages 238-250 (1982), and ASHP Handbook on Injectable Drugs, Toissel, 4th ed, pages 622-630 (1986)).
[268] In some embodiments, the therapeutic agents provided herein are formulated in time-released, delayed release, or sustained release delivery systems such that the delivery of the composition occurs prior to, and with sufficient time to, cause sensitization of the site to be treated. Such systems can avoid repeated administrations of the therapeutic agent, thereby increasing convenience to the subject and the physician, and may be particularly suitable for certain composition embodiments provided herein. In one embodiment, the compositions of the present disclosure are formulated such that they are suitable for extended-release of the polynucleotide (e.g., circRNA) contained therein. Such extended-release compositions may be conveniently administered to a subject at extended dosing intervals. For example, in one embodiment, the compositions of the present disclosure are administered to a subject twice a day, daily or every other day. In an embodiment, the compositions of the present disclosure are administered to a subject twice a week, once a week, every ten days, every two weeks, every three weeks, every four weeks, once a month, every six weeks, every eight weeks, every three months, every four months, every six months, every eight months, every nine months or annually.
[269] In some embodiments, a protein encoded by a polynucleotide is produced by a target cell for sustained amounts of time. For example, the protein may be produced for more than one hour, more than four, more than six, more than 12, more than 24, more than 48 hours, or more than 72 hours after administration. In some embodiments the protein is expressed at a peak level about six hours after administration. In some embodiments the expression of the protein is sustained at least at a therapeutic
65
SUBSTITUTE SHEET (RULE 26) level. In some embodiments, the protein is expressed at least at a therapeutic level for more than one, more than four, more than six, more than 12, more than 24, more than 48, or more than 72 hours after administration. In some embodiments, the protein is detectable at a therapeutic level in patient tissue (e.g., liver or lung). In some embodiments, the level of detectable protein is from continuous expression from the polynucleotide (e.g., circRNA) over periods of time of more than one, more than four, more than six, more than 12, more than 24, more than 48, or more than 72 hours after administration of the composition described herein.
[270] In certain embodiments, a protein encoded by a polynucleotide is produced at levels above normal physiological levels. The level of protein may be increased as compared to a control. In some embodiments, the control is the baseline physiological level of the protein in a normal individual or in a population of normal individuals. In other embodiments, the control is the baseline physiological level of the protein in an individual having a deficiency in the relevant protein or polypeptide or in a population of individuals having a deficiency in the relevant protein or polypeptide. In some embodiments, the control can be the normal level of the relevant protein or polypeptide in the individual to whom the composition is administered. In other embodiments, the control is the expression level of the protein upon other therapeutic intervention, e.g., upon direct injection of the corresponding polypeptide, at one or more comparable time points.
[271] In certain embodiments, the levels of a protein encoded by a polynucleotide are detectable at 3 days, 4 days, 5 days, or 1 week or more after administration of a pharmaceutical composition described herein. Increased levels of protein may be observed in a tissue (e.g., liver or lung).
[272] In some embodiments, the present compositions when administered to a patient yield a sustained circulation half-life of a protein encoded by a polynucleotide. For example, the protein may be detected for hours or days longer than the half-life observed via subcutaneous injection of the protein or mRNA encoding the protein. In some embodiments, the half-life of the protein is 1 day, 2 days, 3 days, 4 days, 5 days, or 1 week or more.
[273] Many types of release delivery systems are available and known to those of ordinary skill in the art. They include polymer based systems such as poly(lactide-glycolide), copolyoxalates, poly caprolactones, polyesteramides, polyorthoesters, polyhydroxybutyric acid, and polyanhydrides. Microcapsules of the foregoing polymers containing drugs are described in, for example, U.S. Patent 5,075,109. Delivery systems also include non-polymer systems that are lipids including sterols such as cholesterol, cholesterol esters, and fatty acids or neutral fats such as mono-di-and tri-glycerides; hydrogel release systems; sylastic systems; peptide based systems: wax coatings; compressed tablets using conventional binders and excipients; partially fused implants; and the like. Specific examples include, but are not limited to: (a) erosional systems in which the active composition is contained in a form within a matrix such as those described in U.S. Patents 4,452,775, 4,667,014, 4,748,034, and
66
SUBSTITUTE SHEET (RULE 26) 5,239,660 and (b) diffusional systems in which an active component permeates at a controlled rate from apolymer such as described in U.S. Patents 3,832,253 and 3,854,480. In addition, pump-based hardware delivery systems can be used, some of which are adapted for implantation.
[274] In some embodiments, the therapeutic agent can be conjugated either directly or indirectly through a linking moiety to a targeting moiety. Methods for conjugating therapeutic agents to targeting moieties is known in the art. See, for instance, Wadwa et al., J, Drug Targeting 3: 111 (1995) and U.S. Patent 5,087,616.
[275] In some embodiments, the therapeutic agents provided herein are formulated into a depot form, such that the manner in which the therapeutic agent is released into the body to which it is administered is controlled with respect to time and location within the body (see, for example, U.S. Patent 4,450, 150). Depot forms of therapeutic agents can be, for example, an implantable composition comprising the therapeutic agents and a porous or non-porous material, such as a polymer, wherein the therapeutic agents are encapsulated by or diffused throughout the material and/or degradation of the non-porous material. The depot is then implanted into the desired location within the body and the therapeutic agents are released from the implant at a predetermined rate.
A. TRANSFER VEHICUE & OTHER DEUIVERY MECHANISMS i. Other Ionizable Lipids
[276] In some embodiments, one or more (e.g., two or more, or three or more) ionizable lipids are utilized in the transfer vehicles of this disclosure. In some embodiments, the transfer vehicle includes a first ionizable lipid (e.g., as described herein, such as a lipid of Formula (22-25)), and one or more additional ionizable lipids.
[277] Lipids of interest, including ionizable lipids that can be used in combination with a first ionizable lipid as described herein, such as by being incorporated into the transfer vehicles of this disclosure, include, but are not limited to, lipids as described in: international application PCT/US2018/058555, international application PCT/US2020/038678, US publication US2019/0314524, WO2019/152848, international application PCT/US2010/061058, international application PCT/US2017/028981, W02015/095340, WO2014/136086, US2019/0321489,
W02010/053572, U.S. provisional patent application 61/617,468, international patent application PCT/US2019/025246, US patent publications 2017/0190661 and 2017/0114010, US publication 20190314284, W02015/095340, WO2019/152557, WO2019/152848, international application PCT/US2019/015913, US patent 9,708,628, US patent 9,765,022; Wang et al., ACS Synthetic Biology, 1, 403-07 (2012); WO 2008/042973, US Patent 8,071,082, the disclosures of which are incorporated herein by reference in their entirety.
67
SUBSTITUTE SHEET (RULE 26) [278] In some embodiments, tail groups as used in the lipids may be as described in. W02015/095340, WO2019/152557, and WO2019/152848, the disclosures of which are incorporated herein by reference in their entirety.
[279] In some embodiments, the ionizable lipid N-[l-(2,3-dioleyloxy)propyl]-N,N,N- trimethylammonium chloride or “DOTMA” is used. (Feigner et al. Proc. Nafl Acad. Sci. 84, 7413 (1987); U.S. Pat. No. 4,897,355). DOTMA can be formulated with an ionizable lipid (e.g., as described herein), and/or can be combined with a neutral lipid, dioleoylphosphatidylethanolamine or “DOPE” or other cationic or non-cationic lipids into a lipid nanoparticle.
[280] Other suitable lipids include, for example, ionizable cationic lipids, such as, e.g.,
( 15Z, 18Z)-N,N-dimethyl-6-(9Z, 12Z)-octadeca-9, 12-dien- 1 -yl)tetracosa- 15,18-dien- 1 -amine (HGT5000), (15Z,18Z)-N,N-dimethyl-6-((9Z,12Z)-octadeca-9,12-dien-l-yl)tetracosa-4,15,18-trien-l- amine (HGT5001), and (15Z,18Z)-N,N-dimethyl-6-((9Z,12Z)-octadeca-9,12-dien-l-yl)tetracosa- 5,15,18-trien-l-amine (HGT5002), C12-200 (described in WO 2010/053572), 2-(2,2-di((9Z,12Z)- octadeca-9,12-dien-l-yl)-l,3-dioxolan-4-yl)-N,N-dimethylethanamine (DLinKC2-DMA)) (See, WO 2010/042877; Semple et al., Nature Biotech. 28: 172-176 (2010)), 2-(2,2-di((9Z,2Z)-octadeca-9,12- dien- 1 -yl)- 1 ,3-dioxolan-4-yl)-N,N-dimethylethanamine (DLin-KC2-DMA), (3 S, 1 OR, 13R, 17R)- 10,13- dimethyl-17-((R)-6-methylheptan-2-yl)-2, 3, 4, 7, 8, 9, 10, 11, 12, 13, 14, 15, 16, 17-tetradecahydro- lH-cyclopenta[a]phenanthren-3-yl 3-(lH-imidazol-4-yl)propanoate (ICE), (15Z,18Z)-N,N-dimethyl- 6-(9Z, 12Z)-octadeca-9, 12-dien- 1 -yl)tetracosa- 15,18-dien- 1 -amine (HGT5000), ( 15Z, 18Z)-N,N- dimethyl-6-((9Z,12Z)-octadeca-9,12-dien-l-yl)tetracosa-4,15,18-trien-l-amine (HGT5001), ( 15Z, 18 Z)-N,N-dimethyl-6-((9Z,12Z)-octadeca-9,12-dien-l-yl)tetracosa-5,15,18-trien-l-amine (HGT5002), 5 -carboxy spermylglycine -dioctadecylamide (DOGS), 2,3-dioleyloxy-N-[2(spermine- carboxamido)ethyl]-N,N-dimethyl-l-propanaminium (DOSPA) (Behr et al. Proc. Nat.'l Acad. Sci. 86, 6982 (1989); U.S. Pat. No. 5,171,678; 5,334,761), l,2-Dioleoyl-3 -Dimethylammonium -Propane (DODAP), l,2-Dioleoyl-3-Trimethylammonium-Propane or (DOTAP). Contemplated ionizable lipids also include l,2-distcaryloxy-N,N-dimethyl-3-aminopropane (DSDMA), l,2-dioleyloxy-N,N- dimethyl-3 -aminopropane (DODMA), l,2-dilinoleyloxy-N,N-dimethyl-3-aminopropane (DLinDMA), l,2-dilinolenyloxy-N,N-dimethyl-3-aminopropane (DLenDMA), N-dioleyl-N,N-dimethylammonium chloride (DODAC), N,N-distearyl-N,N-dimethylammonium bromide (DDAB), N-(l,2- dimyristyloxyprop-3-yl)-N,N-dimethyl-N-hydroxyethyl ammonium bromide (DMRIE), 3- dimethylamino-2-(cholest-5-en-3-beta-oxybutan-4-oxy)-l-(cis,cis-9,12-octadecadienoxy)propane (CLinDMA), 2-[5'-(cholest-5-en-3-beta-oxy)-3'-oxapentoxy)-3-dimethyl-l-(cis,cis-9',l-2'- octadecadienoxy)propane (CpLinDMA), N,N-dimethyl-3,4-dioleyloxybenzylamine (DMOBA), 1,2- N,N'-dioleylcarbamyl-3-dimethylaminopropane (DOcarbDAP), 2,3-Dilinoleoyloxy-N,N- dimethylpropylamine (DLinDAP), l,2-N,N'-Dilinoleylcarbamyl-3-dimethylamninopropane (DLincarbDAP), l,2-Dilinoleoylcarbamyl-3 -dimethylaminopropane (DLinCDAP), 2,2-dilinoleyl-4-
68
SUBSTITUTE SHEET (RULE 26) dimethylaminomethyl-[l,3]-dioxolane (DLin-K-DMA), 2,2-dilinoleyl-4-dimethylaminoethyl-[l,3]- dioxolane (DLin-K-XTC2-DMA) or GL67, or mixtures thereof. (Heyes, J., et al. , J Controlled Release 107: 276-287 (2005); Morrissey, D V., et al., Nat. Biotechnol. 23(8): 1003-1007 (2005); PCT Publication WO2005/121348A1). The use of cholesterol-based ionizable lipids to formulate the transfer vehicles (e.g., lipid nanoparticles) is also contemplated by the present disclosure. Such cholesterol- based ionizable lipids can be used, either alone or in combination with other lipids. Suitable cholesterol- based ionizable lipids include, for example, DC-Cholesterol (N,N-dimethyl-N- ethylcarboxamidocholesterol), and l,4-bis(3-N-oleylamino-propyl)piperazine (Gao, et al., Biochem. Biophys. Res. Comm. 179, 280 (1991); Wolf et al. BioTechniques 23, 139 (1997); U.S. Pat. No. 5,744,335).
[281] Also contemplated are cationic lipids such as dialkylamino-based, imidazole-based, and guanidinium-based lipids. For example, also contemplated is the use of the ionizable lipid (3S,10R, 13R, 17R)- 10, 13 -dimethyl- 17-((R)-6-methylheptan-2-yl)-2, 3, 4, 7, 8, 9, 10, 11, 12, 13, 14, 15, 16, 17- tetradecahydro-lH-cyclopenta[a]phenanthren-3-yl 3-(lH-imidazol-4-yl)propanoate (ICE), as disclosed in International Application No. PCT/US2010/058457, incorporated herein by reference.
[282] In some embodiments, the transfer vehicle comprises an amine lipid as the one or more additional lipid. In some embodiments, an amine lipid is described in international patent application PCT/US2018/053569.
[283] In some embodiments, the amine lipid is Lipid E, which is (9Z, 12Z)-3-((4,4- bis(octyloxy)butanoyl)oxy)-2-((((3-(diethylamino)propoxy)carbonyl)oxy)methyl)propyl octadeca-9, 12-dienoate.
[284] In certain embodiments, an amine lipid is an analog of Lipid E. In certain embodiments, a Lipid E analog is an acetal analog of Lipid E. In particular transfer vehicle compositions, the acetal analog is a C4-C12 acetal analog. In some embodiments, the acetal analog is a C5-C12 acetal analog. In additional embodiments, the acetal analog is a C5-C10 acetal analog. In further embodiments, the acetal analog is chosen from a C4, C5, Ce, C7, C>, Cw, Cn and C12 acetal analog.
[285] Amine lipids and other biodegradable lipids suitable for use in the transfer vehicles, e.g., lipid nanoparticles, described herein are biodegradable in vivo. The amine lipids described herein have low toxicity (e.g., are tolerated in animal models without adverse effect in amounts of greater than or equal to 10 mg/kg). In certain embodiments, transfer vehicles composing an amine lipid include those where at least 75% of the amine lipid is cleared from the plasma within 8, 10, 12, 24, or 48 hours, or 3, 4, 5, 6, 7, or 10 days.
[286] Biodegradable lipids include, for example, the biodegradable lipids of WO2017/173054, W02015/095340, and WO2014/136086.
69
SUBSTITUTE SHEET (RULE 26) [287] Lipid clearance may be measured by methods known by persons of skill in the art. See, for example, Maier, M.A., et al. Biodegradable Lipids Enabling Rapidly Eliminated Lipid Nanoparticles for Systemic Delivery of RNAi Therapeutics. Mol. Ther. 2013, 21(8), 1570-78.
[288] Transfer vehicle compositions comprising an amine lipid can lead to an increased clearance rate. In some embodiments, the clearance rate is a lipid clearance rate, for example the rate at which a lipid is cleared from the blood, serum, or plasma. In some embodiments, the clearance rate is an RNA clearance rate, for example the rate at which a circRNA is cleared from the blood, serum, or plasma. In some embodiments, the clearance rate is the rate at which transfer vehicles are cleared from the blood, serum, or plasma. In some embodiments, the clearance rate is the rate at which transfer vehicles are cleared from a tissue, such as liver tissue or spleen tissue. In certain embodiments, a high rate of clearance leads to a safety profde with no substantial adverse effects. The amine lipids and biodegradable lipids may reduce transfer vehicle accumulation in circulation and in tissues. In some embodiments, a reduction in transfer vehicle accumulation in circulation and in tissues leads to a safety profile with no substantial adverse effects. In some embodiments, the lipids described herein (e.g., having reversed ester orientation and/or shifted branch point from the ester), increase the clearance (e.g., lipid clearance rate).
[289] Lipids may be ionizable depending upon the pH of the medium they are in. For example, in a slightly acidic medium, the lipid, such as an amine lipid, may be protonated and thus bear a positive charge. Conversely, in a slightly basic medium, such as, for example, blood, where pH is approximately 7.35, the lipid, such as an amine lipid, may not be protonated and thus bear no charge.
[290] The ability of a lipid to bear a charge is related to its intrinsic pKa. In some embodiments, the amine lipids of the present disclosure may each, independently, have a pKa in the range of from about 5.1 to about 7.4. In some embodiments, the bioavailable lipids of the present disclosure may each, independently, have a pKa in the range of from about 5. 1 to about 7.4. For example, the amine lipids of the present disclosure may each, independently, have a pKa in the range of from about 5.8 to about 6.5. Lipids with a pKa ranging from about 5.1 to about 7.4 are effective for delivery of cargo in vivo, e.g., to the liver. Further, it has been found that lipids with a pKa ranging from about 5.3 to about 6.4 are effective for delivery in vivo, e.g., into tumors. See, e.g., WO2014/136086.
[291] Lipids described herein can be prepared using suitable starting materials through synthetic routes known in the art. The method can include an additional step(s) to add or remove suitable protecting groups in order to ultimately allow synthesis of the lipid-like compounds. In addition, various synthetic steps can be performed in an alternate sequence or order to give the desired material. Synthetic chemistry transformations and protecting group methodologies (protection and deprotection) useful in synthesizing applicable lipid-like compounds are known in the art, including, for example, R. Larock, Comprehensive Organic Transformations (2nd Ed., VCH Publishers 1999); P. G. M. Wuts and T. W.
70
SUBSTITUTE SHEET (RULE 26) Greene, Greene's Protective Groups in Organic Synthesis (4th Ed., John Wiley and Sons 2007); L. Fieser and M. Fieser, Fieser and Fieser' s Reagents for Organic Synthesis (John Wiley and Sons 1994); and L. Paquette, ed., Encyclopedia of Reagents for Organic Synthesis (2nd ed., John Wiley and Sons 2009) and subsequent editions thereof. Certain lipid-like compounds may contain a non-aromatic double bond and one or more asymmetric centers. Thus, they can occur as racemates and racemic mixtures, single enantiomers, individual diastereomers, diastereomeric mixtures, and cis- or transisomeric forms. All such isomeric forms are contemplated.
[292] Preparation methods for the above compounds and compositions are described herein below and/or known in the art.
[293] It will be appreciated by those skilled in the art that in the process described herein the functional groups of intermediate compounds may need to be protected by suitable protecting groups. Such functional groups include, e.g., hydroxyl, amino, mercapto, and carboxylic acid. Suitable protecting groups for hydroxyl include, e.g., trialkylsilyl or diarylalkylsilyl (for example, t- butyldimethylsilyl, t-butyldiphenylsilyl or trimethylsilyl), tetrahydropyranyl, benzyl, and the like. Suitable protecting groups for amino, amidino, and guanidino include, e.g., t-butoxycarbonyl, benzyloxycarbonyl, and the like. Suitable protecting groups for mercapto include, e.g., -C(O)-R” (where R” is alkyl, aryl, or arylalkyl), p-methoxybenzyl, trityl, and the like. Suitable protecting groups for carboxylic acid include, e.g., alkyl, aryl, or arylalkyl esters. Protecting groups may be added or removed in accordance with standard techniques, which are known to one skilled in the art and as described herein. The use of protecting groups is described in detail in, e.g., Green, T. W. and P. G. M. Wutz, Protective Groups in Organic Synthesis (1999), 3rd Ed., Wiley. As one of skill in the art would appreciate, the protecting group may also be a polymer resin such as a Wang resin, Rink resin, or a 2- chlorotrityl-chloride resin.
[294] Furthermore, all compounds of the present disclosure which exist in free base or acid form can be converted to their pharmaceutically acceptable salts by treatment with the appropriate inorganic or organic base or acid by methods known to one skilled in the art. Salts of the compounds of the present disclosure can also be converted to their free base or acid form by standard techniques.
[295] It is understood that one skilled in the art may be able to make these compounds by similar methods or by combining other methods known to one skilled in the art. It is also understood that one skilled in the art would be able to make other compounds of the formulae described herein not specifically illustrated herein by using the appropriate starting materials and modifying the parameters of the synthesis. In general, starting materials may be obtained from sources such as Sigma Aldrich, Lancaster Synthesis, Inc., Maybridge, Matrix Scientific, TCI, and Fluorochem USA, etc. or synthesized according to sources known to those skilled in the art (see, e.g., Advanced Organic Chemistry:
71
SUBSTITUTE SHEET (RULE 26) Reactions, Mechanisms, and Structure, 5th edition (Wiley, December 2000)) or prepared as described in this disclosure.
[296] As mentioned above, the presently described lipids are useful for delivery of pharmaceutical agents. They can be preliminarily screened for their efficacy in delivering pharmaceutical agents by an in vitro assay and then confirmed by animal experiments and clinic trials. Other methods will also be apparent to those of ordinary skill in the art.
[297] Not to be bound by any theory, the lipids of this disclosure can facilitate delivery of pharmaceutical agents by forming complexes, e.g., nanocomplexes and microparticles. The hydrophilic head of such a lipid-like compound, positively or negatively charged, binds to a moiety of a pharmaceutical agent that is oppositely charged and its hydrophobic moiety binds to a hydrophobic moiety of the pharmaceutical agent. Either binding can be covalent or non-covalent.
[298] The above-described complexes can be prepared using procedures described in publications such as Wang et al., ACS Synthetic Biology, 1, 403-07 (2012). Generally, they are obtained by incubating a lipid-like compound and a pharmaceutical agent in a buffer such as a sodium acetate buffer or a phosphate buffered saline ("PBS"). it. Hydrophilic Groups
[299] In certain embodiments, the selected hydrophilic functional group or moiety may alter or otherwise impart properties to the compound or to the transfer vehicle of which such compound is a component (e.g., by improving the transfection efficiencies of a lipid nanoparticle of which the compound is a component). For example, the incorporation of hydroxyl as a hydrophilic head-group in the compounds disclosed herein may promote the fusogenicity of such compounds (or of the transfer vehicle of which such compounds are a component) with the cell membrane of one or more target cells, thereby enhancing, for example, the transfection efficiencies of such compounds. Further, the beta hydroxyl substituent is expected to modulate the amino group pKa.
[300] Exemplary ionizable and/or cationic lipids are described in International PCT patent publications W02015/095340, WO2015/199952, WO2018/011633, WO2017/049245,
WO2015/061467, WO2012/040184, W02012/000104, W02015/074085, WO2016/081029, W02017/004 143, WO2017/075531, WO2017/117528, WO2011/022460, WO2013/148541, WO2013/116126, WO2011/153120, WO2012/044638, WO2012/054365, WO2011/090965,
W02013/016058, W02012/162210, W02008/042973, W02010/129709, W02010/144740 , WO20 12/099755, WO2013/049328, WO2013/086322, WO2013/086373, WO2011/071860,
W02009/I32I3I, W02010/048536, W02010/088537, WO2010/054401, W02010/054406 , W02010/054405, WO2010/054384, W02012/016184, W02009/086558, WO2010/042877,
WO2011/000106, WO2011/000107, W02005/120152, WO2011/141705, WO2013/126803,
W02006/007712, WO2011/038160, WO2005/121348, WO2011/066651, W02009/127060,
72
SUBSTITUTE SHEET (RULE 26) WO2011/141704, W02006/069782, WO2012/031043, W02013/006825, WO2013/033563,
WO2013/089151, WO2017/099823, WO2015/095346, and WO2013/086354, and US patent publications US2016/0311759, US2015/0376115, US2016/0151284, US2017/0210697,
US2015/0140070, US2013/0178541, US2013/0303587, US2015/0141678, US2015/0239926
US2016/0376224, US2017/0119904, US2012/0149894, US2015/0057373, US2013/0090372
US2013/0274523, US2013/0274504, US2013/0274504, US2009/0023673, US2012/0128760
US2010/0324120, US2014/0200257, US2015/0203446, US2018/0005363, US2014/0308304
US2013/0338210, US2012/0101148, US2012/0027796, US2012/0058144, US2013/0323269
US2011/0117125, US2011/0256175, US2012/0202871, US2011/0076335, US2006/0083780
US2013/0123338, US2015/0064242, US2006/0051405, US2013/0065939, US2006/0008910
US2003/0022649, US2010/0130588, US2013/0116307, US2010/0062967, US2013/0202684
US2014/0141070, US2014/0255472, US2014/0039032, US2018/0028664, US2016/0317458, and
US2013/0195920, the contents of all of which are incorporated herein by reference in their entirety.
International patent application WO 2019/131770 is also incorporated herein by reference in its entirety.
[301] In some embodiments, an ionizable lipid is as described in international patent application PCT/US2020/038678.
Hi. Targeting
[302] The present disclosure also contemplates the discriminatory targeting of target cells and tissues by both passive and active targeting means. The phenomenon of passive targeting exploits the natural distributions patterns of a transfer vehicle in vivo without relying upon the use of additional excipients or means to enhance recognition of the transfer vehicle by target cells. For example, transfer vehicles which are subject to phagocytosis by the cells of the reticulo-endothelial system are likely to accumulate in the liver or spleen, and accordingly may provide a means to passively direct the delivery of the compositions to such target cells.
[303] Alternatively, the present disclosure contemplates active targeting, which involves the use of targeting moieties that may be bound (either covalently or non-covalently) to the transfer vehicle to encourage localization of such transfer vehicle at certain target cells or target tissues. For example, targeting may be mediated by the inclusion of one or more endogenous targeting moieties in or on the transfer vehicle to encourage distribution to the target cells or tissues. Recognition of the targeting moiety by the target tissues actively facilitates tissue distribution and cellular uptake of the transfer vehicle and/or its contents in the target cells and tissues (e.g., the inclusion of an apolipoprotein-E targeting ligand in or on the transfer vehicle encourages recognition and binding of the transfer vehicle to endogenous low density lipoprotein receptors expressed by hepatocytes). As provided herein, the composition can comprise a moiety capable of enhancing affinity of the composition to the target cell. Targeting moieties may be linked to the outer bilayer of the lipid particle during formulation or postformulation. These methods are well known in the art. In addition, some lipid particle formulations may
SUBSTITUTE SHEET (RULE 26) employ fusogenic polymers such as PEAA, hemagluttinin, other lipopeptides (see U.S. patent application Ser. No. 08/835,281, and 60/083,294, which are incorporated herein by reference) and other features useful for in vivo and/or intracellular delivery. In other some embodiments, the compositions of the present disclosure demonstrate improved transfection efficacies, and/or demonstrate enhanced selectivity towards target cells or tissues of interest. Contemplated therefore are compositions which comprise one or more moieties (e.g., peptides, aptamers, oligonucleotides, vitamins or other molecules) that are capable of enhancing the affinity of the compositions and their nucleic acid contents for the target cells or tissues. Suitable moieties may optionally be bound or linked to the surface of the transfer vehicle. In some embodiments, the targeting moiety may span the surface of a transfer vehicle or be encapsulated within the transfer vehicle. Suitable moieties and are selected based upon their physical, chemical or biological properties (e.g., selective affinity and/or recognition of target cell surface markers or features). Cell-specific target sites and their corresponding targeting ligand can vary widely. Suitable targeting moieties are selected such that the unique characteristics of a target cell are exploited, thus allowing the composition to discriminate between target and non-target cells. For example, compositions of the present disclosure may include surface markers (e.g., apolipoprotein-B (APOB) or apolipoprotein-E (APOE)) that selectively enhance recognition of, or affinity to hepatocytes (e.g., by receptor-mediated recognition of and binding to such surface markers). As an example, the use of galactose as a targeting moiety would be expected to direct the compositions of the present disclosure to parenchymal hepatocytes, or alternatively the use of mannose containing sugar residues as a targeting ligand would be expected to direct the compositions of the present disclosure to liver endothelial cells (e.g., mannose containing sugar residues that may bind preferentially to the asialoglycoprotein receptor present in hepatocytes). (See Hillery A M, et al. “Drug Delivery and Targeting: For Pharmacists and Pharmaceutical Scientists” (2002) Taylor & Francis, Inc.) The presentation of such targeting moieties that have been conjugated to moieties present in the transfer vehicle (e.g., a lipid nanoparticle) therefore facilitate recognition and uptake of the compositions of the present disclosure in target cells and tissues. Examples of suitable targeting moieties include one or more peptides, proteins, aptamers, vitamins and oligonucleotides.
[304] In particular embodiments, a transfer vehicle comprises a targeting moiety. In some embodiments, the targeting moiety mediates receptor-mediated endocytosis selectively into a specific population of cells. In some embodiments, the targeting moiety is operably connected, or linked, to the transfer vehicle. In some embodiments, the targeting moiety is capable of binding to an immune cell antigen. In some embodiments, the targeting moiety is capable of binding to a T cell antigen. Exemplary T cell antigens include, but are not limited to, CD2, CD3, CD5, CD7, CD8, CD4, beta? integrin, beta2ingetrin, and ClqR. In some embodiments, the targeting moiety is capable of binding to a NK, NKT, or macrophage antigen. In some embodiments, the targeting moiety is capable of binding to a protein selected from CD3, CD4, CD8, PD-1, 4-1BB, and CD2. In some embodiments, the targeting
74
SUBSTITUTE SHEET (RULE 26) moiety is a single chain Fv (scFv) fragment, nanobody, peptide, peptide-based macrocycle, minibody, heavy chain variable region, light chain variable region or fragment thereof. In some embodiments, the targeting moiety is selected from T-cell receptor motif antibodies, T-cell a chain antibodies, T-cell P chain antibodies, T-cell y chain antibodies, T-cell 5 chain antibodies, CCR7 antibodies, CD3 antibodies, CD4 antibodies, CD5 antibodies, CD7 antibodies, CD8 antibodies, CD 11b antibodies, CD 11c antibodies, CD 16 antibodies, CD 19 antibodies, CD20 antibodies, CD21 antibodies, CD22 antibodies, CD25 antibodies, CD28 antibodies, CD34 antibodies, CD35 antibodies, CD40 antibodies, CD45RA antibodies, CD45RO antibodies, CD52 antibodies, CD56 antibodies, CD62L antibodies, CD68 antibodies, CD80 antibodies, CD95 antibodies, CD117 antibodies, CD127 antibodies, CD133 antibodies, CD137 (4-1BB) antibodies, CD163 antibodies, F4/80 antibodies, IL-4Ra antibodies, Sca-1 antibodies, CTLA-4 antibodies, GITR antibodies GARP antibodies, LAP antibodies, granzyme B antibodies, LFA-1 antibodies, transferrin receptor antibodies, and fragments thereof. In some embodiments, the targeting moiety is a small molecule binder of an ectoenzyme on lymphocytes. Small molecule binders of ectoenzymes include A2A inhibitors CD73 inhibitors, CD39 or adesines receptors A2aR and A2bR. Potential small molecules include AB928.
