BCS223033 FC AF/hz 2023-07-04 -1- 3-HETEROARYL-5-CHLORODIFLUOROMETHYL-1,2,4-OXADIAZOLE AS FUNGICIDE The present invention relates to 3-heteroaryl-5-chlorodifluoromethyl-1,2,4-oxadiazole compounds as well as the uses thereof for controlling harmful microorganisms, in particular phytopathogenic fungi, in crop protection. (Hetero)aryl substituted 5-trifluoromethyl oxadiazole compounds which may be useful as HDAC6 and/or HDAC4 inhibitors for treating human diseases are known from WO 2013/080120 and WO 2017/222951. Recently, it has been reported that (hetero)aryl substituted 5-trifluoromethyl oxadiazole compounds may also be useful as crop protection agents to combat or prevent microorganisms’ infestations, such as phytopathogenic fungi (WO2019/122323, WO2018/187553, WO2018/162643, WO2017/178245, WO2017/055473, WO2020/208509, EP 3356335). The use of 3-aryl-5-chlorodifluoromethyl-1,2,4-oxadiazoles as fungicides is disclosed in WO2022/207496, WO2022/207494 and WO2022/129190. Numerous fungicidal agents have been developed until now. However, the need remains for the development of further fungicidal compounds, so as to provide compounds being effective against a broad spectrum of fungi, having lower toxicity, higher selectivity, being used at lower dosage rate to reduce or avoid unfavorable environmental or toxicological effects whilst still allowing effective disease control. It may also be desired to identify further fungicidal compounds to prevent the emergence of fungicides resistances. Furthermore, it may be desired to provide further fungicidal compounds having an improved storage stability and/or a higher weather stability, for example an improved photostability. With regard to the (hetero)aryl-substituted 5-trifluoromethyl oxadiazoles known from WO 2013/080120 and WO 2017/222951, it may be particularly desirable to provide highly effective fungicidal compounds which are not effective at inhibiting human HDAC. The present invention provides new fungicidal compounds which have advantages over known compounds and compositions in at least some of these aspects. The present invention relates to compounds of formula (I):

 wherein A, R
1, R
2, R
3 and R
4 are as recited herein, as well as their salts, N-oxides and solvates.   BCS223033 FC -2- The present invention also relates to a composition comprising at least one compound of formula (I) as defined herein and at least one agriculturally suitable auxiliary. The present invention also relates to the use of a compound of formula (I) as defined herein or a composition as defined herein for controlling harmful microorganisms, in particular phytopathogenic fungi, in crop protection. The present invention also relates to a method for controlling harmful microorganisms in crop protection, which comprises the step of applying at least one compound of formula (I) as defined herein or a composition as defined herein to the microorganisms and/or their habitat. Unless otherwise stated, the following definitions apply for the substituents and residues used throughout this specification and claims: The term “halogen” as used herein refers to fluorine, chlorine, bromine or iodine atom. The term “C
1-C
6-alkyl” as used herein refers to a saturated, branched or straight hydrocarbon chain having 1, 2, 3, 4, 5 or 6 carbon atoms. Preferably, said hydrocarbon chain has 1, 2, 3 or 4 carbon atoms (“C
1-C
4- alkyl”). Examples of C
1-C
6-alkyl include methyl, ethyl, propyl (n-propyl), 1-methylethyl (iso-propyl), butyl (n-butyl), 1-methylpropyl (sec-butyl), 2-methylpropyl (iso-butyl), 1,1-dimethylethyl (tert-butyl), pentyl, 1-methylbutyl, 2-methylbutyl, 3-methylbutyl, 2,2-dimethylpropyl, 1-ethylpropyl, 1,1- dimethylpropyl, 1,2-dimethylpropyl, hexyl, 1-methylpentyl, 2-methylpentyl, 3-methylpentyl, 4- methylpentyl, 1,1-dimethylbutyl, 1,2-dimethylbutyl, 1,3-dimethylbutyl, 2,2-dimethylbutyl, 2,3- dimethylbutyl, 3,3-dimethylbutyl, 1-ethylbutyl, 2-ethylbutyl, 1,1,2-trimethylpropyl, 1,2,2- trimethylpropyl, 1-ethyl-1-methylpropyl and 1-ethyl-2-methylpropyl. The term “C
1-C
2-alkyl” as used herein refers to methyl or ethyl. The term “C
2-C
6-alkenyl” as used herein refers to an unsaturated, branched or straight hydrocarbon chain having 2, 3, 4, 5 or 6 carbon atoms and comprising at least one double bond that can be of either the (E)- or (Z)-configuration. Preferably, said hydrocarbon chain has 3, 4, 5 or 6 carbon atoms (“C
3-C
6-alkenyl”). Examples of C
2-C
6-alkenyl include but are not limited to C
2-C
4-alkenyl groups such as ethenyl (or "vinyl"), prop-2-en-1-yl (or "allyl"), prop-1-en-1-yl, but-3-enyl, but-2-enyl, but-1-enyl, prop-1-en-2-yl (or "isopropenyl"), 2-methylprop-2-enyl, 1-methylprop-2-enyl, 2-methylprop-1-enyl, 1-methylprop-1-enyl and buta-1,3-dienyl. The term “C
2-C
6-alkynyl” as used herein refers to a branched or straight hydrocarbon chain having 2, 3, 4, 5 or 6 carbon atoms and comprising at least one triple bond. Preferably, said hydrocarbon chain has 3, 4, 5 or 6 carbon atoms (“C
3-C
6-alkynyl”). Examples of C
2-C
6-alkynyl include but are not limited to C
2- C
4-alkynyl groups such as ethynyl, prop-1-ynyl, prop-2-ynyl (or "propargyl"), but-1-ynyl, but-2-ynyl, but- 3-ynyl or 1-methylprop-2-ynyl group.   BCS223033 FC -3- The term “C
1-C
6-haloalkyl” as used herein refers to a C
1-C
6-alkyl group as defined above in which one or more hydrogen atoms are replaced with halogen atoms that may be the same or different. Typically, C
1- C
6-haloalkyl comprises up to 9 halogen atoms that can be the same or different. Analogously, the term “C
1-C
4-haloalkyl” as used herein refer to a corresponding group that contains 1 to 4 carbon atoms. The terms “C
2-C
6-haloalkenyl” and “C
3-C
6-haloalkenyl” as used herein refer to a C
2-C
6-alkenyl or, respectively, C
3-C
6-alkenyl group as defined above in which one or more hydrogen atoms are replaced with one or more halogen atoms that may be the same or different. Typically, C
2-C
6-haloalkenyl comprises up to 9 halogen atoms that can be the same or different. The terms “hydroxy-C
1-C
6-alkyl” and “hydroxy-C
1-C
4-alkyl”as used herein refer to a C
1-C
6-alkyl or, respectively, C
1-C
4-alkyl group as defined above in which at least one hydrogen atom is replaced with a hydroxy group. The term “cyano-C
1-C
6-alkyl” as used herein refers to a C
1-C
6-alkyl group as defined above in which at least one hydrogen atom is replaced with a cyano group. The term “amino-C
1-C
6-alkyl” as used herein refers to a C
1-C
6-alkyl group as defined above in which at least one hydrogen atom is replaced with an amino group. The term “C
1-C
6-alkoxy” as used herein refers to a group of formula (C
1-C
6-alkyl)-O-, in which the term "C
1-C
6-alkyl" is as defined herein. Analogously, the term “C
1-C
4-alkoxy” as used herein refers to a corresponding group containing a "C
1-C
4-alkyl" group as defined herein and the term “C
1-C
2-alkoxy” as used herein refers to a corresponding group containing a "C
1-C
2-alkyl" group as defined herein. Examples of C
1-C
6-alkoxy include methoxy, ethoxy, n-propoxy, 1-methylethoxy, n-butoxy, 1-methylpropoxy, 2- methylpropoxy, 1,1-dimethylethoxy, n-pentoxy, 1-methylbutoxy, 2-methylbutoxy, 3-methylbutoxy, 2,2- dimethylpropoxy, 1-ethylpropoxy, 1,1-dimethylpropoxy, 1,2-dimethylpropoxy, n-hexyloxy, 1- methylpentoxy, 2-methylpentoxy, 3-methylpentoxy, 4-methylpentoxy, 1,1-dimethylbutoxy, 1,2- dimethylbutoxy, 1,3-dimethylbutoxy, 2,2-dimethylbutoxy, 2,3-dimethylbutoxy, 3,3-dimethylbutoxy, 1- ethylbutoxy, 2-ethylbutoxy, 1,1,2-trimethylpropoxy, 1,2,2-trimethylpropoxy, 1-ethyl-1-methylpropoxy and 1-ethyl-2-methylpropoxy. The term “C
1-C
4-haloalkoxy” as used herein refers to a C
1-C
4-alkoxy group as defined above in which one or more hydrogen atoms are replaced with halogen atoms that may be the same or different. Analogously, the term “C
1-C
2-haloalkoxy” as used herein refer to a corresponding group that contains 1 or 2 carbon atoms. Examples of C
1-C
4-haloalkoxy are chloromethoxy, bromomethoxy, dichloromethoxy, trichloromethoxy, fluoromethoxy, difluoromethoxy, trifluoromethoxy, chlorofluoromethoxy, dichlorofluoromethoxy, chlorodifluoromethoxy, 1-chloroethoxy, 1-bromoethoxy, 1-fluoroethoxy, 2- fluoroethoxy, 2,2-difluoroethoxy, 2,2,2-trifluoroethoxy, 2-chloro-2-fluoroethoxy, 2-chloro-2,2-   BCS223033 FC -4- difluoroethoxy, 2,2-dichloro-2-fluoroethoxy, 2,2,2-trichloroethoxy, pentafluoroethoxy and 1,1,1- trifluoroprop-2-oxy. The terms “C
2-C
6-alkenyloxy” and “C
3-C
6-alkenyloxy” refer to groups of the formulae (C
2-C
6-alkenyl)- O- and (C
3-C
6-alkenyl)-O-, respectively, in which the terms "C
2-C
6-alkenyl" and "C
3-C
6-alkenyl" are as defined herein. The term “C
3-C
6-haloalkenyloxy” as used herein refers to a C
3-C
6-alkenyloxy group as defined herein in which one or more hydrogen atoms are replaced with halogen atoms that may be the same or different. The terms “C
2-C
6-alkynyloxy” and “C
3-C
6-alkynyloxy” refer to groups of the formulae (C
2-C
6-alkynyl)- O- and (C
3-C
6-alkynyl)-O-, respectively, in which the terms "C
2-C
6-alkynyl" and "C
3-C
6-alkynyl" are as defined herein. The term “C
1-C
6-alkylsulfanyl” as used herein refers to a saturated, linear or branched group of formula (C
1-C
6-alkyl)-S-, in which the term "C
1-C
6-alkyl" is as defined herein. Analogously, the term “C
1-C
4- alkylsulfanyl” as used herein refers to a corresponding group containing a "C
1-C
4-alkyl" group as defined herein. Examples of C
1-C
6-alkylsulfanyl include methylsulfanyl, ethylsulfanyl, propylsulfanyl, isopropylsulfanyl, butylsulfanyl, sec-butylsulfanyl, isobutylsulfanyl, tert-butylsulfanyl, pentylsulfanyl, isopentylsulfanyl and hexylsulfanyl group. The term “C
1-C
6-alkylsulfonyl” as used herein refers to a linear or branched group of formula (C
1-C
6- alkyl)-S(=O)
2-, in which the term "C
1-C
6-alkyl" is as defined herein. Analogously, the term “C
1-C
4- alkylsulfonyl” as used herein refers to a corresponding group containing a "C
1-C
4-alkyl" group as defined herein. Examples of C
1-C
4-alkylsulfonyl include methylsulfonyl, ethylsulfonyl, propylsulfonyl, 1-methyl- ethylsulfonyl, butylsulfonyl, 1-methylpropylsulfonyl, 2-methylpropylsulfonyl and 1,1- dimethylethylsulfonyl. The term “C
1-C
6-alkylsulfonylamino” as used herein refers to a linear or branched group of formula (C
1- C
6-alkyl)-S(=O)
2-NH-, in which the term "C
1-C
6-alkyl" is as defined herein. The term “C
1-C
6-alkylcarbonyl” as used herein refers to a linear or branched group of formula (C
1-C
6- alkyl)-C(=O)-, in which the term "C
1-C
6-alkyl" is as defined herein. Analogously, the term “C
1-C
4- alkylcarbonyl” as used herein refers to corresponding groups that contains a C
1-C
4-alkyl group as defined herein. The term “C
1-C
4-haloalkylcarbonyl” as used herein refers to a C
1-C
4-alkylcarbonyl as defined above in which one or more hydrogen atoms are replaced with halogen atoms that may be the same or different.   BCS223033 FC -5- The term “C
1-C
6-alkylcarbonyloxy” as used herein refers to a linear or branched group of formula (C
1-C
6- alkyl)-C(=O)-O-, in which the term "C
1-C
6-alkyl" is as defined herein. Analogously, the term “C
1-C
4- alkylcarbonyloxy” as used herein refers to a corresponding group containing a C
1-C
4-alkyl group. The term “C
1-C
4-haloalkylcarbonyloxy” as used herein refers to a C
1-C
4-alkylcarbonyloxy as defined above in which one or more hydrogen atoms are replaced with halogen atoms that may be the same or different. The term “C
1-C
6-alkoxycarbonyl” as used herein refers to a linear or branched group of formula (C
1-C
6- alkoxy)-C(=O)-, in which the term "C
1-C
6-alkoxy" is as defined herein. Analogously, the term “C
1-C
4- alkoxycarbonyl” as used herein refer to a corresponding group containing a C
1-C
4-alkoxy group. The term “C
1-C
4-alkoxycarbonyloxy” as used herein refers to a linear or branched group of formula (C
1- C
4-alkoxy)-C(=O)-O-, in which the term "C
1-C
4-alkoxy" is as defined herein. The term “N-(C
1-C
4-alkyl)amino” as used herein refer to an amino radical having one C
1-C
4-alkyl group as defined herein. Examples of N-(C
1-C
4-alkyl)amino include but are not limited to N-methylamino, N- ethylamino, N-isopropylamino, N-n-propylamino, N-isopropylamino and N-tert-butylamino. The term “N,N-di(C
1-C
4-alkyl)amino” as used herein refers to an amino radical having two independently selected C
1-C
4-alkyl groups as defined herein. Examples of di-(C
1-C
4-alkyl)amino include but are not limited to N,N-dimethylamino, N,N-diethylamino, N,N-diisopropylamino, N-ethyl-N-methylamino, N- methyl-N-n-propylamino, N-isopropyl-N-n-propylamino and N-tert-butyl-N-methylamino. The term “N-(C
1-C
4-alkylcarbonyl)amino” as used herein refers to a group of the formula (C
1-C
4- alkylcarbonyl)-NH-, in which the term “C
1-C
4-alkylcarbonyl” is as defined herein. Analogously, the term “N-(C
1-C
2-alkylcarbonyl)amino” as used herein refer to a corresponding group containing a C
1-C
2- alkylcarbonyl group. The term “N-(C
1-C
4-alkyl)aminocarbonyl” as used herein refers to a group of the formula (C
1-C
4-alkyl)- NH-C(=O)-, in which the term “C
1-C
4-alkyl” is as defined herein. The term ”N,N-di(C
1-C
4-alkyl)aminocarbonyl” as used herein refers to a group of the formula (C
1-C
4- alkyl)
2N-C(=O)-, in which the two “C
1-C
4-alkyl” groups are as defined herein and can be the same or different. The term “C
3-C
6-cycloalkyl” as used herein refers to a saturated, monovalent, monocylic hydrocarbon ring which contains 3, 4, 5 or 6 carbon atoms. Examples of C
3-C
6-cycloalkyl include cyclopropyl, cyclobutyl, cyclopentyl and cyclohexyl.   BCS223033 FC -6- The term “C
3-C
6-cycloalkyloxy” as used herein refers to a group of formula (C
3-C
6-cycloalkyl)-O-, in which the term "C
3-C
6-cycloalkyl" is as defined herein. The term “C
3-C
6-cycloalkylamino” as used herein refers to a group of formula (C
3-C
6-cycloalkyl)-NH-, in which the term "C
3-C
6-cycloalkyl" is as defined herein. The term “C
3-C
6-cycloalkylcarbonyl” as used herein refers to a group of formula (C
3-C
6-cycloalkyl)- C(=O)-, in which the term "C
3-C
6-cycloalkyl" is as defined herein. The term “C
3-C
6-cycloalkylcarbonyloxy” as used herein refers to a group of formula (C
3-C
6-cycloalkyl)- C(=O)-O-, in which the term "C
3-C
6-cycloalkyl" is as defined herein. The term “aryl” as used herein refers to an aromatic hydrocarbon ring system in which all of the ring members, which vary from 6 to 14, preferably from 6 to 10, are carbon atoms. The ring system may be monocyclic or fused polycyclic (e.g. bicyclic or tricyclic). Examples of aryl include but are not limited to phenyl, azulenyl, naphthyl and fluorenyl. The aryl can be attached to the parent molecular moiety through any carbon atom. It is further understood that when said aryl group is substituted with one or more substituents, said substituent(s) may be at any positions on said aryl ring(s). Particularly, in the case of aryl being a phenyl group, said substituent(s) may occupy one or both ortho positions, one or both meta positions, or the para position, or any combination of these positions. The term “4- to 6-membered heterocyclyl” as used herein refers to a 4-, 5- or 6-membered monocyclic ring system containing 1, 2 or 3 heteroatoms independently selected from the group consisting of oxygen, nitrogen and sulfur where the ring system is saturated or unsaturated but not aromatic. For instance, the heterocycle may comprise one to three nitrogen atoms, or one or two oxygen atoms, or one or two sulfur atoms, or one to three nitrogen atoms and one oxygen atom, or one to three nitrogen atoms and a sulfur atom or one sulfur atom and one oxygen atom. Examples of saturated 4- to 6-membered heterocyclyl groups include 4-membered rings such as azetidinyl, oxetanyl and thietanyl, 5-membered rings such as tetrahydrofuranyl, 1,3-dioxolanyl, tetrahydrothienyl, pyrrolidinyl, pyrazolidinyl, imidazolidinyl, triazolidinyl, isoxazolidinyl, oxazolidinyl, oxadiazolidinyl, thiazolidinyl, isothiazolidinyl and thiadiazolidinyl, and 6-membered rings such as piperidinyl, hexahydropyridazinyl, hexahydropyrimidinyl, piperazinyl, triazinanyl, hexahydrotriazinyl, tetrahydropyranyl, dioxanyl, tetrahydrothiopyranyl, dithianyl, morpholinyl, 1,2-oxazinanyl, oxathianyl and thiomorpholinyl. Examples of unsaturated 4- to 6-membered heterocycles include but are not limited to 5-membered rings such as dihydrofuranyl, 1,3-dioxolyl, dihydrothienyl, pyrrolinyl, dihydroimidazolyl, dihydropyrazolyl, isoxazolinyl, dihydrooxazolyl and dihydrothiazolyl, and 6-membered rings such as pyranyl, thiopyranyl, thiazinyl and thiadiazinyl.   BCS223033 FC -7- The term “4- to 6-membered heterocyclylcarbonyloxy” as used herein refers to a group of formula (4- to 6-membered heterocyclyl)-C(=O)-O-, in which the term "4- to 6-membered heterocyclyl" is as defined herein. The term “5- to 14-membered heteroaryl” as used herein refers to an aromatic ring system comprising 1 to 4 heteroatoms independently selected from the group consisting of oxygen, nitrogen and sulfur. If the ring system contains more than one oxygen atom, they are not directly adjacent. Aromatic heterocycles include aromatic 5- or 6-membered monocyclic heterocycles and 6- to 14-membered polycyclic (e.g. bicyclic or tricyclic) aromatic heterocycles. The 5- to 14-membered aromatic heterocycle can be connected to the parent molecular moiety through any carbon atom or nitrogen atom contained within the heterocycle. The term “5- or 6-membered heteroaryl” as used herein refers to a 5- or 6-membered monocyclic, aromatic ring system containing 1, 2, 3 or 4 heteroatoms independently selected from the group consisting of oxygen, nitrogen and sulfur. Examples of 5-membered heteroaryls include but are not limited to furyl (furanyl), thienyl, pyrrolyl, pyrazolyl, imidazolyl, triazolyl, tetrazolyl, isoxazolyl, oxazolyl, oxadiazolyl, oxatriazolyl, isothiazolyl, thiazolyl, thiadiazolyl and thiatriazolyl. Examples of 6-membered heteroaryls include but are not limited to pyridinyl, pyridazinyl, pyrimidinyl, pyrazinyl, triazinyl, tetrazinyl. The term “6- to 14-membered polycyclic heteroaryl” as used herein refers to a 6-, 7-, 8-, 9-, 10-, 11-, 12-, 13- or 14-membered polycyclic (e.g. bicyclic or tricyclic), aromatic ring system containing 1, 2 or 3 heteroatoms independently selected from the group consisting of oxygen, nitrogen and sulfur. 6- to 14- membered polycyclic heteroaryls may consist of a 5- or 6-membered heteroaryl as defined herein fused to an aryl (e.g. phenyl) or to a 5- or 6-membered heteroaryl. Examples of bicyclic heteroaryls include but are not limited to 9-membered rings such as indolyl, indolizinyl, isoindolyl, benzimadozolyl, imidazopyridinyl, indazolyl, benzotriazolyl, purinyl, benzofuranyl, benzothiophenyl, benzothiazolyl, benzoxazolyl and benzisoxazolyl and 10-membered rings such as quinolinyl, isoquinolinyl, cinnolinyl, quinazolinyl, quinoxalinyl, phthalazinyl, naphthyridinyl, pteridinal and benzodioxinyl. In 9- or 10- membered bicyclic heteroaryls comprising two fused 5- or 6-membered heteroaryls, nitrogen atom may be at the bridgehead (e.g. imidazo[1,2-a]pyridinyl, [1,2,4]triazolo[4,3-a]pyridinyl, imidazo[1,2- a]pyridinyl, imidazo[2,1-b]oxazolyl, furo[2,3-d]isoxazolyl). Examples of tricyclic heteroaryls include but are not limited to carbazolyl, acridinyl and phenazinyl. Unless defined otherwise, the definitions for collective terms also apply to these collective terms in composite moieties. For example, the terms “4- to 6-membered heterocyclyl-C
1-C
2-alkyl”, “4- to 6- membered heterocyclylcarbonyloxy-C
1-C
2-alkyl”, “5- or 6-membered heteroaryl-C
1-C
2-alkyl”, “C
3-C
6- cycloalkyl-C
1-C
2-alkyl” and “C
3-C
6-cycloalkylcarbonyloxy-C
1-C
2-alkyl” as used herein refer a C
1-C
2- alkyl as defined above, wherein one hydrogen atom is replaced with a 4- to 6-membered heterocyclyl, 4- to 6-membered heterocyclylcarbonyloxy, 5- or 6-membered heteroaryl, C
3-C
6-cycloalkyl or C
3-C
6-   BCS223033 FC -8- cycloalkylcarbonyloxy radical as defined above respectively, and the terms “C
1-C
4-alkoxy-C
1-C
4-alkyl”, “C
1-C
4-haloalkoxy-C
1-C
4-alkyl”, and “C
1-C
4-alkylsulfanyl-C
1-C
4-alkyl”, as used herein refer a C
1-C
4- alkyl as defined above, wherein one hydrogen atom is replaced with a C
1-C
4-alkoxy, C
1-C
4-haloalkoxy or C
1-C
4-alkylsulfanyl as defined above respectively. In the substituents “-C(=O)R
5”, “-C(=O)OR
6”, “C(=O)NR
7R
8” and “-S(=O)
2R
5” the “-“ at the beginning indicates the connection to group NR
3 of the parent moiety. As used herein, when a group is said to be “substituted”, the group may be substituted with one or more substituents. The expression “one or more substituents” refers to a number of substituents that ranges from one to the maximum number of substituents possible based on the number of available bonding sites, provided that the conditions of stability and chemical feasibility are met. The term “composite moiety” as used herein is to be understood as meaning a moiety that is composed of at least two smaller moieties as defined herein, such as “C
1-C
4-alkoxy-C
1-C
4-alkoxy-C
1-C
6-alkyl”, “C
1- C
4-alkylcarbonyloxy-C
1-C
4-alkyl”, “C
1-C
4-haloalkylcarbonyloxy-C
1-C
4-alkyl”, “C
1-C
4- alkoxycarbonyloxy-C
1-C
4-alkyl”, “C
3-C
6-cycloalkyl-C
1-C
2-alkyl”, “C
3-C
6-cycloalkyl-C
1-C
2-alkoxy”, “C
3-C
6-cycloalkylcarbonyloxy-C
1-C
2-alkyl”, “5- or 6-membered heteroaryl-C
1-C
2-alkyl”, “5- or 6- membered heteroaryl-C
1-C
2-alkoxy”, “4- to 6-membered heterocyclyl-C
1-C
2-alkyl”, “4- to 6-membered heterocyclyl-C
1-C
2-alkoxy”, “4- to 6-membered heterocyclylcarbonyloxy-C
1-C
2-alkyl” and the like, or a moiety that is composed of one smaller moiety as defined herein and one further moiety such as phenyl- C
1-C
2-alkyl or phenylcarbonyloxy-C
1-C
2-alkyl. The term “leaving group” as used herein is to be understood as meaning a group which is displaced from a compound in a substitution or an elimination reaction, for example a halogen atom, a trifluoromethanesulfonate (“triflate”) group, alkoxy, methanesulfonate, p-toluenesulfonate, etc. The terms "as described herein" when referring to a variable A, R
1, R
2, R
3 or R
4 incorporates by reference the broad definition of the variable as well as preferred, more preferred and even more preferred definitions, if any. DETAILED DESCRIPTION The present invention relates to compounds of formula (I)
 (I)   BCS223033 FC -9- wherein A is selected from the group consisting of
 wherein n is 0, 1 or 2, and where the bond identified by “x” is bonded directly to the oxadiazol ring and the bond identified by “y” is bonded directly to the CR
1R
2 group, R
1 and R
2 are independently selected from the group consisting of hydrogen, C
1-C
4-alkyl, halogen, trifluoromethyl and difluoromethyl, or R
1 and R
2 form, together with the carbon atom to which they are linked, a cyclopropyl ring, which is unsubstituted or substituted with one to three halogen atoms; R
3 is hydrogen, hydroxy, C
1-C
4-alkyl, C
1-C
4-haloalkyl, C
1-C
4-alkoxy, hydroxy-C
1-C
4-alkyl, C
1- C
2-alkoxy-C
1-C
4-alkyl, C
1-C
2-haloalkoxy-C
1-C
4-alkyl, C
3-C
6-alkenyl, C
3-C
6-alkynyl, C
3-C
6- alkenyloxy; C
3-C
6-alkynyloxy, C
3-C
6-haloalkenyl, C
3-C
6-haloalkenyloxy, N-(C
1-C
4- alkyl)amino, N,N-di(C
1-C
4-alkyl)amino, C
1-C
4-alkylcarbonyl, C
1-C
4-haloalkylcarbonyl, C
1- C
4-alkoxycarbonyl, C
1-C
4-alkylcarbonyloxy, C
1-C
4-haloalkylcarbonyloxy, C
1-C
4- alkoxycarbonyloxy, C
1-C
4-alkylcarbonyloxy-C
1-C
4-alkyl, C
1-C
4-haloalkylcarbonyloxy-C
1-   BCS223033 FC -10- C
4-alkyl, C
1-C
4-alkoxycarbonyloxy-C
1-C
4-alkyl, C
3-C
6-cycloalkyl, C
3-C
6-cycloalkyl-C
1-C
2- alkyl, C
3-C
6-cycloalkyl-C
1-C
2-alkoxy, C
3-C
6-cycloalkyloxy, C
3-C
6-cycloalkylamino, C
3-C
6- cycloalkylcarbonyl, C
3-C
6-cycloalkylcarbonyloxy, C
3-C
6-cycloalkylcarbonyloxy-C
1-C
2-alkyl, phenyl, phenyl-C
1-C
2-alkyl, phenyl-C
1-C
2-alkoxy, phenoxy, phenylcarbonyloxy, phenylcarbonyloxy-C
1-C
2-alkyl, 5- or 6-membered heteroaryl, 5- or 6-membered heteroaryl- C
1-C
2-alkyl, 5- or 6-membered heteroaryl-C
1-C
2-alkoxy, 4- to 6-membered heterocyclyl, 4- to 6-membered heterocyclyl-C
1-C
2-alkyl, 4- to 6-membered heterocyclyl-C
1-C
2-alkoxy, 4- to 6- membered heterocyclylcarbonyloxy or 4- to 6-membered heterocyclylcarbonyloxy-C
1-C
2- alkyl; wherein any of said C
3-C
6-cycloalkyl, C
3-C
6-cycloalkyloxy, C
3-C
6-cycloalkylamino, C
3-C
6- cycloalkylcarbonyl, C
3-C
6-cycloalkylcarbonyloxy, phenyl, phenoxy, phenylcarbonyloxy, 5- or 6-membered heteroaryl and 4- to 6-membered heterocyclyl and 4- to 6-membered heterocyclylcarbonyloxy moieties, in each case as such or as part of a composite moiety, are optionally substituted with one to three substituents which are each independently selected from cyano, halogen, C
1-C
4-alkyl, C
1-C
4-haloalkyl, C
1-C
4-alkoxy, and C
1-C
4-haloalkoxy; and R
4 is -C(=O)R
5, -C(=O)OR
6, C(=O)NR
7R
8 or -S(=O)
2R
5, R
5 is hydrogen, C
1-C
6-alkyl, C
1-C
6-haloalkyl, hydroxy-C
1-C
6-alkyl, hydroxy-C
1-C
6-haloalkyl, cyano-C
1-C
6-alkyl, amino-C
1-C
6-alkyl, N-(C
1-C
4-alkyl)amino-C
1-C
6-alkyl, N,N-di(C
1-C
4- alkyl)amino-C
1-C
6-alkyl, C
1-C
4-alkoxy-C
1-C
6-alkyl, C
1-C
4-haloalkoxy-C
1-C
6-alkyl, C
1-C
4- alkoxy-C
1-C
4-alkoxy-C
1-C
6-alkyl, C
2-C
6-alkenyl, C
2-C
6-haloalkenyl, C
2-C
6-alkynyl, C
2-C
6- alkenyloxy-C
1-C
6-alkyl, C
2-C
6-alkynyloxy-C
1-C
6-alkyl, C
1-C
6-alkylcarbonyl-C
1-C
6-alkyl, C
1- C
6-alkylcarbonyl-C
2-C
6-alkenyl, C
1-C
6-alkoxycarbonyl-C
1-C
6-alkyl, C
1-C
6-alkylcarbonyloxy- C
1-C
6-alkyl, N-(C
1-C
4-alkylcarbonyl)amino-C
1-C
6-alkyl, N-(C
1-C
4-alkyl)aminocarbonyl-C
1- C
6-alkyl, N,N-di(C
1-C
4-alkyl)aminocarbonyl-C
1-C
6-alkyl, C
1-C
6-alkylsulfanyl-C
1-C
6-alkyl, C
1-C
6-alkylsulfonyl-C
1-C
6-alkyl, C
1-C
6-alkylsulfonylamino-C
1-C
6-alkyl, C
3-C
6-cycloalkyl, 4- to 6-membered heterocyclyl, 5- to 14-membered heteroaryl, 5- or 6-membered heteroaryl-C
1- C
2-alkyl, aryl or benzyl, wherein any of said C
3-C
6-cycloalkyl, 4- to 6-membered heterocyclyl, 5- to 14-membered heteroaryl, 5- or 6-membered heteroaryl, aryl and benzyl moieties are optionally substituted with one to three substituents which are each independently selected from cyano, halogen, C
1- C
4-alkyl, C
1-C
4-haloalkyl, C
1-C
4-alkoxy, C
1-C
4-haloalkoxy, C
1-C
4-alkylsulfonyl and C
1-C
4- alkylcarbonylamino or with two vicinal substituents which together form a –(C
3-C
4-alkylene)- or -O-(C
1-C
2-alkylene)-O- group,   BCS223033 FC -11- R
6 is hydrogen, C
1-C
6-alkyl, C
1-C
6-haloalkyl, hydroxy-C
1-C
6-alkyl, cyano-C
1-C
6-alkyl, amino- C
1-C
6-alkyl, N-(C
1-C
4-alkyl)amino-C
1-C
6-alkyl, N,N-di(C
1-C
4-alkyl)amino-C
1-C
6-alkyl, C
1- C
4-alkoxy-C
1-C
6-alkyl, C
1-C
4-haloalkoxy-C
1-C
6-alkyl, C
1-C
4-alkoxy-C
1-C
4-alkoxy-C
1-C
6- alkyl, C
3-C
6-alkenyl, C
3-C
6-haloalkenyl, C
3-C
6-alkynyl, C
2-C
6-alkenyloxy-C
1-C
6-alkyl, C
2-C
6- alkynyloxy-C
1-C
6-alkyl, C
1-C
6-alkylcarbonyl-C
1-C
6-alkyl, C
1-C
6-alkylcarbonyl-C
2-C
6- alkenyl, C
1-C
6-alkoxycarbonyl-C
1-C
6-alkyl, C
1-C
6-alkylcarbonyloxy-C
1-C
6-alkyl, N-(C
1-C
4- alkyl)aminocarbonyl-C
1-C
6-alkyl, N,N-di(C
1-C
4-alkyl)aminocarbonyl-C
1-C
6-alkyl, C
1-C
6- alkylsulfanyl-C
1-C
6-alkyl, C
1-C
6-alkylsulfonyl-C
1-C
6-alkyl, C
1-C
6-alkylsulfonylamino-C
1-C
6- alkyl, or C
3-C
6-cycloalkyl, R
7 is hydrogen, cyano, C
1-C
6-alkyl, C
1-C
6-haloalkyl, hydroxy-C
1-C
6-alkyl, cyano-C
1-C
6-alkyl, amino-C
1-C
6-alkyl, N-(C
1-C
4-alkyl)amino-C
1-C
6-alkyl, N,N-di(C
1-C
4-alkyl)amino-C
1-C
6- alkyl, C
1-C
4-alkoxy-C
1-C
6-alkyl, C
1-C
4-haloalkoxy-C
1-C
6-alkyl, C
1-C
4-alkoxy-C
1-C
4-alkoxy- C
1-C
6-alkyl, C
2-C
6-alkenyl, C
2-C
6-haloalkenyl, C
2-C
6-alkynyl, C
2-C
6-alkenyloxy-C
1-C
6-alkyl, C
2-C
6-alkynyloxy-C
1-C
6-alkyl, C
1-C
6-alkylcarbonyl-C
1-C
6-alkyl, C
1-C
6-alkylcarbonyl-C
2-C
6- alkenyl, C
1-C
6-alkoxycarbonyl-C
1-C
6-alkyl, C
1-C
6-alkylcarbonyloxy-C
1-C
6-alkyl, N-(C
1-C
4- alkyl)aminocarbonyl-C
1-C
6-alkyl, N,N-di(C
1-C
4-alkyl)aminocarbonyl-C
1-C
6-alkyl, C
1-C
6- alkylsulfanyl-C
1-C
6-alkyl, C
1-C
6-alkylsulfonyl-C
1-C
6-alkyl, C
1-C
6-alkylsulfonylamino-C
1-C
6- alkyl or benzyl, wherein the benzyl is optionally substituted with a 5-or 6-membered heteroaryl which is unsubstituted or substituted with one C
1-C
4-alkyl or C
1-C
4-haloalkyl substituent, and R
8 is hydrogen, C
1-C
4-alkyl, C
1-C
4-alkoxy, C
1-C
4-alkoxy-C
1-C
4-alkyl, C
3-C
6-alkenyloxy or C
3- C
6-alkynyloxy, or R
7 and R
8 together with the nitrogen to which they are bonded, form an imidazol ring or a 4- to 6- membered heterocyclyl, wherein the heterocyclyl may contain a further heteroatom moiety selected from O, S and NR
9, and R
9 is hydrogen, methyl, methoxy, formyl or acetyl; or a salt, N-oxide or solvate thereof. Not included are arrangements of atoms which are against natural laws and which the person skilled in the art would therefore exclude based on his/her expert knowledge. Ring structures having three or more adjacent oxygen atoms, for example, are excluded. It has been surprisingly found that the compounds of formula (I) according to the invention exhibit high fungicidal efficacy but are not effective at inhibiting human HDAC. The inhibiting properties of a   BCS223033 FC -12- compound of the invention towards human HDAC4 and/or human HDAC6 can be evaluated according to the two-step fluorogenic HDAC assay known from Wegener D. et al., Analytical Biochemistry 321 (2003): 202-208). According to the invention, the compounds of formula (I) can be used for controlling harmful microorganisms, in particular phytopathogenic fungi, in crop protection. Preferably, the phytopathogenic fungi are selected from the group consisting of the Puccinia species, for example Puccinia recondita, Puccinia graminis or Puccinia striiformis; the Uromyces species, for example Uromyces appendiculatus; and the rust disease pathogens, in particular selected from the group consisting of the Gymnosporangium species, for example Gymnosporangium sabinae; Hemileia species, for example Hemileia vastatrix, and Phakopsora species, for example Phakopsora pachyrhizi or Phakopsora meibomiae. Especially preferred are the rust disease pathogens, in particular Phakopsora pachyrhizi and Phakopsora meibomiae. Depending on the nature of the substituents, the compound of the invention may be present in the form of different stereoisomers. These stereoisomers are, for example, enantiomers, diastereomers, atropisomers or geometric isomers. Accordingly, the invention encompasses both pure stereoisomers and any mixture of these isomers. Where a compound can be present in two or more tautomer forms in equilibrium, reference to the compound by means of one tautomeric description is to be considered to include all tautomer forms. Any of the compounds of the present invention can also exist in one or more geometric isomer forms depending on the number of double bonds in the compound. Geometric isomers by nature of substituents about a double bond or a ring may be present in cis (= Z-) or trans (= E-) form. The invention thus relates equally to all geometric isomers and to all possible mixtures, in all proportions. Depending on the nature of the substituents, the compound of the invention may be present in the form of the free compound or an agrochemically active salt or N-oxide thereof. Agrochemically active salts include acid addition salts of inorganic and organic acids well as salts of customary bases. Examples of inorganic acids are hydrohalic acids, such as hydrogen fluoride, hydrogen chloride, hydrogen bromide and hydrogen iodide, sulfuric acid, phosphoric acid and nitric acid, and acidic salts, such as sodium bisulfate and potassium bisulfate. Useful organic acids include, for example, formic acid, carbonic acid and alkanoic acids such as acetic acid, trifluoroacetic acid, trichloroacetic acid and propionic acid, and also glycolic acid, thiocyanic acid, lactic acid, succinic acid, citric acid, benzoic acid, cinnamic acid, oxalic acid, saturated or mono- or diunsaturated fatty acids having 6 to 20 carbon atoms, alkylsulphuric monoesters, alkylsulphonic acids (sulphonic acids having straight-chain or branched alkyl radicals having 1 to 20 carbon atoms), arylsulphonic acids or aryldisulphonic acids (aromatic radicals, such as phenyl and naphthyl, which bear one or two sulphonic acid groups), alkylphosphonic acids (phosphonic acids having straight-chain or branched alkyl radicals having 1 to 20 carbon atoms),   BCS223033 FC -13- arylphosphonic acids or aryldiphosphonic acids (aromatic radicals, such as phenyl and naphthyl, which bear one or two phosphonic acid radicals), where the alkyl and aryl radicals may bear further substituents, for example p-toluenesulphonic acid, salicylic acid, p-aminosalicylic acid, 2-phenoxybenzoic acid, 2- acetoxybenzoic acid. N-oxides can be obtained in a simple manner by customary processes, for example by N-oxidation with hydrogen peroxide (H
2O
2), peracids, for example peroxy sulfuric acid or peroxy carboxylic acids, such as meta-chloroperoxybenzoic acid or peroxymonosulfuric acid (Caro´s acid). E.g. the corresponding N-oxides may be prepared starting from the respective compounds using conventional oxidation methods, e.g. by treating the compounds with an organic peracid such as metachloroperbenzoic acid (e.g. WO-A 2003/64572 or J. Med. Chem.38 (11), 1892-1903, 1995); or with inorganic oxidizing agents such as hydrogen peroxide (e.g. J. Heterocyc. Chem.18 (7), 1305-1308, 1981) or oxone (e.g. J. Am. Chem. Soc. 123 (25), 5962-5973, 2001). The oxidation may lead to pure mono-N- oxides or to a mixture of different N-oxides, which can be separated by conventional methods such as chromatography. The compound of the invention may exist in multiple crystalline and/or amorphous forms. Crystalline forms include unsolvated crystalline forms, solvates and hydrates. Solvates of the compounds of the invention or their salts are stoichiometric compositions of the compounds with solvents. Compounds of formula (I) are herein also referred to as “active ingredient(s)”. Preferably, in the above formula (I), A is A
1, A
2, A
4, A
6, A
8 or A
12, and n is 0 or 1. More preferably, in the above formula (I), A is A
1, A
2 or A
8, and n is 0 or 1. In some embodiments, in the above formula (I), A is A
1 or A
8, and n is 0 or 1. In some other embodiments, in the above formula (I), A is A
1 or A
2. In some other embodiments, in the above formula (I), A is A
8. Preferably, in the above formula (I), R
1 and R
2 are independently selected from hydrogen, methyl and ethyl, or R
1 and R
2 form, together with the carbon atom to which they are linked, a cyclopropyl ring. More preferably, in the above formula (I), R
1 is hydrogen, methyl or ethyl, and R
2 is hydrogen. In some embodiments, in the above formula (I), R
1 and R
2 are hydrogen.   BCS223033 FC -14- Preferably, in the above formula (I), R
3 is hydrogen, hydroxy, C
1-C
4-alkyl, C
1-C
4-haloalkyl, C
1-C
4- alkoxy, C
1-C
4-alkoxycarbonyloxy, C
1-C
4-alkylcarbonyl, C
1-C
4-alkoxycarbonyl, C
3-C
6-cycloalkyl, C
3-C
6- cycloalkylamino, C
3-C
6-cycloalkyloxy or phenoxy. More preferably, in the above formula (I), R
3 is hydrogen, hydroxy, C
1-C
4-alkyl, C
1-C
4-alkoxy, C
1-C
4- alkoxycarbonyloxy, C
3-C
4-cycloalkyl, C
3-C
4-cycloalkyloxy or phenoxy. Most preferably, in the above formula (I), R
3 is hydrogen, hydroxy, methyl, ethyl, isopropyl, methoxy, ethoxy, iso-propoxy, methoxycarbonyloxy, ethoxycarbonyloxy, isopropylcarbonyloxy, tert- butylcarbonyloxy, cyclopropyl, cyclobutyl, cyclopropyloxy or phenoxy. Preferably, in the above formula (I), R
4 is -C(=O)R
5, -C(=O)OR
6 or C(=O)NR
7R
8. In some embodiments, in the above formula (I), R
4 is -C(=O)R
5. In some other embodiments, R
4 is -C(=O)OR
6 or C(=O)NR
7R
8. Preferably, in the above formula (I), R
5 is C
1-C
6-alkyl, C
1-C
6-haloalkyl, C
1-C
4-alkoxy-C
1-C
4-alkyl, C
1-C
4-haloalkoxy-C
1-C
4-alkyl, C
1- C
4-alkoxy-C
1-C
4-alkoxy-C
1-C
4-alkyl, C
1-C
4-alkoxycarbonyl-C
1-C
2-alkyl, C
3-C
6-cycloalkyl, phenyl, benzyl or 5- or 6-membered heteroaryl, wherein said C
3-C
6-cycloalkyl, phenyl, benzyl and 5- or 6-membere heteroaryl moieties are optionally substituted with one to three substituents independently selected from cyano, halogen, C
1-C
4-alkyl, C
1-C
4-haloalkyl, C
1-C
4-alkoxy, C
1-C
4-haloalkoxy, C
1-C
4-alkylsulfonyl and C
1-C
4-alkylcarbonylamino, R
6 is hydrogen, C
1-C
6-alkyl, C
1-C
6-haloalkyl, hydroxy-C
1-C
6-alkyl, cyano-C
1-C
6-alkyl, amino- C
1-C
6-alkyl, C
1-C
4-alkoxy-C
1-C
4-alkyl, C
1-C
4-haloalkoxy-C
1-C
4-alkyl, C
1-C
4-alkoxy-C
1-C
4- alkoxy-C
1-C
4-alkyl, C
3-C
6-alkenyl, C
3-C
6-haloalkenyl, C
3-C
6-alkynyl or C
3-C
6-cycloalkyl, R
7 is hydrogen, cyano, C
1-C
6-alkyl, C
1-C
6-haloalkyl, hydroxy-C
1-C
6-alkyl, cyano-C
1-C
6-alkyl, amino-C
1-C
6-alkyl, C
1-C
4-alkoxy-C
1-C
4-alkyl, C
2-C
6-alkenyl, C
2-C
6-haloalkenyl, C
2-C
6- alkynyl, C
1-C
4-alkylsulfanyl-C
1-C
4-alkyl or benzyl, wherein the benzyl is optionally substituted with oxadiazolyl which is unsubstituted or substituted with one C
1-C
4-alkyl or C
1-C
4-haloalkyl substituent, R
8 is hydrogen, C
1-C
4-alkyl or C
1-C
4-alkoxy, or R
7 and R
8 together with the nitrogen to which they are bonded, form a imidazol ring or a 5- or 6- membered saturated heterocyclyl, which may contain a further heteroatom moiety selected from O, S and NR
9, and R
9 is hydrogen, methyl, methoxy, formyl or acetyl. More preferably, in the above formula (I),   BCS223033 FC -15- R
5 is C
1-C
4-alkyl, C
1-C
4-haloalkyl, C
1-C
4-alkoxy-C
1-C
4-alkyl, C
1-C
4-haloalkoxy-C
1-C
4-alkyl or C
1-C
4-alkoxy-C
1-C
4-alkoxy-C
1-C
4-alkyl, C
1-C
4-alkoxycarbonyl-C
1-C
2-alkyl or C
3-C
6- cycloalkyl, R
6 is C
1-C
6-alkyl or C
3-C
4-cycloalkyl, R
7 is hydrogen or C
1-C
6-alkyl, and R
8 is C
1-C
4-alkyl or C
1-C
4-alkoxy, or R
7 and R
8 together with the nitrogen to which they are bonded, form an imidazol ring. Most preferably, in the above formula (I), R
5 is methyl, ethyl, n-propyl, iso-propyl, n-butyl, sec-butyl, iso-butyl, tert-butyl, fluoromethyl, 2,2,2-trifluoroethyl, methoxymethyl, ethoxymethyl, 1-methoxyethyl, 2-methoxyethyl, methoxycarbonylmethyl or cyclopropyl, in particular methyl ethyl, methoxymethyl, ethoxymethyl, 1-methoxyethyl or 2-methoxyethyl; R
6 is methyl, ethyl, n-propyl, isopropyl, tert-butyl or cyclopropyl; R
7 is hydrogen, methyl or ethyl, and R
8 is methyl, ethyl, methoxy or ethoxy, or R
7 and R
8 together with the nitrogen to which they are bonded, form an imidazol ring. The above-mentioned preferences with regard to the substituents of the compounds according to the invention can be combined in various manners. These combinations of preferred features thus provide sub-classes of compounds according to the invention. Examples of such sub-classes of preferred compounds according to the invention are: - preferred features of A with one or more preferred features of R
1, R
2 and R
3 and R
4; - preferred features of R
1 and R
2 with one or more preferred features of A, R
3 and R
4; - preferred features of R
3 with one or more preferred features of A, R
1, R
2 and R
4; - preferred features of R
4 with one or more preferred features of A, R
1, R
2 and R
3. In these combinations of preferred features of the substituents of the compounds according to the invention, the said preferred features can also be selected among the more preferred features of each of A, R
1, R
2, R
3 and R
4 so as to form more preferred subclasses of compounds according to the invention. This also applies to the preferences with regard to the substituents of the compounds according to the embodiments (Ia), (Ib) and (Ic) mentioned below. In some preferred embodiments, in the above formula (I), A is A
1, A
2, A
4, A
6, A
8 or A
12, n is 0 or 1, R
1 and R
2 are independently selected from hydrogen, methyl and ethyl, or R
1 and R
2 form, together with the carbon atom to which they are linked, a cyclopropyl ring,   BCS223033 FC -16- R
3 is hydrogen, hydroxy, C
1-C
4-alkyl, C
1-C
4-haloalkyl, C
1-C
4-alkoxy, C
1-C
4-alkoxycarbonyloxy, C
1-C
4-alkylcarbonyl, C
1-C
4-alkoxycarbonyl, C
3-C
6-cycloalkyl, C
3-C
6-cycloalkylamino, C
3-C
6- cycloalkyloxy or phenoxy, R
4 is -C(=O)R
5, -C(=O)OR
6, C(=O)NR
7R
8 or -S(=O)
2R
5, wherein R
5 is C
1-C
6-alkyl, C
1-C
6-haloalkyl, C
1-C
4-alkoxy-C
1-C
4-alkyl, C
1-C
4-haloalkoxy-C
1-C
4-alkyl, C
1- C
4-alkoxy-C
1-C
4-alkoxy-C
1-C
4-alkyl, C
1-C
4-alkoxycarbonyl-C
1-C
2-alkyl, C
3-C
6-cycloalkyl, phenyl, benzyl or 5- or 6-membered heteroaryl, wherein said C
3-C
6-cycloalkyl, phenyl, benzyl and 5- or 6-membere heteroaryl moieties are optionally substituted with one to three substituents independently selected from cyano, halogen, C
1-C
4-alkyl, C
1-C
4-haloalkyl, C
1-C
4-alkoxy, C
1-C
4-haloalkoxy, C
1-C
4-alkylsulfonyl and C
1-C
4- alkylcarbonylamino, R
6 is C
1-C
6-alkyl, C
1-C
6-haloalkyl, C
1-C
4-alkoxy-C
1-C
4-alkyl, C
1-C
4-haloalkoxy-C
1-C
4-alkyl, C
3- C
6-alkenyl, C
3-C
6-haloalkenyl, C
3-C
6-alkynyl or C
3-C
4-cycloalkyl, R
7 is hydrogen, C
1-C
6-alkyl, C
1-C
6-haloalkyl and C
1-C
4-alkoxy-C
1-C
4-alkyl, and R
8 is C
1-C
4-alkyl or C
1-C
4-alkoxy, or R
7 and R
8 together with the nitrogen to which they are bonded, form a pyrazole or imidazol ring. In some of these preferred embodiments, A is A
1, A
2 or A
8. In some of these preferred embodiments R
4 is -C(=O)R
5, -C(=O)OR
6 or C(=O)NR
7R
8. In some of these preferred embodiments, A is A
1, A
2 or A
8, and R
4 is -C(=O)R
5, -C(=O)OR
6 or C(=O)NR
7R
8. In some more preferred embodiments, in the above formula (I), A is A
1, A
2 or A
8, n is 0 or 1, R
1 and R
2 are independently selected from hydrogen, methyl and ethyl, R
3 is hydrogen, hydroxy, C
1-C
4-alkyl, C
1-C
4-alkoxy, C
1-C
4-alkoxycarbonyloxy, C
3-C
4-cycloalkyl, C
3-C
4-cycloalkyloxy or phenoxy, R
4 is -C(=O)R
5, -C(=O)OR
6 or C(=O)NR
7R
8, wherein R
5 is C
1-C
6-alkyl, C
1-C
6-haloalkyl, C
1-C
4-alkoxy-C
1-C
4-alkyl, C
1-C
4-haloalkoxy-C
1-C
4-alkyl, C
1- C
4-alkoxy-C
1-C
4-alkoxy-C
1-C
4-alkyl, C
1-C
4-alkoxycarbonyl-C
1-C
2-alkyl or C
3-C
6-cycloalkyl, R
6 is C
1-C
6-alkyl or C
3-C
4-cycloalkyl, R
7 is hydrogen or C
1-C
6-alkyl, and R
8 is C
1-C
4-alkyl or C
1-C
4-alkoxy, or R
7 and R
8 together with the nitrogen to which they are bonded, form an imidazol ring. In some particularly preferred embodiments, in the above formula (I), A is A
1 or A
8, n is 0 or 1, R
1 is hydrogen, methyl or ethyl,   BCS223033 FC -17- R
2 is hydrogen, R
3 is hydrogen, hydroxy, methyl, ethyl, isopropyl, methoxy, ethoxy, iso-propoxy, methoxycarbonyloxy, ethoxycarbonyloxy, isopropylcarbonyloxy, tert-butylcarbonyloxy, cyclopropyl, cyclobutyl, cyclopropyloxy or phenoxy, R
4 is -C(=O)R
5, -C(=O)OR
6 or C(=O)NR
7R
8, wherein R
5 is methyl, ethyl, n-propyl, iso-propyl, n-butyl, sec-butyl, iso-butyl, tert-butyl, fluoromethyl, 2,2,2-trifluoroethyl, methoxymethyl, ethoxymethyl, 1-methoxyethyl, 2-methoxyethyl, methoxycarbonylmethyl or cyclopropyl, in particular methyl ethyl, methoxymethyl, ethoxymethyl, 1-methoxyethyl or 2-methoxyethyl; R
6 is methyl, ethyl, n-propyl, isopropyl, tert-butyl or cyclopropyl; R
7 is hydrogen, methyl or ethyl, and R
8 is methyl, ethyl, methoxy or ethoxy, or R
7 and R
8 together with the nitrogen to which they are bonded, form an imidazol ring. In some embodiments (referred herein as embodiment Ia), the compounds of formula (I) according to the present invention are compounds of the formula (Ia) or salts, N-oxides or solvates thereof,
 wherein R
1 and R
2 are independently selected from hydrogen, methyl and ethyl, or R
1 and R
2 form, together with the carbon atom to which they are linked, a cyclopropyl ring, R
3 is hydrogen, hydroxy, C
1-C
4-alkyl, C
1-C
4-haloalkyl, C
1-C
4-alkoxy, C
1-C
4-alkoxycarbonyloxy, C
1-C
4-alkylcarbonyl, C
1-C
4-alkoxycarbonyl, C
3-C
6-cycloalkyl, C
3-C
6-cycloalkylamino, C
3-C
6- cycloalkyloxy or phenoxy, R
4 is -C(=O)R
5, -C(=O)OR
6, C(=O)NR
7R
8 or -S(=O)
2R
5, wherein R
5 is C
1-C
6-alkyl, C
1-C
6-haloalkyl, C
1-C
4-alkoxy-C
1-C
4-alkyl, C
1-C
4-haloalkoxy-C
1-C
4-alkyl, C
1- C
4-alkoxy-C
1-C
4-alkoxy-C
1-C
4-alkyl, C
1-C
4-alkoxycarbonyl-C
1-C
2-alkyl, C
3-C
6-cycloalkyl, phenyl, benzyl or 5- or 6-membered heteroaryl,   BCS223033 FC -18- wherein said C
3-C
6-cycloalkyl, phenyl, benzyl and 5- or 6-membere heteroaryl moieties are optionally substituted with one to three substituents independently selected from cyano, halogen, C
1-C
4-alkyl, C
1-C
4-haloalkyl, C
1-C
4-alkoxy, C
1-C
4-haloalkoxy, C
1-C
4-alkylsulfonyl and C
1-C
4- alkylcarbonylamino, R
6 is C
1-C
6-alkyl, C
1-C
6-haloalkyl, C
1-C
4-alkoxy-C
1-C
4-alkyl, C
1-C
4-haloalkoxy-C
1-C
4-alkyl, C
3- C
6-alkenyl, C
3-C
6-haloalkenyl, C
3-C
6-alkynyl or C
3-C
4-cycloalkyl, R
7 is hydrogen, C
1-C
6-alkyl, C
1-C
6-haloalkyl and C
1-C
4-alkoxy-C
1-C
4-alkyl, R
8 is C
1-C
4-alkyl or C
1-C
4-alkoxy, or R
7 and R
8 together with the nitrogen to which they are bonded, form a pyrazole or imidazol ring, m is 0, 1 or 2. In some embodiments (referred herein as embodiment Ib), the compounds of formula (I) according to the present invention are compounds of the formula (Ib) or salts, N-oxides or solvates thereof,
 wherein R
1 and R
2 are independently selected from hydrogen, methyl and ethyl, or R
1 and R
2 form, together with the carbon atom to which they are linked, a cyclopropyl ring, R
3 is hydrogen, hydroxy, C
1-C
4-alkyl, C
1-C
4-haloalkyl, C
1-C
4-alkoxy, C
1-C
4-alkoxycarbonyloxy, C
1-C
4-alkylcarbonyl, C
1-C
4-alkoxycarbonyl, C
3-C
6-cycloalkyl, C
3-C
6-cycloalkylamino, C
3-C
6- cycloalkyloxy or phenoxy, R
4 is -C(=O)R
5, -C(=O)OR
6, C(=O)NR
7R
8 or -S(=O)
2R
5, wherein R
5 is C
1-C
6-alkyl, C
1-C
6-haloalkyl, C
1-C
4-alkoxy-C
1-C
4-alkyl, C
1-C
4-haloalkoxy-C
1-C
4-alkyl, C
1- C
4-alkoxy-C
1-C
4-alkoxy-C
1-C
4-alkyl, C
1-C
4-alkoxycarbonyl-C
1-C
2-alkyl, C
3-C
6-cycloalkyl, phenyl, benzyl or 5- or 6-membered heteroaryl,   BCS223033 FC -19- wherein said C
3-C
6-cycloalkyl, phenyl, benzyl and 5- or 6-membere heteroaryl moieties are optionally substituted with one to three substituents independently selected from cyano, halogen, C
1-C
4-alkyl, C
1-C
4-haloalkyl, C
1-C
4-alkoxy, C
1-C
4-haloalkoxy, C
1-C
4-alkylsulfonyl and C
1-C
4- alkylcarbonylamino, R
6 is C
1-C
6-alkyl, C
1-C
6-haloalkyl, C
1-C
4-alkoxy-C
1-C
4-alkyl, C
1-C
4-haloalkoxy-C
1-C
4-alkyl, C
3- C
6-alkenyl, C
3-C
6-haloalkenyl, C
3-C
6-alkynyl or C
3-C
4-cycloalkyl, R
7 is hydrogen, C
1-C
6-alkyl, C
1-C
6-haloalkyl and C
1-C
4-alkoxy-C
1-C
4-alkyl, R
8 is C
1-C
4-alkyl or C
1-C
4-alkoxy, or R
7 and R
8 together with the nitrogen to which they are bonded, form a pyrazole or imidazol ring, m is 0, 1 or 2. In some embodiments (referred herein as embodiment Ic), the compounds of formula (I) according to the present invention are compounds of the formula (Ic) or salts, N-oxides or solvates thereof,
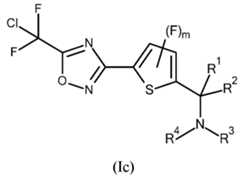
 wherein R
1 and R
2 are independently selected from hydrogen, methyl and ethyl, or R
1 and R
2 form, together with the carbon atom to which they are linked, a cyclopropyl ring, R
3 is hydrogen, hydroxy, C
1-C
4-alkyl, C
1-C
4-haloalkyl, C
1-C
4-alkoxy, C
1-C
4-alkoxycarbonyloxy, C
1-C
4-alkylcarbonyl, C
1-C
4-alkoxycarbonyl, C
3-C
6-cycloalkyl, C
3-C
6-cycloalkylamino, C
3-C
6- cycloalkyloxy or phenoxy, R
4 is -C(=O)R
5, -C(=O)OR
6, C(=O)NR
7R
8 or -S(=O)
2R
5, wherein R
5 is C
1-C
6-alkyl, C
1-C
6-haloalkyl, C
1-C
4-alkoxy-C
1-C
4-alkyl, C
1-C
4-haloalkoxy-C
1-C
4-alkyl, C
1- C
4-alkoxy-C
1-C
4-alkoxy-C
1-C
4-alkyl, C
1-C
4-alkoxycarbonyl-C
1-C
2-alkyl, C
3-C
6-cycloalkyl, phenyl, benzyl or 5- or 6-membered heteroaryl,   BCS223033 FC -20- wherein said C
3-C
6-cycloalkyl, phenyl, benzyl and 5- or 6-membere heteroaryl moieties are optionally substituted with one to three substituents independently selected from cyano, halogen, C
1-C
4-alkyl, C
1-C
4-haloalkyl, C
1-C
4-alkoxy, C
1-C
4-haloalkoxy, C
1-C
4-alkylsulfonyl and C
1-C
4- alkylcarbonylamino, R
6 is C
1-C
6-alkyl, C
1-C
6-haloalkyl, C
1-C
4-alkoxy-C
1-C
4-alkyl, C
1-C
4-haloalkoxy-C
1-C
4-alkyl, C
3- C
6-alkenyl, C
3-C
6-haloalkenyl, C
3-C
6-alkynyl or C
3-C
4-cycloalkyl, R
7 is hydrogen, C
1-C
6-alkyl, C
1-C
6-haloalkyl and C
1-C
4-alkoxy-C
1-C
4-alkyl, and R
8 is C
1-C
4-alkyl or C
1-C
4-alkoxy, or R
7 and R
8 together with the nitrogen to which they are bonded, form a pyrazole or imidazol ring, m is 0, 1 or 2, preferably m is 0. Preferably, in embodiments (Ia), (Ib) and (Ic), R
4 is -C(=O)R
5, -C(=O)OR
6 or C(=O)NR
7R
8. More preferably, in embodiments (Ia), (Ib) and (Ic), R
1 and R
2 are independently selected from hydrogen, methyl and ethyl, R
3 is hydrogen, hydroxy, C
1-C
4-alkyl, C
1-C
4-alkoxy, C
1-C
4-alkoxycarbonyloxy, C
3-C
4-cycloalkyl, C
3-C
4-cycloalkyloxy or phenoxy, R
4 is -C(=O)R
5, -C(=O)OR
6 or C(=O)NR
7R
8, wherein R
5 is C
1-C
6-alkyl, C
1-C
6-haloalkyl, C
1-C
4-alkoxy-C
1-C
4-alkyl, C
1-C
4-haloalkoxy-C
1-C
4-alkyl, C
1- C
4-alkoxy-C
1-C
4-alkoxy-C
1-C
4-alkyl, C
1-C
4-alkoxycarbonyl-C
1-C
2-alkyl or C
3-C
6-cycloalkyl, R
6 is C
1-C
6-alkyl or C
3-C
4-cycloalkyl, R
7 is hydrogen or C
1-C
6-alkyl, and R
8 is C
1-C
4-alkyl or C
1-C
4-alkoxy, or R
7 and R
8 together with the nitrogen to which they are bonded, form an imidazol ring, m is 0 or 1, preferably m is 0. Most preferably, in embodiments (Ia), (Ib) and (Ic), R
1 is hydrogen, methyl or ethyl, R
2 is hydrogen, R
3 is hydrogen, hydroxy, methyl, ethyl, isopropyl, methoxy, ethoxy, iso-propoxy, methoxycarbonyloxy, ethoxycarbonyloxy, isopropylcarbonyloxy, tert-butylcarbonyloxy, cyclopropyl, cyclobutyl, cyclopropyloxy or phenoxy, R
4 is -C(=O)R
5, -C(=O)OR
6 or C(=O)NR
7R
8, wherein   BCS223033 FC -21- R
5 is methyl, ethyl, n-propyl, iso-propyl, n-butyl, sec-butyl, iso-butyl, tert-butyl, fluoromethyl, 2,2,2-trifluoroethyl, methoxymethyl, ethoxymethyl, 1-methoxyethyl, 2-methoxyethyl, methoxycarbonylmethyl or cyclopropyl, in particular methyl ethyl, methoxymethyl, ethoxymethyl, 1-methoxyethyl or 2-methoxyethyl; R
6 is methyl, ethyl, n-propyl, isopropyl, tert-butyl or cyclopropyl; R
7 is hydrogen, methyl or ethyl, and R
8 is methyl, ethyl, methoxy or ethoxy, or R
7 and R
8 together with the nitrogen to which they are bonded, form an imidazol ring, m is 0 or 1, preferably m is 0. The compounds of formula (I) are useful for controlling phytopathogenic fungi in crop protection (use as fungicide). Thus, the present invention also relates to the use of the compounds of formula (I) for controlling phytopathogenic fungi in crop protection. The present invention also relates to any compounds of formula (I) disclosed in Table 1. Intermediates for the preparation of the active ingredients The present invention also relates to intermediates for the preparation of compounds of formula (I). Thus, the present invention relates to compounds of formula (V) as well as their acceptable salts, N-oxides or solvates:
 wherein A, R
1, R
2 and R
3 have the meanings as defined herein for the compounds of formula (I). The present invention also relates to compounds of formula (II) as well as their acceptable salts, N-oxides and solvates:
 (II),   BCS223033 FC -22- wherein A, R
1, R
2, R
3 and R
4 have the meanings as defined herein for the compounds of formula (I). The present invention also relates to compounds of formula (III) as well as their acceptable salts, N-oxides and solvates:
 (III), wherein A, R
1, R
2, R
3 and R
4 have the meanings as defined herein for the compounds of formula (I). The present invention also relates to compounds of formula (XII) as well as their acceptable salts, N- oxides and solvates:
 (XII), wherein A and R
1 have the meanings as defined herein for the compounds of formula (I). The present invention also relates to compounds of formula (XV) as well as their acceptable salts, N- oxides and solvates:
 (XV), wherein A, R
1 and R
3 have the meanings as defined herein for the compounds of formula (I). The present invention also relates to compounds of formula (IX) as well as their acceptable salts, N-oxides and solvates:   BCS223033 FC -23-
 (IX), wherein A, R
1 and R
2 have the meanings as defined herein for the compounds of formula (I) and W is an halogen, hydroxy, mesylate or triflate group. The present invention also relates to compounds of formula (X) as well as their acceptable salts, N-oxides and solvates:
 wherein R
1, R
2 and A have the meanings as defined herein for the compounds of formula (I). Processes for the preparation of compounds of formula (I) and intermediates The present invention relates to processes for the preparation of compounds of formula (I) and their intermediates. Unless indicated otherwise, the radicals and indices A, R
1, R
2, R
3 and R
4 have the meanings given above for the compounds of formula (I). These definitions apply not only to the end products of formula (I) but also to all intermediates. Compounds of formula (I) can be prepared, according to process P1, by reacting amidoximes of formula (II) with chlorodifluoroacetic anhydride or chlorodifluoroacetyl chloride in a suitable solvent such as tetrahydrofurane or dichloromethane optionally in presence of a base such as triethylamine or pyridine, preferably at room temperature, as previously described in WO2013080120.
 Process P1   BCS223033 FC -24- Amidoximes of formula (II) can be prepared according to known procedures (see for examples WO2013080120), as shown in process P2 by treating nitriles of formula (III) with hydroxylamine (or its hydrochloride salt) in the presence of a base such as triethylamine in a solvent such as ethanol.
 Process P2 Compounds of formula (III) can be commercially available or may be prepared starting from readily available compounds according to known procedures. Alternatively compounds of formula (III) can be prepared, according to process P3, from compounds of formula (IV), wherein LG is a leaving group as for example bromide with a suitable cyanide reagent such as for example zinc cyanide in presence of palladium (0) in a solvent such as N,N-dimethylformamide as described for example in ACS Medicinal Chemistry Letters, 8(9), 919-924, 2017.
 Process P3 Compounds of formula (IV) can be commercially available or may be prepared starting from readily available compounds according to known procedures. Alternatively compounds of formula (I) can be prepared, according to process P4, from a compound of formula (V), with a compound of formula (VI) wherein LG1 is a leaving group in presence of a base like for example triethylamine in a solvent such as for example dichloromethane.

