Movatterモバイル変換


[0]ホーム

URL:


WO2024126635A1 - Formulation of an organic functional material - Google Patents

Formulation of an organic functional material
Download PDF

Info

Publication number
WO2024126635A1
WO2024126635A1PCT/EP2023/085729EP2023085729WWO2024126635A1WO 2024126635 A1WO2024126635 A1WO 2024126635A1EP 2023085729 WEP2023085729 WEP 2023085729WWO 2024126635 A1WO2024126635 A1WO 2024126635A1
Authority
WO
WIPO (PCT)
Prior art keywords
organic
organic solvent
formulation according
materials
solvent
Prior art date
Legal status (The legal status is an assumption and is not a legal conclusion. Google has not performed a legal analysis and makes no representation as to the accuracy of the status listed.)
Ceased
Application number
PCT/EP2023/085729
Other languages
French (fr)
Inventor
Manuel HAMBURGER
Miriam ENGEL
Rouven LINGE
Dietmar Kunkel
Current Assignee (The listed assignees may be inaccurate. Google has not performed a legal analysis and makes no representation or warranty as to the accuracy of the list.)
Merck Patent GmbH
Original Assignee
Merck Patent GmbH
Priority date (The priority date is an assumption and is not a legal conclusion. Google has not performed a legal analysis and makes no representation as to the accuracy of the date listed.)
Filing date
Publication date
Application filed by Merck Patent GmbHfiledCriticalMerck Patent GmbH
Publication of WO2024126635A1publicationCriticalpatent/WO2024126635A1/en
Anticipated expirationlegal-statusCritical
Ceasedlegal-statusCriticalCurrent

Links

Classifications

Definitions

Landscapes

Abstract

The present invention relates to a formulation containing at least one organic functional material and at least one organic solvent, preferably at least two different organic solvents, characterized in that at least one organic solvent is a deuterated solvent having a degree of deuteration of at least 25%, preferably at least 50%, more preferably at least 75% and most preferably 90%, to a process for the preparation of an electroluminescent device using the formulation of the present invention as well as to an electroluminescent device prepared by using the formulation of the present invention.

