Movatterモバイル変換


[0]ホーム

URL:


WO2024192528A1 - Ionizable anionic lipids - Google Patents

Ionizable anionic lipids
Download PDF

Info

Publication number
WO2024192528A1
WO2024192528A1PCT/CA2024/050347CA2024050347WWO2024192528A1WO 2024192528 A1WO2024192528 A1WO 2024192528A1CA 2024050347 WCA2024050347 WCA 2024050347WWO 2024192528 A1WO2024192528 A1WO 2024192528A1
Authority
WO
WIPO (PCT)
Prior art keywords
lipid
ionizable
anionic
group
lipid nanoparticle
Prior art date
Legal status (The legal status is an assumption and is not a legal conclusion. Google has not performed a legal analysis and makes no representation as to the accuracy of the status listed.)
Pending
Application number
PCT/CA2024/050347
Other languages
French (fr)
Inventor
Deaglan ARNOLD
N. D. Prasad ATMURI
Marco A. Ciufolini
Dominik WITZIGMANN
Current Assignee (The listed assignees may be inaccurate. Google has not performed a legal analysis and makes no representation or warranty as to the accuracy of the list.)
Nanovation Therapeutics Inc
Original Assignee
Nanovation Therapeutics Inc
Priority date (The priority date is an assumption and is not a legal conclusion. Google has not performed a legal analysis and makes no representation as to the accuracy of the date listed.)
Filing date
Publication date
Application filed by Nanovation Therapeutics IncfiledCriticalNanovation Therapeutics Inc
Publication of WO2024192528A1publicationCriticalpatent/WO2024192528A1/en
Anticipated expirationlegal-statusCritical
Pendinglegal-statusCriticalCurrent

Links

Classifications

Definitions

Landscapes

Abstract

The present disclosure provides lipid nanoparticle for delivery of nucleic acid having an ionizable anionic lipid Further provided are ionizable anionic lipid having the structure of Formula A described herein.

