PYRAZOLOTHIAZOLE CARBOXAMIDES AND THEIR USES AS PDGFR INHIBITORS CROSS-REFERENCE TO RELATED APPLICATION [0001] This application claims the benefit of United States Provisional Application No.63/354,295, filed June 22, 2022, the entirety of which is incorporated by reference herein. TECHNICAL FIELD [0002] The disclosure is directed to PDGFR inhibitors and methods of their use. BACKGROUND [0003] Protein kinases are a family of enzymes that catalyze the phosphorylation of specific residues in proteins. Protein kinases play a critical role in the control cell growth, proliferation, differentiation, metabolism, apoptosis, cell mobility, transcription, translation and other signaling processes. The overexpression or inappropriate expression of protein kinases plays a significant role in the development of many diseases and disorders including central nervous system disorders, inflammatory disorders, metabolic disorders, autoimmune diseases, cardiovascular diseases, fibrotic diseases, transplantation rejection, cancer and infectious diseases. [0004] Growth factors (GF) are important regulators of human homeostasis involved in maintaining a delicate balance between cell growth, differentiation, and proliferation. Consequently, dysregulation of GF signaling are implicated in many diseases including oncology, immunology, fibroproliferative, cardiovascular, vascular disorders and pulmonary hypertension. GF bind to several different receptors that amplify the signal through activation of the specific receptor through phosphorylation, leading to confirmation changes increasing the affinity for ATP and the phosphorylation of downstream proteins leading to activation of several signaling cascades. Therefore, small changes in GF or the cognate receptors can significantly alter the local signaling and have dramatic effects on initiation and progression of many diseases. [0005] Platelet-derived growth factor (PDGF) is one of many GFs that regulate cell growth and division. PDGF exerts its biological responses via activation of two highly specific, transmembrane receptor tyrosine kinases, termed PDGFR α and PDGFR β, which can form three different dimeric receptors – αα, ββ and αβ. These receptors can interact with the different dimeric PDGF ligands (PDGF-AA, PDGF-BB, PDGF-CC, PDGF-DD and PDGF-AB) with different specificities and efficacies. The receptors are activated by ligand- induced dimerization, leading to autophosphorylation on specific tyrosine residues. PDGFR phosphorylation recruits signaling proteins containing Tyr(P)-binding domains. Several of these signaling proteins include Src kinase family members, phospholipase C-y1, the p38a subunit of PI3K, GTPase-activating protein. The formation of receptor-signaling complexes then initiates the activation of various signaling pathways, including the Ras-mitogen activated protein (MAP) kinase pathway, the PI3kinase-Akt pathway, the PLC-y1 and the Src pathway. Activation of PDGFRα or PDGFRβ by PDGFs, leads to protein synthesis, proliferation, migration, protection against apoptosis and cellular transformation, key mechanisms associated with several vascular diseases including pulmonary hypertension. Platelet-derived growth factor (PDGF) and its receptors (PDGFR), including PDGFRα and PDGFRβ, play important roles in tumorigenesis, tumor progression, and the regulation of stromal cell function. Constitutive activation of PDGFR signaling, gene rearrangement, and activating mutations of PDGFR have been identified in various types of human tumors and malignancies. [0006] PDGFR signaling is implicated in the development and progression of pulmonary hypertension. PDGFs are expressed in ECs, SMCs and macrophages and are strong mitogens and chemokines. Increased signaling through PDGFRβ leads to smooth muscle cell proliferation which contributes to the development of vascular remodeling. PDGF and PDGF receptors (α and β) are upregulated in human and animals with pulmonary hypertension. Preclinically, efficacy in preventing and reversing vascular remodeling in experimentally induced pulmonary hypertension was demonstrated through non-selective inhibition of PDGF receptors. Clinically, imatinib (also known as Gleevec), a non-selective tyrosine kinase inhibitor including PDGF receptors improved exercise capacity and hemodynamics in patients with advanced pulmonary hypertension. Conversely, dasatinib, a receptor tyrosine kinases inhibitor, was linked to cardiotoxicity and the development of pulmonary hypertension, emphasizing the importance of the appropriate kinase selectivity, and associated differentiated profile. [0007] A need exists for additional PDGFR inhibitors for the treatment of pulmonary hypertension and other conditions in which PDGFR signaling is implicated. SUMMARY [0008] The present disclosure provides PDGFR inhibitors. [0009] In some aspects, the present disclosure provides compounds of formula (I):

or pharmaceutically acceptable salts thereof, wherein R
2 is optionally substituted pyridinyl, optionally substituted pyrazolyl; optionally substituted 2,3-dihydro-[1,4]dioxino[2,3-b]pyridinyl; optionally substituted 6,7-dihydro-pyrazolo[5,1- b][1,3]oxazinyl; optionally substituted 6,7-dihydro-pyrazolo[5,1-c][1,4]oxazinyl; optionally substituted 4,5,6,7-tetrahydro-pyrazolo[1,5-a]pyrimidinyl; optionally substituted 5,6-dihydro- 4H-pyrrolo[1,2-b]pyrazolyl; or optionally substituted pyridin-2(1H)-one-yl; R
3 and R
4 are each independently optionally substituted alkyl, optionally substituted cycloalkyl, or one of R
3 or R
4 may be H; or R
3 and R
4, together with the nitrogen atom to which they are both attached, form an optionally substituted 3-12-membered heterocycloalkyl ring, an optionally substituted 5-12- membered bridged heterocycloalkyl ring, an optionally substituted 4-12-membered fused heterocycloalkyl ring system, or an optionally substituted 5-12-membered spiroheterocycloalkyl ring system, wherein said 3-12-membered heterocycloalkyl ring, 5-12- membered bridged heterocycloalkyl ring, 4-12-membered fused heterocycloalkyl ring system, or 5-12-membered spiroheterocycloalkyl ring system may include, in addition to the nitrogen atom to which both R
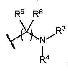
3 and R
4 are attached, 1-3 other heteroatoms that are each independently O, S, or N; each R
5 and each R
6 is independently H, C
1-C
4alkyl, or C
3-C
5cycloalkyl; or an R
5 or R
6, together with an R
3 or R
4 may form an optionally substituted 3-12-membered heterocycloalkyl ring, an optionally substituted 5-12-membered bridged heterocycloalkyl ring, an optionally substituted 4-12-membered fused heterocycloalkyl ring system, or an optionally substituted 5-12-membered spiroheterocycloalkyl ring system; or when L is NHC(O)NR
7-, an R
5 or an R
6 attached to a carbon atom, together with R
7, form a heterocycloalkyl ring; n is 1 or 2; and L is -NHC(O)- when n is 1; or -NHC(O)-, -NHC(O)O-, -C(O)NH-, or -NHC(O)NR
7- when n is 2. [0010] Pharmaceutical compositions comprising such compounds, and methods of using such compounds in treating conditions in which PDGFR signaling is implicated are also provided. DETAILED DESCRIPTION OF ILLUSTRATIVE EMBODIMENTS [0011] Unless otherwise defined, all technical and scientific terms used herein have the same meaning as commonly understood by one of ordinary skill in the art to which this disclosure pertains. The terminology used in the description is for describing particular embodiments only and is not intended to be limiting of the disclosure. [0012] Where a range of values is provided, it is understood that each intervening value, to the tenth of the unit of the lower limit unless the context clearly dictates otherwise (such as in the case of a group containing a number of carbon atoms in which case each carbon atom number falling within the range is provided), between the upper and lower limit of that range and any other stated or intervening value in that stated range is encompassed within the disclosure. The upper and lower limits of these smaller ranges may independently be included in the smaller ranges is also encompassed within the disclosure, subject to any specifically excluded limit in the stated range. Where the stated range includes one or both of the limits, ranges excluding either both of those included limits are also included in the disclosure. [0013] The following terms are used to describe the present disclosure. In instances where a term is not specifically defined herein, that term is given an art-recognized meaning by those of ordinary skill applying that term in context to its use in describing the present disclosure. [0014] The articles “a” and “an” as used herein and in the appended claims are used herein to refer to one or to more than one (e.g., to at least one) of the grammatical object of the article unless the context clearly indicates otherwise. By way of example, “an element” means one element or more than one element. [0015] The term “compound”, as used herein, unless otherwise indicated, refers to any specific chemical compound disclosed herein and includes tautomers, optical isomers (enantiomers) and other stereoisomers (diastereomers) thereof, as well as pharmaceutically acceptable salts and derivatives, including prodrug and/or deuterated forms thereof where applicable. Deuterated small molecules contemplated are those in which one or more of the hydrogen atoms contained in the drug molecule have been replaced by deuterium. It is understood by those of ordinary skill that molecules which are described herein are stable compounds as generally described hereunder. [0016] “Pharmaceutically acceptable” means approved or approvable by a regulatory agency of the Federal or a state government or the corresponding agency in countries other than the United States, or that is listed in the U.S. Pharmacopoeia or other generally recognized pharmacopoeia for use in animals, e.g., in humans. [0017] “Pharmaceutically acceptable salt” refers to a salt of a compound of the disclosure that is pharmaceutically acceptable and that possesses the desired pharmacological activity of the parent compound. In particular, such salts are non-toxic may be inorganic or organic acid addition salts and base addition salts. Specifically, such salts include: (1) acid addition salts, formed with inorganic acids such as hydrochloric acid, hydrobromic acid, sulfuric acid, nitric acid, phosphoric acid, and the like; or formed with organic acids such as acetic acid, propionic acid, hexanoic acid, cyclopentanepropionic acid, glycolic acid, pyruvic acid, lactic acid, malonic acid, succinic acid, malic acid, maleic acid, fumaric acid, tartaric acid, citric acid, benzoic acid, 3-(4-hydroxybenzoyl)benzoic acid, cinnamic acid, mandelic acid, methanesulfonic acid, ethanesulfonic acid, 1,2-ethane-disulfonic acid, 2- hydroxyethanesulfonic acid, benzenesulfonic acid, 4-chlorobenzenesulfonic acid, 2- naphthalenesulfonic acid, 4-toluenesulfonic acid, camphorsulfonic acid, 4- methylbicyclo[2.2.2]-oct-2-ene-1-carboxylic acid, glucoheptonic acid, 3-phenylpropionic acid, trimethylacetic acid, tertiary butylacetic acid, lauryl sulfuric acid, gluconic acid, glutamic acid, hydroxynaphthoic acid, salicylic acid, stearic acid, muconic acid, and the like; or (2) salts formed when an acidic proton present in the parent compound either is replaced by a metal ion, e.g., an alkali metal ion, an alkaline earth ion, or an aluminum ion; or coordinates with an organic base such as ethanolamine, diethanolamine, triethanolamine, N- methylglucamine and the like. Salts further include, by way of example only, sodium, potassium, calcium, magnesium, ammonium, tetraalkylammonium, and the like; and when the compound contains a basic functionality, salts of non-toxic organic or inorganic acids, such as hydrochloride, hydrobromide, tartrate, mesylate, acetate, maleate, oxalate and the like. [0018] A “pharmaceutically acceptable excipient” refers to a substance that is non- toxic, biologically tolerable, and otherwise biologically suitable for administration to a subject, such as an inert substance, added to a pharmacological composition or otherwise used as a vehicle, carrier, or diluent to facilitate administration of an agent and that is compatible therewith. [0019] A “solvate” refers to a physical association of a compound of formula (I) with one or more solvent molecules. [0020] The term “alkyl,” when used alone or as part of a substituent group, refers to a straight- or branched-chain hydrocarbon group having from 1 to 12 carbon atoms (“C
1- C
12”), preferably 1 to 6 carbons atoms (“C
1-C
6”), in the group. Examples of alkyl groups include methyl, ethyl, n-propyl, iso-propyl, n-butyl, t-butyl, iso-butyl, sec-butyl, n-pentyl, n- hexyl, n-heptyl, n-octyl, and the like. In some embodiments, the alkyl group is a C
1-C
6 alkyl; in some embodiments, it is a C
1-C
4 alkyl. [0021] When a range of carbon atoms is used herein, for example, C
1-C
6, all ranges, as well as individual numbers of carbon atoms are encompassed. For example, “C
1-C
3” includes C
1-C
3, C
1-C
2, C
2-C
3, C
1, C
2, and C
3. [0022] The term “cycloalkyl” when used alone or as part of a substituent group refers to cyclic-containing, non-aromatic hydrocarbon groups having from 3 to 10 carbon atoms (“C
3-C
10”), preferably from 3 to 6 carbon atoms (“C
3-C
6”). Examples of cycloalkyl groups include cyclopropyl, cyclobutyl, cyclopentyl, cyclohexyl, cycloheptyl, cyclooctyl, indenyl, bicyclo[2.2.1]heptanyl, bicyclo[3.1.1]heptanyl, bicyclo[4.1.0]heptanyl, spiro[3.3]heptanyl, and spiro[3.4]octanyl. [0023] The term “fluoroalkyl” when used alone or as part of a substituent group refers to an alkyl group wherein one or more of the hydrogen atoms has been replaced with one or more fluorine atoms. Examples of fluoroalkyl groups include -CF
3, CHF
2, -CH
2F and the like. [0024] The term “heterocycloalkyl” when used alone or as part of a substituent group refers to any three to twelve-membered monocyclic, saturated or partially unsaturated ring containing at least one heteroatom that is O, N or S. The heterocycloalkyl group may be attached at any heteroatom or carbon atom of the ring such that the result is a stable structure. Examples of heterocycloalkyl groups include, but are not limited to, azepanyl, aziridinyl, azetidinyl, pyrrolidinyl, dioxolanyl, imidazolidinyl, pyrazolidinyl, piperazinyl, piperidinyl, dioxanyl, morpholinyl, dithianyl, thiomorpholinyl, oxazepanyl, oxiranyl, oxetanyl, tetrahydrofuranyl, tetrahydropyranyl, and the like. [0025] The term “bridged heterocycloalkyl ring” refers to any 5 to 12 membered heterocycloalkyl ring system that contains at least one bridged ring. Examples of bridged heterocycloalkyl rings include azabicyclo[3.1.1]heptane, azabicyclo[3.1.1]heptane, azabicyclo[2.2.2]octane, azabicyclo[2.2.1]heptane, azabicyclo[2.1.1]hexane, azabicyclo[1.1.1]pentane, azabicyclo[1.1.1]pentane, 6-oxa-azabicyclo[3.1.1]heptane, 6- diazabicyclo[3.1.1]heptane, 3-thia-azabicyclo[3.1.1]heptane, and the like. [0026] The term “fused heterocycloalkyl ring system” refers to a heterocycloalkyl ring to which another ring is fused. The other ring that is fused to the heterocycle ring may be another heterocycloalkyl ring, a cycloalkyl ring, an aryl ring, or a heteroaryl ring. In some embodiments, the fused heterocycloalkyl ring system is a 4 to 12 membered fused heterocycloalkyl ring system. [0027] The term “spiroheterocycloalkyl ring system” refers to a heterocycloalkyl ring that is substituted with a spirocyclic ring. The spirocyclic ring can be a cycloalkyl ring of a heterocycloalkyl ring. In some embodiments, the spiroheterocycloalkyl ring system is a 5-12-membered spiroheterocycloalkyl ring system. [0028] The terms “halo” or “halogen”, by itself or as part of another substituent, means a fluorine, chlorine, bromine, or iodine atom. [0029] The term “aryl” when used alone or as part of a substituent group also refers to a mono- or bicyclic- aromatic hydrocarbon ring structure having 6 or 10 carbon atoms in the ring, wherein one or more of the carbon atoms in the ring is optionally substituted. The term “aryl” also includes a mono- or bicyclic- aromatic hydrocarbon ring structure having 6 or 10 carbon atoms in the ring, wherein two adjacent carbon atoms in the ring are optionally substituted such that said two adjacent carbon atoms and their respective substituents form a cycloalkyl or heterocycloalkyl ring. Non-limiting examples of aryl groups include, but are not limited to, phenyl, indenyl, naphthyl, 1, 2, 3,4-tetrahydronaphthyl, and the like. [0030] The term “heteroaryl” when used alone or as part of a substituent group refers to a mono- or bicyclic- aromatic ring structure including carbon atoms as well as up to four heteroatoms that are each independently nitrogen, oxygen, or sulfur. Heteroaryl rings can include a total of 5, 6, 9, or 10 ring atoms. The heteroaryl moiety can be unsubstituted, or one or more of the carbon atoms in the ring can be substituted. Exemplary heteroaryls include but are not limited to pyridyl, pyrrolyl, pyrazinyl, pyrimidinyl, pyridazinyl, pyrazolyl, thienyl, indolyl, imidazolyl, oxazolyl, isoxazolyl, thiazolyl, furyl, oxadiazolyl, thiadiazolyl, quinolyl, isoquinolyl, benzothiazolyl, benzoxazolyl, indazolyl, quinoxalyl, quinazolyl, 5,6,7,8-tetrahydroisoquinolinyl, benzofuranyl, benzimidazolyl, thianaphthenyl, pyrrolo[2,3- b]pyridinyl, quinazolinyl-4(3H)-one, triazolyl, 4,5,6,7-tetrahydro-1H-indazole. [0031] The term “optionally substituted,” as used herein to describe a substituent defined herein, means that the substituent may, but is not required to be, substituted with one or more suitable functional groups or other substituents as provided herein. For example, a substituent may be optionally substituted with one or more of: halo (i.e., -F, -Cl, -Br, -I), cyano, -OH, -C
1-C
6alkyl, C
3-C
6cycloalkyl, C
2-C
6alkenyl, C
2-C
6 alkynyl, C
1-C
6 haloalkyl, -C
1- C
6 alkoxy, -C
1-C
6 haloalkoxy, C
1-C
6 alkylthio, C
1-C
6 alkylamino, -NH
2, -NH(C
1-C
6 alkyl), - N(C
1-C
-6 alkyl)
2, -NH(C
1-C
6 alkoxy), -C(O)NHC
1-C
6 alkyl, -C(O)N(C
1-C
6 alkyl)
2, -COOH, - C
1-C
6alkylCOOH
, -C
3-C
6cycloalkylCOOH, -C(O)NH
2, C
1-C
6alkylCONH
2, -C
3- C
6cycloalkylCONH
2, C
1-C
6alkylCONHC
1-C
6alkyl
, C
1-C
6alkylCON(C
1-C
6alkyl)
2, -C(O)C
1-C
6 alkyl, -C(O)OC
1-C
6 alkyl, -NHCO(C
1-C
6 alkyl), -N(C
1-C
6 alkyl)C(O)(C
1-C
6 alkyl), -S(O)C
1- C
6 alkyl, -S(O)
2C
1-C
6 alkyl, oxo, 6-12 membered aryl, or 5 to 12 membered heteroaryl groups. [0032] In particular, a substituent may be optionally substituted with one or more of: halo (i.e., -F, -Cl, -Br, -I), cyano, -C
1-C
6alkyl, C
3-C
6cycloalkyl, C
2-C
6alkenyl, C
2-C
6 alkynyl, C
1-C
6 haloalkyl, -C
1-C
6 alkoxy, -C
1-C
6 alkyl-O-C
1-C
6 alkyl, -C
1-C
6 haloalkoxy, C
1- C
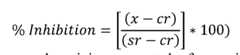
6 alkylthio, C
1-C
6 alkylamino, -NH
2, -NH(C
1-C
6 alkyl), -N(C
1-C-
6 alkyl)
2, -NH(C
1-C
6 alkoxy), -C(O)NHC
1-C
6 alkyl, -C(O)N(C
1-C
6 alkyl)
2, -COOH, -C
1-C
6alkylCOOH, -C
3- C
6cycloalkylCOOH, -C(O)NH
2, C
1-C
6alkylCONH
2, -C
3-C
6cycloalkylCONH
2, C
1- C
6alkylCONHC
1-C
6alkyl, C
1-C
6alkylCON(C
1-C
6alkyl)
2, -C(O)C
1-C
6 alkyl, -C(O)OC
1-C
6 alkyl, -NHCO(C
1-C
6 alkyl), -N(C
1-C
6 alkyl)C(O)(C
1-C
6 alkyl), -S(O)C
1-C
6 alkyl, -S(O)
2C
1- C
6 alkyl, oxo, 6-12 membered aryl, or 5 to 12 membered heteroaryl groups. In some embodiments, each of the above optional substituents are themselves optionally substituted by one or two groups. [0033] In other embodiments, a substituent may be optionally substituted with one or more of: halo (i.e., -F, -Cl, -Br, -I), cyano, -OH, -C
1-C
6alkyl, -CH
2CH
2OH, -CH
2CH
2F, - OCH
2CH
2F, -CH
2CH
2CH(OH)CH
2(OH), -CH
2CH(OH)CH
2(OH), -CH
2CH(OH)CH
3, - CH
2OH, -C (CH
3)
2CH
2(OH), -CH
2OCH
3, -CH
2CH
2OCH
3, -CH
2-(C
3-C
6cycloalkyl), -C
3- C
6cycloalkyl, C
2-C
6alkenyl, C
2-C
6 alkynyl, -C
1-C
6 haloalkyl, -C
1-C
6 alkoxy, -OCH
3, -C
1-C
6 haloalkoxy, -OCH
2CH
2F, -C
1-C
6 alkylthio, C
1-C
6 alkylamino, -NH
2, -NH(C
1-C
6 alkyl), - N(C
1-C
-6 alkyl)
2, -NH(C
1-C
6 alkoxy), -C(O)NHC
1-C
6 alkyl, -CH
2C(O)NHC
1-C
6 alkyl, - C(O)N(C
1-C
6 alkyl)
2, -COOH, -C
1-C
6alkylCOOH
, -C
3-C
6cycloalkylCOOH, -C(O)NH
2, -C
1- C
6alkylCONH
2, -C
1-C
6alkyl-CN, -C
3-C
6cycloalkylCONH
2, -C
1-C
6alkylCONHC
1-C
6alkyl
, C
1- C
6alkylCON(C
1-C
6alkyl)
2, -C(O)C
1-C
6 alkyl, -C(O)OC
1-C
6 alkyl, -NHCO(C
1-C
6 alkyl), - N(C
1-C
6 alkyl)C(O)(C
1-C
6 alkyl), -S(O)C
1-C
6 alkyl, -S(O)
2C
1-C
6 alkyl, -C
1-C
6 alkyl- S(O)
2C
1-C
6 alkyl, oxo, a 4-7 membered heterocycloalkyl group, -CH
2-(4-7 membered heterocycloalkyl), 6-12 membered aryl, 5 to 12 membered heteroaryl groups, -CH
2-(5 to 12 membered heteroaryl)-O-CH
2-(6-12 membered aryl), -CH
2-(5 to 12 membered heteroaryl)- OH. In some embodiments, each of the above optional substituents are themselves optionally substituted by one or two groups. [0034] As used herein, the term “alkenyl” refers to a straight- or branched-chain group having from 2 to 12 carbon atoms (“C
2-C
12”), preferably 2 to 4 carbons atoms (“C
2- C
4”), in the group, wherein the group includes at least one carbon-carbon double bond. Examples of alkenyl groups include vinyl (-CH=CH
2; C
2alkenyl) allyl (-CH
2- CH=CH
2; C
3alkenyl), propenyl (-CH=CHCH
3; C
3alkenyl); isopropenyl (-C(CH
3)=CH
2; C
3alkenyl), butenyl (-CH=CHCH
2CH
3; C
4alkenyl), sec-butenyl (-C(CH
3)=CHCH
3; C
4alkenyl), iso- butenyl (-CH=C(CH
3)
2; C
4alkenyl), 2-butenyl (-CH
2CH=CHCH
3; C
4alkyl), pentenyl (-CH=CHCH
2CH
2CH
3; C
5alkenyl), and the like. [0035] As used herein, the term “alkynyl” refers to a straight- or branched-chain group having from 1 to 12 carbon atoms (“C
1-C
12”), preferably 1 to 4 carbons atoms (“C
2- C
4”), in the group, and wherein the group includes at least one carbon-carbon triple bond. Examples of alkynyl groups include ethynyl (-C≡CH; C
2alkynyl); propargyl (-CH
2-C≡CH; C
3alkynyl), propynyl (-C≡CCH
3; C
3alkynyl); butynyl (-C≡CCH
2CH
3; C
4alkynyl), pentynyl (-C≡CCH
2CH
2CH
3; C
5alkynyl), and the like. [0036] As used herein, the term “alkoxy” refers to an oxygen radical attached to an alkyl group by a single bond. Examples of alkoxy groups include methoxy (-OCH
3), ethoxy (-OCH
2CH
3), isopropoxy (-OCH(CH
3)
2) and the like. [0037] As used herein, the term “haloalkoxy” refers to an oxygen radical attached to a haloalkyl group by a single bond. Examples of haloalkoxy groups include -OCF
3, - OCH
2CF
3, -OCH(CF
3)
