Method for preparing sterile compositions
Field of invention
The present invention relates to methods for the preparation of a sterile composition comprising a conjugate of sodium hyaluronate or hyaluronic acid and a pharmaceutically active compound. The invention also relates to sterile compositions, for example compositions that may be prepared by the methods of the invention.
Background
Hyaluronan is an anionic, nonsulfated glycosaminoglycan distributed throughout connective, epithelial, and neural tissues in humans and other vertebrates. Hyaluronic acid (HA) is a polysaccharide built of disaccharide repeating residues of p-D-glucuronic acid and /V-acetyl-|3-D-glucosamine, where the linkage is (1— >3) from the glucuronic acid to the glucosamine, and (1— >4) from the glucosamine to the glucuronic acid. Hyaluronan refers to all physiological forms of hyaluronic acid, the most common being the sodium salt (sodium hyaluronate; NaHA). However, the term hyaluronic acid is commonly used in the literature for referring to any of its forms:
Hyaluronic acid (Z = H) Sodium hyaluronate (Z = Na)
It is a large molecule and can have a molecular weight of several or more million Daltons. Hyaluronan is present in most tissues in mammals in the extracellular matrix. In mammals, hyaluronan is found in higher amounts in the umbilical cord, and it is a constituent of the vitreous body and joint cartilage. Hyaluronan is an important constituent of the synovial fluid. It has high viscosity and provides lubrication to the joints. Hyaluronan and modified derivatives of hyaluronan are currently used in in vivo applications such as eye surgery, cosmetic injections and intraarticular injections to treat osteoarthritis.
It is also known to conjugate a pharmaceutically active compound to hyaluronic acid and to use the conjugate for therapeutic, cosmetic or other purposes. For example, such conjugates are known from WO2007/126154, Zhikui Dong et al., "Improved stability and tumor targeting of 5-fluorouracil by conjugation with hyaluronan", Journal of Applied Polymer Science, 130(2), 927-932 and WO2015/128787.
Medical materials and compounds, including hyaluronic acid derivatives and conjugates, must be sterile when used. Sterilisation methods that are commonly applied to hyaluronic acid-based medical materials include filtration, dry or wet heat treatment, ethylene oxide gas (EOG) sterilisation, electron beam sterilisation and radiation sterilisation. For further details, see for example: "An Effective Translation: The Development of Hyaluronan-Based Medical Products From the Physicochemical, and Preclinical Aspects", Huerta-Angeles et al., Front Bioeng Biotechnol., 2018, 6, 62. However, application of such sterilisation methods typically results in degradation of the hyaluronic acid material (a reduction in weightaverage molecular weight of hyaluronic acid), which can limit the utility of hyaluronic acid - based materials for some medical treatments.
Chemical sterilisation (such as EOG sterilisation) can result in chemical contaminants that remain in the hyaluronic acid. Heating methods can avoid chemical contamination but can degrade hyaluronic acid and alter its structure (see for example US 5621093 A).
While low molecular weight hyaluronic acid has been shown to have beneficial effects in certain medical uses, for example in wound healing, many medical uses of hyaluronic acid use high molecular weight hyaluronic acid. There is therefore a need for methods for the sterilisation of hyaluronic acid materials which result in no, or only limited, degradation of the hyaluronic acid or the hyaluronic acid material.
Summary of the invention
The invention provides a method for the preparation of a sterile composition comprising a conjugate of sodium hyaluronate or hyaluronic acid and a pharmaceutically active compound, comprising providing a conjugate of sodium hyaluronate or hyaluronic acid and a pharmaceutically active compound, and exposing the conjugate to ionising radiation.
The invention also provides a sterile composition comprising a conjugate of sodium hyaluronate or hyaluronic acid and a pharmaceutically active compound, obtained by or obtainable by the method of the invention.
The invention also provides a sterile composition comprising a conjugate of sodium hyaluronate or hyaluronic acid and a pharmaceutically active compound, characterised by a sterility assurance level of IO-6 or better.
Detailed description
The invention provides a method for the preparation of a sterile composition comprising a conjugate of sodium hyaluronate or hyaluronic acid and a pharmaceutically active compound, comprising exposing a conjugate of sodium hyaluronate or hyaluronic acid and a pharmaceutically active compound to ionising radiation. The method is beneficial as it provides a conjugate of sodium hyaluronate or hyaluronic acid and a pharmaceutically active compound that is sterile, as is required for use as a medical material. Surprisingly, degradation of sodium hyaluronate or hyaluronic acid that can occur under ionising radiation only takes place to a small extent when the method of the invention is carried out.
When sodium hyaluronate or hyaluronic acid is treated with ionising radiation, the sodium hyaluronate or hyaluronic acid is typically degraded and the average molecular weight is significantly reduced. Irradiation methods, such as with gamma radiation, are known to induce significant degradation of hyaluronic acid, to the extent that gamma radiation is widely used for the deliberate production of low-molecular weight hyaluronic acid by breaking down high molecular weight hyaluronic acid.
In Huang et al. (Polymers, 2019, 11, 1214), low molecular weight hyaluronic acid (LMWHA) powders for use in wound dressings were prepared from higher molecular weight (MW) hyaluronic acid. Treatment of hyaluronic acid (MW 3000 kDa) with 20 kGy gamma radiation resulted in over 90% decrease in average molecular weight of hyaluronic acid, and treatment with higher doses of gamma radiation produced lower molecular weights. Choi et al. (Carbohydrate Polymers, 2010, 79, 1080) describes the degradation of high molecular weight hyaluronic acid in powder form (average molecular weight 1042 kDa) to low molecular weight fragments (200-230 kDa) by several methods, including electron beam irradiation, gamma ray irradiation, microwave irradiation and heat treatment. Treatment with gamma radiation at a dose of 50 kGy produced LMWHA with average molecular weight of 211 kDa.
US 6,383,344 Bl describes a method for reducing the molecular weight of a high molecular weight polymer such as hyaluronic acid, in which the solid phase polymer is exposed to a dose of gamma radiation. Exposure to higher doses of gamma radiation resulted in lower molecular weights of the resulting hyaluronic acid.
US 9,011,894 B2 describes a method for sterilising hyaluronic acid-derived materials using gamma radiation. The method produces hyaluronic acid-based materials that have been sterilised by gamma radiation with high molecular weight; however, the problem of degradation of the hyaluronic acid was recognised and the inventors found that the addition of stabilising excipients was required in order to avoid a significant reduction of the molecular weight. The stabilising excipients that were used were chelating agents, radical scavengers, anti-oxidants, solubilizers, and thiols, in particular ascorbic acid, dithiothreitol (DTT), ethylenediamine tetraacetic acid (EDTA), and sucrose (or mixtures thereof).
Such additives may need to be removed from the composition before it can be used for its intended purpose, adding another step to the preparation process which may be costly, time-consuming, or impact the sterility of the final product.
The current inventors have surprisingly found that when a conjugate of sodium hyaluronate or hyaluronic acid and a pharmaceutically active compound is treated with ionising radiation, the average molecular weight remains considerably higher than when hyaluronic acid alone is treated with ionising radiation. Surprisingly, sterilisation can be achieved using the method of the invention without substantial degradation of the conjugate of sodium hyaluronate or hyaluronic acid.
Furthermore, this is achieved without the inclusion of a stabilising excipient, for example without the inclusion of a chelating agent, a radical scavenger, an anti-oxidant, a solubilizer, or a thiol (for example without inclusion of ascorbic acid, dithiothreitol (DTT), ethylenediamine tetraacetic acid (EDTA), and sucrose (or mixtures thereof)). In a preferred embodiment of the invention, the conjugate of hyaluronic acid and a pharmaceutically active compound is exposed to the ionising radiation without such a stabilising agent being present. In certain embodiments, a stabilising agent may be used to still further improve the product of the method.
The invention provides a sterile composition comprising a conjugate of sodium hyaluronate or hyaluronic acid and a pharmaceutically active compound, characterised by having been treated by a sterilization method that provides a sterility assurance level (SAL) of IO-6 or better.
The invention also provides a sterile composition comprising a conjugate of sodium hyaluronate or hyaluronic acid and a pharmaceutically active compound, characterised by the conjugate of sodium hyaluronate or hyaluronic acid having a molecular weight of 16,000 to 2,400,000 Da, 40,000 to 1,200,000 Da, or 40,000 to 900,000 Da (for example, about 120,000 to 750,000 Da, about 150,000 to 600,000 Da, about 300,000 to 750,000 Da, about 500,000 to 1,000,000 Da, or about 300,000 to 500,000 or 300,000 to 420,000 Da). In one embodiment, invention provides a sterile composition comprising a conjugate of sodium hyaluronate or hyaluronic acid and a pharmaceutically active compound, characterised by the conjugate of sodium hyaluronate or hyaluronic acid having a molecular weight of about 200,000 to 500,000 Da (for example about 200,000 to 400,000 Da, about 250,000 to 400,000 Da, about 250,000 to 420,000 Da, about 250,000 to 420,000 Da, about 250,000 to 400,000 Da, or about 300,000 to 400,000 Da). In one embodiment, the average molecular weight of the conjugate after being exposed to the ionising radiation is about 250,000 to 400,000 Da, or about 300,000 to 400,000 Da. The sterile composition may optionally be further characterised by having a sterility assurance level (SAL) of IO-6 or better. As noted below, there is little difference between average molecular weight for sodium hyaluronate or hyaluronic acid, or conjugates of sodium hyaluronate or hyaluronic acid, when defined using Mn or Mw. Preferably, the average molecular weights defined in this paragraph are the Mw. Alternatively, the average molecular weights may be the Mn. More preferably, the average molecular weights are the Mwand AF4 is used as the method for the measurement of the Mw(for example, AF4 combined with UV-FL-MALS-RI detectors is used to directly measure Mw using the light scattering and concentration data).
Conjugates of hyaluronic acid and pharmaceutically active compounds
Hyaluronic acid is well known and widely used in medical applications. Conjugates can be prepared with various pharmaceutically active compounds by conventional chemical synthetic routes. Numerous conjugates of hyaluronic acid and a pharmaceutically active compound are known in the art. For example, such conjugates are known from WO2007/126154, Zhikui Dong et al., "Improved stability and tumor targeting of 5- fluorouracil by conjugation with hyaluronan", Journal of Applied Polymer Science, 2013, 130(2), 927-932, and WO2015/128787.
In general in a conjugate of hyaluronic acid and a pharmaceutically active compound, the pharmaceutically active compound is linked to the hyaluronic acid by a linker group.
Various linker groups have been proposed and certain linkers have advantages in certain situations and uses. For example, for certain applications, it can be beneficial if the linker releases the pharmaceutically active compound from the hyaluronic acid when the conjugate is in a physiological environment. For other applications, it can be beneficial if the linker does not release the pharmaceutically active compound from the hyaluronic acid when the conjugate is in a physiological environment, or does so only very slowly. That way the pharmaceutically active compound can have its desired effect for an extended period at the desired site.
Typically, a linker comprises at least two atoms in its chain, with side groups as appropriate. For example, the linker comprises a chain of 2 to 15 atoms length connecting the hyaluronic acid and the pharmaceutically active compound.
As hyaluronic acid contains acid groups, a linker can be most conveniently attached to the hyaluronic acid polymer by attachment to acid group, for example by formation of an ester or an amide group. Many pharmaceutically active compounds contain groups that can be used as attachment points for a linker. Examples of suitable attachment point groups are acid groups, alcohol groups and amine groups.
Pharmaceutically active compounds that are of interest for attachment to hyaluronic acid include nonsteroidal anti-inflammatory drugs (NSAIDs). A prominent example of such a drug is diclofenac and diclofenac contains an acid group. That acid group can be conveniently be used as the attachment point to the linker. That can be achieved, for example, by formation of an ester or an amide group. Examples of conjugates of hyaluronic acid and diclofenac are with structures of this type are known from, for example, WO2007/126154 and WO2015/128787.
For example, a conjugate of hyaluronic acid and a pharmaceutically active compound can comprise hyaluronic acid having free hemi-ester-groups and a pharmaceutically active compound bound to the hyaluronan via reacted hemi-ester groups (becoming ester groups or amides), thereby forming a linker of chain length L of 2-9 atoms. Thus, in the hyaluronic acid conjugate, some of the hemi-ester-groups are free and others are bound to the pharmaceutically active compound. In a specific embodiment, the hyaluronic acid conjugates may be manufactured by providing hyaluronic acid in solution or gel form, reacting the hyaluronic acid in solution or gel form with an anhydride reagent (for example succinic anhydride) to provide a hyaluronic acid hemi-ester with a chain of length L between the hyaluronic acid and the ester group, referred to herein as activated hyaluronic acid, and subsequently binding the hyaluronic acid hemi-ester to a pharmaceutically active compound.