 Process P4 Compounds of formula (V) may be prepared starting from readily available compounds analogously to process P1 and P2 or analogously to process P1, P2 and P3.   BCS223033 FC -25- Compounds of formula (VI) can be commercially available or may be prepared starting from readily available compounds according to known procedures. Alternatively compounds of formula (V) can be prepared, according to process P5, from a compound of formula (VII), wherein PG is a protecting group by using state of the art deprotecting condition like for example trifluoroacetic acid in dichloromethane when PG is a tert-butyloxycarbonyl group.
 Compounds of formula (VII) may be prepared starting from readily available compounds analogously to process P1 and P2 or analogously to process P1, P2 and P3. Alternatively compounds of formula (V’) (compounds of formula (V), wherein R
3 = H), can be prepared, according to process P6, from a compound of formula (VIII), by using hydrazine hydrate, as described for example in Journal of Medicinal Chemistry 52(21), 6897, 2009, in a solvent such as, for example, ethanol.
 Compounds of formula (VIII) may be prepared starting from readily available compounds analogously to process P1 and P2 or analogously to process P1, P2 and P3. Alternatively compounds of formula (VIII) can be prepared, according to process P7, from a compound of formula (IX), wherein W is a leaving group by nucleophilic substitution with a compound of formula (VI) (as described for example in Journal of Organic Chemistry, 78, 5218; 2013 or Tetrahedron, 72, 734; 2016) in presence of a base (like for example potassium carbonate or sodium hydride) in a solvent such as for example acetonitrile or DMF.   BCS223033 FC -26-

 Process P7 Compounds of formula (IX) may be prepared starting from readily available compounds analogously to process P1 and P2 or analogously to process P1, P2 and P3. Alternatively compounds of formula (IX) where W = Br or Cl can be prepared, according to process P8, from a compound of formula (X) by treatment with an halogenating agent like for example N- chlorosuccinimide or N-bromosuccinimide, in presence of a radical initiator like for example AIBN or benzoyl peroxide in a suitable solvent such as, for example tetrachloromethane or trichloromethane as described for example in Org. Proc. Res. Dev., 76, 1794, 2012.
 (
X)(IX) Process P8 Compounds of formula (X) may be prepared starting from readily available compounds analogously to process P1 and P2 or analogously to process P1, P2 and P3. Alternatively, compounds of formula (V) can be prepared, according to process P9, by reacting a compound of formula (IX) with a compound of formula (XI) as described for example in Organic Letters 6(14), 2361, 2004 optionally in presence of a base like for example diisopropylethylamine, optionally in presence of a catalyst like for example potassium iodide, in a solvent such as, for example, acetonitrile or dimethylformamide.   BCS223033 FC -27-
 Process P9 Compounds of formula (XI) can be commercially available or may be prepared starting from readily available compounds according to known procedures. Alternatively compounds of formula (IX) wherein W = OH and R
2 = H can be prepared, according to process P10, from a compound of formula (XII) by treatment with a reducing agent such as sodium borohydride or diisobutylaluminum hydride as described for example in Journal of the American Chemical Society 135(23), 8668-8681, 2013 or Tetrahedron 74(31), 4236-4241, 2018

 (XII) (IX) Process P10 Compounds of formula (XII) may be prepared starting from readily available compounds analogously to process P1 and P2 or analogously to process P1, P2 and P3. Alternatively compounds of formula (IX) can be prepared, according to process P11, from a compound of formula (XIII) by treatment with mesyl chloride or triflic anhydride in presence of a base like for example triethylamine in a solvent such as, for example dichloromethane as described for example in Journal of the American Chemical Society, 135(44), 16288-16291, 2013 or by reaction with an halogenating agent, like for example carbon tetrabromide, optionally in presence of triphenylphosphine in a solvent such as, for example, dichloromethane as described for example in Bioorganic & Medicinal Chemistry Letters, 17(3), 756-760, 2007.
 (
XIII)(IX) Process P11   BCS223033 FC -28- Compounds of formula (XIII) may be prepared starting from readily available compounds analogously to process P1 and P2 or analogously to process P1, P2 and P3. Alternatively compounds of formula (XIII) wherein R
1 = R
2 = H can be prepared, according to process P12, from a compound of formula (XIV) wherein R= H or alkyl by treatment with a reducing agent such as for example borane complexed in a solvent such a THF as described for example in Tetrahedron Letter, 23(24), 2475, 1982.
 (XIV) (XIII) Process P12 Compounds of formula (XIV) can be commercially available or may be prepared starting from readily available compounds according to known procedures. Alternatively compounds of formula (XIV) may be prepared starting from readily available compounds analogously to process P1 and P2 or analogously to process P1, P2 and P3. Alternatively, compounds of formula (V) wherein R
2 = H can be prepared, according to process P13, from a compound of formula (XV) by treatment with a reducing agent such as sodium cyanoborohydride in a solvent such as acetic acid as described for example in Journal of Organic Chemistry (1989), 54(23), 5574- 80.
 Process P13 Compounds of formula (XV) may be prepared starting from readily available compounds analogously to process P1 and P2 or analogously to process P1, P2 and P3. Alternatively, compounds of formula (XV) can be prepared, according to process P14, by reacting a compound of formula (XII) with a compound of formula (XVI) or a salt thereof, optionally in presence of a base such as sodium acetate in a solvent such as ethanol as described for example Organic & Biomolecular Chemistry (2020), 18(34), 6732-6737.   BCS223033 FC -29-

 Process P14 Compounds of formula (XVI) can be commercially available or may be prepared starting from readily available compounds according to known procedures. Compounds of formula (XII) may be prepared starting from readily available compounds analogously to process P1 and P2 or analogously to process P1, P2 and P3. Alternatively, compounds of formula (XII) can be prepared, according to process P15, from a compound of formula (XIII) by treatment with an oxidizing agent such as for example manganese oxide in a solvent such as for example chloroform as described for example in Journal of the American Chemical Society (2019), 141(6), 2274-2278.