2, and the like. [0038] The term “haloalkyl” refers to an alkyl group wherein one or more of the hydrogen atoms has been replaced with one or more halogen atoms. [0039] The term “haloalkoxy” refers to an alkoxy group wherein one or more of the hydrogen atoms has been replaced with one or more halogen atoms. [0040] As used herein, the term “stereoisomers” refers to compounds which have identical chemical constitution, but differ with regard to the arrangement of the atoms or groups in space, e.g., enantiomers, diastereomers or tautomers. [0041] The term “patient” or “subject” is used throughout the specification to describe an animal, preferably a human or a domesticated animal, to whom treatment, including prophylactic treatment, with the compositions according to the present disclosure is provided. For treatment of those conditions or disease states which are specific for a specific animal such as a human patient, the term patient refers to that specific animal, including a domesticated animal such as a dog or cat or a farm animal such as a horse, cow, sheep, etc. In general, in the present disclosure, the term patient refers to a human patient unless otherwise stated or implied from the context of the use of the term. [0042] The term “effective” is used to describe an amount of a compound, composition or component which, when used within the context of its intended use, effects an intended result. The term effective subsumes all other effective amount or effective concentration terms, which are otherwise described or used in the present application. [0043] “Treating” or “treatment” of any disease or disorder refers, in one embodiment, to ameliorating the disease or disorder (e.g., arresting or reducing the development of the disease or at least one of the clinical symptoms thereof). In another embodiment “treating” or “treatment” refers to ameliorating at least one physical parameter, which may not be discernible by the subject. In yet another embodiment, “treating” or “treatment” refers to modulating the disease or disorder, either physically, (e.g., stabilization of a discernible symptom), physiologically, (e.g., stabilization of a physical parameter), or both. In yet another embodiment, “treating” or “treatment” refers to delaying the onset of the disease or disorder. [0044] In some aspects, the disclosure provides compounds of formula (I):

or pharmaceutically acceptable salts thereof, wherein R
2 is optionally substituted pyridinyl, optionally substituted pyrazolyl; optionally substituted 2,3-dihydro-[1,4]dioxino[2,3-b]pyridinyl; optionally substituted 6,7-dihydro-pyrazolo[5,1- b][1,3]oxazinyl; optionally substituted 6,7-dihydro-pyrazolo[5,1-c][1,4]oxazinyl; optionally substituted 4,5,6,7-tetrahydro-pyrazolo[1,5-a]pyrimidinyl; optionally substituted 5,6-dihydro- 4H-pyrrolo[1,2-b]pyrazolyl; or optionally substituted pyridin-2(1H)-one-yl; R
3 and R
4 are each independently optionally substituted alkyl, optionally substituted cycloalkyl, or one of R
3 or R
4 may be H; or R
3 and R
4, together with the nitrogen atom to which they are both attached, form an optionally substituted 3-12-membered heterocycloalkyl ring, an optionally substituted 5-12- membered bridged heterocycloalkyl ring, an optionally substituted 4-12-membered fused heterocycloalkyl ring system, or an optionally substituted 5-12-membered spiroheterocycloalkyl ring system, wherein said 3-12-membered heterocycloalkyl ring, 5-12- membered bridged heterocycloalkyl ring, 4-12-membered fused heterocycloalkyl ring system, or 5-12-membered spiroheterocycloalkyl ring system may include, in addition to the nitrogen atom to which both R
3 and R
4 are attached, 1-3 other heteroatoms that are each independently O, S, or N; each R
5 and each R
6 is independently H, C
1-C
4alkyl, or C
3-C
5cycloalkyl; or an R
5 or R
6, together with an R
3 or R
4 may form an optionally substituted 3-12-membered heterocycloalkyl ring, an optionally substituted 5-12-membered bridged heterocycloalkyl ring, an optionally substituted 4-12-membered fused heterocycloalkyl ring system, or an optionally substituted 5-12-membered spiroheterocycloalkyl ring system; or when L is NHC(O)NR
7-, an R
5 or an R
6 attached to a carbon atom, together with R
7, form a heterocycloalkyl ring; n is 1 or 2; and L is -NHC(O)- when n is 1; or -NHC(O)-, -NHC(O)O-, -C(O)NH-, or -NHC(O)NR
7- when n is 2. [0045] In some aspects, R
2 in the compounds of formula (I) is optionally substituted pyridinyl, optionally substituted pyrazolyl; optionally substituted 2,3-dihydro- [1,4]dioxino[2,3-b]pyridinyl; optionally substituted 6,7-dihydro-pyrazolo[5,1- b][1,3]oxazinyl; optionally substituted 6,7-dihydro-pyrazolo[5,1-c][1,4]oxazinyl; optionally substituted 4,5,6,7-tetrahydro-pyrazolo[1,5-a]pyrimidinyl; optionally substituted 5,6-dihydro- 4H-pyrrolo[1,2-b]pyrazolyl; or optionally substituted pyridin-2(1H)-one-yl. [0046] In some embodiments, R
2 in the compounds of formula (I) is optionally substituted pyridinyl, such as, for example, optionally substituted pyridin-2-yl, optionally substituted pyridin-3-yl, optionally substituted pyridin-4-yl, optionally substituted pyridin-5- yl, or optionally substituted pyridin-6-yl. [0047] In some embodiments, the optionally substituted pyridinyl is substituted with one or more of halo or optionally substituted -O-C
1-C
6alkyl. [0048] In some embodiments, the optionally substituted pyridinyl is substituted with -F. [0049] In some embodiments, the optionally substituted pyridinyl is substituted with -OCH
3, or -OCH
2CH
2F. [0050] In some embodiments, R
2 is
wherein X is F,
18F, OCH
3, O
11CH
3, OC
3H
3, O-(CH
2)
1-6-F, or O-(CH
2)
1-6- 1
8F. [0051] In some embodiments, R
2 is one of
[0052] In some aspects, R
2 in the compounds of formula (I) is an optionally substituted pyrazolyl, such as, for example, optionally substituted pyrazol-3-yl, optionally substituted pyrazol-4-yl, or optionally substituted pyrazol-5-yl. [0053] In some embodiments, the optionally substituted pyrazolyl is an optionally substituted pyrazol-4-yl. [0054] In some embodiments, R
2 is unsubstituted pyrazol-4-yl. [0055] In some embodiments, the optionally substituted pyrazolyl is substituted with one or more of optionally substituted -C
1-C
6alkyl, optionally substituted -O-C
1-C
6alkyl; and optionally substituted -C
1-C
6alkyl-O-C
1-C
6alkyl. [0056] In some embodiments, the optionally substituted -C
1-C
6alkyl is -CH
3, - CH
2OH, -CH
2CH
2F, or -CH
2CH
2OH. [0057] In some embodiments, the optionally substituted -O-C
1-C
6alkyl is -OCH
3, or -OCH
2CH
2F. [0058] In some embodiments, the optionally substituted C
1-C
6alkyl-O-C
1-C
6alkyl is -CH
2CH
2OCH
3. [0059] In some embodiments, R
2 is
wherein X is CH
3,
11CH
3, C
3H
3, (CH
2)
1-6-F, or (CH
2)
1-6-
18F; and Y is H, or OCH
3. [0060] In some embodiments, R
2 is one of
[0061] In some embodiments, R
2 in the compounds of formula (I) is optionally substituted 2,3-dihydro-[1,4]dioxino[2,3-b]pyridinyl. [0062] In some embodiments, R
2 is unsubstituted 2,3-dihydro-[1,4]dioxino[2,3- b]pyridine-8-yl, i.e.,
[0063] In some aspects, R
2 in the compounds of formula (I) is optionally substituted 6,7-dihydro-pyrazolo[5,1-b][1,3]oxazinyl. [0064] In some embodiments, R
2 in the compounds of formula (I) is optionally substituted 6,7-dihydro-pyrazolo[5,1-b][1,3]oxazin-3-yl. [0065] In some embodiments, the optionally substituted 6,7-dihydro-pyrazolo[5,1- b][1,3]oxazin-3-yl is substituted with one or more of -OH or optionally substituted -C
1- C
6alkyl. [0066] In some embodiments, the 6,7-dihydro-pyrazolo[5,1-b][1,3]oxazin-3-yl is substituted with -OH. [0067] In some embodiments, the 6,7-dihydro-pyrazolo[5,1-b][1,3]oxazin-3-yl is substituted with optionally substituted -C
1-C
6alkyl. [0068] In some embodiments, the optionally substituted -C
1-C
6alkyl is -CH
3 or - CH
2OH. [0069] In some embodiments, the 6,7-dihydro-pyrazolo[5,1-b][1,3]oxazin-3-yl is unsubstituted. [0070] In some embodiments, R
2 is one of
[0071] In some embodiments, R
2 in the compounds of formula (I) is optionally substituted 6,7-dihydro-pyrazolo[5,1-c][1,4]oxazinyl. [0072] In some embodiments, R
2 in the compounds of formula (I) is optionally substituted 6,7-dihydro-pyrazolo[5,1-c][1,4]oxazin-3-yl. [0073] In some embodiments, R
2 in the compounds of formula (I) is unsubstituted 6,7-dihydro-pyrazolo[5,1-c][1,4]oxazin-3-yl, i.e.,
[0074] In some embodiments, R
2 in the compounds of formula (I) is optionally substituted 4,5,6,7-tetrahydro-pyrazolo[1,5-a]pyrimidinyl. [0075] In some embodiments, R
2 in the compounds of formula (I) is optionally substituted 4,5,6,7-tetrahydro-pyrazolo[1,5-a]pyrimidin-3-yl. [0076] In some embodiments, R
2 in the compounds of formula (I) is unsubstituted 4,5,6,7-tetrahydro-pyrazolo[1,5-a]pyrimidin-3-yl, i.e.,
[0077] In some embodiments, R
2 in the compounds of formula (I) is optionally substituted 5,6-dihydro-4H-pyrrolo[1,2-b]pyrazolyl. [0078] In some embodiments, R
2 in the compounds of formula (I) is optionally substituted 5,6-dihydro-4H-pyrrolo[1,2-b]pyrazol-3-yl. [0079] In some embodiments, R
2 in the compounds of formula (I) is unsubstituted 5,6-dihydro-4H-pyrrolo[1,2-b]pyrazol-3-yl, i.e.,
[0080] In some embodiments, R
2 in the compounds of formula (I) is optionally substituted pyridin-2(1H)-one-yl. [0081] In some embodiments, R
2 in the compounds of formula (I) is optionally substituted pyridin-2(1H)-one-3-yl. [0082] In some embodiments, R
2 is a substituted pyridin-2(1H)-one-3-yl. [0083] In some embodiments, the pyridin-2(1H)-one-3-yl is substituted with optionally substituted -C
1-C
6alkyl. [0084] In some embodiments, the optionally substituted -C
1-C
6alkyl is -CH
2CH
2F. [0085] In some embodiments, R
2 in the compounds of formula (I) is
[0086] In some aspects, n in the compounds of formula (I) is 1 or 2. [0087] In some embodiments, n in the compounds of formula (I) is 1. [0088] In some embodiments, n in the compounds of formula (I) is 2. [0089] In some aspects of the compounds of formula (I), L is -NHC(O)- when n is 1; or -NHC(O)-, , -NHC(O)O-, -C(O)NH-, or -NHC(O)NR
7- when n is 2. [0090] The diradicals “-L-,” as used herein, are written from left-to-right such that the left hand side of L is attached to the pyridinyl moiety in the compounds of the disclosure. [0091] In some embodiments of the compounds of formula (I), n is 1 and L is - NHC(O)-. [0092] In some embodiments of the compounds of formula (I), n is 2 and L is - NHC(O)-. [0093] In some embodiments of the compounds of formula (I), n is 2 and L is -, - NHC(O)O-. [0094] In some embodiments of the compounds of formula (I), n is 2 and L is - C(O)NH-. [0095] In some embodiments of the compounds of formula (I), n is 2 and L is - NHC(O)NR
7-, wherein an R
5 or an R
6 attached to a carbon atom, together with R
7, form a heterocycloalkyl ring. [0096] In some embodiments wherein L is -NHC(O)NR
7-, an R
5 together with R
7, form a heterocycloalkyl ring. [0097] In some embodiments wherein L is -NHC(O)NR
7-, an R
5 together with R
7, form an azetidinyl ring. [0098] In some aspects, R
3 and R
4 are each independently optionally substituted alkyl, optionally substituted cycloalkyl, or one of R
3 or R
4 may be H. [0099] In some embodiments, R
3 is H and R
4 is C
1-C
6alkyl or C
5-C
6cycloalkyl. [00100] In some embodiments, one of R
3 or R
4 in compounds of formula (I) is H. [00101] In some embodiments, one of R
3 or R
4 in compounds of formula (I) is optionally substituted alkyl. [00102] In some embodiments, the optionally substituted alkyl is -CH(CH
3)
2. [00103] In some embodiments, one of R
3 or R
4 in compounds of formula (I) is optionally substituted cycloalkyl. [00104] In some embodiments, the optionally substituted alkyl is -cyclopentyl or - cyclohexyl. [00105] In other aspects, R
3 and R
4, together with the nitrogen atom to which they are both attached, form an optionally substituted 3-12-membered heterocycloalkyl ring, an optionally substituted 5-12-membered bridged heterocycloalkyl ring, an optionally substituted 4-12-membered fused heterocycloalkyl ring system, or an optionally substituted 5-12-membered spiroheterocycloalkyl ring system, wherein said 3-12-membered heterocycloalkyl ring, 5-12-membered bridged heterocycloalkyl ring, 4-12-membered fused heterocycloalkyl ring system, or 5-12-membered spiroheterocycloalkyl ring system may include, in addition to the nitrogen atom to which both R
3 and R
4 are attached, 1-3 other heteroatoms that are each independently O, S, or N. [00106] In some embodiments, R
3 and R
4, together with the nitrogen atom to which they are both attached, form an optionally substituted 3-12-membered heterocycloalkyl ring. [00107] In some embodiments, R
3 and R
4, together with the nitrogen atom to which they are both attached, form an optionally substituted 4-6-membered heterocycloalkyl ring. [00108] In some embodiments, R
3 and R
4, together with the nitrogen atom to which they are both attached, form a piperidinyl group,
[00109] In some embodiments, R
3 and R
4, together with the nitrogen atom to which they are both attached, form a 2,2-dimethylpyrrolidin-1-yl group,
[00110] In other embodiments, R
3 and R
4, together with the nitrogen atom to which they are both attached, form a 3,3-dimethylazetidin-1-yl group,
[00111] In other embodiments, R
3 and R
4, together with the nitrogen atom to which they are both attached, form a 2,2-dimethylazetidin-1-yl group,
[00112] In other embodiments, R
3 and R
4, together with the nitrogen atom to which they are both attached, form a 2-methyl-pyrrolidin-1-yl group,
[00113] In other embodiments, R
3 and R
4, together with the nitrogen atom to which they are both attached, form a (R)-2-methyl-pyrrolidin-1-yl group. [00114] In other embodiments, R
3 and R
4, together with the nitrogen atom to which they are both attached, form a (S)-2-methyl-pyrrolidin-1-yl group. [00115] In other embodiments, R
3 and R
4, together with the nitrogen atom to which they are both attached, form an optionally substituted 5-12-membered bridged heterocycloalkyl ring. [00116] In other embodiments, R
3 and R
4, together with the nitrogen atom to which they are both attached, form an optionally substituted 8-membered bridged heterocycloalkyl ring. [00117] In other embodiments, R
3 and R
4, together with the nitrogen atom to which they are both attached, form a 2-azabicyclo[2.2.2]octanyl group,
[00118] In other embodiments, R
3 and R
4, together with the nitrogen atom to which they are both attached, form an 3-oxa-8-azabicyclo[3.2.1]octan-8-yl group,
[00119] In some embodiments, R
3 and R
4, together with the nitrogen atom to which they are both attached, form an optionally substituted 4-12-membered fused heterocycloalkyl ring system. [00120] In some embodiments, R
3 and R
4, together with the nitrogen atom to which they are both attached, form an optionally substituted 6-7-membered fused heterocycloalkyl ring system. [00121] In some embodiments, R
3 and R
4, together with the nitrogen atom to which they are both attached, form a 3-azabicyclo[3.2.0]heptanyl group:
[00122] In other embodiments, R
3 and R
4, together with the nitrogen atom to which they are both attached, form a 3-azabicyclo[3.1.0]hexanyl group:
[00123] In some embodiments, R
3 and R
4, together with the nitrogen atom to which they are both attached, form an optionally substituted 5-12-membered spiroheterocycloalkyl ring system. [00124] In some embodiments, R
3 and R
4, together with the nitrogen atom to which they are both attached, form an optionally substituted 7-9-membered spiroheterocycloalkyl ring. [00125] In some embodiments, R
3 and R
4, together with the nitrogen atom to which they are both attached, form a 4-azaspiro[2.4]heptan-4-yl group,
[00126] In some embodiments, R
3 and R
4, together with the nitrogen atom to which they are both attached, form a 5-azaspiro[2.4]heptan-5-yl group,
[00127] In some embodiments, R
3 and R
4, together with the nitrogen atom to which they are both attached, form a 5-azaspiro[3.4]octan-5-yl group,
[00128] In some embodiments, R
3 and R
4, together with the nitrogen atom to which they are both attached, form a 6-azaspiro[3.4]octan-6-yl group,
[00129] In some embodiments, R
3 and R
4, together with the nitrogen atom to which they are both attached, form a 2-oxa-5-azaspiro[3.4]octan-5-yl group,
[00130] In some embodiments, R
3 and R
4, together with the nitrogen atom to which they are both attached, form a 1-oxa-7-azaspiro[3.5]nonan-7-yl group,
[00131] In some embodiments, R
3 and R
4, together with the nitrogen atom to which they are both attached, form a 8-oxa-5-azaspiro[3.5]nonan-5-yl group,
[00132] In some aspects each R
5 and each R
6 in the compounds of formula (I) is independently H, C
1-C
4alkyl, or C
3-C
5cycloalkyl. [00133] In some embodiments, an R
5 and/or an R
6 in the compounds of formula (I) is H. [00134] In some embodiments, an R
5 and/or an R
6 in the compounds of formula (I) is C
1-C
4alkyl, such as, for example, C
4alkyl, C
3alkyl, C
2alkyl, C
1alkyl, methyl, ethyl, and the like. [00135] In some embodiments, an R
5 and/or an R
6 in the compounds of formula (I) is C
3-C
5cycloalkyl, such as, for example, C
5cycloalkyl, C
4cycloalkyl, C
3cycloalkyl, cyclopropyl, cyclobutyl, cyclopentyl, and the like. [00136] In some aspects, an R
5 or R
6, together with an R
3 or R
4 form an optionally substituted 3-12-membered heterocycloalkyl ring, an optionally substituted 5-12-membered bridged heterocycloalkyl ring, an optionally substituted 4-12-membered fused heterocycloalkyl ring system, or an optionally substituted 5-12-membered spiroheterocycloalkyl ring system. [00137] In some embodiments of the compounds of formula (I), an R
5 or R
6, together with an R
3 or R
4 form an optionally substituted 3-12-membered heterocycloalkyl ring. [00138] In some embodiments an R
5 or R
6, together with an R
3 or R
4 form an optionally substituted 4- or 5-membered heterocycloalkyl ring, such as, for example, an optionally substituted azetidnyl ring, or an optionally substituted pyrrolidinyl ring. [00139] In some embodiments of the compounds of formula (I) wherein an R
5 or R
6, together with an R
3 or R
4 may form an optionally substituted 3-12-membered heterocycloalkyl ring, the structure
in formula (I) is
[00140] In other embodiments of the compounds of formula (I) wherein an R
5 or R
6, together with an R
3 or R
4 may form an optionally substituted 3-12-membered heterocycloalkyl ring, the structure
in formula (I) is
[00141] In some aspects, the compounds according to formula (I) are those that have an IC
50 <20 nM in a PDGFR cellular assay such as, for example, that described in the Experimental section below. [00142] In some embodiments, the compounds according to formula (I) are those that have an IC
50 <5 nM in a PDGFR cellular assay such as, for example, that described in the Experimental section below. [00143] In some embodiments, the compound of the disclosure is one of Examples 1-72 described herein, or a pharmaceutically acceptable salt thereof. [00144] Stereoisomers of compounds of formula (I) are also contemplated by the present disclosure. Thus, the disclosure encompasses all stereoisomers and constitutional isomers of any compound disclosed or claimed herein, including all enantiomers and diastereomers. [00145] Pharmaceutically acceptable salts and solvates of the compounds of formula (I) are also within the scope of the disclosure. [00146] Isotopic variants of the compounds of formula (I) are also contemplated by the present disclosure. Pharmaceutical compositions and methods of administration [00147] The subject pharmaceutical compositions are typically formulated to provide a therapeutically effective amount of a compound of the present disclosure as the active ingredient, or a pharmaceutically acceptable salt, ester, prodrug, solvate, hydrate or derivative thereof. In some embodiments, the pharmaceutical compositions contain a compound of the present disclosure or a pharmaceutically acceptable salt thereof, and one or more pharmaceutically acceptable excipients, carriers, including inert solid diluents and fillers, diluents, including sterile aqueous solution and various organic solvents, permeation enhancers, solubilizers and adjuvants. [00148] The subject pharmaceutical compositions can be administered alone or in combination with one or more other agents, which are also typically administered in the form of pharmaceutical compositions. Where desired, the one or more compounds of the invention and other agent(s) may be mixed into a preparation or both components may be formulated into separate preparations to use them in combination separately or at the same time. [00149] In some embodiments, the concentration of one or more compounds provided in the pharmaceutical compositions of the present invention is less than 100%, 90%, 80%, 70%, 60%, 50%, 40%, 30%, 20%, 19%, 18%, 17%, 16%, 15%, 14%, 13%, 12%, 11%, 10%, 9%, 8%, 7%, 6%, 5%, 4%, 3%, 2%, 1%, 0.9%, 0.8%, 0.7%, 0.6%, 0.5%, 0.4%, 0.3%, 0.2%, 0.1%, 0.09%, 0.08%, 0.07%, 0.06%, 0.05%, 0.04%, 0.03%, 0.02%, 0.01%, 0.009%, 0.008%, 0.007%, 0.006%, 0.005%, 0.004%, 0.003%, 0.002%, 0.001%, 0.0009%, 0.0008%, 0.0007%, 0.0006%, 0.0005%, 0.0004%, 0.0003%, 0.0002%, or 0.0001% (or a number in the range defined by and including any two numbers above) w/w, w/v or v/v. [00150] In some embodiments, the concentration of one or more compounds of the invention is greater than 90%, 80%, 70%, 60%, 50%, 40%, 30%, 20%, 19.75%, 19.50%, 19.25%, 19%, 18.75%, 18.50%, 18.25% 18%, 17.75%, 17.50%, 17.25% 17%, 16.75%, 16.50%, 16.25%, 16%, 15.75%, 15.50%, 15.25% 15%, 14.75%, 14.50%, 14.25% 14%, 13.75%, 13.50%, 13.25%, 13%, 12.75%, 12.50%, 12.25%, 12%, 11.75%, 11.50%, 11.25% 11%, 10.75%, 10.50%, 10.25% 10%, 9.75%, 9.50%, 9.25%, 9%, 8.75%, 8.50%, 8.25% 8%, 7.75%, 7.50%, 7.25%, 7%, 6.75%, 6.50%, 6.25%, 6%, 5.75%, 5.50%, 5.25%, 5%, 4.75%, 4.50%, 4.25%, 4%, 3.75%, 3.50%, 3.25%, 3%, 2.75%, 2.50%, 2.25%, 2%, 1.75%, 1.50%, 1.25% , 1%, 0.9%, 0.8%, 0.7%, 0.6%, 0.5%, 0.4%, 0.3%, 0.2%, 0.1%, 0.09%, 0.08%, 0.07%, 0.06%, 0.05%, 0.04%, 0.03%, 0.02%, 0.01%, 0.009%, 0.008%, 0.007%, 0.006%, 0.005%, 0.004%, 0.003%, 0.002%, 0.001%, 0.0009%, 0.0008%, 0.0007%, 0.0006%, 0.0005%, 0.0004%, 0.0003%, 0.0002%, or 0.0001% (or a number in the range defined by and including any two numbers above) w/w, w/v, or v/v. [00151] In some embodiments, the concentration of one or more compounds of the invention is in the range from approximately 0.0001% to approximately 50%, approximately 0.001% to approximately 40%, approximately 0.01% to approximately 30%, approximately 0.02% to approximately 29%, approximately 0.03% to approximately 28%, approximately 0.04% to approximately 27%, approximately 0.05% to approximately 26%, approximately 0.06% to approximately 25%, approximately 0.07% to approximately 24%, approximately 0.08% to approximately 23%, approximately 0.09% to approximately 22%, approximately 0.1% to approximately 21%, approximately 0.2% to approximately 20%, approximately 0.3% to approximately 19%, approximately 0.4% to approximately 18%, approximately 0.5% to approximately 17%, approximately 0.6% to approximately 16%, approximately 0.7% to approximately 15%, approximately 0.8% to approximately 14%, approximately 0.9% to approximately 12%, approximately 1% to approximately 10% w/w, w/v or v/v. [00152] In some embodiments, the concentration of one or more compounds of the invention is in the range from approximately 0.001% to approximately 10%, approximately 0.01% to approximately 5%, approximately 0.02% to approximately 4.5%, approximately 0.03% to approximately 4%, approximately 0.04% to approximately 3.5%, approximately 0.05% to approximately 3%, approximately 0.06% to approximately 2.5%, approximately 0.07% to approximately 2%, approximately 0.08% to approximately 1.5%, approximately 0.09% to approximately 1%, approximately 0.1% to approximately 0.9% w/w, w/v or v/v. [00153] In some embodiments, the amount of one or more compounds of the invention