Description

Formulation of an organic functional material
Technical Field
The present invention relates to a formulation containing at least one organic functional material and at least one organic solvent A, preferably at least two different organic solvents A and B, characterized in that at least one organic solvent is a deuterated solvent having a degree of deuteration of at least 25%, preferably at least 50%, more preferably at least 75% and most preferably at least 90%, to a process for the preparation of an electronic device, preferably an electroluminescent device, as well as to an electronic device, preferably an electroluminescent device, prepared by using the formulation of the present invention.
Background Art
Organic Light Emitting Devices (OLEDs) have been fabricated for a long time by vacuum deposition processes. Other techniques such as inkjet printing have been recently thoroughly investigated because of their advantages such as cost savings and scale-up possibilities. One of the main challenges in multi-layer printing is to identify the relevant parameters to obtain a homogeneous deposition of inks on the substrate. To trigger these parameters, such as surface tension, viscosity or boiling point, some additives can be added to the formulation.
Technical Problem and Object of the Invention
Many solvents have been proposed in organic electronic devices for inkjet printing. However, the number of important parameters playing a role during deposition and drying process makes the choice of the solvent very challenging. Thus, formulations containing organic semiconductors used for deposition by inkjet printing still need to be improved. One object of the present invention is to provide a formulation of an organic functional material, preferably an organic semiconductor, which allows a controlled deposition to form organic functional material layers, preferably organic semiconductor layers, having good layer properties and efficient performance. A further object of the present invention is to provide a formulation of an organic functional material, preferably an organic semiconductor, which allows an excellent film uniformity when deposited and dried on a substrate using e.g. an inkjet printing method thereby giving good layer properties and efficient performance.
In JP 2015/191792 A2 a solute is disclosed, composed of the constituent material or its precursor of the functional layer, dissolved in a first and second solvent, wherein the first solvent has a first solubility parameter and a first boiling point and the second solvent has a smaller second solubility parameter than the first solubility parameter and a second lower boiling point than the first boiling point, the first boiling point is > 250°C and the second boiling point is > 170°C, the difference between the second and the first boiling point is > 40°C and the second solubility parameter is 9.0 (cal/cm3)1/2 or less.
In EP 2924083 A1 an ink for functional layer formation is disclosed, comprising a first component that is a solute, a second component that has a boiling point in the range from 280 to 350°C, is a good solvent for the first component, and is at least one type selected from the group consisting of an aromatic hydrocarbon including at least two aromatic rings, aromatic glycol ether, aliphatic glycol ether, aliphatic acetate, and aliphatic ester, and a third component that has a boiling point in the range from 200 to 300°C, is a good solvent for the first component, and is at least one type selected from the group consisting of an aromatic hydrocarbon, an aromatic ether, and an aliphatic ether, wherein the proportion of the second component in a mixed solvent including the second component and the third component is 10 wt% or greater.
In US 2013/256636 A1 a functional layer ink for forming a functional layer by a liquid coating method is disclosed, wherein the functional layer material contains a macromolecular or low-molecular-weight material, and a mixed solvent containing 0.1 % by weight or more of solvent A having a viscosity in the range from 0.01 to 0.05 Pa s, and solvent B having a viscosity of less than 0.01 Pa s and a lower boiling point than the solvent A, the mixed solvent has a viscosity of less than 0.02 Pa s and a boiling point in the range from 200 to 350°C.
In WO 2005/083814 A1 , solutions of at least one organic semiconductor containing at least one high-molecular weight constituent in a solvent mixture of at least three different solvents A, B and C are disclosed.
Solvents A and B are good solvents for the organic semiconductor, the solvent C is a bad solvent for the organic semiconductor.
In WO 2005/112145 A1 single-phase, liquid compositions (solutions) are disclosed comprising at least one organic semiconductor which comprises at least one high-molecular-weight component, and at least one organic solvent A which is a good solvent for the organic semiconductor, and at least one organic solvent B which is a poor solvent for the organic semiconductor, characterised in that the following applies to the boiling points (b.p.) of solvents A and B: b.p.(A) > b.p.(B).
Solution to Problem
The above objects of the present invention are solved by providing a formulation containing at least one organic functional material and at least one organic solvent A, preferably at least two different organic solvents A and B, characterized in that at least one organic solvent is a deuterated solvent having a degree of deuteration of at least 25%, preferably at least 50%, more preferably at least 75% and most preferably at least 90%.
Advantageous Effects of Invention
The inventors have surprisingly found that the use of the formulation of the present invention allows an effective ink deposition to form uniform and well-defined organic layers of functional materials which have good layer properties and performance.
Brief Description of Drawings
Figure 1 shows a typical layer structure of a device containing a substrate, an ITO anode, a hole-injection layer (HIL), a hole-transport layer (HTL), a green-emissive layer (G-EML), two electron-transport layers (ETL1 and ETL2), an electron-injection layer (EIL) and an Al cathode.
Description of Embodiments
The present invention relates to a formulation containing at least one organic functional material and at least one organic solvent A, preferably at least two different organic solvents A and B, characterized in that at least one organic solvent is a deuterated solvent having a degree of deuteration of at least 25%, preferably at least 50%, more preferably at least 75% and most preferably at least 90%.
In accordance with the present invention, the degree of deuteration corresponds to the number of deuterium atoms in a compound on the total number of deuterium atoms and protium atoms in the compound in %, as follows:
Deuteration degree (%) = (ND * 100) I (Np + ND) where:
ND is the number of deuterium atoms in the compound;
Np is the number of deuterium and protium atoms in the compounds.
Unless specificied otherwise, the term hydrogen in the present invention design the protium isotope of hydrogen, which accounts for more that 99.98% of the natural occurring hydrogen in the oceans. The term “deuterated compound” correspond to a compound, in which at least one hydrogen atom is replaced by a deuterium atom and in which the abundance of deuterium at each deuterated position of the compound is higher than the natural abundance of deuterium, which is about 0.015%. To be a “deuterated compound”, a compound/precursor has to go though a deuterium enrichement or deuteration process.
The degree of deuteration can be determined for example via NMR or LC- MS.
Preferred Embodiments
In a preferred embodiment, the formulation is characterized in that it contains at least two different organic solvents, a first organic solvent A and a second organic solvent B, wherein the first organic solvent A and/or the second organic solvent B is a deuterated solvent.
The first organic solvent A and the second organic solvent B each have preferably a boiling point in the range from 100 to 400°C.
The first organic solvent A and the second organic solvent B each have preferably a viscosity in the range from 1 to 60 mPas, and more preferably in the range from 2 to 50 mPas.
In a first embodiment of the present invention, the first organic solvent A is the deuterated solvent.
In a second embodiment of the present invention, the second organic solvent B is the deuterated solvent.
In a third embodiment of the present invention, the first organic solvent A and the second organic solvent B are deuterated solvents. Suitable first organic solvents A are preferably organic solvents which include inter alia, ketones, ethers, esters, amides such as di-Ci-2- alkylformamides, sulfur compounds, nitro compounds, hydrocarbons, halogenated hydrocarbons (e.g. chlorinated hydrocarbons), aromatic or heteroaromatic hydrocarbons (e.g. naphthalene derivatives) and halogenated aromatic or heteroaromatic hydrocarbons.
Preferably, the first organic solvent A can be chosen from one of the following groups: substituted and non-substituted aromatic or linear ethers such as 3-phenoxytoluene or anisole; substituted or non-substituted arene derivatives such as cyclohexylbenzene; substituted or non-substituted indanes such as hexamethylindane; substituted and non-substituted aromatic or linear ketones such as dicyclohexylmethanone; substituted and non-substituted heterocycles such as pyrrolidinones, pyridines, pyrazines; other fluorinated or chlorinated aromatic hydrocarbons, substituted or nonsubstituted naphthalenes such as alkyl substituted naphthalenes, such as 1 -ethyl naphthalene.
Particularly preferred first organic solvents A are, for example, 1 -ethylnaphthalene, 2-ethylnaphthalene, 2-propylnaphthalene, 2-(1-methylethyl)- naphthalene, 1-(1-methylethyl)-naphthalene, 2-butylnaphthalene, 1 ,6- dimethylnaphthalene, 2,2'-dimethylbiphenyl, 3,3'-dimethylbiphenyl, 1- acetylnaphthalene,1 ,2,3,4-tetramethylbenzene, 1 ,2,3,5-tetramethyl- benzene, 1 ,2,4,5-tetramethylbenzene, 1 ,2,4-trichlorobenzene, 1 ,2- dihydronaphthalene, 1 ,2-dimethylnaphthalene, 1 ,3-benzodioxole, 1 ,3- diisopropylbenzene, 1 ,3-dimethylnaphthalene, 1 ,4-benzodioxane, 1 ,4- diisopropylbenzene, 1 ,4-dimethylnaphthalene, 1 , 5-dimethyltetralin,
1 -benzothiophene, thianaphthalene, 1 -bromonaphthalene, 1-chloro- methylnaphthalene, 1 -methoxynaphthalene, 1 -methylnaphthalene,
2-bromo-3-bromomethylnaphthalene, 2-bromomethyl-naphthalene, 2-bromonaphthalene, 2-ethoxynaphthalene, 2-isopropyl-anisole, 3,5- dimethyl-anisole, 5-methoxyindane, 5-methoxyindole, 5-tert-butyl-m-xylene, 6-methylquinoline, 8-methylquinoline, acetophenone, benzothiazole, benzylacetate, butylphenylether, cyclohexylbenzene, decahydronaphthol, dimethoxytoluene, 3-phenoxytoluene, diphenylether, propiophenone, hexylbenzene, hexamethylindane, isochromane, phenylacetate, propiophenone, veratrol, pyrrolidinone, N, N-dibutylaniline, cyclohexyl hexanoate, menthyl isovalerate, dicyclohexyl methanone, ethyl laurate, ethyl decanoate.
The first organic solvent A has preferably a boiling point in the range from 200 to 350°C, more preferably in the range from 225 to 325°C and most preferably in the range from 250 to 300°C.
The content of the first organic solvent A is preferably in the range from 50 to 99,9 vol.-%, more preferably in the range from 75 to 99,9 vol.-%, and most preferably in the range from 90 to 99,9 vol.-%, based on the total amount of organic solvents in the formulation.
The viscosity of the first organic solvent A is preferably in the range from 1 to 30 mPas, more preferably in the range from 1 to 20 mPas, and most preferably in the range from 2 to 15 mPas.
The at least one organic functional material has a solubility in the first organic solvent A which is preferably > 5 g/l and more preferably > 10 g/l.
Table 1 : Preferred first organic solvents A and their boiling points (BP) and melting points (MP).
Figure imgf000008_0001
Figure imgf000009_0001
Figure imgf000010_0001
Figure imgf000011_0001
Figure imgf000012_0001
If the first organic solvent A is the deuterated solvent, it has a degree of deuteration of at least 25%, preferably at least 50%, more preferably at least 75% and most preferably at least 90%.
Each of the first organic solvents A, as mentioned above, can be used as the deuterated solvent.
If the first organic solvent A is used in its deuterated form, it is preferably used in its fully deuterated form, which means that it has a degree of deuteration of at least 90%.
Each of the first organic solvents A, can have a specific degree of deuteration, depending for example from the deuteration method as well as the reactants, which are used for the preparation of the organic solvent. Different deuteration methods can also lead to a preferred exchange of Flatoms to D-atoms of specific atoms of the solvent molecule.
For some preferred first organic solvents A of Table 1 , the undeuterated as well as different deuterated structures are shown in the following Table 2.
Table 2
Figure imgf000013_0001
Figure imgf000014_0001
Figure imgf000015_0001
Each D-atom (deuterium atom) shown in specific positions in the structures in the above table means that this position has a degree of deuteration of at least 25%, preferably at least 50%, more preferably at least 75% and most preferably at least 90%.
In a preferred embodiment of the present invention, the formulation of the present invention, comprises beside the at least one first organic solvent A at least a second organic solvent B which is different from the first organic solvent A. The second organic solvent B is employed together with the first organic solvent A.
The second organic solvent B has preferably a boiling point in the range from 250 to 350°C, more preferably in the range from 260 to 340°C and most preferably in the range from 270 to 330°C.
Preferably, the second organic solvent B has a higher boiling point than the first organic solvent A and the boiling point of the second organic solvent B is preferably at least 10°C, and more preferably at least 20°C, higher than the boiling point of the first organic solvent A. The second organic solvent B has a melting point preferably below 25°C, which means that the second organic solvent B is liquid at room temperature.
The content of the second organic solvent B is preferably from 0,1 to 50 vol.-%, more preferably from 0,1 to < 25 vol.-%, most preferably from 0,5 to 10 vol.-% and in particular preferably from 0,5 to 8 vol.-%, based on the total amount of organic solvents in the formulation.
The viscosity of the second organic solvent B is preferably > 15 mPas, more preferably > 20 mPas, and most preferably > 25 mPas.
Preferably, the second organic B solvent has a higher viscosity than the first organic solvent A and the viscosity of the second organic solvent B is at least 5 mPas, preferably at least 10 mPas, higher than the viscosity of the first organic solvent A.
The at least one organic functional material has preferably a solubility in the second organic solvent B which is > 5 g/l.
In a preferred embodiment of the present invention, the second organic solvent B is selected from naphthalene derivatives, partially hydrogenated naphthalene derivatives, e.g. tetrahydronaphthalene derivatives, fully hydrogenated naphthalene derivatives, e.g. decahydronapthalene derivatives, indane derivatives and fully hydrogenated anthracene derivatives.
The expression “derivatives” as used above and below in the present application means that the core structure, e.g. the naphthalene core or the partially/fully hydrogenated naphthalene core, is at least mono- or polysubstituted by a substituent R. R is identical or different at each occurence, either
- a straight-chain alkyl group having from 1 to 12 carbon atoms or a branched or cyclic alkyl group having from 3 to 12 carbon atoms, in which one or more non-adjacent CH2 groups may be replaced by -O-, -S-, -NR1-, -CO-O-, -C= O-, -CH=CH- or -C=C-, and in which one or more hydrogen atoms may be replaced by F or an aryl or heteroaryl group which has from 4 to 14 carbon atoms and may be substituted by one or more nonaromatic R1 radicals, and a plurality of substituents R1, either on the same ring or on two different rings, may together in turn form a mono- or polycyclic, aliphatic, aromatic or heteroaromatic ring system, which may be substituted by a plurality of substituents R1, or two R may together in turn form a mono- or polycyclic, aliphatic, aromatic or heteroaromatic rings system having from 4 to 14 carbon atoms, which may be substituted by a plurality of substituents R1, or
- an aryl or heteroaryl group which has from 4 to 14 carbon atoms and may be substituted by one or more nonaromatic R1 radicals, and a plurality of substituents R1, either on the same ring or on two different rings, may together in turn form a mono- or polycyclic, aliphatic, aromatic or heteroaromatic ring system, which may be substituted by a plurality of substituents R1, or two R may together in turn form a mono- or polycyclic, aliphatic, aromatic or heteroaromatic rings system having from 4 to 14 carbon atoms, which may be substituted by a plurality of substituents R1. R1 is identical or different at each instance, and is a straight-chain alkyl or alkoxy group having from 1 to 12 carbon atoms or a branched or cyclic alkyl or alkoxy group having from 3 to 20 carbon atoms, in which one or more non-adjacent CH2 groups may be replaced by -O-, -S-, -CO-O-, -C=O-, -CH=CH- or -C=C-. In a more preferred embodiment of the present invention, the second organic solvent B is selected from naphthalene derivatives, tetrahydronaphthalene derivatives and decahydronapthalene derivatives.
If the second organic solvent B is a naphthalene derivative, it is preferably a solvent according to general formula (I)
Figure imgf000018_0001
wherein R can have the meanings as given above.
Preferably, R is a cyclic alkyl group having from 6 to 10 carbon atoms, in which one or more non-adjacent CH2 groups may be replaced by -O-, -S-, -NR1-, -CO-O-, -C= O-, -CH=CH- or -C=C-, or an aryl or heteroaryl group which has from 6 to 10 carbon atoms and may be substituted by one or more substituents R1, and a plurality of substituents R1, either on the same ring or on the two different rings, may together in turn form a mono- or polycyclic, aliphatic, aromatic or heteroaromatic ring system, which may be substituted by a plurality of substituents R1.
In a first most preferred embodiment, the naphthalene derivative is either 1- cyclohexyl-naphthalene or 1-phenyl-naphthalene.
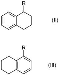
If the second organic solvent B is a tetrahydronaphthalene derivative, it is preferably a solvent according to general formula (II) or (III)
Figure imgf000019_0001
wherein R can have the meanings as given above.
In a second most preferred embodiment, the tetrahydronaphthalene derivative is 1-phenyl-1 ,2,3,4-tetrahydronaphthalene.
If the second organic solvent B is a decahydronaphthalene derivative, it is preferably a solvent according to general formula (IV)
Figure imgf000019_0002
wherein R can have the meanings as given above.
In a third most preferred embodiment, the decahydronaphthalene derivative is either 1-cyclohexyl-decahydronaphthalene or 1 -phenyl-decahydro- naphthalene.
Examples of preferred second solvents B and their boiling points (BP) and melting points (MP) are shown in the following Table 3. Table 3: Preferred second organic solvents B and their boiling points (BP) and melting points (MP).
Figure imgf000020_0001
Figure imgf000021_0001
If the second organic solvent B is the deuterated solvent, it has a degree of deuteration of at least 25%, preferably at least 50%, more preferably at least 75% and most preferably at least 90%.
If the second organic solvent B is used in its deuterated form, it is preferably used in its fully deuterated form, which means that it has a degree of deuteration of at least 90%. Each of the second organic solvents B, as mentioned above, can be used as the deuterated solvent.
Each of the second organic solvents B, can have a specific degree of deuteration, depending for example from the deuteration method as well as the educts, which are used for the preparation of the organic solvent.
For two preferred second organic solvents B of Table 3, the undeuterated as well as different deuterated structures are shown in the following Table 4.
Figure imgf000022_0001
Figure imgf000023_0001
Figure imgf000024_0001
Each D-atom (deuterium atom) shown in specific positions in the structures in the above table means that this position has a degree of deuteration of at least 25%, preferably at least 50%, more preferably at least 75% and most preferably at least 90%.
According to a preferred embodiment of the present invention, as described above in detail, the formulation of the present invention comprises at least one organic functional material and at least two different organic solvents A and B.
At least one solvent A means, that the formulation comprises one or more than one, preferably one or two organic solvents A. In case, the formulation comprises more than one organic solvents A, these solvents are different.
At least one solvent B means, that the formulation comprises one or more than one, preferably one or two organic solvents B. In case, the formulation comprises more than one organic solvents B, these solvents are different. Consequently, in one embodiment of the present invention, the formulation comprises one or more than one, preferably one or two, organic solvents A and/or one or more, preferably one or two, organic solvents B.
It is furthermore possible, that the formulation of the present invention comprises beside the at least one organic solvent A and the at least one organic solvent B at least one further organic solvent C, which is different from the at least one organic solvent A and the at least one organic solvent B. The third organic solvent C is employed together with the first organic solvent A and the second organic solvent B.
Preferably, the third organic solvent C has a boiling point in the range from 100 to 300°C, more preferably in the range from 125 to 275°C and most preferably in the range from 150 to 250°C. Furthermore, the boiling point of the third organic solvent C is at least 10°C lower, preferably at least 20°C lower and more preferably at least 30°C lower than the boiling point of the first organic solvent A.
The content of the third organic solvent C is preferably in the range from 1 to 30 vol.-%, more preferably in the range from 3 to 25 vol.-%, and most preferably in the range from 5 to 20 vol.-%, based on the total amount of organic solvents in the formulation.
As third organic solvent C, any solvent fulfilling the above described requirements, which is known to a person skilled in the art, as being suitable for printing of organic functional materials, can be used. Preferred organic solvents listed shown in the following Table 5. Table 5: Preferred third organic solvents C and their boiling points (BP) and melting points (MP).
Figure imgf000026_0001
The third organic solvent can either be undeuterated or deuterated. If the third organic solvent C is deuterated, it has a degree of deuteration of at least 25%, preferably at least 50%, more preferably at least 75% and most preferably at least 90%. If the third organic solvent C is used in its deuterated form, it is preferably used in its fully deuterated form, which means that it has a degree of deuteration of at least 90%.
Each of the third organic solvents C, as mentioned above, can be used as in its deuterated form.
The content of the at least one organic functional material in the formulation is in the range from 0.001 to 20 weight-%, preferably in the range from 0.01 to 10 weight-%, more preferably in the range from 0.1 to 5 weight-% and most preferably in the range from 0.3 to 5 weight-%, based on the total weight of the formulation.
Furthermore, the formulation of the present invention has a viscosity preferably in the range from 0.8 to 50 mPa s, more preferably in the range from 1 to 40 mPa s, and most preferably in the range from 2 to 15 mPa s.
The viscosity of the formulations and solvents according to the present invention is measured with a 1 ° cone-plate rotational rheometer of the type Discovery AR3 (Thermo Scientific). The equipment allows a precise control of the temperature and sheer rate. The measurement of the viscosity is carried out at a temperature of 25.0°C (+/- 0.2°C) and a sheer rate of 500 s’1. Each sample is measured three times and the obtained measured values are averaged.
The formulation of the present invention has a surface tension preferably in the range from 15 to 70 mN/m, more preferably in the range from 10 to 50 mN/m and most preferably in the range from 20 to 40 mN/m. Preferably, the organic solvent blend comprises a surface tension in the range from 15 to 70 mN/m, more preferably in the range from 10 to 50 mN/m and most preferably in the range from 20 to 40 mN/m.
