Movatterモバイル変換


[0]ホーム

URL:


WO2024145318A1 - A variable light transmission device and a method of operation of the same - Google Patents

A variable light transmission device and a method of operation of the same
Download PDF

Info

Publication number
WO2024145318A1
WO2024145318A1PCT/US2023/085969US2023085969WWO2024145318A1WO 2024145318 A1WO2024145318 A1WO 2024145318A1US 2023085969 WUS2023085969 WUS 2023085969WWO 2024145318 A1WO2024145318 A1WO 2024145318A1
Authority
WO
WIPO (PCT)
Prior art keywords
microcell
protrusion
waveform
base
transmission device
Prior art date
Legal status (The legal status is an assumption and is not a legal conclusion. Google has not performed a legal analysis and makes no representation as to the accuracy of the status listed.)
Pending
Application number
PCT/US2023/085969
Other languages
French (fr)
Inventor
Stephen J. Telfer
Yu Xia
Dan Luo
Ziyan Wu
Zhe GONG
Current Assignee (The listed assignees may be inaccurate. Google has not performed a legal analysis and makes no representation or warranty as to the accuracy of the list.)
E Ink Corp
Original Assignee
E Ink Corp
Priority date (The priority date is an assumption and is not a legal conclusion. Google has not performed a legal analysis and makes no representation as to the accuracy of the date listed.)
Filing date
Publication date
Application filed by E Ink CorpfiledCriticalE Ink Corp
Priority to CN202380087496.8ApriorityCriticalpatent/CN120344906A/en
Priority to AU2023420452Aprioritypatent/AU2023420452A1/en
Priority to KR1020257016580Aprioritypatent/KR20250089543A/en
Priority claimed from US18/396,940external-prioritypatent/US20240219801A1/en
Publication of WO2024145318A1publicationCriticalpatent/WO2024145318A1/en
Anticipated expirationlegal-statusCritical
Pendinglegal-statusCriticalCurrent

Links

Classifications

Definitions

Landscapes

Abstract

A variable light transmission device is disclosed and a method of operation of the same. The method of operation of a variable light transmission device comprises the step of (a) providing a variable light transmission device comprising a microcell layer having a plurality of microcells, each microcell comprising a protrusion structure and a channel, and including an electrophoretic medium, (b) applying a first electric field across the microcell layer to an open optical state, and (c) applying a second electric field across the microcell layer to an closed optical state, the closed optical state having lower percent light transmission than the open optical state.