According to a specific embodiment of the invention, the linker comprises a carbon backbone, optionally including one or two oxygen atoms in the backbone. The carbon backbone of the hemi ester chain can optionally include one or more branches of alkyl, aryl, oxy-alkyl or oxy-aryl.
In a more specific embodiment, the chain that is bound to the hyaluronan is of the formula:
- C(O)— (CHR)n- (CHzjfm-n)- COO-, where n is 0 or 1, m = 2-8, e.g. 2, 3, 4, 5, 6, 7 or 8, and R = alkyl, aryl, O-alkyl or O-aryl, or -C(O)-(CHR)n-(CH2)(p-i)-O-(CH2)q-COO , where n is 0 or 1, p and q are individually 1-4, e.g. 1, 2, 3 or 4, and R = alkyl, aryl, O-alkyl or O-aryl.
In further embodiments, the linker that binds the pharmaceutically active compound to the hyaluronan is of the formula:
-C(OHCH2)m-COO- where m = 2-8, e.g. 2, 3, 4, 5, 6, 7 or 8,
-C(O)-(CH2)P-O-(CH2)q-COO“, where p and q are individually 1-4, e.g. 1, 2, 3 or 4, or
-C(O)-(CH2)r-O-(CH2)s-O-(CH2)t-COO“, where r and t are individually 1-2 and s is 2.
One skilled in the art will appreciate that in the reaction of the hyaluronan with an anhydride reagent, the activated intermediate includes free hemiester groups which may be in the form of salts, e.g. sodium salts, of the ester groups, wherein, in each of the above formulas, -COO- is -COONa.
It will be understood that in solution many of the carboxylate groups will be in their ionised form, the level typically depending on the pH of the solution. It will also be understood that the conjugates can be in the form of the sodium salt. Herein, reference to a conjugate of hyaluronic acid and a pharmaceutically active compound should (unless the context dictates otherwise) be understood to include a conjugate of hyaluronic acid in all physiological forms and a pharmaceutically active compound (i.e. a conjugate of hyaluronan and a pharmaceutically active compound), including a conjugate of sodium hyaluronate (NaHA) and a pharmaceutically active compound.
In an embodiment, the hyaluronan is cross-linked to form a gel, for example as disclosed in Laurent et al. (Acta. Chem. Scand., 1964, 18(1), 274-275) and Maison et al. (US 4,716,154), before activation by the formation of the hemi-ester and/or subsequent binding of a drug via ester or amide binding.
In an embodiment, the formation of hyaluronan-succinyl hemi-esters (HSE) and subsequent connection of a pharmaceutically active substance is by ester binding. Anhydrides other than succinic anhydride, and esters formed therefrom, may also be used. In one specific embodiment, glutaryl-hemi esters are employed. The degree of ester substitution can be influenced by changing the proportion of the anhydride reagent to the hyaluronan polymer, the reaction time, and the temperature.
Typically, without raising the temperature above room temperature, an average degree of substitution (DS) of up to 3 mol hemi-succinate per mol hyaluronan repeating disaccharide unit can be obtained. In a specific embodiment, the average degree of substitution is 0.5-3 and, in a more specific embodiment, is 1-3 or 2-3 mol hemi-ester, e.g. hemi-succinate, per mol hyaluronan repeating disaccharide unit.
Formula (I) shows a schematic representation of an HSE-drug conjugate that can be used in the current invention:
wherein X is H, -CO-CH
2CH
2-COONa, -CO-CH
2CH
2-CO-NH-CH
2CH
2-O-CH
2CH
2-O-DRUG, or -CO-C H
2C H
2-CO-N H-C H
2C H
2-O-C H
2C H
2-O-CO-C H
2C H
2-CO-D R U G, W he re i n D R U G represents the pharmaceutically active compound.
For example, the DRUG may be diclofenac, for example attached through its acid group.
In theory, the drug (i.e. the pharmaceutically active compound) molecules can occupy all carboxyl groups exposed by the HSE, but in practice, higher substitutions can unfavorably change the properties of the polymer, particularly if a solution suitable for injection is desired. For the substitution with diclofenac, an average degree of substitution (DS) less than or equal to 0.3 mol drug per mol hyaluronan disaccharide repeating unit is favorable for the formulation of an injectable solution. Depending on the intended use, an average substitution degree from 0.01-0.3, in particular 0.05-0.2, mol drug per mol hyaluronan disaccharide repeating unit may be employed. For drugs other than diclofenac, other substitution degrees might be preferred. For the manufacture of solid formulations, for example films or particles, the intended use will determine the preferred DS, and for applications where high doses are needed, an average DS up to 3 mol drug per mol hyaluronan is preferred.
In another specific embodiment of the invention, the drug in the conjugate is dexamethasone. The preparation of a suitable HA-dexamethasone conjugate is described in WO2015/128787.
In preferred embodiments of the invention, the pharmaceutically active compound (for example the DRUG in the of Formula (I) above) is diclofenac, for example diclofenac attached through its acid group.
In one embodiment of the invention, the pharmaceutically active compound (i.e. the drug in the conjugate, for example the DRUG in the of Formula (I) above) is a non-steroidal antiinflammatory drug (for example selected from the group consisting of diclofenac, ibuprofen, ketoprofen, bromfenac, aceclofenac, flunixin and carprofen), a steroid (for example selected from the group consisting of dexamethasone and prednisolone), an antibiotic (for example selected from the group consisting of metronidazole, azithromycin and levofloxacin), a plant alkaloid (for example podophyllotoxin), an antiviral (for example aciclovir), a chemotherapeutic agent (for example selected from the group consisting of paclitaxel, docetaxel, doxorubicin and daunorubicin), a retinoid (for example adapalene), an immunosuppressant (for example selected from the group consisting of cyclosporine and tacrolimus), a prostaglandin analog (for example latanoprost), a mast cell stabilizer (for example selected from the group consisting of cromoglicic acid, nedocromil and olopatadine), an antihistamine (for example selected from the group consisting of levocabastine and bepotastine) or an analgesic (for example an opioid, such as morphine). In a preferred embodiment of the invention the pharmaceutically active compound (i.e. the drug in the conjugate, for example the DRUG in the of Formula (I) above) is a non-steroidal anti-inflammatory drug (for example selected from the group consisting of diclofenac, ibuprofen, ketoprofen, bromfenac and aceclofenac) or a steroid (for example selected from the group consisting of dexamethasone and prednisolone). In another embodiment of invention, the drug in the conjugate is cisplatin. Further pharmaceutically active compounds that may be used include ibuprofen, ketoprofen, naproxen, bromfenac, aceclofenac, prednisolone, metronidazole, podophyllotoxin, paclitaxel, flunixin, carprofen, docetaxel, doxorubicin, daunorubicin, adapalene, azithromycin, levofloxacin, aciclovir, cyclosporine, tacrolimus, latanoprost, cromoglicic acid, levocabastine, nedocromil, olopatadine, bepotastine and morphine.
In an embodiment of the invention, the conjugate does not comprise sulphate groups. In another embodiment of the invention, the conjugate does not comprise sulphur containing groups. In another embodiment of the invention, the conjugate of the invention does not comprise sulphated sodium hyaluronate or sulphated hyaluronic acid groups (for example the compound does not comprise -OH groups that have been converted to sulphate groups, for example by esterification with sulphuric acid).
The conjugate of the invention may be produced by providing hyaluronan in solution, reacting the hyaluronan in solution with an anhydride reagent to provide a hyaluronan hemi-ester having hemi-ester groups, and subsequently bonding the hyaluronan hemi-ester to the pharmaceutically active compound.
In an embodiment, the hyaluronan in solution is reacted with an anhydride reagent, for example succinic anhydride. A solution of the hyaluronan may be provided using a suitable solvent for solid sodium hyaluronate, for example formamide, with the addition of a tertiary amine, a pyridine or a substituted pyridine. In a specific embodiment, the solvent is pyridine, optionally with the addition of 4-dimethyl-amino-pyridine (DMAP) or 2,6-dimethyl- 4-dimethylamino-pyridine. This procedure allows for dissolution of the solid sodium hyaluronate without extra steps such as ion exchange to the acid form, hyaluronic acid, that are typically used in the prior art.
In previously described methods, such as the method described in WO 96/35720, dimethyl formamide (DMF) is used as a solvent. In this solvent, however, sodium hyaluronate is not soluble, and an ion exchange to the acid form of hyaluronan in water or transfer to an amine salt is required before dissolution in DMF, followed by evaporation to remove water, re-dissolution in DMF and then addition of reagents.
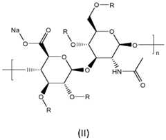
In an embodiment, the conjugate is produced by the addition of reagents directly after dissolution in the formamide solvent, thus giving a simpler and shorter procedure than those commonly employed in the prior art for the synthesis of the hemi-ester of Formula (II):
in which R is H or the ester chain, for example, -CO-CHz-CHz-COO-Na in the case of succinic anhydride.
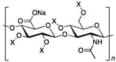
In an embodiment, the conjugate is produced by the addition of reagents directly after dissolution in the formamide solvent, thus giving a simpler and shorter procedure than those commonly employed in the prior art for the synthesis of the hemi-ester of Formula (I):

in which X is H or the ester chain, for example, -CO-CHz-CHz-COO-Na in the case of succinic anhydride. The hemi-ester, for example succinylated hyaluronan (HSE), can then be reacted with amino group-containing compounds to obtain amides on the carboxyl groups which are exposed on the hyaluronan hemi-ester. A desired pharmaceutically active agent can be provided with an amino functionality. In specific embodiments, the amino functionality is combined with a longer moiety in order to space the pharmaceutically active agent from the hyaluronan and to provide better access for the degrading enzymes in vivo. Additionally, in specific embodiments, coupling of the amine-functionalized pharmaceutically active agent to the hyaluronan hemi-ester group may be performed in water-containing media, i.e., water or an aqueous solvent, for example in a DMF-water mixture or in suitable water-based buffers. This feature makes it possible to link molecules that are difficult to dissolve in aprotic solvents.
In an embodiment of the invention, the conjugate is produced by: providing hyaluronan in solution, reacting the hyaluronan in solution with an anhydride reagent to provide a hyaluronan hemi-ester having hemi-ester groups of the formula: - C(O)— (CHR)n- (CHzjfm-n)- COO-, where n is 0 or 1, m = 2-8, and R = C1-4 alkyl, Ce-io aryl, O-C1-4 alkyl or O-Ce-io aryl; or -C(O)-(CHR)n-(CH2)(p-i)-O-(CH2)q-COO-, where n is 0 or 1, p and q are individually 1-4, and R = C1-4 alkyl, Ce-io aryl, O-C1-4 alkyl or O-Ce-io aryl; and subsequently bonding the hyaluronan hemi-ester to a pharmaceutically active compound.
In an alternative embodiment, the conjugate is produced by: providing hyaluronan in solution, reacting the hyaluronan in solution with an anhydride reagent to provide a hyaluronan hemi-ester having hemi-ester groups of the formula: -C(0)-(CH2)m-C00-, where m is 2-8, -C(O)-(CH2)p-O-(CH2)q-COO-, where p and q are both 1-4, or -C(O)-(CH2)r-O-(CH2)s-O-(CH2)t-COO-, where r and t are 1-2 and s is 2; and subsequently bonding the hyaluronan hemi-ester to a pharmaceutically active compound.
In another alternative embodiment, the conjugate is produced by: providing hyaluronan in solution, reacting the hyaluronan in solution with an anhydride reagent to provide a hyaluronan hemi-ester having hemi-ester groups of the formula: -CO-CH2CH2-COO-
-CO-C H2C H 2-CO-N H-C H2C H2-O-C H2C H2-O" o r
-CO-C H2C H 2-CO-N H-C H2C H2-O-C H2C H2-O-CO-C H2C H2~CO~; and subsequently bonding the hyaluronan hemi-ester to a pharmaceutically active compound.
The sterilisation method
In the method of the invention, the sterile composition is prepared by exposing the composition comprising a conjugate of sodium hyaluronate or hyaluronic acid and a pharmaceutically active compound to ionising radiation. Ionising radiation is radiation by particles, X-rays, or gamma rays with sufficient energy to cause ionisation in the medium through which it passes. In certain embodiments, the composition exposed to the ionising radiation consists of, or consists essentially of, sodium hyaluronate or hyaluronic acid and a pharmaceutically active compound.
In embodiments of the invention, the ionising radiation is beta, gamma or X-ray radiation. In a preferred embodiment of the invention, the ionising radiation is beta or gamma radiation. In a particularly preferred embodiment of the invention, the ionising radiation is gamma radiation.