Description

IONIZABLE ANIONIC LIPIDS
CROSS-REFERENCE TO RELATED APPLICATIONS
[0001] This application claims priority from U.S. provisional patent application No. 63/453,766 filed on March 22, 2023, the content of which is hereby incorporated by reference in its entirety.
TECHNICAL FIELD
[0002] Provided herein are novel anionic ionizable lipids and lipid nanoparticles comprising the ionizable anionic lipids.
BACKGROUND
[0003] Therapeutic nucleic acids have enormous potential in medicine. To realize this potential, however, the nucleic acid should be delivered to a target site in a patient. This presents challenges since a nucleic acid is rapidly degraded by enzymes in the plasma upon administration. Even if the nucleic acid is delivered to a disease site, there remains the challenge of intracellular delivery.
[0004] To address these problems, lipid nanoparticles (LNPs) have been developed that protect nucleic acid from such degradation and facilitate delivery across cellular membranes to gain access to the intracellular compartment, where the relevant translation machinery resides.
[0005] In addition to nucleic acids, LNPs containing such therapeutic agents typically comprise the following components (Albertsen, C. H., et al., Adv. Drug Del. Rev. 2022, 188, 114416, incorporated herein by reference), which are included in the formulation in appropriate proportions:
(a) A cationic ionizable lipid, namely a fatty substance that can become positively charged at low pH, facilitating association with the negatively charged nucleic acid, but that is neutral at physiological pH, making it more biocompatible in biological systems. To illustrate, the cationic ionizable lipid in Onpattro®, the first siRNA-based medication to gain regulatory approval, is D-Lin-MC3-DMA, 1.1 (Scheme 1), more simply referred-to as MC3 (Jayaraman, M., et al., Angew. Chem. Int. Ed. 2012, 51, 8529, incorporated herein by reference). Furthermore, the ionizable cationic lipid in the Pfizer-BioNTech COVID- 19 vaccine (Comimaty®) is a compound known as ALC-0315, 1.2, while that in the Modema vaccine (Spikevax®) is a compound known as SM-102, 1.3.
Figure imgf000003_0001
Scheme 1
(b) Cholesterol, 2.1 (Scheme 2), a “helper lipid” that serves to stabilize the LNPs.
Figure imgf000003_0002
Scheme 2
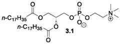
(c) Distearoylphosphatidyl choline (DSPC, 3.1, Scheme 3), another helper lipid that also serves to stabilize the LNPs.
Figure imgf000003_0003
Scheme 3
(d) A poly(ethylene glycol)-derivative of a fatty substance, commonly referred to as a PEG- lipid, that protects the LNPs and prevents the aggregation of smaller nanoparticles into larger ones. The PEG unit is typically a PEG-2000; i.e., a polyethylene glycol moiety of molecular mass equal to approximately 2000 Da and therefore comprises about 45 units of monomer. For example, the PEG lipids in Onpattro®, Comimaty® and Spikevax® are, respectively, PEG2000-C-DMG, 4.1, ALC-0159 4.2, and PEG2000-DMG, 4.3 (Scheme 4).
Figure imgf000004_0001
Scheme 4
[0006] However, known formulations including the above lipid components produce biological responses that are well below that which can be theoretically attained. This translates into a requirement for larger quantities of costly nucleic acids in order to achieve a desired response, negatively impacting the economics of nucleic acid therapeutics.
[0007] Accordingly, there is a need in the art for improved lipids and formulations thereof that produce a desired biological effect, most advantageously with a lower dose of nucleic acid.
DEFINITIONS
[0008] As used herein, the term "ionizable lipid" refers to a lipid that, at a given pH, is in an electrostatically neutral form and that may either accept or donate protons, thereby becoming electrostatically charged, and for which the electrostatically neutral form has a calculated logarithm of the partition coefficient between water and 1 -octanol (i.e., a cLogP) that is greater than 8.
[0009] As used herein, the term "anionic ionizable lipid" refers to an ionizable lipid that, at a low (i.e., acidic) pH, exists predominantly in an electrostatically neutral form, but that at an appropriately higher pH, for example, at a physiological pH of 7.4, exists predominantly in an electrostatically charged, anionic form. [0010] As used herein, the term “non-phospholipid, anionic ionizable lipid” or “nonphospholipid, ionizable anionic lipid” is an anionic ionizable lipid as defined above that lacks a phosphate group in its anionic head group.
[0011] As used herein, the term "cationic ionizable lipid" refers to an ionizable lipid that, at a given pH, is in an electrostatically neutral form, but that at an appropriately lower pH accepts a proton, thereby becoming electrostatically positively charged.
[0012] As used herein, the term “alkyl” or “alkyl group” is a carbon-containing group that is linear, cyclic (monocyclic or polycyclic) and/or branched. The term is also meant to encompass a carbon-containing group that optionally has varying degrees of unsaturation and/or that is optionally substituted and/or that optionally comprises one or more ring structures.
[0013] As used herein, the term “Cm to Cn alkyl” or “Cm to Cn alkyl group” refers to a linear, cyclic and/or branched alkyl having a total minimum of m carbon atoms and up to n carbon atoms, and that is optionally unsaturated, optionally substituted, and that optionally comprises one or more ring structures. For example, a “Ci to C3 alkyl” or “Ci to C3 alkyl group” is an alkyl having between 1 and 3 carbon atoms.
[0014] The term “ring structure”, “cycloalkyl” or “cyclic alkyl” is a 3- to 22 -membered monocyclic or polycyclic alkyl ring that is optionally substituted and optionally unsaturated. In some non-limiting examples, the ring structure is a 3- to 16-membered monocyclic or polycyclic alkyl ring that is optionally substituted. In further examples, the ring structure is a 3- to 8-membered monocyclic or polycyclic alkyl ring that is optionally substituted.
[0015] The term “monocyclic” is an optionally substituted alkyl group that is a single ring structure or that comprises a single ring substituent.
[0016] The term “polycyclic” is optionally substituted alkyl group that is, or comprises as a substituent(s), two or more ring structures that are chemically bonded to each other or two or more discrete ring structures.
[0017] The term “optionally substituted” with reference to an alkyl or alkyl group means that at least one hydrogen atom of the alkyl group can be replaced by a non-hydrogen atom or group of atoms (i.e., a “substituent”), and/or the alkyl group is interrupted (i.e., a- (CH)2- group replaced) by a non-carbon atom or one or more substituents, including but not limited to those comprising heteroatoms selected from O, S and/or NR', wherein R' is as defined below. Non-limiting examples of atoms or substituents that may replace a hydrogen atom include halogen; deuterium, an alkyl group; a cycloalkyl group (mono or polycyclic); an oxo group (=0); a hydroxyl group (-OH); — (C=O)OR'; — O(C=O)R'; — C(=O)R'; O(C=O)OR'-; —OR'; — S(O)XR'; —SR', — S— SR'; — C(=O)SR'; — SC(=O)R'; — NR'R'; — NR'C(=O)R'; — C(=O)NR'R'; — NR'C(=O)NR'R'; — OC(=O)NR'R'; — NR'C(=O)OR'; — NR'S(O)XNR'R'; — NR'S(O)XR'; and — S(O)XNR'R', wherein R' at each occurrence is independently selected from H, C1-C15 alkyl or cycloalkyl, and x is 0, 1 or 2. Non-limiting examples of atoms or substituents that may replace a carbon atom (interrupt the alkyl) include cycloalkyl groups (e.g., mono or polycyclic); — O— ; — (C=O)O— ; — O(C=O)-; — C(=O); — O(C=O)O-; — S(O)X-; — S— ; — S— S— ; — C(=O)S-; — SC(=O)-; —NR'—; — NR'C(=O) — ; — C(=O)NR'— ; — NR'C(=O)NR'— ; — OC(=O)NR'— ; — NR'C(=O)OR’— ; — NR'S(O)XNR'— ; — NR'S(O)XR’ — ; and — S(O)XNR' — , wherein R' at each occurrence is independently selected from H, C1-C15 alkyl or cycloalkyl, and x is 0, 1 or 2.
[0018] As used herein, the terms “lipophilic group” or “lipophilic chain” refer to an alkyl group, which is optionally substituted and that is linear, cyclic and/or branched, and that is bonded to a nitrogen or carbon atom of the lipid, the alkyl group comprising at least 6 carbon atoms. The lipophilic group or lipophilic chain optionally comprises C=C double bonds, and/or ring structures, and/or carbonyl groups, and/or heteroatoms such as N, O, S, and in which the parent compound of the lipophilic group or chain has a CLogP of at least 6. For example, lipid MC3, 1.1, has a pair of lipophilic chains derived from (6Z,9Z)- octadeca-6,9-diene, which has a CLogP of 9.25:
Figure imgf000006_0001
lipophilic chain(s): (6Z,9Z)-octadeca-6,9-diene: CLogP: 9.25
[0019] Lipid ALC-0315, 1.2, has a pair of lipophilic chains derived from hexyl 2- hexyldecanoate, which has a CLogP of 10.01:
Figure imgf000007_0001
[0020] Lipid SM-102, 1.3, has one lipophilic chain derived from undecyl hexanoate, which has a CLogP of 7.59, and one lipophilic chain derived from heptadecane-9-yl octanoate, which has a CLogP of 11.6:
Figure imgf000007_0002
parent compounds undecyl hexanoate: CLogP: 7.59 of lipophilic chain
Figure imgf000007_0003
heptadecan-9-yl octanoate: CLogP: 11.6
[0021] A lipophilic group in the lipids of this disclosure may comprise: aminoacid moieties, such as proline, sarcosine, alanine, beta-alanine, and the like, as described in co-pending and co-owned PCT application PCT/CA2023/051274, incorporated herein by reference; or dialkyl sulfide and/or thioacetal moieties, as described in co-pending WO 2023/215989; PCT/CA2023/05127; PCT/CA2023/051273; and PCT/CA2023/051727, each incorporated herein by reference.
[0022] As used herein, the terms, “ionizable anionic group,” “ionizable anionic head group,” or “anionic head group,” refer to a moiety of an ionizable anionic lipid that comprises a Bronsted acidic functionality possessing an aqueous acid dissociation constant, i.e., a pKa, lower than 7. Functionalities of this type include, but are not limited to: carboxylic acid groups:
Figure imgf000007_0004
OH tetrazole groups in any tautomeric form:
Figure imgf000008_0001
l,2,4-oxadiazol-5(477)-one groups in any tautomeric form:
Figure imgf000008_0002
N- acyl sulfonamide groups, which can be present in any orientation, meaning that either the carbonyl or the sulfonyl moiety can be
Figure imgf000008_0003
bound to that side of the lipid that comprises the lipophilic groups H or chains, while the other moiety is bound, for example, to a Ci-Cs alkyl.
[0023] As used herein, “type 1 ionizable head” refers to a moiety of the ionizable anionic lipid, the moiety being representable with Formula I below, or equivalents thereof, wherein A is O, NH, or N-R, with R being a C1-C4 alkyl optionally substituted, for example, with an OH group, indices m and n can independently range from 0 to 5, G is absent, or O, or S, and Z is an ionizable anionic group as defined above:
O
[lipophilic chain(s)] II
Figure imgf000008_0004
[lipophilic chain(s)]
Formula I
[0024] As used herein, “type 2 ionizable head” refers to a moiety of the ionizable anionic lipid, the moiety being representable with Formula II below, or equivalents thereof, wherein A, indices m and n, and G are as defined above, L is a linker of formula (CH2)P- G’-(CH2)q, p and q independently ranging from 0 to 5, G’ is absent, or O, or S, and Z is an ionizable anionic group as defined above:
O [lipophilic chain(s)] II O-L— Z
A^ \CH2)m-G-(CH2)n
[lipophilic chain(s)] O
Formula II [0025] As used herein, “type 3 ionizable head” refers to a moiety of the ionizable anionic lipid, said moiety being representable with Formula III below, or equivalents thereof, wherein A1 and A2 are, independently, O or S, such that either or both of A1 and A1 can be, independently, O or S, index r can range from 1 to 3, index t can range from 1 to 5, L is as defined above, and Z is an ionizable anionic group as defined above:
[lipophilic chain(s)]
Figure imgf000009_0001
[lipophilic chain(s)] A1-(CH2)r
Formula III
[0026] As used herein, the term “helper lipid” means a compound selected from: a sterol such as cholesterol or a derivative thereof; a diacylglycerol or a derivative thereof, such as a glycerophospholipid, including phosphatidic acid (phosphatidate) (PA), phosphatidylethanolamine (cephalin) (PE), phosphatidylcholine (PC), phosphatidylserine (PS), and the like; and a sphingolipid, such as a ceramide, a sphingomyelin, a cerebroside, a ganglioside, or reduced analogues thereof, that lack a double bond in the sphingosine unit. An example of a diacylglycerol derivative is a glycerophospholipid-cholesterol conjugate in which one of the acyl chains is substituted with a moiety comprising cholesterol. The term encompasses lipids that are either naturally-occurring or synthetic. As used herein, the term “delivery vehicle” includes any preparation in which the lipid described herein is capable of being formulated and includes but is not limited to delivery vehicles comprising helper lipids.
[0027] As used herein, the term “nanoparticle” is any suitable particle in which the lipid can be formulated and that may comprise one or more helper lipid components. The one or more lipid components may include an ionizable lipid prepared by the method described herein and/or may include additional lipid components, such as an ionizable cationic lipid and one or more helper lipid components. The term includes, but is not limited to, vesicles with one or more bilayers and/or monolayers, including multilamellar vesicles, unilamellar vesicles and vesicles with an electron-dense core. The term also includes polymer-lipid hybrids, including particles in which the lipid is attached to a polymer. [0028] As used herein, the term “encapsulated,” with reference to incorporating a cargo molecule (e.g., mRNA) within a delivery vehicle refers to any association of the cargo with any component or compartment of the delivery vehicle such as a nanoparticle.
As used herein, the term “Onpattro™ formulation” refers to an LNP of 50/10/38.5/1.5 MC3/DSPC/cholesterol/PEG-DMG,mol/mol. As used herein, the term “high sterol formulation” refers to a lipid nanoparticle with at least 40 mol% of a sterol or sterol derivative.
[0029] The term “sterol” refers to a naturally-occurring or synthetic compound having a gonane skeleton and that has a hydroxyl moiety attached to one of its rings, typically the A-ring.
[0030] The term “pharmaceutically acceptable salt” with reference to a form of the lipid of the disclosure in a protonated form (i.e., charged) and/or as part of a pharmaceutical formulation in which an LNP is formulated refers to a salt of the lipid prepared from pharmaceutically acceptable acids, including inorganic and organic acids.
SUMMARY
[0031] The present disclosure is based on the surprising discovery that the inclusion of certain anionic ionizable lipids in lipid nanoparticle formulations of nucleic acids may result in (a) stabilization of the nanoparticles and reduced aggregation into larger nanoparticles, (b) increased percentage of nucleic acid encapsulation, and/or (c) enhanced expression of the nucleic acid cargo.
[0032] In some embodiments, the ionizable anionic lipid of the disclosure is not cholesterol hemisuccinate, 5.1; phosphatidyl serine, 5.2, wherein subunits RJ-CO and R2- CO are fatty acyl groups; hemisuccinate esters of tocopherols, 5.3, wherein R3 and R4 can be, independently, H or Me; palmitoyl homoserine, 5.4, and the corresponding lactone form, 5.3 (Scheme 5).
Figure imgf000011_0001
Scheme 5
[0033] In some embodiments, there is provided a lipid nanoparticle comprising a nonphospholipid, ionizable anionic lipid, an ionizable cationic lipid and at least one helper lipid, the non-phospholipid, ionizable anionic lipid comprising an anionic head group moiety having an acidic group, and at least two lipophilic groups, each having 6 to 40 carbon atoms, optionally at least one of the lipophilic groups substituted with a biodegradable group.
[0034] In some embodiments, the lipid nanoparticle comprises a hydrophilic-polymer lipid conjugate. In some embodiments, the lipid nanoparticle comprises a hydrophilic- polymer lipid conjugate at less than 1.5 mol%.
[0035] In some embodiments, the hydrophilic-polymer lipid conjugate is a PEG-lipid. [0036] In further embodiments, at least one of the lipophilic groups comprises a cyclic group, optionally with one or more heteroatoms.
[0037] In further embodiments, at least one of the lipophilic groups comprise 1 to 3 double bonds.
[0038] In some embodiments, at least one of the lipophilic groups is a sterol.
[0039] In some embodiments, the sterol is cholesterol.
[0040] In further embodiments, the non-phospholipid, ionizable anionic lipid has a pKa of between 4 and 6.5.
[0041] In further embodiments, the anionic head group comprises: one or more carboxylic acid groups; one or more tetrazole groups or tautomers thereof; one or more 1,2,4- oxadiazol-5(477)-one groups or tautomers thereof; or one or more V-acylsul fonamide groups. [0042] In some embodiments, the ionizable anionic lipid of this disclosure can be represented with Formula A
Figure imgf000012_0001
Formula A wherein
R1 and R2 are, independently, lipophilic groups as defined above,
R3 is H or a Ci-Cs alkyl group, as defined above, optionally comprising varying degrees of unsaturation (e.g., 0-3 double bonds), optionally comprising heteroatoms such as N, O and/or S, optionally substituted with one or more OH groups,
W1 and X are either bonded to each other or not bonded to each other (as indicated by the dashed bond), and: if W1 and X are bonded to each other then:
W1 is O or S;
W2 is O or S;
X is (CH2)m, wherein m is 1 or 2;
Y is CH; and
L is a linker and Z is an ionizable anionic group as defined above, so that the moiety
W1— X w2— Y— L— Z is a type 3 ionizable head group, if W1 and X are not bonded to each other, then:
W1 is H;
W2 is O or NH or NR5, wherein R5 is a Ci to C4 small alkyl optionally substituted with an OH group;
X is O doubly bonded to Y; i.e., X=Y is a carbonyl group
L is a linker and Z is an ionizable anionic group as defined earlier, so that the moiety
Figure imgf000013_0001
constitutes a type 1 or a type 2 ionizable head group.
[0043] In another embodiment, the ionizable anionic lipid is a lipid selected from LI to L88 described hereinafter.
[0044] In another example of any of the foregoing aspects or embodiments, the anionic ionizable lipid, when formulated in a lipid nanoparticle comprising an mRNA, results in an increase in the expression of the mRNA of at least about 1.5- to 2-fold in the liver relative to an otherwise identical lipid nanoparticle that does not contain said anionic ionizable lipid, as measured by luminescence of the mRNA in vivo in the liver.
[0045] According to a further aspect of the disclosure, there is provided a lipid nanoparticle comprising the lipid as defined in any of the foregoing aspects or embodiments and a nucleic acid. In one embodiment, the lipid nanoparticle comprises a helper lipid and a hydrophilic polymer-lipid conjugate. The helper lipid may be selected from cholesterol, a diacylglycerol, a glycerophospholipid-cholesterol conjugate and a sphingolipid.
[0046] According to a further aspect of the disclosure, there is provided a method for administering a nucleic acid to a subject in need thereof, the method comprising preparing or providing the lipid nanoparticle as defined above comprising the nucleic acid and administering the lipid nanoparticle to the subject.
[0047] According to a further aspect of the disclosure, there is provided a method for delivering a nucleic acid molecule to a cell, the method comprising contacting the lipid nanoparticle as defined above with the cell in vivo or in vitro.
[0048] According to a further aspect of the disclosure, there is provided a use of the lipid or the pharmaceutically acceptable salt thereof as defined above or the lipid nanoparticle as defined above in the manufacture of a medicament to treat or prevent a disease, disorder or condition that is treatable and/or preventable by a nucleic acid.
[0049] In a further aspect of the disclosure, there is provided a use of the lipid or the pharmaceutically acceptable salt thereof as defined above or the lipid nanoparticle as defined above to deliver a nucleic acid to a subject to treat or prevent a disease, disorder or condition that is treatable or preventable by the nucleic acid. In one embodiment, the nucleic acid is an mRNA. [0050] In another aspect, there is provided a method for delivery of nucleic acid for in vivo to the liver, the method comprising administering to a mammal a lipid nanoparticle as described in any one of the foregoing embodiments or aspects, wherein the lipid nanoparticle comprises at least 40 mol% of a sterol or sterol derivative, wherein the nucleic acid is encapsulated within the lipid nanoparticle and wherein the administering of the lipid nanoparticle results in liver-specific targeting of the nucleic acid.
[0051] In one embodiment, the nucleic acid is mRNA or plasmid DNA and has an increase in expression of the nucleic acid in the liver over the spleen by at least 5-fold, 10- fold or 20-fold.
[0052] In another embodiment, the nucleic acid is antisense or silencing RNA and has an increase in silencing of a target nucleic acid in the liver over the spleen by at least 5-fold, 10-fold or 20-fold.
[0053] Other objects, features, and advantages of the present disclosure will be apparent to those of skill in the art from the following detailed description and figures.
BRIEF DESCRIPTION OF THE DRAWINGS
[0054] FIGURE 1A is a graph showing entrapment (%), particle size (nm) and poly dispersity index (PDI) of an Onpattro™ (i.e., baseline) lipid nanoparticle (MC3/DSPC/Chol/DMG-PEG at 50/10/38.5/1.5 mol:mol) and lipid nanoparticles comprising norMC3/DSPC/Chol/lipid L3/PEG-DMG at respective molar ratios of 50/10/38.5-X/X/l.5 encapsulating Luc-mRNA in which X is an ionizable anionic lipid L3 at 0, 0.5%, 1.5%, 5% or 10% (mol:mol). The structure of lipid L3 is set forth in Table 1 and in Example 8. The nitrogen-to-phosphate (N/P) ratio was 6.
[0055] FIGURE IB is a graph showing in vivo luminescence of luciferase mRNA following liver extraction of CD-I mice 4 hours after administration of an Onpattro™ lipid nanoparticle (MC3/DSPC/Chol/DMG-PEG at 50/10/38.5/1.5 mol:mol) and lipid nanoparticles comprising norMC3/DSPC/Chol/lipid L3/PEG-DMG at respective molar ratios of 50/10/38.5-X/X/l.5 encapsulating Luc-mRNA in which X is lipid L3 at 0, 0.5%, 1.5%, 5% or 10% (mol:mol). The nitrogen-to-phosphate (N/P) ratio was 6.
[0056] FIGURE 2A is a graph showing entrapment (%), particle size (nm) and poly dispersity index (PDI) of an Onpattro™ lipid nanoparticle (MC3/DSPC/Chol/DMG- PEG at 50/10/38.5/1.5 mol:mol) and lipid nanoparticles comprising MC3/Chol/lipid L3/PEG-DMG at respective molar ratios of 42/56.5-X/X/l.5 encapsulating Luc-mRNA in which X is lipid L3 at 0, 2.7%, 5% or 10% (mol:mol). The nitrogen-to-phosphate (N/P) ratio was 6.
[0057] FIGURE 2B is a graph showing in vivo luminescence of luciferase mRNA following liver extraction of CD-I mice 4 hours after administration of an Onpattro™ lipid nanoparticle (MC3/DSPC/Chol/DMG-PEG at 50/10/38.5/1.5 mol:mol) and lipid nanoparticles comprising MC3/Chol/ lipid L3/PEG-DMG at respective molar ratios of 42/56.5-X/X/1.5 encapsulating Luc-mRNA in which X is lipid L3 at 0, 2.7%, 5% or 10% (mol:mol). The nitrogen-to-phosphate (N/P) ratio was 6.