Description

A Variable Light Transmission Device and a Method of Operation of the Same
RELATED APPLICATIONS
[0001] This application claims priority to U.S. Provisional Patent Application No. 63/436,127 filed on December 30, 2022, which is incorporated by reference in its entirety, along with all other patents and patent applications disclosed herein.
BACKGROUND OF THE INVENTION
[0002] This invention relates to a variable light transmission device and a method of operation of the same. Specifically, the invention relates to a microcell electro-optic device comprising an electrophoretic medium, the electrophoretic medium comprising electrically charged pigment particles and a charge control agent. The charge control agent has a content in the electrophoretic medium expressed in weight percent of the charge control agent by weight of the electrophoretic medium. The electrophoretic medium is able to switch between optical states using electric fields. The invention also relates to a driving method for switching between the optical states. Variable light transmission devices modulate the amount of light and other electromagnetic radiation passing through them. They can be used on mirrors, windows, sunroofs, and similar items. For example, the present invention may be applied on windows that can modulate infrared radiation for controlling temperatures within buildings and vehicles. Examples of electrophoretic media that may be incorporated into various embodiments of the present invention include, for example, the electrophoretic media described in U.S. Patent Nos. 7,116,466, 7,327,511, 8,576,476, 10,319,314, 10,809,590, 10,067,398, 10,067,398, and 11,143,930, and U.S. Patent Application Publication Nos. 2014/0055841, 2017/0351155, 2017/0235206, 2011/0199671, 2020/0355979, 2020/0272017, 2021/0096439, and U.S. Patent Application Ser. No. 17/935,386, filed on September 27, 2022, the contents of which are incorporated by reference herein in their entireties.
[0003] Particle-based electrophoretic displays, in which a plurality of electrically charged pigment particles move through a suspending fluid under the influence of an electric field, have been the subject of intense research and development for a number of years. Such displays can have attributes of good brightness and contrast, wide viewing angles, state bistability, and low power consumption when compared with liquid crystal displays.
[0004] The terms "bistable" and "bistability" are used herein in their conventional meaning in the art to refer to displays comprising display elements having first and second display states differing in at least one optical property, and such that after any given element has been driven by means of an addressing pulse of finite duration, to assume either its first or second display state, after the addressing pulse has terminated, that state will persist for at least several times, for example at least four times, the minimum duration of the addressing pulse required to change the state of the display element. It is shown in published U.S. Patent Application Ser. No. 2002/0180687 that some particle-based electrophoretic displays capable of gray scale are stable not only in their extreme black and white states but also in their intermediate gray states, and the same is true of some other types of electro-optic displays. This type of display is properly called "multi-stable" rather than bistable, although for convenience the term "bistable" may be used herein to cover both bistable and multi-stable displays.
[0005] As noted above, electrophoretic media require the presence of a suspending fluid. In most prior art electrophoretic media, this suspending fluid is a liquid, but electrophoretic media can be produced using gaseous suspending fluids. Such gas-based electrophoretic media appear to be susceptible to the same types of problems due to particle settling as liquid-based electrophoretic media, when the media are used in an orientation which permits such settling, for example in a sign where the medium is disposed in a vertical plane. Indeed, particle settling appears to be a more serious problem in gas-based electrophoretic media than in liquid-based ones, since the lower viscosity of gaseous suspending fluids as compared with liquid ones allows more rapid settling of the electrically charged pigment particles.
[0006] Numerous patents and applications assigned to or in the names of the Massachusetts Institute of Technology (MIT), E Ink Corporation, E Ink California, LLC and related companies describe various technologies used in encapsulated and microcell electrophoretic and other electro-optic media. Encapsulated electrophoretic media comprise numerous small capsules, each of which itself comprises an internal phase containing electrophoretically- mobile particles in a liquid medium, and a capsule wall surrounding the internal phase. Typically, the capsules are themselves held within a polymeric binder to form a coherent layer positioned between two electrodes. In a microcell electrophoretic display, the electrically charged pigment particles and the liquid are not encapsulated within microcapsules but instead are retained within a plurality of cavities formed within a carrier medium, typically a polymeric film. The technologies described in these patents and applications include:
[0007] (a) Electrophoretic particles, fluids and fluid additives; see for example U.S. Patent
Nos. 7,002,728 and 7,679,814.
[0008] (b) Capsules, binders and encapsulation processes; see for example U.S. Patent Nos.
6,922,276 and 7,411,719. [0009] (c) Microcell structures, wall materials, and methods of forming microcells; see for example United States Patent Nos. 7,072,095 and 9,279,906.
[0010] (d) Methods for filling and sealing microcells; see for example United States Patent
Nos. 7,144,942 and 7,715,088.
[0011] (e) Films and sub-assemblies containing electro-optic materials; see for example
U.S. Patent Nos. 6,982,178 and 7,839,564.
[0012] (f) Backplanes, adhesive layers and other auxiliary layers and methods used in displays; see for example U.S. Patent Nos. 7,116,318 and 7,535,624.
[0013] (g) Color formation and color adjustment; see for example U.S. Patent Nos.
7,075,502 and 7,839,564.
[0014] (h) Methods for driving displays; see for example U.S. Patent Nos. 7,012,600 and
7,453,445.
[0015] (i) Applications of displays; see for example U.S. Patent Nos. 7,312,784 and
8,009,348.
[0016] (j)Non-electrophoretic displays, as described in U.S. PatentNo. 6,241,921 and U.S. Patent Applications Publication No. 2015/0277160; and applications of encapsulation and microcell technology other than displays; see for example U.S. Patent Application Publications Nos. 2015/0005720 and 2016/0012710.
[0017] Many of the aforementioned patents and applications recognize that the walls surrounding the discrete microcapsules in an encapsulated electrophoretic medium could be replaced by a continuous phase, thus producing a so-called polymer-dispersed electrophoretic display, in which the electrophoretic medium comprises a plurality of discrete droplets of a non-polar liquid and a continuous phase of a polymeric material, and that the discrete droplets of electrophoretic medium within such a polymer-dispersed electrophoretic display may be regarded as capsules or microcapsules even though no discrete capsule membrane is associated with each individual droplet; see for example, the aforementioned 2002/0131147. Accordingly, for purposes of the present application, such polymer-dispersed electrophoretic media are regarded as sub-species of encapsulated electrophoretic media.
[0018] A related type of electrophoretic display is a so-called "microcell electrophoretic display". In a microcell electrophoretic display, the electrically charged pigment particles and the suspending liquid are not encapsulated within microcapsules but instead are retained within a plurality of cavities formed within a carrier medium, typically a polymeric film. See, for example, International Application Publication No. WO 02/01281, and published U.S. application Ser. No. 2002/0075556, both assigned to Sipix Imaging, Inc. [0019] Although electrophoretic media are often opaque (since, for example, in many electrophoretic media, the particles substantially block transmission of visible light through the display) and operate in a reflective mode, many electrophoretic displays can be made to operate in a so-called "shutter mode" in which one display state is substantially opaque and one is light- transmissive. See, for example, U.S. Pat. Nos. 6,130,774 and 6,172,798, and U.S. Pat. Nos. 5,872,552; 6,144,361; 6,271,823; 6,225,971; and 6,184,856. Di electrophoretic displays, which are similar to electrophoretic displays but rely upon variations in electric field strength, can operate in a similar mode; see U.S. Pat. No. 4,418,346. Other types of electro-optic displays may also be capable of operating in shutter mode.
[0020] An encapsulated or microcell electrophoretic display typically does not suffer from the clustering and settling failure mode of traditional electrophoretic devices and provides further advantages, such as the ability to print or coat the display on a wide variety of flexible and rigid substrates. Use of the word "printing" is intended to include all forms of printing and coating, including, but without limitation: pre-metered coatings such as patch die coating, slot or extrusion coating, slide or cascade coating, curtain coating; roll coating such as knife over roll coating, forward and reverse roll coating; gravure coating; dip coating; spray coating; meniscus coating; spin coating; brush coating; air knife coating; silk screen printing processes; electrostatic printing processes; thermal printing processes; ink jet printing processes; electrophoretic deposition; and other similar techniques. Thus, the resulting display can be flexible. Further, because the display medium can be printed (using a variety of methods), the display itself can be made inexpensively.
[0021] One potentially important market for electrophoretic media is windows with variable light transmission. As the energy performance of buildings and vehicles becomes increasingly important, electrophoretic media could be used on windows to enable the proportion of incident radiation transmitted through the windows to be electronically controlled by varying the optical state of the electrophoretic media. Effective implementation of such "variable transmissivity" ("VT") technology in buildings is expected to provide (1) reduction of unwanted heating effects during hot weather, reducing the amount of energy needed for cooling, the size of air conditioning equipment, and peak electricity demand; (2) increased use of natural daylight, thus reducing energy used for lighting and peak electricity demand; and (3) increased occupant comfort by increasing both thermal and visual comfort. Even greater benefits would be expected to accrue in an automobile, where the ratio of glazed surface to enclosed volume is significantly larger than in a typical building. Specifically, effective implementation of variable transmission technology in automobiles is expected to provide not only the aforementioned benefits but also (1) increased motoring safety, (2) reduced glare, (3) enhanced mirror performance (by using an electro-optic coating on the mirror), and (4) increased ability to use heads-up displays. Other potential applications include of variable transmission technology include privacy glass and glare-guards in electronic devices.
[0022] The art provides examples of devices comprising electrophoretic media sandwiched by electrode layers that are able to achieve a closed optical state (opaque state) and an open optical state (transparent state) and to switch between these states by application of electric fields across the electrophoretic medium. However, conventional electrophoretic devise using conventional structures and waveforms require long switching times, making the devices less desirable. The inventors of the present invention surprisingly found that specific devices having a microcell layer and specific waveforms can achieve efficient switching between the open and close optical states.
SUMMARY OF THE INVENTION
[0023] In one aspect, the present invention provides a method of operation of variable light transmission device comprising the steps (a) providing a variable light transmission device, (b) applying a first electric field to switch the variable light transmission device to an open optical state, and (c) applying a second electric field to switch the variable light transmission device to a closed optical state.
[0024] The variable light transmission devices comprises a first light transmissive electrode layer, a second light transmissive electrode layer, and a microcell layer. The microcell layer comprises a plurality of microcells and a sealing layer. The microcell layer is disposed between the first light transmissive electrode layer and the second light transmissive electrode layer. Each microcell includes an electrophoretic medium, the electrophoretic medium comprising electrically charged pigment particles and a charge control agent in a fluid. The charge control agent has a content in the electrophoretic medium expressed in weight percent of the charge control agent by weight of the electrophoretic medium. Each microcell of the plurality of microcells has a microcell opening. The sealing layer spans the microcell openings of the plurality of microcells. Each microcell of the plurality of microcells comprises a microcell bottom layer, a protrusion structure, microcell walls, and a channel. The microcell bottom layer has a microcell bottom inside surface, the microcell bottom inside surface comprising an exposed microcell bottom inside surface and an unexposed microcell bottom inside surface. The protrusion structure has a protrusion base, a protrusion surface, a protrusion apex, and a protrusion height. The protrusion apex is a point or a set of points of the protrusion structure, the point or the set of points having shorter distance from the microcell opening than all other points of the protrusion structure. The protrusion height is the distance between the protrusion base and the protrusion apex. The protrusion surface is the surface of the protrusion structure not including the protrusion apex that is in contact with the electrophoretic medium. The microcell walls have a microcell inside wall surface and a microcell wall upper surface. The microcell inside wall surface is the surface of the microcell walls of a microcell that is in contact with the electrophoretic medium. The microcell wall upper surface is the surface of the microcell walls of a microcell that is in contact with the sealing layer. The channel has a channel height, the channel height being 50% of the protrusion height. The unexposed microcell bottom inside surface is in contact with the protrusion base. The channel is a volume between the exposed microcell bottom inside surface, the protrusion surface, and the microcell inside wall surface. The charge control agent of the electrophoretic medium of the variable light transmission device may be from 1 weight percent to 8 weight percent by weight of the electrophoretic medium.
[0025] The method of operation of variable light transmission device comprises the step of applying a first electric field between the first light transmissive electrode layer and the second light transmissive electrode layer via a first waveform to cause movement of the electrically charged pigment particles towards the channel, resulting in the switching of the variable light transmission device to an open optical state. The electrically charged pigment particles in the open optical state are located inside the channel.
[0026] The method of operation of variable light transmission device comprised the step of applying a second electric field between the first light transmissive electrode layer and the second light transmissive electrode layer via a second waveform to cause a movement of the electrically charged pigment particles towards the first light transmissive electrode layer with a velocity, the velocity having a lateral component, leading to a closed optical state. The second waveform may be DC-imbalanced. The second waveform may comprise at least one positive voltage and at least one negative voltage, the second waveform having a net positive or a net negative impulse. The closed optical state has lower percent light transmission than the open optical state.
[0027] In one embodiment, the second waveform of the method of operation of a variable light transmission device may comprise an AC waveform, the AC waveform having a frequency, and the AC waveform having a duty cycle of from 5% to 45%. The AC waveform may have a duty cycle higher than 50%, higher than 55%, higher than 60%, or higher than 65%. The AC waveform may have a duty cycle of from 55% to 95%, from 58% to 90%, from 60% to 88%, from 65% to 85%, or from 70% to 80%. The AC waveform may have a duty cycle lower than 50%, lower than 45%, lower than 40%, or lower than 35%. The AC waveform may have a duty cycle of from 5% to 45%, from 8% to 40%, from 10% to 38%, from 10% to 40%, from 15% to 35%, or from 20% to 30%. The AC waveform may be is a square waveform, a sinusoidal waveform, a trigonal waveform, or a sawtooth waveform. The ratio of the frequency of the AC waveform expressed in Hz to the content of the charge control agent in the electrophoretic medium expressed in weight percent of the charge control agent by weight of the electrophoretic medium may be from 400 to 2000 Hz.
[0028] The AC waveform may be a square waveform having two or more cycles. In this case, the positive and negative voltages of the AC waveform have same amplitude; the amplitude of the AC waveform may be from 10V to 200V; the frequency of the AC waveform may be from 0.1 Hz to 6000 Hz or from 100 Hz to 3000 Hz; the amplitude of the AC waveform may be from 10V to 200V or from 20V to 180V and the frequency of the AC waveform may be from 0.1 Hz to 6000 Hz or form 100 Hz to 3000 Hz. The ratio of the frequency of the AC waveform expressed in Hz to the content of the charge control agent in the electrophoretic medium expressed in weight percent of the charge control agent by weight of the electrophoretic medium may be from 400 to 2000 Hz.
[0029] In another embodiment, the second waveform of the method of operation of a variable light transmission device may comprise a waveform that is formed by a superposition of a DC voltage component and an AC waveform, the AC waveform having a frequency and an amplitude. The frequency of the AC waveform may be from 0.1 Hz to 6000 Hz, from 100 Hz to 3000 Hz, or from 400 Hz to 2000 Hz. The amplitude of the AC waveform may be from 10V to 200V or from 20V to 180V. The DC voltage component has an amplitude of from 0. IV to 500V. The ratio of the frequency of the AC waveform expressed in Hz to the content of the charge control agent in the electrophoretic medium expressed in weight percent of the charge control agent by weight of the electrophoretic medium may be from 400 to 2000 Hz. The second waveform may comprise an AC waveform having a DC offset. The AC waveform may be selected from the group consisting of square waveform, sinusoidal waveform, trigonal waveform, and sawtooth waveform.