[305] In some embodiments, transfer vehicles are formulated and/or targeted as described in Shobaki N, Sato Y, Harashima H. Mixing lipids to manipulate the ionization status of lipid nanoparticles for specific tissue targeting. Int J Nanomedicine. 2018;13:8395-8410. Published 2018 Dec 10.
[306] Where it is desired to deliver a nucleic acid to an immune cell, the immune cell represents the target cell. In some embodiments, the compositions of the present disclosure transfect the target cells on a discriminatory basis (i.e., do not transfect non-target cells). The compositions of the present disclosure may also be prepared to preferentially target a variety of target cells, which include, but are not limited to, T cells, B cells, macrophages, and dendritic cells.
[307] In some embodiments, the target cells are deficient in a protein or enzyme of interest. For example, where it is desired to deliver a nucleic acid to a hepatocyte, the hepatocyte represents the target cell. In some embodiments, the compositions of the present disclosure transfect the target cells on a discriminatory basis (i.e., do not transfect non-target cells). The compositions of the present disclosure may also be prepared to preferentially target a variety of target cells, which include, but are not limited to, hepatocytes, epithelial cells, hematopoietic cells, epithelial cells, endothelial cells, lung cells, bone cells, stem cells, mesenchymal cells, neural cells (e.g., meninges, astrocytes, motor neurons, cells of the dorsal root ganglia and anterior horn motor neurons), photoreceptor cells (e.g., rods and cones), retinal pigmented epithelial cells, secretory cells, cardiac cells, adipocytes, vascular smooth muscle cells, cardiomyocytes, skeletal muscle cells, beta cells, pituitary cells, synovial lining cells, ovarian cells, testicular cells, fibroblasts, B cells, T cells, reticulocytes, leukocytes, granulocytes and tumor cells.
75
SUBSTITUTE SHEET (RULE 26) [308] The compositions of the present disclosure may be prepared to preferentially distribute to target cells such as in the heart, lungs, kidneys, liver, and spleen. In some embodiments, the compositions of the present disclosure distribute into the cells of the liver or spleen to facilitate the delivery and the subsequent expression of the circRNA comprised therein by the cells of the liver (e.g., hepatocytes) or the cells of spleen (e.g., immune cells). The targeted cells may function as a biological “reservoir” or “depot” capable of producing, and systemically excreting a functional protein or enzyme. Accordingly, in one embodiment of the present disclosure the transfer vehicle may target hepatocytes or immune cells and/or preferentially distribute to the cells of the liver or spleen upon delivery. In an embodiment, following transfection of the target hepatocytes or immune cells, the circRNA loaded in the vehicle are translated and a functional protein product is produced, excreted and systemically distributed. In other embodiments, cells other than hepatocytes (e.g., lung, spleen, heart, ocular, or cells of the central nervous system) can serve as a depot location for protein production.
[309] In one embodiment, the compositions of the present disclosure facilitate a subject's endogenous production of one or more functional proteins and/or enzymes. In an embodiment of the present disclosure, the transfer vehicles comprise circRNA which encode a deficient protein or enzyme. Upon distribution of such compositions to the target tissues and the subsequent transfection of such target cells, the exogenous circRNA loaded into the transfer vehicle (e.g., a lipid nanoparticle) may be translated in vivo to produce a functional protein or enzyme encoded by the exogenously administered circRNA (e.g., a protein or enzyme in which the subject is deficient). Accordingly, the compositions of the present disclosure exploit a subject's ability to translate exogenously- or recombinantly-prepared circRNA to produce an endogenously-translated protein or enzyme, and thereby produce (and where applicable excrete) a functional protein or enzyme. The expressed or translated proteins or enzymes may also be characterized by the in vivo inclusion of native post-translational modifications which may often be absent in recombinantly-prepared proteins or enzymes, thereby further reducing the immunogenicity of the translated protein or enzyme.
[310] The administration of circRNA encoding a deficient protein or enzyme avoids the need to deliver the nucleic acids to specific organelles within a target cell. Rather, upon transfection of a target cell and delivery of the nucleic acids to the cytoplasm of the target cell, the circRNA contents of a transfer vehicle may be translated and a functional protein or enzyme expressed.
[3H] In some embodiments, a circular RNA comprises one or more miRNA binding sites. In some embodiments, a circular RNA comprises one or more miRNA binding sites recognized by miRNA present in one or more non-target cells or non-target cell types (e.g., Kupffer cells or hepatic cells) and not present in one or more target cells or target cell types (e.g., hepatocytes or T cells). In some embodiments, a circular RNA comprises one or more miRNA binding sites recognized by miRNA present in an increased concentration in one or more non-target cells or non-target cell types (e.g., Kupffer cells or hepatic cells) compared to one or more target cells or target cell types (e.g., hepatocytes
76
SUBSTITUTE SHEET (RULE 26) or T cells). miRNAs are thought to function by pairing with complementary sequences within RNA molecules, resulting in gene silencing.
[312] In some embodiments, the compositions of the present disclosure transfect or distribute to target cells on a discriminatory basis (i.e., do not transfect non-target cells). The compositions of the present disclosure may also be prepared to preferentially target a variety of target cells, which include, but are not limited to, hepatocytes, epithelial cells, hematopoietic cells, epithelial cells, endothelial cells, lung cells, bone cells, stem cells, mesenchymal cells, neural cells (e.g., meninges, astrocytes, motor neurons, cells of the dorsal root ganglia and anterior horn motor neurons), photoreceptor cells (e.g., rods and cones), retinal pigmented epithelial cells, secretory cells, cardiac cells, adipocytes, vascular smooth muscle cells, cardiomyocytes, skeletal muscle cells, beta cells, pituitary cells, synovial lining cells, ovarian cells, testicular cells, fibroblasts, B cells, T cells, reticulocytes, leukocytes, granulocytes and tumor cells.
B. LIPID NANOPARTICLE (LNP) FORMULATIONS
[313] The formation of a lipid nanoparticle (LNP) described herein may be accomplished by any methods known in the art. For example, as described in U.S. Pat. Pub. No. US2012/0178702 Al, which is incorporated herein by reference in its entirety. Non-limiting examples of lipid nanoparticle compositions and methods of making them are described, for example, in Semple et al. (2010) Nat. Biotechnol. 28: 172-176; Jayarama et al. (2012), Angew. Chem. Int. Ed., 51:8529-8533; and Maier et al. (2013) Molecular Therapy 21, 1570-1578 (the contents of each of which are incorporated herein by reference in their entirety).
[314] In one embodiment, the LNP formulation may be prepared by, e.g., the methods described in International Pat. Pub. No. WO 2011/127255 or WO 2008/103276, the contents of each of which are herein incorporated by reference in their entirety.
[315] In one embodiment, LNP formulations described herein may comprise a polycationic composition. As a non-limiting example, the polycationic composition may be a composition selected from Formulae 1-60 of U.S. Pat. Pub. No. US2005/0222064 Al, the content of which is herein incorporated by reference in its entirety.
[316] In one embodiment, the lipid nanoparticle may be formulated by the methods described in U.S. Pat. Pub. No. US2013/0156845 Al, and International Pat. Pub. No. WO2013/093648 A2 or WO2012/024526 A2, each of which is herein incorporated by reference in its entirety.
[317] In one embodiment, the lipid nanoparticles described herein may be made in a sterile environment by the system and/or methods described in U.S. Pat. Pub. No. US2013/0164400 Al, which is incorporated herein by reference in its entirety.
77
SUBSTITUTE SHEET (RULE 26) [318] In one embodiment, the LNP formulation may be formulated in a nanoparticle such as a nucleic acid-lipid particle described in U.S. Pat. No. 8,492,359, which is incorporated herein by reference in its entirety.
[319] A nanoparticle composition may optionally comprise one or more coatings. For example, a nanoparticle composition may be formulated in a capsule, fdm, or tablet having a coating. A capsule, fdm, or tablet including a composition described herein may have any useful size, tensile strength, hardness, or density.
[320] In some embodiments, the lipid nanoparticles described herein may be synthesized using methods comprising microfluidic mixers. Exemplary microfluidic mixers may include, but are not limited to, a slit interdigitial micromixer including, but not limited to, those manufactured by Precision Nanosystems (Vancouver, BC, Canada), Microinnova (Allerheiligen bei Wildon, Austria) and/or a staggered herringbone micromixer (SHM) (Zhigaltsev, I.V. et al. (2012) Langmuir. 28:3633-40; Belliveau, N.M. et al. Mol. Ther. Nucleic. Acids. (2012) l:e37; Chen, D. et al. J. Am. Chem. Soc. (2012) 134(22):6948-51; each of which is herein incorporated by reference in its entirety).
[321] In some embodiments, methods of LNP generation comprising SHM, further comprise the mixing of at least two input streams wherein mixing occurs by microstructure-induced chaotic advection (MICA). According to this method, fluid streams flow through channels present in a herringbone pattern causing rotational flow and folding the fluids around each other. This method may also comprise a surface for fluid mixing wherein the surface changes orientations during fluid cycling. Methods of generating LNPs using SHM include those disclosed in U.S. Pat. Pub. Nos. US2004/0262223 Al and US2012/0276209 Al, each of which is incorporated herein by reference in their entirety.
[322] In one embodiment, the lipid nanoparticles may be formulated using a micromixer such as, but not limited to, a Slit Interdigital Microstructured Mixer (SIMM-V2) or a Standard Slit Interdigital Micro Mixer (SSIMM) or Caterpillar (CPMM) or Impinging-jet (IJMM)from the Institut fur Mikrotechnik Mainz GmbH, Mainz Germany). In one embodiment, the lipid nanoparticles are created using microfluidic technology (see, Whitesides (2006) Nature. 442: 368-373; and Abraham etal. (2002) Science. 295: 647-651; each of which is herein incorporated by reference in its entirety). As a nonlimiting example, controlled microfluidic formulation includes a passive method for mixing streams of steady pressure-driven flows in micro channels at a low Reynolds number (see, e.g., Abraham et al. (2002) Science. 295: 647651; which is herein incorporated by reference in its entirety).
[323] In one embodiment, the polynucleotide (e.g., circRNA) of the present disclosure may be formulated in lipid nanoparticles created using a micromixer chip such as, but not limited to, those from Harvard Apparatus (Holliston, MA), Dolomite Microfluidics (Royston, UK), or Precision Nanosystems
78
SUBSTITUTE SHEET (RULE 26) (Van Couver, BC, Canada). A micromixer chip can be used for rapid mixing of two or more fluid streams with a split and recombine mechanism.
[324] In some embodiments, the LNP of the present disclosure comprises a molar ratio from about 40% to about 60 % ionizable lipid, a molar ratio of from about 3.5% to about 14% helper lipid, a molar ratio of from about 28% to about 50% structural lipid, and a molar ratio of from about 0.5% to about 5% PEG-lipid, inclusive of all endpoints. In some embodiments, the total molar percentage of the ionizable lipid, the helper lipid, the structural lipid, and the PEG-lipid is 100% in the LNP.
[325] In some embodiments, the molar ratio of the ionizable lipid in the LNP is from about 40 to about 60% of the total lipid present in the LNP. In some embodiments, the molar ratio of the ionizable lipid in the LNP is about 40%, about 41%, about 42%, about 43%, about 44%, about 45%, about 46%, about 47%, about 48%, about 49%, about 50%, about 51%, about 52%, about 53%, about 54%, about
55%, about 56%, about 57%, about 58%, about 59%, or about 60% of the total lipid present in the LNP.
All values are inclusive of all endpoints.
[326] In some embodiments, the molar ratio of the helper lipid in the LNP is from about 3.5% to about 14% of the total lipid present in the LNP. In some embodiments, the molar ratio of the helper lipid in the LNP is about 3, about 4%, about 5%, about 6%, about 7%, about 8%, about 9%, about 10%, about 11%, about 12%, about 13%, or about 14% of the total lipid present in the LNP. In some embodiments, the helper lipid is DSPC. In some embodiments, the helper lipid is DOPE. All values are inclusive of all endpoints.
[327] In some embodiments, the molar ratio of the structural lipid in the LNP is from about 28% to about 50% of the total lipid present in the LNP. In some embodiments, the molar ratio of the structural lipid in the LNP is about 28%, about 29%, about 30%, about 31%, about 32%, about 33%, about 34%, about 35%, about 36%, about 37%, about 38%, about 39%, about 40%, about 41%, about 42%, about
43%, about 44%, about 45%, about 46%, about 47%, about 48%, about 49%, or about 50% of the total lipid present in the LNP. In some embodiments, the structural lipid is cholesterol. All values are inclusive of all endpoints.
[328] In some embodiments, the molar ratio of the PEG-lipid in the LNP is from about 0.5% to about 5% of the total lipid present in the LNP. In some embodiments, the molar ratio of the PEG-lipid in the LNP is about 0.5%, about 0.6%, about 0.7%, about 0.8%, about 0.9%, about 1.0%, about 1.1%, about 1.2%, about 1.3%, about 1.4%, about 1.5%, about 1.6%, about 1.7%, about 1.8%, about 1.9%, about 2.0%, about 2.1%, about 2.2%, about 2.3%, about 2.4%, about 2.5%, about 2.6%, about 2.7%, about 2.8%, about 2.9%, about 3.0%, about 3.1%, about 3.2%, about 3.3%, 3.4%, about 3.5%, about
4.0%, about 4.5%, or about 5% of the total lipid present in the LNP. In some embodiments, the PEG- lipid is DSPE-PEG(2000). In some embodiments, the PEG-lipid is DMG-PEG(2000). All values are inclusive of all endpoints.
SUBSTITUTE SHEET (RULE 26) [329] In some embodiments, the molar ratio of ionizable lipid: helper lipid: structural lipid :PEG- lipid in the LNP is about 45:9:44:2. In some embodiments, the molar ratio of ionizable lipid:helper lipid: structural lipid :PEG-lipid in the LNP is about 50: 10:38.5: 1.5. In some embodiments, the molar ratio of ionizable lipid:helper lipid: structural lipid :PEG-lipid in the LNP is about 41: 12:45:2. In some embodiments, the molar ratio of ionizable lipid:helper lipid structural lipid :PEG-lipid in the LNP is about 62:4:33: 1. In some embodiments, the molar ratio of ionizable lipid:helper lipid structural lipid :PEG-lipid in the LNP is about 53:5:41: 1. In some embodiments, the molar ratio of each of the ionizable lipid, helper lipid, structural lipid, and PEG-lipid is within 10%, 9%, 8%, 7%, 6%, 5%, 4%, 3%, 2%, 1%, 0.9%, 0.8%, 0.7%, 0.6%, 0.5%, 0.4%, 0.3%, 0.2%, 0.1%, 0.09%, 0.08%, 0.07%, 0.06%, 0.05%, 0.04%, 0.03%, 0.02%, or 0.01% of the stated value.
[330] In one embodiment, the lipid nanoparticles may have a diameter from about 10 to about 100 nm such as, but not limited to, about 10 to about 20 nm, about 10 to about 30 nm, about 10 to about 40 nm, about 10 to about 50 nm, about 10 to about 60 nm, about 10 to about 70 nm, about 10 to about 80 nm, about 10 to about 90 nm, about 20 to about 30 nm, about 20 to about 40 nm, about 20 to about 50 nm, about 20 to about 60 nm, about 20 to about 70 nm, about 20 to about 80 nm, about 20 to about 90 nm, about 20 to about 100 nm, about 30 to about 40 nm, about 30 to about 50 nm, about 30 to about 60 nm, about 30 to about 70 nm, about 30 to about 80 nm, about 30 to about 90 nm, about 30 to about 100 nm, about 40 to about 50 nm, about 40 to about 60 nm, about 40 to about 70 nm, about 40 to about 80 nm, about 40 to about 90 nm, about 40 to about 100 nm, about 50 to about 60 nm, about 50 to about 70 nm about 50 to about 80 nm, about 50 to about 90 nm, about 50 to about 100 nm, about 60 to about 70 nm, about 60 to about 80 nm, about 60 to about 90 nm, about 60 to about 100 nm, about 70 to about 80 nm, about 70 to about 90 nm, about 70 to about 100 nm, about 80 to about 90 nm, about 80 to about 100 nm and/or about 90 to about 100 nm. In one embodiment, the lipid nanoparticles may have a diameter from about 10 to 500 nm. In one embodiment, the lipid nanoparticle may have a diameter greater than 100 nm, greater than 150 nm, greater than 200 nm, greater than 250 nm, greater than 300 nm, greater than 350 nm, greater than 400 nm, greater than 450 nm, greater than 500 nm, greater than 550 nm, greater than 600 nm, greater than 650 nm, greater than 700 nm, greater than 750 nm, greater than 800 nm, greater than 850 nm, greater than 900 nm, greater than 950 nm or greater than 1000 nm. Each possibility represents a separate embodiment of the present disclosure.
[331] In some embodiments, a nanoparticle (e.g., a lipid nanoparticle) has a mean diameter of 10- 500 nm, 20-400 nm, 30-300 nm, or 40-200 nm. In some embodiments, a nanoparticle (e.g., a lipid nanoparticle) has a mean diameter of 50-150 nm, 50-200 nm, 80-100 nm, or 80-200 nm.
[332] In some embodiments, the lipid nanoparticles described herein can have a diameter from below 0. 1 pm to up to 1 mm such as, but not limited to, less than 0 . 1 pm, less than 1.0 pm, less than 5 pm, less than 10 pm, less than 15 pm, less than 20 pm, less than 25 pm, less than 30 pm, less than 35 pm, less than 40 pm, less than 50 pm, less than 55 pm, less than 60 pm, less than 65 pm, less than 70
80
SUBSTITUTE SHEET (RULE 26) pm, less than 75 pm, less than 80 pm, less than 85 pm, less than 90 pm, less than 95 pm, less than 100 pm, less than 125 pm, less than 150 pm, less than 175 pm, less than 200 pm, less than 225 pm, less than 250 pm, less than 275 pm, less than 300 pm, less than 325 pm, less than 350 pm, less than 375 pm, less than 400 pm, less than 425 pm, less than 450 pm, less than 475 pm, less than 500 pm, less than 525 pm, less than 550 pm, less than 575 pm, less than 600 pm, less than 625 pm, less than 650 pm, less than 675 pm, less than 700 pm, less than 725 pm, less than 750 pm, less than 775 pm, less than 800 pm, less than 825 pm, less than 850 pm, less than 875 pm, less than 900 pm, less than 925 pm, less than 950 pm, less than 975 pm.
[333] In another embodiment, LNPs may have a diameter from about 1 nm to about 100 nm, from about 1 nm to about 10 nm, about 1 nm to about 20 nm, from about 1 nm to about 30 nm, from about 1 nm to about 40 nm, from about 1 nm to about 50 nm, from about 1 nm to about 60 nm, from about 1 nm to about 70 nm, from about 1 nm to about 80 nm, from about 1 nm to about 90 nm, from about 5 nm to about from 100 nm, from about 5 nm to about 10 nm, about 5 nm to about 20 nm, from about 5 nm to about 30 nm, from about 5 nm to about 40 nm, from about 5 nm to about 50 nm, from about 5 nm to about 60 nm, from about 5 nm to about 70 nm, from about 5 nm to about 80 nm, from about 5 nm to about 90 nm, about 10 to about 50 nm, from about 20 to about 50 nm, from about 30 to about 50 nm, from about 40 to about 50 nm, from about 20 to about 60 nm, from about 30 to about 60 nm, from about 40 to about 60 nm, from about 20 to about 70 nm, from about 30 to about 70 nm, from about 40 to about 70 nm, from about 50 to about 70 nm, from about 60 to about 70 nm, from about 20 to about 80 nm, from about 30 to about 80 nm, from about 40 to about 80 nm, from about 50 to about 80 nm, from about 60 to about 80 nm, from about 20 to about 90 nm, from about 30 to about 90 nm, from about 40 to about 90 nm, from about 50 to about 90 nm, from about 60 to about 90 nm and/or from about 70 to about 90 nm. Each possibility represents a separate embodiment of the present disclosure.
[334] A nanoparticle composition may be relatively homogenous. A polydispersity index may be used to indicate the homogeneity of a nanoparticle composition, e.g., the particle size distribution of the nanoparticle compositions. A small (e.g., less than 0.3) polydispersity index generally indicates a narrow particle size distribution. A nanoparticle composition may have a polydispersity index from about 0 to about 0.25, such as 0.01, 0.02, 0.03, 0.04, 0.05, 0.06, 0.07, 0.08, 0.09, 0.10, 0.1 1, 0.12, 0.13, 0.14, 0.15, 0.16, 0.17, 0.18, 0.19, 0.20, 0.21, 0.22, 0.23, 0.24, or 0.25. In some embodiments, the polydispersity index of a nanoparticle composition may be from about 0.10 to about 0.20. Each possibility represents a separate embodiment of the present disclosure.
[335] The zeta potential of a nanoparticle composition may be used to indicate the electrokinetic potential of the composition. For example, the zeta potential may describe the surface charge of a nanoparticle composition. Nanoparticle compositions with relatively low charges, positive or negative, are generally desirable, as more highly charged species may interact undesirably with cells, tissues, and other elements in the body. In some embodiments, the zeta potential of a nanoparticle composition may
81
SUBSTITUTE SHEET (RULE 26) be from about -20 mV to about +20 mV, from about -20 mV to about +15 mV, from about -20 mV to about +10 mV, from about -20 mV to about +5 mV, from about -20 mV to about 0 mV, from about -20 mV to about -5 mV, from about -20 mV to about -10 mV, from about -20 mV to about -15 mV from about -20 mV to about +20 mV, from about -20 mV to about +15 mV, from about -20 mV to about +10 mV, from about -20 mV to about +5 mV, from about -20 mV to about 0 mV, from about 0 mV to about +20 mV, from about 0 mV to about +15 mV, from about 0 mV to about +10 mV, from about 0 mV to about +5 mV, from about +5 mV to about +20 mV, from about +5 mV to about +15 mV, or from about +5 mV to about +10 mV. Each possibility represents a separate embodiment of the present disclosure.
[336] The efficiency of encapsulation of a therapeutic agent describes the amount of therapeutic agent that is encapsulated or otherwise associated with a nanoparticle composition after preparation, relative to the initial amount provided. The encapsulation efficiency is desirably high (e.g., close to 100%). The encapsulation efficiency may be measured, for example, by comparing the amount of therapeutic agent in a solution containing the nanoparticle composition before and after breaking up the nanoparticle composition with one or more organic solvents or detergents. Fluorescence may be used to measure the amount of free therapeutic agent (e.g., nucleic acids) in a solution. For the nanoparticle compositions described herein, the encapsulation efficiency of a therapeutic agent may be at least 50%, for example 50%, 55%, 60%, 65%, 70%, 75%, 80%, 85%, 90%, 91%, 92%, 93%, 94%, 95%, 96%, 97%, 98%, 99%, or 100%. In some embodiments, the encapsulation efficiency may be at least 80%. In certain embodiments, the encapsulation efficiency may be at least 90%. Each possibility represents a separate embodiment of the present disclosure. In some embodiments, the lipid nanoparticle has a polydispersity value of less than 0.4. In some embodiments, the lipid nanoparticle has a net neutral charge at a neutral pH. In some embodiments, the lipid nanoparticle has a mean diameter of 50-200nm.
[337] The properties of a lipid nanoparticle formulation may be influenced by factors including, but not limited to, the selection of the cationic lipid component, the degree of cationic lipid saturation, the selection of the non-cationic lipid component, the degree of noncationic lipid saturation, the selection of the structural lipid component, the nature of the PEGylation, ratio of all components and biophysical parameters such as size. As described herein, the purity of a PEG lipid component is also important to an LNP’s properties and performance. i. Methods for Lipid Nanoparticles (LNP)
[338] In one embodiment, a lipid nanoparticle formulation may be prepared by the methods described in International Publication Nos. WO2011127255 or W02008103276, each of which is herein incorporated by reference in their entirety. In some embodiments, lipid nanoparticle formulations may be as described in International Publication No. W02019131770, which is herein incorporated by reference in its entirety.
82
SUBSTITUTE SHEET (RULE 26) [339] In some embodiments, circular RNA is formulated according to a process described in US patent application 15/809,680. In some embodiments, the present disclosure provides a process of encapsulating circular RNA in transfer vehicles comprising the steps of forming lipids into pre-formed transfer vehicles (i.e., formed in the absence of RNA) and then combining the pre-formed transfer vehicles with RNA. In some embodiments, the novel formulation process results in an RNA formulation with higher potency (peptide or protein expression) and higher efficacy (improvement of a biologically relevant endpoint) both in vitro and in vivo with potentially better tolerability as compared to the same RNA formulation prepared without the step of preforming the lipid nanoparticles (e.g., combining the lipids directly with the RNA).
[340] For certain cationic lipid nanoparticle formulations of RNA, in order to achieve high encapsulation of RNA, the RNA in buffer (e.g., citrate buffer) has to be heated. In those processes or methods, the heating is required to occur before the formulation process (i.e., heating the separate components) as heating post-formulation (post-formation of nanoparticles) does not increase the encapsulation efficiency of the RNA in the lipid nanoparticles. In contrast, in some embodiments of the novel processes of the present disclosure, the order of heating of RNA does not appear to affect the RNA encapsulation percentage. In some embodiments, no heating (i.e., maintaining at ambient temperature) of one or more of the solutions comprising the pre-formed lipid nanoparticles, the solution comprising the RNA and the mixed solution comprising the lipid nanoparticle encapsulated RNA is required to occur before or after the formulation process.
[341] RNA may be provided in a solution to be mixed with a lipid solution such that the RNA may be encapsulated in lipid nanoparticles. A suitable RNA solution may be any aqueous solution containing RNA to be encapsulated at various concentrations. For example, a suitable RNA solution may contain an RNA at a concentration of or greater than about 0.01 mg/ml, 0.05 mg/ml, 0.06 mg/ml, 0.07 mg/ml, 0.08 mg/ml, 0.09 mg/ml, 0.1 mg/ml, 0.15 mg/ml, 0.2 mg/ml, 0.3 mg/ml, 0.4 mg/ml, 0.5 mg/ml, 0.6 mg/ml, 0.7 mg/ml, 0.8 mg/ml, 0.9 mg/ml, or 1.0 mg/ml. In some embodiments, a suitable RNA solution may contain an RNA at a concentration in a range from about 0.01-1.0 mg/ml, 0.01-0.9 mg/ml, 0.01-0.8 mg/ml, 0.01-0.7 mg/ml, 0.01-0.6 mg/ml, 0.01-0.5 mg/ml, 0.01-0.4 mg/ml, 0.01-0.3 mg/ml, 0.01-0.2 mg/ml, 0.01-0.1 mg/ml, 0.05-1.0 mg/ml, 0.05-0.9 mg/ml, 0.05-0.8 mg/ml, 0.05-0.7 mg/ml, 0.05-0.6 mg/ml, 0.05-0.5 mg/ml, 0.05-0.4 mg/ml, 0.05-0.3 mg/ml, 0.05-0.2 mg/ml, 0.05-0.1 mg/ml, 0. 1-1.0 mg/ml, 0.2-0.9 mg/ml, 0.3-0.8 mg/ml, 0.4-0.7 mg/ml, or 0.5-0.6 mg/ml.
[342] Typically, a suitable RNA solution may also contain a buffering agent and/or salt. Generally, buffering agents can include HEPES, Tris, ammonium sulfate, sodium bicarbonate, sodium citrate, sodium acetate, potassium phosphate or sodium phosphate. In some embodiments, suitable concentration of the buffering agent may be in a range from about 0.1 mM to 100 mM, 0.5 mM to 90 mM, 1.0 mM to 80 mM, 2 mM to 70 mM, 3 mM to 60 mM, 4 mM to 50 mM, 5 mM to 40 mM, 6 mM to 30 mM, 7 mM to 20 mM, 8 mM to 15 mM, or 9 to 12 mM.
83
SUBSTITUTE SHEET (RULE 26) [343] Exemplary salts can include sodium chloride, magnesium chloride, and potassium chloride. In some embodiments, suitable concentration of salts in an RNA solution may be in a range from about 1 mM to 500 mM, 5 mM to 400 mM, 10 mM to 350 mM, 15 mM to 300 mM, 20 mM to 250 mM, 30 mM to 200 mM, 40 mM to 190 mM, 50 mM to 180 mM, 50 mM to 170 mM, 50 mM to 160 mM, 50 mM to 150 mM, or 50 mM to 100 mM.
[344] In some embodiments, a suitable RNA solution may have a pH in a range from about 3.5- 6.5, 3.5-6.0, 3.5-5.5, 3.5-5.0, 3.5-4.5, 4.0-5.5, 4.0-5.0, 4.0-4.9, 4.0-4.8, 4.0-4.7, 4.0-4.6, or 4.0-4.5.
[345] Various methods may be used to prepare an RNA solution suitable for the present disclosure. In some embodiments, RNA may be directly dissolved in a buffer solution described herein. In some embodiments, an RNA solution may be generated by mixing an RNA stock solution with a buffer solution prior to mixing with a lipid solution for encapsulation. In some embodiments, an RNA solution may be generated by mixing an RNA stock solution with a buffer solution immediately before mixing with a lipid solution for encapsulation.