is equal to or less than 10 g, 9.5 g, 9.0 g, 8.5 g, 8.0 g, 7.5 g, 7.0 g, 6.5 g, 6.0 g, 5.5 g, 5.0 g, 4.5 g, 4.0 g, 3.5 g, 3.0 g, 2.5 g, 2.0 g, 1.5 g, 1.0 g, 0.95 g, 0.9 g, 0.85 g, 0.8 g, 0.75 g, 0.7 g, 0.65 g, 0.6 g, 0.55 g, 0.5 g, 0.45 g, 0.4 g, 0.35 g, 0.3 g, 0.25 g, 0.2 g, 0.15 g, 0.1 g, 0.09 g, 0.08 g, 0.07 g, 0.06 g, 0.05 g, 0.04 g, 0.03 g, 0.02 g, 0.01 g, 0.009 g, 0.008 g, 0.007 g, 0.006 g, 0.005 g, 0.004 g, 0.003 g, 0.002 g, 0.001 g, 0.0009 g, 0.0008 g, 0.0007 g, 0.0006 g, 0.0005 g, 0.0004 g, 0.0003 g, 0.0002 g, or 0.0001 g (or a number in the range defined by and including any two numbers above). [00154] In some embodiments, the amount of one or more compounds of the invention is more than 0.0001 g, 0.0002 g, 0.0003 g, 0.0004 g, 0.0005 g, 0.0006 g, 0.0007 g, 0.0008 g, 0.0009 g, 0.001 g, 0.0015 g, 0.002 g, 0.0025 g, 0.003 g, 0.0035 g, 0.004 g, 0.0045 g, 0.005 g, 0.0055 g, 0.006 g, 0.0065 g, 0.007 g, 0.0075 g, 0.008 g, 0.0085 g, 0.009 g, 0.0095 g, 0.01 g, 0.015 g, 0.02 g, 0.025 g, 0.03 g, 0.035 g, 0.04 g, 0.045 g, 0.05 g, 0.055 g, 0.06 g, 0.065 g, 0.07 g, 0.075 g, 0.08 g, 0.085 g, 0.09 g, 0.095 g, 0.1 g, , 0.15 g, 0.2 g, , 0.25 g, 0.3 g, , 0.35 g, 0.4 g, , 0.45 g, 0.5 g, 0.55 g, 0.6 g, , 0.65 g, 0.7 g, 0.75 g, 0.8 g, 0.85 g, 0.9 g, 0.95 g, 1 g, 1.5 g, 2 g, 2.5, 3 g, 3.5, 4 g, 4.5 g, 5 g, 5.5 g, 6 g, 6.5g, 7 g, 7.5g, 8 g, 8.5 g, 9 g, 9.5 g, or 10 g (or a number in the range defined by and including any two numbers above). [00155] In some embodiments, the amount of one or more compounds of the invention is in the range of 0.0001-10 g, 0.0005-9 g, 0.001-8 g, 0.005-7 g, 0.01-6 g, 0.05-5 g, 0.1-4 g, 0.5-4 g, or 1-3 g. [00156] In some embodiments, the compounds according to the invention are effective over a wide dosage range. For example, in the treatment of adult humans, dosages from 0.01 to 1000 mg, from 0.5 to 100 mg, from 1 to 50 mg per day, and from 5 to 40 mg per day are examples of dosages that may be used. An exemplary dosage is 10 to 30 mg per day. The exact dosage will depend upon the route of administration, the form in which the compound is administered, the subject to be treated, the body weight of the subject to be treated, and the preference and experience of the attending physician. [00157] Unless otherwise noted, the amounts of the compounds described herein are set forth on a free base basis. That is, the amounts indicate that amount of the compound administered, exclusive of, for example, solvent (such as in solvates) or counterions (such as in pharmaceutically acceptable salts). [00158] Described below are non- limiting exemplary pharmaceutical compositions and methods for preparing the same. Pharmaceutical compositions for oral administration. [00159] In some embodiments, the invention provides a pharmaceutical composition for oral administration containing a compound of the invention, and a pharmaceutical excipient suitable for oral administration. [00160] In some embodiments, the invention provides a solid pharmaceutical composition for oral administration containing: (i) an effective amount of a compound of the invention; optionally (ii) an effective amount of a second agent; and (iii) a pharmaceutical excipient suitable for oral administration. In some embodiments, the composition further contains: (iv) an effective amount of a third agent. [00161] In some embodiments, the pharmaceutical composition may be a liquid pharmaceutical composition suitable for oral consumption. Pharmaceutical compositions of the invention suitable for oral administration can be presented as discrete dosage forms, such as capsules, cachets, or tablets, or liquids or aerosol sprays each containing a predetermined amount of an active ingredient as a powder or in granules, a solution, or a suspension in an aqueous or non-aqueous liquid, an oil-in- water emulsion, or a water-in-oil liquid emulsion. Such dosage forms can be prepared by any of the methods of pharmacy, but all methods include the step of bringing the active ingredient into association with the carrier, which constitutes one or more necessary ingredients. In general, the compositions are prepared by uniformly and intimately admixing the active ingredient with liquid carriers or finely divided solid carriers or both, and then, if necessary, shaping the product into the desired presentation. For example, a tablet can be prepared by compression or molding, optionally with one or more accessory ingredients. Compressed tablets can be prepared by compressing in a suitable machine the active ingredient in a free- flowing form such as powder or granules, optionally mixed with an excipient such as, but not limited to, a binder, a lubricant, an inert diluent, and/or a surface active or dispersing agent. Molded tablets can be made by molding in a suitable machine a mixture of the powdered compound moistened with an inert liquid diluent. [00162] This invention further encompasses anhydrous pharmaceutical compositions and dosage forms comprising an active ingredient, since water can facilitate the degradation of some compounds. For example, water may be added (e.g., 5%) in the pharmaceutical arts as a means of simulating long-term storage in order to determine characteristics such as shelf- life or the stability of formulations over time. Anhydrous pharmaceutical compositions and dosage forms of the invention can be prepared using anhydrous or low moisture containing ingredients and low moisture or low humidity conditions. Pharmaceutical compositions and dosage forms of the invention which contain lactose can be made anhydrous if substantial contact with moisture and/or humidity during manufacturing, packaging, and/or storage is expected. An anhydrous pharmaceutical composition may be prepared and stored such that its anhydrous nature is maintained. Accordingly, anhydrous compositions may be packaged using materials known to prevent exposure to water such that they can be included in suitable formulary kits. Examples of suitable packaging include, but are not limited to, hermetically sealed foils, plastic or the like, unit dose containers, blister packs, and strip packs. [00163] An active ingredient can be combined in an intimate admixture with a pharmaceutical carrier according to conventional pharmaceutical compounding techniques. The carrier can take a wide variety of forms depending on the form of preparation desired for administration. In preparing the compositions for an oral dosage form, any of the usual pharmaceutical media can be employed as carriers, such as, for example, water, glycols, oils, alcohols, flavoring agents, preservatives, coloring agents, and the like in the case of oral liquid preparations (such as suspensions, solutions, and elixirs) or aerosols; or carriers such as starches, sugars, micro-crystalline cellulose, diluents, granulating agents, lubricants, binders, and disintegrating agents can be used in the case of oral solid preparations, in some embodiments without employing the use of lactose. For example, suitable carriers include powders, capsules, and tablets, with the solid oral preparations. If desired, tablets can be coated by standard aqueous or nonaqueous techniques. [00164] Binders suitable for use in pharmaceutical compositions and dosage forms include, but are not limited to, corn starch, potato starch, or other starches, gelatin, natural and synthetic gums such as acacia, sodium alginate, alginic acid, other alginates, powdered tragacanth, guar gum, cellulose and its derivatives (e.g., ethyl cellulose, cellulose acetate, carboxymethyl cellulose calcium, sodium carboxymethyl cellulose), polyvinyl pyrrolidone, methyl cellulose, pre-gelatinized starch, hydroxypropyl methyl cellulose, microcrystalline cellulose, and mixtures thereof. [00165] Examples of suitable fillers for use in the pharmaceutical compositions and dosage forms disclosed herein include, but are not limited to, talc, calcium carbonate (e.g., granules or powder), microcrystalline cellulose, powdered cellulose, dextrates, kaolin, mannitol, silicic acid, sorbitol, starch, pre-gelatinized starch, and mixtures thereof. [00166] Disintegrants may be used in the compositions of the invention to provide tablets that disintegrate when exposed to an aqueous environment. Too much of a disintegrant may produce tablets which may disintegrate in the bottle. Too little may be insufficient for disintegration to occur and may thus alter the rate and extent of release of the active ingredient(s) from the dosage form. Thus, a sufficient amount of disintegrant that is neither too little nor too much to detrimentally alter the release of the active ingredient(s) may be used to form the dosage forms of the compounds disclosed herein. The amount of disintegrant used may vary based upon the type of formulation and mode of administration, and may be readily discernible to those of ordinary skill in the art. About 0.5 to about 15 weight percent of disintegrant, or about 1 to about 5 weight percent of disintegrant, may be used in the pharmaceutical composition. Disintegrants that can be used to form pharmaceutical compositions and dosage forms of the invention include, but are not limited to, agar-agar, alginic acid, calcium carbonate, microcrystalline cellulose, croscarmellose sodium, crospovidone, polacrilin potassium, sodium starch glycolate, potato or tapioca starch, other starches, pre-gelatinized starch, other starches, clays, other algins, other celluloses, gums or mixtures thereof. [00167] Lubricants which can be used to form pharmaceutical compositions and dosage forms of the invention include, but are not limited to, calcium stearate, magnesium stearate, mineral oil, light mineral oil, glycerin, sorbitol, mannitol, polyethylene glycol, other glycols, stearic acid, sodium lauryl sulfate, talc, hydrogenated vegetable oil (e.g., peanut oil, cottonseed oil, sunflower oil, sesame oil, olive oil, corn oil, and soybean oil), zinc stearate, ethyl oleate, ethyl laureate, agar, or mixtures thereof. Additional lubricants include, for example, a syloid silica gel, a coagulated aerosol of synthetic silica, or mixtures thereof. A lubricant can optionally be added, in an amount of less than about 1 weight percent of the pharmaceutical composition. [00168] When aqueous suspensions and/or elixirs are desired for oral administration, the active ingredient therein may be combined with various sweetening or flavoring agents, coloring matter or dyes and, if so desired, emulsifying and/or suspending agents, together with such diluents as water, ethanol, propylene glycol, glycerin and various combinations thereof. [00169] The tablets can be uncoated or coated by known techniques to delay disintegration and absorption in the gastrointestinal tract and thereby provide a sustained action over a longer period. For example, a time delay material such as glyceryl monostearate or glyceryl distearate can be employed. Formulations for oral use can also be presented as hard gelatin capsules wherein the active ingredient is mixed with an inert solid diluent, for example, calcium carbonate, calcium phosphate or kaolin, or as soft gelatin capsules wherein the active ingredient is mixed with water or an oil medium, for example, peanut oil, liquid paraffin or olive oil. [00170] Surfactant which can be used to form pharmaceutical compositions and dosage forms of the invention include, but are not limited to, hydrophilic surfactants, lipophilic surfactants, and mixtures thereof. That is, a mixture of hydrophilic surfactants may be employed, a mixture of lipophilic surfactants may be employed, or a mixture of at least one hydrophilic surfactant and at least one lipophilic surfactant may be employed. [00171] A suitable hydrophilic surfactant may generally have an HLB value of at least 10, while suitable lipophilic surfactants may generally have an HLB value of or less than about 10. An empirical parameter used to characterize the relative hydrophilicity and hydrophobicity of non-ionic amphiphilic compounds is the hydrophilic-lipophilic balance (" HLB" value). Surfactants with lower HLB values are more lipophilic or hydrophobic, and have greater solubility in oils, while surfactants with higher HLB values are more hydrophilic, and have greater solubility in aqueous solutions. [00172] Hydrophilic surfactants are generally considered to be those compounds having an HLB value greater than about 10, as well as anionic, cationic, or zwitterionic compounds for which the HLB scale is not generally applicable. Similarly, lipophilic (i.e., hydrophobic) surfactants are compounds having an HLB value equal to or less than about 10. However, HLB value of a surfactant is merely a rough guide generally used to enable formulation of industrial, pharmaceutical and cosmetic emulsions. [00173] Hydrophilic surfactants may be either ionic or non-ionic. Suitable ionic surfactants include, but are not limited to, alkylammonium salts; fusidic acid salts; fatty acid derivatives of amino acids, oligopeptides, and polypeptides; glyceride derivatives of amino acids, oligopeptides, and polypeptides; lecithins and hydrogenated lecithins; lysolecithins and hydrogenated lysolecithins; phospholipids and derivatives thereof; lysophospholipids and derivatives thereof; carnitine fatty acid ester salts; salts of alkylsulfates; fatty acid salts; sodium docusate; acyl lactylates; mono- and di-acetylated tartaric acid esters of mono- and di-glycerides; succinylated mono- and di-glycerides; citric acid esters of mono- and di- glycerides; and mixtures thereof. [00174] Within the aforementioned group, ionic surfactants include, by way of example: lecithins, lysolecithin, phospholipids, lysophospholipids and derivatives thereof; carnitine fatty acid ester salts; salts of alkylsulfates; fatty acid salts; sodium docusate; acylactylates; mono- and di-acetylated tartaric acid esters of mono- and di-glycerides; succinylated mono- and di-glycerides; citric acid esters of mono- and di-glycerides; and mixtures thereof. [00175] Ionic surfactants may be the ionized forms of lecithin, lysolecithin, phosphatidylcholine, phosphatidylethanolamine, phosphatidylglycerol, phosphatidic acid, phosphatidylserine, lysophosphatidylcholine, lysophosphatidylethanolamine, lysophosphatidylglycerol, lysophosphatidic acid, lysophosphatidylserine, PEG- phosphatidylethanolamine, PVP -phosphatidylethanolamine, lactylic esters of fatty acids, stearoyl-2-lactylate, stearoyl lactylate, succinylated monoglycerides, mono/diacetylated tartaric acid esters of mono/diglycerides, citric acid esters of mono/diglycerides, cholylsarcosine, caproate, caprylate, caprate, laurate, myristate, palmitate, oleate, ricinoleate, linoleate, linolenate, stearate, lauryl sulfate, teracecyl sulfate, docusate, lauroyl carnitines, palmitoyl carnitines, myristoyl carnitines, and salts and mixtures thereof. [00176] Hydrophilic non-ionic surfactants may include, but are not limited to, alkylglucosides; alkylmaltosides; alkylthioglucosides; lauryl macrogolglycerides; polyoxyalkylene alkyl ethers such as polyethylene glycol alkyl ethers; polyoxyalkylene alkylphenols such as polyethylene glycol alkyl phenols; polyoxyalkylene alkyl phenol fatty acid esters such as polyethylene glycol fatty acids monoesters and polyethylene glycol fatty acids diesters; polyethylene glycol glycerol fatty acid esters; polyglycerol fatty acid esters; polyoxyalkylene sorbitan fatty acid esters such as polyethylene glycol sorbitan fatty acid esters; hydrophilic transesterification products of a polyol with at least one member of the group consisting of glycerides, vegetable oils, hydrogenated vegetable oils, fatty acids, and sterols; polyoxyethylene sterols, derivatives, and analogues thereof; polyoxyethylated vitamins and derivatives thereof; polyoxyethylene-polyoxypropylene block copolymers; and mixtures thereof; polyethylene glycol sorbitan fatty acid esters and hydrophilic transesterification products of a polyol with at least one member of the group consisting of triglycerides, vegetable oils, and hydrogenated vegetable oils. The polyol may be glycerol, ethylene glycol, polyethylene glycol, sorbitol, propylene glycol, pentaerythritol, or a saccharide. [00177] Other hydrophilic-non-ionic surfactants include, without limitation, PEG- 10 laurate, PEG- 12 laurate, PEG-20 laurate, PEG-32 laurate, PEG-32 dilaurate, PEG- 12 oleate, PEG- 15 oleate, PEG-20 oleate, PEG-20 dioleate, PEG-32 oleate, PEG-200 oleate, PEG-400 oleate, PEG- 15 stearate, PEG-32 distearate, PEG-40 stearate, PEG- 100 stearate, PEG-20 dilaurate, PEG-25 glyceryl trioleate, PEG-32 dioleate, PEG-20 glyceryl laurate, PEG-30 glyceryl laurate, PEG-20 glyceryl stearate, PEG-20 glyceryl oleate, PEG-30 glyceryl oleate, PEG-30 glyceryl laurate, PEG-40 glyceryl laurate, PEG-40 palm kernel oil, PEG-50 hydrogenated castor oil, PEG-40 castor oil, PEG-35 castor oil, PEG-60 castor oil, PEG-40 hydrogenated castor oil, PEG-60 hydrogenated castor oil, PEG-60 corn oil, PEG-6 caprate/caprylate glycerides, PEG-8 caprate/caprylate glycerides, polyglyceryl-10 laurate, PEG-30 cholesterol, PEG-25 phyto sterol, PEG-30 soya sterol, PEG-20 trioleate, PEG-40 sorbitan oleate, PEG-80 sorbitan laurate, polysorbate 20, polysorbate 80, POE-9 lauryl ether, POE-23 lauryl ether, POE-10 oleyl ether, POE-20 oleyl ether, POE-20 stearyl ether, tocopheryl PEG- 100 succinate, PEG-24 cholesterol, polyglyceryl-lOoleate, Tween 40, Tween 60, sucrose monostearate, sucrose mono laurate, sucrose monopalmitate, PEG 10-100 nonyl phenol series, PEG 15-100 octyl phenol series, and poloxamers. [00178] Suitable lipophilic surfactants include, by way of example only: fatty alcohols; glycerol fatty acid esters; acetylated glycerol fatty acid esters; lower alcohol fatty acids esters; propylene glycol fatty acid esters; sorbitan fatty acid esters; polyethylene glycol sorbitan fatty acid esters; sterols and sterol derivatives; polyoxyethylated sterols and sterol derivatives; polyethylene glycol alkyl ethers; sugar esters; sugar ethers; lactic acid derivatives of mono- and di-glycerides; hydrophobic transesterification products of a polyol with at least one member of the group consisting of glycerides, vegetable oils, hydrogenated vegetable oils, fatty acids and sterols; oil-soluble vitamins/vitamin derivatives; and mixtures thereof. Within this group, preferred lipophilic surfactants include glycerol fatty acid esters, propylene glycol fatty acid esters, and mixtures thereof, or are hydrophobic transesterification products of a polyol with at least one member of the group consisting of vegetable oils, hydrogenated vegetable oils, and triglycerides. [00179] In one embodiment, the composition may include a solubilizer to ensure good solubilization and/or dissolution of the compound of the present invention and to minimize precipitation of the compound of the present invention. This can be especially important for compositions for non-oral use, e.g., compositions for injection. A solubilizer may also be added to increase the solubility of the hydrophilic drug and/or other components, such as surfactants, or to maintain the composition as a stable or homogeneous solution or dispersion. [00180] Examples of suitable solubilizers include, but are not limited to, the following: alcohols and polyols, such as ethanol, isopropanol, butanol, benzyl alcohol, ethylene glycol, propylene glycol, butanediols and isomers thereof, glycerol, pentaerythritol, sorbitol, mannitol, transcutol, dimethyl isosorbide, polyethylene glycol, polypropylene glycol, polyvinylalcohol, hydroxypropyl methylcellulose and other cellulose derivatives, cyclodextrins and cyclodextrin derivatives; ethers of polyethylene glycols having an average molecular weight of about 200 to about 6000, such as tetrahydrofurfuryl alcohol PEG ether (glycofurol) or methoxy PEG ; amides and other nitrogen-containing compounds such as 2- pyrrolidone, 2-piperidone, ε-caprolactam, N-alkylpyrrolidone, N-hydroxyalkylpyrrolidone, N-alkylpiperidone, N-alkylcaprolactam, dimethylacetamide and polyvinylpyrrolidone; esters such as ethyl propionate, tributylcitrate, acetyl triethylcitrate, acetyl tributyl citrate, triethylcitrate, ethyl oleate, ethyl caprylate, ethyl butyrate, triacetin, propylene glycol monoacetate, propylene glycol diacetate, ε-caprolactone and isomers thereof, δ-valerolactone and isomers thereof, β-butyrolactone and isomers thereof; and other solubilizers known in the art, such as dimethyl acetamide, dimethyl isosorbide, N-methyl pyrrolidones, monooctanoin, diethylene glycol monoethyl ether, and water. [00181] Mixtures of solubilizers may also be used. Examples include, but not limited to, triacetin, triethylcitrate, ethyl oleate, ethyl caprylate, dimethylacetamide, N- methylpyrrolidone, N-hydroxyethylpyrrolidone, polyvinylpyrrolidone, hydroxypropyl methylcellulose, hydroxypropyl cyclodextrins, ethanol, polyethylene glycol 200-100, glycofurol, transcutol, propylene glycol, and dimethyl isosorbide. Particularly preferred solubilizers include sorbitol, glycerol, triacetin, ethyl alcohol, PEG-400, glycofurol and propylene glycol. [00182] The amount of solubilizer that can be included is not particularly limited. The amount of a given solubilizer may be limited to a bioacceptable amount, which may be readily determined by one of skill in the art. In some circumstances, it may be advantageous to include amounts of solubilizers far in excess of bioacceptable amounts, for example to maximize the concentration of the drug, with excess solubilizer removed prior to providing the composition to a subject using conventional techniques, such as distillation or evaporation. Thus, if present, the solubilizer can be in a weight ratio of 10%, 25%o, 50%), 100%o, or up to about 200%> by weight, based on the combined weight of the drug, and other excipients. If desired, very small amounts of solubilizer may also be used, such as 5%>, 2%>, 1%) or even less. Typically, the solubilizer may be present in an amount of about 1%> to about 100%, more typically about 5%> to about 25%> by weight. [00183] The composition can further include one or more pharmaceutically acceptable additives and excipients. Such additives and excipients include, without limitation, detackifiers, anti-foaming agents, buffering agents, polymers, antioxidants, preservatives, chelating agents, viscomodulators, tonicifiers, flavorants, colorants, odorants, opacifiers, suspending agents, binders, fillers, plasticizers, lubricants, and mixtures thereof. [00184] In addition, an acid or a base may be incorporated into the composition to facilitate processing, to enhance stability, or for other reasons. Examples of pharmaceutically acceptable bases include amino acids, amino acid esters, ammonium hydroxide, potassium hydroxide, sodium hydroxide, sodium hydrogen carbonate, aluminum hydroxide, calcium carbonate, magnesium hydroxide, magnesium aluminum silicate, synthetic aluminum silicate, synthetic hydrocalcite, magnesium aluminum hydroxide, diisopropylethylamine, ethanolamine, ethylenediamine, triethanolamine, triethylamine, triisopropanolamine, trimethylamine, tris(hydroxymethyl)aminomethane (TRIS) and the like. Also suitable are bases that are salts of a pharmaceutically