[0030] The protrusion structure may be a geometric solid selected from the group consisting of (a) a cone, (b) a cone on a cylinder, the cylinder having a base, the cylinder’s base being the protrusion base of the protrusion structure, (c) a tetrahedron, (d) a tetrahedron on a triangular prism, the triangle prism having a triangle base, the triangle base being the protrusion base of the protrusion structure, (e) a triangular prism, the triangular prism having a square base, the square base being the protrusion base of the protrusion structure, (f) a square pyramid having a square base, the square base being the protrusion base of the protrusion structure, (h) a square pyramid on a cube, the cube having a base, the cube base being the protrusion base of the protrusion structure, (i) a square pyramid on a right parallelepiped, the right parallelepiped having a right parallelogram base, the right parallelogram being the protrusion base of the protrusion structure, (j) a pentagonal pyramid, the pentagonal pyramid having a pentagon base, the pentagon base being the protrusion base of the protrusion structure, (k) a pentagonal pyramid on a pentagonal prism, the pentagonal prism having a pentagon base, the pentagon base being the protrusion base of the protrusion structure, (1) an a hexagonal pyramid, the hexagonal pyramid having an hexagon base, the pentagon base being the protrusion base of the protrusion structure, (m) an hexagonal pyramid on an hexagonal prism, the hexagonal prism having an hexagon base, the hexagon base being the protrusion base of the protrusion structure. The protrusion structure may be a cone, wherein the slope of the cone may be from 5 degrees to 10 degrees. The protrusion structure may be a cone on a cylinder. The cylinder may has a base, the cylinder’s base being the protrusion base of the protrusion structure; the cone slope may be 10 degrees or lower. The protrusion structure may be a geometric solid of a pyramid having a base with n sides, the base with n sides being the protrusion base of the protrusion structure, wherein n is an integer from 7 to 12, (m) an pyramid having a base with n sides on a prism having a base with n sides, the base of the prism having n sides being the protrusion base of the protrusion structure, wherein n is from 7 to 12.
[0031] The electrophoretic medium may comprise a first type of electrically charged pigment particles and a second type of electrically charged pigment particles. The first type of electrically charged pigment particles may be light reflecting. The second type of electrically charged pigment particles may be light absorbing. The first type of electrically charged pigment particles may be white. The second type of electrically charged pigment particles may be black. The first type of electrically charged pigment particles may have the same polarity as the second type of electrically charged pigment particles. The first type of electrically charged pigment particles may have opposite polarity from the second type of electrically charged pigment particles.
[0032] The microcell wall upper surface may have a light blocking layer, the light blocking layer being disposed between the microcell upper surface and the sealing layer. The light blocking layer may comprise a light absorbing pigment. The light blocking layer may comprise a black pigment. [0033] In another aspect, the present invention provides a variable light transmission device. The variable light transmission devices comprises a first light transmissive electrode layer, a second light transmissive electrode layer, and a microcell layer. The microcell layer comprises a plurality of microcells and a sealing layer. The microcell layer is disposed between the first light transmissive electrode layer and the second light transmissive electrode layer. Each microcell includes an electrophoretic medium, the electrophoretic medium comprising electrically charged pigment particles and a charge control agent in a fluid. Each microcell of the plurality of microcells has a microcell opening. The sealing layer spans the microcell openings of the plurality of microcells. Each microcell of the plurality of microcells comprises a microcell bottom layer, a protrusion structure, microcell walls, and a channel. The microcell bottom layer has a microcell bottom inside surface, the microcell bottom inside surface comprising an exposed microcell bottom inside surface and an unexposed microcell bottom inside surface. The protrusion structure has a protrusion base, a protrusion surface, a protrusion apex, and a protrusion height. The protrusion apex is a point or a set of points of the protrusion structure, the point or the set of points having shorter distance from the microcell opening than all other points of the protrusion structure. The protrusion height is the distance between the protrusion base and the protrusion apex. The protrusion surface is the surface of the protrusion structure not including the protrusion apex that is in contact with the electrophoretic medium. The microcell walls have a microcell inside wall surface and a microcell wall upper surface. The microcell inside wall surface is the surface of the microcell walls of a microcell that is in contact with the electrophoretic medium. The microcell wall upper surface is the surface of the microcell walls of a microcell that is in contact with the sealing layer. The channel has a channel height, the channel height being 50% of the protrusion height. The unexposed microcell bottom inside surface is in contact with the protrusion base. The channel is a volume between the exposed microcell bottom inside surface, the protrusion surface, and the microcell inside wall surface.
[0034] Application of a first electric field between the first light transmissive electrode layer and the second light transmissive electrode layer via a first waveform causes movement of the electrically charged pigment particles towards the channel, resulting in the switching of the variable light transmission device to an open optical state. The electrically charged pigment particles in the open optical state are located inside the channel.
[0035] Application of a second electric field between the first light transmissive electrode layer and the second light transmissive electrode layer via a second waveform causes a movement of the electrically charged pigment particles towards the first light transmissive electrode layer with a velocity, the velocity having a lateral component, leading to a closed optical state. The second waveform may be DC-imbalanced. The second waveform may comprise at least one positive voltage and at least one negative voltage, the second waveform having a net positive or net negative impulse. The closed optical state has lower percent light transmission than the open optical state.
[0036] The second waveform may comprise an AC waveform, the AC waveform having a frequency, the AC waveform having a duty cycle of from 5% to 45%. The AC waveform may be a square waveform, a sinusoidal waveform, a trigonal waveform, or a sawtooth waveform. [0037] The AC waveform may be a square waveform having two or more cycles, wherein the positive and negative voltages of the AC waveform have same amplitude. The amplitude of the square AC waveform may be from 10V to 200V and the frequency of the square AC waveform may be from 0.1 Hz to 6000 Hz or from 100 Hz to 3000 Hz. The amplitude of the square AC waveform may be from 10V to 200V or from 20V to 180V and the frequency of the square AC waveform may be from 0.1 Hz to 6000 Hz or form 100 Hz to 3000 Hz. The ratio of the frequency of the AC waveform expressed in Hz to the content of the charge control agent in the electrophoretic medium expressed in weight percent of the charge control agent by weight of the electrophoretic medium may be from 400 to 2000 Hz.
[0038] Alternatively, the second waveform may comprise a waveform that is formed by a superposition of a DC voltage component and an AC waveform, the AC waveform having an amplitude and a frequency, the DC voltage component having an amplitude. The frequency of the AC waveform may be from 0.1 Hz to 6000 Hz, from 100 Hz to 3000 Hz, or from 400 Hz to 2000 Hz, and the amplitude of the AC waveform may be from 10V to 200V or from 20V to 180V. The amplitude of the DC voltage component may be from 0.1V to 500V. The ratio of the frequency of the AC waveform expressed in Hz to the content of the charge control agent in the electrophoretic medium expressed in weight percent of the charge control agent by weight of the electrophoretic medium may be from 400 to 2000 Hz. The second waveform may comprise an AC waveform having a DC offset. The AC waveform may be selected from the group consisting of square waveform, sinusoidal waveform, trigonal waveform, and sawtooth waveform.
BRIEF DESCRIPTION OF DRAWINGS
[0039] FIG. 1 is an illustration of a cylindrical particle in a liquid under the influence of an applied electric field and resulting forces on the particle. [0040] FIGS. 2 A, 2B, 2C and 2D represent a side view of an example of a portion of a variable light transmission device of the present invention.
[0041] FIG. 3 illustrates a side view of a microcell in the open optical state and a side view of a microcell in the closed optical state.
[0042] FIG. 4 is an example of a first embodiment of the present invention; this example is a DC-imbalanced waveform that can be applied on a variable light transmittance device to achieve a closed state; the waveform includes an AC waveform having a duty cycle that is higher than 50%.
[0043] FIG. 5 is an example of a second embodiment of the present invention; this example is DC-imbalanced waveform that can be applied on a variable light transmittance device to achieve a closed state; the waveform is a superposition of a DC voltage component and an AC waveform.
[0044] FIG. 6 illustrates the force exerted by an electrically charged pigment particle on the surface of a conical protrusion of the variable light transmission device of the present invention.
[0045] FIG. 7 illustrates a portion of a variable light transmission device having an electrophoretic medium comprising a first type of electrically charged pigment particles and a second type of electrically charged pigment particles, the first type of electrically charged pigment particles having the same polarity as the second type of electrically charged pigment particles.
[0046] FIG. 8 illustrates a portion of a variable light transmission device having an electrophoretic medium comprising a first type of electrically charged pigment particles and a second type of electrically charged pigment particles, the first type of electrically charged pigment particles having opposite polarity from the second type of electrically charged pigment particles.
[0047] FIG. 9 provides graphs of light reflection, transmission, and absorption versus layer thickness of a layer comprising a light absorbing pigment particles.
[0048] FIG. 10 provides graphs of light reflection, transmission, and absorption versus layer thickness of a layer comprising a light reflecting pigment particles.
[0049] FIG. 11 shows a graph providing the effect on the reflection, transmission, and absorption versus layer thickness of a layer of a closed optical state comprising a combination of light reflecting pigment particles and light absorbing pigment particles.
[0050] FIG. 12 illustrates a portion of a variable light transmission device comprising a light blocking layer on the exposed microcell bottom inside surface. [0051] FIG. 13 illustrates a portion of a variable light transmission device comprising a light blocking layer on the microcell wall upper surface.
[0052] FIG. 14 shows a plan view of a microcell of the variable transmission device that was used in the examples.
[0053] FIG. 15 shows a cross sectional view of a microcell of the variable transmission device that was used in the examples.
[0054] FIG. 16 provides micrographs of open and closed optical states of the variable light transmission device of Example 1, the optical states resulting from various waveforms.
[0055] FIG. 17 provides micrographs of open and closed optical states of the variable light transmission devices of Example 2, the electrophoretic media of the devices comprising different concentrations of charge control agent.
[0056] FIG. 18 is a micrograph of a microcell array of the variable light transmission device of Example 5; the light blocking composition comprises black pigment particles, which are distributed in the entire microcell (closed optical state).
[0057] FIG. 19 is a micrograph of a microcell array of the variable light transmission device from Example 5, wherein the black pigment particles of the light blocking composition are driven into the channel of the microcells (closed optical state).
[0058] FIG. 20 is a micrograph of a close optical state of a microcell array of the variable light transmission device of Example 6; the white electrically charged pigment particles of the light blocking composition are distributed in the entire microcell (closed optical state).
[0059] FIG. 21 is a micrograph of an open optical state of a microcell array of the variable light transmission device of Example 6; the white electrically charged pigment particles of the light blocking composition are driven in the channel (open optical state).
[0060] FIG. 22 is a micrograph of an open optical state of a microcell array of the variable light transmission device of Example 7, the electrophoretic medium of the device comprising white and black pigment particles.
DETAILED DESCRIPTION OF THE INVENTION
[0061] The distance of a point from a plane is the shortest perpendicular distance from the point to the plane. The shortest distance from a point to a plane is the length of the perpendicular parallel to the normal vector dropped from the given point to the given plane.
[0062] The distance between two planes in a three-dimensional space is the shortest distance between the planes. It is the shortest distance between any point on one plane and any point of the other plane. [0063] Slope of a cone is defined as the angle that has (a) vertex (A) on the circumference of the base of the cone, (b) first arm the line that connects point A (vertex) and the center of the base of the cone, and (c) second arm the line that connects point A (vertex) and the apex of the cone.
[0064] The term “electrically charged pigment particles” may refer to charged pigment particles that do not have any polymeric material on the surface of the pigment particles. The term “electrically charged pigment particles” may also refer to pigment particles that have a polymeric material on the surface of the pigment particles.
[0065] A “microcell inside wall surface” is the surface of the microcell wall that is in contact with the electrophoretic medium of the microcell.
[0066] A “microcell wall upper surface” is the surface of the microcell wall that is in contact with the sealing layer of the microcell. In the case that there is a light blocking layer on the microcell wall upper surface, the light blocking layer is disposed between the microcell wall upper surface and the sealing layer.
[0067] The term “DC-balanced waveform” or “DC-balanced driving waveform” applied to a pixel is a driving waveform where the driving voltage applied to the pixel is substantially zero when integrated over the period of the application of the entire waveform. The DC balance can be achieved by having each stage of the waveform balanced, that is, a first positive voltage will be chosen such that integrating over the subsequent negative voltage results in zero or substantially zero. If the waveform is not DC-balanced, it is referred to as “DC-imbalanced waveform” or “DC-imbalanced driving waveform”. The driving waveform applied to a pixel may have a portion that is DC-imbalanced and at least one additional pulse of the opposite impulse to ensure that the overall waveform applied to a pixel is DC-balanced. This additional pulse may be applied before the DC-imbalanced portion of the waveform (pre-pulse). Typical examples of DC-imbalanced waveforms include (a) a square or sinusoidal AC waveform having a duty cycle of less (or more) than 50%, and (b) square or sinusoidal AC waveform that has a DC offset.
[0068] The term “impulse” is the integral of voltage with respect to time. That is, for a waveform pulse having a voltage V applied for time t, the impulse is V x t. The impulse can be positive, if the polarity of voltage V is positive, or negative, if the polarity of voltage V is negative.
[0069] The term “net positive impulse” of a waveform means that negatively electrically charged pigment particles will be attracted to and will move towards the first light transmissive electrode layer during the application of the waveform. [0070] The term “lateral component of velocity” in relation to the movement of electrically charged pigment particles in a microcell of the variable light transmission device of the present invention is the velocity in the horizontal direction. For this definition, we assume that the velocity of the electrically charged particles is a vector resulting from the vector addition of the velocity in the horizontal direction (Vh), and the velocity in the vertical direction (Vv), and that the vertical direction in the case of the movement of the electrically charged pigment particles inside an electrophoretic microcell is the direction from the first light transmissive electrode layer to the second light transmissive electrode layer or form the second light transmissive electrode layer to the first light transmissive electrode layer. In the same system, the horizontal direction of the movement of the electrically charged pigment particles inside an electrophoretic microcell is the direction from one side of the microcell wall to the other side of the microcell wall, this direction being parallel to the first light transmissive electrode layer. Thus, the statement “the velocity of the electrically charged pigment particles has a lateral component” means that the magnitude of the velocity in the horizontal direction is larger than zero.
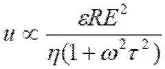
[0071] The phenomenon of Induce-Charge-Electro-Osmosis (ICEO) can be utilized to move polarizable particles, such as pigment particles, that are present in an electrophoretic medium, laterally. That is, the polarizable particles can move parallelly to the electrode layers that sandwich the electrophoretic medium. In the presence of an electric field, a particle may experience a force, which is caused by polarization of the particle (or by polarization of an adsorbed conductive coating on the particle surface, or of the electrical double layer around the particle). This force may result in a perturbation in the flow of mobile charge, such as ions or charged micelles, in the electrophoretic medium, as shown in FIG. 1 for a cylindrical particle 101 surrounded by the liquid of the electrophoretic medium in the applied electric field. This figure is reproduced by the article of Bazant and Squires, J. Fluid Meeh., 2004, 509, 217-252. [0072] A perfectly symmetrical, spherical particle would experience no net force, but less symmetrical particles would experience forces having a component perpendicular to the direction of the applied field. The cooperative flows, which are created by a swarm of particles each experiencing such forces, can lead to “swirling” of an electrophoretic medium containing multiple particles. The maximum velocity u of this swirling for a particular particle, according to the theory advanced in the article by Bazant and Squires, would be given approximately by Expression (1).
Expression (1)
Figure imgf000016_0001
In Expression (I), E is the field strength, s is the dielectric constant of the solvent, r| is the viscosity of the electrophoretic fluid, o is the applied sinusoidal AC frequency, and T is the time scale for building up a screening charge layer by motion of solvent-borne charges around charge. The time scale T is given by Equation (2).
Equation (2)
Figure imgf000017_0001
[0073] In Equation (2), 2 is the Debye screening length, R is the particle radius, and D is the diffusion constant of charge carriers in the fluid.
[0074] According to Expression (1), as the frequency is raised, the value of o2 T2 increases and the maximum velocity of induced-charge flows decreases. Furthermore, for values of O2T2 that are significantly larger than 1, the maximum swirling velocity is proportional to the square of the ratio E/a. Induced-charge flows occur in the same direction regardless of the polarity of the applied electric field, and can thus be driven by alternating fields.