 Process P15 Compounds of formula (XIII) may be prepared starting from readily available compounds analogously to process P1 and P2 or analogously to process P1, P2 and P3. According to the invention, processes P1 to P15 can be performed if appropriate in the presence of a solvent and if appropriate in the presence of a base. Suitable solvents for carrying out processes P1 to P15 according to the invention are customary inert organic solvents. Preference is given to using optionally halogenated aliphatic, alicyclic or aromatic hydrocarbons, such as petroleum ether, hexane, heptane, cyclohexane, methylcyclohexane, benzene, toluene, xylene or decalin ; chlorobenzene, dichlorobenzene, dichloromethane, chloroform, carbon tetrachloride, dichlorethane or trichlorethane ; ethers, such as diethyl ether, diisopropyl ether, methyl tert- butyl ether, methyl tert-amyl ether, dioxane, tetrahydrofuran, 1,2-dimethoxyethane, 1,2-diethoxyethane or anisole ; nitriles, such as acetonitrile, propionitrile, n- or iso-butyronitrile or benzonitrile ; amides, such as N,N-dimethylformamide, N,N-dimethylacetamide, N-methylformanilide, N-methylpyrrolidone or   BCS223033 FC -30- hexamethylphosphoric triamide ; esters, such as methyl acetate or ethyl acetate, sulfoxides, such as dimethyl sulfoxide or sulfones, such as sulfolane. Suitable bases for carrying out processes P1 to P15 according to the invention are inorganic and organic bases which are customary for such reactions. Preference is given to using alkaline earth metal, alkali metal hydride, alkali metal hydroxides or alkali metal alkoxides, such as sodium hydroxide, sodium hydride, calcium hydroxide, potassium hydroxide, potassium tert-butoxide or other ammonium hydroxide, alkali metal carbonates, such as sodium carbonate, potassium carbonate, potassium bicarbonate, sodium bicarbonate, cesium carbonate, alkali metal or alkaline earth metal acetates, such as sodium acetate, potassium acetate, calcium acetate and also tertiary amines, such as trimethylamine, triethylamine, diisopropylethylamine, tributylamine, N,N-dimethylaniline, pyridine, N-methylpiperidine, N,N-dimethyl- aminopyridine, 1,4-diazabicyclo[2.2.2]octane (DABCO), 1,5-diazabicyclo[4.3.0]non-5-ene (DBN) or 1,8-diazabicyclo[5.4.0]undec-7-ene (DBU). When carrying out processes P1 to P15, according to the invention, the reaction temperature can independently be varied within a relatively wide range. Generally, processes according to the invention are carried out at temperatures between -20°C and 160°C. Processes P1 to P15 according to the invention are generally independently carried out under atmospheric pressure. However, it is also possible to operate under elevated or reduced pressure. Work-up is carried out by customary methods. Generally, the reaction mixture is treated with water and the organic phase is separated off and, after drying, concentrated under reduced pressure. If appropriate, the remaining residue can be freed by customary methods, such as chromatography or recrystallization, from any impurities that can still be present. Compounds according to the invention can be prepared according to the above described processes. It will nevertheless be understood that, on the basis of his general knowledge and of available publications, the skilled worker will be able to adapt these processes according to the specifics of each of the compounds according to the invention that is desired to be synthesized. Compositions/Formulations The present invention further relates to compositions, in particular compositions for controlling unwanted microorganisms. The composition may be applied to the microorganisms and/or in their habitat. The composition comprises at least one compound of the invention and at least one agriculturally suitable auxiliary, e.g. carrier(s) and/or surfactant(s). A carrier is a solid or liquid, natural or synthetic, organic or inorganic substance that is generally inert. The carrier generally improves the application of the compounds, for instance, to plants, plants parts or   BCS223033 FC -31- seeds. Examples of suitable solid carriers include, but are not limited to, ammonium salts, in particular ammonium sulfates, ammonium phosphates and ammonium nitrates, natural rock flours, such as kaolins, clays, talc, chalk, quartz, attapulgite, montmorillonite and diatomaceous earth, silica gel and synthetic rock flours, such as finely divided silica, alumina and silicates. Examples of typically useful solid carriers for preparing granules include, but are not limited to crushed and fractionated natural rocks such as calcite, marble, pumice, sepiolite and dolomite, synthetic granules of inorganic and organic flours and granules of organic material such as paper, sawdust, coconut shells, maize cobs and tobacco stalks. Examples of suitable liquid carriers include, but are not limited to, water, organic solvents and combinations thereof. Examples of suitable solvents include polar and nonpolar organic chemical liquids, for example from the classes of aromatic and nonaromatic hydrocarbons (such as cyclohexane, paraffins, alkylbenzenes, xylene, toluene, tetrahydronaphthalene, alkylnaphthalenes, chlorinated aromatics or chlorinated aliphatic hydrocarbons such as chlorobenzenes, chloroethylenes or methylene chloride), alcohols and polyols (which may optionally also be substituted, etherified and/or esterified, such as ethanol, propanol, butanol, benzylalcohol, cyclohexanol or glycol), ketones (such as acetone, methyl ethyl ketone, methyl isobutyl ketone or cyclohexanone), esters (including fats and oils) and (poly)ethers, unsubstituted and substituted amines, amides (such as dimethylformamide or fatty acid amides) and esters thereof, lactams (such as N-alkylpyrrolidones, in particular N-methylpyrrolidone) and lactones, sulfones and sulfoxides (such as dimethyl sulfoxide), oils of vegetable or animal origin. The carrier may also be a liquefied gaseous extender, i.e. liquid which is gaseous at standard temperature and under standard pressure, for example aerosol propellants such as halohydrocarbons, butane, propane, nitrogen and carbon dioxide. Preferred solid carriers are selected from clays, talc and silica. Preferred liquid carriers are selected from water, fatty acid amides and esters thereof, aromatic and nonaromatic hydrocarbons, lactams and carbonic acid esters. The amount of carrier typically ranges from 1 to 99.99%, preferably from 5 to 99.9%, more preferably from 10 to 99.5%, and most preferably from 20 to 99% by weight of the composition. Liquid carriers are typically present in a range of from 20 to 90%, for example 30 to 80% by weight of the composition. Solid carriers are typically present in a range of from 0 to 50%, preferably 5 to 45%, for example 10 to 30% by weight of the composition. If the composition comprises two or more carriers, the outlined ranges refer to the total amount of carriers. The surfactant can be an ionic (cationic or anionic), amphoteric or non-ionic surfactant, such as ionic or non-ionic emulsifier(s), foam former(s), dispersant(s), wetting agent(s), penetration enhancer(s) and any mixtures thereof. Examples of suitable surfactants include, but are not limited to, salts of polyacrylic acid,   BCS223033 FC -32- salts of lignosulfonic acid (such as sodium lignosulfonate), salts of phenolsulfonic acid or naphthalenesulfonic acid, polycondensates of ethylene oxide and/or propylene oxide with fatty alcohols, fatty acids or fatty amines (for example, polyoxyethylene fatty acid esters such as castor oil ethoxylate, polyoxyethylene fatty alcohol ethers, for example alkylaryl polyglycol ethers), substituted phenols (preferably alkylphenols or arylphenols) and ethoxylates thereof (such as tristyrylphenol ethoxylate), salts of sulfosuccinic esters, taurine derivatives (preferably alkyl taurates), phosphoric esters of polyethoxylated alcohols or phenols, fatty esters of polyols (such a fatty acid esters of glycerol, sorbitol or sucrose), sulfates (such as alkyl sulfates and alkyl ether sulfates), sulfonates (for example, alkylsulfonates, arylsulfonates and alkylbenzene sulfonates), phosphate esters, protein hydrolysates, lignosulfite waste liquors and methylcellulose. Any reference to salts in this paragraph refers preferably to the respective alkali, alkaline earth and ammonium salts. Preferred surfactants are selected from polyoxyethylene fatty alcohol ethers, polyoxyethylene fatty acid esters, alkylbenzene sulfonates, such as calcium dodecylbenzenesulfonate, castor oil ethoxylate, sodium lignosulfonate and arylphenol ethoxylates, such as tristyrylphenol ethoxylate. The amount of surfactants typically ranges from 5 to 40%, for example 10 to 20%, by weight of the composition. Further examples of suitable auxiliaries include water repellents, siccatives, binders (adhesive, tackifier, fixing agent, such as carboxymethylcellulose, natural and synthetic polymers in the form of powders, granules or latices, such as gum arabic, polyvinyl alcohol and polyvinyl acetate, natural phospholipids such as cephalins and lecithins and synthetic phospholipids, polyvinylpyrrolidone and tylose), thickeners and secondary thickeners (such as cellulose ethers, acrylic acid derivatives, xanthan gum, modified clays, e.g. the products available under the name Bentone, and finely divided silica), stabilizers (e.g. cold stabilizers, preservatives (e.g. dichlorophene and benzyl alcohol hemiformal), antioxidants, light stabilizers, in particular UV stabilizers, or other agents which improve chemical and/or physical stability), dyes or pigments (such as inorganic pigments, e.g. iron oxide, titanium oxide and Prussian Blue; organic dyes, e.g. alizarin, azo and metal phthalocyanine dyes), antifoams (e.g. silicone antifoams and magnesium stearate), antifreezes, stickers, gibberellins and processing auxiliaries, mineral and vegetable oils, perfumes, waxes, nutrients (including trace nutrients, such as salts of iron, manganese, boron, copper, cobalt, molybdenum and zinc), protective colloids, thixotropic substances, penetrants, sequestering agents and complex formers. The choice of the auxiliaries depends on the intended mode of application of the compound of the invention and/or on the physical properties of the compound(s). Furthermore, the auxiliaries may be chosen to impart particular properties (technical, physical and/or biological properties) to the compositions or use forms prepared therefrom. The choice of auxiliaries may allow customizing the compositions to specific needs.   BCS223033 FC -33- The composition of the invention may be provided to the end user as ready-for-use formulation, i.e. the compositions may be directly applied to the plants or seeds by a suitable device, such as a spraying or dusting device. Alternatively, the compositions may be provided to the end user in the form of concentrates which have to be diluted, preferably with water, prior to use. The composition of the invention can be prepared in conventional manners, for example by mixing the compound of the invention with one or more suitable auxiliaries, such as disclosed herein above. The composition comprises a fungicidally effective amount of the compound(s) of the invention. The term "effective amount" denotes an amount, which is sufficient for controlling harmful fungi on cultivated plants or in the protection of materials and which does not result in a substantial damage to the treated plants. Such an amount can vary in a broad range and is dependent on various factors, such as the fungal species to be controlled, the treated cultivated plant or material, the climatic conditions and the specific compound of the invention used. Usually, the composition according to the invention contains from 0.01 to 99% by weight, preferably from 0.05 to 98% by weight, more preferred from 0.1 to 95% by weight, even more preferably from 0.5 to 90% by weight, most preferably from 1 to 80% by weight of the compound of the invention. It is possible that a composition comprises two or more compounds of the invention. In such case the outlined ranges refer to the total amount of compounds of the present invention. The composition of the invention may be in any customary composition type, such as solutions (e.g aqueous solutions), emulsions, water- and oil-based suspensions, powders (e.g. wettable powders, soluble powders), dusts, pastes, granules (e.g. soluble granules, granules for broadcasting), suspoemulsion concentrates, natural or synthetic products impregnated with the compound of the invention, fertilizers and also microencapsulations in polymeric substances. The compound of the invention may be present in a suspended, emulsified or dissolved form. Examples of particular suitable composition types are solutions, watersoluble concentrates (e.g. SL, LS), dispersible concentrates (DC), suspensions and suspension concentrates (e.g. SC, OD, OF, FS), emulsifiable concentrates (e.g. EC), emulsions (e.g. EW, EO, ES, ME, SE), capsules (e.g. CS, ZC), pastes, pastilles, wettable powders or dusts (e.g. WP, SP, WS, DP, DS), pressings (e.g. BR, TB, DT), granules (e.g. WG, SG, GR, FG, GG, MG), insecticidal articles (e.g. LN), as well as gel formulations for the treatment of plant propagation materials such as seeds (e.g. GW, GF). These and further compositions types are defined by the Food and Agriculture Organization of the United Nations (FAO). An overview is given in the "Catalogue of pesticide formulation types and international coding system", Technical Monograph No.2, 6th Ed. May 2008, Croplife International. Preferably, the composition of the invention is in form of one of the following types: EC, SC, FS, SE, OD and WG, more preferred EC, SC, OD and WG. Further details about examples of composition types and their preparation are given below. If two or more compounds of the invention are present, the outlined amount of compound of the invention refers to the total   BCS223033 FC -34- amount of compounds of the present invention. This applies mutatis mutandis for any further component of the composition, if two or more representatives of such component, e.g. wetting agent, binder, are present. i) Water-soluble concentrates (SL, LS) 10-60 % by weight of at least one compound of the invention and 5-15 % by weight surfactant (e.g. polyoxyethylene fatty alcohol ether) are dissolved in such amount of water and/or water-soluble solvent (e.g. alcohols such as propylene glycol or carbonates such as propylene carbonate) to result in a total amount of 100 % by weight. Before application the concentrate is diluted with water. ii) Dispersible concentrates (DC) 5-25 % by weight of at least one compound of the invention and 1-10 % by weight surfactant and/or binder (e.g. polyvinylpyrrolidone) are dissolved in such amount of organic solvent (e.g. cyclohexanone) to result in a total amount of 100 % by weight. Dilution with water gives a dispersion. iii) Emulsifiable concentrates (EC) 15-70 % by weight of at least one compound of the invention and 5-10 % by weight surfactant (e.g. a mixture of calcium dodecylbenzenesulfonate and castor oil ethoxylate) are dissolved in such amount of water-insoluble organic solvent (e.g. aromatic hydrocarbon or fatty acid amide) and if needed additional water-soluble solvent to result in a total amount of 100 % by weight. Dilution with water gives an emulsion. iv) Emulsions (EW, EO, ES) 5-40 % by weight of at least one compound of the invention and 1-10 % by weight surfactant (e.g. a mixture of calcium dodecylbenzenesulfonate and castor oil ethoxylate) are dissolved in 20-40 % by weight water- insoluble organic solvent (e.g. aromatic hydrocarbon). This mixture is added to such amount of water by means of an emulsifying machine to result in a total amount of 100 % by weight. The resulting composition is a homogeneous emulsion. Before application the emulsion may be further diluted with water. v) Suspensions and suspension concentrates v-1) Water-based (SC, FS) In a suitable grinding equipment, e.g. an agitated ball mill, 20-60 % by weight of at least one compound of the invention are comminuted with addition of 2-10 % by weight surfactant (e.g. sodium lignosulfonate and polyoxyethylene fatty alcohol ether), 0.1-2 % by weight thickener (e.g. xanthan gum) and water to give a fine active substance suspension. The water is added in such amount to result in a total amount of 100 % by weight. Dilution with water gives a stable suspension of the active substance. For FS type compositions up to 40 % by weight binder (e.g. polyvinylalcohol) is added.   BCS223033 FC -35- v-2) Oil-based (OD, OF) In a suitable grinding equipment, e.g. an agitated ball mill, 20-60 % by weight of at least one compound of the invention are comminuted with addition of 2-10 % by weight surfactant (e.g. sodium lignosulfonate and polyoxyethylene fatty alcohol ether), 0.1-2 % by weight thickener (e.g. modified clay, in particular Bentone, or silica) and an organic carrier to give a fine active substance oil suspension. The organic carrier is added in such amount to result in a total amount of 100 % by weight. Dilution with water gives a stable dispersion of the active substance. vi) Water-dispersible granules and water-soluble granules (WG, SG) 50-80 % by weight of at least one compound of the invention are ground finely with addition of surfactant (e.g. sodium lignosulfonate and polyoxyethylene fatty alcohol ether) and converted to water-dispersible or water-soluble granules by means of technical appliances (e. g. extrusion, spray tower, fluidized bed). The surfactant is used in such amount to result in a total amount of 100 % by weight. Dilution with water gives a stable dispersion or solution of the active substance. vii) Water-dispersible powders and water-soluble powders (WP, SP, WS) 50-80 % by weight of at least one compound of the invention are ground in a rotor-stator mill with addition of 1-8 % by weight surfactant (e.g. sodium lignosulfonate, polyoxyethylene fatty alcohol ether) and such amount of solid carrier, e.g. silica gel, to result in a total amount of 100 % by weight. Dilution with water gives a stable dispersion or solution of the active substance. viii) Gel (GW, GF) In an agitated ball mill, 5-25 % by weight of at least one compound of the invention are comminuted with addition of 3-10 % by weight surfactant (e.g. sodium lignosulfonate), 1-5 % by weight binder (e.g. carboxymethylcellulose) and such amount of water to result in a total amount of 100 % by weight. This results in a fine suspension of the active substance. Dilution with water gives a stable suspension of the active substance. ix) Microemulsion (ME) 5-20 % by weight of at least one compound of the invention are added to 5-30 % by weight organic solvent blend (e.g. fatty acid dimethylamide and cyclohexanone), 10-25 % by weight surfactant blend (e.g. polyoxyethylene fatty alcohol ether and arylphenol ethoxylate), and such amount of water to result in a total amount of 100 % by weight. This mixture is stirred for 1 h to produce spontaneously a thermodynamically stable microemulsion.   BCS223033 FC -36- x) Microcapsules (CS) An oil phase comprising 5-50 % by weight of at least one compound of the invention, 0-40 % by weight water-insoluble organic solvent (e.g. aromatic hydrocarbon), 2-15 % by weight acrylic monomers (e.g. methylmethacrylate, methacrylic acid and a di- or triacrylate) are dispersed into an aqueous solution of a protective colloid (e.g. polyvinyl alcohol). Radical polymerization initiated by a radical initiator results in the formation of poly(meth)acrylate microcapsules. Alternatively, an oil phase comprising 5-50 % by weight of at least one compound of the invention, 0-40 % by weight water-insoluble organic solvent (e.g. aromatic hydrocarbon), and an isocyanate monomer (e.g. diphenylmethene-4,4'-diisocyanatae) are dispersed into an aqueous solution of a protective colloid (e.g. polyvinyl alcohol). The addition of a polyamine (e.g. hexamethylenediamine) results in the formation of polyurea microcapsules. The monomers amount to 1-10 % by weight of the total CS composition. xi) Dustable powders (DP, DS) 1-10 % by weight of at least one compound of the invention are ground finely and mixed intimately with such amount of solid carrier, e.g. finely divided kaolin, to result in a total amount of 100 % by weight. xii) Granules (GR, FG) 0.5-30 % by weight of at least one compound of the invention are ground finely and associated with such amount of solid carrier (e.g. silicate) to result in a total amount of 100 % by weight. Granulation is achieved by extrusion, spray-drying or the fluidized bed. xiii) Ultra-low volume liquids (UL) 1-50 % by weight of at least one compound of the invention are dissolved in such amount of organic solvent, e.g. aromatic hydrocarbon, to result in a total amount of 100 % by weight. The compositions types i) to xiii) may optionally comprise further auxiliaries, such as 0.1-1 % by weight preservatives, 0.1-1 % by weight antifoams, 0.1-1 % by weight dyes and/or pigments, and 5-10% by weight antifreezes. Mixtures/Combinations The compound and the composition of the invention can be mixed with other active ingredients like fungicides, bactericides, acaricides, nematicides, insecticides, biological control agents or herbicides. Mixtures with fertilizers, growth regulators, safeners, nitrification inhibitors, semiochemicals and/or other agriculturally beneficial agents are also possible. This may allow to broaden the activity spectrum or to prevent development of resistance.   BCS223033 FC -37- The active compounds identified here by their common names are known and are described, for example, in the pesticide handbook (“The Pesticide Manual” 17th Ed., British Crop Protection Council 2015) or can be found on the Internet (e.g. http://www.alanwood.net/pesticides). Examples of fungicides which could be mixed with the compound and the composition of the invention are: 1) Inhibitors of the ergosterol biosynthesis, for example (1.001) cyproconazole, (1.002) difenoconazole, (1.003) epoxiconazole, (1.004) fenbuconazole, (1.005) fenhexamid, (1.006) fenpropidin, (1.007) fenpropimorph, (1.008) fenpyrazamine, (1.009) Fluoxytioconazole, (1.010) fluquinconazole, (1.011) flutriafol, (1.012) hexaconazole, (1.013) imazalil, (1.014) imazalil sulfate, (1.015) ipconazole, (1.016) ipfentrifluconazole, (1.017) mefentrifluconazole, (1.018) metconazole, (1.019) myclobutanil, (1.020) paclobutrazol, (1.021) penconazole, (1.022) prochloraz, (1.023) propiconazole, (1.024) prothioconazole, (1.025) pyrisoxazole, (1.026) spiroxamine, (1.027) tebuconazole, (1.028) tetraconazole, (1.029) triadimenol, (1.030) tridemorph, (1.031) triticonazole, (1.032) (1R,2S,5S)-5-(4-chlorobenzyl)-2- (chloromethyl)-2-methyl-1-(1H-1,2,4-triazol-1-ylmethyl)cyclopentanol, (1.033) (1S,2R,5R)-5-(4- chlorobenzyl)-2-(chloromethyl)-2-methyl-1-(1H-1,2,4-triazol-1-ylmethyl)cyclopentanol, (1.034) (2R)-2- (1-chlorocyclopropyl)-4-[(1R)-2,2-dichlorocyclopropyl]-1-(1H-1,2,4-triazol-1-yl)butan-2-ol, (1.035) (2R)-2-(1-chlorocyclopropyl)-4-[(1S)-2,2-dichlorocyclopropyl]-1-(1H-1,2,4-triazol-1-yl)butan-2-ol, (1.036) (2R)-2-[4-(4-chlorophenoxy)-2-(trifluoromethyl)phenyl]-1-(1H-1,2,4-triazol-1-yl)propan-2-ol, (1.037) (2S)-2-(1-chlorocyclopropyl)-4-[(1R)-2,2-dichlorocyclopropyl]-1-(1H-1,2,4-triazol-1-yl)butan- 2-ol, (1.038) (2S)-2-(1-chlorocyclopropyl)-4-[(1S)-2,2-dichlorocyclopropyl]-1-(1H-1,2,4-triazol-1- yl)butan-2-ol, (1.039) (2S)-2-[4-(4-chlorophenoxy)-2-(trifluoromethyl)phenyl]-1-(1H-1,2,4-triazol-1- yl)propan-2-ol, (1.040) (R)-[3-(4-chloro-2-fluorophenyl)-5-(2,4-difluorophenyl)-1,2-oxazol-4- yl](pyridin-3-yl)methanol, (1.041) (S)-[3-(4-chloro-2-fluorophenyl)-5-(2,4-difluorophenyl)-1,2-oxazol- 4-yl](pyridin-3-yl)methanol, (1.042) [3-(4-chloro-2-fluorophenyl)-5-(2,4-difluorophenyl)-1,2-oxazol-4- yl](pyridin-3-yl)methanol, (1.043) 1-({(2R,4S)-2-[2-chloro-4-(4-chlorophenoxy)phenyl]-4-methyl-1,3- dioxolan-2-yl}methyl)-1H-1,2,4-triazole, (1.044) 1-({(2S,4S)-2-[2-chloro-4-(4-chlorophenoxy)phenyl]- 4-methyl-1,3-dioxolan-2-yl}methyl)-1H-1,2,4-triazole, (1.045) 1-{[3-(2-chlorophenyl)-2-(2,4- difluorophenyl)oxiran-2-yl]methyl}-1H-1,2,4-triazol-5-yl thiocyanate, (1.046) 1-{[rel(2R,3R)-3-(2- chlorophenyl)-2-(2,4-difluorophenyl)oxiran-2-yl]methyl}-1H-1,2,4-triazol-5-yl thiocyanate, (1.047) 1- {[rel(2R,3S)-3-(2-chlorophenyl)-2-(2,4-difluorophenyl)oxiran-2-yl]methyl}-1H-1,2,4-triazol-5-yl thiocyanate, (1.048) 2-[(2R,4R,5R)-1-(2,4-dichlorophenyl)-5-hydroxy-2,6,6-trimethylheptan-4-yl]-2,4- dihydro-3H-1,2,4-triazole-3-thione, (1.049) 2-[(2R,4R,5S)-1-(2,4-dichlorophenyl)-5-hydroxy-2,6,6- trimethylheptan-4-yl]-2,4-dihydro-3H-1,2,4-triazole-3-thione, (1.050) 2-[(2R,4S,5R)-1-(2,4- dichlorophenyl)-5-hydroxy-2,6,6-trimethylheptan-4-yl]-2,4-dihydro-3H-1,2,4-triazole-3-thione, (1.051) 2-[(2R,4S,5S)-1-(2,4-dichlorophenyl)-5-hydroxy-2,6,6-trimethylheptan-4-yl]-2,4-dihydro-3H-1,2,4- triazole-3-thione, (1.052) 2-[(2S,4R,5R)-1-(2,4-dichlorophenyl)-5-hydroxy-2,6,6-trimethylheptan-4-yl]-   BCS223033 FC -38- 2,4-dihydro-3H-1,2,4-triazole-3-thione, (1.053) 2-[(2S,4R,5S)-1-(2,4-dichlorophenyl)-5-hydroxy-2,6,6- trimethylheptan-4-yl]-2,4-dihydro-3H-1,2,4-triazole-3-thione, (1.054) 2-[(2S,4S,5R)-1-(2,4- dichlorophenyl)-5-hydroxy-2,6,6-trimethylheptan-4-yl]-2,4-dihydro-3H-1,2,4-triazole-3-thione, (1.055) 2-[(2S,4S,5S)-1-(2,4-dichlorophenyl)-5-hydroxy-2,6,6-trimethylheptan-4-yl]-2,4-dihydro-3H-1,2,4- triazole-3-thione, (1.056) 2-[1-(2,4-dichlorophenyl)-5-hydroxy-2,6,6-trimethylheptan-4-yl]-2,4-dihydro- 3H-1,2,4-triazole-3-thione, (1.057) 2-[6-(4-bromophenoxy)-2-(trifluoromethyl)-3-pyridyl]-1-(1,2,4- triazol-1-yl)propan-2-ol, (1.058) 2-[6-(4-chlorophenoxy)-2-(trifluoromethyl)-3-pyridyl]-1-(1,2,4-triazol- 1-yl)propan-2-ol, (1.059) 2-{[3-(2-chlorophenyl)-2-(2,4-difluorophenyl)oxiran-2-yl]methyl}-2,4- dihydro-3H-1,2,4-triazole-3-thione, (1.060) 2-{[rel(2R,3R)-3-(2-chlorophenyl)-2-(2,4- difluorophenyl)oxiran-2-yl]methyl}-2,4-dihydro-3H-1,2,4-triazole-3-thione, (1.061) 2-{[rel(2R,3S)-3-(2- chlorophenyl)-2-(2,4-difluorophenyl)oxiran-2-yl]methyl}-2,4-dihydro-3H-1,2,4-triazole-3-thione, (1.062) 3-[2-(1-chlorocyclopropyl)-3-(3-chloro-2-fluoro-phenyl)-2-hydroxy-propyl]imidazole-4- carbonitrile, (1.063) 5-(4-chlorobenzyl)-2-(chloromethyl)-2-methyl-1-(1H-1,2,4-triazol-1- ylmethyl)cyclopentanol, (1.064) 5-(allylsulfanyl)-1-{[3-(2-chlorophenyl)-2-(2,4-difluorophenyl)oxiran- 2-yl]methyl}-1H-1,2,4-triazole, (1.065) 5-(allylsulfanyl)-1-{[rel(2R,3R)-3-(2-chlorophenyl)-2-(2,4- difluorophenyl)oxiran-2-yl]methyl}-1H-1,2,4-triazole, (1.066) 5-(allylsulfanyl)-1-{[rel(2R,3S)-3-(2- chlorophenyl)-2-(2,4-difluorophenyl)oxiran-2-yl]methyl}-1H-1,2,4-triazole, (1.067) methyl 2-[2-chloro- 4-(4-chlorophenoxy)phenyl]-2-hydroxy-3-(1H-1,2,4-triazol-1-yl)propanoate, (1.068) N'-(2,5-dimethyl-4- (2-methylbenzyl)phenyl)-N-ethyl-N-methylformimidamide, (1.069) N'-(2-chloro-4-(4-cyanobenzyl)-5- methylphenyl)-N-ethyl-N-methylformimidamide, (1.070) N'-(2-chloro-4-(4-methoxybenzyl)-5- methylphenyl)-N-ethyl-N-methylformimidamide, (1.071) N'-(2-chloro-5-methyl-4-phenoxyphenyl)-N- ethyl-N-methylimidoformamide, (1.072) N'-(4-benzyl-2-chloro-5-methylphenyl)-N-ethyl-N- methylformimidamide, (1.073) N'-[2-chloro-4-(2-fluorophenoxy)-5-methylphenyl]-N-ethyl-N- methylimidoformamide, (1.074) N'-[5-bromo-6-(2,3-dihydro-1H-inden-2-yloxy)-2-methylpyridin-3-yl]- N-ethyl-N-methylimidoformamide, (1.075) N'-{4-[(4,5-dichloro-1,3-thiazol-2-yl)oxy]-2,5- dimethylphenyl}-N-ethyl-N-methylimidoformamide, (1.076) N'-{5-bromo-2-methyl-6-[(1- propoxypropan-2-yl)oxy]pyridin-3-yl}-N-ethyl-N-methylimidoformamide, (1.077) N'-{5-bromo-6- [(1R)-1-(3,5-difluorophenyl)ethoxy]-2-methylpyridin-3-yl}-N-ethyl-N-methylimidoformamide, (1.078) N'-{5-bromo-6-[(1S)-1-(3,5-difluorophenyl)ethoxy]-2-methylpyridin-3-yl}-N-ethyl-N- methylimidoformamide, (1.079) N'-{5-bromo-6-[(cis-4-isopropylcyclohexyl)oxy]-2-methylpyridin-3- yl}-N-ethyl-N-methylimidoformamide, (1.080) N'-{5-bromo-6-[(trans-4-isopropylcyclohexyl)oxy]-2- methylpyridin-3-yl}-N-ethyl-N-methylimidoformamide, (1.081) N'-{5-bromo-6-[1-(3,5- difluorophenyl)ethoxy]-2-methylpyridin-3-yl}-N-ethyl-N-methylimidoformamide, (1.082) N-isopropyl- N'-[5-methoxy-2-methyl-4-(2,2,2-trifluoro-1-hydroxy-1-phenylethyl)phenyl]-N-methylimidoformamide, (1.083) p-tolylmethyl 4-[(E)-[ethyl(methyl)amino]methyleneamino]-2,5-dimethyl-benzoate. 2) Inhibitors of the respiratory chain at complex I or II, for example (2.001) benzovindiflupyr, (2.002) bixafen, (2.003) boscalid, (2.004) carboxin, (2.005) cyclobutrifluram, (2.006) flubeneteram, (2.007)   BCS223033 FC -39- fluindapyr, (2.008) fluopyram, (2.009) flutolanil, (2.010) fluxapyroxad, (2.011) furametpyr, (2.012) inpyrfluxam, (2.013) Isofetamid, (2.014) isoflucypram, (2.015) isopyrazam, (2.016) penflufen, (2.017) penthiopyrad, (2.018) pydiflumetofen, (2.019) pyrapropoyne, (2.020) pyraziflumid, (2.021) sedaxane, (2.022) Thifluzamide (aka trifluzamide), (2.023) 5,8-difluoro-N-[2-(2-fluoro-4-{[4- (trifluoromethyl)pyridin-2-yl]oxy}phenyl)ethyl]quinazolin-4-amine, (2.024) 5-chloro-N-[2-[1-(4- chlorophenyl)pyrazol-3-yl]oxyethyl]-6-ethyl-pyrimidin-4-amine, (2.025) N-[2-[1-(4- chlorophenyl)pyrazol-3-yl]oxyethyl]quinazolin-4-amine, (2.026) 1,3-dimethyl-N-(1,1,3-trimethyl-2,3- dihydro-1H-inden-4-yl)-1H-pyrazole-4-carboxamide, (2.027) 1,3-dimethyl-N-[(3R)-1,1,3-trimethyl-2,3- dihydro-1H-inden-4-yl]-1H-pyrazole-4-carboxamide, (2.028) 1,3-dimethyl-N-[(3S)-1,1,3-trimethyl-2,3- dihydro-1H-inden-4-yl]-1H-pyrazole-4-carboxamide, (2.029) 1-methyl-3-(trifluoromethyl)-N-[2'- (trifluoromethyl)biphenyl-2-yl]-1H-pyrazole-4-carboxamide, (2.030) 2-fluoro-6-(trifluoromethyl)-N- (1,1,3-trimethyl-2,3-dihydro-1H-inden-4-yl)benzamide, (2.031) 3-(difluoromethyl)-1-methyl-N-(1,1,3- trimethyl-2,3-dihydro-1H-inden-4-yl)-1H-pyrazole-4-carboxamide, (2.032) 3-(difluoromethyl)-1- methyl-N-[(3S)-1,1,3-trimethyl-2,3-dihydro-1H-inden-4-yl]-1H-pyrazole-4-carboxamide, (2.033) 3- (difluoromethyl)-N-[(3R)-7-fluoro-1,1,3-trimethyl-2,3-dihydro-1H-inden-4-yl]-1-methyl-1H-pyrazole- 4-carboxamide, (2.034) 3-(difluoromethyl)-N-[(3S)-7-fluoro-1,1,3-trimethyl-2,3-dihydro-1H-inden-4- yl]-1-methyl-1H-pyrazole-4-carboxamide, (2.035) N-[(1R,4S)-9-(dichloromethylene)-1,2,3,4-tetrahydro- 1,4-methanonaphthalen-5-yl]-3-(difluoromethyl)-1-methyl-1H-pyrazole-4-carboxamide, (2.036) N- [(1S,4R)-9-(dichloromethylene)-1,2,3,4-tetrahydro-1,4-methanonaphthalen-5-yl]-3-(difluoromethyl)-1- methyl-1H-pyrazole-4-carboxamide, (2.037) N-[1-(2,4-dichlorophenyl)-1-methoxypropan-2-yl]-3- (difluoromethyl)-1-methyl-1H-pyrazole-4-carboxamide, (2.038) N-[rac-(1S,2S)-2-(2,4- dichlorophenyl)cyclobutyl]-2-(trifluoromethyl)nicotinamide. 3) Inhibitors of the respiratory chain at complex III, for example (3.001) ametoctradin, (3.002) amisulbrom, (3.003) azoxystrobin, (3.004) coumethoxystrobin, (3.005) coumoxystrobin, (3.006) cyazofamid, (3.007) dimoxystrobin, (3.008) enoxastrobin, (3.009) famoxadone, (3.010) fenamidone, (3.011) fenpicoxamid, (3.012) florylpicoxamid, (3.013) flufenoxystrobin, (3.014) fluoxastrobin, (3.015) kresoxim-methyl, (3.016) mandestrobin, (3.017) metarylpicoxamid, (3.018) metominostrobin, (3.019) metyltetraprole, (3.020) orysastrobin, (3.021) picoxystrobin, (3.022) pyraclostrobin, (3.023) pyrametostrobin, (3.024) pyraoxystrobin, (3.025) trifloxystrobin, (3.026) (2E)-2-{2-[({[(1E)-1-(3-{[(E)- 1-fluoro-2-phenylvinyl]oxy}phenyl)ethylidene]amino}oxy)methyl]phenyl}-2-(methoxyimino)-N- methylacetamide, (3.027) (2E,3Z)-5-{[1-(4-chloro-2-fluorophenyl)-1H-pyrazol-3-yl]oxy}-2- (methoxyimino)-N,3-dimethylpent-3-enamide, (3.028) (2E,3Z)-5-{[1-(4-chlorophenyl)-1H-pyrazol-3- yl]oxy}-2-(methoxyimino)-N,3-dimethylpent-3-enamide, (3.029) (2R)-2-{2-[(2,5- dimethylphenoxy)methyl]phenyl}-2-methoxy-N-methylacetamide, (3.030) (2S)-2-{2-[(2,5- dimethylphenoxy)methyl]phenyl}-2-methoxy-N-methylacetamide, (3.031) (Z,2E)-5-[1-(2,4- dichlorophenyl)pyrazol-3-yl]oxy-2-methoxyimino-N,3-dimethyl-pent-3-enamide, (3.032) methyl (Z)-2- (5-cyclohexyl-2-methyl-phenoxy)-3-methoxy-prop-2-enoate, (3.033) methyl (Z)-2-(5-cyclopentyl-2-   BCS223033 FC -40- methyl-phenoxy)-3-methoxy-prop-2-enoate, (3.034) methyl (Z)-3-methoxy-2-[2-methyl-5-(3- propylpyrazol-1-yl)phenoxy]prop-2-enoate, (3.035) methyl (Z)-3-methoxy-2-[2-methyl-5-[3- (trifluoromethyl)pyrazol-1-yl]phenoxy]prop-2-enoate, (3.036) methyl {5-[3-(2,4-dimethylphenyl)-1H- pyrazol-1-yl]-2-methylbenzyl}carbamate, (3.037) [rac-2-(4-bromo-7-fluoro-indol-1-yl)-1-methyl- propyl] (2S)-2-[(3-hydroxy-4-methoxy-pyridine-2-carbonyl)amino]propanoate, (3.038) [rac-2-(7-bromo- 4-fluoro-indol-1-yl)-1-methyl-propyl] (2S)-2-[(3-acetoxy-4-methoxy-pyridine-2- carbonyl)amino]propanoate, (3.039) [rac-2-(7-bromoindol-1-yl)-1-methyl-propyl] (2S)-2-[(3-hydroxy-4- methoxy-pyridine-2-carbonyl)amino]propanoate, (3.040) [rac-2-(3,5-dichloro-2-pyridyl)-1-methyl- propyl] (2S)-2-[(3-hydroxy-4-methoxy-pyridine-2-carbonyl)amino]propanoate, (3.041) [(1S)-1-[1-(1- naphthyl)cyclopropyl]ethyl] (2S)-2-[(3-acetoxy-4-methoxy-pyridine-2-carbonyl)amino]propanoate, (3.042) [(1S)-1-[1-(1-naphthyl)cyclopropyl]ethyl] (2S)-2-[(3-hydroxy-4-methoxy-pyridine-2- carbonyl)amino]propanoate, (3.043) [(1S)-1-[1-(1-naphthyl)cyclopropyl]ethyl] (2S)-2-[[3- (acetoxymethoxy)-4-methoxy-pyridine-2-carbonyl]amino]propanoate, (3.044) [2-[[(1S)-2-[(1RS,2SR)-2- (3,5-dichloro-2-pyridyl)-1-methyl-propoxy]-1-methyl-2-oxo-ethyl]carbamoyl]-4-methoxy-3- pyridyl]oxymethyl 2-methylpropanoate, (3.045) N-(3-ethyl-3,5,5-trimethylcyclohexyl)-3-formamido-2- hydroxybenzamide. 4) Inhibitors of the mitosis and cell division, for example (4.001) carbendazim, (4.002) diethofencarb, (4.003) ethaboxam, (4.004) fluopicolide, (4.005) fluopimomide, (4.006) metrafenone, (4.007) pencycuron, (4.008) pyridachlometyl, (4.009) pyriofenone (chlazafenone), (4.010) thiabendazole, (4.011) thiophanate-methyl, (4.012) zoxamide, (4.013) 3-chloro-5-(4-chlorophenyl)-4-(2,6-difluorophenyl)-6- methylpyridazine, (4.014) 3-chloro-5-(6-chloropyridin-3-yl)-6-methyl-4-(2,4,6- trifluorophenyl)pyridazine, (4.015) 4-(2-bromo-4-fluorophenyl)-N-(2,6-difluorophenyl)-1,3-dimethyl- 1H-pyrazol-5-amine, (4.016) 4-(2-bromo-4-fluorophenyl)-N-(2-bromo-6-fluorophenyl)-1,3-dimethyl- 1H-pyrazol-5-amine, (4.017) 4-(2-bromo-4-fluorophenyl)-N-(2-bromophenyl)-1,3-dimethyl-1H-pyrazol- 5-amine, (4.018) 4-(2-bromo-4-fluorophenyl)-N-(2-chloro-6-fluorophenyl)-1,3-dimethyl-1H-pyrazol-5- amine, (4.019) 4-(2-bromo-4-fluorophenyl)-N-(2-chlorophenyl)-1,3-dimethyl-1H-pyrazol-5-amine, (4.020) 4-(2-bromo-4-fluorophenyl)-N-(2-fluorophenyl)-1,3-dimethyl-1H-pyrazol-5-amine, (4.021) 4-(2- chloro-4-fluorophenyl)-N-(2,6-difluorophenyl)-1,3-dimethyl-1H-pyrazol-5-amine, (4.022) 4-(2-chloro- 4-fluorophenyl)-N-(2-chloro-6-fluorophenyl)-1,3-dimethyl-1H-pyrazol-5-amine, (4.023) 4-(2-chloro-4- fluorophenyl)-N-(2-chlorophenyl)-1,3-dimethyl-1H-pyrazol-5-amine, (4.024) 4-(2-chloro-4- fluorophenyl)-N-(2-fluorophenyl)-1,3-dimethyl-1H-pyrazol-5-amine, (4.025) 4-(4-chlorophenyl)-5-(2,6- difluorophenyl)-3,6-dimethylpyridazine, (4.026) N-(2-bromo-6-fluorophenyl)-4-(2-chloro-4- fluorophenyl)-1,3-dimethyl-1H-pyrazol-5-amine, (4.027) N-(2-bromophenyl)-4-(2-chloro-4- fluorophenyl)-1,3-dimethyl-1H-pyrazol-5-amine, (4.028) N-(4-chloro-2,6-difluorophenyl)-4-(2-chloro- 4-fluorophenyl)-1,3-dimethyl-1H-pyrazol-5-amine.   BCS223033 FC -41- 5) Compounds capable to have a multisite action, for example (5.001) bordeaux mixture, (5.002) captafol, (5.003) captan, (5.004) chlorothalonil, (5.005) copper hydroxide, (5.006) copper naphthenate, (5.007) copper oxide, (5.008) copper oxychloride, (5.009) copper(2+) sulfate, (5.010) dithianon, (5.011) dodine, (5.012) folpet, (5.013) mancozeb, (5.014) maneb, (5.015) metiram, (5.016) metiram zinc, (5.017) oxine- copper, (5.018) propineb, (5.019) sulfur and sulfur preparations including calcium polysulfide, (5.020) thiram, (5.021) zineb, (5.022) ziram, (5.023) 6-ethyl-5,7-dioxo-6,7-dihydro-5H- pyrrolo[3',4':5,6][1,4]dithiino[2,3-c][1,2]thiazole-3-carbonitrile. 6) Compounds capable to induce a host defence, for example (6.001) acibenzolar-S-methyl, (6.002) fosetyl-aluminium, (6.003) fosetyl-calcium, (6.004) fosetyl-sodium, (6.005) isotianil, (6.006) phosphorous acid and its salts, (6.007) probenazole, (6.008) tiadinil. 7) Inhibitors of the amino acid and/or protein biosynthesis, for example (7.001) cyprodinil, (7.002) kasugamycin, (7.003) kasugamycin hydrochloride hydrate, (7.004) oxytetracycline, (7.005) pyrimethanil 8) Inhibitors of the ATP production, for example (8.001) silthiofam. 9) Inhibitors of the cell wall synthesis, for example (9.001) benthiavalicarb, (9.002) dimethomorph, (9.003) flumorph, (9.004) iprovalicarb, (9.005) mandipropamid, (9.006) pyrimorph, (9.007) valifenalate, (9.008) (2E)-3-(4-tert-butylphenyl)-3-(2-chloropyridin-4-yl)-1-(morpholin-4-yl)prop-2-en-1-one, (9.009) (2Z)-3-(4-tert-butylphenyl)-3-(2-chloropyridin-4-yl)-1-(morpholin-4-yl)prop-2-en-1-one. 10) Inhibitors of the lipid synthesis or transport, or membrane synthesis, for example (10.001) fluoxapiprolin, (10.002) natamycin, (10.003) oxathiapiprolin, (10.004) propamocarb, (10.005) propamocarb hydrochloride, (10.006) propamocarb-fosetylate, (10.007) tolclofos-methyl, (10.008) 1-(4- {4-[(5R)-5-(2,6-difluorophenyl)-4,5-dihydro-1,2-oxazol-3-yl]-1,3-thiazol-2-yl}piperidin-1-yl)-2-[5- methyl-3-(trifluoromethyl)-1H-pyrazol-1-yl]ethanone, (10.009) 1-(4-{4-[(5S)-5-(2,6-difluorophenyl)- 4,5-dihydro-1,2-oxazol-3-yl]-1,3-thiazol-2-yl}piperidin-1-yl)-2-[5-methyl-3-(trifluoromethyl)-1H- pyrazol-1-yl]ethanone, (10.010) 2-[3,5-bis(difluoromethyl)-1H-pyrazol-1-yl]-1-[4-(4-{5-[2-(prop-2-yn- 1-yloxy)phenyl]-4,5-dihydro-1,2-oxazol-3-yl}-1,3-thiazol-2-yl)piperidin-1-yl]ethanone, (10.011) 2-[3,5- bis(difluoromethyl)-1H-pyrazol-1-yl]-1-[4-(4-{5-[2-chloro-6-(prop-2-yn-1-yloxy)phenyl]-4,5-dihydro- 1,2-oxazol-3-yl}-1,3-thiazol-2-yl)piperidin-1-yl]ethanone, (10.012) 2-[3,5-bis(difluoromethyl)-1H- pyrazol-1-yl]-1-[4-(4-{5-[2-fluoro-6-(prop-2-yn-1-yloxy)phenyl]-4,5-dihydro-1,2-oxazol-3-yl}-1,3- thiazol-2-yl)piperidin-1-yl]ethanone, (10.013) 2-{(5R)-3-[2-(1-{[3,5-bis(difluoromethyl)-1H-pyrazol-1- yl]acetyl}piperidin-4-yl)-1,3-thiazol-4-yl]-4,5-dihydro-1,2-oxazol-5-yl}-3-chlorophenyl methanesulfonate, (10.014) 2-{(5S)-3-[2-(1-{[3,5-bis(difluoromethyl)-1H-pyrazol-1-yl]acetyl}piperidin- 4-yl)-1,3-thiazol-4-yl]-4,5-dihydro-1,2-oxazol-5-yl}-3-chlorophenyl methanesulfonate, (10.015) 2-{3-[2- (1-{[3,5-bis(difluoromethyl)-1H-pyrazol-1-yl]acetyl}piperidin-4-yl)-1,3-thiazol-4-yl]-4,5-dihydro-1,2- oxazol-5-yl}phenyl methanesulfonate, (10.016) 3-[2-(1-{[5-methyl-3-(trifluoromethyl)-1H-pyrazol-1-   BCS223033 FC -42- yl]acetyl}piperidin-4-yl)-1,3-thiazol-4-yl]-1,5-dihydro-2,4-benzodioxepin-6-yl methanesulfonate, (10.017) 9-fluoro-3-[2-(1-{[5-methyl-3-(trifluoromethyl)-1H-pyrazol-1-yl]acetyl}piperidin-4-yl)-1,3- thiazol-4-yl]-1,5-dihydro-2,4-benzodioxepin-6-yl methanesulfonate, (10.018) 3-[2-(1-{[3,5- bis(difluoromethyl)-1H-pyrazol-1-yl]acetyl}piperidin-4-yl)-1,3-thiazol-4-yl]-1,5-dihydro-2,4- benzodioxepin-6-yl methanesulfonate, (10.019) 3-[2-(1-{[3,5-bis(difluoromethyl)-1H-pyrazol-1- yl]acetyl}piperidin-4-yl)-1,3-thiazol-4-yl]-9-fluoro-1,5-dihydro-2,4-benzodioxepin-6-yl methanesulfonate. 11) Inhibitors of the melanin biosynthesis, for example (11.001) tolprocarb, (11.002) tricyclazole. 12) Inhibitors of the nucleic acid synthesis, for example (12.001) benalaxyl, (12.002) benalaxyl-M (kiralaxyl), (12.003) metalaxyl, (12.004) metalaxyl-M (mefenoxam). 13) Inhibitors of the signal transduction, for example (13.001) fludioxonil, (13.002) iprodione, (13.003) procymidone, (13.004) proquinazid, (13.005) quinoxyfen, (13.006) vinclozolin. 14) Compounds capable to act as an uncoupler, for example (14.001) fluazinam, (14.002) meptyldinocap. 15) Further compounds, for example (15.001) abscisic acid, (15.002) aminopyrifen, (15.003) benthiazole, (15.004) bethoxazin, (15.005) capsimycin, (15.006) carvone, (15.007) chinomethionat, (15.008) chloroinconazide, (15.009) cufraneb, (15.010) cyflufenamid, (15.011) cymoxanil, (15.012) cyprosulfamide, (15.013) dipymetitrone, (15.014) D-tagatose, (15.015) flufenoxadiazam, (15.016) flumetylsulforim, (15.017) flutianil, (15.018) ipflufenoquin, (15.019) methyl isothiocyanate, (15.020) mildiomycin, (15.021) nickel dimethyldithiocarbamate, (15.022) nitrothal-isopropyl, (15.023) oxyfenthiin, (15.024) pentachlorophenol and salts, (15.025) picarbutrazox, (15.026) quinofumelin, (15.027) tebufloquin, (15.028) tecloftalam, (15.029) tolnifanide, (15.030) 2-(6-benzylpyridin-2- yl)quinazoline, (15.031) 2-[6-(3-fluoro-4-methoxyphenyl)-5-methylpyridin-2-yl]quinazoline, (15.032) 2- phenylphenol and salts, (15.033) 4-amino-5-fluoropyrimidin-2-ol (tautomeric form: 4-amino-5- fluoropyrimidin-2(1H)-one), (15.034) 4-oxo-4-[(2-phenylethyl)amino]butanoic acid, (15.035) 5-amino- 1,3,4-thiadiazole-2-thiol, (15.036) 5-chloro-N'-phenyl-N'-(prop-2-yn-1-yl)thiophene-2-sulfonohydrazide, (15.037) 5-fluoro-2-[(4-fluorobenzyl)oxy]pyrimidin-4-amine, (15.038) 5-fluoro-2-[(4- methylbenzyl)oxy]pyrimidin-4-amine, (15.039) but-3-yn-1-yl {6-[({[(Z)-(1-methyl-1H-tetrazol-5- yl)(phenyl)methylene]amino}oxy)methyl]pyridin-2-yl}carbamate, (15.040) ethyl (2Z)-3-amino-2-cyano- 3-phenylacrylate, (15.041) methyl 2-[acetyl-[2-ethylsulfonyl-4-(trifluoromethyl)benzoyl]amino]-5- (trifluoromethoxy)benzoate, (15.042) N-acetyl-N-[2-bromo-4-(trifluoromethoxy)phenyl]-2- ethylsulfonyl-4-(trifluoromethyl)benzamide, (15.043) phenazine-1-carboxylic acid, (15.044) propyl 3,4,5-trihydroxybenzoate, (15.045) quinolin-8-ol, (15.046) quinolin-8-ol sulfate (2:1), (15.047) (2R)-2- benzyl-N-(8-fluoro-2-methyl-3-quinolyl)-2,4-dimethyl-pentanamide, (15.048) (2S)-2-benzyl-N-(8- fluoro-2-methyl-3-quinolyl)-2,4-dimethyl-pentanamide, (15.049) 1-(4,5-dimethyl-1H-benzimidazol-1-   BCS223033 FC -43- yl)-4,4-difluoro-3,3-dimethyl-3,4-dihydroisoquinoline, (15.050) 1-(4,5-dimethylbenzimidazol-1-yl)- 4,4,5-trifluoro-3,3-dimethyl-isoquinoline, (15.051) 1-(5-(fluoromethyl)-6-methyl-pyridin-3-yl)-4,4- difluoro-3,3-dimethyl-3,4-dihydroisoquinoline, (15.052) 1-(5,6-dimethylpyridin-3-yl)-4,4-difluoro-3,3- dimethyl-3,4-dihydroisoquinoline, (15.053) 1-(6-(difluoromethyl)-5-methoxy-pyridin-3-yl)-4,4-difluoro- 3,3-dimethyl-3,4-dihydroisoquinoline, (15.054) 1-(6-(difluoromethyl)-5-methyl-pyridin-3-yl)-4,4- difluoro-3,3-dimethyl-3,4-dihydroisoquinoline, (15.055) 1-(6,7-dimethylpyrazolo[1,5-a]pyridin-3-yl)- 4,4,5-trifluoro-3,3-dimethyl-isoquinoline, (15.056) 1-(6,7-dimethylpyrazolo[1,5-a]pyridin-3-yl)-4,4- difluoro-3,3-dimethyl-3,4-dihydroisoquinoline, (15.057) 2-{2-fluoro-6-[(8-fluoro-2-methylquinolin-3- yl)oxy]phenyl}propan-2-ol, (15.058) 3-(4,4,5-trifluoro-3,3-dimethyl-3,4-dihydroisoquinolin-1- yl)quinoline, (15.059) 3-(4,4-difluoro-3,3-dimethyl-3,4-dihydroisoquinolin-1-yl)-8-fluoroquinoline, (15.060) 3-(4,4-difluoro-5,5-dimethyl-4,5-dihydrothieno[2,3-c]pyridin-7-yl)quinoline, (15.061) 3-(5- fluoro-3,3,4,4-tetramethyl-3,4-dihydroisoquinolin-1-yl)quinoline, (15.062) 4,4-difluoro-3,3-dimethyl-1- (4-methylbenzimidazol-1-yl)isoquinoline, (15.063) 4,4-difluoro-3,3-dimethyl-1-(6-methylpyrazolo[1,5- a]pyridin-3-yl)isoquinoline, (15.064) 5-bromo-1-(5,6-dimethylpyridin-3-yl)-3,3-dimethyl-3,4- dihydroisoquinoline, (15.065) 7,8-difluoro-N-[rac-1-benzyl-1,3-dimethyl-butyl]quinoline-3- carboxamide, (15.066) 8-fluoro-3-(5-fluoro-3,3,4,4-tetramethyl-3,4-dihydroisoquinolin-1-yl)-quinoline, (15.067) 8-fluoro-3-(5-fluoro-3,3-dimethyl-3,4-dihydroisoquinolin-1-yl)-quinoline, (15.068) 8-fluoro-N- (4,4,4-trifluoro-2-methyl-1-phenylbutan-2-yl)quinoline-3-carboxamide, (15.069) 8-fluoro-N-[(1R)-1-[(3- fluorophenyl)methyl]-1,3-dimethyl-butyl]quinoline-3-carboxamide, (15.070) 8-fluoro-N-[(1S)-1-[(3- fluorophenyl)methyl]-1,3-dimethyl-butyl]quinoline-3-carboxamide, (15.071) 8-fluoro-N-[(2S)-4,4,4- trifluoro-2-methyl-1-phenylbutan-2-yl]quinoline-3-carboxamide, (15.072) 8-fluoro-N-[rac-1-[(3- fluorophenyl)methyl]-1,3-dimethyl-butyl]quinoline-3-carboxamide, (15.073) 9-fluoro-2,2-dimethyl-5- (quinolin-3-yl)-2,3-dihydro-1,4-benzoxazepine, (15.074) N-(2,4-dimethyl-1-phenylpentan-2-yl)-8- fluoroquinoline-3-carboxamide, (15.075) N-[(1R)-1-benzyl-1,3-dimethyl-butyl]-7,8-difluoro-quinoline- 3-carboxamide, (15.076) N-[(1S)-1-benzyl-1,3-dimethyl-butyl]-7,8-difluoro-quinoline-3-carboxamide, (15.077) N-[(2R)-2,4-dimethyl-1-phenylpentan-2-yl]-8-fluoroquinoline-3-carboxamide, (15.078) rac-2- benzyl-N-(8-fluoro-2-methyl-3-quinolyl)-2,4-dimethyl-pentanamide, (15.079) 1,1-diethyl-3-[[4-[5- (trifluoromethyl)-1,2,4-oxadiazol-3-yl]phenyl]methyl]urea, (15.080) 1,3-dimethoxy-1-[[4-[5- (trifluoromethyl)-1,2,4-oxadiazol-3-yl]phenyl]methyl]urea, (15.081) 1-[[3-fluoro-4-(5-(trifluoromethyl)- 1,2,4-oxadiazol-3-yl)phenyl]methyl]azepan-2-one, (15.082) 1-[[4-[5-(trifluoromethyl)-1,2,4-oxadiazol- 3-yl]phenyl]methyl]piperidin-2-one, (15.083) 1-methoxy-1-methyl-3-[[4-[5-(trifluoromethyl)-1,2,4- oxadiazol-3-yl]phenyl]methyl]urea, (15.084) 1-methoxy-3-methyl-1-[[4-[5-(trifluoromethyl)-1,2,4- oxadiazol-3-yl]phenyl]methyl]urea, (15.085) 1-methoxy-3-methyl-1-[[4-[5-(trifluoromethyl)-1,2,4- oxadiazol-3-yl]phenyl]methyl]urea, (15.086) 2-(difluoromethyl)-5-[2-[1-(2,6- difluorophenyl)cyclopropoxy]pyrimidin-5-yl]-1,3,4-oxadiazole, (15.087) 2,2-difluoro-N-methyl-2-[4-[5- (trifluoromethyl)-1,2,4-oxadiazol-3-yl]phenyl]acetamide, (15.088) 3,3-dimethyl-1-[[4-[5- (trifluoromethyl)-1,2,4-oxadiazol-3-yl]phenyl]methyl]piperidin-2-one, (15.089) 3-ethyl-1-methoxy-1-   BCS223033 FC -44- [[4-[5-(trifluoromethyl)-1,2,4-oxadiazol-3-yl]phenyl]methyl]urea, (15.090) 4,4-dimethyl-1-[[4-[5- (trifluoromethyl)-1,2,4-oxadiazol-3-yl]phenyl]methyl]pyrrolidin-2-one, (15.091) 4,4-dimethyl-2-[[4-[5- (trifluoromethyl)-1,2,4-oxadiazol-3-yl]phenyl]methyl]isoxazolidin-3-one, (15.092) 4-[5- (trifluoromethyl)-1,2,4-oxadiazol-3-yl]phenyl dimethylcarbamate, (15.093) 5,5-dimethyl-2-[[4-[5- (trifluoromethyl)-1,2,4-oxadiazol-3-yl]phenyl]methyl]isoxazolidin-3-one, (15.094) 5-[5- (difluoromethyl)-1,3,4-oxadiazol-2-yl]-N-[(1R)-1-(2,6-difluorophenyl)ethyl]pyrimidin-2-amine, (15.095) 5-[5-(difluoromethyl)-1,3,4-oxadiazol-2-yl]-N-[(1R)-1-(2,6-difluorophenyl)propyl]pyrimidin- 2-amine, (15.096) 5-[5-(difluoromethyl)-1,3,4-oxadiazol-2-yl]-N-[(1R)-1-(2- fluorophenyl)ethyl]pyrimidin-2-amine, (15.097) 5-[5-(difluoromethyl)-1,3,4-oxadiazol-2-yl]-N-[(1R)-1- (2-fluorophenyl)ethyl]pyrimidin-2-amine, (15.098) 5-[5-(difluoromethyl)-1,3,4-oxadiazol-2-yl]-N-[(1R)- 1-(3,5-difluorophenyl)ethyl]pyrimidin-2-amine, (15.099) 5-[5-(difluoromethyl)-1,3,4-oxadiazol-2-yl]-N- [(1R)-1-phenylethyl]pyrimidin-2-amine, (15.100) 5-[5-(difluoromethyl)-1,3,4-oxadiazol-2-yl]-N-[1-(2- fluorophenyl)cyclopropyl]pyrimidin-2-amine, (15.101) 5-methyl-1-[[4-[5-(trifluoromethyl)-1,2,4- oxadiazol-3-yl]phenyl]methyl]pyrrolidin-2-one, (15.102) ethyl 1-{4-[5-(trifluoromethyl)-1,2,4- oxadiazol-3-yl]benzyl}-1H-pyrazole-4-carboxylate, (15.103) methyl {4-[5-(trifluoromethyl)-1,2,4- oxadiazol-3-yl]phenyl}carbamate, (15.104) N-(1-methylcyclopropyl)-4-[5-(trifluoromethyl)-1,2,4- oxadiazol-3-yl]benzamide, (15.105) N-(2,4-difluorophenyl)-4-[5-(trifluoromethyl)-1,2,4-oxadiazol-3- yl]benzamide, (15.106) N,2-dimethoxy-N-[[4-[5-(trifluoromethyl)-1,2,4-oxadiazol-3- yl]phenyl]methyl]propanamide, (15.107) N,N-dimethyl-1-{4-[5-(trifluoromethyl)-1,2,4-oxadiazol-3- yl]benzyl}-1H-1,2,4-triazol-3-amine, (15.108) N-[(E)-methoxyiminomethyl]-4-[5-(trifluoromethyl)- 1,2,4-oxadiazol-3-yl]benzamide, (15.109) N-[(E)-N-methoxy-C-methyl-carbonimidoyl]-4-[5- (trifluoromethyl)-1,2,4-oxadiazol-3-yl]benzamide, (15.110) N-[(Z)-methoxyiminomethyl]-4-[5- (trifluoromethyl)-1,2,4-oxadiazol-3-yl]benzamide, (15.111) N-[(Z)-N-methoxy-C-methyl- carbonimidoyl]-4-[5-(trifluoromethyl)-1,2,4-oxadiazol-3-yl]benzamide, (15.112) N-[[2,3-difluoro-4-[5- (trifluoromethyl)-1,2,4-oxadiazol-3-yl]phenyl]methyl]-3,3,3-trifluoro-propanamide, (15.113) N-[[4-[5- (trifluoromethyl)-1,2,4-oxadiazol-3-yl]phenyl]methyl]propanamide, (15.114) N-[4-[5-(trifluoromethyl)- 1,2,4-oxadiazol-3-yl]phenyl]cyclopropanecarboxamide, (15.115) N-{2,3-difluoro-4-[5-(trifluoromethyl)- 1,2,4-oxadiazol-3-yl]benzyl}butanamide, (15.116) N-{4-[5-(trifluoromethyl)-1,2,4-oxadiazol-3- yl]benzyl}cyclopropanecarboxamide, (15.117) N-{4-[5-(trifluoromethyl)-1,2,4-oxadiazol-3- yl]phenyl}propanamide, (15.118) N-allyl-N-[[4-[5-(trifluoromethyl)-1,2,4-oxadiazol-3- yl]phenyl]methyl]acetamide, (15.119) N-allyl-N-[[4-[5-(trifluoromethyl)-1,2,4-oxadiazol-3- yl]phenyl]methyl]propanamide, (15.120) N-ethyl-2-methyl-N-[[4-[5-(trifluoromethyl)-1,2,4-oxadiazol- 3-yl]phenyl]methyl]propanamide, (15.121) N-methoxy-N-[[4-[5-(trifluoromethyl)-1,2,4-oxadiazol-3- yl]phenyl]methyl]cyclopropanecarboxamide, (15.122) N-methyl-4-[5-(trifluoromethyl)-1,2,4-oxadiazol- 3-yl]benzamide, (15.123) N-methyl-4-[5-(trifluoromethyl)-1,2,4-oxadiazol-3-yl]benzenecarbothioamide, (15.124) N-methyl-N-phenyl-4-[5-(trifluoromethyl)-1,2,4-oxadiazol-3-yl]benzamide.   BCS223033 FC -45- All named mixing partners of the classes (1) to (15) as described here above can be present in the form of the free compound or, if their functional groups enable this, an agrochemically active salt thereof. The compound and the composition of the invention may also be combined with one or more biological control agents. As used herein, the term ”biological control” is defined as control of harmful organisms such as a phytopathogenic fungi and/or insects and/or acarids and/or nematodes by the use or employment of a biological control agent. As used herein, the term “biological control agent” is defined as an organism other than the harmful organisms and / or proteins or secondary metabolites produced by such an organism for the purpose of biological control. Mutants of the second organism shall be included within the definition of the biological control agent. The term “mutant” refers to a variant of the parental strain as well as methods for obtaining a mutant or variant in which the pesticidal activity is greater than that expressed by the parental strain. The ”parent strain“ is defined herein as the original strain before mutagenesis. To obtain such mutants the parental strain may be treated with a chemical such as N-methyl-N'-nitro-N-nitrosoguanidine, ethylmethanesulfone, or by irradiation using gamma, x-ray, or UV-irradiation, or by other means well known to those skilled in the art. Known mechanisms of biological control agents comprise enteric bacteria that control root rot by out-competing fungi for space on the surface of the root. Bacterial toxins, such as antibiotics, have been used to control pathogens. The toxin can be isolated and applied directly to the plant or the bacterial species may be administered so it produces the toxin in situ. A ”variant” is a strain having all the identifying characteristics of the NRRL or ATCC Accession Numbers as indicated in this text and can be identified as having a genome that hybridizes under conditions of high stringency to the genome of the NRRL or ATCC Accession Numbers. “Hybridization” refers to a reaction in which one or more polynucleotides react to form a complex that is stabilized via hydrogen bonding between the bases of the nucleotide residues. The hydrogen bonding may occur by Watson-Crick base pairing, Hoogstein binding, or in any other sequence-specific manner. The complex may comprise two strands forming a duplex structure, three or more strands forming a multi- stranded complex, a single self-hybridizing strand, or any combination of these. Hybridization reactions can be performed under conditions of different “stringency”. In general, a low stringency hybridization reaction is carried out at about 40 °C in 10 X SSC or a solution of equivalent ionic strength/temperature. A moderate stringency hybridization is typically performed at about 50 °C in 6 X SSC, and a high stringency hybridization reaction is generally performed at about 60 °C in 1 X SSC. A variant of the indicated NRRL or ATCC Accession Number may also be defined as a strain having a genomic sequence that is greater than 85%, more preferably greater than 90% or more preferably greater than 95% sequence identity to the genome of the indicated NRRL or ATCC Accession Number. A   BCS223033 FC -46- polynucleotide or polynucleotide region (or a polypeptide or polypeptide region) has a certain percentage (for example, 80%, 85%, 90%, or 95%) of “sequence identity” to another sequence means that, when aligned, that percentage of bases (or amino acids) are the same in comparing the two sequences. This alignment and the percent homology or sequence identity can be determined using software programs known in the art, for example, those described in Current Protocols in Molecular Biology (F. M. Ausubel et al., eds., 1987). NRRL is the abbreviation for the Agricultural Research Service Culture Collection, an international depositary authority for the purposes of deposing microorganism strains under the Budapest treaty on the international recognition of the deposit of microorganisms for the purposes of patent procedure, having the address National Center for Agricultural Utilization Research, Agricultural Research service, U.S. Department of Agriculture, 1815 North university Street, Peroira, Illinois 61604 USA. ATCC is the abbreviation for the American Type Culture Collection, an international depositary authority for the purposes of deposing microorganism strains under the Budapest treaty on the international recognition of the deposit of microorganisms for the purposes of patent procedure, having the address ATCC Patent Depository, 10801 University Blvd., Manassas, VA 10110 USA. Examples of biological control agents which may be combined with the compound and the composition of the invention are: (A) Antibacterial agents selected from the group of: (A1) bacteria, such as (A1.01) Bacillus subtilis, in particular strain QST713/AQ713 (available as SERENADE OPTI or SERENADE ASO from Bayer CropScience LP, US, having NRRL Accession No. B21661, U.S. Patent No. 6,060,051); (A1.02) Bacillus sp., in particular strain D747 (available as DOUBLE NICKEL
® from Kumiai Chemical Industry Co., Ltd.), having Accession No. FERM BP-8234, U.S. Patent No. 7,094,592; (A1.03) Bacillus pumilus, in particular strain BU F-33, having NRRL Accession No. 50185 (available as part of the CARTISSA
® product from BASF, EPA Reg. No. 71840- 19); (A1.04) Bacillus subtilis var. amyloliquefaciens strain FZB24 having Accession No. DSM 10271 (available from Novozymes as TAEGRO
® or TAEGRO
® ECO (EPA Registration No.70127-5)); (A1.05) a Paenibacillus sp. strain having Accession No. NRRL B-50972 or Accession No. NRRL B-67129, WO 2016/154297; (A1.06) Bacillus subtilis strain BU1814, (available as VELONDIS
® PLUS, VELONDIS
® FLEX and VELONDIS
® EXTRA from BASF SE); (A1.07) Bacillus mojavensis strain R3B (Accession No. NCAIM (P) B001389) (WO 2013/034938) from Certis USA LLC, a subsidiary of Mitsui & Co.; (A1.08) Bacillus subtilis CX-9060 from Certis USA LLC, a subsidiary of Mitsui & Co.; (A1.09) Paenibacillus polymyxa, in particular strain AC-1 (e.g. TOPSEED
® from Green Biotech Company Ltd.); (A1.10) Pseudomonas proradix (e.g. PRORADIX
® from Sourcon Padena); (A1.11) Pantoea   BCS223033 FC -47- agglomerans, in particular strain E325 (Accession No. NRRL B-21856) (available as BLOOMTIME BIOLOGICAL
TM FD BIOPESTICIDE from Northwest Agri Products); and (A2) fungi, such as (A2.01) Aureobasidium pullulans, in particular blastospores of strain DSM14940, blastospores of strain DSM 14941 ormixtures of blastospores of strains DSM14940 and DSM14941 (e.g., BOTECTOR
® and BLOSSOM PROTECT
®from bio-ferm, CH); (A2.02) Pseudozyma aphidis (as disclosed in WO2011/151819 by Yissum Research Development Company of the Hebrew University of Jerusalem); (A2.03) Saccharomyces cerevisiae, in particular strains CNCM No. I-3936, CNCM No. I- 3937, CNCM No. I-3938 or CNCM No. I-3939 (WO 2010/086790) from Lesaffre et Compagnie, FR; (B) biological fungicides selected from the group of: (B1) bacteria, for example (B1.01) Bacillus subtilis, in particular strain QST713/AQ713 (available as SERENADE OPTI or SERENADE ASO from Bayer CropScience LP, US, having NRRL Accession No. B21661 and described in U.S. Patent No. 6,060,051); (B1.02) Bacillus pumilus, in particular strain QST2808 (available as SONATA® from Bayer CropScience LP, US, having Accession No. NRRL B- 30087 and described in U.S. Patent No. 6,245,551); (B1.03) Bacillus pumilus, in particular strain GB34 (available as Yield Shield® from Bayer AG, DE); (B1.04) Bacillus pumilus, in particular strain BU F-33, having NRRL Accession No. 50185 (available as part of the CARTISSA product from BASF, EPA Reg. No. 71840-19); (B1.05) Bacillus amyloliquefaciens, in particular strain D747 (available as Double Nickel™ from Kumiai Chemical Industry Co., Ltd., having accession number FERM BP-8234, US Patent No. 7,094,592); (B1.06) Bacillus subtilis Y1336 (available as BIOBAC
® WP from Bion-Tech, Taiwan, registered as a biological fungicide in Taiwan under Registration Nos. 4764, 5454, 5096 and 5277); (B1.07) Bacillus subtilis strain MBI 600 (available as SUBTILEX from BASF SE), having Accession Number NRRL B-50595, U.S. Patent No. 5,061,495; (B1.08) Bacillus subtilis strain GB03 (available as Kodiak® from Bayer AG, DE); (B1.09) Bacillus subtilis var. amyloliquefaciens strain FZB24 having Accession No. DSM 10271 (available from Novozymes as TAEGRO
® or TAEGRO
® ECO (EPA Registration No. 70127-5)); (B1.10) Bacillus mycoides, isolate J , having Accession No. B-30890 (available as BMJ TGAI
® or WG and LifeGard
TM from Certis USA LLC, a subsidiary of Mitsui & Co.); (B1.11) Bacillus licheniformis, in particular strain SB3086 , having Accession No. ATCC 55406, WO 2003/000051 (available as ECOGUARD
® Biofungicide and GREEN RELEAF
TM from Novozymes); (B1.12) a Paenibacillus sp. strain having Accession No. NRRL B-50972 or Accession No. NRRL B- 67129, WO 2016/154297; (B1.13) Bacillus subtilis strain BU1814, (available as VELONDIS
® PLUS, VELONDIS
® FLEX and VELONDIS
® EXTRA from BASF SE); (B1.14) Bacillus subtilis CX-9060 from Certis USA LLC, a subsidiary of Mitsui & Co.; (B1.15) Bacillus amyloliquefaciens strain F727 (also known as strain MBI110) (NRRL Accession No. B-50768; WO 2014/028521) (STARGUS
® from Marrone Bio Innovations); (B1.16) Bacillus amyloliquefaciens strain FZB42, Accession No. DSM 23117 (available as RHIZOVITAL
® from ABiTEP, DE); (B1.17) Bacillus licheniformis FMCH001 and Bacillus subtilis FMCH002 (QUARTZO
® (WG) and PRESENCE
® (WP) from FMC Corporation); (B1.18)   BCS223033 FC -48- Bacillus mojavensis strain R3B (Accession No. NCAIM (P) B001389) (WO 2013/034938) from Certis USA LLC, a subsidiary of Mitsui & Co.; (B1.19) Paenibacillus polymyxa ssp. plantarum (WO 2016/020371) from BASF SE; (B1.20) Paenibacillus epiphyticus (WO 2016/020371) from BASF SE; (B1.21) Pseudomonas chlororaphis strain AFS009, having Accession No. NRRL B-50897, WO 2017/019448 (e.g., HOWLER™ and ZIO
® from AgBiome Innovations, US); (B1.22) Pseudomonas chlororaphis, in particular strain MA342 (e.g. CEDOMON
®, CERALL
®, and CEDRESS
® by Bioagri and Koppert); (B1.23) Streptomyces lydicus strain WYEC108 (also known as Streptomyces lydicus strain WYCD108US) (ACTINO-IRON
® and ACTINOVATE
® from Novozymes); (B1.24) Agrobacterium radiobacter strain K84 (e.g. GALLTROL-A
® from AgBioChem, CA); (B1.25) Agrobacterium radiobacter strain K1026 (e.g. NOGALL
TM from BASF SE); (B1.26) Bacillus subtilis KTSB strain (FOLIACTIVE
® from Donaghys); (B1.27) Bacillus subtilis IAB/BS03 (AVIV
TM from STK Bio-Ag Technologies); (B1.28) Bacillus subtilis strain Y1336 (available as BIOBAC
® WP from Bion-Tech, Taiwan, registered as a biological fungicide in Taiwan under Registration Nos. 4764, 5454, 5096 and 5277); (B1.29) Bacillus amyloliquefaciens isolate B246 (e.g. AVOGREEN
TM from University of Pretoria); (B1.30) Bacillus methylotrophicus strain BAC-9912 (from Chinese Academy of Sciences’ Institute of Applied Ecology); (B1.31) Pseudomonas proradix (e.g. PRORADIX
® from Sourcon Padena); (B1.32) Streptomyces griseoviridis strain K61 (also known as Streptomyces galbus strain K61) (Accession No. DSM 7206) (MYCOSTOP
® from Verdera; PREFENCE
® from BioWorks; cf. Crop Protection 2006, 25, strain A506 (e.g
®
 . BLIGHTBAN A506 by NuFarm); and (B2) fungi, for example: (B2.01) Coniothyrium minitans, in particular strain CON/M/91-8 (Accession No. DSM-9660; e.g. Contans ® from Bayer CropScience Biologics GmbH); (B2.02) Metschnikowia fructicola, in particular strain NRRL Y-30752; (B2.03) Microsphaeropsis ochracea; (B2.04) Trichoderma atroviride, in particular strain SC1 (having Accession No. CBS 122089, WO 2009/116106 and U.S. Patent No.8,431,120 (from Bi-PA)), strain 77B (T77 from Andermatt Biocontrol) or strain LU132 (e.g. Sentinel from Agrimm Technologies Limited); (B2.05) Trichoderma harzianum strain T-22 (e.g. Trianum-P from Andermatt Biocontrol or Koppert) or strain Cepa Simb-T5 (from Simbiose Agro); (B2.06) Gliocladium roseum (also known as Clonostachys rosea f. rosea), in particular strain 321U from Adjuvants Plus, strain ACM941 as disclosed in Xue (Efficacy of Clonostachys rosea strain ACM941 and fungicide seed treatments for controlling the root tot complex of field pea, Can Jour Plant Sci 83(3): 519-524), or strain IK726 (Jensen DF, et al. Development of a biocontrol agent for plant disease control with special emphasis on the near commercial fungal antagonist Clonostachys rosea strain ‘IK726’; Australas Plant Pathol. 2007;36:95–101); (B2.07) Talaromyces flavus, strain V117b; (B2.08) Trichoderma viride, in particular strain B35 (Pietr et al., 1993, Zesz. Nauk. A R w Szczecinie 161: 125-137); (B2.09) Trichoderma asperellum, in particular strain SKT-1, having Accession No. FERM P-16510 (e.g. ECO-HOPE® from Kumiai Chemical Industry), strain T34 (e.g. T34 Biocontrol by Biocontrol Technologies S.L., ES) or strain ICC 012 from Isagro; (B2.10) Trichoderma atroviride, strain CNCM I-1237 (e.g. Esquive® WP from Agrauxine, FR); (B2.11) Trichoderma atroviride, strain no. V08/002387; (B2.12) Trichoderma   BCS223033 FC -49- atroviride, strain NMI no. V08/002388; (B2.13) Trichoderma atroviride, strain NMI no. V08/002389; (B2.14) Trichoderma atroviride, strain NMI no. V08/002390; (B2.15) Trichoderma atroviride, strain LC52 (e.g. Tenet by Agrimm Technologies Limited); (B2.16) Trichoderma atroviride, strain ATCC 20476 (IMI 206040); (B2.17) Trichoderma atroviride, strain T11 (IMI352941/ CECT20498); (B2.18) Trichoderma harmatum; (B2.19) Trichoderma harzianum; (B2.20) Trichoderma harzianum rifai T39 (e.g. Trichodex® from Makhteshim, US); (B2.21) Trichoderma asperellum, in particular, strain kd (e.g. T-Gro from Andermatt Biocontrol); (B2.22) Trichoderma harzianum, strain ITEM 908 (e.g. Trianum-P from Koppert); (B2.23) Trichoderma harzianum, strain TH35 (e.g. Root-Pro by Mycontrol); (B2.24) Trichoderma virens (also known as Gliocladium virens), in particular strain GL-21 (e.g. SoilGard by Certis, US); (B2.25) Trichoderma viride, strain TV1(e.g. Trianum-P by Koppert); (B2.26) Ampelomyces quisqualis, in particular strain AQ 10 (e.g. AQ 10® by IntrachemBio Italia); (B2.27) Aureobasidium pullulans, in particular blastospores of strain DSM14940; (B2.28) Aureobasidium pullulans, in particular blastospores of strain DSM 14941; (B2.29) Aureobasidium pullulans, in particular mixtures of blastospores of strains DSM14940 and DSM 14941 (e.g. Botector® by bio-ferm, CH); (B2.30) Cladosporium cladosporioides, strain H39, having Accession No. CBS122244, US 2010/0291039 (by Stichting Dienst Landbouwkundig Onderzoek); (B2.31) Gliocladium catenulatum (Synonym: Clonostachys rosea f. catenulate) strain J1446 (e.g. Prestop ® by Lallemand); (B2.32) Lecanicillium lecanii (formerly known as Verticillium lecanii) conidia of strain KV01 (e.g. Vertalec® by Koppert/Arysta); (B2.33) Penicillium vermiculatum; (B2.34) Pichia anomala, strain WRL-076 (NRRL Y-30842), U.S. Patent No. 7,579,183; (B2.35) Trichoderma atroviride, strain SKT-1 (FERM P-16510), JP Patent Publication (Kokai) 11-253151 A; (B2.36) Trichoderma atroviride, strain SKT-2 (FERM P- 16511), JP Patent Publication (Kokai) 11-253151 A; (B2.37) Trichoderma atroviride, strain SKT-3 (FERM P-17021), JP Patent Publication (Kokai) 11-253151 A; (B2.38) Trichoderma gamsii (formerly T. viride), strain ICC080 (IMI CC 392151 CABI, e.g. BioDerma by AGROBIOSOL DE MEXICO, S.A. DE C.V.); (B2.39) Trichoderma harzianum, strain DB 103 (available as T-GRO
® 7456 by Dagutat Biolab); (B2.40) Trichoderma polysporum, strain IMI 206039 (e.g. Binab TF WP by BINAB Bio-Innovation AB, Sweden); (B2.41) Trichoderma stromaticum, having Accession No. Ts3550 (e.g. Tricovab by CEPLAC, Brazil); (B2.42) Ulocladium oudemansii strain U3, having Accession No. NM 99/06216 (e.g., BOTRY- ZEN
® by Botry-Zen Ltd, New Zealand and BOTRYSTOP
® from BioWorks, Inc.); (B2.43) Verticillium albo-atrum (formerly V. dahliae), strain WCS850 having Accession No. WCS850, deposited at the Central Bureau for Fungi Cultures (e.g., DUTCH TRIG
® by Tree Care Innovations); (B2.44) Verticillium chlamydosporium; (B2.45) mixtures of Trichoderma asperellum strain ICC 012 (also known as Trichoderma harzianum ICC012), having Accession No. CABI CC IMI 392716 and Trichoderma gamsii (formerly T. viride) strain ICC 080, having Accession No. IMI 392151 (e.g., BIO-TAM
TM from Isagro USA, Inc. and BIODERMA
® by Agrobiosol de Mexico, S.A. de C.V.); (B2.46) Trichoderma asperelloides JM41R (Accession No. NRRL B-50759) (TRICHO PLUS
® from BASF SE); (B2.47) Aspergillus flavus strain NRRL 21882 (products known as AFLA-GUARD
® from Syngenta/ChemChina);   BCS223033 FC -50- (B2.48) Chaetomium cupreum (Accession No. CABI 353812) (e.g. BIOKUPRUM
TM by AgriLife); (B2.49) Saccharomyces cerevisiae, in particular strain LASO2 (from Agro-Levures et Dérivés), strain LAS117 cell walls (CEREVISANE
® from Lesaffre; ROMEO
® from BASF SE), strains CNCM No. I- 3936, CNCM No. I-3937, CNCM No. I-3938, CNCM No. I-3939 (WO 2010/086790) from Lesaffre et Compagnie, FR; (B2.50) Trichoderma virens strain G-41, formerly known as Gliocladium virens (Accession No. ATCC 20906) (e.g., ROOTSHIELD
® PLUS WP and TURFSHIELD
® PLUS WP from BioWorks, US); (B2.51) Trichoderma hamatum, having Accession No. ATCC 28012; (B2.52) Ampelomyces quisqualis strain AQ10, having Accession No. CNCM I-807 (e.g., AQ 10
® by IntrachemBio Italia); (B2.53) Phlebiopsis gigantea strain VRA 1992 (ROTSTOP
® C from Danstar Ferment); (B2.54) Penicillium steckii (DSM 27859; WO 2015/067800) from BASF SE; (B2.55) Chaetomium globosum (available as RIVADIOM
® by Rivale); (B2.56) Cryptococcus flavescens, strain 3C (NRRL Y-50378); (B2.57) Dactylaria candida; (B2.58) Dilophosphora alopecuri (available as TWIST FUNGUS
®); (B2.59) Fusarium oxysporum, strain Fo47 (available as FUSACLEAN
® by Natural Plant Protection); (B2.60) Pseudozyma flocculosa, strain PF-A22 UL (available as SPORODEX
® L by Plant Products Co., CA); (B2.61) Trichoderma gamsii (formerly T. viride), strain ICC 080 (IMI CC 392151 CABI) (available as BIODERMA
® by AGROBIOSOL DE MEXICO, S.A. DE C.V.); (B2.62) Trichoderma fertile (e.g. product TrichoPlus from BASF); (B2.63) Muscodor roseus, in particular strain A3-5 (Accession No. NRRL 30548); (B2.64) Simplicillium lanosoniveum; (C) biological control agents having an effect for improving plant growth and/or plant health which may be combined in the compound combinations according to the invention including (C1) bacteria selected from the group consisting of (C1.01) Bacillus pumilus, in particular strain QST2808 (having Accession No. NRRL No. B-30087); (C1.02) Bacillus subtilis, in particular strain QST713/AQ713 (having NRRL Accession No. B-21661 and described in U.S. Patent No. 6,060,051; available as SERENADE
® OPTI or SERENADE
® ASO from Bayer CropScience LP, US); (C1.03) Bacillus subtilis, in particular strain AQ30002 (having Accession Nos. NRRL B-50421 and described in U.S. Patent Application No. 13/330,576); (C1.04) Bacillus subtilis, in particular strain AQ30004 (and NRRL B-50455 and described in U.S. Patent Application No. 13/330,576); (C.1.05) Sinorhizobium meliloti strain NRG-185-1 (NITRAGIN
® GOLD from Bayer CropScience); (C.1.06) Bacillus subtilis strain BU1814, (available as TEQUALIS
® from BASF SE); (C1.07) Bacillus subtilis rm303 (RHIZOMAX
® from Biofilm Crop Protection); (C1.08) Bacillus amyloliquefaciens pm414 (LOLI- PEPTA
® from Biofilm Crop Protection); (C1.09) Bacillus mycoides BT155 (NRRL No. B-50921), (C.1.10) Bacillus mycoides EE118 (NRRL No. B-50918), (C1.11) Bacillus mycoides EE141 (NRRL No. B-50916), (C1.12) Bacillus mycoides BT46-3 (NRRL No. B-50922), (C1.13) Bacillus cereus family member EE128 (NRRL No. B-50917), (C1.14) Bacillus thuringiensis BT013A (NRRL No. B-50924) also known as Bacillus thuringiensis 4Q7, (C1.15) Bacillus cereus family member EE349 (NRRL No. B- 50928), (C1.16) Bacillus amyloliquefaciens SB3281 (ATCC # PTA-7542; WO 2017/205258), (C1.17)   BCS223033 FC -51- Bacillus amyloliquefaciens TJ1000 (available as QUIKROOTS
® from Novozymes); (C1.18) Bacillus firmus, in particular strain CNMC I-1582 (e.g. VOTIVO
® from BASF SE); (C1.19) Bacillus pumilus, in particular strain GB34 (e.g. YIELD SHIELD
® from Bayer Crop Science, DE); (C1.20) Bacillus amyloliquefaciens, in particular strain IN937a; (C1.21) Bacillus amyloliquefaciens, in particular strain FZB42 (e.g. RHIZOVITAL
® from ABiTEP, DE); (C1.22) Bacillus amyloliquefaciens BS27 (Accession No. NRRL B-5015); (C1.23) a mixture of Bacillus licheniformis FMCH001 and Bacillus subtilis FMCH002 (available as QUARTZO
® (WG), PRESENCE
® (WP) from FMC Corporation); (C1.24) Bacillus cereus, in particular strain BP01 (ATCC 55675; e.g. MEPICHLOR
® from Arysta Lifescience, US); (C1.25) Bacillus subtilis, in particular strain MBI 600 (e.g. SUBTILEX
® from BASF SE); (C1.26) Bradyrhizobium japonicum (e.g. OPTIMIZE
® from Novozymes); (C1.27) Mesorhizobium cicer (e.g., NODULATOR from BASF SE); (C1.28) Rhizobium leguminosarium biovar viciae (e.g., NODULATOR from BASF SE); (C1.29) Delftia acidovorans, in particular strain RAY209 (e.g. BIOBOOST
® from Brett Young Seeds); (C1.30) Lactobacillus sp. (e.g. LACTOPLANT
® from LactoPAFI); (C1.31) Paenibacillus polymyxa, in particular strain AC-1 (e.g. TOPSEED
® from Green Biotech Company Ltd.); (C1.32) Pseudomonas proradix (e.g. PRORADIX
® from Sourcon Padena); (C1.33) Azospirillum brasilense (e.g., VIGOR
® from KALO, Inc.); (C1.34) Azospirillum lipoferum (e.g., VERTEX-IF
TM from TerraMax, Inc.); (C1.35) a mixture of Azotobacter vinelandii and Clostridium pasteurianum (available as INVIGORATE
® from Agrinos); (C1.36) Pseudomonas aeruginosa, in particular strain PN1; (C1.37) Rhizobium leguminosarum, in particular bv. viceae strain Z25 (Accession No. CECT 4585); (C1.38) Azorhizobium caulinodans, in particular strain ZB-SK-5; (C1.39) Azotobacter chroococcum, in particular strain H23; (C1.40) Azotobacter vinelandii, in particular strain ATCC 12837; (C1.41) Bacillus siamensis, in particular strain KCTC 13613T; (C1.42) Bacillus tequilensis, in particular strain NII-0943; (C1.43) Serratia marcescens, in particular strain SRM (Accession No. MTCC 8708); (C1.44) Thiobacillus sp. (e.g. CROPAID
® from Cropaid Ltd UK); and (C2) fungi selected from the group consisting of (C2.01) Purpureocillium lilacinum (previously known as Paecilomyces lilacinus) strain 251 (AGAL 89/030550; e.g. BioAct from Bayer CropScience Biologics GmbH); (C2.02) Penicillium bilaii, strain ATCC 22348 (e.g. JumpStart
® from Acceleron BioAg), (C2.03) Talaromyces flavus,strain V117b; (C2.04) Trichoderma atroviride strain CNCM I-1237 (e.g. Esquive® WP from Agrauxine, FR), (C2.05) Trichoderma viride, e.g. strain B35 (Pietr et al., 1993, Zesz. Nauk. A R w Szczecinie 161: 125-137); (C2.06) Trichoderma atroviride strain LC52 (also known as Trichoderma atroviride strain LU132; e.g. Sentinel from Agrimm Technologies Limited); (C2.07) Trichoderma atroviride strain SC1 described in International Application No. PCT/IT2008/000196); (C2.08) Trichoderma asperellum strain kd (e.g. T-Gro from Andermatt Biocontrol); (C2.09) Trichoderma asperellum strain Eco-T (Plant Health Products, ZA); (C2.10) Trichoderma harzianum strain T-22 (e.g. Trianum-P from Andermatt Biocontrol or Koppert); (C2.11) Myrothecium verrucaria strain AARC-0255 (e.g. DiTera™ from Valent Biosciences); (C2.12) Penicillium bilaii strain ATCC ATCC20851; (C2.13) Pythium oligandrum strain M1 (ATCC 38472; e.g. Polyversum from Bioprepraty, CZ); (C2.14)   BCS223033 FC -52- Trichoderma virens strain GL-21 (e.g. SoilGard® from Certis, USA); (C2.15) Verticillium albo-atrum (formerly V. dahliae) strain WCS850 (CBS 276.92; e.g. Dutch Trig from Tree Care Innovations); (C2.16) Trichoderma atroviride, in particular strain no. V08/002387, strain no. NMI No. V08/002388, strain no. NMI No. V08/002389, strain no. NMI No. V08/002390; (C2.17) Trichoderma harzianum strain ITEM 908; (C2.18) Trichoderma harzianum, strain TSTh20; (C2.19) Trichoderma harzianum strain 1295-22; (C2.20) Pythium oligandrum strain DV74; (C2.21) Rhizopogon amylopogon (e.g. comprised in Myco-Sol from Helena Chemical Company); (C2.22) Rhizopogon fulvigleba (e.g. comprised in Myco-Sol from Helena Chemical Company); and (C2.23) Trichoderma virens strain GI-3; (D) insecticidally active biological control agents selected from (D1) bacteria selected from the group consisting of (D1.01) Bacillus thuringiensis subsp. aizawai, in particular strain ABTS-1857 (SD-1372; e.g. XENTARI
® from Valent BioSciences); (D1.02) Bacillus mycoides, isolate J. (e.g. BmJ from Certis USA LLC, a subsidiary of Mitsui & Co.); (D1.03) Bacillus sphaericus, in particular Serotype H5a5b strain 2362 (strain ABTS-1743) (e.g. VECTOLEX
