Movatterモバイル変換


[0]ホーム

URL:


WO2024038054A1 - Fungicidal compositions - Google Patents

Fungicidal compositions
Download PDF

Info

Publication number
WO2024038054A1
WO2024038054A1PCT/EP2023/072470EP2023072470WWO2024038054A1WO 2024038054 A1WO2024038054 A1WO 2024038054A1EP 2023072470 WEP2023072470 WEP 2023072470WWO 2024038054 A1WO2024038054 A1WO 2024038054A1
Authority
WO
WIPO (PCT)
Prior art keywords
composition according
plants
component
useful plants
weight ratio
Prior art date
Legal status (The legal status is an assumption and is not a legal conclusion. Google has not performed a legal analysis and makes no representation as to the accuracy of the status listed.)
Ceased
Application number
PCT/EP2023/072470
Other languages
French (fr)
Inventor
Eric Guan
Jingjing Xu
Lianhong Zhang
Yuqi MU
Current Assignee (The listed assignees may be inaccurate. Google has not performed a legal analysis and makes no representation or warranty as to the accuracy of the list.)
Syngenta Crop Protection AG Switzerland
Original Assignee
Syngenta Crop Protection AG Switzerland
Priority date (The priority date is an assumption and is not a legal conclusion. Google has not performed a legal analysis and makes no representation as to the accuracy of the date listed.)
Filing date
Publication date
Application filed by Syngenta Crop Protection AG SwitzerlandfiledCriticalSyngenta Crop Protection AG Switzerland
Priority to CN202380059736.3ApriorityCriticalpatent/CN119768055A/en
Publication of WO2024038054A1publicationCriticalpatent/WO2024038054A1/en
Anticipated expirationlegal-statusCritical
Ceasedlegal-statusCriticalCurrent

Links

Classifications

Definitions

Landscapes

Abstract

The present invention relates to a composition suitable for control of diseases caused by phytopathogens comprising as component (A), pydiflumetofen, and as component (B), epoxiconazole, or agrochemically acceptable salts, stereoisomers, diastereoisomers, enantiomers and tautomers thereof.