[0075] When the electrophoretic medium is contained within a microcell, as is preferred in electrophoretic displays, the geometries of the induced flows are affected by the shape of the particular microcell used. For example, in the simplest case of two parallel electrodes, it was shown that, using an appropriate electric field strength and AC frequency, the flow can adopt a roll structure with periodic spacing that corresponds to the width of the gap between the electrodes.
[0076] The inventors of the present invention used complex microcell structures that were formed by an embossing method to make switchable devices. In one example, the embossed structure includes a conical protrusion on the bottom of each microcell. FIGS. 2A, 2B, and 2C illustrate an example of a variable light transmission device according to the present invention wherein the protrusion structure of the variable light transmission device is a cone on a cylinder. The cone of the protrusion structure can direct the electrophoretic flow of particles into a channel, as shown in FIGS. 2A, 2B, 2C. The electrically charged pigment particles will move towards the channel, if the electric field applied across the electrophoretic medium has the appropriate polarity in relation to the polarity of the electrically charged pigment particles. For example, the electrically charged pigment particles will move towards the channel, if the electrically charged pigment particles are positively charged and the applied voltage via the light transmissive electrodes results in negative polarity on the second light transmissive electrode. The same movement will take place if the electrically charged pigment particles are negatively charged and the applied voltage via the light transmissive electrodes results in positive polarity on the second light transmissive electrode. FIGS. 2A, 2B, and 2C illustrate a cross-section (not to scale) of a portion of a variable light transmission device that shows only one microcell of the plurality of microcells of the device. All three FIGS. 2A, 2B, 2C are identical in terms of the device structure that is illustrated, but different parts of the device are identified on each of the figures.
[0077] The portion of the variable light transmission device 200 of FIGS. 2A, 2B, and 2C comprises a microcell layer comprising a plurality of microcells and a sealing layer. Although only one microcell is represented in FIGS. 2A, 2B, and 2C, one can envision the whole variable light transmission device that comprises the plurality of microcells. The variable light transmission device may comprise first transparent substrate 201, first light transmissive electrode layer 202, a microcell layer 203 comprising a plurality or microcells 204 and a sealing layer 206, second light transmissive electrode layer 207, and second transparent substrate 208. Each microcell of the plurality of microcells 204 comprises an electrophoretic medium 209 including electrically charged pigment particles and a charge control agent in a fluid. The components of the electrophoretic medium are not shown in FIGS. 2A, 2B, and 2C. Each microcell of the plurality of microcells 204 has a microcell opening 205, the sealing layer 206 spanning the microcell openings 205 of the plurality of microcells 204. Each microcell of the plurality of microcells 204 comprises microcell bottom layer 210, protrusion structure 217, microcell walls 212, and channel 215. Microcell bottom layer 210 has microcell bottom inside surface 211, the microcell bottom inside surface 211 that comprises exposed microcell bottom inside surface 21 la and unexposed microcell bottom inside surface 21 lb. Unexposed microcell bottom surface 211b is in contact with the protrusion base 218. The exposed microcell bottom inside surface 21 la is highlighted in FIG. 2A by being represented with a thicker line.
[0078] In this example, the protrusion structure 217 is a cone on a cylinder. The protrusion structure 217 has a protrusion base 218, a protrusion surface 221, a protrusion apex 219, and a protrusion height 220. The protrusion apex 219 is a point or a set of points of the protrusion structure 217 having shorter distance from microcell opening 205 than all other points of the protrusion structure 217. In the example of the variable light transmission device of FIGS. 2A, 2B, and 2C, the protrusion apex 219 is the apex of the cone of the protrusion structure. The protrusion height 220 is the distance between the protrusion base 218 and the protrusion apex 219. If the protrusion structure 217 has a protrusion apex 219 that comprises more than one points, such as a planar surface, the protrusion height 220 is the distance between the planar surface and the protrusion base 218 of the protrusion structure 217. A microcell layer comprising a plurality of microcells 204 having a protrusion structure 217 may be manufactured by embossing thermoplastic or thermoset precursor layer using a pre-patterned male mold, followed by releasing the mold. The precursor layer may be hardened by radiation, cooling, solvent evaporation, or other means during or after the embossing step.
[0079] Microcell walls 212 have microcell inside wall surface 213 and a microcell wall upper surface 214. The microcell inside wall surface 213 is in contact with the electrophoretic medium 209. The microcell wall upper surface 214 is the surface of microcell walls 212 of a microcell that is in contact with sealing layer 206. The microcell inside wall surface 213 is highlighted in FIG. 2B by being represented with a thicker line.
[0080] Channel 215 is the volume between exposed microcell bottom inside surface 211a, microcell inside wall surface 213, and protrusion surface 221. Channel 215 is the volume location where most of the electrically-charge particles are present in the open optical state of the device. Channel 215 has a channel height 216 that is 50% of the protrusion height 220. Thus, the channel height further defines the channel, along with exposed microcell bottom inside surface 211a, microcell inside wall surface 213, and protrusion surface 221. The protrusion surface 221 is highlighted in FIG. 2C by being represented with a thicker line.
[0081] FIG. 2D illustrate an example of a variable light transmission device according to the present invention wherein the protrusion structure of the variable light transmission device is a cone on a cylinder. The variable light transmission device of FIG. 2D is similar to that illustrated by FIGS. 2 A, 2B, 2C, but shows a larger portion of the device that includes four microcells. Variable light transmission device 200 comprises first transparent substrate 201, first light-transmissive electrode layer 202, a microcell layer 203 comprising a plurality or microcells 204 and a sealing layer 206, second light transmissive electrode layer 207, and second transparent substrate 208. Each microcell of the plurality of microcells comprises an electrophoretic medium including electrically charged pigment particles 222 and a charge control agent in a fluid. Each microcell of the plurality of microcells 204 has a microcell opening, the sealing layer 206 spanning the microcell openings of the plurality of microcells. Each microcell of the plurality of microcells comprises microcell bottom layer 210, protrusion structure 217, microcell walls 212, and channel 215. The variable light transmission device illustrated in FIG. 2D is in the closed optical state. [0082] When a first electric field is applied between the first light transmissive electrode layer 202 and the second light transmissive electrode layer 207 via a first waveform, movement of the electrically charged pigment particles 222 towards the channel is caused when the polarity of the electrically charged pigment particles 222 and the voltage polarity of the second light transmissive electrode layer are opposite to each other. If the polarity of the electrically charged pigment particles 222 and the voltage polarity of the second light transmissive electrode layer are opposite to each other, the electrically charged pigment particles 222 will be attracted by the second light transmissive electrode, and the variable light transmission device will switch to an open optical state, the open optical state having higher percent light transmission than the closed optical state. The open optical state is illustrated in FIG. 3a, where electrically charged pigment particles 222 are represented by black filled circles. In this example, the electrophoretic medium comprises one type of electrically charged pigment particles 222.
[0083] Application of a second electric field between the first light transmissive electrode layer 202 and the second light transmissive electrode layer 207 via a second waveform causes a movement of the electrically charged pigment particles 222 towards the first light transmissive electrode layer 202 with a velocity. This leads to the closed optical state, which is shown in FIG. 3b. The velocity has a lateral component. In the absence of a lateral component of the velocity, the closed optical state will not take place, because the electrically charged pigment particles 222 will move from the channel of the open state towards the first light transmissive electrode layer 202, but these electrically charged pigment particles 222 will occupy an area near the perimeter of a microcell at the vicinity of the sealing layer 206. That is, electrically charged pigment particles 222 will not be spread all across the surface of the first light transmissive electrode layer 202. Thus, the closed optical state will not be effectively formed, because the closed optical state will have relatively high light transmittance.
[0084] The above indicates that it is somewhat easier to achieve a transition from the closed optical state to the open optical state, because the slope of the protrusion structure (for example, the cone of FIGS. 3a and 3b) will impart a lateral component to the velocity of the electrically charged pigment particles when they strike the protrusion surface of the protrusion structure during their movement towards second light transmissive electrode layer.
[0085] It is possible to shape the electric field within the variable light transmission device by making the electrical conductivities of the electrophoretic medium and the cone substantially different from each other. For example, if the cone is much less conductive than the electrophoretic medium, the field lines will tend to direct the electrically charged pigment particles into the channel. However, even in such a case it may still be necessary to provide a more substantial horizontal force component to redisperse the electrically charged pigment particles from the channel. In addition, in the current state of the art it is easier to assemble and operate the device when the resistivities of the cone material and the electrophoretic medium are about equal, each being about IO10 Q*cm, in which case the electric field lines will be roughly vertical through the unit. Thus, it would be preferred to use a waveform in which lateral motion is imparted to the electrically charged pigment particles.
[0086] The method of operation of a variable light transmission device includes a step of applying a first electric field between the first light transmissive electrode layer and the second light transmissive electrode layer via a first waveform to cause movement of the electrically charged pigment particles towards the channel, resulting in the switching of the variable light transmission device to an open optical state, the electrically charged pigment particles in the open optical state being located inside the channel. The method of operation of a variable light transmission device also includes a step of applying a second electric field between the first light transmissive electrode layer and the second light transmissive electrode layer via a second waveform to cause a movement of the electrically charged pigment particles towards the first light transmissive electrode layer with a velocity, the velocity having a lateral component, and leading to a closed optical state, the second waveform comprising a series of at least two positive and negative pulses having a net positive or net negative impulse, wherein the closed optical state has lower percent light transmission than the open optical state.
[0087] The second waveform may be DC-imbalanced. The second waveform may comprise at least one positive voltage and at least one negative voltage, the second waveform having a net positive or a net negative impulse. The choice of a net positive or net negative impulse depends on the polarity of the electrically charged pigment particles. Specifically, if the electrically charged pigment particles are negatively charged, a net positive impulse is required to move them from the particles from the channel towards the first light transmissive electrode layer. In other words, this movement requires that the net result of the applied voltage is an attraction of the negatively charged particles by a positive voltage of the first light transmissive electrode layer in relation to the second light transmissive electrode layer. On the contrary, if the electrically charged pigment particles are positively charged, a net negative impulse is required to move the electrically charged pigment particles from the channel near the second light transmissive electrode layer 207 towards the first light transmissive electrode layer. [0088] A second electric field that is applied between the two light transmissive electrode layers via a second waveform achieves a closed optical state.
[0089] In a first embodiment, the second waveform comprises an AC waveform, having a duty cycle different from 50%. An example of the second waveform of the first embodiment is illustrated in FIG. 4.
[0090] The AC waveform may have a positive or negative DC biased. DC bias may be achieved by controlling the duty cycle of the waveform. The duty cycle for a positively DC biased waveform is higher than 50%. The duty cycle of a positively DC biased waveform may be higher than 55%, higher than 60%, or higher than 65%. The duty cycle for a positively DC biased waveform may be from 55% to 95%, from 58% to 90%, from 60% to 88%, from 65% to 85%, or from 70% to 80%. Analogously, the duty cycle for a negatively DC biased waveform is lower than 50%. The duty cycle for a negatively DC biased waveform may be lower than 45%, lower than 40%, or lower than 35%. The duty cycle for a negatively DC biased waveform may be from 5% to 45%, from 8% to 40%, from 10% to 38%, from 15% to 35%, or from 20% to 30%.
[0091] The waveform illustrated in the example of FIG. 4 comprises an AC square waveform having two or more cycles. Each cycle may comprise a first pulse of amplitude VI applied for time period tl and a second pulse of amplitude V2 applied for time period t2, wherein VI is positive and V2 is negative, and wherein tl is larger than t2. In the case that the amplitude of VI is equal the amplitude of V2 (|V1 | = |V2|), a DC bias is achieved by the difference in the time periods. In the case of the example of FIG. 4, there is a positive DC bias, because the positive voltage VI is applied for a longer time period (tl) than that of the negative voltage V2 (t2). Positive DC bias means that, if the electrically charged pigment particles of the variable light transmission device are negatively charged, the electrically charged pigment particles will move towards the first light transmissive electrode layer of the device. The duty cycle of the waveform can be calculated by Equation (3).
Duty Cycle = 100 x (VI • tl) / [(VF t2) + ((V2- t2)] Equation (3)
[0092] In the waveform example of FIG. 4, the amplitude of VI can be equal to the amplitude V2 (|V1 | = |V2|), but, in general, the amplitudes VI and V2 may be different from each other.
[0093] The example of the driving waveform of FIG. 4 is DC-imbalanced. However, one or more additional pulses may be included in the waveform of FIG. 4 of the opposite impulse, which can ensure that the overall waveform applied on a pixel is DC-balanced. This additional pulse (or additional pulses) may be applied before the DC-imbalanced waveform (pre-pulse). Also, the example of the waveform of FIG. 4 is a square AC waveform. Other examples of AC waveforms that can be used include sinusoidal waveforms, trigonal waveforms, and sawtooth waveforms.
[0094] The AC waveform of the first embodiment may have an amplitude of from 10V to 200V and a frequency of from 0.1 to 6000 Hz. The AC waveform may have an amplitude of from 15V to 180V, from 20V to 160V, from 25V to 150V, or from 30V to 140V. The AC waveform may have a frequency of from 0.5 Hz to 5000 Hz, from 1 Hz to 4000 Hz, from 5 Hz to 3000 Hz, from 10 Hz to 2000 Hz, from 15 Hz to 1000 Hz, from 20 Hz to 800 Hz, or from 25 to 600 Hz. The ratio of the frequency of the AC waveform to the weight percent content of the charge control agent by weight of the electrophoretic medium may be from 400 Hz to 2000 Hz.
[0095] In a second embodiment, the second waveform may comprise a waveform that is formed by a superposition of a DC voltage component and an AC waveform. An example of the second waveform of the second embodiment is illustrated in FIG. 5.
[0096] The waveform of FIG. 5 has a net negative impulse because of a DC offset (Vd). Although the period of time (t3) of the application of positive pulse is equal to the period of time (t4) of the application of negative pulse, a DC bias is achieved by the difference in the amplitudes of the pulses. Specifically, amplitude V3 of the positive pulse is smaller than amplitude V4 of the negative pulse. This is caused by the DC voltage component Vd of the waveform. That is, the waveform illustrated in FIG. 5 has a DC offset.
[0097] The example of the driving waveform of FIG. 5 is DC-imbalanced. However, one or more additional pulses may be included in the waveform of FIG. 5 of the opposite impulse, which can ensure that the overall waveform applied on a pixel is DC-balanced. This additional pulse (or additional pulses) may be applied before the DC-imbalanced waveform (pre-pulse). Also, the example of the waveform of FIG. 5 is a square AC waveform. Other examples of AC waveforms that may be used include a sinusoidal waveform, a trigonal waveform, and a sawtooth waveform.
[0098] The AC waveform may have an amplitude of from 10V to 200V and a frequency of from 0.1 to 6000 Hz. The AC waveform may have an amplitude of from 15V to 180 V, from 20V to 160V, from 25V to 150V, or from 30V to 140V. The AC waveform may have a frequency of from 0.5 Hz to 5000 Hz, from 1 Hz to 4000 Hz, from 5 Hz to 3000 Hz, from 10 Hz to 2000 Hz, from 15 Hz to 1000 Hz, from 20 Hz to 800 Hz, or from 25 to 600 Hz. The ratio of the frequency of the AC waveform to the weight percent content of the charge control agent by weight of the electrophoretic medium may be from 400 Hz to 2000 Hz. [0099] In a case when the ICEO-induced motion of the electrically charged pigment particles is relatively low, the protrusion structure of the microcell contributes to an effective operation of the variable transmission device, even if the device is driven using a DC-balanced AC waveform. In the example of the protrusion structure being a cone, any electrically charged pigment particles that are located at the surface of the cone will experience a net force that will move them towards the apex of the cone, as shown in FIG. 6. FIG. 6 shows electrically charged pigment particle 222 in contact with protrusion structure 617 (cone) in an electric field 602. In this case, the ICEO flows are illustrated by the curved arrows, being more constrained on the “uphill” side of the cone than the “downhill” side. This imparts a force to the particle shown by the dotted horizontal arrow. There will be an opposing force perpendicular to the cone, forcing the particle towards the apex of the cone. With an appropriate choice of AC fields and frequencies, the particles can be moved out of the channel region and up the sides of the cone in this way.