The surface tension can be measured using a FTA (First Ten Angstrom) 1000 contact angle goniometer at 20°C. Details of the method are available from First Ten Angstrom as published by Roger P. Woodward, Ph.D. “Surface Tension Measurements Using the Drop Shape Method”. Preferably, the pendant drop method can be used to determine the surface tension. This measurement technique dispenses a drop from a needle in a bulk liquid or gaseous phase. The shape of the drop results from the relationship between the surface-tension, gravity and density differences. Using the pendant drop method, the surface tension is calculated from the shadow image of a pendant drop using http://www.kruss.de/services/education-theory/glossary/drop-shape- analysis. A commonly used and commercially available high precision drop shape analysis tool, namely FTA1000 from First Ten Angstrom, was used to perform all surface tension measure-ments. The surface tension is determined by the software FTA1000. All measurements were performed at room temperature which is in the range between 20°C and 25°C. The standard operating procedure includes the determination of the surface tension of each formulation using a fresh disposable drop dispensing system (syringe and needle). Each drop is measured over the duration of one minute with sixty measurements which are later on averaged. For each formulation three drops are measured. The final value is averaged over said measurements. The tool is regularly cross-checked against various liquids having well known surface tensions.
The formulation according to the present invention comprises at least one organic functional material which can be employed for the production of functional layers of electronic devices. Functional materials are generally the organic materials which are introduced between the anode and the cathode of an electronic device.
The term organic functional material denotes, inter alia, organic conductors, organic semiconductors, organic fluorescent compounds, organic phosphorescent compounds, organic light-absorbent compounds, organic light-sensitive compounds, organic photosensitisation agents and other organic photoactive compounds. The term organic functional material furthermore encompasses organometallic complexes of transition metals, rare earths, lanthanides and actinides.
The organic functional material is selected from the group consisting of fluorescent emitters, phosphorescent emitters, host materials, matrix materials, exciton-blocking materials, electron-transport materials, electroninjection materials, hole-conductor materials, hole-injection materials, n- dopants, p-dopants, wide-band-gap materials, electron-blocking materials and hole-blocking materials.
Preferred embodiments of organic functional materials are disclosed in detail in WO 2011/076314 A1 , where this document is incorporated into the present application by way of reference.
In a preferred embodiment, the organic functional material is an organic semiconductor selected from the group consisting of hole-injecting, holetransporting, emitting, electron-transporting and electron-injecting materials.
The organic functional material can be a compound having a low molecular weight, a polymer, an oligomer or a dendrimer, where the organic functional material may also be in the form of a mixture. Thus, the formulations according to the present invention may comprise two or more different compounds having a low molecular weight, one compound having a low molecular weight and one polymer or two polymers (blend). Organic functional materials are frequently described via the properties of the frontier orbitals, which are described in greater detail below. Molecular orbitals, in particular also the highest occupied molecular orbital (HOMO) and the lowest unoccupied molecular orbital (LIIMO), their energy levels and the energy of the lowest triplet state Ti or of the lowest excited singlet state Si of the materials can be estimated based on quantum-chemical calculations. In order to calculate these properties for organic substances without metals, firstly a geometry optimisation is carried out using the "Ground State/Semi-empirical/Default Spin/AM1 /Charge 0/Spin Singlet" method. An energy calculation is subsequently carried out on the basis of the optimised geometry. The "TD-SCF/DFT/Default Spin/B3PW91" method with the "6-31 G(d)" base set (charge 0, spin singlet) is used here. For metal-containing compounds, the geometry is optimised via the "Ground State/Hartree-Fock/Default Spin/LanL2MB/Charge 0/Spin Singlet" method. The energy calculation is carried out analogously to the above-described method for the organic substances, with the difference that the "LanL2DZ" base set is used for the metal atom and the "6-31 G(d)" base set is used for the ligands. The energy calculation gives the HOMO energy level HEh or LIIMO energy level LEh in hartree units. The HOMO and LIIMO energy levels in electron volts calibrated with reference to cyclic voltammetry measurements are determined therefrom as follows:
HOMO(eV) = ((HEh*27.212)-0.9899)/1 .1206
LUMO(eV) = ((LEh*27.212)-2.0041 )/1.385
For the purposes of the present application, these values are to be regarded as HOMO and LIIMO energy levels respectively of the materials.
The lowest triplet state Ti is defined as the energy of the triplet state having the lowest energy which arises from the quantum-chemical calculation described. The lowest excited singlet state Si is defined as the energy of the excited singlet state having the lowest energy which arises from the quantumchemical calculation described.
The method described herein is independent of the software package used and always gives the same results. Examples of frequently used programs for this purpose are "GaussianO9W' (Gaussian Inc.) and Q-Chem 4.1 (Q-Chem, Inc.).
According to the present invention, the formulation comprises at least one organic functional material which can be employed for the production of functional layers of electronic devices. In a preferred embodiment, at least one of the organic functional materials as contained in the formulation of the present invention, is a deuterated organic functional material. As deuterated organic functional material any organic functional material as described above and below can be used.
Deuterated organic functional material according to the present invention means, that the organic functional material has preferably a degree of deuteration of at least 25%, more preferably at least 50%, most preferably at least 75% and in particular preferably at least 90%.
Degree of deuteration of the deuterated organic functional materials is defined as described above with respect to the deuterated solvents.
Compounds having hole-injection properties, also called hole-injection materials herein, simplify or facilitate the transfer of holes, i.e. positive charges, from the anode into an organic layer. In general, a hole-injection material has an HOMO level which is in the region of or above the level of the anode, i.e. in general is at least -5.3 eV. Compounds having hole-transport properties, also called hole-transport materials herein, are capable of transporting holes, i.e. positive charges, which are generally injected from the anode or an adjacent layer, for example a hole-injection layer. A hole-transport material generally has a high HOMO level of preferably at least -5.4 eV. Depending on the structure of an electronic device, it may also be possible to employ a hole-transport material as hole-injection material.
The preferred compounds which have hole-injection and/or hole-transport properties include, for example, triarylamines, benzidines, tetraaryl-para- phenylenediamines, triarylphosphines, phenothiazines, phenoxazines, dihydrophenazines, thianthrenes, dibenzo-para-dioxins, phenoxathiynes, carbazoles, azulenes, thiophenes, pyrroles and furans as well as their derivatives and further O-, S- or N-containing heterocycles having a high HOMO (HOMO = highest occupied molecular orbital).
As compounds which have hole-injection and/or hole-transport properties, particular mention may be made of phenylenediamine derivatives (US 3615404), arylamine derivatives (US 3567450), amino-substituted chaicone derivatives (US 3526501 ), styrylanthracene derivatives (JP-A-56- 46234), polycyclic aromatic compounds (EP 1009041 ), polyarylalkane derivatives (US 3615402), fluorenone derivatives (JP-A-54-110837), hydrazone derivatives (US 3717462), acylhydrazones, stilbene derivatives (JP-A- 61-210363), silazane derivatives (US 4950950), polysilanes (JP-A-2- 204996), aniline copolymers (J P-A-2 -282263), thiophene oligomers
(JP Heisei 1 (1989) 211399), polythiophenes, poly(N-vinylcarbazole) (PVK), polypyrroles, polyanilines and other electrically conducting macromolecules, porphyrin compounds (JP-A-63-2956965, US 4720432), aromatic dimethylidene-type compounds, carbazole compounds, such as, for example, CDBP, CBP, mCP, aromatic tertiary amine and styrylamine compounds (US 4127412), such as, for example, triphenylamines of the benzidine type, triphenylamines of the styrylamine type and triphenylamines of the diamine type. It is also possible to use arylamine dendrimers (JP Heisei 8 (1996) 193191 ), monomeric triarylamines (US 3180730), triarylamines containing one or more vinyl radicals and/or at least one functional group containing active hydrogen (US 3567450 and US 3658520), or tetraaryldiamines (the two tertiary amine units are connected via an aryl group). More triarylamino groups may also be present in the molecule. Phthalocyanine derivatives, naphthalocyanine derivatives, butadiene derivatives and quinoline derivatives, such as, for example, dipyrazino[2,3-f:2’,3’-h]quinoxalinehexacarbo- nitrile, are also suitable.
Preference is given to aromatic tertiary amines containing at least two tertiary amine units (US 2008/0102311 A1 , US 4720432 and US 5061569), such as, for example, NPD (a-NPD = 4,4’-bis[N-(1-naphthyl)-N-phenyl- amino]biphenyl) (US 5061569), TPD 232 (= N,N’-bis-(N,N’-diphenyl-4- aminophenyl)-N,N-diphenyl-4,4’-diamino-1 ,1’-biphenyl) or MTDATA (MTDATA or m-MTDATA = 4,4’,4”-tris[3-methylphenyl)phenylamino]- triphenylamine) (JP-A-4-308688), TBDB (= N,N,N’,N’-tetra(4-biphenyl)- diaminobiphenylene), TAPC (= 1 ,1-bis(4-di-p-tolylaminophenyl)cyclo- hexane), TAPPP (= 1 ,1-bis(4-di-p-tolylaminophenyl)-3-phenylpropane), BDTAPVB (= 1 ,4-bis[2-[4-[N,N-di(p-tolyl)amino]phenyl]vinyl]benzene), TTB (= N,N,N’,N’-tetra-p-tolyl-4,4’-diaminobiphenyl), TPD (= 4,4’-bis[N-3-methyl- phenyl]-N-phenylamino)biphenyl), N,N,N’,N’-tetraphenyl-4,4’”-diamino- 1 ,1’,4’,1”,4”,T”-quaterphenyl, likewise tertiary amines containing carbazole units, such as, for example, TCTA (= 4-(9H-carbazol-9-yl)-N,N-bis[4-(9H- carbazol-9-yl)phenyl]benzenamine). Preference is likewise given to hexa- azatriphenylene compounds in accordance with US 2007/0092755 A1 and phthalocyanine derivatives (for example H2PC, CuPc (= copper phthalocyanine), CoPc, NiPc, ZnPc, PdPc, FePc, MnPc, CIAIPc, CIGaPc, CllnPc, CISnPc, CI2SiPc, (HO)AIPc, (HO)GaPc, VOPc, TiOPc, MoOPc, GaPc-O- GaPc). Particular preference is given to the following triarylamine compounds of the formulae (TA-1 ) to (TA-12), which are disclosed in EP 1162193 B1 , EP 650 955 B1 , Synth. Metals 1997, 91 (1-3), 209, DE 19646119 A1 , WO 2006/122630 A1 , EP 1 860 097 A1 , EP 1834945 A1 , JP 08053397 A, US 6251531 B1 , US 2005/0221124, JP 08292586 A, US 7399537 B2, US 2006/0061265 A1 , EP 1 661 888 and WO 2009/041635. The said compounds of the formulae (TA-1 ) to (TA-12) may also be substituted:
Figure imgf000034_0001
formula TA-5 formula TA-6
Figure imgf000035_0001
Further compounds which can be employed as hole-injection materials are described in EP 0891121 A1 and EP 1029909 A1 , injection layers in general in US 2004/0174116 A1.
These arylamines and heterocycles which are generally employed as holeinjection and/or hole-transport materials preferably result in an HOMO in the polymer of greater than -5.8 eV (vs. vacuum level), particularly preferably greater than -5.5 eV.
Compounds which have electron-injection and/or electron-transport properties are, for example, pyridines, pyrimidines, pyridazines, pyrazines, oxadiazoles, quinolines, quinoxalines, anthracenes, benzanthracenes, pyrenes, perylenes, benzimidazoles, triazines, ketones, phosphine oxides and phenazines and derivatives thereof, but also triarylboranes and further O-, S- or N-containing heterocycles having a low LIIMO (LIIMO = lowest unoccupied molecular orbital).
Particularly suitable compounds for electron-transporting and electroninjecting layers are metal chelates of 8-hydroxyquinoline (for example LiQ, AIQ3, GaQs, MgQ2, ZnC , InQs, ZrC ), BAIQ, Ga oxinoid complexes, 4-azaphenanthren-5-ol-Be complexes (US 5529853 A, cf. formula ET-1 ), butadiene derivatives (US 4356429), heterocyclic optical brighteners (US 4539507), benzimidazole derivatives (US 2007/0273272 A1 ), such as, for example, TPBI (US 5766779, cf. formula ET-2), 1 ,3,5-triazines, for example spirobifluorenyltriazine derivatives (for example in accordance with DE 102008064200), pyrenes, anthracenes, tetracenes, fluorenes, spirofluorenes, dendrimers, tetracenes (for example rubrene derivatives), 1 ,10- phenanthroline derivatives (JP 2003-115387, JP 2004-311184, JP 2001- 267080, WO 02/043449), silacyclopentadiene derivatives (EP 1480280, EP 1478032, EP 1469533), borane derivatives, such as, for example, tri- arylborane derivatives containing Si (US 2007/0087219 A1 , cf. formula ET- 3), pyridine derivatives (JP 2004-200162), phenanthrolines, especially 1 ,10- phenanthroline derivatives, such as, for example, BCP and Bphen, also several phenanthrolines connected via biphenyl or other aromatic groups (US 2007-0252517 A1 ) or phenanthrolines connected to anthracene (US 2007-0122656 A1 , cf. formulae ET-4 and ET-5).
Figure imgf000037_0001
TPBI
2,2',2"-(1 ,3,5-benzenetriyl)tris(1-phenyl-1 H-benzimidazole) formula ET-1 formula ET-2
Figure imgf000037_0002
formula ET-5
Likewise suitable are heterocyclic organic compounds, such as, for example, thiopyran dioxides, oxazoles, triazoles, imidazoles or oxadiazoles. Examples of the use of five-membered rings containing N, such as, for example, oxazoles, preferably 1 ,3,4-oxadiazoles, for example compounds of the formulae ET-6, ET-7, ET-8 and ET-9, which are disclosed, inter alia, in US 2007/0273272 A1 ; thiazoles, oxadiazoles, thiadiazoles, triazoles, inter alia, see US 2008/0102311 A1 and Y.A. Levin, M.S. Skorobogatova, Khimiya Geterotsiklicheskikh Soedinenii 1967 (2), 339-341 , preferably compounds of the formula ET-10, silacyclopentadiene derivatives. Preferred compounds are the following of the formulae (ET-6) to (ET-10):
Figure imgf000038_0001
It is also possible to employ organic compounds, such as fluorenones, fluorenylidenemethanes, perylenetetracarbonic acids, anthraquinonedimethanes, diphenoquinones, anthrones and anthraquinonediethylenediamines and derivatives thereof.
Preference is given to 2,9,10-substituted anthracenes (with 1- or 2-naphthyl and 4- or 3-biphenyl) or molecules which contain two anthracene units (US 2008/0193796 A1 , cf. formula ET-11 ). Also very advantageous is the connection of 9,10-substituted anthracene units to benzimidazole derivatives (US 2006/147747 A and EP 1551206 A1 , cf. formulae ET-12 and ET-13).
Figure imgf000039_0001
The compounds which are able to generate electron-injection and/or electron-transport properties preferably result in an LIIMO of less than -2.5 eV (vs. vacuum level), particularly preferably less than -2.7 eV.
The present formulations may comprise emitters. The term emitter denotes a material which, after excitation, which can take place by transfer of any type of energy, allows a radiative transition into a ground state with emission of light. In general, two classes of emitter are known, namely fluorescent and phosphorescent emitters. The term fluorescent emitter denotes materials or compounds in which a radiative transition from an excited singlet state into the ground state takes place. The term phosphorescent emitter preferably denotes luminescent materials or compounds which contain transition metals.
Emitters are frequently also called dopants if the dopants cause the properties described above in a system. A dopant in a system comprising a matrix material and a dopant is taken to mean the component whose proportion in the mixture is the smaller. Correspondingly, a matrix material in a system comprising a matrix material and a dopant is taken to mean the component whose proportion in the mixture is the greater. Accordingly, the term phosphorescent emitter can also be taken to mean, for example, phosphorescent dopant.
Compounds which are able to emit light include, inter alia, fluorescent emitters and phosphorescent emitters. These include, inter alia, compounds containing stilbene, stilbenamine, styrylamine, coumarine, rubrene, rhodamine, thiazole, thiadiazole, cyanine, thiophene, paraphenylene, perylene, phtalocyanine, porphyrin, ketone, quinoline, imine, anthracene and/or pyrene structures. Particular preference is given to compounds which are able to emit light from the triplet state with high efficiency, even at room temperature, i.e. exhibit electrophosphorescence instead of electrofluorescence, which frequently causes an increase in the energy efficiency. Suitable for this purpose are firstly compounds which contain heavy atoms having an atomic number of greater than 36. Preference is given to compounds which contain d- or f-transition metals which satisfy the above- mentioned condition. Particular preference is given here to corresponding compounds which contain elements from group 8 to 10 (Ru, Os, Rh, Ir, Pd, Pt). Suitable functional compounds here are, for example, various complexes, as described, for example, in WO 02/068435 A1 , WO 02/081488 A1 , EP 1239526 A2 and WO 2004/026886 A2.
Preferred compounds which can serve as fluorescent emitters are described by way of example below. Preferred fluorescent emitters are selected from the class of the monostyrylamines, the distyrylamines, the tristyrylamines, the tetrastyrylamines, the styrylphosphines, the styryl ethers and the arylamines.
A monostyrylamine is taken to mean a compound which contains one substituted or unsubstituted styryl group and at least one, preferably aromatic, amine. A distyrylamine is taken to mean a compound which contains two substituted or unsubstituted styryl groups and at least one, preferably aromatic, amine. A tristyrylamine is taken to mean a compound which contains three substituted or unsubstituted styryl groups and at least one, preferably aromatic, amine. A tetrastyrylamine is taken to mean a compound which contains four substituted or unsubstituted styryl groups and at least one, preferably aromatic, amine. The styryl groups are particularly preferably stilbenes, which may also be further substituted. Corresponding phosphines and ethers are defined analogously to the amines. An arylamine or an aromatic amine in the sense of the present invention is taken to mean a compound which contains three substituted or unsubstituted aromatic or heteroaromatic ring systems bonded directly to the nitrogen. At least one of these aromatic or heteroaromatic ring systems is preferably a condensed ring system, preferably having at least 14 aromatic ring atoms. Preferred examples thereof are aromatic anthracenamines, aromatic anthracenediamines, aromatic pyrenamines, aromatic pyrenediamines, aromatic chrysenamines or aromatic chrysenediamines. An aromatic anthracen- amine is taken to mean a compound in which one diarylamino group is bonded directly to an anthracene group, preferably in the 9-position. An aromatic anthracenediamine is taken to mean a compound in which two diarylamino groups are bonded directly to an anthracene group, preferably in the 2,6- or 9,10-position. Aromatic pyrenamines, pyrenediamines, chrysenamines and chrysenediamines are defined analogously thereto, where the diarylamino groups are preferably bonded to the pyrene in the 1 -position or in the 1 ,6-position. Further preferred fluorescent emitters are selected from indenofluoren- amines or indenofluorenediamines, which are described, inter alia, in WO 2006/122630; benzoindenofluorenamines or benzoindenofluorenedi- amines, which are described, inter alia, in WO 2008/006449; and dibenzo- indenofluorenamines or dibenzoindenofluorenediamines, which are described, inter alia, in WO 2007/140847.
Examples of compounds from the class of the styrylamines which can be employed as fluorescent emitters are substituted or unsubstituted tristilben- amines or the dopants described in WO 2006/000388, WO 2006/058737, WO 2006/000389, WO 2007/065549 and WO 2007/115610. Distyrylbenzene and distyrylbiphenyl derivatives are described in US 5121029. Further styrylamines can be found in US 2007/0122656 A1 .
Particularly preferred styrylamine compounds are the compounds of the formula EM-1 described in US 7250532 B2 and the compounds of the formula EM-2 described in DE 10 2005 058557 A1 :
Figure imgf000042_0001
formula EM-1 formula EM-2
Particularly preferred triarylamine compounds are compounds of the formulae EM-3 to EM-15 disclosed in CN 1583691 A, JP 08/053397 A and US 6251531 B1 , EP 1957606 A1 , US 2008/0113101 A1 , US 2006/210830 A , WO 2008/006449 and DE 102008035413 and derivatives thereof:
Figure imgf000043_0001
Figure imgf000044_0001
formula EM-15
Further preferred compounds which can be employed as fluorescent emitters are selected from derivatives of naphthalene, anthracene, tetracene, benzanthracene, benzophenanthrene (DE 10 2009 005746), fluorene, fluoranthene, periflanthene, indenoperylene, phenanthrene, perylene (US 2007/0252517 A1 ), pyrene, chrysene, decacyclene, coronene, tetra- phenylcyclopentadiene, pentaphenylcyclopentadiene, fluorene, spirofluorene, rubrene, coumarine (US 4769292, US 6020078, US 2007/ 0252517 A1 ), pyran, oxazole, benzoxazole, benzothiazole, benzimidazole, pyrazine, cinnamic acid esters, diketopyrrolopyrrole, acridone and quin- acridone (US 2007/0252517 A1 ).
Of the anthracene compounds, particular preference is given to 9,10- substituted anthracenes, such as, for example, 9,10-diphenylanthracene and 9,10-bis(phenylethynyl)anthracene. 1 ,4-Bis(9’-ethynylanthracenyl)- benzene is also a preferred dopant.
Preference is likewise given to derivatives of rubrene, coumarine, rhodamine, quinacridone, such as, for example, DMQA (= N,N’-dimethylquinacri- done), dicyanomethylenepyran, such as, for example, DCM (= 4-(dicyano- ethylene)-6-(4-dimethylaminostyryl-2-methyl)-4H-pyran), thiopyran, poly- methine, pyrylium and thiapyrylium salts, periflanthene and indenoperylene.
Blue fluorescent emitters are preferably polyaromatic compounds, such as, for example, 9,10-di(2-naphthylanthracene) and other anthracene derivatives, derivatives of tetracene, xanthene, perylene, such as, for example, 2,5,8, 11 -tetra-f-butylperylene, phenylene, for example 4,4’-bis(9-ethyl-3- carbazovinylene)-1 ,1 ’-biphenyl, fluorene, fluoranthene, arylpyrenes
(US 2006/0222886 A1 ), arylenevinylenes (US 5121029, US 5130603), bis- (azinyl)imine-boron compounds (US 2007/0092753 A1 ), bis(azinyl)methene compounds and carbostyryl compounds.
Further preferred blue fluorescent emitters are described in C.H. Chen et al.: “Recent developments in organic electroluminescent materials” Macromol. Symp. 125, (1997) 1-48 and “Recent progress of molecular organic electroluminescent materials and devices” Mat. Sci. and Eng. R, 39 (2002), 143-222.
Further preferred blue-fluorescent emitters are the hydrocarbons of the following formula (1 ) as disclosed in WO 2010/012328 A1.
Figure imgf000046_0001
formula (1) where the following applies to the symbols and indices used:
Ar1, Ar2, Ar3 are on each occurrence, identically or differently, an aryl or heteroaryl group having 5 to 30 aromatic ring atoms, which may be substituted by one or more radicals R1, with the proviso that Ar2 does not stand for anthracene, naphthacene or pentacene;
X is on each occurrence, identically or differently, a group selected from BR2, C(R2)2, Si(R2)2, C=O, C=NR2, C=C(R2)2, 0, S, S=O, SO2, NR2, PR2, P(=O)R2 and P(=S)R2;
R1, R2 are on each occurrence, identically or differently, H, D, F, Cl, Br, I, N(Ar4)2, C(=O)Ar4, P(=O)(Ar4)2, S(=O)Ar4, S(=O)2Ar4, CR2=CR2Ar4, CHO, CR3=C(R3)2, CN, NO2, Si(R3)3, B(OR3)2, B(R3)2, B(N(R3)2)2, OSO2R3, a straight-chain alkyl, alkoxy or thioalkoxy group having 1 to 40 C atoms or a straight-chain alkenyl or alkynyl group having 2 to 40 C atoms or a branched or cyclic alkyl, alkenyl, alkynyl, alkoxy or thioalkoxy group having 3 to 40 C atoms, each of which may be substituted by one or more radicals R3, where in each case one or more non-adjacent CH2 groups may be replaced by R3C=CR3, C=C , Si(R3)2, Ge(R3)2, Sn(R3)2, C=O, C=S, C=Se, C=NR3, P(=O)R3, SO, SO2, NR3, O, S or CONR3 and where one or more H atoms may be replaced by F, Cl, Br, I, CN or NO2, or an aromatic or heteroaromatic ring system having 5 to 60 aromatic ring atoms, which may in each case be substituted by one or more radicals R3, or a combination of these systems; two or more substituents R1 or R2 here may also form a mono- or polycyclic, aliphatic or aromatic ring system with one another;
R3 is on each occurrence, identically or differently, H, D or an aliphatic or aromatic hydrocarbon radical having 1 to 20 C atoms;
Ar4 is on each occurrence, identically or differently, an aromatic or heteroaromatic ring system having 5-30 aromatic ring atoms, which may be substituted by one or more non-aromatic radicals R1; two radicals Ar on the same nitrogen or phosphorus atom may also be linked to one another here by a single bond or a bridge X; m, n are 0 or 1 , with the proviso that m + n = 1 ; p is 1 , 2, 3, 4, 5 or 6;
Ar1, Ar2 and X here together form a five-membered ring or a six-membered ring, and Ar2, Ar3 and X together form a five-membered ring or a six-mem- bered ring, with the proviso that either all symbols X in the compound of the formula (1 ) are bound in a five-membered ring or all symbols X in the compound of the formula (1 ) are bound in a six-membered ring; characterised in that the sum of all IT electrons in groups Ar1, Ar2 and Ar3 is at least 28 if p = 1 and is at least 34 if p = 2 and is at least 40 if p = 3 and is at least 46 if p = 4 and is at least 52 if p = 5 and is at least 58 if p = 6; n = 0 or m = 0 here means that the corresponding group X is not present and that instead hydrogen or a substituent R1 is bonded to the corresponding positions of Ar2 and Ar3. Further preferred blue-fluorescent emitters are the hydrocarbons of the following formula (2) as disclosed in WO 2014/111269 A2.