Description

FUNGICIDAL COMPOSITIONS
The present invention relates to novel fungicidal compositions, to their use in agriculture or horticulture for controlling diseases caused by phytopathogens, especially phytopathogenic fungi, and to methods of controlling diseases on useful plants.
Whilst many fungicidal compounds and compositions, belonging to various different chemical classes, have been/are being developed for use as fungicides in crops of useful plants, crop tolerance and activity against particular phytopathogenic fungi do not always satisfy the needs of agricultural practice in many respects. Therefore, there is a continuing need to find new compounds and compositions having superior biological properties for use in controlling or preventing infestation of plants by phytopathogenic fungi. For example, compounds possessing a greater biological activity, an advantageous spectrum of activity, an increased safety profile, improved physico-chemical properties, increased biodegradability. Or else, compositions possessing a broader spectrum of activity, improved crop tolerance, synergistic interactions or potentiating properties, or compositions which display a more rapid onset of action or which have longer lasting residual activity or which enable a reduction in the number of applications and/or a reduction in the application rate of the compounds and compositions required for effective control of a phytopathogen, thereby enabling beneficial resistancemanagement practices, reduced environmental impact and reduced operator exposure.
The use of compositions comprising mixtures of different fungicidal compounds possessing different modes of action can address some of these needs (e.g., by combining fungicides with differing spectrums of activity).
It is known from W02008/148570, WO 2010/063700, WO 2010/084078 and WO 2008/151828 that certain pyrazolyl-carboxamide derivatives have biological activity against phytopathogenic fungi. On the other hand various fungicidal compounds of different chemical classes are widely known as plant fungicides for application in various crops of cultivated plants. However, crop tolerance and activity against phytopathogenic plant fungi do not always satisfy the needs of agricultural practice in many incidents and aspects. In order to overcome this problem, some binary mixtures of pyrazolyl- carboxamides with certain fungicides have been provided for example in WO 2012/041874, WO 2015/049178, and WO2017029177.
According to the present invention, there is provided a composition suitable for control of diseases caused by phytopathogens comprising as component (A), pydiflumetofen or agrochemically acceptable salts, stereoisomers, diastereoisomers, enantiomers and tautomers thereof, and as component (B), epoxiconazole, or agrochemically acceptable salts, stereoisomers, diastereoisomers, enantiomers and tautomers thereof.
Pydiflumetofen, also known as 3-(difluoromethyl)-N-methoxy-1-methyl-N-[1-methyl-2-(2,4,6- trichlorophenyl)ethyl]pyrazole-4-carboxamide, which is known from and may be prepared as described for example in WO 2010/067300. Epoxiconazole, is a triazole fungicide from the class of demethylation inhibitors (FRAC classification G1), which is known from and may be prepared as described in for example, EP0196038. The compound may be depicted by the following structural formula:
Further according to the invention, there is provided a method of controlling diseases on useful plants or on propagation material thereof caused by phytopathogens, which comprises applying to the useful plants, the locus thereof or propagation material thereof, a composition as defined according to the invention.
Further according to the invention, there is provided a composition suitable for control of diseases caused by phytopathogens comprising as component (A), pydiflumetofen, and as component (B), epoxiconazole, or agrochemically acceptable salts, stereoisomers, diastereoisomers, enantiomers and tautomers thereof, further comprising an agriculturally acceptable carrier and/or formulation adjuvant, and optionally, a surfactant.
Further according to the invention, there is provided the use of a composition comprising component (A) and component (B) as a fungicide. According to this particular aspect of the invention, the use may exclude methods for the treatment of the human or animal body by surgery or therapy.
Further according to the invention, there is provided a method of protecting natural substances of plant and/or animal origin, which have been taken from the natural life cycle, and/or their processed forms, which comprises applying to said natural substances of plant and/or animal origin or their processed forms a combination of components (A) and (B) as defined according to the invention.
It has been found that the use of epoxiconazole in combination with pydiflumetofen surprisingly and substantially may enhance the effectiveness of the latter against fungi, and vice versa. Additionally, the use of the compositions of the invention may be effective against a wider spectrum of such fungi than can be combated with the individual active ingredients when used alone.
The benefits provided by certain fungicidal mixture compositions according to the invention may also include, inter alia, advantageous levels of biological activity for protecting plants against diseases that are caused by fungi or superior properties for use as agrochemical active ingredients (for example, greater biological activity, an advantageous spectrum of activity, an increased safety profile, improved physico-chemical properties, or increased biodegradability).
In each case, pydiflumetofen and epoxiconazole are present in free form, in oxidized form as a N-oxide or in salt form, e.g. an agronomically usable salt form. N-oxides are oxidized forms of tertiary amines or oxidized forms of nitrogen containing heteroaromatic compounds. They are described for instance in the book “Heterocyclic N-oxides” by A. Albini and S. Pietra, CRC Press, Boca Raton 1991 . As used herein, the term ‘component (A)’ is understood to be pydiflumetofen, or agrochemically acceptable salts, N-oxides, diastereoisomers, enantiomers or tautomers thereof.
As used herein, the term ‘component (B)’ is understood to be epoxiconazole, or agrochemically acceptable salts, N-oxides, diastereoisomers, enantiomers or tautomers thereof.
In general, the weight ratio of component (A) to component (B) is from 1000:1 to 1 :1000, especially from 50:1 to 1 :50, more especially in a ratio from 40:1 to 1 :40, even more especially in a ratio of from 20:1 to 1 :20, even more especially still from 10:1 to 1 :10, and very especially from 5:1 and 1 :5. Special preference is given to a ratio of from 2:1 to 1 :2, and a ratio of from 4:1 to 2:1 is also especially preferred. Specific individual ratios that are preferred include the ratio of 1 :1 , 5:1 , 5:2, 5:3, 5:4, 4:1 , 4:2, 4:3, 3:1 , 3:2, 2:1 , 1 :5, 2:5, 3:5, 4:5, 1 :4, 2:4, 3:4, 1 :3, 2:3, 1 :2, 1 :600, 1 :300, 1 :150, 1 :100, 1 :50, 1 ;40, 1 :35, 1 :20, 2:35, 4:35, 1 :10 1 :75, 2:75, 4:75, 1 :6000, 1 :3000, 1 :1500, 1 :350, 2:350, 4:350, 1 :750, 2:750, and 4:750.
In one embodiment, in the composition according to the invention, pydiflumetofen and epoxiconazole are present in a weight ratio from 100:1 to 1 :100.
In one embodiment, in the composition according to the invention, pydiflumetofen and epoxiconazole are present in a weight ratio from 50:1 to 1 :50.
In a one embodiment, in the composition according to the invention, pydiflumetofen and epoxiconazole are present in a weight ratio from 25:1 to 1 :25.
In a one embodiment, in the composition according to the invention, pydiflumetofen and epoxiconazole are present in a weight ratio from 10:1 to 1 :10.
In a one embodiment, in the composition according to the invention, pydiflumetofen and epoxiconazole are present in a weight ratio from 9:1 to 1 :9.
In one embodiment, in the composition according to the invention, pydiflumetofen and epoxiconazole are present in a weight ratio from 5:1 to 1 :5.
In one embodiment, in the composition according to the invention, pydiflumetofen and epoxiconazole are present in a weight ratio from 4:1 to 1 :4.
In a one embodiment, in the composition according to the invention, pydiflumetofen and epoxiconazole are present in a weight ratio from 3:1 to 1 :3.
In one embodiment, in the composition according to the invention, pydiflumetofen and epoxiconazole are present in a weight ratio of 1 .5:1 .
In one embodiment, in the composition according to the invention, pydiflumetofen and epoxiconazole are present in a weight ratio of 1 :1 .
In a preferred embodiment, in the composition according to the invention, pydiflumetofen and epoxiconazole are present at the following weight ratios: 9:1 , 5:1 , 3:1 , 1 .5:1 , 1 :1 , 1 :3, 1 :5, and 9:1 .
The compositions of pydiflumetofen and epoxiconazole according to the invention may, in particular, be used to control disease caused by Fusarium spp., and more particularly, Fusarium graminearum and Fusarium asiasticum. Further according to the invention, there is provided a method for controlling Fusarium spp., and more particularly, Fusarium graminearum and Fusarium asiasticum, on useful plants, said method comprising applying to the useful plants, the locus thereof or propagation material thereof, an effective amount of a composition comprising pydiflumetofen and epoxiconazole.
It has been found, surprisingly, that certain weight ratios of component (A) to component (B) are able to give rise to synergistic activity. Therefore, a further aspect of the invention are compositions, wherein component (A) and component (B) are present in the composition in amounts producing a synergistic effect. In a preferred embodiment, there is provided a composition wherein components (A) and (B) are present in a synergistically effective amount.
This synergistic activity is apparent from the fact that the fungicidal activity of the composition comprising component (A) and component (B) is greater than the sum of the fungicidal activities of component (A) and component (B). This synergistic activity extends the range of action of component
(A) and component (B) in two ways. Firstly, the rates of application of component (A) and component
(B) are lowered whilst the action remains equally good, meaning that the active ingredient mixture still achieves a high degree of phytopathogen control even where the two individual components have become totally ineffective in such a low application rate range.
A synergistic effect exists whenever the action of an active ingredient combination is greater than the sum of the actions of the individual components. The action to be expected E for a given active ingredient combination obeys the so-called COLBY formula and can be calculated as follows (COLBY, S.R. "Calculating synergistic and antagonistic responses of herbicide combination", Weeds, Vol. 15, pages 20-22; 1967): ppm = milligrams of active ingredient (= a.i.) per liter of spray mixture
X = % action by active ingredient (A) using p ppm of active ingredient
Y = % action by active ingredient (B) using q ppm of active ingredient.
According to COLBY, the expected (additive) action of active ingredients (A)+(B) using p+q ppm of
X • Y active ingredient is E = X + Y -