In embodiments of the invention, the method may be carried out in air, or under an inert atmosphere such as nitrogen or argon, or under vacuum. It has been found that exposing hyaluronic acid-based materials to ionising radiation under an inert atmosphere results in reduced degradation of the hyaluronic acid than when carried out under air. Therefore in a preferred embodiment of the invention, the conjugate is exposed to ionising radiation under an inert atmosphere. In a more preferred embodiment of the invention, the inert atmosphere is an argon atmosphere or a nitrogen atmosphere. For example, the inert atmosphere is an argon atmosphere. Alternatively, the inert atmosphere is a nitrogen atmosphere. The method of the invention may be performed on conjugates of hyaluronic acid and a pharmaceutically active compound which is in solid form, or in solution. In a preferred embodiment of the invention, the method is performed on the conjugate in solid form. In a particularly preferred embodiment of the invention, the method is performed on the conjugate in the form of a powder.
Medical devices and materials that enter the body must be sterile. In this field, materials need to pass validated sterility tests (Ph. Eur., 11th edition, 2.6.1. monograph and USP, 43rd edition, <71> monograph) before being released for medical use. As described in Ph. Eur., 11th edition, 5.1.1. monograph, "The sterility of a product cannot be guaranteed by testing; it has to be assured by the application of a suitably validated production process. It is essential that the effect of the chosen sterilisation procedure on the product (including its final container or package) is investigated to ensure effectiveness and the integrity of the product and that the procedure is validated before being applied in practice". For that reason, the sterility assurance level is used to express sterility. The sterility assurance level (SAL) is the probability that a single unit that has been subjected to sterilization nevertheless remains nonsterile, i.e. the probability of any surviving microorganism following sterilisation. A SAL of IO-6 means a 1 in 1,000,000 chance of a non-sterile unit. A SAL of IO-6 is generally required for a medical material to be used in the body, whereas a SAL of 10-3 may be acceptable for materials that are intended for intact skin contact only (Ph. Eur., 11th edition, 5.1.1. monograph and ISO 11137-1:2006, -2:2013 and -3:2017 guidelines). The SAL of a specific sterilization process for a certain material is established by corresponding validation studies of the process.
Ph. Eur., 11th edition, 5.1.1. monograph describes that, when ionising radiation is used as a sterilisation method, the reference absorbed dose is 25 kGy. USP, 43rd edition, <1211> monograph states "the reader is referred to ISO 11137-1, -2, and -3 for a complete description of process development, validation, and routine control of ionizing radiation processes”. In ISO 11137-2:2013 (sterilization of health care products), 25 kGy (Verification Dose Maximum (VDmax25) method) is the accepted standard dose, and it is recommended for products with a maximum bioburden of 1000 CFU. The validation method for processes using ionising radiation as a sterilization method is provided in ISO 11137-2:2013. The degree of degradation of a hyaluronic acid-based material when exposed to ionising radiation is related to the dose of radiation it receives. Treatment with higher doses of gamma radiation typically results in lower average molecular weight of the sterilised hyaluronic acid material. In Huang et al., Polymers, 2019, 11, 1214, the authors found that treatment of hyaluronic acid having a MW of 3000 kDa with 20 kGy gamma radiation resulted in over 90% decrease in average molecular weight of HA; treatment at 40 kGy reduced the average molecular weight by over 95%; and 60 kGy by over 98%. The inventors have found that when a conjugate of hyaluronic acid and a pharmaceutically active compound is exposed to ionising radiation, a higher average molecular weight of the sterilised conjugate is retained than when unconjugated hyaluronic acid is exposed to the same dose of radiation. It has been found by the current inventors that sterilisation is achieved whilst degradation is at an acceptably low level.
In an embodiment of the invention, the dose of the ionising radiation to which the conjugate of hyaluronic acid and a pharmaceutically active compound is exposed is around
5-40 kGy. In an embodiment of the invention, the dose of the ionising radiation is around
6-40 kGy. In an embodiment of the invention, the dose of the ionising radiation is around 8-40 kGy. In a preferred embodiment of the invention, the dose of ionising radiation is around 15-40 kGy. In a more preferred embodiment of the invention, the dose of ionising radiation is around 20-40 kGy. In a more preferred embodiment of the invention, the dose of ionising radiation is around 20-35 kGy. In a more preferred embodiment of the invention, the dose of ionising radiation is around 20-30 kGy. In an especially preferred embodiment of the invention, the dose of ionising radiation is around 25 kGy. In an especially preferred embodiment of the invention, the dose of ionising radiation is around 25 kGy and is verified by the VDmax25 method in ISO 11137-2:2013.
In another embodiment of the invention, the dose of the ionising radiation to which the conjugate of hyaluronic acid and a pharmaceutically active compound is exposed is around 25-40 kGy, for example 25-32 kGy. In a preferred embodiment of the invention, the dose of ionising radiation is around 30-40 kGy. In a more preferred embodiment of the invention, the dose of ionising radiation is around 30-35 kGy. In another embodiment of the invention, the dose of ionising radiation is 35-40 kGy. In another embodiment of the invention, the dose of the ionising radiation to which the conjugate of hyaluronic acid and a pharmaceutically active compound is exposed is around 10-30 kGy. In a preferred embodiment of the invention, the dose of ionising radiation is around 10-25 kGy. In a more preferred embodiment of the invention, the dose of ionising radiation is around 10-20 kGy. In a more preferred embodiment of the invention, the dose of ionising radiation is around 10-15 kGy. In another embodiment of the invention, the dose of ionising radiation is around 15-20 kGy.
The method of the invention can be performed at temperatures up to ambient temperature. It has been found that applying ionising radiation to hyaluronic acid-based materials at low temperatures results in higher average molecular weights in the resulting sterilised materials.
In preferred embodiments of the invention, the conjugate is exposed to the ionising radiation at a temperature of -120°C to 30°C. In preferred embodiments of the invention, the conjugate is exposed to the ionising radiation at a temperature of -80°C to 30°C, for example -80°C to 0°C. In preferred embodiments of the invention, the conjugate is exposed to the ionising radiation at a temperature of -80°C to -20°C. In more preferred embodiments of the invention, the conjugate is exposed to the ionising radiation at a temperature of -80°C to -40°C. In an especially preferred embodiment of the invention, the conjugate is exposed to the ionising radiation at a temperature of -78°C.
The molecular weight of polymers such as hyaluronic acid, and conjugates of hyaluronic acid (including conjugates of sodium hyaluronate), is expressed as an average molecular weight, or as molecular mass distribution or molecular weight distribution, because polymers are made up of many molecular weights, or a distribution of chain lengths. The average or distribution can be defined in different ways, depending on the statistical method used. For example, it can be defined as the number average molar mass (Mn, generally expressed using the units Da), which simply averages the molecular masses of the individual polymer lengths, and the weight- (or mass-) average molar mass (Mw, generally expressed using the units g/mol or Da), in which larger molecules have a larger contribution to the average than smaller molecules. Mw can be measured, and it can be converted to Mn, for example under the assumption that the fractions are homogenous. There is little difference between the value for the 'average molecular weight' for hyaluronic acid, or conjugates hyaluronic acid (including conjugates of sodium hyaluronate), when defined using Mn or Mwand both may be used to define the 'average molecular weight' for those polymers. When molecular weight or average molar mass are referred to herein, it may be Mn or Mw. Preferably it is Mw (for example Mw wherein AF4 is used as the method for the measurement of Mw; and even more preferably wherein AF4 combined with UV-FL-MALS-RI detectors is used to directly measure Mw using the light scattering and concentration data).
Average molecular weight of the conjugates can be assessed by various methods known in the art. For example, average molecular weight of the conjugates can be measured by asymmetrical flow field-flow fractionation (AF4) (Kwon et al., Depolymerization study of sodium hyaluronate by flow field-flow fractionation/multiangle light scattering, Anal. Bioanal. Chem., 2009, 395, 519-525), but other methods can be used, such as viscometry, conventional size exclusion chromatography (conventional-SEC), size exclusion chromatography with multi-angle laser light scattering detector (SEC-MALLS), or gel electrophoresis (Cowman and Mendichi, Methods for Determination of Hyaluronan Molecular Weight, Chemistry and Biology of Hyaluronan, chapter 3, Elsevier Science Ltd., 2004, pp. 41-69). It is of course necessary for molar masses of two compositions that are being compared to be established using the same method.
For compounds of the invention, AF4 has been found to be the most reliable method for the assessment of average molar mass (in particular for weight-average molar mass), and in particular AF4 combined with UV-FL-MALS-RI detectors used to directly obtain Mw using the light scattering and concentration data.
The method of the invention allows the use of ionising radiation for sterilisation of hyaluronic acid conjugates incorporating a pharmaceutically active compound, while maintaining an average molecular weight in the resulting sterilised conjugate that does not impair or restrict the utility of the conjugate as a medical material, without the need for the addition of stabilising additives which may need to be removed from the composition in a further processing step. In embodiments of the invention, the average molecular weight of the conjugate after being exposed to the ionising radiation is more than 40% of the starting average molecular weight of the conjugate before being exposed to the ionising radiation. In preferred embodiments of the invention, the average molecular weight of the conjugate after being exposed to the ionising radiation is more than 45%, preferably more than 50%, for example more than 55% or 60% of the starting average molecular weight of the conjugate before being exposed to the ionising radiation. In an especially preferred embodiment of the invention, the average molecular weight of the conjugate after being exposed to the ionising radiation is more than 60% of the starting average molecular weight of the starting average molecular weight of the conjugate before being exposed to the ionising radiation. That is to say that the average molecular weight of the conjugate after being exposed to the ionising radiation is at least 60% of the average molecular weight before the irradiation step.
In embodiments of the invention, the reduction in average molecular weight of the conjugate after being exposed to the ionising radiation is less than 60% of the starting average molecular weight of the conjugate before being exposed to the ionising radiation. In preferred embodiments of the invention, the reduction in average molecular weight of the conjugate after being exposed to the ionising radiation is less than 55%, preferably less than 50%, for example less than 45% or 40% of the starting average molecular weight of the conjugate before being exposed to the ionising radiation. In an especially preferred embodiment of the invention, the reduction in average molecular weight of the conjugate after being exposed to the ionising radiation is less than 40% of the starting average molecular weight of the conjugate before being exposed to the ionising radiation.
As noted above, there is little difference between average molecular weight for sodium hyaluronate or hyaluronic acid, or conjugates of sodium hyaluronate or hyaluronic acid, when defined using Mn or Mw. Preferably, the average molecular weight changes defined in above are the Mw changes. Alternatively, the average molecular weight changes may be the Mnchanges. More preferably, the average molecular weight changes are the Mw changes and AF4 is used as the method for the measurement of the Mw (for example, AF4 combined with UV-FL-MALS-RI detectors is used to directly measure Mw using the light scattering and concentration data). In an embodiment, the starting average molecular weight of the conjugate before being exposed to the ionising radiation is about 40,000 to 4,000,000 Da. In a preferred embodiment, the starting average molecular weight of the conjugate before being exposed to the ionising radiation is about 100,000 to 2,000,000 Da. In a more preferred embodiment, the starting average molecular weight of the conjugate before being exposed to the ionising radiation is about 100,000 to 1,500,000 Da, for example about 200,000 to 1,250,000 Da or about 250,000 to 1,000,000 Da. In an especially preferred embodiment, the starting average molecular weight of the conjugate before being exposed to the ionising radiation is about 500,000 to 1,250,000 Da. In another especially preferred embodiment, the starting average molecular weight of the conjugate before being exposed to the ionising radiation is about 500,000 to 1,000,000 Da. In another especially preferred embodiment, the starting average molecular weight of the conjugate before being exposed to the ionising radiation is about 500,000 to 700,000 Da. As noted above, there is little difference between average molecular weight for sodium hyaluronate or hyaluronic acid, or conjugates of sodium hyaluronate or hyaluronic acid, when defined using Mn or Mw. Preferably, the starting average molecular weights defined in this paragraph are the starting Mw. Alternatively, the starting average molecular weights may be the starting Mn. More preferably, the starting average molecular weights are the starting Mwand AF4 is used as the method for the measurement of the Mw (for example, AF4 combined with UV-FL-MALS-RI detectors is used to directly measure Mw using the light scattering and concentration data).