[0100] The electrophoretic medium of the variable light transmission device of the present invention comprises electrically charged pigment particles, a charge control agent, and a fluid. [0101] The electrophoretic medium may comprise two types of electrically charged pigment particles, a first type of electrically charged pigment particles and a second type of electrically charged pigment particles. The first type of electrically charged pigment particles may be light reflecting and the second type of electrically charged pigment particles may be light absorbing. A typical example of light reflecting pigment particles is titanium dioxide, which has a white color. Typical examples of light absorbing pigment particles include organic and inorganic pigment particles having black, blue, cyan, magenta, red, green, yellow, and other colors. The first type of electrically charged pigment particles may have the same polarity as the second type of electrically charged pigment particles. The first type of electrically charged pigment particles may have opposite polarity from the second type of electrically charged pigment particles.
[0102] In electrophoretic media having a first type of electrically charged pigment particles and a second type of electrically charged pigment particles with the same charge polarity, the zeta potential of the first type of electrically charged pigment particles may be lower than that of the second type of electrically charged pigment particles. Furthermore, the average particle size of the first type of electrically charged pigment particles may be larger than the average particle size of the second type of electrically charged pigment particles as determined by the average diameter of the pigment particles. The open optical state of this example of variable light transmission device is illustrated in FIG. 7a. In this example, upon application of the appropriate electric field between first light transmissive electrode layer 202 and second light transmissive electrode layer 207, both types of electrically charged pigment particles 222a (first type) and 222b (second type) will move into the channel of a microcell to form an open state. However, second type of electrically charged pigment particles 222b (light absorbing) will be placed below first type of electrically charged pigment particles 222a (light reflecting), because first type of electrically charged pigment particles 222a have a lower charge (and a larger size). In other words, second type of electrically charged pigment particles 222b will be placed closer to the exposed microcell bottom inside surface (bottom of the channel) than first type of electrically charged pigment particles 222a. The closed optical state of this example of variable light transmission device is illustrated in FIG. 7b. Upon application of the appropriate electric field between first light transmissive electrode layer 202 and second light transmissive electrode layer 207, both types of electrically charged pigment particles 222a and 222b will move towards the first light transmissive electrode layer to achieve a closed optical state. However, second type of electrically charged pigment particles 222b (light absorbing) will be positioned closer to sealing layer 206 than the first type of electrically charged pigment particles 222a (light reflecting), because first type of electrically charged pigment particles 222a have lower charge (and larger size).
[0103] In another example, a variable light transmission device has an electrophoretic media including first type of electrically charged pigment particles (light reflecting) and second type of electrically charged pigment particles (light absorbing), wherein the first type of electrically charged pigment particles and the second type of electrically charged pigment particles have opposite charge polarities. Two possible open optical states of this example are illustrated in FIGS. 8a and 8b respectively. Upon application of the appropriate electric field between first light transmissive electrode layer 202 and second light transmissive electrode layer 207, depending on the polarity of the applied electric field, either the first electrically charged pigment particles 223a (light reflecting) or the second electrically charged pigment particles 223b (light absorbing) will move towards the channel (open optical state). The closed optical state may be formed by application of the appropriate electric field between first light transmissive electrode layer 202 and second light transmissive electrode layer 207 (second electric field) that causes one of the types of electrically charged pigment particles to move towards first light transmissive electrode layer 202 with velocity, the velocity having a lateral component. Depending on the applied electric field, either the first type of electrically charged pigment particles 223a or the second type of electrically charged pigment particles 223b will spread on the of the microcell area near sealing layer 206 (microcell opening). [0104] The amount of second type of electrically charged pigment particles, which can have a black color, will be chosen to be sufficient to hide the white pigment in the channel (open optical state), when viewed from below, but not so high as to lead to too much light absorption in the closed state. “Viewed from below” means that the observer is located on the side of the variable light transmission device which is closer to the second light transmissive electrode layer 207, as opposed to the side that is closer to first light transmissive electrode layer 202.
[0105] It is desirable that the open optical state of a variable transmission device has high transmittance and low haze. Furthermore, in certain applications, such as building windows or vehicle sunroofs, it is desirable to manage the heating up of the building or the vehicle. Heat management is difficult when a variable transmission device comprising electrophoretic media including light absorbing electrically charged pigment particles. In the closed optical state of such devices, light incident on the device may be absorbed by the device, causing it to heat up. Incident light may include wavelengths within the solar spectrum, i.e., ultraviolet, visible, and infra-red. Another problem may be that the closed optical state is not completely opaque. That is, some of the incident light penetrates into the building or the vehicle, warming the interior of the building or the vehicle.
[0106] FIG. 9 provides graphs of light reflection, transmission, and absorption versus layer thickness of a layer comprising a black pigment (light absorbing). That is, for each layer thickness, the graphs provide the amount of light that is reflected, transmitted, and absorbed as a ratio of the incident light.
[0107] FIG. 10 provides graphs of light reflection, transmission, and absorption versus layer thickness of a layer comprising a white pigment (light reflecting). That is, for each layer thickness, the graphs provide the amount of light that is reflected, transmitted, and absorbed as a ratio of the incident light.
[0108] FIGS. 9 and 10 indicate that white pigment reflects light significantly more than the black pigment, but does not absorb incident light. In fact white pigment provides opacity by light reflection/scattering. As the layer thickness increases, more incident light is reflected and less is transmitted. However, it is observed that variable light transmission devices that comprise media having white pigment particles (reflecting) may show significant haze in the open optical state.
[0109] The inventors of the present invention found that variable light transmission devices comprising electrophoretic media having electrically charged particles comprising reflecting pigment (first type) and electrically charged particles comprising absorbing pigment (second type) provides significant benefits, such as the reduction of haze. The reflecting pigment may be titanium dioxide and the absorbing pigment may be inorganic black, such as iron oxide black.
[0110] FIG. 11 shows the effect on the reflection, transmission, and absorption versus layer thickness of a layer of a closed optical state comprising a combination of white pigment (light reflecting) and black pigment (absorbing). The weight ratio of black to white pigments is 0.1. That is, for each layer thickness, the graphs provide the amount of light that is reflected, transmitted, and absorbed as a ratio of the incident light.
[OHl] The rate of the decrease of transmission with increasing layer thickness remains almost unchanged, but the reflection from white pigment is capped at 30%. Absorption increases with layer thickness, but only about at half the rate compared to a pure black pigment layer, which is shown in FIG. 9. Less absorption with its unwanted thermal effects would be achieved by layering the white pigment in front of the black, instead of mixing the two.
[0112] In the example of the variable transmission device having an electrophoretic medium including first type of electrically charged pigment particles (white or reflecting having a negative charge polarity) and second type of electrically charged pigment particles (black or absorbing having a positive polarity), the relative position of the two types of electrically charged pigment particles in the open and close optical states can be controlled by the applied electric field. For each type of electrically charged pigment particles, the polarizability and size of the particles determines the frequency required for optimal motion. The maximum ICEO velocity for these two types of oppositely charged pigment particles can be achieved by using electric fields comprising AC waveforms of different frequencies. In Example 7 below, which is related to this scenario, the characteristic AC waveform frequency is much higher for the white pigment than for the black pigment. Thus, the black pigment can be switched into the channel using a relatively low AC frequency with a superimposed DC offset appropriate to move that black pigment in the channel of the microcell as illustrated in the Figures. Because the black pigment is positively charged, application of a positive offset voltage applied to an AC voltage on the first light transmissive electrode layer, while the second light transmissive electrode layer is grounded, will move the black pigment into the channel. The AC frequency is relatively low (10 Hz); at this frequency both the white and black pigments have a strong ICEO-induced lateral motion. Once the black pigment is located in the channel, the AC frequency is increased to a higher value. At high frequency, the ICEO-induced motion of the black pigment is reduced, but that of the white pigment is maintained. Thus, the white pigment can be switched into the channel by a negative DC offset to the AC waveform. Both white and black particles are present in the channel (as shown in FIG. 7a. Although, under certain conditions, the electric field of the second step may drive a portion of the black pigment particles out of the channel, it will not move the black pigment laterally. Thus, the black particles that may move out of the channel will undergo a vertical motion to provide the open optical state similar to that illustrated in FIG. 8a.
[0113] Another way to reduce the haze of the variable light transmission device that is caused by light scattering effects caused by electrically charged pigment particles is shown in FIG. 12. FIG. 12 illustrate a side view of an inventive variable light transmission device comprising a first light transmissive electrode layer 202, a second light transmissive electrode layer, and an electrophoretic medium including electrically charged pigment particles 222, the electrically charged pigment particles being light reflective. The variable light transmission device also comprises a first light blocking layer 1202 on the exposed microcell bottom inside surface of the microcell. The first light blocking layer 1202 may comprise black pigment particles that are light absorbing. In the open optical state of the device, the electrically charged pigment particles of the electrophoretic medium are included in the channel of the microcell (FIG. 12a). The first light blocking layer 1202 blocks the haze, when the device is viewed from the bottom. Viewed from the bottom means that the observer views the device from the side that is near the second light transmissive electrode layer 207. However, the haze is still apparent, when the device is viewed from the top. Viewed from the top means that the observer views the device from the side that is near the first light transmissive electrode layer 202. FIG. 12b illustrates the closed optical state of the device. The variable light transmission device shown in FIG. 12 can be used for applications where the viewer is generally positioned on one side of the variable light transmission device, such as, for example a sunroof.
[0114] A method of manufacture of the variable light transmission device shown in FIG. 12 comprises the steps of (a) providing an assembly comprising a third electrode layer, a second light transmissive electrode layer, a layer comprising a plurality of microcells, the layer comprising a plurality of microcells being disposed between the third electrode layer and the second light transmissive electrode layer, each microcell of the plurality of microcells including a light blocking composition comprising (i) light absorbing electrically charged pigment particles, (ii) a polymer, oligomer, or monomer and, (iii) optionally, a solvent, each microcell of the plurality of microcells having a microcell opening, the third electrode layer spanning the microcell openings of the plurality of microcells, each microcell of the plurality of microcells comprising a microcell bottom layer, a protrusion structure, microcell walls, and a channel, the microcell bottom layer having a microcell bottom inside surface , the microcell bottom inside surface comprising an exposed microcell bottom inside surface and an unexposed microcell bottom inside surface; (b) applying an electric field between the third electrode layer and the second light transmissive electrode layer via a waveform that causes movement of the light absorbing electrically charged pigment particles of the light blocking composition towards the channel and resulting in a state in which state the light absorbing electrically charged pigment particles are located inside the channel; (c) curing the light blocking composition to form a light blocking layer on the exposed microcell bottom inside surface; (d) removing the third electrode layer; (e) filling each microcell of the plurality of microcells with an electrophoretic medium comprising electrically charged pigment particles, a charge control agent, and fluid; (f) sealing each microcell of the plurality of microcells with a sealing layer; and (g) attaching a first light transmissive electrode layer onto the sealing layer.
[0115] If the light blocking composition comprises a solvent, the solvent is evaporated during the curing of the light blocking composition. The curing of the light blocking composition may be achieved by UV irradiation, thermally, or by solvent evaporation.
[0116] Another method of manufacture of the device of FIG. 12 comprises the steps, (a) providing an assembly comprising in order a second light transmissive electrode layer, a second light transmissive electrode layer, a layer comprising a plurality of microcells being disposed on the second light transmissive electrode layer, each microcell of the plurality of microcells having a microcell opening, each microcell of the plurality of microcells comprising a microcell bottom layer, a protrusion structure, microcell walls, and a channel, the microcell bottom layer having a microcell bottom inside surface, the microcell bottom inside surface comprising an exposed microcell bottom inside surface and an unexposed microcell bottom inside surface, the protrusion structure having a protrusion base, a protrusion surface, a protrusion apex, and a protrusion height, the protrusion apex being a point or a set of points of the protrusion structure, the point or the set of points having shorter distance from the microcell opening than all other points of the protrusion structure, the protrusion height being the distance between the protrusion base and the protrusion apex, the protrusion surface being the surface of the protrusion structure not including the protrusion apex and the protrusion base, the microcell walls having a microcell inside wall surface and a microcell wall upper surface, the channel having a channel height, the channel height being 50% of the protrusion height, the unexposed microcell bottom inside surface being in contact with the protrusion base, the channel being a volume between the exposed microcell bottom inside surface, the protrusion surface, and the microcell inside wall surface; (b) dispensing a light blocking composition onto the exposed microcell bottom inside surface of each microcell, the light blocking composition comprising (i) light absorbing pigment particles, (ii) a polymer, oligomer, or monomer, and (iii) optionally, a solvent; (c) curing the light blocking composition to form a light blocking layer on the exposed microcell bottom inside surface; (d) filling each microcell of the plurality of microcells with an electrophoretic medium comprising electrically charged pigment particles, a charge control agent, and a fluid; (e) sealing each microcell of the plurality of microcells with a sealing layer; and (f) attaching a first light transmissive electrode layer onto the sealing layer.
[0117] If the light blocking composition comprises a solvent, the solvent is evaporated during the curing of the light blocking composition. The curing of the light blocking composition may be achieved by UV irradiation, thermally, or by solvent evaporation.
[0118] Examples 5 and 6 describe experiments towards the formation of a blocking layers using blocking compositions. In Example 5, the blocking composition comprises black electrically charged pigment particles, whereas in Example 6, the blocking composition comprises white electrically charged pigment particles.
[0119] A variable light transmission device with improved performance of the closed optical state can also be achieved by using the device illustrated in FIG. 13. The variable light transmission device illustrated in FIG. 13 comprises a first light transmissive electrode layer (202); a second light transmissive electrode layer (207); and a microcell layer (203). The microcell layer is disposed between the first light transmissive electrode layer (202) and the second light transmissive electrode layer (207). The microcell layer comprises a plurality of microcells and a sealing layer. Each microcell of the plurality of microcells includes an electrophoretic medium, the electrophoretic medium comprising electrically charged pigment particles and a charge control agent in a fluid. Each microcell of the plurality of microcells has a microcell opening, the sealing layer spanning the microcell openings of the plurality of microcells. Each microcell of the plurality of microcells comprises a microcell bottom layer, a protrusion structure, microcell walls, and a channel. The microcell bottom layer has a microcell bottom inside surface, the microcell bottom inside surface comprising an exposed microcell bottom inside surface and an unexposed microcell bottom inside surface. The protrusion structure has a protrusion base, a protrusion surface, a protrusion apex, and a protrusion height. The protrusion apex is a point or a set of points of the protrusion structure having shorter distance from the microcell opening than all other points of the protrusion structure, the protrusion height being the distance between the protrusion base and the protrusion apex. The protrusion surface is the surface of the protrusion structure not including the protrusion apex that is in contact with the electrophoretic medium. The microcell walls have a microcell inside wall surface, a microcell wall upper surface, and a second light blocking layer 1311. The microcell inside wall surface is the surface of the microcell walls of a microcell that is in contact with the electrophoretic medium. The second light blocking layer 1311 is disposed between the microcell wall upper surface and the sealing layer. The channel has a channel height, the channel height being 50% of the protrusion height. The unexposed microcell bottom inside surface is in contact with the protrusion base. The channel is a volume between the exposed microcell bottom inside surface, the protrusion surface, and the microcell inside wall surface. The variable light transmission device of FIG. 13 may further comprise a first light blocking layer 1202, the first light blocking layer 1202 being disposed on the exposed microcell bottom inside surface layer. As described above, the first light blocking layer 1202 mitigates the haze when the device is viewed from below. The second light blocking layer 1311 contributes to an improved closed state by increasing the opacity of the device that may be caused by a partially light transmissive wall material. The second light blocking layer 1311 may be black, white, or any other color. The second light blocking layer 1311 may electrically conductive, which may facilitate the switching of the device. The variable light transmission device of FIG. 13 may further comprise an auxiliary layer 1312, which is disposed between the sealing layer and the second light blocking layer 1311. The auxiliary layer 1312 may comprise an adhesive material. The auxiliary layer 1312 may comprise a light reflecting pigment to further improve the opacity of the closed optical state. The auxiliary layer 1312 may also comprise an encapsulated electrophoretic layer comprising an electrophoretic medium including electrically charged pigment particles. Application of an electric field across the encapsulated electrophoretic layer of the auxiliary layer 1312 may switch the color (or the image) of the auxiliary layer 1312, which can also affect the appearance of the variable light transmission device of FIG. 13.