[346] According to the present disclosure, a lipid solution contains a mixture of lipids suitable to form transfer vehicles for encapsulation of RNA. In some embodiments, a suitable lipid solution is ethanol based. For example, a suitable lipid solution may contain a mixture of desired lipids dissolved in pure ethanol (i.e., 100% ethanol). In another embodiment, a suitable lipid solution is isopropyl alcohol based. In another embodiment, a suitable lipid solution is dimethylsulfoxide-based. In another embodiment, a suitable lipid solution is a mixture of suitable solvents including, but not limited to, ethanol, isopropyl alcohol and dimethylsulfoxide.
[347] A suitable lipid solution may contain a mixture of desired lipids at various concentrations. In some embodiments, a suitable lipid solution may contain a mixture of desired lipids at a total concentration in a range from about 0.1-100 mg/ml, 0.5-90 mg/ml, 1.0-80 mg/ml, 1.0-70 mg/ml, 1.0- 60 mg/ml, 1.0-50 mg/ml, 1.0-40 mg/ml, 1.0-30 mg/ml, 1.0-20 mg/ml, 1.0-15 mg/ml, 1.0-10 mg/ml, 1.0- 9 mg/ml, 1.0-8 mg/ml, 1.0-7 mg/ml, 1.0-6 mg/ml, or 1.0-5 mg/ml. ii. Liposomes
[348] In certain embodiments, liposomes or other lipid bilayer vesicles are described herein and may be used as a component or as the whole transfer vehicle to facilitate or enhance the delivery and release of circular RNA to one or more target cells. Liposomes are usually characterized by having an interior space sequestered from an outer medium by a membrane of one or more bilayers forming a microscopic sack or vesicle. Bilayer membranes of liposomes are typically formed by lipids (e.g., the lipids described herein) (Lasic, D, and Papahadjopoulos, D., eds. Medical Applications of Liposomes. Elsevier, Amsterdam, 1998).
[349] In some embodiments, the circular RNA is encapsulated, or the liposome can be prepared using various methods, including but not limited to mechanical dispersion, solvent dispersion, and or
84
SUBSTITUTE SHEET (RULE 26) detergent removal. Each of these methods include the steps of drying the lipids from organic solvents, dispersing the lipid in aqueous media, resizing the liposomes and purifying the/liposome suspension (Gomez etal., ACS Omega. 2019. 4(6): 10866-10876). Various other methods of liposome preparation can be found in Akbarzadeh et al., Nanoscale Res Lett. 2013; 8(1): 102. In some embodiments, the circular RNA may be loaded passively (i.e., the circular RNA is encapsulated during liposome formation) or actively (i.e., after liposome formation).
[350] In some embodiments, the liposome described herein may comprise one or more bilayers. In certain embodiments, the liposome may comprise a multilamellar vesicle or a unilamellar vesicle.
[351] In certain embodiments, the liposome as described herein comprises of naturally derived or engineered phospholipids. In some embodiments, the liposomes may further comprise PEG-lipids that aid with stability of the overall liposome structure. Other improvements, including but not limited to corticosteroid and other steroids may be used to help with maintaining structure and stability of the liposome.
Hi. Dendrimer
[352] In certain embodiments, the transfer vehicle for transporting the circular RNA comprises a dendrimer. Use of “dendrimer” describes the architectural motif of the transfer vehicle. In some embodiments, the dendrimer includes but is not limited to containing an interior core and one or more layers (i.e., generations) that extend or attach out from the interior core. In some of the embodiments, the generations may contain one or more branching points and an exterior surface of terminal groups that attach to the outermost generation. The branching points, in certain embodiments, may be mostly monodispersed and contain symmetric branching units built around the interior core.
[353] Synthesis of the dendrimer may comprise the divergent method, convergent growth, hypercore and branched monomer growth, double exponential growth, lego chemistry, click chemistry and other methods as available in the art (Mendes L. et al., Molecules. 2017. 22 (9): 1401 further describes these methods). iv. Polymer-Based Delivery
[354] In certain embodiments, as described herein, the transfer vehicle for the circular RNA polynucleotide comprises a polymer nanoparticle. In some embodiments, the polymer nanoparticle includes nanocapsules and nanospheres. Nanocapsules, in some embodiments, are composed of an oily core surrounded by a polymeric shell. In some embodiments, the circular RNA is contained within the core and the polymeric shell controls the release of the circular RNA. On the other hand, nanospheres comprise a continuous polymeric network in which the circular RNA is retained or absorbed onto the surface. In some embodiments, cationic polymers are used to encapsulate the circular RNA due to the favorable electrostatic interaction of the cations to the negatively charged nucleic acids and cell membrane.
85
SUBSTITUTE SHEET (RULE 26) [355] The polymer nanoparticle may be prepared by various methods. In some embodiments, the polymer nanoparticle may be prepared by nanoprecipitation, emulsion techniques, solvent evaporation, solvent diffusion, reverse salting-out or other methods available in the art. v. Polymer-lipid hybrids
[356] In certain embodiments, as described herein, the transfer vehicle for the circular RNA polynucleotide comprises a polymer-lipid hybrid nanoparticle (LPHNP). In some embodiments, the LPHNP comprises a polymer core enveloped within a lipid bilayer. In some embodiments, the polymer core encapsulates the circular RNA polynucleotide. In some embodiments, the LPHNP further comprises an outer lipid bilayer. In certain embodiments, this outer lipid bilayer comprises a PEG- lipid, helper lipid, cholesterol or other molecule as known in the art to help with stability in a lipid- based nanoparticle. The lipid bilayer closest to the polymer core mitigates the loss of the entrapped circular RNA during LPHNP formation and protects from degradation of the polymer core by preventing diffusion of water from outside of the transfer vehicle into the polymer core (Mukheqee et al., In J. Nanomedicine. 2019; 14: 1937-1952).
[357] There are various methods of developing and formulating a LPHNP. In certain embodiments, the LPHNP is developed using a one-step or a two-step method available in the art. In some embodiments, the one-step method for forming an LPHNP is through nanoprecipitation or emulsification-solvent evaporation. In certain embodiments, the two-step method includes nanoprecipitation, emulsification-solvent evaporation, high-pressure homogenization, or other method available in the art. vi. Peptide-Based Delivery
[358] In certain embodiments, the circular RNA can be transported using a peptide-based delivery mechanism. In some embodiments, the peptide-based delivery mechanism comprises a lipoprotein. Based on the size of the drug to be delivered, the lipoprotein may be either a low-density (LDL) or high- density lipoprotein (HDL). As seen in US8734853B2, high-density lipoproteins are capable of transporting a nucleic acid in vivo and in vitro.
[359] In particular embodiments, the lipid component includes cholesterol. In more particular embodiments, the lipid component includes a combination of cholesterol and cholesterol oleate.
[360] The HDL-nucleic acid particle can be of any size, but in particular embodiments the particle has a molecular size of from about 100 Angstroms to about 500 Angstroms. In more particular embodiments, the particle has a molecular size of from about 100 Angstroms to about 300 Angstroms. The size may be dependent on the size of the nucleic acid component incorporated into the particle.
[361] The HDL-nucleic acid particle can have a broad range in molecular weight. The weight is dependent on the size of the nucleic acid incorporated into the particle. Lor example, in some embodiments, the particle has a molecular weight of from about 100,000 Daltons to about 1,000,000
86
SUBSTITUTE SHEET (RULE 26) Daltons. In more particular embodiments, the particle has a molecular weight of from about 100,000 Daltons to about 500,000 Daltons. In specific embodiments, the particle has a molecular weight of from about 100,000 Daltons to about 300,000 Daltons.
[362] The HDL-nucleic acid particles of the present disclosure can be made by different methods. For example, a nucleic acid (e.g., siRNA) may be neutralized by combining the nucleic acid with peptides or polypeptides composed of contiguous positively-charged amino acids. For example, as discussed above, amino acid sequences may include 2 or more contiguous lysine residues. The positive charge of the amino acid sequences neutralizes the negatively charged nucleic acid molecule. The nucleic acid can then be encapsulated in an HDL particle using a method as described in Lacko et al. (2002). vii. Carbohydrate Carrier
[363] In certain embodiments, the circular RNA polynucleotide can be transported using a carbohydrate carrier or a sugar-nanocapsule. In certain embodiments, the carbohydrate carrier comprises a sugar-decorated nanoparticle, peptide- and saccharide-conjugated dendrimer, nanoparticles based on polysaccharides, and other carbohydrate-based carriers available in the art. As described herein, the incorporation of carbohydrate molecules may be through synthetic means.
[364] In some embodiments, the carbohydrate carrier comprises polysaccharides. These polysaccharides may be made from the microbial cell wall of the target cell. For example, carbohydrate carriers comprise of mannan carbohydrates have been shown to successfully deliver mRNA (Son et al. , Nano Lett. 2020. 20(3): 1499-1509). viii. Glycan-Decorated Nanoparticle s/Glyconanoparticles
[365] In certain embodiments, as provided herein, the transfer vehicle for the circular RNA is a glyconanoparticle (GlycoNP). As known in the art, glyconanoparticles comprise a core comprising gold, iron oxide, semiconductor nanoparticles or a combination thereof. In some embodiments, the glyconanoparticle is functionalized using carbohydrates. In certain embodiments, the glyconanoparticle comprises a carbon nanotube or graphene . In one embodiment the glyconanoparticle comprises a polysaccharide-based GlycoNP (e.g., chitosan-based GlycoNP). In certain embodiments, the glyconanoparticle is a glycodendrimer.
C. PEG LIPIDS
[366] In some embodiments, the transfer vehicle (e.g., LNP) described herein comprises one or more PEG lipids. The use and inclusion of polyethylene glycol (PEG) -modified phospholipids and derivatized lipids such as derivatized ceramides (PEG-CER), including N-Octanoyl-Sphingosine-1- [Succinyl(Methoxy Polyethylene Glycol)-2000] (C8 PEG-2000 ceramide) in the pharmaceutical compositions described herein is contemplated, preferably in combination with one or more of the lipids described herein. Contemplated PEG-modified lipids include, but are not limited to, a polyethylene
87
SUBSTITUTE SHEET (RULE 26) glycol chain of up to 5 kDa in length covalently attached to a lipid with alkyl chain(s) of C6-C20 length. In some embodiments, the PEG-modified lipid employed in the compositions and methods of the present disclosure is 1,2-dimyristoyl-sn-glycerol, methoxypolyethylene Glycol (2000 MW PEG) “DMG-PEG2000.” The addition of PEG-modified lipids to the lipid delivery vehicle may prevent complex aggregation and may also provide a means for increasing circulation lifetime and increasing the delivery of the lipid-polynucleotide composition to the target tissues, (Klibanov et al. (1990) FEBS Letters, 268 (1): 235-237), or they may be selected to rapidly exchange out of the formulation in vivo (see U.S. Pat. No. 5,885,613). Particularly useful exchangeable lipids are PEG-ceramides having shorter acyl chains (e.g., C14 or Cl 8). The PEG-modified phospholipid and derivatized lipids of the present disclosure may comprise a molar ratio from about 0% to about 20%, about 0.5% to about 20%, about 1% to about 15%, about 4% to about 10%, or about 2% of the total lipid present in a liposomal lipid nanoparticle.
[367] In an embodiment, a PEG-modified lipid is described in International Pat. Appl. No. PCT/US2019/015913 or PCT/US2020/046407, which are incorporated herein by reference in their entirety. In an embodiment, a transfer vehicle comprises one or more PEG-modified lipids.
[368] Non-limiting examples of PEG-modified lipids include PEG-modified phosphatidylethanolamines and phosphatidic acids, PEG-ceramide conjugates (e.g., PEG-CerC14 or PEG-CerC20), PEG-modified dialkylamines and PEG-modified l,2-diacyloxypropan-3 -amines. In some further embodiments, a PEG-modified lipid may be, e,g,, PEG-c-DOMG, PEG-DMG, PEG- DLPE, PEG-DMPE, PEG-DPPC, or a PEG-DSPE.
[369] In some still further embodiments, the PEG-modified lipid includes, but is not limited to 1,2-dimyristoyl-sn-glycerol methoxypolyethylene glycol (PEG-DMG), l,2-distearoyl-sn-glycero-3- phosphoethanolamine-N-[amino(polyethylene glycol)] (PEG-DSPE), PEG-disteryl glycerol (PEG- DSG), PEG-dipalmetoleyl, PEG-dioleyl, PEG-distearyl, PEG-diacylglycamide (PEG-DAG), PEG- dipalmitoyl phosphatidylethanolamine (PEG-DPPE), PEG-1, 2-dimyristyloxlpropyl-3 -amine (PEG-c- DMA).
[370] In some still further embodiments, the PEG-modified lipid is DSPE-PEG, DMG-PEG, PEG-DAG, PEG-S-DAG, PEG-PE, PEG-S-DMG, PEG-cer, PEG-dialkoxypropylcarbamate, PEG-OR, PEG-OH, PEG-c-DOMG, or PEG-1. In some embodiments, the PEG-modified lipid is DSPE- PEG(2000).
[371] In some embodiments, the PEG-modified lipid comprises a PEG moiety comprising 10-70 (e.g., 30-60) oxyethylene (-O-CH2-CH2-) units or portions thereof. In some embodiments, the PEG- modified lipid comprises (OCH2CH2)V-ORW, and v is an integer from 0 to 70 (inclusive) (e.g., an integer from 30 to 60), w is hydrogen or alkyl.
88
SUBSTITUTE SHEET (RULE 26) [372] In various embodiments, a PEG-modified lipid may also be referred to as “PEGylated lipid” or “PEG-lipid.”
[373] In one embodiment, the PEG-lipid is selected from a PEG-modified phosphatidylethanolamine, a PEG-modified phosphatidic acid, a PEG-modified ceramide, a PEG- modified dialkylamine, a PEG-modified diacylglycerol, a PEG-modified dialkylglycerol, and mixtures thereof.
[374] In some embodiments, the lipid moiety of the PEG-lipids includes those having lengths of from about CM to about C22, such as from about C14 to about CM. In some embodiments, a PEG moiety, for example a mPEG-NIE, has a size of about 1000, about 2000, about 5000, about 10,000, about 15,000 or about 20,000 daltons. In one embodiment, the PEG-lipid is PEG2k-DMG.
[375] In one embodiment, the lipid nanoparticles described herein can comprise a lipid modified with a non-diffusible PEG. Non-limiting examples of non-diffusible PEGs include PEG-DSG and PEG- DSPE.
[376] PEG-lipids are known in the art, such as those described in U.S. Pat. No. 8,158,601 and International Pat. Publ. No. WO2015/130584 A2, which are incorporated herein by reference in their entirety.
[377] In various embodiments, lipids (e.g., PEG-lipids), described herein may be synthesized as described International Pat. Publ. No. PCT/US2016/000129, which is incorporated by reference in its entirety.
[378] The lipid component of a lipid nanoparticle composition may include one or more molecules comprising polyethylene glycol, such as PEG or PEG-modified lipids. Such species may be alternately referred to as PEGylated lipids. A PEG lipid is a lipid modified with polyethylene glycol. A PEG lipid may be selected from the non-limiting group including PEG-modified phosphatidylethanolamines, PEG-modified phosphatidic acids, PEG-modified ceramides, PEG- modified dialkylamines, PEG-modified diacylglycerols, PEG-modified dialkylglycerols, and mixtures thereof. For example, a PEG lipid may be PEG-c-DOMG, PEG-DMG, PEG-DLPE, PEG-DMPE, PEG- DPPC, or a PEG-DSPE lipid.
[379] In some embodiments the PEG-modified lipids are a modified form of PEG-DMG. PEG- DMG has the following structure:
SUBSTITUTE SHEET (RULE 26) [380] In some embodiments the PEG-modified lipids are a modified form of PEG-C18, or PEG- 1. PEG-1 has the following structure:
[381] In one embodiment, PEG lipids useful in the present disclosure can be PEGylated lipids described in International Publication No. WO2012099755, the contents of which is herein incorporated by reference in its entirety. Any of these exemplary PEG lipids described herein may be modified to comprise a hydroxyl group on the PEG chain. In certain embodiments, the PEG lipid is a PEG-OH lipid. In certain embodiments, the PEG-OH lipid includes one or more hydroxyl groups on the PEG chain. In certain embodiments, a PEG-OH or hydroxy-PEGylated lipid comprises an -OH group at the terminus of the PEG chain. Each possibility represents a separate embodiment of the present disclosure.
[382] In some embodiments, the PEG lipid is a compound of Formula (Pl):
or a salt or isomer thereof, wherein: r is an integer from 1 to 100;
R is Cio-40 alkyl, Cio-4o alkenyl, or Cio-4o alkynyl; and optionally one or more methylene groups of R are independently replaced with C3-10 carbocyclylene, 4 to 10 membered heterocyclylene, Ce- 10 arylene, 4 to 10 membered heteroarylene, -N(RN)-, -O-, -S-, -C(O)-,-C(O)N(RN)-, -NRNC(O)-, -NRNC(O)N(RN)- -C(O)O-, -OC(O)-, -OC(O)O- ,-OC(O)N(RN)- -NRNC(O)O-, -C(O)S-, - SC(O)-, -C(=NRN)-, -C(=NRN)N(RN)-, -NRNC(=NRN)-, -NRNC(=NRN)N(RN)- ,-C(S)-, - C(S)N(RN)- -NRNC(S)-, -NRNC(S)N(RN)- -S(O)-, -OS(O)-, -S(O)O-, -OS(O)O-, -OS(O)2-, - S(O)2O-, -OS(O)2O-, -N(RN)S(O)-, -S(O)N(RN)- -N(RN)S(O)N(RN)- -OS(O)N(RN)- - N(RN)S(O)O-, -S(O)2-, -N(RN)S(O)2-, -S(O)2N(RN)- -N(RN)S(O)2N(RN)- -OS(O)2N(RN)- or - N(RN)S(O)2O-; and each instance of RN is independently hydrogen, Ci-e alkyl, or a nitrogen protecting group.
[383] For example, R is C17 alkyl. For example, the PEG lipid is a compound of Formula (Pl-a):
or a salt or isomer thereof, wherein r is an integer from 1 to 100.
[384] For example, the PEG lipid is a compound of the following formula:
SUBSTITUTE SHEET (RULE 26)
D. HELPER LIPIDS
[385] In some embodiments, the transfer vehicle (e.g., LNP) described herein comprises one or more non-cationic helper lipids. In some embodiments, the helper lipid is a phospholipid. In some embodiments, the helper lipid is a phospholipid substitute or replacement. In some embodiments, the phospholipid or phospholipid substitute can be, for example, one or more saturated or (poly)unsaturated phospholipids, or phospholipid substitutes, or a combination thereof. In general, phospholipids comprise a phospholipid moiety and one or more fatty acid moieties.
[386] A phospholipid moiety can be selected, for example, from the non-limiting group consisting of phosphatidyl choline, phosphatidyl ethanolamine, phosphatidyl glycerol, phosphatidyl serine, phosphatidic acid, 2-lysophosphatidyl choline, and a sphingomyelin.
[387] A fatty acid moiety can be selected, for example, from the non-limiting group consisting of lauric acid, myristic acid, myristoleic acid, palmitic acid, palmitoleic acid, stearic acid, oleic acid, linoleic acid, alpha-linolenic acid, erucic acid, phytanoic acid, arachidic acid, arachidonic acid, eicosapentaenoic acid, behenic acid, docosapentaenoic acid, and docosahexaenoic acid.
[388] Phospholipids include, but are not limited to, glycerophospholipids such as phosphatidylcholines, phosphatidylethanolamines, phosphatidylserines, phosphatidylinositols, phosphatidy glycerols, and phosphatidic acids. Phospholipids also include phosphosphingolipid, such as sphingomyelin.
[389] In some embodiments, the helper lipid is a l,2-distearoyl-177-glycero-3-phosphocholine (DSPC) analog, a DSPC substitute, oleic acid, or an oleic acid analog.
[390] In some embodiments, a helper lipid is a non-phosphatidyl choline (PC) zwitterionic lipid, a DSPC analog, oleic acid, an oleic acid analog, or a DSPC substitute.
[391] In some embodiments, a helper lipid is described in PCT/US2018/053569. Helper lipids suitable for use in a lipid composition of the disclosure include, for example, a variety of neutral, uncharged or zwitterionic lipids. Such helper lipids are preferably used in combination with one or more of the compounds and lipids described herein. Examples of helper lipids include, but are not limited to, 5-heptadecylbenzene-l,3-diol (resorcinol), dipalmitoylphosphatidylcholine (DPPC), distearoylphosphatidylcholine (DSPC), dioleoylphosphatidylcholine (DOPC), dimyristoylphosphatidylcholine (DMPC), phosphatidylcholine (PLPC), l,2-distearoylsn-glycero-3- phosphocholine (DAPC), phosphatidylethanolamine (PE), egg phosphatidylcholine (EPC), dilauryloylphosphatidylcholine (DLPC), dimyristoylphosphatidylcholine (DMPC), l-myristoyl-2- palmitoyl phosphatidylcholine (MPPC), l-paimitoyl-2-myristoyl phosphatidylcholine (PMPC), 1-
91
SUBSTITUTE SHEET (RULE 26) palmitoyl -2-stearoyl phosphatidylcholine (PSPC), l,2-diarachidoyl-sn-glycero-3 -phosphocholine (DBPC), 1 -stearoyl -2 -palmitoyl phosphatidylcholine (SPPC), l,2-dieicosenoyl-sn-glycero-3- phosphocholine (DEPC), paimitoyioieoyl phosphatidylcholine (POPC), lysophosphatidyl choline, dioleoyl phosphatidylethanol amine (DOPE) dilinoleoylphosphatidylcholine distearoylphosphatidylethanolamine (DSPE), dimyristoyl phosphatidylethanolamine (DMPE), dipalmitoyl phosphatidylethanolamine (DPPE), palmitoyloleoyl phosphatidylethanolamine (POPE), lysophosphatidylethanolamine and combinations thereof. In one embodiment, the helper lipid may be distearoylphosphatidylcholine (DSPC) or dimyristoyl phosphatidyl ethanolamine (DMPE). In another embodiment, the helper lipid may be distearoylphosphatidylcholine (DSPC). Helper lipids function to stabilize and improve processing of the transfer vehicles. Such helper lipids are preferably used in combination with other excipients, for example, one or more of the ionizable lipids described herein. In some embodiments, when used in combination with an ionizable lipid, the helper lipid may comprise a molar ratio of 5% to about 90%, or about 10% to about 70% of the total lipid present in the lipid nanoparticle.
E. STRUCTURAL LIPIDS
[392] In some embodiments, the transfer vehicle (e.g., LNP) described herein comprises one or more structural lipids. Incorporation of structural lipid(s) in the lipid nanoparticle may help mitigate aggregation of other lipids in the particle. Structural lipids can include, but are not limited to, cholesterol, fecosterol, ergosterol, bassicasterol, tomatidine, tomatine, ursolic, alpha-tocopherol, and mixtures thereof. In certain embodiments, the structural lipid is cholesterol. In certain embodiments, the structural lipid includes cholesterol and a corticosteroid (such as, for example, prednisolone, dexamethasone, prednisone, and hydrocortisone), or a combination thereof.
[393] In some embodiments, a structural lipid is described in international patent application PCT/US2019/015913.
[394] In some embodiments, the structural lipid is a sterol. In certain embodiments, the structural lipid is a steroid. In certain embodiments, the structural lipid is cholesterol. In certain embodiments, the structural lipid is an analog of cholesterol. In certain embodiments, the structural lipid is alphatocopherol.
[395] The transfer vehicles described herein comprise one or more structural lipids. Incorporation of structural lipids in a transfer vehicle, e.g., a lipid nanoparticle, may help mitigate aggregation of other lipids in the particle. In certain embodiments, the structural lipid includes cholesterol and a corticosteroid (such as, for example, prednisolone, dexamethasone, prednisone, and hydrocortisone), or a combination thereof.
[396] In some embodiments, the structural lipid is a sterol. Structural lipids can include, but are not limited to, sterols (e.g., phytosterols or zoosterols).
92
SUBSTITUTE SHEET (RULE 26) [397] In certain embodiments, the structural lipid is a steroid. For example, sterols can include, but are not limited to, cholesterol, [3-sitosterol, fecosterol, ergosterol, sitosterol, campesterol, stigmasterol, brassicasterol, ergosterol, tomatidine, tomatine, ursolic acid, or alpha-tocopherol.
[398] In some embodiments, a transfer vehicle includes an effective amount of an immune cell delivery potentiating lipid, e.g., a cholesterol analog or an amino lipid or combination thereof, that, when present in a transfer vehicle, e.g., an lipid nanoparticle, may function by enhancing cellular association and/or uptake, internalization, intracellular trafficking and/or processing, and/or endosomal escape and/or may enhance recognition by and/or binding to immune cells, relative to a transfer vehicle lacking the immune cell delivery potentiating lipid. Accordingly, while not intending to be bound by any particular mechanism or theory, in one embodiment, a structural lipid or other immune cell delivery potentiating lipid of the disclosure binds to C Iq or promotes the binding of a transfer vehicle comprising such lipid to C Iq. Thus, for in vitro use of the transfer vehicles of the disclosure for delivery of a nucleic acid molecule to an immune cell, culture conditions that include Clq are used (e.g., use of culture media that includes serum or addition of exogenous Clq to serum-free media). For in vivo use of the transfer vehicles of the disclosure, the requirement for Clq is supplied by endogenous Clq.
[399] In certain embodiments, the structural lipid is cholesterol. In certain embodiments, the structural lipid is an analog of cholesterol. In some embodiments, the structural lipid is a lipid in the Table below:
SUBSTITUTE SHEET (RULE 26)
SUBSTITUTE SHEET (RULE 26)
SUBSTITUTE SHEET (RULE 26)
SUBSTITUTE SHEET (RULE 26)
SUBSTITUTE SHEET (RULE 26)
SUBSTITUTE SHEET (RULE 26)
SUBSTITUTE SHEET (RULE 26)
SUBSTITUTE SHEET (RULE 26)
SUBSTITUTE SHEET (RULE 26)
102
SUBSTITUTE SHEET (RULE 26)
SUBSTITUTE SHEET (RULE 26)
SUBSTITUTE SHEET (RULE 26)
105
SUBSTITUTE SHEET (RULE 26)
106
SUBSTITUTE SHEET (RULE 26)
SUBSTITUTE SHEET (RULE 26)
SUBSTITUTE SHEET (RULE 26)
SUBSTITUTE SHEET (RULE 26)
SUBSTITUTE SHEET (RULE 26)
[400] In certain embodiments, the pharmaceutical compositions described herein comprise a polynucleotide. In some embodiments, the pharmaceutical composition comprises (i) a transfer vehicle described hereinabove and (ii) a polynucleotide. In some embodiments, the polynucleotide is DNA. In some embodiments, the polynucleotide is RNA. In some embodiments, the polynucleotide is linear RNA. In some embodiments, the polynucleotide is circular RNA.
[401] Transcription of a DNA template (e.g., comprising a 3’ enhanced intron element, 3’ enhanced exon element, a core functional element, a 5’ enhanced exon element, and a 5’ enhanced intron element) results in formation of a precursor linear RNA polynucleotide capable of circularizing. In some embodiments, this DNA template comprises a vector, PCR product, plasmid, minicircle DNA, cosmid, artificial chromosome, complementary DNA (cDNA), extrachromosomal DNA (ecDNA), or a fragment therein. In certain embodiments, the minicircle DNA may be linearized or non-linearized. In certain embodiments, the plasmid may be linearized or non-linearized. In some embodiments, the DNA
Ill
SUBSTITUTE SHEET (RULE 26) template may be single-stranded. In other embodiments, the DNA template may be double-stranded. In some embodiments, the DNA template comprises in whole or in part from a viral, bacterial or eukaryotic vector.
[402] The present disclosure, as provided herein, comprises a DNA template that shares the same sequence as the precursor linear RNA polynucleotide prior to splicing of the precursor linear RNA polynucleotide (e.g., a 3’ enhanced intron element, a 3’ enhanced exon element, a core functional element, and a 5’ enhanced exon element, a 5’ enhanced intron element). In some embodiments, said linear precursor RNA polynucleotide undergoes splicing leading to the removal of the 3’ enhanced intron element and 5’ enhanced intron element during the process of circularization. In some embodiments, the resulting circular RNA polynucleotide lacks a 3’ enhanced intron fragment and a 5’ enhanced intron fragment, but maintains a 3 ’ enhanced exon fragment, a core functional element, and a 5 ’ enhanced exon element.
[403] In some embodiments, the precursor linear RNA polynucleotide circularizes when incubated in the presence of one or more guanosine nucleotides or nucleoside (e.g., GTP) and a divalent cation (e.g., Mg2+). In some embodiments, the 3’ enhanced exon element, 5’ enhanced exon element, and/or core functional element in whole or in part promotes the circularization of the precursor linear RNA polynucleotide to form the circular RNA polynucleotide provided herein.
[404] In certain embodiments circular RNA provided herein is produced inside a cell. In some embodiments, precursor RNA is transcribed using a DNA template (e.g., in some embodiments, using a vector provided herein) in the cytoplasm by a bacteriophage RNA polymerase, or in the nucleus by host RNA polymerase II and then circularized.
[405] In certain embodiments, the circular RNA provided herein is injected into an animal (e.g., a human), such that a polypeptide encoded by the circular RNA molecule is expressed inside the animal.
[406] In some embodiments, the DNA (e.g., vector), linear RNA (e.g., precursor RNA), and/or circular RNA polynucleotide provided herein is from 300 to 10000, 400 to 9000, 500 to 8000, 600 to 7000, 700 to 6000, 800 to 5000, 900 to 5000, 1000 to 5000, 1100 to 5000, 1200 to 5000, 1300 to 5000, 1400 to 5000, and/or 1500 to 5000 nucleotides in length. In some embodiments, the polynucleotide is at least 300 nt, 400 nt, 500 nt, 600 nt, 700 nt, 800 nt, 900 nt, 1000 nt, 1100 nt, 1200 nt, 1300 nt, 1400 nt, 1500 nt, 2000 nt, 2500 nt, 3000 nt, 3500 nt, 4000 nt, 4500 nt, or 5000 nt in length. In some embodiments, the polynucleotide is no more than 3000 nt, 3500 nt, 4000 nt, 4500 nt, 5000 nt, 6000 nt, 7000 nt, 8000 nt, 9000 nt, or 10000 nt in length. In some embodiments, the length of a DNA, linear RNA, and/or circular RNA polynucleotide provided herein is about 300 nt, 400 nt, 500 nt, 600 nt, 700 nt, 800 nt, 900 nt, 1000 nt, 1100 nt, 1200 nt, 1300 nt, 1400 nt, 1500 nt, 2000 nt, 2500 nt, 3000 nt, 3500 nt, 4000 nt, 4500 nt, 5000 nt, 6000 nt, 7000 nt, 8000 nt, 9000 nt, or 10000 nt.