Figure imgf000048_0001
where:
Ar1 is on each occurrence, identically or differently, an aryl or heteroaryl group having 6 to 18 aromatic ring atoms, which may be substituted by one or more radicals R1;
Ar2 is on each occurrence, identically or differently, an aryl or heteroaryl group having 6 aromatic ring atoms, which may be substituted by one or more radicals R2;
X1 is on each occurrence, identically or differently, BR3, C(R3)2, -C(R3)2-C(R3)2-, -C(R3)2-O-, -C(R3)2-S-, -R3C=CR3-, -R3C=N-, Si(R3)2, -Si(R3)2-Si(R3)2-, C=O, 0, S, S=O, SO2, NR3, PR3 or P(=O)R3;
R1, R2, R3 are on each occurrence, identically or differently, H, D, F, Cl, Br, I, C(=O)R4, CN, Si(R4)3, N(R4)2, P(=O)(R4)2, OR4, S(=O)R4, S(=O)2R4, a straight-chain alkyl or alkoxy group having 1 to 20 C atoms or a branched or cyclic alkyl or alkoxy group having 3 to 20 C atoms or an alkenyl or alkynyl group having 2 to 20 C atoms, where the above-mentioned groups may each be substituted by one or more radicals R4 and where one or more CH2 groups in the above- mentioned groups may be replaced by -R4C=CR4-, -C=C-, Si(R4)2, C=O, C=NR4, -C(=O)O-, -C(=O)NR4-, NR4, P(=O)(R4), -O-, -S-, SO or SO2, or an aromatic or heteroaromatic ring system having 5 to 30 aromatic ring atoms, which may in each case be substituted by one or more radicals R4, where two or more radicals R3 may be linked to one another and may form a ring; R4 is on each occurrence, identically or differently, H, D, F, Cl, Br, I, C(=O)R5, CN, Si(R5)3, N(R5)2, P(=O)(R5)2, OR5, S(=O)R5, S(=O)2R5, a straight-chain alkyl or alkoxy group having 1 to 20 C atoms or a branched or cyclic alkyl or alkoxy group having 3 to 20 C atoms or an alkenyl or alkynyl group having 2 to 20 C atoms, where the above-mentioned groups may each be substituted by one or more radicals R5 and where one or more CH2 groups in the above- mentioned groups may be replaced by -R5C=CR5-, -C=C-, Si(R5)2, C=O, C=NR5, -C(=O)O-, -C(=O)NR5-, NR5, P(=O)(R5), -O-, -S-, SO or SO2, or an aromatic or heteroaromatic ring system having 5 to 30 aromatic ring atoms, which may in each case be substituted by one or more radicals R5, where two or more radicals R4 may be linked to one another and may form a ring;
R5 is on each occurrence, identically or differently, H, D, F or an aliphatic, aromatic or heteroaromatic organic radical having 1 to 20 C atoms, in which, in addition, one or more H atoms may be replaced by D or F; two or more substituents R5 here may be linked to one another and may form a ring; where at least one of the two groups Ar1 must contain 10 or more aromatic ring atoms; and where, if one of the two groups Ar1 is a phenyl group, the other of the two groups Ar1 must not contain more than 14 aromatic ring atoms.
Further preferred blue-fluorescent emitters are the hydrocarbons of the following formula (3) as disclosed in PCT/EP2017/066712.
Figure imgf000049_0001
formula (3) where the following applies to the symbols and indices used:
Ar1 stands on each occurrence, identically or differently, for an aryl or heteroaryl group having 6 to 18 aromatic ring atoms, which may in each case be substituted by one or more radicals R1, wherein at least one of the group Ar1 in formula (1 ) has 10 or more aromatic ring atoms;
Ar2 stands on each occurrence, identically or differently, for an aryl or heteroaryl group having 6 aromatic ring atoms, which may in each case be substituted by one or more radicals R1;
Ar3, Ar4 stand on each occurrence, identically or differently, for an aromatic or heteroaromatic ring systems having 5 to 25 aromatic ring atoms, which may in each case be substituted by one or more radicals R1;
E is identically or differently on each occurrence, selected from -BR°-, -C(R°)2-, -C(R°)2-C(R°)2-, -C(R°)2-O-, -C(RO)2-S-, -R°C=CR°-, -R°C=N- Si(R0)2, -Si(R0)2-Si(R°)2-, -C(=O)-, -C(=NR°)-, -C(=C(R°)2)-, -O-, -S-, -S(= 0)-, -SO2-, -N(R°)-, -P(R°)- and -P((=O)R°)-, and two groups E may be in a cis- or trans-position relative to each other;
R°, R1 stand on each occurrence, identically or differently, for H, D, F, Cl, Br, I, CHO, CN, N(Ar5)2, C(=O)Ar5, P(=O)(Ar5)2, S(=O)Ar5, S(=O)2Ar5, NO2, Si(R2)s, B(OR2)2, OSO2R2, a straight-chain alkyl, alkoxy or thioalkyl groups having 1 to 40 C atoms or branched or a cyclic alkyl, alkoxy or thioalkyl groups having 3 to 40 C atoms, each of which may be substituted by one or more radicals R2, where in each case one or more non-adjacent CH2 groups may be replaced by R2C=CR2, C=C, Si(R2)2, Ge(R2)2, Sn(R2)2, C=O, C=S, C=Se, P(=O)(R2), SO, SO2, O, S or CONR2 and where one or more H atoms may be replaced by D, F, Cl, Br, I, CN or NO2, an aromatic or heteroaromatic ring systems having 5 to 60 aromatic ring atoms, which may in each case be substituted by one or more radicals R2, or an aryloxy groups having 5 to 40 aromatic ring atoms, which may be substituted by one or more radicals R2, where two adjacent substituents R° and/or two adjacent substituents R1 may form a mono- or polycyclic, aliphatic ring system or aromatic ring system, which may be substituted by one or more radicals R2;
R2 stands on each occurrence, identically or differently, for H, D, F, Cl, Br, I, CHO, CN, N(Ar5)2, C(=O)Ar5, P(=O)(Ar5)2, S(=O)Ar5, S(=O)2Ar5, NO2, Si(R3)s, B(OR3)2, OSO2R3, a straight-chain alkyl, alkoxy or thioalkyl groups having 1 to 40 C atoms or branched or cyclic alkyl, alkoxy or thioalkyl groups having 3 to 40 C atoms, each of which may be substituted by one or more radicals R3, where in each case one or more non-adjacent CH2 groups may be replaced by R3C=CR3, C=C, Si(R3)2, Ge(R3)2, Sn(R3)2, C=O, C=S, C=Se, P(=O)(R3), SO, SO2, O, S or CONR3 and where one or more H atoms may be replaced by D, F, Cl, Br, I, CN or NO2, an aromatic or heteroaromatic ring systems having 5 to 60 aromatic ring atoms, which may in each case be substituted by one or more radicals R3, or an aryloxy group having 5 to 60 aromatic ring atoms, which may be substituted by one or more radicals R3, where two adjacent substituents R2 may form a mono- or polycyclic, aliphatic ring system or aromatic ring system, which may be substituted by one or more radicals R3;
R3 stands on each occurrence, identically or differently, for H, D, F, Cl, Br, I, CN, a straight-chain alkyl, alkoxy or thioalkyl groups having 1 to 20 C atoms or branched or cyclic alkyl, alkoxy or thioalkyl groups having 3 to 20 C atoms, where in each case one or more non-adjacent CH2 groups may be replaced by SO, SO2, O, S and where one or more H atoms may be replaced by D, F, Cl, Br or I, or an aromatic or heteroaromatic ring system having 5 to 24 C atoms; Ar5 is an aromatic or heteroaromatic ring system having 5 to 24 aromatic ring atoms, preferably 5 to 18 aromatic ring atoms, which may in each case also be substituted by one or more radicals R3; n is an integer from 1 to 20; wherein if n is equal to 1 and at least one of the group Ar3 or Ar4 stands for a phenyl group, then the compound of formula (1 ) bears at least one group R° or R1, which stands for a straight-chain alkyl group having 2 to 40 C atoms or a branched or cyclic alkyl group having 3 to 40 C atoms, each of which may be substituted by one or more radicals R2.
Further preferred fluorescent emitters are the Boron-Nitrogen-containing structures as disclosed, for example, in WO 2015/102118, CN108409769, CN 107266484, WO2017195669, US2018069182 as well as in WO 2020/208051 , WO2021/058406, and WO 2021/094269. Examples for these structures are depicted in the table below:
Figure imgf000052_0001
Figure imgf000053_0001
Figure imgf000054_0001
Each D-atom (deuterium atom) shown in specific positions in the structures in the above table means that this position has a degree of deuteration of at least 25%, preferably at least 50%, more preferably at least 75% and most preferably at least 90%. Preferred compounds which can serve as phosphorescent emitters are described below by way of example.
Examples of phosphorescent emitters are revealed by WO 00/70655, WO 01/41512, WO 02/02714, WO 02/15645, EP 1191613, EP 1191612, EP 1191614 and WO 2005/033244. In general, all phosphorescent complexes as are used in accordance with the prior art for phosphorescent OLEDs and as are known to the person skilled in the art in the area of organic electroluminescence are suitable, and the person skilled in the art will be able to use further phosphorescent complexes without inventive step.
Phosphorescent metal complexes preferably contain Ir, Ru, Pd, Pt, Os or Re, more preferably Ir.
Preferred ligands are 2-phenylpyridine derivatives, 7,8-benzoquinoline derivatives, 2-(2-thienyl)pyridine derivatives, 2-(1-naphthyl)pyridine derivatives, 1 -phenylisoquinoline derivatives, 3-phenylisoquinoline derivatives or 2-phenylquinoline derivatives. All these compounds may be substituted, for example by fluoro, cyano and/or trifluoromethyl substituents for blue. Auxiliary ligands are preferably acetylacetonate or picolinic acid.
In particular, complexes of Pt or Pd with tetradentate ligands of the formula EM-16 are suitable
Figure imgf000056_0001
formula EM-16
The compounds of the formula EM-16 are described in greater detail in US 2007/0087219 A1 , where, for an explanation of the substituents and indices in the above formula, reference is made to this specification for disclosure purposes. Furthermore, Pt-porphyrin complexes having an enlarged ring system (US 2009/0061681 A1 ) and lr complexes, for example 2, 3, 7, 8, 12,13,17,18-octaethyl-21 H, 23H-porphyrin-Pt(ll), tetraphenyl-Pt(ll) tetrabenzoporphyrin (US 2009/0061681 A1 ), c/s-bis(2-phenylpyridinato- N, C2’)Pt(l I), c/s-bis(2-(2’-thienyl)pyridinato-N,C3’)Pt(ll), c/s-bis(2-(2’-thienyl)- quinolinato-N, C5’)Pt(l I), (2-(4,6-difluorophenyl)pyridinato-N,C2’)Pt(ll) (acetyl- acetonate), or tris(2-phenylpyridinato-N,C2’)lr(lll) (= lr(ppy)s, green), bis(2- phenylpyridinato-N,C2)lr(lll) (acetylacetonate) (= lr(ppy)2 acetylacetonate, green, US 2001/0053462 A1 , Baldo, Thompson et al. Nature 403, (2000), 750-753), bis(1 -phenylisoquinolinato-N,C2’)(2-phenylpyridinato-N,C2’)- iridium(lll), bis(2-phenylpyridinato-N,C2’)(1-phenylisoquinolinato-N,C2’)- iridium(lll), bis(2-(2’-benzothienyl)pyridinato-N,C3’)iridium(lll) (acetylacetonate), bis(2-(4’,6’-difluorophenyl)pyridinato-N,C2’)indium(lll) (picco- linate) (Flrpic, blue), bis(2-(4’,6’-difluorophenyl)pyridinato-N,C2’)lr(lll) (tetrakis(l -pyrazolyl)borate), tris(2-(biphenyl-3-yl)-4-tert-butylpyridine)- iridium(lll), (ppz)2lr(5phdpym) (US 2009/0061681 A1 ), (45ooppz)2- lr(5phdpym) (US 2009/0061681 A1 ), derivatives of 2-phenylpyridine-lr complexes, such as, for example, PQIr (= iridium(lll) bis(2-phenylquinolyl- N,C2’)acetylacetonate), tris(2-phenylisoquinolinato-N,C)lr(lll) (red), bis(2- (2’-benzo[4,5-a]thienyl)pyridinato-N,C3)lr (acetylacetonate) ([Btp2lr(acac)], red, Adachi et al. Appt. Phys. Lett. 78 (2001 ), 1622-1624).
Likewise suitable are complexes of trivalent lanthanides, such as, for example, Tb3+ and Eu3+ (J. Kido et al. Appt. Phys. Lett. 65 (1994), 2124, Kido et al. Chem. Lett. 657, 1990, US 2007/0252517 A1 ), or phosphorescent complexes of Pt(ll), lr(l), Rh(l) with maleonitrile dithiolate (Johnson et al., JACS 105, 1983, 1795), Re(l) tricarbonyl-diimine complexes (Wrighton, JACS 96, 1974, 998, inter alia), Os(ll) complexes with cyano ligands and bipyridyl or phenanthroline ligands (Ma et al., Synth. Metals 94, 1998, 245).
Further phosphorescent emitters having tridentate ligands are described in US 6824895 and US 10/729238. Red-emitting phosphorescent complexes are found in US 6835469 and US 6830828.
Particularly preferred compounds which are used as phosphorescent dopants are, inter alia, the compounds of the formula EM-17 described, inter alia, in US 2001/0053462 A1 and Inorg. Chem. 2001 , 40(7), 1704- 1711 , JACS 2001 , 123(18), 4304-4312, and derivatives thereof.
Figure imgf000057_0001
formula EM-17
Derivatives are described in US 7378162 B2, US 6835469 B2 and J P 2003/253145 A. Furthermore, the compounds of the formulae EM-18 to EM-21 described in US 7238437 B2, US 2009/008607 A1 and EP 1348711 , and derivatives thereof, can be employed as emitters.
Figure imgf000058_0001
formula EM-20 formula EM-21
Preferred compounds which can serve as phosphorescent emitters are shown in the following table:
Figure imgf000058_0002
5
20
Figure imgf000059_0001
30
Figure imgf000060_0001
5
30
Figure imgf000061_0001
Figure imgf000062_0001
5
30
Figure imgf000063_0001
Figure imgf000064_0001
Each D-atom (deuterium atom) shown in specific positions in the structures in the above table means that this position has a degree of deuteration of at least 25%, preferably at least 50%, more preferably at least 75% and most preferably at least 90%.
Quantum dots can likewise be employed as emitters, these materials being disclosed in detail in WO 2011 /076314 A1 .
Compounds which are employed as host materials, in particular together with emitting compounds, include materials from various classes of substances.
Host materials generally have larger band gaps between HOMO and LIIMO than the emitter materials employed. In addition, preferred host materials exhibit properties of either a hole- or electron-transport material. Furthermore, host materials can have both electron- and hole-transport properties.
Host materials are in some cases also called matrix material, in particular if the host material is employed in combination with a phosphorescent emitter in an OLED. Preferred host materials or co-host materials, which are employed, in particular, together with fluorescent dopants, are selected from the classes of the oligoarylenes (for example 2,2‘,7,7‘-tetraphenylspirobifluorene in accordance with EP 676461 or dinaphthylanthracene), in particular the oligoarylenes containing condensed aromatic groups, such as, for example, anthracene, benzanthracene, benzophenanthrene (DE 10 2009 005746, WO 2009/069566), phenanthrene, tetracene, coronene, chrysene, fluorene, spirofluorene, perylene, phthaloperylene, naphthaloperylene, decacyclene, rubrene, the oligoarylenevinylenes (for example DPVBi = 4,4’-bis(2,2- diphenylethenyl)-1 ,1’-biphenyl or spiro-DPVBi in accordance with EP 676461 ), the polypodal metal complexes (for example in accordance with WO 04/081017), in particular metal complexes of 8-hydroxyquinoline, for example AIQ3 (= aluminium(lll) tris(8-hydroxyquinoline)) or bis(2-methyl-8- quinolinolato)-4-(phenylphenolinolato)aluminium, also with imidazole chelate (US 2007/0092753 A1 ) and the quinoline-metal complexes, amino- quinoline-metal complexes, benzoquinoline-metal complexes, the holeconducting compounds (for example in accordance with WO 2004/058911 ), the electron-conducting compounds, in particular ketones, phosphine oxides, sulfoxides, etc. (for example in accordance with WO 2005/084081 and WO 2005/084082), the atropisomers (for example in accordance with WO 2006/048268), the boronic acid derivatives (for example in accordance with WO 2006/117052) or the benzanthracenes (for example in accordance with WO 2008/145239).
Particularly preferred compounds which can serve as host materials or cohost materials are selected from the classes of the oligoarylenes, comprising anthracene, benzanthracene and/or pyrene, or atropisomers of these compounds. An oligoarylene in the sense of the present invention is intended to be taken to mean a compound in which at least three aryl or arylene groups are bonded to one another. Preferred host materials are selected, in particular, from compounds of the formula (H-1 )
Ar4-(Ar5)P-Ar6 (H-1 ) where Ar4, Ar5, Ar6 are on each occurrence, identically or differently, an aryl or heteroaryl group having 5 to 30 aromatic ring atoms, which may optionally be substituted, and p represents an integer in the range from 1 to 5; the sum of the IT electrons in Ar4, Ar5 and Ar6 is at least 30 if p = 1 and at least 36 if p = 2 and at least 42 if p = 3.
In the compounds of the formula (H-1 ), the group Ar5 particularly preferably stands for anthracene, and the groups Ar4 and Ar6 are bonded in the 9- and 10-position, where these groups may optionally be substituted. Very particularly preferably, at least one of the groups Ar4 and/or Ar6 is a condensed aryl group selected from 1 - or 2-naphthyl, 2-, 3- or 9-phenanthrenyl or 2-, 3-, 4-, 5-, 6- or 7-benzanthracenyl. Anthracene-based compounds are described in US 2007/0092753 A1 and US 2007/0252517 A1 , for example 2-(4-methylphenyl)-9, 10-di-(2-naphthyl)anthracene, 9-(2-naphthyl)-10-(1 , 1 biphenyl)anthracene and 9, 10-bis[4-(2,2-diphenylethenyl)phenyl]anthra- cene, 9,10-diphenylanthracene, 9,10-bis(phenylethynyl)anthracene and 1 ,4-bis(9’-ethynylanthracenyl)benzene. Preference is also given to compounds containing two anthracene units (US 2008/0193796 A1 ), for example 10, 10’-bis[ 1 , 1 ’ ,4’ , 1 ”]terphenyl-2-yl-9,9’-bisanthracenyl.
Further preferred compounds are derivatives of arylamine, styrylamine, fluorescein, diphenylbutadiene, tetraphenylbutadiene, cyclopentadiene, tetraphenylcyclopentadiene, pentaphenylcyclopentadiene, coumarine, oxadiazole, bisbenzoxazoline, oxazole, pyridine, pyrazine, imine, benzothiazole, benzoxazole, benzimidazole (US 2007/0092753 A1 ), for example 2,2’,2”-(1 ,3,5-phenylene)tris[1 -phenyl-1 H-benzimidazole], aldazine, stil- bene, styrylarylene derivatives, for example 9,10-bis[4-(2,2-diphenyl- ethenyl)phenyl]anthracene, and distyrylarylene derivatives (US 5121029), diphenylethylene, vinylanthracene, diaminocarbazole, pyran, thiopyran, diketopyrrolopyrrole, polymethine, cinnamic acid esters and fluorescent dyes.
Particular preference is given to derivatives of arylamine and styrylamine, for example TNB (= 4,4’-bis[N-(1-naphthyl)-N-(2-naphthyl)amino]biphenyl). Metal-oxinoid complexes, such as LiQ or AIQ3, can be used as co-hosts.
Preferred compounds with oligoarylene as matrix are disclosed in US 2003/ 0027016 A1 , US 7326371 B2, US 2006/043858 A, WO 2007/114358, WO 2008/145239, JP 3148176 B2, EP 1009044, US 2004/018383, WO 2005/061656 A1 , EP 0681019B1 , WO 2004/013073A1 , US 5077142, WO 2007/065678 and DE 102009005746, where particularly preferred compounds are described by the formulae H-2 to H-8.
Figure imgf000067_0001
formula H-4 formula H-5
Figure imgf000068_0001
formula H-8
Furthermore, compounds which can be employed as host or matrix include materials which are employed together with phosphorescent emitters.
These compounds, which can also be employed as structural elements in polymers, include CBP (N,N-biscarbazolylbiphenyl), carbazole derivatives (for example in accordance with WO 2005/039246, US 2005/0069729, JP 2004/288381 , EP 1205527 or WO 2008/086851 ), azacarbazoles (for example in accordance with EP 1617710, EP 1617711 , EP 1731584 or JP 2005/347160), ketones (for example in accordance with WO 2004/ 093207 or in accordance with DE 102008033943), phosphine oxides, sulfoxides and sulfones (for example in accordance with WO 2005/003253), oligophenylenes, aromatic amines (for example in accordance with US 2005/0069729), bipolar matrix materials (for example in accordance with WO 2007/137725), silanes (for example in accordance with WO 2005/ 111172), 9,9-diarylfluorene derivatives (for example in accordance with DE 102008017591 ), azaboroles or boronic esters (for example in accordance with WO 2006/117052), triazine derivatives (for example in accordance with DE 102008036982), indolocarbazole derivatives (for example in accordance with WO 2007/063754 or WO 2008/056746), indenocarbazole derivatives (for example in accordance with DE 102009023155 and DE 102009031021 ), diazaphosphole derivatives (for example in accordance with DE 102009022858), triazole derivatives, oxazoles and oxazole derivatives, imidazole derivatives, polyarylalkane derivatives, pyrazoline derivatives, pyrazolone derivatives, distyrylpyrazine derivatives, thiopyran dioxide derivatives, phenylenediamine derivatives, tertiary aromatic amines, styrylamines, amino-substituted chaicone derivatives, indoles, hydrazone derivatives, stilbene derivatives, silazane derivatives, aromatic dimethylidene compounds, carbodiimide derivatives, metal complexes of 8-hydroxy- quinoline derivatives, such as, for example, AIQ3, which may also contain triarylaminophenol ligands (US 2007/0134514 A1 ), metal complex/poly- silane compounds, and thiophene, benzothiophene and dibenzothiophene derivatives.
Examples of preferred carbazole derivatives are mCP (= 1 ,3-N, N-di- carbazolylbenzene (= 9,9’-(1 ,3-phenylene)bis-9H-carbazole)) (formula H-9), CDBP (= 9,9’-(2,2’-dimethyl[1 ,1’-biphenyl]-4,4’-diyl)bis-9H-carbazole), 1 ,3- bis(N,N’-dicarbazolyl)benzene (= 1 ,3-bis(carbazol-9-yl)benzene), PVK (polyvinylcarbazole), 3,5-di(9H-carbazol-9-yl)biphenyl and CMTTP (formula H-10). Particularly referred compounds are disclosed in US 2007/0128467 A1 and US 2005/0249976 A1 (formulae H-11 and H-13).
Figure imgf000069_0001
formula H-9 formula H-10
Figure imgf000070_0001
Preferred tetraaryl-Si compounds are disclosed, for example, in US 2004/ 0209115, US 2004/0209116, US 2007/0087219 A1 and in H. Gilman, E.A.
Zuech, Chemistry & Industry (London, United Kingdom), 1960, 120.
Particularly preferred tetraaryl-Si compounds are described by the formulae H-14 to H-21.
Figure imgf000070_0002
Figure imgf000071_0001
Figure imgf000071_0002
formula H-20 formula H-21
Particularly preferred compounds from group 4 for the preparation of the matrix for phosphorescent dopants are disclosed, inter alia, in
DE 102009022858, DE 102009023155, EP 652273 B1 , WO 2007/063754 and WO 2008/056746, where particularly preferred compounds are described by the formulae H-22 to H-25.
Figure imgf000072_0001
With respect to the functional compounds which can be employed in accordance with the invention and which can serve as host material, especial preference is given to substances which contain at least one nitrogen atom. These preferably include aromatic amines, triazine derivatives and carbazole derivatives. Thus, carbazole derivatives in particular exhibit surprisingly high efficiency. Triazine derivatives result in unexpectedly long lifetimes of the electronic devices.
It may also be preferred to employ a plurality of different matrix materials as a mixture, in particular at least one electron-conducting matrix material and at least one hole-conducting matrix material. Preference is likewise given to the use of a mixture of a charge-transporting matrix material and an electrically inert matrix material which is not in involved in the charge transport to a significant extent, if at all, as described, for example, in WO 2010/108579.
It is furthermore possible to employ compounds which improve the transition from the singlet state to the triplet state and which, employed in support of the functional compounds having emitter properties, improve the phosphorescence properties of these compounds. Suitable for this purpose are, in particular, carbazole and bridged carbazole dimer units, as described, for example, in WO 2004/070772 A2 and WO 2004/113468 A1 . Also suitable for this purpose are ketones, phosphine oxides, sulfoxides, sulfones, silane derivatives and similar compounds, as described, for example, in WO 2005/040302 A1 . n-Dopants herein are taken to mean reducing agents, i.e. electron donors. Preferred examples of n-dopants are W(hpp)4 and other electron-rich metal complexes in accordance with WO 2005/086251 A2, P=N compounds (for example WO 2012/175535 A1 , WO 2012/175219 A1 ), naphthylenecarbodiimides (for example WO 2012/168358 A1 ), fluorenes (for example WO 2012/031735 A1 ), free radicals and diradicals (for example
EP 1837926 A1 , WO 2007/107306 A1 ), pyridines (for example EP 2452946 A1 , EP 2463927 A1 ), N-heterocyclic compounds (for example WO 2009/000237 A1 ) and acridines as well as phenazines (for example US 2007/145355 A1 ).
Furthermore, the formulations may comprise a wide-band-gap material as functional material. Wide-band-gap material is taken to mean a material in the sense of the disclosure content of US 7,294,849. These systems exhibit particularly advantageous performance data in electroluminescent devices.
The compound employed as wide-band-gap material can preferably have a band gap of 2.5 eV or more, preferably 3.0 eV or more, particularly preferably 3.5 eV or more. The band gap can be calculated, inter alia, by means of the energy levels of the highest occupied molecular orbital (HOMO) and the lowest unoccupied molecular orbital (LIIMO).
Furthermore, the formulations may comprise a hole-blocking material (HBM) as functional material. A hole-blocking material denotes a material which prevents or minimises the transmission of holes (positive charges) in a multilayer system, in particular if this material is arranged in the form of a layer adjacent to an emission layer or a hole-conducting layer. In general, a hole-blocking material has a lower HOMO level than the hole-transport material in the adjacent layer. Hole-blocking layers are frequently arranged between the light-emitting layer and the electron-transport layer in OLEDs.
It is basically possible to employ any known hole-blocking material. In addition to other hole-blocking materials described elsewhere in the present application, advantageous hole-blocking materials are metal complexes (US 2003/0068528), such as, for example, bis(2-methyl-8-quinolinolato)(4- phenylphenolato)aluminium(lll) (BAIQ). Fac-tris(1 -phenylpyrazolato-N,C2)- iridium(lll) (Ir(ppz)s) is likewise employed for this purpose (US 2003/ 0175553 A1 ). Phenanthroline derivatives, such as, for example, BCP, or phthalimides, such as, for example, TMPP, can likewise be employed.