In a preferred embodiment of the invention, the average molecular weight of the conjugate after being exposed to the ionising radiation is more than 40% of the starting average molecular weight of the conjugate before being exposed to the ionising radiation, wherein the starting average molecular weight of the conjugate before being exposed to the ionising radiation is about 40,000 to 4,000,000 Da, about 100,000 to 2,000,000 Da, or about 100,000 to 1,500,000 Da (and preferably about 200,000 to 1,250,000 Da or about 250,000 to 1,000,000 Da, and more preferably about 500,000 to 1,250,000 Da or about 500,000 to 1,000,000 Da (for example around 500,000 to 700,000 Da)). In preferred embodiments of the invention, the average molecular weight of the conjugate after being exposed to the ionising radiation is more than 45%, preferably more than 50%, for example more than 55% or 60% of the starting average molecular weight of the conjugate before being exposed to the ionising radiation, wherein the starting average molecular weight of the conjugate before being exposed to the ionising radiation is about 40,000 to 4,000,000 Da, about 100,000 to 2,000,000 Da, or about 100,000 to 1,500,000 Da (and preferably about 200,000 to 1,250,000 Da or about 250,000 to 1,000,000 Da, and more preferably about 500,000 to 1,250,000 Da or about 500,000 to 1,000,000 Da (for example around 500,000 to 700,000 Da)). In an especially preferred embodiment of the invention, the average molecular weight of the conjugate after being exposed to the ionising radiation is more than 60% of the starting average molecular weight of the starting average molecular weight of the conjugate before being exposed to the ionising radiation, wherein the starting average molecular weight of the conjugate before being exposed to the ionising radiation is about 40,000 to 4,000,000 Da, about 100,000 to 2,000,000 Da, or about 100,000 to 1,500,000 Da (and preferably about 200,000 to 1,250,000 Da or about 250,000 to 1,000,000 Da, and more preferably about 500,000 to 1,250,000 Da or about 500,000 to 1,000,000 Da (for example around 500,000 to 700,000 Da)). That is to say that the average molecular weight of the conjugate after being exposed to the ionising radiation is at least 60% of the average molecular weight before the irradiation step. As noted above, there is little difference between average molecular weight for sodium hyaluronate or hyaluronic acid, or conjugates of sodium hyaluronate or hyaluronic acid, when defined using Mn or Mw. Preferably, the starting average molecular weights defined in this paragraph are the starting Mw. Alternatively, the starting average molecular weights may be the starting Mn. More preferably, the starting average molecular weights are the starting Mwand AF4 is used as the method for the measurement of the Mw (for example, AF4 combined with UV-FL-MALS- Rl detectors is used to directly measure Mw using the light scattering and concentration data).
In an embodiment of the invention, the average molecular weight of the conjugate after being exposed to the ionising radiation is about 16,000 to 2,400,000 Da, about 40,000 to 1,200,000 Da, or about 40,000 to 900,000 Da (for example, about 120,000 to 750,000 Da, about 150,000 to 600,000 Da, about 300,000 to 750,000 Da, about 500,000 to 1,000,000 Da, or about 300,000 to 500,000 or 300,000 to 420,000 Da). In one embodiment, the average molecular weight of the conjugate after being exposed to the ionising radiation is about 200,000 to 500,000 Da (for example about 200,000 to 400,000 Da, about 250,000 to 400,000 Da, about 250,000 to 420,000 Da, about 250,000 to 420,000 Da, about 250,000 to 400,000 Da, or about 300,000 to 400,000 Da). In one embodiment, the average molecular weight of the conjugate after being exposed to the ionising radiation is about 250,000 to 400,000 Da, or about 300,000 to 400,000 Da. As noted above, there is little difference between average molecular weight for sodium hyaluronate or hyaluronic acid, or conjugates of sodium hyaluronate or hyaluronic acid, when defined using Mn or Mw. Preferably, the average molecular weights defined in this paragraph are the Mw. Alternatively, the average molecular weights may be the Mn. More preferably, the average molecular weights are the Mwand AF4 is used as the method for the measurement of the Mw(for example, AF4 combined with UV-FL-MALS-RI detectors is used to directly measure Mw using the light scattering and concentration data).
The method of the invention can be performed on the conjugate either before or after the conjugate is packaged into containers for use in individual medical treatments.
The method of the invention can therefore further comprise the step of dividing the sterilised composition into containers. In an embodiment of the invention, the sterilised composition is divided into vials.
Alternatively, the conjugate of hyaluronic acid and a pharmaceutically active compound is divided into containers for use in medical treatments before the containers containing the conjugate are exposed to ionising radiation.
In the method of the invention, the conjugate may be packaged in one or more bags. If there is more than one bag, the bags may be made of the same or different materials. Suitable materials include polyethylene (PE) and aluminium. In an embodiment, at least one PE bag (for example 1, 2, 3, 4, or 5) and at least one (for example 1, 2 or 3) aluminium bag are used, for example 3 PE bags and 1 aluminium bag.
In an embodiment of the invention, the conjugate of hyaluronic acid and a pharmaceutically active compound (optionally in a container) is packaged in a PE bag under an atmosphere of argon, and the PE bag is then packaged in a thermo-sealed aluminium bag under an atmosphere of argon. In a particular embodiment of the invention, the conjugate of hyaluronic acid and a pharmaceutically active compound is taken from storage at below 15°C and placed at ambient temperature to reach equilibrium for 2-4 hours. The outside of the original package is wiped clean from any dust before being opened. The desired amount of conjugate is transferred to a primary PE bag. The air is squeezed out of the PE bag and replaced with argon. The argon is squeezed out and the primary PE bag is closed. The primary PE bag is placed in a secondary PE bag. The air is squeezed out of the secondary PE bag and replaced with argon. The argon is squeezed out and the secondary PE bag is closed. The secondary PE bag is placed in a tertiary PE bag. The air is squeezed out of the tertiary PE bag and replaced with argon. The argon is squeezed out and the tertiary PE bag is closed. The tertiary PE bag is placed in an aluminium bag. The air is squeezed out of the aluminium bag and replaced with argon. The argon is squeezed out and the aluminium bag is thermosealed and labelled.
In an alternative embodiment of the invention, the conjugate of hyaluronic acid and a pharmaceutically active compound (optionally in a container) is packaged in a PE bag under an atmosphere of air, and the PE bag is then packaged in a thermo-sealed aluminium bag under an atmosphere of air. In a particular embodiment of the invention, the conjugate of hyaluronic acid and a pharmaceutically active compound is taken from storage at below 15°C and placed at ambient temperature to reach equilibrium for 2-4 hours. The outside of the original package is wiped clean from any dust before being opened. The desired amount of conjugate is transferred to a primary PE bag. The air is squeezed out of the PE bag and the primary PE bag is closed. The primary PE bag is placed in a secondary PE bag. The air is squeezed out of the secondary PE bag and the secondary PE bag is closed. The secondary PE bag is placed in a tertiary PE bag. The air is squeezed out of the tertiary PE bag and the tertiary PE bag is closed. The tertiary PE bag is placed in an aluminium bag. The air is squeezed out of the aluminium bag and the aluminium bag is thermo-sealed and labelled.
The method of the invention may further comprise a step of filter filtration of the composition wherein the composition is in the form of an aqueous liquid composition. Preferably, after the composition is sterilised it is mixed with an aqueous solution (preferably a sterile aqueous solution, for example glucose for injection, saline for injection or water for injection) to form an aqueous liquid composition and the aqueous liquid composition is then filtered. The filtering of the composition may be carried out by membrane filter filtration. In such embodiments, a membrane filter (for example a commercially available membrane filter) can be used, optionally with a sterilized container, sterilized injector, syringe barrel, or the like, as appropriate. For example, as a membrane filter, a membrane filter with a pore size of 0.05 pm to 20 pm can be used, for example 0.4 to 8.0 pm (for example, 0.4 pm, 0.5 pm, 1 pm, 2 pm, 3 pm, 4 pm, 5 pm, 6 pm, 7 pm or 8 pm), 0.5 to 6 pm or 1 to 5 pm, and especially 5 pm.
In certain embodiments, the method of the invention comprises a step of mixing the sterile conjugate composition with an aqueous solution of a sugar or sugar alcohol (for example an aqueous solution of a sugar), for example mixing the sterile conjugate composition with a sterile aqueous solution of a sugar or sugar alcohol, to provide an aqueous liquid composition. In a preferred embodiment, the sugar is glucose, sucrose, fructose or trehalose and the sugar alcohol is mannitol, ethylene glycol, glycerol, sorbitol or xylitol. For example, the sugar is glucose, sucrose, or trehalose, and the sugar alcohol is mannitol. Alternatively, the sugar is glucose or trehalose. Alternatively, the sugar is glucose or fructose. In a most preferred embodiment, the sugar is glucose. In another preferred embodiment, the sugar is not sucrose.
An "aqueous liquid composition" in the context of the present invention includes any mixture resulting from admixture of or combination of the components defined to be in the composition with water, whether fully dissolved or not. In preferred embodiments, the components are fully dissolved.
In one embodiment, the aqueous solution of a sugar or sugar alcohol for use in the method may be in the form of a sterile composition, for example in the form of a sterile glucose solution (e.g. a glucose solution for injection), and for example wherein the composition has a sterility assurance level (SAL) of 10-3 or better, for example of 10-3 or better, for example of 10-5 or better, or for example of IO-6 or better. In an embodiment, the aqueous solution of a sugar or sugar alcohol is sterile and has a SAL of IO-6 or better, for example the sugar is glucose and it is in the form of glucose solution for injection.
In embodiments further comprising a step of mixing the sterile composition with an aqueous solution of a sugar or sugar alcohol, the concentration of the sterile conjugate in the aqueous liquid composition is preferably 2-50 mg/mL, for example 10-40 mg/mL, 12-30 or 12-21 mg/mL. In a more preferred embodiment, the concentration of the conjugate in the composition is 15-21 mg/mL, for example 21 mg/mL.
In embodiments further comprising a step of mixing the sterile composition with an aqueous solution of a sugar or sugar alcohol, the concentration of the sugar or sugar alcohol (for example glucose) in the aqueous liquid composition is preferably 10-100 mg/mL, for example 20-100 mg/mL, 35-70 mg/mL, 40-60 mg/mL. In a more preferred embodiment, the concentration of the sugar or sugar alcohol (for example glucose) in the composition is 45-55 mg/mL, for example 50 mg/mL.
In embodiments further comprising a step of mixing the sterile composition with an aqueous solution of a sugar or sugar alcohol, the aqueous liquid composition may comprise additional components as well as the conjugate and the sugar. For example, the aqueous liquid composition may contain NaCI or another salt (for example, NaCI, KCI, CaCIz, NaBr, MgClz, Choline chloride, NaHCOz, NaHPC , KHzPC , or combinations thereof), and/or citric acid buffer, phosphate buffered saline or Ringer's solution. In a preferred embodiment, the aqueous liquid composition comprises NaCI. In an embodiment, the concentration of NaCI or another salt in the composition is 0.1-50 mg/mL, 0.5-3 mg/mL, or 1-2 mg/mL. In an especially preferred embodiment, the concentration of NaCI or another salt in the composition is 1.5 mg/mL. In an embodiment, the aqueous liquid composition comprises a sugar or sugar alcohol (for example glucose) at a concentration of 30 mg/mL and NaCI or another salt (for example NaCI) at a concentration of 1.5 mg/mL, and the concentrations of the sugar and NaCI or another salt are such that the aqueous liquid composition is isotonic. In one embodiment, the mass ratio of sugar or sugar alcohol to NaCI or another salt of 2:1 to 900:1. In a preferred embodiment, the ratio of the mass of sugar or sugar alcohol to NaCI or another salt is 5:1 to 120:1. In another preferred embodiment, the ratio of the mass of sugar or sugar alcohol to NaCI or another salt is 10:1 to 50:1. In a more preferred embodiment, the ratio of the mass of sugar or sugar alcohol to NaCI or another salt is 16:1 to 40:1. In a yet more preferred embodiment, the ratio of the mass of conjugate to sugar or sugar alcohol is 20:1. In such embodiments, preferably the aqueous an aqueous solution of NaCI or another salt is a solution of NaCI. In such embodiments, preferably the sugar or sugar alcohol is glucose. Additionally, or alternatively, in an embodiment, the NaCI or another salt for use in the method may be in the form of a sterile composition, for example a sterile solution e.g. sodium chloride solution for injection (also referred to as saline solution for injection)). For example, the NaCI or another salt for use in the method may have a sterility assurance level (SAL) of IO-3 or better, for example of IO-3 or better, for example of IO-5 or better, or for example of IO-6 or better. In an embodiment, the NaCI or another salt is sterile and has a SAL of IO-6 or better, for example the NaCI or another salt is NaCI and is in the form of a saline solution for injection.
In embodiments comprising a step of mixing the sterile composition with an aqueous solution, for example an aqueous solution of a sugar or sugar alcohol or an aqueous solution of NaCI, the method may comprise mixing the sterile composition, and/or mixing the aqueous solution of a sugar or sugar alcohol or an aqueous solution of NaCI, with sterile water, e.g. water for injection.
The sterilised composition of the invention
The invention provides a sterile composition of a conjugate of hyaluronic acid and a pharmaceutically active compound. For example, the sterile composition is one that is obtainable by the sterilisation method of the invention.
In a preferred embodiment of the invention, the sterile composition has a sterility assurance level (SAL) of IO-6 or better.
In an embodiment of the invention, the sterile composition is in the form of a solid. In a preferred embodiment, the sterile composition is a powder.