100
If the action actually observed (O) is greater than the expected action (E), then the action of the combination is super-additive, i.e. there is a synergistic effect. In mathematical terms, synergism corresponds to a positive value for the difference of (O-E). In the case of purely complementary addition of activities (expected activity), said difference (O-E) is zero. A negative value of said difference (O-E) signals a loss of activity compared to the expected activity.
Another method by which synergistic effects can be evaluated is by the Co-Toxicity Coefficient (CTC), according to the Sun-YP method (Yun-Pei, Sun. "Toxicity Index-An Improved Method of Comparing the Relative Toxicity of Insecticides." Journal of Economic Entomology 1 (1950):45-53.). A CTC value of less than 80 indicates an antagonistic effect, a CTC value of 80-120 indicates an additive effect, and a CTC value of greater than or equal to 120 indicates a synergistic effect.
CTC = (ATI / TTI) * 100 Component A represents standard active ingredient (in the present case component A is pydiflumetofen), and component B represents the component to be mixed with the standard active ingredient (in the present case component B is epoxiconazole).
ATI (Measured toxicity index of a mixture) = (Standard Al’s ECso/Mixture’s EC50) * 100
TTI (Theoretical toxicity index of a mixture) = (TIA*PA+TIB*PB) * 100
TIA (Toxicity index of component A) = the EC50 of component A I the EC50 of component A
PA: Percentage of component A in the mixture
TIB (Toxicity index of component B) = the EC50 of component A I the EC50 of component B PB: Percentage of component B in the mixture
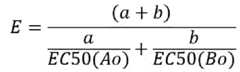
A further method by which synergistic effects can be evaluated is by the Wadley method, Wadley’s method is based on EC50 values (effective concentration required to obtain a 50% effect) typically derived by linear or non-linear regression from dose-response experiments, and thus avoids errors arising from the nonlinear nature of the dose-response curve.
In the Wadley method, for a given combination of two active components, E (expected EC50) can be expressed as:
Figure imgf000006_0001
where a and b are the weight ratios (EC50 values) of compound A and B in the mixture and EC50(Ao) and EC50(Bo) are the experimentally observed (0) EC50 values obtained using the dose response curves for the individual compounds. The synergism ratio (R) is calculated as the ratio between the expected values and observed values, EC50 A+B(e)/EC50 A+B(o).
If A+B (observed) is > A+B (expected) then synergy (R>1) is exhibited. If R=1 then the effect is additive and if R<1 then antagonism is exhibited.
However, besides the actual synergistic action with respect to fungicidal activity, the compositions according to the invention can also have further surprising advantageous properties. Examples of such advantageous properties that may be mentioned are: more advantageous degradability; improved toxicological and/or ecotoxicological behaviour; or improved characteristics of the useful plants including: emergence, crop yields, more developed root system, tillering increase, increase in plant height, bigger leaf blade, less dead basal leaves, stronger tillers, greener leaf colour, less fertilizers needed, less seeds needed, more productive tillers, earlier flowering, early grain maturity, less plant verse (lodging), increased shoot growth, improved plant vigor, and early germination.
Some compositions according to the invention have a systemic action and can be used as foliar, soil and seed treatment fungicides. With the compositions according to the invention it is possible to inhibit or destroy the phytopathogenic microorganisms which occur in plants or in parts of plants (fruit, blossoms, leaves, stems, tubers, roots) in different useful plants, while at the same time the parts of plants which grow later are also protected from attack by phytopathogenic microorganisms.
The compositions according to the invention can be applied to the phytopathogenic microorganisms, the useful plants, the locus thereof, the propagation material thereof, storage goods or technical materials threatened by microorganism attack.
The compositions according to the invention may be applied before or after infection of the useful plants, the propagation material thereof, storage goods or technical materials by the microorganisms.
A further aspect of the present invention is a method of controlling diseases on useful plants or on propagation material thereof caused by phytopathogens, which comprises applying to the useful plants, the locus thereof or propagation material thereof a composition according to the invention. Preferred is a method, which comprises applying to the useful plants or to the locus thereof a composition according to the invention, more preferably to the useful plants. Further preferred is a method, which comprises applying to the propagation material of the useful plants a composition according to the invention.
Throughout this document the expression “composition” means the various mixtures or combinations of components (A) and (B), for example in a single “ready-mix” form, in a combined spray mixture composed from separate formulations of the single active ingredient components, such as a “tank-mix”, and in a combined use of the single active ingredients when applied in a sequential manner, i.e. one after the other with a reasonably short period, such as a few hours or days. The order of applying the components (A) and (B) is not essential for working the present invention.
The active ingredient combinations are effective against harmful microorganisms, such as microorganisms, that cause phytopathogenic diseases, in particular against phytopathogenic fungi and bacteria.
The composition is effective in controlling a broad spectrum of plant diseases, such as foliar pathogens of ornamental, turf, vegetable, field, cereal, and fruit crops.
These pathogens may include: Oomycetes, including Phytophthora diseases such as those caused by Phytophthora capsici, Phytophthora infestans, Phytophthora sojae, Phytophthora fragariae, Phytophthora nicotianae, Phytophthora cinnamomi, Phytophthora citricola, Phytophthora citrophthora and Phytophthora erythrose ptica; Pythium diseases such as those caused by Pythium aphanidermatum, Pythium arrhenomanes, Pythium graminicola, Pythium irregulare and Pythium ultimum; diseases caused by Peronosporales such as Peronospora destructor, Peronospora parasitica, Plasmopara viticola, Plasmopara halstedii, Pseudoperonospora cubensis, Albugo Candida, Sclerophthora macrospora and Bremia lactucae; and others such as Aphanomyces cochlioides, Labyrinthula zosterae, Peronosclerospora sorghi and Sclerospora graminicola;
Ascomycetes, including blotch, spot, blast or blight diseases and/or rots for example those caused by Pleosporales such as Stemphylium solani, Stagonospora tainanensis, Spilocaea oleaginea, Setosphaeria turcica, Pyrenochaeta lycoperisici, Pleospora herbarum, Phoma destructiva, Phaeosphaeria herpotrichoides, Phaeocryptocus gaeumannii, Ophiosphaerella graminicola, Ophiobolus graminis, Leptosphaeria maculans, Hendersonia creberrima, Helminthosporium triticirepentis, Setosphaeria turcica, Drechslera glycines, Didymella bryoniae, Cycloconium oleagineum, Corynespora cassiicola, Cochliobolus sativus, Bipolaris cactivora, Venturia inaequalis, Pyrenophora teres, Pyrenophora tritici-repentis, Alternaria alternata, Altemaria brassicicola, Alternaria solani and Alternaria tomatophila, Cpydiflumetofenodiales such as Septoria tritici, Septoria nodorum, Septoria glycines, Cercospora arachidicola, Cercospora sojina, Cercospora zeae-maydis, Cercosporella capsellae and Cercosporella herpotrichoides, Cladosporium carpophilum, Cladosporium effusum, Passalora fulva, Cladosporium oxysporum, Dothistroma septosporum, Isariopsis clavispora, Mycosphaerella fijiensis, Mycosphaerella graminicola, Mycovellosiella koepkeii, Phaeoisariopsis bataticola, Pseudocercospora vitis, Pseudocercosporella herpotrichoides, Ramularia beticola, Ramularia collo-cygni, Magnaporthales such as Gaeumannomyces graminis, Magnaporthe grisea, Pyricularia oryzae, Diaporthales such as Anisogramma anomala, Apiognomonia errabunda, Cytospora platan!, Diaporthe phaseolorum, Discula destructiva, Gnomonia fructicola, Greeneria uvicola, Melanconium juglandinum, Phomopsis viticola, Sirococcus clavigignenti-juglandacearum, Tubakia dryina, Dicarpella spp., Valsa ceratosperma, and others such as Actinothyrium graminis, Ascochyta pisi, Aspergillus flavus, Aspergillus fumigatus, Aspergillus nidulans, Asperisporium caricae, Blumeriella jaapii, Candida spp., Cpydiflumetofenodium ramosum, Cephaloascus spp., Cephalosporium gramineum, Ceratocystis paradoxa, Chaetomium spp., Hymenoscyphus pseudoalbidus, Coccidioides spp., Cylindrosporium padi, Diplocarpon malae, Drepanopeziza campestris, Elsinoe ampelina, Epicoccum nigrum, Epidermophyton spp., Eutypa lata, Geotrichum candidum, Gibellina cerealis, Gloeocercospora sorghi, Gloeodes pomigena, Gloeosporium perennans; Gloeotinia temulenta, Griphospaeria corticola, Kabatiella lini, Leptographium microsporum, Leptosphaerulinia crassiasca, Lophodermium seditiosum, Marssonina graminicola, Microdochium nivale, Monilinia fructicola, Monographella albescens, Monosporascus cannonballus, Naemacyclus spp., Ophiostoma novo-ulmi, Paracoccidioides brasiliensis, Penicillium expansum, Pestalotia rhododendri, Petriellidium spp., Pezicula spp., Phialophora gregata, Phyllachora pomigena, Phymatotrichum omnivora, Physalospora abdita, Plectosporium tabacinum, Polyscytalum pustulans, Pseudopeziza medicaginis, Pyrenopeziza brassicae, Ramulispora sorghi, Rhabdocline pseudotsugae, Rhynchosporium secalis, Sacrocladium oryzae, Scedosporium spp., Schizothyrium pomi, Sclerotinia sclerotiorum, Sclerotinia minor; Sclerotium spp., Typhula ishikariensis, Seimatosporium mariae, Lepteutypa cupressi, Septocyta ruborum, Sphaceloma perseae, Sporonema phacidioides, Stigmina palmivora, Tapesia yallundae, Taphrina bullata, Thielviopsis basicola, Trichoseptoria fructigena, Zygophiala jamaicensis; powdery mildew diseases for example those caused by Erysiphales such as Blumeria graminis, Erysiphe polygon!, Uncinula necator, Sphaerotheca fuligena, Podosphaera leucotricha, Podospaera macularis Golovinomyces cichoracearum, Leveillula taurica, Microsphaera diffusa, Oidiopsis gossypii, Phyllactinia guttata and Oidium arachidis; molds for example those caused by Botryosphaeriales such as Dothiorella aromatica, Diplodia seriata, Guignardia bidwellii, Botrytis cinerea, Botryotinia aim, Botryotinia fabae, Fusicoccum amygdali, Lasiodiplodia theobromae, Macrophoma theicola, Macrophomina phaseolina, Phyllosticta cucurbitacearum; anthracnoses for example those caused by Glommerelales such as Colletotrichum gloeosporioides, Colletotrichum lagenarium, Colletotrichum gossypii, Glomerella cingulata, and Colletotrichum graminicola and wilts or blights for example those caused by Hypocreales such as Acremonium strictum, Claviceps purpurea, Fusarium asiaticum, Fusarium culmorum, Fusarium graminearum, Fusarium virguliforme, Fusarium oxysporum, Fusarium subglutinans, Fusarium oxysporum f.sp. cubense, Gerlachia nivale, Gibberella fujikuroi, Gibberella zeae, Gliocladium spp., Myrothecium verrucaria, Nectria ramulariae, Trichoderma viride, Trichothecium roseum, and Verticillium theobromae;