Furthermore, advantageous hole-blocking materials are described in WO 00/70655 A2, WO 01/41512 and WO 01/93642 A1 .
Furthermore, the formulations may comprise an electron-blocking material (EBM) as functional material. An electron-blocking material denotes a material which prevents or minimises the transmission of electrons in a multilayer system, in particular if this material is arranged in the form of a layer adjacent to an emission layer or an electron-conducting layer. In general, an electron-blocking material has a higher LUMO level than the electron-transport material in the adjacent layer. It is basically possible to employ any known electron-blocking material. In addition to other electron-blocking materials described elsewhere in the present application, advantageous electron-blocking materials are transition-metal complexes, such as, for example, lr(ppz)s (US 2003/ 0175553).
The electron-blocking material can preferably be selected from amines, tri- arylamines and derivatives thereof.
Furthermore, the functional compounds which can be employed as organic functional materials in the formulations preferably have, if they are low- molecular-weight compounds, a molecular weight of < 3,000 g/mol, more preferably < 2,000 g/mol and most preferably < 1 ,000 g/mol.
Of particular interest are furthermore functional compounds which are distinguished by a high glass-transition temperature. In this connection, particularly preferred functional compounds which can be employed as organic functional material in the formulations are those which have a glass-transition temperature of > 70°C, preferably > 100°C, more preferably > 125°C and most preferably > 150°C, determined in accordance with DIN 51005.
The formulations may also comprise polymers as organic functional materials. The compounds described above as organic functional materials, which frequently have a relatively low molecular weight, can also be mixed with a polymer. It is likewise possible to incorporate these compounds covalently into a polymer. This is possible, in particular, with compounds which are substituted by reactive leaving groups, such as bromine, iodine, chlorine, boronic acid or boronic acid ester, or by reactive, polymerisable groups, such as olefins or oxetanes. These can be used as monomers for the production of corresponding oligomers, dendrimers or polymers. The oligomerisation or polymerisation here preferably takes place via the halogen functionality or the boronic acid functionality or via the polymerisable group. It is furthermore possible to crosslink the polymers via groups of this type. The compounds and polymers according to the invention can be employed as crosslinked or uncrosslinked layer.
Polymers which can be employed as organic functional materials frequently contain units or structural elements which have been described in the context of the compounds described above, inter alia those as disclosed and extensively listed in WO 02/077060 A1 , in WO 2005/014689 A2 and in WO 2011/076314 A1 . These are incorporated into the present application by way of reference. The functional materials can originate, for example, from the following classes:
Group 1 : structural elements which are able to generate hole-injection and/or hole-transport properties;
Group 2: structural elements which are able to generate electroninjection and/or electron-transport properties;
Group 3: structural elements which combine the properties described in relation to groups 1 and 2;
Group 4: structural elements which have light-emitting properties, in particular phosphorescent groups;
Group 5: structural elements which improve the transition from the so- called singlet state to the triplet state;
Group 6: structural elements which influence the morphology or also the emission colour of the resultant polymers;
Group 7: structural elements which are typically used as backbone. The structural elements here may also have various functions, so that a clear assignment need not be advantageous. For example, a structural element of group 1 may likewise serve as backbone.
The polymer having hole-transport or hole-injection properties employed as organic functional material, containing structural elements from group 1 , may preferably contain units which correspond to the hole-transport or holeinjection materials described above.
Further preferred structural elements of group 1 are, for example, triaryl- amines, benzidines, tetraaryl-para-phenylenediamines, carbazoles, azulenes, thiophenes, pyrroles and furanes and derivatives thereof and further O-, S- or N-containing heterocycles having a high HOMO. These arylamines and heterocycles preferably have an HOMO of above -5.8 eV (against vacuum level), particularly preferably above -5.5 eV.
Preference is given, inter alia, to polymers having hole-transport or holeinjection properties, containing at least one of the following recurring units of the formula HTP-1 :
Figure imgf000077_0001
in which the symbols have the following meaning:
Ar1 is, in each case identically or differently for different recurring units, a single bond or a monocyclic or polycyclic aryl group, which may optionally be substituted; Ar2 is, in each case identically or differently for different recurring units, a monocyclic or polycyclic aryl group, which may optionally be substituted;
Ar3 is, in each case identically or differently for different recurring units, a monocyclic or polycyclic aryl group, which may optionally be substituted; m is 1 , 2 or 3.
Particular preference is given to recurring units of the formula HTP-1 which are selected from the group consisting of units of the formulae HTP-1 A to HTP-1 C:
Figure imgf000078_0001
HTP-1 C in which the symbols have the following meaning:
Ra is on each occurrence, identically or differently, H, a substituted or unsubstituted aromatic or heteroaromatic group, an alkyl, cycloalkyl, alkoxy, aralkyl, aryloxy, arylthio, alkoxycarbonyl, silyl or carboxyl group, a halogen atom, a cyano group, a nitro group or a hydroxyl group; r is 0, 1 , 2, 3 or 4, and s is 0, 1 , 2, 3, 4 or 5.
Preference is given, inter alia, to polymers having hole-transport or holeinjection properties, containing at least one of the following recurring units of the formula HTP-2:
Figure imgf000079_0001
in which the symbols have the following meaning:
T1 and T2 are selected independently from thiophene, selenophene, thieno- [2,3-b]thiophene, thieno[3,2-b]thiophene, dithienothiophene, pyrrole and aniline, where these groups may be substituted by one or more radicals Rb;
Rb is selected independently on each occurrence from halogen, -CN, -NC, -NCO, -NCS, -OCN, -SCN, -C(=O)NR°R00, -C(=O)X, -C(=O)R°, -NH2, -NR°R00, -SH, -SR°, -SOsH, -SO2R0, -OH, -NO2, -CF3, -SFs, an optionally substituted silyl, carbyl or hydrocarbyl group having 1 to 40 carbon atoms, which may optionally be substituted and may optionally contain one or more heteroatoms; R° and R°° are each independently H or an optionally substituted carbyl or hydrocarbyl group having 1 to 40 carbon atoms, which may optionally be substituted and may optionally contain one or more heteroatoms;
Ar7 and Ar8 represent, independently of one another, a monocyclic or polycyclic aryl or heteroaryl group, which may optionally be substituted and may optionally be bonded to the 2,3-position of one or both adjacent thiophene or selenophene groups; c and e are, independently of one another, 0, 1 , 2, 3 or 4, where 1 < c + e < 6; d and f are, independently of one another, 0, 1 , 2, 3 or 4.
Preferred examples of polymers having hole-transport or hole-injection properties are described, inter alia, in WO 2007/131582 A1 and WO 2008/ 009343 A1 .
The polymer having electron-injection and/or electron-transport properties employed as organic functional material, containing structural elements from group 2, may preferably contain units which correspond to the electron-injection and/or electron-transport materials described above.
Further preferred structural elements of group 2 which have electroninjection and/or electron-transport properties are derived, for example, from pyridines, pyrimidines, pyridazines, pyrazines, oxadiazoles, quinolines, quinoxalines and phenazines and derivatives thereof, but also triarylboranes or further O-, S- or N-containing heterocycles having a low LIIMO level. These structural elements of group 2 preferably have an LIIMO of below -2.7 eV (against vacuum level), particularly preferably below -2.8 eV. The organic functional material can preferably be a polymer which contains structural elements from group 3, where structural elements which improve the hole and electron mobility (i.e. structural elements from groups 1 and 2) are connected directly to one another. Some of these structural elements can serve as emitters here, where the emission colours may be shifted, for example, into the green, red or yellow. Their use is therefore advantageous, for example, for the generation of other emission colours or a broad-band emission by polymers which originally emit in blue.
The polymer having light-emitting properties employed as organic functional material, containing structural elements from group 4, may preferably contain units which correspond to the emitter materials described above. Preference is given here to polymers containing phosphorescent groups, in particular the emitting metal complexes described above which contain corresponding units containing elements from groups 8 to 10 (Ru, Os, Rh, Ir, Pd, Pt).
The polymer employed as organic functional material containing units of group 5 which improve the transition from the so-called singlet state to the triplet state can preferably be employed in support of phosphorescent compounds, preferably the polymers containing structural elements of group 4 described above. A polymeric triplet matrix can be used here.
Suitable for this purpose are, in particular, carbazole and connected carbazole dimer units, as described, for example, in DE 10304819 A1 and DE 10328627 A1 . Also suitable for this purpose are ketone, phosphine oxide, sulfoxide, sulfone and silane derivatives and similar compounds, as described, for example, in DE 10349033 A1. Furthermore, preferred structural units can be derived from compounds which have been described above in connection with the matrix materials employed together with phosphorescent compounds. The further organic functional material is preferably a polymer containing units of group 6 which influence the morphology and/or the emission colour of the polymers. Besides the polymers mentioned above, these are those which have at least one further aromatic or another conjugated structure which do not count amongst the above-mentioned groups. These groups accordingly have only little or no effect on the charge-carrier mobilities, the non-organometallic complexes or the singlet-triplet transition.
Structural units of this type are able to influence the morphology and/or the emission colour of the resultant polymers. Depending on the structural unit, these polymers can therefore also be used as emitters.
In the case of fluorescent OLEDs, preference is therefore given to aromatic structural elements having 6 to 40 C atoms or also tolan, stilbene or bis- styrylarylene derivative units, each of which may be substituted by one or more radicals. Particular preference is given here to the use of groups derived from 1 ,4-phenylene, 1 ,4-naphthylene, 1 ,4- or 9,10-anthrylene, 1 ,6- 2,7- or 4,9-pyrenylene, 3,9- or 3,10-perylenylene, 4,4'-biphenylene, 4,4"- terphenylylene, 4,4'-bi-1 ,1'-naphthylylene, 4,4‘-tolanylene, 4,4'-stilbenylene or 4,4"-bisstyrylarylene derivatives.
The polymer employed as organic functional material preferably contains units of group 7, which preferably contain aromatic structures having 6 to 40 C atoms which are frequently used as backbone.
These include, inter alia, 4,5-dihydropyrene derivatives, 4,5,9, 10-tetra- hydropyrene derivatives, fluorene derivatives, which are disclosed, for example, in US 5962631 , WO 2006/052457 A2 and WO 2006/118345 A1 , 9,9-spirobifluorene derivatives, which are disclosed, for example, in WO 2003/020790 A1 , 9,10-phenanthrene derivatives, which are disclosed, for example, in WO 2005/104264 A1 , 9, 10-dihydrophenanthrene derivatives, which are disclosed, for example, in WO 2005/014689 A2, 5,7-dihydrodibenzoxepine derivatives and cis- and trans-indenofluorene derivatives, which are disclosed, for example, in WO 2004/041901 A1 and WO 2004/113412 A2, and binaphthylene derivatives, which are disclosed, for example, in WO 2006/063852 A1 , and further units which are disclosed, for example, in WO 2005/056633 A1 , EP 1344788 A1 , WO 2007/043495 A1 , WO 2005/033174 A1 , WO 2003/099901 A1 and DE 102006003710.
Particular preference is given to structural units of group 7 which are selected from fluorene derivatives, which are disclosed, for example, in US 5,962,631 , WO 2006/052457 A2 and WO 2006/118345 A1 , spiro- bifluorene derivatives, which are disclosed, for example, in WO 2003/ 020790 A1 , benzofluorene, dibenzofluorene, benzothiophene and dibenzofluorene groups and derivatives thereof, which are disclosed, for example, in WO 2005/056633 A1 , EP 1344788 A1 and WO 2007/043495 A1 .
Especially preferred structural elements of group 7 are represented by the general formula PB-1 :
Figure imgf000083_0001
formula PB-1 in which the symbols and indices have the following meanings:
A, B and B' are each, also for different recurring units, identically or differently, a divalent group, which is preferably selected from -CRcRd-, -NRC-, -PRC- -O-, -S-, -SO-, -SO2-, -CO- -CS-, -CSe- -P(=O)RC-, -P(=S)RC- and -SiRcRd-;
Rc and Rd are selected on each occurrence, independently, from H, halogen, -CN, -NC, -NCO, -NCS, -OCN, -SCN, -C(=O)NR°R00, -C(=O)X, -C(=O)R°, -NH2, -NR°R00, -SH, -SR°, -SO3H, -SO2R0, -OH, -NO2, -CF3, -SFs, an optionally substituted silyl, carbyl or hydrocarbyl group having 1 to 40 carbon atoms, which may optionally be substituted and may optionally contain one or more heteroatoms, where the groups Rc and Rd may optionally form a spiro group with a fluorene radical to which they are bonded;
X is halogen;
R° and R00 are each, independently, H or an optionally substituted carbyl or hydrocarbyl group having 1 to 40 carbon atoms, which may optionally be substituted and may optionally contain one or more heteroatoms; g is in each case, independently, 0 or 1 and h is in each case, independently, 0 or 1 , where the sum of g and h in a sub-unit is preferably 1 ; m is an integer > 1 ;
Ar1 and Ar2 represent, independently of one another, a monocyclic or polycyclic aryl or heteroaryl group, which may optionally be substituted and may optionally be bonded to the 7,8-position or the 8,9-position of an indeno- fluorene group; and a and b are, independently of one another, 0 or 1 .
If the groups Rc and Rd form a spiro group with the fluorene group to which these groups are bonded, this group preferably represents a spiro- bifluorene. Particular preference is given to recurring units of the formula PB-1 which are selected from the group consisting of units of the formulae PB-1 A to PB-1 E:
Figure imgf000085_0001
formula PB-1 D
Figure imgf000086_0001
formula PB-1 E where Rc has the meaning described above for formula PB-1 , r is 0, 1 , 2, 3 or 4, and Re has the same meaning as the radical Rc.
Re is preferably -F, -Cl, -Br, -I, -CN, -NO2, -NCO, -NCS, -OCN, -SCN, -C(=O)NR°R00, -C(=O)X, -C(=O)R°, -NR°R00, an optionally substituted silyl, aryl or heteroaryl group having 4 to 40, preferably 6 to 20, C atoms, or a straight-chain, branched or cyclic alkyl, alkoxy, alkylcarbonyl, alkoxycarbonyl, alkylcarbonyloxy or alkoxycarbonyloxy group having 1 to 20, preferably 1 to 12, C atoms, where one or more hydrogen atoms may optionally be substituted by F or Cl, and the groups R°, R00 and X have the meaning described above for formula PB-1 .
Particular preference is given to recurring units of the formula PB-1 which are selected from the group consisting of units of the formulae PB-1 F to PB-11:
Figure imgf000086_0002
formula PB-1 F
Figure imgf000087_0001
formula PB-11 in which the symbols have the following meaning:
L is H, halogen or an optionally fluorinated, linear or branched alkyl or alkoxy group having 1 to 12 C atoms and preferably stands for H, F, methyl, i-propy I , t-butyl, n-pentoxy or trifluoromethyl; and
L' is an optionally fluorinated, linear or branched alkyl or alkoxy group having 1 to 12 C atoms and preferably stands for n-octyl or n-octyloxy.
For carrying out the present invention, preference is given to polymers which contain more than one of the structural elements of groups 1 to 7 described above. It may furthermore be provided that the polymers preferably contain more than one of the structural elements from one group described above, i.e. comprise mixtures of structural elements selected from one group.
Particular preference is given, in particular, to polymers which, besides at least one structural element which has light-emitting properties (group 4), preferably at least one phosphorescent group, additionally contain at least one further structural element of groups 1 to 3, 5 or 6 described above, where these are preferably selected from groups 1 to 3.
The proportion of the various classes of groups, if present in the polymer, can be in broad ranges, where these are known to the person skilled in the art. Surprising advantages can be achieved if the proportion of one class present in a polymer, which is in each case selected from the structural elements of groups 1 to 7 described above, is preferably in each case > 5 mol%, particularly preferably in each case > 10 mol%.
The preparation of white-emitting copolymers is described in detail, inter alia, in DE 10343606 A1.
In order to improve the solubility, the polymers may contain corresponding groups. It may preferably be provided that the polymers contain substituents, so that on average at least 2 non-aromatic carbon atoms, particularly preferably at least 4 and especially preferably at least 8 non-aromatic carbon atoms are present per recurring unit, where the average relates to the number average. Individual carbon atoms here may be replaced, for example, by O or S. However, it is possible for a certain proportion, optionally all recurring units, to contain no substituents which contain non-aromatic carbon atoms. Short-chain substituents are preferred here, since long-chain substituents can have adverse effects on layers which can be obtained using organic functional materials. The substituents preferably contain at most 12 carbon atoms, preferably at most 8 carbon atoms and particularly preferably at most 6 carbon atoms in a linear chain.
The polymer employed in accordance with the invention as organic functional material can be a random, alternating or regioregular copolymer, a block copolymer or a combination of these copolymer forms.
In a further embodiment, the polymer employed as organic functional material can be a non-conjugated polymer having side chains, where this embodiment is particularly important for phosphorescent OLEDs based on polymers. In general, phosphorescent polymers can be obtained by free- radical copolymerisation of vinyl compounds, where these vinyl compounds contain at least one unit having a phosphorescent emitter and/or at least one charge-transport unit, as is disclosed, inter alia, in US 7250226 B2. Further phosphorescent polymers are described, inter alia, in JP 2007/ 211243 A2, JP 2007/197574 A2, US 7250226 B2 and JP 2007/059939 A.
In a further preferred embodiment, the non-conjugated polymers contain backbone units, which are connected to one another by spacer units. Examples of such triplet emitters which are based on non-conjugated polymers based on backbone units are disclosed, for example, in DE 102009023154.
In a further preferred embodiment, the non-conjugated polymer can be designed as fluorescent emitter. Preferred fluorescent emitters which are based on non-conjugated polymers having side chains contain anthracene or benzanthracene groups or derivatives of these groups in the side chain, where these polymers are disclosed, for example, in JP 2005/108556, JP 2005/285661 and JP 2003/338375. These polymers can frequently be employed as electron- or hole-transport materials, where these polymers are preferably designed as non-conju- gated polymers.
Furthermore, the functional compounds employed as organic functional materials in the formulations preferably have, in the case of polymeric compounds, a molecular weight Mw of > 10,000 g/mol, particularly preferably > 20,000 g/mol and especially preferably > 40,000 g/mol.
The molecular weight Mw of the polymers here is preferably in the range from 10,000 to 2,000,000 g/mol, particularly preferably in the range from 20,000 to 1 ,000,000 g/mol and very particularly preferably in the range from 40,000 to 300,000 g/mol. The molecular weight Mw is determined by means of GPC (= gel permeation chromatography) against an internal polystyrene standard.
The publications cited above for description of the functional compounds are incorporated into the present application by way of reference for disclosure purposes.
The formulations according to the invention may comprise all organic functional materials which are necessary for the production of the respective functional layer of the electronic device. If, for example, a holetransport, hole-injection, electron-transport or electron-injection layer is built up precisely from one functional compound, the formulation comprises precisely this compound as organic functional material. If an emission layer comprises, for example, an emitter in combination with a matrix or host material, the formulation comprises, as organic functional material, precisely the mixture of emitter and matrix or host material, as described in greater detail elsewhere in the present application. Besides the said components, the formulation according to the invention may comprise further additives and processing assistants. These include, inter alia, surface-active substances (surfactants), lubricants and greases, additives which modify the viscosity, additives which increase the conductivity, dispersants, hydrophobicising agents, adhesion promoters, flow improvers, antifoams, deaerating agents, diluents, which may be reactive or unreactive, fillers, assistants, processing assistants, dyes, pigments, stabilisers, sensitisers, nanoparticles and inhibitors.
The present invention furthermore relates to a process for the preparation of a formulation according to the present invention, wherein the at least one organic functional material, which can be employed for the production of functional layers of electronic devices, and the at least one organic solvent A are mixed.
A formulation in accordance with the present invention can be employed for the production of a layer or multilayered structure in which the organic functional materials are present in layers, as are required for the production of preferred electronic or opto-electronic components, such as OLEDs.
The formulation of the present invention can preferably be employed for the formation of functional layers on a substrate or one of the layers applied to the substrate. The substrates can either have bank structures or not.
The present invention likewise relates to a process for the preparation of an electronic device, preferably an electroluminescent device, wherein at least one functional layer of the electronic device, preferably the electroluminescent device, is prepared in that a formulation of the present invention is deposited, preferably printed, more preferably ink-jet printed, on a surface and subsequently dried. The present invention furthermore relates to an electronic device, preferably an electroluminescent device, wherein at least one functional layer is prepared in that a formulation of the present invention is deposited, preferably printed, more preferably ink-jet printed, on a surface and subsequently dried.
The functional layers can be produced, for example, by flood coating, dip coating, spray coating, spin coating, screen printing, relief printing, gravure printing, rotary printing, roller coating, flexographic printing, offset printing or nozzle printing, preferably ink-jet printing on a substrate or one of the layers applied to the substrate.
After the application of a formulation according to the present invention to a substrate or a functional layer already applied, a drying step can be carried out in order to remove the solvents from the continuous phase described above. The drying can preferably be carried out at relatively low temperature and over a relatively long period in order to avoid bubble formation and to obtain a uniform coating. The drying can preferably be carried out at a temperature in the range from 80 to 300°C, more preferably 150 to 250°C and most preferably 160 to 200°C. The drying here can preferably be carried out at a pressure in the range from 10’6 mbar to 2 bar, more preferably in the range from 10’2 mbar to 1 bar and most preferably in the range from 10’1 mbar to 100 mbar. During the drying process, the temperature of the substrates can be vary from -15°C to 250°C. The duration of the drying depends on the degree of drying to be achieved, where small amounts of water can optionally be removed at relatively high temperature and in combination with sintering, which is preferably to be carried out.
It may furthermore be provided that the process is repeated a number of times, with formation of different or identical functional layers. Crosslinking of the functional layer formed can take place here in order to prevent dissolution thereof, as is disclosed, for example, in EP 0637899 A1 .