® from Valent BioSciences, US); (D1.04) Bacillus thuringiensis subsp. kurstaki strain BMP 123 from Becker Microbial Products, IL; (D1.05) Bacillus thuringiensis subsp. aizawai, in particular serotype H-7 (e.g. FLORBAC
® WG from Valent BioSciences, US); (D1.06) Bacillus thuringiensis subsp. kurstaki strain HD-1 (e.g. DIPEL
® ES from Valent BioSciences, US); (D1.07) Bacillus thuringiensis subsp. kurstaki strain BMP 123 by Becker Microbial Products, IL; (D1.08) Bacillus thuringiensis israelensis strain BMP 144 (e.g. AQUABAC
® by Becker Microbial Products IL); (D1.09) Burkholderia spp., in particular Burkholderia rinojensis strain A396 (also known as Burkholderia rinojensis strain MBI 305) (Accession No. NRRL B- 50319; WO 2011/106491 and WO 2013/032693; e.g. MBI-206 TGAI and ZELTO
® from Marrone Bio Innovations); (D1.10) Chromobacterium subtsugae, in particular strain PRAA4-1T (MBI-203; e.g. GRANDEVO
® from Marrone Bio Innovations); (D1.11) Paenibacillus popilliae (formerly Bacillus popilliae; e.g. MILKY SPORE POWDER
TM and MILKY SPORE GRANULAR
TM from St. Gabriel Laboratories); (D1.12) Bacillus thuringiensis subsp. israelensis (serotype H-14) strain AM65-52 (Accession No. ATCC 1276) (e.g. VECTOBAC
® by Valent BioSciences, US); (D1.13) Bacillus thuringiensis var. kurstaki strain EVB-113-19 (e.g., BIOPROTEC
® from AEF Global); (D1.14) Bacillus thuringiensis subsp. tenebrionis strain NB 176 (SD-5428; e.g. NOVODOR
® FC from BioFa DE); (D1.15) Bacillus thuringiensis var. japonensis strain Buibui; (D1.16) Bacillus thuringiensis subsp. kurstaki strain ABTS 351; (D1.17) Bacillus thuringiensis subsp. kurstaki strain PB 54; (D1.18) Bacillus thuringiensis subsp. kurstaki strain SA 11;
 strain SA 12; (D1.20) Bacillus thuringiensis subsp. kurstaki strain EG 2348; (D1.21) Bacillus thuringiensis var. Colmeri (e.g. TIANBAOBTC by Changzhou Jianghai Chemical Factory); (D1.22) Bacillus thuringiensis subsp. aizawai strain GC-91; (D1.23) Serratia entomophila (e.g. INVADE
® by Wrightson Seeds); (D1.24) Serratia marcescens, in particular strain SRM (Accession No. MTCC 8708); and (D1.25) Wolbachia pipientis ZAP strain (e.g., ZAP MALES
® from MosquitoMate); and   BCS223033 FC -53- (D2) fungi selected from the group consisting of (D2.01) Isaria fumosorosea (previously known as Paecilomyces fumosoroseus) strain apopka 97; (D2.02) Beauveria bassiana strain ATCC 74040 (e.g. NATURALIS
® from Intrachem Bio Italia); (D2.03) Beauveria bassiana strain GHA (Accession No. ATCC74250; e.g. BOTANIGUARD
® ES and MYCONTROL-O
® from Laverlam International Corporation); (D2.04) Zoophtora radicans; (D2.05) Metarhizium robertsii 15013-1 (deposited under NRRL accession number 67073), (D2.06) Metarhizium robertsii 23013-3 (deposited under NRRL accession number 67075), and (D2.07) Metarhizium anisopliae 3213-1 (deposited under NRRL accession number 67074) (WO 2017/066094; Pioneer Hi-Bred International); (D2.08) Beauveria bassiana strain ATP02 (Accession No. DSM 24665); (E) viruses selected from the group consisting of Adoxophyes orana (summer fruit tortrix) granulosis virus (GV), Cydia pomonella (codling moth) granulosis virus (GV), Helicoverpa armigera (cotton bollworm) nuclear polyhedrosis virus (NPV), Spodoptera exigua (beet armyworm) mNPV, Spodoptera frugiperda (fall armyworm) mNPV, and Spodoptera littoralis (African cotton leafworm) NPV; (F) bacteria and fungi which can be added as 'inoculant' to plants or plant parts or plant organs and which, by virtue of their particular properties, promote plant growth and plant health. Examples are: Agrobacterium spp., Azorhizobium caulinodans, Azospirillum spp., Azotobacter spp., Bradyrhizobium spp., Burkholderia spp., in particular Burkholderia cepacia (formerly known as Pseudomonas cepacia), Gigaspora spp., or Gigaspora monosporum, Glomus spp., Laccaria spp., Lactobacillus buchneri, Paraglomus spp., Pisolithus tinctorus, Pseudomonas spp., Rhizobium spp., in particular Rhizobium trifolii, Rhizopogon spp., Scleroderma spp., Suillus spp., and Streptomyces spp.; and (G) plant extracts and products formed by microorganisms including proteins and secondary metabolites which can be used as biological control agents, such as Allium sativum, Artemisia absinthium, azadirachtin, Biokeeper WP, Cassia nigricans, Celastrus angulatus, Chenopodium anthelminticum, chitin, Armour-Zen, Dryopteris filix-mas, Equisetum arvense, Fortune Aza, Fungastop, Heads Up (Chenopodium quinoa saponin extract), Pyrethrum/Pyrethrins, Quassia amara, Quercus, Quillaja, Regalia, "Requiem ™ Insecticide", rotenone, ryania/ryanodine, Symphytum officinale, Tanacetum vulgare, thymol, Triact 70, TriCon, Tropaeulum majus, Urtica dioica, Veratrin, Viscum album, Brassicaceae extract, in particular oilseed rape powder or mustard powder, as well as bioinsecticidal / acaricidal active substances obtained from olive oil, in particular unsaturated fatty/carboxylic acids having carbon chain lengths C
16-C
20 as active ingredients, such as, for example, contained in the product with the trade name FLiPPER®. The compound and the composition of the invention may be combined with one or more active ingredients selected from insecticides, acaricides and nematicides.   BCS223033 FC -54- “Insecticides” as well as the term “insecticidal” refers to the ability of a substance to increase mortality or inhibit growth rate of insects. As used herein, the term “insects” comprises all organisms in the class “Insecta”. “Nematicide” and “nematicidal” refers to the ability of a substance to increase mortality or inhibit the growth rate of nematodes. In general, the term “nematode” comprises eggs, larvae, juvenile and mature forms of said organism. “Acaricide” and “acaricidal” refers to the ability of a substance to increase mortality or inhibit growth rate of ectoparasites belonging to the class Arachnida, sub-class Acari. Examples of insecticides, acaricides and nematicides, respectively, which could be mixed with the compound and the composition of the invention are: (1) Acetylcholinesterase (AChE) inhibitors, preferably carbamates selected from alanycarb, aldicarb, bendiocarb, benfuracarb, butocarboxim, butoxycarboxim, carbaryl, carbofuran, carbosulfan, ethiofencarb, fenobucarb, formetanate, furathiocarb, isoprocarb, methiocarb, methomyl, metolcarb, oxamyl, pirimicarb, propoxur, thiodicarb, thiofanox, triazamate, trimethacarb, XMC and xylylcarb, or organophosphates selected from acephate, azamethiphos, azinphos-ethyl, azinphos-methyl, cadusafos, chlorethoxyfos, chlorfenvinphos, chlormephos, chlorpyrifos-methyl, coumaphos, cyanophos, demeton-S-methyl, diazinon, dichlorvos/DDVP, dicrotophos, dimethoate, dimethylvinphos, disulfoton, EPN, ethion, ethoprophos, famphur, fenamiphos, fenitrothion, fenthion, fosthiazate, heptenophos, imicyafos, isofenphos, isopropyl O-(methoxyaminothiophosphoryl) salicylate, isoxathion, malathion, mecarbam, methamidophos, methidathion, mevinphos, monocrotophos, naled, omethoate, oxydemeton-methyl, parathion-methyl, phenthoate, phorate, phosalone, phosmet, phosphamidon, phoxim, pirimiphos-methyl, profenofos, propetamphos, prothiofos, pyraclofos, pyridaphenthion, quinalphos, sulfotep, tebupirimfos, temephos, terbufos, tetrachlorvinphos, thiometon, triazophos, triclorfon and vamidothion. (2) GABA-gated chloride channel blockers, preferably cyclodiene-organochlorines selected from chlordane and endosulfan, or phenylpyrazoles (fiproles) selected from ethiprole and fipronil. (3) Sodium channel modulators, preferably pyrethroids selected from acrinathrin, allethrin, d-cis-trans allethrin, d-trans allethrin, bifenthrin, bioallethrin, bioallethrin s-cyclopentenyl isomer, bioresmethrin, cycloprothrin, cyfluthrin, beta-cyfluthrin, cyhalothrin, lambda-cyhalothrin, gamma-cyhalothrin, cypermethrin, alpha-cypermethrin, beta-cypermethrin, theta-cypermethrin, zeta-cypermethrin, cyphenothrin [(1R)-trans-isomer], deltamethrin, empenthrin [(EZ)-(1R)-isomer], esfenvalerate, etofenprox, fenpropathrin, fenvalerate, flucythrinate, flumethrin, tau-fluvalinate, halfenprox, imiprothrin, kadethrin, momfluorothrin, permethrin, phenothrin [(1R)-trans-isomer], prallethrin, pyrethrins (pyrethrum), resmethrin, silafluofen, tefluthrin, tetramethrin, tetramethrin [(1R)- isomer)], tralomethrin and transfluthrin, or DDT or methoxychlor.   BCS223033 FC -55- (4) Nicotinic acetylcholine receptor (nAChR) competitive modulators, preferably neonicotinoids selected from acetamiprid, clothianidin, dinotefuran, imidacloprid, nitenpyram, thiacloprid and thiamethoxam, or nicotine, or sulfoximines selected from sulfoxaflor, or butenolids selected from flupyradifurone, or mesoionics selected from triflumezopyrim, or pyridylidenes selected from Flupyrimin. (5) Nicotinic acetylcholine receptor (nAChR) allosteric modulators (site I), preferably spinosyns selected from spinetoram and spinosad. (6) Glutamate-gated chloride channel (GluCl) allosteric modulators, preferably avermectins/milbemycins selected from abamectin, emamectin benzoate, lepimectin and milbemectin. (7) Juvenile hormone mimics, preferably juvenile hormone analogues selected from hydroprene, kinoprene and methoprene, or fenoxycarb or pyriproxyfen. (8) Miscellaneous non-specific (multi-site) inhibitors, preferably alkyl halides selected from methyl bromide and other alkyl halides, or chloropicrine or sulphuryl fluoride or borax or tartar emetic or methyl isocyanate generators selected from diazomet and metam. (9) Chordotonal organ TRPV channel modulators, preferably pyridine azomethanes selected from pymetrozine and pyrifluquinazone, or pyropenes selected from afidopyropen. (10) Mite growth inhibitors affecting CHS1 selected from clofentezine, hexythiazox, diflovidazin and etoxazole. (11) Microbial disruptors of the insect gut membranes selected from Bacillus thuringiensis subspecies israelensis, Bacillus sphaericus, Bacillus thuringiensis subspecies aizawai, Bacillus thuringiensis subspecies kurstaki, Bacillus thuringiensis subspecies tenebrionis, and B.t. plant proteins selected from Cry1Ab, Cry1Ac, Cry1Fa, Cry1A.105, Cry2Ab, Vip3A, mCry3A, Cry3Ab, Cry3Bb and Cry34Ab1/35Ab1. (12) Inhibitors of mitochondrial ATP synthase, preferably ATP disruptors selected from diafenthiuron, or organotin compounds selected from azocyclotin, cyhexatin and fenbutatin oxide, or propargite or tetradifon. (13) Uncouplers of oxidative phosphorylation via disruption of the proton gradient selected from chlorfenapyr, DNOC and sulfluramid. (14) Nicotinic acetylcholine receptor channel blockers selected from bensultap, cartap hydrochloride, thiocylam and thiosultap-sodium.   BCS223033 FC -56- (15) Inhibitors of chitin biosynthesis affecting CHS1, preferably benzoylureas selected from bistrifluron, chlorfluazuron, diflubenzuron, flucycloxuron, flufenoxuron, hexaflumuron, lufenuron, novaluron, noviflumuron, teflubenzuron and triflumuron. (16) Inhibitors of chitin biosynthesis, type 1 selected from buprofezin. (17) Moulting disruptors (in particular for Diptera, i.e. dipterans) selected from cyromazine. (18) Ecdysone receptor agonists, preferably diacylhydrazines selected from chromafenozide, halofenozide, methoxyfenozide and tebufenozide. (19) Octopamine receptor agonists selected from amitraz. (20) Mitochondrial complex III electron transport inhibitors selected from hydramethylnone, acequinocyl, fluacrypyrim and bifenazate. (21) Mitochondrial complex I electron transport inhibitors, preferably METI acaricides and insecticides selected from fenazaquin, fenpyroximate, pyrimidifen, pyridaben, tebufenpyrad and tolfenpyrad, or rotenone (Derris). (22) Voltage-dependent sodium channel blockers, preferably oxadiazines selected from indoxacarb, or semicarbazones selected from metaflumizone. (23) Inhibitors of acetyl CoA carboxylase, preferably tetronic and tetramic acid derivatives selected from spirodiclofen, spiromesifen, spiropidion and spirotetramat. (24) Mitochondrial complex IV electron transport inhibitors, preferably phosphides selected from aluminium phosphide, calcium phosphide, phosphine and zinc phosphide, or cyanides selected from calcium cyanide, potassium cyanide and sodium cyanide. (25) Mitochondrial complex II electron transport inhibitors, preferably beta-ketonitrile derivatives selected from cyenopyrafen and cyflumetofen, or carboxanilides selected from pyflubumide. (28) Ryanodine receptor modulators, preferably diamides selected from chlorantraniliprole, cyantraniliprole, cyclaniliprole, flubendiamide and tetraniliprole. (29) Chordotonal organ Modulators (with undefined target site) selected from flonicamid. (30) GABA-gated chlorid channel allosteric modulators, preferably meta-diamides selected from broflanilide, or isoxazoles selected from fluxametamide.   BCS223033 FC -57- (31) Baculoviruses, preferably Granuloviruses (GVs) selected from Cydia pomonella GV and Thaumatotibia leucotreta (GV), or Nucleopolyhedroviruses (NPVs) selected from Anticarsia gemmatalis MNPV, Flucypyriprole and Helicoverpa armigera NPV. (32) Nicotinic acetylcholine receptor allosteric modulators (site II) selected from GS-omega/kappa HXTX-Hv1a peptide. (33) Calcium-activated potassium channel KCa2 modulators, selected from acynonapyr. (34) Mitochondrial complex III electron transfer inhibitors (non-Qo site), selected from flometoquin. (UN) Compounds of unknown or uncertain MoA (Target protein responsible for biological activity is unknown, or uncharacterized), selected from azadirachtin, benzoximate, bromopropylate, chinomethionat, dicofol, lime sulfur, mancozeb, pyridalyl, and sulfur. (UNB) Bacterial agents (non-Bt) of unknown or uncertain MoA (Target protein responsible for biological activity is unknown or uncharacterized), selected from Burkholderia spp., and Wolbachia pipientis (Zap). (UNE) Botanical essence including synthetic, extracts and unrefined oils with unknown or uncertain MoA (Target protein responsible for biological activity is unknown, or uncharacterized), selected from Chenopodium ambrosioides near ambrosioides extract and fatty acid monoesters with glycerol or propanediol neem oil. (UNF) Fungal agents of unknown or uncertain MoA (Target protein responsible for biological activity is unknown, or uncharacterized), selected from Beauveria bassiana strains, Metarhizium anisopliae strain F52, and Paecilomyces fumosoroseus Apopka strain 97. (UNM) Non-specific mechanical and physical disruptors (Target protein responsible for biological activity is unknown, or uncharacterized), selected from Diatomaceous earth, and mineral oil. Further active compounds selected from Afoxolaner, Benclothiaz, Benzpyrimoxan, Chloroprallethrin, Cryolite, Cyclobutrifluram, Cycloxaprid, Cyetpyrafen, Cyhalodiamide, Cyproflanilide (CAS 2375110- 88-4), Dicloromezotiaz, Dimpropyridaz, epsilon-Metofluthrin, epsilon-Momfluthrin, Fenmezoditiaz, Fluazaindolizine, Fluchlordiniliprole, Fluensulfone, Flufenerim, Flufenoxystrobin, Flufiprole, Fluhexafon, Fluopyram, Fluralaner, Fufenozide, Flupentiofenox, Guadipyr, Heptafluthrin, Imidaclothiz, Indazapyroxamet, Iprodione, Isocycloseram, kappa-Bifenthrin, kappa-Tefluthrin, Lotilaner, Meperfluthrin, Nicofluprole (CAS 1771741-86-6), Oxazosulfyl, Paichongding, Pyrifluquinazon, Pyriminostrobin, Sarolaner, Spidoxamat, Spirobudifen, Tetramethylfluthrin, Tetrachlorantraniliprole, Tigolaner, Tiorantraniliprole, Tioxazafen, Thiofluoximat, Trifluenfuronate (CAS 2074661-82-6), Tyclopyrazoflor, Iodomethane; furthermore preparations based on Bacillus firmus (I-1582, Votivo) and azadirachtin (BioNeem), and also the following compounds: 1-{2-fluoro-4-methyl-5-[(2,2,2-   BCS223033 FC -58- trifluoroethyl)sulphinyl]phenyl}-3-(trifluoromethyl)-1H-1,2,4-triazole-5-amine (known from WO2006/043635) (CAS 885026-50-6), 2-chloro-N-[2-{1-[(2E)-3-(4-chlorophenyl)prop-2-en-1- yl]piperidin-4-yl}-4-(trifluoromethyl)phenyl]isonicotinamide (known from WO2006/003494) (CAS 872999-66-1), 3-(4-chloro-2,6-dimethylphenyl)-4-hydroxy-8-methoxy-1,8-diazaspiro[4.5]dec-3-en-2- one (known from WO 2010052161) (CAS 1225292-17-0), 3-(4-chloro-2,6-dimethylphenyl)-8-methoxy- 2-oxo-1,8-diazaspiro[4.5]dec-3-en-4-yl ethyl carbonate (known from EP2647626) (CAS 1440516-42-6), PF1364 (known from JP2010/018586) (CAS 1204776-60-2), (3E)-3-[1-[(6-chloro-3-pyridyl)methyl]-2- pyridylidene]-1,1,1-trifluoro-propan-2-one (known from WO2013/144213) (CAS 1461743-15-6), N-[3- (benzylcarbamoyl)-4-chlorophenyl]-1-methyl-3-(pentafluoroethyl)-4-(trifluoromethyl)-1H-pyrazole-5- carboxamide (known from WO2010/051926) (CAS 1226889-14-0), 5-bromo-4-chloro-N-[4-chloro-2- methyl-6-(methylcarbamoyl)phenyl]-2-(3-chloro-2-pyridyl)pyrazole-3-carboxamide (known from CN103232431) (CAS 1449220-44-3), 4-[5-(3,5-dichlorophenyl)-4,5-dihydro-5-(trifluoromethyl)-3- isoxazolyl]-2-methyl-N-(cis-1-oxido-3-thietanyl)-benzamide, 4-[5-(3,5-dichlorophenyl)-4,5-dihydro-5- (trifluoromethyl)-3-isoxazolyl]-2-methyl-N-(trans-1-oxido-3-thietanyl)-benzamide and 4-[(5S)-5-(3,5- dichlorophenyl)-4,5-dihydro-5-(trifluoromethyl)-3-isoxazolyl]-2-methyl-N-(cis-1-oxido-3-thietanyl) benzamide (known from WO 2013/050317 A1) (CAS 1332628-83-7), N-[3-chloro-1-(3-pyridinyl)-1H- pyrazol-4-yl]-N-ethyl-3-[(3,3,3-trifluoropropyl)sulfinyl]-propanamide, (+)-N-[3-chloro-1-(3-pyridinyl)- 1H-pyrazol-4-yl]-N-ethyl-3-[(3,3,3-trifluoropropyl)sulfinyl]-propanamide and (-)-N-[3-chloro-1-(3- pyridinyl)-1H-pyrazol-4-yl]-N-ethyl-3-[(3,3,3-trifluoropropyl)sulfinyl]-propanamide (known from WO 2013/162715 A2, WO 2013/162716 A2, US 2014/0213448 A1) (CAS 1477923-37-7), 5-[[(2E)-3- chloro-2-propen-1-yl]amino]-1-[2,6-dichloro-4-(trifluoromethyl)phenyl]-4-[(trifluoromethyl)sulfinyl]- 1H-pyrazole-3-carbonitrile (known from CN 101337937 A) (CAS 1105672-77-2), 3-bromo-N-[4-chloro- 2-methyl-6-[(methylamino)thioxomethyl]phenyl]-1-(3-chloro-2-pyridinyl)-1H-pyrazole-5-carboxamide, (Liudaibenjiaxuanan, known from CN 103109816 A) (CAS 1232543-85-9); N-[4-chloro-2-[[(1,1- dimethylethyl)amino]carbonyl]-6-methylphenyl]-1-(3-chloro-2-pyridinyl)-3-(fluoromethoxy)-1H- pyrazole-5-carboxamide (known from WO 2012/034403 A1) (CAS 1268277-22-0), N-[2-(5-amino-1,3, 4-thiadiazol-2-yl)-4-chloro-6-methylphenyl]-3-bromo-1-(3-chloro-2-pyridinyl)-1H-pyrazole-5- carboxamide (known from WO 2011/085575 A1) (CAS 1233882-22-8), 4-[3-[2,6-dichloro-4-[(3,3- dichloro-2-propen-1-yl)oxy]phenoxy]propoxy]-2-methoxy-6-(trifluoromethyl)-pyrimidine (known from CN 101337940 A) (CAS 1108184-52-6); (2E)- and 2(Z)-2-[2-(4-cyanophenyl)-1-[3-(trifluoromethyl) phenyl]ethylidene]-N-[4-(difluoromethoxy)phenyl]-hydrazinecarboxamide (known from CN 101715774 A) (CAS 1232543-85-9); 3-(2,2-dichloroethenyl)-2,2-dimethyl-4-(1H-benzimidazol-2- yl)phenyl-cyclopropanecarboxylic acid ester (known from CN 103524422 A) (CAS 1542271-46-4); (4aS) -7-chloro-2,5-dihydro-2-[[(methoxycarbonyl)[4-[(trifluoromethyl)thio]phenyl]amino]carbonyl]- indeno[1,2-e][1,3,4]oxadiazine-4a(3H)-carboxylic acid methyl ester (known from CN 102391261 A) (CAS 1370358-69-2); 6-deoxy-3-O-ethyl-2,4-di-O-methyl-, 1-[N-[4-[1-[4-(1,1,2,2,2-pentafluoroethoxy) phenyl]-1H-1,2,4-triazol-3-yl]phenyl]carbamate]-α-L-mannopyranose (known from   BCS223033 FC -59- US 2014/0275503 A1) (CAS 1181213-14-8); 8-(2-cyclopropylmethoxy-4-trifluoromethyl-phenoxy)-3- (6-trifluoromethyl-pyridazin-3-yl)-3-aza-bicyclo[3.2.1 ]octane (CAS 1253850-56-4), (8-anti)-8-(2- cyclopropylmethoxy-4-trifluoromethyl-phenoxy)-3-(6-trifluoromethyl-pyridazin-3-yl)-3-aza- bicyclo[3.2.1 ]octane (CAS 933798-27-7), (8-syn)-8-(2-cyclopropylmethoxy-4-trifluoromethyl-phenoxy) -3-(6-trifluoromethyl-pyridazin-3-yl)-3-aza-bicyclo[3.2.1]octane (known from WO 2007040280 A1, WO 2007040282 A1) (CAS 934001-66-8), N-[4-(aminothioxomethyl)-2-methyl-6- [(methylamino)carbonyl]phenyl]-3-bromo-1-(3-chloro-2-pyridinyl)-1H-pyrazole-5-carboxamide (known from CN 103265527 A) (CAS 1452877-50-7), 3-(4-chloro-2,6-dimethylphenyl)-8-methoxy-1-methyl- 1,8-diazaspiro[4.5]decane-2,4-dione (known from WO 2014/187846 A1) (CAS 1638765-58-8), 3-(4- chloro-2,6-dimethylphenyl)-8-methoxy-1-methyl-2-oxo-1,8-diazaspiro[4.5]dec-3-en-4-yl-carbonic acid ethyl ester (known from WO 2010/066780 A1, WO 2011151146 A1) (CAS 1229023-00-0), N-[1-(2,6- difluorophenyl)-1H-pyrazol-3-yl]-2-(trifluoromethyl)benzamide (known from WO 2014/053450 A1) (CAS 1594624-87-9), N-[2-(2,6-difluorophenyl)-2H-1,2,3-triazol-4-yl]-2-(trifluoromethyl)benzamide (known from WO 2014/053450 A1) (CAS 1594637-65-6), N-[1-(3,5-difluoro-2-pyridinyl)-1H-pyrazol- 3-yl]-2-(trifluoromethyl)benzamide (known from WO 2014/053450 A1) (CAS 1594626-19-3), N-[3- chloro-1-(3-pyridinyl)-1H-pyrazol-4-yl]-2-(methylsulfonyl)-propanamide (known from WO 2019/236274 A1) (CAS 2396747-83-2), N-[2-bromo-4-[1,2,2,2-tetrafluoro-1-(trifluoromethyl)ethyl]-6- (trifluoromethyl)phenyl]-2-fluoro-3-[(4-fluorobenzoyl)amino]-benzamide (known from WO 2019059412 A1) (CAS 1207977-87-4). Examples of nematicides which could be mixed with the compound and the composition of the invention are: (Group N-1) Acetylcholinesterase (AChE) inhibitors, preferably (N-1A) carbamates selected from aldicarb, benfuracarb, carbofuran, carbosulfan and thiodicarb, or (N-1B) organophosphates selected from cadusafos, ethoprofos, fenamiphos, fosthiazate, imicyafos, phorate and terbufos. (Group N-2) Glutamate-gated chloride channel (GluCl) allosteric modulators, preferably avermectins selected from abamectin and emamectin benzoate. (Group N-3) Mitochondrial complex II electron transport inhibitors, especially inhibitors of succinate- coenzyme Q reductase, preferably pyridinylmethyl-benzamides selected from fluopyram. (Group N-4) Lipid synthesis/growth regulation modulators, especially inhibitors of acetyl CoA carboxylase, preferably tetronic and tetramic acid derivatives selected from spirotetramat. (Group N-UN) Compounds of unknown or uncertain mode of action with various chemistries, selected from fluensulfone, fluazaindolizine, furfural, iprodione, tioxazafen and trifluenfuronate.   BCS223033 FC -60- (Group N-UNX) Compounds of unknown or uncertain mode of action: Presumed multi-site inhibitors, preferably volatile sulphur generators selected from carbon disulphide and dimethyl disulphide (DMDS), or carbon disulphide liberators selected from sodium tetrathiocarbonate, or alkyl halides selected from methyl bromide and methyl iodide (iodomethane), or halogenated hydrocarbons selected from 1,2- dibromo-3-chloropropane (DBCP) and 1,3-dichloropropene, or chloropicrin, or methyl isothiocyanate generators selected from allyl isothiocyanate, diazomet, metam potassium and metam sodium. (Group N-UNB) Bacterial agents (non-Bt) of unknown or uncertain mode of action, preferably bacterium or bacterium-derived, selected from Burkholderia spp., e.g. rinojensis A396, Bacillus spp., e.g. firmus, licheniformis, amyloliquefaciens or subtilis, Pasteuria spp., e.g. penetrans or nishizawae, Pseudomonas spp., e.g. chlororaphis or fluorescens, and Streptomyces spp., e.g. lydicus, dicklowii or albogriseolus. (Group N-UNF) Fungal agents of unknown or uncertain mode of action, preferably fungus or fungus- derived, selected from Actinomyces spp., e.g. streptococcus, Arthrobotrys spp., e.g. oligospora, Aspergillus spp., e.g. niger, Muscodor spp., e.g. albus, Myrothecium spp., e.g. verrucaria, Paecilomyces spp., e.g. lilacinus (Purpureocillium lilacinum), carneus or fumosoroseus, Pochonia spp., e.g. chlamydosporia, and Trichoderma spp., e.g. harzianum, virens, atroviride or viride. (Group N-UNE) Botanical or animal derived agents, including synthetic extracts and unrefined oils, with unknown or uncertain mode of action, preferably botanical or animal derived agents selected from azadirachtin, camellia seed cake, essential oils, garlic extract, pongamia oil, terpenes, e.g. carvacrol, geraniol and thymol, and Quillaja saponaria extract. Examples of herbicides which could be mixed with the compound and the composition of the invention are: acetochlor, acifluorfen, acifluorfen-methyl, acifluorfen-sodium, aclonifen, alachlor, allidochlor, alloxydim, alloxydim-sodium, ametryn, amicarbazone, amidochlor, amidosulfuron, 4-amino-3-chloro-6- (4-chloro-2-fluoro-3-methylphenyl)-5-fluoropyridine-2-carboxylic acid, aminocyclopyrachlor, aminocyclopyrachlor-potassium, aminocyclopyrachlor-methyl, aminopyralid, aminopyralid- dimethylammonium, aminopyralid-tripromine, amitrole, ammoniumsulfamate, anilofos, asulam, asulam- potassium, asulam sodium, atrazine, azafenidin, azimsulfuron, beflubutamid, (S)-(-)-beflubutamid, beflubutamid-M, benazolin, benazolin-ethyl, benazolin-dimethylammonium, benazolin-potassium, benfluralin, benfuresate, bensulfuron, bensulfuron-methyl, bensulide, bentazone, bentazone-sodium, benzobicyclon, benzofenap, bicyclopyrone, bifenox, bilanafos, bilanafos-sodium, bipyrazone, bispyribac, bispyribac-sodium, bixlozone, bromacil, bromacil-lithium, bromacil-sodium, bromobutide, bromofenoxim, bromoxynil, bromoxynil-butyrate, -potassium, -heptanoate und -octanoate, busoxinone, butachlor, butafenacil, butamifos, butenachlor, butralin, butroxydim, butylate, cafenstrole, cambendichlor, carbetamide, carfentrazone, carfentrazone-ethyl, chloramben, chloramben-ammonium,   BCS223033 FC -61- chloramben-diolamine, chlroamben-methyl, chloramben-methylammonium, chloramben-sodium, chlorbromuron, chlorfenac, chlorfenac-ammonium, chlorfenac-sodium, chlorfenprop, chlorfenprop- methyl, chlorflurenol, chlorflurenol-methyl, chloridazon, chlorimuron, chlorimuron-ethyl, chlorophthalim, chlorotoluron, chlorsulfuron, chlorthal, chlorthal-dimethyl, chlorthal-monomethyl, cinidon, cinidon-ethyl, cinmethylin, exo-(+)-cinmethylin, i.e. (1R,2S,4S)-4-isopropyl-1-methyl-2-[(2- methylbenzyl)oxy]-7-oxabicyclo[2.2.1]heptane, exo-(-)-cinmethylin, i.e. (1R,2S,4S)-4-isopropyl-1- methyl-2-[(2-methylbenzyl)oxy]-7-oxabicyclo[2.2.1]heptane, cinosulfuron, clacyfos, clethodim, clodinafop, clodinafop-ethyl, clodinafop-propargyl, clomazone, clomeprop, clopyralid, clopyralid- methyl, clopyralid-olamine, clopyralid-potassium, clopyralid-tripomine, cloransulam, cloransulam- methyl, cumyluron, cyanamide, cyanazine, cycloate, cyclopyranil, cyclopyrimorate, cyclosulfamuron, cycloxydim, cyhalofop, cyhalofop-butyl, cyprazine, 2,4-D (including thea mmonium, butotyl, -butyl, choline, diethylammonium, -dimethylammonium, -diolamine, -doboxyl, -dodecylammonium, etexyl, ethyl, 2-ethylhexyl, heptylammonium, isobutyl, isooctyl, isopropyl, isopropylammonium, lithium, meptyl, methyl, potassium, tetradecylammonium, triethylammonium, triisopropanolammonium, tripromine and trolamine salt thereof), 2,4-DB, 2,4-DB-butyl, -dimethylammonium, isooctyl, -potassium und -sodium, daimuron (dymron), dalapon, dalapon-calcium, dalapon-magnesium, dalapon-sodium, dazomet, dazomet-sodium, n-decanol, 7-deoxy-D-sedoheptulose, desmedipham, detosyl-pyrazolate (DTP), dicamba and its salts, e. g. dicamba-biproamine, dicamba-N,N-Bis(3-aminopropyl)methylamine, dicamba-butotyl, dicamba-choline, dicamba-diglycolamine, dicamba-dimethylammonium, dicamba- diethanolamine ammonium, dicamba-diethylammonium, dicamba-isopropylammonium, dicamba- methyl, dicamba-monoethanolamine, dicamba-olamine, dicamba-potassium, dicamba-sodium, dicamba- triethanolamine, dichlobenil, 2-(2,4-dichlorobenzyl)-4,4-dimethyl-1,2-oxazolidin-3-one, 2-(2,5- dichlorobenzyl)-4,4-dimethyl-1,2-oxazolidin-3-one, dichlorprop, dichlorprop-butotyl, dichlorprop- dimethylammonium, dichhlorprop-etexyl, dichlorprop-ethylammonium, dichlorprop-isoctyl, dichlorprop-methyl, dichlorprop-potassium, dichlorprop-sodium, dichlorprop-P, dichlorprop-P- dimethylammonium, dichlorprop-P-etexyl, dichlorprop-P-potassium, dichlorprop-sodium, diclofop, diclofop-methyl, diclofop-P, diclofop-P-methyl, diclosulam, difenzoquat, difenzoquat-metilsulfate, diflu- fenican, diflufenzopyr, diflufenzopyr-sodium, dimefuron, dimepiperate, dimesulfazet, dimethachlor, dimethametryn, dimethenamid, dimethenamid-P, dimetrasulfuron, dinitramine, dinoterb, dinoterb- acetate, diphenamid, diquat, diquat-dibromid, diquat-dichloride, dithiopyr, diuron, DNOC, DNOC- ammonium, DNOC-potassium, DNOC-sodium, endothal, endothal-diammonium, endothal-dipotassium, endothal-disodium, Epyrifenacil (S-3100), EPTC, esprocarb, ethalfluralin, ethametsulfuron, ethamet- sulfuron-methyl, ethiozin, ethofumesate, ethoxyfen, ethoxyfen-ethyl, ethoxysulfuron, etobenzanid, F- 5231, i.e. N-[2-Chlor-4-fluor-5-[4-(3-fluorpropyl)-4,5-dihydro-5-oxo-1H-tetrazol-1-yl]-phenyl]- ethansulfonamid, F-7967, i.e. 3-[7-Chlor-5-fluor-2-(trifluormethyl)-1H-benzimidazol-4-yl]-1-methyl-6- (trifluormethyl)pyrimidin-2,4(1H,3H)-dione, fenoxaprop, fenoxaprop-P, fenoxaprop-ethyl, fenoxaprop- P-ethyl, fenoxasulfone, fenpyrazone, fenquinotrione, fentrazamide, flamprop, flamprop-isoproyl,   BCS223033 FC -62- flamprop-methyl, flamprop-M-isopropyl, flamprop-M-methyl, flazasulfuron, florasulam, florpyrauxifen, florpyrauxifen-benzyl, fluazifop, fluazifop-butyl, fluazifop-methyl, fluazifop-P, fluazifop-P-butyl, flucarbazone, flucarbazone-sodium, flucetosulfuron, fluchloralin, flufenacet, flufenpyr, flufenpyr-ethyl, flumetsulam, flumiclorac, flumiclorac-pentyl, flumioxazin, fluometuron, flurenol, flurenol-butyl, - dimethylammonium und -methyl, fluoroglycofen, fluoroglycofen-ethyl, flupropanate, flupropanate- sdium, flupyrsulfuron, flupyrsulfuron-methyl, flupyrsulfuron-methyl-sodium, fluridone, flurochloridone, fluroxypyr, fluroxypyr-butometyl, fluroxypyr-meptyl, flurtamone, fluthiacet, fluthiacet-methyl, fomesafen, fomesafen-sodium, foramsulfuron, foramsulfuron sodium salt, fosamine, fosamine- ammonium, glufosinate, glufosinate-ammonium, glufosinate-sodium, L-glufosinate-ammonium, L- glufosiante-sodium, glufosinate-P-sodium, glufosinate-P-ammonium, glyphosate, glyphosate- ammonium, -isopropylammonium, -diammonium, -dimethylammonium, -potassium, -sodium, sesquisodium and -trimesium, H-9201, i.e. O-(2,4-Dimethyl-6-nitrophenyl)-O-ethyl- isopropylphosphoramidothioat, halauxifen, halauxifen-methyl, halosafen, halosulfuron, halosulfuron- methyl, haloxyfop, haloxyfop-P, haloxyfop-ethoxyethyl, haloxyfop-P-ethoxyethyl, haloxyfop-methyl, haloxyfop-P-methyl, haloxifop-sodium, hexazinone, HNPC-A8169, i.e. prop-2-yn-1-yl (2S)-2-{3-[(5- tert-butylpyridin-2-yl)oxy]phenoxy}propanoate, HW-02, i.e. 1-(Dimethoxyphosphoryl)-ethyl-(2,4- dichlorphenoxy)acetat, hydantocidin, imazamethabenz, imazamethabenz-methyl, imazamox, imazamox- ammonium, imazapic, imazapic-ammonium, imazapyr, imazapyr-isopropylammonium, imazaquin, imazaquin-ammonium, imazaquin.methyl, imazethapyr, imazethapyr-immonium, imazosulfuron, indanofan, indaziflam, iodosulfuron, iodosulfuron-methyl, iodosulfuron-methyl-sodium, ioxynil, ioxynil- lithium, -octanoate, -potassium und sodium, ipfencarbazone, isoproturon, isouron, isoxaben, isoxaflutole, karbutilate, KUH-043, i.e. 3-({[5-(Difluormethyl)-1-methyl-3-(trifluormethyl)-1H-pyrazol-4- yl]methyl}sulfonyl)-5,5-dimethyl-4,5-dihydro-1,2-oxazol, ketospiradox, ketospiradox-potassium, lactofen, lancotrione, lenacil, linuron, MCPA, MCPA-butotyl, -butyl, -dimethylammonium, -diolamine, - 2-ethylhexyl, -ethyl, -isobutyl, isoctyl, -isopropyl, -isopropylammonium, -methyl, olamine, -potassium, – sodium and -trolamine, MCPB, MCPB-methyl, -ethyl und -sodium, mecoprop, mecoprop-butotyl, mecoprop- demethylammonium, mecoprop-diolamine, mecoprop-etexyl, mecoprop-ethadyl, mecoprop- isoctyl, mecoprop-methyl, mecoprop-potassium, mecoprop-sodium, and mecoprop-trolamine, mecoprop- P, mecoprop-P-butotyl, -dimethylammonium, -2-ethylhexyl and -potassium, mefenacet, mefluidide, mefluidide-diolamine, mefluidide-potassium, mesosulfuron, mesosulfuron-methyl, mesosulfuron sodium salt, mesotrione, methabenzthiazuron, metam, metamifop, metamitron, metazachlor, metazosulfuron, methabenzthiazuron, methiopyrsulfuron, methiozolin, methyl isothiocyanate, metobromuron, metolachlor, S-metolachlor, metosulam, metoxuron, metribuzin, metsulfuron, metsulfuron-methyl, molinate, monolinuron, monosulfuron, monosulfuron-methyl, MT-5950, i.e. N-[3-chlor-4-(1- methylethyl)-phenyl]-2-methylpentanamid, NGGC-011, napropamide, NC-310, i.e. 4-(2,4- Dichlorbenzoyl)-1-methyl-5-benzyloxypyrazol, NC-656, i.e.3-[(isopropylsulfonyl)methyl]-N-(5-methyl- 1,3,4-oxadiazol-2-yl)-5-(trifluoromethyl)[1,2,4]triazolo[4,3-a]pyridine-8-carboxamide, neburon,   BCS223033 FC -63- nicosulfuron, nonanoic acid (pelargonic acid), norflurazon, oleic acid (fatty acids), orbencarb, orthosulfamuron, oryzalin, oxadiargyl, oxadiazon, oxasulfuron, oxaziclomefone, oxyfluorfen, paraquat, paraquat-dichloride, paraquat-dimethylsulfate, pebulate, pendimethalin, penoxsulam, pentachlorphenol, pentoxazone, pethoxamid, petroleum oils, phenmedipham, phenmedipham-ethyl, picloram, picloram- dimethylammonium, picloram-etexyl, picloram-isoctyl, picloram-methyl, picloram-olamine, picloram- potassium, picloram-triethylammonium, picloram-tripromine, picloram-trolamine, picolinafen, pinoxaden, piperophos, pretilachlor, primisulfuron, primisulfuron-methyl, prodiamine, profoxydim, prometon, prometryn, propachlor, propanil, propaquizafop, propazine, propham, propisochlor, propoxycarbazone, propoxycarbazone-sodium, propyrisulfuron, propyzamide, prosulfocarb, prosulfuron, pyraclonil, pyraflufen, pyraflufen-ethyl, pyrasulfotole, pyrazolynate (pyrazolate), pyrazosulfuron, pyrazosulfuron-ethyl, pyrazoxyfen, pyribambenz, pyribambenz-isopropyl, pyribambenz-propyl, pyribenzoxim, pyributicarb, pyridafol, pyridate, pyriftalid, pyriminobac, pyriminobac-methyl, pyrimisulfan, pyrithiobac, pyrithiobac-sodium, pyroxasulfone, pyroxsulam, quinclorac, quinclorac- dimethylammonium, quinclorac-methyl, quinmerac, quinoclamine, quizalofop, quizalofop-ethyl, quizalofop-P, quizalofop-P-ethyl, quizalofop-P-tefuryl, QYM201, i.e. 1-{2-chloro-3-[(3-cyclopropyl-5- hydroxy-1-methyl-1H-pyrazol-4-yl)carbonyl]-6-(trifluoromethyl)phenyl}piperidin-2-one, rimsulfuron, saflufenacil, sethoxydim, siduron, simazine, simetryn, SL-261, sulcotrione, sulfentrazone, sulfometuron, sulfometuron-methyl, sulfosulfuron, , SYP-249, i.e.1-Ethoxy-3-methyl-1-oxobut-3-en-2-yl-5-[2-chlor-4- (trifluormethyl)phenoxy]-2-nitrobenzoat, SYP-300, i.e.1-[7-Fluor-3-oxo-4-(prop-2-in-1-yl)-3,4-dihydro- 2H-1,4-benzoxazin-6-yl]-3-propyl-2-thioxoimidazolidin-4,5-dion, 2,3,6-TBA, TCA (trichloro acetic acid) and its salts, e.g. TCA-ammonium, TCA-calcium, TCA-ethyl, TCA-magnesium, TCA-sodium, tebuthiuron, tefuryltrione, tembotrione, tepraloxydim, terbacil, terbucarb, terbumeton, terbuthylazine, terbutryn, tetflupyrolimet, thaxtomin, thenylchlor, thiazopyr, thiencarbazone, thiencarbazone-methyl, thifensulfuron, thifensulfuron-methyl, thiobencarb, tiafenacil, tolpyralate, topramezone, tralkoxydim, triafamone, tri-allate, triasulfuron, triaziflam, tribenuron, tribenuron-methyl, triclopyr, triclopyr-butotyl, triclopyr-choline, triclopyr-ethyl, triclopyr-triethylammonium, trietazine, trifloxysulfuron, trifloxysulfuron-sodium, trifludimoxazin, trifluralin, triflusulfuron, triflusulfuron-methyl, tritosulfuron, urea sulfate, vernolate, XDE-848, ZJ-0862, i.e. 3,4-Dichlor-N-{2-[(4,6-dimethoxypyrimidin-2- yl)oxy]benzyl}anilin, 3-(2-chloro-4-fluoro-5-(3-methyl-2,6-dioxo-4-trifluoromethyl-3,6- dihydropyrimidin-1 (2H)-yl)phenyl)-5-methyl-4,5-dihydroisoxazole-5-carboxylic acid ethyl ester, ethyl- [(3-{2-chlor-4-fluor-5-[3-methyl-2,6-dioxo-4-(trifluormethyl)-3,6-dihydropyrimidin-1(2H)- yl]phenoxy}pyridin-2-yl)oxy]acetate, 3-chloro-2-[3-(difluoromethyl)isoxazolyl-5-yl]phenyl-5- chloropyrimidin-2-yl ether, 2-(3,4-dimethoxyphenyl)-4-[(2-hydroxy-6-oxocyclohex-1-en-1-yl)carbonyl]- 6-methylpyridazine-3(2H)-one, 2-({2-[(2-methoxyethoxy)methyl]-6-methylpyridin-3- yl}carbonyl)cyclohexane-1,3-dione, (5-hydroxy-1-methyl-1H-pyrazol-4-yl)(3,3,4-trimethyl-1,1-dioxido- 2,3-dihydro-1-benzothiophen-5-yl)methanone, 1-methyl-4-[(3,3,4-trimethyl-1,1-dioxido-2,3-dihydro-1- benzothiophen-5-yl)carbonyl]-1H-pyrazol-5-yl propane-1-sulfonate, 4-{2-chloro-3-[(3,5-dimethyl-1H-   BCS223033 FC -64- pyrazol-1-yl)methyl]-4-(methylsulfonyl)benzoyl}-1-methyl-1H-pyrazol-5-yl-1,3-dimethyl-1H-pyrazole- 4-carboxylate; cyanomethyl 4-amino-3-chloro-5-fluoro-6-(7-fluoro-1H-indol-6-yl)pyridine-2- carboxylate, prop-2-yn-1-yl 4-amino-3-chloro-5-fluoro-6-(7-fluoro-1H-indol-6-yl)pyridine-2- carboxylate, methyl 4-amino-3-chloro-5-fluoro-6-(7-fluoro-1H-indol-6-yl)pyridine-2-carboxylate, 4- amino-3-chloro-5-fluoro-6-(7-fluoro-1H-indol-6-yl)pyridine-2-carboxylic acid, benzyl 4-amino-3- chloro-5-fluoro-6-(7-fluoro-1H-indol-6-yl)pyridine-2-carboxylate, ethyl 4-amino-3-chloro-5-fluoro-6-(7- fluoro-1H-indol-6-yl)pyridine-2-carboxylate, methyl 4-amino-3-chloro-5-fluoro-6-(7-fluoro-1- isobutyryl-1H-indol-6-yl)pyridine-2-carboxylate, methyl 6-(1-acetyl-7-fluoro-1H-indol-6-yl)-4-amino-3- chloro-5-fluoropyridine-2-carboxylate, methyl 4-amino-3-chloro-6-[1-(2,2-dimethylpropanoyl)-7-fluoro- 1H-indol-6-yl]-5-fluoropyridine-2-carboxylate, methyl 4-amino-3-chloro-5-fluoro-6-[7-fluoro-1- (methoxyacetyl)-1H-indol-6-yl]pyridine-2-carboxylate, potassium 4-amino-3-chloro-5-fluoro-6-(7- fluoro-1H-indol-6-yl)pyridine-2-carboxylate, sodium 4-amino-3-chloro-5-fluoro-6-(7-fluoro-1H-indol-6- yl)pyridine-2-carboxylate, butyl 4-amino-3-chloro-5-fluoro-6-(7-fluoro-1H-indol-6-yl)pyridine-2- carboxylate, 4-hydroxy-1-methyl-3-[4-(trifluoromethyl)pyridin-2-yl]imidazolidin-2-one, 3-(5-tert-butyl- 1,2-oxazol-3-yl)-4-hydroxy-1-methylimidazolidin-2-one, 3-[5-chloro-4-(trifluormethyl)pyridin-2-yl]-4- hydroxy-1-methylimidazolidin-2-one, 4-hydroxy-1-methoxy-5-methyl-3-[4-(trifluormethyl)pyridin-2- yl]imidazolidin-2-one, 6-[(2-hydroxy-6-oxocyclohex-1-en-1-yl)carbonyl]-1,5-dimethyl-3-(2- methylphenyl)quinazolin-2,4(1H,3H)-dione, 3-(2,6-dimethylphenyl)-6-[(2-hydroxy-6-oxocyclohex-1- en-1-yl)carbonyl]-1-methylquinazolin-2,4(1H,3H)-dione, 2-[2-chloro-4-(methylsulfonyl)-3-(morpholin- 4-ylmethyl)benzoyl]-3-hydroxycyclohex-2-en-1-one, 1-(2-carboxyethyl)-4-(pyrimidin-2-yl)pyridazin-1- ium salt (with anions such as chloride, acetate or trifluoroacetate), 1-(2-carboxyethyl)-4-(pyridazin-3- yl)pyridazin-1-ium salt (with anions such as chloride, acetate or trifluoroacetate), 4-(pyrimidin-2-yl)-1- (2-sulfoethyl)pyridazin-1-ium salt (with anions such as chloride, acetate or trifluoroacetate), 4-(pyridazin- 3-yl)-1-(2-sulfoethyl)pyridazin-1-ium salt (with anions such as chloride, acetate or trifluoroacetate), 1-(2- Carboxyethyl)-4-(1,3-thiazol-2-yl)pyridazin-1-ium salt (with anions such as chloride, acetate or trifluoroacetate), 1-(2-Carboxyethyl)-4-(1,3-thiazol-2-yl)pyridazin-1-ium salt (with anions such as chloride, acetate or trifluoroacetate). Examples of plant growth regulators which could be mixed with the compound and the composition of the invention are: Abscisic acid and related analogues [e.g. (2Z,4E)-5-[6-Ethynyl-1-hydroxy-2,6-dimethyl-4-oxocyclohex- 2-en-1-yl]-3-methylpenta-2,4-dienoic acid, methyl-(2Z,4E)-5-[6-ethynyl-1-hydroxy-2,6-dimethyl-4- oxocyclohex-2-en-1-yl]-3-methylpenta-2,4-dienoate, (2Z,4E)-3-ethyl-5-(1-hydroxy-2,6,6-trimethyl-4- oxocyclohex-2-en-1-yl)penta-2,4-dienoic acid, (2E,4E)-5-(1-hydroxy-2,6,6-trimethyl-4-oxocyclohex-2- en-1-yl)-3-(trifluoromethyl)penta-2,4-dienoic acid, methyl (2E,4E)-5-(1-hydroxy-2,6,6-trimethyl-4- oxocyclohex-2-en-1-yl)-3-(trifluoromethyl)penta-2,4-dienoate, (2Z,4E)-5-(2-hydroxy-1,3-dimethyl-5- oxobicyclo[4.1.0]hept-3-en-2-yl)-3-methylpenta-2,4-dienoic acid], acibenzolar, acibenzolar-S-methyl, S-   BCS223033 FC -65- adenosylhomocysteine, allantoin, 2-Aminoethoxyvinylglycine (AVG), aminooxyacetic acid and related esters [e.g. (Isopropylidene)-aminooxyacetic acid-2-(methoxy)-2-oxoethylester, (Isopropylidene)- aminooxyacetic acid-2-(hexyloxy)-2-oxoethylester, (Cyclohexylidene)-aminooxyacetic acid-2- (isopropyloxy)-2-oxoethylester], 1-aminocycloprop-1-yl carboxylic acid and derivatives thereof, e.g. disclosed in DE3335514, EP30287, DE2906507 or US5123951, 5-aminolevulinic acid, ancymidol, 6- benzylaminopurine, bikinin, brassinolide, brassinolide-ethyl, L-canaline, catechin and catechines (e.g. (2S,3R)-2-(3,4-Dihydroxyphenyl)-3,4-dihydro-2H-chromen-3,5,7-triol), chitooligosaccharides (CO; COs differ from LCOs in that they lack the pendant fatty acid chain that is characteristic of LCOs. COs, sometimes referred to as N-acetylchitooligosaccharides, are also composed of GlcNAc residues but have side chain decorations that make them different from chitin molecules [(C
8H
13NO
5)
n, CAS No.1398-61-4] and chitosan molecules [(C
5H
11NO
4)
n, CAS No.9012-76-4]), chitinous compounds, chlormequat chloride, cloprop, cyclanilide, 3-(Cycloprop-1-enyl)propionic acid, 1-[2-(4-cyano-3,5- dicyclopropylphenyl)acetamido]cyclohexanecarboxylic acid, 1-[2-(4-cyano-3- cyclopropylphenyl)acetamido]cyclohexanecarboxylic acid, daminozide, dazomet, dazomet-sodium, n- decanol, dikegulac, dikegulac-sodium, endothal, endothal-dipotassium, -disodium, and mono(N,N- dimethylalkylammonium), ethephon, flumetralin, flurenol, flurenol-butyl, flurenol-methyl, flurprimidol, forchlorfenuron, gibberellic acid, inabenfide, indol-3-acetic acid (IAA), 4-indol-3-ylbutyric acid, isoprothiolane, probenazole, jasmonic acid, Jasmonic acid or derivatives thereof (e.g. jasmonic acid methyl ester, jasmonic acid ethyl ester), lipo-chitooligosaccharides (LCO, sometimes referred to as symbiotic nodulation (Nod) signals (or Nod factors) or as Myc factors, consist of an oligosaccharide backbone of β-l,4-linked N-acetyl-D-glucosamine (“GlcNAc”) residues with an N-linked fatty acyl chain condensed at the non-reducing end. As understood in the art, LCOs differ in the number of GlcNAc residues in the backbone, in the length and degree of saturation of the fatty acyl chain and in the substitutions of reducing and non-reducing sugar residues), linoleic acid or derivatives thereof, linolenic acid or derivatives thereof, maleic hydrazide, mepiquat chloride, mepiquat pentaborate, 1- methylcyclopropene, 3-methylcyclopropene, 1-ethylcyclopropene, 1-n-propylcyclopropene, 1- cyclopropenylmethanol, methoxyvinylglycin (MVG), 3’-methyl abscisic acid, 1-(4-methylphenyl)-N-(2- oxo-1-propyl-1,2,3,4-tetrahydroquinolin-6-yl)methanesulfonamide and related substituted tetrahydroquinolin-6-yl)methanesulfonamides, (3E,3aR,8bS)-3-({[(2R)-4-Methyl-5-oxo-2,5- dihydrofuran-2-yl]oxy}methylen)-3,3a,4,8b-tetrahydro-2H-indeno[1,2-b]furan-2-one and related lactones as outlined in EP2248421, 2-(1-naphthyl)acetamide, 1-naphthylacetic acid, 2- naphthyloxyacetic acid, nitrophenolate-mixture, 4-Oxo-4[(2-phenylethyl)amino]butyric acid, paclobutrazol, 4-phenylbutyric acid and its related salts (e.g. sodium-4-phenylbutanoate, potassium-4-phenylbutanoate), phenylalanine, N-phenylphthalamic acid, prohexadione, prohexadione-calcium, putrescine, prohydrojasmon, rhizobitoxin, salicylic acid, salicylic acid methyl ester, sarcosine, sodium cycloprop-1-en-1-yl acetate, sodium cycloprop-2-en-1-yl acetate, sodium-3-(cycloprop-2-en-1-yl)propanoate, sodium-3-(cycloprop-1- en-1-yl) propanoate, sidefungin, spermidine, spermine, strigolactone, tecnazene, thidiazuron, triacontanol,   BCS223033 FC -66- trinexapac, trinexapac-ethyl, tryptophan, tsitodef, uniconazole, uniconazole-P, 2-fluoro-N-(3- methoxyphenyl)-9H-purin-6-amine. Examples of safeners which could be mixed with the compound and the composition of the invention are: S1) Compounds from the group of heterocyclic carboxylic acid derivatives: S1
a) Compounds of the dichlorophenylpyrazoline-3-carboxylic acid type (S1
a), preferably compounds such as 1-(2,4-dichlorophenyl)-5-(ethoxycarbonyl)-5-methyl-2-pyrazoline-3-carboxylic acid, ethyl 1- (2,4-dichlorophenyl)-5-(ethoxycarbonyl)-5-methyl-2-pyrazoline-3-carboxylate (S1-1) ("mefenpyr- diethyl"), and related compounds as described in WO-A-91/07874; S1
b) Derivatives of dichlorophenylpyrazolecarboxylic acid (S1
b), preferably compounds such as ethyl 1-(2,4-dichlorophenyl)-5-methylpyrazole-3-carboxylate (S1-2), ethyl 1-(2,4-dichlorophenyl)-5- isopropylpyrazole-3-carboxylate (S1-3), ethyl 1-(2,4-dichlorophenyl)-5-(1,1-dimethylethyl)pyrazole-3- carboxylate (S1-4) and related compounds as described in EP-A-333131131 and EP-A-269806; S1
c) Derivatives of 1,5-diphenylpyrazole-3-carboxylic acid (S1
c), preferably compounds such as ethyl 1-(2,4-dichlorophenyl)-5-phenylpyrazole-3-carboxylate (S1-5), methyl 1-(2-chlorophenyl)-5- phenylpyrazole-3-carboxylate (S1-6) and related compounds as described, for example, in EP-A-268554; S1
d) Compounds of the triazolecarboxylic acid type (S1
d), preferably compounds such as fenchlorazole (ethyl ester), i.e. ethyl 1-(2,4-dichlorophenyl)-5-trichloromethyl-1H-1,2,4-triazole-3- carboxylate (S1-7), and related compounds, as described in EP-A-174562 and EP-A-346620; S1
e) Compounds of the 5-benzyl- or 5-phenyl-2-isoxazoline-3-carboxylic acid or of the 5,5-diphenyl- 2-isoxazoline-3-carboxylic acid type (S1
e), preferably compounds such as ethyl 5-(2,4-dichlorobenzyl)- 2-isoxazoline-3-carboxylate (S1-8) or ethyl 5-phenyl-2-isoxazoline-3-carboxylate (S1-9) and related compounds as described in WO-A-91/08202, or 5,5-diphenyl-2-isoxazolinecarboxylic acid (S1-10) or ethyl 5,5-diphenyl-2-isoxazoline-3-carboxylate (S1-11) ("isoxadifen-ethyl") or n-propyl 5,5-diphenyl-2- isoxazoline-3-carboxylate (S1-12) or ethyl 5-(4-fluorophenyl)-5-phenyl-2-isoxazoline-3-carboxylate (S1- 13), as described in patent application WO-A-95/07897. S2) Compounds from the group of the 8-quinolinoxy derivatives (S2): S2
a) Compounds of the 8-quinolinoxyacetic acid type (S2
a), preferably 1-methylhexyl (5-chloro-8- quinolinoxy)acetate ("cloquintocet-mexyl") (S2-1), 1,3-dimethylbut-1-yl (5-chloro-8- quinolinoxy)acetate (S2-2), 4-allyloxybutyl (5-chloro-8-quinolinoxy)acetate (S2-3), 1-allyloxyprop-2-yl (5-chloro-8-quinolinoxy)acetate (S2-4), ethyl (5-chloro-8-quinolinoxy)acetate (S2-5), methyl 5-chloro-8- quinolinoxyacetate (S2-6), allyl (5-chloro-8-quinolinoxy)acetate (S2-7), 2-(2-propylideneiminoxy)-1- ethyl (5-chloro-8-quinolinoxy)acetate (S2-8), 2-oxoprop-1-yl (5-chloro-8-quinolinoxy)acetate (S2-9) and   BCS223033 FC -67- related compounds, as described in EP-A-86750, EP-A-94349 and EP-A-191736 or EP-A-0492366, and also (5-chloro-8-quinolinoxy)acetic acid (S2-10), hydrates and salts thereof, for example the lithium, sodium, potassium, calcium, magnesium, aluminum, iron, ammonium, quaternary ammonium, sulfonium or phosphonium salts thereof, as described in WO-A-2002/34048; S2
b) Compounds of the (5-chloro-8-quinolinoxy)malonic acid type (S2
b), preferably compounds such as diethyl (5-chloro-8-quinolinoxy)malonate, diallyl (5-chloro-8-quinolinoxy)malonate, methyl ethyl (5- chloro-8-quinolinoxy)malonate and related compounds, as described in EP-A-0582198. S3) Active compounds of the dichloroacetamide type (S3), which are frequently used as pre- emergence safeners (soil-acting safeners), for example "dichlormid" (N,N-diallyl-2,2-dichloroacetamide) (S3-1), "R-29148" (3-dichloroacetyl-2,2,5-trimethyl-1,3-oxazolidine) from Stauffer (S3-2), "R-28725" (3-dichloroacetyl-2,2-dimethyl-1,3-oxazolidine) from Stauffer (S3-3), "benoxacor" (4-dichloroacetyl-3,4-dihydro-3-methyl-2H-1,4-benzoxazine) (S3-4), "PPG-1292" (N-allyl-N-[(1,3-dioxolan-2-yl)methyl]dichloroacetamide) from PPG Industries (S3-5), "DKA-24" (N-allyl-N-[(allylaminocarbonyl)methyl]dichloroacetamide) from Sagro-Chem (S3-6), "AD-67" or "MON 4660" (3-dichloroacetyl-1-oxa-3-azaspiro[4.5]decane) from Nitrokemia or Monsanto (S3-7), "TI-35" (1-dichloroacetylazepane) from TRI-Chemical RT (S3-8), "Diclonon" (Dicyclonon) or "BAS145138" or "LAB145138" (S3-9) ((RS)-1-dichloroacetyl-3,3,8a-trimethylperhydropyrrolo[1,2-a]pyrimidin-6-one) from BASF, "furilazole" or "MON 13900" ((RS)-3-dichloroacetyl-5-(2-furyl)-2,2-dimethyloxazolidine) (S3-10), and the (R) isomer thereof (S3-11). S4) Compounds from the class of the acylsulfonamides (S4): S4
a) N-Acylsulfonamides and salts thereof, as described in WO-A-97/45016, S4
b) Compounds of the 4-(benzoylsulfamoyl)benzamide type and salts thereof, as described in WO- A-99/16744, S4
c) Compounds from the class of the benzoylsulfamoylphenylureas as described in EP-A-365484, for example 1-[4-(N-2-methoxybenzoylsulfamoyl)phenyl]-3-methylurea, 1-[4-(N-2-methoxybenzoyl- sulfamoyl)phenyl]-3,3-dimethylurea and 1-[4-(N-4,5-dimethylbenzoylsulfamoyl)phenyl]-3-methylurea; S4
d) Compounds of the N-phenylsulfonylterephthalamide type and salts thereof, which are known, for example, from CN 101838227.   BCS223033 FC -68- S5) Active compounds from the class of the hydroxyaromatics and the aromatic-aliphatic carboxylic acid derivatives (S5), for example ethyl 3,4,5-triacetoxybenzoate, 3,5-dimethoxy-4-hydroxybenzoic acid, 3,5-dihydroxybenzoic acid, 4-hydroxysalicylic acid, 4-fluorosalicyclic acid, 2-hydroxycinnamic acid, 2,4-dichlorocinnamic acid, as described in WO-A-2004/084631, WO-A-2005/015994, WO-A- 2005/016001. S6) Active compounds from the class of the 1,2-dihydroquinoxalin-2-ones (S6), for example 1- methyl-3-(2-thienyl)-1,2-dihydroquinoxalin-2-one, 1-methyl-3-(2-thienyl)-1,2-dihydroquinoxaline-2- thione, 1-(2-aminoethyl)-3-(2-thienyl)-1,2-dihydroquinoxalin-2-one hydrochloride, 1-(2- methylsulfonylaminoethyl)-3-(2-thienyl)-1,2-dihydroquinoxalin-2-one, as described in WO-A- 2005/112630. S7) Compounds from the class of the diphenylmethoxyacetic acid derivatives (S7), e.g. methyl diphenylmethoxyacetate (CAS Reg. No. 41858-19-9) (S7-1), ethyl diphenylmethoxyacetate or diphenylmethoxyacetic acid, as described in WO-A-98/38856. S8) 2-fluoroacrylic acid derivatives as described in WO-A-98/27049. S9) active compounds from the class of the 3-(5-tetrazolylcarbonyl)-2-quinolones (S9), for example 1,2-dihydro-4-hydroxy-1-ethyl-3-(5-tetrazolylcarbonyl)-2-quinolone (CAS Reg. No. 219479-18-2), 1,2- dihydro-4-hydroxy-1-methyl-3-(5-tetrazolylcarbonyl)-2-quinolone (CAS Reg. No. 95855-00-8), as described in WO-A-199/000020; S10) N-acylsulfonamides as described in WO-A-2007/023719 and WO-A-2007/023764. S11) Active compounds of the oxyimino compound type (S11), which are known as seed-dressing agents, for example "oxabetrinil" ((Z)-1,3-dioxolan-2-ylmethoxyimino(phenyl)acetonitrile) (S11-1), which is known as a seed-dressing safener for millet/sorghum against metolachlor damage, "fluxofenim" (1-(4-chlorophenyl)-2,2,2-trifluoro-1-ethanone O-(1,3-dioxolan-2-ylmethyl)oxime) (S11- 2), which is known as a seed-dressing safener for millet/sorghum against metolachlor damage, and "cyometrinil" or "CGA-43089" ((Z)-cyanomethoxyimino(phenyl)acetonitrile) (S11-3), which is known as a seed-dressing safener for millet/sorghum against metolachlor damage. S12) active compounds from the class of the isothiochromanones (S12), for example methyl [(3-oxo- 1H-2-benzothiopyran-4(3H)-ylidene)methoxy]acetate (CAS Reg. No. 205121-04-6) (S12-1) and related compounds from WO-A-1998/13361. S13) One or more compounds from group (S13):   BCS223033 FC -69- "naphthalic anhydride" (1,8-naphthalenedicarboxylic anhydride) (S13-1), which is known as a seed- dressing safener for corn against thiocarbamate herbicide damage, "fenclorim" (4,6-dichloro-2-phenylpyrimidine) (S13-2), which is known as a safener for pretilachlor in sown rice, "flurazole" (benzyl 2-chloro-4-trifluoromethyl-1,3-thiazole-5-carboxylate) (S13-3), which is known as a seed-dressing safener for millet/sorghum against alachlor and metolachlor damage, "CL 304415" (CAS Reg. No.31541-57-8) (4-carboxy-3,4-dihydro-2H-1-benzopyran-4-acetic acid) (S13-4) from American Cyanamid, which is known as a safener for corn against damage by imidazolinones, "MG 191" (CAS Reg. No. 96420-72-3) (2-dichloromethyl-2-methyl-1,3-dioxolane) (S13-5) from Nitrokemia, which is known as a safener for corn, "MG 838" (CAS Reg. No.133993-74-5) (2-propenyl 1-oxa-4-azaspiro[4.5]decane-4-carbodithioate) (S13-6) from Nitrokemia "disulfoton" (O,O-diethyl S-2-ethylthioethyl phosphorodithioate) (S13-7), "dietholate" (O,O-diethyl O-phenyl phosphorothioate) (S13-8), "mephenate" (4-chlorophenyl methylcarbamate) (S13-9). S14) active compounds which, in addition to herbicidal action against weeds, also have safener action on crop plants such as rice, for example "dimepiperate" or "MY-93" (S-1-methyl 1-phenylethylpiperidine-1-carbothioate), which is known as a safener for rice against damage by the herbicide molinate, "daimuron" or "SK 23" (1-(1-methyl-1-phenylethyl)-3-p-tolylurea), which is known as safener for rice against imazosulfuron herbicide damage, "cumyluron" = "JC-940" (3-(2-chlorophenylmethyl)-1-(1-methyl-1-phenylethyl)urea, see JP-A- 60087254), which is known as safener for rice against damage by some herbicides, "methoxyphenone" or "NK 049" (3,3'-dimethyl-4-methoxybenzophenone), which is known as a safener for rice against damage by some herbicides, “CSB" (1-bromo-4-(chloromethylsulfonyl)benzene) from Kumiai, (CAS Reg. No.54091-06-4), which is known as a safener against damage by some herbicides in rice. S15) Pyridine-2-oxy-3-carbonamides as described in WO-A-2008/131861 and WO-A-2008/131860. S16) Active compounds which are used primarily as herbicides but also have safener action on crop plants, for example (2,4-dichlorophenoxy)acetic acid (2,4-D), (4-chlorophenoxy)acetic acid, (R,S)-2-(4- chloro-o-tolyloxy)propionic acid (mecoprop), 4-(2,4-dichlorophenoxy)butyric acid (2,4-DB), (4-chloro- o-tolyloxy)acetic acid (MCPA), 4-(4-chloro-o-tolyloxy)butyric acid, 4-(4-chlorophenoxy)butyric acid, 3,6-dichloro-2-methoxybenzoic acid (dicamba), 1-(ethoxycarbonyl)ethyl 3,6-dichloro-2-methoxy- benzoate (lactidichlor-ethyl).   BCS223033 FC -70- Examples of nitrification inhibitors wich can be mixed with the compound and the composition of the invention are selected from the group consisting of 2-(3,4-dimethyl-1H-pyrazol-1-yl)succinic acid, 2-(4,5- dimethyl-1H-pyrazol-1-yl)succinic acid, 3,4-dimethyl pyrazolium glycolate, 3,4-dimethyl pyrazolium citrate, 3,4-dimethyl pyrazolium lactate, 3,4-dimethyl pyrazolium mandelate, 1,2,4-triazole, 4-Chloro-3- methylpyrazole, N-((3(5)-methyl-1H-pyrazole-1-yl)methyl)acetamide, N-((3(5)-methyl-1 H-pyrazole-1- yl)methyl)formamide, N-((3(5),4-dimethylpyrazole-1-yl)methyl)formamide, N-((4-chloro-3(5)-methyl- pyrazole-1-yl)methyl)formamide; reaction adducts of dicyandiamide, urea and formaldehyde, triazonyl- formaldehyde-dicyandiamide adducts, 2-cyano-1-((4-oxo-1,3,5-triazinan-1-yl)methyl)guanidine, 1-((2- cyanoguanidino)methyl)urea, 2-cyano-1-((2-cyanoguanidino)methyl)guanidine, 2-chloro-6- (trichloromethyl)-pyridine (nitrapyrin or N-serve), dicyandiamide, 3,4-dimethyl pyrazole phosphate, 4,5- dimethyl pyrazole phosphate, 3,4-dimethylpyrazole, 4,5-dimethyl pyrazole, ammoniumthiosulfate, neem, products based on ingredients of neem, linoleic acid, alpha-linolenic acid, methyl p-coumarate, methyl ferulate, methyl 3-(4-hydroxyphenyl) propionate, karanjin, brachialacton, p-benzoquinone sorgoleone, 4- amino-1,2,4-triazole hydrochloride, 1-amido-2-thiourea, 2-amino-4-chloro-6-methylpyrimidine, 2- mercapto-benzothiazole, 5-ethoxy-3-trichloromethyl-1,2,4-thiodiazole (terrazole, etridiazole), 2- sulfanilamidothiazole, 3-methylpyrazol, 1,2,4-triazol thiourea, cyan amide, melamine, zeolite powder, catechol, benzoquinone, sodium tetraborate, allylthiourea, chlorate salts, and zinc sulfate. The compound and the composition of the invention may be combined with one or more agriculturally beneficial agents. Examples of agriculturally beneficial agents include biostimulants, plant growth regulators, plant signal molecules, growth enhancers, microbial stimulating molecules, biomolecules, soil amendments, nutrients, plant nutrient enhancers, etc., such as lipo-chitooligosaccharides (LCO), chitooligosaccharides (CO), chitinous compounds, flavonoids, jasmonic acid or derivatives thereof (e.g., jasmonates), cytokinins, auxins, gibberellins, absiscic acid, ethylene, brassinosteroids, salicylates, macro- and micro-nutrients, linoleic acid or derivatives thereof, linolenic acid or derivatives thereof, karrikins, and beneficial microorganisms (e.g., Rhizobium spp., Bradyrhizobium spp., Sinorhizobium spp., Azorhizobium spp., Glomus spp., Gigaspora spp., Hymenoscyphous spp., Oidiodendron spp., Laccaria spp., Pisolithus spp., Rhizopogon spp., Scleroderma spp., Rhizoctonia spp., Acinetobacter spp., Arthrobacter spp., Arthrobotrys spp., Aspergillus spp., Azospirillum spp., Bacillus spp., Burkholderia spp., Candida spp., Chryseomonas spp., Enterobacter spp., Eupenicillium spp., Exiguobacterium spp., Klebsiella spp., Kluyvera spp., Microbacterium spp., Mucor spp., Paecilomyces spp., Paenibacillus spp., Penicillium spp., Pseudomonas spp., Serratia spp., Stenotrophomonas spp., Streptomyces spp., Streptosporangium spp., Swaminathania spp., Thiobacillus spp., Torulospora spp., Vibrio spp., Xanthobacter spp., Xanthomonas spp., etc.), and combinations thereof. According to some embodiments, the compound and the composition of the invention may be combined with one or more biostimulants. Biostimulants may enhance metabolic or physiological processes such as   BCS223033 FC -71- respiration, photosynthesis, nucleic acid uptake, ion uptake, nutrient delivery, or a combination thereof. Non-limiting examples of biostimulants that may be included or used in the composition of the present invention may include seaweed extracts (e.g., ascophyllum nodosum; BAYFOLAN ALGAE, Aglukon gmbH, Germany), bacterial extracts (e.g., extracts of one or more diazotrophs, phosphate-solubilizing microorgafjaponisms and/or biopesticides), fungal extracts, humic acids (e.g., potassium humate), fulvic acids, myo-inositol, and/or glycine, protein hydrolysates and amino-acids both from animal BAYFOLAN AMBITION & BAYFOLAN cobre, SICIT, Italy) and plant origin, inorganic compounds (e.g silica) and any combinations thereof. According to some embodiments, the biostimulants may comprise one or more Azospirillum extracts (e.g., an extract of media comprising A. brasilense INTA Az-39), one or more Bradyrhizobium extracts (e.g., an extract of media comprising B. elkanii SEMIA 501, B. elkanii SEMIA 587, B. elkanii SEMIA 5019, B. japonicum NRRL B-50586 (also deposited as NRRL B-59565), B. japonicum NRRL B-50587 (also deposited as NRRL B-59566), B. japonicum NRRL B-50588 (also deposited as NRRL B-59567), B. japonicum NRRL B-50589 (also deposited as NRRL B-59568), B. japonicum NRRL B-50590 (also deposited as NRRL B-59569), B. japonicum NRRL B-50591 (also deposited as NRRL B-59570), B. japonicum NRRL B-50592 (also deposited as NRRL B-59571), B. japonicum NRRL B-50593 (also deposited as NRRL B-59572), B. japonicum NRRL B-50594 (also deposited as NRRL B-50493), B. japonicum NRRL B-50608, B. japonicum NRRL B-50609, B. japonicum NRRL B-50610, B. japonicum NRRL B-50611, B. japonicum NRRL B-50612, B. japonicum NRRL B- 50726, B. japonicum NRRL B-50727, B. japonicum NRRL B-50728, B. japonicum NRRL B-50729, B. japonicum NRRL B-50730, B. japonicum SEMIA 566, B. japonicum SEMIA 5079, B. japonicum SEMIA 5080, B. japonicum USDA 6, B. japonicum USDA 110, B. japonicum USDA 122, B. japonicum USDA 123, B. japonicum USDA 127, B. japonicum USDA 129 and/or B. japonicum USDA 532C), one or more Rhizobium extracts (e.g., an extract of media comprising R. leguminosarum SO12A-2), one or more Sinorhizobium extracts (e.g., an extract of media comprising S. fredii CCBAU114 and/or S. fredii USDA 205), one or more Penicillium extracts (e.g., an extract of media comprising P. bilaiae ATCC 18309, P. bilaiae ATCC 20851, P. bilaiae ATCC 22348, P. bilaiae NRRL 50162, P. bilaiae NRRL 50169, P. bilaiae NRRL 50776, P. bilaiae NRRL 50777, P. bilaiae NRRL 50778, P. bilaiae NRRL 50777, P. bilaiae NRRL 50778, P. bilaiae NRRL 50779, P. bilaiae NRRL 50780, P. bilaiae NRRL 50781, P. bilaiae NRRL 50782, P. bilaiae NRRL 50783, P. bilaiae NRRL 50784, P. bilaiae NRRL 50785, P. bilaiae NRRL 50786, P. bilaiae NRRL 50787, P. bilaiae NRRL 50788, P. bilaiae RS7B-SD1, P. brevicompactum AgRF18, P. canescens ATCC 10419, P. expansum ATCC 24692, P. expansum YT02, P. fellatanum ATCC 48694, P. gaestrivorus NRRL 50170, P. glabrum DAOM 239074, P. glabrum CBS 229.28, P. janthinellum ATCC 10455, P. lanosocoeruleum ATCC 48919, P. radicum ATCC 201836, P. radicum FRR 4717, P. radicum FRR 4719, P. radicum N93/47267 and/or P. raistrickii ATCC 10490), one or more Pseudomonas extracts (e.g., an extract of media comprising P. jessenii PS06), one or more acaricidal, insecticidal and/or nematicidal extracts (e.g., an extract of media comprising Bacillus firmus I-1582, Bacillus mycoides AQ726, NRRL B-21664; Beauveria bassiana ATCC-74040, Beauveria bassiana ATCC-74250,   BCS223033 FC -72- Burkholderia sp. A396 sp. nov. rinojensis, NRRL B-50319, Chromobacterium subtsugae NRRL B-30655, Chromobacterium vaccinii NRRL B-50880, Flavobacterium H492, NRRL B-50584, Metarhizium anisopliae F52 (also known as Metarhizium anisopliae strain 52, Metarhizium anisopliae strain 7, Metarhizium anisopliae strain 43 and Metarhizium anisopliae BIO-1020, TAE-001; deposited as DSM 3884, DSM 3885, ATCC 90448, SD 170 and ARSEF 7711) and/or Paecilomyces fumosoroseus FE991), and/or one or more fungicidal extracts (e.g., an extract of media comprising Ampelomyces quisqualis AQ 10® (Intrachem Bio GmbH & Co. KG, Germany), Aspergillus flavus AFLA-GUARD® (Syngenta Crop Protection, Inc., CH), Aureobasidium pullulans BOTECTOR® (bio-ferm GmbH, Germany), Bacillus pumilus AQ717 (NRRL B-21662), Bacillus pumilus NRRL B-30087, Bacillus AQ175 (ATCC 55608), Bacillus AQ177 (ATCC 55609), Bacillus subtilis AQ713 (NRRL B-21661), Bacillus subtilis AQ743 (NRRL B-21665), Bacillus amyloliquefaciens FZB24, Bacillus amyloliquefaciens NRRL B-50349, Bacillus amyloliquefaciens TJ1000 (also known as 1BE, isolate ATCC BAA-390), Bacillus thuringiensis AQ52 (NRRL B-21619), Candida oleophila I-82 (e.g., ASPIRE® from Ecogen Inc., USA), Candida saitoana BIOCURE® (in mixture with lysozyme; BASF, USA) and BIOCOAT® (ArystaLife Science, Ltd., Cary, NC), Clonostachys rosea f. catenulata (also referred to as Gliocladium catenulatum) J1446 (PRESTOP®, Verdera, Finland), Coniothyrium minitans CONTANS® (Prophyta, Germany), Cryphonectria parasitica (CNICM, France), Cryptococcus albidus YIELD PLUS® (Anchor Bio-Technologies, South Africa), Fusarium oxysporum BIOFOX® (from S.I.A.P.A., Italy) and FUSACLEAN® (Natural Plant Protection, France), Metschnikowia fructicola SHEMER® (Agrogreen, Israel), Microdochium dimerum ANTIBOT® (Agrauxine, France), Muscodor albus NRRL 30547, Muscodor roseus NRRL 30548, Phlebiopsis gigantea ROTSOP® (Verdera, Finland), Pseudozyma flocculosa SPORODEX® (Plant Products Co. Ltd., Canada), Pythium oligandrum DV74 (POLYVERSUM®, Remeslo SSRO, Biopreparaty, Czech Rep.), Reynoutria sachlinensis (e.g., REGALIA® from Marrone BioInnovations, USA), Streptomyces NRRL B-30145, Streptomyces M1064, Streptomyces galbus NRRL 30232, Streptomyces lydicus WYEC 108 (ATCC 55445), Streptomyces violaceusniger YCED 9 (ATCC 55660; DE-THATCH-9®, DECOMP-9® and THATCH CONTROL®, Idaho Research Foundation, USA), Streptomyces WYE 53 (ATCC 55750; DE-THATCH-9®, DECOMP- 9® and THATCH CONTROL®, Idaho Research Foundation, USA), Talaromyces flavus V117b (PROTUS®, Prophyta, Germany), Trichoderma asperellum SKT-1 (ECO-HOPE®, Kumiai Chemical Industry Co., Ltd., Japan), Trichoderma atroviride LC52 (SENTINEL®, Agrimm Technologies Ltd, NZ), Trichoderma harzianum T-22 (PLANTSHIELD®, der Firma BioWorks Inc., USA), Trichoderma harzianum TH-35 (ROOT PRO®, from Mycontrol Ltd., Israel), Trichoderma harzianum T-39 (TRICHODEX®, Mycontrol Ltd., Israel; TRICHODERMA 2000®, Makhteshim Ltd., Israel), Trichoderma harzianum ICC012 and Trichoderma viride TRICHOPEL (Agrimm Technologies Ltd, NZ), Trichoderma harzianum ICC012 and Trichoderma viride ICC080 (REMEDIER® WP, Isagro Ricerca, Italy), Trichoderma polysporum and Trichoderma harzianum (BINAB®, BINAB Bio-Innovation AB, Sweden), Trichoderma stromaticum TRICOVAB® (C.E.P.L.A.C., Brazil), Trichoderma virens GL-21   BCS223033 FC -73- (SOILGARD®, Certis LLC, USA), Trichoderma virens G1-3, ATCC 57678, Trichoderma virens G1-21 (Thermo Trilogy Corporation, Wasco, CA), Trichoderma virens G1-3 and Bacillus amyloliquefaciens FZB2, Trichoderma virens G1-3 and Bacillus amyloliquefaciens NRRL B-50349, Trichoderma virens G1-3 and Bacillus amyloliquefaciens TJ1000, Trichoderma virens G1-21 and Bacillus amyloliquefaciens FZB24, Trichoderma virens G1-21 and Bacillus amyloliquefaciens NRRL B-50349, Trichoderma virens G1-21 and Bacillus amyloliquefaciens TJ1000, Trichoderma viride TRIECO® (Ecosense Labs. (India) Pvt. Ltd., Indien, BIO-CURE® F from T. Stanes & Co. Ltd., Indien), Trichoderma viride TV1 (Agribiotec srl, Italy), Trichoderma viride ICC080, and/or Ulocladium oudemansii HRU3 (BOTRY-ZEN®, Botry-Zen Ltd, NZ)), and combinations thereof. According to some embodiments, the compound and the composition of the invention may be combined with one or more lipo-chitooligosaccharides (LCOs), chitooligosaccharides (COs), and/or chitinous compounds. LCOs, sometimes referred to as symbiotic nodulation (Nod) signals (or Nod factors) or as Myc factors, consist of an oligosaccharide backbone of β-l,4-linked N-acetyl-D-glucosamine (“GlcNAc”) residues with an N-linked fatty acyl chain condensed at the non-reducing end. As understood in the art, LCOs differ in the number of GlcNAc residues in the backbone, in the length and degree of saturation of the fatty acyl chain and in the substitutions of reducing and non-reducing sugar residues. See, e.g., Denarie et al., Ann. Rev. Biochem. 65:503 (1996); Diaz et al., Mol. Plant-Microbe Interactions 13:268 (2000); Hungria et al., Soil Biol. Biochem.29:819 (1997); Hamel et al., Planta 232:787 (2010); and Prome et al., Pure & Appl. Chem.70(1):55 (1998). LCOs (and derivatives thereof) may be included or utilized in various forms of purity and can be used alone or in the form of a culture of LCO-producing bacteria or fungi. For example, OPTIMIZE® (commercially available from Bayer Company) contains a culture of Bradyrhizobium japonicum that produces LCO. Methods to provide substantially pure LCOs include removing the microbial cells from a mixture of LCOs and the microbe, or continuing to isolate and purify the LCO molecules through LCO solvent phase separation followed by HPLC chromatography as described, for example, in U.S. Patent No. 5,549,718. Purification can be enhanced by repeated HPLC and the purified LCO molecules can be freeze-dried for long-term storage. Compositions and methods of the present disclosure may comprise analogues, derivatives, hydrates, isomers, salts and/or solvates of LCOs. LCOs may be incorporated into the composition according to the inventionin any suitable amount(s)/concentration(s). For example, the composition according to the invention comprise about 1 x 10
-20 M to about 1 x 10
-1 M LCO(s). The amount/concentration of LCO may be an amount effective to impart a positive trait or benefit to a plant, such as to enhance the growth and/or yield of the plant to which the composition is applied. According to some embodiments, the LCO amount/concentration is not effective to enhance the yield of the plant without beneficial contributions from one or more other constituents of the composition, such as CO and/or one or more pesticides.   BCS223033 FC -74- The compound and the composition of the invention may be combined with any suitable COs, perhaps in combination with one or more LCOs. COs differ from LCOs in that they lack the pendant fatty acid chain that is characteristic of LCOs. COs, sometimes referred to as N-acetylchitooligosaccharides, are also composed of GlcNAc residues but have side chain decorations that make them different from chitin molecules [(C
8H
13NO
5)
n, CAS No.1398-61-4] and chitosan molecules [(C
5H
11NO
4)
n, CAS No. 9012-76-4]. See, e.g., D’Haeze et al., Glycobiol. 12(6):79R (2002); Demont-Caulet et al., Plant Physiol. 120(1):83 (1999); Hanel et al., Planta 232:787 (2010); Muller et al., Plant Physiol. 124:733 (2000); Robina et al., Tetrahedron 58:521-530 (2002); Rouge et al., Docking of Chitin Oligomers and Nod Factors on Lectin Domains of the LysM-RLK Receptors in the Medicago-Rhizobium Symbiosis, in The Molecular Immunology of Complex Carbohydrates-3 (Springer Science, 2011); Van der Holst et al., Curr. Opin. Struc. Biol. 11:608 (2001); and Wan et al., Plant Cell 21:1053 (2009). COs may be obtained from any suitable source. For example, the CO may be derived from an LCO. For example, in an aspect, the composition according to the invention comprise one or more COs derived from an LCO obtained (i.e., isolated and/or purified) from a strain of Azorhizobium, Bradyrhizobium (e.g., B. japonicum), Mesorhizobium, Rhizobium (e.g., R. leguminosarum), Sinorhizobium (e.g., S. meliloti), or mycorhizzal fungi (e.g., Glomus intraradicus). Alternatively, the CO may be synthetic. Methods for the preparation of recombinant COs are known in the art. See, e.g., Cottaz et al., Meth. Eng.7(4):311 (2005); Samain et al., Carbohydrate Res. 302:35 (1997.); and Samain et al., J. Biotechnol. 72:33 (1999), the contents and disclosures of which are incorporated herein by reference. COs (and derivatives thereof) may be included or utilized in various forms of purity and can be used alone or in the form of a culture of CO-producing bacteria or fungi. It is to be understood that the compound and the composition of the invention may be combined with hydrates, isomers, salts and/or solvates of COs. COs may be used in any suitable amount(s)/concentration(s). For example, the composition according to the invention may comprise about 1 x 10
-20 M to about 1 x 10
-1 M COs. The amount/concentration of CO may be an amount effective to impart or confer a positive trait or benefit to a plant, such as to enhance the soil microbial environment, nutrient uptake, or increase the growth and/or yield of the plant to which the composition is applied. According to some embodiments, a CO amount/concentration may not be effective to enhance the growth of the plant without beneficial contributions from one or more other ingredients of the composition, such as LCO and/or one or more inoculants, biomolecules, nutrients, or pesticides. The compound and the composition of the invention may be combined with one or more suitable chitinous compounds, such as, for example, chitin, chitosan, and isomers, salts and solvates thereof. Chitins and chitosans, which are major components of the cell walls of fungi and the exoskeletons of insects and crustaceans, are composed of GlcNAc residues. Chitins and chitosans may be obtained commercially or prepared from insects, crustacean shells, or fungal cell walls. Methods for the preparation of chitin and chitosan are known in the art. See, e.g., U.S. Patent Nos. 4,536,207 (preparation from crustacean shells)   BCS223033 FC -75- and 5,965,545 (preparation from crab shells and hydrolysis of commercial chitosan); and Pochanavanich et al., Lett. Appl. Microbiol. 35:17 (2002) (preparation from fungal cell walls). Deacetylated chitins and chitosans may be obtained that range from less than 35% to greater than 90% deacetylation and cover a broad spectrum of molecular weights, e.g., low molecular weight chitosan oligomers of less than 15kD and chitin oligomers of 0.5 to 2kD; “practical grade” chitosan with a molecular weight of about 15kD; and high molecular weight chitosan of up to 70kD. Chitin and chitosan compositions formulated for seed treatment are commercially available. Commercial products include, for example, ELEXA® (Plant Defense Boosters, Inc.) and BEYOND™ (Agrihouse, Inc.). The compound and the composition of the invention may be combined with one or more suitable flavonoids, including, but not limited to, anthocyanidins, anthoxanthins, chalcones, coumarins, flavanones, flavanonols, flavans and isoflavonoids, as well as analogues, derivatives, hydrates, isomers, polymers, salts and solvates thereof. Flavonoids are phenolic compounds having the general structure of two aromatic rings connected by a three-carbon bridge. Classes of flavonoids are known in the art. See, e.g., Jain et al., J. Plant Biochem. & Biotechnol.11:1 (2002); and Shaw et al., Environ. Microbiol.11:1867 (2006), the contents and disclosures of which are incorporated herein by reference. Several flavonoid compounds are commercially available. Flavonoid compounds may be isolated from plants or seeds, e.g., as described in U.S. Patents 5,702,752; 5,990,291; and 6,146,668. Flavonoid compounds may also be produced by genetically engineered organisms, such as yeast. See, e.g., Ralston et al., Plant Physiol. 137:1375 (2005). According to some embodiments, the compound and the composition of the invention may be combined with one or more flavanones, such as one or more of butin, eriodictyol, hesperetin, hesperidin, homoeriodictyol, isosakuranetin, naringenin, naringin, pinocembrin, poncirin, sakuranetin, sakuranin, and/or sterubin, one or more flavanonols, such as dihydrokaempferol and/or taxifolin, one or more flavans, such as one or more flavan-3-ols (e.g., catechin (C), catechin 3-gallate (Cg), epicatechins (EC), epigallocatechin (EGC) epicatechin 3-gallate (ECg), epigallcatechin 3-gallate (EGCg), epiafzelechin, fisetinidol, gallocatechin (GC), gallcatechin 3-gallate (GCg), guibourtinidol, mesquitol, robinetinidol, theaflavin-3-gallate, theaflavin-3'-gallate, theflavin-3,3'-digallate, thearubigin), flavan-4-ols (e.g., apiforol and/or luteoforol) and/or flavan-3,4-diols (e.g., leucocyanidin, leucodelphinidin, leucofisetinidin, leucomalvidin, luecopelargonidin, leucopeonidin, leucorobinetinidin, melacacidin and/or teracacidin) and/or dimers, trimers, oligomers and/or polymers thereof (e.g., one or more proanthocyanidins), one or more isoflavonoids, such as one or more isoflavones or flavonoid derivatives (e.g., biochanin A, daidzein, formononetin, genistein and/or glycitein), isoflavanes (e.g., equol, ionchocarpane and/or laxifloorane), isoflavandiols, isoflavenes (e.g., glabrene, haginin D and/or 2-methoxyjudaicin), coumestans (e.g., coumestrol, plicadin and/or wedelolactone), pterocarpans, roetonoids, neoflavonoids (e.g., calophyllolide, coutareagenin, dalbergichromene, dalbergin, nivetin), and/or pterocarpans (e.g., bitucarpin A, bitucarpin B, erybraedin A, erybraedin B, erythrabyssin II, erthyrabissin-1, erycristagallin, glycinol, glyceollidins,   BCS223033 FC -76- glyceollins, glycyrrhizol, maackiain, medicarpin, morisianine, orientanol, phaseolin, pisatin, striatine, trifolirhizin), and combinations thereof. Flavonoids and their derivatives may be included in the present composition in any suitable form, including, but not limited to, polymorphic and crystalline forms. Flavonoids may be included in the composition according to the invention in any suitable amount(s) or concentration(s). The amount/concentration of a flavonoid(s) may be an amount effective to impart a benefit to a plant, which may be indirectly through activity on soil microorganisms or other means, such as to enhance plant nutrition and/or yield. According to some embodiments, a flavonoid amount/concentration may not be effective to enhance the nutrition or yield of the plant without the beneficial contributions from one or more other ingredients of the composition, such as LCO, CO, and/or one or more pesticides. The compound and the composition of the invention may be combined with one or more suitable non- flavonoid nod-gene inducer(s), including, but not limited to, jasmonic acid ([1R-[1α,2β(Z)]]-3-oxo-2- (pentenyl)cyclopentaneacetic acid; JA), linoleic acid ((Z,Z)-9,12-Octadecadienoic acid) and/or linolenic acid ((Z,Z,Z)-9,12,15-octadecatrienoic acid), and analogues, derivatives, hydrates, isomers, polymers, salts and solvates thereof. Jasmonic acid and its methyl ester, methyl jasmonate (MeJA), collectively known as jasmonates, are octadecanoid-based compounds that occur naturally in some plants (e.g., wheat), fungi (e.g., Botryodiplodia theobromae, Gibbrella fujikuroi), yeast (e.g., Saccharomyces cerevisiae) and bacteria (e.g., Escherichia coli). Linoleic acid and linolenic acid may be produced in the course of the biosynthesis of jasmonic acid. Jasmonates, linoleic acid and linolenic acid (and their derivatives) are reported to be inducers of nod gene expression or LCO production by rhizobacteria. See, e.g., Mabood et al., PLANT PHYSIOL. BIOCHEM. 44(11):759 (2006); Mabood et al., AGR. J.98(2):289 (2006); Mabood et al., FIELD CROPS RES.95(2-3):412 (2006); and Mabood & Smith, Linoleic and linolenic acid induce the expression of nod genes in Bradyrhizobium japonicum USDA 3, PLANT BIOL. (2001). Derivatives of jasmonic acid, linoleic acid, and linolenic acid that may be included or used in combination with the compound and the composition according to the invention include esters, amides, glycosides and salts thereof. Representative esters are compounds in which the carboxyl group of linoleic acid, linolenic acid, or jasmonic acid has been replaced with a --COR group, where R is an --OR
