Movatterモバイル変換


[0]ホーム

URL:


WO2024047317A1 - Surgical insert and bone cement - Google Patents

Surgical insert and bone cement
Download PDF

Info

Publication number
WO2024047317A1
WO2024047317A1PCT/FR2023/051318FR2023051318WWO2024047317A1WO 2024047317 A1WO2024047317 A1WO 2024047317A1FR 2023051318 WFR2023051318 WFR 2023051318WWO 2024047317 A1WO2024047317 A1WO 2024047317A1
Authority
WO
WIPO (PCT)
Prior art keywords
layer
orifices
surgical insert
insert according
cement
Prior art date
Legal status (The legal status is an assumption and is not a legal conclusion. Google has not performed a legal analysis and makes no representation as to the accuracy of the status listed.)
Ceased
Application number
PCT/FR2023/051318
Other languages
French (fr)
Inventor
Francine Monchau
Olivier CARPENTIER
Benoit GENESTIE
Nicolas Blanchemain
Gwenaël RAOUL
Current Assignee (The listed assignees may be inaccurate. Google has not performed a legal analysis and makes no representation or warranty as to the accuracy of the list.)
Ecole Nationale Superieure Mines Telecom Lille Douai
Junia
Institut National de la Sante et de la Recherche Medicale INSERM
Centre Hospitalier Universitaire de Lille
Universite dArtois
Universite de Lille
Original Assignee
Ecole Nationale Superieure Mines Telecom Lille Douai
Junia
Institut National de la Sante et de la Recherche Medicale INSERM
Centre Hospitalier Universitaire de Lille
Universite dArtois
Universite de Lille
Priority date (The priority date is an assumption and is not a legal conclusion. Google has not performed a legal analysis and makes no representation as to the accuracy of the date listed.)
Filing date
Publication date
Priority claimed from FR2208793Aexternal-prioritypatent/FR3139275B1/en
Priority claimed from FR2208795Aexternal-prioritypatent/FR3139276B1/en
Application filed by Ecole Nationale Superieure Mines Telecom Lille Douai, Junia, Institut National de la Sante et de la Recherche Medicale INSERM, Centre Hospitalier Universitaire de Lille , Universite dArtois, Universite de LillefiledCriticalEcole Nationale Superieure Mines Telecom Lille Douai
Priority to EP23772554.4ApriorityCriticalpatent/EP4580556A1/en
Publication of WO2024047317A1publicationCriticalpatent/WO2024047317A1/en
Anticipated expirationlegal-statusCritical
Ceasedlegal-statusCriticalCurrent

Links

Classifications

Definitions

Landscapes

Abstract

The present invention relates to a surgical insert (1) comprising a first layer (11) and a second layer (12), wherein the first layer and the second layer comprise openings (111, 112) having a figure-of-eight shape. The invention also relates to a bone cement comprising a pulverulent solid phase that comprises natural polysaccharides and a ceramic filler, a liquid acrylate, and a polymerising agent.

Description

Translated fromFrench

Description Description

Titre : Insert chirurgical et ciment osseuxTitle: Surgical insert and bone cement

Domaine techniqueTechnical area

[1] La présente divulgation concerne un insert chirurgical et un ciment osseux, notamment un insert chirurgical comprenant une première couche et une deuxième couche comprenant des orifices de forme octomorphe ainsi qu’un ciment osseux comprenant une phase solide pulvérulente comprenant des polysaccharides naturels ou dérivés de composés naturels et une charge céramique et un acrylate en phase liquide.[1] The present disclosure relates to a surgical insert and a bone cement, in particular a surgical insert comprising a first layer and a second layer comprising octomorphic shaped orifices as well as a bone cement comprising a powdery solid phase comprising natural or derived polysaccharides of natural compounds and a ceramic filler and an acrylate in liquid phase.

Technique antérieurePrior art

[2] Les traumatismes maxillo-faciaux sont des traumatismes fréquents qui touchent majoritairement les hommes et les jeunes entre 18 et 25 ans. Ils sont principalement dus à des accidents sur la voie publique, aux rixes, à des accidents liés à la pratique du sport, et les accidents domestiques.[2] Maxillofacial trauma is a common trauma that mainly affects men and young people between 18 and 25 years old. They are mainly due to accidents on public roads, fights, accidents linked to the practice of sport, and domestic accidents.

[3] Dans les traumatismes maxillo-faciaux, les zones principalement atteintes sont les dents, les os du nez ainsi que la structure orbitaire, qui est atteinte dans plus de 40 % des cas en raison de sa position exposée et de sa très fine épaisseur osseuse. Une fracture de la structure orbitaire peut entraîner des conséquences fonctionnelles. Ainsi, il peut apparaître une incarcération du muscle et/ou de la graisse qui entoure l’œil, provoquant une différence d’élévation entre les deux yeux (diplodie). Elle peut provoquer une compression du nerf infra-orbitaire (V2) qui passe sous la structure orbitaire. Cette compression est responsable de troubles de la sensibilité dans les zones autour de l’œil comme la joue, le nez, les dents et la lèvre supérieure. Elle peut aussi entraîner, dans le cas d’une fracture importante ou d’un effondrement de la structure orbitaire, une énophtalmie, une dystropie du globe oculaire. Enfin, une fracture de la structure orbitaire peut aussi avoir des répercussions esthétiques quand elle est associée à une fracture du rebord orbitaire, du nez ou du corps zygomatique en modifiant les reliefs osseux de la face.[3] In maxillofacial trauma, the areas mainly affected are the teeth, the nasal bones as well as the orbital structure, which is affected in more than 40% of cases due to its exposed position and its very thin thickness. bone. A fracture of the orbital structure can lead to functional consequences. Thus, an incarceration of the muscle and/or fat surrounding the eye may appear, causing a difference in elevation between the two eyes (diplodia). It can cause compression of the infra-orbital nerve (V2 ) which passes under the orbital structure. This compression is responsible for sensitivity disorders in areas around the eye such as the cheek, nose, teeth and upper lip. It can also lead, in the case of a significant fracture or collapse of the orbital structure, to enophthalmos, a dystropia of the eyeball. Finally, a fracture of the orbital structure can also have aesthetic repercussions when it is associated with a fracture of the orbital rim, the nose or the zygomatic body by modifying the bony reliefs of the face.

[4] Dans le cas où la fracture du cadre orbitaire est assez importante, il est nécessaire de reconstruire le volume orbitaire. Cette reconstruction doit être rigoureusement respectée car des complications, comme celles mentionnées ci-dessus, peuvent apparaître. Afin que le globe oculaire recouvre son fonctionnement et son positionnement normal, il faut que la reconstruction soit précise et conforme à l’anatomie de l’orbite de la personne atteinte mais nécessite aussi d’être accompagnée d’un repositionnement des tissus mous intra-orbitaires. [5] L’apparition de la chirurgie assistée par ordinateur a permis de nombreuses avancées dans les cas des fractures nécessitant des reconstructions complexes du volume osseux. Elle permet notamment de pouvoir générer un fichier patient virtuel en trois dimensions reproduisant fidèlement la structure osseuse anatomique spécifique du patient. Il est ainsi possible d’avoir à disposition une base fidèle pour la reconstitution. Elle est particulièrement adaptée pour les reconstitutions de la structure orbitaire, une zone particulièrement complexe du corps humain et très différentes en fonction des individus.[4] In cases where the fracture of the orbital frame is quite significant, it is necessary to reconstruct the orbital volume. This reconstruction must be rigorously respected because complications, such as those mentioned above, may appear. In order for the eyeball to regain its normal functioning and positioning, the reconstruction must be precise and conform to the anatomy of the affected person's orbit but must also be accompanied by a repositioning of the intra-soft tissues. orbital. [5] The appearance of computer-assisted surgery has enabled numerous advances in fractures requiring complex reconstructions of bone volume. In particular, it makes it possible to generate a three-dimensional virtual patient file faithfully reproducing the patient's specific anatomical bone structure. It is thus possible to have available a reliable basis for the reconstruction. It is particularly suitable for reconstructions of the orbital structure, a particularly complex area of the human body and very different depending on the individual.

[6] La reconstruction de la structure orbitaire a comme principal objectif de reconstituer la forme et le volume de l’orbite spécifique à l’anatomie de chaque patient. Cependant, la réduction des fragments osseux minces du plancher orbitaire n’est parfois pas suffisante, voire impossible. Il est donc nécessaire de recouvrir ou de combler le défaut pour éviter des complications comme des déplacements des tissus autour de l’œil. Ainsi, l’insertion d’un matériau biocompatible, aussi appelé implant orbitaire, est parfois indiquée en fonction de la taille et de la localisation du défaut afin de soutenir les tissus autour de l’œil et pour remodeler l’orbite. Cet implant orbitaire doit cependant être adapté à l’anatomie de chaque patient afin de fonctionner de manière optimale.[6] The main objective of reconstructing the orbital structure is to reconstruct the shape and volume of the orbit specific to the anatomy of each patient. However, reduction of thin bone fragments from the orbital floor is sometimes not sufficient or even impossible. It is therefore necessary to cover or fill the defect to avoid complications such as tissue displacement around the eye. Thus, the insertion of a biocompatible material, also called an orbital implant, is sometimes indicated depending on the size and location of the defect in order to support the tissues around the eye and to reshape the orbit. However, this orbital implant must be adapted to the anatomy of each patient in order to function optimally.

[7] De nombreux matériaux de caractéristiques différentes peuvent être utilisés pour confectionner les implants pour la réparation de lésions orbitaires. Le cahier des charges d’un matériau utilisé comme substitut osseux comprend : sa biocompatibilité, chimique et mécanique, son ostéoconductivité, la capacité de permettre aux différents éléments cellulaires d’atteindre la zone osseuse à réparer, sa résistance mécanique qui doit être proche de celle de l’os et sa macroporosité afin de permettre la colonisation des cellules et la revascularisation du greffon.[7] Many materials with different characteristics can be used to make implants for the repair of orbital lesions. The specifications of a material used as a bone substitute include: its biocompatibility, chemical and mechanical, its osteoconductivity, the capacity to allow the different cellular elements to reach the bone area to be repaired, its mechanical resistance which must be close to that of the bone and its macroporosity in order to allow the colonization of the cells and the revascularization of the graft.

[8] Un premier matériau utilisé est l’os autologue. L’os autologue est un prélèvement de matière osseuse provenant d’une autre partie du corps comme par exemple le calvarium, l’os de la voûte crânienne, la crête iliaque, un des os de l’os coxal, ou les os microvascularisés en cas de reconstructions étendues. Ce matériau est utile pour la reconstruction et l’augmentation des contours de l’orbite, en particulier après la résection d’une tumeur par un traitement à base de rayons ionisants. Cependant, les parties osseuses ne peuvent pas être de forme anatomique réelle et il apparaît une diminution du volume osseux par résorption osseuse. Il est aussi possible d’utiliser le cartilage chondro- costal.[8] A first material used is autologous bone. Autologous bone is a sample of bone material from another part of the body such as the calvarium, the bone of the cranial vault, the iliac crest, one of the bones of the coxal bone, or the microvascularized bones in cases of extensive reconstructions. This material is useful for reconstruction and augmentation of the contours of the orbit, particularly after resection of a tumor using ionizing radiation treatment. However, the bony parts cannot be of true anatomical shape and there appears a reduction in bone volume by bone resorption. It is also possible to use chondrocostal cartilage.

[9] Un deuxième matériau pouvant être utilisé est à base de membranes en polymère résorbables. Elles conviennent parfaitement pour les petits défauts, d’une surface inférieure à 1 cm2. Cependant, pour des défauts plus importants, les membranes en polymère résorbable ne présentent pas des caractéristiques mécaniques suffisantes pour soutenir et stabiliser les parois orbitaires. [10] Un troisième matériau couramment utilisé est le titane et ses alliages. Il est utilisé depuis une quinzaine d’années et démontre une excellente biocompatibilité et une excellente intégration dans le site osseux. Le titane est un matériau présentant une excellente résistance à la corrosion, propriété utile sachant que le corps humain est particulièrement corrosif, ainsi qu’une résistance mécanique élevée. Il est facilement mis en forme ce qui le rend utilisable dans de nombreux types d’implants.[9] A second material that can be used is based on resorbable polymer membranes. They are ideal for small defects with a surface area of less than 1 cm2 . However, for larger defects, resorbable polymer membranes do not have sufficient mechanical characteristics to support and stabilize the orbital walls. [10] A third commonly used material is titanium and its alloys. It has been used for around fifteen years and demonstrates excellent biocompatibility and excellent integration into the bone site. Titanium is a material with excellent corrosion resistance, a useful property knowing that the human body is particularly corrosive, as well as high mechanical resistance. It is easily shaped which makes it usable in many types of implants.

[11] Enfin un quatrième matériau utilisé sont les biocéramiques. Elles se présentent sous la forme de granules ou de cylindres macroporeux. Elles s’adaptent au défaut à combler et présentent de bons résultats en termes de bioactivité et d’ostéoconduction. Elles présentent cependant le défaut de devoir être mises en forme avant leur implantation.[11] Finally, a fourth material used is bioceramics. They are in the form of granules or macroporous cylinders. They adapt to the defect to be filled and present good results in terms of bioactivity and osteoconduction. However, they have the drawback of having to be formatted before their implementation.

[12] Une solution thérapeutique aux biocéramiques sont les substituts osseux sous forme de ciments. Le ciment est moins invasif, pratique à manipuler et s’adapte facilement au volume à traiter. Il existe deux grandes familles de ciments. La première famille est celle des ciments phosphocalciques. Ils sont principalement composés de phosphate de calcium qui leur confère de nombreux avantages comme la biocompatibilité, des propriétés de biorésorption et de repousse osseuse. Ils présentent cependant le défaut d’être fragile et cassant. La deuxième famille des ciments est représentée par les ciments acryliques. Ils sont principalement constitués de polyméthacrylate de méthyle, formés par polyaddition et utilisés pour la fixation des prothèses. Ils présentent une bonne biocompatibilité ainsi qu’une excellente résistance mécanique. Ils présentent cependant le défaut d’avoir un comportement de retrait après la prise in situ entraînant un vide entre l’implant et l’os. Ce comportement peut provoquer de graves problèmes comme le déscellement de certaines prothèses.[12] A therapeutic solution to bioceramics are bone substitutes in the form of cements. The cement is less invasive, practical to handle and easily adapts to the volume to be treated. There are two main families of cements. The first family is that of phosphocalcic cements. They are mainly composed of calcium phosphate which gives them many advantages such as biocompatibility, bioresorption and bone regrowth properties. However, they have the drawback of being fragile and brittle. The second family of cements is represented by acrylic cements. They are mainly made of polymethyl methacrylate, formed by polyaddition and used for fixing prostheses. They have good biocompatibility as well as excellent mechanical resistance. However, they have the drawback of having a withdrawal behavior after setting in situ, resulting in a void between the implant and the bone. This behavior can cause serious problems such as the loosening of certain prostheses.

[13] De plus, au-delà des caractéristiques du cahier des charges d’un matériau utilisé comme substitut osseux, il apparaît qu’aucun des matériaux cités précédemment ne présente une excellente bioactivité avec le milieu dans lequel il est implanté. En effet, une bioactivité ainsi qu’une interaction du matériau avec les milieux liquides composant la zone d’implant permettrait notamment de l’utiliser comme matrice pour la libération de différentes substances, par exemple de médicaments. Il apparaît aussi qu’un implant ayant la capacité de s’expanser en volume par l’absorption de fluides serait particulièrement adapté à une utilisation comme implant osseux par sa capacité à rentrer en contact étroit avec le site osseux receveur.[13] Furthermore, beyond the characteristics of the specifications of a material used as a bone substitute, it appears that none of the materials cited above presents excellent bioactivity with the environment in which it is implanted. Indeed, bioactivity as well as interaction of the material with the liquid media making up the implant zone would make it possible in particular to use it as a matrix for the release of different substances, for example drugs. It also appears that an implant having the capacity to expand in volume through the absorption of fluids would be particularly suitable for use as a bone implant due to its ability to come into close contact with the recipient bone site.

[14] Un premier type d’implant est un implant à plat à mise en forme manuelle. Afin de le réaliser, le chirurgien utilise des répliques du crâne du patient stérilisées en ABS (acrylonitrile butadiène styrène) pour placer et modeler l’implant afin de l’adapter à l’anatomie du patient. Cet implant respecte quasiment totalement l’anatomie du patient et améliore ainsi la précision des réparations chirurgicales. Cependant cette solution nécessite des prérequis : de pouvoir fabriquer et stériliser le crâne du patient en ABS, de déstériliser et de restériliser l’implant, d’avoir le temps pour réaliser cette opération et d’être dans une structure qui a accès à cette technologie.[14] A first type of implant is a manually shaped flat implant. To achieve this, the surgeon uses replicas of the patient's skull sterilized in ABS (acrylonitrile butadiene styrene) to place and shape the implant to adapt it to the patient's anatomy. This implant almost completely respects the patient's anatomy and thus improves the precision of surgical repairs. However, this solution requires prerequisites: to be able to manufacture and sterilize the patient's skull in ABS, to desterilize and re-sterilize the implant, to have the time to carry out this operation and to be in a structure that has access to this technology. .

[15] Une deuxième solution consiste à concevoir des implants pour la plupart des individus en préformant anatomiquement un implant recouvrant le plancher orbitaire et la paroi médiane. Ces implants présentent des dimensions « moyennes », c’est-à-dire, que leurs dimensions ne sont pas spécifiques à un individu mais conviennent aux différentes formes anatomiques de l’orbite. Ces implants sont disponibles dans deux tailles différentes. Ils ont permis une nette amélioration par rapport aux implants standards.[15] A second solution is to design implants for most individuals by anatomically preforming an implant covering the orbital floor and medial wall. These implants have “average” dimensions, that is to say, their dimensions are not specific to an individual but are suitable for the different anatomical shapes of the orbit. These implants are available in two different sizes. They allowed a clear improvement compared to standard implants.

Cependant, du fait que les fractures ne sont pas constantes, en volume ou en localisation, et que la forme anatomique de la paroi orbitaire est très complexe, ils ne recouvrent pas parfaitement la paroi orbitaire.However, because the fractures are not constant, in volume or location, and the anatomical shape of the orbital wall is very complex, they do not perfectly cover the orbital wall.

[16] Il existe donc toujours un besoin pour la conception d’un implant orbitaire de forme anatomique couvrant le siège de la lésion adapté à chaque patient produit par prototypage rapide. L’utilisation du prototypage rapide permettra ainsi l’optimisation de la forme de l’implant ainsi que l’optimisation de sa structure interne afin de permettre une meilleure circulation des fluides, une recolonisation osseuse et des propriétés mécaniques de soutien suffisantes.[16] There is therefore still a need for the design of an anatomically shaped orbital implant covering the site of the lesion adapted to each patient produced by rapid prototyping. The use of rapid prototyping will thus allow the optimization of the shape of the implant as well as the optimization of its internal structure in order to allow better circulation of fluids, bone recolonization and sufficient mechanical support properties.

[17] Il existe aussi un besoin de concevoir un matériau remplissant les critères du cahier des charges d’un matériau utilisé comme substitut osseux mais aussi celles d’un matériau capable de rentrer en contact étroit avec la zone d’implant et d’être utilisé comme matrice de libération de substances.[17] There is also a need to design a material meeting the criteria of the specifications of a material used as a bone substitute but also those of a material capable of coming into close contact with the implant area and being used as a substance release matrix.

RésuméSummary

[18] La présente divulgation vient améliorer la situation.[18] This disclosure improves the situation.

[19] Selon un premier aspect, il est proposé un insert chirurgical comprenant :[19] According to a first aspect, a surgical insert is proposed comprising:

- une première couche, et- a first layer, and

- une deuxième couche, dans lequel la première couche et la deuxième couche comprennent des orifices ayant une forme octomorphe.- a second layer, in which the first layer and the second layer comprise orifices having an octomorphic shape.

[20] L’ insert chirurgical selon le premier aspect de l’invention présente une architecture interne optimisée pour une meilleure circulation des fluides et la repousse osseuse. La première couche et la deuxième couche permettent à ce que l’insert chirurgical présente des propriétés mécaniques de soutien suffisantes, notamment par une réduction significative des contraintes maximales. Cet insert chirurgical peut être utilisé comme substitut osseux, notamment humain ou à usage vétérinaire. Sa forme générale peut être adaptée pour aboutir à un implant osseux de forme anatomique. Ainsi, il pourra être utilisé pour par exemple remplacer une partie du squelette comme le plancher orbitaire, servir de plaque d’ostéosynthèse ou former une prothèse articulaire.[20] The surgical insert according to the first aspect of the invention has an internal architecture optimized for better circulation of fluids and bone regrowth. The first layer and the second layer ensure that the surgical insert has sufficient mechanical support properties, in particular by a significant reduction in maximum stresses. This surgical insert can be used as a bone substitute, particularly for human or veterinary use. Its general form can be adapted to result in an anatomically shaped bone implant. Thus, it could be used, for example, to replace a part of the skeleton such as the orbital floor, serve as an osteosynthesis plate or form a joint prosthesis.

[21] Cet insert chirurgical, ou implant chirurgical, peut en outre être utilisé pour la chirurgie humaine ou animal, notamment les vertébrés. Il peut être implanté ou remplacer en tout ou partie des structures du corps humain ou animal, par exemple un membre, le crâne, le tronc, etc. Il peut être utilisé notamment dans la chirurgie réparatrice des membres (inférieures et supérieures), de la face (y compris les mâchoires, les dents) ou du tronc (par exemple la colonne vertébrale). Il peut également être employé dans la chirurgie vasculaire, abdominale ou digestive.[21] This surgical insert, or surgical implant, can also be used for human or animal surgery, in particular vertebrates. It can be implanted or replace all or part of the structures of the human or animal body, for example a limb, the skull, the trunk, etc. It can be used in particular in reconstructive surgery of the limbs (lower and upper), the face (including the jaws, teeth) or the trunk (for example the spine). It can also be used in vascular, abdominal or digestive surgery.

[22] Selon un deuxième aspect, il est proposé un substitut osseux sous forme de ciment osseux (également appelé ciment osseux) comprenant :[22] According to a second aspect, a bone substitute is proposed in the form of bone cement (also called bone cement) comprising:

- une phase solide pulvérulente comprenant des polysaccharides naturels ou dérivés de composés naturels et une charge céramique,- a powdery solid phase comprising natural polysaccharides or derived from natural compounds and a ceramic filler,

- un acrylate en phase liquide,- an acrylate in liquid phase,

- un polymérisant, et/ou- a polymerizer, and/or

- un radio-opacifiant, et/ou- a radiopacifier, and/or

- un agent limitant le gonflement.- an agent limiting swelling.