112
SUBSTITUTE SHEET (RULE 26) [407] In some embodiments, the circular RNA provided herein has higher functional stability than mRNA comprising the same expression sequence. In some embodiments, the circular RNA provided herein has higher functional stability than mRNA comprising the same expression sequence, 5moU modifications, an optimized UTR, a cap, and/or a polyA tail.
[408] In some embodiments, the circular RNA polynucleotide provided herein has a functional half-life of at least 5 hours, 10 hours, 15 hours, 20 hours, 30 hours, 40 hours, 50 hours, 60 hours, 70 hours or 80 hours. In some embodiments, the circular RNA polynucleotide provided herein has a functional half-life of 5-80, 10-70, 15-60, and/or 20-50 hours. In some embodiments, the circular RNA polynucleotide provided herein has a functional half-life greater than (e.g., at least 1.5-fold greater than, at least 2-fold greater than) that of an equivalent linear RNA polynucleotide encoding the same protein. In some embodiments, functional half-life can be assessed through the detection of functional protein synthesis.
[409] In some embodiments, the circular RNA polynucleotide provided herein has a half-life of at least 5 hours, 10 hours, 15 hours, 20 hours, 30 hours, 40 hours, 50 hours, 60 hours, 70 hours or 80 hours. In some embodiments, the circular RNA polynucleotide provided herein has a half-life of 5-80, 10-70, 15-60, and/or 20-50 hours. In some embodiments, the circular RNA polynucleotide provided herein has a half-life greater than (e.g., at least 1.5-fold greater than, at least 2-fold greater than) that of an equivalent linear RNA polynucleotide encoding the same protein. In some embodiments, the circular RNA polynucleotide, or pharmaceutical composition thereof, has a functional half-life in a human cell greater than or equal to that of a pre-determined threshold value. In some embodiments the functional half-life is determined by a functional protein assay. For example, in some embodiments, the functional half-life is determined by an in vitro luciferase assay, wherein the activity of Gaussia luciferase (GLuc) is measured in the media of human cells (e.g., HepG2) expressing the circular RNA polynucleotide every 1, 2, 6, 12, or 24 hours over 1, 2, 3, 4, 5, 6, 7, or 14 days. In other embodiments, the functional half-life is determined by an in vivo assay, wherein levels of a protein encoded by the expression sequence of the circular RNA polynucleotide are measured in patient serum or tissue samples every 1, 2, 6, 12, or 24 hours over 1, 2, 3, 4, 5, 6, 7, or 14 days. In some embodiments, the pre-determined threshold value is the functional half-life of a reference linear RNA polynucleotide comprising the same expression sequence as the circular RNA polynucleotide.
[410] In some embodiments, the circular RNA provided herein may have a higher magnitude of expression than equivalent linear mRNA, e.g., a higher magnitude of expression 24 hours after administration of RNA to cells. In some embodiments, the circular RNA provided herein has a higher magnitude of expression than mRNA comprising the same expression sequence, 5moU modifications, an optimized UTR, a cap, and/or a polyA tail.
113
SUBSTITUTE SHEET (RULE 26) [411] In some embodiments, the circular RNA provided herein may be less immunogenic than an equivalent mRNA when exposed to an immune system of an organism or a certain type of immune cell. In some embodiments, the circular RNA provided herein is associated with modulated production of cytokines when exposed to an immune system of an organism or a certain type of immune cell. For example, in some embodiments, the circular RNA provided herein is associated with reduced production of IFN-(31, RIG-I, IL-2, IL-6, IFNy, and/or TNFa when exposed to an immune system of an organism or a certain type of immune cell as compared to mRNA comprising the same expression sequence. In some embodiments, the circular RNA provided herein is associated with less IFN-(31, RIG-I, IL-2, IL-6, IFNy, and/or TNFa transcript induction when exposed to an immune system of an organism or a certain type of immune cell as compared to mRNA comprising the same expression sequence. In some embodiments, the circular RNA provided herein is less immunogenic than mRNA comprising the same expression sequence. In some embodiments, the circular RNA provided herein is less immunogenic than mRNA comprising the same expression sequence, 5moU modifications, an optimized UTR, a cap, and/or a polyA tail.
[412] In certain embodiments, the circular RNA provided herein can be transfected into a cell as is or can be transfected in DNA vector form and transcribed in the cell. Transcription of circular RNA from a transfected DNA vector can be via added polymerases or polymerases encoded by nucleic acids transfected into the cell, or preferably via endogenous polymerases. i. Enhanced Intron Elements & Enhanced Exon Elements
[413] The enhanced intron elements and enhanced exon elements may comprise spacers, duplex regions, affinity sequences, intron fragments, exon fragments and various untranslated elements. These sequences within the enhanced intron elements or enhanced exon elements are arranged to optimize circularization or protein expression.
[414] In certain embodiments, the DNA template, precursor linear RNA polynucleotide and circular RNA provided herein comprise a first (5’) and/or a second (3’) spacer. In some embodiments, the DNA template or precursor linear RNA polynucleotide comprises one or more spacers in the enhanced intron elements. In some embodiments, the DNA template, precursor linear RNA polynucleotide comprises one or more spacers in the enhanced exon elements. In certain embodiments, the DNA template or linear RNA polynucleotide comprises a spacer in the 3 ’ enhanced intron fragment and a spacer in the 5 ’ enhanced intron fragment. In certain embodiments, DNA template, precursor linear RNA polynucleotide, or circular RNA comprises a spacer in the 3’ enhanced exon fragment and another spacer in the 5 ’ enhanced exon fragment to aid with circularization or protein expression due to symmetry created in the overall sequence.
[415] In some embodiments, including a spacer between the 3 ’ group I intron fragment and the core functional element may conserve secondary structures in those regions by preventing them from
114
SUBSTITUTE SHEET (RULE 26) interacting, thus increasing splicing efficiency. In some embodiments, the first (between 3’ group I intron fragment and core functional element) and second (between the two expression sequences and core functional element) spacers comprise additional base pairing regions that are predicted to base pair with each other and not to the first and second duplex regions. In other embodiments, the first (between 3’ group I intron fragment and core functional element) and second (between the one of the core functional element and 5’ group I intron fragment) spacers comprise additional base pairing regions that are predicted to base pair with each other and not to the first and second duplex regions. In some embodiments, such spacer base pairing brings the group I intron fragments in close proximity to each other, further increasing splicing efficiency. Additionally, in some embodiments, the combination of base pairing between the first and second duplex regions, and separately, base pairing between the first and second spacers, promotes the formation of a splicing bubble containing the group I intron fragments flanked by adjacent regions of base pairing. Typical spacers are contiguous sequences with one or more of the following qualities: 1) predicted to avoid interfering with proximal structures, for example, the IRES, expression sequence, aptamer, or intron; 2) is at least 7 nt long and no longer than 100 nt; 3) is located after and adjacent to the 3 ’ intron fragment and/or before and adjacent to the 5 ’ intron fragment; and 4) contains one or more of the following: a) an unstructured region at least 5 nt long, b) a region of base pairing at least 5 nt long to a distal sequence, including another spacer, and c) a structured region at least 7 nt long limited in scope to the sequence of the spacer. Spacers may have several regions, including an unstructured region, a base pairing region, a hairpin/structured region, and combinations thereof. In an embodiment, the spacer has a structured region with high GC content. In an embodiment, a region within a spacer base pairs with another region within the same spacer. In an embodiment, a region within a spacer base pairs with a region within another spacer. In an embodiment, a spacer comprises one or more hairpin structures. In an embodiment, a spacer comprises one or more hairpin structures with a stem of 4 to 12 nucleotides and a loop of 2 to 10 nucleotides. In an embodiment, there is an additional spacer between the 3 ’ group I intron fragment and the core functional element. In an embodiment, this additional spacer prevents the structured regions of the IRES or aptamer of a TIE from interfering with the folding of the 3’ group I intron fragment or reduces the extent to which this occurs. In some embodiments, the 5’ spacer sequence is at least 7, 8, 9, 10, 11, 12, 13, 14, 15, 16, 17, 18, 19, 20, 25 or 30 nucleotides in length. In some embodiments, the 5’ spacer sequence is no more than 100, 90, 80, 70, 60, 50, 45, 40, 35 or 30 nucleotides in length. In some embodiments the 5’ spacer sequence is from 5 to 50, 10 to 50, 20 to 50, 20 to 40, and/or 25 to 35 nucleotides in length. In certain embodiments, the 5’ spacer sequence is 10, 11, 12, 13, 14, 15, 16, 17, 18, 19, 20, 21, 22, 23, 24, 25, 26, 27, 28, 29, 30, 31, 32, 33, 34, 35, 36, 37, 38, 39, 40, 41, 42, 43, 44, 45, 46, 47, 48, 49 or 50 nucleotides in length. In one embodiment, the 5’ spacer sequence is a polyA sequence. In another embodiment, the 5’ spacer sequence is a polyAC sequence. In one embodiment, a spacer comprises about 10%, 20%, 30%, 40%, 50%, 60%, 70%, 80%, 90%, or 100% polyAC content. In one embodiment, a spacer
115
SUBSTITUTE SHEET (RULE 26) comprises about 10%, 20%, 30%, 40%, 50%, 60%, 70%, 80%, 90%, or 100% polypyrimidine (C/T or C/U) content.
[416] In some embodiments, the DNA template and precursor linear RNA polynucleotides and circular RNA polynucleotide provided herein comprise a first (5’) duplex region and a second (3’) duplex region. In certain embodiments, the DNA template and precursor linear RNA polynucleotide comprises a 5 ’ external duplex region located within the 3 ’ enhanced intron fragment and a 3 ’ external duplex region located within the 5’ enhanced intron fragment. In some embodiments, the DNA template, precursor linear RNA polynucleotide and circular RNA polynucleotide comprise a 5’ internal duplex region located within the 3’ enhanced exon fragment and a 3’ internal duplex region located within the 5 ’ enhanced exon fragment. In some embodiments, the DNA polynucleotide and precursor linear RNA polynucleotide comprises a 5 ’ external duplex region, 5 ’ internal duplex region, a 3 ’ internal duplex region, and a 3’ external duplex region.
[417] In certain embodiments, the first and second duplex regions may form perfect or imperfect duplexes. Thus, in certain embodiments at least 75%, 80%, 85%, 90%, 91%, 92%, 93%, 94%, 95%, 96%, 97%, 98%, 99% or 100% of the first and second duplex regions may be base paired with one another. In some embodiments, the duplex regions are predicted to have less than 50% (e.g., less than 45%, less than 40%, less than 35%, less than 30%, less than 25%) base pairing with unintended sequences in the RNA (e.g., non-duplex region sequences). In some embodiments, including such duplex regions on the ends of the precursor RNA strand, and adjacent or very close to the group I intron fragment, bring the group I intron fragments in close proximity to each other, increasing splicing efficiency. In some embodiments, the duplex regions are 3 to 100 nucleotides in length (e.g., 3-75 nucleotides in length, 3-50 nucleotides in length, 20-50 nucleotides in length, 35-50 nucleotides in length, 5-25 nucleotides in length, 9-19 nucleotides in length). In some embodiments, the duplex regions are about 3, 4, 5, 6, 7, 8, 9, 10, 11, 12, 13, 14, 15, 16, 17, 18, 19, 20, 21, 22, 23, 24, 25, 26, 27, 28, 29, 30, 31, 32, 33, 34, 35, 36, 37, 38, 39, 40, 41, 42, 43, 44, 45, 46, 47, 48, 49 or 50 nucleotides in length. In some embodiments, the duplex regions have a length of about 9 to about 50 nucleotides. In one embodiment, the duplex regions have a length of about 9 to about 19 nucleotides. In some embodiments, the duplex regions have a length of about 20 to about 40 nucleotides. In certain embodiments, the duplex regions have a length of about 30 nucleotides.
[418] In other embodiments, the DNA template, precursor linear RNA polynucleotide, or circular RNA polynucleotide does not comprise of any duplex regions to optimize translation or circularization.
[419] As provided herein, the DNA template or precursor linear RNA polynucleotide may comprise an affinity tag. In some embodiments, the affinity tag is located in the 3’ enhanced intron element. In some embodiments, the affinity tag is located in the 5 ’ enhanced intron element. In some embodiments, both (3’ and 5’) enhanced intron elements each comprise an affinity tag. In one
116
SUBSTITUTE SHEET (RULE 26) embodiment, an affinity tag of the 3 ’ enhanced intron element is the length as an affinity tag in the 5 ’ enhanced intron element. In some embodiments, an affinity tag of the 3 ’ enhanced intron element is the same sequence as an affinity tag in the 5’ enhanced intron element. In some embodiments, the affinity sequence is placed to optimize oligo-dT purification.
[420] In some embodiments, an affinity tag comprises a polyA region. In some embodiments the polyA region is at least 15, 30, or 60 nucleotides long. In some embodiments, one or both polyA regions is 15-50 nucleotides long. In some embodiments, one or both polyA regions is 20-25 nucleotides long. The polyA sequence is removed upon circularization. Thus, an oligonucleotide hybridizing with the polyA sequence, such as a deoxythymine oligonucleotide (oligo(dT)) conjugated to a solid surface (e.g., a resin), can be used to separate circular RNA from its precursor RNA.
[421] In certain embodiments, the 3 ’ enhanced intron element comprises a leading untranslated sequence. In some embodiments, the leading untranslated sequence is a the 5’ end of the 3’ enhanced intron fragment. In some embodiments, the leading untranslated sequence comprises of the last nucleotide of a transcription start site (TSS). In some embodiments, the TSS is chosen from a viral, bacterial, or eukaryotic DNA template. In one embodiment, the leading untranslated sequence comprise the last nucleotide of a TSS and 0 to 100 additional nucleotides. In some embodiments, the TSS is a terminal spacer. In one embodiment, the leading untranslated sequence contains a guanosine at the 5 ’ end upon translation of an RNA T7 polymerase.
[422] In certain embodiments, the 5 ’ enhanced intron element comprises a trailing untranslated sequence. In some embodiments, the 5’ trailing untranslated sequence is located at the 3’ end of the 5’ enhanced intron element. In some embodiments, the trailing untranslated sequence is a partial restriction digest sequence. In one embodiment, the trailing untranslated sequence is in whole or in part a restriction digest site used to linearize the DNA template. In some embodiments, the restriction digest site is in whole or in part from a natural viral, bacterial or eukaryotic DNA template. In some embodiments, the trailing untranslated sequence is a terminal restriction site fragment. a. Enhanced Intron Fragments
[423] In some embodiments, the 3 ’ enhanced intron element and 5 ’ enhanced intron element each comprise an intron fragment. In certain embodiments, a 3 ’ intron fragment is a contiguous sequence at least 75% homologous (e.g., at least 80%, 85%, 90%, 91%, 92%, 93%, 94%, 95%, 96%, 97%, 98%, 99% or 100% homologous) to a 3’ proximal fragment of a natural group I intron including the 3’ splice site dinucleotide. Typically, a 5’ intron fragment is a contiguous sequence at least 75% homologous (e.g., atleast 80%, 85%, 90%, 91%, 92%, 93%, 94%, 95%, 96%, 97%, 98%, 99% or 100% homologous) to a 5’ proximal fragment of a natural group I intron including the 5’ splice site dinucleotide. In some embodiments, the 3 ’ intron fragment includes the first nucleotide of a 3 ’ group I splice site dinucleotide. In some embodiments, the 5 ’ intron fragment includes the first nucleotide of a 5 ’ group I splice site
117
SUBSTITUTE SHEET (RULE 26) dinucleotide. In other embodiments, the 3’ intron fragment includes the first and second nucleotides of a 3’ group I intron fragment splice site dinucleotide; and the 5’ intron fragment includes the first and second nucleotides of a 3’ group I intron fragment dinucleotide. b. Enhanced Exon Fragments
[424] In certain embodiments, as provided herein, the DNA template, linear precursor RNA polynucleotide, and circular RNA polynucleotide each comprise an enhanced exon fragment. In some embodiments, following a 5’ to 3’ order, the 3’ enhanced exon element is located upstream to core functional element. In some embodiments, following a 5 ’ to 3 ’ order, the 5 ’ enhanced intron element is located downstream to the core functional element.
[425] In some embodiments, the 3 ’ enhanced exon element and 5 ’ enhanced exon element each comprise an exon fragment. In some embodiments, the 3 ’ enhanced exon element comprises a 3 ’ exon fragment. In some embodiments, the 5’ enhanced exon element comprises a 5’ exon fragment. In certain embodiments, as provided herein, the 3 ’ exon fragment and 5 ’ exon fragment each comprises a group I intron fragment and 1 to 100 nucleotides of an exon sequence. In certain embodiments, a 3’ intron fragment is a contiguous sequence at least 75% homologous (e.g., at least 80%, 85%, 90%, 91%, 92%, 93%, 94%, 95%, 96%, 97%, 98%, 99% or 100% homologous) to a 3’ proximal fragment of a natural group I intron including the 3’ splice site dinucleotide. Typically, a 5’ group I intron fragment is a contiguous sequence at least 75% homologous (e.g., at least 80%, 85%, 90%, 91%, 92%, 93%, 94%, 95%, 96%, 97%, 98%, 99% or 100% homologous) to a 5’ proximal fragment of a natural group I intron including the 5’ splice site dinucleotide. In some embodiments, the 3’ exon fragment comprises a second nucleotide of a 3’ group I intron splice site dinucleotide and 1 to 100 nucleotides of an exon sequence. In some embodiments, the 5’ exon fragment comprises the first nucleotide of a 5’ group I intron splice site dinucleotide and 1 to 100 nucleotides of an exon sequence. In some embodiments, the exon sequence comprises in part or in whole from a naturally occurring exon sequence from a virus, bacterium or eukaryotic DNA vector. In other embodiments, the exon sequence further comprises a synthetic, genetically modified (e.g., containing modified nucleotide), or other engineered exon sequence.
[426] In one embodiment, where the 3’ intron fragment comprises both nucleotides of a 3’ group I splice site dinucleotide and the 5 ’ intron fragment comprises both nucleotides of a 5 ’ group I splice site dinucleotide, the exon fragments located within the 5’ enhanced exon element and 3’ enhanced exon element does not comprise of a group I splice site dinucleotide.
[427] For means of example and not intended to be limiting, in some embodiment, a 3 ’ enhanced intron element comprises in the following 5 ’ to 3 ’ order: a leading untranslated sequence, a 5 ’ affinity tag, an optional 5’ external duplex region, a 5’ external spacer, and a 3’ intron fragment. In same embodiments, the 3’ enhanced exon element comprises in the following 5’ to 3’ order: a 3’ exon
118
SUBSTITUTE SHEET (RULE 26) fragment, an optional 5 ’ internal duplex region, an optional 5 ’ internal duplex region, and a 5 ’ internal spacer. In the same embodiments, the 5 ’ enhanced exon element comprises in the following 5 ’ to 3 ’ order: a 3 ’ internal spacer, an optional 3 ’ internal duplex region, and a 5 ’ exon fragment. In still the same embodiments, the 3 ’ enhanced intron element comprises in the following 5 ’ to 3 ’ order: a 5 ’ intron fragment, a 3’ external spacer, an optional 3’ external duplex region, a 3’ affinity tag, and a trailing untranslated sequence. zz. Core Functional Element
[428] In some embodiments, the DNA template, linear precursor RNA polynucleotide, and circular RNA polynucleotide comprise a core functional element. In some embodiments, the core functional element comprises a coding or noncoding element. In certain embodiments, the core functional element may contain both a coding and noncoding element. In some embodiments, the core functional element further comprises translation initiation element (TIE) upstream to the coding or noncoding element. In some embodiments, the core functional element comprises a termination element. In some embodiments, the termination element is located downstream to the TIE and coding element. In some embodiments, the termination element is located downstream to the coding element but upstream to the TIE. In certain embodiments, where the coding element comprises a noncoding region, a core functional element lacks a TIE and/or a termination element.
777. Coding or Noncoding Element
[429] In some embodiments, the polynucleotides herein comprise a coding element, a noncoding element, or a combination of both. In some embodiments, the coding element comprises an expression sequence. In some embodiments, the coding element encodes at least one therapeutic protein.
[430] In some embodiments, the circular RNA encodes two or more polypeptides. In some embodiments, the circular RNA is a bicistronic RNA. The sequences encoding the two or more polypeptides can be separated by a ribosomal skipping element or a nucleotide sequence encoding a protease cleavage site. In certain embodiments, the ribosomal skipping element encodes thosea-asigna virus 2 A peptide (T2A), porcine teschovirus-1 2 A peptide (P2A), foot-and-mouth disease virus 2 A peptide (F2A), equine rhinitis A vims 2A peptide (E2A), cytoplasmic polyhedrosis vims 2A peptide (BmCPV 2A), or flacherie vims of B. mori 2A peptide (BmIFV 2A).
777. Translation Initiation Element (TIE)
[431] As provided herein in some embodiments, the core functional element comprises at least one translation initiation element (TIE). TIEs are designed to allow translation efficiency of an encoded protein. Thus, optimal core functional elements comprising only of noncoding elements lack any TIEs. In some embodiments, core functional elements comprising one or more coding element will further comprise one or more TIEs.
119
SUBSTITUTE SHEET (RULE 26) [432] In some embodiments, a TIE comprises an untranslated region (UTR). In certain embodiments, the TIE provided herein comprise an internal ribosome entry site (IRES). Inclusion of an IRES permits the translation of one or more open reading frames from a circular RNA (e.g., open reading frames that form the expression sequences). The IRES element attracts a eukaryotic ribosomal translation initiation complex and promotes translation initiation. See, e.g., Kaufman et al., Nuc. Acids Res. (1991) 19:4485-4490; Gurtu et al., Biochem. Biophys. Res. Comm. (1996) 229:295-298; Rees et al., BioTechniques (1996) 20: 102-110; Kobayashi et al., BioTechniques (1996) 21 :399-402; and Mosser et a/., BioTechniques 1997 22 150-161. iv. Additional Accessory Elements (Sequence Elements)
[433] As described in this disclosure, the circular RNA polynucleotide, linear RNA polynucleotide, and/or DNA template may further comprise of accessory elements. In certain embodiments, these accessory elements may be included within the sequences of the circular RNA, linear RNA polynucleotide and/or DNA template for enhancing circularization, translation or both. Accessory elements are sequences, in certain embodiments that are located with specificity between or within the enhanced intron elements, enhanced exon elements, or core functional element of the respective polynucleotide. As an example, but not intended to be limiting, an accessory element includes, a IRES transacting factor region, a miRNA binding site, a restriction site, an RNA editing region, a structural or sequence element, a granule site, a zip code element, an RNA trafficking element or another specialized sequence as found in the art that enhances promotes circularization and/or translation of the protein encoded within the circular RNA polynucleotide.
[434] In certain embodiments, the accessory element comprises an IRES transacting factor (ITAF) region. In some embodiments, the IRES transacting factor region modulates the initiation of translation through binding to PCBP1 - PCBP4 (polyC binding protein), PABP1 (polyA binding protein), PTB (polyprimidine tract binding), Argonaute protein family, HNRNPK (Heterogeneous nuclear ribonucleoprotein K protein), or La protein. In some embodiments, the IRES transacting factor region comprises a polyA, polyC, polyAC, or polyprimidine track.
[435] In some embodiments, the ITAF region is located within the core functional element. In some embodiments, the ITAF region is located within the TIE.
[436] In certain embodiments, the accessory element comprises a miRNA binding site. In some embodiments the miRNA binding site is located within the 5 ’ enhanced intron element, 5 ’ enhanced exon element, core functional element, 3 ’ enhanced exon element, and/or 3 ’ enhanced intron element.
[437] In some embodiments, wherein the miRNA binding site is located within the spacer within the enhanced intron element or enhanced exon element. In certain embodiments, the miRNA binding site comprises the entire spacer regions.
120
SUBSTITUTE SHEET (RULE 26) [438] In some embodiments, the 5’ enhanced intron element and 3’ enhanced intron elements each comprise identical miRNA binding sites. In another embodiment, the miRNA binding site of the 5’ enhanced intron element comprises a different, in length or nucleotides, miRNA binding site than the 3 ’ enhanced intron element. In one embodiment, the 5 ’ enhanced exon element and 3 ’ enhanced exon element comprise identical miRNA binding sites. In other embodiments, the 5’ enhanced exon element and 3 ’ enhanced exon element comprises different, in length or nucleotides, miRNA binding sites.
[439] In some embodiments, the miRNA binding sites are located adjacent to each other within the circular RNA polynucleotide, linear RNA polynucleotide precursor, and/or DNA template. In certain embodiments, the first nucleotide of one of the miRNA binding sites follows the first nucleotide last nucleotide of the second miRNA binding site.
[440] In some embodiments, the miRNA binding site is located within a translation initiation element (TIE) of a core functional element. In one embodiment, the miRNA binding site is located before, trailing or within an internal ribosome entry site (IRES). In another embodiment, the miRNA binding site is located before, trailing, or within an aptamer complex.
[441] The unique sequences defined by the miRNA nomenclature are widely known and accessible to those working in the microRNA field. For example, they can be found in the miRDB public database. v. Natural Ties: Viral & Eukaryotic/Cellular Internal Ribosome Entry Sites (IRES)
[442] A multitude of IRES sequences are available and include sequences derived from a wide variety of viruses, such as from leader sequences of picomaviruses such as the encephalomyocarditis virus (EMCV) UTR (Jang etal., 1. Virol. (1989) 63: 1651-1660), the polio leader sequence, the hepatitis A virus leader, the hepatitis C virus IRES, human rhinovirus type 2 IRES (Dobrikova etal., Proc. Natl. Acad. Sci. (2003) 100(25): 15125- 15130), an IRES element from the foot and mouth disease virus (Ramesh et al., Nucl. Acid Res. (1996) 24:2697-2700), a giardiavirus IRES (Garlapati et al., J. Biol. Chem. (2004) 279(5) :3389-3397), and the like.
[443] For driving protein expression, the circular RNA comprises an IRES operably linked to a protein coding sequence. Modifications of IRES and accessory sequences are described herein to increase or reduce IRES activities, for example, by truncating the 5’ and/or 3’ ends of the IRES, adding a spacer 5’ to the IRES, modifying the 6 nucleotides 5’ to the translation initiation site (Kozak sequence), modification of alternative translation initiation sites, and creating chimeric/hybrid IRES sequences. In some embodiments, the IRES sequence in the circular RNA described herein comprises one or more of these modifications relative to a native IRES.
[444] In some embodiments, the IRES is an IRES sequence of Taura syndrome virus, Triatoma virus, Theiler's encephalomyelitis virus, Simian Virus 40, Solenopsis invicta virus 1, Rhopalosiphum
121
SUBSTITUTE SHEET (RULE 26) padi virus, Reticuloendotheliosis virus, Human poliovirus 1, Plautia stali intestine virus, Kashmir bee virus, Human rhinovirus 2, Homalodisca coagulata virus- 1, Human Immunodeficiency Virus type 1, , Himetobi P virus, Hepatitis C virus, Hepatitis A virus, Hepatitis GB virus , Foot and mouth disease virus, Human enterovirus 71, Equine rhinitis virus, Ectropis obliqua picoma-like virus, Encephalomyocarditis virus, Drosophila C Virus, Human coxsackievirus B3, Crucifer tobamovirus, Cricket paralysis virus, Bovine viral diarrhea virus 1, Black Queen Cell Virus, Aphid lethal paralysis virus, Avian encephalomyelitis virus, Acute bee paralysis virus, Hibiscus chlorotic ringspot virus, Classical swine fever virus, Human FGF2, Human SFTPA1, Human AML1/RUNX1, Drosophila antennapedia, Human AQP4, Human AT1R, Human BAG-1, Human BCL2, Human BiP, Human c- IAP1, Human c-myc, Human eIF4G, Mouse NDST4L, Human LEF1, Mouse HIF1 alpha, Human n.myc, Mouse Gtx, Human p27kipl, Human PDGF2/c-sis, Human p53, Human Pim-1, Mouse Rbm3, Drosophila reaper, Canine Scamper, Drosophila Ubx, Human UNR, Mouse UtrA, Human VEGF-A, Human XIAP, Drosophila hairless, S. cerevisiae TFIID, S. cerevisiae YAP1, tobacco etch virus, turnip crinkle virus, EMCV-A, EMCV-B, EMCV-Bf, EMCV-Cf, EMCV pEC9, Picobimavirus, HCV QC64, Human Cosavirus E/D, Human Cosavirus F, Human Cosavirus JMY, Rhinovirus NAT001, HRV14, HRV89, HRVC-02, HRV-A21, Salivirus A SHI, Salivirus FHB, SalivirusNG-Jl, Human Parechovirus 1, Crohivirus B, Yc-3, Rosavirus M-7, Shanbavirus A, Pasivirus A, Pasivirus A 2, Echovirus El 4, Human Parechovirus 5, Aichi Virus, Hepatitis A Virus HA16, Phopivirus, CVA10, Enterovirus C, Enterovirus D, Enterovirus J, Human Pegivirus 2, GBV-C GT110, GBV-C K1737, GBV-C Iowa, Pegivirus A 1220, Pasivirus A 3, Sapelovirus, Rosavirus B, Bakunsa Virus, Tremovirus A, Swine Pasivirus 1, PLV-CHN, Pasivirus A, Sicinivirus, Hepacivirus K, Hepacivirus A, BVDV1, Border Disease Virus, BVDV2, CSFV-PK15C, SF573 Dicistrovirus, Hubei Picoma-like Vims, CRPV, Salivirus A BN5, Salivirus A BN2, Salivims A 02394, Salivirus A GUT, Salivims A CH, Salivims A SZ1, Salivims FHB, CVB3, CVB1, Echovims 7, CVB5, EVA71, CVA3, CVA12, EV24 or an aptamer to eIF4G.