[0120] Charge control agents are typically oligomeric or polymer materials that are soluble in the fluid of the electrophoretic medium. Charge control agents are surfactant-type molecules having one or more polar functional group (head) and a non-polar part (tail). The electrophoretic medium may comprise a charge control agent in a concentration of from 0.1 weight percent to 10 weight percent by weight of the electrophoretic medium. The electrophoretic medium may comprise a charge control agent in a concentration of from 0.5 weight percent to 9 weight percent, from 0.7 weight percent to 8 weight percent, from 1 weight percent to 7 weight percent, or from 1 weight percent to 6 weight percent by weight of the electrophoretic medium. [0121] The fluid of the electrophoretic medium may comprise an aliphatic hydrocarbon, a cycloaliphatic hydrocarbon, an aromatic hydrocarbon, a halogenated aliphatic hydrocarbon, a polydimethylsiloxane, or mixture thereof.
[0122] The electrophoretic medium may also comprise a flocculating agent, also called depletor. The depletor induces an osmotic pressure difference between pigment-pigment particle and pigment particle depletor molecules. As a result, bistability of the optical states (open and closed) of the device is enhanced. Depletors are typically polymeric material such as polyisobutylene and polydimethylsiloxane.
[0123] EXAMPLES
[0124] Example 1 : A device was prepared by laminating together a sheet of polyethylene terephthalate (PET) coated with an Indium Tin Oxide (ITO) transparent conductor to an embossed microcell array on a second sheet of PET/ITO containing and electrophoretic medium. The structure of the device corresponded to the illustration in FIG. 2A to 2D, except that the sealing layer 212 was not incorporated. The structure of the embossed microcell array is illustrated in FIG. 14, which is a plan view of a microcell of the device. FIG. 15 shows the corresponding cross-sectional view of one microcell of the device. Table 1 shows the dimensions of the microcell.
[0125] Table 1 : Device Structure
Figure imgf000032_0001
[0126] The electrophoretic medium comprised a white pigment, hydrocarbon solvent, a charge control agent (CCA), and a depletor. In the example, the electrophoretic medium sample was prepared by mixing 10 wt% of white pigment and 5 wt% of a charge control agent (Cationic Charge Control Agent from Example 1 - CCA111 of US2020/0355978) in Isopar E solvent. The device was switched with a 50V square wave AC waveform with 50% duty cycle. Three different pigment motion styles were observed by increasing AC frequencies from 0 Hz to 5000 Hz as shown in FIG. 16. The white pigment particles were prepared with a titanium dioxide pigment core and a polymer shell, as described in Example 1 of United States Patent No. 8,582,196.
[0127] At the low frequency of 10 Hz and after multiple switches, the white pigment moved towards the edge (near the perimeter) of the microcell (FIG. 16a), presumably by slight nudges down the slope of the cone. Once located in the channel, the pigment switched up and down in a vertical direction. At this low frequency of 10 Hz, the motion was dominated by normal electrophoresis. By increasing the frequency to 100 Hz, the pigment tended to spread laterally into the region above the cone in the embossed microcell structure (FIG. 16b). At frequency of 1000 Hz, the white pigments completely spread into the circles of the embossed microcell structure, as shown in FIG. 16c. In the frequency of 1000 Hz, it is thought that the pigment behavior was dominated by induced-charge lateral motion, possibly the result of ICEO. At frequency of 5000 Hz, the white pigment particles tended to center of the near cone region of embossed microcell structure, as shown in FIG. 16(d).
[0128] Example 2: In Example 2, the effect of the concentration of the charge control agent (CCA) on the motion of white pigments in an embossed microcell device was studied.
[0129] As described previously, it is expected that increasing the concentration of the charge control agent of the electrophoretic medium would decrease the Debye length associated with an electrically charged pigment particle surface, and therefore, increase the frequency required for a particular ICEO flow. To test this hypothesis, three variable light transmission devices were prepared having similar electrophoretic media, but using different charge control agent concentrations. The charge control agent used in this example is a cationic polymer disclosed in Example 1-CCA111 of US2020/0355978. Three different electrophoretic media were prepared having charge control agent concentrations of 0.1 wt%, 1 wt%, and 5 wt% by weight of the electrophoretic medium. Each electrophoretic medium also comprised 10 wt% white pigment and Isopar E solvent. The white pigment particles were prepared with a titanium dioxide pigment core, which comprises a polymer coating, as described in Example 1 of United States Patent No. 8,582,196.
[0130] The switching performance of the three samples were evaluated in the embossed microcell device (represented by FIGS. 14 and 15). The waveform was square wave +/-50V AC with 50% duty cycle. As shown in FIG. 17, increasing the concentration of charge control agent, increased the frequency required to reach the closed optical state. That is, a frequency of 50 Hz was required to achieve the closed optical state for the electrophoretic medium containing 0.1 wt% CCA, a frequency of 100 Hz was required to achieve the closed optical state for the electrophoretic medium containing 1 wt% CCA, and a frequency of 1000 Hz was required to achieve the closed optical state for the electrophoretic medium containing 5 wt% CCA. The ratio of frequency over the CCA concentration for the three experiments was 500 Hz, 1000 Hz, and 1000 Hz respectively.
[0131] The device having electrophoretic medium comprising 1 wt% CCA could be switched from the open optical state to the closed optical state using (a) a simple square wave AC of +/-100V at 0.5 Hz, or (b) a +/-50V square wave AC with 50 Hz frequency with superimposed DC voltage of -50V. The open optical state was reached by a +/-50V square wave AC with 5% duty cycle, whereas the closed optical state required +/-50V square wave AC with 95% duty cycle. The switching time in each case was approximately 1 second.
[0132] Example 3 : The effect of the charge of the white pigment on switching performance of a variable light transmission device was studied.
[0133] A variable light transmission device was prepared having an electrophoretic medium comprising 10 wt% positively charged white pigment particles in Isopar E. The white pigment was functionalized with 1.6% wt of silane Z6030 and grafted with polylauryl methacrylate (PLMA). The zeta potential of the treated pigment was +35 mV titrated with the CCA (cationic polymer disclosed in Example 1-CCA111 of US2020/0355978CCA111). The electrophoretic medium also comprised 1 wt% of CCA (cationic polymer disclosed in Example 1-CCA111 of US2020/035597811). The waveform that was used to switch the device from the open optical state to the closed optical state was DC superimposing AC, i.e., square wave waveform, +/-50V AC with 500 Hz frequency. The waveform to switch the device from the closed optical state to the open optical state was +/-50V AC with offset of +50V DC. The behavior of the device of Example 3 was thus very similar to that of the device with electrophoretic medium comprising 1 wt% of CCA of Example 2, except that the DC offset required to achieve the open optical state was of opposite polarity.
[0134] Example 4: In this example, the solvent of the electrophoretic medium matched the polymer that formed the embossed microcells.
[0135] “Haze” refers to the percentage of diffuse transmitted light compared to the total transmitted light. Diffuse transmitted light is light that is scattered as it is transmitted. In order to make a variable light transmission device with low haze, it was necessary to match the refractive index of the solvent of the electrophoretic medium liquid and the polymeric material that was used to make the embossed microcells, as described in U.S. Patent No. 7,327,511. [0136] Typically, solvents used in electrophoretic media have low dielectric constant (preferably less than 10 and desirably less than 3), low viscosity, low vapor pressure, and relatively high refractive index. Examples of solvents include, but are not limited to, aliphatic hydrocarbons such as heptane, octane, and petroleum distillates such as Isopar® (ExxonMobil) or Isane® (Total), terpenes, such as limonene, e.g., 1 -limonene, and aromatic hydrocarbons, such as toluene. A particularly preferred solvent is limonene, since it combines a low dielectric constant (2.3) with a relatively high refractive index (1.47). The refractive index of the electrophoretic medium may be modified with the addition of index matching agents. For example, the aforementioned U.S. Pat. No. 7,679,814 describes an electrophoretic medium suitable for use in a variable light transmission device in which the non-polar liquid of the electrophoretic medium comprises a mixture of a partially hydrogenated aromatic hydrocarbon and a terpene, a preferred mixture being d-limonene and a partially hydrogenated terphenyl, available commercially as Cargille® 5040 from Cargille-Sacher Laboratories, 55 Commerce Rd, Cedar Grove N.J. 07009.
[0137] To reduce haze, it is preferred that the refractive index of the encapsulated electrophoretic medium closely matches that of the encapsulating material. In most instances, it is beneficial to use an electrophoretic medium having a refractive index between 1.51 and 1.57 at 550 nm, preferably about 1.54 at 550 nm.
[0138] Example 4 A: A variable light transmission device comprising microcells was prepared having an electrophoretic medium comprising 5 wt% of white pigment, and 1 wt% CCA (cationic polymer disclosed in Example 1-CCA111 of US2020/035597811) in Cargille® 5040 and Isopar E solvents. The waveform used was square wave AC with 10 Hz frequency and amplitude of +/-50V. To reach the closed optical state, a 5% duty cycle was used. To reach the open optical state, a 95% duty cycle employed firstly, followed by changing the duty cycle to 50%.
[0139] Example 4B: Another variable light transmission device comprising microcells was prepared using an electrophoretic medium having similar composition as Example 4A, further comprising polyisobutylene (PIB) as depletor. The depletor is used to improve the bistability of the device, that is, to ensure that the open optical state and the closed optical state are maintained when no electric field is applied on the device. The electrophoretic medium comprises 10 wt% of white pigment, 1 wt% CCA (cationic polymer disclosed in Example 1- CCA111 of US2020/035597811), 0.5 wt% of polyisobutylene in Cargille® 5040, and Isopar E. solvents. The waveform used was a +/-50V square wave AC having a 10 Hz frequency. To reach the closed optical state, a 5% duty cycle alternating with a 50% duty cycle was used. To reach the open optical state, a 95% duty cycle was employed, followed by 50% duty cycle. The time required for complete switching was approximately 20 seconds. This time is considerably longer than the time required to switch the non-index -matched solvent that contains no depletor (Example 4A).
[0140] Example 5. Light blocking layer comprising black particles.
[0141] A variable transmission device was prepared by laminating together a sheet of PET coated with an ITO transparent conductor to an embossed microcell array on a second sheet of PET/ITO, the embossed microcell array containing an electrophoretic medium. The structure of the embossed microcell array is illustrated in FIGS. 2A to 2D, although the microcell of this example did not comprise a sealing layer.
[0142] The light blocking composition that was used for the light blocking layer comprised a black pigment, a solvent, a charge control agent, and depletor. In this example, the light blocking composition was prepared by mixing 10 wt % black pigment, 1 wt% CCA (Cationic Charge Control Agent from Example 1 - CCA111 of US2020/0355978111), and 0.5 wt% polyisobutylene in a solvent mixture of a partially hydrogenated terphenyl, available commercially as Cargille® 5040 from Cargille-Sacher Laboratories, 55 Commerce Rd, Cedar Grove N.J. 07009, Limonene, Isopar M and Isopar E. The black pigment particle has a core comprising black iron oxide (Pigment Black 11) and a polymeric shell. As shown in the Figure 18, the black pigment particles were dispersed in the entire electrophoretic medium when the device was made. An waveform of 0.5 Hz, 50V square waveform with +50V offset (i.e., switching between +100V and 0V) and 50% duty cycle was applied to the first light transmissive electrode layer, while the second light transmissive electrode layer was kept at 0 V. The electric field between the two electrodes induced electrophoresis and drove the positive black pigment to the unexposed microcell bottom surface (inside the channel), as demonstrated in Figure 19. The black pigment remained on the unexposed microcell bottom surface after the voltage was released. The PET/ITO first electrode was then peeled from the device to allow the evaporation of the film.
[0143] Example 6: A variable light transmission device was prepared as the variable light transmission device of Example 5, except that the light blocking composition was formulated by mixing 10 wt% of white pigment and 5 wt% CCA (Cationic Charge Control Agent from Example 1 - CCA111 of US2020/0355978111) in Isopar E solvent. The device was readily switched under 50 Hz / 50V square wave between the closed optical state (0V offset, FIG. 20) and the open optical state (-50V offset, FIG. 21). [0144] Example 7: Switching black and white pigments of opposite charge into the channel in an embossed microcell.
[0145] A variable transmission device was prepared by laminating together of a sheet of PET coated and an ITO transparent conductor to an embossed microcell array, containing and electrophoretic medium, on a second sheet of PET/ITO. The structure of the microcell corresponded to the illustration in FIG. 2A to 2D, except that the device does not comprise a sealing layer. The structure of the embossed microcell array is illustrated in FIGS. 14 and 15. [0146] First, an electrophoretic composition comprising a black pigment was prepared and switched into the open optical state (black pigment included in the channel). The first light transmissive electrode layer was then removed and the solvent was evaporated. After the evaporation of the solvent, an electrophoretic medium containing a white pigment, solvent, and charge control agent (CCA) was prepared. In this example, the electrophoretic medium was prepared by mixing 10 wt% white pigment and 1 wt% CCA111 in a solvent mixture of a partially hydrogenated terphenyl, available commercially as Cargille® 5040 from Cargille- Sacher Laboratories, 55 Commerce Rd, Cedar Grove N.J. 07009, Limonene, Isopar M and Isopar E. The white pigment particles were prepared with a titanium dioxide pigment core, which comprises a polymer coating, as described in Example 1 of United States Patent No. 8,582,196.
[0147] The electrophoretic medium was assembled into a microcell device in which the black pigment had been switched into the channel and the solvent evaporated. Thus, the device contained both white and black pigment particles of opposite charges. Both pigments were able to be switched electrophoretically. To switch both pigment into the channel, first the black pigment was switched into the channel using a positive DC offset on an AC voltage with relatively low frequency, then the white pigment was switched into the channel with a negative DC offset on an AC voltage with a relatively high frequency.
[0148] In a first step, a waveform of 10 Hz, 50V square waveform 50% duty cycle and +2V offset was applied to the first light transmissive electrode layer 202 while the second light transmissive electrode layer was kept at 0V. The electric field between the electrodes induced electrophoresis with superimposed induced-charge electro-osmosis and drove the positive black pigment into the channel. In a second step, a waveform of 500 Hz / 50V square waveform 50% duty cycle and alternating +2V and -2V offset was applied to the first electrode, while the second electrode was kept at 0V. At the higher frequency (500 Hz versus 10 Hz in the first step) there was less lateral motion of the black pigment than the white pigment. That is, the white pigment was driven into the channel during the phases of the waveform with a negative DC offset. As shown in FIG. 22, the result was that both the white and the black pigments were switched into the channels of the microcells.
[0149] Parts of the structures in the drawings: 200 Variable transmission device; 201 First transparent substrate; 202 First light-transmissive electrode layer; 203 Microcell layer; 204 Plurality or microcells; 205 Microcell opening; 206 Sealing layer; 207 Second light- transmissive electrode layer; 208 Second transparent substrate; 209 Electrophoretic medium; 210 Microcell bottom layer; 211 Microcell bottom inside surface; 211a Exposed microcell bottom inside surface; 211b Unexposed microcell bottom inside surface; 212 Microcell walls; 213 Microcell inside wall surface; 214 Microcell wall upper surface; 125 Channel; 216 Channel height; 217 Protrusion structure; 218 Protrusion base; 219 Protrusion apex; 220 Protrusion height; 221 Protrusion surface; 222 Electrically charged pigment particles; 222a First type of electrically charged pigment particles; 222b Second type of electrically charged pigment particles; 223a First type of electrically charged pigment particles having opposite charge polarity from Second type of electrically charged pigment particles 223b; 223b Second type of electrically charged pigment particles having opposite charge polarity from first type of electrically charged pigment particles 223a; 1202 First light blocking layer; 1311 Second light blocking layer; 1312 Auxiliary layer.