acceptable acid, such as acetic acid, acrylic acid, adipic acid, alginic acid, alkanesulfonic acid, amino acids, ascorbic acid, benzoic acid, boric acid, butyric acid, carbonic acid, citric acid, fatty acids, formic acid, fumaric acid, gluconic acid, hydroquinosulfonic acid, isoascorbic acid, lactic acid, maleic acid, oxalic acid, para- bromophenylsulfonic acid, propionic acid, p-toluenesulfonic acid, salicylic acid, stearic acid, succinic acid, tannic acid, tartaric acid, thioglycolic acid, toluenesulfonic acid, uric acid, and the like. Salts of polyprotic acids, such as sodium phosphate, disodium hydrogen phosphate, and sodium dihydrogen phosphate can also be used. When the base is a salt, the cation can be any convenient and pharmaceutically acceptable cation, such as ammonium, alkali metals, alkaline earth metals, and the like. Example may include, but not limited to, sodium, potassium, lithium, magnesium, calcium and ammonium. [00185] Suitable acids are pharmaceutically acceptable organic or inorganic acids. Examples of suitable inorganic acids include hydrochloric acid, hydrobromic acid, hydriodic acid, sulfuric acid, nitric acid, boric acid, phosphoric acid, and the like. Examples of suitable organic acids include acetic acid, acrylic acid, adipic acid, alginic acid, alkanesulfonic acids, amino acids, ascorbic acid, benzoic acid, boric acid, butyric acid, carbonic acid, citric acid, fatty acids, formic acid, fumaric acid, gluconic acid, hydroquinosulfonic acid, isoascorbic acid, lactic acid, maleic acid, methanesulfonic acid, oxalic acid, para-bromophenylsulfonic acid, propionic acid, p-toluenesulfonic acid, salicylic acid, stearic acid, succinic acid, tannic acid, tartaric acid, thioglycolic acid, toluenesulfonic acid, uric acid and the like. Pharmaceutical compositions for injection. [00186] In some embodiments, the invention provides a pharmaceutical composition for injection containing a compound of the present invention and a pharmaceutical excipient suitable for injection. Components and amounts of agents in the compositions are as described herein. [00187] The forms in which the novel compositions of the present invention may be incorporated for administration by injection include aqueous or oil suspensions, or emulsions, with sesame oil, corn oil, cottonseed oil, or peanut oil, as well as elixirs, mannitol, dextrose, or a sterile aqueous solution, and similar pharmaceutical vehicles. [00188] Aqueous solutions in saline are also conventionally used for injection. Ethanol, glycerol, propylene glycol, liquid polyethylene glycol, and the like (and suitable mixtures thereof), cyclodextrin derivatives, and vegetable oils may also be employed. The proper fluidity can be maintained, for example, by the use of a coating, such as lecithin, for the maintenance of the required particle size in the case of dispersion and by the use of surfactants. The prevention of the action of microorganisms can be brought about by various antibacterial and antifungal agents, for example, parabens, chlorobutanol, phenol, sorbic acid, thimerosal, and the like. [00189] Sterile injectable solutions are prepared by incorporating the compound of the present invention in the required amount in the appropriate solvent with various other ingredients as enumerated above, as required, followed by filtered sterilization. Generally, dispersions are prepared by incorporating the various sterilized active ingredients into a sterile vehicle which contains the basic dispersion medium and the required other ingredients from those enumerated above. In the case of sterile powders for the preparation of sterile injectable solutions, certain desirable methods of preparation are vacuum-drying and freeze- drying techniques which yield a powder of the active ingredient plus any additional desired ingredient from a previously sterile-filtered solution thereof. [00190] Pharmaceutical compositions for topical (e.g. transdermal) delivery. [00191] In some embodiments, the invention provides a pharmaceutical composition for transdermal delivery containing a compound of the present invention and a pharmaceutical excipient suitable for transdermal delivery. [00192] Compositions of the present invention can be formulated into preparations in solid, semisolid, or liquid forms suitable for local or topical administration, such as gels, water soluble jellies, creams, lotions, suspensions, foams, powders, slurries, ointments, solutions, oils, pastes, suppositories, sprays, emulsions, saline solutions, dimethylsulfoxide (DMSO)-based solutions. In general, carriers with higher densities are capable of providing an area with a prolonged exposure to the active ingredients. In contrast, a solution formulation may provide more immediate exposure of the active ingredient to the chosen area. [00193] The pharmaceutical compositions also may comprise suitable solid or gel phase carriers or excipients, which are compounds that allow increased penetration of, or assist in the delivery of, therapeutic molecules across the stratum corneum permeability barrier of the skin. There are many of these penetration- enhancing molecules known to those trained in the art of topical formulation. [00194] Examples of such carriers and excipients include, but are not limited to, humectants (e.g., urea), glycols (e.g., propylene glycol), alcohols (e.g., ethanol), fatty acids (e.g., oleic acid), surfactants (e.g., isopropyl myristate and sodium lauryl sulfate), pyrrolidones, glycerol monolaurate, sulfoxides, terpenes (e.g., menthol), amines, amides, alkanes, alkanols, water, calcium carbonate, calcium phosphate, various sugars, starches, cellulose derivatives, gelatin, and polymers such as polyethylene glycols. [00195] Another exemplary formulation for use in the methods of the present invention employs transdermal delivery devices ("patches"). Such transdermal patches may be used to provide continuous or discontinuous infusion of a compound of the present invention in controlled amounts, either with or without another agent. The construction and use of transdermal patches for the delivery of pharmaceutical agents is well known in the art. See, e.g., U.S. Pat. Nos.5,023,252, 4,992,445 and 5,001,139. Such patches may be constructed for continuous, pulsatile, or on demand delivery of pharmaceutical agents. Pharmaceutical compositions for inhalation. [00196] Compositions for inhalation or insufflation include solutions and suspensions in pharmaceutically acceptable, aqueous or organic solvents, or mixtures thereof, and powders. The liquid or solid compositions may contain suitable pharmaceutically acceptable excipients as described supra. Preferably the compositions are administered by the oral or nasal respiratory route for local or systemic effect. Compositions in preferably pharmaceutically acceptable solvents may be nebulized by use of inert gases. Nebulized solutions may be inhaled directly from the nebulizing device or the nebulizing device may be attached to a face mask tent, or intermittent positive pressure breathing machine. Solution, suspension, or powder compositions may be administered, preferably orally or nasally, from devices that deliver the formulation in an appropriate manner. [00197] Compositions for inhalation may be delivered as a dry powder (either alone, as a mixture, for example a dry blend with lactose, or a mixed component particle, for example with phospholipids) from a dry powder inhaler or as an aerosol spray from a pressurised container, pump, spray, atomizer or nebuliser, with or without the use of a suitable propellant. Such devices are referred to in, for example, WO2013030802. [00198] Where the inhalable form of the active ingredient is an aerosol composition, the inhalation device may be an aerosol vial provided with a valve adapted to deliver a metered dose, i.e. a metered dose inhaler. Where the inhalable form of the active ingredient is a nebulizable aqueous, organic or aqueous/organic dispersion, the inhalation device may be a nebulizer, such as an airjet nebulizer, or an ultrasonic nebulizer, or a hand- held nebulizer, sometimes referred to as a soft mist or soft spray inhaler, or a mechanical device which allows much smaller nebulized volumes than conventional nebulizers. Such devices are referred to in, for example, WO2013030802. [00199] Where the inhalable form of the active ingredient is the finely divided particulate form, the inhalation device may be, for example, a dry powder inhalation device adapted to deliver dry powder from a capsule or blister containing a dry powder comprising a dosage unit or a multidose dry powder inhalation (MDPI) device adapted to deliver dry powder comprising a dosage unit upon actuation. The dry powder composition preferably contains a diluent or carrier, such as lactose, and a compound that helps to protect against product performance deterioration due to moisture e.g. magnesium stearate. Dry powder inhalation devices are referred to in, for example, WO2013030802 [00200] Thus, in some embodiments, the invention also includes (A) a compound of the invention, or a pharmaceutically acceptable salt thereof, in inhalable form; (B) an inhalable medicament comprising the compound in inhalable form together with a pharmaceutically acceptable carrier in inhalable form; (C) a pharmaceutical product comprising such a compound in inhalable form in association with an inhalation device; and (D) an inhalation device containing such a compound in inhalable form. Other pharmaceutical compositions. [00201] Pharmaceutical compositions may also be prepared from compositions described herein and one or more pharmaceutically acceptable excipients suitable for sublingual, buccal, rectal, intraosseous, intraocular, intranasal, epidural, or intraspinal administration. Preparations for such pharmaceutical compositions are well-known in the art. See, e.g., Anderson, Philip O.; Knoben, James E.; Troutman, William G, eds., Handbook of Clinical Drug Data, Tenth Edition, McGraw-Hill, 2002; Pratt and Taylor, eds., Principles of Drug Action, Third Edition, Churchill Livingston, New York, 1990; Katzung, ed., Basic and Clinical Pharmacology, Ninth Edition, McGraw Hill, 20037ybg; Goodman and Gilman, eds., The Pharmacological Basis of Therapeutics, Tenth Edition, McGraw Hill, 2001 ; Remingtons Pharmaceutical Sciences, 20th Ed., Lippincott Williams & Wilkins., 2000; Martindale, The Extra Pharmacopoeia, Thirty-Second Edition (The Pharmaceutical Press, London, 1999); all of which are incorporated by reference herein in their entirety. [00202] Administration of the compounds or pharmaceutical composition of the present invention can be effected by any method that enables delivery of the compounds to the site of action. These methods include oral routes, intraduodenal routes, parenteral injection (including intravenous, intraarterial, subcutaneous, intramuscular, intravascular, intraperitoneal or infusion), topical (e.g. transdermal application), rectal administration, via local delivery by catheter or stent or through inhalation. Compounds can also be administered intraadiposally or intrathecally. [00203] The amount of the compound administered will be dependent on the subject being treated, the severity of the disorder or condition, the rate of administration, the disposition of the compound and the discretion of the prescribing physician. However, an effective dosage is in the range of about 0.001 to about 100 mg per kg body weight per day, preferably about 1 to about 35 mg/kg/day, in single or divided doses. For a 70 kg human, this would amount to about 0.05 to 7 g/day, preferably about 0.05 to about 2.5 g/day. In some instances, dosage levels below the lower limit of the aforesaid range may be more than adequate, while in other cases still larger doses may be employed without causing any harmful side effect, e.g. by dividing such larger doses into several small doses for administration throughout the day. [00204] In some embodiments, a compound of the invention is administered in a single dose. [00205] Typically, such administration will be by injection, e.g., intravenous injection, in order to introduce the agent quickly. However, other routes may be used as appropriate. A single dose of a compound of the invention may also be used for treatment of an acute condition. [00206] In some embodiments, a compound of the invention is administered in multiple doses. Dosing may be about once, twice, three times, four times, five times, six times, or more than six times per day. Dosing may be about once a month, once every two weeks, once a week, or once every other day. In another embodiment a compound of the invention and another agent are administered together about once per day to about 6 times per day. In another embodiment the administration of a compound of the invention and an agent continues for less than about 7 days. In yet another embodiment the administration continues for more than about 6, 10, 14, 28 days, two months, six months, or one year. In some cases, continuous dosing is achieved and maintained as long as necessary. [00207] Administration of the compounds of the invention may continue as long as necessary. In some embodiments, a compound of the invention is administered for more than 1, 2, 3, 4, 5, 6, 7, 14, or 28 days. In some embodiments, a compound of the invention is administered for less than 28, 14, 7, 6, 5, 4, 3, 2, or 1 day. In some embodiments, a compound of the invention is administered chronically on an ongoing basis, e.g., for the treatment of chronic effects. [00208] An effective amount of a compound of the invention may be administered in either single or multiple doses by any of the accepted modes of administration of agents having similar utilities, including rectal, buccal, intranasal and transdermal routes, by intra- arterial injection, intravenously, intraperitoneally, parenterally, intramuscularly, subcutaneously, orally, topically, or as an inhalant. [00209] The compositions of the invention may also be delivered via an impregnated or coated device such as a stent, for example, or an artery-inserted cylindrical polymer. Such a method of administration may, for example, aid in the prevention or amelioration of restenosis following procedures such as balloon angioplasty. Without being bound by theory, compounds of the invention may slow or inhibit the migration and proliferation of smooth muscle cells in the arterial wall which contribute to restenosis. A compound of the invention may be administered, for example, by local delivery from the struts of a stent, from a stent graft, from grafts, or from the cover or sheath of a stent. In some embodiments, a compound of the invention is admixed with a matrix. Such a matrix may be a polymeric matrix, and may serve to bond the compound to the stent. Polymeric matrices suitable for such use, include, for example, lactone-based polyesters or copolyesters such as polylactide, polycaprolactonglycolide, polyorthoesters, polyanhydrides, polyaminoacids, polysaccharides, polyphosphazenes, poly (ether-ester) copolymers (e.g. PEO-PLLA); polydimethylsiloxane, poly(ethylene-vinylacetate), acrylate-based polymers or copolymers (e.g. polyhydroxyethyl methylmethacrylate, polyvinyl pyrrolidinone), fluorinated polymers such as polytetrafluoroethylene and cellulose esters. Suitable matrices may be nondegrading or may degrade with time, releasing the compound or compounds. Compounds of the invention may be applied to the surface of the stent by various methods such as dip/spin coating, spray coating, dip-coating, and/or brush-coating. The compounds may be applied in a solvent and the solvent may be allowed to evaporate, thus forming a layer of compound onto the stent. Alternatively, the compound may be located in the body of the stent or graft, for example in microchannels or micropores. When implanted, the compound diffuses out of the body of the stent to contact the arterial wall. Such stents may be prepared by dipping a stent manufactured to contain such micropores or microchannels into a solution of the compound of the invention in a suitable solvent, followed by evaporation of the solvent. Excess drug on the surface of the stent may be removed via an additional brief solvent wash. In yet other embodiments, compounds of the invention may be covalently linked to a stent or graft. A covalent linker may be used which degrades in vivo, leading to the release of the compound of the invention. Any bio-labile linkage may be used for such a purpose, such as ester, amide or anhydride linkages. Compounds of the invention may additionally be administered intravascularly from a balloon used during angioplasty. Extravascular administration of the compounds via the pericard or via advential application of formulations of the invention may also be performed to decrease restenosis. [00210] A variety of stent devices which may be used as described are disclosed, for example, in the following references, all of which are hereby incorporated by reference: U.S. Pat. No.5451233; U.S. Pat. No.5040548; U.S. Pat. No.5061273; U.S. Pat. No. 5496346; U.S. Pat. No.5292331; U.S. Pat. No.5674278; U.S. Pat. No.3657744; U.S. Pat. No.4739762; U.S. Pat. No.5195984; U.S. Pat. No.5292331 ; U.S. Pat. No.5674278; U.S. Pat. No.5879382; U.S. Pat. No.6344053. [00211] The compounds of the invention may be administered in dosages. It is known in the art that due to intersubject variability in compound pharmacokinetics, individualization of dosing regimen is necessary for optimal therapy. Dosing for a compound of the invention may be found by routine experimentation in light of the instant disclosure. [00212] When a compound of the invention is administered in a composition that comprises one or more agents, and the agent has a shorter half- life than the compound of the invention unit dose forms of the agent and the compound of the invention may be adjusted accordingly. [00213] The subject pharmaceutical composition may, for example, be in a form suitable for oral administration as a tablet, capsule, pill, powder, sustained release formulations, solution, suspension, for parenteral injection as a sterile solution, suspension or emulsion, for topical administration as an ointment or cream or for rectal administration as a suppository. The pharmaceutical composition may be in unit dosage forms suitable for single administration of precise dosages. The pharmaceutical composition will include a conventional pharmaceutical carrier or excipient and a compound according to the invention as an active ingredient. In addition, it may include other medicinal or pharmaceutical agents, carriers, adjuvants, etc. [00214] Exemplary parenteral administration forms include solutions or suspensions of active compound in sterile aqueous solutions, for example, aqueous propylene glycol or dextrose solutions. Such dosage forms can be suitably buffered, if desired. Methods of Use [00215] The method typically comprises administering to a subject a therapeutically effective amount of a compound of the invention. The therapeutically effective amount of the subject combination of compounds may vary depending upon the intended application (in vitro or in vivo), or the subject and disease condition being treated, e.g., the weight and age of the subject, the severity of the disease condition, the manner of administration and the like, which can readily be determined by one of ordinary skill in the art. The term also applies to a dose that will induce a particular response in target cells, e.g., reduction of proliferation or downregulation of activity of a target protein. The specific dose will vary depending on the particular compounds chosen, the dosing regimen to be followed, whether it is administered in combination with other compounds, timing of administration, the tissue to which it is administered, and the physical delivery system in which it is carried. [00216] The disclosure also relates to methods of using the compounds described herein to treat in a subject in need thereof, a disease or disorder in which PDGFR signaling is implicated. These methods are accomplished by administering to the subject a compound of the disclosure in an amount effective to treat the disease or disorder. [00217] In some aspects, the disclosure is directed to methods of using the compounds described herein to treat a disease or disorder in a subject in need thereof, wherein the disease or disorder is pulmonary hypertension (PH). [00218] In some embodiments, the pulmonary hypertension is pulmonary arterial hypertension (PAH) (WHO PH Group 1); PH secondary to heart failure (WHO PH Group 2); PH secondary to lung diseases and/or hypoxia (WHO PH Group 3); PH due to pulmonary artery obstruction (WHO Group 4); or PH due to unknown or rare diseases (WHO PH Group 5). [00219] In some embodiments, the PAH (WHO PH Group 1) is idiopathic PAH, PAH with vasoreactivity, heritable PAH, drugs and toxins-induced PAH, PAH associated with connective tissue disease, PAH associated with HIV infection, PAH associated with portal hypertension, PAH associated with congenital heart disease, PAH associated with schistosomiasis, PAH in long-term responders to calcium channel blockers, PAH with overt signs of venous/capillaries involvement; persistent PH of the Newborn syndrome; or systemic sclerosis-associated PAH (SSc-PAH). [00220] In some embodiments, the PAH secondary to heart failure (WHO PH Group 2) is PH due to heart failure with preserved ejection fraction, PH due to heart failure with reduced ejection fraction, valvular heart disease, or congenital post-capillary obstructive lesions. [00221] In some embodiments, the PH secondary to lung diseases and/or hypoxia (WHO PH Group 3) is PH due to obstructive lung disease, PH due to restrictive lung disease, PH due to other lung diseases with mixed restrictive/obstructive pattern, PH due to hypoxia without lung disease, PH due to developmental lung disorders. [00222] In some embodiments, the PH due to obstructive lung disease is PH due to chronic obstructive pulmonary disease (COPD). [00223] In some embodiments, the PH due to restrictive lung disease is PH due to interstitial lung diseases (ILDs). [00224] In some embodiments, the PH due to interstitial lung diseases (ILDs) is PH due to idiopathic pulmonary fibrosis (IPF). [00225] In some embodiments, the PH due to pulmonary artery obstruction (WHO Group 4) is chronic thromboembolic PH (CTEPH) or PH due to other pulmonaty artery obstructions. [00226] In some embodiments, the PH due to unknown or rare diseases (WHO PH Group 5) is PH due to hematologic disorders, PH due to systemic disorders, PH due to other disorders, or PH due to complex congenital heart disease. [00227] In some aspects, the disclosure is directed to methods of using the compounds described herein to treat a disease or disorder in a subject in need thereof, wherein the disease or disorder is a respiratory disease. [00228] In some embodiments, the respiratory disease is asthma. [00229] In some aspects, the disclosure is directed to methods of using the compounds described herein to treat a disease or disorder in a subject in need thereof, wherein the disease or