[445] In some embodiments, the IRES comprises in whole or in part from a eukaryotic or cellular IRES. In certain embodiments, the IRES is from a human gene, where the human gene is ABCF1, ABCG1, ACAD10, ACOT7, ACSS3, ACTG2, ADCYAP1, ADK, AGTR1, AHCYL2, AHI1, AKAP8L, AKR1A1, ALDH3A1, ALDOA, ALG13, AMMECR1L, ANGPTL4, ANK3, AOC3, AP4B1, AP4E1, APAF1, APBB1, APC, APH1A, APOBEC3D, APOM, APP, AQP4, ARHGAP36, ARL13B, ARMC8, ARMCX6, ARPC1A, ARPC2, ARRDC3, ASAP1, ASB3, ASB5, ASCL1, ASMTL, ATF2, ATF3, ATG4A, ATP5B, ATP6V0A1, ATXN3, AURKA, AURKA, AURKA, AURKA, B3GALNT1, B3GNTL1, B4GALT3, BAAT, BAG1, BAIAP2, BAIAP2L2, BAZ2A, BBX, BCAR1, BCL2, BCS1L, BET1, BID, BIRC2, BPGM, BPIFA2, BRINP2, BSG, BTN3A2, C12orf43, C14orf93, C17orf62, Clorf226, C21orf62, C2orfl5, C4BPB, C4orf22, C9orf84, CACNA1A, CALCOCO2, CAPN11, CASP12, CASP8AP2, CAV1, CBX5, CCDC120, CCDC17, CCDC186,
122
SUBSTITUTE SHEET (RULE 26) CCDC51, CCN1, CCND1, CCNT1, CD2BP2, CD9, CDC25C, CDC42, CDC7, CDCA7L, CDIP1, CDK1, CDK11A, CDKN1B, CEACAM7, CEP295NL, CFLAR, CHCHD7, CHIA, CHICI, CHMP2A, CHRNA2, CLCN3, CLEC12A, CLEC7A, CLECL1, CLRN1, CMSS1, CNIH1, CNR1, CNTN5, C0G4, C0MMD1, COMMD5, CPEB1, CPS1, CRACR2B, CRBN, CREM, CRYBG1, CSDE1, CSF2RA, CSNK2A1, CSTF3, CTCFL, CTH, CTNNA3, CTNNB1, CTNNB1, CTNND1, CTSL, CUTA, CXCR5, CYB5R3, CYP24A1, CYP3A5, DAG1, DAP3, DAP5, DAXX, DCAF4, DCAF7, DCLRE1A, DCP1A, DCTN1, DCTN2, DDX19B, DDX46, DEFB123, DGKA, DGKD, DHRS4, DHX15, DIO3, DLG1, DLL4, DMD UTR, DMD ex5, DMKN, DNAH6, DNAL4, DUSP13, DUSP19, DYNC1I2, DYNLRB2, DYRK1A, ECI2, ECT2, EIF1AD, EIF2B4, EIF4G1, EIF4G2, EIF4G3, ELANE, ELOVL6, ELP5, EMCN, ENO1, EPB41, ERMN, ERVV-1, ESRRG, ETFB, ETFBKMT, ETV1, ETV4, EXD1, EXT1, EZH2, FAM111B, FAM157A, FAM213A, FBXO25, FBXO9, FBXW7, FCMR, FGF1, FGF1, FGF1A, FGF2, FGF2, FGF-9, FHL5, FMRI, FN1, FOXP1, FTH1, FUBP1, G3BP1, GABBR1, GALC, GART, GAS7, gastrin, GATA1, GATA4, GFM2, GHR, GJB2, GLI1, GLRA2, GMNN, GPAT3, GPATCH3, GPR137, GPR34, GPR55, GPR89A, GPRASP1, GRAP2, GSDMB, GSTO2, GTF2B, GTF2H4, GUCY1B2, HAX1, HCST, HIGD1A, HIGD1B, HIPK1, HIST1H1C, HIST1H3H, HK1, HLA-DRB4, HMBS, HMGA1, HNRNPC, HOPX, H0XA2, H0XA3, HPCAL1, HR, HSP90AB1, HSPA1A, HSPA4L, HSPA5, HYPK, IFFO1, IFT74, IFT81, IGF1, IGF1R, IGF1R, IGF2, IL11, IL17RE, IL1RL1, IL1RN, IL32, IL6, ILF2, ILVBL, INSR, INTS13, IP6K1, ITGA4, ITGAE, KCNE4, KERA, KIAA0355, KIAA0895L, KIAA1324, KIAA1522, KIAA1683, KIF2C, KIZ, KLHL31, KLK7, KRR1, KRT14, KRT17, KRT33A, KRT6A, KRTAP10-2, KRTAP13- 3, KRTAP13-4, KRTAP5-11, KRTCAP2, LACRT, LAMB1, LAMB3, LANCL1, LBX2, LCAT, LDHA, LDHAL6A, LEF1, LINC-PINT, LM03, LRRC4C, LRRC7, LRTOMT, LSM5, LTB4R, LYRM1, LYRM2, MAGEA11, MAGEA8, MAGEB1, MAGEB16, MAGEB3, MAPT, MARS, MC1R, MCCC1, METTL12, METTL7A, MGC16025, MGC16025, MIA2, MIA2, MITF, MKLN1, MNT, MORF4L2, MPD6, MRFAP1, MRPL21, MRPS12, MSI2, MSLN, MSN, MT2A, MTFR1L, MTMR2, MTRR, MTUS1, MYB, MYC, MYCL, MYCN, MYL10, MYL3, MYLK, MY01A, MYT2, MZB1, NAP1L1, NAVI, NBAS, NCF2, NDRG1, NDST2, NDUFA7, NDUFB11, NDUFC1, NDUFS1, NEDD4L, NFAT5, NFE2L2, NFE2L2, NFIA, NHEJ1, NHP2, NITI, NKRF, NME1-NME2, NPAT, NR3C1, NRBF2, NRF1, NTRK2, NUDCD1, NXF2, NXT2, ODC1, ODF2, OPTN, OR10R2, OR11L1, OR2M2, OR2M3, OR2M5, OR2T10, OR4C15, OR4F17, OR4F5, OR5H1, OR5K1, OR6C3, OR6C75, OR6N1, OR7G2, p53, P2RY4, PAN2, PAQR6, PARP4, PARP9, PC, PCBP4, PCDHGC3, PCLAF, PDGFB, PDZRN4, PELO, PEMT, PEX2, PFKM, PGBD4, PGLYRP3, PHLDA2, PHTF1, PI4KB, PIGC, PIM1, PKD2L1, PKM, PLCB4, PLD3, PLEKHA1, PLEKHB1, PLS3, PML, PNMA5, PNN, POC1A, POC1B, POLD2, POLD4, POU5F1, PPIG, PQBP1, PRAME, PRPF4, PRR11, PRRT1, PRSS8, PSMA2, PSMA3, PSMA4, PSMD11, PSMD4, PSMD6, PSME3, PSMG3, PTBP3, PTCHI, PTHLH, PTPRD, PUS7L, PVRIG, QPRT, RAB27A, RAB7B, RABGGTB, RAET1E, RALGDS, RALYL, RARB, RCVRN, REG3G, RFC5, RGL4, RGS19, RGS3, RHD, RINL, RIPOR2, RITA1,
123
SUBSTITUTE SHEET (RULE 26) RMDN2, RNASE 1, RNASE4, RNF4, RPA2, RPL17, RPL21, RPL26L1, RPL28, RPL29, RPL41, RPL9, RPS11, RPS13, RPS14, RRBP1, RSU1, RTP2, RUNX1, RUNX1T1, RUNX1T1, RUNX2, RUSC1, RXRG, S100A13, S100A4, SAT1, SCHIP1, SCMH1, SEC14L1, SEMA4A, SERPINA1, SERPINB4, SERTAD3, SFTPD, SH3D19, SHC1, SHMT1, SHPRH, SIM1, SIRT5, SLC11A2, SLC12A4, SLC16A1, SLC25A3, SLC26A9, SLC5A11, SLC6A12, SLC6A19, SLC7A1, SLFN11, SLIRP, SMAD5, SMARCAD1, SMN1, SNCA, SNRNP200, SNRPB2, SNX12, S0D1, SOX13, SOX5, SP8, SPARCL1, SPATA12, SPATA31C2, SPN, SPOP, SQSTM1, SRBD1, SRC, SREBF1, SRPK2, SSB, SSB, SSBP1, ST3GAL6, STAB1, STAMBP, STAU1, STAU1, STAU1, STAU1, STAU1, STK16, STK24, STK38, STMN1, STX7, SULT2B1, SYK, SYNPR, TAF1C, TAGLN, TANK, TAS2R40, TBC1D15, TBXAS1, TCF4, TDGF1, TDP2, TDRD3, TDRD5, TESK2, THAP6, THBD, THTPA, TIAM2, TKFC, TKTL1, TLR10, TM9SF2, TMC6, TMC02, TMED10, TMEM116, TMEM126A, TMEM159, TMEM208, TMEM230, TMEM67, TMPRSS13, TMUB2, TNFSF4, TNIP3, TP53, TP53, TP73, TRAF1, TRAK1, TRIM31, TRIM6, TRMT1, TRMT2B, TRPM7, TRPM8, TSPEAR, TTC39B, TTLL11, TUBB6, TXLNB, TXNIP, TXNL1, TXNRD1, TYROBP, U2AF1, UBA1, UBE2D3, UBE2I, UBE2L3, UBE2V1, UBE2V2, UMPS, UNG, UPP2, USMG5, USP18, UTP14A, UTRN, UTS2, VDR, VEGFA, VEGFA, VEPH1, VIPAS39, VPS29, VSIG10L, WDHD1, WDR12, WDR4, WDR45, WDYHV1, WRAP53, XIAP, XPNPEP3, YAP1, YWHAZ, YY1AP1, ZBTB32, ZNF146, ZNF250, ZNF385A, ZNF408, ZNF410, ZNF423, ZNF43, ZNF502, ZNF512, ZNF513, ZNF580, ZNF609, ZNF707, or ZNRDl. vi. Synthetic Ties: Aptamer Complexes, Modified Nucleotides, IRES Variants & Other Engineered Ties
[446] As contemplated herein, in certain embodiments, a translation initiation element (TIE) comprises a synthetic TIE. In some embodiments, a synthetic TIE comprises aptamer complexes, synthetic IRES or other engineered TIES capable of initiating translation of a linear RNA or circular RNA polynucleotide.
[447] In some embodiments, one or more aptamer sequences is capable of binding to a component of a eukaryotic initiation factor to either enhance or initiate translation. In some embodiments, aptamer may be used to enhance translation in vivo and in vitro by promoting specific eukaryotic initiation factors (elF) (e.g., aptamer in WO2019081383A1 is capable of binding to eukaryotic initiation factor 4F (eIF4F). In some embodiments, the aptamer or a complex of aptamers may be capable of binding to EIF4G, EIF4E, EIF4A, EIF4B, EIF3, EIF2, EIF5, EIF1, EIF1A, 40S ribosome, PCBP1 (polyC binding protein), PCBP2, PCBP3, PCBP4, PABP1 (polyA binding protein), PTB, Argonaute protein family, HNRNPK (heterogeneous nuclear ribonucleoprotein K), or La protein. vii. Termination Sequence
[448] In certain embodiments, the core functional element comprises a termination sequence. In some embodiments, the termination sequence comprises a stop codon. In one embodiment, the
124
SUBSTITUTE SHEET (RULE 26) termination sequence comprises a stop cassette. In some embodiments, the stop cassette comprises at least 2 stop codons. In some embodiments, the stop cassette comprises at least 2 frames of stop codons. In the same embodiment, the frames of the stop codons in a stop cassette each comprise 1, 2 or more stop codons. In some embodiments, the stop cassette comprises a LoxP or a RoxStopRox, or frt-flanked stop cassette. In the same embodiment, the stop cassette comprises a lox-stop-lox stop cassette. viii. Variants
[449] In certain embodiments, a circular RNA polynucleotide provided herein comprises modified RNA nucleotides and/or modified nucleosides. In some embodiments, the modified nucleoside is m5C (5 -methylcytidine). In another embodiment, the modified nucleoside is m5U (5- methyluridine). In another embodiment, the modified nucleoside is m6A (N6-methyladenosine). In another embodiment, the modified nucleoside is s2U (2 -thiouridine). In another embodiment, the modified nucleoside is T (pseudouridine). In another embodiment, the modified nucleoside is Um (2'- O-methyluridine). In other embodiments, the modified nucleoside is m’A (1 -methyladenosine); m2A (2 -methyladenosine); Am (2’-O-methyladenosine); ms2m6A (2-methylthio-N6 -methyladenosine); i6A (N6-isopentenyladenosine); ms2i6A (2-methylthio-N6 isopentenyladenosine); io6A (N6-(cis- hydroxyisopentenyl)adenosine); ms2io6A (2-methylthio-N6-(cis-hydroxyisopentenyl)adenosine); g6A (N6-glycinylcarbamoyladenosine); t6A (N6 -threonylcarbamoyladenosine); ms2t6A (2-methylthio-N6- threonyl carbamoyladenosine); m6t6A (N6-methyl-N6-threonylcarbamoyladenosine); hn6A(N6- hydroxynorvalylcarbamoyladenosine) ; ms2hn6A (2-methylthio-N6 -hydroxynorvalyl carbamoyladenosine); Ar(p) (2’-O-ribosyladenosine (phosphate)); I (inosine); m1! (1 -methylinosine); m'lm (l,2’-O-dimethylinosine); m3C (3 -methylcytidine); Cm (2’-O-methylcytidine); s2C (2- thiocytidine); ac4C (N4-acetylcytidine); CC (5 -formylcytidine); m5Cm (5,2'-O-dimethylcytidine); ac4Cm (N4-acetyl-2’-O-methylcytidine); k2C (lysidine); m’G (1 -methylguanosine); m2G (N2- methylguanosine); m7G (7-methylguanosine); Gm (2'-O-methylguanosine); m2 2G (N2,N2- dimethylguanosine); m2Gm (N2,2’-O-dimethylguanosine); m2 2Gm (N2,N2,2’-O-trimethylguanosine); Gr(p) (2’-O-ribosylguanosine(phosphate)); yW (wybutosine); 02yW (peroxywybutosine); OHyW (hydroxywybutosine); OHyW* (undermodified hydroxywybutosine); imG (wyosine); mimG (methylwyosine); Q (queuosine); oQ (epoxyqueuosine); galQ (galactosyl-queuosine); manQ (mannosyl-queuosine); preQo (7-cyano-7-deazaguanosine); preQi (7-aminomethyl-7-deazaguanosine); G+ (archaeosine); D (dihydrouridine); m5Um (5,2’-O-dimethyluridine); s4U (4-thiouridine); m5s2U (5- methyl-2-thiouridine); s2Um (2-thio-2’-O-methyluridine); acp3U (3-(3-amino-3- carboxypropyl)uridine); ho5U (5-hydroxyuridine); mo5U (5-methoxyuridine); cmo5U (uridine 5- oxyacetic acid); mcmo5U (uridine 5-oxyacetic acid methyl ester); chm5U (5- (carboxyhydroxymethyl)uridine)); mchm5U (5-(carboxyhydroxymethyl)uridine methyl ester); mcm5U (5-methoxycarbonylmethyluridine); mcnfUm (5-methoxycarbonyhnethyl-2’-O-methyluridine); mcm5s2U (5-methoxycarbonylmethyl-2-thiouridine); nm5S2U (5 -aminomethyl-2 -thiouridine); mnm5U
125
SUBSTITUTE SHEET (RULE 26) (5-methylaminomethyluridine); mnm5s2U (5-methylaminomethyl-2-thiouridine); mnm5se2U (5- methylaminomethyl-2-selenouridine); ncm5U (5-carbamoyhnethyluridine); ncm5Um (5- carbamoylmethyl-2'-O-methyluridine); cmnm5U (5-carboxymethylaminomethyluridine); cmnn Um (5-carboxymethylaminomethyl-2'-O-methyluridine); cmnm5s2U (5 -carboxymethylaminomethyl -2- thiouridine); m6 2A (N6,N6-dimethyladenosine); Im (2’-O-methylinosine); m4C (N4-methylcytidine); m4Cm (N4,2’-O-dimethylcytidine); hm5C (5-hydroxymethylcytidine); m3U (3 -methyluridine); cm5U (5 -carboxymethyluridine); m6Am (N6,2’-O-dimethyladenosine); m6 2Am (N6,N6,O-2’- trimethyladenosine); m2,7G (N2,7-dimethylguanosine); m2,2’7G (N2,N2,7-trimethylguanosine); m3Um (3,2’-O-dimethyluridine); m5D (5 -methyldihydrouridine); fCm (5-formyl-2’-O-methylcytidine); m'Gm (l,2’-O-dimethylguanosine); m'Am (l,2’-O-dimethyladenosine); rm5U (5- taurinomethyluridine); rm5s2U (5-taurinomethyl-2-thiouridine)); imG-14 (4-demethylwyosine); imG2 (isowyosine); or ac6A (N6-acetyladenosine).
[450] In some embodiments, the modified nucleoside may include a compound selected from: pyridin-4-one ribonucleoside, 5 -aza-uridine, 2-thio-5-aza-uridine, 2-thiouridine, 4-thio-pseudouridine, 2-thio-pseudouridine, 5 -hydroxyuridine, 3 -methyluridine, 5 -carboxymethyl -uridine, 1 -carboxymethylpseudouridine, 5 -propynyl -uridine, 1-propynyl -pseudouridine, 5-taurinomethyluridine, 1- taurinomethyl-pseudouridine, 5-taurinomethyl-2-thio-uridine, l-taurinomethyl-4-thio-uridine, 5- methyl-uridine, 1 -methyl -pseudouridine, 4-thio-l -methyl -pseudouridine, 2 -thio- 1 -methyl - pseudouridine, 1 -methyl- 1 -deaza-pseudouridine, 2-thio- 1 -methyl- 1 -deaza-pseudouridine, dihydrouridine, dihydropseudouridine, 2-thio-dihydrouridine, 2-thio-dihydropseudouridine, 2- methoxyuridine, 2-methoxy-4-thio-uridine, 4-methoxy-pseudouridine, 4-m ethoxy-2-thio- pseudouridine, 5 -aza-cytidine, pseudoisocytidine, 3-methyl-cytidine, N4-acetylcytidine, 5- formylcytidine, N4-methylcytidine, 5 -hydroxymethylcytidine, 1 -methyl -pseudoisocytidine, pyrrolo- cytidine, pyrrolo-pseudoisocytidine, 2-thio-cytidine, 2-thio-5-methyl-cytidine, 4-thio- pseudoisocytidine, 4-thio-l -methyl -pseudoisocytidine, 4-thio-l -methyl- 1-deaza-pseudoisocytidine, 1- methyl-l-deaza-pseudoisocytidine, zebularine, 5-aza-zebularine, 5 -methyl -zebularine, 5-aza-2-thio- zebularine, 2-thio-zebularine, 2-methoxy-cytidine, 2-methoxy-5-methyl-cytidine, 4-methoxy- pseudoisocytidine, 4-methoxy-l -methyl -pseudoisocytidine, 2-aminopurine, 2, 6-diaminopurine, 7- deaza-adenine, 7-deaza-8-aza-adenine, 7-deaza-2-aminopurine, 7-deaza-8-aza-2-aminopurine, 7- deaza-2, 6-diaminopurine, 7-deaza-8-aza-2, 6-diaminopurine, 1 -methyladenosine, N6-methyladenosine,
N6-isopentenyladenosine, N6-(cis-hydroxyisopentenyl)adenosine, 2-methylthio-N6-(cis- hydroxyisopentenyl) adenosine, N6-glycinylcarbamoyladenosine, N6-threonylcarbamoyladenosine, 2- methylthio-N6-threonyl carbamoyladenosine, N6,N6-dimethyladenosine, 7-methyladenine, 2- methylthio-adenine, 2-methoxy-adenine, inosine, 1-methyl-inosine, wyosine, wybutosine, 7-deaza- guanosine, 7-deaza-8-aza-guanosine, 6-thio-guanosine, 6-thio-7-deaza-guanosine, 6-thio-7-deaza-8- aza-guanosine, 7-methyl -guanosine, 6-thio-7-methyl-guanosine, 7-methylinosine, 6-methoxy-
126
SUBSTITUTE SHEET (RULE 26) guanosine, 1 -methylguanosine, N2-methylguanosine, N2,N2-dimethylguanosine, 8-oxo-guanosine, 7- methyl-8-oxo-guanosine, l-methyl-6-thio-guanosine, N2-methyl-6-thio-guanosine, and N2,N2- dimethyl-6-thio-guanosine. In another embodiment, the modifications are independently selected from 5 -methylcytosine, pseudouridine and 1 -methylpseudouridine.
[451] In some embodiments, the modified ribonucleosides include 5 -methylcytidine, 5- methoxyuridine, I-methyl-pseudouridine, N6-methyladenosine, and/or pseudouridine. In some embodiments, such modified nucleosides provide additional stability and resistance to immune activation.
[452] In particular embodiments, polynucleotides may be codon-optimized. A codon optimized sequence may be one in which codons in a polynucleotide encoding a polypeptide have been substituted in order to increase the expression, stability and/or activity of the polypeptide. Factors that influence codon optimization include, but are not limited to one or more of: (i) variation of codon biases between two or more organisms or genes or synthetically constructed bias tables, (ii) variation in the degree of codon bias within an organism, gene, or set of genes, (iii) systematic variation of codons including context, (iv) variation of codons according to their decoding tRNAs, (v) variation of codons according to GC %, either overall or in one position of the triplet, (vi) variation in degree of similarity to a reference sequence for example a naturally occurring sequence, (vii) variation in the codon frequency cutoff, (viii) structural properties of mRNAs transcribed from the DNA sequence, (ix) prior knowledge about the function of the DNA sequences upon which design of the codon substitution set is to be based, and/or (x) systematic variation of codon sets for each amino acid. In some embodiments, a codon optimized polynucleotide may minimize ribozyme collisions and/or limit structural interference between the expression sequence and the core functional element. ix. Payloads
[453] In some embodiments, the polynucleotide (e.g., RNA polynucleotide or circRNA) expression sequence encodes a therapeutic protein. In some embodiments, the therapeutic protein is selected from the proteins listed in the following table.
127
SUBSTITUTE SHEET (RULE 26)
128
SUBSTITUTE SHEET (RULE 26)
129
SUBSTITUTE SHEET (RULE 26)
130
SUBSTITUTE SHEET (RULE 26)
SUBSTITUTE SHEET (RULE 26)
132
SUBSTITUTE SHEET (RULE 26)
SUBSTITUTE SHEET (RULE 26)
134
SUBSTITUTE SHEET (RULE 26) [454] In some embodiments, the expression sequence encodes a therapeutic protein. In some embodiments, the expression sequence encodes a cytokine, e.g., IL-12p70, IL-15, IL-2, IL-18, IL-21, IFN-a, IFN- P, IL-10, TGF-beta, IL-4, or IL-35, or a functional fragment thereof. In some embodiments, the expression sequence encodes an immune checkpoint inhibitor. In some embodiments, the expression sequence encodes an agonist (e.g., a TNFR family member such as CD137L, OX40L, ICOSL, LIGHT, or CD70). In some embodiments, the expression sequence encodes a chimeric antigen receptor. In some embodiments, the expression sequence encodes an inhibitory receptor agonist (e.g., PDL1, PDL2, Galectin-9, VISTA, B7H4, or MHCII) or inhibitory receptor (e.g., PD1, CTLA4, TIGIT, LAG3, or TIM3). In some embodiments, the expression sequence encodes an inhibitory receptor antagonist. In some embodiments, the expression sequence encodes one or more TCR chains (alpha and beta chains or gamma and delta chains). In some embodiments, the expression sequence encodes a secreted T cell or immune cell engager (e.g., a bispecific antibody such as BiTE, targeting, e.g., CD3, CD137, or CD28 and a tumor-expressed protein e.g., CD19, CD20, or BCMA etc.). In some embodiments, the expression sequence encodes a transcription factor (e.g., F0XP3, HELIOS, T0X1, or T0X2). In some embodiments, the expression sequence encodes an immunosuppressive enzyme (e.g., IDO or CD39/CD73). In some embodiments, the expression sequence encodes a GvHD (e.g., anti-HLA- A2 CAR-Tregs).
[455] In some embodiments, a polynucleotide encodes a protein that is made up of subunits that are encoded by more than one gene. For example, the protein may be a heterodimer, wherein each chain or subunit of the protein is encoded by a separate gene. It is possible that more than one circRNA molecule is delivered in the transfer vehicle and each circRNA encodes a separate subunit of the protein. Alternatively, a single circRNA may be engineered to encode more than one subunit. In certain embodiments, separate circRNA molecules encoding the individual subunits may be administered in separate transfer vehicles.
(1) Chimeric Antigen Receptors (CARS)
[456] Chimeric antigen receptors (CARs or CAR-Ts) are genetically-engineered receptors. These engineered receptors may be inserted into and expressed by immune cells, including T cells via circular RNA as described herein. With a CAR, a single receptor may be programmed to both recognize a specific antigen and, when bound to that antigen, activate the immune cell to attack and destroy the cell bearing that antigen. When these antigens exist on tumor cells, an immune cell that expresses the CAR may target and kill the tumor cell. In some embodiments, the CAR encoded by the polynucleotide comprises (i) an antigen-binding molecule that specifically binds to a target antigen, (ii) a hinge domain, a transmembrane domain, and an intracellular domain, and (iii) an activating domain.
[457] In some embodiments, an orientation of the CARs in accordance with the disclosure comprises an antigen binding domain (such as an scFv) in tandem with a costimulatory domain and an activating domain. The costimulatory domain may comprise one or more of an extracellular portion, a
135
SUBSTITUTE SHEET (RULE 26) transmembrane portion, and an intracellular portion. In other embodiments, multiple costimulatory domains may be utilized in tandem.
[458] CARs may be engineered to bind to an antigen (such as a cell-surface antigen) by incorporating an antigen binding molecule that interacts with that targeted antigen. In some embodiments, the antigen binding molecule is an antibody fragment thereof, e.g., one or more single chain antibody fragment (scFv). An scFv is a single chain antibody fragment having the variable regions of the heavy and light chains of an antibody linked together. See U.S. Patent Nos. 7,741,465, and 6,319,494 as well as Eshhar et al., Cancer Immunol Immunotherapy (1997) 45: 131-136. An scFv retains the parent antibody's ability to specifically interact with target antigen. scFvs are useful in chimeric antigen receptors because they may be engineered to be expressed as part of a single chain along with the other CAR components. Id. See also Krause et al., J. Exp. Med., Volume 188, No. 4, 1998 (619-626); Finney et al., Journal of Immunology, 1998, 161 : 2791-2797. It will be appreciated that the antigen binding molecule is typically contained within the extracellular portion of the CAR such that it is capable of recognizing and binding to the antigen of interest. Bispecific and multispecific CARs are contemplated within the scope of the present disclosure, with specificity to more than one target of interest.
[459] In some embodiments, the antigen binding molecule comprises a single chain, wherein the heavy chain variable region and the light chain variable region are connected by a linker. In some embodiments, the VH is located at the N terminus of the linker and the VL is located at the C terminus of the linker. In other embodiments, the VL is located at the N terminus of the linker and the VH is located at the C terminus of the linker. In some embodiments, the linker comprises at least about 5, at least about 8, at least about 10, at least about 13, at least about 15, at least about 18, at least about 20, at least about 25, at least about 30, at least about 35, at least about 40, at least about 45, at least about 50, at least about 60, at least about 70, at least about 80, at least about 90, or at least about 100 amino acids.
[460] In some embodiments, the antigen binding molecule comprises a nanobody. In some embodiments, the antigen binding molecule comprises a DARPin. In some embodiments, the antigen binding molecule comprises an anticalin or other synthetic protein capable of specific binding to target protein.