In an embodiment of the invention, the sterile composition comprises a conjugate of sodium hyaluronate or hyaluronic acid and a pharmaceutically active compound obtained by, or obtainable by, the method of the invention described herein, and further comprises a sugar or sugar alcohol, for example wherein the composition is a sterile aqueous liquid composition. In such embodiments, the sugar is preferably glucose, sucrose, fructose or trehalose and the sugar alcohol is mannitol, ethylene glycol, glycerol, sorbitol or xylitol. For example, the sugar is glucose, sucrose, or trehalose, and the sugar alcohol is mannitol. Alternatively, the sugar is glucose or trehalose. Alternatively, the sugar is glucose or fructose. In a most preferred embodiment, the sugar is glucose. In another preferred embodiment, the sugar is not sucrose.
The composition may comprise additional components as well as the hyaluronic acid conjugate and the sugar. For example, the aqueous liquid composition may contain NaCI or another salt (for example, NaCI, KCI, CaCIz, NaBr, MgClz, Choline chloride, NaHCOz, NaHPC , KHzPC , or combinations thereof), and/or citric acid buffer, phosphate buffered saline or Ringer's solution. In a preferred embodiment, the composition may comprise NaCI. In embodiments wherein the composition is a sterile aqueous liquid composition, the concentration of the sterile conjugate, sugar or sugar alcohol, and optionally NaCI or another salt, may be present at the concentrations defined above in relation to the method of the invention.
The invention also provides a method for manufacturing a sterile composition as described herein above and/or an aqueous liquid composition as described herein above, comprising mixing the sterile conjugate composition with an aqueous solution of the sugar or sugar alcohol. The invention also provides a method for manufacturing the aqueous liquid composition as described herein above, comprising mixing the sterile conjugate composition with an aqueous solution of the sugar or sugar alcohol and an aqueous solution of NaCI or another salt (for example NaCI, KCI, CaCIz, NaBr, MgClz, Choline chloride, NaHCOz, NaHPC , KHzPC , or combinations thereof; preferably an aqueous solution of NaCI, KCI, CaCIz, NaHCOz, NaHPO4, KHzPO4, or combinations thereof; more preferably an aqueous solution of NaCI). In an embodiment, the method comprises mixing the sterile conjugate composition with an aqueous solution of the sugar or sugar alcohol having a concentration of 10-100 mg/mL. In a preferred embodiment, the aqueous solution of the sugar or sugar alcohol has a concentration of 35-70 mg/mL. In a more preferred embodiment, the aqueous solution of the sugar or sugar alcohol has a concentration of 40-60 mg/mL. In a more preferred embodiment, the aqueous solution of the sugar or sugar alcohol has a concentration of 45- 55 mg/mL. In an especially preferred embodiment, the aqueous solution of the sugar or sugar alcohol has a concentration of 50 mg/mL. In an alternative embodiment, the method comprises mixing the sterile conjugate composition with an aqueous solution of the sugar or sugar alcohol at a mass ratio of conjugate to sugar or sugar alcohol of 1:50 to 5:1. In a preferred embodiment, the ratio of the mass of conjugate to sugar or sugar alcohol is 1:12 to 5:2. In another preferred embodiment, the ratio of the mass of conjugate to sugar or sugar alcohol is 6:25 to 3:2. In a more preferred embodiment, the ratio of the mass of conjugate to sugar or sugar alcohol is 1:4 to 1:1. In a yet more preferred embodiment, the ratio of the mass of conjugate to sugar or sugar alcohol is 1:3 to 1:1.5. In an especially preferred embodiment, the ratio of the mass of conjugate to sugar or sugar alcohol is 1:2.
Additionally, or alternatively, in an embodiment the method comprises mixing the sterile conjugate composition with an aqueous solution of the sugar or sugar alcohol, and an aqueous solution of NaCI or another salt having a concentration of 0.1-50 mg/mL. In a preferred embodiment, the aqueous solution of the NaCI or another salt has a concentration of 0.5-3 mg/mL. In a more preferred embodiment, the aqueous solution of the NaCI or another salt has a concentration of 1-2 mg/mL. In a more preferred embodiment, the aqueous solution of the NaCI or another salt has a concentration of 1.5 mg/mL. In such embodiments, preferably the aqueous an aqueous solution of NaCI or another salt is a solution of NaCI. In such embodiments, preferably the sugar or sugar alcohol is glucose.
Additionally, or alternatively, in an embodiment the method comprises mixing the sterile conjugate composition with an aqueous solution of the sugar or sugar alcohol, and an aqueous solution of NaCI or another salt, at a mass ratio of sugar or sugar alcohol to NaCI or another salt of 2:1 to 900:1. In a preferred embodiment, the ratio of the mass of sugar or sugar alcohol to NaCI or another salt is 5:1 to 120:1. In another preferred embodiment, the ratio of the mass of sugar or sugar alcohol to NaCI or another salt is 10:1 to 50:1. In a more preferred embodiment, the ratio of the mass of sugar or sugar alcohol to NaCI or another salt is 16:1 to 40:1. In a yet more preferred embodiment, the ratio of the mass of conjugate to sugar or sugar alcohol is 20:1. In such embodiments, preferably the aqueous an aqueous solution of NaCI or another salt is a solution of NaCI. In such embodiments, preferably the sugar or sugar alcohol is glucose. In certain embodiments, the sugar or sugar alcohol for use in the method of manufacture may be in the form of a sterile composition, for example in the form of a sterile glucose solution. In an embodiment, sugar or sugar alcohol for use in the method of manufacture may be in the form of a sterile composition, for example a sterile glucose solution (e.g. a glucose solution for injection), for example wherein the composition has a sterility assurance level (SAL) of IO-3 or better, for example of IO-3 or better, for example of IO-5 or better, or for example of IO-6 or better. In an embodiment, the aqueous liquid composition is sterile and has a SAL of IO-6 or better.
Additionally, or alternatively, in an embodiment, the NaCI or another salt for use in the method of manufacture may be in the form of a sterile composition, for example a sterile solution (for example a sterile NaCI solution e.g. sodium chloride solution for injection (also referred to as saline solution for injection)), for example wherein the composition has a sterility assurance level (SAL) of IO-3 or better, for example of IO-3 or better, for example of IO-5 or better, or for example of IO-6 or better. In an embodiment, the aqueous liquid composition is sterile and has a SAL of IO-6 or better.
Additionally, or alternatively, the method of manufacture may further comprise a step of filter filtration of the aqueous liquid composition comprising the sterile conjugate composition and sugar or sugar alcohol. The filtering of the composition may be carried out by membrane filter filtration. In such embodiments, a membrane filter (for example a commercially available membrane filter) can be used, optionally with a sterilized container, sterilized injector, syringe barrel, or the like, as appropriate. For example, as a membrane filter, a membrane filter with a pore size of 0.05 pm to 20 pm can be used, for example 0.4 to 8.0 pm (for example, 0.4 pm, 0.5 pm, 1 pm, 2 pm, 3 pm, 4 pm, 5 pm, 6 pm, 7 pm or 8 pm), 0.5 to 6 pm or 1 to 5 pm, and especially 5 pm.
The composition of the invention finds use in various medical settings and it can be provided to a patient in various ways, for example by injection.
In a particular embodiment of the invention, the pharmaceutically active compound is diclofenac and the sterile conjugate finds particular use in the treatment of a joint disease, for example osteoarthritis and/or other conditions of the joints (for example osteoarthritis of the knee). For example, a composition of the invention may be made up into an injectable formulation and administered into a joint (for example the knee) by injection.
The patient may be a human patient. The compositions of the invention also find use in veterinary medicine, for example in the treatment of horses.
In a particular embodiment, the invention further provides a composition of the invention (i.e. a sterile composition (for example a sterile aqueous liquid composition) comprising a conjugate of sodium hyaluronate or hyaluronic acid and a pharmaceutically active compound according of the present invention, for example obtained by, or obtainable by, a method of the invention and/or having a sterility assurance level of IO-6 or better) for use as a medicament.
A further aspect of the invention comprises the use of a composition of the invention (i.e. a sterile composition (for example a sterile aqueous liquid composition) comprising a conjugate of sodium hyaluronate or hyaluronic acid and a pharmaceutically active compound according of the present invention, for example obtained by, or obtainable by, a method of the invention and/or having a sterility assurance level of IO-6 or better) in human or veterinary medicine.
The invention also provides a method of treating or preventing a disease or disorder in a subject comprising administration of a therapeutically effective amount of a composition the invention (i.e. a sterile composition (for example a sterile aqueous liquid composition) comprising a conjugate of sodium hyaluronate or hyaluronic acid and a pharmaceutically active compound according of the present invention, for example obtained by, or obtainable by, a method of the invention and/or having a sterility assurance level of IO-6 or better). Preferably, the composition is administered by injection. In an especially preferred embodiment, the composition is administered by intra-articular injection.
According to certain embodiments, the disease or disorder is a joint disease, for example osteoarthritis (for example osteoarthritis of the knee).
According to certain embodiments, the disease or disorder is cataracts.
According to certain embodiments, the disease or disorder is a cancer. The invention also provides the use of the aqueous liquid composition for the manufacture of a medicament for use in human or veterinary medicine.
In a particular embodiment, the medicament is for use in the treatment of a joint disease, such as osteoarthritis (for example osteoarthritis of the knee).
In another embodiment of this aspect, the medicament is for use in cataract surgery.
In a further embodiment of this aspect, the medicament is for use in cancer therapy.
In a particular embodiment of the invention, the pharmaceutically active compound is diclofenac and the composition finds particular use in the treatment of osteoarthritis and other conditions of the joints. For example, a composition of the invention may be made up into an injectable formulation and administered into a joint (for example the knee) by injection. The patient may be a human patient. The compositions of the invention also find use in veterinary medicine, for example in the treatment of horses, such the treatment of osteoarthritis in horses (for example osteoarthritis of the knee).
Examples
Example 1 - Synthesis of hyaluronic acid-diclofenac conjugate (Conjugate 1)
Step 1: Synthesis of [2-(2,6-Dichloro-phenylamino)-phenyl]-acetic acid 2-(2-tert- butoxycarbonylamino-ethoxy)-ethyl ester (Compound 1)
Diclofenac (50.0 g, 0.169 mol, 1.0 equiv.) and 2-[2-(BOC-amino)ethoxy]ethanol (69.5 g, 0.339 mol, 2.0 equiv.) were mixed in DCM (331 g) and the suspension is cooled to 1°C. 4- Dimethylaminopyridine (DMAP) (3.0 g, 0.025 mol, 0.15 equiv.) was added and the mixture was stirred at 1°C for 10-20 min. Ethyl-3-(3-dimethylaminopropyl)carbodiimide (EDC HCI) (40.5 g, 0.211 mol, 1.25 equiv.) was added over 5 h at 1°C. The mixture was stirred for an additional 4 h at 1°C before being warmed to 20°C and stirred for 12 h. The mixture was quenched with water and the two phases were separated. The organic phase was washed twice with water and concentrated to dryness under vacuum. The residue was purified by column chromatography on silica gel (1.5 kg). Yield 72 g (88%) as a light yellow oil which solidifies at ambient temperature. Step 2: Synthesis of 2-(2,6-Dichloro-phenylamino)-phenyl]-acetic acid 2-(2-amino-ethoxy)- ethyl ester HCI salt (Compound 2)
[2-(2,6-Dichloro-phenylamino)-phenyl]-acetic acid 2-(2-tert-butoxycarbonylamino-ethoxy)- ethyl ester (Compound 1, 65 g, 0.134 mol, 1.0 equiv.) from Step 1 was dissolved in DCM (665 g). HCI in diethyl ether (2 M, 232 g, 0.650 mol, 4.9 equiv.) was added and the mixture was stirred at 20-25°C for 1 h. The crude product was cooled to 3-7°C and stirred for 1 h. The precipitated final product was isolated by filtration. The filter cake was washed with a cold mixture of DCM/EtzO. The wet filter cake was dried in vacuum at 20-30°C. Yield 49 g (80%) as a white solid.
Step 3: Synthesis of Hyaluronan-succinyl-ester (HSE)
Sodium hyaluronate (NaHA) used in the synthesis was produced by bacterial fermentation (Streptococci) and had an intrinsic viscosity (LV.) at 25 °C of 1.54 m3/kg. The weight-average molar mass (Mw) measured by AF4 was 667 kDa (see Example 5 below).