disorder is a fibrotic disease. [00230] In some embodiments, the fibrotic disease is pulmonary fibrosis, cardiac fibrosis or liver fibrosis. [00231] In some embodiments, the fibrotic disease is pulmonary fibrosis. [00232] In some embodiments, the pulmonary fibrosis is an interstitial lung disease. [00233] In some embodiments, the interstitial lung disease is idiopathic pulmonary fibrosis. [00234] In some embodiments, the interstitial lung disease is rheumatoid arthritis- associated interstitial lung disease. [00235] In some embodiments, the interstitial lung disease is systemic sclerosis- associated interstitial lung disease. [00236] In some embodiments, the interstitial lung disease is connective tissue disease-associated interstitial lung disease. [00237] In some embodiments, the interstitial lung disease is nonspecific interstitial pneumonia. [00238] In some embodiments, the interstitial lung disease is unclassifiable interstitial lung disease. [00239] In some embodiments, the interstitial lung disease is hypersensitivity pneumonitis. [00240] In some embodiments, the interstitial lung disease is sarcoidosis. [00241] In some embodiments, the interstitial lung disease is non-idiopathic pulmonary fibrosis interstitial lung disease. [00242] In some aspects, the disclosure is directed to methods of using the compounds described herein to treat a disease or disorder in a subject in need thereof, wherein the disease or disorder is a dermatological disease. [00243] In some embodiments, the dermatological disease or disorder is atopic dermatitis, scleroderma, or urticaria. [00244] In some aspects, the disclosure is directed to methods of using the compounds described herein to treat a disease or disorder in a subject in need thereof, wherein the disease or disorder is an inflammatory disease or disorder. [00245] In some embodiments, the inflammatory disease or disorder is allergic rhinitis, irritable bowel syndrome (IBS); or inflammatory bowel disease (IBD). [00246] In some aspects, the disclosure is directed to methods of using the compounds described herein to treat a disease or disorder in a subject in need thereof, wherein the disease or disorder is an autoimmune disorder. [00247] In some aspects, the disclosure is directed to methods of using the compounds described herein to treat a disease or disorder in a subject in need thereof, wherein the disease or disorder is a metabolic disease. [00248] In some aspects, the disclosure is directed to methods of using the compounds described herein to treat a disease or disorder in a subject in need thereof, wherein the disease or disorder is vascular restenosis; age-related macular degeneration (AMD); irritable bowel syndrome (IBS); inflammatory bowel disease (IBD); obesity-cell related diseases; type I diabetes or type II diabetes. [00249] In other embodiments, the disclosure is directed to methods of using the compounds described herein to treat a disease or disorder in a subject in need thereof, wherein the disease or disorder is pulmonary arterial hypertension (PAH). [00250] In other embodiments, the disclosure is directed to methods of using the compounds described herein to treat a disease or disorder in a subject in need thereof, wherein the disease or disorder is PH secondary to heart failure (WHO PH Group 2). [00251] In other embodiments, the disclosure is directed to methods of using the compounds described herein to treat a disease or disorder in a subject in need thereof, wherein the disease or disorder is PH due to heart failure with preserved ejection fraction. [00252] In other embodiments, the disclosure is directed to methods of using the compounds described herein to treat a disease or disorder in a subject in need thereof, wherein the disease or disorder is PH due to heart failure with reduced ejection fraction. [00253] In other embodiments, the disclosure is directed to methods of using the compounds described herein to treat a disease or disorder in a subject in need thereof, wherein the disease or disorder is valvular heart disease. [00254] In other embodiments, the disclosure is directed to methods of using the compounds described herein to treat a disease or disorder in a subject in need thereof, wherein the disease or disorder is congenital post-capillary obstructive lesions. [00255] In other embodiments, the disclosure is directed to methods of using the compounds described herein to treat a disease or disorder in a subject in need thereof, wherein the disease or disorder is PH secondary to lung diseases and/or hypoxia (WHO PH Group 3). [00256] In other embodiments, the disclosure is directed to methods of using the compounds described herein to treat a disease or disorder in a subject in need thereof, wherein the disease or disorder is PH due to pulmonary artery obstruction (WHO Group 4). [00257] In other embodiments, the disclosure is directed to methods of using the compounds described herein to treat a disease or disorder in a subject in need thereof, wherein the disease or disorder is chronic thromboembolic PH (CTEPH). [00258] In other embodiments, the disclosure is directed to methods of using the compounds described herein to treat a disease or disorder in a subject in need thereof, wherein the disease or disorder is PH due to unknown or rare diseases (WHO PH Group 5). [00259] In other embodiments, the disclosure is directed to methods of using the compounds described herein to treat a disease or disorder in a subject in need thereof, wherein the disease or disorder is idiopathic PAH. [00260] In other embodiments, the disclosure is directed to methods of using the compounds described herein to treat a disease or disorder in a subject in need thereof, wherein the disease or disorder is PAH associated with connective tissue disease. [00261] In other embodiments, the disclosure is directed to methods of using the compounds described herein to treat a disease or disorder in a subject in need thereof, wherein the disease or disorder is systemic sclerosis-associated PAH (SSc-PAH). [00262] In other embodiments, the disclosure is directed to methods of using the compounds described herein to treat a disease or disorder in a subject in need thereof, wherein the disease or disorder is PH secondary to interstitial lung diseases (ILDs). [00263] In other embodiments, the disclosure is directed to methods of using the compounds described herein to treat a disease or disorder in a subject in need thereof, wherein the disease or disorder is PH secondary to chronic obstructive pulmonary disease (COPD). [00264] In other embodiments, the disclosure is directed to methods of using the compounds described herein to treat a disease or disorder in a subject in need thereof, wherein the disease or disorder is PH secondary to idiopathic pulmonary fibrosis (IPF). [00265] In treatment methods according to the disclosure, an effective amount of a pharmaceutical agent according to the disclosure is administered to a subject suffering from or diagnosed as having such a disease or disorder. An "effective amount" means an amount or dose sufficient to generally bring about the desired therapeutic benefit in patients in need of such treatment for the designated disease or disorder. Effective amounts or doses of the compounds of the present disclosure may be ascertained by routine methods such as modeling, dose escalation studies or clinical trials, and by taking into consideration routine factors, e.g., the mode or route of administration or drug delivery, the pharmacokinetics of the compound, the severity and course of the disease or disorder, the subject's previous or ongoing therapy, the subject's health status and response to drugs, and the judgment of the treating physician. An example of a dose is in the range of from about 0.001 to about 200 mg of compound per kg of subject's body weight per day, preferably about 0.05 to 100 mg/kg/day, or about 1 to 35 mg/kg/day, in single or divided dosage units (e.g., BID, TID, QID). For a 70-kg human, an illustrative range for a suitable dosage amount is from about 0.05 to about 7 g/day, or about 0.2 to about 2.5 g/day. [00266] In addition, the compounds of the disclosure may be used in combination with additional active ingredients in the treatment of the above diseases or disorders. The additional active ingredients may be coadministered separately with a compound of the disclosure or included with such an agent in a pharmaceutical composition according to the disclosure. The combination may serve to increase efficacy (e.g., by including in the combination a compound potentiating the potency or effectiveness of an active agent according to the disclosure), decrease one or more side effects, or decrease the required dose of the active agent according to the disclosure. [00267] It should be understood that references herein to methods of treatment using one or more compounds or formulations thereof should also be interpreted as references to: (i) one or more compounds or formulations thereof for use in methods of treatment; and/or (ii) the use of one or more compounds or formulations thereof in the manufacture of a medicament for treating a pathological condition. PET Imaging Methods [00268] In some aspects, the disclosure is directed to methods for positron emission tomography (PET) imaging of the lung or heart tissue of a subject by administering a
18F- or
11C- containing compound of formula (I) to the subject, allowing the compound to penetrate into the lung or heart tissue of the subject; and then collecting a PET image of the lung or heart tissue of the subject. [00269] The
18F- or
11C- containing compounds of formula (I) that may be used in these methods include F- or CH
3-containing compounds of the disclosure. For example, fluorine-containing compounds of formula (I) may be prepared to incorporate
18F, such as, for example, one of:
, or a pharmaceutically acceptable salt thereof. [00270] Similarly, methyl-containing compounds of formula (I) may be prepared to incorporate
11C, such as, for example, one of
, or a pharmaceutically acceptable salt thereof. [00271] Compounds of formula (I) in the present invention can be synthesized in accordance with general synthetic methods familiar to those who are skilled in the art. The following reaction schemes are only meant to represent examples of the invention and are in no way meant to be a limit of the invention.
[00272] The schemes below illustrate synthesis of compounds of formula (I).
[00273] Scheme 1 illustrated the synthesis of key intermediate A.2-methylthiazole (A-1) treated with NBS in DMF at room temperature to give 5-bromo-2-methylthiazole (A- 2), 5-bromo-2methylthiazole was then reacted with LiHMDS and diethyl carbonate in THF yielded ethyl 2-(5-bromothiazol-2-yl)acetate (A-2), subsequently treated with ethyl (Z)-N- ((mesitylsulfonyl)oxy)acetimidate (A-4) and TFA in dichloromethane to give A-5, reacted A-5 with triethyl orthoformate resulted ethyl 2-bromopyrazolo[5,1-b]thiazole-7-carboxylate (A).
[00274] Scheme 2 show the synthesis of Formula I while L = CONH, n = 2. Ethyl 2-bromopyrazolo[5,1-b]thiazole-7-carboxylate (A) hydrolyzed to 2-bromopyrazolo[5,1- b]thiazole-7-carboxylic acid (I-1) under a base such as NaOH in a solvent such as ethanol- water, 2-bromopyrazolo[5,1-b]thiazole-7-carboxylic acid (I-1) then converted into acid chloride with SOCl
2 or oxalyl dichloride in a solvent such as toluene or methylene chloride, the acid chloride reacted with amine (I-2) and a base such as DIEA or pyridine in a solvent such as methylene chloride or pyridine to give ester compound (I-3), ester compound (I-3) hydrolyzed to acid compound (I-4) under a base such as NaOH in a solvent such as ethanol- water, then treated with amine (I-5), a coupling reagent such as HATU, a base such as DIEA in a solvent such as DMF to produce compound (I-6), cross coupling compound (I-6) with a coupling reagent such a boronic acid or a boronate or a stannyl reagent (I-7) with a catalyst such as Pd(dppf)Cl
2 DCM, a base such as Cs
2CO
3 or K
3PO
4 in a solvent such as DMF-water or dioxane-water to give Formula I compound while L = CONH, n = 2.
[00275] Scheme 3 show the alternative synthesis of Formula I while L = CONH, n = 2. Ethyl 2-bromopyrazolo[5,1-b]thiazole-7-carboxylate (A) was coupled with a coupling reagent such a boronic acid or a boronate or a stannyl reagent (I-7) with a catalyst such as Pd(dppf)Cl2 DCM, a base such as Cs
2CO
3 or K
3PO
4 in a solvent such as DMF-water or dioxane-water to give ester (I-8), ester (I-8) then hydrolyzed to acid (I-9) under a base such as NaOH in a solvent such as ethanol-water, the acid (I-9) then converted into acid chloride with SOCl
2 or oxalyl dichloride in a solvent such as toluene or methylene chloride, the acid chloride reacted with amine (I-2) and a base such as DIEA or pyridine in a solvent such as methylene chloride or pyridine to give ester compound (I-10), ester compound (I-10) hydrolyzed to acid compound (I-11) under a base such as NaOH in a solvent such as ethanol- water, then treated with amine (I-5), a coupling reagent such as HATU, a base such as DIEA in a solvent such as DMF to produce Formula I compound while L = CONH, n = 2.
[00276] Scheme 4 show the synthesis of Formula I while L = NHCO, n = 1 or 2. Acid (I-9) was first converted into acid chloride with SOCl
2 or Oxalyl dichloride in a solvent such as toluene or methylene chloride, the acid chloride reacted with amine (I-12) and a base such as DIEA or pyridine in a solvent such as methylene chloride or pyridine to give a Boc- protected compound (I-13). Alternatively, acid (I-1) was converted into acid chloride with SOCl
2 or oxalyl dichloride in a solvent such as toluene or methylene chloride, the acid chloride reacted with amine (I-12) and a base such as DIEA or pyridine in a solvent such as methylene chloride or pyridine to give compound (I-14), compound (I-14) was then coupled with a coupling reagent such a boronic acid or a boronate or a stannyl reagent (I-7) with a catalyst such as Pd(dppf)Cl
2 DCM, a base such as Cs
2CO
3 or K
3PO
4 in a solvent such as DMF-water or dioxane-water to give a Boc-protected compound (I-13). Deprotecting Boc by treating compound (I-13) with acid such as TFA in a solvent such as methylene chloride followed by treatment with chloroacetyl chloride (I-16) and a base such as NaHCO
3 in a solvent such as DMF to give compound (I-17). Compound (I-17) was then reacted with amine (I-18) and a base such as K
2CO
3 in a solvent such as DMF to produce Formula I while L = NHCO, n = 0 or 1. Alternatively, compound (I-15) treated with an acid (I-19), a coupling agent such as HATU, a base such as DIEA in a solvent such as DMF to yield Formula I compound while L = NHCO, n = 1 or 2. Further alternatively, compound (I-15) treated with 3-chloropropanoyl chloride (I-20) and a base such as triethylamine in a solvent such as dichloromethane to give compound (I-21) which then reacted with amine (I-18) and a base such as K
2CO
3 in a solvent such as DMF to produce Formula I while L = NHCO, n = 1 or 2.
[00278] Scheme 5 shows the synthesis of Formula I while L = NHC(O)O, n = 2. The Boc-protected compound (I-14) was treated with an acid such as TFA in a solvent such as methylene chloride to give de-protected compound (I-28). The compound (I-28) was first treated with 1,1′-carbonyldiimidazole (CDI), in the presence of a base such as Et
3N or DIEA, in a solvent such as DMF, and was then reacted with alcohol (II-5) to give carbamate compound (II-6). Compound (II-6) was then coupled with a coupling reagent such a boronic acid or a boronate or a stannyl reagent (I-7) with a catalyst such as Pd(dppf)Cl
2 DCM, a base such as Cs
2CO
3 or K
3PO
4 in a solvent such as DMF-water or dioxane-water to produce Formula I while L = NHC(O)O, n = 2. Alternatively, compound (I-14) was coupled with a coupling reagent such a boronic acid or a boronate or a stannyl reagent (I-7) with a catalyst such as Pd(dppf)Cl
2 DCM, a base such as Cs
2CO
3 or K
3PO
4 in a solvent such as DMF-water or dioxane-water to give a Boc-protected compound (I-13). Deprotecting Boc by treating compound (I-13) with acid such as TFA in a solvent such as methylene chloride gave compound (I-15). Compound (I-15) was first treated with 1,1′-carbonyldiimidazole (CDI), in the presence of a base such as Et
3N or DIEA, in a solvent such as DMF, and was then reacted with alcohol (II-4) to produce Formula I while L = NHC(O)O, n = 2. [00279] Examples Intermediate A: ethyl 2-bromopyrazolo[3,2-b][1,3]thiazole-7-carboxylate
Step a: 5-bromo-2-methyl-1,3-thiazole
[00280] Into a 2-L 4-necked round-bottom flask, was placed 2-methyl-thiazole (150.00 g, 1361.56 mmol), DMF (1.17 L), NBS (290.8 g, 1633.89 mmol). The resulting solution was stirred for 8 h at room temperature. The reaction was then quenched by the addition of 1500 mL of water. The resulting solution was extracted with 3x500 mL of Et
2O and the organic layer was concentrated. The product was precipitated by the addition of n- heptane (300 mL). The solids were collected by filtration. This resulted in 99 g (40.8%) of 5- bromo-2-methyl-1,3-thiazole as a brown solid. LC-MS: (ES, m/z): [M+H]
+=178 Step b: ethyl 2-(5-bromo-1,3-thiazol-2-yl)acetate
[00281] Into a 2-L 4-necked round-bottom flask, was placed 5-bromo-2-methyl-1,3- thiazole (99.00 g, 556.02 mmol), THF (1100 mL). This was followed by the addition of LiHMDS (667.23 mL, 667.23 mmol) dropwise with stirring at -60°C in 30 min. Diethyl carbonate (75.64 g, 667.23 mmol) was added dropwise to the mixture with stirring at -60°C in 30 min. The resulting solution was stirred for 1 h at room temperature. The reaction was then quenched by the addition of 1100 mL of water. The resulting solution was extracted with 3x500 mL of ethyl acetate and the organic layer was concentrated. The residue was purified by a silica gel column with ethyl acetate/petroleum ether (1:50). The fractions were combined and concentrated to give 40.1 g (28.8%) of ethyl 2-(5-bromo-1,3-thiazol-2-yl)acetate as a yellow solid. LC-MS: (ES, m/z): [M+H]
+=250 Step c: 3-amino-5-bromo-2-(2-ethoxy-2-oxoethyl)-1,3-thiazol-3-ium 2,4,6- trimethylbenzenesulfonate
[00282] (Z)-(ethyl N-[(2,4,6-trimethylbenzenesulfonyl)oxy]ethanimidate) (51.34 g, 179.92 mmol) was added at 0°C was added to a mixture of TFA (235.15 g, 2398.9 mmol) and ice water (50 mL) at 0°C and stirred for 1.5 h. Ice water (300 mL) was then added. The solid was collected by filtration. The solid was dissolved into DCM and dried with anhydrous Na
2SO
4. Then the organic phase was collected through filtration, a solution of ethyl 2-(5- bromo-1,3-thiazol-2-yl)acetate (40.1 g, 160.32 mmol) in DCM (300 mL) was added dropwise. Then the resulting solution was stirred at r.t for 1.5 h. The white precipitate was collected by filtration, washed with MTBE (1x50 mL), dried to give 39.5 g (91.3%) of 3- amino-5-bromo-2-(2-ethoxy-2-oxoethyl)-1,3-thiazol-3-ium 2,4,6-trimethylbenzenesulfonate as a white solid. LC-MS: (ES, m/z): [M+H]
+=265 Step d: ethyl 2-bromopyrazolo[3,2-b][1,3]thiazole-7-carboxylate (Intermediate A)
[00283] 3-amino-5-bromo-2-(2-ethoxy-2-oxoethyl)-1,3-thiazol-3-ium 2,4,6- trimethylbenzenesulfonate (39.50 g, 84.87 mmol), triethyl orthoformate (150 mL) was placed into a 500-mL round-bottom flask. The resulting solution was stirred for 2 h at 120°C and concentrated. The residue was purified by a silica gel column with ethyl acetate/petroleum ether (1:50). The fractions were combined, concentrated, dried to give 9.0 g (38.6%) of ethyl 2-bromopyrazolo[3,2-b][1,3]thiazole-7-carboxylate as a light pink solid. LC-MS: (ES, m/z): 275 [M+H]
+ ;
1H-NMR: (300 MHz, CDCl
3, ppm): δ 8.21 (s, 1H), 7.86 (s, 1H), 4.36 (q, J = 7.1 Hz, 2H), 1.40 (t, J = 7.1 Hz, 3H). Example 1, N-(5-((2-(2,2-dimethylpyrrolidin-1-yl)ethyl)carbamoyl)-2-methylpyridin-3- yl)-2-(3-methoxy-1-methyl-1H-pyrazol-4-yl)pyrazolo[5,1-b]thiazole-7-carboxamide
Step a: 2-(2, 2-dimethylpyrrolidin-1-yl)acetonitrile
[00284] To a solution of 2,2-dimethylpyrrolidine (20 g, 201 mmol) and potassium carbonate (55.74 g, 403 mmol) in DMF (130 mL) was added 2-bromoacetonitrile (15.4 mL, 221 mmol) at room-temperature. The resulting mixture was stirred at 30 °C for 12 h. The reaction was concentrated under reduced pressure to give crude product, which was purified by column chromatography over silica gel (eluent: ethyl acetate: methanol = 7:3) to give the title compound 2-(2, 2-dimethylpyrrolidin-1-yl)acetonitrile (22 g, 79%) as a pale yellow oil.
1H NMR (400 MHz, DMSO-d6) δ 3.50 (s, 2H), 2.81 - 2.86 (m, 2H), 1.69 - 1.77 (m, 2H), 1.56 - 1.62 (m, 2H), 0.98 (s, 6 H). Step b: 2-(2,2-dimethylpyrrolidin-1-yl)ethanamine
[00285] To a solution of 2-(2, 2-dimethylpyrrolidin-1-yl)acetonitrile (22 g, 159.18 mmol) in THF (400 mL) was added lithium aluminium hydride (7.25 g, 191.01 mmol) by portions at 0 °C (ice/water).The resultant mixture was stirred at 20 °C for 4 hours before quenched with water (7.25 g) at 0 °C. The reaction mixture was filtered. And the filtration was concentrated to dryness under reduced pressure to afford the crude product 2-(2, 2- dimethylpyrrolidin-1-yl)ethanamine a yellow oil.
1H NMR (400 MHz, DMSO-d6) δ 2.71 - 2.81 (m, 2H), 2.63 - 2.71 (m, 2H), 2.44 - 2.50 (m, 2H), 1.71 - 1.82 (m, 2H), 1.59 - 1.69 (m, 2H), 0.96 - 1.02 (m, 6H). Step c: 2-Bromopyrazolo[5,1-b]thiazole-7-carboxylic acid
[00286] To a solution of ethyl 2-bromopyrazolo[5,1-b]thiazole-7-carboxylate (3.1 g, 11.3 mmol) in ethanol (6 mL) was added sodium hydroxide (11.3 ml, 2M in water, 22.6 mmol) at room temperature. The reaction mixture was stirred at 40 °C for 16 h before cooling to room-temperature. The mixture was adjusted to pH=3~4 with HCl (aq, 2 M). The mixture was filtered and washed with water (10 mL x 3). The solid was evaporated under vacuum to give the desired product 2- bromopyrazolo[5,1-b]thiazole-7-carboxylic acid (2.8 g, 97%) as white solid. LCMS (ESI): mass calcd. for C
6H
3BrN
2O
2S, 245.9; m/z found, 247 [M+H]
+. Step d: Ethyl 5-(2-bromopyrazolo[5,1-b]thiazole-7-carboxamido)-6-methylnicotinate
[00287] A mixture of 2-bromopyrazolo[5,1-b]thiazole-7-carboxylic acid (1g, 4.04mmol) in thionyl chloride (28ml, 393mmol) was stirred at 70 °C. After stirred for 1 h at 70 °C, the reaction mixture was concentrated under vacuum to give the crude product 2- bromopyrazolo[5,1-b]thiazole-7-carbonyl chloride as white solid. To a solution of ethyl 5- amino-6-methylnicotinate (680 mg, 3.8 mmol), TEA (2.1 ml, 15.0 mmol) in THF (10 mL) was added 2-bromopyrazolo[5,1-b]thiazole-7-carbonyl chloride (1 g, 3.8 mmol) at room- temperature. The resulting mixture was stirred at room-temperature for 1 h before quenched with cooled H
2O. The mixture was extracted with ethyl acetate (30ml*3). The organic extracts were dried over anhydrous Na
2SO
4 and filtered. The filtration was concentrated under reduced pressure to give crude product, which was purified by column chromatography over silica gel (eluent: petroleum ether: ethyl acetate = 3:1) to give the title compound ethyl 5-(2-bromopyrazolo[5,1-b]thiazole-7-carboxamido)-6-methylnicotinate (800 mg, 52%) as a yellow solid. LCMS (ESI): mass calcd. for C
15H
13BrN
4O
3S, 409; m/z found, 411 [M+H]
+.