[23] Le ciment osseux selon le deuxième aspect de l’invention présente des propriétés avantageuses, notamment une excellente biocompatibilité avec le corps humain, une excellente ostéo-conductivité et une résistance mécanique proche de celle de l’os humain. Il présente aussi une propriété de macroporosité permettant la colonisation des cellules et la revascularisation du greffon.[23] The bone cement according to the second aspect of the invention has advantageous properties, in particular excellent biocompatibility with the human body, excellent osteo-conductivity and mechanical strength close to that of human bone. It also has a macroporosity property allowing the colonization of cells and the revascularization of the graft.

Brève description des dessinsBrief description of the drawings

[24] D’autres caractéristiques, détails et avantages apparaîtront à la lecture de la description détaillée ci-après, et à l’analyse des dessins annexés, sur lesquels :[24] Other characteristics, details and advantages will appear on reading the detailed description below, and on analyzing the attached drawings, in which:

[25] [Fig. 1] montre schématiquement une vue de dessus d’un orifice de forme octomorphe ;[25] [Fig. 1] schematically shows a top view of an octomorphic orifice;

[26] [Fig. 2] montre schématiquement une vue de dessus d’orifices de forme octomorphe agencés selon un motif triangulaire ;[26] [Fig. 2] schematically shows a top view of octomorph-shaped orifices arranged in a triangular pattern;

[27] [Fig. 3] montre schématiquement une vue de dessus d’orifices de forme octomorphe agencés selon un motif carré ;[27] [Fig. 3] schematically shows a top view of octomorph-shaped orifices arranged in a square pattern;

[28] [Fig. 4] montre schématiquement une vue de dessus d’orifices de forme octomorphe agencés selon un motif hexagonal ;[28] [Fig. 4] schematically shows a top view of octomorphic shaped orifices arranged in a hexagonal pattern;

[29] [Fig. 5] montre schématiquement une vue de dessus d’orifices de forme octomorphe agencés selon un motif hétérogène ; [30] [Fig. 6] montre schématiquement une vue de dessus d’un exemple d’insert chirurgical selon l’invention, de forme carrée présentant des pattes de fixation au niveau d’un de ses côtés ;[29] [Fig. 5] schematically shows a top view of octomorphic shaped orifices arranged in a heterogeneous pattern; [30] [Fig. 6] schematically shows a top view of an example of a surgical insert according to the invention, of square shape having fixing lugs at one of its sides;

[31] [Fig. 7] montre schématiquement une vue de dessus d’un exemple d’insert chirurgical selon l’invention, de forme ronde ;[31] [Fig. 7] schematically shows a top view of an example of a surgical insert according to the invention, of round shape;

[32] [Fig. 8] montre schématiquement une vue de dessus d’un exemple d’insert chirurgical selon l’invention, de forme triangulaire avec deux zones de porosités différentes ;[32] [Fig. 8] schematically shows a top view of an example of a surgical insert according to the invention, of triangular shape with two zones of different porosities;

[33] [Fig. 9] montre les deux faces d’un exemple d’insert chirurgical selon l’invention ;[33] [Fig. 9] shows the two sides of an example of a surgical insert according to the invention;

[34] [Fig. 10a] montre schématiquement une vue de dessus d‘une première couche d’un insert chirurgical selon l’invention ;[34] [Fig. 10a] schematically shows a top view of a first layer of a surgical insert according to the invention;

[35] [Fig. 10b] montre schématiquement une vue de dessus d’une deuxième couche du même insert chirurgical que la figure 10a ;[35] [Fig. 10b] schematically shows a top view of a second layer of the same surgical insert as Figure 10a;

[36] [Fig. 11] montre schématiquement un exemple d’insert chirurgical selon l’invention, en trois dimensions comprenant deux couches séparées l’une de l’autre par une pluralité de séparateurs ;[36] [Fig. 11] schematically shows an example of a surgical insert according to the invention, in three dimensions comprising two layers separated from each other by a plurality of separators;

[37] [Fig. 12] montre schématiquement un exemple de pilier d’axe longitudinal droit et perpendiculaire au plan moyen de la première ou deuxième couche ;[37] [Fig. 12] schematically shows an example of a pillar with a straight longitudinal axis and perpendicular to the mean plane of the first or second layer;

[38] [Fig. 13] montre l’évolution du coefficient de pondération C2 en fonction de l’angle de torsion 0 des piliers de l’insert chirurgical selon l’invention ;[38] [Fig. 13] shows the evolution of the weighting coefficient C2 as a function of the twist angle 0 of the pillars of the surgical insert according to the invention;

[39] [Fig. 14] montre schématiquement un exemple de pilier d’axe longitudinal vertical de forme hélicoïdale avec un angle de torsion différent de 0 ;[39] [Fig. 14] schematically shows an example of a pillar with a vertical longitudinal axis of helical shape with a twist angle different from 0;

[40] [Fig. 15] montre l’évolution du coefficient de pondération C3 en fonction de l’angle d’inclinaison Q des piliers droits de l’insert chirurgical selon l’invention ;[40] [Fig. 15] shows the evolution of the weighting coefficient C3 as a function of the angle of inclination Q of the straight pillars of the surgical insert according to the invention;

[41] [Fig. 16] montre schématiquement un exemple de pilier d’axe longitudinal présentant un angle d’inclinaison Q non nul par rapport à la verticale ;[41] [Fig. 16] schematically shows an example of a pillar with a longitudinal axis having a non-zero angle of inclination Q relative to the vertical;

[42] [Fig. 17] montre schématiquement un exemple de pilier d’axe courbé ;[42] [Fig. 17] schematically shows an example of a pillar with a curved axis;

[43] [Fig. 18] montre schématiquement un exemple de pilier d’axe longitudinal droit de forme hélicoïdale présentant des pores au niveau de sa surface latérale ;[43] [Fig. 18] schematically shows an example of a pillar with a right longitudinal axis of helical shape having pores at its lateral surface;

[44] [Fig. 19] montre schématiquement un exemple de section d’une couche de l’insert chirurgical selon l’invention et présentant un orifice de forme octomorphe et des orifices transversaux de forme octomorphe ;[44] [Fig. 19] schematically shows an example of a section of a layer of the surgical insert according to the invention and having an orifice of octomorphic shape and transverse orifices of octomorphic shape;

[45] [Fig. 20] montre schématiquement un exemple d’insert chirurgical selon l’invention, en trois dimensions présentant trois couches séparées par une pluralité de piliers d’axe longitudinal vertical de forme hélicoïdale présentant des pores au niveau de sa surface latérale ;[45] [Fig. 20] schematically shows an example of a surgical insert according to the invention, in three dimensions having three layers separated by a plurality of pillars of vertical longitudinal axis of helical shape having pores at its lateral surface;

[46] [Fig. 21] montre un exemple d’une courbe ou fonction de Bézier ; [47] [Fig. 22] montre une répartition d’orifices de forme octomorphe le long d’une courbe de Bézier ;[46] [Fig. 21] shows an example of a Bézier curve or function; [47] [Fig. 22] shows a distribution of octomorphic shaped orifices along a Bézier curve;

[48] [Fig. 23] est un agrandissement d’une partie de la courbe de Bézier de la figure 22 au niveau d’un extrémum ;[48] [Fig. 23] is an enlargement of part of the Bézier curve of Figure 22 at an extremum;

[49] [Fig. 24] montre des sections de recouvrement induites par une duplication homothétique de la première couche aboutissant à la deuxième couche ;[49] [Fig. 24] shows overlapping sections induced by a homothetic duplication of the first layer leading to the second layer;

[50] [Fig. 25] montre des orifices octomorphes agencés selon un motif rectangulaire partiel ;[50] [Fig. 25] shows octomorphic orifices arranged in a partial rectangular pattern;

[51] [Fig. 26] montre des orifices octomorphes agencés partiellement le long des contours d’un octogone ;[51] [Fig. 26] shows octomorphic orifices arranged partially along the contours of an octagon;

[52] [Fig. 27] montre un exemple d’insert chirurgical selon l’invention et sa boite limite ;[52] [Fig. 27] shows an example of a surgical insert according to the invention and its limit box;

[53] [Fig. 28] montre les résultats de simulation de deux inserts ayant tous les deux des orifices de forme octomorphe, l’un ayant un renfort mécanique, l’autre en étant exempt ;[53] [Fig. 28] shows the simulation results of two inserts both having octomorphic shaped orifices, one having mechanical reinforcement, the other being free;

[54] [Fig. 29] montre le diagramme ternaire de variation de l’acétate de cellulose, de la charge céramique et de l’amidon compris dans le ciment osseux selon l’invention ;[54] [Fig. 29] shows the ternary diagram of variation of the cellulose acetate, the ceramic filler and the starch included in the bone cement according to the invention;

[55] [Fig. 30] montre l’évolution du module d’Young dans le domaine d’étude du ciment osseux selon l’invention ;[55] [Fig. 30] shows the evolution of the Young modulus in the field of study of bone cement according to the invention;

[56] [Fig. 31] montre l’évolution du module de cisaillement dans le domaine d’étude du ciment osseux selon l’invention ;[56] [Fig. 31] shows the evolution of the shear modulus in the field of study of bone cement according to the invention;

[57] [Fig. 32] montre l’évolution du gonflement dans le domaine d’étude du ciment osseux selon l’invention ;[57] [Fig. 32] shows the evolution of swelling in the field of study of bone cement according to the invention;

[58] [Fig. 33] montre l’évolution de la température en fonction du temps pour les trois formulations du ciment osseux selon l’invention ;[58] [Fig. 33] shows the evolution of the temperature as a function of time for the three formulations of bone cement according to the invention;

[59] [Fig. 34] montre l’évolution du temps de prise d’un ciment acrylique en fonction de la proportion massique de vitamine C du ciment osseux selon l’invention ;[59] [Fig. 34] shows the evolution of the setting time of an acrylic cement as a function of the mass proportion of vitamin C in the bone cement according to the invention;

[60] [Fig. 35] montre l’évolution de la température maximale atteinte d’un ciment acrylique en fonction de la proportion massique de vitamine C du ciment osseux selon l’invention ;[60] [Fig. 35] shows the evolution of the maximum temperature reached of an acrylic cement as a function of the mass proportion of vitamin C of the bone cement according to the invention;

[61] [Fig. 36] montre l’évolution du gonflement de l’exemple 2.1 du ciment osseux selon l’invention dans différents milieux liquides en fonction du nombre de jours d’immersion ;[61] [Fig. 36] shows the evolution of the swelling of Example 2.1 of the bone cement according to the invention in different liquid media as a function of the number of days of immersion;

[62] [Fig. 37] montre l’évolution du gonflement de l’exemple 2.2 du ciment osseux selon l’invention dans différents milieux liquides en fonction du nombre de jours d’immersion ;[62] [Fig. 37] shows the evolution of the swelling of Example 2.2 of the bone cement according to the invention in different liquid media as a function of the number of days of immersion;

[63] [Fig. 38] montre l’évolution du gonflement de l’exemple 2.3 du ciment osseux selon l’invention dans différents milieux liquides en fonction du nombre de jours d’immersion ;[63] [Fig. 38] shows the evolution of the swelling of Example 2.3 of the bone cement according to the invention in different liquid media as a function of the number of days of immersion;

[64] [Fig. 39] montre l’évolution de la porosité ouverte des exemples 2.1 , 2.2 et 2.3 du ciment osseux selon l’invention en fonction du nombre de jours pour une immersion dans l’eau distillée ; [65] [Fig. 40] montre l’évolution de la force d’injectabilité pour six variétés botaniques d’amidon ;[64] [Fig. 39] shows the evolution of the open porosity of examples 2.1, 2.2 and 2.3 of the bone cement according to the invention as a function of the number of days for immersion in distilled water; [65] [Fig. 40] shows the evolution of the injectability force for six botanical varieties of starch;

[66] [Fig. 41] montre le taux de survie cellulaire en fonction de chaque formulation du ciment osseux selon l’invention et de deux témoins, un premier à base de 100 % d’alumine, et le second à base de tissue culture polystyrène (TCPS), matériau constituant les plaques de culture ;[66] [Fig. 41] shows the cell survival rate as a function of each formulation of the bone cement according to the invention and two controls, a first based on 100% alumina, and the second based on tissue culture polystyrene (TCPS), a material constituting the culture plates;

[67] [Fig. 42] montre les quantités totales de ciprofloxacine (CFX) présentes sur les différentes formulations du ciment osseux selon l’invention ; et[67] [Fig. 42] shows the total quantities of ciprofloxacin (CFX) present in the different formulations of bone cement according to the invention; And

[68] [Fig. 43] montre le profil de libération de la CFX en fonction du temps pour les trois formulations du ciment osseux selon l’invention.[68] [Fig. 43] shows the release profile of CFX as a function of time for the three formulations of bone cement according to the invention.

Description détailléedetailed description

[69] La présente invention porte selon un premier aspect sur un insert chirurgical qui sera décrit par la suite en référence aux figures 1 à 28.[69] The present invention relates, according to a first aspect, to a surgical insert which will be described below with reference to Figures 1 to 28.

[70] L’ insert chirurgical 1 comprend :[70] The surgical insert 1 comprises:

- une première couche 11 , et- a first layer 11, and

- une deuxième couche 12, dans lequel la première couche 11 et la deuxième couche 12 comprennent des orifices 111 , 121 ayant une forme octomorphe.- a second layer 12, in which the first layer 11 and the second layer 12 comprise orifices 111, 121 having an octomorphic shape.

[71] On qualifie par « octomorphe » des orifices ayant la forme du chiffre 8, c’est-à-dire une forme allongée avec deux lobes aux extrémités et une partie centrale resserrée.[71] We call “octomorphic” orifices having the shape of the number 8, that is to say an elongated shape with two lobes at the ends and a constricted central part.

[72] La forme octomorphe peut être décrite comme composée de deux parties d’extrémité, chacun formée par un cercle de rayon n. Les deux parties d’extrémités sont reliées entre elles par une partie centrale formée par un congé circulaire de rayon r2 de sorte que la largeur de la partie centrale soit inférieure à la largeur des parties d’extrémités égale à 2xri. Ainsi, le rayon est un premier rayon de courbure de la forme octomorphe dans les parties d’extrémité et le rayon r2 est un deuxième rayon de courbure de la forme octomorphe dans la partie centrale.[72] The octomorphic shape can be described as consisting of two end parts, each formed by a circle of radius n. The two end parts are connected together by a central part formed by a circular fillet of radius r2 so that the width of the central part is less than the width of the end parts equal to 2xri. Thus, the radius is a first radius of curvature of the octomorph shape in the end parts and the radius r2 is a second radius of curvature of the octomorph shape in the central part.

[73] La forme octomorphe peut encore être décrite comme une forme en deux dimensions, oblongue resserrée à la moitié de sa longueur et comprend deux parties d’extrémité et une partie centrale resserrée. La forme octomorphe peut présenter un contour courbé, c’est-à-dire que le contour ne présente pas d’angles. Les deux parties d’extrémité peuvent présenter un premier rayon de courbure n orienté vers l’intérieur de l’orifice. La partie centrale resserrée peut comprendre une zone centrale présentant un deuxième rayon r2 de courbure orienté vers l’extérieur de l’orifice. [74] Lorsqu’il est mentionné qu’un orifice présente une forme octomorphe, cela signifie qu’une section de l’orifice présente une telle forme. La section généralement considérée est une section parallèle au plan moyen de la surface à partir de laquelle l’orifice s’étend.[73] The octomorphic shape can further be described as a two-dimensional shape, oblong constricted to half its length and includes two end parts and a central constricted part. The octomorphic shape can have a curved contour, that is to say the contour does not have angles. The two end parts may have a first radius of curvature n oriented towards the inside of the orifice. The constricted central part may comprise a central zone having a second radius r2 of curvature oriented towards the outside of the orifice. [74] When it is mentioned that an orifice has an octomorphic shape, this means that a section of the orifice has such a shape. The section generally considered is a section parallel to the mean plane of the surface from which the orifice extends.

[75] On comprendra également comme « orifice de forme octomorphe » un orifice n’ayant pas la forme octomorphe à cause du pavage et du dimensionnement de l’insert. C’est-à-dire que tout orifice issu d’un pavage par des orifices de forme octomorphe suivi d’un rognage à la forme souhaitée de l’insert, est considéré comme orifice octomorphe.[75] We will also understand as “octomorphic shaped orifice” an orifice not having the octomorphic shape due to the paving and the dimensioning of the insert. That is to say, any orifice resulting from paving with octomorph-shaped orifices followed by trimming to the desired shape of the insert is considered an octomorphic orifice.

[76] La forme octomorphe peut comprendre un centre de symétrie dans la partie centrale resserrée. La forme octomorphe peut présenter deux axes de symétries perpendiculaires l’un à l’autre.[76] The octomorphic shape may include a center of symmetry in the constricted central part. The octomorphic shape can have two axes of symmetry perpendicular to each other.

[77] On peut définir plusieurs paramètres afin de caractériser les couches 11, 12 et les orifices 111, 121 :[77] Several parameters can be defined in order to characterize the layers 11, 12 and the orifices 111, 121:

- ri le premier rayon de courbure,- laughed the first radius of curvature,

- r2 le deuxième rayon de courbure- r2 the second radius of curvature

- Lo la longueur totale de l’orifice 111 , 121 ,- Lo the total length of the orifice 111, 121,

- to la largeur totale de l’orifice 111, 121 ,- to the total width of the orifice 111, 121,

- tc la largeur centrale de la partie centrale de l’orifice 111 , 121 ,- tc the central width of the central part of the orifice 111, 121,

- h l’épaisseur de l’insert chirurgical 1 ,- h the thickness of the surgical insert 1,

- L la longueur du plus petit côté des première et deuxième couche 11, 12,- L the length of the smallest side of the first and second layers 11, 12,

- (p la porosité d’une couche étant le rapport entre la surface occupée par les orifices 111, 121 de la couche et la surface totale de la couche 11, 12,- (p the porosity of a layer being the ratio between the surface occupied by the orifices 111, 121 of the layer and the total surface of the layer 11, 12,

- e la distance minimale entre deux orifices 111 , 121 , et- e the minimum distance between two orifices 111, 121, and

- Fia force appliquée sur l’insert 1.- Fia force applied to insert 1.

[78] La figure 1 montre un schéma de vue de dessus d’un orifice 111, 121 de forme octomorphe. Ainsi, on comprend par longueur une dimension prise dans une direction s’étendant entre les deux lobes, la direction correspondant notamment à un des axes de symétries si présents. On entend par largeur une dimension perpendiculaire à la longueur. L’épaisseur de l’insert chirurgical est comprise comme une distance entre les deux faces extrêmes de l’insert dans le sens de la superposition des couches. Sans indication contraire, on entend la moyenne de l’épaisseur sur l’insert. La distance entre deux orifices est prise entre les centres de ces orifices.[78] Figure 1 shows a top view diagram of an orifice 111, 121 of octomorphic shape. Thus, by length we understand a dimension taken in a direction extending between the two lobes, the direction corresponding in particular to one of the axes of symmetry if present. By width we mean a dimension perpendicular to the length. The thickness of the surgical insert is understood as a distance between the two extreme faces of the insert in the direction of superposition of the layers. Unless otherwise indicated, we mean the average thickness on the insert. The distance between two orifices is taken between the centers of these orifices.

[79] La longueur totale, Lo, peut être comprise entre 200 pm et 50 mm. Dans certains cas (par exemple pour les planchers orbitaires), cette longueur est de préférence de[79] The total length, Lo , can be between 200 pm and 50 mm. In certain cases (for example for orbital floors), this length is preferably

200 pm à 2 mm. Dans d’autres cas (par exemple pour les plaques d’ostéosynthèse), cette longueur est de préférence de 10 à 50 mm.200 pm to 2 mm. In other cases (for example for osteosynthesis plates), this length is preferably 10 to 50 mm.

[80] Le ratio de la longueur totale, Lo, sur la largeur totale, to, peut être compris entre[80] The ratio of the total length, Lo , to the total width, to , can be between

1 ,8 et 2,2, de préférence entre 1 ,9 et 2,1 , de préférence entre 1 ,95 et 2,05, par exemple 2. [81] Le ratio entre le premier rayon de courbure, n, et le deuxième rayon de courbure, r2, peut être compris entre 1 ,3 et 1 ,7, de préférence entre 1 ,4 et 1 ,6, de préférence entre 1 ,45 et 1 ,55, par exemple 1 ,5.1.8 and 2.2, preferably between 1.9 and 2.1, preferably between 1.95 and 2.05, for example 2. [81] The ratio between the first radius of curvature, n, and the second radius of curvature, r2 , can be between 1.3 and 1.7, preferably between 1.4 and 1.6, preferably between 1.45 and 1.55, for example 1.5.

[82] Le ratio entre la largeur totale, to, et la largeur centrale, tc, peut être compris entre 1 ,3 et 1 ,7, de préférence entre 1 ,4 et 1 ,6, de préférence entre 1 ,45 et 1 ,55, par exemple 1 ,5.[82] The ratio between the total width, to , and the central width, tc , can be between 1.3 and 1.7, preferably between 1.4 and 1.6, preferably between 1.45 and 1.55, for example 1.5.

[83] La valeur préférée d'un paramètre dépend du cas étudié et est généralement fonction de la force maximale qui s’exercera sur l’insert 1 une fois en place et également de la forme générale de l’insert 1 qui va conditionner la répartition de la contrainte issue du chargement.[83] The preferred value of a parameter depends on the case studied and is generally a function of the maximum force which will be exerted on the insert 1 once in place and also on the general shape of the insert 1 which will condition the distribution of the stress resulting from loading.