[461] In some embodiments, the CAR comprises an antigen binding domain specific for an antigen selected from CD19, CD123, CD22, CD30, CD171, CS-1, C-type lectin-like molecule-1, CD33, epidermal growth factor receptor variant III (EGFRvIII), ganglioside G2 (GD2), ganglioside GD3, TNF receptor family member B cell maturation (BCMA), Tn antigen ((Tn Ag) or (GalNAca-Ser/Thr)), prostate-specific membrane antigen (PSMA), Receptor tyrosine kinase-like orphan receptor 1 (ROR1), Fms-Like Tyrosine Kinase 3 (FLT3), Tumor-associated glycoprotein 72 (TAG72), CD38, CD44v6,
136
SUBSTITUTE SHEET (RULE 26) Carcinoembryonic antigen (CEA), Epithelial cell adhesion molecule (EPCAM), B7H3 (CD276), KIT (CD117), Interleukin- 13 receptor subunit alpha-2, mesothelin, Interleukin 11 receptor alpha (IL-1 IRa), prostate stem cell antigen (PSCA), Protease Serine 21, vascular endothelial growth factor receptor 2 (VEGFR2), Lewis(Y) antigen, CD24, Platelet-derived growth factor receptor beta (PDGFR-beta), Stage -specific embryonic antigen-4 (SSEA-4), CD20, Folate receptor alpha, HER2, HER3, Mucin 1, cell surface associated (MUC1), epidermal growth factor receptor (EGFR), neural cell adhesion molecule (NCAM), Prostase, prostatic acid phosphatase (PAP), elongation factor 2 mutated (ELF2M), Ephrin B2, fibroblast activation protein alpha (FAP), insulin-like growth factor 1 receptor (IGF-I receptor), carbonic anhydrase IX (CAIX), Proteasome (Prosome, Macropain) Subunit, Beta Type, 9 (LMP2), glycoprotein 100 (gplOO), oncogene fusion protein consisting of breakpoint cluster region (BCR) and Abelson murine leukemia viral oncogene homolog 1 (Abl) (bcr-abl), tyrosinase, ephrin type- A receptor 2 (EphA2), Fucosyl GM1, sialyl Lewis adhesion molecule (sLe), ganglioside GM3, transglutaminase 5 (TGS5), high molecular weight-melanoma-associated antigen (HMWMAA), o- acetyl-GD2 ganglioside (OAcGD2), Folate receptor beta, tumor endothelial marker 1 (TEM1/CD248), tumor endothelial marker 7-related (TEM7R), claudin 6 (CLDN6), thyroid stimulating hormone receptor (TSHR), G protein-coupled receptor class C group 5, member D (GPRC5D), chromosome X open reading frame 61 (CXORF61), CD97, CD 179a, anaplastic lymphoma kinase (ALK), Polysialic acid, placenta-specific 1 (PLAC1), hexasaccharide portion of globoH glycoceramide (GloboH), mammary gland differentiation antigen (NY-BR-1), uroplakin 2 (UPK2), Hepatitis A virus cellular receptor 1 (HAVCR1), adrenoceptor beta 3 (ADRB3), pannexin 3 (PANX3), G protein-coupled receptor 20 (GPR20), lymphocyte antigen 6 complex, locus K 9 (LY6K), Olfactory receptor 51E2 (OR51E2), TCR Gamma Alternate Reading Frame Protein (TARP), Wilms tumor protein (WT1), Cancer/testis antigen 1 (NY-ESO-1), Cancer/testis antigen 2 (LAGE- la), MAGE family members (including MAGE-A1, MAGE-A3 and MAGE-A4), ETS translocation-variant gene 6, located on chromosome 12p (ETV6-AML), sperm protein 17 (SPA17), X Antigen Family, Member 1A (XAGE1), angiopoietin-binding cell surface receptor 2 (Tie 2), melanoma cancer testis antigen-1 (MAD-CT-1), melanoma cancer testis antigen-2 (MAD-CT-2), Fos-related antigen 1, tumor protein p53 (p53), p53 mutant, prostein, surviving, telomerase, prostate carcinoma tumor antigen- 1, melanoma antigen recognized by T cells 1, Rat sarcoma (Ras) mutant, human Telomerase reverse transcriptase (hTERT), sarcoma translocation breakpoints, melanoma inhibitor of apoptosis (ML-IAP), ERG (transmembrane protease, serine 2 (TMPRSS2) ETS fusion gene), N-Acetyl glucosaminyl-transferase V (NA17), paired box protein Pax-3 (PAX3), Androgen receptor, Cyclin Bl, v-myc avian myelocytomatosis viral oncogene neuroblastoma derived homolog (MYCN), Ras Homolog Family Member C (RhoC), Tyrosinase-related protein 2 (TRP-2), Cytochrome P450 1B1 (CYP1B1), CCCTC-Binding Factor (Zinc Finger Protein)-Like, Squamous Cell Carcinoma Antigen Recognized By T Cells 3 (SART3), Paired box protein Pax-5 (PAX5), proacrosin binding protein sp32 (OY-TES1), lymphocyte-specific protein tyrosine kinase (LCK), A kinase anchor protein 4 (AKAP-4), synovial sarcoma, X breakpoint 2 (SSX2),
137
SUBSTITUTE SHEET (RULE 26) Receptor for Advanced Glycation Endproducts (RAGE-1), renal ubiquitous 1 (RU1), renal ubiquitous 2 (RU2), legumain, human papilloma virus E6 (HPV E6), human papilloma virus E7 (HPV E7), intestinal carboxyl esterase, heat shock protein 70-2 mutated (mut hsp70-2), CD79a, CD79b, CD72, Leukocyte-associated immunoglobulin-like receptor 1 (LAIR1), Fc fragment of IgA receptor (FCAR or CD89), Leukocyte immunoglobulin-like receptor subfamily A member 2 (LILRA2), CD300 molecule-like family member f (CD300LF), C-type lectin domain family 12 member A (CLEC12A), bone marrow stromal cell antigen 2 (BST2), EGF-like module-containing mucin-like hormone receptorlike 2 (EMR2), lymphocyte antigen 75 (LY75), Glypican-3 (GPC3), Fc receptor-like 5 (FCRL5), MUC16, 5T4, 8H9,

integrin, avp6 integrin, alphafetoprotein (AFP), B7-H6, ca-125, CA9, CD44, CD44v7/8, CD52, E-cadherin, EMA (epithelial membrane antigen), epithelial glycoprotein-2 (EGP-2), epithelial glycoprotein-40 (EGP-40), ErbB4, epithelial tumor antigen (ETA), folate binding protein (FBP), kinase insert domain receptor (KDR), k-light chain, LI cell adhesion molecule, MUC18, NKG2D, oncofetal antigen (h5T4), tumor/testis-antigen IB, GAGE, GAGE-1, BAGE, SCP-1, CTZ9, SAGE, CAGE, CT10, MART-1, immunoglobulin lambda-like polypeptide 1 (IGLL1), Hepatitis B Surface Antigen Binding Protein (HBsAg), viral capsid antigen (VCA), early antigen (EA), EBV nuclear antigen (EBNA), HHV-6 p41 early antigen, HHV-6B U94 latent antigen, HHV-6B p98 late antigen , cytomegalovirus (CMV) antigen, large T antigen, small T antigen, adenovirus antigen, respiratory syncytial virus (RSV) antigen, haemagglutinin (HA), neuraminidase (NA), parainfluenza type 1 antigen, parainfluenza type 2 antigen, parainfluenza type 3 antigen, parainfluenza type 4 antigen, Human Metapneumovirus (HMPV) antigen, hepatitis C virus (HCV) core antigen, HIV p24 antigen, human T-cell lympotrophic virus (HTLV-1) antigen, Merkel cell polyoma virus small T antigen, Merkel cell polyoma virus large T antigen, Kaposi sarcoma-associated herpesvirus (KSHV) lytic nuclear antigen and KSHV latent nuclear antigen. In some embodiments, an antigen binding domain comprises SEQ ID NO: 321 and/or 322.
[462] In some embodiments, a CAR comprises a hinge or spacer domain. In some embodiments, the hinge/spacer domain may comprise a truncated hinge/spacer domain (THD) the THD domain is a truncated version of a complete hinge/spacer domain ("CHD"). In some embodiments, an extracellular domain is from or derived from (e.g., comprises all or a fragment of) ErbB2, glycophorin A (GpA), CD2, CD3 delta, CD3 epsilon, CD3 gamma, CD4, CD7, CD8a, CD8[T CD1 la (IT GAL), CD1 lb (IT GAM), CD1 1c (ITGAX), CD1 Id (IT GAD), CD 18 (ITGB2), CD 19 (B4), CD27 (TNFRSF7), CD28, CD28T, CD29 (ITGB1), CD30 (TNFRSF8), CD40 (TNFRSF5), CD48 (SLAMF2), CD49a (ITGA1), CD49d (ITGA4), CD49f (ITGA6), CD66a (CEACAM1), CD66b (CEACAM8), CD66c (CEACAM6), CD66d (CEACAM3), CD66e (CEACAM5), CD69 (CLEC2), CD79A (B-cell antigen receptor complex-associated alpha chain), CD79B (B-cell antigen receptor complex-associated beta chain), CD84 (SLAMF5), CD96 (Tactile), CD100 (SEMA4D), CD103 (ITGAE), CD134 (0X40), CD137 (4- 1BB), CD150 (SLAMF1), CD158A (KIR2DL1), CD158B1 (KIR2DL2), CD158B2 (KIR2DL3),
138
SUBSTITUTE SHEET (RULE 26) CD158C (KIR3DP1), CD158D (KIRDL4), CD158F1 (KIR2DL5A), CD158F2 (KIR2DL5B), CD158K (KIR3DL2), CD160 (BY55), CD162 (SELPLG), CD226 (DNAM1), CD229 (SLAMF3), CD244 (SLAMF4), CD247 (CD3-zeta), CD258 (LIGHT), CD268 (BAFFR), CD270 (TNFSF14), CD272 (BTLA), CD276 (B7-H3), CD279 (PD-1), CD314 (NKG2D), CD319 (SLAMF7), CD335 (NK-p46), CD336 (NK-p44), CD337 (NK-p30), CD352 (SLAMF6), CD353 (SLAMF8), CD355 (CRT AM), CD357 (TNFRSF18), inducible T cell co-stimulator (ICOS), LFA-1 (CD1 la/CD18), NKG2C, DAP-10, ICAM-1, NKp80 (KLRF1), IL-2R beta, IL-2R gamma, IL-7R alpha, LFA-1, SLAMF9, LAT, GADS (GrpL), SLP-76 (LCP2), PAG1/CBP, a CD83 ligand, Fc gamma receptor, MHC class 1 molecule, MHC class 2 molecule, a TNF receptor protein, an immunoglobulin protein, a cytokine receptor, an integrin, activating NK cell receptors, a Toll ligand receptor, and fragments or combinations thereof. A hinge or spacer domain may be derived either from a natural or from a synthetic source.
[463] In some embodiments, a hinge or spacer domain is positioned between an antigen binding molecule (e.g., an scFv) and a transmembrane domain. In this orientation, the hinge/spacer domain provides distance between the antigen binding molecule and the surface of a cell membrane on which the CAR is expressed. In some embodiments, a hinge or spacer domain is from or derived from an immunoglobulin. In some embodiments, a hinge or spacer domain is selected from the hinge/spacer regions of IgGl, IgG2, IgG3, IgG4, IgA, IgD, IgE, IgM, or a fragment thereof. In some embodiments, a hinge or spacer domain comprises, is from, or is derived from the hinge/spacer region of CD8 alpha. In some embodiments, a hinge or spacer domain comprises, is from, or is derived from the hinge/spacer region of CD28. In some embodiments, a hinge or spacer domain comprises a fragment of the hinge/spacer region of CD 8 alpha or a fragment of the hinge/spacer region of CD28, wherein the fragment is anything less than the whole hinge/spacer region. In some embodiments, the fragment of the CD8 alpha hinge/spacer region or the fragment of the CD28 hinge/spacer region comprises an amino acid sequence that excludes at least 1, at least 2, at least 3, at least 4, at least 5, at least 6, at least 7, at least 8, at least 9, at least 10, at least 11, at least 12, at least 13, at least 14, at least 15, at least 16, at least 17, at least 18, at least 19, or at least 20 amino acids at the N-terminus or C-Terminus, or both, of the CD8 alpha hinge/spacer region, or of the CD28 hinge/spacer region.
[464] The CAR may further comprise a transmembrane domain and/or an intracellular signaling domain. The transmembrane domain may be designed to be fused to the extracellular domain of the CAR. It may similarly be fused to the intracellular domain of the CAR. In some embodiments, the transmembrane domain that naturally is associated with one of the domains in a CAR is used. In some instances, the transmembrane domain may be selected or modified (e.g., by an amino acid substitution) to avoid binding of such domains to the transmembrane domains of the same or different surface membrane proteins to minimize interactions with other members of the receptor complex. The transmembrane domain may be derived either from a natural or from a synthetic source. Where the source is natural, the domain may be derived from any membrane-bound or transmembrane protein.
139
SUBSTITUTE SHEET (RULE 26) [465] Transmembrane regions may be derived from (i.e., comprise) a receptor tyrosine kinase (e.g., ErbB2), glycophorin A (GpA), 4-1BB/CD137, activating NK cell receptors, an immunoglobulin protein, B7-H3, BAFFR, BFAME (SEAMF8), BTEA, CD100 (SEMA4D), CD103, CD160 (BY55), CD 18, CD 19, CD 19a, CD2, CD247, CD27, CD276 (B7-H3), CD28, CD29, CD3 delta, CD3 epsilon, CD3 gamma, CD30, CD4, CD40, CD49a, CD49D, CD49f, CD69, CD7, CD84, CD8alpha, CD8beta, CD96 (Tactile), CD1 la, CD1 lb, CD1 1c, CD1 Id, CDS, CEACAM1, CRT AM, cytokine receptor, DAP- 10, DNAM1 (CD226), Fc gamma receptor, GADS, GITR, HVEM (EIGHTR), IA4, ICAM-1, ICAM-1, Ig alpha (CD79a), IE-2R beta, IE-2R gamma, IE-7R alpha, inducible T cell costimulator (ICOS), integrins, ITGA4, ITGA4, ITGA6, IT GAD, ITGAE, ITGAE, IT GAM, ITGAX, ITGB2, ITGB7, ITGB1, KIRDS2, EAT, LFA-1, LFA-1, a ligand that specifically binds with CD83, LIGHT, LIGHT, LTBR, Ly9 (CD229), lymphocyte function -associated antigen- 1 (LFA-1; CDl-la/CD18), MHC class 1 molecule, NKG2C, NKG2D, NKp30, NKp44, NKp46, NKp80 (KLRF1), OX-40, PAG/Cbp, programmed death-1 (PD-1), PSGL1, SELPLG (CD162), Signaling Lymphocytic Activation Molecules (SLAM proteins), SLAM (SLAMF1; CD150; IPO-3), SLAMF4 (CD244; 2B4), SLAMF6 (NTB-A; Lyl08), SLAMF7, SLP-76, TNF receptor proteins, TNFR2, TNFSF14, a Toll ligand receptor, TRANCE/RANKL, VLA1, or VLA-6, or a fragment, truncation, or a combination thereof.
[466] In some embodiments, suitable intracellular signaling domain include, but are not limited to, activating Macrophage/Myeloid cell receptors CSFR1, MYD88, CD14, TIE2, TLR4, CR3, CD64, TREM2, DAP 10, DAP 12, CD 169, DECTIN 1, CD206, CD47, CD 163, CD36, MARCO, TIM4, MERTK, F4/80, CD91, C1QR, LOX-1, CD68, SRA, BAI-1, ABCA7, CD36, CD31, Lactoferrin, or a fragment, truncation, or combination thereof.
[467] In some embodiments, a receptor tyrosine kinase may be derived from (e.g., comprise) Insulin receptor (InsR), Insulin-like growth factor I receptor (IGF1R), Insulin receptor-related receptor (IRR), platelet derived growth factor receptor alpha (PDGFRa), platelet derived growth factor receptor beta (PDGFRfi). KIT proto-oncogene receptor tyrosine kinase (Kit), colony stimulating factor 1 receptor (CSFR), fins related tyrosine kinase 3 (FLT3), fins related tyrosine kinase 1 (VEGFR-1), kinase insert domain receptor (VEGFR-2), fins related tyrosine kinase 4 (VEGFR-3), fibroblast growth factor receptor 1 (FGFR1), fibroblast growth factor receptor 2 (FGFR2), fibroblast growth factor receptor 3 (FGFR3), fibroblast growth factor receptor 4 (FGFR4), protein tyrosine kinase 7 (CCK4), neurotrophic receptor tyrosine kinase 1 (trkA), neurotrophic receptor tyrosine kinase 2 (trkB), neurotrophic receptor tyrosine kinase 3 (trkC), receptor tyrosine kinase like orphan receptor 1 (ROR1), receptor tyrosine kinase like orphan receptor 2 (ROR2), muscle associated receptor tyrosine kinase (MuSK), MET proto-oncogene, receptor tyrosine kinase (MET), macrophage stimulating 1 receptor (Ron), AXL receptor tyrosine kinase (Axl), TYR03 protein tyrosine kinase (Tyro3), MER protooncogene, tyrosine kinase (Mer), tyrosine kinase with immunoglobulin like and EGF like domains 1 (TIE1), TEK receptor tyrosine kinase (TIE2), EPH receptor Al (EphAl), EPH receptor A2 (EphA2),
140
SUBSTITUTE SHEET (RULE 26) (EPH receptor A3) EphA3, EPH receptor A4 (EphA4), EPH receptor A5 (EphA5), EPH receptor A6 (EphA6), EPH receptor A7 (EphA7), EPH receptor A8 (EphA8), EPH receptor A10 (EphAlO), EPH receptor Bl (EphBl), EPH receptor B2 (EphB2), EPH receptor B3 (EphB3), EPH receptor B4 (EphB4), EPH receptor B6 (EphB6), ret proto oncogene (Ret), receptor-like tyrosine kinase (RYK), discoidin domain receptor tyrosine kinase 1 (DDR1), discoidin domain receptor tyrosine kinase 2 (DDR2), c-ros oncogene 1, receptor tyrosine kinase (ROS), apoptosis associated tyrosine kinase (Lmrl), lemur tyrosine kinase 2 (Lmr2), lemur tyrosine kinase 3 (Lmr3), leukocyte receptor tyrosine kinase (LTK), ALK receptor tyrosine kinase (ALK), or serine/threonine/tyrosine kinase 1 (STYK1).
[468] In certain embodiments, the CAR comprises a costimulatory domain. In some embodiments, the costimulatory domain comprises 4-1BB (CD137), CD28, or both, and/or an intracellular T cell signaling domain. In a preferred embodiment, the costimulatory domain is human CD28, human 4-1BB, or both, and the intracellular T cell signaling domain is human CD3 zeta (0. 4- 1BB, CD28, CD3 zeta may comprise less than the whole 4-1BB, CD28 or CD3 zeta, respectively. Chimeric antigen receptors may incorporate costimulatory (signaling) domains to increase their potency. See U.S. Patent Nos. 7,741,465, and 6,319,494, as well as Krause et al. and Finney et al. (supra), Song et al., Blood 119:696-706 (2012); Kalos et al., Sci Transl. Med. 3:95 (2011); Porter et al., N. Engl. J. Med. 365:725-33 (2011), and Gross et al., Amur. Rev. Pharmacol. Toxicol. 56:59-83 (2016).
[469] In some embodiments, a costimulatory domain comprises the amino acid sequence of SEQ ID NO: 318 or 320.
[470] The intracellular (signaling) domain of the engineered T cells described herein may provide signaling to an activating domain, which then activates at least one of the normal effector functions of the immune cell. Effector function of a T cell, for example, may be cytolytic activity or helper activity including the secretion of cytokines.
[471] In some embodiments, suitable intracellular signaling domain include (e.g., comprise), but are not limited to 4-1BB/CD137, activating NK cell receptors, an Immunoglobulin protein, B7-H3, BAFFR, BLAME (SLAMF8), BTLA, CD100 (SEMA4D), CD103, CD160 (BY55), CD18, CD19, CD 19a, CD2, CD247, CD27, CD276 (B7-H3), CD28, CD29, CD3 delta, CD3 epsilon, CD3 gamma, CD30, CD4, CD40, CD49a, CD49D, CD49f, CD69, CD7, CD84, CD8alpha, CD8beta, CD96 (Tactile), CD1 la, CD1 lb, CD1 1c, CD1 Id, CDS, CEACAM1, CRT AM, cytokine receptor, DAP-10, DNAM1 (CD226), Fc gamma receptor, GADS, GITR, HVEM (LIGHTR), IA4, ICAM-1, Ig alpha (CD79a), IL- 2R beta, IL-2R gamma, IL-7R alpha, inducible T cell costimulator (ICOS), integrins, ITGA4, ITGA6, ITGAD, ITGAE, ITGAL, ITGAM, ITGAX, ITGB2, ITGB7, ITGB1, KIRDS2, LAT, LFA-1, ligand that specifically binds with CD83, LIGHT, LTBR, Ly9 (CD229), Lyl08, lymphocyte function- associated antigen- 1 (LFA-1; CDl-la/CD18), MHC class 1 molecule, NKG2C, NKG2D, NKp30,
141
SUBSTITUTE SHEET (RULE 26) NKp44, NKp46, NKp80 (KLRF1), OX-40, PAG/Cbp, programmed death-1 (PD-1), PSGL1, SELPLG (CD162), Signaling Lymphocytic Activation Molecules (SLAM proteins), SLAM (SLAML1; CD150; IPO-3), SLAMF4 (CD244; 2B4), SLAMF6 (NTB-A), SLAMF7, SLP-76, TNF receptor proteins, TNLR2, TNLSL14, a Toll ligand receptor, TRANCE/RANKL, VLA1, or VLA-6, or a fragment, truncation, or a combination thereof.
[472] CD3 is an element of the T cell receptor on native T cells, and has been shown to be an important intracellular activating element in CARs. In some embodiments, the CD3 is CD3 zeta. In some embodiments, the activating domain comprises an amino acid sequence at least about 60%, at least about 65%, at least about 70%, at least about 75%, at least about 80%, at least about 85%, at least about 90%, at least about 95%, at least about 96%, at least about 97%, at least about 98%, at least about 99%, or about 100% identical to the polypeptide sequence of SEQ ID NO: 319.
(2) T-Cell Receptors (TCR)
[473] TCRs are described using the International Immunogenetics (IMGT) TCR nomenclature, and links to the IMGT public database of TCR sequences. Native alpha-beta heterodimeric TCRs have an alpha chain and a beta chain. Broadly, each chain may comprise variable, joining and constant regions, and the beta chain also usually contains a short diversity region between the variable and joining regions, but this diversity region is often considered as part of the joining region. Each variable region may comprise three CDRs (Complementarity Determining Regions) embedded in a framework sequence, one being the hypervariable region named CDR3. There are several types of alpha chain variable (Va) regions and several types of beta chain variable (V(3) regions distinguished by their framework, CDR1 and CDR2 sequences, and by a partly defined CDR3 sequence. The Va types are referred to in IMGT nomenclature by a unique TRAV number. Thus “TRAV21” defines a TCR Va region having unique framework and CDR1 and CDR2 sequences, and a CDR3 sequence which is partly defined by an amino acid sequence which is preserved from TCR to TCR but which also includes an amino acid sequence which varies from TCR to TCR. In the same way, “TRBV5-1” defines a TCR V(3 region having unique framework and CDR1 and CDR2 sequences, but with only a partly defined CDR3 sequence.
[0001] The joining regions of the TCR are similarly defined by the unique IMGT TRAJ and TRBJ nomenclature, and the constant regions by the IMGT TRAC and TRBC nomenclature.
[474] The beta chain diversity region is referred to in IMGT nomenclature by the abbreviation TRBD, and, as mentioned, the concatenated TRBD/TRBJ regions are often considered together as the joining region.
[475] The unique sequences defined by the IMGT nomenclature are widely known and accessible to those working in the TCR field. For example, they can be found in the IMGT public database. The “T cell Receptor Factsbook”, (2001) LeFranc and LeFranc, Academic Press, ISBN 0-12-441352-8 also
142
SUBSTITUTE SHEET (RULE 26) discloses sequences defined by the IMGT nomenclature, but because of its publication date and consequent time-lag, the information therein sometimes needs to be confirmed by reference to the IMGT database.
[476] Native TCRs exist in heterodimeric a[3 or y5 forms. However, recombinant TCRs consisting of aa or homodimers have previously been shown to bind to peptide MHC molecules. Therefore, the TCR of the present disclosure may be a heterodimeric aP TCR or may be an aa or pp homodimeric TCR.
[477] For use in adoptive therapy, an aP heterodimeric TCR may, for example, be transfected as full length chains having both cytoplasmic and transmembrane domains. In certain embodiments TCRs of the present disclosure may have an introduced disulfide bond between residues of the respective constant domains, as described, for example, in WO 2006/000830.
[478] TCRs of the present disclosure, particularly alpha-beta heterodimeric TCRs, may comprise an alpha chain TRAC constant domain sequence and/or a beta chain TRBC 1 or TRBC2 constant domain sequence. The alpha and beta chain constant domain sequences may be modified by truncation or substitution to delete the native disulfide bond between Cys4 of exon 2 of TRAC and Cys2 of exon 2 of TRBC 1 or TRBC2. The alpha and/or beta chain constant domain sequence(s) may also be modified by substitution of cysteine residues for Thr 48 of TRAC and Ser 57 of TRBC 1 or TRBC2, the said cysteines forming a disulfide bond between the alpha and beta constant domains of the TCR.
[479] Binding affinity (inversely proportional to the equilibrium constant KD) and binding halflife (expressed as TVz) can be determined by any appropriate method. It will be appreciated that doubling the affinity of a TCR results in halving the KD. TVz is calculated as In 2 divided by the off-rate (koff). So doubling of TVz results in a halving in koff. KD and koff values for TCRs are usually measured for soluble forms of the TCR, i.e., those forms which are truncated to remove cytoplasmic and transmembrane domain residues. Therefore it is to be understood that a given TCR has an improved binding affinity for, and/or a binding half-life for the parental TCR if a soluble form of that TCR has the said characteristics. Preferably the binding affinity or binding half-life of a given TCR is measured several times, for example 3 or more times, using the same assay protocol, and an average of the results is taken.
[480] Since the TCRs of the present disclosure have utility in adoptive therapy, the present disclosure includes a non-naturally occurring and/or purified and/or or engineered cell, especially a T- cell, presenting a TCR of the present disclosure. There are a number of methods suitable for the transfection of T cells with nucleic acid (such as DNA, cDNA or RNA) encoding the TCRs of the present disclosure (see for example Robbins et al., (2008) J Immunol. 180: 6116-6131). T cells expressing the TCRs of the present disclosure will be suitable for use in adoptive therapy-based treatment of cancers such as those of the pancreas and liver. As will be known to those skilled in the
143
SUBSTITUTE SHEET (RULE 26) art, there are a number of suitable methods by which adoptive therapy can be carried out (see for example Rosenberg et al., (2008) Nat Rev Cancer 8(4): 299-308).
[481] As is well-known in the art TCRs of the present disclosure may be subject to post- translational modifications when expressed by transfected cells. Glycosylation is one such modification, which may comprise the covalent attachment of oligosaccharide moieties to defined amino acids in the TCR chain. For example, asparagine residues, or serine/threonine residues are well-known locations for oligosaccharide attachment. The glycosylation status of a particular protein depends on a number of factors, including protein sequence, protein conformation and the availability of certain enzymes. Furthermore, glycosylation status (i.e oligosaccharide type, covalent linkage and total number of attachments) can influence protein function. Therefore, when producing recombinant proteins, controlling glycosylation is often desirable. Glycosylation of transfected TCRs may be controlled by mutations of the transfected gene (Kuball J et al. (2009), J Exp Med 206(2):463-475). Such mutations are also encompassed in this disclosure.
[482] A TCR may be specific for an antigen in the group MAGE-A1, MAGE-A2, MAGE-A3, MAGE-A4, MAGE-A5, MAGE-A6, MAGE-A7, MAGE-A8, MAGE-A9, MAGE-A10, MAGE-A11, MAGE-A12, MAGE-A13, GAGE-1, GAGE-2, GAGE-3, GAGE-4, GAGE-5, GAGE-6, GAGE-7, GAGE-8, BAGE-1, RAGE-1, LB33/MUM-1, PRAME, NAG, MAGE-Xp2 (MAGE-B2), MAGE-Xp3 (MAGE-B3), MAGE-Xp4 (AGE-B4), tyrosinase, brain glycogen phosphorylase, Melan-A, MAGE-CI, MAGE-C2, NY-ESO-1, LAGE-1, SSX-1, SSX-2(HOM-MEL-40), SSX-1, SSX-4, SSX-5, SCP-1, CT- 7, alpha-actinin-4, Bcr-Abl fusion protein, Casp-8, beta-catenin, cdc27, cdk4, cdkn2a, coa-1, dek-can fusion protein, EF2, ETV6-AML1 fusion protein, LDLR-fucosyltransferaseAS fusion protein, HLA- A2, HLA-A11, hsp70-2, KIAAO205, Mart2, Mum-2, and 3, neo-PAP, myosin class I, OS-9, pml-RARa fusion protein, PTPRK, K-ras, N-ras, Triosephosphate isomeras, GnTV, Herv-K-mel, Lage-1, Mage- C2, NA-88, Lage-2, SP17, and TRP2-Int2, (MART-I), gplOO (Pmel 17), TRP-1, TRP-2, MAGE-1, MAGE-3, pl5(58), CEA, NY-ESO (LAGE), SCP-1, Hom/Mel-40, p53, H-Ras, HER-2/neu, BCR- ABL, E2A-PRL, H4-RET, IGH-IGK, MYL-RAR, Epstein Barr virus antigens, EBNA, human papillomavirus (HPV) antigens E6 and E7, TSP-180, MAGE-4, MAGE-5, MAGE-6, pl85erbB2, pl80erbB-3, c-met, nm-23Hl, PSA, TAG-72-4, CA 19-9, CA 72-4, CAM 17.1, NuMa, K-ras, beta- catenin, CDK4, Mum-1, pl6, TAGE, PSMA, PSCA, CT7, telomerase, 43-9F, 5T4, 791Tgp72, a- fetoprotein, 13HCG, BCA225, BTAA, CA 125, CA 15-3 (CA 27.29\BCAA), CA 195, CA 242, CA- 50, CAM43, CD68\KP1, CO-029, FGF-5, G250, Ga733 (EpCAM), HTgp-175, M344, MA-50, MG7- Ag, M0V18, NB\170K, NY-CO-1, RCAS1, SDCCAG16, TA-90 (Mac-2 binding protein\cyclophilin C-associated protein), TAAL6, TAG72, TLP, and TPS.
(3) B-Cell Receptors (BCR)
[483] B-cell receptors (BCRs) or B-cell antigen receptors are immunoglobulin molecules that form a type I transmembrane protein on the surface of a B cell. A BCR is capable of transmitting
144
SUBSTITUTE SHEET (RULE 26) activatory signal into a B cell following recognition of a specific antigen. Prior to binding of a B cell to an antigen, the BCR will remain in an unstimulated or “resting” stage. Binding of an antigen to a BCR leads to signaling that initiates a humoral immune response.
[484] A BCR is expressed by mature B cells. These B cells work with immunoglobulins (Igs) in recognizing and tagging pathogens. The typical BCR comprises a membrane-bound immunoglobulin (e.g., mlgA, mlgD, mlgE, mlgG, and mlgM), along with associated and Iga/IgP (CD79a/CD79b) heterodimers (a/p). These membrane -bound immunoglobulins are tetramers consisting of two identical heavy and two light chains. Within the BCR, the membrane bound immunoglobulins is capable of responding to antigen binding by signal transmission across the plasma membrane leading to B cell activation and consequently clonal expansion and specific antibody production (Friess M et al. (2018), Front. Immunol. 2947(9)). The Iga/IgP heterodimers is responsible for transducing signals to the cell interior.