1H NMR (400 MHz, CDCl
3) δ 8.93 (d, J=1.76 Hz, 1H), 8.79(d, J=1.76 Hz, 1H), 8.08 (s, 1H), 7.88 (s, 1H), 7.33 (s, 1H), 4.34 - 4.43 (m, 2H), 2.64 (s, 3H), 1.39 (t, J=7.17 Hz, 3H). Step e: 3-methoxy-1-methyl-4-(4,4,5,5-tetramethyl-1,3,2-dioxaborolan-2-yl)-1H-pyrazole

[00288] To 40 mL of thread vial with magnetic stirrer was added 4-bromo-3- methoxy-1-methyl-1H-pyrazole (0.8 g, 4.19 mmol), 4,4,4',4',5,5,5',5'-octamethyl-2,2'- bi(1,3,2-dioxaborolane) (1.276 g, 5.03 mmol), KOAc (1.356 g, 13.82 mmol), Xphos-Pd-G4 (0.288 g, 0.335 mmol) and Dioxane (15 mL) at room temperature. The reaction mixture was purged with N2 for 2 minutes. Then the reaction mixture was stirred at 95°C overnight. The mixture was concentrated under vacuum to give the product as black solid. The black solid was purified by silica gel column chromatography (eluent: petroleum ether: ethyl acetate=100/0 to petroleum ether: ethyl acetate=40/60). The fractions were collected and the solvent was removed to give the title compound as brown solid (300 mg, 30.1 % yield). LCMS (ESI): mass calcd. for C
11H
19BN
2O
3, 238.1; m/z found, 239.2 [M+H]
+. Step f: 5-(2-(3-methoxy-1-methyl-1H-pyrazol-4-yl)pyrazolo[5,1-b]thiazole-7- carboxamido)-6-methylnicotinic acid
[00289] Methyl 5-(2-bromopyrazolo[5,1-b]thiazole-7-carboxamido)-6- methylnicotinate (400 mg, 1.01 mmol), 3-methoxy-1-methyl-4-(4,4,5,5-tetramethyl-1,3,2- dioxaborolan-2-yl)-1H-pyrazole (289.16 mg, 1.21 mmol), cesium carbonate (989.25 mg, 3.04 mmol), Pd(dppf)Cl
2·CH
2Cl
2 (247.95 mg, 0.30 mmol), dioxane (16 mL) and H
2O (4 mL) were added to 50 mL three-necked round bottom flask equipped with magnetic stirrer under an atmosphere of nitrogen. The resulting mixture was heated at 95 °C overnight. The mixture was concentrated under vacuum to give the product as black solid. The mixture was adjusted to pH=3~4 with HCl (aq, 2 M). The mixture was filtered. The residue was washed with H
2O (10 mL x 3). [00290] The solid was evaporated under vacuum to give the title compound as black solid. LCMS (ESI): mass calcd. for C
17H
16N
6O
4S, 412.4; m/z found, 413.1 [M+H]
+. Step g: N-(5-((2-(2,2-dimethylpyrrolidin-1-yl)ethyl)carbamoyl)-2-methylpyridin- 3-yl)-2-(3-methoxy-1-methyl-1H-pyrazol-4-yl)pyrazolo[5,1-b]thiazole-7-carboxamide

[00291] 5-(2-(3-methoxy-1-methyl-1H-pyrazol-4-yl)pyrazolo[5,1-b]thiazole-7- carboxamido)-6-methylnicotinic acid (100 mg, 0.24 mmol),2-(2,2-dimethylpyrrolidin-1- yl)ethanamine (39.28 mg, 0.28 mmol), N-ethyl-N-isopropylpropan-2-amine (94.53 mg, 0.73 mmol), N,N-dimethylformamide (4 mL) and 2-(3H-[1,2,3]triazolo[4,5-b]pyridin-3-yl)- 1,1,3,3-tetramethylisouronium hexafluorophosphate(V) (140.24 mg, 0.37 mmol) were added a 8 mL thread vial equipped with magnetic stirrer at r.t.. The reaction was stirred at r.t. for 0.5h. The reaction was concentrated under vacuum to give the crude product as a yellow solid. Then the yellow solid was purified by Prep-HPLC: Column:Phenomenex C1875*30 mm*3um Condition: A: water(FA) B: MeCN; at the beginning: A (95%)and B (5%),at the end: A (65%) and B (35%), Gradient Time(min) 7; 100%B Hold Time(min) 1.8; Flow Rate(ml/min) 25. The pure fractions were collected and the solvent was evaporated under vacuum, lyophilized to dryness to give the title compound (28.1 mg, 20.1% yield) as a white solid. LCMS (ESI): mass calcd. for C
26H
32N
8O
3S, 536.6; m/z found, 537.3 [M+H]
+.
1H NMR (400MHz, METHANOL-d4) δ = 8.80 (d, J=1.8 Hz, 1H), 8.41 - 8.34 (m, 2H), 8.10 (s, 1H), 7.84 (s, 1H), 4.02 (s, 3H), 3.79 (s, 3H), 3.34 - 3.32 (m, 2H), 2.63 (s, 3H), 2.18 - 2.02 (m, 4H), 1.57 - 1.19 (m, 10H). [00292] The following tabulated Examples were prepared by a similar method of Example 1 from the appropriate starting materials
Example 47. N-(5-(2-(2,2-dimethylpyrrolidin-1-yl)acetamido)-2-methylpyridin-3-yl)-2- (6-fluoropyridin-3-yl)pyrazolo[5,1-b]thiazole-7-carboxamide
Step a: tert-butyl (6-methyl-5-nitropyridin-3-yl)carbamate

[00293] To a solution of 5-bromo-2-methyl-3-nitropyridine (22.0 g, 101 mmol), tert-butyl carbamate (14.2 g, 122 mmol) and cesium carbonate (46.2 g, 142 mmol) in dioxane (500 mL) was added dicyclohexyl (2',4',6'-triisopropyl-[1,1'-biphenyl]-2-yl)phosphine (21.7 g, 45.6 mmol) and tris(dibenzylideneacetone) dipalladium(0) (13.9 g, 15.2 mmol) under nitrogen at room-temperature. The resulting mixture was stirred at 100 °C for 16 h. the mixture was cooled to room temperature and evaporated in vacuum to afford crude product as black solid. The residue was purified by silica gel column chromatography (eluent: petroleum ether/ethyl acetate=100:0 to 70:30). The desired fractions were collected, and the solvent was concentrated to dryness under vacuum to afford the crude product. Petroleum ether (500 mL) was added to the crude product. The mixture was stirred at room temperature for 30 min. The mixture was filtered, the filtered cake was washed with petroleum ether (200 mL*2). The filter cake was dried in vacuum to afford desired product tert-butyl (6-methyl-5- nitropyridin-3-yl)carbamate (19.9 g, 100%)as white solid. LCMS (ESI): mass calcd. for C
11H
15N
3O
4, 253.2; m/z found, 254.0 [M+H]+. Step b: tert-butyl (5-amino-6-methylpyridin-3-yl)carbamate
[00294] To a solution of tert-butyl (6-methyl-5-nitropyridin-3-yl)carbamate (5.0 g, 19.7 mmol) in methanol (50 mL) was added palladium 10% on activated carbon (1.66 g, 1.56 mmol) under nitrogen at room-temperature. The resulting mixture was hydrogenated at 25°C (atmospheric pressure) for 16 h. The reaction mixture was filtered and the filtrate was evaporated under vacuum to afford desired product tert-butyl (5-amino-6-methylpyridin-3-yl)carbamate (4.8 g, 92%) as white solid. LCMS (ESI): mass calcd. for C
11H
17N
3O
2, 223.2; m/z found, 224.1 [M+H]+. Step c: tert-butyl (5-(2-bromopyrazolo[5,1-b]thiazole-7-carboxamido)-6-methylpyridin- 3-yl)carbamate

[00295] To a solution of 2-bromopyrazolo[5,1-b]thiazole-7-carboxylic acid (4.5 g, 18.08 mmol) in thionyl chloride(40 mL), The resulting mixture was stirred at 70 °C for 1 h before cooling to room-temperature. The reaction mixture was concentrated under vacuum to give the crude product as white solid 2-bromopyrazolo[5,1-b]thiazole-7-carbonyl chloride. To a solution of tert-butyl (5-amino-6-methylpyridin-3-yl)carbamate (3.6 g, 16.1 mmol) and TEA (6.73 ml, 48.3 mmol) in THF (720 mL) was added 2-bromopyrazolo[5,1-b]thiazole-7- carbonyl chloride at room-temperature, The resulting mixture was stirred at 95 °C for 16 h before cooling to room-temperature. The resulting mixture was evaporated in vacuum to afford crude product. The residue was purified by silica gel column chromatography (eluent: petroleum ether/ethyl acetate/methanol=100:0:0 to 0:90:10). The desired fractions were collected and the solvent was concentrated to dryness under vacuum to afford desired product tert-butyl (5-(2-bromopyrazolo[5,1-b]thiazole-7-carboxamido)-6-methylpyridin-3- yl)carbamate (6.4 g, 85 %) as a yellow solid. LCMS (ESI): mass calcd. for C
17H
18BrN
5O
3S, 452.3; m/z found, 453. [M+H]+. Step d: tert-butyl (5-(2-(6-fluoropyridin-3-yl)pyrazolo[5,1-b]thiazole-7-carboxamido)-6- methylpyridin-3-yl)carbamate
[00296] A 100 ml three-necked round bottom flask equipped with magnetic stirrer. To a solution of tert-butyl (5-(2-bromopyrazolo[5,1-b]thiazole-7-carboxamido)-6- methylpyridin-3-yl)carbamate (500 mg, 1.11 mmol), 2-fluoro-5-(4,4,5,5-tetramethyl-1,3,2-dioxaborolan-2-yl)pyridine (300 mg, 1.35 mmol), Pd(dppf)Cl
2·CH
2Cl
2 (275 mg, 0.34 mmol) and K
2CO
3 (462.5 mg, 3.35 mmol) at room temperature. Then dioxane (20 mL) and H
2O (5 mL) was added. The reaction mixture was under N2 atmosphere and stirred at 80°C for 14 hrs. The product was purified by silica gel chromatography (DCM/MeOH from 100/0 to 95/5). The product fractions were collected and the solvent was evaporated to give the desired product tert-butyl (5-(2-(6-fluoropyridin-3- yl)pyrazolo[5,1-b]thiazole-7-carboxamido)-6-methylpyridin-3-yl)carbamate as a brown solid. LCMS (ESI): mass calcd. for C
22H
21FN
6O
3S, 468.5; m/z found, 469.0 [M+H]
+. Step e: N-(5-amino-2-methylpyridin-3-yl)-2-(6-fluoropyridin-3-yl)pyrazolo[5,1- b]thiazole-7-carboxamide
[00297] To the mixture of tert-butyl (5-(2-(6-fluoropyridin-3-yl)pyrazolo[5,1- b]thiazole-7-carboxamido)-6-methylpyridin-3-yl)carbamate (260 mg, 0.56 mmol) in DCM (10 mL) and HCl/dioxane (1.67 mL, 6.66 mmol) was added, and the vial was sealed with a rubber septum. The resulting mixture was stirred at r.t. for 7 h. The reaction mixture was concentrated to give yellow solid. The yellow solid was used next step without purification. LCMS (ESI): mass calcd. for C
17H
13FN
6OS, 368.4; m/z found, 369.1 [M+H]
+. Step f: N-(5-(2-chloroacetamido)-2-methylpyridin-3-yl)-2-(6-fluoropyridin-3- yl)pyrazolo[5,1-b]thiazole-7-carboxamide
[00298] To the mixture of N-(5-amino-2-methylpyridin-3-yl)-2-(6-fluoropyridin-3- yl)pyrazolo[5,1-b]thiazole-7-carboxamide (250 mg, 0.57 mmol) in DMF (10 mL) was added NaHCO
3 (105 mg, 1.25 mmol) ,then 2-chloroacetyl chloride (74 µL, 0.94 mmol) was added at 0 °C. The mixture was warmed at 25 °C 2h. The reaction mixture was extracted with ethyl acetate (40 mL). The resulting solution was concentrated to give brown solid. LCMS (ESI): mass calcd. for C
19H
14ClFN
6O
2S, 444.9; m/z found, 445.1 [M+H]
+. Step g: N-(5-(2-(2,2-dimethylpyrrolidin-1-yl)acetamido)-2-methylpyridin-3-yl)-2- (6-fluoropyridin-3-yl)pyrazolo[5,1-b]thiazole-7-carboxamide
[00299] To a solution of N-(5-(2-chloroacetamido)-2-methylpyridin-3-yl)-2-(6- fluoropyridin-3-yl)pyrazolo[5,1-b]thiazole-7-carboxamide (400 mg, 0.36 mmol), 2,2- dimethylpyrrolidine (118 mg, 1.19 mmol), K
2CO
3 (317 mg, 2.29 mmol) and NaI (73 mg, 0.487 mmol) in DMF (10 mL) was stirred at 50°C for 12 hours. The reaction mixture was concentrated to give black oil. The black oil was purified by silica gel column chromatography (eluent: DCM/MeOH from 100:0 to 95:5). The fractions were collected and the solvent was removed to give brown oil. The brown oil was purified with high-performance liquid chromatography: (Column: Xtimate C18 150*40mm*5um, Condition: water (HCl)-CAN, Begin B: 1%, End B: 28%, Gradient Time(min): 10, 100%B Hold Time(min): 2, FlowRate(ml/min): 60). The eluent was concentrated to remove organic solvents. The residual aqueous solution was lyophilized to give N-(5-(2-(2,2-dimethylpyrrolidin-1-yl)acetamido)-2-methylpyridin-3-yl)-2-(6- fluoropyridin-3-yl)pyrazolo[5,1-b]thiazole-7-carboxamide as a brown solid (25 mg, 13.4% yield). LCMS (ESI): mass calcd. for C
25H
26CFN
7O
2S, 507.6; m/z found, 508.2 [M+H]
+.
1H NMR (400 MHz, METHANOL-d4) δ ppm 9.11 (d, J=2.03 Hz, 1 H), 8.87 (d, J=2.03 Hz, 1 H), 8.68 (s, 1 H), 8.57 - 8.61 (m, 2 H), 8.31 (ddd, J=8.55, 7.30, 2.62 Hz, 1 H), 7.25 (dd, J=8.64, 2.56 Hz, 1 H), 4.44 (d, J=15.97 Hz, 1 H), 4.05 - 4.18 (m, 2 H), 3.42 (br dd, J=10.37, 5.01 Hz, 1 H), 2.80 (s, 3 H), 2.24 (br d, J=4.77 Hz, 1 H), 2.10 - 2.20 (m, 3 H), 1.59 (s, 3 H), 1.42 (s, 3 H) [00300] The following tabulated Examples were prepared by a similar method of Example 47 from the appropriate starting materials
Example 53, (S)-(1-methylpyrrolidin-2-yl)methyl (5-(2-(1-(2-methoxyethyl)-1H-pyrazol- 4-yl)pyrazolo[5,1-b]thiazole-7-carboxamido)-6-methylpyridin-3-yl)carbamate
Step a: tert-butyl (5-(2-(1-(2-methoxyethyl)-1H-pyrazol-4-yl)pyrazolo[5,1- b]thiazole-7-carboxamido)-6-methylpyridin-3-yl)carbamate
[00301] To a mixture of tert-butyl (5-(2-bromopyrazolo[5,1-b]thiazole-7- carboxamido)-6-methylpyridin-3-yl)carbamate(250 mg, 0.55 mmol), 1-(2-methoxyethyl)-4- (4,4,5,5-tetramethyl-1,3,2-dioxaborolan-2-yl)-1H-pyrazole (209 mg, 0.83 mmol), and K
2CO
3 (229.16 mg, 1.66 mmol) in 1,4-dioxane (2.4 mL) and water (0.6 mL) was added 1,1'- bis(diphenylphosphino)ferrocene-palladium(II)dichloride dichloromethane complex (90.27 mg, 0.11 mmol). The reaction was thoroughly flushed with argon before being capped and heated at 100 °C for 25 h. The reaction was diluted with MeOH (25 mL) and silica gel (3 g) was added. All solvents were removed in vacuo. The silica gel mesh was loaded on a Redi Sep Rf silica gel cartridge (40 g) eluting with EtOAc over 10 min then MeOH/EtOAc (0 - 30%) over 15 min to afford the product, tert-butyl (5-(2-(1-(2-methoxyethyl)-1H-pyrazol-4- yl)pyrazolo[5,1-b]thiazole-7-carboxamido)-6-methylpyridin-3-yl)carbamate, as a tan solid (170 mg). LCMS (ESI): mass calcd. for C
23H
27N
7O
4S, 497.2; m/z found, 498.2 [M+H]
+. Step b: N-(5-amino-2-methylpyridin-3-yl)-2-(1-(2-methoxyethyl)-1H-pyrazol-4- yl)pyrazolo[5,1-b]thiazole-7-carboxamide
[00302] To a solution of tert-butyl (5-(2-(1-(2-methoxyethyl)-1H-pyrazol-4- yl)pyrazolo[5,1-b]thiazole-7-carboxamido)-6-methylpyridin-3-yl)carbamate (170 mg, 0.34 mmol) in DCM (2 mL) was added HCl (4M in dioxane) (0.43 mL, 4 M, 1.71 mmol). The reaction mixture was stirred at 25 °C for 96 h. All solvents were removed in vacuo to afford the HCl salt of the product, N-(5-amino-2-methylpyridin-3-yl)-2-(1-(2-methoxyethyl)-1H- pyrazol-4-yl)pyrazolo[5,1-b]thiazole-7-carboxamide, as a tan solid (quantitative yield). The product was used without any further purification. LCMS (ESI): mass calcd. for C
18H
19N
7O
2S, 397.1; m/z found, 398.2 [M+H]
+;
1H NMR (400 MHz, DMSO-d6) δ ppm 2.52 (s, 3 H), 3.26 (s, 3 H), 3.73 (t, J=1.00 Hz, 2 H), 4.30 (t, J=1.00 Hz, 2 H), 6.47 (br s, 3 H), 7.77 (d, J=1.00 Hz, 1 H), 7.84 (d, J=1.00 Hz, 1 H), 7.91 (s, 1 H), 8.23 (s, 1 H), 8.62 (s, 1 H), 8.65 (s, 1 H), 10.32 (s, 1 H). Step c. (S)-(1-methylpyrrolidin-2-yl)methyl (5-(2-(1-(2-methoxyethyl)-1H- pyrazol-4-yl)pyrazolo[5,1-b]thiazole-7-carboxamido)-6-methylpyridin-3-yl)carbamate
[00303] A 2-5 mL microwave vial, equipped with a stir bar, was charged with N-(5- amino-2-methylpyridin-3-yl)-2-(1-(2-methoxyethyl)-1H-pyrazol-4-yl)pyrazolo[5,1- b]thiazole-7-carboxamide (77.6 mg, 0.18 mmol), THF (3 mL, 0.886 g/mL, 36.862 mmol), N,N-diisopropylethylamine (0.2 mL, 0.742 g/mL, 1.137 mmol), and 1,1'-carbonyldiimidazole (59.1 mg, 0.364 mmol). A nitrogen atmosphere was established [N
2 gas blown over the headspace]. The vial was sealed with a cap. An argon inlet was used, and the reaction proceeded at 21 °C. After 23 h, Solvent was removed in vacuo. The residue was dissolved in DMF (3 mL), and the mixture was transferred to a 2-5 mL microwave vial, equipped with a stir bar. A nitrogen atmosphere was established [N
2 gas blown over the headspace]. The vial was sealed with a cap. N-Methyl-l-prolinol (0.2 mL, 1.03 g/mL, 1.753 mmol) was added. The mixture was irradiated in a Biotage Initiator+ microwave reactor at 70 °C for 1 h and allowed to cool to room temperature. Solvent was removed under reduced pressure. The crude was purified by HPLC to give the title compound (40.7 mg, 41.7% yield) as white solid. LCMS (ESI): mass calcd. for C
25H
30N
8O
4S, 538.6; m/z found, 539.2 [M+H]
+;
1H NMR (DMSO-d6, 400 MHz) δ (ppm) 9.8-9.9 (m, 2H), 8.59 (s, 1H), 8.50 (s, 1H), 8.42 (d, 1H, J=2.4 Hz), 8.22 (d, 1H, J=0.7 Hz), 7.96 (d, 1H, J=1.7 Hz), 7.90 (d, 1H, J=0.7 Hz), 4.30 (t, 2H, J=5.3 Hz), 4.0- 4.1 (m, 2H), 3.72 (t, 2H, J=5.3 Hz), 3.25 (s, 3H), 2.95 (br s, 1H), 2.4-2.5 (m, 1H), 2.38 (s, 3H), 2.33 (s, 3H), 2.1-2.2 (m, 1H), 1.8-2.0 (m, 1H), 1.5-1.7 (m, 3H) Example 54. N-(5-(2-(3,3-dimethylazetidin-1-yl)acetamido)-2-methylpyridin-3-yl)-2-(5- (hydroxymethyl)-3-methoxy-1-methyl-1H-pyrazol-4-yl)pyrazolo[5,1-b]thiazole-7- carboxamide
Step a: Methyl 3-methoxy-1-methyl-1H-pyrazole-5-carboxylate
[00304] To a mixture of methyl 5-hydroxy-1H-pyrazole-3-carboxylate (1.01 g, 7.11 mmol) and cesium carbonate (5.0 g, 15.41 mmol) under nitrogen was added DMF (10 mL) and the yellow-orange mixture was stirred at rt for 10 min, after which methyl iodide (1 mL, 16.06 mmol) was added rapidly dropwise to yield a milky mixture. After 50 min the reaction was poured into 10% LiCl and extracted 3x EtOAc. The combined organics were washed 3x brine, filtered through cotton, and concentrated to a yellow solid which was purified by flash column (0 - 100% EtOAc/heptane) to yield methyl 3-methoxy-1-methyl-1H-pyrazole-5- carboxylate as a white solid (0.92 g, 76%). LCMS (ESI): mass calcd. for C
7H
10N
2O
3, 170.2; m/z found, 171.1 [M+H]
+. Step b: (3-Methoxy-1-methyl-1H-pyrazol-5-yl)methanol
[00305] A clear yellow solution of methyl 3-methoxy-1-methyl-1H-pyrazole-5- carboxylate (0.92 g, 5.41 mmol) in THF (20 mL) under nitrogen was chilled on an ice bath and LAH (1 M/THF, 8 mL, 8 mmol) was added dropwise. The ice bath was removed, and the reaction was stirred at rt overnight. The reaction was chilled in an ice bath, diluted with an equal volume of ether, and cold water (0.49 mL) was added carefully.15% NaOH (0.49 ml) was added followed by cold water (1.5 mL) with vigorous stirring. The ice bath was removed, and the stirred mixture was allowed to warm to rt. MgSO
4 was added and stirring continued for 30 min. The mixture was filtered, the salts were washed 2x Et2O, and the clear colorless filtrate was concentrated to a crude oil which was purified by flash column (0 - 5% MeOH/DCM) to yield (3-methoxy-1-methyl-1H-pyrazol-5-yl)methanol (215 mg, 28%). LCMS (ESI): mass calcd. for C
6H
10N
2O
2, 142.2; m/z found, 171.1 [M+H]
+. Step c: 5-(((tert-Butyldimethylsilyl)oxy)methyl)-3-methoxy-1-methyl-1H- pyrazole
[00306] To a clear colorless solution of (3-methoxy-1-methyl-1H-pyrazol-5- yl)methanol (200 mg, 1.41 mmol) in DCM (50 mL) was added imidazole (287 mg, 4.22 mmol), tert-butyldimethylsilyl chloride (656 mg, 4.22 mmol), and DMAP (10 mg, 0.082 mmol) to yield a thick suspension which was stirred at rt for 1.25 h. The reaction was poured into water. The layers were separated, and organics washed once with water, once with brine, filtered through cotton, concentrated, and purified by flash column (0 - 50% EtOAc/heptane) to yield 5-(((tert-butyldimethylsilyl)oxy)methyl)-3-methoxy-1-methyl-1H- pyrazole (257 mg, 71%) as a clear colorless oil. LCMS (ESI): mass calcd. for C
12H
24N
2O
2Si, 256.4; m/z found, 257.2 [M+H]
+. Step d: 5-(((tert-Butyldimethylsilyl)oxy)methyl)-3-methoxy-1-methyl-4-(4,4,5,5- tetramethyl-1,3,2-dioxaborolan-2-yl)-1H-pyrazole
[00307] A mixture of bis(pinacolato)diboron (87 mg, 0.34 mmol), bis(1,5- cyclooctadiene)dimethoxydiiridium (9 mg, 0.014 mmol), and 3,4,7,8-tetramethyl-1,10- phenanthroline (8 mg, 0.034 mmol) in heptane (1.3 mL) under nitrogen in a capped 5 mL microwave vial was sparged with nitrogen for 10 min, then heated at 80°C for 1 h. A nitrogen-sparged solution of 5-(((tert-butyldimethylsilyl)oxy)methyl)-3-methoxy-1-methyl- 1H-pyrazole (57 mg, 0.22 mmol) in heptane (0.7 mL) was added and the reaction was heated for 20 h. The reaction was blown down under nitrogen and the crude 5-(((tert- butyldimethylsilyl)oxy)methyl)-3-methoxy-1-methyl-4-(4,4,5,5-tetramethyl-1,3,2- dioxaborolan-2-yl)-1H-pyrazole was used without purification in the next reaction. LCMS (ESI): mass calcd. for C
18H
35BN
2O
4Si, 382.4; m/z found, 383.3 [M+H]
+. Step e: N-(5-amino-2-methylpyridin-3-yl)-2-bromopyrazolo[5,1-b]thiazole-7- carboxamide
[00308] A solution of tert-butyl (5-(2-bromopyrazolo[5,1-b]thiazole-7- carboxamido)-6-methylpyridin-3-yl)carbamate (777 mg, 1.72 mmol) in 25% TFA/CH
2Cl
2 (25 mL) was stirred at 25 °C for 3 h. All solvents were removed in vacuo. The residue was taken up in toluene (25 mL) and all solvents were removed in vacuo (2x). The residue was dried under high vacuum to afford the TFA salt of the product, N-(5-amino-2-methylpyridin-3-yl)- 2-bromopyrazolo[5,1-b]thiazole-7-carboxamide, as a tan solid (quantitative yield). The product was used without further purification. LCMS (ESI): mass calcd. for C
12H
10BrN
5OS, 351.0/353.0; m/z found, 352.0/354.0 [M+H]
+.