[84] Les orifices 111 , 121 de forme octomorphe peuvent être agencés au niveau de la couche 11 , 12 selon un motif particulier. Le motif peut être localement partiel, c’est-à-dire que des orifices 111 , 121 de forme octomorphe manquent. Ce motif peut être choisi parmi un motif triangulaire, un motif carré, un motif hexagonal ou un motif hétérogène. Le motif peut encore être choisi de sorte que les orifices 111 , 121 de forme octomorphe dessinent les contours d’une forme géométrique, notamment régulière, comme un triangle, un rectangle, un carré, un pentagone, un hexagone, etc. Un motif triangulaire est un motif dans lequel le centre de chaque orifice 111 , 121 se trouve au niveau d’un sommet d’un triangle. Un motif carré est un motif dans lequel le centre de chaque orifice 111 , 121 se trouve au niveau d’un sommet d’un carré. Un motif hexagonal est un motif dans lequel le centre de chaque orifice 111 , 121 se trouve au niveau d’un sommet d’un hexagone. Un motif hétérogène est un motif dans lequel le centre de chaque orifice 111 , 121 est disposé aléatoirement. La répartition des orifices suivant un motif particulier ne présage pas de l’orientation angulaire de chacun des orifices autour de son centre. Ainsi, l’orientation peut être homogène (orientation angulaire identique pour tous les orifices), centrifuge (orientations angulaires différentes pour les orifices de sorte à ce que leurs longueurs soient colinéaires à une ligne reliant le centre de l’orifice au centre du motif) ou hétérogène (au moins deux orifices ayant des orientations angulaires différentes).[84] The orifices 111, 121 of octomorphic shape can be arranged at the level of the layer 11, 12 according to a particular pattern. The pattern can be locally partial, that is to say that orifices 111, 121 of octomorphic shape are missing. This pattern can be chosen from a triangular pattern, a square pattern, a hexagonal pattern or a heterogeneous pattern. The pattern can also be chosen so that the orifices 111, 121 of octomorphic shape draw the contours of a geometric shape, in particular regular, such as a triangle, a rectangle, a square, a pentagon, a hexagon, etc. A triangular pattern is a pattern in which the center of each orifice 111, 121 is at a vertex of a triangle. A square pattern is a pattern in which the center of each orifice 111, 121 is at a vertex of a square. A hexagonal pattern is a pattern in which the center of each orifice 111, 121 is at the level of a vertex of a hexagon. A heterogeneous pattern is a pattern in which the center of each orifice 111, 121 is arranged randomly. The distribution of the orifices following a particular pattern does not predict the angular orientation of each of the orifices around its center. Thus, the orientation can be homogeneous (identical angular orientation for all the orifices), centrifugal (different angular orientations for the orifices so that their lengths are collinear with a line connecting the center of the orifice to the center of the pattern) or heterogeneous (at least two orifices having different angular orientations).

[85] Un exemple de motif hétérogène peut être décrit à l’aide d’une courbe ou fonction de Bézier (voir figure 21) définie par un ensemble de points de contrôle dont le nombre est n et au moins égal à 2, Po, Pi, ..., Pn-i. La représentation paramétrique est la suivante :

Figure imgf000012_0001
où les B"-1 sont des polynômes de Bernstein :
Figure imgf000012_0002
Figure imgf000013_0001
[85] An example of a heterogeneous pattern can be described using a Bézier curve or function (see figure 21) defined by a set of control points whose number is n and at least equal to 2, Po , Pi, ..., Pn -i. The parametric representation is as follows:
Figure imgf000012_0001
where the B"-1 are Bernstein polynomials:
Figure imgf000012_0002
Figure imgf000013_0001

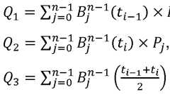
Dans un tel motif, le centre Q(t0), Q(ti), ... des cercles de rayon ri sont disposés sur la courbe de Bézier (voir figure 22). De préférence, entre deux extrema consécutifs de la courbe de Bézier, un seul orifice octomorphe est disposé.In such a pattern, the center Q(t0 ), Q(ti), ... circles of radius ri are arranged on the Bézier curve (see figure 22). Preferably, between two consecutive extrema of the Bézier curve, a single octomorphic orifice is placed.

[86] En outre, la distance dla plus courte mesurable entre les contours de deux orifices octomorphes est supérieure à 0, de préférence supérieure à 50 pm, encore de préférence supérieur à 100 pm, toujours de préférence supérieure à 200 pm. Ainsi, les orifices octomorphes sont déconnectés.[86] Furthermore, the shortest measurable distance dla between the contours of two octomorphic orifices is greater than 0, preferably greater than 50 pm, more preferably greater than 100 pm, always preferably greater than 200 pm. Thus, the octomorphic orifices are disconnected.

[87] De préférence, si nQ est le nombre total de centres Q(t0), Q(ti), ... de cercle de rayon et ti le coefficient paramétrique correspondant au ième centre Q(tj), alors pour i de 2 à nQ, on définit Qi, Q2 et Q3 de la façon suivante : Pj, soit le (i— 1 )ème centre ; , soit le ième centre ;

Figure imgf000013_0002
x pj,soit 'e P°'nt situé entre Ie (i-1)ème centre et le ième centre.[87] Preferably, if nQ is the total number of centers Q(t0 ), Q(ti), ... of circle of radius and ti the parametric coefficient corresponding to the ith center Q(tj), then for i from 2 to nQ , we define Qi, Q2 and Q3 as follows: Pj, i.e. the (i— 1)th center; , i.e. the ith center;
Figure imgf000013_0002
xp j,i.e. 'e P°'nt located between Ith (i-1)th center and the ith center.

On définit également un point de coordonnées (xc ; yc) comme suit :

Figure imgf000013_0003
We also define a point with coordinates (xc ; yc) as follows:
Figure imgf000013_0003

(xk ; yk) étant les coordonnées du point Qk ; alors, la disposition des centres des cercles de rayon est de préférence choisie de sorte que Rc y x (2 x ri + d) ; où y est un coefficient de sécurité choisi entre 4 et 8, de préférence 6 (voir figure 23).(xk ; yk) being the coordinates of point Qk; then, the arrangement of the centers of the circles of radius is preferably chosen so that Rc yx (2 x ri + d); where y is a safety coefficient chosen between 4 and 8, preferably 6 (see figure 23).

Cette condition assure que la condition de distance minimale entre deux orifices octomorphes est respectée.This condition ensures that the minimum distance condition between two octomorphic orifices is respected.

[88] Les figures 2, 3, 4 et 5 montrent respectivement un schéma de vue de dessus d’orifices de forme octomorphe agencés selon un motif triangulaire, carré, hexagonal et hétérogène. Dans le cas du motif triangulaire de la figure 2, du motif carré de la figure 4 et du motif hexagonal de la figure 4, l’orientation des orifices est homogène. La figure 25 montre un schéma de vue de dessus d’orifices de forme octomorphe agencés selon un motif rectangulaire partiel. On peut voir sur la figure 25 que les orifices de forme octomorphe s’insèrent dans les nœuds MR1 d’une maille rectangulaire MR mais que d’autres nœuds MR2 de cette maille ne sont pas occupés par un orifice de forme octomorphe. La figure 26 montre un schéma de vue de dessus d’orifices de forme octomorphe agencés partiellement le long des contours d’un hexagone. La figure 22 montre un schéma de vue de dessus d’orifices de forme octomorphe agencés selon un motif hétérogène décrit par une courbe de Bézier.[88] Figures 2, 3, 4 and 5 respectively show a top view diagram of octomorphic shaped orifices arranged in a triangular, square, hexagonal and heterogeneous pattern. In the case of the triangular pattern of Figure 2, the square pattern of Figure 4 and the hexagonal pattern of Figure 4, the orientation of the orifices is homogeneous. Figure 25 shows a top view diagram of octomorphic shaped orifices arranged in a partial rectangular pattern. We can see in Figure 25 that the shaped orifices octomorph insert into the nodes MR1 of a rectangular mesh MR but that other nodes MR2 of this mesh are not occupied by an orifice of octomorphic shape. Figure 26 shows a top view diagram of octomorphic shaped orifices arranged partially along the contours of a hexagon. Figure 22 shows a top view diagram of octomorphic shaped orifices arranged in a heterogeneous pattern described by a Bézier curve.

[89] La porosité des couches 11 , 12 peut être de 0,1 à 0,93, de préférence de 0,4 à 0,8.[89] The porosity of the layers 11, 12 can be from 0.1 to 0.93, preferably from 0.4 to 0.8.

[90] Les deux couches sont de préférence parallèles l’une à l’autre.[90] The two layers are preferably parallel to each other.

[91] La porosité d’une couche 11, 12 ainsi que la résistance mécanique d’une couche 11, 12 sont deux grandeurs qui évoluent en sens inverses. Lorsque la porosité est comprise dans les intervalles définis ci-dessus, la couche 11, 12 présente une contrainte limite élastique inférieure à 830 MPa qui est limite conventionnelle d'élasticité (Rp0.2) de l'implant en titane TA6V.[91] The porosity of a layer 11, 12 as well as the mechanical resistance of a layer 11, 12 are two quantities which evolve in opposite directions. When the porosity is within the intervals defined above, the layer 11, 12 has an elastic limit stress less than 830 MPa which is the conventional elastic limit (Rp0.2) of the TA6V titanium implant.

[92] Plus la porosité est grande est plus la structure sera allégée. Par ailleurs, plus la circulation des fluides sera améliorée. La résistance mécanique de l’insert 1 diminue avec l’augmentation de la porosité.[92] The greater the porosity, the lighter the structure will be. Furthermore, the circulation of fluids will be improved. The mechanical resistance of insert 1 decreases with increasing porosity.

[93] Les orifices 111 , 121 de forme octomorphe peuvent être agencés au niveau de la couche 11, 12 et dans au moins une zone de manière parallèle, c’est-à-dire que les 8 formant ces orifices 111, 121 sont tous orientés dans le même sens dans cette zone. Dans certains cas, tous les orifices 111 , 121 de la couche 11, 12 sont parallèles entre eux.[93] The orifices 111, 121 of octomorphic shape can be arranged at the level of the layer 11, 12 and in at least one zone in a parallel manner, that is to say that the 8 forming these orifices 111, 121 are all oriented in the same direction in this area. In certain cases, all the orifices 111, 121 of the layer 11, 12 are parallel to each other.

[94] L’insert chirurgical 1 peut en outre comprendre une patte de fixation 14 s’étendant à partir d’une des couches. La patte de fixation 14 peut présenter une fixation 141 de forme oblongue, notamment avec un orifice 142 également oblong reliée à la première et/ou deuxième couches 11 , 12 par une languette 143.[94] The surgical insert 1 may further comprise a fixing tab 14 extending from one of the layers. The fixing tab 14 may have a fixing 141 of oblong shape, in particular with an orifice 142 also oblong connected to the first and/or second layers 11, 12 by a tongue 143.

[95] L’ insert chirurgical 1 peut présenter des formes différentes, par exemple une forme carrée, une forme ronde ou une forme triangulaire et plus généralement, toute forme physiologiquement compatible avec la reconstruction d’une structure du corps humain.[95] The surgical insert 1 can have different shapes, for example a square shape, a round shape or a triangular shape and more generally, any shape physiologically compatible with the reconstruction of a structure of the human body.

[96] Les figures 6, 7 et 8 montrent schématiquement une vue de dessus d’un insert chirurgical 1 respectivement de forme carrée présentant des pattes de fixation au niveau d’un de ses côtés, de forme ronde et de forme triangulaire. L’insert 1 de forme triangulaire est montré avec deux zones de porosités différentes.[96] Figures 6, 7 and 8 schematically show a top view of a surgical insert 1 respectively of square shape having fixing lugs at one of its sides, of round shape and of triangular shape. The triangular-shaped insert 1 is shown with two zones of different porosities.

[97] L’ insert chirurgical 1 peut présenter une forme de section de cercle tronqué côté apex. Un tel insert chirurgical est avantageux pour la reconstruction du plancher de l’orbite. [98] L’ insert chirurgical 1 peut être composé d’un matériau choisi parmi un polymère, un métal, une céramique ou un composite ; ces matériaux étant de grade médical.[97] The surgical insert 1 may have the shape of a truncated circle section on the apex side. Such a surgical insert is advantageous for reconstruction of the floor of the orbit. [98] The surgical insert 1 may be composed of a material chosen from a polymer, a metal, a ceramic or a composite; these materials being medical grade.

[99] Lorsque l’insert 1 est composé d’un polymère, il peut notamment être composé de polyétheréthercétone, d’acide polylactique ou de leurs dérivés.[99] When the insert 1 is composed of a polymer, it may in particular be composed of polyetheretherketone, polylactic acid or their derivatives.

[100] Lorsque l’insert 1 est composé d’un métal, il peut notamment être composé de titane, d’un alliage de titane, d’acier inoxydable, d’un alliage de cobalt (tel que le cobalt chrome), ou de tantale.[100] When the insert 1 is composed of a metal, it may in particular be composed of titanium, a titanium alloy, stainless steel, a cobalt alloy (such as cobalt chromium), or of tantalum.

[101] Lorsque l’insert 1 est composé d’une céramique, cette céramique peut être un bioverre ou une biocéramique, notamment biocéramique phosphocalcique, par exemple hydroxyapatite, phosphate tricalcique (TCP) et leurs mélanges.[101] When the insert 1 is composed of a ceramic, this ceramic can be a bioglass or a bioceramic, in particular phosphocalcic bioceramic, for example hydroxyapatite, tricalcium phosphate (TCP) and their mixtures.

[102] Lorsque l’insert 1 est composé d’un composite, il peut notamment être composé du ciment osseux décrit plus en détails ci-dessous.[102] When the insert 1 is composed of a composite, it may in particular be composed of bone cement described in more detail below.

[103] L’ insert 1 peut encore être composé d’un ciment osseux, notamment celui décrit ci-après.[103] The insert 1 can also be composed of a bone cement, in particular that described below.

[104] De manière générale, l’insert chirurgical 1 selon l’invention peut être réalisé à partir d’un scanner patient. Par exemple, il peut être composé d’un matériau polymère, métallique ou biocéramique avant d’être recouvert par le ciment osseux décrit ci-dessous ou être constitué exclusivement du ciment osseux par prototypage rapide. L’insert 1 est ensuite lavé pour éliminer toutes traces résiduelles : il est lavé à l’éther puis à l’eau avant d’être mis à sécher dans l’étuve à 37° C durant 24 h. Si un principe actif veut être ajouté, l’insert 1 peut être mis en contact avec un médicament avant implantation pour sa bio- fonctionnalisation.[104] Generally speaking, the surgical insert 1 according to the invention can be produced from a patient scanner. For example, it can be composed of a polymer, metallic or bioceramic material before being covered by the bone cement described below or be composed exclusively of bone cement by rapid prototyping. Insert 1 is then washed to eliminate any residual traces: it is washed with ether then with water before being dried in the oven at 37° C for 24 hours. If an active ingredient wants to be added, insert 1 can be brought into contact with a drug before implantation for its biofunctionalization.

[105] Selon un mode de réalisation, le rapport Uh entre la longueur L du plus petit côté des première 11 et deuxième couches 12 et l’épaisseur h de l’insert chirurgical 1 est choisi supérieur à 20.[105] According to one embodiment, the ratio Uh between the length L of the smallest side of the first 11 and second layers 12 and the thickness h of the surgical insert 1 is chosen greater than 20.

[106] Aussi, l’épaisseur h de chaque couche peut vérifier la relation :[106] Also, the thickness h of each layer can verify the relationship:

[Math. 1]

Figure imgf000015_0001
[Math. 1]
Figure imgf000015_0001

[107] où I est la largeur maximale de l’insert chirurgical et L la longueur maximale de l’insert chirurgical.[107] where I is the maximum width of the surgical insert and L is the maximum length of the surgical insert.

[108] Dans la suite, nous décrirons les valeurs des paramètres dans le cas où le ration L/h est supérieur à 20.[108] In the following, we will describe the parameter values in the case where the L/h ration is greater than 20.

[109] Le premier rayon de courbure peut être supérieur ou égal au premier rayon de courbure minimal r^min de 345 pm et peut être inférieur ou égal au premier rayon de courbure maximal imax défini par Math. 2.[109] The first radius of curvature may be greater than or equal to the first minimum radius of curvature r^min of 345 pm and may be less than or equal to the first maximum radius of curvature imax defined by Math. 2.

[110] [Math. 2]

Figure imgf000016_0001
[110] [Math. 2]
Figure imgf000016_0001

[mi où S est la surface totale de l’insert 1 , <p est la porosité totale de l’insert 1 , et N le nombre de pores octomorphes d'une couche.[mi where S is the total surface area of insert 1, <p is the total porosity of insert 1, and N the number of octomorphic pores in a layer.

[112] Lorsque le premier rayon de courbure est compris dans les bornes définies ci- dessus, il permet une bonne ostéogenèse, c’est-à-dire qu’il permet la formation et le développement d’os au niveau duquel il est inséré. La borne inférieure a été déterminée par la mécanique des fluides, elle est en accord avec les orifices utilisés classiquement dans les biocéramiques. Pour déterminer la borne supérieure, une étude paramétrique sur 190 cas en faisant varier les dimensions géométriques et les charges appliquées à la cellule unité a été conduite.[112] When the first radius of curvature is included within the limits defined above, it allows good osteogenesis, that is to say it allows the formation and development of bone at the level at which it is inserted . The lower limit was determined by fluid mechanics, it is in agreement with the orifices classically used in bioceramics. To determine the upper bound, a parametric study on 190 cases by varying the geometric dimensions and the loads applied to the unit cell was carried out.

[113] La distance minimale entre deux orifices 111 , 121 peut être supérieure ou égale à 100 pm. La distance minimale entre deux orifices 111 , 121 peut être inférieure ou égale à 4 fois le premier rayon de courbure. Si deux orifices 111 , 121 ont une taille différente, alors la distance minimale entre deux orifices 111 , 121 peut être inférieure ou égale à 4 fois le premier rayon de courbure de l’orifice 111 , 121 de plus grande taille. La borne inférieure détermine la charge minimum que l’insert peut supporter. L’intervalle permet d’assurer la circulation des fluides.[113] The minimum distance between two orifices 111, 121 can be greater than or equal to 100 pm. The minimum distance between two orifices 111, 121 may be less than or equal to 4 times the first radius of curvature. If two orifices 111, 121 have a different size, then the minimum distance between two orifices 111, 121 can be less than or equal to 4 times the first radius of curvature of the orifice 111, 121 of larger size. The lower limit determines the minimum load that the insert can support. The interval ensures the circulation of fluids.

[114] L’ épaisseur h de l’insert 1 peut être supérieure ou égale à l’épaisseur minimale hmin 100 pm et peut être inférieure ou égale à l’épaisseur maximale hmax définie par Math. 3.[114] The thickness h of the insert 1 may be greater than or equal to the minimum thickness hm in 100 pm and may be less than or equal to the maximum thickness hmax defined by Math. 3.

[115] [Math. 3] r-i + e[115] [Math. 3] r-i + e

I hLmax < — — -I hL max < — — -

[116] La seule limite maximale réelle de l’épaisseur de l’insert 1 est la limite biologique, c’est-à-dire la taille de l’insert 1 doit être adaptée à la zone dans laquelle il est inséré et au trauma qu’il doit réparer. Cependant, il peut être avantageux que l’insert 1 reste dans les hypothèses de Kirch h off- Love. Auquel cas, l’épaisseur maximale doit respecter la relation Math. 3.[116] The only real maximum limit of the thickness of insert 1 is the biological limit, i.e. the size of insert 1 must be adapted to the area in which it is inserted and to the trauma which he must repair. However, it may be advantageous for insert 1 to remain within the Kirch h off-Love hypotheses. In which case, the maximum thickness must respect the Math relationship. 3.

[117] La charge admissible est alors définie par la relation Math. 4 dont les paramètres sont donnés dans le tableau 1 .[117] The admissible load is then defined by the relation Math. 4 whose parameters are given in table 1.

[118] [Math. 4]

Figure imgf000016_0002
[118] [Math. 4]
Figure imgf000016_0002

[119] La charge admissible maximale supportée par l’insert 1 peut être déterminée en utilisant les hypothèses de Kirchoff-Love ainsi que par les paramètres géométriques de l’insert 1 définis précédemment. [120] [Tableau 1]

Figure imgf000017_0001
[119] The maximum admissible load supported by insert 1 can be determined using the Kirchoff-Love hypotheses as well as by the geometric parameters of insert 1 defined previously. [120] [Table 1]
Figure imgf000017_0001

[121] La relation entre f(a) et a est présentée dans le tableau 2 suivant :[121] The relationship between f(a) and a is presented in the following table 2:

[122] [Tableau 2]

Figure imgf000017_0002
[122] [Table 2]
Figure imgf000017_0002

[123] Ces valeurs permettent le meilleur compromis entre tailles et répartitions des orifices 111, 121. Ces valeurs permettent d’avoir une meilleure circulation des fluides, une meilleure recolonisation osseuse et des propriétés mécaniques de soutien suffisantes.[123] These values allow the best compromise between sizes and distributions of the orifices 111, 121. These values allow for better circulation of fluids, better bone recolonization and sufficient mechanical support properties.

[124] En ce qui concerne les motifs non-uniforme d’orifices 111, 121 , l’homme du métier saura effectuer une vérification du comportement mécanique de l’insert 1 par une analyse numérique finale afin de valider la taille et la répartition des orifices 111 , 121 proposées.[124] Concerning the non-uniform patterns of orifices 111, 121, those skilled in the art will be able to carry out a verification of the mechanical behavior of the insert 1 by a final digital analysis in order to validate the size and distribution of the orifices 111, 121 proposed.

[125] La première couche 11 peut avoir une porosité supérieure à la porosité de la deuxième couche 12. Le ratio de la longueur maximale des orifices 111 de la première couche 11 Li et de la longueur maximale des premiers orifices 121 de la deuxième couche 12 L2 peut être supérieur à 1 ,4, de préférence il est supérieur à 1 ,4 et inférieure à 3,2.[125] The first layer 11 may have a porosity greater than the porosity of the second layer 12. The ratio of the maximum length of the orifices 111 of the first layer 11 Li and the maximum length of the first orifices 121 of the second layer 12 L2 can be greater than 1.4, preferably it is greater than 1.4 and less than 3.2.

[126] La première couche 11 a comme objectif d’être directement en contact avec la structure osseuse. Ainsi, de préférence, la première couche 11 est en un matériau biocompatible avec les ostéoblastes pour s’intégrer au tissu osseux sans risque de formation de tissu fibreux. La deuxième couche 12 a pour objectif de supporter de supporter les tissus ou les organes. Ainsi, de préférence, elle présente une surface lisse et peu poreuse afin d’éviter les infections.[126] The first layer 11 aims to be in direct contact with the bone structure. Thus, preferably, the first layer 11 is made of a material biocompatible with osteoblasts to integrate into the bone tissue without risk of formation of fibrous tissue. The second layer 12 aims to support the tissues or organs. Therefore, preferably, it has a smooth and not very porous surface in order to avoid infections.

[127] La deuxième couche 12 peut présenter un détrompeur.[127] The second layer 12 may have a key.