Basidiomycetes, including smuts for example those caused by Ustilaginales such as Ustilaginoidea virens, Ustilago nuda, Ustilago tritici, Ustilago zeae, rusts for example those caused by Pucciniales such as Cerotelium fici, Chrysomyxa arctostaphyli, Coleosporium ipomoeae, Hemileia vastatrix, Puccinia arachidis, Puccinia cacabata, Puccinia graminis, Puccinia recondita, Puccinia sorghi, Puccinia hordei, Puccinia striiformis f.sp. Hordei, Puccinia striiformis f.sp. Secalis, Pucciniastrum coryli, or Uredinales such as Cronartium ribicola, Gymnosporangium juniperi- viginianae, Melam psora medusae, Phakopsora pachyrhizi, Phragmidium mucronatum, Physopella ampelosidis, Tranzschelia discolor and Uromyces viciae-fabae; and other rots and diseases such as those caused by Cryptococcus spp., Exobasidium vexans, Marasmiellus inoderma, Mycena spp., Sphacelotheca reiliana, Typhula ishikariensis, Urocystis agropyri, Itersonilia perplexans, Corticium invisum, Laetisaria fuciformis, Waitea circinata, Rhizoctonia solani, Thanetephorus cucurmeris, Entyloma dahliae, Entylomella microspora, Neovossia moliniae and Tilletia caries;
Blastocladiomycetes, such as Physoderma maydis;
Mucoromycetes, such as Choanephora cucurbitarum.; Mucor spp.; Rhizopus arrhizus; as well as diseases caused by other species and genera closely related to those listed above.
In addition to their fungicidal activity, the compositions may also have activity against bacteria such as Erwinia amylovora, Erwinia caratovora, Xanthomonas campestris, Pseudomonas syringae, Strptomyces scabies and other related species as well as certain protozoa.
The composition according to the invention is particularly effective against phytopathogenic fungi belonging to the following classes: Ascomycetes (e.g. Venturia, Podosphaera, Erysiphe, Monilinia, Mycosphaerella, Uncinula); Basidiomycetes (e.g. the genus Hemileia, Rhizoctonia, Phakopsora, Puccinia, Ustilago, Tilletia); Fungi imperfecti (also known as Deuteromycetes; e.g. Botrytis, Helminthosporium, Rhynchosporium, Fusarium, Septoria, Cercospora, Alternaria, Pyricularia and Pseudocercosporella); Oomycetes (e.g. Phytophthora, Peronospora, Pseudoperonospora, Albugo, Bremia, Pythium, Pseudosclerospora, Plasmopara).
Crops of useful plants in which the composition according to the invention can be used include perennial and annual crops, such as berry plants for example blackberries, blueberries, cranberries, raspberries and strawberries; cereals for example barley, maize (corn), millet, oats, rice, rye, sorghum triticale and wheat; fibre plants for example cotton, flax, hemp, jute and sisal; field crops for example sugar and fodder beet, coffee, hops, mustard, oilseed rape (canola), poppy, sugar cane, sunflower, tea and tobacco; fruit trees for example apple, apricot, avocado, banana, cherry, citrus, nectarine, peach, pear and plum; grasses for example Bermuda grass, bluegrass, bentgrass, centipede grass, fescue, ryegrass, St. Augustine grass and Zoysia grass; herbs such as basil, borage, chives, coriander, lavender, lovage, mint, oregano, parsley, rosemary, sage and thyme; legumes for example beans, lentils, peas and soya beans; nuts for example almond, cashew, ground nut, hazelnut, peanut, pecan, pistachio and walnut; palms for example oil palm; ornamentals for example flowers, shrubs and trees; other trees, for example cacao, coconut, olive and rubber; vegetables for example asparagus, aubergine, broccoli, cabbage, carrot, cucumber, garlic, lettuce, marrow, melon, okra, onion, pepper, potato, pumpkin, rhubarb, spinach and tomato; and vines for example grapes.
Crops are to be understood as being those which are naturally occurring, obtained by conventional methods of breeding, or obtained by genetic engineering. They include crops which contain so-called output traits (e.g. improved storage stability, higher nutritional value and improved flavour).
Crops are to be understood as also including those crops which have been rendered tolerant to herbicides like bromoxynil or classes of herbicides such as ALS-, EPSPS-, GS-, HPPD- and PPO- inhibitors. An example of a crop that has been rendered tolerant to imidazolinones, e.g. imazamox, by conventional methods of breeding is Clearfield® summer canola. Examples of crops that have been rendered tolerant to herbicides by genetic engineering methods include e.g. glyphosate- and glufosinate-resistant maize varieties commercially available under the trade names RoundupReady®, Herculex I® and LibertyLink®.
Crops are also to be understood as being those which naturally are or have been rendered resistant to harmful insects. This includes plants transformed by the use of recombinant DNA techniques, for example, to be capable of synthesising one or more selectively acting toxins, such as are known, for example, from toxin-producing bacteria. Examples of toxins which can be expressed include d-endotoxins, vegetative insecticidal proteins (Vip), insecticidal proteins of bacteria colonising nematodes, and toxins produced by scorpions, arachnids, wasps and fungi.
An example of a crop that has been modified to express the Bacillus thuringiensis toxin is the Bt maize KnockOut® (Syngenta Seeds). An example of a crop comprising more than one gene that codes for insecticidal resistance and thus expresses more than one toxin is VipCot® (Syngenta Seeds). Crops or seed material thereof can also be resistant to multiple types of pests (so-called stacked transgenic events when created by genetic modification). For example, a plant can have the ability to express an insecticidal protein while at the same time being herbicide tolerant, for example Herculex I® (Dow AgroSciences, Pioneer Hi-Bred International).
According to the invention “useful plants” typically comprise the following species of plants: grape vines; cereals, such as wheat, barley, rye or oats; beet, such as sugar beet or fodder beet; fruits, such as pomes, stone fruits or soft fruits, for example apples, pears, plums, peaches, almonds, cherries, strawberries, raspberries or blackberries; leguminous plants, such as beans, lentils, peas or soybeans; oil plants, such as rape, mustard, poppy, olives, sunflowers, coconut, castor oil plants, cocoa beans or groundnuts; cucumber plants, such as marrows, cucumbers or melons; fibre plants, such as cotton, flax, hemp or jute; citrus fruit, such as oranges, lemons, grapefruit or mandarins; vegetables, such as spinach, lettuce, asparagus, cabbages, carrots, onions, tomatoes, potatoes, cucurbits or paprika; lauraceae, such as avocados, cinnamon or camphor; maize; tobacco; nuts; coffee; sugar cane; tea; vines; hops; durian; bananas; natural rubber plants; turf or ornamentals, such as flowers, shrubs, broad-leaved trees or evergreens, for example conifers. This list does not represent any limitation. The term "useful plants" is to be understood as including also useful plants that have been rendered tolerant to herbicides like bromoxynil or classes of herbicides (such as, for example, HPPD inhibitors, ALS inhibitors, for example primisulfuron, prosulfuron and trifloxysulfuron, EPSPS (5-enol- pyrovyl-shikimate-3-phosphate-synthase) inhibitors, GS (glutamine synthetase) inhibitors) as a result of conventional methods of breeding or genetic engineering. An example of a crop that has been rendered tolerant to imidazolinones, e.g. imazamox, by conventional methods of breeding (mutagenesis) is Clearfield® summer rape (Canola). Examples of crops that have been rendered tolerant to herbicides or classes of herbicides by genetic engineering methods include glyphosate- and glufosinate-resistant maize varieties commercially available under the trade names RoundupReady® , Herculex I® and LibertyLink®.
The term "useful plants" is to be understood as including also useful plants which have been so transformed by the use of recombinant DNA techniques that they are capable of synthesising one or more selectively acting toxins, such as are known, for example, from toxin-producing bacteria, especially those of the genus Bacillus.
Toxins that can be expressed by such transgenic plants include, for example, insecticidal proteins, for example insecticidal proteins from Bacillus cereus or Bacillus popliae; or insecticidal proteins from Bacillus thuringiensis, such as 8-endotoxins, e.g. CrylA(b), CrylA(c), CrylF, CrylF(a2), CryllA(b), CrylllA, CrylllB(bl) or Cry9c, or vegetative insecticidal proteins (VIP), e.g. VIP1 , VIP2, VIP3 or VIP3A; or insecticidal proteins of bacteria colonising nematodes, for example Photorhabdus spp. or Xenorhabdus spp., such as Photorhabdus luminescens, Xenorhabdus nematophilus; toxins produced by animals, such as scorpion toxins, arachnid toxins, wasp toxins and other insect-specific neurotoxins; toxins produced by fungi, such as Streptomycetes toxins, plant lectins, such as pea lectins, barley lectins or snowdrop lectins; agglutinins; proteinase inhibitors, such as trypsine inhibitors, serine protease inhibitors, patatin, cystatin, papain inhibitors; ribosome-inactivating proteins (RIP), such as ricin, maize-RIP, abrin, luffin, saporin or bryodin; steroid metabolism enzymes, such as 3-hydroxysteroidoxidase, ecdysteroid-UDP-glycosyl-transferase, cholesterol oxidases, ecdysone inhibitors, HMG-COA-reductase, ion channel blockers, such as blockers of sodium or calcium channels, juvenile hormone esterase, diuretic hormone receptors, stilbene synthase, bibenzyl synthase, chitinases and glucanases.
In the context of the present invention there are to be understood by 8-endotoxins, for example CrylA(b), CrylA(c), CrylF, CrylF(a2), CryllA(b), CrylllA, CrylllB(bl) or Cry9c, or vegetative insecticidal proteins (VIP), for example VIP1 , VIP2, VIP3 or VIP3A, expressly also hybrid toxins, truncated toxins and modified toxins. Hybrid toxins are produced recombinantly by a new combination of different domains of those proteins (see, for example, WO 02/15701). An example for a truncated toxin is a truncated CrylA(b), which is expressed in the Bt11 maize from Syngenta Seed SAS, as described below. In the case of modified toxins, one or more amino acids of the naturally occurring toxin are replaced. In such amino acid replacements, preferably non-naturally present protease recognition sequences are inserted into the toxin, such as, for example, in the case of Cryl IIA055, a cathepsin-D- recognition sequence is inserted into a CrylllA toxin (see WO 03/018810) Examples of such toxins or transgenic plants capable of synthesising such toxins are disclosed, for example, in EP-A-0 374 753, WO 93/07278, WO 95/34656, EP-A-0 427 529, EP-A-451 878 and WO 03/052073.
The processes for the preparation of such transgenic plants are generally known to the person skilled in the art and are described, for example, in the publications mentioned above. Cryl-type deoxyribonucleic acids and their preparation are known, for example, from WO 95/34656, EP-A-0 367 474, EP-A-0 401 979 and WO 90/13651.
The toxin contained in the transgenic plants imparts to the plants tolerance to harmful insects. Such insects can occur in any taxonomic group of insects, but are especially commonly found in the beetles (Coleoptera), two-winged insects (Diptera) and butterflies (Lepidoptera).