1H NMR (400 MHz, DMSO-d6) δ ppm 2.45 (s, 3 H), 6.26 (br s, 2 H), 7.80 (d, J=1.00 Hz, 1 H), 7.83 (d, J=1.00 Hz, 1 H), 8.64 (s, 1 H), 8.82 (s, 1 H), 10.18 - 10.33 (m, 1 H). Step f: 2-bromo-N-(5-(2-chloroacetamido)-2-methylpyridin-3-yl)pyrazolo[5,1- b]thiazole-7-carboxamide
[00309] To a suspension of N-(5-amino-2-methylpyridin-3-yl)-2- bromopyrazolo[5,1-b]thiazole-7-carboxamide (605.10 mg, 1.72 mmol) in DCM (10 mL) was added Et
3N (0.72 mL, 0.73 g/mL, 5.15 mmol) followed by the addition of chloroacetyl chloride (0.15 mL, 1.42 g/mL, 1.89 mmol). The reaction was stirred at 25 °C under argon for 17 h. Another 0.5 equivalent of chloroacetyl chloride (0.076 mL, 1.42 g/mL, 0.95 mmol) was added. The reaction was maintained stirring at 25 °C under argon for 2 h. All solvents were removed in vacuo. The residue was taken up in toluene (25 mL) and all solvents were removed in vacuo. The residue was taken up in 20% MeOH/CH
2Cl
2 (25 mL) and silica gel (6 g). All solvents were removed in vacuo. The silica gel mesh was loaded on a SiliCycle silica gel cartridge (40 g) eluting with MeOH/CH
2Cl
2 (0 - 30%) over 30 min to afford a mixture of products. The mixture was taken up in 20% MeOH/CH
2Cl
2 (25 mL) and silica gel (6 g) and concentrated in vacuo. The silica gel mesh was loaded on a SiliCycle silica gel cartridge (40 g) eluting with 100% EtOAc over 30 min to afford the product, 2-bromo-N-(5- (2-chloroacetamido)-2-methylpyridin-3-yl)pyrazolo[5,1-b]thiazole-7-carboxamide, as a tan solid (402.9 mg). LCMS (ESI): mass calcd. for C
14H
11BrClN
5O
2S, 427.0/429.0; m/z found, 428.0/429.9 [M+H]
+.
1H NMR (400 MHz, DMSO-d6) δ ppm 2.40 (s, 3 H), 4.29 (s, 2 H), 8.14 (d, J=1.00 Hz, 1 H), 8.52 (d, J=1.00 Hz, 1 H), 8.62 (s, 1 H), 8.79 (s, 1 H), 9.93 (s, 1 H), 10.53 (s, 1 H). Step g: 2-bromo-N-(5-(2-(3,3-dimethylazetidin-1-yl)acetamido)-2-methylpyridin- 3-yl)pyrazolo[5,1-b]thiazole-7-carboxamide
[00310] A mixture of 2-bromo-N-(5-(2-chloroacetamido)-2-methylpyridin-3- yl)pyrazolo[5,1-b]thiazole-7-carboxamide (2 g, 4.67 mmol), 3,3-dimethylazetidine hydrochloride (0.68 g, 5.60 mmol), K
2CO
3 (2.58 g, 18.66 mmol), and NaI (250 mg) in DMF (25 mL) was heated at 50 °C for 23 h. The reaction was poured into water (450 mL) with stirring. The reaction was filtered and the collected precipitate was air dried then dried under high vacuum to afford the product, 2-bromo-N-(5-(2-(3,3-dimethylazetidin-1-yl)acetamido)- 2-methylpyridin-3-yl)pyrazolo[5,1-b]thiazole-7-carboxamide, as a tan solid (2.181 g). The product was used without further purification. LCMS (ESI): mass calcd. for C
19H
21BrN
6O
2S, 476.1/478.1; m/z found, 477.1/479.1 [M+H]
+.
1H NMR (400 MHz, DMSO-d6) δ ppm 1.20 (s, 6 H), 2.38 (s, 3 H), 3.04 (s, 4 H), 3.20 (s, 2 H), 8.13 (d, J=1.00 Hz, 1 H), 8.55 (d, J=1.00 Hz, 1 H), 8.60 (s, 1 H), 8.78 (s, 1 H), 9.81 (s, 1 H), 9.95 (s, 1 H). Step h: N-(5-(2-(3,3-dimethylazetidin-1-yl)acetamido)-2-methylpyridin-3-yl)-2- (5-(hydroxymethyl)-3-methoxy-1-methyl-1H-pyrazol-4-yl)pyrazolo[5,1-b]thiazole-7- carboxamide

[00311] To crude 5-(((tert-butyldimethylsilyl)oxy)methyl)-3-methoxy-1-methyl-4- (4,4,5,5-tetramethyl-1,3,2-dioxaborolan-2-yl)-1H-pyrazole (85 mg, 0.22 mmol) in a 5 mL microwave vial was added 2-bromo-N-(5-(2-(3,3-dimethylazetidin-1-yl)acetamido)-2- methylpyridin-3-yl)pyrazolo[5,1-b]thiazole-7-carboxamide (54 mg, 0.11 mmol), cesium carbonate (111 mg, 0.34 mmol), 1,1'-bis(diphenylphosphino)ferrocene- palladium(II)dichloride dichloromethane complex (17.5 mg, 0.021 mmol), 1,4-dioxane (1.4 mL), DMF (0.5 mL), and water (0.4 mL). The mixture was placed under vacuum, the vial was back-filled with nitrogen, and the mixture was sparged with nitrogen for 10 min then heated at 130°C in the microwave for 1 h. Tetrabutylammonium fluoride (0.57 mL, 1 M, 0.57 mmol) was added and the reaction was heated at 60°C for 90 min then cooled to rt, stirred with Si-trisamine for 20 min, and filtered. The crude product was purified by prep-HPLC (5% - 25% MeCN/water/0.1% TFA) followed by subsequent purification by prep-HPLC (15% - 40% MeCN/10 mM NH
4OH) to yield N-(5-(2-(3,3-dimethylazetidin-1-yl)acetamido)- 2-methylpyridin-3-yl)-2-(5-(hydroxymethyl)-3-methoxy-1-methyl-1H-pyrazol-4- yl)pyrazolo[5,1-b]thiazole-7-carboxamide (1.6 mg, 2.6%). LCMS (ESI): mass calcd. for C
25H
30N
8O
4S, 538.6; m/z found, 539.2 [M+H]
+.
1H NMR (METHANOL-d4) δ: 8.57 (d, J=2.4 Hz, 1H), 8.38 (s, 1H), 8.20 (d, J=2.4 Hz, 1H), 8.12 (s, 1H), 4.71 (s, 2H), 3.98 (s, 3H), 3.83 (s, 3H), 3.35 (s, 2H), 3.19 (s, 4H), 2.49 (s, 3H), 1.26 (s, 6H). Example 55. N-(5-(2-(3,3-dimethylazetidin-1-yl)acetamido)-2-methylpyridin-3-yl)-2-(2- (hydroxymethyl)-6,7-dihydro-5H-pyrazolo[5,1-b][1,3]oxazin-3-yl)pyrazolo[5,1- b]thiazole-7-carboxamide
Step a: Methyl 6,7-dihydro-5H-pyrazolo[5,1-b][1,3]oxazine-2-carboxylate
[00312] To a mixture of methyl 5-hydroxy-1H-pyrazole-3-carboxylate (520 mg, 3.66 mmol) and cesium carbonate (4.77 g, 14.64 mmol) in MeCN (25 mL) under nitrogen was added 1,3-dibromopropane (0.41 mL, 4.02 mmol) and the reaction was heated to 80°C overnight. The reaction was cooled to rt, filtered, and concentrated to an orange oil. The crude product was partitioned between EtOAc/water and the layers were separated. The organics were washed once with water, once with brine, filtered through cotton, and concentrated to methyl 6,7-dihydro-5H-pyrazolo[5,1-b][1,3]oxazine-2-carboxylate (421 mg, 63%) as a pale yellow solid which was used without purification in the next step. LCMS (ESI): mass calcd. for C
8H
10N
2O
3, 182.2; m/z found, 183.1 [M+H]
+. Step b: N-(5-(2-(3,3-dimethylazetidin-1-yl)acetamido)-2-methylpyridin-3-yl)-2- (2-(hydroxymethyl)-6,7-dihydro-5H-pyrazolo[5,1-b][1,3]oxazin-3-yl)pyrazolo[5,1- b]thiazole-7-carboxamide
[00313] From methyl 6,7-dihydro-5H-pyrazolo[5,1-b][1,3]oxazine-2-carboxylate was prepared N-(5-(2-(3,3-dimethylazetidin-1-yl)acetamido)-2-methylpyridin-3-yl)-2-(2- (hydroxymethyl)-6,7-dihydro-5H-pyrazolo[5,1-b][1,3]oxazin-3-yl)pyrazolo[5,1-b]thiazole-7- carboxamide according to Example 54, steps b – e. LCMS (ESI): mass calcd. for C
26H
30N
8O
4S, 550.6; m/z found, 551.3 [M+H]
+.
1H NMR (METHANOL-d4) δ: 8.41 (s, 2H), 8.13-8.31 (m, 1H), 4.47 (br s, 2H), 4.33 (s, 2H), 3.94-4.22 (m, 6H), 2.50-2.70 (m, 3H), 2.29 (br s, 2H), 1.27-1.56 (m, 7H). Example 56. N-(5-(2-(3,3-dimethylazetidin-1-yl)acetamido)-2-methylpyridin-3-yl)-2-(5- methoxy-1,3-dimethyl-1H-pyrazol-4-yl)pyrazolo[5,1-b]thiazole-7-carboxamide
Step a: 5-Methoxy-1,3-dimethyl-4-(4,4,5,5-tetramethyl-1,3,2-dioxaborolan-2-yl)- 1H-pyrazole
[00314] A mixture of bis(pinacolato)diboron (617 mg, 2.43 mmol), 3,4,7,8- tetramethyl-1,10-phenanthroline (47 mg, 0.2 mmol), and bis(1,5- cyclooctadiene)dimethoxydiiridium (59 mg, 0.089 mmol) under nitrogen in a capped 5 mL microwave vial was added 5 mL heptane and the mixture was sparged with nitrogen for 10 min. The reaction was heated at 80°C for one hour. A solution of 5-methoxy-1,3-dimethyl- 1H-pyrazole (200 mg, 1.59 mmol) in 2 mL heptane was sparged with nitrogen for 10 min and added to the reaction, which was heated at 80°C overnight, cooled to rt, filtered, concentrated, and purified by flash column (0 - 50% EtOAc/heptane) to yield 5-methoxy-1,3- dimethyl-4-(4,4,5,5-tetramethyl-1,3,2-dioxaborolan-2-yl)-1H-pyrazole (368 mg, 92%) as a yellow viscous oil. LCMS (ESI): mass calcd. for C
12H
21BN
2O
3, 252.1; m/z found, 253.1 [M+H]
+. Step b: N-(5-(2-(3,3-dimethylazetidin-1-yl)acetamido)-2-methylpyridin-3-yl)-2- (5-methoxy-1,3-dimethyl-1H-pyrazol-4-yl)pyrazolo[5,1-b]thiazole-7-carboxamide

[00315] A mixture of 2-bromo-N-(5-(2-(3,3-dimethylazetidin-1-yl)acetamido)-2- methylpyridin-3-yl)pyrazolo[5,1-b]thiazole-7-carboxamide (52 mg, 0.11 mmol), 5-methoxy- 1,3-dimethyl-4-(4,4,5,5-tetramethyl-1,3,2-dioxaborolan-2-yl)-1H-pyrazole (55 mg, 0.22 mmol), cesium carbonate (117 mg, 0.36 mmol), and 1,1'-bis(diphenylphosphino)ferrocene- palladium(II)dichloride dichloromethane complex (19 mg, 0.023 mmol) in 1,4-dioxane (2 mL) and water (0.5 mL) under nitrogen in a capped 5 mL microwave vial was sparged with nitrogen for 10 min then heated at 130°C in the microwave for 1 h. An additional charge of 5-methoxy-1,3-dimethyl-4-(4,4,5,5-tetramethyl-1,3,2-dioxaborolan-2-yl)-1H-pyrazole and 1,1'-bis(diphenylphosphino)ferrocene-palladium(II)dichloride dichloromethane complex was added, the reaction vial was evacuated, back-filled with nitrogen, and returned to microwave at 130°C for 1 h. The reaction was stirred with Si-trisamine for 25 min, then purified by prep- HPLC (5% - 25% MeCN/water/0.1% TFA). The product fractions were concentrated, dissolved in DMSO, basified with drops 10% NH
4OH and purified by prep-HPLC (20% - 40% MeCN/10 mM NH
4OH) to yield N-(5-(2-(3,3-dimethylazetidin-1-yl)acetamido)-2- methylpyridin-3-yl)-2-(5-methoxy-1,3-dimethyl-1H-pyrazol-4-yl)pyrazolo[5,1-b]thiazole-7- carboxamide (9.5 mg, 17%). LCMS (ESI): mass calcd. for C
25H
30N
8O
3S, 522.6; m/z found, 523.2 [M+H]
+.
1H NMR (METHANOL-d4) δ: 8.57 (d, J=1.5 Hz, 1H), 8.41 (s, 1H), 8.21 (d, J=2.0 Hz, 1H), 8.09 (s, 1H), 3.96 (s, 3H), 3.67 (s, 3H), 3.35 (s, 2H), 3.20 (s, 4H), 2.49 (s, 3H), 2.29 (s, 3H), 1.26 (s, 6H). [00316] The following tabulated Examples were prepared by a similar method of Example 56 from the appropriate starting materials
Example 62. N-(5-(2-(3,3-dimethylazetidin-1-yl)acetamido)-2-methylpyridin-3-yl)-2-(6- hydroxy-2-methyl-6,7-dihydro-5H-pyrazolo[5,1-b][1,3]oxazin-3-yl)pyrazolo[5,1- b]thiazole-7-carboxamide
Step a: 2-((1,3-Dibromopropan-2-yl)oxy)tetrahydro-2H-pyran
[00317] To a mixture of 1,3-dibromo-2-propanol (1 g, 4.59 mmol) and pyridinium p-toluenesulfonate (116.5 mg, 0.46 mmol) in THF (10 mL) under nitrogen in a 20 mL vial was added 3,4-dihydro-2H-pyran (0.78 mL, 9.18 mmol) and the reaction was stirred at rt overnight. The reaction was diluted with 50 mL EtOAc, washed 3x water then 1x brine, filtered through cotton, and concentrated to a clear colorless oil. The crude oil was purified by flash column (0 - 10% EtOAc/heptane) to yield 2-((1,3-dibromopropan-2- yl)oxy)tetrahydro-2H-pyran (1.23 g, 88%) as a clear colorless oil.
1H NMR (CHLOROFORM-d) δ: 4.79 (dd, J=4.2, 3.2 Hz, 1H), 3.99-4.06 (m, 1H), 3.90-3.98 (m, 1H), 3.62-3.72 (m, 2H), 3.51-3.60 (m, 3H), 1.71-1.91 (m, 2H), 1.55-1.70 (m, 3H), 1.50-1.54 (m, 1H). Step b: 2-Methyl-6-((tetrahydro-2H-pyran-2-yl)oxy)-6,7-dihydro-5H- pyrazolo[5,1-b][1,3]oxazine
[00318] A mixture of 3-methyl-1h-pyrazol-5-ol (275 mg, 2.8 mmol), 2-((1,3- dibromopropan-2-yl)oxy)tetrahydro-2H-pyran (1 g, 3.31 mmol), and K
2CO
3 (1.33 g, 9.65 mmol) in (15 mL) under nitrogen in a 50 mL rbf was heated at 100° for 15 h. The reaction was cooled to rt, poured into 10% LiCl, and extracted 4x EtOAc. The combined organics were washed 3x 10% LiCl, 3x brine, filtered through cotton, and concentrated to an orange oil which was purified by flash column (0 - 100% EtOAc/heptane) to yield 2-methyl-6- ((tetrahydro-2H-pyran-2-yl)oxy)-6,7-dihydro-5H-pyrazolo[5,1-b][1,3]oxazine as a clear oil (163 mg, 24%) which crystallizes overnight.
1H NMR (CHLOROFORM-d) δ: 5.30-5.33 (m, 1H), 4.79-4.89 (m, 1H), 4.09-4.35 (m, 5H), 3.76-3.93 (m, 1H), 3.51-3.60 (m, 1H), 2.19 (s, 3H), 1.68-1.89 (m, 2H), 1.47-1.67 (m, 6H). Step c: 2-Methyl-6-((tetrahydro-2H-pyran-2-yl)oxy)-3-(4,4,5,5-tetramethyl-1,3,2- dioxaborolan-2-yl)-6,7-dihydro-5H-pyrazolo[5,1-b][1,3]oxazine

[00319] A mixture of bis(pinacolato)diboron (263 mg, 1.03 mmol), bis(1,5- cyclooctadiene)dimethoxydiiridium (26.5 mg, 0.04 mmol), and 3,4,7,8-tetramethyl-1,10- phenanthroline (18.5 mg, 0.078 mmol) in Me-THF (3 mL) under nitrogen in a capped 5 mL microwave vial was sparged with nitrogen for 10 min and heated for 1 h at 80°C in a heating block. A nitrogen-sparged solution of 2-methyl-6-((tetrahydro-2H-pyran-2-yl)oxy)-6,7- dihydro-5H-pyrazolo[5,1-b][1,3]oxazine (163 mg, 0.68 mmol) in 2 mL Me-THF was added and heating was continued overnight. The reaction was cooled to rt, concentrated, and purified by flash column, (0 - 100% EtOAc/heptane) to yield 2-methyl-6-((tetrahydro-2H- pyran-2-yl)oxy)-3-(4,4,5,5-tetramethyl-1,3,2-dioxaborolan-2-yl)-6,7-dihydro-5H- pyrazolo[5,1-b][1,3]oxazine (228 mg, 92%) as an amber gum. LCMS (ESI): mass calcd. for C
18H
29BN
2O
5, 364.3; m/z found, 365.2 [M+H]+. Step d: N-(5-(2-(3,3-dimethylazetidin-1-yl)acetamido)-2-methylpyridin-3-yl)-2- (6-hydroxy-2-methyl-6,7-dihydro-5H-pyrazolo[5,1-b][1,3]oxazin-3-yl)pyrazolo[5,1- b]thiazole-7-carboxamide

[00320] A mixture of 2-bromo-N-(5-(2-(3,3-dimethylazetidin-1-yl)acetamido)-2- methylpyridin-3-yl)pyrazolo[5,1-b]thiazole-7-carboxamide (97.21 mg, 0.27 mmol), 2- methyl-6-((tetrahydro-2H-pyran-2-yl)oxy)-3-(4,4,5,5-tetramethyl-1,3,2-dioxaborolan-2-yl)- 6,7-dihydro-5H-pyrazolo[5,1-b][1,3]oxazine (97.21 mg, 0.27 mmol), cesium carbonate (169 mg, 0.52 mmol), and 1,1'-bis(diphenylphosphino)ferrocenedichloro palladium(II) (25.2 mg, 0.034 mmol) in 1,4-dioxane (1.6 mL) and water (0.5 mL) under nitrogen in a capped 5 mL microwave vial was sparged with nitrogen for 10 min then heated at 130°C for 1.25 h. An additional portion of 1,1'-bis(diphenylphosphino)ferrocenedichloro palladium(II) was added, the reaction was placed under vacuum, back-filled with nitrogen, and heated at 130°C in the microwave for 1 h. The reaction was stirred with Si-trisamine over the weekend, filtered, and purified by prep-HPLC, (5% - 30% MeCN/water/0.1% TFA). The product was dissolved in DMSO, basified with 10% NH
4OH, and purified by prep-HPLC (12% - 37% MeCN/10mM NH
4OH) to yield N-(5-(2-(3,3-dimethylazetidin-1-yl)acetamido)-2-methylpyridin-3-yl)-2-(6- hydroxy-2-methyl-6,7-dihydro-5H-pyrazolo[5,1-b][1,3]oxazin-3-yl)pyrazolo[5,1-b]thiazole- 7-carboxamide (7 mg, 10%) as an off-white solid. LCMS (ESI): mass calcd. for C
26H
30N
8O
4S, 550.6; m/z found, 551.2 [M+H]+.
1H NMR (METHANOL-d4) δ: 8.58 (br s, 1H), 8.37 (s, 1H), 8.20 (s, 1H), 8.01 (s, 1H), 4.34-4.50 (m, 3H), 4.27 (dd, J=12.7, 2.9 Hz, 1H), 4.04 (br d, J=12.2 Hz, 1H), 3.36 (br s, 2H), 3.20 (br s, 4H), 2.49 (s, 3H), 2.38 (s, 3H), 1.26 (s, 6H). [00321] Examples 63 was prepared by a similar method of Example 62 from the appropriate starting material
Example 64. N-(5-(2-(3,3-Dimethylazetidin-1-yl)acetamido)-2-methylpyridin-3-yl)-2- (4,5,6,7-tetrahydropyrazolo[1,5-a]pyrimidin-3-yl)pyrazolo[5,1-b]thiazole-7- carboxamide
Step a: 4,5,6,7-Tetrahydropyrazolo[1,5-a]pyrimidine
[00322] A solution of 1H-pyrazol-5-amine (611 mg, 7.35 mmol), 1,3- dibromopropane (0.75 mL, 7.35 mmol) and TEA (3.06 mL, 22.06 mmol) in 1,4-dioxane (12 mL) under nitrogen was heated at 100°C for 5 h. The reaction was filtered of a gummy precipitate, washing with dioxane, and concentrated to an oil which crystallizes to an off- white solid. The crude product was purified by flash column (0 - 5% MeOH/DCM) to yield 4,5,6,7-tetrahydropyrazolo[1,5-a]pyrimidine (373 mg, 41%) as a white solid.