[128] La deuxième couche 12 peut présenter deux zones, une première zone 122 avec des orifices 1221 présentant une première longueur maximale L2 et une deuxième zone 123 avec des deuxièmes orifices 1231 présentant une deuxième longueur maximale. Le ratio entre la première longueur maximale l_3 et la deuxième longueur maximale l_2 peut être compris entre 1 ,6 et 2, de préférence entre 1 ,7 et 1 ,9, de préférence entre 1 ,75 et 1 ,85, par exemple 1 ,8.[128] The second layer 12 may have two zones, a first zone 122 with orifices 1221 having a first maximum length L2 and a second zone 123 with second orifices 1231 having a second maximum length. The ratio between the first maximum length l_3 and the second maximum length l_2 can be between 1.6 and 2, preferably between 1.7 and 1.9, preferably between 1.75 and 1.85, for example 1.8.

[129] Le ratio entre la longueur maximale des orifices 111 de la première couche Li et la première longueur maximale L2 peut être compris entre 1 ,4 et 1 ,8, de préférence entre 1 ,5 et 1 ,7, de préférence entre 1 ,55 et 1 ,65, par exemple 1 ,6.[129] The ratio between the maximum length of the orifices 111 of the first layer Li and the first maximum length L2 can be between 1.4 and 1.8, preferably between 1.5 and 1.7, preferably between 1.55 and 1.65, for example 1.6.

[130] Le ratio entre la longueur maximale des orifices 111 de la première couche Li et la deuxième longueur maximale l_3 peut être compris entre 2,8 et 3,2, de préférence entre 2,9 et 3,1 , de préférence entre 2,95 et 3,05, par exemple 3.[130] The ratio between the maximum length of the orifices 111 of the first layer Li and the second maximum length l_3 can be between 2.8 and 3.2, preferably between 2.9 and 3.1, preferably between 2.95 and 3.05, for example 3.

[131] La première zone 122 avec une plus faible porosité permet d’augmenter la stabilité de l’insert 1. Cette zone 122 plus dense peut aussi être utile pour le chirurgien lorsqu’il place l’insert 1 dans la zone endommagée. En effet, les orifices octomorphes 121 ayant une taille plus petite peut servir comme détrompeur pour savoir le sens de positionnement de l’insert 1.[131] The first zone 122 with lower porosity makes it possible to increase the stability of the insert 1. This denser zone 122 can also be useful for the surgeon when placing the insert 1 in the damaged zone. Indeed, the octomorphic orifices 121 having a smaller size can serve as a key to knowing the direction of positioning of the insert 1.

[132] Cette structure en bicouche permet aux fluides de circuler facilement au travers de l’insert 1 afin d’éviter toute stagnation et/ou risque d’infection.[132] This bilayer structure allows fluids to circulate easily through insert 1 in order to avoid any stagnation and/or risk of infection.

[133] La figure 9 montre les deux faces d’un exemple d’une telle structure en bicouche. Les figures 10a et 10b montrent respectivement une vue de dessus de la première couche 11 et une vue de dessus de la deuxième couche 12.[133] Figure 9 shows the two sides of an example of such a bilayer structure. Figures 10a and 10b respectively show a top view of the first layer 11 and a top view of the second layer 12.

[134] La porosité totale de l’insert 1 est calculée via la formule suivante :[134] The total porosity of insert 1 is calculated using the following formula:

[135] [Math. 5]

Figure imgf000018_0001
[135] [Math. 5]
Figure imgf000018_0001

[136] où (ptot est la porosité totale de l’insert chirurgical 1 , (pi est la porosité de la première couche 11 , <p2 est la porosité de la deuxième couche 12, Si est la surface totale de la première couche 11 et S2 est la surface totale de la deuxième couche 12. Pour une couche donnée, la porosité est le ratio entre la surface occupée par les orifices octomorphes et la surface totale de la couche.[136] where (ptot is the total porosity of the surgical insert 1, (pi is the porosity of the first layer 11, <p2 is the porosity of the second layer 12, Si is the total surface of the first layer 11 and S2 is the total surface area of the second layer 12. For a given layer, the porosity is the ratio between the surface area occupied by the octomorphic orifices and the total surface area of the layer.

[137] De préférence, l’insert 1 présente une porosité totale supérieure ou égale à 0,6 et inférieure ou égale à 0,93. De préférence, l’insert 1 présente un rapport entre la surface totale occupée par les orifices d’une couche et la surface totale de cette couche supérieur ou égal à 0,09 et inférieur ou égal à 0,92.[137] Preferably, the insert 1 has a total porosity greater than or equal to 0.6 and less than or equal to 0.93. Preferably, the insert 1 has a ratio between the total surface occupied by the orifices of a layer and the total surface of this layer greater than or equal to 0.09 and less than or equal to 0.92.

[138] Lorsque le motif des orifices est un motif hexagonal, le rapport enter la surface totale occupée par les orifices d’une couche et la surface totale de cette couche est supérieur ou égal à 0,111 et inférieur ou égal à 0,923.[138] When the pattern of the orifices is a hexagonal pattern, the ratio between the total surface occupied by the orifices of a layer and the total surface of this layer is greater than or equal to 0.111 and less than or equal to 0.923.

[139] Selon un autre mode de réalisation, le ratio L/h est inférieur à 4. Par la suite, les caractéristiques seront décrites dans le cas d’un ratio L/h inférieur à 4. Par ailleurs, les écoulements de fluide sont alors généralement complexes. [140] La deuxième couche 12 peut présenter deux zones, une première zone 122 avec des orifices 1221 présentant une première longueur maximale l_2 et une deuxième zone 123 avec des deuxièmes orifices 1231 présentant une deuxième longueur maximale. Le ratio entre la première longueur maximale l_3 et la deuxième longueur maximale l_2 peut être compris entre 1 ,6 et 2, de préférence entre 1 ,7 et 1 ,9, de préférence entre 1 ,75 et[139] According to another embodiment, the L/h ratio is less than 4. Subsequently, the characteristics will be described in the case of an L/h ratio less than 4. Furthermore, the fluid flows are then generally complex. [140] The second layer 12 may have two zones, a first zone 122 with orifices 1221 having a first maximum length l_2 and a second zone 123 with second orifices 1231 having a second maximum length. The ratio between the first maximum length l_3 and the second maximum length l_2 can be between 1.6 and 2, preferably between 1.7 and 1.9, preferably between 1.75 and

1 ,85, par exemple 1 ,8.1.85, for example 1.8.

[141] Dans le cas d’orifices octomorphes 111 répartis suivant un motif hétérogène décrit par une courbe de Bézier sur la première couche 11 , la disposition des orifices octomorphes 121 sur la deuxième couche 12 peut correspondre à une duplication homothétique de la disposition des orifices octomorphes 111 de la première couche 11 . C’est-à-dire que les orifices subissent une translation et une rotation (duplication) puis une mise à l’échelle homogène (homothétie). Cette duplication homothétique peut être décrite par les formules suivantes :

Figure imgf000019_0001
avec :[141] In the case of octomorphic orifices 111 distributed according to a heterogeneous pattern described by a Bézier curve on the first layer 11, the arrangement of the octomorphic orifices 121 on the second layer 12 can correspond to a homothetic duplication of the arrangement of the orifices octomorphs 111 of the first layer 11. That is to say that the orifices undergo a translation and a rotation (duplication) then a homogeneous scaling (homothety). This homothetic duplication can be described by the following formulas:
Figure imgf000019_0001
with :

Mi(x,y,z), les coordonnées des centres des orifices octomorphes de la première couche ; M2(x,y,z), les coordonnées des centres des orifices octomorphes de la deuxième couche ;Mi(x,y,z), the coordinates of the centers of the octomorphic orifices of the first layer; M2 (x,y,z), the coordinates of the centers of the octomorphic orifices of the second layer;

X, la valeur de la translation suivant le vecteur principal X ;X, the value of the translation following the main vector X;

Y, la valeur de la translation suivant le vecteur principal Y ;Y, the value of the translation following the main vector Y;

Z, la valeur de la translation suivant le vecteur principal Z ;Z, the value of the translation following the main vector Z;

0, l’angle de rotation suivant l’axe principal Z ; et SE, le coefficient de mise à l’échelle.0, the angle of rotation along the main axis Z; and SE, the scaling coefficient.

[142] Il peut y avoir un seul ensemble d’orifices 121 de la deuxième couche 12 ou plusieurs ensembles d’orifices 121 de la deuxième couche 12 se différenciant les uns des autres par l’angle de rotation 0 et/ou le coefficient de mise à l’échelle SE. Ainsi, à partir d’un orifice 111 de la première couche 11 , il peut y avoir 1 , 2, 3, 4 orifices 121 de la deuxième couche 12, ou plus.[142] There may be a single set of orifices 121 of the second layer 12 or several sets of orifices 121 of the second layer 12 differentiating from each other by the angle of rotation 0 and/or the coefficient of rotation. SE scaling. Thus, from an orifice 111 of the first layer 11, there can be 1, 2, 3, 4 orifices 121 of the second layer 12, or more.

[143] De préférence, la duplication homothétique induit une section de recouvrement minimal SR de 0,2 mm2 entre l’orifice 111 de la première couche 11 et l’orifice 121 de la deuxième couche 12 qui en résulte (voir figure 24). Toujours de préférence, le recouvrement vaut au maximum le quart de la surface de l’orifice 111 de la première couche 11.[143] Preferably, the homothetic duplication induces a minimum overlap section SR of 0.2 mm2 between the orifice 111 of the first layer 11 and the orifice 121 of the second layer 12 which results from it (see figure 24) . Still preferably, the covering is worth a maximum of a quarter of the surface of the orifice 111 of the first layer 11.

[144] Une pluralité de séparateurs 15 peut être disposée entre la première couche 11 et la deuxième couche 12. [145] Chaque séparateur 15 peut être sous la forme d’un pilier 15. La figure 11 montre un insert chirurgical en trois dimensions comprenant deux couches séparées l’une de l’autre par une pluralité de piliers de section octomorphe.[144] A plurality of separators 15 can be arranged between the first layer 11 and the second layer 12. [145] Each separator 15 can be in the form of a pillar 15. Figure 11 shows a three-dimensional surgical insert comprising two layers separated from each other by a plurality of pillars of octomorphic section.

[146] Le pilier 15 peut présenter un axe longitudinal. Cet axe longitudinal peut être droit (figures 12, 14 et 16) ou courbé (figure 17). Lorsque l’axe longitudinal est droit, il peut s’étendre perpendiculairement à partir du plan moyen formé par la première couche 11 ou par la deuxième couche 12. Il peut aussi s’entendre en formant un angle non droit avec ce plan moyen. Lorsque l’axe longitudinal est courbé, il suit la courbe d’une équation paramétrique entre la première couche 11 et la deuxième couche 12.[146] The pillar 15 may have a longitudinal axis. This longitudinal axis can be straight (figures 12, 14 and 16) or curved (figure 17). When the longitudinal axis is straight, it can extend perpendicularly from the average plane formed by the first layer 11 or by the second layer 12. It can also be understood as forming a non-right angle with this average plane. When the longitudinal axis is curved, it follows the curve of a parametric equation between the first layer 11 and the second layer 12.

[147] Chaque séparateur 15 parmi la pluralité de séparateurs 15 peut avoir une section transversale qui présente une forme octomorphe comme décrite précédemment. Ainsi, le pilier 15 peut être obtenu par translation de la forme octomorphe le long de l’axe longitudinal (figures 12, 16). Alternativement, le pilier 15 peut être obtenu par une combinaison de translation et de rotation de la forme octomorphe le long de l’axe longitudinal de sorte à conférer à la surface latérale du pilier 15 une forme hélicoïdale (figure 14).[147] Each separator 15 among the plurality of separators 15 may have a cross section which has an octomorphic shape as described above. Thus, pillar 15 can be obtained by translation of the octomorphic shape along the longitudinal axis (Figures 12, 16). Alternatively, the pillar 15 can be obtained by a combination of translation and rotation of the octomorphic shape along the longitudinal axis so as to give the lateral surface of the pillar 15 a helical shape (figure 14).

[148] Dans le cas d’un pilier 15 avec une surface latérale de forme hélicoïdale, de préférence, le nombre de rotations de la forme octomorphe entre la première couche 11 et la deuxième couche 12 peut être de1/4+k,1/2+k,3/4+k ou 1 -i-k, où k est un chiffre supérieur ou égal à 0 ; par exemple 0, 1 , 2, 3. Dans le cas où le nombre de rotations est de1/4+k ou3/4+k, cela signifie que l’orientation de la forme octomorphe au niveau de la deuxième couche 12 est à 90° (270°) de son orientation au niveau de la première couche 11 . Dans le cas où le nombre de rotations est de1/2+k ou 1 -i-k, cela signifie que l’orientation de la forme octomorphe au niveau de la deuxième couche 12 est à 180° (360°) de son orientation au niveau de la première couche 11.[148] In the case of a pillar 15 with a lateral surface of helical shape, preferably, the number of rotations of the octomorphic shape between the first layer 11 and the second layer 12 can be1 /4+k,1 /2+k,3 /4+k or 1 -ik, where k is a number greater than or equal to 0; for example 0, 1, 2, 3. In the case where the number of rotations is1 /4+k or3 /4+k, this means that the orientation of the octomorphic shape at the level of the second layer 12 is at 90° (270°) from its orientation at the level of the first layer 11. In the case where the number of rotations is1 /2+k or 1 -ik, this means that the orientation of the octomorphic shape at the level of the second layer 12 is 180° (360°) from its orientation at the level of the first layer 11.

[149] De manière plus générale, dans le cas où le pilier 15 est choisi comme étant un pilier 15 de forme hélicoïdale avec un angle de torsion p, ledit angle p peut être compris entre 0 et 180°, de préférence inférieur à 90°.[149] More generally, in the case where the pillar 15 is chosen as being a pillar 15 of helical shape with a twist angle p, said angle p can be between 0 and 180°, preferably less than 90° .

[150] L’équation paramétrique permettant de concevoir le pilier 15 de forme hélicoïdale est exprimée ci-dessous.[150] The parametric equation making it possible to design the helical-shaped pillar 15 is expressed below.

[151] [Math. 6][151] [Math. 6]

5,440 x(t) = r x cos(t),y(t) = r x sin(t),z(t) = — — — r x t

Figure imgf000020_0001
5.440 x(t) = rx cos(t),y(t) = rx sin(t),z(t) = — — — rxt
Figure imgf000020_0001

[152] où t et P sont exprimés en radians.[152] where t and P are expressed in radians.

[153] Les séparateurs 15 sont de préférence dimensionnés pour supporter la charge et notamment afin de reprendre un effort normal de compression et résister au flambage. [154] Afin d’étudier l’influence des différents paramètres des piliers 15 sur la charge admissible, on définit les paramètres suivants dont les valeurs extrêmes seront déterminées par une analyse paramétrique :[153] The separators 15 are preferably sized to support the load and in particular to take up a normal compressive force and resist buckling. [154] In order to study the influence of the different parameters of the pillars 15 on the admissible load, we define the following parameters whose extreme values will be determined by a parametric analysis:

- H la hauteur du pilier 15 mesurée comme étant la distance entre la première couche 11 et la deuxième couche 12,- H the height of the pillar 15 measured as being the distance between the first layer 11 and the second layer 12,

- P l’angle de torsion du pilier 15, cet angle est non nul lorsque le pilier 15 est hélicoïdal,- P the angle of twist of pillar 15, this angle is non-zero when pillar 15 is helical,

- Q l’angle d’inclinaison du pilier 15 pour un pilier 15 droit, et- Q the angle of inclination of pillar 15 for a straight pillar 15, and

- C la courbe d’une équation paramétrique pour un pilier 15 courbé.- C the curve of a parametric equation for a curved pillar 15.

[155] Chaque pilier 15 parmi la pluralité de piliers 15 peut présenter une hauteur supérieure ou égale à 3 mm. La hauteur est considérée perpendiculairement au plan moyen de la première ou deuxième couche. La valeur maximale Hmax de la hauteur du pilier 15 peut respecter la formule suivante :[155] Each pillar 15 among the plurality of pillars 15 may have a height greater than or equal to 3 mm. The height is considered perpendicular to the average plane of the first or second layer. The maximum value Hmax of the height of pillar 15 can respect the following formula:

[156] [Math. 7][156] [Math. 7]

Hmax = 637,040 x Fp-0493 x rfHmax = 637.040 x Fp-0 '493 x rf

[157] où Fp est la force totale que peut supporter le pilier 15 pour un pilier 15 droit, et est le premier rayon de courbure.[157] where Fp is the total force that pillar 15 can support for a straight pillar 15, and is the first radius of curvature.

[158] Le pilier hélicoïdal 15 peut supporter une charge admissible majorée par un facteur C2 exprimée par la formule Math. 8.[158] The helical pillar 15 can support an admissible load increased by a factor C2 expressed by the formula Math. 8.

[159] [Math. 8]

Figure imgf000021_0001
[159] [Math. 8]
Figure imgf000021_0001

[160] La figure 13 montre l’évolution du coefficient de pondération en fonction de l’angle de torsion 0. Ce coefficient de pondération peut être déterminé par analyse paramétrique. On constate ainsi qu’au-dessus de 90°, le coefficient de pondération C2 augmente fortement.[160] Figure 13 shows the evolution of the weighting coefficient as a function of the twist angle 0. This weighting coefficient can be determined by parametric analysis. We thus see that above 90°, the weighting coefficient C2 increases significantly.

[161] Dans le cas où le pilier 15 est choisi comme étant un pilier 15 d’axe droit avec un angle d’inclinaison Q, ledit angle Q peut être compris entre 0 et 85°, il est préférable de placer un pilier 15 en miroir avec un angle contraire afin que le support soit plus efficace. L’angle d’inclinaison est mesuré par rapport à la normale au plan moyen formé par la première ou deuxième couche.[161] In the case where the pillar 15 is chosen as being a pillar 15 of straight axis with an angle of inclination Q, said angle Q can be between 0 and 85°, it is preferable to place a pillar 15 in mirror with an opposite angle so that the support is more effective. The inclination angle is measured relative to the normal to the average plane formed by the first or second layer.

[162] Le pilier d’axe droit peut supporter une charge admissible majorée par un facteur C3 exprimée par la formule Math. 9.[162] The right axis pillar can support an admissible load increased by a factor C3 expressed by the formula Math. 9.

[163] [Math. 9][163] [Math. 9]

Fpm = C3Fp, C3 = O,OOOO6803 + 9,71102 - 0,03860 + 1,1782Fpm = C3 Fp , C3 = O.OOOO6803 + 9.71102 - 0.03860 + 1.1782

[164] La figure 15 montre l’évolution du coefficient de pondération C3 en fonction de l’angle d’inclinaison Q. Ce coefficient de pondération peut être déterminé par analyse paramétrique. On constate que plus l’angle d’inclinaison est élevé, plus la force pondérée augmente.[164] Figure 15 shows the evolution of the weighting coefficient C3 as a function of the angle of inclination Q. This weighting coefficient can be determined by analysis parametric. It can be seen that the higher the inclination angle, the more the factored force increases.

[165] Chaque pilier 15 peut comprendre des orifices traversants 151 au niveau de sa surface latérale (figure 18). Ces orifices traversants 151 permettent d’améliorer la circulation des fluides entre la première 11 et la deuxième couche 12. En effet, la présence des piliers 15 oblige les fluides à les contourner, les orifices 151 permettent ainsi à ce qu’une partie des fluides passent au travers des piliers 15, rendant l’écoulement moins complexe.[165] Each pillar 15 may include through holes 151 at its side surface (Figure 18). These through orifices 151 make it possible to improve the circulation of fluids between the first 11 and the second layer 12. In fact, the presence of the pillars 15 forces the fluids to bypass them, the orifices 151 thus allow a portion of the fluids to pass through the pillars 15, making the flow less complex.

[166] Le rapport entre la surface des orifices 151 transversaux et la surface latérale du pilier 15 peut être compris entre 0,25 et 0,3.[166] The ratio between the surface of the transverse orifices 151 and the lateral surface of the pillar 15 can be between 0.25 and 0.3.

[167] Comme illustrés sur la figure 19, les orifices 111, 121 de la première couche et/ou de la deuxième couche peuvent présenter une paroi latérale formée dans l’épaisseur de la couche correspondante, et dans lequel la première couche 11 et/ou la deuxième couche 12 comprend des orifices transversaux 112, 124 traversants de section de forme octomorphe telle que décrite précédemment et s’étendant entre la paroi latérale de deux orifices 111, 121 de la couche 11, 12 correspondante. Alternativement, les orifices transversaux 112, 124 peuvent présenter une section circulaire ou ovale. Ces orifices transversaux 112, 124, peuvent être entièrement dans l’épaisseur de la première couche 11 ou la deuxième couche 12 (/.e. les orifices transversaux 112, 124 forment des canaux) ou en surface de celle-ci (/.e. ces orifices transversaux 112, 124 forment des canaux à surface libre). Les deux types de canaux peuvent coexister dans un même insert 1.[167] As illustrated in Figure 19, the orifices 111, 121 of the first layer and/or the second layer may have a side wall formed in the thickness of the corresponding layer, and in which the first layer 11 and/or or the second layer 12 comprises transverse orifices 112, 124 with an octomorphic cross-section as described above and extending between the side wall of two orifices 111, 121 of the corresponding layer 11, 12. Alternatively, the transverse orifices 112, 124 may have a circular or oval section. These transverse orifices 112, 124 can be entirely in the thickness of the first layer 11 or the second layer 12 (/.e. the transverse orifices 112, 124 form channels) or on the surface thereof (/.e . these transverse orifices 112, 124 form channels with a free surface). The two types of channels can coexist in the same insert 1.

[168] Le nombre d’orifices transversaux 112, 124 peut être supérieur ou égal à 4 et inférieur ou égal à 8, par exemple 4, 5, 6, 7 et 8.[168] The number of transverse orifices 112, 124 may be greater than or equal to 4 and less than or equal to 8, for example 4, 5, 6, 7 and 8.