[0058] FIGURE 2C is a graph showing in vivo luminescence of luciferase mRNA following spleen extraction of CD-I mice after treatment with an Onpattro™ lipid nanoparticle (MC3/DSPC/Chol/DMG-PEG at 50/10/38.5/1.5 mol:mol) and lipid nanoparticles comprising MC3/Chol/ lipid L3/PEG-DMG at respective molar ratios of 42/56.5-X/X/1.5 encapsulating Luc-mRNA in which X is lipid L3 at 0, 2.7%, 5% or 10% (mol:mol). The nitrogen-to-phosphate (N/P) ratio was 6.
[0059] FIGURE 3A is a graph showing in vivo luminescence of luciferase mRNA following liver extraction of CD-I mice 4 hours after administration of an Onpattro™ lipid nanoparticle (MC3/DSPC/Chol/DMG-PEG at 50/10/38.5/1.5 mol:mol) and lipid nanoparticles comprising ionizable cationic lipid/ Choi/ anionic lipid/PEG-DMG at respective molar ratios of 40/58.5-X/X/1.5 encapsulating Luc-mRNA, in which X is an ionizable anionic lipid that is lipid L3 or Lipid LI present at 2.7%, 5% or 10% (mol:mol) as indicated in Example 10. The ionizable cationic lipid was MC3 or ALC-0315 as indicated in the graph. The nitrogen-to-phosphate (N/P) ratio was 6.
[0060] FIGURE 3B is a graph showing in vivo luminescence of luciferase mRNA following spleen extraction of CD-I mice 4 hours after administration of an Onpattro™ lipid nanoparticle (MC3/DSPC/Chol/DMG-PEG at 50/10/38.5/1.5 mol:mol) and lipid nanoparticles comprising MC3/Chol/anionic lipid/DMG-PEG at respective molar ratios of 40/58.5-X/X/1.5 encapsulating Luc-mRNA, in which X is an ionizable anionic lipid that is lipid L3, Lipid L10 or Lipid LI present at 2.7%, 5% or 7.5% (mol:mol) as indicated in Example 10. The ionizable cationic lipid was MC3 or ALC-0315 as indicated in the graph. The nitrogen-to-phosphate (N/P) ratio was 6.
[0061] FIGURE 3C is a graph showing in vivo luminescence of luciferase mRNA following spleen extraction of CD-I mice 4 hours after administration of an Onpattro™ lipid nanoparticle (MC3/DSPC/Chol/DMG-PEG at 50/10/38.5/1.5 mol:mol) and lipid nanoparticles comprising ALC-0315/Chol/anionic lipid/DMG-PEG at respective molar ratios of 40/58.5-X/X/1.5 encapsulating Luc-mRNA, in which X is an ionizable anionic lipid that is lipid L3, Lipid LIO or Lipid LI present at 2.7%, 5% or 7.5% (mol:mol) as indicated in Example 10. The ionizable cationic lipid was MC3 or ALC-0315 as indicated in the graph. The nitrogen-to-phosphate (N/P) ratio was 6.
[0062] FIGURE 4A is a graph showing in vivo luminescence of luciferase mRNA following liver extraction of CD-I mice 4 hours after administration of lipid nanoparticles comprising norMC3/Chol/anionic lipid/PEG-DMG at respective molar ratios of 40/58.5- X/X/1.5 encapsulating Luc-mRNA, in which X is lipid L3 ionizable anionic lipid or CHEMS at 5 mol% and LNPs having DGTAP/CHEMS/Chol/DMPE-PEG2000 at 50/32/16/2 mokmol or DGTAP/CHEMS/Chol/DMPE-PEG2000 at 50/32/8/10 mokmol. The nitrogen-to-phosphate (N/P) ratio was 6.
[0063] FIGURE 4B is a graph showing in vivo luminescence of luciferase mRNA following spleen extraction of CD-I mice 4 hours after administration of lipid nanoparticles comprising norMC3/Chol/anionic lipid/PEG-DMG at respective molar ratios of 40/58.5-X/X/1.5 encapsulating Luc-mRNA, in which X is lipid L3 ionizable anionic lipid or CHEMS at 5 mol% and LNPs having DGTAP/CHEMS/Chol/DMPE-PEG2000 at 50/32/16/2 mokmol or DGTAP/CHEMS/Chol/DMPE-PEG2000 at 50/32/8/10 mokmol. The nitrogen-to-phosphate (N/P) ratio was 6.
[0064] Figure 5A is a graph showing physicochemical characterization of mRNA formulations showing entrapment (%), particle size (nm) and PDI of formulations of ionizable cationic lipid/ lipid L3/Chol/PEG-DMG at 40/5/53.5/1.5 mol% and Onpattro™. The N/P ratio was 6.
[0065] Figure 5B is a graph showing percent mCherry uptake in various non-parenchymal cell types within the liver after treatment with nMC3/ lipid L3/Cholesterol/PEG-DMG at molar ratios of 40/5/53.5/1.5 versus an Onpattro™ LNP formulation (50/10/38.5/1.5 of nMC3/DSPC/Cholesterol/PEG-DMG; mol/mol) encapsulating mCherry mRNA. The N/P ratio was 6.
[0066] Figure 5C is a graph showing percent mCherry uptake in hepatocytes within the liver after treatment with nMC3/ lipid L3/Cholesterol/PEG-DMG at molar ratios of 40/5/53.5/1.5 versus an Onpattro™ LNP formulation (50/10/38.5/1.5 of nMC3/DSPC/Cholesterol/PEG-DMG; mol/mol) encapsulating mCherry mRNA. The N/P ratio was 6. DETAILED DESCRIPTION
[0067] In some non-limiting examples, the present disclosure is based on the surprising finding that certain ionizable anionic lipids can replace at least a portion of the cholesterol that is part of Onpattro™ formulations with retention, and possibly enhancement of stability and/or efficacy of the resulting lipid nanoparticles. Furthermore, such ionizable anionic lipids may replace at least a portion of the phosphatidylcholine that is part of a high sterol formulation, also with retention, and/or in some embodiments, enhancement, of stability and efficacy of the resulting lipid nanoparticles.
[0068] The organic synthesis of ionizable anionic lipids of Formula A in this disclosure is most advantageously carried out by starting with a ketone of Formula B, wherein R1, R2, and R3 are as defined above for Formula A. In turn, a ketone of Formula B is most advantageously prepared by methods described in detail in co-owned and co-pending applications WO 2022/246555; WO 2022/246568; WO 2022/24657;
PCT/CA2023/050129 filed on Januaiy 31, 2023; WO2022/155728; WO 2023/215989; PCT/CA2023/051272; PCT/CA2023/051273; PCT/CA2023/051727;
PCT/CA2023/051274; and U.S. patent application No. 18/442,431 filed on February 15, 2024, each incorporated herein by reference.
Figure imgf000017_0001
Formula B
[0069] The keto carbonyl group in a ketone of Formula B can be advantageously utilized to install an ionizable anionic head group by chemical methods that are well known to those of skill in the art. Exemplary methods are outlined below.
The installation of an ionizable head group of type 1 or type 2 involves the initial conversion of a ketone of Formula B into an alcohol of Formula C or an amine of Formula D, wherein R is H or an optionally substituted C1-C4 alkyl.
Figure imgf000017_0002
Formula C Formula D [0070] The conversion of the ketone to an alcohol of Formula C can be achieved by selective reduction of the keto carbonyl, for example by the use of a hydride reagent, such as sodium borohydride, in an appropriate solvent, such as an alcohol like methanol, ethanol, isopropanol, and the like.
[0071] An amine of Formula D wherein R is H can be prepared, for example, from an alcohol of Formula C by conversion of the OH group into a sulfonate ester, for example a mesylate, followed by displacement of the mesylate with a nitrogen nucleophile, for example, azide ion as provided by sodium azide, and reduction of the azide to a primary amine, for example by reaction with triphenylphosphine in aqueous THF.
[0072] An amine of Formula D wherein R is an optionally substituted C1-C4 alkyl can be prepared by reductive amination of the ketone with an amine, R-NH2 and a hydride reagent, such as sodium triacetoxyborohydride, optionally in the presence of an acid catalyst, for example, acetic acid, in an appropriate solvent, such as di chloromethane, 1,2- dichloroethane, tetrahydrofuran, and the like.
[0073] The installation of an ionizable head group of type 3 involves the initial conversion of a ketone of Formula B into a derivative of Formula F by reaction with a compound possessing the structure of Formula E, wherein A1 and A2 are, independently, O or S, such that either or both of A1 and A2 can be O or S, r can range from 1 to 3, t can range from 1 to 5, in a solvent such as, for example, toluene, cyclohexane, 1,2-di chloroethane, and the like, and in the presence of an acid catalyst, for example, a sulfonic acid such as benzenesulfonic acid, para-toluenesulfonic acid, camphorsulfonic acid, and the like, a sulfonated resin, a pyridinium or quinolinium salt of a sulfonic acid, such as pyridinium para-toluenesulfonate, pyridinium camphorsulfonate, quinolinium para-toluenesulfonate, quinolinium camphorsulfonate, and the like. The compound of Formula F is then converted into a lipid of Formula A comprising a type 3 ionizable head group through appropriate chemical transformations of the OH group.
Figure imgf000018_0001
Formula E Formula F
[0074] In one embodiment, an alcohol of Formula C can be transformed into an ionizable anionic lipid of Formula A comprising a head group of type 1 wherein A is O as shown in Synthetic Diagram A. Thus, the alcohol is esterified with an acid of structure G in the presence of a condensing agent, for example, a carbodiimide such as EDCI, whereupon it is converted into an ionizable anionic lipid of structure H. Indices m and n and groups G and Z in G and H are as defined above.
Figure imgf000019_0001
Synthetic Diagram A
[0075] In another embodiment, an ionizable anionic lipid of structure H wherein Z is a COOH can be prepared by reaction of alcohol C with a cyclic anhydride of structure I, optionally in the presence of a nucleophilic catalysts such as 4-dimethylaminopyridine (DMAP), as shown in Synthetic Diagram B. Indices m and n and group G in I are as defined above.
Figure imgf000019_0002
Synthetic Diagram B
[0076] In another embodiment, an ionizable anionic lipid of structure H wherein Z is a COOH can be prepared by reaction of alcohol C with an excess of a bis-acid chloride of structure J in the presence of a base such as pyridine and the like, resulting in formation of a monoester of structure K, as shown in Synthetic Diagram C. Addition of water to the reaction mixture in which K was formed results in its conversion to the desired H. Indices m and n and group G in J, K and H are as defined above. o o
Figure imgf000020_0001
Synthetic Diagram C
In another embodiment, a compound of structure H wherein Z is COOH can be converted into an N-acy Isul fonamide oriented so that the sulfur atom is bound to that side of the NH group that is farther from the lipophilic chains as shown in Synthetic Diagram D. Thus, the COOH group in H wherein is caused to react with a sulfonamide H2N-SO2-R4, wherein R4 is a Ci-Cs alkyl, in the presence of a condensing agent, for example a carbodiimide such as EDCI, resulting in the formation of product L.
Figure imgf000020_0002
Synthetic Diagram D
[0077] In another embodiment, a compound of structure H wherein Z = SO2-NH2 (shown earlier in Synthetic Diagram A) can be converted into an JV-acylsulfonamide oriented so that the sulfur atom is bound to that side of the NH group that is closer to the lipophilic chains as shown in Synthetic Diagram E. Accordingly, the sulfonamide in caused to react with a carboxylic acid, HOOC-R4, wherein R4 is a Ci-Cs alkyl, in the presence of a condensing agent, for example a carbodiimide such as EDCI, resulting in the formation of product M. Alternatively, the sulfonamide can be caused to react with an acid chloride, Cl- OC-R4, or a carboxylic acid anhydride, R4-CO-O-CO-R4, wherein R4 is a Ci-Cs alkyl, in the presence of a base, for example an amine such as triethylamine, and optionally a nucleophilic catalysts such as DMAP, also resulting in the formation of product M.
Figure imgf000021_0001
Synthetic Diagram E
[0078] An ionizable anionic lipid of Formula A comprising a head group of type 1 wherein A is N-R can be prepared from an amine of Formula D by the same methods shown above in Synthetic Diagrams A-E. This is shown in Synthetic Diagrams F-J below:
Figure imgf000021_0002
Synthetic Diagram G
Figure imgf000022_0002