The sodium hyaluronate (200 g, 0.50 mol, 1.0 equiv.) was stirred in formamide (22.6 kg). Pyridine (393 g, 5.0 mol, 10 equiv.), DMAP (6.1 g, 0.05 mol, 0.1 equiv.) and succinic anhydride (500 g, 5.0 mol, 10 equiv.) were added and the reaction mixture was stirred at room temperature for 16 h. The reaction was quenched by adding a 25% NaCI aqueous solution (0.6 kg). The crude product was precipitated by addition of ethanol and the solid was separated from the liquid. The solid was stirred in 1% NaCI aqueous solution (20 kg). The crude product was precipitated by addition of ethanol and the product was separated from the liquid. The solid was stirred in 1% NaCI aqueous solution (20 kg). The viscous solution was filtered through a filter cloth for clarity and the filter was washed with 1% NaCI aqueous solution (20 kg). The product was precipitated by addition of ethanol, isolated by filtration and washed with ethanol and acetone. The wet cake was dried in vacuum at 22- 28°C. Yield 220 g (68%) as white solid. The weight-average molar mass (Mw) measured by AF4 of the HSE was 579 kDa (see Example 5 below). Step 4: Synthesis of HSE-diclofenac (Conjugate 1)
Hyaluronan-succinyl-ester (HSE) from Step 3, (220 g, 0.34 mol, 1.0 equiv.) was stirred in purified water (5.5 kg). Dimethyformamide (DMF) (15.6 kg) was added and the solution was stirred. /V-methylmorpholine (17.7 g) was added, followed by a solution of 2-(2,6-Dichloro- phenylamino)-phenyl]-acetic acid 2-(2-amino-ethoxy)-ethyl ester HCI salt (Compound 2, 38.8 g, 0.085mol, 0.25 equiv.) in DMF (520 g). Hydroxybenzotriazole hydrate (HOBT) (1.16 g, 0.009 mol, 0.025 equiv.) was dissolved in DMF (160 g) and added to the reaction mixture. EDC HCI (16.2 g, 0.085 mol, 0.25 equiv.) was dissolved in DMF (260 g) and purified water (275 g) and added to the reaction. The mixture was stirred for 16 h. The reaction was quenched by adding a 25% NaCI aqueous solution (0.68kg). The crude product was precipitated by addition of ethanol. The solid was stirred in purified water (22 kg) for 16 h. The pH was adjusted to 5.5-6.0 by addition of 0.1 M NaOH. 25% NaCI aqueous solution (0.6 kg) was added and the crude product is precipitated by addition of ethanol. The product was separated from the liquid and the solid was stirred in purified water (22 kg). The viscous solution was diluted with purified water (17.0 kg) and filtered through a filter cloth for clarity, and the filter was washed with purified water (5.0 kg). 25% NaCI aqueous solution (1.2 kg) was added to the filtrate and the product was precipitated by addition of ethanol. The solid product was isolated by filtration and washed with ethanol and acetone. The wet cake was dried under vacuum at 33-37°C. Yield 225 g (90%) as a white solid. 6.3% w/w of diclofenac content based on an analytical UV-spectrophotometric method using a calibration curve from a diclofenac stock solution. The weight-average molar mass (Mw) measured by AF4 of Conjugate 1 was 611 kDa (see Example 5 below).
Example 2a - Irradiation of Conjugate 1 (25 kGy) under argon
A sample of Conjugate 1 prepared as described in Example 1 was irradiated with gamma rays:
Step 1: Conjugate 1 was packaged (as a powder, sample size of 1.0 g ± 0.1 g) in a primary polyethylene (PE) bag; the air was squeezed out of the primary PE bag and replaced with argon; the argon was squeezed out and the primary PE bag was closed with a zip-tie; the primary PE bag was placed in an aluminium bag; the air was squeezed out of the aluminium bag and replaced with argon; and the argon was squeezed out and the aluminium bag was closed by thermo-sealing (also referred to as heat sealing) and labelled. The bag was then packaged in a carton box of approximately 32 x 21 x 21 cm.
Before undergoing the process of irradiation, the carton box including the Conjugate 1 sample was put inside a larger box which contained dry ice. The measurements of the larger box was approximately 46 x 46 x 57 cm and the total weight was 12-13 kg.
Step 2: The irradiation position used gamma irradiations emitted by Cobalt60 (60Co). A dose of 25 kGy was used. Cobalt60 was contained in stainless steel cylinders ("pencils") placed on a rack and positioned into an irradiation bunker stored in a pool 6 meters deep. The irradiation plant (Gammatom Sri, Italy) uses a batch mode that uses totes. The pencils distribution into the source rack, as well as the exposure time based on the requested dose and the product density was managed by validated software.
Example 2b - Irradiation of Conjugate 1 (32 kGy) under argon
The steps of Example 2a were repeated, but using a dose of 32 kGy.
Example 2c - Irradiation of Conjugate 1 (25 kGy) under air
The steps of Example 2a were repeated, with the following difference in step 1: one sample of 1.0 g ± 0.1 g of Conjugate 1 was packaged in a primary polyethylene (PE) bag; the air was squeezed out of the primary PE bag and the primary PE bag was closed with a zip-tie; the primary PE bag was placed in an aluminium bag; the air was squeezed out of the aluminium bag and the aluminium bag closed by thermo-sealing and labelled. The bag was then packaged in a carton box.
Example 2d - Irradiation of Conjugate 1 (32 kGy) under air
The steps of Example 2c were repeated, but using a dose of 32 kGy in step 2.
Example 2e - Irradiation of diclofenac, Compound 1 and Compound 2 (25 kGy) under air
One sample of diclofenac (100 mg ± 10 mg), one of [2-(2,6-Dichloro-phenylamino)-phenyl]- acetic acid 2-(2-tert-butoxycarbonylamino-ethoxy)-ethyl ester (Compound 1) (100 mg ± 10 mg) and one of 2-(2,6-Dichloro-phenylamino)-phenyl]-acetic acid 2-(2-amino-ethoxy)-ethyl ester HCI salt (Compound 2) (100 mg ± 10 mg) were each packaged in a polyethylene (PE) bag; the air was squeezed out of the PE bags and the PE bags were closed with a zip-tie; the PE bags were each placed in an aluminium bag; the air was squeezed out of the aluminium bags and the aluminium bags were closed by thermo-sealing and labelled. The three bags were then packaged in a carton box.
Before undergoing the process of irradiation, the carton box including the Diclofenac, Compound 1 and Compound 2 samples was put inside a bigger box which contained dry ice. The measurements of the bigger box was 46 x 46 x 57 cm and the total weight was 12-13 kg.
The irradiation position used gamma irradiations emitted by Cobalt60 (60Co). A dose of 25 kGy was used. Cobalt60 was contained in stainless steel cylinders ("pencils") placed on a rack and positioned into an irradiation bunker stored in a pool 6 meters deep. The irradiation plant (Gammatom Sri, Italy) uses a batch mode that uses totes. The pencils distribution into the source rack, as well as the exposure time based on the requested dose and the product density was managed by validated software.
Example 2f - Irradiation of sodium hyaluronate (32 kGy) under air
A sample of sodium hyaluronate (NaHA) used in the synthesis of Conjugate 1 as described in Example 1 (step 1) was irradiated with gamma rays:
Step 1: NaHA was packaged (as a powder, sample size of 1.0 g ± 0.1 g) in a polyethylene (PE) bag; the air was squeezed out of the primary PE bag; the PE bag was closed with a zip-tie; the PE bag was placed in an aluminium bag; the air was squeezed out of the aluminium bag and the aluminium bag was closed by thermo-sealing and labelled. The bag was then packaged in a carton box of approximately 32 x 21 x 21 cm.
Before undergoing the process of irradiation, the one box including the NaHA sample was put inside a larger box which contained dry ice. The measurements of the larger box was approximately 46 x 46 x 57 cm and the total weight was 12-13 kg..
Step 2: The irradiation position used gamma irradiations emitted by Cobalt60 (60Co). A dose of 32 kGy was used. Cobalt60 was contained in stainless steel cylinders ("pencils") placed on a rack and positioned into an irradiation bunker stored in a pool 6 meters deep. The irradiation plant (Gammatom Sri, Italy) uses a batch mode that uses totes. The pencils distribution into the source rack, as well as the exposure time based on the requested dose and the product density was managed by validated software.
Example 2g - Irradiation of HSE (32 kGy) under air
A sample of HSE used in the synthesis of Conjugate 1 as described in Example 1 (step 3) was irradiated with gamma rays:
Step 1: HSE was packaged (as a powder, sample size of 1.0 g ± 0.1 g) in a polyethylene (PE) bag; the air was squeezed out of the primary PE bag; the primary PE bag was closed with a zip-tie; the PE bag was placed in an aluminium bag; the air was squeezed out of the aluminium bag and the aluminium bag was closed by thermo-sealing and labelled. The bag was then packaged in a carton box of approximately 32 x 21 x 21 cm.
Before undergoing the process of irradiation, the one box including the HSE sample was put inside a larger box which contained dry ice. The measurements of the larger box was approximately 46 x 46 x 57 cm and the total weight was 12-13 kg..
Step 2: The irradiation position used gamma irradiations emitted by Cobalt60 (60Co). A dose of 32 kGy was used. Cobalt60 was contained in stainless steel cylinders ("pencils") placed on a rack and positioned into an irradiation bunker stored in a pool 6 meters deep. The irradiation plant (Gammatom Sri, Italy) uses a batch mode that uses totes. The pencils distribution into the source rack, as well as the exposure time based on the requested dose and the product density was managed by validated software.
Example 3a - Sterilisation of Conjugate 1 by irradiation (25 kGy) under argon
Samples of Conjugate 1 prepared as described in Example 1 were sterilised by gamma ray irradiation as follows:
Step 1: Conjugate 1 was packaged (as a powder) in sample sizes of 20.0 g ± 0.1 g, 1.0 g ± 0.1 g and 2 x 130 mg ± 5 mg, each in three PE bags and an aluminum bag. In more detail, each sample of Conjugate 1 was packaged in a primary polyethylene (PE) bag; the air was squeezed out of the primary PE bag and replaced with argon; the argon was squeezed out and the primary PE bag was closed with a zip-tie; the primary PE bag was placed in a secondary PE bag; the air was squeezed out of the secondary PE bag and replaced with argon; the argon was squeezed out and the secondary PE bag was closed by thermo-sealing (also referred to as heat sealing); the secondary PE bag was placed in a tertiary PE bag; the air was squeezed out of the tertiary PE bag and replaced with argon; the argon was squeezed out and the tertiary PE bag was closed by thermo-sealing; the tertiary PE bag was placed in an aluminium bag; the air was squeezed out of the aluminium bag and replaced with argon; and the argon was squeezed out and the aluminium bag was closed by thermosealing and labelled. The four bags (20.0 g ± 0.1 g, 1.0 g ± 0.1 g and 2 x 130 mg ± 5 mg) were then packaged in a carton box with dimensions 32.0 x 21.0 x 21.0 cm. The gross weight of the box was 0.5 kg, with an apparent density of 0.035 g/cm3. This process was repeated until five carton boxes each containing 4 bags of the packaged samples (20.0 g ± 0.1 g, 1.0 g ± 0.1 g and 2 x 130 mg ± 5 mg) of Conjugate 1 were made.
It is noted that the orientation of the 4 bags of the packaged samples within the box was not noted as it was not crucial to the method. However, it is preferable to keep the same orientation of the samples inside the box, the same orientation of the 4 bags of the packaged samples in each box was kept as similar as possible, (see ref. ISO 11137-39.2.1.3: Low-density products tend to be fairly homogeneous such that the orientation of individual products within the irradiation container is unlikely to have a significant effect on dose distribution when irradiating with gamma rays).
Before undergoing the process of irradiation, the one box including the Conjugate 1 samples was put inside a larger box which contained dry ice. The measurements of the larger box was 46.0 x 46.0 x 57.0 cm and the total weight was 12.6 kg, with an apparent density of 0.104 g/cm3.
Step 2: The irradiation position used gamma irradiations emitted by Cobalt60 (60Co). A dose of 25 kGy was used. Cobalt60 was contained in stainless steel cylinders ("pencils") placed on a rack and positioned into an irradiation bunker stored in a pool 6 meters deep. The irradiation plant (Gammatom Sri, Italy) uses a batch mode that uses totes. The pencils distribution into the source rack, as well as the exposure time based on the requested dose and the product density was managed by validated software.
Example 3b: Validation of the sterilization process for Conjugate 1
The validation of the sterilization method was carried out according to ISO 11137-2:2013, VDmax25 (single batch validation). The harmonized Standard ISO 11137 requires the attainment of a Sterility Assurance Level (SAL) of at least IO-6 for a product to be labelled sterile. A SAL of IO-6 means a 1 in 1,000,000 chance of a non-sterile unit.
Validation procedure protocol and results
The validation of the sterilization method was carried out using 130 ± 5 mg samples of Conjugate 1 packaged as described in Example 2a, step 1.