Transgenic plants containing one or more genes that code for an insecticidal resistance and express one or more toxins are known and some of them are commercially available. Examples of such plants are: YieldGard® (maize variety that expresses a CrylA(b) toxin); YieldGard Rootworm® (maize variety that expresses a CrylllB(bl) toxin); YieldGard Plus® (maize variety that expresses a CrylA(b) and a Cryl IIB(b1 ) toxin); Starlink® (maize variety that expresses a Cry9(c) toxin); Herculex I ® (maize variety that expresses a CrylF(a2) toxin and the enzyme phosphinothricine N- acetyltransferase (PAT) to achieve tolerance to the herbicide glufosinate ammonium); NuCOTN 33B® (cotton variety that expresses a CrylA(c) toxin); Bollgard I® (cotton variety that expresses a CrylA(c) toxin); Bollgard II® (cotton variety that expresses a CrylA(c) and a CryllA(b) toxin); VIPCOT® (cotton variety that expresses a VIP toxin); NewLeaf® (potato variety that expresses a Cry II IA toxin); Nature- Gard® and Protecta®.
Further examples of such transgenic crops are:
1. Bt11 Maize from Syngenta Seeds SAS, Chemin de I'Hobit 27, F-31 790 St. Sauveur, France, registration number C/FR/96/05/10. Genetically modified Zea mays which has been rendered resistant to attack by the European corn borer (Ostrinia nubilalis and Sesamia nonagrioides) by transgenic expression of a truncated CrylA(b) toxin. Bt11 maize also transgenically expresses the enzyme PAT to achieve tolerance to the herbicide glufosinate ammonium.
2. Bt176 Maize from Syngenta Seeds SAS, Chemin de I'Hobit 27, F-31 790 St. Sauveur, France, registration number C/FR/96/05/10. Genetically modified Zea mays which has been rendered resistant to attack by the European corn borer (Ostrinia nubilalis and Sesamia nonagrioides) by transgenic expression of a CrylA(b) toxin. Bt176 maize also transgenically expresses the enzyme PAT to achieve tolerance to the herbicide glufosinate ammonium.
3. MIR604 Maize from Syngenta Seeds SAS, Chemin de I'Hobit 27, F-31 790 St. Sauveur, France, registration number C/FR/96/05/10. Maize which has been rendered insect-resistant by transgenic expression of a modified CrylllA toxin. This toxin is Cry3A055 modified by insertion of a cathepsin-D-protease recognition sequence. The preparation of such transgenic maize plants is described in WO 03/018810. 4. MON 863 Maize from Monsanto Europe S.A. 270-272 Avenue de Tervuren, B-1150 Brussels, Belgium, registration number C/DE/02/9. MON 863 expresses a CrylllB(bl) toxin and has resistance to certain Coleoptera insects.
5. IPC 531 Cotton from Monsanto Europe S.A. 270-272 Avenue de Tervuren, B-1150 Brussels, Belgium, registration number C/ES/96/02.
6. 1507 Maize from Pioneer Overseas Corporation, Avenue Tedesco, 7 B-1160 Brussels, Belgium, registration number C/NL/00/10. Genetically modified maize for the expression of the protein Cry1 F for achieving resistance to certain Lepidoptera insects and of the PAT protein for achieving tolerance to the herbicide glufosinate ammonium.
7. NK603 x MON 810 Maize from Monsanto Europe S.A. 270-272 Avenue de Tervuren, B-1150 Brussels, Belgium, registration number C/GB/02/M3/03. Consists of conventionally bred hybrid maize varieties by crossing the genetically modified varieties NK603 and MON 810. NK603 x MON 810 Maize transgenically expresses the protein CP4 EPSPS, obtained from Agrobacterium sp. strain CP4, which imparts tolerance to the herbicide Roundup® (contains glyphosate), and also a CrylA(b) toxin obtained from Bacillus thuringiensis subsp. kurstaki which brings about tolerance to certain Lepidoptera, include the European corn borer.
Transgenic crops of insect-resistant plants are also described in BATS (Zentrum fur Biosicherheit und Nachhaltigkeit, Zentrum BATS, Clarastrasse 13, 4058 Basel, Switzerland) Report 2003, (http://bats.ch).
The term "useful plants" is to be understood as including also useful plants which have been so transformed by the use of recombinant DNA techniques that they are capable of synthesising antipathogenic substances having a selective action, such as, for example, the so-called "pathogenesis-related proteins" (PRPs, see e.g. EP-A-0 392 225). Examples of such antipathogenic substances and transgenic plants capable of synthesising such antipathogenic substances are known, for example, from EP-A-0 392 225, WO 95/33818, and EP-A-0 353 191. The methods of producing such transgenic plants are generally known to the person skilled in the art and are described, for example, in the publications mentioned above.
Antipathogenic substances which can be expressed by such transgenic plants include, for example, ion channel blockers, such as blockers for sodium and calcium channels, for example the viral KP1 , KP4 or KP6 toxins; stilbene synthases; bibenzyl synthases; chitinases; glucanases; the so- called "pathogenesis-related proteins" (PRPs; see e.g. EP-A-0 392 225); antipathogenic substances produced by microorganisms, for example peptide antibiotics or heterocyclic antibiotics (see e.g. WO 95/33818) or protein or polypeptide factors involved in plant pathogen defence (so-called "plant disease resistance genes", as described in WO 03/000906).
Useful plants of elevated interest in connection with present invention are cereals; soybean; rice; oil seed rape; pome fruits; stone fruits; peanuts; coffee; tea; strawberries; turf; vines and vegetables, such as tomatoes, potatoes, cucurbits and lettuce.
The term “locus” of a useful plant as used herein is intended to embrace the place on which the useful plants are growing, where the plant propagation materials of the useful plants are sown or where the plant propagation materials of the useful plants will be placed into the soil. An example for such a locus is a field, on which crop plants are growing. The term “plant propagation material” is understood to denote generative parts of a plant, such as seeds, which can be used for the multiplication of the latter, and vegetative material, such as cuttings or tubers, for example potatoes. There may be mentioned for example seeds (in the strict sense), roots, fruits, tubers, bulbs, rhizomes and parts of plants. Germinated plants and young plants which are to be transplanted after germination or after emergence from the soil, may also be mentioned. These young plants may be protected before transplantation by a total or partial treatment by immersion. Preferably “plant propagation material” is understood to denote seeds.
A further aspect of the instant invention is a method of protecting natural substances of plant and/or animal origin, which have been taken from the natural life cycle, and/or their processed forms against attack of fungi, which comprises applying to said natural substances of plant and/or animal origin or their processed forms a combination of components (A) and (B)..
According to the instant invention, the term “natural substances of plant origin, which have been taken from the natural life cycle” denotes plants or parts thereof which have been harvested from the natural life cycle and which are in the freshly harvested form. Examples of such natural substances of plant origin are stalks, leafs, tubers, seeds, fruits or grains. According to the instant invention, the term “processed form of a natural substance of plant origin” is understood to denote a form of a natural substance of plant origin that is the result of a modification process. Such modification processes can be used to transform the natural substance of plant origin in a more storable form of such a substance (a storage good). Examples of such modification processes are pre-drying, moistening, crushing, comminuting, grounding, compressing or roasting. Also falling under the definition of a processed form of a natural substance of plant origin is timber, whether in the form of crude timber, such as construction timber, electricity pylons and barriers, or in the form of finished articles, such as furniture or objects made from wood.
According to the instant invention, the term “natural substances of animal origin, which have been taken from the natural life cycle and/or their processed forms” is understood to denote material of animal origin such as skin, hides, leather, furs, hairs and the like, and does not refer to that material when it is present on a live animal. Thus the invention does not extend to a method of treatment of a live animal.
The combinations according to the present invention can prevent disadvantageous effects such as decay, discoloration or mold.
A preferred embodiment is a method of protecting natural substances of plant origin, which have been taken from the natural life cycle, and/or their processed forms against attack of fungi, which comprises applying to said natural substances of plant and/or animal origin or their processed forms a combination of components (A) and (B) in a synergistically effective amount.
A further preferred embodiment is a method of protecting fruits, preferably pomes, stone fruits, soft fruits and citrus fruits, which have been taken from the natural life cycle, and/or their processed forms, which comprises applying to said fruits and/or their processed forms a combination of components (A) and (B) in a synergistically effective amount.
The combinations of the present invention may also be used in the field of protecting industrial material against attack of fungi. According to the instant invention, the term “industrial material” denotes non-live material which have been prepared for use in industry. For example, industrial materials which are intended to be protected against attack of fungi can be glues, sizes, paper, board, textiles, carpets, leather, wood, constructions, paints, plastic articles, cooling lubricants, aqueous hydraulic fluids and other materials which can be infested with, or decomposed by, microorganisms. Cooling and heating systems, ventilation and air conditioning systems and parts of production plants, for example cooling-water circuits, which may be impaired by multiplication of microorganisms may also be mentioned from amongst the materials to be protected. The combinations according to the present invention can prevent disadvantageous effects such as decay, discoloration or mold.
The combinations of the present invention may also be used in the field of protecting technical material against attack of fungi. According to the instant invention, the term “technical material” includes paper; carpets; constructions; cooling and heating systems; ventilation and air conditioning systems and the like. The combinations according to the present invention can prevent disadvantageous effects such as decay, discoloration or mold.
The combinations according to the present invention are particularly effective against powdery mildews; rusts; leafspot species; early blights and molds; especially against Septoria, Puccinia, Erysiphe, Pyrenophora and Tapesia in cereals; Phakopsora in soybeans; Hemileia in coffee; Phragmidium in roses; Alternaria in potatoes, tomatoes and cucurbits; Sclerotinia in turf, vegetables, sunflower and oil seed rape; black rot, red fire, powdery mildew, grey mold and dead arm disease in vine; Botrytis cinerea in fruits; Monilinia spp. in fruits and Penicillium spp. in fruits.