The present invention also relates to an electronic device obtainable by a process for the production of an electronic device.
The present invention furthermore relates to an electronic device having at least one functional layer comprising at least one organic functional material which is obtainable by the above-mentioned process for the production of an electronic device.
An electronic device is taken to mean a device which comprises anode, cathode and at least one functional layer in between, where this functional layer comprises at least one organic or organometallic compound.
The organic electronic device is preferably an organic electroluminescent device (OLED), a polymeric electroluminescent device (PLED), an organic integrated circuit (O-IC), an organic field-effect transistor (O-FET), an organic thin-film transistor (O-TFT), an organic, light-emitting transistor (O-LET), an organic solar cell (O-SC), an organic photovoltaic (OPV) cell, an organic, optical detector, an organic photoreceptor, an organic field- quench device (O-FQD), an organic electrical sensor, a light-emitting electrochemical cell (LEC) or an organic laser diode (O-laser), more preferably an organic electroluminescent device (OLED) or a polymeric electroluminescent device (PLED).
Active components are generally the organic or inorganic materials which are introduced between the anode and the cathode, where these active components effect, maintain and/or improve the properties of the electronic device, for example its performance and/or its lifetime, for example chargeinjection, charge-transport or charge-blocking materials, but in particular emission materials and matrix materials. The organic functional material which can be employed for the production of functional layers of electronic devices accordingly preferably comprises an active component of the electronic device.
Organic electroluminescent devices are a preferred embodiment of the present invention. The organic electroluminescent device comprises a cathode, an anode and at least one emitting layer.
It is furthermore preferred to employ a mixture of two or more triplet emitters together with a matrix. The triplet emitter having the shorter-wave emission spectrum serves as co-matrix here for the triplet emitter having the longer-wave emission spectrum.
The proportion of the matrix material in the emitting layer in this case is preferably between 50 and 99.9% by vol., more preferably between 80 and 99.5% by vol. and most preferably between 92 and 99.5% by vol. for fluorescent emitting layers and between 85 and 97% by vol. for phosphorescent emitting layers.
Correspondingly, the proportion of the dopant is preferably between 0.1 and 50% by vol., more preferably between 0.5 and 20% by vol. and most preferably between 0.5 and 8% by vol. for fluorescent emitting layers and between 3 and 15% by vol. for phosphorescent emitting layers.
An emitting layer of an organic electroluminescent device may also encompass systems which comprise a plurality of matrix materials (mixed-matrix systems) and/or a plurality of dopants. In this case too, the dopants are generally the materials whose proportion in the system is the smaller and the matrix materials are the materials whose proportion in the system is the greater. In individual cases, however, the proportion of an individual matrix material in the system may be smaller than the proportion of an individual dopant. The mixed-matrix systems preferably comprise two or three different matrix materials, more preferably two different matrix materials. One of the two materials here is preferably a material having hole-transporting properties and the other material is a material having electron-transporting properties. However, the desired electron-transporting and hole-transporting properties of the mixed-matrix components may also be combined principally or completely in a single mixed-matrix component, where the further mixed- matrix component(s) fulfil(s) other functions. The two different matrix materials may be present here in a ratio of 1 :50 to 1 :1 , preferably 1 :20 to 1 :1 , more preferably 1 : 10 to 1 : 1 and most preferably 1 :4 to 1 : 1 . Mixed- matrix systems are preferably employed in phosphorescent organic electroluminescent devices. Further details on mixed-matrix systems can be found, for example, in WO 2010/108579.
Apart from these layers, an organic electroluminescent device may also comprise further layers, for example in each case one or more holeinjection layers, hole-transport layers, hole-blocking layers, electrontransport layers, electron-injection layers, exciton-blocking layers, electronblocking layers, charge-generation layers (IDMC 2003, Taiwan; Session 21 OLED (5), T. Matsumoto, T. Nakada, J. Endo, K. Mori, N. Kawamura, A. Yokoi, J. Kido, Multiphoton Organic EL Device Having Charge Generation Layer) and/or organic or inorganic p/n junctions. It is possible here for one or more hole-transport layers to be p-doped, for example with metal oxides, such as MoOs or WO3, or with (per)fluorinated electron-deficient aromatic compounds, and/or for one or more electron-transport layers to be n-doped. It is likewise possible for interlayers, which have, for example, an excitonblocking function and/or control the charge balance in the electroluminescent device, to be introduced between two emitting layers. However, it should be pointed out that each of these layers does not necessarily have to be present. These layers may likewise be present on use of the formulations according to the invention, as defined above. In a further embodiment of the present invention, the device comprises a plurality of layers. The formulation according to the present invention can preferably be employed here for the production of a hole-transport, holeinjection, electron-transport, electron-injection and/or emission layer.
The present invention accordingly also relates to an electronic device which comprises at least three layers, but in a preferred embodiment all said layers, from hole-injection, hole-transport, emission, electron-transport, electron-injection, charge-blocking and/or charge-generation layer and in which at least one layer has been obtained by means of a formulation to be employed in accordance with the present invention. The thickness of the layers, for example the hole-transport and/or hole-injection layer, can preferably be in the range from 1 to 500 nm, more preferably in the range from 2 to 200 nm.
The device may furthermore comprise layers built up from further low- molecular-weight compounds or polymers which have not been applied by the use of formulations according to the present invention. These can also be produced by evaporation of low-molecular-weight compounds in a high vacuum.
It may additionally be preferred to use the compounds to be employed not as the pure substance, but instead as a mixture (blend) together with further polymeric, oligomeric, dendritic or low-molecular-weight substances of any desired type. These may, for example, improve the electronic properties or themselves emit.
In a preferred embodiment of the present invention, the formulations according to the invention comprise organic functional materials which are employed as host materials or matrix materials in an emitting layer. The formulation here may comprise the emitters described above in addition to the host materials or matrix materials. The organic electroluminescent device here may comprise one or more emitting layers. If a plurality of emission layers are present, these preferably have a plurality of emission maxima between 380 nm and 750 nm, resulting overall in white emission, i.e. various emitting compounds which are able to fluoresce or phosphoresce are used in the emitting layers. Very particular preference is given to three-layer systems, where the three layers exhibit blue, green and orange or red emission (for the basic structure see, for example, WO 2005/ 011013). White-emitting devices are suitable, for example, as backlighting of LCD displays or for general lighting applications.
It is also possible for a plurality of OLEDs to be arranged one above the other, enabling a further increase in efficiency with respect to the light yield to be achieved.
In order to improve the coupling-out of light, the final organic layer on the light-exit side in OLEDs can, for example, also be in the form of a nanofoam, resulting in a reduction in the proportion of total reflection.
Preference is furthermore given to an organic electroluminescent device in which one or more layers are applied by means of a sublimation process, in which the materials are applied by vapour deposition in vacuum sublimation units at a pressure below 10’5 mbar, preferably below 10’6 mbar, more preferably below 10’7 mbar.
It may furthermore be provided that one or more layers of an electronic device according to the present invention are applied by means of the OVPD (organic vapour phase deposition) process or with the aid of carriergas sublimation, in which the materials are applied at a pressure between 10’5 mbar and 1 bar. It may furthermore be provided that one or more layers of an electronic device according to the present invention are produced from solution, such as, for example, by spin coating, or by means of any desired printing process, such as, for example, screen printing, flexographic printing or offset printing, but particularly preferably LITI (light induced thermal imaging, thermal transfer printing) or ink-jet printing.
The device usually comprises a cathode and an anode (electrodes). The electrodes (cathode, anode) are selected for the purposes of the present invention in such a way that their band energies correspond as closely as possible to those of the adjacent, organic layers in order to ensure highly efficient electron or hole injection.
The cathode preferably comprises metal complexes, metals having a low work function, metal alloys or multilayered structures comprising various metals, such as, for example, alkaline-earth metals, alkali metals, main- group metals or lanthanoids (for example Ca, Ba, Mg, Al, In, Mg, Yb, Sm, etc.). In the case of multilayered structures, further metals which have a relatively high work function, such as, for example, Ag and Ag nanowire (Ag NW) can also be used in addition to the said metals, in which case combinations of the metals, such as, for example, Ca/Ag or Ba/Ag, are generally used. It may also be preferred to introduce a thin interlayer of a material having a high dielectric constant between a metallic cathode and the organic semiconductor. Suitable for this purpose are, for example, alkali-metal or alkaline-earth metal fluorides, but also the corresponding oxides (for example LiF, l_i2O, BaF2, MgO, NaF, etc.). The layer thickness of this layer is preferably between 0.1 and 10 nm, more preferably between 0.2 and 8 nm, and most preferably between 0.5 and 5 nm.
The anode preferably comprises materials having a high work function. The anode preferably has a potential greater than 4.5 eV vs. vacuum. Suitable for this purpose are on the one hand metals having a high redox potential, such as, for example, Ag, Pt or Au. On the other hand, metal/metal oxide electrodes (for example AI/Ni/NiOx, Al/PtOx) may also be preferred. For some applications, at least one of the electrodes must be transparent in order to facilitate either irradiation of the organic material (O-SCs) or the coupling-out of light (OLEDs/PLEDs, O-lasers). A preferred structure uses a transparent anode. Preferred anode materials here are conductive, mixed metal oxides. Particular preference is given to indium tin oxide (ITO) or indium zinc oxide (IZO). Preference is furthermore given to conductive, doped organic materials, in particular conductive, doped polymers, such as, for example, poly(ethylenedioxythiophene) (PEDOT) and polyaniline (PANI) or derivatives of these polymers. It is furthermore preferred for a p-doped hole-transport material to be applied as hole-injection layer to the anode, where suitable p-dopants are metal oxides, for example MoOs or WO3, or (per)fluorinated electron-deficient aromatic compounds. Further suitable p- dopants are HAT-CN (hexacyanohexaazatriphenylene) or the compound NDP9 from Novaled. A layer of this type simplifies hole injection in materials having a low HOMO, i.e. an HOMO with a large value.
In general, all materials as are used for the layers in accordance with the prior art can be used in the further layers, and the person skilled in the art will be able to combine each of these materials with the materials according to the invention in an electronic device without inventive step.
The device is correspondingly structured in a manner known per se, depending on the application, provided with contacts and finally hermetically sealed, since the lifetime of such devices is drastically shortened in the presence of water and/or air.
The formulations according to the invention and the electronic devices, in particular organic electroluminescent devices, obtainable therefrom are distinguished over the prior art by one or more of the following surprising advantages: 1 . The electronic devices obtainable using the formulations according to the invention exhibit very high stability and a very long lifetime compared with electronic devices obtained using conventional methods.
2. The formulations according to the invention can be processed using conventional methods, so that cost advantages can also be achieved thereby.
3. The organic functional materials employed in the formulations according to the invention are not subject to any particular restrictions, enabling the process of the present invention to be employed comprehensively.
4. The coatings obtainable using the formulations of the present invention exhibit excellent quality, in particular with respect to the uniformity of the coating.
These above-mentioned advantages are not accompanied by an impairment of the other electronic properties.
It should be pointed out that variations of the embodiments described in the present invention fall within the scope of this invention. Each feature disclosed in the present invention can, unless this is explicitly excluded, be replaced by alternative features which serve the same, an equivalent or a similar purpose. Thus, each feature disclosed in the present invention is, unless stated otherwise, to be regarded as an example of a generic series or as an equivalent or similar feature.
All features of the present invention can be combined with one another in any way, unless certain features and/or steps are mutually exclusive. This applies, in particular, to preferred features of the present invention. Equally, features of non-essential combinations can be used separately (and not in combination).
It should furthermore be pointed out that many of the features, and in particular those of the preferred embodiments of the present invention, are themselves inventive and are not to be regarded merely as part of the embodiments of the present invention. For these features, independent protection can be sought in addition or as an alternative to each invention presently claimed.
The teaching on technical action disclosed with the present invention can be abstracted and combined with other examples.
The invention is explained in greater detail below with reference to working examples, but without being restricted thereby.
The person skilled in the art will be able to use the descriptions to produce further electronic devices according to the invention without the need to employ inventive skill and thus can carry out the invention throughout the range claimed.
Working Examples
A) Synthesis example:
The high boiling point solvent 1 -Phenylnaphthalene (PNA) was deuterated to obtain D-PNA.
Figure imgf000102_0001
100 g of PNA were mixed with 1470 g of D2O and 30 g of 5% Pt on C.The mixture was stirred in a closed container at 180 to 190°C for 72 hours.
The catalyst was filtered off and the two phases were separated. The D2O- layer was extracted three times with 300 ml Methyl-tert-butylether (MTB- Ether), The organic phase was dried with 200 ml saturated NaCI-solution and over Na2SO4, After filtration the MTB-Ether was evaporated in vacuum to achieve 92 g yellow clear liquid.
The raw product was distilled at reduced pressure to yield a main fraction of 68.2 g (boiling at 135°C at 0.65 mbar).
The degree of deuteration was determined by NMR to be 96%.
The viscosity was measured with a Haake-Mars III rotational viscometer using a cone plate geometry (1 ° cone, 60 mm diameter).
57.9 mPa*s (@25°C, @500 s’1).
The surface tension was measured with a Kruss DSA100 in pendant drop mode (assuming the same density as PNA, 1 .088 g/cm3).
41.23 mN/m (@23.8°C). B) Device examples:
Example 1 : a) Preparation of films and devices
Glass substrates covered with pre-structured ITO (50 nm) and bank material are cleaned using ultrasonication in de-ionized water. In the following, the substrates are dried using an air-gun and subsequently annealed on a hot-plate at 230°C for 2 hours.
All following process steps are carried out in yellow light.
The following layer sequence is shown in Figure 1 .
A hole-injection layer (HIL) is inkjet-printed onto the substrate with a thickness of 25 nm and dried in vacuum. For this the HIL ink has a solid concentration of 7 g/l. The HIL is then annealed at 225°C for 30 minutes. Inkjet-printing and annealing of the HIL is carried out in air. As the HIL material, a hole-transporting, cross-linkable polymer and a p-doped salt are dissolved in 3-phenoxy toluene. The materials are described i.e. in WO 2016/107668, WO 2013/081052 and EP 2325190.
On top of the HIL, a hole-transport layer is inkjet-printed under ambient conditions, dried in vacuum and annealed at 230°C for 30 minutes in nitrogen atmosphere. The hole-transport layer is the polymer of the structure shown in Table 1 (HTM1 ), which is synthesized in accordance with WO 2013/156130.
The polymer is dissolved in 3-phenoxy toluene, so that the solution typically has a solid content of approximately 6 g/l if, as here, the layer thickness of 15 nm which is typical for a device, is to be achieved by means of inkjet printing. The emission layer comprises two matrix materials H1 and H2 and an emitter E1 , with structures as described in Table 1 below. The materials are mixed with 20% H1 , 60% H2 and 20% E1 . The mixture for the emission layer is dissolved in the solvent combination shown in Table 2. The solids content of such solutions is about 18 mg/ml if, as here, the layer thickness of 60 nm which is typical for a device is to be achieved by means of inkjet- printing. The green emissive layer (G-EML) is also inkjet-printed, then vacuum dried and annealed at 150°C for 10 minutes. Inkjet-printing is done in ambient atmosphere, whereas the annealing is done in nitrogen atmosphere.
For the preparation of devices according to Figure 1 , which are used for electro-optical characterization, the samples are then transferred into the vacuum deposition chamber where the deposition of two electron transport layers (ETL1 , ETL2), an electron injection layer (EIL) and a cathode (Al) is done using thermal evaporation. Hereby ETL1 consists of ETM1 (10 nm film thickness), whereas the ETL2 consists of a 1 :1 volume% mixture of ETM1 and ETM2 (40 nm film thickness). The electron injection layer consists of ETM2 (1 nm) and the cathode is aluminum (100 nm). The structures are shown in Table 1 .
After evaporation, the devices are encapsulated in a glovebox in nitrogen atmosphere.
Table 1 : Structures of the materials of the solution processed layers.
Figure imgf000105_0001
Table 2: Solvent System
Figure imgf000106_0001
b) Device results
Devices are prepared according to section a). Ref.1 is the reference example whereas Ex.1 is the example according to the present invention. To determine the device performance of the fabricated OLEDs, they are characterized by standard methods. For this purpose, the electroluminescence spectra, current/voltage/lum inous density characteristic curves (IUL characteristic curves) assuming Lambert emission characteristics and the (operating) lifetime are recorded. The IUL characteristic curves are used to determine characteristic figures of merit such as external quantum efficiency (in %) at a certain luminance. The devices are driven with constant voltages at each step of an applied voltage ramp. The device lifetime is measured under a given current corresponding to an initial luminance. The luminance is then measured over time by a calibrated photodiode.
In Table 3, the relative external quantum efficiencies (rel. EQE at 1000 cd/m2) and the relative device lifetimes (rel. LT90 at 1000 cd/m2) are summarized.
Table 3: Device results
Figure imgf000106_0002
It can be seen that better device performance and significant higher lifetime has been achieved by the Device example Ex.1 using a solvent combination containing a deuterated high boiling point solvent than the reference example Ref.1 using the non-deuterated high boiling point solvent. It indicates that the improvement in device performance is mainly due to the solvent composition.
Example 2: a) Preparation of films and devices
Glass substrates covered with pre-structured ITO (50 nm) and bank material are cleaned using ultrasonication in de-ionized water. In the following, the substrates are dried using an air-gun and subsequently annealed on a hot-plate at 230°C for 2 hours.
All following process steps are carried out in yellow light.
The following layer sequence is shown in Figure 1 .
A hole-injection layer (HIL) is inkjet-printed onto the substrate with a thickness of 20 nm and dried in vacuum. For this the HIL ink has a solid concentration of 6 g/l. The HIL is then annealed at 225°C for 30 minutes. Inkjet-printing and annealing of the HIL is carried out in air. As the HIL material, a hole-transporting, cross-linkable polymer and a p-doped salt are dissolved in 3-phenoxy toluene. The materials are described i.e. in WO 2016/107668, WO 2013/081052 and EP 2325190.
On top of the HIL, a hole-transport layer is inkjet-printed under ambient conditions, dried in vacuum and annealed at 230°C for 30 minutes in nitrogen atmosphere. The hole-transport layer is the polymer of the structure shown in Table 4 (HTM2), which is synthesized in accordance with WO 2018/114882 A1 (Polymer Po32). The polymer is dissolved in 3- phenoxy toluene, so that the solution typically has a solid content of approximately 5 g/l if, as here, the layer thickness of 20 nm which is typical for a device, is to be achieved by means of inkjet printing.
The emission layer comprises a matrix material H3 and and an emitter E2, with structures as described in Table 4 below. The materials are mixed with 98% H3 and 2% E2. The mixture for the emission layer is dissolved in the solvent combination shown in Table 5. The solids content of such solutions is about 9 mg/ml if, as here, the layer thickness of 35 nm which is typical for a device is to be achieved by means of inkjet-printing. The blue emissive layer (B-EML) is also inkjet-printed, then vacuum dried and annealed at 150°C for 10 minutes. Inkjet-printing is done in ambient atmosphere, whereas the annealing is done in nitrogen atmosphere.
For the preparation of devices according to Figure 1 , which are used for electro-optical characterization, the samples are then transferred into the vacuum deposition chamber where the deposition of two electron transport layers (ETL1 , ETL2), an electron injection layer (EIL) and a cathode (Al) is done using thermal evaporation. Hereby ETL1 consists of ETM1 (10 nm film thickness), whereas the ETL2 consists of a 1 :1 volume% mixture of ETM1 and ETM2 (40 nm film thickness). The electron injection layer consists of ETM2 (1 nm) and the cathode is aluminum (100 nm). The structures are shown in Table 4.
After evaporation, the devices are encapsulated in a glovebox in nitrogen atmosphere. Table 4: Structures of the materials of the layers.
Figure imgf000109_0002
Table 5: Solvent System
Figure imgf000109_0001
b) Device results
Devices are prepared according to section a). Ref.2 is the reference example whereas Ex.2 is the example according to the present invention. To determine the device performance of the fabricated OLEDs, they are characterized by standard methods. For this purpose, the electroluminescence spectra, current/voltage/lum inous density characteristic curves (IUL characteristic curves) assuming Lambert emission characteristics and the (operating) lifetime are recorded. The IUL characteristic curves are used to determine characteristic figures of merit such as external quantum efficiency (in %) at a certain luminance. The devices are driven with constant voltages at each step of an applied voltage ramp. The device lifetime is measured under a given current corresponding to an initial luminance. The luminance is then measured over time by a calibrated photodiode.
In Table 6, the relative voltages, the relative external quantum efficiencies (rel. EQE at 1000 cd/m2) and the relative device lifetimes (rel. LT90 at 1000 cd/m2), as well as the CIE color coordinates are summarized.
Table 6: Device results
Figure imgf000110_0001
It can be seen that better device performance and significant higher lifetime has been achieved by the Device example Ex.2 using a solvent combination containing a deuterated high boiling point solvent than the reference example Ref.2 using the non-deuterated high boiling point solvent. It indicates that the improvement in device performance is mainly due to the solvent composition.