Claims

Claims The invention claimed is:
1. A method of operation of a variable light transmission device comprising the steps: providing a variable light transmission device (200), the variable light transmission device (200) comprising: a first light transmissive electrode layer (202); a second light transmissive electrode layer (207); and a microcell layer (203), the microcell layer (203) being disposed between the first light transmissive electrode layer (202) and the second light transmissive electrode layer (207), the microcell layer (203) comprising a plurality of microcells (204) and a sealing layer (206), each microcell of the plurality of microcells (204) including an electrophoretic medium (209), the electrophoretic medium (209) comprising electrically charged pigment particles and a charge control agent, in a non-polar liquid, each microcell of the plurality of microcells (204) having a microcell opening (205), the sealing layer (206) spanning the microcell openings (205) of the plurality of microcells (204), each microcell of the plurality of microcells (204) comprising a microcell bottom layer (210), a protrusion structure (217), microcell walls (212), and a channel (215), the microcell bottom layer (210) having a microcell bottom inside surface (211), the microcell bottom inside surface (211) comprising an exposed microcell bottom inside surface (211a) and an unexposed microcell bottom inside surface (211b), the protrusion structure (217) having a protrusion base (218), a protrusion surface (221), a protrusion apex (219), and a protrusion height (220), the protrusion apex (219) being a point or a set of points of the protrusion structure (217), the point or the set of points having shorter distance from the microcell opening (205) than all other points of the protrusion structure (217), the protrusion height (220) being the distance between the protrusion base (218) and the protrusion apex (219), the protrusion surface (221) being the surface of the protrusion structure (217) not including the protrusion apex that is in contact with the electrophoretic medium (209), the microcell walls (212) having a microcell inside wall surface (213) and a microcell wall upper surface (214), the microcell inside wall surface (213) being the surface of the microcell walls (212) of a microcell that is in contact with the electrophoretic medium (209), the microcell wall upper surface (214) being the surface of the microcell walls (212) of a microcell that is in contact with the sealing layer (206), the channel (215) having a channel height (216), the channel height (216) being 50% of the protrusion height (220), the unexposed microcell bottom inside surface (211b) being in contact with the protrusion base (218), the channel (215) being a volume between the exposed microcell bottom inside surface (211a), the protrusion surface (221), and the microcell inside wall surface (213), applying a first electric field between the first light transmissive electrode layer (202) and the second light transmissive electrode layer (207) via a first waveform to cause movement of the electrically charged pigment particles towards the channel (215), resulting in the switching of the variable light transmission device (200) to an open optical state, the electrically charged pigment particles in the open optical state being located inside the channel (215), applying a second electric field between the first light transmissive electrode layer (202) and the second light transmissive electrode layer (207) via a second waveform to cause a movement of the electrically charged pigment particles (222) towards the first light transmissive electrode layer (202) with a velocity, the velocity having a lateral component, and leading to a closed optical state, the second waveform comprising at least one positive voltage and at least one negative voltage, the second waveform having a net positive or net negative impulse, wherein the closed optical state has lower percent light transmission than the open optical state.
2. The method of operation of a variable light transmission device of claim 1, wherein the content of the charge control agent in the electrophoretic medium is from 1 weight percent to 8 weight percent by weight of the electrophoretic medium.
3. The method of operation of a variable light transmission device according to claim 1 or claim 2, wherein the second waveform comprises an AC waveform, the AC having a frequency, the AC waveform having a duty cycle of from 5% to 45%.
4. The method of operation of a variable light transmission device of claim 3, wherein the AC waveform is a square waveform, a sinusoidal waveform, a trigonal waveform, or a sawtooth waveform.
5. The method of operation of a variable light transmission device according to claim 3 or claim 4, wherein the AC waveform is a square waveform having two or more cycles, wherein the positive and negative voltages of the AC waveform have same amplitude, the amplitude being from 10V to 200V, and wherein the frequency of the AC waveform is from 0.1 Hz to 6000 Hz.
6. The method of operation of a variable light transmission device of claim 5, wherein the frequency of the AC waveform is from 100 Hz to 3000 Hz and the amplitude of the AC waveform is from 20V to 180V.
7. The method of operation of a variable light transmission device according to any one of claim 3 to claim 6, wherein the ratio of the frequency of the AC waveform expressed in Hz to the content of the charge control agent in the electrophoretic medium expressed in weight percent of the charge control agent by weight of the electrophoretic medium is from 400 to 2000 Hz.
8. The method of operation of a variable light transmission device according to claim 1 or claim 2, wherein the second waveform comprises a waveform that is formed by a superposition of a DC voltage component and an AC waveform, the AC waveform having a frequency and an amplitude, the frequency being from 0.1 Hz to 6000 Hz and the amplitude being from 10V to 200V, the DC voltage component having an amplitude, the amplitude of the DC voltage component being from 0. IV to 500V.
9. The method of operation of a variable light transmission device of claim 8, wherein the AC waveform is a square waveform, a sinusoidal waveform, a trigonal waveform, or a sawtooth waveform.
10. The method of operation of a variable light transmission device according to claim 8 or claim 9, wherein the ratio of the frequency of the AC waveform expressed in Hz to the content of the charge control agent in the electrophoretic medium expressed in weight percent of the charge control agent by weight of the electrophoretic medium is from 400 to 2000 Hz.
11. The method of operation of a variable light transmission device according to any one of claim 1 to claim 10, wherein the protrusion structure is a geometric solid selected from the group consisting of (a) a cone, (b) a cone on a cylinder, the cylinder having a base, the cylinder’s base being the protrusion base of the protrusion structure, (c) a tetrahedron, (d) a tetrahedron on a triangular prism, the triangle prism having a triangle base, the triangle base being the protrusion base of the protrusion structure, (e) a triangular prism, the triangular prism having a square base, the square base being the protrusion base of the protrusion structure, (f) a square pyramid having a square base, the square base being the protrusion base of the protrusion structure, (h) a square pyramid on a cube, the cube having a base, the cube base being the protrusion base of the protrusion structure, (i) a square pyramid on a right parallelepiped, the right parallelepiped having a right parallelogram base, the right parallelogram being the protrusion base of the protrusion structure, (j) a pentagonal pyramid, the pentagonal pyramid having a pentagon base, the pentagon base being the protrusion base of the protrusion structure, (k) a pentagonal pyramid on a pentagonal prism, the pentagonal prism having a pentagon base, the pentagon base being the protrusion base of the protrusion structure, (1) an a hexagonal pyramid, the hexagonal pyramid having an hexagon base, the pentagon base being the protrusion base of the protrusion structure, (m) an hexagonal pyramid on an hexagonal prism, the hexagonal prism having an hexagon base, the hexagon base being the protrusion base of the protrusion structure.
12. The method of operation of a variable light transmission device of claim 11, wherein the protrusion structure is a cone, the cone having a slope of from 5 degrees to 10 degrees.
13. The method of operation of a variable light transmission device of claim 11, wherein the protrusion structure is a cone on a cylinder, the cylinder having a base, the cylinder’s base being the protrusion base of the protrusion structure, and wherein the cone has a slope of 10 degrees or lower.
14. The method of operation of a variable light transmission device of claim 1, wherein the protrusion structure is a geometric solid of a pyramid having a base with n sides, the base with n sides being the protrusion base of the protrusion structure, wherein n is an integer from 7 to 12, (m) an pyramid having a base with n sides on a prism having a base with n sides, the base of the prism having n sides being the protrusion base of the protrusion structure, wherein n is from 7 to 12.
15. The method of operation of a variable light transmission device according to any one of claim 1 to claim 14, wherein the electrophoretic medium comprises a first type of electrically charged pigment particles and a second type of electrically charged pigment particles, the first type of electrically charged pigment particles being light reflecting, and the second type of electrically charged pigment particles being light absorbing.
16. The method of operation of a variable light transmission device of claim 15, wherein the first type of electrically charged pigment particles are white.
17. The method of operation of a variable light transmission device of claim 15, wherein the second type of electrically charged pigment particles are black.
18. The method of operation of a variable light transmission device of claim 15, wherein the first type of electrically charged pigment particles have same polarity as the second type of electrically charged pigment particles.
19. The method of operation of a variable light transmission device of claim 15, wherein the first type of electrically charged pigment particles have opposite polarity from the second type of electrically charged pigment particles.
20. A variable light transmission device (200) comprising: a first light transmissive electrode layer (202); a second light transmissive electrode layer (207); and a microcell layer (203), the microcell layer (203) being disposed between the first light transmissive electrode layer (202) and the second light transmissive electrode layer (207), the microcell layer (203) comprising a plurality of microcells (204) and a sealing layer (206), each microcell of the plurality of microcells (204) including an electrophoretic medium (209), the electrophoretic medium (209) comprising electrically charged pigment particles and a charge control agent in a non-polar liquid, each microcell of the plurality of microcells (204) having a microcell opening (205), the sealing layer (206) spanning the microcell openings of the plurality of microcells (204), each microcell of the plurality of microcells (204) comprising a microcell bottom layer (210), a protrusion structure (217), microcell walls (212), and a channel (215), the microcell bottom layer (210) having a microcell bottom inside surface (211), the microcell bottom inside surface (211) comprising an exposed microcell bottom inside surface (211a) and an unexposed microcell bottom inside surface (21 lb), the protrusion structure (217) having a protrusion base (218), a protrusion surface (221), a protrusion apex (219), and a protrusion height (220), the protrusion apex (219) being a point or a set of points of the protrusion structure (217) having shorter distance from the microcell opening (205) than all other points of the protrusion structure (217), the protrusion height (220) being the distance between the protrusion base (218) and the protrusion apex (219), the protrusion surface (221) being the surface of the protrusion structure (217) not including the protrusion apex (219) that is in contact with the electrophoretic medium (209), the microcell walls (212) having a microcell inside wall surface (213) and a microcell wall upper surface (214), the microcell inside wall surface (213) being the surface of the microcell walls (212) of a microcell that is in contact with the electrophoretic medium (209), the microcell wall upper surface (214) being the surface of the microcell walls (212) of a microcell that is in contact with the sealing layer (206), the channel (215) having a channel height (216), the channel height (216) being 50% of the protrusion height (220), the unexposed microcell bottom inside surface (21 lb) being in contact with the protrusion base (218), the channel (215) being a volume between the exposed microcell bottom inside surface (211a), the protrusion surface (221), and the microcell inside wall surface (213), wherein application of a first electric field between the first light transmissive electrode layer (202) and the second light transmissive electrode layer (207) via a first waveform causes movement of the electrically charged pigment particles to the channel (215), resulting in the switching of the variable light transmission device (200) to an open optical state, the electrically charged pigment particles in the open optical state being located inside the channel (215), and wherein application of a second electric field between the first light transmissive electrode layer (202) and the second light transmissive electrode layer (207) via a second waveform causes a movement of the electrically charged pigment particles (222) towards the first light transmissive electrode layer (202) with a velocity, the velocity having a lateral component, leading to a closed optical state, the second waveform comprising at least one positive voltage and at least one negative voltage, the second waveform having a net positive or net negative impulse, wherein the closed optical state has lower percent light transmission than the open optical state.
PCT/US2023/0859692022-12-302023-12-27A variable light transmission device and a method of operation of the samePendingWO2024145318A1 (en)

Priority Applications (3)

Application NumberPriority DateFiling DateTitle
CN202380087496.8ACN120344906A (en)2022-12-302023-12-27 Variable light transmission device and operation method thereof
AU2023420452AAU2023420452A1 (en)2022-12-302023-12-27A variable light transmission device and a method of operation of the same
KR1020257016580AKR20250089543A (en)2022-12-302023-12-27 Variable optical transmission device and method of operation thereof

Applications Claiming Priority (4)

Application NumberPriority DateFiling DateTitle
US202263436127P2022-12-302022-12-30
US63/436,1272022-12-30
US18/396,9402023-12-27
US18/396,940US20240219801A1 (en)2022-12-302023-12-27Variable light transmission device and a method of operation of the same

Publications (1)

Publication NumberPublication Date
WO2024145318A1true WO2024145318A1 (en)2024-07-04

Family

ID=89853444

Family Applications (1)

Application NumberTitlePriority DateFiling Date
PCT/US2023/085969PendingWO2024145318A1 (en)2022-12-302023-12-27A variable light transmission device and a method of operation of the same

Country Status (3)

CountryLink
KR (1)KR20250089543A (en)
AU (1)AU2023420452A1 (en)
WO (1)WO2024145318A1 (en)

Citations (47)