The combinations according to the present invention are furthermore particularly effective against seedborne and soilborne diseases, such as Alternaria spp., Ascochyta spp., Botrytis cinerea, Cercospora spp., Claviceps purpurea, Cochliobolus sativus, Colletotrichum spp., Epicoccum spp., Fusarium graminearum, Fusarium moniliforme, Fusarium oxysporum, Fusarium proliferatum, Fusarium solani, Fusarium subglutinans, Gaumannomyces graminis , Helminthosporium spp., Microdochium nivale, Phoma spp., Pyrenophora graminea, Pyricularia oryzae, Rhizoctonia solani, Rhizoctonia cerealis, Sclerotinia spp., Septoria spp., Sphacelotheca reilliana, Tilletia spp., Typhula incarnata, Urocystis occulta, Ustilago spp. or Verticillium spp.; in particular against pathogens of cereals, such as wheat, barley, rye or oats; maize; rice; cotton; soybean; turf; sugarbeet; oil seed rape; potatoes; pulse crops, such as peas, lentils or chickpea; and sunflower.
The combinations according to the present invention are furthermore particularly effective against post harvest diseases such as Botrytis cinerea, Colletotrichum musae, Curvularia lunata, Fusarium semitecum, Geotrichum candidum, Monilinia fructicola, Monilinia fructigena, Monilinia laxa, Mucor piriformis, Penicilium italicum, Penicilium solitum, Penicillium digitatum or Penicillium expansum in particular against pathogens of fruits, such as pomefruits, for example apples and pears, stone fruits, for example peaches and plums, citrus, melons, papaya, kiwi, mango, berries, for example strawberries, avocados, pomegranates and bananas, and nuts.
The amount of a combination of the invention to be applied, will depend on various factors, such as the compounds employed; the subject of the treatment, such as, for example plants, soil or seeds; the type of treatment, such as, for example spraying, dusting or seed dressing; the purpose of the treatment, such as, for example prophylactic or therapeutic; the type of fungi to be controlled or the application time. The mixtures comprising components (A) and (B) can be applied, for example, in a single “ready-mix” form, in a combined spray mixture composed from separate formulations of the single active ingredient components, such as a “tank-mix”, and in a combined use of the single active ingredients when applied in a sequential manner, i.e. one after the other with a reasonably short period, such as a few hours or days. The order of applying components (A) and (B) is not essential for working the present invention.
Some of said combinations according to the invention have a systemic action and can be used as foliar, soil and seed treatment fungicides.
With the combinations according to the invention it is possible to inhibit or destroy the phytopathogenic microorganisms which occur in plants or in parts of plants (fruit, blossoms, leaves, stems, tubers, roots) in different useful plants, while at the same time the parts of plants which grow later are also protected from attack by phytopathogenic microorganisms.
The combinations of the present invention are of particular interest for controlling a large number of fungi in various useful plants or their seeds, especially in field crops such as potatoes, tobacco and sugarbeets, and wheat, rye, barley, oats, rice, maize, lawns, cotton, soybeans, oil seed rape, pulse crops, sunflower, coffee, sugarcane, fruit and ornamentals in horticulture and viticulture, in vegetables such as cucumbers, beans and cucurbits.
The combinations according to the invention are applied by treating the fungi, the useful plants, the locus thereof, the propagation material thereof, the natural substances of plant and/or animal origin, which have been taken from the natural life cycle, and/or their processed forms, or the industrial materials threatened by fungus attack with a combination of components (A) and (B), preferably in a synergistically effective amount.
The combinations according to the invention may be applied before or after infection of the useful plants, the propagation material thereof, the natural substances of plant and/or animal origin, which have been taken from the natural life cycle, and/or their processed forms, or the industrial materials by the fungi.
When applied to the useful plants the component (A) is applied at a rate of 5 to 2000 g a.i./ha, particularly 10 to 1000 g a.i./ha, e.g. 25, 50, 75, 100 or 200 g a.i./ha, in association with 1 to 5000 g a.i./ha, particularly 2 to 2000 g a.i./ha, e.g. 25, 50, 75, 100, 250, 500, 800, 1000, 1500 g a.i./ha of component (B).
In agricultural practice the application rates of the combination according to the invention depend on the type of effect desired, and typically range from 20 to 4000 g of total combination per hectare.
When the combinations of the present invention are used for treating seed, rates of 0.001 to 50 g of component (A) per kg of seed, are preferably from 0.01 to 10g per kg of seed, and 0.001 to 50 g component (B), per kg of seed, are preferably from 0.01 to 10g per kg of seed, are generally sufficient.
The invention also provides fungicidal compositions comprising a combination of components (A) and (B) as mentioned above in a synergistically effective amount, together with an agriculturally acceptable carrier, and optionally a surfactant. In said compositions, the weight ratio of (A) to (B) is preferably between 1000 : 1 and 1 : 1000, more preferably as described hereinbefore. The compositions of the invention may be employed in any conventional form, for example in the form of a twin pack, a powder for dry seed treatment (DS), an emulsion for seed treatment (ES), a flowable concentrate for seed treatment (FS), a solution for seed treatment (LS), a water dispersible powder for seed treatment (WS), a capsule suspension for seed treatment (CF), a gel for seed treatment (GF), an emulsion concentrate (EC), a suspension concentrate (SC), a suspo-emulsion (SE), a capsule suspension (CS), a water dispersible granule (WG), an emulsifiable granule (EG), an emulsion, water in oil (EG), an emulsion, oil in water (EW), a micro-emulsion (ME), an oil dispersion (OD), an oil miscible flowable (OF), an oil miscible liquid (OL), a soluble concentrate (SL), an ultra-low volume suspension (SU), an ultra-low volume liquid (UL), a technical concentrate (TK), a dispersible concentrate (DC), a wettable powder (WP) or any technically feasible formulation in combination with agriculturally acceptable adjuvants.
Such compositions may be produced in conventional manner, e.g. by mixing the active ingredients with appropriate formulation inerts (diluents, solvents, fillers and optionally other formulating ingredients such as surfactants, biocides, anti-freeze, stickers, thickeners and compounds that provide adjuvancy effects). Also conventional slow release formulations may be employed where long lasting efficacy is intended. Particularly formulations to be applied in spraying forms, such as water dispersible concentrates (e.g. EC, SC, DC, OD, SE, EW, EO and the like), wettable powders and granules, may contain surfactants such as wetting and dispersing agents and other compounds that provide adjuvancy effects, e.g. the condensation product of formaldehyde with naphthalene sulphonate, an alkylarylsulphonate, a lignin sulphonate, a fatty alkyl sulphate, and ethoxylated alkylphenol and an ethoxylated fatty alcohol.
A seed dressing formulation is applied in a manner known per se to the seeds employing the combination of the invention and a diluent in suitable seed dressing formulation form, e.g. as an aqueous suspension or in a dry powder form having good adherence to the seeds. Such seed dressing formulations are known in the art. Seed dressing formulations may contain the single active ingredients or the combination of active ingredients in encapsulated form, e.g. as slow release capsules or microcapsules.
In general, the formulations include from 0.01 to 90% by weight of active agent, from 0 to 20% agriculturally acceptable surfactant and 10 to 99.99% solid or liquid formulation inerts and adjuvants), component (A) together with components (B) and (C), and optionally other active agents, particularly microbiocides or conservatives or the like. Concentrated forms of compositions generally contain in between about 2 and 80%, preferably between about 5 and 70% by weight of active agent. Application forms of formulation may for example contain from 0.01 to 20% by weight, preferably from 0.01 to 5% by weight of active agent. Whereas commercial products will preferably be formulated as concentrates, the end user will normally employ diluted formulations.
BIOLOGICAL EXAMPLES
Combinations of the invention are tested using one or more of the following protocols.
Fusarium spp. The test was performed according to Pesticides guidelines for laboratory bioactivity tests, Part 2: Petri plate test for determining fungicides inhibition of mycelial growth (NY/T 1156.2-2006). Specifically, according to the results of pre-experiment, the best concentration ranges for determination of the sensitivity of pathogens to pydiflumetofen, epoxiconazole, and mixtures thereof were respectively determined, and 5-7 concentration gradients were set to make the inhibition rate at the minimum concentration close to 10% and the inhibition rate at the highest concentration close to 90%. Same volumes of solutions of pydiflumetofen, epoxiconazole, and mixtures thereof in DMSO with desired concentrations were respectively added to melted PDA culture medium to prepare the test plate, and a PDA plate having a same volume of DMSO was used as control.
Mycelial plugs in the edge of colony were prepared by hole puncher with a diameter of 5 mm. With mycelium upward, the mycelial plugs were shifted to the centre of PDA medium plates containing pydiflumetofen, epoxiconazole, and mixtures thereof and the control plate. After cultured in an incubator at 25°C for three days in darkness, the diameters of every mycelial colony on PDA plates were measured twice perpendicularly and then averaged. The inhibition rate (%) = (the average diameter of mycelial colony on the control plate - the average diameter of mycelial colony on the test plate) I (the average diameter of mycelial colony on the control plate) * 100%.
The EC50 values of each tested agent and each mixture were calculated by the linear regression analysis between the probability value of the inhibition rate and the log value of the series of concentrations. The co-toxicity coefficient (CTC) of the mixtures was calculated and evaluated according to the Sun-YP method. The results are shown in Tables 1 and 2 below.
Table 1 - Fungicidal activity of pydiflumetofen and epoxiconazole against Fusarium graminearum calculated using the CTC method
Figure imgf000018_0001
Table 2 - Fungicidal activity of pydiflumetofen and epoxiconazole against Fusarium asiaticum calculated using the CTC method
Figure imgf000018_0002
The EC50 values of each tested agent and each mixture were also calculated using the Wadley method. The results are shown in Tables 3 and 4 below. Table 3 - Fungicidal activity of pydiflumetofen and epoxiconazole against Fusarium graminearum calculated using the Wadley method
Figure imgf000019_0001
Table 4 - Fungicidal activity of pydiflumetofen and epoxiconazole against Fusarium asiaticum calculated using the Wadley method
Figure imgf000019_0002