[169] Dans le cas où, comme dans l’insert 1 en trois dimensions, l’épaisseur de l’insert 1 est de l’ordre de grandeur de la plus petite longueur de l’insert 1 , il est possible d’ajouter un réseau d’orifice transversaux 112, 124 de forme octomorphe afin d’aider à la circulation des fluides. Ils sont disposés de manière à connecter les orifices 111 , 121 de la première couche 11 et de la deuxième couche 12 entre eux. Le nombre d'interconnexion N, souhaité est quant à lui situé autour de 6 à 8 interconnexions. Le nombre d’interconnexion est définit comme étant le nombre d’orifice transversaux 112, 124 s’étendant à partir d’un seul orifice 111, 121 octomorphe de la couche 11, 12 correspondante. Un nombre trop faible d'interconnexions peut entraîner un[169] In the case where, as in the insert 1 in three dimensions, the thickness of the insert 1 is of the order of magnitude of the smallest length of the insert 1, it is possible to add a network of transverse orifices 112, 124 of octomorphic shape in order to help the circulation of fluids. They are arranged so as to connect the orifices 111, 121 of the first layer 11 and the second layer 12 between them. The desired number of interconnections N is located around 6 to 8 interconnections. The number of interconnections is defined as being the number of transverse orifices 112, 124 extending from a single octomorphic orifice 111, 121 of the corresponding layer 11, 12. Too few interconnections can result in

« encombrement » créant une surpression dans les orifices 111, 121 de la première ou de la deuxième couche 11, 12 et un débit trop important dans les orifices transversaux 112, 124. Un nombre trop important d’orifice transversaux 112, 124 peut augmenter, quant à lui, le risque de multiplication de « canaux morts » en laissant au fluide la possibilité de trouver un trajet nettement préférentiel. [170] Quand les couches de l’insert comprennent des orifices transversaux 112, 124, la section de chaque orifice 111 , 121 de chaque couche 11 , 12 est de préférence supérieure ou égale à 0,7 mm2 et inférieure ou égale à 1 ,2 mm2.“clutter” creating excess pressure in the orifices 111, 121 of the first or second layer 11, 12 and too high a flow rate in the transverse orifices 112, 124. Too many transverse orifices 112, 124 can increase, for its part, the risk of multiplication of “dead channels” by leaving the fluid the possibility of finding a clearly preferential route. [170] When the layers of the insert comprise transverse orifices 112, 124, the section of each orifice 111, 121 of each layer 11, 12 is preferably greater than or equal to 0.7 mm2 and less than or equal to 1 .2 mm2 .

[171] La pluralité de piliers comprend de préférence des orifices transversaux au niveau de la surface latérale de l’insert.[171] The plurality of pillars preferably comprises transverse holes at the side surface of the insert.

[172] L’insert chirurgical peut en outre comprendre une troisième couche 13 comprenant des orifices 131 de forme octomorphe telle que décrite précédemment et séparée de la première couche 11 ou de la deuxième couche 12 par une pluralité de séparateurs 15 telle que décrite précédemment (figure 20).[172] The surgical insert may further comprise a third layer 13 comprising orifices 131 of octomorphic shape as described above and separated from the first layer 11 or the second layer 12 by a plurality of separators 15 as described previously ( figure 20).

[173] Le nombre de couches n’est en réalité pas limité et l’insert chirurgical peut comprendre 4, 5, 6, 7, 8, 9, voire 10 couches et même plus si besoin.[173] The number of layers is in reality not limited and the surgical insert can include 4, 5, 6, 7, 8, 9, even 10 layers and even more if necessary.

[174] L’ insert chirurgical peut également comprendre un renfort mécanique 16 (voir figure 27). Le renfort mécanique 16 reprend les efforts de flexion, de torsion et de compression pour que les couches 11 , 12 de l’insert 1 ne subissent pas de détérioration. En outre, le renfort mécanique 16 ne doit pas entraver la fixation de l’insert 1.[174] The surgical insert can also include a mechanical reinforcement 16 (see Figure 27). The mechanical reinforcement 16 takes up the bending, torsion and compression forces so that the layers 11, 12 of the insert 1 do not suffer deterioration. In addition, the mechanical reinforcement 16 must not hinder the fixing of the insert 1.

[175] Le renfort mécanique 16 peut être continu ou discontinu. Dans ce dernier cas, le renfort mécanique 16 est composé d’une pluralité d’unités de renfort.[175] The mechanical reinforcement 16 can be continuous or discontinuous. In the latter case, the mechanical reinforcement 16 is composed of a plurality of reinforcement units.

[176] De préférence, le renfort mécanique 16 ou chacune des unités de renfort est une surépaisseur de l’insert chirurgical 1 , notamment sur l’une des couches 11 , 12 de l’insert 1. Cette surépaisseur est avantageusement d’au moins 1 mm. En outre, le renfort mécanique 16 ou chacune des unités de renfort sont exemptes d’orifices octomorphes.[176] Preferably, the mechanical reinforcement 16 or each of the reinforcement units is an extra thickness of the surgical insert 1, in particular on one of the layers 11, 12 of the insert 1. This extra thickness is advantageously at least 1mm. In addition, the mechanical reinforcement 16 or each of the reinforcement units are free of octomorphic orifices.

[177] Dans le cas où un orifice 161 destiné au passage de vis de fixation (notamment rond ou oblong) est prévu au travers du renfort mécanique 16 ou d’une unité de renfort, une bordure 162 d’au moins 1 mm d’épaisseur est de préférence prévue autour de cet orifice 161.[177] In the case where an orifice 161 intended for the passage of fixing screws (in particular round or oblong) is provided through the mechanical reinforcement 16 or a reinforcement unit, a border 162 of at least 1 mm in diameter thickness is preferably provided around this orifice 161.

[178] Un tel renfort mécanique 16 est avantageux lorsque, l’insert s’insérant dans une boite limite BB (en anglais bounding box) de dimensions a, b, c dont c est la plus petite dimension, l’une au moins des conditions suivantes est remplie :[178] Such a mechanical reinforcement 16 is advantageous when the insert fits into a bounding box BB of dimensions a, b, c of which c is the smallest dimension, at least one of the following conditions is met:

- > 10 OU - > 10. c c- > 10 OR - > 10. c c

[179] Une boite limite BB pour un ensemble de points en trois dimensions est définie comme la boite parallélépipédique ayant le plus petit volume et pouvant contenir l’ensemble de points (voir figure 27).[179] A BB limit box for a set of points in three dimensions is defined as the parallelepiped box having the smallest volume and capable of containing the set of points (see figure 27).

[180] L’ insert chirurgical 1 peut être utilisé comme support afin d’ajouter au moins un parmi des agents particuliers et des principes actifs afin d’éviter le risque infectieux. Ainsi, les orifices octomorphes 111 , 121 peuvent contenir au moins un parmi des agents particuliers et des principes actifs. [181] Parmi les agents particuliers, peuvent être cités : les bactériophages et les lysines de phage. Les bactériophages ont la capacité de cibler les bactéries intégrées dans un biofilm en surface de l’insert chirurgical. Les lysines de phage sont des enzymes hydrolytiques.[180] The surgical insert 1 can be used as a support in order to add at least one of particular agents and active ingredients in order to avoid the risk of infection. Thus, the octomorphic orifices 111, 121 can contain at least one of particular agents and active ingredients. [181] Among the particular agents, the following can be cited: bacteriophages and phage lysines. Bacteriophages have the ability to target bacteria integrated into a biofilm on the surface of the surgical insert. Phage lysines are hydrolytic enzymes.

[182] Les principes actifs peuvent être sous forme liquide, hydrogel, cimentaire, pulvérulente ou encore microbilles. Ces formes permettent toutes une libération prolongée des principes actifs inhibant l’adhésion bactérienne, la formation de biofilm et la prolifération bactérienne.[182] The active ingredients can be in liquid, hydrogel, cement, powder or even microbead form. These forms all allow prolonged release of active ingredients inhibiting bacterial adhesion, biofilm formation and bacterial proliferation.

[183] Parmi les principes actifs, peuvent être cités : les anti-infectieux, les anti- oncotiques et les activateurs de l’adhésion et de la cicatrisation osseuse.[183] Among the active ingredients, the following can be cited: anti-infectives, anti-oncotics and activators of bone adhesion and healing.

[184] Parmi les anti-infectieux, peuvent être cités : les antibiotiques et les antifongiques.[184] Among the anti-infectives, the following can be cited: antibiotics and antifungals.

[185] Parmi les antibiotiques, peuvent être cités : la gentamicine, la rifampicine (e.g. Rifadine®), la ceftriaxone, les quinolones tels que les fluoroquinolones (e.g.[185] Among the antibiotics, the following can be cited: gentamicin, rifampicin (e.g. Rifadine®), ceftriaxone, quinolones such as fluoroquinolones (e.g.

Ciprofloxacine® et Moxifloxacine®), l’amoxicilline, les tétracyclines (e.g. Doxycycline® et Minocycline®), les mélanges de triméthoprime et de sulfaméthoxazole (e.g. Bactrim® et Eusaprim®), la clindamycine, le linézolide (e.g. Zyvoxyd®), l’acide fusidique, la chlorhexidine et la sulfadiazine argentique. L’utilisation d’insert chirurgicaux imprégnés d’antibiotiques permet de libérer localement, e.g. au niveau du site à risque de colonisation, une concentration élevée d’agents antibactériens. Des combinaisons d’antibiotiques peuvent être avantageusement utilisées, telles que : rifampicine/tetracycline (notamment Minocycline®) et chlorhexidine/sulfadiazine argentique.Ciprofloxacin® and Moxifloxacin®), amoxicillin, tetracyclines (e.g. Doxycycline® and Minocycline®), mixtures of trimethoprim and sulfamethoxazole (e.g. Bactrim® and Eusaprim®), clindamycin, linezolid (e.g. Zyvoxyd®), fusidic acid, chlorhexidine and silver sulfadiazine. The use of surgical inserts impregnated with antibiotics makes it possible to release locally, e.g. at the site at risk of colonization, a high concentration of antibacterial agents. Combinations of antibiotics can be advantageously used, such as: rifampicin/tetracycline (notably Minocycline®) and chlorhexidine/silver sulfadiazine.

[186] Parmi les antifongiques, peuvent être cités : la terbinafine, le kétoconazole et l’amphotéricine B.[186] Among the antifungals, the following can be cited: terbinafine, ketoconazole and amphotericin B.

[187] Parmi les anti-oncotiques, peuvent être cités principalement les anti-oncotiques anti-ostéosarcomes. En effet, l’ostéosarcome est la plus fréquente des tumeurs malignes prenant naissance dans l’os. Des exemples de tels anti-oncotiques sont : le méthotrexate, la doxorubicine, le cyclophosphamide, le cisplatine, l’ifosfamide et l’étoposide.[187] Among the anti-oncotics, we can mainly cite anti-osteosarcoma anti-oncotics. Indeed, osteosarcoma is the most common malignant tumor originating in the bone. Examples of such anti-oncotics are: methotrexate, doxorubicin, cyclophosphamide, cisplatin, ifosfamide and etoposide.

[188] Parmi les activateurs de l’adhésion et de la cicatrisation osseuse, peuvent être cités les facteurs de croissance et le collagène, mais également les cellules souches mésenchymateuses.[188] Among the activators of bone adhesion and healing, we can cite growth factors and collagen, but also mesenchymal stem cells.

[189] D’autres matériels biologiques peuvent également être ajoutés à l’insert chirurgical.[189] Other biological materials can also be added to the surgical insert.

[190] La présente invention porte selon un deuxième aspect sur un ciment osseux comprenant :[190] The present invention relates, according to a second aspect, to a bone cement comprising:

- une phase solide pulvérulente comprenant des polysaccharides naturels ou dérivés de composés naturels et une charge céramique, - un acrylate en phase liquide, et- a powdery solid phase comprising natural polysaccharides or derived from natural compounds and a ceramic filler, - an acrylate in liquid phase, and

- un polymérisant.- a polymerizer.

[191] Il peut comprendre en outre au moins l’un parmi :[191] It may also include at least one of:

- un radio-opacifiant, et- a radio-opacifier, and

- un agent limitant le gonflement.- an agent limiting swelling.

[192] Le polysaccharide naturel ou dérivé de composés naturels peut être choisi parmi un dérivé de la cellulose (par exemple l’acétate de cellulose) et un amidon (par exemple l’amidon de blé, l’amidon de pomme de terre, l’amidon de maïs, et l’amidon de pois), ainsi que leurs mélanges. De préférence, le polysaccharide naturel ou dérivé de composés naturels peut être un mélange de d’acétate de cellulose et d’amidon, notamment l’amidon de de pomme de terre, de pois ou de maïs. L’amidon de pomme de terre a en outre pour avantage d’être facilement métabolisé par le corps humain ou animal.[192] The natural polysaccharide or derivative of natural compounds may be chosen from a cellulose derivative (for example cellulose acetate) and a starch (for example wheat starch, potato starch, corn starch, and pea starch), as well as mixtures thereof. Preferably, the natural polysaccharide or derived from natural compounds may be a mixture of cellulose acetate and starch, in particular potato, pea or corn starch. Potato starch also has the advantage of being easily metabolized by the human or animal body.

[193] La phase solide pulvérulente peut en outre comprendre de l’alpha amylase, tout particulièrement quand elle comprend un amidon autre que l’amidon de pomme de terre.[193] The powdery solid phase may also comprise alpha amylase, particularly when it comprises a starch other than potato starch.

[194] L’ acétate de cellulose est un dérivé de la cellulose. Cette dernière est un glucide constitué d’une chaîne linéaire de molécules de D-glucose. C’est un biopolymère qui compose la paroi des cellules végétales et qui représente 35 à 50 % de la biomasse végétale. L’acétate de cellulose diffère ainsi de la cellulose par le fait que des groupements hydroxy de la molécule de D-glucose sont remplacés par des groupements acétate.[194] Cellulose acetate is a derivative of cellulose. The latter is a carbohydrate made up of a linear chain of D-glucose molecules. It is a biopolymer which makes up the wall of plant cells and which represents 35 to 50% of plant biomass. Cellulose acetate thus differs from cellulose in that hydroxy groups of the D-glucose molecule are replaced by acetate groups.

[195] La proportion massique d’acétate de cellulose par rapport à la masse totale du substitut osseux peut être comprise entre 6 % et 24 %, de préférence entre 8 % et 20 %, toujours de préférence entre 10 % et 17 %, par exemple environ 15 %.[195] The mass proportion of cellulose acetate relative to the total mass of the bone substitute can be between 6% and 24%, preferably between 8% and 20%, always preferably between 10% and 17%, for example around 15%.

[196] L’ amidon est une molécule de réserve des végétaux supérieurs, c’est-à-dire l’ensemble des végétaux excluant les algues et les mousses. L’amidon se retrouve principalement dans les graines, par exemple les graines de céréales comme le maïs, le blé et le riz. L’amidon peut également se retrouver dans les racines, les tubercules (par exemple le tubercule de pomme de terre où il est communément dénommé fécule) et dans les fruits. L’amidon est un glucide complexe composé d’unités de D-glucose. Plus particulièrement, l’amidon est un mélange de deux homopolymères composés d’unités de D-glucose, d’amylose et d’amylopectine, le faisant appartenir à la famille des polysaccharides, plus particulièrement des polysaccharides naturels, c’est-à-dire que l’on retrouve disponible directement dans la nature.[196] Starch is a reserve molecule of higher plants, that is to say all plants excluding algae and moss. Starch is mainly found in seeds, for example the seeds of cereals such as corn, wheat and rice. Starch can also be found in roots, tubers (for example the potato tuber where it is commonly called starch) and in fruits. Starch is a complex carbohydrate made up of D-glucose units. More particularly, starch is a mixture of two homopolymers composed of units of D-glucose, amylose and amylopectin, making it belong to the family of polysaccharides, more particularly natural polysaccharides, i.e. say that we find available directly in nature.

[197] La proportion massique d’amidon, notamment de pomme de terre, de pois ou de maïs, par rapport à la masse totale du substitut osseux peut être comprise entre 5 % et 30 %, de préférence entre 5 % et 20 %, toujours de préférence entre 5 % et 10 %, par exemple environ 7 %. [198] La charge céramique peut être choisie parmi l’alumine, le sulfate de calcium hémihydraté, l’hydroxyapatite, le phosphate tricalcique, le bioverre et leurs mélanges. L’utilisation de la charge céramique est envisagée pour des raisons économiques mais aussi pour les propriétés que cette charge céramique peut apporter au ciment osseux, notamment des propriétés mécaniques de résistance à la compression et des propriétés biologiques afin d’améliorer la bioactivité et la repousse osseuse.[197] The mass proportion of starch, in particular potato, pea or corn, relative to the total mass of the bone substitute can be between 5% and 30%, preferably between 5% and 20%, always preferably between 5% and 10%, for example around 7%. [198] The ceramic filler can be chosen from alumina, calcium sulfate hemihydrate, hydroxyapatite, tricalcium phosphate, bioglass and their mixtures. The use of ceramic filler is considered for economic reasons but also for the properties that this ceramic filler can provide to bone cement, in particular mechanical properties of resistance to compression and biological properties in order to improve bioactivity and regrowth. bone.

[199] La proportion massique de la charge céramique peut être comprise entre 18 % et 45 % par rapport à la masse totale du substitut osseux.[199] The mass proportion of the ceramic filler can be between 18% and 45% relative to the total mass of the bone substitute.

[200] L’acrylate peut être l’hydroxyéthylméthacrylate (HEMA), le méthylméthacrylate (MMA) ou un de leurs mélanges.[200] The acrylate may be hydroxyethylmethacrylate (HEMA), methylmethacrylate (MMA) or a mixture thereof.

[201] L’ HEMA est un composé organique liquide incolore qui a la propriété de se polymériser rapidement. C’est un monomère qui est utilisé dans la fabrication de nombreux polymères, comme par exemple le polyhydroxyéthylméthacrylate (pHEMA). Le pHEMA est un polymère hydrophobe présentant des propriétés d’hydrogel. Celui-ci présente la capacité de se gonfler en présence d’eau due à la partie hydrophile de l’HEMA sans conduire à la dissolution du réseau polymère. Dans la littérature, des cas d’hydrogels dont la masse est multipliée par mille par absorption d’eau sont rapportés.[201] HEMA is a colorless liquid organic compound which has the property of polymerizing quickly. It is a monomer that is used in the manufacture of many polymers, such as polyhydroxyethylmethacrylate (pHEMA). pHEMA is a hydrophobic polymer with hydrogel properties. This has the ability to swell in the presence of water due to the hydrophilic part of the HEMA without leading to the dissolution of the polymer network. In the literature, cases of hydrogels whose mass is multiplied by a thousand by water absorption are reported.

[202] La proportion massique d’acrylate par rapport à la masse totale du substitut osseux peut être comprise entre 30 % et 50 %, de préférence entre 35 % et 45 %, de préférence entre 37,5 % et 42,5 %, par exemple 40%.[202] The mass proportion of acrylate relative to the total mass of the bone substitute can be between 30% and 50%, preferably between 35% and 45%, preferably between 37.5% and 42.5%, for example 40%.

[203] Le polymérisant est un réactif permettant d’amorcer la polymérisation des monomères entre eux dans le milieu réactionnel. Le polymérisant peut être un polymérisant radicalaire. Un polymérisant radicalaire est un composé capable sous certaines conditions de générer des radicaux libres qui permettent d’initier la polymérisation des monomères d’acrylate afin de former un polyacrylate tel que le polyhydroxyéthylméthacrylate, le polyméthylméthacrylate ou un polymère obtenu à partir d’HEMA et de MMA.[203] The polymerizer is a reagent making it possible to initiate the polymerization of the monomers together in the reaction medium. The polymerizer may be a radical polymerizer. A radical polymerizer is a compound capable under certain conditions of generating free radicals which make it possible to initiate the polymerization of acrylate monomers in order to form a polyacrylate such as polyhydroxyethylmethacrylate, polymethylmethacrylate or a polymer obtained from HEMA and MMA.

[204] Ce polymérisant radicalaire peut être un amorceur chimique ou un amorceur photochimique.[204] This radical polymerizer can be a chemical initiator or a photochemical initiator.

[205] Un amorceur thermique est un composé générant des radicaux libres par décomposition thermique. Un exemple d’amorceur chimique est le peroxyde de benzoyle (BPO). Auquel cas, un catalyseur peut être utilisé, par exemple le diméthyl-p-toluidine (DMT).[205] A thermal initiator is a compound generating free radicals by thermal decomposition. An example of a chemical initiator is benzoyl peroxide (BPO). In which case, a catalyst can be used, for example dimethyl-p-toluidine (DMT).

[206] Un amorceur photochimique est un composé générant des radicaux libres sous l’effet de rayonnements émis par une source de rayonnements. Lorsqu’ils sont exposés à des rayonnements, ils passent à un état excité et libèrent des radicaux libres. La photopolymérisation est particulièrement adaptée pour la mise en forme du ciment par impression 3D. Les rayonnements peuvent notamment être des rayonnements ultraviolets. Un exemple d’amorceur photochimique est le système riboflavine/triéthanolamine.[206] A photochemical initiator is a compound generating free radicals under the effect of radiation emitted by a radiation source. When exposed to radiation, they go into an excited state and release free radicals. Photopolymerization is particularly suitable for shaping cement by 3D printing. The radiation may in particular be ultraviolet radiation. An example of a photochemical initiator is the riboflavin/triethanolamine system.

[207] Un radio-opacifiant est un composé qui a comme fonction d’augmenter la radio- opacité d’un matériau. La radio-opacité se définit comme l’opacité aux rayons X et aux ondes radiofréquences, c’est-à-dire par l’incapacité relative de ces rayonnements de passer au travers de ce matériau. Les radio-opacifiants sont principalement utilisés dans le domaine médical, car ils peuvent être utilisés par exemple comme agent de contraste pour la radiographie. Les dispositifs médicaux, tels que les implants, en contiennent souvent pour améliorer la visualisation lors de l’implantation des dispositifs provisoires tels que les cathéters ou la disposition des implants permanents. Les implants métalliques ont en général une radio-opacité inhérente tandis que les implants à base de polymère nécessitent l’ajout d’un radio-opacifiant pour augmenter leur contraste.[207] A radiopacifier is a compound whose function is to increase the radiopacity of a material. Radiopacity is defined as opacity to X-rays and radiofrequency waves, that is to say by the relative inability of this radiation to pass through this material. Radiopacifiers are mainly used in the medical field, because they can be used, for example, as a contrast agent for x-rays. Medical devices, such as implants, often contain them to improve visualization during the implantation of temporary devices such as catheters or the placement of permanent implants. Metallic implants generally have an inherent radiopacity while polymer-based implants require the addition of a radiopacifier to increase their contrast.

[208] Le radio-opacifiant peut être choisi parmi la zircone (ZrO2), le sulfate de baryum (BaSÛ4) et leurs mélanges.[208] The radiopacifier can be chosen from zirconia (ZrO2 ), barium sulfate (BaSÛ4) and their mixtures.

[209] Le ciment osseux étant en contact constant avec les fluides du corps humain, il peut être nécessaire d’ajouter un agent limitant le gonflement du pHEMA. En effet, si le gonflement du pHEMA devient trop important, le ciment osseux peut exercer une contrainte sur la zone dans laquelle il est implanté et occasionner des lésions ou des douleurs. Cet agent limitant le gonflement peut être de l’eau ou une solution aqueuse comprenant un médicament.[209] Since bone cement is in constant contact with the fluids of the human body, it may be necessary to add a swelling-limiting agent to the pHEMA. Indeed, if the swelling of the pHEMA becomes too significant, the bone cement can exert stress on the area in which it is implanted and cause lesions or pain. This swelling-limiting agent may be water or an aqueous solution comprising a drug.