Synthetic Diagram I
Figure imgf000022_0001
Synthetic Diagram J
[0079] In accordance with the foregoing exemplary embodiments, ketones that are suitable for the preparation of the anionic ionizable lipids of this disclosure are compounds 6.1-6.52 of Scheme 6 below. These compounds are either described in the co-owned and co-pending patent applications set forth herein, or readily prepared by modifications of the procedures described in such patent applications, as will be apparent to those skilled in the art. (i) Compounds described in WO 2022/246555, WO 2022/246568 and/or WO 2022/246571, each incorporated herein by reference:
Figure imgf000023_0001
(ii) Compounds described in WO 2022/246555, which is incorporated herein by reference:
Figure imgf000023_0003
(iv) Compounds described PCT/CA2023/051272, which is incorporated herein by reference:
Figure imgf000023_0002
Figure imgf000024_0001
(v) Compounds described in PCT/CA2023/051273, which is incorporated herein by reference:
Figure imgf000024_0002
Figure imgf000025_0001
(vi) Compounds described in PCT/CA2023/051727, which is incorporated herein by reference:
Figure imgf000025_0002
(vii) Compounds described in PCT/CA2023/051274, which is incorporated herein by reference:
Figure imgf000025_0003
Figure imgf000026_0001
Figure imgf000027_0001
(viii) Compounds described in U.S. patent application No. 18/442,431 filed on February 15, 2024, which is incorporated herein by reference:
Figure imgf000027_0002
6.45
(ix) Compounds described in U.S. provisional patent application No. 63/517,628, filed on August 4, 2023, which is incorporated herein by reference:
Figure imgf000027_0003
Figure imgf000028_0001
Scheme 6
[0080] Certain ionizable anionic head groups present in lipids of Formula A are derived from carboxylic acids 7.1-7.5 of Scheme 7. These compounds are either known (for 7.1: Wityak, J., et al. WO 2010/011302; for 7.2: Backes, B. J., etal., J. Org. Chem. 1999, 64, 2322, each incorporated herein by reference) or can be prepared by modifications of published procedures that would be apparent to those of skill in the art (for 7.3: procedure for 7.1, but starting with ethyl 4-cyanobutyrate; for 7.4 and 7.5: procedure from Malabarba, A., et al., Farmaco Sci. 1977, 32. 650, but starting with ethyl 3- cyanopropionate and ethyl 4-cyanobutyrate, respectively).
Figure imgf000029_0001
Scheme 7
[0081] Certain ionizable anionic head groups present in lipids of Formula A are derived from alcohols 8.1-8.4 of Scheme 8.
Figure imgf000029_0002
Scheme 8
[0082] The foregoing compounds can be prepared from nitriles 9.1 and 9.2 by procedures that would be apparent to those of skill in the art. Representative, but not limiting, synthesis methods are outlined in Scheme 9.
NaN3 N^N HF - pyr * TBSO-(CH2)t^\ I - *- 8.1 or 8.2 8.3 or 8.4
Figure imgf000029_0003
Figure imgf000029_0005
9.5 t = 3 9-7 t = 3
9.6 t = 4 9.8 t = 4
Scheme 9
[0083] Non-limiting examples of anionic ionizable lipids that provide the benefits set forth above are compounds L1-L12 below. As stated earlier, such compounds can be produced by subjecting an appropriate ketone, for example, one of the ketones in Scheme 6, to synthesis steps that transform the keto group into an anionic ionizable head group of Formula I, Formula II, and Formula III above.
Figure imgf000029_0004
Figure imgf000030_0001
Figure imgf000031_0001
[0084] The preparation of LI involves treatment of the known alcohol 10.1 (Semple, S., et al., Nature Biotechnol. 2010, 28, 172-6) with oxalyl chloride at an appropriately low temperature, for example, 0°C, followed by aqueous workup to cause conversion of an intermediate chloro-oxalate (not isolated) to LI (Scheme 10).
(COCI)2
Figure imgf000031_0003
Scheme 10
[0085] The synthesis of L2 starts with the reduction of ketone 6.1 to alcohol 11.1 with a hydride reagent, for example, a boron hydride such as sodium borohydride, in an appropriate solvent, for example an alcohol such as methanol, ethanol, isopropanol, and the like, and at a suitably low temperature, for example, 0°C. Further reaction of alcohol 11.1 thus obtained with Meldrum’s acid (2, 2-dimethyl-l,3-dioxan-4, 6-dione) at an appropriate solvent and at a suitably elevated temperature, for example, in refluxing toluene, produces L2 (Scheme 11).
Figure imgf000031_0002
Scheme 11
[0086] Lipid L3 can be prepared by reaction of alcohol 11.1 with succinic anhydride in an appropriate solvent, for example, in pyridine, at a suitably elevated temperature, for example, 90°C, and optionally in the presence of a nucleophilic catalyst such as 4-(N,N- dimethylamino)pyridine (DMAP; Scheme 12).
Figure imgf000032_0001
Scheme 12
[0087] Lipid L4 can be obtained by the method of Scheme 12, except that glutaric anhydride is employed in lieu of succinic anhydride (Scheme 13).
Figure imgf000032_0002
Scheme 13
[0088] Lipid L5 can be made by esterification of alcohol 11.1 with acid 7.1 in the presence of a coupling agent, for example, a carbodiimide such as EDCI, in an appropriate solvent, for example CH2CI2, and at a suitable temperature, for example, room temperature, and optionally in the presence of a nucleophilic catalyst such as DMAP (Scheme 14).
Figure imgf000032_0003
Scheme 14
[0089] Lipid L6 can be obtained by the method of Scheme 14, except that acid 7.4 is employed in lieu of acid 7.1 (Scheme 15).
Figure imgf000033_0001
Scheme 15
Lipid L7 can be prepared starting with esterification of alcohol 11.1 with acid 7.2 in the presence of a coupling agent, for example, a carbodiimide such as EDCI, in an appropriate solvent, for example THF, and at a suitable temperature, for example, room temperature, and optionally in the presence of a nucleophilic catalyst such as DMAP. The product of this initial step, 16.1, can be transformed into L7 by N-acylation with isobutyric anhydride in an appropriate solvent, for example, CH2CI2, at a suitable temperature, for example, room temperature, in the presence of a base, for example, tri ethyl amine, and optionally in the presence of a nucleophilic catalyst such as DMAP (Scheme 16).
Figure imgf000033_0002
Scheme 16
[0090] Lipid L8 can be synthesized reaction of L3 with methanesulfonamide in the presence of a coupling agent, for example, a carbodiimide such as EDCI, in an appropriate solvent, for example CH2CI2, at a suitable temperature, for example, room temperature, and optionally in the presence of a nucleophilic catalyst such as DMAP (Scheme 17).
Figure imgf000034_0001
Scheme 17
[0091] The synthesis of lipid L9 (Scheme 18) starts with the ketalization of ketone 6.1 with 1,2,4-butanetriol in the presence of an acid catalyst such as pyridinium para- toluenesulfonate (PPTS), in an appropriate solvent, for example, toluene, at a suitably elevated temperature, for example, at reflux, and preferably with continuous removal of water, for example, by the use of a Dean-Stark trap. Compound 18.1 thus obtained is transformed into L9 by reaction with succinic anhydride as per Scheme 12 above.
Figure imgf000034_0002
Scheme 18
[0092] Lipid LIO can be made from ketone 6.4 as outlined above in Schemes 11-12
Figure imgf000034_0003
Scheme 19
[0093] Lipid Lil can be made from ketone 6.6 as outlined above in Schemes 11-12
(Scheme 20).
Figure imgf000035_0001
Scheme 20
[0094] Lipid L12 can be made from alcohol 20.1 as outlined above in Scheme 14 (Scheme 21).
Figure imgf000036_0001
Scheme 21
[0095] Those skilled in the art will appreciate that similar synthesis steps, or modifications thereof, can be employed to convert any of the ketones of Scheme 6 into an anionic ionizable lipid of Formula A, including, without limitation, exemplary lipids L13-88 set forth below.
Examples of anionic ionizable lipids:
Figure imgf000036_0002
Figure imgf000037_0001
Figure imgf000038_0001
Figure imgf000039_0001
Figure imgf000040_0001
Figure imgf000041_0001
Figure imgf000042_0001
Figure imgf000043_0001
Figure imgf000044_0001
Figure imgf000045_0001
Figure imgf000046_0001
Figure imgf000047_0001
Formulations
[0096] The ionizable anionic lipid produced by the method of the disclosure may be formulated in a variety of delivery vehicles known to those of ordinary skill in the art. An example of a delivery vehicle is a lipid nanoparticle, which includes liposomes, lipoplexes, polymer nanoparticles comprising lipids, polymer-based nanoparticles, emulsions, and micelles.
[0097] In one embodiment, the ionizable anionic lipids are formulated in a delivery vehicle by mixing them with additional lipids, including helper lipids, such as vesicle forming lipids and optionally an aggregation inhibiting lipid, such as a hydrophilic polymer-lipid conjugate (e.g., PEG-lipid).
[0098] As set forth previously, a helper lipid includes a sterol, a diacylglycerol, a ceramide or derivatives thereof.
[0099] Examples of sterols include cholesterol, or a cholesterol derivative, such as cholestanol, cholestanone, cholestenone, coprostanol, cholesteryl-2'-hydroxyethyl ether, cholesteryl-4'-hydroxybutyl ether, beta-sitosterol, fucosterol, and the like.
Examples of diacylglycerols include dipalmitoylphosphatidylcholine (DPPC), distearoylphosphatidylcholine (DSPC), dioleoylphosphatidylethanolamine (DOPE), palmitoyloleoyl-phosphatidylcholine (POPC), palmitoyloleoyl-phosphatidylethanolamine (POPE), palmitoyloleyol-phosphatidylglycerol (POPG), dipalmitoylphosphatidylethanolamine (DPPE), dimyristoyl-phosphatidylethanolamine (DMPE), distearoyl-phosphatidylethanolamine (DSPE), monomethyl-phosphatidylethanolamine, dimethyl-phosphatidylethanolamine, dielaidoyl-phosphatidylethanolamine (DEPE), stearoyloleoyl-phosphatidylethanolamine (SOPE), egg phosphatidylcholine (EPC), and mixtures thereof. In certain embodiments, the phospholipid is DPPC, DSPC, or mixtures thereof. These lipids may be synthesized or obtained from natural sources, such as from egg.
[00100] A suitable ceramide derivative is egg sphingomyelin.
[00101] In some embodiments, the LNP has high levels of sterol, for example greater than 40 mol%, 45 mol%, 50 mol%, 55 mol%, 60 mol% or 65 mol%. The upper limit of sterol content includes 75 mol% or 70 mol%.
[00102] Examples of sterols include cholesterol, or a cholesterol derivative, the latter referring to a cholesterol molecule having a gonane structure and one or more additional functional groups.
[00103] The cholesterol derivative includes [3-sitosterol, 3-sitosterol, campesterol, stigmasterol, fucosterol, or stigmastanol, dihydrocholesterol, ent-cholesterol, epicholesterol, desmosterol, cholestanol, cholestanone, cholestenone, cholesteryl-2'- hydroxyethyl ether, cholesteryl-4'-hydroxybutyl ether, 3 [N-(N'N'- dimethylaminoethyl)carbamoyl cholesterol (DC-Chol), 24(S)-hydroxycholesterol, 25- hydroxy cholesterol, 25(R)-27-hydroxy cholesterol, 22-oxacholesterol, 23-oxacholesterol, 24-oxacholesterol, cycloartenol, 22-ketosterol, 20-hydroxysterol, 7 -hydroxy cholesterol, 19-hydroxy cholesterol, 22 -hydroxycholesterol, 25-hydroxy cholesterol, 7- dehydrocholesterol, 5a-cholest-7-en-3[3-ol, 3,6,9-trioxaoctan-l-ol-cholesteryl-3e-ol, dehydroergosterol, dehydroepiandrosterone, lanosterol, dihydrolanosterol, lanostenol, lumisterol, sitocalciferol, calcipotriol, coprostanol, cholecalciferol, lupeol, ergocalciferol, 22-dihydroegocalciferol, ergosterol, brassicasterol, tomatidine, tomatine, ursolic acid, cholic acid, chenodeoxy cholic acid, zymosterol, diosgenin, fucosterol, fecosterol or a salt or ester thereof.