Claims

CLAIMS:
1. A composition suitable for control of diseases caused by phytopathogens comprising as component (A), pydiflumetofen, and as component (B), epoxiconazole, or agrochemically acceptable salts, stereoisomers, diastereoisomers, enantiomers and tautomers thereof.
2. The composition according to claim 1 , wherein components (A) and (B) are present in a synergistically effective amount.
3. The composition according to claim 1 or claim 2, wherein the weight ratio of (A) to (B) is from 100:1 to 1 :100.
4. The composition according to any one of claims 1 to 3, wherein the weight ratio of (A) to (B) is from 9:1 to 1 :9.
5. The composition according to any one of claims 1 to 4, wherein the weight ratio of (A) to (B) is from 5:1 to 1 :5.
6. The composition according to any one of claims 1 to 5, wherein the weight ratio of (A) to (B) is 1.5:1.
7. The composition according to any one of claims 1 to 5, wherein the weight ratio of (A) to (B) is
1 :1.
8. The composition according to any one of claims 1 to 7, further comprising an agriculturally acceptable carrier and/or formulation adjuvant, and optionally, a surfactant.
9. A method of controlling diseases on useful plants or on propagation material thereof caused by phytopathogens, which comprises applying to the useful plants, the locus thereof or propagation material thereof, a composition as defined in any one of claims 1 to 8.
10. A method for controlling Fusarium spp. on useful plants, said method comprising applying to the useful plants, the locus thereof or propagation material thereof, an effective amount of a composition as defined in any one of claims 1 to 8.
11 . The method according to claim 10, wherein the pathogen is Fusarium graminearum or Fusarium asiaticum.
12. Use of a composition according to any one of claims 1 to 8 as a fungicide. A method of protecting natural substances of plant and/or animal origin, which have been taken from the natural life cycle, and/or their processed forms, which comprises applying to said natural substances of plant and/or animal origin or their processed forms a combination of components (A) and (B) as defined in any one of claims 1 to 8.
PCT/EP2023/0724702022-08-162023-08-15Fungicidal compositionsCeasedWO2024038054A1 (en)

Priority Applications (1)

Application NumberPriority DateFiling DateTitle
CN202380059736.3ACN119768055A (en)2022-08-162023-08-15 Fungicidal composition

Applications Claiming Priority (2)

Application NumberPriority DateFiling DateTitle
CNPCT/CN2022/1126332022-08-16
CN20221126332022-08-16

Publications (1)

Publication NumberPublication Date
WO2024038054A1true WO2024038054A1 (en)2024-02-22

Family

ID=87797838

Family Applications (1)

Application NumberTitlePriority DateFiling Date
PCT/EP2023/072470CeasedWO2024038054A1 (en)2022-08-162023-08-15Fungicidal compositions

Country Status (2)

CountryLink
CN (1)CN119768055A (en)
WO (1)WO2024038054A1 (en)

Citations (27)