1 group, in which R
1 is: an alkyl group, such as a C
1-C
8 unbranched or branched alkyl group, e.g., a methyl, ethyl or propyl group; an alkenyl group, such as a C
2-C
8 unbranched or branched alkenyl group; an alkynyl group, such as a C
2-C
8 unbranched or branched alkynyl group; an aryl group having, for example, 6 to 10 carbon atoms; or a heteroaryl group having, for example, 4 to 9 carbon atoms, wherein the heteroatoms in the heteroaryl group can be, for example, N, O, P, or S. Representative amides are compounds in which the carboxyl group of linoleic acid, linolenic acid, or jasmonic acid has been replaced with a --COR group, where R is an NR
2R
3 group, in which R
2 and R
3 are each independently: a hydrogen; an alkyl group, such as a C
1-C
8 unbranched or branched alkyl group, e.g., a methyl, ethyl or propyl group; an alkenyl group, such as a C
2-C
8 unbranched or branched alkenyl group; an alkynyl group, such as a C
2-C
8 unbranched or branched   BCS223033 FC -77- alkynyl group; an aryl group having, for example, 6 to 10 carbon atoms; or a heteroaryl group having, for example, 4 to 9 carbon atoms, wherein the heteroatoms in the heteroaryl group can be, for example, N, O, P, or S. Esters may be prepared by known methods, such as acid-catalyzed nucleophilic addition, wherein the carboxylic acid is reacted with an alcohol in the presence of a catalytic amount of a mineral acid. Amides may also be prepared by known methods, such as by reacting the carboxylic acid with the appropriate amine in the presence of a coupling agent, such as dicyclohexyl carbodiimide (DCC), under neutral conditions. Suitable salts of linoleic acid, linolenic acid and jasmonic acid include, for example, base addition salts. The bases that may be used as reagents to prepare metabolically acceptable base salts of these compounds include those derived from cations such as alkali metal cations (e.g., potassium and sodium) and alkaline earth metal cations (e.g., calcium and magnesium). These salts may be readily prepared by mixing a solution of linoleic acid, linolenic acid, or jasmonic acid with a solution of the base. The salts may be precipitated from solution and collected by filtration, or may be recovered by other means such as by evaporation of the solvent. Non-flavonoid nod-gene inducers may be used in combination with the compound and the composition according to the invention in any suitable amount(s)/concentration(s). For example, the amount/concentration of non-flavonoid nod-gene inducers may be an amount effective to impart or confer a positive trait or benefit to a plant, such as to enhance the growth and/or yield of the plant to which the composition is applied. According to some embodiments, the amount/concentration of non-flavonoid nod- gene inducers may not be effective to enhance the growth and/or yield of the plant without beneficial contributions from one or more other ingredients of the composition, such as a LCO, CO and/or one or more pesticides. The compound and the composition of the invention may be combined with karrakins, including but not limited to 2H-furo[2,3-c]pyran-2-ones, as well as analogues, derivatives, hydrates, isomers, polymers, salts and solvates thereof. Examples of biologically acceptable salts of karrakins include acid addition salts formed with biologically acceptable acids, examples of which include hydrochloride, hydrobromide, sulphate or bisulphate, phosphate or hydrogen phosphate, acetate, benzoate, succinate, fumarate, maleate, lactate, citrate, tartrate, gluconate; methanesulphonate, benzenesulphonate and p-toluenesulphonic acid. Additional biologically acceptable metal salts may include alkali metal salts, with bases, examples of which include the sodium and potassium salts. Karrakins may be incorporated into the composition according to the invention in any suitable amount(s) or concentration(s). For example, the amount/concentration of a karrakin may be an amount or concentration effective to impart or confer a positive trait or benefit to a plant, such as to enhance the growth and/or yield of the plant to which the composition is applied. In an aspect, a karrakin amount/concentration may not be effective to enhance the growth and/or yield of the plant without beneficial contributions from one or more other ingredients of the composition, such as a LCO, CO and/or one or more pesticides.   BCS223033 FC -78- The compound and the composition of the invention may be combined with one or more anthocyanidins and/or anthoxanthins, such as one or more of cyanidin, delphinidin, malvidin, pelargonidin, peonidin, petunidin, flavones (e.g., apigenin, baicalein, chrysin, 7,8-dihydroxyflavone, diosmin, flavoxate, 6- hydroxyflavone, luteolin, scutellarein, tangeritin and/or wogonin) and/or flavonols (e.g., amurensin, astragalin, azaleatin, azalein, fisetin, furanoflavonols galangin, gossypetin, 3-hydroxyflavone, hyperoside, icariin, isoquercetin, kaempferide, kaempferitrin, kaempferol, isorhamnetin, morin, myricetin, myricitrin, natsudaidain, pachypodol, pyranoflavonols quercetin, quericitin, rhamnazin, rhamnetin, robinin, rutin, spiraeoside, troxerutin and/or zanthorhamnin), and combinations thereof. The compound and the composition of the invention may be combined with gluconolactone and/or an analogue, derivative, hydrate, isomer, polymer, salt and/or solvate thereof. Gluconolactone may be incorporated into the composition according to the inventionin any suitable amount(s)/concentration(s). For example, the amount/concentration of a gluconolactone amount/concentration may be an amount effective to impart or confer a positive trait or benefit to a plant, such as to enhance the growth and/or yield of the plant to which the composition is applied. In an aspect, the gluconolactone amount/concentration may not be effective to enhance the growth and/or yield of the plant without beneficial contributions from one or more other ingredients of the composition, such as a LCO, CO and/or one or more pesticides. The compound and the composition of the invention may be combined with one or more suitable nutrient(s) and/or fertilizer(s), such as organic acids (e.g., acetic acid, citric acid, lactic acid, malic acid, taurine, etc.), macrominerals (e.g., phosphorous, calcium, magnesium, potassium, sodium, iron, etc.), trace minerals (e.g., boron, cobalt, chloride, chromium, copper, fluoride, iodine, iron, manganese, molybdenum, selenium, zinc, etc.), vitamins, (e.g., vitamin A, vitamin B complex (i.e., vitamin B
1, vitamin B
2, vitamin B
3, vitamin B
5, vitamin B
6, vitamin B
7, vitamin B
8, vitamin B
9, vitamin B
12, choline) vitamin C, vitamin D, vitamin E, vitamin K.), and/or carotenoids (α-carotene, β-carotene, cryptoxanthin, lutein, lycopene, zeaxanthin, etc.), and combinations thereof. In an aspect, the compound and the composition of the invention may be combined with macro- and micronutrients of plants or microbes, including phosphorous, boron, chlorine, copper, iron, manganese, molybdenum and/or zinc. According to some embodiments, the compound and the composition of the invention may be combined with one or more beneficial micronutrients. Non-limiting examples of micronutrients for use in compositions described herein may include vitamins, (e.g., vitamin A, vitamin B complex (i.e., vitamin B1, vitamin B2, vitamin B3, vitamin B5, vitamin B6, vitamin B7, vitamin B8, vitamin B9, vitamin B12, choline) vitamin C, vitamin D, vitamin E, vitamin K, carotenoids (α-carotene, β-carotene, cryptoxanthin, lutein, lycopene, zeaxanthin, etc.), macrominerals (e.g., phosphorous, calcium, magnesium, potassium, sodium, iron, etc.), trace minerals (e.g., boron, cobalt, chloride, chromium, copper, fluoride, iodine, iron, manganese, molybdenum, selenium, zinc, etc.), organic acids (e.g., acetic acid, citric acid, lactic acid, malic acid, taurine, etc.), and combinations thereof (BAYFOLAN secure, BAYFOLAN complete, BAYFOLAN energy, BAYFOLAN   BCS223033 FC -79- power, Aglukon GmbH, Germany). In a particular aspect, compositions may comprise phosphorous, boron, chlorine, copper, iron, manganese, molybdenum, and/or zinc, and combinations thereof. For compositions comprising phosphorous, it is envisioned that any suitable source of phosphorous may be used. For example, phosphorus may be derived from a rock phosphate source, such as monoammonium phosphate, diammonium phosphate, monocalcium phosphate, super phosphate, triple super phosphate, and/or ammonium polyphosphate, an organic phosphorous source, or a phosphorous source capable of solubilization by one or more microorganisms (e.g., Penicillium bilaiae). Methods and uses The compound and the composition of the invention have potent microbicidal activity and/or plant defense modulating potential. They can be used for controlling unwanted microorganisms, such as unwanted fungi and bacteria, on plants. They can be particularly useful in crop protection (they control microorganisms that cause plants diseases) or for protecting materials (e.g. industrial materials, timber, storage goods) as described in more details herein below. More specifically, the compound and the composition of the invention can be used to protect seeds, germinating seeds, emerged seedlings, plants, plant parts, fruits, harvest goods and/or the soil in which the plants grow from unwanted microorganisms. Control or controlling as used herein encompasses protective, curative and eradicative treatment of unwanted microorganisms. Unwanted microorganisms may be pathogenic bacteria, pathogenic virus, pathogenic oomycetes or pathogenic fungi, more specifically phytopathogenic bacteria, phytopathogenic virus, phytopathogenic oomycetes or phytopathogenic fungi. As detailed herein below, these phytopathogenic microorganims are the causal agents of a broad spectrum of plants diseases. More specifically, the compound and the composition of the invention can be used as fungicides. For the purpose of the specification, the term “fungicide” refers to a compound or composition that can be used in crop protection for the control of unwanted fungi, such as Plasmodiophoromycetes, Chytridiomycetes, Zygomycetes, Ascomycetes, Basidiomycetes and Deuteromycetes and/or for the control of Oomycetes. The compound and the composition of the invention may also be used as antibacterial agent. In particular, they may be used in crop protection, for example for the control of unwanted bacteria, such as Pseudomonadaceae, Rhizobiaceae, Xanthomonadaceae, Enterobacteriaceae, Corynebacteriaceae and Streptomycetaceae. The compound and the composition of the invention may also be used as antiviral agent in crop protection. For example the compound and the composition of the invention may have effects on diseases from plant viruses, such as the tobacco mosaic virus (TMV), tobacco rattle virus, tobacco stunt virus (TStuV), tobacco leaf curl virus (VLCV), tobacco nervilia mosaic virus (TVBMV), tobacco necrotic dwarf virus (TNDV), tobacco streak virus (TSV), potato virus X (PVX), potato viruses Y, S, M, and A, potato acuba mosaic virus (PAMV), potato mop-top virus (PMTV), potato leaf-roll virus (PLRV), alfalfa mosaic virus   BCS223033 FC -80- (AMV), cucumber mosaic virus (CMV), cucumber green mottlemosaic virus (CGMMV), cucumber yellows virus (CuYV), watermelon mosaic virus (WMV), tomato spotted wilt virus (TSWV), tomato ringspot virus (TomRSV), sugarcane mosaic virus (SCMV), rice drawf virus, rice stripe virus, rice black- streaked drawf virus, strawberry mottle virus (SMoV), strawberry vein banding virus (SVBV), strawberry mild yellow edge virus (SMYEV), strawberry crinkle virus (SCrV), broad beanwilt virus (BBWV), and melon necrotic spot virus (MNSV). The present invention also relates to a method for controlling unwanted microorganisms, such as unwanted fungi, oomycetes and bacteria, on plants comprising the step of applying at least one compound of the invention or at least one composition of the invention to the microorganisms and/or their habitat (to the plants, plant parts, seeds, fruits or to the soil in which the plants grow). Typically, when the compound and the composition of the invention are used in curative or protective methods for controlling phytopathogenic fungi and/or phytopathogenic oomycetes, an effective and plant- compatible amount thereof is applied to the plants, plant parts, fruits, seeds or to the soil or substrates in which the plants grow. Suitable substrates that may be used for cultivating plants include inorganic based substrates, such as mineral wool, in particular stone wool, perlite, sand or gravel; organic substrates, such as peat, pine bark or sawdust; and petroleum based substrates such as polymeric foams or plastic beads. Effective and plant-compatible amount means an amount that is sufficient to control or destroy the fungi present or liable to appear on the cropland and that does not entail any appreciable symptom of phytotoxicity for said crops. Such an amount can vary within a wide range depending on the fungus to be controlled, the type of crop, the crop growth stage, the climatic conditions and the respective compound or composition of the invention used. This amount can be determined by systematic field trials that are within the capabilities of a person skilled in the art. Plants and plant parts The compound and the composition of the invention may be applied to any plants or plant parts. Plants mean all plants and plant populations, such as desired and undesired wild plants or crop plants (including naturally occurring crop plants). Crop plants may be plants which can be obtained by conventional breeding and optimization methods or by biotechnological and genetic engineering methods or combinations of these methods, including the genetically modified plants (GMO or transgenic plants) and the plant cultivars which are protectable and non-protectable by plant breeders’ rights. Plant cultivars are understood to mean plants which have new properties ("traits") and have been obtained by conventional breeding, by mutagenesis or by recombinant DNA techniques. They can be cultivars, varieties, bio- or genotypes.   BCS223033 FC -81- Plant parts are understood to mean all parts and organs of plants above and below the ground, such as shoots, leaves, needles, stalks, stems, flowers, fruit bodies, fruits, seeds, roots, tubers and rhizomes. The plant parts also include harvested material and vegetative and generative propagation material, for example cuttings, tubers, rhizomes, slips and seeds. Plants which may be treated in accordance with the methods of the invention include the following: cotton, flax, grapevine, fruit, vegetables, such as Rosaceae sp. (for example pome fruits such as apples and pears, but also stone fruits such as apricots, cherries, almonds and peaches, and soft fruits such as strawberries), Ribesioidae sp., Juglandaceae sp., Betulaceae sp., Anacardiaceae sp., Fagaceae sp., Moraceae sp., Oleaceae sp., Actinidaceae sp., Lauraceae sp., Musaceae sp. (for example banana trees and plantations), Rubiaceae sp. (for example coffee), Theaceae sp., Sterculiceae sp., Rutaceae sp. (for example lemons, oranges and grapefruit); Solanaceae sp. (for example tomatoes), Liliaceae sp., Asteraceae sp. (for example lettuce), Umbelliferae sp., Cruciferae sp., Chenopodiaceae sp., Cucurbitaceae sp. (for example cucumber), Alliaceae sp. (for example leek, onion), Papilionaceae sp. (for example peas); major crop plants, such as Gramineae sp. (for example maize, turf, cereals such as wheat, rye, rice, barley, oats, millet and triticale), Asteraceae sp. (for example sunflower), Brassicaceae sp. (for example white cabbage, red cabbage, broccoli, cauliflower, Brussels sprouts, pak choi, kohlrabi, radishes, and oilseed rape, mustard, horseradish and cress), Fabacae sp. (for example bean, peanuts), Papilionaceae sp. (for example soya bean), Solanaceae sp. (for example potatoes), Chenopodiaceae sp. (for example sugar beet, fodder beet, swiss chard, beetroot); useful plants and ornamental plants for gardens and wooded areas; and genetically modified varieties of each of these plants. Plants and plant cultivars which may be treated by the above disclosed methods include plants and plant cultivars which are resistant against one or more biotic stresses, i.e. said plants show a better defense against animal and microbial pests, such as against nematodes, insects, mites, phytopathogenic fungi, bacteria, viruses and/or viroids. Plants and plant cultivars which may be treated by the above disclosed methods include those plants which are resistant to one or more abiotic stresses. Abiotic stress conditions may include, for example, drought, cold temperature exposure, heat exposure, osmotic stress, flooding, increased soil salinity, increased mineral exposure, ozone exposure, high light exposure, limited availability of nitrogen nutrients, limited availability of phosphorus nutrients, shade avoidance. Plants and plant cultivars which may be treated by the above disclosed methods include those plants characterized by enhanced yield characteristics. Increased yield in said plants may be the result of, for example, improved plant physiology, growth and development, such as water use efficiency, water retention efficiency, improved nitrogen use, enhanced carbon assimilation, improved photosynthesis, increased germination efficiency and accelerated maturation. Yield may furthermore be affected by improved plant architecture (under stress and non-stress conditions), including but not limited to, early flowering, flowering control for hybrid seed production, seedling vigor, plant size, internode number and distance, root growth, seed size, fruit   BCS223033 FC -82- size, pod size, pod or ear number, seed number per pod or ear, seed mass, enhanced seed filling, reduced seed dispersal, reduced pod dehiscence and lodging resistance. Further yield traits include seed composition, such as carbohydrate content and composition for example cotton or starch, protein content, oil content and composition, nutritional value, reduction in anti-nutritional compounds, improved processability and better storage stability. Plants and plant cultivars which may be treated by the above disclosed methods include plants and plant cultivars which are hybrid plants that already express the characteristic of heterosis or hybrid vigor which results in generally higher yield, vigor, health and resistance towards biotic and abiotic stresses. Transgenic plants, seed treatment and integration events The compound according to the invention can be advantageously used to treat transgenic plants, plant cultivars or plant parts that received genetic material which imparts advantageous and/or useful properties (traits) to these plants, plant cultivars or plant parts. Therefore, it is contemplated that the present invention may be combined with one or more recombinant traits or transgenic event(s) or a combination thereof. For the purposes of this application, a transgenic event is created by the insertion of a specific recombinant DNA molecule into a specific position (locus) within the chromosome of the plant genome. The insertion creates a novel DNA sequence referred to as an “event” and is characterized by the inserted recombinant DNA molecule and some amount of genomic DNA immediately adjacent to/flanking both ends of the inserted DNA. Such trait(s) or transgenic event(s) include, but are not limited to, pest resistance, water use efficiency, yield performance, drought tolerance, seed quality, improved nutritional quality, hybrid seed production, and herbicide tolerance, in which the trait is measured with respect to a plant lacking such trait or transgenic event. Concrete examples of such advantageous and/or useful properties (traits) are better plant growth, vigor, stress tolerance, standability, lodging resistance, nutrient uptake, plant nutrition, and/or yield, in particular improved growth, increased tolerance to high or low temperatures, increased tolerance to drought or to levels of water or soil salinity, enhanced flowering performance, easier harvesting, accelerated ripening, higher yields, higher quality and/or a higher nutritional value of the harvested products, better storage life and/or processability of the harvested products, and increased resistance against animal and microbial pests, such as against insects, arachnids, nematodes, mites, slugs and snails. Among DNA sequences encoding proteins which confer properties of tolerance to such animal and microbial pests, in particular insects, mention will particularly be made of the genetic material from Bacillus thuringiensis encoding the Bt proteins widely described in the literature and well known to those skilled in the art. Mention will also be made of proteins extracted from bacteria such as Photorhabdus (WO97/17432 and WO98/08932). In particular, mention will be made of the Bt Cry or VIP proteins which include the CrylA, CryIAb, CryIAc, CryIIA, CryIIIA, CryIIIB2, Cry9c Cry2Ab, Cry3Bb and CryIF proteins or toxic fragments thereof and also hybrids or combinations thereof,   BCS223033 FC -83- especially the CrylF protein or hybrids derived from a CrylF protein (e.g. hybrid CrylA-CrylF proteins or toxic fragments thereof), the CrylA-type proteins or toxic fragments thereof, preferably the CrylAc protein or hybrids derived from the CrylAc protein (e.g. hybrid CrylAb-CrylAc proteins) or the CrylAb or Bt2 protein or toxic fragments thereof, the Cry2Ae, Cry2Af or Cry2Ag proteins or toxic fragments thereof, the CrylA.105 protein or a toxic fragment thereof, the VIP3Aa19 protein, the VIP3Aa20 protein, the VIP3A proteins produced in the COT202 or COT203 cotton events, the VIP3Aa protein or a toxic fragment thereof as described in Estruch et al. (1996), Proc Natl Acad Sci US A.28;93(11):5389-94, the Cry proteins as described in WO2001/47952, the insecticidal proteins from Xenorhabdus (as described in WO98/50427), Serratia (particularly from S. entomophila) or Photorhabdus species strains, such as Tc-proteins from Photorhabdus as described in WO98/08932. Also any variants or mutants of any one of these proteins differing in some amino acids (1-10, preferably 1-5) from any of the above named sequences, particularly the sequence of their toxic fragment, or which are fused to a transit peptide, such as a plastid transit peptide, or another protein or peptide, is included herein. Another and particularly emphasized example of such properties is conferred tolerance to one or more herbicides, for example imidazolinones, sulphonylureas, glyphosate or phosphinothricin. Among DNA sequences encoding proteins which confer properties of tolerance to certain herbicides on the transformed plant cells and plants, mention will be particularly be made to the bar or PAT gene or the Streptomyces coelicolor gene described in WO2009/152359 which confers tolerance to glufosinate herbicides, a gene encoding a suitable EPSPS (5-Enolpyruvylshikimat-3-phosphat-synthase) which confers tolerance to herbicides having EPSPS as a target, especially herbicides such as glyphosate and its salts, a gene encoding glyphosate-n-acetyltransferase, or a gene encoding glyphosate oxidoreductase. Further suitable herbicide tolerance traits include at least one ALS (acetolactate synthase) inhibitor (e.g. WO2007/024782), a mutated Arabidopsis ALS/AHAS gene (e.g. U.S. Patent 6,855,533), genes encoding 2,4-D- monooxygenases conferring tolerance to 2,4-D (2,4- dichlorophenoxyacetic acid) and genes encoding Dicamba monooxygenases conferring tolerance to dicamba (3,6-dichloro-2- methoxybenzoic acid). Yet another example of such properties is resistance to one or more phytopathogenic fungi, for example Asian Soybean Rust. Among DNA sequences encoding proteins which confer properties of resistance to such diseases, mention will particularly be made of the genetic material from glycine tomentella, for example from any one of publically available accession lines PI441001 , PI483224, PI583970, PI446958, PI499939, PI505220, PI499933, PI441008, PI505256 or PI446961 as described in WO2019/103918. Further and particularly emphasized examples of such properties are increased resistance against bacteria and/or viruses owing, for example, to systemic acquired resistance (SAR), systemin, phytoalexins, elicitors and also resistance genes and correspondingly expressed proteins and toxins.   BCS223033 FC -84- Particularly useful transgenic events in transgenic plants or plant cultivars which can be treated with preference in accordance with the invention include Event 531/ PV-GHBK04 (cotton, insect control, described in WO2002/040677), Event 1143-14A (cotton, insect control, not deposited, described in WO2006/128569); Event 1143-51B (cotton, insect control, not deposited, described in WO2006/128570); Event 1445 (cotton, herbicide tolerance, not deposited, described in US-A 2002- 120964 or WO2002/034946); Event 17053 (rice, herbicide tolerance, deposited as PTA-9843, described in WO2010/117737); Event 17314 (rice, herbicide tolerance, deposited as PTA-9844, described in WO2010/117735); Event 281-24-236 (cotton, insect control - herbicide tolerance, deposited as PTA-6233, described in WO2005/103266 or US-A 2005-216969); Event 3006-210-23 (cotton, insect control - herbicide tolerance, deposited as PTA-6233, described in US-A 2007-143876 orWO2005/103266); Event 3272 (corn, quality trait, deposited as PTA-9972, described in WO2006/098952 or US-A 2006-230473); Event 33391 (wheat, herbicide tolerance, deposited as PTA-2347, described in WO2002/027004), Event 40416 (corn, insect control - herbicide tolerance, deposited as ATCC PTA-11508, described in WO 11/075593); Event 43A47 (corn, insect control - herbicide tolerance, deposited as ATCC PTA-11509, described in WO2011/075595); Event 5307 (corn, insect control, deposited as ATCC PTA-9561, described in WO2010/077816); Event ASR- 368 (bent grass, herbicide tolerance, deposited as ATCC PTA-4816, described in US-A 2006-162007 or WO2004/053062); Event B16 (corn, herbicide tolerance, not deposited, described in US-A 2003- 126634); Event BPS-CV127- 9 (soybean, herbicide tolerance, deposited as NCIMB No. 41603, described in WO2010/080829); Event BLRl (oilseed rape, restoration of male sterility, deposited as NCIMB 41193, described in WO2005/074671), Event CE43-67B (cotton, insect control, deposited as DSM ACC2724, described in US-A 2009-217423 or WO2006/128573); Event CE44-69D (cotton, insect control, not deposited, described in US-A 2010- 0024077); Event CE44-69D (cotton, insect control, not deposited, described in WO2006/128571); Event CE46-02A (cotton, insect control, not deposited, described in WO2006/128572); Event COT102 (cotton, insect control, not deposited, described in US-A 2006-130175 or WO2004/039986); Event COT202 (cotton, insect control, not deposited, described in US-A 2007-067868 or WO2005/054479); Event COT203 (cotton, insect control, not deposited, described in WO2005/054480); ); Event DAS21606-3 / 1606 (soybean, herbicide tolerance, deposited as PTA-11028, described in WO2012/033794), Event DAS40278 (corn, herbicide tolerance, deposited as ATCC PTA-10244, described in WO2011/022469); Event DAS-44406-6 / pDAB8264.44.06.l (soybean, herbicide tolerance, deposited as PTA-11336, described in WO2012/075426), Event DAS-14536-7 /pDAB8291.45.36.2 (soybean, herbicide tolerance, deposited as PTA-11335, described in WO2012/075429), Event DAS-59122-7 (corn, insect control - herbicide tolerance, deposited as ATCC PTA 11384, described in US-A 2006- 070139); Event DAS-59132 (corn, insect control - herbicide tolerance, not deposited, described in WO2009/100188); Event DAS68416 (soybean, herbicide tolerance, deposited as ATCC PTA-10442, described in WO2011/066384 or WO2011/066360); Event DP-098140-6 (corn, herbicide tolerance,   BCS223033 FC -85- deposited as ATCC PTA-8296, described in US-A 2009- 137395 or WO 08/112019); Event DP- 305423-1 (soybean, quality trait, not deposited, described in US-A 2008-312082 or WO2008/054747); Event DP-32138-1 (corn, hybridization system, deposited as ATCC PTA-9158, described in US-A 2009-0210970 or WO2009/103049); Event DP-356043-5 (soybean, herbicide tolerance, deposited as ATCC PTA-8287, described in US-A 2010-0184079 or WO2008/002872); Event EE-I (brinjal, insect control, not deposited, described in WO 07/091277); Event Fil 17 (corn, herbicide tolerance, deposited as ATCC 209031, described in US-A 2006-059581 or WO 98/044140); Event FG72 (soybean, herbicide tolerance, deposited as PTA-11041, described in WO2011/063413), Event GA21 (corn, herbicide tolerance, deposited as ATCC 209033, described in US-A 2005-086719 or WO 98/044140); Event GG25 (corn, herbicide tolerance, deposited as ATCC 209032, described in US-A 2005-188434 or WO98/044140); Event GHB119 (cotton, insect control - herbicide tolerance, deposited as ATCC PTA-8398, described in WO2008/151780); Event GHB614 (cotton, herbicide tolerance, deposited as ATCC PTA-6878, described in US-A 2010-050282 or W02007/017186); Event GJ11 (corn, herbicide tolerance, deposited as ATCC 209030, described in US-A 2005-188434 or WO98/044140); Event GM RZ13 (sugar beet, virus resistance, deposited as NCIMB-41601, described in WO2010/076212); Event H7-l (sugar beet, herbicide tolerance, deposited as NCIMB 41158 or NCIMB 41159, described in US-A 2004-172669 or WO 2004/074492); Event JOPLINl (wheat, disease tolerance, not deposited, described in US-A 2008-064032); Event LL27 (soybean, herbicide tolerance, deposited as NCIMB41658, described in WO2006/108674 or US-A 2008- 320616); Event LL55 (soybean, herbicide tolerance, deposited as NCIMB 41660, described in WO 2006/108675 or US-A 2008-196127); Event LLcotton25 (cotton, herbicide tolerance, deposited as ATCC PTA-3343, described in WO2003/013224 or US- A 2003-097687); Event LLRICE06 (rice, herbicide tolerance, deposited as ATCC 203353, described in US 6,468,747 or WO2000/026345); Event LLRice62 ( rice, herbicide tolerance, deposited as ATCC 203352, described in WO2000/026345), Event LLRICE601 (rice, herbicide tolerance, deposited as ATCC PTA-2600, described in US-A 2008-2289060 or WO2000/026356); Event LY038 (corn, quality trait, deposited as ATCC PTA-5623, described in US-A 2007-028322 or WO2005/061720); Event MIR162 (corn, insect control, deposited as PTA-8166, described in US-A 2009-300784 or WO2007/142840); Event MIR604 (corn, insect control, not deposited, described in US-A 2008-167456 or WO2005/103301); Event MON15985 (cotton, insect control, deposited as ATCC PTA-2516, described in US-A 2004- 250317 or WO2002/100163); Event MON810 (corn, insect control, not deposited, described in US- A 2002-102582); Event MON863 (corn, insect control, deposited as ATCC PTA-2605, described in WO2004/011601 or US-A 2006-095986); Event MON87427 (corn, pollination control, deposited as ATCC PTA-7899, described in WO2011/062904); Event MON87460 (corn, stress tolerance, deposited as ATCC PTA-8910, described in WO2009/111263 or US-A 2011-0138504); Event MON87701 (soybean, insect control, deposited as ATCC PTA- 8194, described in US-A 2009- 130071 or WO2009/064652); Event MON87705 (soybean, quality trait - herbicide tolerance,   BCS223033 FC -86- deposited as ATCC PTA-9241, described in US-A 2010-0080887 or WO2010/037016); Event MON87708 (soybean, herbicide tolerance, deposited as ATCC PTA-9670, described in WO2011/034704); Event MON87712 (soybean, yield, deposited as PTA-10296, described in WO2012/051199), Event MON87754 (soybean, quality trait, deposited as ATCC PTA-9385, described in WO2010/024976); Event MON87769 (soybean, quality trait, deposited as ATCC PTA- 8911, described in US-A 2011-0067141 or WO2009/102873); Event MON88017 (corn, insect control - herbicide tolerance, deposited as ATCC PTA-5582, described in US-A 2008-028482 or WO2005/059103); Event MON88913 (cotton, herbicide tolerance, deposited as ATCC PTA-4854, described in WO2004/072235 or US-A 2006-059590); Event MON88302 (oilseed rape, herbicide tolerance, deposited as PTA-10955, described in WO2011/153186), Event MON88701 (cotton, herbicide tolerance, deposited as PTA-11754, described in WO2012/134808), Event MON89034 (corn, insect control, deposited as ATCC PTA-7455, described in WO 07/140256 or US-A 2008- 260932); Event MON89788 (soybean, herbicide tolerance, deposited as ATCC PTA-6708, described in US-A 2006-282915 or WO2006/130436); Event MSl 1 (oilseed rape, pollination control - herbicide tolerance, deposited as ATCC PTA-850 or PTA-2485, described in WO2001/031042); Event MS8 (oilseed rape, pollination control - herbicide tolerance, deposited as ATCC PTA-730, described in WO2001/041558 or US-A 2003-188347); Event NK603 (corn, herbicide tolerance, deposited as ATCC PTA-2478, described in US-A 2007-292854); Event PE-7 (rice, insect control, not deposited, described in WO2008/114282); Event RF3 (oilseed rape, pollination control - herbicide tolerance, deposited as ATCC PTA-730, described in WO2001/041558 or US-A 2003-188347); Event RT73 (oilseed rape, herbicide tolerance, not deposited, described in WO2002/036831 or US-A 2008- 070260); Event SYHT0H2 / SYN-000H2-5 (soybean, herbicide tolerance, deposited as PTA-11226, described in WO2012/082548), Event T227-1 (sugar beet, herbicide tolerance, not deposited, described in WO2002/44407 or US-A 2009-265817); Event T25 (corn, herbicide tolerance, not deposited, described in US-A 2001-029014 or WO2001/051654); Event T304-40 (cotton, insect control - herbicide tolerance, deposited as ATCC PTA-8171, described in US-A 2010-077501 or WO2008/122406); Event T342-142 (cotton, insect control, not deposited, described in WO2006/128568); Event TC1507 (corn, insect control - herbicide tolerance, not deposited, described in US-A 2005-039226 or WO2004/099447); Event VIP1034 (corn, insect control - herbicide tolerance, deposited as ATCC PTA-3925, described in WO2003/052073), Event 32316 (corn, insect control-herbicide tolerance, deposited as PTA-11507, described in WO2011/084632), Event 4114 (corn, insect control-herbicide tolerance, deposited as PTA-11506, described in W02011/084621), event EE-GM3 / FG72 (soybean, herbicide tolerance, ATCC Accession N° PTA-11041) optionally stacked with event EE-GM1/LL27 or event EE-GM2/LL55 (WO2011/063413A2), event DAS- 68416-4 (soybean, herbicide tolerance, ATCC Accession N° PTA-10442, WO2011/066360Al), event DAS-68416-4 (soybean, herbicide tolerance, ATCC Accession N° PTA-10442, WO2011/066384Al), event DP-040416-8 (corn, insect control, ATCC Accession N° PTA-11508,   BCS223033 FC -87- WO2011/075593Al), event DP-043A47-3 (corn, insect control, ATCC Accession N° PTA-11509, WO2011/075595Al), event DP- 004114-3 (corn, insect control, ATCC Accession N° PTA-11506, WO2011/084621Al), event DP-032316-8 (corn, insect control, ATCC Accession N° PTA-11507, WO2011/084632Al), event MON-88302-9 (oilseed rape, herbicide tolerance, ATCC Accession N° PTA-10955, WO2011/153186Al), event DAS-21606-3 (soybean, herbicide tolerance, ATCC Accession No. PTA-11028, WO2012/033794A2), event MON-87712-4 (soybean, quality trait, ATCC Accession N°. PTA-10296, WO2012/051199A2), event DAS-44406-6 (soybean, stacked herbicide tolerance, ATCC Accession N°. PTA-11336, WO2012/075426Al), event DAS-14536-7 (soybean, stacked herbicide tolerance, ATCC Accession N°. PTA-11335, WO2012/075429Al), event SYN-000H2-5 (soybean, herbicide tolerance, ATCC Accession N°. PTA-11226, WO2012/082548A2), event DP-061061-7 (oilseed rape, herbicide tolerance, no deposit N° available, WO2012071039Al), event DP-073496-4 (oilseed rape, herbicide tolerance, no deposit N° available, US2012131692), event 8264.44.06.1 (soybean, stacked herbicide tolerance, Accession N° PTA- 11336, WO2012075426A2), event 8291.45.36.2 (soybean, stacked herbicide tolerance, Accession N°. PTA-11335, WO2012075429A2), event SYHT0H2 (soybean, ATCC Accession N°. PTA-11226, WO2012/082548A2), event MON88701 (cotton, ATCC Accession N° PTA-11754, WO2012/134808Al), event KK179-2 (alfalfa, ATCC Accession N° PTA-11833, WO2013/003558Al), event pDAB8264.42.32.1 (soybean, stacked herbicide tolerance, ATCC Accession N° PTA-11993, WO2013/010094Al), event MZDT09Y (corn, ATCC Accession N° PTA- 13025, WO2013/012775Al). Further, a list of such transgenic event(s) is provided by the United States Department of Agriculture’s (USDA) Animal and Plant Health Inspection Service (APHIS) and can be found on their website on the world wide web at aphis.usda.gov. For this application, the status of such list as it is/was on the filing date of this application, is relevant. The genes/events which impart the desired traits in question may also be present in combinations with one another in the transgenic plants. Examples of transgenic plants which may be mentioned are the important crop plants, such as cereals (wheat, rice, triticale, barley, rye, oats), maize, soya beans, potatoes, sugar beet, sugar cane, tomatoes, peas and other types of vegetable, cotton, tobacco, oilseed rape and also fruit plants (with the fruits apples, pears, citrus fruits and grapes), with particular emphasis being given to maize, soya beans, wheat, rice, potatoes, cotton, sugar cane, tobacco and oilseed rape. Traits which are particularly emphasized are the increased resistance of the plants to insects, arachnids, nematodes and slugs and snails, as well as the increased resistance of the plants to one or more herbicides. Commercially available examples of such plants, plant parts or plant seeds that may be treated with preference in accordance with the invention include commercial products, such as plant seeds, sold or distributed under the GENUITY®, DROUGHTGARD®, SMARTSTAX®, RIB COMPLETE®, ROUNDUP READY®, VT DOUBLE PRO®, VT TRIPLE PRO®, BOLLGARD II®, ROUNDUP   BCS223033 FC -88- READY 2 YIELD®, YIELDGARD®, ROUNDUP READY® 2 XTEN
DTM, INTACTA RR2 PRO®, VISTIVE GOLD®, and/or XTENDFLEX™ trade names. Pathogens Non-limiting examples of pathogens of fungal diseases which may be treated in accordance with the invention include: diseases caused by powdery mildew pathogens, for example Blumeria species, for example Blumeria graminis; Podosphaera species, for example Podosphaera leucotricha; Sphaerotheca species, for example Sphaerotheca fuliginea; Uncinula species, for example Erysiphe necator; diseases caused by rust disease pathogens, for example Gymnosporangium species, for example Gymnosporangium sabinae; Hemileia species, for example Hemileia vastatrix; Phakopsora species, for example Phakopsora pachyrhizi, Phakopsora meibomiae or Phakopsora euvitis; Puccinia species, for example Puccinia recondita, Puccinia graminis oder Puccinia striiformis; Uromyces species, for example Uromyces appendiculatus; diseases caused by pathogens from the group of the Oomycetes, for example Albugo species, for example Albugo candida; Bremia species, for example Bremia lactucae; Peronospora species, for example Peronospora pisi or P. brassicae; Phytophthora species, for example Phytophthora infestans; Plasmopara species, for example Plasmopara viticola; Pseudoperonospora species, for example Pseudoperonospora humuli or Pseudoperonospora cubensis; Pythium species, for example Pythium ultimum; leaf blotch diseases and leaf wilt diseases caused, for example, by Alternaria species, for example Alternaria solani; Cercospora species, for example Cercospora beticola; Cladiosporium species, for example Cladiosporium cucumerinum; Cochliobolus species, for example Cochliobolus sativus (conidial form: Drechslera, syn: Helminthosporium) or Cochliobolus miyabeanus; Colletotrichum species, for example Colletotrichum lindemuthanium; Corynespora species, for example Corynespora cassiicola; Cycloconium species, for example Cycloconium oleaginum; Diaporthe species, for example Diaporthe citri; Elsinoe species, for example Elsinoe fawcettii; Gloeosporium species, for example Gloeosporium laeticolor; Glomerella species, for example Glomerella cingulata; Guignardia species, for example Guignardia bidwelli; Leptosphaeria species, for example Leptosphaeria maculans; Magnaporthe species, for example Magnaporthe grisea; Microdochium species, for example Microdochium nivale; Mycosphaerella species, for example Zymoseptoria tritici (syn: Mycosphaerella graminicola), Mycosphaerella arachidicola or Mycosphaerella fijiensis; Phaeosphaeria species, for example Phaeosphaeria nodorum; Phyllachora species, for example Phyllachora maydis, Pyrenophora species, for example Pyrenophora teres or Pyrenophora tritici repentis; Ramularia species, for example Ramularia collo-cygni or Ramularia areola; Rhynchosporium species, for example Rhynchosporium secalis; Septoria species, for example Septoria apii or Septoria lycopersici; Stagonospora species, for   BCS223033 FC -89- example Stagonospora nodorum; Typhula species, for example Typhula incarnata; Venturia species, for example Venturia inaequalis; root and stem diseases caused, for example, by Corticium species, for example Corticium graminearum; Fusarium species, for example Fusarium oxysporum; Gaeumannomyces species, for example Gaeumannomyces graminis; Plasmodiophora species, for example Plasmodiophora brassicae; Rhizoctonia species, for example Rhizoctonia solani; Sarocladium species, for example Sarocladium oryzae; Sclerotium species, for example Sclerotium oryzae; Tapesia species, for example Tapesia acuformis; Thielaviopsis species, for example Thielaviopsis basicola; ear and panicle diseases (including corn cobs) caused, for example, by Alternaria species, for example Alternaria spp.; Aspergillus species, for example Aspergillus flavus; Cladosporium species, for example Cladosporium cladosporioides; Claviceps species, for example Claviceps purpurea; Fusarium species, for example Fusarium culmorum; Gibberella species, for example Gibberella zeae; Monographella species, for example Monographella nivalis; Stagnospora species, for example Stagnospora nodorum; diseases caused by smut fungi, for example Sphacelotheca species, for example Sphacelotheca reiliana; Tilletia species, for example Tilletia caries or Tilletia controversa; Urocystis species, for example Urocystis occulta; Ustilago species, for example Ustilago nuda; fruit rot caused, for example, by Aspergillus species, for example Aspergillus flavus; Botrytis species, for example Botrytis cinerea; Monilinia species, for example Monilinia laxa; Penicillium species, for example Penicillium expansum or Penicillium purpurogenum; Rhizopus species, for example Rhizopus stolonifer; Sclerotinia species, for example Sclerotinia sclerotiorum; Verticilium species, for example Verticilium alboatrum; seed- and soil-borne rot and wilt diseases, and also diseases of seedlings, caused, for example, by Alternaria species, for example Alternaria brassicicola; Aphanomyces species, for example Aphanomyces euteiches; Ascochyta species, for example Ascochyta lentis; Aspergillus species, for example Aspergillus flavus; Cladosporium species, for example Cladosporium herbarum; Cochliobolus species, for example Cochliobolus sativus (conidial form: Drechslera, Bipolaris Syn: Helminthosporium); Colletotrichum species, for example Colletotrichum coccodes; Fusarium species, for example Fusarium culmorum; Gibberella species, for example Gibberella zeae; Macrophomina species, for example Macrophomina phaseolina; Microdochium species, for example Microdochium nivale; Monographella species, for example Monographella nivalis; Penicillium species, for example Penicillium expansum; Phoma species, for example Phoma lingam; Phomopsis species, for example Phomopsis sojae; Phytophthora species, for example Phytophthora cactorum; Pyrenophora species, for example Pyrenophora graminea; Pyricularia species, for example Pyricularia oryzae; Pythium species, for example Pythium ultimum; Rhizoctonia species, for example Rhizoctonia solani; Rhizopus species, for example Rhizopus oryzae; Sclerotium   BCS223033 FC -90- species, for example Sclerotium rolfsii; Septoria species, for example Septoria nodorum; Typhula species, for example Typhula incarnata; Verticillium species, for example Verticillium dahliae; cancers, galls and witches’ broom caused, for example, by Nectria species, for example Nectria galligena; wilt diseases caused, for example, by Verticillium species, for example Verticillium longisporum; Fusarium species, for example Fusarium oxysporum; deformations of leaves, flowers and fruits caused, for example, by Exobasidium species, for example Exobasidium vexans; Taphrina species, for example Taphrina deformans; degenerative diseases in woody plants, caused, for example, by Esca species, for example Phaeomoniella chlamydospora, Phaeoacremonium aleophilum or Fomitiporia mediterranea; Ganoderma species, for example Ganoderma boninense; diseases of plant tubers caused, for example, by Rhizoctonia species, for example Rhizoctonia solani; Helminthosporium species, for example Helminthosporium solani; diseases caused by bacterial pathogens, for example Xanthomonas species, for example Xanthomonas campestris pv. oryzae; Pseudomonas species, for example Pseudomonas syringae pv. lachrymans; Erwinia species, for example Erwinia amylovora; Liberibacter species, for example Liberibacter asiaticus; Xyella species, for example Xylella fastidiosa; Ralstonia species, for example Ralstonia solanacearum; Dickeya species, for example Dickeya solani; Clavibacter species, for example Clavibacter michiganensis; Streptomyces species, for example Streptomyces scabies. diseases of soya beans: Fungal diseases on leaves, stems, pods and seeds caused, for example, by Alternaria leaf spot (Alternaria spec. atrans tenuissima), Anthracnose (Colletotrichum gloeosporoides dematium var. truncatum), brown spot (Septoria glycines), cercospora leaf spot and blight (Cercospora kikuchii), choanephora leaf blight (Choanephora infundibulifera trispora (Syn.)), dactuliophora leaf spot (Dactuliophora glycines), downy mildew (Peronospora manshurica), drechslera blight (Drechslera glycini), frogeye leaf spot (Cercospora sojina), leptosphaerulina leaf spot (Leptosphaerulina trifolii), phyllostica leaf spot (Phyllosticta sojaecola), pod and stem blight (Phomopsis sojae), powdery mildew (Microsphaera diffusa), pyrenochaeta leaf spot (Pyrenochaeta glycines), rhizoctonia aerial, foliage, and web blight (Rhizoctonia solani), rust (Phakopsora pachyrhizi, Phakopsora meibomiae, Phakopsora euvitis), scab (Sphaceloma glycines), stemphylium leaf blight (Stemphylium botryosum), sudden death syndrome (Fusarium virguliforme), target spot (Corynespora cassiicola). Fungal diseases on roots and the stem base caused, for example, by black root rot (Calonectria crotalariae), charcoal rot (Macrophomina phaseolina), fusarium blight or wilt, root rot, and pod and collar rot (Fusarium   BCS223033 FC -91- oxysporum, Fusarium orthoceras, Fusarium semitectum, Fusarium equiseti), mycoleptodiscus root rot (Mycoleptodiscus terrestris), neocosmospora (Neocosmospora vasinfecta), pod and stem blight (Diaporthe phaseolorum), stem canker (Diaporthe phaseolorum var. caulivora), phytophthora rot (Phytophthora megasperma), brown stem rot (Phialophora gregata), pythium rot (Pythium aphanidermatum, Pythium irregulare, Pythium debaryanum, Pythium myriotylum, Pythium ultimum), rhizoctonia root rot, stem decay, and damping-off (Rhizoctonia solani), sclerotinia stem decay (Sclerotinia sclerotiorum), sclerotinia southern blight (Sclerotinia rolfsii), thielaviopsis root rot (Thielaviopsis basicola). Mycotoxins In addition, the compound and the composition of the invention may reduce the mycotoxin content in the harvested material and the foods and feeds prepared therefrom. Mycotoxins include particularly, but not exclusively, the following: deoxynivalenol (DON), nivalenol, 15-Ac-DON, 3-Ac-DON, T2- and HT2- toxin, fumonisins, zearalenon, moniliformin, fusarin, diaceotoxyscirpenol (DAS), beauvericin, enniatin, fusaroproliferin, fusarenol, ochratoxins, patulin, ergot alkaloids and aflatoxins which can be produced, for example, by the following fungi: Fusarium spec., such as F. acuminatum, F. asiaticum, F. avenaceum, F. crookwellense, F. culmorum, F. graminearum (Gibberella zeae), F. equiseti, F. fujikoroi, F. musarum, F. oxysporum, F. proliferatum, F. poae, F. pseudograminearum, F. sambucinum, F. scirpi, F. semitectum, F. solani, F. sporotrichoides, F. langsethiae, F. subglutinans, F. tricinctum, F. verticillioides, and also by Aspergillus spec., such as A. flavus, A. parasiticus, A. nomius, A. ochraceus, A. clavatus, A. terreus, A. versicolor, Penicillium spec., such as P. verrucosum, P. viridicatum, P. citrinum, P. expansum, P. claviforme, P. roqueforti, Claviceps spec., such as C. purpurea, C. fusiformis, C. paspali, C. africana, Stachybotrys spec. and others. Material Protection The compound and the composition of the invention may also be used in the protection of materials, especially for the protection of industrial materials against attack and destruction by phytopathogenic fungi. In addition, the compound and the composition of the invention may be used as antifouling compositions, alone or in combinations with other active ingredients. Industrial materials in the present context are understood to mean inanimate materials which have been prepared for use in industry. For example, industrial materials which are to be protected from microbial alteration or destruction may be adhesives, glues, paper, wallpaper and board/cardboard, textiles, carpets, leather, wood, fibers and tissues, paints and plastic articles, cooling lubricants and other materials which can be infected with or destroyed by microorganisms. Parts of production plants and buildings, for example cooling-water circuits, cooling and heating systems and ventilation and air-conditioning units, which may be impaired by the proliferation of microorganisms may also be mentioned within the scope of the materials to be   BCS223033 FC -92- protected. Industrial materials within the scope of the present invention preferably include adhesives, sizes, paper and card, leather, wood, paints, cooling lubricants and heat transfer fluids, more preferably wood. The compound and the composition of the invention may prevent adverse effects, such as rotting, decay, discoloration, decoloration or formation of mould. In the case of treatment of wood the compound and the composition of the invention may also be used against fungal diseases liable to grow on or inside timber. Timber means all types of species of wood, and all types of working of this wood intended for construction, for example solid wood, high-density wood, laminated wood, and plywood. In addition, the compound and the composition of the invention may be used to protect objects which come into contact with saltwater or brackish water, especially hulls, screens, nets, buildings, moorings and signalling systems, from fouling. The compound and the composition of the invention may also be employed for protecting storage goods. Storage goods are understood to mean natural substances of vegetable or animal origin or processed products thereof which are of natural origin, and for which long-term protection is desired. Storage goods of vegetable origin, for example plants or plant parts, such as stems, leaves, tubers, seeds, fruits, grains, may be protected freshly harvested or after processing by (pre)drying, moistening, comminuting, grinding, pressing or roasting. Storage goods also include timber, both unprocessed, such as construction timber, electricity poles and barriers, or in the form of finished products, such as furniture. Storage goods of animal origin are, for example, hides, leather, furs and hairs. The compound and the composition of the invention may prevent adverse effects, such as rotting, decay, discoloration, decoloration or formation of mould. Microorganisms capable of degrading or altering industrial materials include, for example, bacteria, fungi, yeasts, algae and slime organisms. The compound and the composition of the invention preferably act against fungi, especially moulds, wood-discoloring and wood-destroying fungi (Ascomycetes, Basidiomycetes, Deuteromycetes and Zygomycetes), and against slime organisms and algae. Examples include microorganisms of the following genera: Alternaria, such as Alternaria tenuis; Aspergillus, such as Aspergillus niger; Chaetomium, such as Chaetomium globosum; Coniophora, such as Coniophora puetana; Lentinus, such as Lentinus tigrinus; Penicillium, such as Penicillium glaucum; Polyporus, such as Polyporus versicolor; Aureobasidium, such as Aureobasidium pullulans; Sclerophoma, such as Sclerophoma pityophila; Trichoderma, such as Trichoderma viride; Ophiostoma spp., Ceratocystis spp., Humicola spp., Petriella spp., Trichurus spp., Coriolus spp., Gloeophyllum spp., Pleurotus spp., Poria spp., Serpula spp. and Tyromyces spp., Cladosporium spp., Paecilomyces spp. Mucor spp., Escherichia, such as Escherichia coli; Pseudomonas, such as Pseudomonas aeruginosa; Staphylococcus, such as Staphylococcus aureus, Candida spp. and Saccharomyces spp., such as Saccharomyces cerevisae.   BCS223033 FC -93- Seed Treatment The compound and the composition of the invention may also be used to protect seeds from unwanted microorganisms, such as phytopathogenic microorganisms, for instance phytopathogenic fungi or phytopathogenic oomycetes. The term seed(s) as used herein include dormant seeds, primed seeds, pregerminated seeds and seeds with emerged roots and leaves. Thus, the present invention also relates to a method for protecting seeds from unwanted microorganisms which comprises the step of treating the seeds with the compound or the composition of the invention. The treatment of seeds with the compound or the composition of the invention protects the seeds from phytopathogenic microorganisms, but also protects the germinating seeds, the emerging seedlings and the plants after emergence from the treated seeds. Therefore, the present invention also relates to a method for protecting seeds, germinating seeds and emerging seedlings. The seeds treatment may be performed prior to sowing, at the time of sowing or shortly thereafter. When the seeds treatment is performed prior to sowing (e.g. so-called on-seed applications), the seeds treatment may be performed as follows: the seeds may be placed into a mixer with a desired amount of the compound or the composition of the invention, the seeds and the compound or the composition of the invention are mixed until an homogeneous distribution on seeds is achieved. If appropriate, the seeds may then be dried. The invention also relates to seeds coated with the compound or the composition of the invention. Preferably, the seeds are treated in a state in which it is sufficiently stable for no damage to occur in the course of treatment. In general, seeds can be treated at any time between harvest and shortly after sowing. It is customary to use seeds which have been separated from the plant and freed from cobs, shells, stalks, coats, hairs or the flesh of the fruits. For example, it is possible to use seeds which have been harvested, cleaned and dried down to a moisture content of less than 15% by weight. Alternatively, it is also possible to use seeds which, after drying, for example, have been treated with water and then dried again, or seeds just after priming, or seeds stored in primed conditions or pre-germinated seeds, or seeds sown on nursery trays, tapes or paper. The amount of the compound or the composition of the invention applied to the seeds is typically such that the germination of the seed is not impaired, or that the resulting plant is not damaged. This must be ensured particularly in case the compound of the invention would exhibit phytotoxic effects at certain application rates. The intrinsic phenotypes of transgenic plants should also be taken into consideration when determining the amount of the compound of the invention to be applied to the seed in order to   BCS223033 FC -94- achieve optimum seed and germinating plant protection with a minimum amount of compound being employed. The compound of the invention can be applied as such, directly to the seeds, i.e. without the use of any other components and without having been diluted. Also the composition of the invention can be applied to the seeds. The compound and the composition of the invention are suitable for protecting seeds of any plant variety. Preferred seeds are that of cereals (such as wheat, barley, rye, millet, triticale, and oats), oilseed rape, maize, cotton, soybean, rice, potatoes, sunflower, beans, coffee, peas, beet (e.g. sugar beet and fodder beet), peanut, vegetables (such as tomato, cucumber, onions and lettuce), lawns and ornamental plants. More preferred are seeds of wheat, soybean, oilseed rape, maize and rice. The compound and the composition of the invention may be used for treating transgenic seeds, in particular seeds of plants capable of expressing a polypeptide or protein which acts against pests, herbicidal damage or abiotic stress, thereby increasing the protective effect. Seeds of plants capable of expressing a polypeptide or protein which acts against pests, herbicidal damage or abiotic stress may contain at least one heterologous gene which allows the expression of said polypeptide or protein. These heterologous genes in transgenic seeds may originate, for example, from microorganisms of the species Bacillus, Rhizobium, Pseudomonas, Serratia, Trichoderma, Clavibacter, Glomus or Gliocladium. These heterologous genes preferably originate from Bacillus sp., in which case the gene product is effective against the European corn borer and/or the Western corn rootworm. Particularly preferably, the heterologous genes originate from Bacillus thuringiensis. Application The compound of the invention can be applied as such, or for example in the form of as ready-to-use solutions, emulsions, water- or oil-based suspensions, powders, wettable powders, pastes, soluble powders, dusts, soluble granules, granules for broadcasting, suspoemulsion concentrates, natural products impregnated with the compound of the invention, synthetic substances impregnated with the compound of the invention, fertilizers or microencapsulations in polymeric substances. Application is accomplished in a customary manner, for example by watering, spraying, atomizing, broadcasting, dusting, foaming or spreading-on. It is also possible to deploy the compound of the invention by the ultra-low volume method, via a drip irrigation system or drench application, to apply it in-furrow or to inject it into the soil stem or trunk. It is further possible to apply the compound of the invention by means of a wound seal, paint or other wound dressing. The effective and plant-compatible amount of the compound of the invention which is applied to the plants, plant parts, fruits, seeds or soil will depend on various factors, such as the compound/composition   BCS223033 FC -95- employed, the subject of the treatment (plant, plant part, fruit, seed or soil), the type of treatment (dusting, spraying, seed dressing), the purpose of the treatment (curative and protective), the type of microorganisms, the development stage of the microorganisms, the sensitivity of the microorganisms, the crop growth stage and the environmental conditions. When the compound of the invention is used as a fungicide, the application rates can vary within a relatively wide range, depending on the kind of application. For the treatment of plant parts, such as leaves, the application rate may range from 0.1 to 10000 g/ha, preferably from 10 to 1000 g/ha, more preferably from 50 to 300 g/ha (in the case of application by watering or dripping, it is even possible to reduce the application rate, especially when inert substrates such as rockwool or perlite are used). For the treatment of seeds, the application rate may range from 0.1 to 200 g per 100 kg of seeds, preferably from 1 to 150 g per 100 kg of seeds, more preferably from 2.5 to 25 g per 100 kg of seeds, even more preferably from 2.5 to 12.5 g per 100 kg of seeds. For the treatment of soil, the application rate may range from 0.1 to 10000 g/ha, preferably from 1 to 5000 g/ha. These application rates are merely examples and are not intended to limit the scope of the present invention. The compound and the composition of the invention can be used in combination with models e.g. embedded in computer programs for site specific crop management, satellite farming, precision farming or precision agriculture. Such models support the site specific management of agricultural sites with data from various sources such as soils, weather, crops (e.g. type, growth stage, plant health), weeds (e.g. type, growth stage), diseases, pests, nutrients, water, moisture, biomass, satellite data or yield with the purpose to optimize profitability, sustainability and protection of the environment. In particular, such models can help to optimize agronomical decisions, control the precision of pesticide applications and record the work performed. As an example, the compound of the invention can be applied to a crop plant according to appropriate dose regime if a model models the development of a fungal disease and calculates that a threshold has been reached for which it is recommendable to apply the compound of the invention to the crop plant. Commercially available systems which include agronomic models are e.g. FieldScripts
TM from The Climate Corporation, Xarvio
TM from BASF and AGLogic
TM from John Deere. The compound of the invention can also be used in combination with smart spraying equipment such as e.g. spot spraying or precision spraying equipment attached to or housed within a farm vehicle such as a tractor, robot, helicopter, airplane or unmanned aerial vehicle (UAV) such as a drone. Such an equipment usually includes input sensors (such as e.g. a camera) and a processing unit configured to analyze the input data and configured to provide a decision based on the analysis of the input data to apply the compound of the invention to the crop plants (respectively the weeds) in a specific and precise manner. The use of   BCS223033 FC -96- such smart spraying equipment usually also requires positions systems (e.g. GPS receivers) to localize recorded data and to guide or to control farm vehicles; geographic information systems (GIS) to represent the information on intelligible maps, and appropriate farm vehicles to perform the required farm action such as the spraying. In an example, fungal diseases can be detected from imagery acquired by a camera. In an example fungal diseases can be identified and/or classified based on that imagery. Such identification and/ classification can make use of image processing algorithms. Such image processing algorithms can utilize machine learning algorithms, such as trained neutral networks, decision trees and utilize artificial intelligence algorithms. In this manner, the compounds described herein can be applied only where needed. Photostability The UV stability of a compound according to the invention can be determined as follows: Measurement of the UV stability reported with the half-life time of the photo degradation is performed by irradiating the samples for 24h with the full UV/VIS Spectrum as available on a SUNTEST XLS+ going from 250 nm to 800 nm, followed by an analysis of the analyte and its possible degradation products via reversed phase liquid chromatography with UV-detection coupled to a single quadrupole mass spectrometer using the following method: [
a] The analyte is determined by measurement of LC-UV-MS , with 0.085% (v/v) formic acid in water and 0.1% (v/v) formic acid acetonitrile as eluent (linear gradient from 5% acetonitrile to 95% acetonitrile). The analyte is identified and determined via UV and MS-spectrum. The half-life time is determined over the course of 5 time points at 0h, 2h, 4h, 6h and 24h in triplicates each time point. All time points are normalized on detector responses received at 0h. The half-life time is determined fitting the results to a 1
st order degradation function and is returned with the unit [h].   BCS223033 FC -97- The following table lists the abbreviations used in the Examples section as far as they are not explained within the text body.
   BCS223033 FC -98- EXAMPLES Generality Measurement of LogP values Measurement of LogP values was performed according to EEC directive 79/831 Annex V.A8 by HPLC (High Performance Liquid Chromatography) on reversed phase columns (Agilent Zorbax Eclipse C18) with the following methods: [
a] LogP value is determined by measurement of LC-UV and/or MS and/or ELS, in an acidic range, with 0.1% formic acid in water and acetonitrile as eluent (linear gradient from 10% acetonitrile to 95% acetonitrile). [
b] LogP value is determined by measurement of LC-UV and/or MS and/or ELS, in a neutral range, with 0.001 molar ammonium acetate solution in water and acetonitrile as eluent (linear gradient from 10% acetonitrile to 95% acetonitrile). If more than one LogP value is available within the same method, all the values are given and separated by “+”. Calibration was done with straight-chain alkan2-ones (with 3 to 16 carbon atoms) with known LogP values (measurement of LogP values using retention times with linear interpolation between successive alkanones). Lambda-max-values were determined using UV-spectra from 200 nm to 400 nm and the peak values of the chromatographic signals. For GCMS The GCMS retention times are determined on a DB17ms (15m*0.25µm*0.25µm) column using a 30°C/min gradient from 40°C to 310°C and 1,5mL/min He gaz flow.
1H-NMR data
1H-NMR data of selected examples as provided herein are written in form of
1H-NMR-peak lists. To each signal peak are listed the ^-value in ppm (parts per million) and the signal intensity in round brackets. Between the ^-value – signal intensity pairs are semicolons as delimiters. The peak list of an example has therefore the form: ^
1 (intensity
1); ^
2 (intensity
2);……..; ^
i (intensity
i);……; ^
n (intensity
n) Intensity of sharp signals correlates with the height of the signals in a printed example of a NMR spectrum in cm and shows the real relations of signal intensities. From broad signals several peaks or the middle of   BCS223033 FC -99- the signal and their relative intensity in comparison to the most intensive signal in the spectrum can be shown. For calibrating chemical shift for
1H spectra, tetramethylsilane and/or the chemical shift of the solvent is used, especially in the case of spectra measured in DMSO (dimethyl sulfoxide). Therefore in NMR peak lists, tetramethylsilane peak can occur but not necessarily. The
1H-NMR peak lists are similar to classical
1H-NMR prints and contains therefore usually all peaks, which are listed at classical NMR-interpretation. Additionally they can show like classical
1H-NMR prints signals of solvents, stereoisomers of the target compounds, which are also object of the invention, and/or peaks of impurities. To show compound signals in the delta-range of solvents and/or water the usual peaks of solvents, for example peaks of DMSO in DMSO-D
6 and the peak of water are shown in our
1H-NMR peak lists and have usually on average a high intensity. The peaks of stereoisomers of the target compounds and/or peaks of impurities have usually on average a lower intensity than the peaks of target compounds (for example with a purity >90%). Such stereoisomers and/or impurities can be typical for the specific preparation process. Therefore their peaks can help to recognize the reproduction of our preparation process via “side-products-fingerprints”. An expert, who calculates the peaks of the target compounds with known methods (MestreC, ACD- simulation, but also with empirically evaluated expectation values) can isolate the peaks of the target compounds as needed optionally using additional intensity filters. This isolation would be similar to relevant peak picking at classical
1H-NMR interpretation. Further details of NMR-data description with peak lists you find in the publication “Citation of NMR Peaklist Data within Patent Applications” of the Research Disclosure Database Number 564025. The following examples illustrate in a non-limiting manner the preparation and biological activity of the compounds of formula (I) according to the invention.   BCS223033 FC -100- SYNTHESIS OF COMPOUNDS OF FORMULA (I) AND INTERMEDIATES Table 1 illustrates in a non-limiting manner examples of compounds of formula (I) according to the invention :
 The compounds of formula (I) which are mentioned in table 1 herein below were prepared in accordance with the procedures detailed herein below in connection with specific examples and with the general description of the processes herein disclosed. Table 1: Compounds according to formula (I)
    BCS223033 FC -101-
 Remark: ** linked to oxadiazole Table 2 illustrates in a non-limiting manner examples of intermediates of formula (V) according to the invention :
   BCS223033 FC -102- The intermediates of formula (V) which are mentioned in table 2 herein below were prepared in accordance with the procedures detailed herein below in connection with specific examples and with the general description of the processes herein disclosed. Table 2: Compounds according to formula (V)
 Remark: ** linked to oxadiazole Table 3 illustrates in a non-limiting manner examples of intermediates of formula (IX) according to the invention :
 The intermediates of formula (IX) which are mentioned in table 3 herein below were prepared in accordance with the procedures detailed herein below in connection with specific examples and with the general description of the processes herein disclosed.   BCS223033 FC -103- Table 3: Compounds according to formula (IX)
 Remark: ** linked to oxadiazole Tables 4 illustrates examples of compounds of formula (X) according to the invention :
 The compounds of formula (X) which are mentioned in table 4 herein below were prepared in accordance with the procedures detailed herein below in connection with specific examples and with the general description of the processes herein disclosed.   BCS223033 FC -104- Table 4: Compounds according to formula (X)
 Remark: ** linked to oxadiazole The NMR data of the compounds of formula (I) disclosed in table 1 and of the intermediates disclosed in tables 2 to 4 are listed in table 5 below. Table 5: NMR peak lists
   BCS223033 FC -105-
   BCS223033 FC -106-
   BCS223033 FC -107-
   BCS223033 FC -108-
   BCS223033 FC -109-
 PREPARATION EXAMPLES Synthesis of intermediates 5-[Chloro(difluoro)methyl]-3-(6-methyl-3-pyridyl)-1,2,4-oxadiazole (X.02)