Claims

Patent Claims
1 . Formulation containing at least one organic functional material and at least one organic solvent A, preferably at least two different organic solvents A and B, characterized in that at least one organic solvent is a deuterated solvent having a degree of deuteration of at least 25%, preferably at least 50%, more preferably at least 75% and most preferably at least 90%.
2. Formulation according to claim 1 , characterized in that it contains at least two different organic solvents, a first organic solvent A and a second organic solvent B, wherein the first organic solvent A and/or the second organic solvent B is a deuterated solvent.
3. Formulation according to claim 2, characterized in that the first organic solvent A and the second organic solvent B each have boiling points in the range from 100 to 400°C.
4. Formulation according to claim 2 or 3, characterized that the second organic solvent B has a higher boiling point than the first organic solvent A and the boiling point of the second organic solvent B is at least 10°C, preferably at least 20°C, higher than the boiling point of the first organic solvent A.
5. Formulation according to one or more of claims 2 to 4, characterized in that the second organic solvent has a boiling point in the range from 250 to 350°C.
6. Formulation according to one or more of claims 2 to 5, characterized in that the first organic solvent A and the second organic solvent B each have a viscosity in the range from 1 to 60 mPas, preferably in the range from 2 to 50 mPas. Formulation according to one or more of claims 2 to 6, characterized in the second organic B solvent has a higher viscosity than the first organic solvent A and the visosity of the second organic solvent B is at least 5 mPas, preferably at least 10 mPas, higher than the viscosity of the first organic solvent A. Formulation according to one or more of claims 2 to 7, characterized in that the second organic solvent B has a viscosity of > 15 mPas, preferably > 20 mPas and more preferably > 25 mPas. Formulation according to one or more of claims 2 to 8, characterized in that the first organic solvent A is the deuterated solvent. Formulation according to one or more of claims 2 to 8, characterized in that the second organic solvent B is the deuterated solvent. Formulation according to one or more of claims 2 to 10, characterized in that the content of the first organic solvent A is in the range from 50 to 99,9 vol.-%, based on the total amount of solvents in the formulation. Formulation according to one or more of claims 2 to 11 , characterized in that the content of the second organic solvent B is in the range from 0,1 to 50 vol.-%, based on the total amount of solvents in the formulation. Formulation according to one or more of claims 2 to 10, characterized in that the second organic solvent B is selected from naphthalene derivatives, partially hydrogenated naphthalene derivatives, fully hydrogenated naphthalene derivatives, indane derivatives and fully hydrogenated anthracene derivatives. 14. Formulation according to one or more of claims 1 to 13, characterized in that the formulation has a surface tension in the range from 15 to 70 mN/m.
15. Formulation according to one or more of claims 1 to 14, characterized in that the formulation has a viscosity in the range from 0.8 to 50 mPas.
16. Formulation according to one or more of claims 1 to 15, characterized in that the content of the at least one organic functional material in the formulation is in the range from 0.001 to 20 weight-%, based on the total weight of the formulation.
17. Formulation according to one or more of claims 1 to 16, characterized in that the at least one organic functional material is selected from the group consisting of organic conductors, organic semiconductors, organic fluorescent compounds, organic phosphorescent compounds, organic light-absorbent compounds, organic light-sensitive compounds, organic photosensitisation agents and other organic photoactive compounds such as organometallic complexes of transition metals, rare earths, lanthanides and actinides.
18. Formulation according to claim 17, characterized in that the at least one organic functional material is an organic semiconductor selected from the group consisting of fluorescent emitters, phosphorescent emitters, host materials, matrix materials, exciton-blocking materials, electron-transport materials, electron-injection materials, holeconductor materials, hole-injection materials, n-dopants, p-dopants, wide-band-gap materials, electron-blocking materials and holeblocking materials.
19. Formulation according to claim 18, characterized in that the at least one organic functional material is an organic semiconductor selected from the group consisting of hole-injecting, hole-transporting, emitting, electron-transporting and electron-injecting materials. Formulation according to one or more of claims 1 to 19, characterized in that at least one organic functional material is a deuterated organic functional material. Process for the preparation of a formulation according to one or more of claims 1 to 20, characterized in that the at least one organic functional material and the at least one organic solvent A are mixed. Process for the preparation of an electronic device, characterized in that at least one functional layer of the electronic device is prepared in that a formulation according to one of more of claims 1 to 20 is deposited, preferably printed, more preferably ink-jet printed, on a surface and subsequently dried. Electronic device, characterized in that at least one functional layer is prepared in that a formulation according to one or more of claims 1 to 20 is deposited, preferably printed, more preferably ink-jet printed, on a surface and subsequently dried.
PCT/EP2023/0857292022-12-162023-12-14Formulation of an organic functional materialCeasedWO2024126635A1 (en)

Applications Claiming Priority (2)

Application NumberPriority DateFiling DateTitle
EP22214374.52022-12-16
EP222143742022-12-16

Publications (1)

Publication NumberPublication Date
WO2024126635A1true WO2024126635A1 (en)2024-06-20

Family

ID=84537610

Family Applications (1)

Application NumberTitlePriority DateFiling Date
PCT/EP2023/085729CeasedWO2024126635A1 (en)2022-12-162023-12-14Formulation of an organic functional material

Country Status (2)

CountryLink
TW (1)TW202440819A (en)
WO (1)WO2024126635A1 (en)

Cited By (1)

* Cited by examiner, † Cited by third party
Publication numberPriority datePublication dateAssigneeTitle
CN118922045A (en)*2024-10-112024-11-08浙江华显光电科技有限公司OLED and organic light emitting device with deuterated boron-nitrogen compound

Citations (214)

* Cited by examiner, † Cited by third party
Publication numberPriority datePublication dateAssigneeTitle
US3180730A (en)1959-04-091965-04-27Azoplate CorpMaterial for electrophotographic purposes
US3526501A (en)1967-02-031970-09-01Eastman Kodak Co4-diarylamino-substituted chalcone containing photoconductive compositions for use in electrophotography
US3567450A (en)1968-02-201971-03-02Eastman Kodak CoPhotoconductive elements containing substituted triarylamine photoconductors
US3615402A (en)1969-10-011971-10-26Eastman Kodak CoTetra-substituted methanes as organic photoconductors
US3615404A (en)1968-04-251971-10-26Scott Paper Co1 3-phenylenediamine containing photoconductive materials
US3658520A (en)1968-02-201972-04-25Eastman Kodak CoPhotoconductive elements containing as photoconductors triarylamines substituted by active hydrogen-containing groups
US3717462A (en)1969-07-281973-02-20Canon KkHeat treatment of an electrophotographic photosensitive member
US4127412A (en)1975-12-091978-11-28Eastman Kodak CompanyPhotoconductive compositions and elements
JPS54110837A (en)1978-02-171979-08-30Ricoh Co LtdElectrophotographic photoreceptor
JPS5646234A (en)1979-09-211981-04-27Ricoh Co LtdElectrophotographic receptor
US4356429A (en)1980-07-171982-10-26Eastman Kodak CompanyOrganic electroluminescent cell
US4539507A (en)1983-03-251985-09-03Eastman Kodak CompanyOrganic electroluminescent devices having improved power conversion efficiencies
JPS61210363A (en)1985-03-151986-09-18Canon Inc electrophotographic photoreceptor
US4720432A (en)1987-02-111988-01-19Eastman Kodak CompanyElectroluminescent device with organic luminescent medium
US4769292A (en)1987-03-021988-09-06Eastman Kodak CompanyElectroluminescent device with modified thin film luminescent zone
JPS63295696A (en)1987-05-271988-12-02Mitsubishi Electric CorpPhosphor for cathode ray tube
JPH01211399A (en)1988-02-191989-08-24Toshiba CorpDynamic shift register with scanning function
JPH02204996A (en)1989-02-011990-08-14Nec CorpOrganic film type el element
US4950950A (en)1989-05-181990-08-21Eastman Kodak CompanyElectroluminescent device with silazane-containing luminescent zone
JPH02282263A (en)1988-12-091990-11-19Nippon Oil Co LtdHole transferring material
US5061569A (en)1990-07-261991-10-29Eastman Kodak CompanyElectroluminescent device with organic electroluminescent medium
US5077142A (en)1989-04-201991-12-31Ricoh Company, Ltd.Electroluminescent devices
US5121029A (en)1987-12-111992-06-09Idemitsu Kosan Co., Ltd.Electroluminescence device having an organic electroluminescent element
US5130603A (en)1989-03-201992-07-14Idemitsu Kosan Co., Ltd.Organic electroluminescence device
JPH04308688A (en)1991-04-081992-10-30Pioneer Electron CorpOrganic electroluminescence element
EP0637899A1 (en)1993-08-021995-02-08BASF AktiengesellschaftElectroluminescent arrangement
EP0676461A2 (en)1994-04-071995-10-11Hoechst AktiengesellschaftSpiro compounds and their application as electroluminescence materials
JPH0853397A (en)1994-08-121996-02-27Toyo Ink Mfg Co Ltd Diarylamine derivative, production method and use thereof
US5529853A (en)1993-03-171996-06-25Sanyo Electric Co., Ltd.Organic electroluminescent element
JPH08193191A (en)1995-01-191996-07-30Idemitsu Kosan Co Ltd Organic electroluminescent device and organic thin film
JPH08292586A (en)1995-04-211996-11-05Hodogaya Chem Co Ltd Electrophotographic photoreceptor
EP0652273B1 (en)1993-11-091998-02-11Shinko Electric Industries Co. Ltd.Organic material for electroluminescent device and electroluminescent device
DE19646119A1 (en)1996-11-081998-05-14Hoechst Ag Electroluminescent device
US5766779A (en)1996-08-201998-06-16Eastman Kodak CompanyElectron transporting materials for organic electroluminescent devices
EP0650955B1 (en)1993-11-011998-08-19Hodogaya Chemical Co., Ltd.Amine compound and electro-luminescence device comprising same
EP0891121A1 (en)1996-12-281999-01-13TDK CorporationOrganic electroluminescent elements
EP0681019B1 (en)1994-04-261999-09-01TDK CorporationPhenylanthracene derivative and organic EL element
US5962631A (en)1995-07-281999-10-05The Dow Chemical Company2, 7-aryl-9-substituted fluorenes and 9-substituted fluorene oligomers and polymers
US6020078A (en)1998-12-182000-02-01Eastman Kodak CompanyGreen organic electroluminescent devices
EP1009041A2 (en)1998-12-092000-06-14Eastman Kodak CompanyElectroluminescent device with improved hole transport layer
EP1029909A1 (en)1998-09-092000-08-23Idemitsu Kosan Co., Ltd.Organic electroluminescence device and phenylenediamine derivative
WO2000070655A2 (en)1999-05-132000-11-23The Trustees Of Princeton UniversityVery high efficiency organic light emitting devices based on electrophosphorescence
WO2001041512A1 (en)1999-12-012001-06-07The Trustees Of Princeton UniversityComplexes of form l2mx as phosphorescent dopants for organic leds
US6251531B1 (en)1995-02-252001-06-26Toyo Ink Manufacturing Co., Ltd.Light-emitting material for organic electroluminescence device, and organic electroluminescence device for which the light-emitting material is adapted
JP2001267080A (en)2000-01-142001-09-28Toray Ind IncLight emission element
WO2001093642A1 (en)2000-05-302001-12-06The Trustees Of Princeton UniversityPhosphorescent organic light emitting devices
US20010053462A1 (en)2000-05-022001-12-20Masayuki MishimaLight-emitting device
WO2002002714A2 (en)2000-06-302002-01-10E.I. Du Pont De Nemours And CompanyElectroluminescent iridium compounds with fluorinated phenylpyridines, phenylpyrimidines, and phenylquinolines and devices made with such compounds
WO2002015645A1 (en)2000-08-112002-02-21The Trustees Of Princeton UniversityOrganometallic compounds and emission-shifting organic electrophosphorescence
EP1191614A2 (en)2000-09-262002-03-27Canon Kabushiki KaishaLuminescence device and metal coordination compound therefor
EP1191613A2 (en)2000-09-262002-03-27Canon Kabushiki KaishaLuminescence device, display apparatus and metal coordination compound
EP1191612A2 (en)2000-09-262002-03-27Canon Kabushiki KaishaLuminescence device, display apparatus and metal coordination compound
EP1205527A1 (en)2000-03-272002-05-15Idemitsu Kosan Co., Ltd.Organic electroluminescence device
WO2002043449A1 (en)2000-11-242002-05-30Toray Industries, Inc.Luminescent element material and luminescent element comprising the same
WO2002068435A1 (en)2001-02-242002-09-06Covion Organic Semiconductors GmbhRhodium and iridium complexes
EP1239526A2 (en)2001-03-082002-09-11Canon Kabushiki KaishaMetal coordination compound, luminescene device and display apparatus
WO2002077060A1 (en)2001-03-242002-10-03Covion Organic Semiconductors GmbhConjugated polymers containing spirobifluorene units and fluorene units, and the use thereof
WO2002081488A1 (en)2001-04-052002-10-17Covion Organic Semiconductors GmbhRhodium and iridium complexes
US20030027016A1 (en)2000-04-212003-02-06Tdk CorporationOrganic EL device
WO2003020790A2 (en)2001-09-042003-03-13Covion Organic Semiconductors GmbhConjugated polymers containing spirobifluorene units and the use thereof
US20030068528A1 (en)2001-08-292003-04-10Thompson Mark E.Organic light emitting devices having carrier blocking layers comprising metal complexes
JP2003115387A (en)2001-10-042003-04-18Junji KidoOrganic light emitting element and its manufacturing method
EP1162193B1 (en)1993-09-292003-05-14Idemitsu Kosan Company LimitedAcrylenediamine derivatives and organic electroluminescence device containing the same
JP2003253145A (en)2002-02-282003-09-10Jsr Corp Luminescent composition
EP1344788A1 (en)2002-03-152003-09-17Sumitomo Chemical Company, LimitedConjugated polymer comprising dibenzothiophene- or dibenzofuran-units and their use in polymer LEDs
US20030175553A1 (en)2001-12-282003-09-18Thompson Mark E.White light emitting oleds from combined monomer and aggregate emission
EP1348711A1 (en)2000-11-302003-10-01Canon Kabushiki KaishaLuminescent element and display
JP2003338375A (en)2002-03-142003-11-28Tdk CorpOrganic el element
WO2003099901A1 (en)2002-05-282003-12-04Sumitomo Chemical Company, LimitedPolymer and polymeric luminescent element comprising the same
WO2004013073A1 (en)2002-08-022004-02-12Idemitsu Kosan Co., Ltd.Anthracene derivatives and organic electroluminescent devices made by using the same
WO2004026886A2 (en)2002-08-242004-04-01Covion Organic Semiconductors GmbhRhodium and iridium complexes
WO2004041901A1 (en)2002-11-082004-05-21Covion Organic Semiconductors GmbhAryl-substituted polyindenofluorenes for use in organic electroluminiscent devices
WO2004058911A2 (en)2002-12-232004-07-15Covion Organic Semiconductors GmbhOrganic electroluminescent element
JP2004200162A (en)2002-12-052004-07-15Toray Ind IncLight emitting element
DE10304819A1 (en)2003-02-062004-08-19Covion Organic Semiconductors Gmbh Carbazole-containing conjugated polymers and blends, their preparation and use
US20040174116A1 (en)2001-08-202004-09-09Lu Min-Hao MichaelTransparent electrodes
WO2004081017A1 (en)2003-03-112004-09-23Covion Organic Semiconductors GmbhMetal complexes
JP2004288381A (en)2003-03-192004-10-14Konica Minolta Holdings IncOrganic electroluminescent element
EP1469533A2 (en)2003-04-142004-10-20Kabushiki Kaisha Toyota JidoshokkiOrganic electroluminescent element that supresses generation of ultraviolet light and lighting system that has organic electroluminescent element
US20040209116A1 (en)2003-04-212004-10-21Xiaofan RenOrganic light emitting devices with wide gap host materials
US20040209115A1 (en)2003-04-212004-10-21Thompson Mark E.Organic light emitting devices with wide gap host materials
WO2004093207A2 (en)2003-04-152004-10-28Covion Organic Semiconductors GmbhMixtures of matrix materials and organic semiconductors capable of emission, use of the same and electronic components containing said mixtures
JP2004311184A (en)2003-04-042004-11-04Junji KidoElectron transportation material formed of multinucleate phenanthroline derivative, charge control material, and organic luminescent element using them
EP1478032A2 (en)2003-05-162004-11-17Kabushiki Kaisha Toyota JidoshokkiLight emitting diode method for forming the same
EP1480280A2 (en)2003-05-232004-11-24Kabushiki Kaisha Toyota JidoshokkiOrganic electroluminescent device and method for manufacturing the same
US6824895B1 (en)2003-12-052004-11-30Eastman Kodak CompanyElectroluminescent device containing organometallic compound with tridentate ligand
US6830828B2 (en)1998-09-142004-12-14The Trustees Of Princeton UniversityOrganometallic complexes as phosphorescent emitters in organic LEDs
US6835469B2 (en)2001-10-172004-12-28The University Of Southern CaliforniaPhosphorescent compounds and devices comprising the same
WO2004113468A1 (en)2003-06-262004-12-29Covion Organic Semiconductors GmbhNovel materials for electroluminescence
WO2004113412A2 (en)2003-06-232004-12-29Covion Organic Semiconductors GmbhPolymer
WO2005003253A2 (en)2003-07-072005-01-13Covion Organic Semiconductors GmbhMixtures of organic emissive semiconductors and matrix materials, their use and electronic components comprising said materials
WO2005011013A1 (en)2003-07-212005-02-03Covion Organic Semiconductors GmbhOrganic electroluminescent element
WO2005014689A2 (en)2003-08-122005-02-17Covion Organic Semiconductors GmbhConjugated polymers containing dihydrophenanthrene units and use thereof
CN1583691A (en)2004-06-042005-02-23友达光电股份有限公司 Anthracene compound and organic electroluminescent device comprising the anthracene compound
US20050069729A1 (en)2003-09-302005-03-31Konica Minolta Holdings, Inc.Organic electroluminescent element, illuminator, display and compound
WO2005033174A1 (en)2003-10-012005-04-14Sumitomo Chemical Company, LimitedPolymer light-emitting material and polymer light-emitting device
WO2005033244A1 (en)2003-09-292005-04-14Covion Organic Semiconductors GmbhMetal complexes
DE10343606A1 (en)2003-09-202005-04-14Covion Organic Semiconductors Gmbh White-emitting copolymers, their preparation and use
JP2005108556A (en)2003-09-292005-04-21Tdk CorpOrganic el element and organic el display
WO2005040302A1 (en)2003-10-222005-05-06Merck Patent GmbhNew materials for electroluminescence and the utilization thereof
DE10349033A1 (en)2003-10-222005-05-25Covion Organic Semiconductors GmbhOrganic semiconductor, for use in organic LEDs and solar cells and laser diodes, contains a polymer and structural units which emit light from the triplet state and a triplet emitter
WO2005056633A1 (en)2003-12-122005-06-23Sumitomo Chemical Company, LimitedPolymer compound and polymer light-emitting device using same
EP1551206A1 (en)2002-10-092005-07-06Idemitsu Kosan Co., Ltd.Organic electroluminescent device
WO2005061656A1 (en)2003-12-192005-07-07Idemitsu Kosan Co., Ltd.Light-emitting material for organic electroluminescent device, organic electroluminescent device using same, and material for organic electroluminescent device
WO2005084082A1 (en)2004-02-202005-09-09Merck Patent GmbhOrganic electronic devices
WO2005083814A1 (en)2004-02-182005-09-09Merck Patent GmbhSolutions of organic semiconductors
WO2005086251A2 (en)2004-03-032005-09-15Novaled GmbhUse of metal complexes as n-dopants for organic semiconductors and production thereof including their ligands
US20050221124A1 (en)2004-04-022005-10-06Seok-Hwan HwangFluorene-based compound and organic electroluminescent display device using the same
JP2005285661A (en)2004-03-302005-10-13Tdk CorpOrganic el element and organic el display
WO2005104264A1 (en)2004-04-262005-11-03Merck Patent GmbhElectroluminescent polymers and use therof
US20050249976A1 (en)2002-03-222005-11-10Idemitsu Kosan Co., Ltd.Material for organic electroluminescence devices and organic electroluminescence device using the material
WO2005111172A2 (en)2004-05-112005-11-24Merck Patent GmbhNovel material mixtures for use in electroluminescence
WO2005112145A1 (en)2004-05-112005-11-24Merck Patent GmbhSolutions of organic semiconductors
JP2005347160A (en)2004-06-042005-12-15Konica Minolta Holdings Inc Organic electroluminescence element, lighting device and display device
WO2006000388A1 (en)2004-06-262006-01-05Merck Patent GmbhOrganic electroluminescent device
WO2006000389A1 (en)2004-06-262006-01-05Merck Patent GmbhCompounds for organic electronic devices
EP1617711A1 (en)2003-04-232006-01-18Konica Minolta Holdings, Inc.Organic electroluminescent device and display
US20060043858A1 (en)2002-08-232006-03-02Idemitsu Kosan Co., Ltd.Organic electroluminescence device and anthracene derivative
US20060061265A1 (en)2002-11-062006-03-23Hisayuki KawamuraAromatic amine derivative and organic electroluminescent element employing the same
WO2006048268A1 (en)2004-11-062006-05-11Merck Patent GmbhOrganic electroluminescent device
WO2006052457A2 (en)2004-11-032006-05-18Sumation Co.Ltd.New class of bridged biphenylene polymers
EP1661888A1 (en)2004-11-292006-05-31Samsung SDI Co., Ltd.Phenylcarbazole-based compound and organic electroluminescent device employing the same
WO2006058737A1 (en)2004-12-012006-06-08Merck Patent GmbhCompounds for organic electronic devices
WO2006063852A1 (en)2004-12-182006-06-22Merck Patent GmbhElectroluminescent polymers and use thereof
US20060147747A1 (en)2003-03-132006-07-06Hiroshi YamamotoNitrogen-containing heterocycle derivative and organic electroluminescent element using the same
US20060210830A1 (en)2005-03-152006-09-21Idemitsu Kosan Co., Ltd.Aromatic amine derivative and organic electroluminescence device using the same
US20060222886A1 (en)2005-04-042006-10-05Raymond KwongArylpyrene compounds
WO2006118345A1 (en)2005-04-282006-11-09Sumitomo Chemical Company, LimitedHigh-molecular compounds and high-molecular luminescent devices made by using the same
WO2006117052A1 (en)2005-05-032006-11-09Merck Patent GmbhOrganic electroluminescent device and boric acid and borinic acid derivatives used therein
WO2006122630A1 (en)2005-05-202006-11-23Merck Patent GmbhCompounds for organic electronic devices
EP1731584A1 (en)2004-03-312006-12-13Konica Minolta Holdings, Inc.Organic electroluminescent device material, organic electroluminescent device, display and illuminating device
JP2007059939A (en)2001-08-312007-03-08Nippon Hoso Kyokai <Nhk> Organic light emitting device and display device
US20070087219A1 (en)2005-10-192007-04-19Eastman Kodak CompanyElectroluminescent device
WO2007043495A1 (en)2005-10-072007-04-19Sumitomo Chemical Company, LimitedCopolymer and polymer light emitting devices made by using the same
US20070092755A1 (en)2005-10-262007-04-26Eastman Kodak CompanyOrganic element for low voltage electroluminescent devices
US20070092753A1 (en)2005-10-262007-04-26Eastman Kodak CompanyOrganic element for low voltage electroluminescent devices
US20070122656A1 (en)2005-11-302007-05-31Eastman Kodak CompanyElectroluminescent device containing an anthracene derivative
WO2007063754A1 (en)2005-12-012007-06-07Nippon Steel Chemical Co., Ltd.Compound for organic electroluminescent element and organic electroluminescent element
US20070128467A1 (en)2003-12-262007-06-07Idemitsu Kosan C., Ltd.Material for organic electroluminescent device and organic electroluminescent device using same
WO2007065549A1 (en)2005-12-082007-06-14Merck Patent GmbhOrganic electroluminescent devices
WO2007065678A1 (en)2005-12-082007-06-14Merck Patent GmbhNovel materials for organic electroluminiescent devices
US20070134514A1 (en)2005-12-142007-06-14Eastman Kodak CompanyElectroluminescent host material
US20070145355A1 (en)2005-12-222007-06-28Ansgar WernerDoped organic semiconductor material
US7238437B2 (en)1999-12-272007-07-03Fujifilm CorporationLight-emitting material comprising orthometalated iridium complex, light-emitting device, high efficiency red light-emitting device, and novel iridium complex
US7250226B2 (en)2001-08-312007-07-31Nippon Hoso KyokaiPhosphorescent compound, a phosphorescent composition and an organic light-emitting device
US7250532B2 (en)2001-03-162007-07-31Idemitsu Kosan Co., Ltd.Method for producing aromatic amino compound
DE102006003710A1 (en)2006-01-262007-08-02Merck Patent GmbhNew polymer containing an unit exhibiting electron injection and -conducting characteristics, useful for the preparation of a solution and formulation, and in an organic electronic devices, preferably organic optoelectronic device
JP2007197574A (en)2006-01-262007-08-09Showa Denko Kk Polymer light-emitting material, organic electroluminescence element, and display device
JP2007211243A (en)2007-02-072007-08-23Showa Denko KkPolymer of polymerizable compound
EP1834945A1 (en)2005-01-052007-09-19Idemitsu Kosan Co., Ltd.Aromatic amine derivative and organic electroluminescent device using same
EP1837926A1 (en)2006-03-212007-09-26Novaled AGHeterocyclic radicals or diradicals and their dimers, oligomers, polymers, di-spiro and polycyclic derivatives as well as their use in organic semiconductor materials and electronic devices.
WO2007107306A1 (en)2006-03-222007-09-27Novaled AgUse of heterocyclic radicals for doping organic semiconductors
WO2007114358A1 (en)2006-04-032007-10-11Idemitsu Kosan Co., Ltd.Benzanthracene derivative and organic electroluminescent device using the same
WO2007115610A1 (en)2006-04-012007-10-18Merck Patent GmbhMaterials for organic electroluminescent devices
US20070252517A1 (en)2006-04-272007-11-01Eastman Kodak CompanyElectroluminescent device including an anthracene derivative
US7294849B2 (en)2001-03-142007-11-13The Trustees Of Princeton UniversityMaterials and devices for blue phosphorescence based organic light emitting diodes
WO2007131582A1 (en)2006-05-122007-11-22Merck Patent GmbhIndenofluorene polymer based organic semiconductor materials
EP1860097A1 (en)2005-03-182007-11-28Idemitsu Kosan Co., Ltd.Aromatic amine derivative and organic electroluminescence device utilizing the same
WO2007137725A1 (en)2006-05-312007-12-06Merck Patent GmbhNew materials for organic electroluminescent devices
WO2007140847A1 (en)2006-06-022007-12-13Merck Patent GmbhMaterials for organic electroluminescent devices
WO2008006449A1 (en)2006-07-112008-01-17Merck Patent GmbhNovel materials for organic electroluminescent devices
WO2008009343A1 (en)2006-07-212008-01-24Merck Patent GmbhCopolymers of indenofluorene and thiophene
US7326371B2 (en)2004-03-252008-02-05Eastman Kodak CompanyElectroluminescent device with anthracene derivative host
US20080102311A1 (en)2006-08-042008-05-01Idemitsu Kosan Co., Ltd.Material for organic electroluminescent element and organic electroluminescent element employing the same
US20080113101A1 (en)2006-11-092008-05-15Idemitsu Kosan Co., Ltd.Organic-electroluminescence-material-containing solution, method for forming thin film of organic electroluminescence material, thin film of organic electroluminescence material and organic electroluminescence device
WO2008056746A1 (en)2006-11-092008-05-15Nippon Steel Chemical Co., Ltd.Compound for organic electroluminescent device and organic electroluminescent device
US7378162B2 (en)2005-03-082008-05-27Lg Electronics Inc.Organic electroluminescence devices using red phosphorescence compounds
WO2008086851A1 (en)2007-01-182008-07-24Merck Patent GmbhCarbazole derivatives for organc electroluminescent devices
US20080193796A1 (en)2006-11-202008-08-14Idemitsu Kosan Co., Ltd.Organic electroluminescent device
WO2008145239A2 (en)2007-05-292008-12-04Merck Patent GmbhBenzanthracene derivatives for organic electroluminescent devices
WO2009000237A1 (en)2007-06-222008-12-31Novaled AgUse of a precursor of an n-dopant for doping an organic semiconductive material, precursor and electronic or optoelectronic component
US20090008607A1 (en)2007-07-072009-01-08Idemitsu Kosan Co., Ltd.Naphthalene derivative, material for organic electroluminescence device, and organic electroluminescence device using the same
US20090061681A1 (en)2007-09-052009-03-05Mcmunigal TomElectrical receptacle assembly
WO2009041635A1 (en)2007-09-282009-04-02Idemitsu Kosan Co., Ltd.Organic el device
WO2009069566A1 (en)2007-11-292009-06-04Idemitsu Kosan Co., Ltd.Benzophenanthrene derivative and organic electroluminescent device employing the same
DE102008017591A1 (en)2008-04-072009-10-08Merck Patent Gmbh New materials for organic electroluminescent devices
DE102008033943A1 (en)2008-07-182010-01-21Merck Patent Gmbh New materials for organic electroluminescent devices
DE102008035413A1 (en)2008-07-292010-02-04Merck Patent Gmbh Connections for organic electronic devices
DE102008036982A1 (en)2008-08-082010-02-11Merck Patent Gmbh Organic electroluminescent device
DE102008064200A1 (en)2008-12-222010-07-01Merck Patent Gmbh Organic electroluminescent device
DE102009005746A1 (en)2009-01-232010-07-29Merck Patent Gmbh Materials for organic electroluminescent devices
WO2010108579A1 (en)2009-03-232010-09-30Merck Patent GmbhOrganic electroluminescent device
DE102009023155A1 (en)2009-05-292010-12-02Merck Patent Gmbh Materials for organic electroluminescent devices
DE102009031021A1 (en)2009-06-302011-01-05Merck Patent Gmbh Materials for organic electroluminescent devices
EP2325190A1 (en)2004-03-112011-05-25Mitsubishi Chemical CorporationComposition for charge-transporting film and ion compound, charge-transporting film and organic electroluminescent device using same
DE102009023154A1 (en)2009-05-292011-06-16Merck Patent Gmbh A composition comprising at least one emitter compound and at least one polymer having conjugation-interrupting units
WO2011076314A1 (en)2009-12-222011-06-30Merck Patent GmbhElectroluminescent formulations
DE102009022858A1 (en)2009-05-272011-12-15Merck Patent Gmbh Organic electroluminescent devices
WO2012031735A1 (en)2010-09-102012-03-15Novaled AgCompounds for organic photovoltaic devices
EP2452946A1 (en)2010-11-162012-05-16Novaled AGPyridylphosphinoxides for organic electronic device and organic electronic device
EP2463927A1 (en)2010-12-082012-06-13Novaled AGMaterial for organic electronic device and organic electronic device
WO2012168358A1 (en)2011-06-092012-12-13Novaled AgCompound for organic electronic device
WO2012175219A1 (en)2011-06-222012-12-27Novaled AgElectronic device and compound
WO2012175535A1 (en)2011-06-222012-12-27Novaled AgOrganic electronic component
WO2013081052A1 (en)2011-11-302013-06-06日立化成株式会社Organic electronic material, ink composition, and organic electronic element
US20130256636A1 (en)2012-04-022013-10-03Seiko Epson CorporationFunction layer ink, method for manufacturing light-emitting element, light-emitting device, and electronic apparatus
WO2013156130A1 (en)2012-04-172013-10-24Merck Patent GmbhPolymers containing substituted triarylamine units and electroluminescent devices containing said polymers
US20130299807A1 (en)*2011-02-142013-11-14E I Du Pont De Nemours And CompanyElectroactive composition
WO2014111269A2 (en)2013-10-142014-07-24Merck Patent GmbhMaterials for electronic devices
WO2015102118A1 (en)2014-02-182015-07-09学校法人関西学院Polycyclic aromatic compound
EP2924083A1 (en)2014-03-242015-09-30Seiko Epson CorporationInk for functional layer formation, method for manufacturing light emitting element, light emitting device, and electronic apparatus
JP2015191792A (en)2014-03-282015-11-02セイコーエプソン株式会社Ink for forming functional layer, method of manufacturing light-emitting element, light-emitting device and electronic apparatus
WO2016107668A1 (en)2014-12-302016-07-07Merck Patent GmbhCompositions comprising at least one polymer and at least one salt, and electroluminescent devices containing said compositions
CN107266484A (en)2017-07-142017-10-20瑞声科技(南京)有限公司Electroluminescent organic material and its luminescent device
WO2017195669A1 (en)2016-05-132017-11-16コニカミノルタ株式会社Organic electroluminescence element material, organic electroluminescence element, display apparatus and illumination apparatus
US20180069182A1 (en)2016-09-072018-03-08Kwansei Gakuin Educational FoundationPolycyclic aromatic compound
WO2018114882A1 (en)2016-12-222018-06-28Merck Patent GmbhMaterials for electronic devices
CN108409769A (en)2016-07-292018-08-17江苏三月光电科技有限公司A kind of boracic organic electroluminescent compounds that luminous efficiency is high and its application
US20190103558A1 (en)*2017-09-292019-04-04Chuanjun XiaLiquid formulation and a method for making electronic devices by solution process
US10729238B2 (en)2017-05-142020-08-04Loctek Inc.Electric shelf
WO2020208051A1 (en)2019-04-112020-10-15Merck Patent GmbhMaterials for organic electroluminescent devices
WO2021058406A1 (en)2019-09-242021-04-01Merck Patent GmbhMaterials for organic electroluminescent devices
WO2021094269A1 (en)2019-11-122021-05-20Merck Patent GmbhMaterials for organic electroluminescent devices
CN115101679A (en)*2022-07-272022-09-23天津大学Method for improving thermal stability of organic photoelectric film and application of organic photoelectric film in photovoltaic cell