* Cited by examiner, † Cited by third party
Publication numberPriority datePublication dateAssigneeTitle
EP0196038A2 (en)1985-03-291986-10-01BASF AktiengesellschaftAzolyl methyl oxiranes, their preparation and use as plant-protecting agents
EP0353191A2 (en)1988-07-291990-01-31Ciba-Geigy AgDNA sequences encoding polypeptides having beta-1,3-glucanase activity
EP0367474A1 (en)1988-11-011990-05-09Mycogen CorporationNovel bacillus thuringiensis isolate denoted b.t. ps81gg, active against lepidopteran pests, and a gene encoding a lepidopteran-active toxin
EP0374753A2 (en)1988-12-191990-06-27American Cyanamid CompanyInsecticidal toxines, genes coding therefor, antibodies binding them, transgenic plant cells and plants expressing these toxines
EP0392225A2 (en)1989-03-241990-10-17Ciba-Geigy AgDisease-resistant transgenic plants
WO1990013651A1 (en)1989-05-091990-11-15Imperial Chemical Industries PlcBacterial genes
EP0401979A2 (en)1989-05-181990-12-12Mycogen CorporationNovel bacillus thuringiensis isolates active against lepidopteran pests, and genes encoding novel lepidopteran-active toxins
EP0427529A1 (en)1989-11-071991-05-15Pioneer Hi-Bred International, Inc.Larvicidal lectins and plant insect resistance based thereon
EP0451878A1 (en)1985-01-181991-10-16Plant Genetic Systems, N.V.Modifying plants by genetic engineering to combat or control insects
WO1993007278A1 (en)1991-10-041993-04-15Ciba-Geigy AgSynthetic dna sequence having enhanced insecticidal activity in maize
WO1995033818A2 (en)1994-06-081995-12-14Ciba-Geigy AgGenes for the synthesis of antipathogenic substances
WO1995034656A1 (en)1994-06-101995-12-21Ciba-Geigy AgNovel bacillus thuringiensis genes coding toxins active against lepidopteran pests
WO2002015701A2 (en)2000-08-252002-02-28Syngenta Participations AgBacillus thuringiensis crystal protein hybrids
WO2003000906A2 (en)2001-06-222003-01-03Syngenta Participations AgPlant disease resistance genes
WO2003018810A2 (en)2001-08-312003-03-06Syngenta Participations AgModified cry3a toxins and nucleic acid sequences coding therefor
WO2003052073A2 (en)2001-12-172003-06-26Syngenta Participations AgNovel corn event
WO2008148570A1 (en)2007-06-082008-12-11Syngenta Participations AgPyrazole carboxylic acid amides useful as microbiocides
WO2008151828A2 (en)2007-06-152008-12-18Syngeta Participations AgNovel microbiocides
WO2010063700A2 (en)2008-12-052010-06-10Syngenta Participations AgNovel microbiocides
WO2010067300A1 (en)2008-12-122010-06-17Koninklijke Philips Electronics N. V.Automatic road mapping for heart valve replacement
WO2010084078A1 (en)2009-01-212010-07-29Syngenta Participations AgNovel microbiocides
WO2012041874A1 (en)2010-10-012012-04-05Syngenta Participations AgFungicidal compositions
WO2015049178A1 (en)2013-10-022015-04-09Conti Temic Microelectronic GmbhCircuit device and method for the production thereof
WO2017029177A1 (en)2015-08-172017-02-23Syngenta Participations AgFungicidal compositions
CN106857540A (en)*2017-04-172017-06-20陕西上格之路生物科学有限公司A kind of bactericidal composition of fluorine-containing azoles bacterium acyl azanol and triazole bactericidal agent
CN113100241A (en)*2021-04-012021-07-13江苏邦盛生物科技有限责任公司Synergistic pesticide composition containing paeoniflorin and alginate oligosaccharides
JP2022023190A (en)*2021-10-282022-02-07住友化学株式会社Method of controlling plant disease using metyltetraprole

Patent Citations (27)

* Cited by examiner, † Cited by third party
Publication numberPriority datePublication dateAssigneeTitle
EP0451878A1 (en)1985-01-181991-10-16Plant Genetic Systems, N.V.Modifying plants by genetic engineering to combat or control insects
EP0196038A2 (en)1985-03-291986-10-01BASF AktiengesellschaftAzolyl methyl oxiranes, their preparation and use as plant-protecting agents
EP0353191A2 (en)1988-07-291990-01-31Ciba-Geigy AgDNA sequences encoding polypeptides having beta-1,3-glucanase activity
EP0367474A1 (en)1988-11-011990-05-09Mycogen CorporationNovel bacillus thuringiensis isolate denoted b.t. ps81gg, active against lepidopteran pests, and a gene encoding a lepidopteran-active toxin
EP0374753A2 (en)1988-12-191990-06-27American Cyanamid CompanyInsecticidal toxines, genes coding therefor, antibodies binding them, transgenic plant cells and plants expressing these toxines
EP0392225A2 (en)1989-03-241990-10-17Ciba-Geigy AgDisease-resistant transgenic plants
WO1990013651A1 (en)1989-05-091990-11-15Imperial Chemical Industries PlcBacterial genes
EP0401979A2 (en)1989-05-181990-12-12Mycogen CorporationNovel bacillus thuringiensis isolates active against lepidopteran pests, and genes encoding novel lepidopteran-active toxins
EP0427529A1 (en)1989-11-071991-05-15Pioneer Hi-Bred International, Inc.Larvicidal lectins and plant insect resistance based thereon
WO1993007278A1 (en)1991-10-041993-04-15Ciba-Geigy AgSynthetic dna sequence having enhanced insecticidal activity in maize
WO1995033818A2 (en)1994-06-081995-12-14Ciba-Geigy AgGenes for the synthesis of antipathogenic substances
WO1995034656A1 (en)1994-06-101995-12-21Ciba-Geigy AgNovel bacillus thuringiensis genes coding toxins active against lepidopteran pests
WO2002015701A2 (en)2000-08-252002-02-28Syngenta Participations AgBacillus thuringiensis crystal protein hybrids
WO2003000906A2 (en)2001-06-222003-01-03Syngenta Participations AgPlant disease resistance genes
WO2003018810A2 (en)2001-08-312003-03-06Syngenta Participations AgModified cry3a toxins and nucleic acid sequences coding therefor
WO2003052073A2 (en)2001-12-172003-06-26Syngenta Participations AgNovel corn event
WO2008148570A1 (en)2007-06-082008-12-11Syngenta Participations AgPyrazole carboxylic acid amides useful as microbiocides
WO2008151828A2 (en)2007-06-152008-12-18Syngeta Participations AgNovel microbiocides
WO2010063700A2 (en)2008-12-052010-06-10Syngenta Participations AgNovel microbiocides
WO2010067300A1 (en)2008-12-122010-06-17Koninklijke Philips Electronics N. V.Automatic road mapping for heart valve replacement
WO2010084078A1 (en)2009-01-212010-07-29Syngenta Participations AgNovel microbiocides
WO2012041874A1 (en)2010-10-012012-04-05Syngenta Participations AgFungicidal compositions
WO2015049178A1 (en)2013-10-022015-04-09Conti Temic Microelectronic GmbhCircuit device and method for the production thereof
WO2017029177A1 (en)2015-08-172017-02-23Syngenta Participations AgFungicidal compositions
CN106857540A (en)*2017-04-172017-06-20陕西上格之路生物科学有限公司A kind of bactericidal composition of fluorine-containing azoles bacterium acyl azanol and triazole bactericidal agent
CN113100241A (en)*2021-04-012021-07-13江苏邦盛生物科技有限责任公司Synergistic pesticide composition containing paeoniflorin and alginate oligosaccharides
JP2022023190A (en)*2021-10-282022-02-07住友化学株式会社Method of controlling plant disease using metyltetraprole

Non-Patent Citations (2)

* Cited by examiner, † Cited by third party
Title
COLBY, S.R: "Calculating synergistic and antagonistic responses of herbicide combination", WEEDS, vol. 15, 1967, pages 20 - 22, XP001112961
YUN-PEI, SUN.: "Toxicity Index-An Improved Method of Comparing the Relative Toxicity of Insecticides", JOURNAL OF ECONOMIC ENTOMOLOGY, vol. 1, 1950, pages 45 - 53

Also Published As

Publication numberPublication date
CN119768055A (en)2025-04-04

Similar Documents

PublicationPublication DateTitle
EP3713416B1 (en)Fungicidal compositions
US20140024668A1 (en)Fungicidal compositions
CN113575594A (en)Fungicidal compositions
JP7696928B2 (en) bactericidal composition
JP7747665B2 (en) bactericidal composition
JP7696930B2 (en) bactericidal composition
JP7714587B2 (en) bactericidal composition
US20230240293A1 (en)Fungicidal compositions
EP4432834A1 (en)Fungicidal compositions
US20230284616A1 (en)Fungicidal compositions
WO2024038054A1 (en)Fungicidal compositions
EP1856978A1 (en)Fungicidal compositions comprising Penthiopyrad and Cyproconazole
WO2025114133A1 (en)Fungicidal compositions
EA044479B1 (en) FUNGICIDAL COMPOSITIONS

Legal Events

DateCodeTitleDescription
121Ep: the epo has been informed by wipo that ep was designated in this application

Ref document number:23758534

Country of ref document:EP

Kind code of ref document:A1

WWEWipo information: entry into national phase

Ref document number:202380059736.3

Country of ref document:CN

NENPNon-entry into the national phase

Ref country code:DE

WWPWipo information: published in national office

Ref document number:202380059736.3

Country of ref document:CN

122Ep: pct application non-entry in european phase

Ref document number:23758534

Country of ref document:EP

Kind code of ref document:A1


[8]ページ先頭

©2009-2025 Movatter.jp