 To a suspension of 6-methylpyridine-3-carbonitrile (2.98 g, 25.1 mmol) in ethanol (360 mL) was added hydroxylamine hydrochloride (7.0 g, 100 mmol, 4.0 equiv) and triethylamine (31.6 mL, 226 mmol, 9.0 equiv) at room temperature. The resulting mixture was stirred for 2 hours at 80 °C. The reaction mixture was concentrated under reduced pressure to afford crude N'-hydroxy-6-methylpyridine-3- carboximidamide as a white solid used as such in the next step. LogP = 0.42 [Method B]. Mass (M+H) = 152. To a suspension of previously obtained crude N'-hydroxy-6-methylpyridine-3- carboximidamide in tetrahydrofuran (250 mL) under argon was added chloro(difluoro)acetic anhydride (8.6 g, 35.2 mmol, 1.4 equiv), followed by triethylamine (6.1 mL, 35.2 mmol, 1.4 equiv) dropwise at room temperature. The resulting mixture was stirred for 1.75 hours at 65 °C. The mixture was concentrated under reduced pressure to afford a crude product which was purified by silica gel flash column chromatography, eluted with n-heptane/EtOAc (65:35) to afford the title compound (5.4 g, 99% purity, 86%) as an oil. LogP = 42.59. [Method A]. Mass (M) = 246.   BCS223033 FC -110- N-[(5-{5-[chloro(difluoro)methyl]-1,2,4-oxadiazol-3-yl}pyridin-2-yl)methyl]-O-isopropylhydroxyl- amine (V.02)