[210] Le ciment osseux peut en outre comprendre un activateur et/ou un retardateur de prise.[210] The bone cement may further comprise an activator and/or a setting retarder.

[211] Un activateur de prise et un retardateur de prise sont des adjuvants utilisés pour accélérer ou retarder la prise du ciment osseux. Ils permettant ainsi respectivement de diminuer ou d’augmenter le temps pendant lequel le ciment peut être modelé. En fonction de l’utilisation qui sera faite du ciment osseux, il peut être parfois nécessaire d’augmenter le temps de prise de celui-ci pour donner plus de temps au praticien de le modeler et lui donner la forme complexe souhaitée tandis que dans d’autres utilisations, il peut être nécessaire de le diminuer. Ainsi, par exemple, si la pathologie clinique est simple, une prise rapide permet de réduire la durée per opératoire alors qu’au contraire, pour des gestes plus complexes, le temps de prise peut être augmenté. Dans un autre contexte, si le ciment est utilisé par impression 3D, le temps de prise doit être suffisamment long pour que la machine puisse imprimer la pièce 3D.[211] A setting activator and a setting retarder are adjuvants used to accelerate or delay the setting of bone cement. They thus make it possible to respectively reduce or increase the time during which the cement can be modeled. Depending on the use that will be made of the bone cement, it may sometimes be necessary to increase its setting time to give the practitioner more time to model it and give it the desired complex shape while in other uses, it may be necessary to reduce it. So, for example, if the clinical pathology is simple, rapid setting makes it possible to reduce the intraoperative duration while, on the contrary, for more complex procedures, the setting time can be increased. In another context, if the cement is used by 3D printing, the setting time must be long enough for the machine to print the 3D part.

[212] Un exemple d’activateur de prise est l’hydroquinone. Un exemple de retardateur de prise est la vitamine C. Par ailleurs, la vitamine C peut également agir en tant qu’activateur de prise en fonction de la quantité du produit ajouté. Plus particulièrement, lorsque la concentration en vitamine C est basse, elle a plutôt un effet activateur. Lorsque la concentration en vitamine C est élevée, elle a plutôt un effet retardateur.[212] An example of a setting enhancer is hydroquinone. An example of a setting retarder is vitamin C. Furthermore, vitamin C can also act as a setting activator depending on the quantity of the product added. More particularly, when the concentration of vitamin C is low, it has more of an activating effect. When the concentration of vitamin C is high, it has more of a delaying effect.

[213] Le substitut osseux présente de préférence un module d’Young compris entre 1 MPa et 32 MPa après 7 jours d’immersion dans du tampon phosphate salin, de préférence supérieur à 5 MPa.[213] The bone substitute preferably has a Young's modulus of between 1 MPa and 32 MPa after 7 days of immersion in phosphate-buffered saline, preferably greater than 5 MPa.

[214] Le substitut osseux présente de préférence un module de cisaillement compris entre 100 Pa.s et 150000 Pa.s de préférence compris entre 2000 Pa.s et 20000 Pa.s.[214] The bone substitute preferably has a shear modulus of between 100 Pa.s and 150,000 Pa.s, preferably between 2000 Pa.s and 20,000 Pa.s.

ExemplesExamples

[215] Exemple 1 : Influence des quantités des composants de la phase solide sur les propriétés du ciment.[215] Example 1: Influence of the quantities of solid phase components on the properties of cement.

[216] Dans cet exemple, le module d’Young, le module de cisaillement complexe (G*) et le gonflement vont être déterminés en fonction de la proportion des différents composants de la phase solide, la charge céramique, d’amidon et d’acétate de cellulose.[216] In this example, the Young's modulus, the complex shear modulus (G*) and the swelling will be determined according to the proportion of the different components of the solid phase, the ceramic filler, starch and Cellulose acetate.

[217] La proportion massique de l’HEMA a été fixée à 40 % en masse et la proportion massique de charge céramique, d’acétate de cellulose et d’amidon par rapport à la masse totale du ciment osseux varient selon les intervalles suivants :[217] The mass proportion of HEMA was set at 40% by mass and the mass proportion of ceramic filler, cellulose acetate and starch relative to the total mass of bone cement vary according to the following intervals:

- de 18 % à 45 % en masse de charge céramique,- from 18% to 45% by mass of ceramic filler,

- de 6 à 30 % en masse d’amidon, et- from 6 to 30% by mass of starch, and

- de 6 à 24 % en masse d’acétate de cellulose.- from 6 to 24% by mass of cellulose acetate.

[218] Préparation du ciment :[218] Preparation of cement:

[219] Afin de préparer le ciment, les phases liquide et solide sont initialement séparées. Elles sont ensuite mises en contact et mélangées pour obtenir une pâte homogène. La pâte est ensuite mise en forme de différentes manières en fonction de la forme du ciment souhaitée, par exemple par moulage, coulage ou encore par impression 3D. La mise en contact de la poudre avec la phase liquide entraîne la polymérisation du HEMA. Cette réaction de polymérisation est une réaction exothermique. Une fois le ciment durci, il peut être par exemple retiré du moule si la mise en forme a été effectuée par coulage.[219] In order to prepare cement, the liquid and solid phases are initially separated. They are then brought into contact and mixed to obtain a homogeneous paste. The paste is then shaped in different ways depending on the desired shape of the cement, for example by molding, casting or even 3D printing. Bringing the powder into contact with the liquid phase causes the HEMA to polymerize. This polymerization reaction is an exothermic reaction. Once the cement has hardened, it can for example be removed from the mold if the shaping was carried out by casting.

[220] Afin d’étudier les variations de propriétés du ciment osseux lorsque la proportion massique de charge céramique, d’acétate de cellulose et d’amidon varient, on définit Xi comme étant le rapport entre la proportion massique de charge céramique par rapport à la masse totale de la phase solide, c’est-à-dire le ratio massique de charge céramique dans la phase solide, X2 comme étant le rapport entre la proportion massique d’amidon par rapport à la masse totale de la phase solide, c’est-à-dire le ratio massique d’amidon dans la phase solide, et X3 comme étant le rapport entre la proportion massique d’acétate de cellulose par rapport à la masse totale de la phase solide, c’est-à-dire le ratio massique d’acétate de cellulose dans la phase solide. Les bornes inférieures et supérieures de chaque ratio massique sont indiquées dans le tableau 3. [221] [Tableau 3]

Figure imgf000029_0001
[220] In order to study the variations in properties of bone cement when the mass proportion of ceramic filler, cellulose acetate and starch vary, we define Xi as being the ratio between the mass proportion of ceramic filler relative to the total mass of the solid phase, that isto say the mass ratio of ceramic filler in the solid phase, that is to say the mass ratio of starch in the solid phase, and X3 as being the ratio between the mass proportion of cellulose acetate relative to the total mass of the solid phase, that is i.e. the mass ratio of cellulose acetate in the solid phase. The lower and upper limits of each mass ratio are shown in Table 3. [221] [Table 3]
Figure imgf000029_0001

[222] La figure 29 montre ainsi le diagramme ternaire de variation de Xi, X2 et X3. La zone entourée est le domaine qui sera étudié.[222] Figure 29 thus shows the ternary diagram of variation of Xi, X2 and X3 . The surrounded area is the area that will be studied.

[223] Mesure du module d’Younq[223] Measurement of the Younq modulus

[224] Dans un premier temps, le module d’Young du ciment après sa prise est mesuré dans le domaine d’étude. Le module d’Young est mesuré par un test de compression selon la norme ISO 5833 : 2002. L’échantillon de test est un échantillon cylindrique de diamètre 10 mm et de hauteur 15 mm. L’échantillon a été préalablement immergé durant 7 jours dans une solution de tampon de phosphate salin (PBS).[224] Firstly, the Young’s modulus of the cement after it has set is measured in the study area. Young's modulus is measured by a compression test according to standard ISO 5833: 2002. The test sample is a cylindrical sample with a diameter of 10 mm and a height of 15 mm. The sample was previously immersed for 7 days in a phosphate buffered saline (PBS) solution.

[225] La figure 30 montre l’évolution du module d’Young dans le domaine d’étude. On remarque que plus le ratio d’acétate de cellulose est élevé, plus le module d’Young augmente. On mesure un minimum du module d’Young à 1 MPa et un maximum du module d’Young à 32 MPa.[225] Figure 30 shows the evolution of Young’s modulus in the field of study. We notice that the higher the ratio of cellulose acetate, the more the Young's modulus increases. We measure a minimum of Young's modulus at 1 MPa and a maximum of Young's modulus at 32 MPa.

[226] Ainsi, le module d’Young varie grandement dans le domaine d’étude. Le module d’Young du ciment doit être proche de celui de l’os dans lequel le ciment sera injecté. Cette grande plage permet ainsi d’adapter le module d’Young du ciment à la zone d’injection du ciment.[226] Thus, Young's modulus varies greatly in the field of study. The Young's modulus of the cement must be close to that of the bone into which the cement will be injected. This large range thus makes it possible to adapt the Young’s modulus of the cement to the cement injection zone.

[227] Mesure du module de cisaillement[227] Measurement of shear modulus

[228] Dans un second temps, le module de cisaillement du ciment après sa prise est mesuré dans le domaine d’étude. Le module de cisaillement est mesuré dans un rhéomètre en mode à vitesse contrôlée. La mesure a été effectuée à 25 °C avec un diamètre de 40 mm et un angle de cône de 2° dans la plage de taux de cisaillement, avec un relevé toutes les 10 secondes pendant 300 secondes.[228] Secondly, the shear modulus of the cement after it has set is measured in the study area. The shear modulus is measured in a rheometer in rate-controlled mode. The measurement was carried out at 25°C with a diameter of 40 mm and a cone angle of 2° in the shear rate range, with a reading every 10 seconds for 300 seconds.

[229] La figure 31 montre l’évolution du module de cisaillement dans le domaine d’étude. On remarque que, comme pour le module d’Young, le module de cisaillement augmente lorsque le ratio massique d’acétate de cellulose augmente. On mesure un minimum à 100 Pa.s et un maximum à 150000 Pa.s.[229] Figure 31 shows the evolution of the shear modulus in the study area. We note that, as for the Young modulus, the shear modulus increases when the mass ratio of cellulose acetate increases. We measure a minimum at 100 Pa.s and a maximum at 150,000 Pa.s.

[230] Ainsi, le module de cisaillement varie grandement dans le domaine d’étude. Le module de cisaillement du ciment doit être particulièrement maîtrisé pour permettre une injection aisée mais de telle manière à ce que le ciment ne soit pas trop liquide pour éviter des fuites ou des complications cliniques. Cette grande plage permet ainsi d’adapter le module de cisaillement du ciment à la zone d’injection du ciment et surtout aux spécificités requises par le clinicien (soit sous forme de pâte à appliquer à la spatule, soit sous forme plus liquide pour être injectée).[230] Thus, the shear modulus varies greatly in the study area. The shear modulus of the cement must be particularly controlled to allow easy injection but in such a way that the cement is not too liquid to avoid leaks or clinical complications. This large range thus makes it possible to adapt the shear modulus of the cement to the cement injection zone and especially to the specificities required by the clinician (either in the form of a paste to be applied with a spatula, or in a more liquid form to be injected).

[231] Mesure du gonflement[231] Swelling measurement

[232] Dans un troisième temps, le gonflement du ciment après sa prise est mesuré dans le domaine d’étude. Le gonflement est mesuré en faisant le rapport entre le volume d’un échantillon cylindrique de diamètre de 10 mm et de 15 mm de hauteur avant immersion et après 7 jours d’immersion dans une solution de PBS.[232] Thirdly, the swelling of the cement after it has set is measured in the study area. Swelling is measured by taking the ratio between the volume of a cylindrical sample with a diameter of 10 mm and a height of 15 mm before immersion and after 7 days of immersion in a PBS solution.

[233] La figure 24 montre l’évolution du gonflement dans le domaine d’étude. On remarque que le gonflement diminue lorsque le ratio massique de la charge céramique augmente. On mesure un minimum à 21 % et un maximum à 32 %.[233] Figure 24 shows the evolution of swelling in the study area. We notice that the swelling decreases when the mass ratio of the ceramic filler increases. We measure a minimum of 21% and a maximum of 32%.

[234] Le gonflement peut ainsi être adapté à la zone d’injection du ciment. Le gonflement doit être suffisamment important pour épouser en entier la zone qui devra être protégée mais pas trop grand pour empêcher que le ciment n’applique des contraintes sur les os. Un gonflement trop important peut en effet endommager l’os et entraîner des complications.[234] The swelling can thus be adapted to the cement injection zone. The swelling must be large enough to completely fit the area that must be protected but not too large to prevent the cement from applying stress to the bones. Too much swelling can actually damage the bone and lead to complications.

[235] Example 2 : Influence du type de la charge céramiques sur les propriétés du ciment[235] Example 2: Influence of the type of ceramic filler on the properties of the cement

[236] Dans cet exemple, la nature de la charge céramique de la phase solide du ciment osseux est modifiée afin d’étudier l’influence de la nature de la charge céramique sur les propriétés du ciment.[236] In this example, the nature of the ceramic filler of the solid phase of the bone cement is modified in order to study the influence of the nature of the ceramic filler on the properties of the cement.

[237] Pour évaluer la préparation du ciment, trois formulations ont été réalisées selon le tableau 4 suivant présentant les proportions massiques :[237] To evaluate the preparation of the cement, three formulations were produced according to the following table 4 presenting the mass proportions:

[238] [Tableau 4]

Figure imgf000030_0001
[238] [Table 4]
Figure imgf000030_0001

- CSH : sulfate de calcium hémi-hydraté- CSH: calcium sulfate hemihydrate

- HA : hydroxyapatite- HA: hydroxyapatite

- TCP : phosphate tricalcique- TCP: tricalcium phosphate

[239] Ces trois formulations ont été mises en forme à l’aide d’un moule en silicone cylindrique de 10 mm de diamètre et de 15 mm de hauteur. Elles sont démoulées après que le ciment a durci. [240] Les ciments acryliques sont caractérisés par le temps de prise et par la température maximale de polymérisation. Le temps de prise correspond au temps nécessaire pour que la température moyenne de prise soit atteinte. La température moyenne est représentée par la moyenne de la température maximum de polymérisation et la température ambiante de la pièce.[239] These three formulations were shaped using a cylindrical silicone mold 10 mm in diameter and 15 mm in height. They are unmolded after the cement has hardened. [240] Acrylic cements are characterized by the setting time and the maximum polymerization temperature. The setting time corresponds to the time necessary for the average setting temperature to be reached. The average temperature is represented by the average of the maximum polymerization temperature and the ambient temperature of the room.

[241] La figure 33 montre l’évolution de la température en fonction du temps pour les trois exemples. Les mesures ont été réalisées avec un thermocouple de type T et sont représentées dans le tableau 5.[241] Figure 33 shows the evolution of the temperature as a function of time for the three examples. The measurements were carried out with a type T thermocouple and are shown in table 5.

[242] [Tableau 5]

Figure imgf000031_0001
[242] [Table 5]
Figure imgf000031_0001

[243] Ainsi, la température de prise demeure relativement constante en fonction de la céramique utilisée.[243] Thus, the setting temperature remains relatively constant depending on the ceramic used.

[244] En fonction de la charge céramique, le temps de prise varie de 90 à 120 secondes. Il est toutefois possible de l’augmenter en gardant le produit dans une chambre froide, le temps de prise passe alors à 300 secondes. L’ajout de retardateur de prise peut aussi être envisagé en fonction de l’application et de la mise en forme du ciment.[244] Depending on the ceramic load, the setting time varies from 90 to 120 seconds. However, it is possible to increase it by keeping the product in a cold room, the setting time then increases to 300 seconds. The addition of setting retarder can also be considered depending on the application and shaping of the cement.

[245] La vitamine C est connue pour ses propriétés à la fois de retardateur de prise et d’activateur de prise sur les ciments acryliques comme le poly méthacrylate de méthyle acrylique (PMMA). Ainsi, en fonction de la composition du ciment elle peut à la fois présenter une propriété de retardateur, d’activateur ou les deux à la fois. L’effet de retardateur de prise a été testée sur l’exemple 2.1 .[245] Vitamin C is known for its properties as both a setting retarder and a setting activator on acrylic cements such as polyacrylic methyl methacrylate (PMMA). Thus, depending on the composition of the cement, it can have the properties of a retarder, an activator or both at the same time. The setting-retardant effect was tested in example 2.1.

[246] La figure 34 montre l’évolution du temps de prise en fonction de la proportion massique de vitamine C et la figure 35 montre l’évolution de la température maximale en fonction de la proportion massique de vitamine C. On remarque que pour une formulation sans vitamine C, le temps de prise est de 83 s et la température maximale est de 86,7 °C. Avec une proportion massique de vitamine de 1 ,6 %, proportion maximale testée, le temps de prise est de 225 s et la température maximale est de 48,9 °C.[246] Figure 34 shows the evolution of the setting time as a function of the mass proportion of vitamin C and Figure 35 shows the evolution of the maximum temperature as a function of the mass proportion of vitamin C. We note that for a formulation without vitamin C, the setting time is 83 s and the maximum temperature is 86.7°C. With a vitamin mass proportion of 1.6%, maximum proportion tested, the setting time is 225 s and the maximum temperature is 48.9°C.

[247] La quantité de BPO et DMT a aussi une influence sur le temps de prise du ciment. Plus la quantité de BPO-DMT est importante, plus le temps de prise l’est aussi. On remarque ainsi un temps de prise de 5 min pour 0,3 mL de BPO-DMT et un temps de prise de 40 min pour 0,7 mL de BPO-DMT. Cependant, l’augmentation de la quantité de BPO-DMT peut entraîner une augmentation de la cytotoxicité du ciment. Le compromis entre cytotoxicité, sujet qui sera discuté plus bas, et temps de prise se trouve pour une quantité de 0,5 mL de BPO-DMT avec un temps de prise de 12 min. [248] Le module d’Young ainsi que la contrainte de rupture du ciment après prise a été mesuré par un test de compression pour l’exemple 2.3, chargé de HA/TCP. Le ciment a une forme cylindrique de hauteur 15 mm et de diamètre 10 mm. Le module d’Young a été mesuré avant et après une immersion de 7 jours dans du PSB. Les résultats sont présentés dans le tableau 6.[247] The quantity of BPO and DMT also has an influence on the setting time of the cement. The greater the quantity of BPO-DMT, the longer the setting time. We thus note a setting time of 5 min for 0.3 mL of BPO-DMT and a setting time of 40 min for 0.7 mL of BPO-DMT. However, increasing the amount of BPO-DMT may lead to increased cytotoxicity of cement. The compromise between cytotoxicity, a subject which will be discussed below, and setting time is found for a quantity of 0.5 mL of BPO-DMT with a setting time of 12 min. [248] The Young's modulus as well as the breaking stress of the cement after setting was measured by a compression test for example 2.3, loaded with HA/TCP. The cement has a cylindrical shape with a height of 15 mm and a diameter of 10 mm. Young's modulus was measured before and after immersion for 7 days in PSB. The results are presented in Table 6.

[249] [Tableau 6]

Figure imgf000032_0003
[249] [Table 6]
Figure imgf000032_0003

[250] L’ échantillon après immersion montre un comportement très ductile, il se découpe facilement au scalpel et a un volume poreux d’environ 30%.[250] The sample after immersion shows very ductile behavior, it is easily cut with a scalpel and has a pore volume of approximately 30%.

[251] Pour évaluer le comportement du ciment dans un milieu liquide, un dispositif de pesée hydrostatique est utilisé. Un dispositif de pesée hydrostatique permet de mesurer le poids d’un objet de volume apparent non déterminable tels que les matériaux pulvérulents. Le dispositif permet ainsi de mesurer le gonflement ainsi que la porosité ouverte du ciment. La méthode de mesure consiste à peser les pastilles de ciment sèches, de forme cylindrique avec un diamètre de 10 mm et une hauteur de 2 mm, puis à les immerger dans un milieu liquide à raison de 15 mL par pastille sous agitation à[251] To evaluate the behavior of cement in a liquid medium, a hydrostatic weighing device is used. A hydrostatic weighing device makes it possible to measure the weight of an object of undeterminable apparent volume such as powdery materials. The device thus makes it possible to measure the swelling as well as the open porosity of the cement. The measurement method consists of weighing dry cement pellets, cylindrical in shape with a diameter of 10 mm and a height of 2 mm, then immersing them in a liquid medium at a rate of 15 mL per pellet while stirring at

180 rpm et à température ambiante. À chaque jour de prélèvement, les échantillons sont pesés humides et dans le panier de la balance hydrostatique, sous eau. Chaque pesée est répétée 3 fois et sur 5 pastilles identiques.180 rpm and at room temperature. On each sampling day, the samples are weighed wet and in the basket of the hydrostatic balance, under water. Each weighing is repeated 3 times and on 5 identical pellets.

[252] Le gonflement du matériau se calcule par la formule math 10 et la porosité par la formule math 11 .[252] The swelling of the material is calculated by the math formula 10 and the porosity by the math formula 11.

[253] [Math. 10] .100

Figure imgf000032_0001
[253] [Math. 10] .100
Figure imgf000032_0001

[254] [Math. 11] .100

Figure imgf000032_0002
[254] [Math. 11] .100
Figure imgf000032_0002

[255] où Ms est la masse sèche de la pastille, Mh est la masse humide de la pastille, PO est la porosité ouverte de la pastille de ciment et Me est la masse sous eau de la pastille.[255] where Ms is the dry mass of the pellet, Mh is the wet mass of the pellet, PO is the open porosity of the cement pellet and Me is the underwater mass of the pellet.

[256] Le gonflement et la porosité ouverte des trois formulations de ciment ont été testés dans différents milieux liquides :[256] The swelling and open porosity of the three cement formulations were tested in different liquid media:

- l’eau distillé,- distilled water,

- le PBS,- PBS,

- le fluide corporel simulé (SBF), et- simulated body fluid (SBF), and

- l’alcool. [257] Le gonflement des pastilles est essentiellement dû au pHEMA. Ce gonflement est intéressant dans le cadre d’une implantation en site osseux. Il permet de combler une lacune osseuse alors que le retrait des ciments à base de PMMA par exemple favorise le développement néfaste d’un tissu fibreux à l’interface ciment-os. Il permet également de faire face à l’éventualité, dès les premières heures, d’un remplissage incomplet de la cavité osseuse lors de la mise en place par le chirurgien.- the alcohol. [257] The swelling of the pellets is mainly due to pHEMA. This swelling is interesting in the context of implantation in a bone site. It makes it possible to fill a bone gap while the removal of PMMA-based cements, for example, promotes the harmful development of fibrous tissue at the cement-bone interface. It also makes it possible to deal with the possibility, from the first hours, of incomplete filling of the bone cavity during placement by the surgeon.