* Cited by examiner, † Cited by third party
Publication numberPriority datePublication dateAssigneeTitle
US4418346A (en)1981-05-201983-11-29Batchelder J SamuelMethod and apparatus for providing a dielectrophoretic display of visual information
US5872552A (en)1994-12-281999-02-16International Business Machines CorporationElectrophoretic display
US6130774A (en)1998-04-272000-10-10E Ink CorporationShutter mode microencapsulated electrophoretic display
US6144361A (en)1998-09-162000-11-07International Business Machines CorporationTransmissive electrophoretic display with vertical electrodes
US6184856B1 (en)1998-09-162001-02-06International Business Machines CorporationTransmissive electrophoretic display with laterally adjacent color cells
US6225971B1 (en)1998-09-162001-05-01International Business Machines CorporationReflective electrophoretic display with laterally adjacent color cells using an absorbing panel
US6241921B1 (en)1998-05-152001-06-05Massachusetts Institute Of TechnologyHeterogeneous display elements and methods for their fabrication
US6271823B1 (en)1998-09-162001-08-07International Business Machines CorporationReflective electrophoretic display with laterally adjacent color cells using a reflective panel
WO2002001281A2 (en)2000-06-282002-01-03Sipix Imaging, Inc.Manufacturing process for electrophoretic display
US20020075556A1 (en)2000-03-032002-06-20Rong-Chang LiangElectrophoretic display and novel process for its manufacture
US20020180687A1 (en)2001-04-022002-12-05E Ink CorporationElectrophoretic medium and display with improved image stability
US6922276B2 (en)2002-12-232005-07-26E Ink CorporationFlexible electro-optic displays
US20050270261A1 (en)*1999-04-302005-12-08Danner Guy MMethods for driving electro-optic displays, and apparatus for use therein
US6982178B2 (en)2002-06-102006-01-03E Ink CorporationComponents and methods for use in electro-optic displays
US7002728B2 (en)1997-08-282006-02-21E Ink CorporationElectrophoretic particles, and processes for the production thereof
US7012600B2 (en)1999-04-302006-03-14E Ink CorporationMethods for driving bistable electro-optic displays, and apparatus for use therein
US7072095B2 (en)2002-10-312006-07-04Sipix Imaging, Inc.Electrophoretic display and novel process for its manufacture
US7075502B1 (en)1998-04-102006-07-11E Ink CorporationFull color reflective display with multichromatic sub-pixels
US7116318B2 (en)2002-04-242006-10-03E Ink CorporationBackplanes for display applications, and components for use therein
US7116466B2 (en)2004-07-272006-10-03E Ink CorporationElectro-optic displays
US7144942B2 (en)2001-06-042006-12-05Sipix Imaging, Inc.Composition and process for the sealing of microcups in roll-to-roll display manufacturing
US7312784B2 (en)2001-03-132007-12-25E Ink CorporationApparatus for displaying drawings
US7327511B2 (en)2004-03-232008-02-05E Ink CorporationLight modulators
US7411719B2 (en)1995-07-202008-08-12E Ink CorporationElectrophoretic medium and process for the production thereof
US7453445B2 (en)2004-08-132008-11-18E Ink CorproationMethods for driving electro-optic displays
US7535624B2 (en)2001-07-092009-05-19E Ink CorporationElectro-optic display and materials for use therein
US7679814B2 (en)2001-04-022010-03-16E Ink CorporationMaterials for use in electrophoretic displays
US7715088B2 (en)2000-03-032010-05-11Sipix Imaging, Inc.Electrophoretic display
US7839564B2 (en)2002-09-032010-11-23E Ink CorporationComponents and methods for use in electro-optic displays
US20110193841A1 (en)*2002-06-132011-08-11E Ink CorporationMethods for driving electrophoretic displays using dielectrophoretic forces
US8009348B2 (en)1999-05-032011-08-30E Ink CorporationMachine-readable displays
US20110304902A1 (en)*2010-06-152011-12-15Jong-Souk YeoDisplay element
US8576476B2 (en)2010-05-212013-11-05E Ink CorporationMulti-color electro-optic displays
US8582196B2 (en)2001-05-152013-11-12E Ink CorporationElectrophoretic particles and processes for the production thereof
US20150005720A1 (en)2006-07-182015-01-01E Ink California, LlcElectrophoretic display
US20150277160A1 (en)2014-03-252015-10-01E Ink California, LlcMagnetophoretic display assembly and driving scheme
US20160012710A1 (en)2014-07-102016-01-14Sipix Technology Inc.Smart medication device
US9279906B2 (en)2012-08-312016-03-08E Ink California, LlcMicrostructure film
US20170235206A1 (en)2002-10-162017-08-17E Ink CorporationElectrophoretic displays
US20170351155A1 (en)2016-06-022017-12-07E Ink CorporationMixtures of encapsulated electro-optic medium and binder with low solvent content
US10067398B2 (en)2013-03-222018-09-04Vlyte Innovations LimitedElectrophoretic device having a transparent light state
US20200272017A1 (en)2019-02-252020-08-27E Ink CorporationComposite electrophoretic particles and variable transmission films containing the same
US10809590B2 (en)2017-06-162020-10-20E Ink CorporationVariable transmission electrophoretic devices
US20200355978A1 (en)2019-05-102020-11-12E Ink CorporationCharge control agents and particle dispersions including the same
US20210096439A1 (en)2019-09-302021-04-01E Ink CorporationElectrically-actuated variable transmission film having very low haze and a visible grid in a clear state
US11143930B2 (en)2018-06-282021-10-12E Ink CorporationDriving methods for variable transmission electro-phoretic media
US20220139338A1 (en)*2020-11-022022-05-05E Ink CorporationDriving sequences to remove prior state information from color electrophoretic displays

Patent Citations (51)

* Cited by examiner, † Cited by third party
Publication numberPriority datePublication dateAssigneeTitle
US4418346A (en)1981-05-201983-11-29Batchelder J SamuelMethod and apparatus for providing a dielectrophoretic display of visual information
US5872552A (en)1994-12-281999-02-16International Business Machines CorporationElectrophoretic display
US7411719B2 (en)1995-07-202008-08-12E Ink CorporationElectrophoretic medium and process for the production thereof
US7002728B2 (en)1997-08-282006-02-21E Ink CorporationElectrophoretic particles, and processes for the production thereof
US7075502B1 (en)1998-04-102006-07-11E Ink CorporationFull color reflective display with multichromatic sub-pixels
US6130774A (en)1998-04-272000-10-10E Ink CorporationShutter mode microencapsulated electrophoretic display
US6172798B1 (en)1998-04-272001-01-09E Ink CorporationShutter mode microencapsulated electrophoretic display
US6241921B1 (en)1998-05-152001-06-05Massachusetts Institute Of TechnologyHeterogeneous display elements and methods for their fabrication
US6271823B1 (en)1998-09-162001-08-07International Business Machines CorporationReflective electrophoretic display with laterally adjacent color cells using a reflective panel
US6184856B1 (en)1998-09-162001-02-06International Business Machines CorporationTransmissive electrophoretic display with laterally adjacent color cells
US6144361A (en)1998-09-162000-11-07International Business Machines CorporationTransmissive electrophoretic display with vertical electrodes
US6225971B1 (en)1998-09-162001-05-01International Business Machines CorporationReflective electrophoretic display with laterally adjacent color cells using an absorbing panel
US7012600B2 (en)1999-04-302006-03-14E Ink CorporationMethods for driving bistable electro-optic displays, and apparatus for use therein
US10319314B2 (en)1999-04-302019-06-11E Ink CorporationMethods for driving electro-optic displays, and apparatus for use therein
US20050270261A1 (en)*1999-04-302005-12-08Danner Guy MMethods for driving electro-optic displays, and apparatus for use therein
US8009348B2 (en)1999-05-032011-08-30E Ink CorporationMachine-readable displays
US7715088B2 (en)2000-03-032010-05-11Sipix Imaging, Inc.Electrophoretic display
US20020075556A1 (en)2000-03-032002-06-20Rong-Chang LiangElectrophoretic display and novel process for its manufacture
WO2002001281A2 (en)2000-06-282002-01-03Sipix Imaging, Inc.Manufacturing process for electrophoretic display
US7312784B2 (en)2001-03-132007-12-25E Ink CorporationApparatus for displaying drawings
US7679814B2 (en)2001-04-022010-03-16E Ink CorporationMaterials for use in electrophoretic displays
US20020180687A1 (en)2001-04-022002-12-05E Ink CorporationElectrophoretic medium and display with improved image stability
US8582196B2 (en)2001-05-152013-11-12E Ink CorporationElectrophoretic particles and processes for the production thereof
US7144942B2 (en)2001-06-042006-12-05Sipix Imaging, Inc.Composition and process for the sealing of microcups in roll-to-roll display manufacturing
US7535624B2 (en)2001-07-092009-05-19E Ink CorporationElectro-optic display and materials for use therein
US7116318B2 (en)2002-04-242006-10-03E Ink CorporationBackplanes for display applications, and components for use therein
US6982178B2 (en)2002-06-102006-01-03E Ink CorporationComponents and methods for use in electro-optic displays
US20110193841A1 (en)*2002-06-132011-08-11E Ink CorporationMethods for driving electrophoretic displays using dielectrophoretic forces
US20110199671A1 (en)2002-06-132011-08-18E Ink CorporationMethods for driving electrophoretic displays using dielectrophoretic forces
US7839564B2 (en)2002-09-032010-11-23E Ink CorporationComponents and methods for use in electro-optic displays
US20170235206A1 (en)2002-10-162017-08-17E Ink CorporationElectrophoretic displays
US7072095B2 (en)2002-10-312006-07-04Sipix Imaging, Inc.Electrophoretic display and novel process for its manufacture
US6922276B2 (en)2002-12-232005-07-26E Ink CorporationFlexible electro-optic displays
US7327511B2 (en)2004-03-232008-02-05E Ink CorporationLight modulators
US7116466B2 (en)2004-07-272006-10-03E Ink CorporationElectro-optic displays
US7453445B2 (en)2004-08-132008-11-18E Ink CorproationMethods for driving electro-optic displays
US20150005720A1 (en)2006-07-182015-01-01E Ink California, LlcElectrophoretic display
US20140055841A1 (en)2010-05-212014-02-27E Ink CorporationMulti-color electro-optic displays
US8576476B2 (en)2010-05-212013-11-05E Ink CorporationMulti-color electro-optic displays
US20110304902A1 (en)*2010-06-152011-12-15Jong-Souk YeoDisplay element
US9279906B2 (en)2012-08-312016-03-08E Ink California, LlcMicrostructure film
US10067398B2 (en)2013-03-222018-09-04Vlyte Innovations LimitedElectrophoretic device having a transparent light state
US20150277160A1 (en)2014-03-252015-10-01E Ink California, LlcMagnetophoretic display assembly and driving scheme
US20160012710A1 (en)2014-07-102016-01-14Sipix Technology Inc.Smart medication device
US20170351155A1 (en)2016-06-022017-12-07E Ink CorporationMixtures of encapsulated electro-optic medium and binder with low solvent content
US10809590B2 (en)2017-06-162020-10-20E Ink CorporationVariable transmission electrophoretic devices
US11143930B2 (en)2018-06-282021-10-12E Ink CorporationDriving methods for variable transmission electro-phoretic media
US20200272017A1 (en)2019-02-252020-08-27E Ink CorporationComposite electrophoretic particles and variable transmission films containing the same
US20200355978A1 (en)2019-05-102020-11-12E Ink CorporationCharge control agents and particle dispersions including the same
US20210096439A1 (en)2019-09-302021-04-01E Ink CorporationElectrically-actuated variable transmission film having very low haze and a visible grid in a clear state
US20220139338A1 (en)*2020-11-022022-05-05E Ink CorporationDriving sequences to remove prior state information from color electrophoretic displays

Non-Patent Citations (1)

* Cited by examiner, † Cited by third party
Title
BAZANTSQUIRES, J. FLUID MECH., vol. 509, 2004, pages 217 - 252

Also Published As

Publication numberPublication date
AU2023420452A1 (en)2025-05-22
KR20250089543A (en)2025-06-18

Similar Documents

PublicationPublication DateTitle
EP1735652B1 (en)Process of forming an electrophoretic medium
TWI484275B (en)Electro-optic display, method for driving the same and microcavity electrophoretic display
US20080130092A1 (en)Light modulators
US7999787B2 (en)Methods for driving electrophoretic displays using dielectrophoretic forces
US20170168370A1 (en)Methods for driving electrophoretic displays using dielectrophoretic forces
US12248226B2 (en)Driving methods for a variable light transmission device
US20240219798A1 (en)Variable light transmission device comprising electrophoretic medium having light reflective pigment particles
US20240219801A1 (en)Variable light transmission device and a method of operation of the same
US20240219799A1 (en)Variable light transmission device comprising electrophoretic medium having a compination of light reflective and light absorbing pigment particles
WO2024145318A1 (en)A variable light transmission device and a method of operation of the same
WO2024145324A1 (en)A variable light transmission device and a method of manufacture of the same
WO2024145345A1 (en)A variable light transmission device comprising electrophoretic medium having a compination of light reflective and light absorbing pigment particles
US20250271722A1 (en)Variable light transmission device comprising microcells
US20250028216A1 (en)Switchable electrophoretic light modulator having reduced aperture diffraction
HK40056310A (en)Driving methods for a variable light transmission device

Legal Events

DateCodeTitleDescription
121Ep: the epo has been informed by wipo that ep was designated in this application

Ref document number:23848643

Country of ref document:EP

Kind code of ref document:A1

WWEWipo information: entry into national phase

Ref document number:AU2023420452

Country of ref document:AU

WWEWipo information: entry into national phase

Ref document number:202517044923

Country of ref document:IN

ENPEntry into the national phase

Ref document number:20257016580

Country of ref document:KR

Kind code of ref document:A

ENPEntry into the national phase

Ref document number:2023420452

Country of ref document:AU

Date of ref document:20231227

Kind code of ref document:A

ENPEntry into the national phase

Ref document number:2025533105

Country of ref document:JP

Kind code of ref document:A

WWEWipo information: entry into national phase

Ref document number:2025533105

Country of ref document:JP

WWPWipo information: published in national office

Ref document number:1020257016580

Country of ref document:KR

WWEWipo information: entry into national phase

Ref document number:CN2023800874968

Country of ref document:CN

Ref document number:202380087496.8

Country of ref document:CN

WWPWipo information: published in national office

Ref document number:202517044923

Country of ref document:IN

WWPWipo information: published in national office

Ref document number:202380087496.8

Country of ref document:CN

WWEWipo information: entry into national phase

Ref document number:2023848643

Country of ref document:EP

NENPNon-entry into the national phase

Ref country code:DE


[8]ページ先頭

©2009-2025 Movatter.jp