 A suspension of 2-(bromomethyl)-5-{5-[chloro(difluoro)methyl]-1,2,4-oxadiazol-3-yl}pyridine (150 mg, 0.46 mmol) and O-isopropylhydroxylamine hydrochloride (155 mg, 1.38 mmol, 3.0 equiv) and potassium carbonate (111 mg, 0.8 mmol, 3.0 equiv) in acetonitrile (20 mL) under argon in a sealed tube was stirred for 44 hours at room temperature. The mixture was diluted with dichloromethane and filtered through a plug of celite, the filtrate was concentrated under reduced pressure to afford the crude title product (120 mg, 27% purity, 22%) as a viscous oil. LogP = 3.19 [Method A]. Mass (M+H) = 319. N-[(5-{5-[chloro(difluoro)methyl]-1,2,4-oxadiazol-3-yl}-2-thienyl)methyl]-O-methylhydroxylamine hydrochloride (1:1) (V.04)

 To a solution of tert-butyl [(5-{5-[chloro(difluoro)methyl]-1,2,4-oxadiazol-3-yl}-2-thienyl)methyl]- methoxycarbamate (169 mg, 0.42 mmol) in 1,4-dioxane (1 mL) under argon was added a 4.0 M solution of hydrogen chloride in 1,4-dioxane (2.14 mL, 8.53 mmol, 20.0 equiv) at room temperature. The resulting mixture was stirred for 2 hours at room temperature. The mixture was concentrated under reduced pressure (toluene added towards the end of evaporation) to afford a crude title compound (143 mg, 100%, purity, 100%) as a solid. LogP = 3.17 [Method A]. Mass (M+H-HCl) = 296.   BCS223033 FC -111- Synthesis of compounds of formula (I) tert-butyl [(5-{5-[chloro(difluoro)methyl]-1,2,4-oxadiazol-3-yl}-2-thienyl)methyl]methoxycarbamate (I-001)