Fourty six (46) samples of Conjugate 1 were individually packaged (as a powder) in sample sizes of 130 mg ± 5 mg, each in three PE bags and an aluminum bag. In more detail, each sample of Conjugate 1 was packaged in a primary polyethylene (PE) bag; the air was squeezed out of the primary PE bag and replaced with argon; the argon was squeezed out and the primary PE bag was closed with a zip-tie; the primary PE bag was placed in a secondary PE bag; the air was squeezed out of the secondary PE bag and replaced with argon; the argon was squeezed out and the secondary PE bag was closed by thermo-sealing (also referred to as heat sealing); the secondary PE bag was placed in a tertiary PE bag; the air was squeezed out of the tertiary PE bag and replaced with argon; the argon was squeezed out and the tertiary PE bag was closed by thermo-sealing; the tertiary PE bag was placed in an aluminium bag; the air was squeezed out of the aluminium bag and replaced with argon; and the argon was squeezed out and the aluminium bag was closed by thermosealing and labelled.
A summary of the uses of each of the 46 samples is described below:
• 5 samples for validation of the bioburden testing
• 10 samples for bioburden determination
• 11 samples for validation of the sterility testing
• 10 samples for irradiation with verification dose and sterility test using TSB media
• 10 samples for irradiation with verification dose and sterility test using FTM media Validation of the bioburden testing
The bioburden validation was done using the inoculation method using Staphylococcus aureus suspension and tested on 5 samples of 130 ± 5 mg of Conjugate 1.
Bioburden determination 10 samples of 130 ± 5 mg of Conjugate 1 were tested using trypticase soy agar (TSA) and
(SDA) agar. Conjugate 1 (solid) in its primary packaging (the PE bag) were tested as one.
Total aerobic microbial count (TAMC): the 10 samples were mixed in an aseptic bag with 20 mL of MRD (Maximum Recovery Diluent) solution. The bag containing the sample and the MRD solution was shaken for 30 min at 240 rpm. 10 mL of this solution was put in an empty 14 cm petri dish. Liquid TSA was added and the solution was mixed homogeneous through the agar. After the mixture was solidified, the plates were incubated. The incubation conditions for TSA were as follows: 3 - 5 days at 32.5 °C ± 2.5 °C
Total combined yeasts and moulds count (TYMC): the same procedure using 10 samples of 130 ± 5 mg of Conjugate 1 was also followed for the test on yeast and moulds, using SDA agar. The incubation conditions for SDA were as follows: 5 - 7 days at 22.5 °C ± 2.5 °C
Table 1 below shows the overall bioburden, which is the total aerobic microbial count (TAMC) and total combined yeasts and moulds count (TYMC), in each of the 10 samples.
Table 1
Calculation of average bioburden and verification dose
The overall bioburden average was calculated for the verification dose as 4.9 CFU/unit. The appropriate verification dose was then determined by using Table 9 of ISO 11137-2:2013 using VDmax25 method and the calculated verification doses were as follows:
Minimum: 5.67 kGy
Average: 6.3 kGy
Maximum: 6.93 kGy
In order to test a dose (VDmax25) for SAL IO-6, one million samples would need to be irradiated and sterility tested. Using Table 9 of ISO 11137-2:2013 (verification dose) a SAL of 101 is first determined for the verification dose. Only 10 samples are required for the experiment. If zero or one positive is obtained in the sterility test of those samples after using the verification dose, the 25 kGy sterilization dose can be confirmed.
Irradiation of 20 samples with verification dose
20 samples of 130 ± 5 mg of Conjugate 1 were irradiated. The irradiation position used gamma irradiations emitted by Cobalt60 (60Co). A requested minimum dose of 5.67 kGy was used. The actual dose was allowed to vary from the selected dose by a maximum of ±10%.
The irradiation plant (TBI 8450, lonisos Baltics) used a batch mode. The exposure time based on the requested dose and the product density was managed by validated software. The irradiation was done according to ISO 11137:2015 and ISO 13485:2016 requirements. The absorbed dose was controlled by a dosimetric system.
The results from the dosimetric system are shown below:
Applied verification dose Minimum: 5.83 kGy
Maximum: 6.24 kGy
Validation of the sterility test
In order to prove the validity of the sterility test a so called suitability test (Bacteriostasis and Fungistasis (B&F) test) was performed in accordance with ISO 11737-2:2013 to ensure that the ability to sustain microbiological growth was not affected. In order to validate the sterility test, a growth promotion check to exclude false negative results.
Each product/media combination was inoculated with 0.1 ml of each microorganism suspension (1-100 cfu) according with Table 2:
Incubation conditions were as follows:
• For PA, SA, BA and CS samples were incubated for 7 days at 30 °C - 35 °C or until grown was observed.
• For CA and AB samples were incubated for 7 days at 20 °C - 25 °C or until grown was observed.
All tests for sterility showed growth. This means that the product did not demonstrate any inhibitory effect on test of sterility. It can be concluded that the test for sterility is validated.
Test of sterility of the irradiated samples
20 irradiated samples of Conjugate 1 were individually subjected to a sterility test in accordance with ISO 11737-2:2013. According to ISO this could be performed with one media, tryptic soy broth (TSB). In this case, the test has been performed using two different media (TSB and fluid thioglycolate medium (FTM )). The sterility test was performed by direct inoculation according to ISO 11737-2:2013.
For the 10 irradiated samples subjected to the sterility test using TSB media, after 14 days of incubation the following results were observed:
Number of positive results: 0 Number of negative results: 10
For the 10 irradiated samples were subjected to the sterility test using FTM media, after 14 days of incubation the following results were observed:
Number of positive results: 0
Number of negative results: 10
Summary of the determination of the minimum sterilization dose (kGy)
The average bioburden was found to be 4.9 CFU/unit, which resulted in a verification dose of around 6.3 kGy (i.e. 6.3 kGy ± 10%). This verification dose was applied successfully and the product units were tested for sterility. All 20 tests were observed as negative. Therefore the result of the verification experiment was successful.
Acceptance of the minimum dose as the sterilization dose
A routine sterilisation dose of around 25 kGy was shown to achieve a Sterility Assurance Level (SAL) of IO-6 for Conjugate 1.
Example 4: Analysis of Diclofenac, Compound 1 and Compound 2 before and after irradiation (25 kGy) byTH-NMR and13C-NMR and HPLC-UV
Method
Samples of diclofenac, [2-(2,6-Dichloro-phenylamino)-phenyl]-acetic acid 2-(2-tert- butoxycarbonylamino-ethoxy)-ethyl ester (Compound 1) and 2-(2,6-Dichloro-phenylamino)- phenyl]-acetic acid 2-(2-amino-ethoxy)-ethyl ester HCI salt (Compound 2), before irradiation and after irradiation as described in Example 2e above, were prepared by dissolving each compound (33-36 mg) in deuterated dimethyl sulfoxide (DMSO-c/g).1H and13C-NMR spectra were recorded at 400 MHz and 100 MHz respectively on a Bruker Advance spectrometer. The samples were analyzed by1H-NMR and13C-NMR and HPLC-UV. Results
No differences were observed on the1H and13C-NMR spectrum and spectrum of each sample before and after irradiation. The HPLC purity of diclofenac, Compound 1 and Compound 2 did not differ more than 0.04% before and after irradiation (See Table 3below). The results of this example show that Diclofenac, Compound 1 and Compound 2 are stable under gamma ray irradiation conditions.
* Average of 2 injections
Example 5: Analysis of Conjugate 1 before and after irradiation
Methods i)FT-IR:
FT-IR spectrum of the solid of Conjugate 1 before and after irradiation with gamma rays (32 kGy,60Co) under air or under argon as described in Example 2b and 2d, above, were recorded at room temperature using a Spectrum 100 FT-IR (Perkin Elmer) spectrometer following the procedure as described in European Pharmacoepia 11th edition 2.2.24 monograph. ii) Diclofenac content and degree of substitution:
Analysis of the total content of diclofenac and the degree of substitution with diclofenac in Conjugate 1 before irradiation, Conjugate 1 after irradiation with gamma rays (32 kGy,60Co) under air or under argon as described in Example 2b and 2d, above, and Conjugate 1 after irradiation with gamma rays (25 kGy,60Co) under argon as described in Example 2a, above, was carried out by an UV-spectrophotometric analytical method using a calibration curve from a diclofenac stock solution. The quantitative determination of diclofenac (w/w%) was calculated using diclofenac as reference, and the absorbance of the sample measured at 275 nm by duplicates.
The amount of free diclofenac and total impurities related to diclofenac were determined by an HPLC analytical method, using the conditions shown in Tables 4 and 5 below. The amount of bound diclofenac in Conjugate 1 was calculated by subtracting the amount of free diclofenac (HPLC) to the total amount of diclofenac (UV).
Table 4: Chromatographic conditions
Table 5: Gradient profile
Hi) Molecular weight (average molar mass)
Analysis of the molecular weight (measured as the average molar mass, and more specifically as the weight-average molar mass (Mw) and expressed in kDa) of:
• Conjugate 1 before irradiation
• Conjugate 1 after irradiation with gamma rays (32 kGy,60Co) under air or under argon as described in Example 2b and 2d, above
• Conjugate 1 after irradiation with gamma rays (25 kGy,60Co) under argon as described in Example 2a, above
• HSE (the succinyl-substituted sodium hyaluronate from Step 3 of Example la) before irradiation
• HSE after irradiation (Example 2g) with gamma rays (32 kGy,60Co) in air
• the unsubstituted sodium salt of hyaluronic acid used as the starting material in Step 3 of Example 1 (NaHA) before irradiation; and
• NaHA after irradiation (Example 2f) with gamma rays (32 kGy,60Co) in air was carried out by asymmetrical flow field-flow fractionation (AF4) analysis, as follows.
Sample preparation: A stock solution of each sample was prepared using the carrier liquid (aqueous 0.2 M NaCI with 3 mM NaNs), typically at 1 mg/mL concentration. The samples were place on a magnetic stirrer for 6 h at room temperature and then store at 2 - 8°C (Day 0). On Day 2 a dilution of each sample using the carrier liquid was prepared (0.2 mg/mL) in a glass vial which was then placed on a rocking table for 30 min before analysis.
The asymmetrical flow field-flow fractionation (AF4) analysis was performed on an Eclipse III (Wyatt technology) in connection with a 1100-series LC-system consisting of an ERC-3415 vacuum degasser (ERC), a G1311A pump, G1329A auto sampler and a G1315B diode array (UV) detector (all from Agilent technologies). A Dawn Heleos II multi-angle light scattering (MALS) and Optilab t-Rex differential refractive index (dRI) detector (both from Wyatt technology) were connected on-line after the channel. The UV detector monitored the wavelength at 280 nm. MALS used a laser with 658 nm wavelength and measured scattered light with 17 detectors in the aqueous mobile phase. The dRI detector used a lamp monitoring at 658 nm wavelength. Data collection was performed by Astra 6.2 (Wyatt technology). The autosampler was set to keep the sample vials at 8°C. The fractionation was run at ambient temperature (approximately 22°C). The separation method used a detector flow rate of 0.50 mL/min giving a system pressure of approximately 9 bar. Performance testing of the AF4-sepa ration as well as the UV-FL-MALS-RI detection was done by analyzing a solution of bovine serum albumin. The carrier liquid was 0.2 M NaCI with 3 mM NaNs to avoid bacterial growth in the system. No centrifugation or filtration was applied to the samples. Unless otherwise stated the measurements were made in triplicate.
Data were evaluated using Astra 6.1 (Wyatt technology). The dRI detector showed a nonlinear background signal which was compensated for by subtracting signal from a blank analysis (i.e. carrier liquid). The molar mass calculations were performed utilizing a first order fit to the scattering detectors 8-15 according to the Berry method, and a refractive index increment, dn/dc, of 0.167 mL-g-1. AF4 combined with UV-FL-MALS-RI detectors was used to directly obtain the weight-average molar mass (Mw), using the light scattering and concentration data. The radius of gyration (Rg) was obtained from the MALS and the angular dependence. Second virial coefficient term was assumed to be negligible.
Results i) FT-IR
The FT-IR of Conjugate 1 was recorded before and after irradiation (32 kGy,60Co) under air or argon. The bands in the spectra were identical for Conjugate 1 before irradiation, after irradiation (32 kGy) under air, and after irradiation (32 kGy,60Co) under argon, which indicates that there is no structural change in Conjugate 1 after irradiation. ii) Diclofenac content and degree of substitution:
The total weight% of diclofenac, free diclofenac, the degree of substitution of diclofenac and the total impurities in the conjugates were measured for Conjugate 1 before irradiation, Conjugate 1 after irradiation with gamma rays (32 kGy,
60Co) under air or under argon, and Conjugate 1 after irradiation with gamma rays (25 kGy,
60Co) under argon. The results are shown in Table 6 below. Table 6
a Including free diclofenac.
The results in Table 6 show that irradiation of Conjugate 1 with gamma radiation under either air or argon does not significantly alter the amount of conjugated diclofenac in Conjugate 1, indicating that the irradiation with gamma radiation does not significantly affect the structure of Conjugate 1, and in particular the bonding of the diclofenac to the conjugate.