[485] A Iga/IgP heterodimer signaling relies on the presence of immunoreceptor tyrosine-based activation motifs (ITAMs) located on each of the cytosolic tails of the heterodimers. ITAMs comprise two tyrosine residues separated by 9-12 amino acids (e.g., tyrosine, leucine, and/or valine). Upon binding of an antigen, the tyrosine of the BCR’s ITAMs become phosphorylated by Src-family tyrosine kinases Blk, Fyn, or Lyn (Janeway C et al., Immunobiology: The Immune System in Health and Disease (Garland Science, 5th ed. 2001)).
(4) Other Chimeric Proteins
[486] In addition to the chimeric proteins provided above, the circular RNA polynucleotide may encode for a various number of other chimeric proteins available in the art. The chimeric proteins may include recombinant fusion proteins, chimeric mutant protein, or other fusion proteins.
[487] In some embodiments, the circular RNA polynucleotide encodes for an immune modulatory ligand. In certain embodiments, the immune modulatory ligand may be immunostimulatory; while in other embodiments, the immune modulatory ligand may be immunosuppressive.
[488] In some embodiments, the circular RNA polynucleotide encodes for a cytokine. In some embodiments, the cytokine comprises a chemokine, interferon, interleukin, lymphokine, and tumor necrosis factor. Chemokines are chemotactic cytokine produced by a variety of cell types in acute and chronic inflammation that mobilizes and activates white blood cells. An interferon comprises a family of secreted a-helical cytokines induced in response to specific extracellular molecules through stimulation of TLRs (Borden, Molecular Basis of Cancer (Fourth Edition) 2015). Interleukins are cytokines expressed by leukocytes.
[489] Descriptions and/or amino acid sequences of IL-2, IL-7, IL-10, IL-12, IL-15, IL-18, IL- 2713, IFNy, and/or TGFpi are provided herein and at the www.uniprot.org database at accession
145
SUBSTITUTE SHEET (RULE 26) numbers: P60568 (IL-2), P29459 (IL-12A), P29460 (IL-12B), P13232 (IL-7), P22301 (IL-10), P40933 (IL-15), Q14116 (IL-18), Q14213 (IL-27P), P01579 (IFNy), and/or P01137 (TGFpi).
[490] In some embodiments, the circular RNA polynucleotide may encode for a transcription factor. Regulatory T cells (Treg) are important in maintaining homeostasis, controlling the magnitude and duration of the inflammatory response, and in preventing autoimmune and allergic responses.
[491] In general, Tregs are thought to be mainly involved in suppressing immune responses, functioning in part as a “self-check” for the immune system to prevent excessive reactions. In particular, Tregs are involved in maintaining tolerance to self-antigens, harmless agents such as pollen or food, and abrogating autoimmune disease.
[492] Tregs are found throughout the body including, without limitation, the gut, skin, lung, and liver. Additionally, Treg cells may also be found in certain compartments of the body that are not directly exposed to the external environment such as the spleen, lymph nodes, and even adipose tissue. Each of these Treg cell populations is known or suspected to have one or more unique features and additional information may be found in Lehtimaki and Lahesmaa, Regulatory T cells control immune responses through their non-redundant tissue specific features, 2013, FRONTIERS IN IMMUNOL., 4(294): 1-10, the disclosure of which is hereby incorporated in its entirety.
[493] Typically, Tregs are known to require TGF-P and IL-2 for proper activation and development. Tregs, expressing abundant amounts of the IL-2 receptor (IL-2R), are reliant on IL-2 produced by activated T cells. Tregs are known to produce both IL- 10 and TGF-J3, both potent immune suppressive cytokines. Additionally, Tregs are known to inhibit the ability of antigen presenting cells (APCs) to stimulate T cells. One proposed mechanism for APC inhibition is via CTLA-4, which is expressed by Foxp3+ Tregs. It is thought that CTLA-4 may bind to B7 molecules on APCs and either block these molecules or remove them by causing internalization resulting in reduced availability of B7 and an inability to provide adequate co-stimulation for immune responses. Additional discussion regarding the origin, differentiation and function of Tregs may be found in Dhamne et al. , Peripheral and thymic Foxp3+ regulatory T cells in search of origin, distinction, and function, 2013, Frontiers in Immunol., 4 (253): 1-11, the disclosure of which is hereby incorporated in its entirety.
[494] As provided herein, in certain embodiments, the coding element of the circular RNA polynucleotide encodes for one or more checkpoint inhibitors or agonists.
[495] In some embodiments, the immune checkpoint inhibitor is an inhibitor of Programmed Death-Ligand 1 (PD-L1, also known as B7-H1, CD274), Programmed Death 1 (PD-1), CTLA-4, PD- L2 (B7-DC, CD273), LAG3, TIM3, 2B4, A2aR, B7H1, B7H3, B7H4, BTLA, CD2, CD27, CD28, CD30, CD40, CD70, CD80, CD86, CD137, CD160, CD226, CD276, DR3, GAL9, GITR, HAVCR2, HVEM, IDO1, IDO2, ICOS (inducible T cell costimulator), KIR, LAIR1, LIGHT, MARCO (macrophage receptor with collageneous structure), PS (phosphatidylserine), OX-40, SLAM, TIGHT,
146
SUBSTITUTE SHEET (RULE 26) VISTA, VTCN1, or any combinations thereof. In some embodiments, the immune checkpoint inhibitor is an inhibitor of IDO1, CTLA4, PD-1, LAG3, PD-L1, TIM3, or combinations thereof. In some embodiments, the immune checkpoint inhibitor is an inhibitor of PD-L1. In some embodiments, the immune checkpoint inhibitor is an inhibitor of PD-1. In some embodiments, the immune checkpoint inhibitor is an inhibitor of CTLA-4. In some embodiments, the immune checkpoint inhibitor is an inhibitor of LAG3. In some embodiments, the immune checkpoint inhibitor is an inhibitor of TIM3. In some embodiments, the immune checkpoint inhibitor is an inhibitor of IDO 1.
[496] As described herein, at least in one aspect, the present disclosure encompasses the use of immune checkpoint antagonists. Such immune checkpoint antagonists include antagonists of immune checkpoint molecules such as Cytotoxic T-Lymphocyte Antigen 4 (CTLA-4), Programmed Cell Death Protein 1 (PD-1), Programmed Death-Ligand 1 (PDL-1), Lymphocyte- activation gene 3 (LAG-3), and T-cell immunoglobulin and mucin domain 3 (TIM-3). An antagonist of CTLA-4, PD-1, PDL-1, LAG-3, or TIM-3 interferes with CTLA-4, PD-1, PDL-1, LAG-3, or TIM-3 function, respectively. Such antagonists of CTLA-4, PD-1, PDL-1, LAG-3, and TIM-3 can include antibodies which specifically bind to CTLA-4, PD-1, PDL-1, LAG-3, and TIM-3, respectively and inhibit and/or block biological activity and function.
[497] In some embodiments, the payload encoded within one or more of the coding elements is a hormone, FC fusion protein, anticoagulant, blood clotting factor, protein associated with deficiencies and genetic disease, a chaperone protein, an antimicrobial protein, an enzyme (e.g., metabolic enzyme), a structural protein (e.g., a channel or nuclear pore protein), protein variant, small molecule, antibody, nanobody, an engineered non-body antibody, or a combination thereof.
4. THERAPEUTIC METHODS
[498] In certain aspects, provided herein is a method of treating and/or preventing a condition, e.g., an autoimmune disorder or cancer, comprising administering an effective amount of a pharmaceutical composition described herein comprising at least one lipid described herein. In some embodiments, the pharmaceutical composition comprises a transfer vehicle comprising an ionizable lipid described herein and a RNA polynucleotide, such as a circular RNA.
[499] In certain embodiments, the pharmaceutical compositions described herein are co-administered with one or more additional therapeutic agents (e.g., in the same pharmaceutical composition or in separate pharmaceutical compositions). In some embodiments, the pharmaceutical compositions provided herein can be administered first and the one or more additional therapeutic agents can be administered second, or vice versa. Alternatively, the pharmaceutical compositions provided herein and the one or more additional therapeutic agents can be administered simultaneously.
[500] In some embodiments, the subject is a mammal. In some embodiments, the mammal referred to herein can be any mammal, including, but not limited to, mammals of the order Rodentia, such as
147
SUBSTITUTE SHEET (RULE 26) mice and hamsters, or mammals of the order Logomorpha, such as rabbits. The mammals may be from the order Carnivora, including Felines (cats) and Canines (dogs). The mammals may be from the order Artiodactyla, including Bovines (cows) and Swines (pigs), or of the order Perssodactyla, including Equines (horses). The mammals may be of the order Primates, Ceboids, or Simoids (monkeys) or of the order Anthropoids (humans and apes). Preferably, the mammal is a human.
5. PRODUCTION OF POLYNUCLEOTIDES
[501] DNA templates can be made using standard techniques of molecular biology. For example, the various elements of the vectors provided herein can be obtained using recombinant methods, such as by screening cDNA and genomic libraries from cells, or by deriving the polynucleotides from a DNA template known to include the same.
[502] The various elements of the DNA template can also be produced synthetically, rather than cloned, based on the known sequences. The complete sequence can be assembled from overlapping oligonucleotides prepared by standard methods and assembled into the complete sequence. See, e.g., Edge, Nature (1981) 292:756; Nambair et al., Science (1984) 223 : 1299; and Jay et al., J. Biol. Chem. (1984) 259:631 1.
[503] Thus, particular nucleotide sequences can be obtained from DNA template harboring the desired sequences or synthesized completely, or in part, using various oligonucleotide synthesis techniques known in the art, such as site-directed mutagenesis and polymerase chain reaction (PCR) techniques where appropriate. One method of obtaining nucleotide sequences encoding the desired DNA template elements is by annealing complementary sets of overlapping synthetic oligonucleotides produced in a conventional, automated polynucleotide synthesizer, followed by ligation with an appropriate DNA ligase and amplification of the ligated nucleotide sequence via PCR. See, e.g., Jayaraman et al., Proc. Natl. Acad. Sci. USA (1991) 88:4084-4088. Additionally, oligonucleotide- directed synthesis (Jones et al., Nature (1986) 54:75-82), oligonucleotide directed mutagenesis of preexisting nucleotide regions (Riechmann et al., Nature (1988) 332:323-327 and Verhoeyen et al., Science (1988) 239: 1534-1536), and enzymatic filling-in of gapped oligonucleotides using T4 DNA polymerase (Queen et al., Proc. Natl. Acad. Sci. USA (1989) 86: 10029-10033) can be used.
[504] The precursor RNA can be generated by incubating a DNA template under conditions permissive of transcription of the precursor RNA encoded by the DNA template. For example, in some embodiments a precursor RNA is synthesized by incubating a DNA template provided herein that comprises an RNA polymerase promoter upstream of its 5’ duplex sequence and/or expression sequences with a compatible RNA polymerase enzyme under conditions permissive of in vitro transcription. In some embodiments, the DNA template is incubated inside of a cell by a bacteriophage RNA polymerase or in the nucleus of a cell by host RNA polymerase II.
148
SUBSTITUTE SHEET (RULE 26) EXAMPLES
[505] Wesselhoeft et al., (2019) RNA Circularization Diminishes Immunogenicity and Can Extend Translation Duration In vivo. Molecular Cell. 74(3), 508-520 and Wesselhoeft et al., (2018) Engineering circular RNA for Potent and Stable Translation in Eukaryotic Cells. Nature Communications. 9, 2629 are incorporated by reference in their entirety.
[506] The present disclosure further includes the following examples that provide those of ordinary skill in the art with a description of how to make and use the various embodiments of the present disclosure. These examples are not intended to limit the scope of what is regarded as the claimed invention.
EXAMPLE 1
Example 1.1 Synthesis of 3-pentyldecyl 6-hydroxy-7-((5-hydroxypentyl)(7-oxo-7-((3- pentyldecyl)oxy)heptyl)amino)heptanoate (1-a)
149
SUBSTITUTE SHEET (RULE 26)
EXAMPLE 1.2: Synthesis of tridecan-6-ol 2
1 2
[507] A solution of pentylmagnesium bromide (2.0 M in ether, 53 mL, 106.5 mmol) was cooled in an ice/water bath. A solution of 1 -octanal 1 (13 g, 101.3 mmol) in THF (200 mL) was added dropwise
150
SUBSTITUTE SHEET (RULE 26) and the resulting reaction mixture was stirred at room temperature overnight. The reaction was quenched with IN HC1 and diluted with methyl-t-butyl-ether (MTBE) (200 mL), and was washed with sat. NaHCOs (200 mL), water (200 mL), and brine (200 mL). The organic layer was dried over anhydrous Na2SC>4 and the solvent was evaporated. The crude residue was purified by flash chromatography (hexanes :EtO Ac 100:0-80:20) to yield tridecan-6-ol 2 as a clear oil (10.4 g, 51%).
[508]1H NMR (300 MHz, CDC13): 5 ppm 3.57 (bs, 1H), 1.44-1.11 (m, 21H), 0.88-0.85 (m, 6H).
Example 1.2 Synthesis of tridecan -6-one 3
[509] In a 500 mL round-bottom flask, to a mixture of tridecan-6-ol 2 ( 10.4 g, 51.9 mmol, 1 eq.) in CH2CI2 (500 mL) under N2 was added pyridinium chlorochromate (PCC) (22.4 g, 103.8 mmol, 2 eq) and silica gel (10 g). The orange slurry was stirred at room temperature until reaction was complete (TLC). The reaction mixture was filtered through a pad of celite, and the pad was washed with DCM (200 mL). The filtrate was washed with saturated aqueous NaHCOs (2 x 200 mL), H2O (2 x 200 mL), and brine (200 mL). The organic extract was dried (Na2SC>4), filtered, concentrated, and purified on silica gel by flash chromatography (hexanes :EtOAc 100:0-80:20) to yield tridecan-6-one 3 as a clear oil (8.4 g, 81%).
[510] ’H NMR (300 MHz, CDCh): 5 ppm 2.37 (t, J = 7.4 Hz, 4H), 1.61-1.44 (m, 4H), 1.41-1.12 (m, 12H), 0.87 (t, J = 6.8 Hz, 6H).
[5H] A IL round bottom flask was charged with NaH (60% in mineral oil) (36.3 g, 907.4 mmol, 6 eq.) and THE (800 mL) under N2 and cooled to 0 °C. Triethylphosphonoacetate (203.3 g, 907.4 mmol, 6 eq.) was added dropwise to the cooled solution and then stirred at room temperature for 1 h. 6- Tridecanone 3 (30 g, 151.2 mmol, 1 eq.) in THF (50 mL) was added dropwise to the orange reaction mixture and the solution was refluxed overnight. The reaction mixture was cooled to room temperature and diluted with H2O (500 mL). Ethyl acetate (700 mL) was added to the mixture and layers separated. The organic layer was washed with brine (500 mL), dried (MgSCfi). filtered, concentrated, and purified
151
SUBSTITUTE SHEET (RULE 26) on silica gel by flash chromatography (hexanes:EtOAc 100:0-95:5) to yield ethyl 3 -pentyldec-2 -enoate 4 as a clear oil (35 g, 86%).
[512] 'H NMR (300 MHz, CDC1
3): 5 ppm 5.60 (s, 1H), 4.16-4.09 (q, J = 6.9 Hz, 2H), 2.65-2.53 (m, 2H), 2.18-2.09 (m, 2H) 1.53-1.38 (m, 4H) 1.33-1.15 (m, 17H) 0.95-0.75 (m, 6H).
4 5
[513] Pd/C (10% carbon) (3 g) was added to a reaction vessel under N2. Ethyl 3-hexylundec-2- enoate 4 (20.7 g, 69.8 mmol, 1 eq.) and ethyl acetate (150 mL) was then added. The reaction mixture was degassed and backfilled with N2 (3x) and H2 (3x) and then the vessel was charged with 40 psi of H2. The reaction was shaken on a Parr hydrogenator at room temperature overnight. The reaction was degassed and backfilled with N2 (3x) and filtered through a pad of celite. The celite pad was washed with ethyl acetate (3 x 100 mL) and the filtrate was concentrated to yield ethyl 3-pentyldecanoate 5 as a clear oil (35 g, >99%).
[514] ’HNMR (300 MHz, CDCh): 5 ppm 4.10 (q, J = 7.1 Hz, 2H), 2.02 (d, J = 6.5 Hz, 2H), 1.90- 1.77 (m, 1H), 1.38-1.10 (broad s, 22H), 0.87 (t, J = 6.3 Hz, 6H).
Example 1.6 Synthesis of 3-pentyldecan-l-ol 6
5 6
[515] Ethyl 3-pentyldecanoate 5 (35 g, mmol, eq.) and THF (400 mL) was added to a round bottom flask under N2 and cooled to 0 °C. LiAlEL (2M in THF) (97 mL, mmol, 1.5 eq.) was dropwise added via addition funnel and then stirred at room temperature for 1 h. reaction mixture was cooled to 0 °C and diluted with Et2O (200 mL). Reaction was quenched via addition of H2O (7.37 mL), 15% NaOH (7.37 mL) and H2O (14.74 mL) sequentially. The mixture was stirred at room temperature for 15 min, dried (MgSCL). filtered, concentrated and purified on silica gel by flash chromatography (hexanes :EtO Ac 100:0-80:20) to yield 3-pentyldecan-l-ol 6 as a clear oil (26.3 g, 89%).
[516] ’H NMR (300 MHz, CDCh): 5 ppm 3.75-3.58 (m, 2H), 1.65-1.38 (m, J = 6.5 Hz, 3H), 1.37- 1.10 (broad s, 19H), 0.87 (t, J = 6.3 Hz, 6H).
152
SUBSTITUTE SHEET (RULE 26) Example 1.7 Synthesis of 3-pentyldecyl-7-bromo-heptanoate 7
[517] 2-Hexyldecan-l-ol 6 (8.0 g, 35.3 mmol, 1 eq.), 7-bromo-heptanoic acid 7 (11.0 g, 52.5 mmol, 1.5 eq.), and CH2Q2 (250 mL) was added to an IL round-bottom flask under N2. 4- Dimethylaminopyridine (DMAP) (855 mg, 7.0 mmol, 0.2 eq.), A'.A'-diisopropylcthylaminc (DIPEA) (36.3 mL, 140.0 mmol, 4 eq.), and l-Ethyl-3-(3-dimethylaminopropyl)carbodiimide (EDC) (10.1 g, 52.5 mmol, 1.5 eq.) were added to the solution sequentially. The reaction mixture was stirred at room temperature overnight. The reaction mixture was concentrated and then diluted with ethyl acetate (250 mL). The organic layer was washed with aqueous IN HC1 (100 mL), saturated aqueous NaHCCL (100 mL), H2O (100 mL), and brine (100 mL). The organic extract was dried (MgSCL), filtered, concentrated, and purified on silica gel by flash chromatography (hexanes :EtOAc 100:0-95:5) to yield 3-pentyldecyl- 7-bromo-heptanoate 5 as a clear oil (11.3 g, 77%).
[518] ’H NMR (300 MHz, CDCI3): 5 ppm 4.08 (t, J = 6.9 Hz, 2H), 3.40 (t, J = 6.6 Hz, 2H), 2.29 (t, J = 7.4 Hz, 2H), 1.92-1.78 (m, 2H), 1.69-1.52 (m, 4H), 1.50-1.05 (m, 24H), 0.88 (t, J = 6.3 Hz, 6H).
Example 1.8 Synthesis of 3-pentyldecyl-hept-6-enoate 8
6
8
[519] 3 -Pentyldecan- l-ol 6 (18.0 g, 78.8 mmol, 1 eq.), 6-heptenoic acid (15.2 g, 118.2 mmol, 1.5 eq.), and CH2Q2 (500 mL) was added to an IL round-bottom flask under N2. 4-Dimethylaminopyridine (DMAP) (1.9 g, 15.8 mmol, 0.2 eq.), A '-diisopropylcthyla inc (DIPEA) (81.7 mL, 315.2 mmol, 4 eq.), and l-Ethyl-3-(3-dimethylaminopropyl)carbodiimide (EDC) (22.7 g, 118.2 mmol, 1.5 eq.) were added to the solution sequentially. The reaction mixture was stirred at room temperature overnight. The reaction mixture was concentrated and then diluted with ethyl acetate (500 mL). The organic layer was washed with aqueous IN HC1 (300 mL), saturated aqueous NaHCCf (300 mL), H2O (300 mL), and brine. The organic extract was dried (MgSO ). filtered, concentrated, and purified on silica gel by flash chromatography (hexane s:EtO Ac 100:0-95:5) to yield 3-pentyldecyl-hept-6-enoate 8 as a clear oil (26.4 g, 99%)
153
SUBSTITUTE SHEET (RULE 26) [520] ’HNMR (300 MHz, CDC13): 5 ppm 5.86-5.70 (m, 1H), 5.06-4.92 (m, 2H), 4.08 (t, J = 7.1 Hz, 2H), 2.29 (t, J = 7.2 Hz, 2H), 2.06 (q, J = 7.1 Hz, 2H), 1.75-1.51 (m, 6H), 1.45-1.1 (m, 29H), 0.84 (t, J = 7.1 Hz, 6H).
Example 1.9 Synthesis of 3-pentyldecyl-6-(oxiran-2-yl)heptanoate 9
[521] 3-Pentyldecyl-hept-6-enoate 8 (26.4 g, 78.0 mmol, 1 eq) and CH2CI2 (500 mL) was added to a IL round-bottom flask and the solution was cooled to 0 °C. Meta-chloroperoxybenzoic acid (m- CPBA, <75%) (36.0 g, 156.0 mmol, 2 eq) was added to the reaction mixture in one portion at 0 °C. The reaction was left in ice bath to slowly warm to room temperature overnight. The white reaction mixture was filtered and the solid was washed with CH2Q2 (2 x 100 mL). The filtrate was diluted with CH2Q2 (300 mL) and washed with 10% Na2S20s (500 mL), H2O (500 mL), and brine (500 mL). The organic extract was dried (MgSCL). filtered, concentrated, and purified on silica gel by flash chromatography (hexanes :EtO Ac 100:0-80:20) to yield 3-pentyldecyl-6-(oxiran-2-yl)heptanoate 9 as a clear oil (23.8 g, 86%).
[522] ’H NMR (300 MHz, CDCh): 5 ppm 4.07 (t, J = 7.1 Hz, 2H), 2.94-2.83 (m, 1H), 2.78-2.73 (m, 1H), 2.49-2.45 (m, 1H), 2.31 (t, J = 7.4 Hz, 2H), 1.78-1.64 (m, 2H), 1.62-1.40 (m, 7H), 1.38-1.05 (broad s, 22H), 0.92-0.78 (m, 6H).
Example 1.10 Synthesis of 3-pentyldecyl 7-((3-hydroxypropyl)amino)heptanoate 10
[523] 3-Pentyldecyl-7-bromo-heptanoate 7 (11.28 g, 26.89 mmol, 1 eq.), 3 -amino- 1 -propanol (41.13 mL, 537.80 mmol, 20 eq.), and EtOH (250 mL) was added to a 1 L round-bottom flask and the reaction mixture was refluxed overnight. The solution was cooled to room temperature, concentrated, and then diluted with methyl -t-butyl -ether (MTBE) (250 mL). The organic layer was washed with saturated aqueous NaHC’CE (200 mL), H2O (200 mL), and brine (200 mL). The organic extract was dried (MgSO ). filtered, concentrated, and purified on silica gel by flash chromatography (CH2C12:MeOH:NH4OH 100:0:0-89:10: 1) to yield 3-pentyldecyl-7-((3-hydroxy-propyl)amino)- heptanoate 10 as a clear oil (6.8 g, 61%).
154
SUBSTITUTE SHEET (RULE 26) [524] 'HNMR (300 MHz, CDC13): 5 ppm 4.06 (t, J= 7.0 Hz, 2H), 3.81 (t, J= 5.1 Hz, 2H), 2.87 (t, J= 5.5 Hz, 2H), 2.59 (t, J= 7.1 Hz, 2H), 2.27 (t, J= 7.6 Hz, 2H), 1.75-1.1 (m, 40H), 0.87 (t, J= 6.6 Hz, 6H).
Example 1.11 Synthesis of 3-pentyldecyl 6-hydroxy-7-((3-hydroxypropyl)(7-oxo-7-((3- pentyldecyl)oxy)heptyl)amino)heptanoate 11
[525] 3-Pentyldecyl-7-((5-hydroxy-pentyl)amino)-heptanoate 10 (2.70 g, 6.11 mmol, 1 eq.), 3- pentyldecyl-6-(oxiran-2-yl)heptanoate 9 (2.81 g, 7.33 mmol, 1.2 eq.), and z-PrOH (50 mL) was added to a 250 mL round-bottom flask and the reaction mixture was refluxed overnight. The solution was cooled to room temperature, concentrated, and purified on silica gel by flash chromatography (hexanes :EtO Ac 100:0-0:100) to yield 3-pentyldecyl 6-hydroxy-7-((5-hydroxypentyl)(7-oxo-7-((3- pentyldecyl)oxy)-heptyl)amino)heptanoate 11 as a colorless oil (2.48 g, 51%).
Example 1.12 Synthesis of 3-pentyldecyl 6-hydroxy-7-((3-((4- methoxyphenyl)diphenylmethoxy)propyl)(7-oxo-7-((3-pentyldecyl)oxy)heptyl)amino)heptanoate 12
SUBSTITUTE SHEET (RULE 26) [526] 3-pentyldecyl 6-hydroxy-7-((5-hydroxypentyl)(7-oxo-7-((3-pentyldecyl)oxy)- heptyl)amino)heptanoate 11 (5.5 g, 1 eq.), mmTrCl (1.2 eq.), TBAI (0.3 eq.), DIPEA (3 eq.) and DCM were added to a flask and reacted. The yield was 3-pentyldecyl 6-hydroxy-7-((3-((4- methoxyphenyl)diphenylmethoxy)propyl)(7-oxo-7-((3-pentyldecyl)oxy)heptyl)amino)heptanoate 12 (7.0 g, 94%)
Example 1.13 Synthesis of 3-pentyldecyl 6-((tert-butyldimethylsilyl)oxy)-7-((3-((4- methoxyphenyl)diphenylmethoxy)propyl)(7-oxo-7-((3-pentyldecyl)oxy)heptyl)amino)heptanoate 13
[527] 3 -pentyldecyl 6-hydroxy-7 -((3 -((4-methoxyphenyl)diphenylmethoxy)propyl)(7 -oxo-7 -
((3-pentyldecyl)oxy)heptyl)amino)heptanoate 12 (7.0 g, 1 eq.), TBSCI (3 eq.), imidazole (6 eq.), DMAP (0.2 eq.) and DCM/DMF (1: 1) were added to a flask and heated at 70 °C. The yield was 3-pentyldecyl 6-((tert-butyldimethylsilyl)oxy)-7-((3-((4-methoxyphenyl)diphenyhnethoxy)propyl)(7-oxo-7-((3- pentyldecyl)oxy)heptyl)amino)heptanoate 13 (6.6 g, 85%).
156
SUBSTITUTE SHEET (RULE 26) Example 1.14 Synthesis of 3-pentyldecyl 6-((tert-butyldimethylsilyl)oxy)-7-((3-hydroxypropyl)(7- oxo-7-((3-pentyldecyl)oxy)heptyl)amino)heptanoate 14
[528] 3-pentyldecyl 6-((tert-butyldimethylsilyl)oxy)-7-((3-((4- methoxyphenyl)diphenylmethoxy)propyl)(7-oxo-7-((3-pentyldecyl)oxy)heptyl)amino)heptanoate 13 (6.6 g, 1 eq.), -TSOH*H2O (1.3 eq.), and MeOH/DCM (1: 1) were added to a flask and reacted. The yield was 3-pentyldecyl 6-((tert-butyldimethylsilyl)oxy)-7-((3-hydroxypropyl)(7-oxo-7-((3- pentyldecyl)oxy)heptyl)amino)heptanoate 14 (3.84 g, 76%).
Example 1.15 Synthesis of 3-pentyldecyl 7-((3-(lH-imidazol-l-yl)propyl)(7-oxo-7-((3- pentyldecyl)oxy)heptyl)amino)-6-((tert-butyldimethylsilyl)oxy)heptanoate 15
[529] 3 -pentyldecyl 6-((tert-butyldimethylsilyl)oxy)-7-((3 -hydroxypropyl)(7-oxo-7-((3 - pentyldecyl)oxy)heptyl)amino)heptanoate 14 (3.84 g, 1 eq.), MsCI (1.2 eq.), NEts (2.5 eq.) and DCM were added to a flask and reacted. Then, 20 eq. of imidazole was added in z-PrOH and reacted at 90 °C.
157
SUBSTITUTE SHEET (RULE 26) Reverse phase purification was performed using 0.1% TFA in CH3CN/H2O. The yield was 3- pentyldecyl 7-((3-(lH-imidazol-l-yl)propyl)(7-oxo-7-((3-pentyldecyl)oxy)heptyl)amino)-6-((tert- butyldimethylsilyl)oxy)heptanoate 15 (3.6 g, 71%, TFA salt).
Example 1.16 Synthesis of 3-pentyldecyl 7-((3-(lH-imidazol-l-yl)propyl)(7-oxo-7-((3- pentyldecyl)oxy)heptyl)amino)-6-hydroxyheptanoate (1-a)
[530] 3-pentyldecyl 7-((3-(lH-imidazol-l-yl)propyl)(7-oxo-7-((3- pentyldecyl)oxy)heptyl)amino)-6-((tert-butyldimethylsilyl)oxy)heptanoate 14 (3.6 g, 1 eq ), HF*Pyr (70%) (20 eq.), Pyr (20 eq.) and THF were added to a flask and reacted. The yield was 3-pentyldecyl 7-((3-(lH-imidazol-l-yl)propyl)(7-oxo-7-((3-pentyldecyl)oxy)heptyl)amino)-6-hydroxyheptanoate (1- a) (1.03 g, 99% via UPLC-CAD). The structure was confirmed by NMR and mass spec.
[531] An alternative synthesis of 3-pentyldecyl 7-((3-(lH-imidazol-l-yl)propyl)(7-oxo-7-((3- pentyldecyl)oxy)heptyl)amino)-6-hydroxyheptanoate (Lipid 1-a) is provided below.