 To a solution of tert-butyl N-methoxycarbamate (1.33 g, 9.0 mmol, 1.1 equiv) in tetrahydrofuran (50 mL) under argon was added a 2.0 M solution of potassium hexamethyldisilazide in tetrahydrofuran (4.5 mL, 9 mmol, 1.1 equiv) at room temperature. After 3 minutes, a solution of 3-[5-(bromomethyl)-2-thienyl]-5- [chloro(difluoro)methyl]-1,2,4-oxadiazole (3.0 g, 8.2 mmol) in tetrahydrofuran (2 mL) was added dropwise. The resulting mixture was stirred for 3.5 hours at room temperature. The mixture was concentrated under reduced pressure and dichloromethane (50 mL) was added to the residue and the solid filtered off, the filtrate was concentrated under reduced pressure to afford a crude product which was purified by silica gel flash column chromatography, eluted with n-heptane/EtOAc (80:20) to afford the title compound (3.19 g, 100% purity, 98%) as a viscous oil. Mass (M) = 395. N-[(5-{5-[chloro(difluoro)methyl]-1,2,4-oxadiazol-3-yl}-2-thienyl)methyl]-N,2-dimethoxypropanamide (I-011)

 To a solution of 2-methoxypropanoic acid (42.2 mg, 0.4 mmol, 1 equiv) and N-[(5-{5- [chloro(difluoro)methyl]-1,2,4-oxadiazol-3-yl}-2-thienyl)methyl]-O-methylhydroxylamine hydrochloride (134.8 mg, 0.4 mmol) in dichloromethane (5 mL) under argon was added 1- [bis(dimethylamino)methylene]-1H-1,2,3-triazolo[4,5-b]pyridinium 3-oxid hexafluorophosphate (154.3 mg, 0.4 mmol, 1.0 equiv) and N,N-diisopropylethylamine (0.28 mL, 1.62 mmol, 4.0 equiv) at room temperature. The resulting mixture was stirred for 16 hours at room temperature and heated to 100 °C for 15 minutes in microwave. The mixture was concentrated under reduced pressure to afford a crude product which was purified by silica gel flash column chromatography, eluted with n-   BCS223033 FC -112- heptane/EtOAc (55:45) to afford the title compound (32 mg, 100% purity, 21%) as a viscous oil. LogP = 3.34 [Method A]. Mass (M+H) = 382. 1-[(5-{5-[chloro(difluoro)methyl]-1,2,4-oxadiazol-3-yl}pyridin-2-yl)methyl]-1-isopropoxy-3- methylurea (I-016)

 To a solution of N-[(5-{5-[chloro(difluoro)methyl]-1,2,4-oxadiazol-3-yl}pyridin-2-yl)methyl]-O- isopropylhydroxylamine (120 mg, 0.1 mmol, 27% purity) and N-methylcarbamoyl chloride (135 mg, 0.39 mmol 4.0 equiv) in dichloromethane (20 mL) under argon was added triethylamine (0.22 mL, 1.59 mmol, 16.0 equiv) at room temperature. The resulting mixture was stirred for 2 hours at room temperature. The mixture was concentrated under reduced pressure to afford a crude product which was purified by silica gel flash column chromatography, eluted with n-heptane/EtOAc (55:45) to afford the title compound (26 mg, 100% purity, 68%) as a viscous oil. LogP = 2.93 [Method A]. Mass (M+H) = 376. N-[(5-{5-[chloro(difluoro)methyl]-1,2,4-oxadiazol-3-yl}-2-thienyl)methyl]-N-methoxy-1H-imidazole-1- carboxamide (I-008)

 To a suspension of N-[(5-{5-[chloro(difluoro)methyl]-1,2,4-oxadiazol-3-yl}-2-thienyl)methyl]-O- methylhydroxylamine (300 mg, 0.9 mmol) and 1,1'-carbonyldiimidazole (732.2 mg, 4.51 mmol, 5.0 equiv) in dichloromethane (12 mL) under argon was added N,N-diisopropylethylamine (0.94 mL, 5.41 mmol, 6.0 equiv) at room temperature. The resulting mixture was stirred for 15 minutes at room temperature. The mixture was diluted with fresh dichloromethane and washed with water, brine and dried over anhydrous Na
2SO
4. After filtration, the filtrate was concentrated under reduced pressure to afford the crude title compound (362 mg, 100% purity) as a viscous oil. LogP = 3.41 [Method B]. Mass (M+H) = 390.   BCS223033 FC -113- 1-[(5-{5-[chloro(difluoro)methyl]-1,2,4-oxadiazol-3-yl}-2-thienyl)methyl]-1,3-dimethoxy-3-methylurea (I-006)

 To a solution of N-[(5-{5-[chloro(difluoro)methyl]-1,2,4-oxadiazol-3-yl}-2-thienyl)methyl]-O- methylhydroxylamine hydrochloride (200 mg, 0.60 mmol) and N-methoxy-N-methyl-carbamoyl chloride ( 82 mg, 0.66 mmol, 1.1 equiv ) in tetrahydrofuran (4 mL) under argon was added triethylamine (0.17 mL, 1.59 mmol, 2.0 equiv) at room temperature. The resulting mixture was stirred for 20 hours at room temperature. The mixture was concentrated under reduced pressure to afford a crude product which was purified by silica gel flash column chromatography, eluted with n-heptane/EtOAc (50:50) to afford the title compound (185 mg, 100% purity, 80%) as a solid. LogP = 3.71 [Method A]. Mass (M+H) = 383. tert-butyl [(5-{5-[chloro(difluoro)methyl]-1,2,4-oxadiazol-3-yl}pyridin-2-yl)methyl]hydroxycarbamate (I-014)

 To a solution of tert-butyl [(tert-butoxycarbonyl)oxy][(5-{5-[chloro(difluoro)methyl]-1,2,4-oxadiazol-3- yl}pyridin-2-yl)methyl]carbamate (1.30 g, 2.72 mmol) in methanol (10 mL) was added a 2.0 M solution of ammonia in methanol (1.64 mL, 3.27 mmol, 1.2 equiv) at room temperature. The resulting mixture was stirred for 72 hours at room temperature. The mixture was concentrated under reduced pressure to afford a crude product which was purified by silica gel flash column chromatography, eluted with n- heptane/EtOAc (70:30) to afford the title compound (600 mg, 100% purity, 58%) as a solid. LogP = 3.16 [Method A]. Mass (M+H) = 377.   BCS223033 FC -114- tert-butyl [(tert-butoxycarbonyl)oxy][(5-{5-[chloro(difluoro)methyl]-1,2,4-oxadiazol-3-yl}pyridin-2- yl)methyl]carbamate (I-013)

 To a solution of 2-(bromomethyl)-5-{5-[chloro(difluoro)methyl]-1,2,4-oxadiazol-3-yl}pyridine (1 g, 3.08 mmol) and (tert-butoxycarbonylamino) tert-butyl carbonate (0.79 g, 3.39 mmol, 1.1 equiv) in dichloromethane (20 mL) under argon was added a 1 N aqueous solution of sodium hydroxide (1.64 mL, 3.39 mmol, 1.1 equiv) and tetra-n-butylammonium bromide (1.0 g, 3.08 mmol, 1.0 equiv) at room temperature. The resulting mixture was stirred for 1 hour at room temperature. The mixture was then diluted with dichloromethane (100 mL). The organic layer was separated and dried over anhydrous Na
2SO
4. After filtration, the filtrate was concentrated under reduced pressure to afford the crude compound, which was purified by silica gel flash column chromatography, eluted with n-heptane/EtOAc (80:20) to afford the title compound (1.4 g, 100% purity, 98%) as a viscous oil. LogP = 5.04 [Method A]. Mass (M+H) = 477. BIOLOGICAL DATA Example: in vivo preventive test on Puccinia recondita (brown rust on wheat) Solvent: 5% by volume of Dimethyl sulfoxide 10% by volume of Acetone Emulsifier: 1µl of Tween
® 80 per mg of active ingredient The active ingredients were made soluble and homogenized in a mixture of Dimethyl sulfoxide/Acetone/ /Tween
® 80 and then diluted in water to the desired concentration. The young plants of wheat were treated by spraying the active ingredient prepared as described above. Control plants were treated only with an aqueous solution of Acetone/Dimethyl sulfoxide/ Tween
® 80. After 24 hours, the plants were contaminated by spraying the leaves with an aqueous suspension of Puccinia recondita spores. The contaminated wheat plants were incubated for 24 hours at 20°C and at 100% relative humidity and then for 9 days at 20°C and at 70-80% relative humidity.   BCS223033 FC -115- The test was evaluated 10 days after the inoculation. 0% means an efficacy which corresponds to that of the control plants while an efficacy of 100% means that no disease was observed. In this test, the following compounds according to the invention showed efficacy between 80% and 89% at a concentration of 250 ppm of active ingredient: I-004; I-006; I-009 In this test, the following compounds according to the invention showed efficacy between 90% and 100% at a concentration of 250 ppm of active ingredient: I-010 Example: in vivo preventive test on Phakopsora pachyrhizi (soybean rust) Solvent: 5% by volume of Dimethyl sulfoxide 10% by volume of Acetone Emulsifier: 1µl of Tween
® 80 per mg of active ingredient The active ingredients were made soluble and homogenized in a mixture of Dimethyl sulfoxide/Acetone/ /Tween
® 80 and then diluted in water to the desired concentration. The young plants of soybean were treated by spraying the active ingredient prepared as described above. Control plants were treated only with an aqueous solution of Acetone/Dimethyl sulfoxide/ Tween® 80. After 24 hours, the plants were contaminated by spraying the leaves with an aqueous suspension of Phakopsora pachyrhizi spores. The contaminated soybean plants were incubated for 24 hours at 24°C and at 100% relative humidity and then for 10 days at 24°C and at 70-80% relative humidity. The test was evaluated 11 days after the inoculation. 0% means an efficacy which corresponds to that of the control plants while an efficacy of 100% means that no disease was observed. In this test, the following compounds according to the invention showed efficacy between 70% and 79% at a concentration of 250 ppm of active ingredient: I-014 In this test, the following compounds according to the invention showed efficacy between 90% and 100% at a concentration of 250 ppm of active ingredient: I-002; I-004; I-005; I-006; I-007; I-009; I-010; I-011; I-012; I-015; I-016 Example: Colletotrichum lindemuthianum in vitro cell test Solvent: DMSO Culture medium: 14.6g anhydrous D-glucose (VWR), 7.1g Mycological Peptone (Oxoid), 1.4g granulated Yeast Extract (Merck), QSP 1liter   BCS223033 FC -116- Inoculum: spores suspension Fungicides were solubilized in DMSO and the solution used to prepare the required range of concentrations. The final concentration of DMSO used in the assay was ≤^1%. A spore suspension of C. lindemuthianum was prepared and diluted to the desired spore density. Fungicides were evaluated for their ability to inhibit spores germination and mycelium growth in liquid culture assay. The compounds were added in the desired concentration to the culture medium with spores. After 6 days incubation, fungi-toxicity of compounds was determined by spectrometric measurement of mycelium growth. Inhibition of fungal growth was determined by comparing the absorbance values in wells containing the fungicides with the absorbance in control wells without fungicides. In this test, the following compounds according to the invention showed efficacy between 70% and 79% at a concentration of 50 µMol/l of active ingredient: I-014 In this test, the following compounds according to the invention showed efficacy between 80% and 89% at a concentration of 50 µMol/l of active ingredient: I-015 In this test, the following compounds according to the invention showed efficacy between 90% and 100% at a concentration of 50 µMol/l of active ingredient: I-002; I-003; I-004; I-005; I-006; I-007; I-009; I-010; I-011 In this test, the following compounds according to the invention showed efficacy between 80% and 89% at a concentration of 20 ppm of active ingredient: I-013 Example: in vivo preventive test on Phakopsora test (soybeans) Solvent: 24.5 parts by weight of acetone 24.5 parts by weight of dimethyl sulfoxide Emulsifier: 1 part by weight of polyoxyethylene sorbitan monooleate To produce a suitable preparation of active compound, 1 part by weight of active compound was mixed with the stated amounts of solvent and emulsifier, and the concentrate was diluted with water to the desired concentration. To test for preventive activity, young plants were sprayed with the preparation of active compound at the stated rate of application. After the spray coating had dried on, the plants were inoculated with an aqueous spore suspension of the causal agent of soybean rust (Phakopsora pachyrhizi) and stay for 24h without light in an incubation cabinet at approximately 24°C and a relative atmospheric humidity of 95 %.   BCS223033 FC -117- The plants remained in the incubation cabinet at approximately 24°C and a relative atmospheric humidity of approximately 80 % and a day / night interval of 12h. The test was evaluated 7 days after the inoculation. 0% means an efficacy which corresponds to that of the untreated control, while an efficacy of 100% means that no disease is observed. Example: in vivo curative test on Phakopsora test (soybeans) Solvent: 24.5 parts by weight of acetone 24.5 parts by weight of dimethyl sulfoxide Emulsifier: 1 part by weight of polyoxyethylene sorbitan monooleate To produce a suitable preparation of active compound, 1 part by weight of active compound was mixed with the stated amounts of solvent and emulsifier, and the concentrate was diluted with water to the desired concentration. To test for curative activity, young plants were inoculated with an aqueous spore suspension of the causal agent of soybean rust (Phakopsora pachyrhizi) and stay for 24h without light in an incubation cabinet at approximately 24°C and a relative atmospheric humidity of 95 % The plants remained in the incubation cabinet at approximately 24°C and a relative atmospheric humidity of approximately 80 % and a day / night interval of 12h. 2 days after inoculation the plants were sprayed with the preparation of active compound at the stated rate of application and remained furthermore in the incubation cabinet. The test was evaluated 7 days after the inoculation. 0% means an efficacy which corresponds to that of the untreated control, while an efficacy of 100% means that no disease is observed. Example: in vivo long-lasting activity test on Phakopsora test (soybeans) Solvent: 24.5 parts by weight of acetone 24.5 parts by weight of dimethyl sulfoxide Emulsifier: 1 part by weight of polyoxyethylene sorbitan monooleate To produce a suitable preparation of active compound, 1 part by weight of active compound was mixed with the stated amounts of solvent and emulsifier, and the concentrate was diluted with water to the desired concentration. To test for long-lasting activity, young plants were sprayed with the preparation of active compound at the stated rate of application. After the spray coating had dried on, the plants were placed in an incubation   BCS223033 FC -118- cabinet at approximately 24°C and a relative atmospheric humidity of approximately 80 % and a day / night interval of 12h. 8 days after the application the plant were inoculated with an aqueous spore suspension of the causal agent of soybean rust (Phakopsora pachyrhizi) and stay for 24h without light in the incubation cabinet at approximately 24°C and a relative atmospheric humidity of 95 %. The plants remained in the incubation cabinet at approximately 24°C and a relative atmospheric humidity of approximately 80 % and a day / night interval of 12h. The test was evaluated 7 days after the inoculation. 0% means an efficacy which corresponds to that of the untreated control, while an efficacy of 100% means that no disease is observed. Example: Inhibition of HDAC4/HDAC6 in mammals The inhibiting properties of the compounds of the invention towards human HDAC4 and/or HDAC6 were evaluated according to the assay described below: In vitro HDAC inhibition was measured by using the two-step fluorogenic HDAC assay according to Wegener et al. (Wegener D. et al., Analytical Biochemistry 321 (2003): 202-208) and performed in white 384 well plate (Greiner, flat bottom well lumitrac200 for HDAC4 and ProxiPlate-384 Plus ref 6008289 (PERKIN ELMER SAS) for HDAC6). The fluorogenic substrates used respectively for human HDAC4 (Active motif, ref.31527) and human HDAC6 (Sigma / SRP0108) are Boc-Lys (Tfa)-AMC (CAS: 97885- 44-4) and Boc-Lys (Ac)-AMC (Enzo Life Sciences /ALX-260-137-M005). Enzyme is diluted in HDAC buffer (15 mM Tris pH 8.1; 0.25 mM EDTA; 50 mM NaCl; BSA 1 mg/mL; 0.1% PEG 6000) at the final concentrations of 0.05 ng/µL for HDAC4 and 1 ng/µL for HDAC6. Tested compounds (2 µl) were diluted in duplicate, at a final concentration range from 100 to 0.02 µM in final 1% DMSO. The enzymatic reactions were started with the addition of the substrate at a final concentration of 60 µM and 10 µM respectively for HDAC4 and HDAC6 substrates. After shaking and incubating 60 min at 30 °C, a first fluorescence reading (Ex 340 nm/ Em 460 nm for HDAC4 and Ex 390/ Em 460 nm for HDAC6) to obtain blank value is done with Tecan Infinite 1000 microplate reader. For the second step 10 µl of developer were added in each well, allowing a final concentration of 1 µM of TSA (HDAC inhibitor Sigma /T8552) to stop the reaction and 0.5 mg/mL trypsin (Sigma /T0303) to release the fluorescent 4-amino 7-methylcoumarin. After additional 30 min incubation at 30 °C, T30 fluorescence is measured (same conditions as described above). Fluorescence is proportional to the amount of deacetylated substrate, and therefore representative of the human HDAC activity. The blank is subtracted to T30 value well by well for the entire plate, to consider the risk of auto-fluorescence interferences. The fluorescence in wells without compounds (1% DMSO) was set as 100% enzymatic   BCS223033 FC -119- activity (control) and the fluorescence in wells without enzyme was set as 0% enzymatic activity (100% inhibition). Results are expressed as a % inhibition of control specific activity obtained in the presence of the test compound at each concentration: % inhibition = (1- (compound specific activity/ control specific activity)) x 100 The IC50 values were determined by non-linear regression analysis of the inhibition/ concentration- response curve. In this test the following compounds according to the invention were found with IC50 values above 10
-5 M, corresponding to pI50 below 5, on both human HDAC4 and human HDAC6: I-001; I-002; I-003; I-004; I-005; I-006; I-007; I-008; I-009; I-010; I-011; I-012; I-013; I-014; I-015; I-016; I-017.