Hi) Molecular weight (Average molar mass)
Average molar mass (more specifically, weight-average molar mass, Mw) of Conjugate 1 was measured by AF4 before irradiation, and after irradiation with gamma rays (32 kGy,60Co) under argon or with gamma rays (25 kGy,60Co) under argon. As a comparison, the average molar mass (more specifically, the Mw) of HSE (the succinyl-substituted sodium hyaluronate from Step 3 of Example la), and the unsubstituted sodium salt of hyaluronic acid used as the starting material in Step 3 (NaHA) of Example 1, were also measured before irradiation and after irradiation with gamma rays (32 kGy,60Co) in air (Examples 2g and 2f). The results were as follows:
NaHA before irradiation:
The sample eluted as a very broad peak between 5 and 47 min in dRI and MALS. The sample did not present UV signal. The weight-average molar mass (Mw) of the sample was 667 (±41) kDa. From the MALS and the angular dependence the z-average radius of gyration (Rg) of the peak could be obtained, which was 83 (±9) nm.
NaHA after irradiation (32 kGy under air)
The sample eluted between 2 and 15 min in dRI and MALS. The sample did not have UV signal. The weight-average molar mass (Mw) of the sample was 79 (±4) kDa. There is not sufficient radii data for radius of gyration (Rg) determination due to the lack of angular dependence when the size of the component approached 10 nm, which was the lower size limit of the MALS detector.
Comparison of NaHA before and after irradiation
When comparing NaHA before and after irradiation, it is possible to observe that the molar mass decreased. The main peak shifted to lower retention times indicating changes in size most likely due to depolymerization due to the irradiation.
HSE before irradiation
The sample eluted between 5 and 40 min in dRI and MALS. The sample did not have UV signal. The weight-average molar mass (Mw) of the sample was 579 (±48) kDa. From the MALS and the angular dependence the z-average radius of gyration (Rg) of the peak could be obtained, which was 77 (±3) nm.
HSE after irradiation (32 kGy under air)
The sample eluted between 2 and 15 min in Rl and MALS. The sample did not have UV signal. The weight-average molar mass (Mw) of the sample was 94 (±3) kDa. There was not sufficient radii data for radius of gyration (Rg) determination due to the lack of angular dependence when the size of the component approached 10 nm, which is the lower size limit of the MALS detector. Comparison of HSE before and after irradiation
When comparing HSE before and after irradiation, it was possible to observe that the molar mass decreased. The main peak shifted to lower retention times indicating change in size most likely due to depolymerization due to irradiation.
Conjugate 1 before irradiation
The sample eluted from 5 min until the end of the analysis as one very broad peak in dRI, MALS and UV. The sample did have UV signal which is a characteristics of the substitution with diclofenac. The weight-average molar mass (Mw) of the sample was 611 (±58) kDa. The z-average radius of gyration (Rg) could not be determined because of the quality of the radii data.
Conjugate 1 after irradiation (32 kGy under argon)
The sample eluted between 2 and 30 min in dRI, MALS and UV. Some large components eluted between 30 and 50 min but their concentration was very low (no dRI or UV signal in this region, only MALS). As the concentration of these large components was low it was not possible to determine their molar mass accurately. The weight-average molar mass (Mw) of the sample was 354 (±37) kDa. From the MALS and the angular dependence the z-average radius of gyration (Rg) of the peak can be obtained which in this case is of 34 (±5) nm.
Comparison of Conjugate 1 before and after irradiation (32 kGy under argon)
When comparing Conjugate 1 before and after irritation (32 kGy under argon) it was observed that the molar mass decreased but to less extent in comparison with NaHA and HSE after irradiation. The main peak also shifted to lower retention times indicating change in size most likely due to depolymerization due to irradiation.
Conjugate 1 after irradiation (25 kGy under argon)
The sample eluted between 2 and 40 min as one very broad peak in dRI, MALS and UV. The MALS signal tailed until the end of the chromatogram. The noise or "spikes" in the MALS signal after 30 min suggested that there were large components or poorly dissolved ones eluting. The amount of material at the tail of the peak was very low. It was only possible to obtain reliable molar mass data until 25 min. The weight-average molar mass (Mw) of the sample was 379 (±56) kDa. There is no sufficient radii data for radius of gyration (Rg) determination due to the lack of angular dependence when the size of the component approached 10 nm, which is the lower size limit of the MALS detector. Comparison of Conjugate 1 before and after irradiation (25 kGy under argon)
When comparing Conjugate 1 before and after irritation (25 kGy under argon) it was observed that the molar mass decreased but to less extent in comparison with NaHA and HSE after irradiation. The main peak also shifted to lower retention times indicating change in size most likely due to depolymerization due to irradiation. The molar mass decreased to a similar extend as the Conjugate 1 sampled after 32 kGy irritation under argon.
Summary and comparison of NaHA, HSE and Conjugate results
The summarized results are shown in Table 7 below.
Table ?
a % of the weight-average molar mass retained after irradiation compared with the weight- average molar mass of the material before irradiation. The results in Table 4 show that, for the Conjugate 1, the average molecular weight (more specifically, the weight-average molar mass) of the conjugate after irradiation in air was reduced by 44% compared with the pre-irradiation average molecular weight (more specifically, the pre-irradiation weight-average molar mass). When the irradiation was carried out under an argon atmosphere, the average molecular weight (more specifically, the weight-average molar mass) was reduced by 42% or 38% compared with the pre- irradiation average molecular weight (more specifically, the pre-irradiation weight-average molar mass).
In contrast for the hyaluronic acid materials without diclofenac, the reduction of the average molecular weight (more specifically, the weight-average molar mass) of the hyaluronic acid caused by the gamma radiation was much more significant: the succinylsubstituted HA had a reduction of 84% of the weight-average molar mass after irradiation compared with the pre-irradiation value, and for unsubstituted HA the reduction of the weight-average molar mass after irradiation was even higher at 88%.
The results of this experiment show that substitution of hyaluronic acid makes Conjugate 1 significantly less susceptible to depolymerization: NaHA after irradiation and HSE after irradiation have almost similar retention times and weight-average molar mass of 79 and 94 kDa, respectively; whereas Conjugate 1 after irradiation has a weight-average molar mass of 342 kDa (32 kGy under air), 354 kDa (32 kGy under argon) or 379 kDa (25 kGy under argon).
Example 6: Study of the release of diclofenac and other compounds from Conjugate 1 before and after irradiation
The release of diclofenac (Compound A), and Compounds B, C, D, E and F of Table 8 below, from Conjugate 1 before and after irradiation was compared by incubating Conjugate 1 in two different media: a) 150 mM PBS buffer, and b) human plasma (1 pg/mL) at 37 °C for 48 h. The release of diclofenac and the two other compounds were monitored and quantified by UPLC-MS with a LLOQ = 10 nM (see Tables 11 and 12, and Tables 13 and 14 below).
Method
4 pL of 100 pM stock solution in 50% DMSO of Conjugate 1 before irradiation, or Conjugate 1 after irradiation (25 kGy,
60Co) under argon, as described in Example 3a, above, was added to 396 pL of PBS and human mixed gender plasma to obtain 1 pM Conjugate 1 incubation concentrations. Spiked study matrixes were incubated for 48 h with continuous shaking at 600 rpm 37 °C and samples were taken at 0, 2, 6, 24 and 48 h time points. Samples were quenched after collecting by precipitating with 2-fold volume of acetonitrile containing 100 mg/mL warfarin as internal standard (50 pL sample + 100 pL of precipitation solution with internal standard), then stored at -20°C until analysis. For analysis the precipitated samples were centrifuged for 10 min at 2272 x g at room temperature. Supernatant was transferred to analytical 96-well plate and submitted for LC/MS analysis. The LC-MS method for analysis and quantitation of Compound A (diclofenac), B, C, D, E and F are shown in Tables 9 and 10 below. The standard samples were prepared in PBS and human plasma, by spiking the matrix to concentrations of 10 - 50000 nM of Compounds A (diclofenac), B, C, D, E and F, the possible decomposition products of Conjugate 1, which are shown in Table 8 below, using one volume of spiking solution (50% DMSO) and nine volumes of matrix, and otherwise preparing them for analysis like the samples comprising Conjugate 1. Table 8

Table 9
Ionization mode ESI+
Sheath gas nitrogen 50 (Arbitrary units)
Auxiliary gas nitrogen 10 (Arbitrary units)
Results
The concentration profile of Compounds A, B, C, D, E and F released from Conjugate 1 before and after irradiation during the 48 h study period was near identical in both PBS and human plasma (see Tables 11 and 12 (PBS buffer results) and Tables 13 and 14 (human plasma results) below). This suggests that Conjugate 1 before and after irradiation have a similar release pattern over time regardless of the irradiation process. The results also show that irradiation with gamma radiation and change in molecular weight (weight-average molar mass), as shown in Example 5, does not alter the amount of conjugated diclofenac in the molecule or the release of its individual components. Table 11
Example 7: Formulation and aseptic filling of Conjugate 1 after irradiation
A formulation solvent was prepared in a 2L polyethylene terephthalate glycol (PETG) media bottle by mixing 250 mL of 0.9% sterile sodium chloride solution with 350 ml of water for injection (WFI) to obtain 0.375% saline solution. The resulting 0.375% saline solution (600 ml) was then mixed with 900 ml of glucose 5% sterile solution to obtain a final 3% glucose, 0.15% sodium chloride mixture. A solution of Conjugate 1 was prepared in a new 2L PETG media bottle by adding 19.6 g of sterile Conjugate 1 (irradiated as described in Example 3a, above: 25 kGy,60Co, under argon) in four portions to the 880 ml of the formulation solvent. The mixture was placed on a shaker and gently shaken for 2-3 hours at room temperature. The bottle was then transferred to a refrigerator and stored at 2-8 °C overnight. The next day, the mixture was shaken again for 1-3 hours at room temperature. The resulting homogenous mixture was then filled into glass vials (6 ml per vial) using an electronic pipette/dispenser and a sterile 10 ml combitip, followed by the fitting of a stopper and a cap which is then crimped. The vials were packed and stored at 2-8 °C.
Example 8: Analysis of irradiated Conjugate 1 after formulation i) Sterility after formulation
Method
The sterility of a solution of Conjugate 1 formulated according to Example 7 was tested following the procedure for the microbiological examination through direct inoculation method, according to the European Pharmacopoeia, US Pharmacopoeia and Japanese Pharmacopoeia (Ph. Eur. 11th edition 2.6.1: Sterility monograph; USP 43rd edition, <71>: Sterility Tests monograph; and Japanese Pharmacopoeia 18th edition, 4.06: Sterility Test monograph).
Results
After formulation (Example 7 above) the solution was tested sterile. After 21 weeks the solution remained sterile (kept at 2-8 °C). ii) Diclofenac content, degree of substitution, and impurities after formulation
Methods
Total content of diclofenac (mg/ml) by UV
The concentration of diclofenac in a sample of Conjugate 1 formulated according to Example 7 and kept at 2-8 °C was measured to access the total amount of diclofenac in the sample at the following time points: at formulation and at 1 month, 3 months and 6 months after formulation. A spectrophotometric (UV) method was used and the absorbance in solution was measured to give a value of diclofenac concentration. The quantitative determination of diclofenac (w/v) was calculated with a six-point calibration using diclofenac as the reference, and the absorbance of the sample measured at 275 nm in duplicate.
Content of free diclofenac and related impurities (w/w% of diclofenac) by HPLC-UV
A gradient reverse-phase HPLC method with UV detection was used to measure the content of free diclofenac and related impurities (w/w% of diclofenac) in a sample of Conjugate 1 formulated according to Example 7 and kept at 2-8 °C at the following time points: at formulation and at 1 month, 3 months and 6 months after formulation. Unknown related substances were quantified against the standard peak response of diclofenac since it was assumed that these impurities have a diclofenac moiety. The method used a XBridge BEH C18 column (3.5 pm, 150 mm x 4.6 mm, 130 A), Mobil phase A: 0.1 v/v% TFA in water, Mobil phase B: 0.1 v/v% TFA in acetonitrile. Sample solvent for references standards was acetonitrile/water (78:22 v/v); sample solvent for test material was acetonitrile. Table 15 below shows the gradient profile used in this analytical method. Table 15
Degree of substitution with diclofenac (calculated)
The degree of substitution of diclofenac in Conjugate 1 in a sample of Conjugate 1 formulated according to Example 7 and kept at 2-8 °C at the following time points: at formulation and at 1 month, 3 months and 6 months after formulation, was calculated by subtracting the amount of free diclofenac (HPLC) from the total amount of diclofenac (UV).
Results
The results are summarized in Table 16 below. As can be seen from Table 16, the total diclofenac, free diclofenac, the degree of substitution, and total impurities did not significantly change over the study period. This experiment shows that irradiated Conjugate
1 was stable at 2-8 °C for at least six months when formulated.
Table 16
a Including free diclofenac.