[00104] The lipid nanoparticle further comprises an ionizable cationic lipid. Generally, the ionizable cationic lipid has an amino group. The ionizable cationic lipid may be charged at low pH and bear substantially no net charge at physiological pH. This allows for electrostatic interactions between the lipid and the negatively charged nucleic acid cargo during initial formulation. Since the ionizable cationic lipid is near neutral at physiological pH, toxicity and renal clearance is reduced. Without being limited by theory, after cellular uptake by endocytosis, the acidic environment of the endosome leads to an increase in the net positive charge of the ionizable cationic amino lipids, which promotes fusion with the anionic lipids of the endosomal membrane and subsequent membrane destabilization and release of the nucleic acid-based therapeutics into the cytoplasm to exert their effects.
[00105] Delivery vehicles incorporating the ionizable lipids (cationic and anionic) can be prepared using a wide variety of well described formulation methodologies known to those of skill in the art, including but not limited to extrusion, ethanol injection and in-line mixing. Such methods are described in Maclachlan, I. and P. Cullis, “Diffusible-PEG- lipid Stabilized Plasmid Lipid Particles”, Adv. Genet., 2005. 53PA: 157-188; Jeffs, L.B., et al., “A Scalable, Extrusion-free Method for Efficient Liposomal Encapsulation of Plasmid DNA”, Pharm Res, 2005. 22(3):362-72; and Leung, A.K., et al., “Lipid Nanoparticles Containing siRNA Synthesized by Microfluidic Mixing Exhibit an Electron-Dense Nanostructured Core”, The Journal of Physical Chemistry. C, Nanomaterials and Interfaces, 2012, 116(34): 18440-18450, each of which is incorporated herein by reference in its entirety.
[00106] The delivery vehicle can also be a nanoparticle that is a lipoplex that comprises a lipid core stabilized by a surfactant. Vesicle-forming lipids may be utilized as stabilizers. The lipid nanoparticle in another embodiment is a polymer-lipid hybrid system that comprises a polymer nanoparticle core surrounded by stabilizing lipid.
[00107] Nanoparticles comprising the ionizable lipids (anionic and cationic) may alternatively be prepared from polymers without lipids. Such nanoparticles may comprise a concentrated core of a therapeutic agent that is surrounded by a polymeric shell or may have a solid or a liquid dispersed throughout a polymer matrix.
[00108] The following examples are given for the purpose of illustration only and not by way of limitation on the scope of the invention.
EXAMPLES
Organic synthesis of representative ionizable anionic lipids
[00109] Unless otherwise specified, all reagents and solvents were commercial products and were used without further purification, except THF (freshly distilled from Na/benzophenone under Ar), CH2CI2 (freshly distilled from CaEL under Ar). “Dry methanol” was freshly distilled from magnesium turnings. All reactions were performed under an argon atmosphere. Reaction mixture from aqueous workups were dried by passing over a plug of anhydrous Na2SC>4 held in a filter tube and concentrated under reduced pressure on a rotary evaporator. Thin-layer chromatography was performed on silica gel plates coated with silica gel (Merck 60 F254 plates) and column chromatography was performed on 230-400 mesh silica gel. Visualization of the developed chromatogram was performed by staining with I2 or potassium permanganate solution.1 H and13C nuclear magnetic resonance (NMR) spectra were recorded at room temperature in CDCh solutions.1 H NMR spectra were referenced to residual CHCh (7.26 ppm) and13C NMR spectra were referenced to the central line of the CDCh triplet (77.00 ppm). Chemical shifts are reported in parts per million (ppm) on the 5 scale. Multiplicities are reported as “s” (singlet), “d” (doublet), “f ’ (triplet), “q” (quartet), “m” (multiplet), and further qualified as “app” (apparent) and “br” (broad). Low- and high-resolution mass spectra (m/z) were obtained in the electrospray (ESI) and field desorption/field ionization (FD/FI) mode.
LNP preparation
[00110] The LNPs were prepared by dissolving mRNA in 25 mM sodium acetate, pH 4.0, while the lipid components at the mole % specified were dissolved in absolute ethanol. The lipids in ethanol and the luciferase mRNA in buffer were combined in a 1 :3 volume by volume ratio using a t-junction with dual-syringe. The solutions were pushed through the t-junction at a combined flow rate of 20 mL/min (5 mL/minute for the lipid-containing syringe, 15 mL/minute for the mRNA-containing syringe). The mixture was subsequently dialyzed overnight against -100 volumes of lx phosphate buffered saline, pH 7.4 using Spectro/Por dialysis membranes (molecular weight cut-off 12000-14000 Da). The LNPs were concentrated to 0.1 mg/mL (mRNA) with an Amicon Ultra™ 10000 MWCO (molecular weight cut-off), regenerated cellulose concentrator.
Encapsulation efficiency was calculated by determining unencapsulated mRNA content by measuring the fluorescence upon the addition of RiboGreen™ to the mRNA-LNP (F) and comparing this value to the total mRNA content that is obtained upon lysis of the LNP by 2% Triton X-100 (Ft): % encapsulation = (Ft - F)/Ft x 100.
[00111] The particle size and poly dispersity index (PDI) were characterized using a Zetasizer Nano ZS™. The N/P for each formulation was 6.
In vivo analysis in CD-I mice [00112] LNP-mRNA encoding firefly luciferase were injected intravenously (tail-vein) into 6-8 week old CD-I mice. Four hours following injection, the animals were euthanized and the liver and spleen and isolated. Tissue was homogenized in Gio Lysis buffer and a luciferase assay performed using the Steady Gio Luciferase assay kit (as per manufacturers recommendations).
Synthesis of building blocks
[00113] i. 6-Oxoundecane-l,ll-diyl bis(2-hexyldecanoate) (6.6). A solution of 1,11- dihydroxyundecan-6-one (1.00 g, 4.95 mmol), 2-hexyldecanoic acid (1647 mg, 6.43 mmol), A-(3-dimethylaminopropyl)-A'-ethylcarbodiimide hydrochloride (1128 mg, 6.43
Figure imgf000051_0001
oily material, which was purified by column chromatography on silica gel (230-400 mesh, 40 mL) by eluting with 10-15% ethyl acetate in hexanes. This afforded 2.87 g of pure product (85%) as a colorless oil. 'H NMR(400 MHz, CDCh) 84.04-4.07 (t, 4H, J = 6.46), 2.38-2.42 (t, 4H, J = 7.28), 2.26-2.37 (m, 2H), 1.55-1.66 (m, 8H), 1.25-1.49 (m, 52H), 0.85-0.89 (t, 12H, J = ), 1.48-1.59 (m, 12H), 1.18-1.39(t, 53H), 0.78-0.83 (t, 12H, J = 7.16).
[00114] ii. General procedure for ketone reduction. Solid NaBHi (2 mmol) was added portion-wise to a stirred solution of a ketone (2 mmol) in 95% ethanol (10 mL) at 0°C (ice bath). After stirring at 0°C for 1 h, the reaction was checked for completion, either by TCL (5% ether in hexanes) or, more reliably, by adding 3-4 drops of the reaction mixture to saturated aqueous NH4CI solution (0.5 mL), extracting with hexanes, evaporating the combined extracts to dryness, and checking the residue by1 H NMR. Either method indicated that the reaction was complete. The reaction was quenched by careful addition of aqueous saturated NH4CI solution (caution should be taken due to H2 evolution and foaming) and concentrated on the rotary evaporator to remove the ethanol. The aqueous residue was extracted with hexanes (3 x 10 mL). The combined extracts were passed through a plug of anhydrous Na2SO4 and concentrated to afford crude alcohol, which can purified by silica gel column chromatography, typically with an eluent gradient of 5 - 10% v/v ethyl acetate in hexanes. The yield of alcohol is normally 90-95%. The following alcohols were thus obtained:
[00115] a. (9Z,26Z)-Pentatriaconta-9,26-dien-18-ol (11.1). From ketone 6.1. 'H NMR 5
Figure imgf000052_0001
9,28-dien-19-ol (580 mg, 1.09 mmol) in DCM (10 mL) was added dropwise to a solution of oxalyl chloride (95 pL, 1.10 mmol) in DCM (1.00 mL) at 0 °C under an atmosphere of nitrogen. The reaction was stirred and allowed to warm slowly over 18 hours, quenched with water (10 mL) and extracted with DCM (3 x 10 mL). The combined extracts were dried (NfeSCL) and concentrated. The residue was purified by silica chromatography (0- 5% MeOH in DCM) to yield the title compound as an oil (317 mg, 48%).JH NMR (400 MHz, CDCh) 8 5.41-5.33 (m, 4H), 5.05-5.04 (m, 1H), 2.05-2.00 (m, 8H), 1.70-1.66 (m,
4H), 1.29 (br, 48H), 0.92-0.86 (t, J= 8.0 Hz, 6H). Example 2. Representative procedure for conversion of an alcohol to the hemimalonate ester: 3-oxo-3-(((9Z,26Z)-pentatriaconta-9,26-dien-18- yl)oxy)propanoic acid (L2):.
Figure imgf000053_0001
[00119] A solution of (9Z,26Z)-pentatriaconta-9,26-dien-18-ol (700 mg, 1.39 mmol) and Meldrum’s acid (280 mg, 1.94 mmol) in toluene (10 mL) was heated to reflux under an atmosphere of nitrogen for 18 hours. The reaction was stirred with 2N HC1 (7.00 mL) at room temperature for 30 mins then extracted with DCM (3 x 15 mL). The combined extracts were dried (Na2SO4) and concentrated. The residue was purified by silica chromatography (0-5% MeOH in DCM) to yield the title compound as an oil (610 mg, 74%). 'H NMR (400 MHz, CDC13) 8 5.41-5.33 (m, 4H), 5.02-4.96 (m, 1H), 3.45 (s, 2H), 2.06-2.01 (m, 8H), 1.58-1.57 (m, 4H), 1.29 (br s, 44H), 0.92-0.86 (t, J= 8.0 Hz, 6H).
Example 3. General procedure for the conversion of an alcohol to the hemisuccinate ester.
[00120] A solution of an alcohol (1 mmol) and succinic anhydride (1.3 mmol) in pyridine (5 mL) was heated to 90 °C for 18 hours under nitrogen. The reaction was cooled, diluted with Et20 (15.0 mL) and sequentially washed with 2N HC1 (15.0 mL), water (20 mL) and brine (20 mL). The organic phase was dried SfeSCL) and concentrated. The residue was purified by silica chromatography, typically by eluting with 0-5% MeOH in CH2C12 to yield the pure product. Yields are typically 85-95 %. The following compounds were thus obtained:
[00121] a. 4-Oxo-4-(((9Z,26Z)-pentatriaconta-9,26-dien-18-yl)oxy)butanoic acid (L3).
From alcohol 11.1. 'H NMR (400 MHz, CDCh) 8 5.41-5.32 (m, 4H), 4.91-4.88 (m, 1H),
Figure imgf000053_0002
(synthesis described in Example 7). 'H NMR (400 MHz, CDCI3) 85.36 (m, 4H), 4.55 (m, 1H), 4.33 (m, 1H), 4.1 (m, 1H), 3.90 (m, 1H), 3.64 (m, 1H), 2.71-2.60 (m, 4H), 2.18 (m, 8H), 1.50 (m, 4H), 1.40-1.20 (m, 44H), 0.89 (br t, 6H).
[00123] c. 4-Oxo-4-(((6Z,9Z,26Z,29Z)-pentatriaconta-6,9,26,29-tetraen-18-
Figure imgf000054_0001
[00125] A solution of (9Z,26Z)-pentatriaconta-9,26-dien-18-ol (600 mg, 1.2 mmol), glutaric anhydride (136 mg, 1.68 mmol) in pyridine (10 mL) was heated to 90 °C for 18 hours under nitrogen. The reaction was cooled, diluted with Et20 (15.0 mL) and washed with 2N HC1 (15 mL), water (25 mL) and brine (25 mL). The organics were dried (NfeSCL) and concentrated. The residue was purified by silica chromatography (0-5% MeOH in CH2CI2) to yield the title compound as an oil (635 mg, 94%).1H NMR (400 MHz, CDCh) 8 5.41-5.32 (m, 4H), 4.91-4.88 (m, 1H), 2.47-2.38 (m, 4H), 2.05-1.94 (m, 10H), 1.53-1.52 (m, 4H), 1.29 (br s, 44H), 0.88-0.86 (t, J= 8.0 Hz, 6H).
Example 5. General procedure for alcohol esterification with an acid of Scheme 7. [00126] A solution of an alcohol (150 pmol), an acid (180 pmol, 1.2 equiv) and EDCI*HC1 (230 pmol, 1.5 equiv) in dry CH2CI2 (3 mL) was stirred at room temperature for 5 minutes prior to the addition of DMAP (150 pmol, 1 equiv). The mixture was stirred overnight at room temperature, under argon, whereupon TLC (5% MeOH in CH2CI2) and NMR indicated that the reaction had completed. The solution was diluted with more CH2CI2 (10 mL) and washed with water (10 mL). The organic phase was passed over a plug of anhydrous Na2SC>4 and concentrated in vacuo. The residue was purified by column chromatography, typically by eluting with 3% v/v MeOH in CH2CI2 to afford pure product, typically in 50-70% yield. The following compounds were thus prepared:
[00127] a. (9Z,26Z)-Pentatriaconta-9,26-dien- 18-yl 3-(2H-tetrazol-5-yl)propanoate (L5). From alcohol 11.1 and acid 7.1. 'H NMR (400 MHz, CDCh) 8 5.27-5.14 (m, 4H),
Figure imgf000055_0001
2H), 2.30 (t, J= 6.5 Hz,
2H), 2.05-1.90 (m, 12H), 1.55-1.29 (br m, 46H), 0.87 (br t, J= 8.0 Hz, 6H). [00130] d. 6-((3-(2H-Tetrazol-5-yl)propanoyl)oxy)undecane-l,ll-diyl bis(2- m
Figure imgf000056_0003
, , . . , .
Hz, 2H), 2.38-2.31 (m, 2H), 1.68-1.26 (m, 64H), 0.90-0.89 (m, 12H).
Example 6. Representative procedures for sulfonamide acylation.
[00131] a. Sulfonamide acylation with a carboxylic acid anhydride: (9Z,26Z)- pentatriaconta-9,26-dien- 18-yl 4-(N-isobutyrylsulfamoyl)butanoate (L7).
Figure imgf000056_0001
[00132] To a solution of (9Z,26Z)-pentatriaconta-9,26-dien- 18-yl 4-sulfamoylbutanoate
(185 mg, 283 pmol) in pyridine (0.5 mL) in a conical vial was added isobutyric anhydride
(68 mg, 68 pL. 424 pmol, 1.5 equiv) and the mixture was stirred under nitrogen overnight. The mixture was treated with aqueous IN HC1 solution (3 mL) and the product extracted with ether (3 x 2 mL). The combined extracts were dried (fdtration through anhydrous Na2SO4) and concentrated and the residue was purified by silica gel chromatography (eluent: 20% EtOAc / hexanes) to give 73 mg (36%) of pure product. 'H NMR (400 MHz, CDCh) 8 5.41-5.32 (m, 4H), 4.91-4.88 (m, 1H), 3.10 (t, J= 7.5 Hz, 2H), 2.71 (m, 1H), 2.30 (t, J= 6.5 Hz, 2H), 2.05-1.90 (m, 12H), 1.55-1.29 (br m, 46H), 1.12 (d, 6H, J= 7 Hz) 0.87 (br t, J= 8.0 Hz, 6H).
[00133] b. Sulfonamide acylation with an acid in the presence of a condensing agent:
(9Z,26Z)-pentatriaconta-9,26-dien- 18-yl 4-(methylsulfonamido)-4-oxobutanoate (L8).
To a solution of 4-oxo-4-(((9Z,26Z)-pentatriaconta-9,26-dien-18-yl)oxy)butanoic acid
(910 mg, 1.5 mmol, 1.0 equiv) in CH2CI2 (8 mL)
Figure imgf000056_0002
was added EDCI (2.0 mmol, 1.3 equiv), DMAP (4.1 mmol, 2.7 equiv) and methanesulfonamide (170 mg, 1.8 mmol, 1.2 equiv) at 0 °C under nitrogen atmosphere and with good stirring. The reaction mixture was warmed to RT and stirred overnight, after which time TLC showed that the reaction was complete. The reaction was quenched with IM HC1 and extracted with CH2CI2 (3x15 mL). The combined extracts were washed with brine (15 mL), dried (Na2SO4) and evaporated. The residue was purified by silica gel column chromatography (20% EtOAc/hexanes) gel to provide 889 mg of pure product (87%). 'H NMR (400 MHz, CDCh) 8 5.41-5.32 (m, 4H), 4.91-4.88 (m, 1H), 3.06 (s, 3H), 2.71-2.60 (m, 4H), 2.05-1.94 (m, 8H), 1.53-1.52 (m, 4H), 1.29 (br s, 44H), 0.88-0.86 (t, J= 8.0 Hz, 6H).
Example 7. Representative procedure for ketone ketalization: 2-(2,2-di((Z)-heptadec- 8-en- 1-yl)- 1 ,3-dioxolan-4-yl)ethan- l-ol (18.1).
Figure imgf000057_0001
[00134] A mixture of ketone 6.1 (500 mg, 1.0 mmol), 1,2,4-butanetriol (technical grade, ca. 90%, 236 mg, 2 mmol) and pyridinium p- toluenesulfonate (50 mg, 0.2 mmol) in 50 mL of toluene was refluxed under nitrogen overnight with continuous removal of water (Dean-Stark trap). Upon completion of the reaction, the mixture was cooled to room temperature, washed with water (2 x 30 mL), dried by passing over a plug of anhydrous Na2SC>4 and evaporated. The yellowish oily residue (0.6 g) was purified by silica gel (230-400 mesh, 50 g) column chromatography, with dichloromethane as eluent, to afford 0.87-0.93 mmol (87-93%) of pure ketal.XH NMR (400 MHz, CDCh) 8 5.41-5.32 (m, 4H), 4.23 (m, 1H), 4.09 (m, 1H), 3.82 (m, 2H), 3.54 (t, 1H), 2.25 (t, 1H [OH]), 2.05 (m, 8H), 1.84-1.23 (m, 50H), 0.89 (t, 6H). LRMS: m/z 591 [M+H]+, 613 [M+Na]+.
Example 8: Inclusion of ionizable anionic lipid in an Onpattro™ composition increases activity in the liver
[00135] Lipid nanoparticles having a lipid composition similar to Onpatro™ were prepared as described above with varying amounts of the ionizable anionic lipid L3, referred to as “lipid L3” in the table below. The cargo was mRNA encoding for luciferase.
Table 1: Onpattro™ mRNA-LNP formulations prepared to examine liver mRNA expression in vivo with varying amounts of ionizable anionic lipid
Figure imgf000058_0002
[00136] The structure of lipid L3 is set forth below:
Figure imgf000058_0001
[00137] The formulation characteristics including size (nm), poly dispersity index (PDI) and encapsulation percent for each LNP were assessed as described above and the results are presented in Figure 1A.
[00138] Inclusion of 5% ionizable anionic lipid L3 in the Onpatro™ composition with replacement of cholesterol (50/10/38.5-X/X/l.5 nMC3/DSPC/Chol/lipid L3/PEG-DMG) leads to a 1.6X increase in activity of luciferase expressed from the mRNA (luminescence intensity/mg liver) when the anionic lipid is present at 5 mol% and 10 mol% (Sample D and E in Table 1) relative to Onpatro™ (Figure IB). Example 9: Inclusion of ionizable anionic lipid in a high sterol composition increases activity in the liver
[00139] Lipid nanoparticles having elevated levels of sterol (cholesterol) relative to Onpattro™ were prepared as described above with varying amounts of the ionizable anionic lipid L3, referred to as “lipid L3” (see Example 8). The cargo was mRNA encoding for luciferase.
Table 2: High sterol mRNA-LNP formulations prepared to examine liver mRNA expression in vivo with varying amounts of ionizable anionic lipid
Figure imgf000059_0001
[00140] The formulation characteristics including size (nm), poly dispersity index (PDI) and encapsulation percent for each LNP were assessed as described above and the results are presented in Figure 2 A.
[00141] Inclusion of 5% ionizable anionic lipid L3 (structure above) in the high cholesterol LNP composition with replacement of cholesterol (42/56.5-X/X/1.5 MC3/Chol/ lipid L3/PEG-DMG) leads to a 1.4X increase in activity of luciferase expressed from the mRNA (luminescence intensity/mg liver) when the ionizable anionic lipid is present at 5 mol% mol% (Sample D in Table 2) relative to Onpattro™ (Figure 2B). By contrast, the luminescence intensity/mg spleen was significantly lower relative to Onpattro™ (Figure 2C). Example 10: Various ionizable anionic lipids in a high sterol LNP composition increase activity in the liver
[00142] Table 3 below sets out the high sterol LNPs prepared.
Table 3: High sterol LNPs tested with various ionizable anionic lipids and ionizable cationic lipids
Figure imgf000060_0001
[00143] Inclusion of ionizable anionic lipids L3 (structure above), LI, and Lil (structures below) in a high cholesterol LNP composition with replacement of cholesterol (40/58.5- X/X/1.5 ionizable cationic lipid/Chol/ionizable anionic lipid/PEG-DMG) increases activity of luciferase expressed from the mRNA (luminescence intensity/mg liver) when the ionizable anionic lipid is present at 2.7 mol% to 7.5 mol % relative to an LNP of MC3/Chol/PEG-DMG (40/58.5/1.5 mol/mol). The results are presented in Figure 3A. [00144] For each formulation tested, the inclusion of ionizable anionic lipid improves activity in concentration-dependent and structure-dependent manner.
Figure imgf000061_0001
[00145] In a high-sterol composition (40/58.5-X/X/1.5 ionizable cationic lipid/Chol/ionizable anionic lipid/PEG-DMG), inclusion of the ionizable anionic lipid improves liver-specificity regardless of the structure of the ionizable anionic lipid. The ionizable anionic lipids examined were lipid L3 (structure above in Example 8), lipid Lil (structure above), and lipid L10 (structure below). The results are presented in Figure 3B and 3C.
Figure imgf000061_0002
Example 11: Comparative example showing improvements in liver targeting vs known formulations containing ionizable anionic lipid
[00146] This example compares the results of a known LNP having ionizable anionic lipid as described in U.S. Patent No. 11,219,634. The previously described lipid nanoparticles comprise cholesteryl hemisuccinate (CHEMS) as the ionizable anionic lipid and Dioleoy 1-3 -trimethylammonium propane (DOTAP) as the ionizable cationic lipid.
The formulations tested are summarized in Table 4 below. Table 4: High sterol LNPs of the disclosure and LNPs having CHEMS as the ionizable anionic lipid
Figure imgf000062_0001
[00147] Figures 4A and 4B summarize the results. The liver and spleen activity of the known formulations C and D were both at baseline levels. The spleen activity of high sterol LNPs having CHEMS (LNP B) is higher in comparison to the LNP of the disclosure comprising the ionizable anionic lipid L3 (LNP A). See Figure 4B. The opposite results for LNP A and B are observed for the liver (Figure 4A), demonstrating that LNPs having the ionizable anionic lipid of the disclosure (e.g., lipid L3 above) are targeted to the liver over the spleen relative to the same composition having CHEMS.
Example 12: High sterol LNPs exhibit enhanced hepatocyte cellular specificity relative to Onpattro™ while being more liver-tropic
[00148] To determine the cellular specificity of high sterol anionic LNPs, mCheny mRNA was encapsulated within an LNP formulation of nMC3/lipid L3/Chol/PEG-DMG at 40/5/53.5/1.5 mol% in comparison with Onpattro™ (nMC3), in which CD-I mice were injected at 1 mg/kg before mice were taken down at a 24-hour end point. Mice were euthanized and perfused with 15 mL of cold 1 x phosphate buffered saline (PBS). Livers were collected into 5 mL RPMI supplemented with 5% heat inactivated fetal bovine serum (HI-FBS). Livers were then minced and digested in RPMI with 0.5 mg/mL collagenase type IV (Sigma- Aldrich™) and 2 mg/mL DNase I (Sigma-Aldrich™) for 30 minutes at 37°C, shaking at 200 rpm. Single cell suspensions were obtained by passing digested liver through a 70pm sieve. Single cell suspensions were then spun at 50g for 3 minutes at 4°C to pellet and collect hepatocytes. The supernatant containing the non-parenchymal cell fraction was collected. Hepatocytes were then washed another two times with 10 mL FACS buffer. The non-parenchymal fractions from livers were then isolated using a 20% OptiPrep gradient (StemCell Technologies™, see manufacturer’s protocol). Cells were washed with flow cytometry staining (FACS) buffer and analyzed by flow cytometry (see below).
Surface staining for flow cytometry
[00149] Liver cells were resuspended in PBS containing 5% HI-FBS, 0.05% NaNs, and 2.5mM EDTA (FACS buffer) and incubated with anti-FcgRII/RIII (2.4G2) for at least 15 minutes on ice. Cells were then stained with either fluorochrome conjugated against CDl lb [MI/70], CD26[H94-112], CD31 [MEC13.3], CD38 [90], panCD45 [13/2], CD45R (B220) [RA3-6B2], Clec4F [3E3F9], Ly6G [IA8], TCR [H57-597] (Thermo Fisher™, BD Bioscience, BioLegend) for 45 minutes on ice in the dark. To exclude dead cells, cells were stained with Fixable Viability Dye (Thermo Fisher™) as per manufacturer’s instructions prior to flow cytometry acquisition.
Acquisition and analysis of flow cytometry data
[00150] A Cytoflex LX™ was used to obtain flow cytometry data, and analysis was performed using FlowJo™ (TreeStar™).
[00151] The LNPs were prepared as described in Example 2 above except encapsulate mCherry mRNA from TNT Scientific Inc.™ instead of luciferase mRNA.
[00152] The formulations characteristics including size (nm), PDI and encapsulation percent for each LNP were assessed as described in Example 1 and the results are presented in Figure 5 A.
[00153] Surprisingly, the high sterol formulation with anionic lipid had comparable mCherry expression with Onpattro™ in hepatocytes (Figure 5C) but decreased mCherry expression in most other parenchymal liver cell types. Combined with the data presented in Figure 3B, the results demonstrate a hepatocyte-centric formulation compared to Onpatro™ with the same ionizable lipid while increasing the liver tropism of our formulations.