158
SUBSTITUTE SHEET (RULE 26)
Example 1.2.1: Synthesis of tridecan-6-ol 2
1 2
[531] A solution of pentylmagnesium bromide (2.0 M in ether, 53 mL, 106.5 mmol) was cooled in an ice/water bath. A solution of 1-octanal 1 (13 g, 101.3 mmol) in THF (200 mL) was added dropwise and the resulting reaction mixture was stirred at room temperature overnight. The reaction was
159
SUBSTITUTE SHEET (RULE 26) quenched with IN HC1 and diluted with methyl-t-butyl-ether (MTBE) (200 mL) and was washed with sat. NaHCOs (200 mL), water (200 mL), and brine (200 mL). The organic layer was dried over anhydrous Na2SC>4 and the solvent evaporated. The crude residue was purified by flash chromatography (hexanes :EtO Ac 100:0-80:20) to yield tridecan-6-ol 2 as a clear oil (10.4 g, 51%).
[532] ’H NMR (300 MHz, CDCh): 8 ppm 3.57 (bs, 1H), 1.44-1.11 (m, 21H), 0.88-0.85 (m, 6H).
Example 1.2.2: Synthesis of tridecan-6-one 3
[533] In a 500 mL round-botom flask, to a mixture of tridecan-6-ol 2 ( 10.4 g, 51.9 mmol, 1 eq.) in CH2CI2 (500 mL) under N2 was added pyridinium chlorochromate (PCC) (22.4 g, 103.8 mmol, 2 eq) and silica gel (10 g). The orange slurry was stirred at room temperature until the reaction was complete (TLC). The reaction mixture was filtered through a pad of celite, and the pad was washed with DCM (200 mL). The filtrate was washed with saturated aqueous NaHCCf (2 x 200 mL), H2O (2 x 200 mL), and brine (200 mL). The organic extract was dried (Na2SO4), filtered, concentrated, and purified on silica gel by flash chromatography (hexanes :EtO Ac 100:0-80:20) to yield tridecan-6-one 3 as a clear oil (8.4 g, 81%).
[534] ’H NMR (300 MHz, CDCk): <5 ppm 2.37 (t, J = 7.4 Hz, 4H), 1.61-1.44 (m, 4H), 1.41-1.12 (m, 12H), 0.87 (t, J = 6.8 Hz, 6H).
Example 1.2.3: ethyl (E)-3-pentyldec-2-enoate
[535] A IL round botom flask was charged with NaH (60% in mineral oil) (36.3 g, 907.4 mmol, 6 eq.) and THF (800 mL) under N2 and cooled to 0 °C. Triethylphosphonoacetate (203.3 g, 907.4 mmol, 6 eq.) was added dropwise to the cooled solution and then stirred at room temperature for 1 hour. Tridecan-6-one 3 (30 g, 151.2 mmol, 1 eq.) in THF (50 mL) was added dropwise to the orange reaction mixture and the solution was refluxed overnight. The reaction mixture was cooled to room temperature and diluted with H2O (500 mL). Ethyl acetate (700 mL) was added to the mixture and layers separated. The organic layer was washed with brine (500 mL), dried (MgSCL), filtered,
SUBSTITUTE SHEET (RULE 26) concentrated, and purified on silica gel by flash chromatography (hexanes:EtOAc 100:0-95:5) to yield ethyl 3-pentyldec-2-enoate 4 as a clear oil (35 g, 86%)
[536] ’H NMR (300 MHz, CDC13): <5 ppm 5.60 (s, 1H), 4.16-4.09 (q, J= 6.9 Hz, 2H), 2.65-2.53 (m, 2H), 2.18-2.09 (m, 2H) 1.53-1.38 (m, 4H) 1.33-1.15 (m, 17H) 0.95-0.75 (m, 6H).
Example 1.2.4: Synthesis of Ethyl 3-pentyldecanoate 5
[537] Pd/C (10% carbon) (3 g) was added to a reaction vessel under N2. Ethyl 3 -pentyldec-2 -enoate 4 (20.7 g, 69.8 mmol, 1 eq.) and ethyl acetate (150 mL) was then added. The reaction mixture was degassed and backfilled with N2 (3x) and H2 (3x) and then the vessel was charged with 40 psi of H2. The reaction was shaken on a Parr hydrogenator at room temperature overnight. The reaction was degassed and backfdled with N2 (3x) and fdtered through a pad of celite. The celite pad was washed with ethyl acetate (3 x 100 mL) and the fdtrate was concentrated to yield ethyl 3-pentyldecanoate 5 as a clear oil (35 g, >99%)
[538] ’H NMR (300 MHz, CDCI3): 6 ppm 4.10 (q, J= 7.1 Hz, 2H), 2.02 (d, J= 6.5 Hz, 2H), 1.90- 1.77 (m, 1H), 1.38-1.10 (broad s, 22H), 0.87 (t, J= 6.3 Hz, 6H).
Example 1.2.5: Synthesis of 3-pentyldecan-l-ol 6
[539] Ethyl 3-pentyldecanoate 5 (35 g, mmol, eq.) and THF (400 mL) was added to a round bottom flask under N2 and cooled to 0 °C. LiAlH4 (2M in THF) (97 mL, mmol, 1.5 eq.) was dropwise added via addition funnel and then stirred at room temperature for 1 hour, reaction mixture was cooled to 0 °C and diluted with Et2O (200 mL). Reaction was quenched via addition of H2O (7.37 mL), 15% NaOH (7.37 mL) and H2O (14.74 mL) sequentially. The mixture was stirred at room temperature for 15 min, dried (MgSCL), fdtered, concentrated and purified on silica gel by flash chromatography (hexanes :EtO Ac 100:0-80:20) to yield 3-pentyldecan-l-ol 6 as a clear oil (26.3 g, 89%)
[540] ’H NMR (300 MHz, CDCh): 8 ppm 3.75-3.58 (m, 2H), 1.65-1.38 (m, J= 6.5 Hz, 3H), 1.37- 1.10 (broad s, 19H), 0.87 (t, J= 6.3 Hz, 6H).
Example 1.2.6: 3-Pentyldecyl-7-hromo-heptanoate 7
SUBSTITUTE SHEET (RULE 26)
[541] 3 -pentyldecan- l-ol 6 (8.0 g, 35.3 mmol, 1 eq.), 7-bromo-heptanoic acid (11.0 g, 52.5 mmol,
1.5 eq.), and CH2CI2 (250 mL) was added to an IL round-bottom flask under N2. 4- Dimethylaminopyridine (DMAP) (855 mg, 7.0 mmol, 0.2 eq.), N, '-diisopropylcthylaminc (DIPEA) (36.3 mL, 140.0 mmol, 4 eq.), and l-Ethyl-3-(3-dimethylaminopropyl)carbodiimide (EDC) (10.1 g,
52.5 mmol, 1.5 eq.) were added to the solution sequentially. The reaction mixture was stirred at room temperature overnight. The reaction mixture was concentrated and then diluted with ethyl acetate (250 mL). The organic layer was washed with aqueous IN HC1 (100 mL), saturated aqueous NaHCOs (100 mL), H2O (100 mL), and brine (100 mL). The organic extract was dried (MgSCL), filtered, concentrated, and purified on silica gel by flash chromatography (hexanes:EtOAc 100:0-95:5) to yield 3-pentyldecyl-7-bromo-heptanoate 7 as a clear oil (11.3 g, 77%).
[542] ’H NMR (300 MHz, CDC13): 8 ppm 4.08 (t, J= 6.9 Hz, 2H), 3.40 (t, J= 6.6 Hz, 2H), 2.29 (t, J = 7.4 Hz, 2H), 1.92-1.78 (m, 2H), 1.69-1.52 (m, 4H), 1.50-1.05 (m, 24H), 0.88 (t, J = 6.3 Hz, 6H).
Example 1.2. 7: Synthesis of 3-pentyldecyl-hept-6-enoate 8
[543] 3 -Pentyldecan- l-ol 6 (18.0 g, 78.8 mmol, 1 eq.), 6-heptenoic acid (15.2 g, 118.2 mmol, 1.5 eq.), and CH2Q2 (500 mL) was added to an IL round-bottom flask under N2. 4- Dimethylaminopyridine (DMAP) (1.9 g, 15.8 mmol, 0.2 eq.), 'A'-diisopropylcthylaminc (DIPEA) (81.7 mL, 315.2 mmol, 4 eq.), and l-Ethyl-3-(3-dimethylaminopropyl)carbodiimide (EDC) (22.7 g, 118.2 mmol, 1.5 eq.) were added to the solution sequentially. The reaction mixture was stirred at room temperature overnight. The reaction mixture was concentrated and then diluted with ethyl acetate (500 mL). The organic layer was washed with aqueous IN HC1 (300 mL), saturated aqueous NaHCOs (300 mL), H2O (300 mL), and brine. The organic extract was dried (MgSCL), filtered, concentrated, and purified on silica gel by flash chromatography (hexanes:EtOAc 100:0-95:5) to yield 3-pentyldecyl-hept-6-enoate 8 as a clear oil (26.4 g, 99%)
[544] ’H NMR (300 MHz, CDCh): 8 ppm 5.86-5.70 (m, 1H), 5.06-4.92 (m, 2H), 4.08 (t, J = 7.1 Hz, 2H), 2.29 (t, J = 7.2 Hz, 2H), 2.06 (q, J= 7.1 Hz, 2H), 1.75-1.51 (m, 6H), 1.45-1.1 (m, 29H), 0.84 (t, J = 7.1 Hz, 6H).
162
SUBSTITUTE SHEET (RULE 26)
[545] 3-Pentyldecyl-hept-6-enoate 8 (26.4 g, 78.0 mmol, 1 eq) and CH2CI2 (500 mL) was added to a IL round-bottom flask and the solution was cooled to 0 °C. Meta-chloroperoxybenzoic acid (m- CPBA, <75%) (36.0 g, 156.0 mmol, 2 eq) was added to the reaction mixture in one portion at 0 °C. The reaction was left in ice bath to slowly warm to room temperature overnight. The white reaction mixture was filtered and the solid was washed with CH2CI2 (2 x 100 mL). The filtrate was diluted with CH2CI2 (300 mL) and washed with 10%Na2S2C>3 (500 mL), H2O (500 mL), and brine (500 mL). The organic extract was dried (MgSCfi), filtered, concentrated, and purified on silica gel by flash chromatography (hexanes :EtO Ac 100:0-80:20) to yield 3-pentyldecyl-6-(oxiran-2-yl)heptanoate 9 as a clear oil (23.8 g, 86%)
[546] ’HNMR (300 MHz, CDC13): 8 ppm 4.07 (t, J= 7.1 Hz, 2H), 2.94-2.83 (m, 1H), 2.78-2.73 (m, 1H), 2.49-2.45 (m, 1H), 2.31 (t, J= 7.4 Hz, 2H), 1.78-1.64 (m, 2H), 1.62-1.40 (m, 7H), 1.38-1.05 (broad s, 22H), 0.92-0.78 (m, 6H).
Example 1.2.9: 3-pentyldecyl 7-((3-hydroxypropyl)amino)heptanoate 10
[547] 3-Pentyldecyl-7-bromo-heptanoate 7 (11.28 g, 26.89 mmol, 1 eq.), 3-amino-l -propanol (41.13 mL, 537.80 mmol, 20 eq.), and EtOH (250 mL) was added to a 1 L round-bottom flask and the reaction mixture was refluxed overnight. The reaction mixture was cooled to room temperature, concentrated, and then diluted with methyl -/-butyl -ether (MTBE) (250 mL). The organic layer was washed with saturated aqueous NaHCOs (200 mL), H2O (200 mL), and brine (200 mL). The organic extract was dried (MgSOfl. filtered, concentrated, and purified on silica gel by flash chromatography (CH2C12:MeOH:NH4OH 100:0:0-89: 10: 1) to yield 3-pentyldecyl-7-(3-hydroxy-propyl)amino)- heptanoate 10 as a clear oil (6.8 g, 61%).
[548] ’HNMR (300 MHz, CDCh): 8 ppm 4.06 (t, J= 7.0 Hz, 2H), 3.81 (t, J= 5.1 Hz, 2H), 2.87 (t, J= 5.5 Hz, 2H), 2.59 (t, J= 7.1 Hz, 2H), 2.27 (t, J= 7.6 Hz, 2H), 1.75-1.1 (m, 40H), 0.87 (t, J= 6.6 Hz, 6H).
Example 1.2.10: Synthesis of 3-pentyldecyl 6-hydroxy-7-((3-hydroxy-propyl)(7-oxo-7-((3- pentyldecyl)oxy)heptyl)amino)heptanoate 11
SUBSTITUTE SHEET (RULE 26)
[549] 3-Pentyldecyl-7-((3-hydroxy-propyl)amino)-heptanoate 10 (6.80 g, 16.44 mmol, 1 eq.), 3- pentyldecyl-6-(oxiran-2-yl)heptanoate 9 (7.00 g, 19.73 mmol, 1.2 eq.), and z-PrOH (100 mL) was added to a 250 mL round-bottom flask and the reaction mixture was refluxed overnight. The solution was cooled to room temperature, concentrated, and purified on silica gel by flash chromatography (hexanes :EtO Ac 100:0-0: 100) to yield 3-pentyldecyl 6-hydroxy-7-((3-hydroxy-propyl)(7-oxo-7-((3- pentyldecyl)oxy)-heptyl)amino)heptanoate 11 as a colorless oil (6.5 g, 51%).
[550] ’HNMR (300 MHz, CDC13): 8 ppm 4.07 (d, J= 6.9 Hz, 4H), 3.75 (t, J= 5.5 Hz, 2H), 3.71- 3.60 (m, 1H), 3.45-3.27 (m, 1H), 2.78-2.66 (m, 1H), 2.57-2.47 (m, 2H), 2.40-2.12 (m, 7H), 1.81-1.52 (m, 12H), 1.50-1.03 (m, 54H), 0.87 (t, J = 5.8 Hz, 12H). MS (APCI+): 768.7 (M+l).
Example 1.2.11: Synthesis of 3-pentyldecyl 6-hydroxy-7-((3-((4- methoxyphenyl)diphenylmethoxy)propyl)(7-oxo-7-((3-pentyldecyl)oxy)heptyl)amino)heptanoate 12
[551] A. A-Diisopropylcthylaminc (3.74 mL, 21.38 mmol, 3eq.), tetra-A-butylammonium iodide
(TBAI) (793.4 mg, 2.15 mmol, 0.3 eq.), 3-pentyldecyl 6-hydroxy-7-((3-hydroxy-propyl)(7-oxo-7-((3- pentyldecyl)oxy)heptyl)amino)heptanoate 11 (5.50 g, 7.16 mmol, 1 eq.) and DCM (100 mL) were
164
SUBSTITUTE SHEET (RULE 26) added to a 250 mL round-bottom flask under N2. 4-Methoxytriphenylmethyl chloride (mMTrCl) (2.65 g, 8.6 mmol, 1.2 eq.) was added to the solution and stirred overnight at room temperature. The reaction mixture was diluted with dichloromethane (200 mL) and washed with saturated aqueous NaHCOs (200 mL) and brine (200 mL). Organic extract was dried (MgSO4), filtered, concentrated, and purified by flash chromatography (hexanes :EtO Ac 100:0-0: 100) to afford 3-pentyldecyl 6- hydroxy-7 -((3 -((4-methoxyphenyl)diphenylmethoxy)propyl)(7 -oxo-7-((3 - pentyldecyl)oxy)heptyl)amino)heptanoate 12 as a pale orange oil (7.00 g, 94 %).
[552] ’H NMR (300 MHz, CDC13): 3 ppm 7.45-7.39 (m, 2H), 7.35-7.12 (m, 12H), 6.87-6.79 (m, 2H), 4.16-4.02 (m, 6H), 3.79 (s, 3H), 3.58-3.44 (m, 1H), 3.10-3.01 (m, 1H), 2.50-2.40 (m, 1H), 2.38- 2.15 (m, 5H), 1.7-1.48 (m, 9H), 1.45-1.1 (m, 54H), 0.95-0.75 (m, 12H).
Example 1.2.12: Synthesis of 3-pentyldecyl 6-((tert-butyldimethylsilyl)oxy)-7-((3-((4- methoxyphenyl)-diphenylmethoxy)propyl)(7-oxo-7-((3-pentyldecyl)oxy)heptyl)amino)heptanoate 13
[553] To a solution of 3-pentyldecyl 6-hydroxy-7-((3-((4- methoxyphenyl)diphenylmethoxy)propyl)(7-oxo-7-((3-pentyldecyl)oxy)heptyl)amino)heptanoate 12 (7.0 g, 6.72 mmol, 1 eq.), imidazole (2.75 g, 40.36 mmol, 6 eq.) and 4-(dimethylamino)pyridine (DMAP) (164 mg, 1.35 mmol, 0.2 eq.) in DMF:DCM (1: 1, 100 mL), was added tertbutyldimethylsilyl chloride (3.04 g, 20.18 mmol, 3 eq.) at room temperature. The reaction mixture was stirred at 70 °C overnight. The reaction mixture was concentrated, and the crude residue was partitioned between ethyl acetate (300 mL) and H2O (100 mL). The organic layer was washed with H2O (100 mL) and brine (100 mL), dried (MgSCL), fdtered, concentrated, and purified by flash chromatography (hexanes :EtO Ac 100:0-80:20) to afford 3-pentyldecyl 6-((tert- butyldimethylsilyl)oxy)-7 -((3 -((4-methoxyphenyl)-diphenylmethoxy)propyl) (7 -oxo-7-((3 - pentyldecyl)oxy)heptyl)amino)heptanoate 13 as a pale orange oil (6.6 g, 85%).
SUBSTITUTE SHEET (RULE 26) [554] ’HNMR (300 MHz, CDC13): b ppm 7.45-7.35 (m, 4H), 7.35-7.15 (m, 10H), 6.85-6.78 (m, 2H), 4.15-4.10 (m, 4H), 3.78 (s, 3H), 3.75-3.54 (m, 1H), 3.04 (t, J= 6.1 Hz, 2H), 2.58-2.20 (m, 12H), 1.80-1.08 (m, 58H), 0.9-0.7 (m, 21H), 0.02 (s, 6H).
Example 1.2.13: Synthesis of 3-pentyldecyl 6-((tert-butyldimethylsilyl)oxy)-7-((3-hydroxypropyl)(7- oxo-7-((3-pentyldecyl)oxy)heptyl)amin)heptanoate 14
[555] 3-pentyldecyl 6-((tert-butyldimethylsilyl)oxy)-7-((3-((4-methoxyphenyl)-diphenylmethoxy)- propyl)(7-oxo-7-((3-pentyldecyl)oxy)heptyl)amino)heptanoate 13 (6.6 g, 5.71 mmol, 1 eq.) was dissolved in DCM:MeOH (1: 1, 100 mL). /'’-toluene sulfonic acid monohydrate (1.41 g, 7.43 mmol, 1.3 eq.) was added and stirred overnight. The reaction mixture concentrated and redissolved in EtOAc (200 mL). The organic layer was washed with saturated aqueous NaHC’CL (200 mL), H2O (200 mL), and Brine (200 mL). The organic layer was dried over Na2SO4 and concentrated under reduced pressure to get crude product, which was purified by flash chromatography (hexanes: EtOAc 100:0- 80:20) to afford 3-pentyldecyl 6-((tert-butyldimethylsilyl)oxy)-7-((3-hydroxypropyl)(7-oxo-7-((3- pentyldecyl)oxy)heptyl)amin)heptanoate 14 as a colorless oil (3.84 g, 76%).
[556] ’HNMR (300 MHz, CDCh): 8 ppm 4.15-4.10 (m, 4H), 3.80-3.65 (m, 3H), 2.69-2.58 (m, 2H), 2.58-2.20 (m, 12H), 1.80-1.08 (m, 58H), 0.91-0.73 (m, 21H), 0.02 (s, 6H).
Example 1.2.14: Synthesis of 3-pentyldecyl 7-((3-(lH-imidazol-l-yl)propyl)(7-oxo-7-((3- pentyldecyl)oxy)heptyl)amino)-6-( (tert-butyldimethylsilyl)oxy)heptanoate 15
166
SUBSTITUTE SHEET (RULE 26)
[557] 3 -Pentyldecyl 6-((tert-butyldimethylsilyl)oxy)-7-((3-hydroxypropyl)(7-oxo-7-((3- pentyldecyl)-oxy)heptyl)amin)heptanoate 14 (3.84 g, 4.35 mmol, leq.), triethylamine (1.52 mL, 10.88 mmol, 2.5 eq.), and anhydrous CH2CI2 (100 mL) was added to a 250 mL round bottom flask under N2. Methanesulfonyl chloride (0.41 mL, 5.22 mmol, 1.2 eq.) was added and stirred at room temperature for 3 hours. The reaction mixture was diluted with CH2Q2 (100 mL) and was washed with water (100 mL) and brine (100 mL). The organic layer was dried (MgSCL) filtered and concentrated. The crude mesylate was dissolved in z-PrOH (100 mL) and imidazole (5.92 g, 87.02 mmol, 20 eq.) was added. The solution was refluxed overnight. The solvent was evaporated, and the residue was dissolved in CH2CI2 (200 mL), washed with water (3x150 mL) and brine (150 mL). The organic layer was dried (MgSCL), filtered, concentrated, and purified by reverse-phase flash chromatography (H2O(0.1%TFA)-CH3CN (0.1%TFA)) to afford 3-pentyldecyl 7-((3-(lH-imidazol-l-yl)propyl)(7- oxo-7-((3-pentyldecyl)oxy)heptyl)amino)-6-((tert-butyldimethylsilyl)-oxy)heptanoate 15 as a colorless oil (3.6 g, 71%)
[558] ’H NMR (300 MHz, CDCh): 8 ppm 9. 1 (s, 1H), 7.48-7.38 (m, 2H), 4.44-4.30 (m, 2H), 4.20- 3.95 (m, 5H), 3.40-3.0 (m, 6H), 2.5-2.35 (m, 2H), 2.28 (t, J= 7.4 Hz, 4H),1.7-1.0 (m, 58H), 0.95-0.70 (m, 21H), 0.15-0.05 (m, 6H).
Example 1.2.15: Synthesis of 3-pentyldecyl 7-((3-(lH-imidazol-l-yl)propyl)(7-oxo-7-((3- pentyldecyl)oxy)-heptyl)amino)-6-hydroxyheptanoate (Lipid 1-a)
167
SUBSTITUTE SHEET (RULE 26)
Lipid 1-a
[559] To a solution of 3 -pentyldecyl 7-((3-(lH-imidazol-l-yl)propyl)(7-oxo-7-((3- pentyldecyl)oxy)-heptyl)amino)-6-((tert-butyldimethylsilyl)oxy)heptanoate 15 (3.6 g, 3.8 mmol) in anhydrous THF (30 mL) in a Teflon round-bottom flask was added hydrogen fluoride pyridine (70%) (10 mL) while ice cooling. The reaction mixture was warmed to room temperature and was stirred overnight. The solution was slowly added into an Erlenmeyer flask of saturated aqueous NaHCOs (250 mL). The mixture was extracted with DCM (100 mL) and the organic extract was washed with H2O (100 mL), and brine (100 mL). The organic layer was dried (MgSCh). filtered, concentrated and purified by flash chromatography (DCM:MeOH 100:0-90: 10) to afford 3-pentyldecyl 7-((3-(lH- imidazol-l-yl)propyl)(7-oxo-7-((3-pentyldecyl)oxy)heptyl)amino)-6-hydroxyheptanoate Lipid 1-a as a colorless oil (1.03 g, 33%).
[560] ’H NMR (300 MHz, CDCk): 8 ppm 7.46 (s, 1H), 7.06 (s, 1H), 6.91 (s, 1H), 4.07 (t, J= 7.1 Hz, 4H), 4.20-3.88 (m, 2H), 3.58-3.35 (m, 2H), 2.55-2.44 (m, 2H), 2.42-2.18 (m, 8H), 1.98-1.87 (m, 2H), 1.75-1.50 (m, 8H), 1.45-1.08 (broad s, 56H), 0.95-0.75 (m, 12H).
EXAMPLE 2
Production of lipid nanoparticle compositions and characterization
[532] LNPs were prepared by combining an ionizable lipid, a helper lipid (DSPC), a PEG lipid (1,2-dimyristoyl-sn-glycerol methoxypolyethylene glycol, also known as PEG-DMG, obtainable from Avanti Polar Lipids, Alabaster, AL), and a structural lipid (cholesterol) at concentrations of about, e.g., 40 or 50 mM in a solvent, e.g., ethanol. The LNPs were formulated with either Comparative Lipid 1 or Lipid 1-a. LNPs were formulated with circular RNA encoding firefly luciferase at an ionizable lipid to phosphate ratio (IL:P) of 5.7 and an ionizable lipid: helper lipid (DSPC): cholesterol: PEG-lipid (DMG- PEG (2000)) ratio of 50:0:38.5: 1.5.
168
SUBSTITUTE SHEET (RULE 26) [533] Nanoparticles can be made in a 1 fluid stream or with mixing processes such as microfluidics and T-junction mixing of two fluid streams, one of which contains the circular RNA and the other has the lipid components.
[534] Solutions should be refrigerated for storage. Lipids are diluted with ethanol (optionally in combination with water) to a final lipid concentration of e.g., between about 10 mM and 200 mM.
[535] A Zetasizer Nano ZS (Malvern Instruments Ltd, Malvern, Worcestershire, UK) was used to determine the particle size, the polydispersity index (PDI), and zeta potential of the nanoparticle compositions in I xPBS in determining particle size and 0.1X PBS in determining zeta potential. A cuvette with 1 mL of 20 pg/mL LNPs in PBS (pH 7.4) was measured for Z-average using the Malvern Panalytical Zetasizer Pro. The Z-average and polydispersity index were recorded. LNP sizes were determined by dynamic light scattering.
[536] For transfer vehicle compositions including RNA, a QUANT-IT™ RIBOGREEN® RNA assay (Invitrogen Corporation Carlsbad, CA) was used to evaluate the encapsulation of RNA by the transfer vehicle composition. Nanoparticle solutions were diluted in tris-ethylenediaminetetraacetic acid (TE) buffer at a theoretical circRNA concentration of 2 pg/mL. Standard circRNA solutions diluted in TE buffer were made ranging from 2 pg/mL to 0.125 pg/mL. The particles and standards were plated in a black 96-well plate with both TE buffer and 4% Triton-X separately (Triton-X was used as a surfactant to lyse the nanoparticles). After an incubation (37 °C at 350 rpm for 15 minutes), Quant-iT™ RiboGreen™ RNA reagent was added to all wells and a second incubation was performed (37 °C at 350 rpm for 3 minutes). Fluorescence was measured using a SPECTRAmax® GEMINI XS microplate spectrofluorometer (Molecular Devices Corporation Sunnyvale, CA). The concentration of circRNA in each particle solution was calculated using the standard curve. The encapsulation efficiency was calculated from the ratio of circRNA detected between lysed and unlysed particles.
169
SUBSTITUTE SHEET (RULE 26)
EXAMPLE 3
Mouse splenic protein expression post-treatment of LNP-circular RNAs encoding for firefly luciferase
[537] C57BL/6 mice (female, 6-8 weeks, n = 4 per group) were injected intravenously with 0.5 mg/kg circular RNA encoding for firefly luciferase encapsulated in the LNPs. The LNPs were formulated with different ionizable lipids formulated as described Example 2, or control. After 6 hr, mice were injected intraperitoneally with D-luciferin (200 pL at 15 mg/mL). After 10 minutes, mice were euthanized and their spleens were collected. Whole tissue luminescence was measured ex vivo using an IVIS Spectrum In Vivo Imaging system (PerkinElmer) and total flux was quantified using Living Image® software (PerkinElmer).
[538] As shown in FIG. 1, the LNP-circular RNA constructs expressed firefly luciferase in the spleen.
EXAMPLE 4
Lipid expression in organs post in vitro administration of circular RNA-LNP constructs
[539] Circular RNAs were designed to encode firefly luciferase and diluted in lOmM sodium acetate buffer to reach a final mass of 800 pg. Lipid nanoparticles (LNPs) were formed from dissolving lipid (1-a) and (1-e) from Table 1 in an ethanol solution with a molar ratio of 10% DSPC / 38.5% cholesterol / 50% ionizable lipid / 1.5% DMG-PEG-2000. The circular RNAs were formulated into the lipid nanoparticles at 800 pg/mL using a commercially available LNP mixer (e.g., NanoAssembler Ignite System). The solutions were loaded into a syringe and formulated on the NanoAssembler Ignite system at a 3: 1 ethanol: aqueous phase ratio to achieve a final ionizable lipid : RNA (N : P) ratio of 5.4. The resulting nanoprecipitate was loaded into 3 mL 20kDa dialysis cassettes and dialyzed in 3L of IX PBS overnight at 4 °C. Sizing was confirmed via DLS post-dialysis and RNA concentration was determined using a Ribogreen assay according to manufacturer instructions. LNP-circular RNA constructs were diluted to 50 pg/mL in IX PBS. LNP-circular RNA constructs were then dosed at 200 pL via intravenous tail vein injection into female, 6-8-week-old C57BL6 mice. Six hours later, the mice were administered with 200 pL of 15mg/mL D-luciferin via intraperitoneal injection. Fifteen minutes later, mice were euthanized via CO2 asphyxiation then cervical dislocation. Organs were harvested and arranged on black paper and then imaged on auto-exposure with an In Vivo Imaging System. Total flux values for each organ were analyzed using Living Image software as shown in FIG. 2 and FIG. 3.
170
SUBSTITUTE SHEET (RULE 26) INCORPORATION BY REFERENCE
[540] All publications, patents, and patent applications mentioned in this specification are herein incorporated by reference to the same extent as if each individual publication, patent, or patent application was specifically and individually indicated as being incorporated by reference herein, including, for example, U.S. provisional patent application nos. 63/250,932; 63/277,055 ;63/382,816; 63/492,971; and 63/492,974, and International patent application nos. PCT/US2022/045408 and PCT/US2022/049313.
SUBSTITUTE SHEET (RULE 26)