Patent Citations (224)

* Cited by examiner, † Cited by third party
Publication numberPriority datePublication dateAssigneeTitle
US3180730A (en)1959-04-091965-04-27Azoplate CorpMaterial for electrophotographic purposes
US3526501A (en)1967-02-031970-09-01Eastman Kodak Co4-diarylamino-substituted chalcone containing photoconductive compositions for use in electrophotography
US3567450A (en)1968-02-201971-03-02Eastman Kodak CoPhotoconductive elements containing substituted triarylamine photoconductors
US3658520A (en)1968-02-201972-04-25Eastman Kodak CoPhotoconductive elements containing as photoconductors triarylamines substituted by active hydrogen-containing groups
US3615404A (en)1968-04-251971-10-26Scott Paper Co1 3-phenylenediamine containing photoconductive materials
US3717462A (en)1969-07-281973-02-20Canon KkHeat treatment of an electrophotographic photosensitive member
US3615402A (en)1969-10-011971-10-26Eastman Kodak CoTetra-substituted methanes as organic photoconductors
US4127412A (en)1975-12-091978-11-28Eastman Kodak CompanyPhotoconductive compositions and elements
JPS54110837A (en)1978-02-171979-08-30Ricoh Co LtdElectrophotographic photoreceptor
JPS5646234A (en)1979-09-211981-04-27Ricoh Co LtdElectrophotographic receptor
US4356429A (en)1980-07-171982-10-26Eastman Kodak CompanyOrganic electroluminescent cell
US4539507A (en)1983-03-251985-09-03Eastman Kodak CompanyOrganic electroluminescent devices having improved power conversion efficiencies
JPS61210363A (en)1985-03-151986-09-18Canon Inc electrophotographic photoreceptor
US4720432A (en)1987-02-111988-01-19Eastman Kodak CompanyElectroluminescent device with organic luminescent medium
US4769292A (en)1987-03-021988-09-06Eastman Kodak CompanyElectroluminescent device with modified thin film luminescent zone
JPS63295696A (en)1987-05-271988-12-02Mitsubishi Electric CorpPhosphor for cathode ray tube
US5121029A (en)1987-12-111992-06-09Idemitsu Kosan Co., Ltd.Electroluminescence device having an organic electroluminescent element
JPH01211399A (en)1988-02-191989-08-24Toshiba CorpDynamic shift register with scanning function
JPH02282263A (en)1988-12-091990-11-19Nippon Oil Co LtdHole transferring material
JPH02204996A (en)1989-02-011990-08-14Nec CorpOrganic film type el element
US5130603A (en)1989-03-201992-07-14Idemitsu Kosan Co., Ltd.Organic electroluminescence device
US5077142A (en)1989-04-201991-12-31Ricoh Company, Ltd.Electroluminescent devices
US4950950A (en)1989-05-181990-08-21Eastman Kodak CompanyElectroluminescent device with silazane-containing luminescent zone
US5061569A (en)1990-07-261991-10-29Eastman Kodak CompanyElectroluminescent device with organic electroluminescent medium
JPH04308688A (en)1991-04-081992-10-30Pioneer Electron CorpOrganic electroluminescence element
US5529853A (en)1993-03-171996-06-25Sanyo Electric Co., Ltd.Organic electroluminescent element
EP0637899A1 (en)1993-08-021995-02-08BASF AktiengesellschaftElectroluminescent arrangement
EP1162193B1 (en)1993-09-292003-05-14Idemitsu Kosan Company LimitedAcrylenediamine derivatives and organic electroluminescence device containing the same
EP0650955B1 (en)1993-11-011998-08-19Hodogaya Chemical Co., Ltd.Amine compound and electro-luminescence device comprising same
EP0652273B1 (en)1993-11-091998-02-11Shinko Electric Industries Co. Ltd.Organic material for electroluminescent device and electroluminescent device
EP0676461A2 (en)1994-04-071995-10-11Hoechst AktiengesellschaftSpiro compounds and their application as electroluminescence materials
EP0681019B1 (en)1994-04-261999-09-01TDK CorporationPhenylanthracene derivative and organic EL element
JPH0853397A (en)1994-08-121996-02-27Toyo Ink Mfg Co Ltd Diarylamine derivative, production method and use thereof
JPH08193191A (en)1995-01-191996-07-30Idemitsu Kosan Co Ltd Organic electroluminescent device and organic thin film
US6251531B1 (en)1995-02-252001-06-26Toyo Ink Manufacturing Co., Ltd.Light-emitting material for organic electroluminescence device, and organic electroluminescence device for which the light-emitting material is adapted
JPH08292586A (en)1995-04-211996-11-05Hodogaya Chem Co Ltd Electrophotographic photoreceptor
US5962631A (en)1995-07-281999-10-05The Dow Chemical Company2, 7-aryl-9-substituted fluorenes and 9-substituted fluorene oligomers and polymers
US5766779A (en)1996-08-201998-06-16Eastman Kodak CompanyElectron transporting materials for organic electroluminescent devices
DE19646119A1 (en)1996-11-081998-05-14Hoechst Ag Electroluminescent device
EP0891121A1 (en)1996-12-281999-01-13TDK CorporationOrganic electroluminescent elements
US7399537B2 (en)1998-09-092008-07-15Idemitsu Kosan Co., Ltd.Organic electroluminescence device and phenylenediamine derivative
EP1029909A1 (en)1998-09-092000-08-23Idemitsu Kosan Co., Ltd.Organic electroluminescence device and phenylenediamine derivative
US6830828B2 (en)1998-09-142004-12-14The Trustees Of Princeton UniversityOrganometallic complexes as phosphorescent emitters in organic LEDs
EP1009041A2 (en)1998-12-092000-06-14Eastman Kodak CompanyElectroluminescent device with improved hole transport layer
US6020078A (en)1998-12-182000-02-01Eastman Kodak CompanyGreen organic electroluminescent devices
WO2000070655A2 (en)1999-05-132000-11-23The Trustees Of Princeton UniversityVery high efficiency organic light emitting devices based on electrophosphorescence
WO2001041512A1 (en)1999-12-012001-06-07The Trustees Of Princeton UniversityComplexes of form l2mx as phosphorescent dopants for organic leds
US7238437B2 (en)1999-12-272007-07-03Fujifilm CorporationLight-emitting material comprising orthometalated iridium complex, light-emitting device, high efficiency red light-emitting device, and novel iridium complex
JP2001267080A (en)2000-01-142001-09-28Toray Ind IncLight emission element
EP1205527A1 (en)2000-03-272002-05-15Idemitsu Kosan Co., Ltd.Organic electroluminescence device
US20030027016A1 (en)2000-04-212003-02-06Tdk CorporationOrganic EL device
US20010053462A1 (en)2000-05-022001-12-20Masayuki MishimaLight-emitting device
WO2001093642A1 (en)2000-05-302001-12-06The Trustees Of Princeton UniversityPhosphorescent organic light emitting devices
WO2002002714A2 (en)2000-06-302002-01-10E.I. Du Pont De Nemours And CompanyElectroluminescent iridium compounds with fluorinated phenylpyridines, phenylpyrimidines, and phenylquinolines and devices made with such compounds
WO2002015645A1 (en)2000-08-112002-02-21The Trustees Of Princeton UniversityOrganometallic compounds and emission-shifting organic electrophosphorescence
EP1191612A2 (en)2000-09-262002-03-27Canon Kabushiki KaishaLuminescence device, display apparatus and metal coordination compound
EP1191613A2 (en)2000-09-262002-03-27Canon Kabushiki KaishaLuminescence device, display apparatus and metal coordination compound
EP1191614A2 (en)2000-09-262002-03-27Canon Kabushiki KaishaLuminescence device and metal coordination compound therefor
WO2002043449A1 (en)2000-11-242002-05-30Toray Industries, Inc.Luminescent element material and luminescent element comprising the same
EP1348711A1 (en)2000-11-302003-10-01Canon Kabushiki KaishaLuminescent element and display
WO2002068435A1 (en)2001-02-242002-09-06Covion Organic Semiconductors GmbhRhodium and iridium complexes
EP1239526A2 (en)2001-03-082002-09-11Canon Kabushiki KaishaMetal coordination compound, luminescene device and display apparatus
US7294849B2 (en)2001-03-142007-11-13The Trustees Of Princeton UniversityMaterials and devices for blue phosphorescence based organic light emitting diodes
US7250532B2 (en)2001-03-162007-07-31Idemitsu Kosan Co., Ltd.Method for producing aromatic amino compound
WO2002077060A1 (en)2001-03-242002-10-03Covion Organic Semiconductors GmbhConjugated polymers containing spirobifluorene units and fluorene units, and the use thereof
WO2002081488A1 (en)2001-04-052002-10-17Covion Organic Semiconductors GmbhRhodium and iridium complexes
US20040174116A1 (en)2001-08-202004-09-09Lu Min-Hao MichaelTransparent electrodes
US20030068528A1 (en)2001-08-292003-04-10Thompson Mark E.Organic light emitting devices having carrier blocking layers comprising metal complexes
JP2007059939A (en)2001-08-312007-03-08Nippon Hoso Kyokai <Nhk> Organic light emitting device and display device
US7250226B2 (en)2001-08-312007-07-31Nippon Hoso KyokaiPhosphorescent compound, a phosphorescent composition and an organic light-emitting device
WO2003020790A2 (en)2001-09-042003-03-13Covion Organic Semiconductors GmbhConjugated polymers containing spirobifluorene units and the use thereof
JP2003115387A (en)2001-10-042003-04-18Junji KidoOrganic light emitting element and its manufacturing method
US6835469B2 (en)2001-10-172004-12-28The University Of Southern CaliforniaPhosphorescent compounds and devices comprising the same
US20030175553A1 (en)2001-12-282003-09-18Thompson Mark E.White light emitting oleds from combined monomer and aggregate emission
JP2003253145A (en)2002-02-282003-09-10Jsr Corp Luminescent composition
JP2003338375A (en)2002-03-142003-11-28Tdk CorpOrganic el element
EP1344788A1 (en)2002-03-152003-09-17Sumitomo Chemical Company, LimitedConjugated polymer comprising dibenzothiophene- or dibenzofuran-units and their use in polymer LEDs
US20050249976A1 (en)2002-03-222005-11-10Idemitsu Kosan Co., Ltd.Material for organic electroluminescence devices and organic electroluminescence device using the material
WO2003099901A1 (en)2002-05-282003-12-04Sumitomo Chemical Company, LimitedPolymer and polymeric luminescent element comprising the same
WO2004013073A1 (en)2002-08-022004-02-12Idemitsu Kosan Co., Ltd.Anthracene derivatives and organic electroluminescent devices made by using the same
US20060043858A1 (en)2002-08-232006-03-02Idemitsu Kosan Co., Ltd.Organic electroluminescence device and anthracene derivative
WO2004026886A2 (en)2002-08-242004-04-01Covion Organic Semiconductors GmbhRhodium and iridium complexes
EP1551206A1 (en)2002-10-092005-07-06Idemitsu Kosan Co., Ltd.Organic electroluminescent device
US20060061265A1 (en)2002-11-062006-03-23Hisayuki KawamuraAromatic amine derivative and organic electroluminescent element employing the same
WO2004041901A1 (en)2002-11-082004-05-21Covion Organic Semiconductors GmbhAryl-substituted polyindenofluorenes for use in organic electroluminiscent devices
JP2004200162A (en)2002-12-052004-07-15Toray Ind IncLight emitting element
WO2004058911A2 (en)2002-12-232004-07-15Covion Organic Semiconductors GmbhOrganic electroluminescent element
WO2004070772A2 (en)2003-02-062004-08-19Covion Organic Semiconductors GmbhConjugated polymers and blends containing carbazole, representation and use thereof
DE10304819A1 (en)2003-02-062004-08-19Covion Organic Semiconductors Gmbh Carbazole-containing conjugated polymers and blends, their preparation and use
WO2004081017A1 (en)2003-03-112004-09-23Covion Organic Semiconductors GmbhMetal complexes
US20060147747A1 (en)2003-03-132006-07-06Hiroshi YamamotoNitrogen-containing heterocycle derivative and organic electroluminescent element using the same
JP2004288381A (en)2003-03-192004-10-14Konica Minolta Holdings IncOrganic electroluminescent element
JP2004311184A (en)2003-04-042004-11-04Junji KidoElectron transportation material formed of multinucleate phenanthroline derivative, charge control material, and organic luminescent element using them
EP1469533A2 (en)2003-04-142004-10-20Kabushiki Kaisha Toyota JidoshokkiOrganic electroluminescent element that supresses generation of ultraviolet light and lighting system that has organic electroluminescent element
WO2004093207A2 (en)2003-04-152004-10-28Covion Organic Semiconductors GmbhMixtures of matrix materials and organic semiconductors capable of emission, use of the same and electronic components containing said mixtures
US20040209115A1 (en)2003-04-212004-10-21Thompson Mark E.Organic light emitting devices with wide gap host materials
US20040209116A1 (en)2003-04-212004-10-21Xiaofan RenOrganic light emitting devices with wide gap host materials
EP1617710A1 (en)2003-04-232006-01-18Konica Minolta Holdings, Inc.Material for organic electroluminescent device, organic electroluminescent device, illuminating device and display
EP1617711A1 (en)2003-04-232006-01-18Konica Minolta Holdings, Inc.Organic electroluminescent device and display
EP1478032A2 (en)2003-05-162004-11-17Kabushiki Kaisha Toyota JidoshokkiLight emitting diode method for forming the same
EP1480280A2 (en)2003-05-232004-11-24Kabushiki Kaisha Toyota JidoshokkiOrganic electroluminescent device and method for manufacturing the same
WO2004113412A2 (en)2003-06-232004-12-29Covion Organic Semiconductors GmbhPolymer
DE10328627A1 (en)2003-06-262005-02-17Covion Organic Semiconductors Gmbh New materials for electroluminescence
WO2004113468A1 (en)2003-06-262004-12-29Covion Organic Semiconductors GmbhNovel materials for electroluminescence
WO2005003253A2 (en)2003-07-072005-01-13Covion Organic Semiconductors GmbhMixtures of organic emissive semiconductors and matrix materials, their use and electronic components comprising said materials
WO2005011013A1 (en)2003-07-212005-02-03Covion Organic Semiconductors GmbhOrganic electroluminescent element
WO2005014689A2 (en)2003-08-122005-02-17Covion Organic Semiconductors GmbhConjugated polymers containing dihydrophenanthrene units and use thereof
DE10343606A1 (en)2003-09-202005-04-14Covion Organic Semiconductors Gmbh White-emitting copolymers, their preparation and use
WO2005033244A1 (en)2003-09-292005-04-14Covion Organic Semiconductors GmbhMetal complexes
JP2005108556A (en)2003-09-292005-04-21Tdk CorpOrganic el element and organic el display
WO2005039246A1 (en)2003-09-302005-04-28Konica Minolta Holdings, Inc.Organic electroluminescent device, illuminating device, and display
US20050069729A1 (en)2003-09-302005-03-31Konica Minolta Holdings, Inc.Organic electroluminescent element, illuminator, display and compound
WO2005033174A1 (en)2003-10-012005-04-14Sumitomo Chemical Company, LimitedPolymer light-emitting material and polymer light-emitting device
DE10349033A1 (en)2003-10-222005-05-25Covion Organic Semiconductors GmbhOrganic semiconductor, for use in organic LEDs and solar cells and laser diodes, contains a polymer and structural units which emit light from the triplet state and a triplet emitter
WO2005040302A1 (en)2003-10-222005-05-06Merck Patent GmbhNew materials for electroluminescence and the utilization thereof
US6824895B1 (en)2003-12-052004-11-30Eastman Kodak CompanyElectroluminescent device containing organometallic compound with tridentate ligand
WO2005056633A1 (en)2003-12-122005-06-23Sumitomo Chemical Company, LimitedPolymer compound and polymer light-emitting device using same
WO2005061656A1 (en)2003-12-192005-07-07Idemitsu Kosan Co., Ltd.Light-emitting material for organic electroluminescent device, organic electroluminescent device using same, and material for organic electroluminescent device
US20070128467A1 (en)2003-12-262007-06-07Idemitsu Kosan C., Ltd.Material for organic electroluminescent device and organic electroluminescent device using same
WO2005083814A1 (en)2004-02-182005-09-09Merck Patent GmbhSolutions of organic semiconductors
WO2005084082A1 (en)2004-02-202005-09-09Merck Patent GmbhOrganic electronic devices
WO2005084081A1 (en)2004-02-202005-09-09Merck Patent GmbhOrganic electronic devices
WO2005086251A2 (en)2004-03-032005-09-15Novaled GmbhUse of metal complexes as n-dopants for organic semiconductors and production thereof including their ligands
EP2325190A1 (en)2004-03-112011-05-25Mitsubishi Chemical CorporationComposition for charge-transporting film and ion compound, charge-transporting film and organic electroluminescent device using same
US7326371B2 (en)2004-03-252008-02-05Eastman Kodak CompanyElectroluminescent device with anthracene derivative host
JP2005285661A (en)2004-03-302005-10-13Tdk CorpOrganic el element and organic el display
EP1731584A1 (en)2004-03-312006-12-13Konica Minolta Holdings, Inc.Organic electroluminescent device material, organic electroluminescent device, display and illuminating device
US20050221124A1 (en)2004-04-022005-10-06Seok-Hwan HwangFluorene-based compound and organic electroluminescent display device using the same
WO2005104264A1 (en)2004-04-262005-11-03Merck Patent GmbhElectroluminescent polymers and use therof
WO2005111172A2 (en)2004-05-112005-11-24Merck Patent GmbhNovel material mixtures for use in electroluminescence
WO2005112145A1 (en)2004-05-112005-11-24Merck Patent GmbhSolutions of organic semiconductors
CN1583691A (en)2004-06-042005-02-23友达光电股份有限公司 Anthracene compound and organic electroluminescent device comprising the anthracene compound
JP2005347160A (en)2004-06-042005-12-15Konica Minolta Holdings Inc Organic electroluminescence element, lighting device and display device
WO2006000388A1 (en)2004-06-262006-01-05Merck Patent GmbhOrganic electroluminescent device
WO2006000389A1 (en)2004-06-262006-01-05Merck Patent GmbhCompounds for organic electronic devices
WO2006052457A2 (en)2004-11-032006-05-18Sumation Co.Ltd.New class of bridged biphenylene polymers
WO2006048268A1 (en)2004-11-062006-05-11Merck Patent GmbhOrganic electroluminescent device
EP1661888A1 (en)2004-11-292006-05-31Samsung SDI Co., Ltd.Phenylcarbazole-based compound and organic electroluminescent device employing the same
WO2006058737A1 (en)2004-12-012006-06-08Merck Patent GmbhCompounds for organic electronic devices
WO2006063852A1 (en)2004-12-182006-06-22Merck Patent GmbhElectroluminescent polymers and use thereof
EP1834945A1 (en)2005-01-052007-09-19Idemitsu Kosan Co., Ltd.Aromatic amine derivative and organic electroluminescent device using same
US7378162B2 (en)2005-03-082008-05-27Lg Electronics Inc.Organic electroluminescence devices using red phosphorescence compounds
US20060210830A1 (en)2005-03-152006-09-21Idemitsu Kosan Co., Ltd.Aromatic amine derivative and organic electroluminescence device using the same
EP1860097A1 (en)2005-03-182007-11-28Idemitsu Kosan Co., Ltd.Aromatic amine derivative and organic electroluminescence device utilizing the same
US20060222886A1 (en)2005-04-042006-10-05Raymond KwongArylpyrene compounds
WO2006118345A1 (en)2005-04-282006-11-09Sumitomo Chemical Company, LimitedHigh-molecular compounds and high-molecular luminescent devices made by using the same
WO2006117052A1 (en)2005-05-032006-11-09Merck Patent GmbhOrganic electroluminescent device and boric acid and borinic acid derivatives used therein
WO2006122630A1 (en)2005-05-202006-11-23Merck Patent GmbhCompounds for organic electronic devices
WO2007043495A1 (en)2005-10-072007-04-19Sumitomo Chemical Company, LimitedCopolymer and polymer light emitting devices made by using the same
US20070087219A1 (en)2005-10-192007-04-19Eastman Kodak CompanyElectroluminescent device
US20070092753A1 (en)2005-10-262007-04-26Eastman Kodak CompanyOrganic element for low voltage electroluminescent devices
US20070092755A1 (en)2005-10-262007-04-26Eastman Kodak CompanyOrganic element for low voltage electroluminescent devices
US20070122656A1 (en)2005-11-302007-05-31Eastman Kodak CompanyElectroluminescent device containing an anthracene derivative
WO2007063754A1 (en)2005-12-012007-06-07Nippon Steel Chemical Co., Ltd.Compound for organic electroluminescent element and organic electroluminescent element
EP1957606A1 (en)2005-12-082008-08-20Merck Patent GmbHNovel materials for organic electroluminiescent devices
DE102005058557A1 (en)2005-12-082007-06-14Merck Patent Gmbh Organic electroluminescent device
WO2007065678A1 (en)2005-12-082007-06-14Merck Patent GmbhNovel materials for organic electroluminiescent devices
WO2007065549A1 (en)2005-12-082007-06-14Merck Patent GmbhOrganic electroluminescent devices
US20070134514A1 (en)2005-12-142007-06-14Eastman Kodak CompanyElectroluminescent host material
US20070145355A1 (en)2005-12-222007-06-28Ansgar WernerDoped organic semiconductor material
DE102006003710A1 (en)2006-01-262007-08-02Merck Patent GmbhNew polymer containing an unit exhibiting electron injection and -conducting characteristics, useful for the preparation of a solution and formulation, and in an organic electronic devices, preferably organic optoelectronic device
JP2007197574A (en)2006-01-262007-08-09Showa Denko Kk Polymer light-emitting material, organic electroluminescence element, and display device
EP1837926A1 (en)2006-03-212007-09-26Novaled AGHeterocyclic radicals or diradicals and their dimers, oligomers, polymers, di-spiro and polycyclic derivatives as well as their use in organic semiconductor materials and electronic devices.
WO2007107306A1 (en)2006-03-222007-09-27Novaled AgUse of heterocyclic radicals for doping organic semiconductors
WO2007115610A1 (en)2006-04-012007-10-18Merck Patent GmbhMaterials for organic electroluminescent devices
US20070273272A1 (en)2006-04-032007-11-29Idemitsu Kosan Co., Ltd.Benzanthracene derivative and electroluminescence device using the same
WO2007114358A1 (en)2006-04-032007-10-11Idemitsu Kosan Co., Ltd.Benzanthracene derivative and organic electroluminescent device using the same
US20070252517A1 (en)2006-04-272007-11-01Eastman Kodak CompanyElectroluminescent device including an anthracene derivative
WO2007131582A1 (en)2006-05-122007-11-22Merck Patent GmbhIndenofluorene polymer based organic semiconductor materials
WO2007137725A1 (en)2006-05-312007-12-06Merck Patent GmbhNew materials for organic electroluminescent devices
WO2007140847A1 (en)2006-06-022007-12-13Merck Patent GmbhMaterials for organic electroluminescent devices
WO2008006449A1 (en)2006-07-112008-01-17Merck Patent GmbhNovel materials for organic electroluminescent devices
WO2008009343A1 (en)2006-07-212008-01-24Merck Patent GmbhCopolymers of indenofluorene and thiophene
US20080102311A1 (en)2006-08-042008-05-01Idemitsu Kosan Co., Ltd.Material for organic electroluminescent element and organic electroluminescent element employing the same
WO2008056746A1 (en)2006-11-092008-05-15Nippon Steel Chemical Co., Ltd.Compound for organic electroluminescent device and organic electroluminescent device
US20080113101A1 (en)2006-11-092008-05-15Idemitsu Kosan Co., Ltd.Organic-electroluminescence-material-containing solution, method for forming thin film of organic electroluminescence material, thin film of organic electroluminescence material and organic electroluminescence device
US20080193796A1 (en)2006-11-202008-08-14Idemitsu Kosan Co., Ltd.Organic electroluminescent device
WO2008086851A1 (en)2007-01-182008-07-24Merck Patent GmbhCarbazole derivatives for organc electroluminescent devices
JP2007211243A (en)2007-02-072007-08-23Showa Denko KkPolymer of polymerizable compound
WO2008145239A2 (en)2007-05-292008-12-04Merck Patent GmbhBenzanthracene derivatives for organic electroluminescent devices
WO2009000237A1 (en)2007-06-222008-12-31Novaled AgUse of a precursor of an n-dopant for doping an organic semiconductive material, precursor and electronic or optoelectronic component
US20090008607A1 (en)2007-07-072009-01-08Idemitsu Kosan Co., Ltd.Naphthalene derivative, material for organic electroluminescence device, and organic electroluminescence device using the same
US20090061681A1 (en)2007-09-052009-03-05Mcmunigal TomElectrical receptacle assembly
WO2009041635A1 (en)2007-09-282009-04-02Idemitsu Kosan Co., Ltd.Organic el device
WO2009069566A1 (en)2007-11-292009-06-04Idemitsu Kosan Co., Ltd.Benzophenanthrene derivative and organic electroluminescent device employing the same
DE102008017591A1 (en)2008-04-072009-10-08Merck Patent Gmbh New materials for organic electroluminescent devices
DE102008033943A1 (en)2008-07-182010-01-21Merck Patent Gmbh New materials for organic electroluminescent devices
WO2010012328A1 (en)2008-07-292010-02-04Merck Patent GmbhCompounds for electronic devices
DE102008035413A1 (en)2008-07-292010-02-04Merck Patent Gmbh Connections for organic electronic devices
DE102008036982A1 (en)2008-08-082010-02-11Merck Patent Gmbh Organic electroluminescent device
DE102008064200A1 (en)2008-12-222010-07-01Merck Patent Gmbh Organic electroluminescent device
DE102009005746A1 (en)2009-01-232010-07-29Merck Patent Gmbh Materials for organic electroluminescent devices
WO2010108579A1 (en)2009-03-232010-09-30Merck Patent GmbhOrganic electroluminescent device
DE102009022858A1 (en)2009-05-272011-12-15Merck Patent Gmbh Organic electroluminescent devices
DE102009023155A1 (en)2009-05-292010-12-02Merck Patent Gmbh Materials for organic electroluminescent devices
DE102009023154A1 (en)2009-05-292011-06-16Merck Patent Gmbh A composition comprising at least one emitter compound and at least one polymer having conjugation-interrupting units
DE102009031021A1 (en)2009-06-302011-01-05Merck Patent Gmbh Materials for organic electroluminescent devices
WO2011076314A1 (en)2009-12-222011-06-30Merck Patent GmbhElectroluminescent formulations
WO2012031735A1 (en)2010-09-102012-03-15Novaled AgCompounds for organic photovoltaic devices
EP2452946A1 (en)2010-11-162012-05-16Novaled AGPyridylphosphinoxides for organic electronic device and organic electronic device
EP2463927A1 (en)2010-12-082012-06-13Novaled AGMaterial for organic electronic device and organic electronic device
US20130299807A1 (en)*2011-02-142013-11-14E I Du Pont De Nemours And CompanyElectroactive composition
WO2012168358A1 (en)2011-06-092012-12-13Novaled AgCompound for organic electronic device
WO2012175219A1 (en)2011-06-222012-12-27Novaled AgElectronic device and compound
WO2012175535A1 (en)2011-06-222012-12-27Novaled AgOrganic electronic component
WO2013081052A1 (en)2011-11-302013-06-06日立化成株式会社Organic electronic material, ink composition, and organic electronic element
US20130256636A1 (en)2012-04-022013-10-03Seiko Epson CorporationFunction layer ink, method for manufacturing light-emitting element, light-emitting device, and electronic apparatus
WO2013156130A1 (en)2012-04-172013-10-24Merck Patent GmbhPolymers containing substituted triarylamine units and electroluminescent devices containing said polymers
WO2014111269A2 (en)2013-10-142014-07-24Merck Patent GmbhMaterials for electronic devices
WO2015102118A1 (en)2014-02-182015-07-09学校法人関西学院Polycyclic aromatic compound
EP2924083A1 (en)2014-03-242015-09-30Seiko Epson CorporationInk for functional layer formation, method for manufacturing light emitting element, light emitting device, and electronic apparatus
JP2015191792A (en)2014-03-282015-11-02セイコーエプソン株式会社Ink for forming functional layer, method of manufacturing light-emitting element, light-emitting device and electronic apparatus
WO2016107668A1 (en)2014-12-302016-07-07Merck Patent GmbhCompositions comprising at least one polymer and at least one salt, and electroluminescent devices containing said compositions
WO2017195669A1 (en)2016-05-132017-11-16コニカミノルタ株式会社Organic electroluminescence element material, organic electroluminescence element, display apparatus and illumination apparatus
CN108409769A (en)2016-07-292018-08-17江苏三月光电科技有限公司A kind of boracic organic electroluminescent compounds that luminous efficiency is high and its application
US20180069182A1 (en)2016-09-072018-03-08Kwansei Gakuin Educational FoundationPolycyclic aromatic compound
WO2018114882A1 (en)2016-12-222018-06-28Merck Patent GmbhMaterials for electronic devices
US10729238B2 (en)2017-05-142020-08-04Loctek Inc.Electric shelf
CN107266484A (en)2017-07-142017-10-20瑞声科技(南京)有限公司Electroluminescent organic material and its luminescent device
US20190103558A1 (en)*2017-09-292019-04-04Chuanjun XiaLiquid formulation and a method for making electronic devices by solution process
WO2020208051A1 (en)2019-04-112020-10-15Merck Patent GmbhMaterials for organic electroluminescent devices
WO2021058406A1 (en)2019-09-242021-04-01Merck Patent GmbhMaterials for organic electroluminescent devices
WO2021094269A1 (en)2019-11-122021-05-20Merck Patent GmbhMaterials for organic electroluminescent devices
CN115101679A (en)*2022-07-272022-09-23天津大学Method for improving thermal stability of organic photoelectric film and application of organic photoelectric film in photovoltaic cell

Non-Patent Citations (16)

* Cited by examiner, † Cited by third party
Title
"NMR Spectroscopy in the Undergraduate Curriculum", vol. 1128, 1 January 2013, AMERICAN CHEMICAL SOCIETY, Washington, DC, ISBN: 978-0-8412-2795-8, ISSN: 0097-6156, article HANSON JOHN E.: "NMR Spectroscopy in Nondeuterated Solvents (No-D NMR): Applications in the Undergraduate Organic Laboratory", pages: 69 - 81, XP093137546, DOI: 10.1021/bk-2013-1128.ch005*
"Recent progress of molecular organic electroluminescent materials and devices", MAT. SCI. AND ENG. R, vol. 39, 2002, pages 143 - 222
ADACHI ET AL., APPL. PHYS. LETT., vol. 78, 2001, pages 1622 - 1624
BALDO, THOMPSON ET AL., NATURE, vol. 403, 2000, pages 750 - 753
C.H. CHEN ET AL.: "Recent developments in organic electroluminescent materials", MACRO-MOL. SYMP., vol. 125, 1997, pages 1 - 48, XP000891579
H. GILMANE.A. ZUECH, CHEMISTRY & INDUSTRY, 1960, pages 120
INORG. CHEM., vol. 40, no. 7, 2001, pages 1704 - 1711
J. KIDO ET AL., APPL. PHYS. LETT., vol. 65, 1994, pages 2124
JACS, vol. 123, no. 18, 2001, pages 4304 - 4312
JOHNSON ET AL., JACS, vol. 105, 1983, pages 1795
KIDO ET AL., CHEM. LETT., 1990, pages 657
MA ET AL., SYNTH. METALS, vol. 94, 1998, pages 245
ROGER P. WOODWARD: "Surface Tension Measurements Using the Drop Shape Method", PH.D.
SYNTH.METALS, vol. 91, no. 1-3, 1997, pages 209
T. MATSUMOTOT. NAKADAJ. ENDOK. MORIN. KAWAMURAA. YOKOIJ. KIDO, MULTIPHOTON ORGANIC EL DEVICE HAVING CHARGE GENERATION LAYER, 2003
WRIGHTON, JACS, vol. 96, 1974, pages 998

Cited By (1)

* Cited by examiner, † Cited by third party
Publication numberPriority datePublication dateAssigneeTitle
CN118922045A (en)*2024-10-112024-11-08浙江华显光电科技有限公司OLED and organic light emitting device with deuterated boron-nitrogen compound

Also Published As

Publication numberPublication date
TW202440819A (en)2024-10-16

Similar Documents

PublicationPublication DateTitle
EP3391428B1 (en)Esters containing aromatic groups as solvents for organic electronic formulations
EP3532566B1 (en)Formulation of an organic functional material
EP3581633B1 (en)Esters containing non-aromatic cycles as solvents for oled formulations
EP3417033B1 (en)Formulation of an organic functional material
EP3475372B1 (en)Formulation of an organic functional material
EP3532565B1 (en)Formulation of an organic functional material
EP3278377B1 (en)Formulation of an organic functional material comprising a siloxane solvent
EP3341981B1 (en)Formulation of an organic functional material comprising an epoxy group containing solvent
WO2018024719A1 (en)Formulation of an organic functional material
EP3359623A1 (en)Formulations containingn,n
WO2017216128A1 (en)Formulation of an organic functional material
EP3807367B1 (en)Formulation of an organic functional material
WO2024126635A1 (en)Formulation of an organic functional material
EP3387077A1 (en)Formulations containing ketones comprising non-aromatic cycles
WO2021213918A1 (en)Formulation of an organic functional material
WO2018189050A1 (en)Formulation of an organic functional material
WO2018108760A1 (en)Formulation of an organic functional material
WO2017216129A1 (en)Formulation of an organic functional material
EP4413836A1 (en)Method for forming an organic element of an electronic device
WO2019016184A1 (en)Formulation of an organic functional material
WO2018202603A1 (en)Formulation of an organic functional material

Legal Events

DateCodeTitleDescription
121Ep: the epo has been informed by wipo that ep was designated in this application

Ref document number:23829049

Country of ref document:EP

Kind code of ref document:A1

NENPNon-entry into the national phase

Ref country code:DE


[8]ページ先頭

©2009-2025 Movatter.jp