Claims

1. A lipid nanoparticle comprising a non-phospholipid, ionizable anionic lipid, an ionizable cationic lipid and at least one helper lipid, the non-phospholipid, ionizable anionic lipid comprising an anionic head group moiety having an acidic group, and at least two lipophilic groups, each having 6 to 40 carbon atoms, optionally at least one of the lipophilic groups substituted with a biodegradable group.
2. The lipid nanoparticle of claim 1 further comprising a hydrophilic-polymer lipid conjugate.
3. The lipid nanoparticle of claim 2, wherein the hydrophilic-polymer lipid conjugate is a PEG-lipid.
4. The lipid nanoparticle of any one of claims 1 to 3, wherein at least one of the lipophilic groups comprises a cyclic group, optionally with one or more heteroatoms.
5. The lipid nanoparticle of any one of claims 1 to 4, wherein at least one of the lipophilic groups comprises 1 to 3 double bonds.
6. The lipid nanoparticle of any one of claims 1 to 5, wherein at least one of the lipophilic groups is a sterol.
7. The lipid nanoparticle of claim 6, wherein the sterol is cholesterol.
8. The lipid nanoparticle of any one of claims 1 to 7, wherein the non-phospholipid, ionizable anionic lipid has a pKa of between 4 and 6.5.
9. The lipid nanoparticle of any one of claims 1 to 8, wherein the anionic head group comprises: one or more carboxylic acid groups; one or more tetrazole groups or tautomers thereof; one or more l,2,4-oxadiazol-5(477)-one groups or tautomers thereof; and/or one or more /V-acylsulfonamide groups.
10. An ionizable anionic lipid or a pharmaceutically acceptable salt thereof of Formula A
Figure imgf000066_0001
Formula A wherein
R1 and R2 are, independently, lipophilic groups,
R3 is H or a Ci-Cs alkyl group, optionally comprising 0-3 double bonds, optionally comprising heteroatoms such as N, O, S, optionally substituted with one or more OH groups, W1 and X are either bonded to each other or not bonded to each other (as indicated by the dashed bond), and: if W1 and X are bonded to each other then:
W1 is O or S;
W2 is O or S;
X is (CH2)m, wherein m is 1 or 2;
Y is CH; and
L is a linker and Z is an anionic ionizable group, and optionally the moiety
W1— X w2— Y— L— Z is a type 3 ionizable head group, if W1 and X are not bonded to each other, then:
W1 is H;
W2 is O or NH or NR5, wherein R5 is a Ci to C4 alkyl optionally substituted with an OH group;
X is O doubly bonded to Y (X=Y is a carbonyl group); and
L is a linker and Z is an ionizable anionic group, and optionally the moiety
Figure imgf000066_0002
is a type 1 or a type 2 ionizable head group.
11. The ionizable anionic lipid of claim 10, wherein the lipid is selected from compounds L1-L88:
Figure imgf000067_0001
Figure imgf000068_0001
Figure imgf000069_0001
Figure imgf000070_0001
Figure imgf000071_0001
Figure imgf000072_0001
Figure imgf000073_0001
Figure imgf000074_0001
Figure imgf000075_0001
Figure imgf000076_0001
Figure imgf000077_0001
Figure imgf000078_0001
Figure imgf000079_0001
12. A lipid nanoparticle comprising the ionizable anionic lipid of claim 10 or 11.
13. A method for delivery of nucleic acid for in vivo to the liver, the method comprising administering to a mammal a lipid nanoparticle of any one of claims 1 to 9 or claim 12, wherein the lipid nanoparticle comprises at least 40 mol% of a sterol or sterol derivative, wherein the nucleic acid is encapsulated within the lipid nanoparticle and wherein the administering of the lipid nanoparticle results in liver-specific targeting of the nucleic acid.
14. The method of claim 13, wherein the nucleic acid is mRNA or plasmid DNA and has an increase in expression of the nucleic acid in the liver over the spleen by at least 5- fold, 10-fold or 20-fold.
15. The method of claim 13, wherein the nucleic acid is antisense or silencing RNA and has an increase in silencing of a target nucleic acid in the liver over the spleen by at least 5-fold, 10-fold or 20-fold.
PCT/CA2024/0503472023-03-222024-03-22Ionizable anionic lipidsPendingWO2024192528A1 (en)

Applications Claiming Priority (2)

Application NumberPriority DateFiling DateTitle
US202363453766P2023-03-222023-03-22
US63/453,7662023-03-22

Publications (1)

Publication NumberPublication Date
WO2024192528A1true WO2024192528A1 (en)2024-09-26

Family

ID=92840645

Family Applications (1)

Application NumberTitlePriority DateFiling Date
PCT/CA2024/050347PendingWO2024192528A1 (en)2023-03-222024-03-22Ionizable anionic lipids

Country Status (1)

CountryLink
WO (1)WO2024192528A1 (en)

Citations (6)

* Cited by examiner, † Cited by third party
Publication numberPriority datePublication dateAssigneeTitle
CA2785492A1 (en)*2009-12-232011-06-30Novartis AgLipids, lipid compositions, and methods of using them
CA3137956A1 (en)*2019-04-252020-10-29Intellia Therapeutics, Inc.Ionizable amine lipids and lipid nanoparticles
CA3173126A1 (en)*2020-03-272021-09-30Matthew G. StantonNucleic acid sequences encapsulated in lipid nanoparticles
WO2022226008A2 (en)*2021-04-202022-10-27Generation Bio Co.Cationic lipids and compositions thereof
WO2022235935A2 (en)*2021-05-062022-11-10Arcturus Therapeutics, Inc.Ionizable cationic lipids for rna delivery
WO2022246555A1 (en)*2021-05-282022-12-01Nanovation Therapeutics Inc.Method for producing an ionizable lipid

Patent Citations (6)

* Cited by examiner, † Cited by third party
Publication numberPriority datePublication dateAssigneeTitle
CA2785492A1 (en)*2009-12-232011-06-30Novartis AgLipids, lipid compositions, and methods of using them
CA3137956A1 (en)*2019-04-252020-10-29Intellia Therapeutics, Inc.Ionizable amine lipids and lipid nanoparticles
CA3173126A1 (en)*2020-03-272021-09-30Matthew G. StantonNucleic acid sequences encapsulated in lipid nanoparticles
WO2022226008A2 (en)*2021-04-202022-10-27Generation Bio Co.Cationic lipids and compositions thereof
WO2022235935A2 (en)*2021-05-062022-11-10Arcturus Therapeutics, Inc.Ionizable cationic lipids for rna delivery
WO2022246555A1 (en)*2021-05-282022-12-01Nanovation Therapeutics Inc.Method for producing an ionizable lipid

Similar Documents

PublicationPublication DateTitle
Niculescu-Duvaz et al.Structure-activity relationship in cationic lipid mediated gene transfection
JP6592458B2 (en) Cationic lipid
JP7164547B2 (en) cationic lipid
EP2608785B1 (en)Lipomacrocycles and uses thereof
JP2017014253A (en)Lipids and lipid assemblies comprising transfection enhancer elements
JP7708388B2 (en) Lipids for delivering charged substances, formulations thereof, and methods for their manufacture - Patents.com
Koynova et al.Recent patents in cationic lipid carriers for delivery of nucleic acids
JP6389477B2 (en) Cationic lipid
WO2018225871A1 (en)Compound serving as cationic lipid
JP2024500879A (en) Zwitterionic lipid nanoparticle compositions and methods of use thereof
US12343405B2 (en)High sterol-containing lipid nanoparticles
WO2024192528A1 (en)Ionizable anionic lipids
AU2014259532B2 (en)Lipids, lipid compositions, and methods of using them
WO2024131810A1 (en)Lipid nanoparticles comprising sterol-modified phospholipids
AU2020328474B2 (en)Lipids for delivery of charged material, formulations thereof and method for making same
Sorgi et al.Drug delivery applications
HK40076264A (en)Lipids for delivery of charged material, formulations thereof and method for making same
WO2025129333A1 (en)Lipid nanoparticles having non-polar lipids for nucleic acid delivery to the liver
CN117486832A (en) A cationic lipid molecule capable of early lysosomal escape for RNA delivery
CN120227354A (en) Lipid nanoparticles for delivering nucleic acids and preparation method and use thereof
CN119421871A (en) Ionizable lipids

Legal Events

DateCodeTitleDescription
121Ep: the epo has been informed by wipo that ep was designated in this application

Ref document number:24773732

Country of ref document:EP

Kind code of ref document:A1


[8]ページ先頭

©2009-2025 Movatter.jp