[258] La figure 36, 37et 38 montrent l’évolution du gonflement de la formulation 1 , 2 et 3 respectivement dans les différents milieux liquides en fonction du nombre de jours d’immersion. Le gonflement se produit très rapidement, au bout d’une jours et plafonne aux alentours pour les milieux aqueux, c’est-à-dire l’eau, le PBS et le SBF. On constate que le gonflement dans l’alcool est significativement supérieur aux milieux aqueux, puisque le gonflement maximum du ciment atteint 40% à partir du 3e jour. Malgré le gonflement très important dans l’alcool, pouvant atteindre jusqu’à 60%, aucune dégradation de la pastille n’a eu lieu.[258] Figure 36, 37 and 38 show the evolution of the swelling of formulations 1, 2 and 3 respectively in the different liquid media as a function of the number of days of immersion. Swelling occurs very quickly, after a day and plateaus around for aqueous media, i.e. water, PBS and SBF. It can be seen that the swelling in alcohol is significantly higher than in aqueous media, since the maximum swelling of the cement reaches 40% from the3rd day. Despite the very significant swelling in alcohol, which can reach up to 60%, no degradation of the tablet took place.

[259] La figure 39 montre l’évolution de la porosité ouverte des formulations 1 , 2 et 3 en fonction du nombre de jours pour une immersion dans l’eau distillée. Avant immersion, les échantillons présentent une porosité ouverte de 3 %. On constate une augmentation très rapide en une journée de la porosité ouverte avant de plafonner à 30 % pour la formulation 1 et 2 et à 33 % pour la formulation 3. Cette différence de porosité ouverte entre les formulations est à mettre en lien avec le gonflement des formulations dans l’eau des figures 16, 17 et 18. On peut donc en déduire que dans le cas de l’eau, le gonflement est dû à la porosité ouverte. De plus, après l’atteinte du plafond de la porosité ouverte, on constate que le gonflement du ciment n’augmente plus. On peut supposer que l’eau ne pénètre pas ou très peu dans le ciment ou que la porosité fermée du ciment est faible voire quasi-inexistante.[259] Figure 39 shows the evolution of the open porosity of formulations 1, 2 and 3 as a function of the number of days for immersion in distilled water. Before immersion, the samples have an open porosity of 3%. We note a very rapid increase in one day in the open porosity before peaking at 30% for formulations 1 and 2 and at 33% for formulation 3. This difference in open porosity between the formulations is linked to the swelling. formulations in water in Figures 16, 17 and 18. We can therefore deduce that in the case of water, the swelling is due to the open porosity. Furthermore, after reaching the ceiling of the open porosity, we see that the swelling of the cement no longer increases. We can assume that water does not penetrate the cement or that the closed porosity of the cement is low or almost non-existent.

[260] Le gonflement peut être limité en pré-saturant le ciment avec un fluide aqueux. En effet obtenir un gonflement du ciment grâce à l’hydratation est certes très appréciable pour les raisons évoquées précédemment. Cependant, dans de nombreuses pathologies concernées par le comblement osseux, les os peuvent être déjà fragiles (ostéoporose, ostéosarcome par exemple). Incorporer un ciment qui se gorgerait de façon trop importante de fluide biologique pourrait fragiliser les os environnants et induire d’autres désordres osseux.[260] Swelling can be limited by pre-saturating the cement with an aqueous fluid. Indeed, obtaining swelling of the cement thanks to hydration is certainly very appreciable for the reasons mentioned above. However, in many pathologies affected by bone filling, the bones may already be fragile (osteoporosis, osteosarcoma for example). Incorporating a cement that becomes too heavily saturated with biological fluid could weaken the surrounding bones and cause other bone disorders.

[261] De l’eau distillée a été ajoutée à la phase liquide avant mélange des deux phases. Des essais quant à la mélangeabilité et à la prise du ciment nous ont conduit à fixer la quantité à 0,28 g d’eau pour 1 ,3 g d’HEMA. En effet, incorporer de l’eau au ciment n’améliore pas la mélangeabilité. L’ajout de 0,28 g permet de passer d’un ciment sans eau qui gonfle de 34 % au bout de deux jours à un ciment qui gonfle de 24 % au bout de deux jours.[261] Distilled water was added to the liquid phase before mixing the two phases. Tests regarding the mixability and setting of the cement led us to set the quantity at 0.28 g of water for 1.3 g of HEMA. In fact, incorporating water into cement does not improve mixability. The addition of 0.28 g makes it possible to move from cement without water which swells by 34% after two days to cement which swells by 24% after two days.

[262] Le critère d’injectabilité est important pour l’administration du ciment, soit par injection par le clinicien dans l’os par exemple par vertébroplastie, par kyphoplastie ou par dépôt par spatule, soit pour déposer le ciment sur un support de façon manuelle ou mieux par prototypage rapide.[262] The criterion of injectability is important for the administration of the cement, either by injection by the clinician into the bone for example by vertebroplasty, by kyphoplasty or by deposition by spatula, or to deposit the cement on a support in a manner manual or better by rapid prototyping.

[263] Le prototypage rapide est une méthode de fabrication commandée par ordinateur. Il permet de réaliser rapidement les modèles qui seront produits afin de réduire le temps de développement. L’outillage nécessaire pour la mise en place de cette méthode est peu coûteux tout en garantissant d’excellentes performances du produit final. Enfin, via l’utilisation de machines comme les imprimantes 3D et les fraiseuses, le prototypage rapide est capable de réaliser des formes extrêmement complexes, particulièrement adapté par exemple, aux implants osseux.[263] Rapid prototyping is a computer-controlled manufacturing method. It allows you to quickly create the models that will be produced in order to reduce development time. The tools required to implement this method are inexpensive while guaranteeing excellent performance of the final product. Finally, through the use of machines such as 3D printers and milling machines, rapid prototyping is capable of producing extremely complex shapes, particularly suitable, for example, for bone implants.

[264] Pour une même quantité d’amidon, la force d’injectabilité a été mesurée pour 6 variétés botaniques d’amidon. Les résultats sont montrés sur la figure 40. Le test d’injectabilité consiste à placer 5 mL de ciment dans une seringue stérile de 10 mL à placer ensuite la seringue dans une machine de compression et à mesurer la force appliquée pour un déplacement constant de 1 mm par seconde.[264] For the same quantity of starch, the injectability force was measured for 6 botanical varieties of starch. The results are shown in Figure 40. The injectability test consists of placing 5 mL of cement in a sterile 10 mL syringe, then placing the syringe in a compression machine and measuring the force applied for a constant displacement of 1 mm per second.

[265] Il est important d’évaluer la cytotoxicité du ciment, c’est-à-dire, sa capacité à attaquer voire détruire les cellules de l’organisme. Pour ce faire, les pastilles qui ont été utilisées pour tester le gonflement et la porosité ouverte du ciment sont rincées et séchées. Elles sont ensuite stérilisées par un rayonnement UV durant 30 minutes par face.[265] It is important to evaluate the cytotoxicity of the cement, that is to say, its ability to attack or even destroy the body's cells. To do this, the pellets that were used to test the swelling and open porosity of the cement are rinsed and dried. They are then sterilized by UV radiation for 30 minutes per side.

[266] Les pastilles de ciment sont disposées dans une plaque comprenant 24 puits et recouvertes par 1 mL de milieu de culture de type milieu minimum essentiel de Eagle contenant des protéines bovines. La plaque est mise à l’incubation à 37°C pendant 48 heures. Au bout des deux jours, le milieu de culture en contact avec les pastilles est prélevé et 100 pL sont déposés sur des ostéoblastes MC3T3-E1 à 60% de confluence. Le taux de survie est déterminé par mesure de l’activité cellulaire en utilisant la méthode au bleu Alamar.[266] The cement pellets are placed in a plate comprising 24 wells and covered with 1 mL of Eagle's minimum essential medium type culture medium containing bovine proteins. The plate is incubated at 37°C for 48 hours. At the end of two days, the culture medium in contact with the pellets is taken and 100 μL are deposited on MC3T3-E1 osteoblasts at 60% confluence. The survival rate is determined by measuring cellular activity using the Alamar blue method.

[267] La figure 41 montre le taux de survie cellulaire en fonction de chaque formulation de ciment et de deux témoins, un premier à base de 100 % d’alumine, et le second à base de tissue culture polystyrène (TCPS), matériau constituant les plaques de culture. On constate que le témoin à base d’alumine induit la mort de toutes les cellules tandis que les pastilles des trois formulations du ciment ont un taux de survie cellulaire avec un minimum de 78 % pour la formulation 3 et un maximum de 81 % pour les formulations 1 et 2. [268] Afin de réduire la cytotoxicité des formulations de ciment, il est nécessaire de diviser la quantité de BPO et de DMT par trois, c’est-à-dire, de passer à 19 mL et de suivre le protocole suivant :[267] Figure 41 shows the cell survival rate as a function of each cement formulation and two controls, the first based on 100% alumina, and the second based on tissue culture polystyrene (TCPS), the constituent material. the culture plates. It can be seen that the alumina-based control induces the death of all cells while the pellets of the three cement formulations have a cell survival rate with a minimum of 78% for formulation 3 and a maximum of 81% for the formulations 1 and 2. [268] In order to reduce the cytotoxicity of cement formulations, it is necessary to divide the quantity of BPO and DMT by three, that is to say, to increase to 19 mL and follow the following protocol:

- laver le ciment à l’éther 3 fois pendant 20 min,- wash the cement with ether 3 times for 20 min,

- laver le ciment à l’éthanol pendant 30 min,- wash the cement with ethanol for 30 min,

- laver le ciment à l’eau pendant 48 heures, et- wash the cement with water for 48 hours, and

- sécher le ciment à l’étuve.- dry the cement in an oven.

[269] On observe une augmentation du taux de survie cellulaire lorsque le protocole précédent est suivi, avec un taux de survie cellulaire de 92 % pour les trois formulations.[269] An increase in the cell survival rate is observed when the previous protocol is followed, with a cell survival rate of 92% for the three formulations.

[270] Le ciment osseux, par ses propriétés d’hydrogel, peut être utilisé comme agent de libération de substances dans le corps, notamment de médicament. Afin d’étudier la quantité de libération de substance in vitro, les pastilles ont subi un test de désorption et un test de d’imprégnation avec de la ciproflaxine (CFX).[270] Bone cement, through its hydrogel properties, can be used as an agent for releasing substances in the body, particularly medicine. In order to study the amount of substance release in vitro, the pellets underwent a desorption test and an impregnation test with ciproflaxin (CFX).

[271] La CFX appartient à la famille des fluoroquinolones. Ce principe actif est utilisé dans la prise en charge de nombreuses infections dont celles de la peau et de tissus mous mais aussi les infections ostéoarticulaires. C’est un antibiotique dont l’action permet d’inhiber la topoisomérase I et la topoisomérase IV qui sont responsables de la réplication, la transcription, réparation et la recombinaison de l’ADN bactérien.[271] CFX belongs to the fluoroquinolone family. This active ingredient is used in the treatment of numerous infections including those of the skin and soft tissues but also osteoarticular infections. It is an antibiotic whose action inhibits topoisomerase I and topoisomerase IV which are responsible for the replication, transcription, repair and recombination of bacterial DNA.

[272] Le test de désorption a été réalisé en suivant le protocole suivant :[272] The desorption test was carried out following the following protocol:

- les pastilles de ciment sont mises à imprégner 24 h dans une solution pour perfusion de de CFX à la concentration de 2 g/L sous agitation à 180 rpm et à température ambiante,- the cement pellets are soaked for 24 hours in a CFX infusion solution at a concentration of 2 g/L with stirring at 180 rpm and at room temperature,

- les pastilles de ciment sont introduites dans un volume de 20 mL de de soude à 0,1 mol/L placé sous agitation à 80 rpm à 37°C durant 12 h, et- the cement pellets are introduced into a volume of 20 mL of 0.1 mol/L sodium hydroxide placed under stirring at 80 rpm at 37°C for 12 hours, and

- la quantité de CFX relarguée par les pastilles de ciment est mesurée par spectrophotométrie UV/Visible.- the quantity of CFX released by the cement pellets is measured by UV/Visible spectrophotometry.

[273] La figure 42 montre les quantités totales d’antibiotique présentes sur les différents ciments. Les ciments ont absorbé durant l’imprégnation des quantités voisines en CFX, autour de 3,2 mg/g de ciment sans démontrer vraisemblablement une différence significative selon la charge.[273] Figure 42 shows the total quantities of antibiotic present on the different cements. The cements absorbed similar quantities of CFX during impregnation, around 3.2 mg/g of cement without probably showing a significant difference depending on the load.

[274] Le test d’imprégnation a été réalisé en suivant le protocole suivant :[274] The impregnation test was carried out following the following protocol:

- les pastilles de ciment sont mises à imprégner 24 h dans une solution pour perfusion de ciprofloxacine à la concentration de 2 g/L sous agitation à 180 rpm et à température ambiante,- the cement pellets are soaked for 24 hours in a ciprofloxacin infusion solution at a concentration of 2 g/L with stirring at 180 rpm and at room temperature,

- les pastilles de ciment sont séchées pendant 24 heures à 37°C,- the cement pellets are dried for 24 hours at 37°C,

- les pastilles sont disposées dans une cellule de libération comprenant une perle de rubis de 5 mm de diamètre, plus particulièrement sur un lit de billes de verre de 1 mm de diamètre, - un flux de PBS provenant d’un réservoir de 100 mL de volume est envoyé via une pompe dans un spectrophotomètre U V/Visible, puis dans la cellule de libération, puis retourne dans le réservoir et repasse dans le spectrophotomètre U V/Visible.- the pellets are placed in a release cell comprising a ruby bead of 5 mm in diameter, more particularly on a bed of glass beads of 1 mm in diameter, - a flow of PBS from a reservoir of 100 mL volume is sent via a pump into a UV/Visible spectrophotometer, then into the release cell, then returns to the reservoir and passes back into the UV/Visible spectrophotometer.

[275] Le spectrophotomètre U V/Visible mesure les absorbances à 270 nm toutes les 5 minutes durant les 6 premières heures puis à un intervalle de 15 minutes jusque 24 heures.[275] The UV/Visible spectrophotometer measures absorbances at 270 nm every 5 minutes for the first 6 hours then at an interval of 15 minutes for up to 24 hours.

[276] La figure 43 montre le profil de libération de la ciprofloxacine en fonction du temps pour les trois formulations de ciment. Pour le ciment chargé avec l’alumine, la formulation 1 , le profil de libération semble prolongé. Même si la libération est plus rapide les premières heures (0,50 mg/g de ciment à 1 heure), le plateau de la concentration maximale ne semble pas totalement atteint à 24 heures : la quantité libérée est alors de[276] Figure 43 shows the ciprofloxacin release profile as a function of time for the three cement formulations. For the cement loaded with alumina, formulation 1, the release profile seems prolonged. Even if the release is faster in the first hours (0.50 mg/g of cement at 1 hour), the maximum concentration plateau does not seem to be completely reached at 24 hours: the quantity released is then

1 ,53 mg/g de ciment et cela représente 47% de la quantité libérée par l’essai de désorption. On peut donc supposer que la libération se poursuit après 24 heures.1.53 mg/g of cement and this represents 47% of the quantity released by the desorption test. We can therefore assume that the release continues after 24 hours.

[277] Pour le ciment chargé au CSH, la formulation 2, la libération de la CFX se fait durant les premières heures, car le plateau est atteint à 15 heures à 2,2 mg de CFX/g de ciment, ce qui représente 69% de sa quantité totale en CFX.[277] For the cement loaded with CSH, formulation 2, the release of CFX occurs during the first hours, because the plateau is reached at 3 p.m. at 2.2 mg of CFX/g of cement, which represents 69 % of its total quantity in CFX.

[278] Le ciment biphasique chargé en HA/TCP, la formulation 3, est le ciment qui relargue la plus grande quantité d’antibiotique et le plus rapidement. Le principe actif est libéré progressivement et atteint une quantité libérée à 24 heures de 3,1 mg de CFX/g de ciment soit 86 % de la quantité totale présente sur le ciment. On peut en conclure que le ciment biphasique présente de bons résultats pour une libération massive de CFX, puisqu’il libère en grande quantité le principe actif et donne le meilleur taux libération. Sachant que la libération par un ciment est à l’échelle locale, donc en milieu restreint, la libération de cet antibiotique par de tels ciments est envisageable en clinique.[278] The biphasic cement loaded with HA/TCP, formulation 3, is the cement which releases the largest quantity of antibiotic and the most quickly. The active ingredient is released gradually and reaches a quantity released at 24 hours of 3.1 mg of CFX/g of cement, or 86% of the total quantity present on the cement. It can be concluded that biphasic cement presents good results for massive release of CFX, since it releases the active ingredient in large quantities and gives the best release rate. Knowing that the release by cement is on a local scale, therefore in a restricted environment, the release of this antibiotic by such cements is possible in the clinic.

[279] De plus, il serait également envisageable d’adapter la concentration de la solution d’imprégnation afin d’augmenter la quantité absorbée par le ciment. La forme du principe actif peut également faire varier son profil de libération.[279] In addition, it would also be possible to adapt the concentration of the impregnating solution in order to increase the quantity absorbed by the cement. The form of the active ingredient can also vary its release profile.

[280] Pour une libération d’antibiotique en prophylaxie, le ciment chargé à l’alumine est une solution intéressante, tout comme le CSH. Un profil de libération prolongée peut être intéressant pour la libération de médicaments tels que, comme ici, les antibiotiques mais aussi des anticancéreux ou des antalgiques par exemple.[280] For prophylactic antibiotic release, cement loaded with alumina is an interesting solution, as is CSH. A sustained release profile can be interesting for the release of drugs such as, as here, antibiotics but also anticancer drugs or analgesics for example.

[281 ] Exemple 3 : Composition optimale du ciment pour dépôt sur un insert en titane[281] Example 3: Optimal composition of cement for deposition on a titanium insert

[282] Dans cet exemple, une composition optimale du ciment osseux sera présentée. Cette composition optimale est le meilleur compromis entre les différentes propriétés du ciment osseux.[282] In this example, an optimal composition of bone cement will be presented. This optimal composition is the best compromise between the different properties of bone cement.

[283] La composition optimale du ciment comprend :[283] The optimal composition of cement includes:

- une phase liquide composée de 1 ,8 g d’HEMA et de 0,0031 g de DMT, et - une phase solide composée de 1 ,733 g de HA/TCP, de 0,675 g d’acétate de cellulose, de 0,294 g d’amidon et de 0,01 g de BPO.- a liquid phase composed of 1.8 g of HEMA and 0.0031 g of DMT, and - a solid phase composed of 1.733 g of HA/TCP, 0.675 g of cellulose acetate, 0.294 g of starch and 0.01 g of BPO.

[284] Les deux phases sont mises en contact afin de former une pâte qui est coulée dans un moule en silicone. Après prise du ciment, celui-ci est démoulée. Quatre pastilles de ciment sont réalisées[284] The two phases are brought into contact to form a paste which is poured into a silicone mold. After the cement has set, it is unmolded. Four cement pellets are made

[285] Les 4 pastilles de ciment sont caractérisées après 7 jours d’immersion dans du PBS. Les résultats de caractérisation sont présentés dans le tableau suivant.[285] The 4 cement pellets are characterized after 7 days of immersion in PBS. The characterization results are presented in the following table.

[286] [Tableau 7]

Figure imgf000037_0001
[286] [Table 7]
Figure imgf000037_0001

[287] Cette composition est la plus optimisée, c’est-à-dire qu’elle est le meilleur compromis entre les propriétés mécaniques, l’injectabilité et un gonflement modéré.[287] This composition is the most optimized, that is to say it is the best compromise between mechanical properties, injectability and moderate swelling.

[288] Exemple 4 : Insert chirurgical bicouche sans séparateurs[288] Example 4: Two-layer surgical insert without separators

[289] Dans cet exemple, un insert chirurgical 1 bicouche sera présenté avec deux zones 122, 123 de porosités différentes dans la deuxième couche 12.[289] In this example, a two-layer surgical insert 1 will be presented with two zones 122, 123 of different porosities in the second layer 12.

[290] Un insert chirurgical 1a été réalisé par prototypage rapide. La figure 9 montre les deux faces de l’insert 1 et les propriétés de celui-ci sont présentées dans le tableau ci- dessous.[290] A surgical insert 1 was produced by rapid prototyping. Figure 9 shows the two faces of insert 1 and its properties are presented in the table below.

[291] [Tableau 8]

Figure imgf000037_0002
[291] [Table 8]
Figure imgf000037_0002

[292] Les orifices ont les dimensions présentées dans le tableau ci-dessous.[292] The orifices have the dimensions shown in the table below.

[293] [Tableau 9]

Figure imgf000037_0003
Figure imgf000038_0001
[293] [Table 9]
Figure imgf000037_0003
Figure imgf000038_0001

[294] Un dépôt de 4 mm du ciment osseux présenté dans l’exemple 1 a été réalisé sur l’insert chirurgical 1. L’insert recouvert a été immergé durant 4 jours dans du PBS. Les propriétés de l’insert 1 avec dépôt après immersion sont présentées dans le tableau ci- dessous.[294] A 4 mm deposit of the bone cement presented in example 1 was made on surgical insert 1. The covered insert was immersed for 4 days in PBS. The properties of insert 1 with deposit after immersion are presented in the table below.

[295] [Tableau 10]

Figure imgf000038_0002
[295] [Table 10]
Figure imgf000038_0002

[296] Exemple 5 : Insert chirurgical avec renfort mécanique[296] Example 5: Surgical insert with mechanical reinforcement

[297] La figure 28 montre les résultats de simulation de deux inserts ayant tous les deux des orifices de forme octomorphe. L’un 1a ne présente pas de renfort mécanique (barres noires) et l’autre 1a présente un renfort mécanique 16 (barres grises). Les barres représentent le déplacement maximal simulé dans le cas où l’insert est soumis à un effort de flexion F, de traction Tr ou de torsion To. Les valeurs sont normalisées par les valeurs obtenues pour l’insert 1a sans renfort mécanique. On remarque que le déplacement maximal est moindre lors de l’application des trois types d’effort pour l’insert 1b avec renfort mécanique par rapport à celui sans renfort mécanique.[297] Figure 28 shows the simulation results of two inserts both having octomorph shaped orifices. One 1a does not have mechanical reinforcement (black bars) and the other 1a has mechanical reinforcement 16 (gray bars). The bars represent the maximum displacement simulated in the case where the insert is subjected to a bending force F, traction Tr or torsion To. The values are normalized by the values obtained for insert 1a without mechanical reinforcement. We notice that the maximum displacement is less when applying the three types of force for the insert 1b with mechanical reinforcement compared to that without mechanical reinforcement.

Références numériquesNumerical references

[298] 1 : insert chirurgical,[298] 1: surgical insert,

11 : première couche,11: first layer,

111 : orifices de la première couche,111: orifices of the first layer,

112 : orifices transversaux de la première couche,112: transverse orifices of the first layer,

12 : deuxième couche,12: second layer,

121 : orifices de la deuxième couche,121: orifices of the second layer,

122 : première zone de la deuxième couche,122: first zone of the second layer,

1221 : orifices de la première zone de la deuxième couche,1221: orifices of the first zone of the second layer,

123 : deuxième zone de la deuxième couche,123: second zone of the second layer,

1231 : orifices de la deuxième zone de la deuxième couche, 124 : orifices transversaux de la deuxième couche,1231: orifices of the second zone of the second layer, 124: transverse orifices of the second layer,

13 : troisième couche,13: third layer,

131 : orifices de la troisième couche,131: orifices of the third layer,

14 : pattes de fixation, 15 : pluralité de séparateurs, et14: fixing lugs, 15: plurality of separators, and

151 : orifices de la pluralité de séparateurs.151: orifices of the plurality of separators.

Claims

Translated fromFrench
Revendications Claims[Revendication 1] Ciment osseux comprenant :[Claim 1] Bone cement comprising:- une phase solide pulvérulente comprenant des polysaccharides naturels ou dérivés de composés naturels et une charge céramique,- a powdery solid phase comprising natural polysaccharides or derived from natural compounds and a ceramic filler,- un acrylate en phase liquide, et- an acrylate in liquid phase, and- un polymérisant.- a polymerizer.[Revendication 2] Ciment osseux selon la revendication 1 comprenant en outre au moins l’un parmi :[Claim 2] Bone cement according to claim 1 further comprising at least one of:- un radio-opacifiant, et- a radio-opacifier, and- un agent limitant le gonflement.- an agent limiting swelling.[Revendication 3] Ciment osseux sous forme de ciment selon la revendication 2, dans lequel le polysaccharide naturel ou dérivé de composés naturels est choisi parmi l’acétate de cellulose et l’amidon.[Claim 3] Bone cement in the form of cement according to claim 2, in which the natural polysaccharide or derived from natural compounds is chosen from cellulose acetate and starch.[Revendication 4] Ciment osseux selon la revendication 3, dans lequel l’amidon est choisi parmi l’amidon de blé, l’amidon de pomme de terre, l’amidon de maïs, l’amidon de pois et leurs mélanges, de préférence l’amidon de pomme de terre.[Claim 4] Bone cement according to claim 3, in which the starch is chosen from wheat starch, potato starch, corn starch, pea starch and mixtures thereof, preferably potato starch.[Revendication 5] Ciment osseux selon l’une quelconque des revendications 1 à 4, comprenant en outre un activateur ou un retardateur de prise, notamment ledit activateur ou retardateur de prise étant de la vitamine C.[Claim 5] Bone cement according to any one of claims 1 to 4, further comprising an activator or a setting retarder, in particular said activator or setting retarder being vitamin C.[Revendication 6] Ciment osseux selon l’une quelconque des revendications 1 à 5, dans lequel, la proportion massique de l’acrylate par rapport à la masse totale du substitut osseux est comprise entre 30 % et 50 %, de préférence entre 35 % et 45 %, de préférence entre 37,5 % et 42,5 %, par exemple 40%.[Claim 6] Bone cement according to any one of claims 1 to 5, in which the mass proportion of the acrylate relative to the total mass of the bone substitute is between 30% and 50%, preferably between 35% and 45%, preferably between 37.5% and 42.5%, for example 40%.[Revendication 7] Ciment osseux selon l’une quelconque des revendications 1 à 6, présentant un module d’Young compris entre 1 MPa et 32 MPa après 7 jours d’immersion dans du tampon phosphate salin, de préférence supérieur à 5 MPa.[Claim 7] Bone cement according to any one of claims 1 to 6, having a Young's modulus of between 1 MPa and 32 MPa after 7 days of immersion in phosphate buffer saline, preferably greater than 5 MPa.[Revendication 8] Ciment osseux selon l’une quelconque des revendications 1 à 7, présentant un module de cisaillement compris entre 100 Pa.s et 150000 Pa.sde préférence compris entre 2000 Pa.s et 20000 Pa.s.[Claim 8] Bone cement according to any one of claims 1 to 7, having a shear modulus of between 100 Pa.s and 150000 Pa.s, preferably between 2000 Pa.s and 20000 Pa.s.[Revendication 9] Ciment osseux selon l’une quelconque des revendications 24 à 31 , présentant un ratio de gonflement compris entre 21 % et 32 % après 7 jours d’immersion dans du tampon phosphate salin[Claim 9] Bone cement according to any one of claims 24 to 31, having a swelling ratio of between 21% and 32% after 7 days of immersion in phosphate buffer saline[Revendication 10] Insert chirurgical (1) en un ciment osseux et comprenant :[Claim 10] Surgical insert (1) made of bone cement and comprising:- une première couche (11 ), et- a first layer (11), and- une deuxième couche (12), dans lequel la première couche et la deuxième couche comprennent des orifices (111 , 121 ) ayant une forme octomorphe ; dans lequel le ciment osseux est selon l’une des revendications 1 à 9.- a second layer (12), in which the first layer and the second layer comprise orifices (111, 121) having an octomorphic shape; in which the bone cement is according to one of claims 1 to 9.[Revendication 11] Insert chirurgical selon la revendication 10, dans lequel la forme octomorphe est une forme composée de deux parties d’extrémité, chacun formée par un cercle de rayon ; les deux parties d’extrémités étant reliées entre elles par une partie centrale formée par un congé circulaire de rayon r2 de sorte que la largeur de la partie centrale soit inférieure à la largeur des parties d’extrémités.[Claim 11] Surgical insert according to claim 10, wherein the octomorphic shape is a shape composed of two end parts, each formed by a circle of radius; the two end parts being connected together by a central part formed by a circular fillet of radius r2 so that the width of the central part is less than the width of the end parts.[Revendication 12] Insert chirurgical selon la revendication 10 ou la revendication 11 , dans lequel le premier rayon de courbure des orifices d’une couche est supérieure ou égale à 345 pm et inférieure ou égale à la formule suivante : [Math.rl,max
Figure imgf000041_0001
où n.max est le premier rayon de courbure maximal des orifices de la première couche, S est la surface totale d’une couche, <p est le rapport entre la surface totale occupée par les orifices et la surface totale de la première couche et /Vest le nombre de orifices d’une couche.[Claim 12] Surgical insert according to claim 10 or claim 11, wherein the first radius of curvature of the orifices of a layer is greater than or equal to 345 pm and less than or equal to the following formula: [Math.r l,max
Figure imgf000041_0001
where n.max is the first maximum radius of curvature of the orifices of the first layer, S is the total surface of a layer, <p is the ratio between the total surface occupied by the orifices and the total surface of the first layer and /V is the number of holes in a layer.[Revendication 13] Insert chirurgical selon l’une quelconque des revendications 10 à 12, dans lequel le rapport entre la surface totale occupée par les orifices d’une couche et la surface totale de cette couche est supérieur ou égal à 0,09 et inférieur ou égal à 0,92.[Claim 13] Surgical insert according to any one of claims 10 to 12, in which the ratio between the total surface occupied by the orifices of a layer and the total surface of this layer is greater than or equal to 0.09 and less or equal to 0.92.[Revendication 14] Insert chirurgical selon l’une quelconques des revendications 10 à 13, dans lequel les orifices sont agencés selon un motif choisi parmi un motif carré, un motif hexagonal et un motif hétérogène.[Claim 14] Surgical insert according to any one of claims 10 to 13, in which the orifices are arranged in a pattern chosen from a square pattern, a hexagonal pattern and a heterogeneous pattern.[Revendication 15] Insert chirurgical selon la revendication 14, dans lequel les orifices sont agencés selon un motif hétérogène défini par une courbe de Bézier.[Claim 15] Surgical insert according to claim 14, in which the orifices are arranged in a heterogeneous pattern defined by a Bézier curve.[Revendication 16] Insert chirurgical selon l’un des revendications 10 à 15, dans lequel la disposition des orifices (121 ) de forme octomorphe de la deuxième couche résultent d’une duplication homothétique de la disposition des orifices (1 11 ) de forme octomorphe de la première couche.[Claim 16] Surgical insert according to one of claims 10 to 15, in which the arrangement of the orifices (121) of octomorphic shape of the second layer result from a homothetic duplication of the arrangement of the orifices (1 11) of octomorphic shape of the first layer.[Revendication 17] Insert selon la revendication 16, dans lequel la duplication homothétique induit une section de recouvrement minimal de 0,2 mm2 entre l’orifice de forme octomorphe de la première couche et celui de la deuxième couche.[Claim 17] Insert according to claim 16, in which the homothetic duplication induces a minimum overlap section of 0.2 mm2 between the octomorphic shaped orifice of the first layer and that of the second layer.[Revendication 18] Insert chirurgical selon l’une quelconque des revendications 10 à 17, dans lequel la première couche présente une porosité supérieure à celle de la deuxième couche.[Claim 18] Surgical insert according to any one of claims 10 to 17, wherein the first layer has greater porosity than that of the second layer.[Revendication 19] Insert chirurgical selon l’une des revendications 10 à 18, dans lequel les orifices de la première couche présentent une longueur totale et les orifices de la deuxième couche présentent une longueur totale ; dans lequel le ratio de la longueur totale des orifices de la première couche et de la longueur totale des premiers orifices de la deuxième couche est supérieur à 1 ,4.[Claim 19] Surgical insert according to one of claims 10 to 18, in which the orifices of the first layer have a total length and the orifices of the second layer have a total length; in which the ratio of the total length of the orifices of the first layer and the total length of the first orifices of the second layer is greater than 1.4.[Revendication 20] Insert chirurgical selon l’une des revendications 10 à 19, dans lequel la deuxième couche présente un détrompeur (122).[Claim 20] Surgical insert according to one of claims 10 to 19, in which the second layer has a key (122).[Revendication 21] Insert chirurgical selon la revendication 20 dans lequel le détrompeur est formé de deux zones sur la deuxième couche, une première zone avec des orifices présentant une première longueur totale et une deuxième zone avec des deuxièmes orifices présentant une deuxième longueur totale ; dans lequel le ratio entre la première longueur totale et la deuxième longueur totale est compris entre 1 ,6 et 2, de préférence entre 1 ,7 et 1 ,9, de préférence entre 1 ,75 et 1 ,85, par exemple 1 ,8.[Claim 21] Surgical insert according to claim 20 in which the key is formed of two zones on the second layer, a first zone with orifices having a first total length and a second zone with second orifices having a second total length; in which the ratio between the first total length and the second total length is between 1.6 and 2, preferably between 1.7 and 1.9, preferably between 1.75 and 1.85, for example 1.8 .[Revendication 22] Insert chirurgical selon l’une quelconque des revendications 10 à 21 , comprenant en outre une pluralité de séparateurs (15) disposée entre la première couche et la deuxième couche.[Claim 22] Surgical insert according to any one of claims 10 to 21, further comprising a plurality of separators (15) disposed between the first layer and the second layer.[Revendication 23] Insert chirurgical selon la revendication 22, dans lequel l’épaisseur h de chaque couche vérifie la relation :[Claim 23] Surgical insert according to claim 22, in which the thickness h of each layer verifies the relationship:[Math. 1]
Figure imgf000042_0001
où / est la largeur maximale de l’insert chirurgical et L la longueur maximale de l’insert chirurgical.
[Math. 1]
Figure imgf000042_0001
where / is the maximum width of the surgical insert and L is the maximum length of the surgical insert.
[Revendication 24] Insert chirurgical selon la revendication 22 ou la revendication 23, dans lequel chacun parmi la pluralité de séparateurs est un pilier dont la section transversale présente une forme octomorphe telle que décrite dans les revendications 1 à 3.[Claim 24] Surgical insert according to claim 22 or claim 23, wherein each of the plurality of separators is a pillar whose cross section has an octomorphic shape as described in claims 1 to 3.[Revendication 25] Insert chirurgical selon l’une quelconque des revendications 22 à 24, dans lequel chacun parmi la pluralité de piliers présente un axe longitudinal formant un angle avec le plan moyen formé par la première couche et la deuxième couche supérieur ou égal à 5° et inférieur ou égal à 90°.[Claim 25] Surgical insert according to any one of claims 22 to 24, wherein each of the plurality of pillars has a longitudinal axis forming an angle with the average plane formed by the first layer and the second layer greater than or equal to 5 ° and less than or equal to 90°.[Revendication 26] Insert chirurgical selon l’une quelconque des revendications 22 à 25, dans lequel chacun parmi la pluralité de piliers est hélicoïdal et présente un angle de torsion supérieur à 0° et inférieur ou égal à 180°, de préférence inférieur ou égal à 90°.[Claim 26] Surgical insert according to any one of claims 22 to 25, wherein each of the plurality of pillars is helical and has a twist angle greater than 0° and less than or equal to 180°, preferably less than or equal at 90°.[Revendication 27] Insert chirurgical selon l’une quelconque des revendications 22 à 26, dans lequel chacun parmi la pluralité de piliers comprend des orifices transversaux (151) au niveau de sa surface latérale.[Claim 27] A surgical insert according to any one of claims 22 to 26, wherein each of the plurality of pillars includes transverse holes (151) at its side surface.[Revendication 28] Insert chirurgical selon l’une quelconque des revendications 10 à 27, dans lequel les orifices de la première couche et/ou de la deuxième couche présentent une paroi latérale formée dans l’épaisseur de la couche correspondante, et dans lequel la première couche et/ou la deuxième couche comprend des orifices transversaux de forme octomorphe telle que décrite dans les revendications 10 à 12 et s’étendant entre la paroi latérale de deux orifices de la couche correspondante.[Claim 28] Surgical insert according to any one of claims 10 to 27, in which the orifices of the first layer and/or the second layer have a side wall formed in the thickness of the corresponding layer, and in which the first layer and/or the second layer comprises transverse orifices of octomorphic shape as described in claims 10 to 12 and extending between the side wall of two orifices of the corresponding layer.[Revendication 29] Insert chirurgical selon la revendication 27 ou la revendication 28, dans lequel chacun des orifices de chaque couche ont une section supérieure ou égale à 0,70 mm2.[Claim 29] Surgical insert according to claim 27 or claim 28, in which each of the orifices of each layer has a section greater than or equal to 0.70 mm2 .[Revendication 30] Insert chirurgical selon l’une quelconque des revendications 10 à 29, étant composé d’un matériau choisi parmi un polymère, un métal, une céramique ou un composite.[Claim 30] Surgical insert according to any one of claims 10 to 29, being composed of a material chosen from a polymer, a metal, a ceramic or a composite.[Revendication 31] Insert chirurgical selon l’une quelconque des revendications 10 à 30, comprenant en outre une patte de fixation (14) s’étendant à partir d’une parmi les premières couches.[Claim 31] Surgical insert according to any one of claims 10 to 30, further comprising a fixing tab (14) extending from one of the first layers.[Revendication 32] Insert chirurgical selon l’une quelconque des revendications 10 à 31 , comprenant en outre un renfort mécanique (16).[Claim 32] Surgical insert according to any one of claims 10 to 31, further comprising a mechanical reinforcement (16).
PCT/FR2023/0513182022-09-012023-08-31Surgical insert and bone cementCeasedWO2024047317A1 (en)

Priority Applications (1)

Application NumberPriority DateFiling DateTitle
EP23772554.4AEP4580556A1 (en)2022-09-012023-08-31Surgical insert and bone cement

Applications Claiming Priority (4)

Application NumberPriority DateFiling DateTitle
FR22087952022-09-01
FR2208793AFR3139275B1 (en)2022-09-012022-09-01 Surgical insert
FR2208795AFR3139276B1 (en)2022-09-012022-09-01 Surgical insert and bone cement
FR22087932022-09-01

Publications (1)

Publication NumberPublication Date
WO2024047317A1true WO2024047317A1 (en)2024-03-07

Family

ID=88092842

Family Applications (2)

Application NumberTitlePriority DateFiling Date
PCT/FR2023/051319CeasedWO2024047318A1 (en)2022-09-012023-08-31Surgical insert
PCT/FR2023/051318CeasedWO2024047317A1 (en)2022-09-012023-08-31Surgical insert and bone cement

Family Applications Before (1)

Application NumberTitlePriority DateFiling Date
PCT/FR2023/051319CeasedWO2024047318A1 (en)2022-09-012023-08-31Surgical insert

Country Status (2)

CountryLink
EP (2)EP4580556A1 (en)
WO (2)WO2024047318A1 (en)

Citations (5)

* Cited by examiner, † Cited by third party
Publication numberPriority datePublication dateAssigneeTitle
US20030030170A1 (en)*2001-08-092003-02-13Asahi Kogaku Kogyo Kabushiki KaishaImplant forming method
US6905516B1 (en)*1999-05-192005-06-14Ecole Polytechnique Federale De Lausanne (Epfl)Calcium phosphate bone substitute
US20100145469A1 (en)*2007-02-072010-06-10Jake Edward BarraletBioceramic implants having bioactive substance
US20140121777A1 (en)*2011-09-162014-05-01Kyle RosenMulti-Piece Intervertebral Implants
US20210338454A1 (en)*2015-10-212021-11-04Mca Group, Llc3d printed osteogenesis scaffold

Family Cites Families (2)

* Cited by examiner, † Cited by third party
Publication numberPriority datePublication dateAssigneeTitle
JP3450920B2 (en)*1994-12-262003-09-29京セラ株式会社 Method for manufacturing bioprosthesis member
CA3014916A1 (en)*2016-02-182017-08-24Lifenet HealthBone graft and method of making and using same

Patent Citations (5)

* Cited by examiner, † Cited by third party
Publication numberPriority datePublication dateAssigneeTitle
US6905516B1 (en)*1999-05-192005-06-14Ecole Polytechnique Federale De Lausanne (Epfl)Calcium phosphate bone substitute
US20030030170A1 (en)*2001-08-092003-02-13Asahi Kogaku Kogyo Kabushiki KaishaImplant forming method
US20100145469A1 (en)*2007-02-072010-06-10Jake Edward BarraletBioceramic implants having bioactive substance
US20140121777A1 (en)*2011-09-162014-05-01Kyle RosenMulti-Piece Intervertebral Implants
US20210338454A1 (en)*2015-10-212021-11-04Mca Group, Llc3d printed osteogenesis scaffold

Non-Patent Citations (1)

* Cited by examiner, † Cited by third party
Title
GBURECK U ET AL: "Resorbable dicalcium phosphate bone substitutes prepared by 3D powder printing", ADVANCED FUNCTIONAL MATERIALS,, vol. 17, no. 18, 17 December 2007 (2007-12-17), pages 3940 - 3945, XP008115995, DOI: 10.1002/ADFM.200700019*

Also Published As

Publication numberPublication date
WO2024047318A1 (en)2024-03-07
EP4580556A1 (en)2025-07-09
EP4580555A1 (en)2025-07-09

Similar Documents

PublicationPublication DateTitle
Frazer et al.PMMA: an essential material in medicine and dentistry
FR2590175A1 (en) COLLAGEN IMPLANTS
Travan et al.Polysaccharide-coated thermosets for orthopedic applications: From material characterization to in vivo tests
Chichiricco et al.In situ photochemical crosslinking of hydrogel membrane for guided tissue regeneration
NL1032851C2 (en) Kit and method for fixing a prosthesis or part thereof and / or filling bony defects.
CN104812419B (en) Selectively polymerizable compositions and methods of their use in vivo
Menikheim et al.Self‐healing biomaterials: The next generation is nano
Kang et al.Microstructures and biological properties of 3D-printed titanium intervertebral spacer with the tri-calcium phosphate loaded demineralized bone matrix hydrogel
JP7522309B2 (en) Highly elastic calcium phosphate-based injectable bone graft material composition and its manufacturing method
EP2307064B1 (en)Biomaterials containing calcium phosphate
WO2024047317A1 (en)Surgical insert and bone cement
Ming Kuo et al.Evaluating chitosan/β‐tricalcium phosphate/poly (methyl methacrylate) cement composites as bone‐repairing materials
FR3139276A1 (en) Surgical insert and bone cement
EP1812089B1 (en)Composition for filling a bone defect
Luss et al.Gel Based on Hydroxyethyl Starch with Immobilized Amikacin for Coating of Bone Matrices in Experimental Osteomyelitis Treatment
Tang et al.Study on Synergistic Effects of Nanohydroxyapatite/High-Viscosity Carboxymethyl Cellulose Scaffolds Stimulated by LIPUS for Bone Defect Repair of Rats
CN111330074B (en)Modified bone cement material and preparation method thereof
KR20230022392A (en)Composition for praparing organic-inorganic complex hydrogel and kit for preparing organic-inorganic complex hydrogel comprising the same
Wang et al.A novel in-situ hybrid-crosslinked oxidized hyaluronic acid/Gel-MA hydrogel membrane with significantly enhanced mechanical and osteogenic properties for guided bone regeneration
Kothawade et al.Polymers in Modern Medicine (Part 1)
Bedse et al.Polymeric Implants and Prosthetics
FR3139275A1 (en) Surgical insert
FR2937872A1 (en)Product, useful as bone substitute, comprises biocompatible and extrudable filling biomaterial and biocompatible and injectable biomaterial in gel/paste form, as combined preparation for simultaneous/sequential use to fill bony defect
MartinsTailoring biomaterials for vertebral body repair-Synthesis, characterization and application
FR2993183A1 (en) INJECTABLE BONE SUBSTITUTE COMPOSITION

Legal Events

DateCodeTitleDescription
121Ep: the epo has been informed by wipo that ep was designated in this application

Ref document number:23772554

Country of ref document:EP

Kind code of ref document:A1

WWEWipo information: entry into national phase

Ref document number:2023772554

Country of ref document:EP

NENPNon-entry into the national phase

Ref country code:DE

ENPEntry into the national phase

Ref document number:2023772554

Country of ref document:EP

Effective date:20250401

WWPWipo information: published in national office

Ref document number:2023772554

Country of ref document:EP


[8]ページ先頭

©2009-2025 Movatter.jp