1H NMR (CHLOROFORM-d) δ: 7.25 (d, J=2.0 Hz, 1H), 5.34 (d, J=2.0 Hz, 1H), 4.13 (t, J=6.4 Hz, 2H), 3.98 (br s, 1H), 3.29-3.34 (m, 2H), 2.15 (quin, J=5.9 Hz, 2H). Step b: tert-Butyl 6,7-dihydropyrazolo[1,5-a]pyrimidine-4(5H)-carboxylate
[00323] To a solution of 4,5,6,7-tetrahydropyrazolo[1,5-a]pyrimidine (373 mg, 3.03 mmol) in THF (5 mL) under nitrogen was added NaH (60% dispersion in mineral oil, 181.7 mg, 4.54 mmol) and the mixture was stirred at rt for 1 h. BOC-anhydride (0.99 g, 4.54 mmol) was added and the reaction was stirred at rt overnight. The reaction was poured into water and extracted 3x EtOAc. The combined organics were washed with brine, filtered through cotton and concentrated to yield a yellow oil which was purified by flash column (0 - 100% EtOAc/heptane) to yield tert-butyl 6,7-dihydropyrazolo[1,5-a]pyrimidine-4(5H)- carboxylate (162 mg, 24 %) as a colorless oil that crystalizes to an off-white solid.
1H NMR (CHLOROFORM-d) δ: 7.36 (d, J=2.0 Hz, 1H), 6.01-6.50 (m, 1H), 4.18 (t, J=6.1 Hz, 2H), 3.75-3.88 (m, 2H), 2.10-2.23 (m, 2H), 1.56 (s, 9H). Step c: (4-(tert-Butoxycarbonyl)-4,5,6,7-tetrahydropyrazolo[1,5-a]pyrimidin-3- yl)boronic acid

[00324] A mixture of bis(pinacolato)diboron (286 mg, 1.13 mmol), bis(1,5- cyclooctadiene)dimethoxydiiridium (26 mg, 0.039 mmol), and 3,4,7,8-tetramethyl-1,10- phenanthroline (22 mg, 0.093 mmol) in 2-MeTHF (3.5 mL) under nitrogen in a capped 5 mL nitrogen vial was sparged with nitrogen for 10 min and heated at 80°C for 1 h in a heating block. A nitrogen-sparged solution of tert-butyl 6,7-dihydropyrazolo[1,5-a]pyrimidine- 4(5H)-carboxylate (162 mg, 0.73 mmol) in 1.5 mL 2-MeTHF was added and the reaction was heated overnight. The reaction was cooled to rt, concentrated, taken up in DMSO, and stirred with Si-trisamine for 1 h, filtered, and purified by prep-HPLC (5% - 25% MeCN/10 mM NH4OH) to yield (4-(tert-butoxycarbonyl)-4,5,6,7-tetrahydropyrazolo[1,5-a]pyrimidin-3- yl)boronic acid (33 mg, 17%) as a white solid. LCMS (ESI): mass calcd. for C
11H
18BN
3O
4, 276.1; m/z found, 212.1 [M-tBu]. Step d: N-(5-(2-(3,3-Dimethylazetidin-1-yl)acetamido)-2-methylpyridin-3-yl)-2- (4,5,6,7-tetrahydropyrazolo[1,5-a]pyrimidin-3-yl)pyrazolo[5,1-b]thiazole-7- carboxamide

[00325] A mixture of 2-bromo-N-(5-(2-(3,3-dimethylazetidin-1-yl)acetamido)-2- methylpyridin-3-yl)pyrazolo[5,1-b]thiazole-7-carboxamide (35 mg, 0.073 mmol), (4-(tert- butoxycarbonyl)-4,5,6,7-tetrahydropyrazolo[1,5-a]pyrimidin-3-yl)boronic acid (32 mg, 0.12 mmol), cesium carbonate (72 mg, 0.22 mmol), and 1,1'- bis(diphenylphosphino)ferrocenedichloro palladium(II) (13 mg, 0.018 mmol) in 1,4-dioxane (1.6 mL) and water (0.5 mL) under nitrogen in a capped 5 mL microwave vial was sparged with nitrogen for 10 min and heated at 130°C in the microwave for 1 h. The reaction was stirred with Si-trisamine for 40 min, filtered, and purified by prep-HPLC (10% - 30% MeCN/water/0.1% TFA) to yield a pale yellow solid which was purified by prep-HPLC (5% - 25% MeCN/water/0.1% TFA) to yield N-(5-(2-(3,3-dimethylazetidin-1-yl)acetamido)-2- methylpyridin-3-yl)-2-(4,5,6,7-tetrahydropyrazolo[1,5-a]pyrimidin-3-yl)pyrazolo[5,1- b]thiazole-7-carboxamide (8 mg, 17%) as a white solid. LCMS (ESI): mass calcd. for C
25H
29N
9O
2S, 519.6; m/z found, 520.2 [M+H]+.
1H NMR (DMSO-d6) δ: 10.72 (s, 1H), 10.39-10.52 (m, 1H), 9.81 (s, 1H), 8.69 (s, 1H), 8.55 (d, J=2.4 Hz, 1H), 8.53 (s, 1H), 8.16 (d, J=2.0 Hz, 1H), 5.73 (s, 1H), 4.31 (br d, J=5.9 Hz, 2H), 4.00 (br t, J=6.1 Hz, 2H), 3.93 (br d, J=5.9 Hz, 4H), 3.15-3.21 (m, 2H), 2.46 (s, 3H), 1.96-2.06 (m, 2H), 1.35 (s, 3H), 1.25 (s, 3H). Example 65, N-(5-(1-(2,2-dimethylcyclopentyl)azetidine-3-carboxamido)-2- methylpyridin-3-yl)-2-(1-methyl-1H-pyrazol-4-yl)pyrazolo[5,1-b]thiazole-7- carboxamide
Step a. tert-butyl (6-methyl-5-(2-(1-methyl-1H-pyrazol-4-yl)pyrazolo[5,1- b]thiazole-7-carboxamido)pyridin-3-yl)carbamate
[00326] To a mixture of 2-(1-methyl-1H-pyrazol-4-yl)pyrazolo[5,1-b]thiazole-7- carboxylic acid (430 mg, 1.73 mmol) and tert-butyl (5-amino-6-methylpyridin-3- yl)carbamate (500 mg, 2.24 mmol) in pyridine (10 mL) was added EDCI (500 mg, 2.61 mmol). The reaction was stirred room temperature for 4 days. The reaction mixture was concentrated and the residue was diluted with EtOAc and washed with aq. NaHCO
3. The organic layer was dried over Na
2SO
4 and concentrated. The residue was purified with silica gel column (7% MeOH/CH
2Cl
2) to give tert-butyl (6-methyl-5-(2-(1-methyl-1H-pyrazol-4- yl)pyrazolo[5,1-b]thiazole-7-carboxamido)pyridin-3-yl)carbamate (717 mg, yield 91.3%). LCMS (ESI): mass calcd. for C
21H
23N
7O
3S, 453.2; m/z found, 454.2 [M+H]
+. Step b. N-(5-amino-2-methylpyridin-3-yl)-2-(1-methyl-1H-pyrazol-4- yl)pyrazolo[5,1-b]thiazole-7-carboxamide hydrochloride
[00327] To a suspension of tert-butyl (6-methyl-5-(2-(1-methyl-1H-pyrazol-4- yl)pyrazolo[5,1-b]thiazole-7-carboxamido)pyridin-3-yl)carbamate (717 mg, 1.58 mmol) in CH
2Cl
2 (16 mL) was added a solution of 4 N HCl in dioxane (8 mL, 32 mmol). The reaction was stirred at room temperature for 6 h. The reaction mixture was diluted with diethyl ether and the resulting mixture was filtered. The solid was washed with diethyl ether and dried to give N-(5-amino-2-methylpyridin-3-yl)-2-(1-methyl-1H-pyrazol-4-yl)pyrazolo[5,1- b]thiazole-7-carboxamide hydrochloride, which will be used in next step without purification. LCMS (ESI): mass calcd. for C
16H
15N
7OS, 353.1; m/z found, 354.1 [M+H]
+. Step c. tert-butyl 3-((6-methyl-5-(2-(1-methyl-1H-pyrazol-4-yl)pyrazolo[5,1- b]thiazole-7-carboxamido)pyridin-3-yl)carbamoyl)azetidine-1-carboxylate
[00328] A mixture of N-(5-amino-2-methylpyridin-3-yl)-2-(1-methyl-1H-pyrazol-4- yl)pyrazolo[5,1-b]thiazole-7-carboxamide hydrochloride (100 mg, 0.256 mmol), 1-(tert- butoxycarbonyl)azetidine-3-carboxylic acid (75 mg, 0.37 mmol), and EDCI (80 mg, 0.42 mmol) in pyridine (2 mL) was stirred at room temperature for 2 h. The reaction mixture was concentrated and the residue was purified with silica gel column (9%MeOH/CH
2Cl
2 with 0.45%NH
4OH) to give tert-butyl 3-((6-methyl-5-(2-(1-methyl-1H-pyrazol-4-yl)pyrazolo[5,1- b]thiazole-7-carboxamido)pyridin-3-yl)carbamoyl)azetidine-1-carboxylate (128 mg, yield 93.0%). LCMS (ESI): mass calcd. for C
25H
28N
8O
4S, 536.2; m/z found, 537.2 [M+H]
+. Step d. N-(5-(azetidine-3-carboxamido)-2-methylpyridin-3-yl)-2-(1-methyl-1H- pyrazol-4-yl)pyrazolo[5,1-b]thiazole-7-carboxamide
[00329] A solution of tert-butyl 3-((6-methyl-5-(2-(1-methyl-1H-pyrazol-4- yl)pyrazolo[5,1-b]thiazole-7-carboxamido)pyridin-3-yl)carbamoyl)azetidine-1-carboxylate (128 mg, 0.24 mmol) in TFA (0.5 mL) and CH
2Cl
2 (2.5 mL) was stirred at room temperature for 2 h. The reaction was concentrated to give crude N-(5-(azetidine-3-carboxamido)-2- methylpyridin-3-yl)-2-(1-methyl-1H-pyrazol-4-yl)pyrazolo[5,1-b]thiazole-7-carboxamide trifluoroacetate, which will be used in next step without purification. LCMS (ESI): mass calcd. for C
20H
20N
8O
2S, 436.1; m/z found, 437.1 [M+H]
+. Step e. N-(5-(1-(2,2-dimethylcyclopentyl)azetidine-3-carboxamido)-2- methylpyridin-3-yl)-2-(1-methyl-1H-pyrazol-4-yl)pyrazolo[5,1-b]thiazole-7- carboxamide
[00330] To a solution of N-(5-(azetidine-3-carboxamido)-2-methylpyridin-3-yl)-2- (1-methyl-1H-pyrazol-4-yl)pyrazolo[5,1-b]thiazole-7-carboxamide trifluoroacetate (44 mg, 0.08 mmol) and 2,2-dimethylcyclopentan-1-one (40 mg, 0.36 mmol) in MeOH (2 mL) was added NaCNBH
3 (25 mg, 0.40 mmol) at room temperature. The reaction was then heated at 55°C for 7 h. Additional 2,2-dimethylcyclopentan-1-one (20 mg, 0.178 mmol) and NaCNBH
3 (15 mg, 0.24 mmol) was added. The reaction was heated at 55°C for another 2 h. The reaction was quenched with aq. NaHCO3 and extracted with CH2Cl2. The organic layer was dried over Na
2SO
4 and concentrated. The residue was purified with silica gel column (10%MeOH/CH
2Cl
2 with 0.5%NH4OH) to give N-(5-(1-(2,2-dimethylcyclopentyl)azetidine- 3-carboxamido)-2-methylpyridin-3-yl)-2-(1-methyl-1H-pyrazol-4-yl)pyrazolo[5,1-b]thiazole- 7-carboxamide (21 mg, yield 49.3%). LCMS (ESI): mass calcd. for C
27H
32N
8O
2S, 532.2; m/z found, 533.3 [M+H]
+.
1H NMR (METHANOL-d4) δ: 8.52 (d, J=2.4 Hz, 1H), 8.39 (s, 1H), 8.28 (d, J=2.4 Hz, 1H), 8.20 (s, 1H), 8.01 (s, 1H), 7.81 (s, 1H), 3.94 (s, 3H), 3.63-3.71 (m, 1H), 3.55-3.61 (m, 1H), 3.35-3.53 (m, 3H), 2.49 (s, 3H), 2.42 (t, J=7.8 Hz, 1H), 1.87 (dtd, J=12.7, 8.3, 4.4 Hz, 1H), 1.36-1.70 (m, 5H), 1.04 (s, 3H), 0.94 (s, 3H). [00331] Example 66 was prepared by a similar method of Example 65 from the appropriate starting material
Example 67, N-(5-(1-(cyano(cyclopentyl)methyl)azetidine-3-carboxamido)-2- methylpyridin-3-yl)-2-(1-methyl-1H-pyrazol-4-yl)pyrazolo[5,1-b]thiazole-7- carboxamide and Example 68, N-(5-(1-(cyclopentylmethyl)azetidine-3-carboxamido)-2- methylpyridin-3-yl)-2-(1-methyl-1H-pyrazol-4-yl)pyrazolo[5,1-b]thiazole-7- carboxamide
[00332] To a solution of N-(5-(azetidine-3-carboxamido)-2-methylpyridin-3-yl)-2- (1-methyl-1H-pyrazol-4-yl)pyrazolo[5,1-b]thiazole-7-carboxamide trifluoroacetate (44 mg, 0.08 mmol) and cyclopentanecarbaldehyde (80 mg, 0.82 mmol) in MeOH (2 mL) was added NaCNBH
3 (30 mg, 0.48 mmol). The reaction was stirred at room temperature for 3 days (over weekend). The reaction was quenched with 1N NaOH and the resulting mixture was extracted with CH
2Cl
2 (2x). The organic layer was dried over Na
2SO
4 and concentrated. The residue was purified with silica gel column (8-14% MeOH/CH
2Cl
2 with 0.4-0.7%NH
4OH) to give N-(5-(1-(cyano(cyclopentyl)methyl)azetidine-3-carboxamido)-2-methylpyridin-3-yl)-2- (1-methyl-1H-pyrazol-4-yl)pyrazolo[5,1-b]thiazole-7-carboxamide (9.8 mg, yield 22.5%). LCMS (ESI): mass calcd. for C
27H
29N
9O
2S, 543.2; m/z found, 544.2 [M+H]
+.
1H NMR (METHANOL-d4) δ: 8.45-8.62 (m, 1H), 8.39 (s, 1H), 8.28 (d, J=2.4 Hz, 1H), 8.20 (s, 1H), 8.01 (s, 1H), 7.82 (s, 1H), 3.95 (s, 3H), 3.54-3.66 (m, 5H), 3.42-3.54 (m, 1H), 2.50 (s, 3H), 1.92-2.20 (m, 1H), 1.79-1.92 (m, 2H), 1.53-1.75 (m, 4H), 1.33-1.51 (m, 2H), and then N-(5- (1-(cyclopentylmethyl)azetidine-3-carboxamido)-2-methylpyridin-3-yl)-2-(1-methyl-1H- pyrazol-4-yl)pyrazolo[5,1-b]thiazole-7-carboxamide (7.4 mg, yield 17.8 %), LCMS (ESI): mass calcd. for C
26H
30N
8O
2S, 518.2; m/z found, 519.3 [M+H]
+.
1H NMR (METHANOL-d4) δ: 8.56 (d, J=2.4 Hz, 1H), 8.40 (s, 1H), 8.24-8.28 (m, 1H), 8.22 (s, 1H), 8.03 (s, 1H), 7.83 (s, 1H), 3.96 (s, 3H), 3.59-3.71 (m, 2H), 3.51 (t, J=7.6 Hz, 1H), 3.38-3.45 (m, 2H), 2.46-2.55 (m, 5H), 1.85-1.95 (m, 1H), 1.79 (br dd, J=11.2, 3.9 Hz, 2H), 1.50-1.70 (m, 4H), 1.18 (br dd, J=12.0, 7.6 Hz, 2H). Example 69, 2-(2-methoxypyridin-3-yl)-N-(2-methyl-5-(3-(piperidin-1-yl)azetidine-1- carboxamido)pyridin-3-yl)pyrazolo[5,1-b]thiazole-7-carboxamide
Step a. tert-butyl (5-(2-(2-methoxypyridin-3-yl)pyrazolo[5,1-b]thiazole-7- carboxamido)-6-methylpyridin-3-yl)carbamate
[00333] A mixture of tert-butyl (5-(2-bromopyrazolo[5,1-b]thiazole-7- carboxamido)-6-methylpyridin-3-yl)carbamate (500 mg, 1.11 mmol), (2-methoxypyridin-3- yl)boronic acid (240 mg, 1.57 mmol), Cs
2CO
3 (750 mg, 2.30 mmol), and PdCl
2(dppf) (100 mg, 0.14 mmol) in 1,4-dioxane (8 mL) and H
2O (2 mL) was de-gassed and then heated at 130°C by microwave for 1 h. The reaction mixture was diluted with 10% MeOH/CH
2Cl
2 and filtered. The solution was concentrated and the residue was purified by silica gel column with MeOH/CH
2Cl
2 (6%) to give tert-butyl (5-(2-(2-methoxypyridin-3-yl)pyrazolo[5,1- b]thiazole-7-carboxamido)-6-methylpyridin-3-yl)carbamate (360 mg, yield 67.8%). LCMS (ESI): mass calcd. for C
23H
24N
6O
4S, 480.2; m/z found, 480.8 [M+H]
+. Step b. N-(5-amino-2-methylpyridin-3-yl)-2-(2-methoxypyridin-3- yl)pyrazolo[5,1-b]thiazole-7-carboxamide
[00334] To a suspension of tert-butyl (5-(2-(2-methoxypyridin-3-yl)pyrazolo[5,1- b]thiazole-7-carboxamido)-6-methylpyridin-3-yl)carbamate (286 mg, 0.60 mmol) in CH
2Cl
2 (5 mL) was added TFA (1 mL). The reaction was stirred at room temperature for 2 h. The reaction mixture was concentrated, and the residue was dissolved in MeOH/CH
2Cl
2 = 1/1. To the resulting solution was added aq. NaHCO
3. The resulting mixture was stirred for 10 min and was then concentrated to remove most of the organic solvents. The remaining mixture was filtered and the solid was collected and dried to give N-(5-amino-2- methylpyridin-3-yl)-2-(2-methoxypyridin-3-yl)pyrazolo[5,1-b]thiazole-7-carboxamide which was used in the next step without purification. LCMS (ESI): mass calcd. for C
18H
16N
6O
2S, 380.1; m/z found, 380.9 [M+H]
+. Step c.2-(2-methoxypyridin-3-yl)-N-(2-methyl-5-(3-oxoazetidine-1- carboxamido)pyridin-3-yl)pyrazolo[5,1-b]thiazole-7-carboxamide
[00335] A mixture of N-(5-amino-2-methylpyridin-3-yl)-2-(2-methoxypyridin-3- yl)pyrazolo[5,1-b]thiazole-7-carboxamide (90 mg, 0.24 mmol), CDI (70 mg, 0.432 mmol), and Et
3N (0.07 mL, 0.73 g/mL, 0.50 mmol) in DMF (2 mL) was stirred at room temperature for 1.5 h. Additional CDI (35 mg, 0.22 mmol) was added and the reaction was stirred for another 1 h. Azetidin-3-one hydrochloride (100 mg, 0.93 mmol) was added followed by Et
3N (0.13 mL, 0.94 mmol). The reaction was stirred at room temperature for 1 h. The reaction was quenched with aq. NaHCO
3 and extracted with 10% MeOH/CH
2Cl
2 (4x). The organic layer was dried over Na
2SO
4 and concentrated. The residue was purified by silica gel column with MeOH/CH
2Cl
2 (10%) to give 2-(2-methoxypyridin-3-yl)-N-(2-methyl-5-(3- oxoazetidine-1-carboxamido)pyridin-3-yl)pyrazolo[5,1-b]thiazole-7-carboxamide (50 mg, yield 44.3%). LCMS (ESI): mass calcd. for C
22H
19N
7O
4S, 477.1; m/z found, 478.1 [M+H]
+. Step d.2-(2-methoxypyridin-3-yl)-N-(2-methyl-5-(3-(piperidin-1-yl)azetidine-1- carboxamido)pyridin-3-yl)pyrazolo[5,1-b]thiazole-7-carboxamide
[00336] A mixture of 2-(2-methoxypyridin-3-yl)-N-(2-methyl-5-(3-oxoazetidine-1- carboxamido)pyridin-3-yl)pyrazolo[5,1-b]thiazole-7-carboxamide (50 mg, 0.11 mmol), piperidine (30 mg, 0.35 mmol), and NaBH(OAc)
3 (50 mg, 0.24 mmol) in HOAc (0.2 mL) and DCE (2 mL) was stirred at room temperature overnight. Additional piperidine (30 mg, 0.35 mmol), NaBH(OAc)
3 (50 mg, 0.24 mmol), and HOAc (0.2 mL) was added. The reaction was heated at 65°C for 2.5 h. Additional NaBH(OAc)
3 (50 mg, 0.24 mmol) was added and the reaction was heated at 65°C for another 1.5 h. The reaction was cooled to room temperature and was quenched with aq. NaHCO
3. The resulting mixture was extracted with 10% MeOH/CH
2Cl
2 (3x). The organic layer was dried over Na
2SO
4 and concentrated. The residue was purified by silica gel column (8%MeOH/CH
2Cl
2 with 0.4%NH
4OH) to give 2-(2-methoxypyridin-3-yl)-N-(2-methyl-5-(3-(piperidin-1-yl)azetidine-1- carboxamido)pyridin-3-yl)pyrazolo[5,1-b]thiazole-7-carboxamide (17.5 mg, yield 30.6%). LCMS (ESI): mass calcd. for C
27H
30N
8O
3S, 546.2; m/z found, 547.2 [M+H]
+.
1H NMR (METHANOL-d4) δ: 8.43-8.56 (m, 1H), 8.39-8.42 (m, 1H), 8.37 (d, J=2.4 Hz, 1H), 8.18 (dd, J=4.9, 1.5 Hz, 1H), 7.98-8.09 (m, 1H), 7.90 (dd, J=7.3, 1.5 Hz, 1H), 7.00-7.14 (m, 1H), 4.14 (s, 3H), 4.08-4.13 (m, 2H), 3.96 (dd, J=8.3, 5.4 Hz, 2H), 3.18 (quin, J=6.4 Hz, 1H), 2.49 (s, 3H), 2.30-2.43 (m, 4H), 1.58-1.71 (m, 4H), 1.46-1.58 (m, 2H). Example 70, N-(5-((2-(2,2-dimethylpyrrolidin-1-yl)ethyl)carbamoyl)-2-methylpyridin-3- yl)-2-(6-(2-fluoroethoxy)pyridin-2-yl)pyrazolo[5,1-b]thiazole-7-carboxamide
Step a. ethyl 2-(6-methoxypyridin-2-yl)pyrazolo[5,1-b]thiazole-7-carboxylate
[00337] A mixture of ethyl 2-bromopyrazolo[5,1-b]thiazole-7-carboxylate (300 mg, 1.09 mmol), 2-methoxy-6-(4,4,5,5-tetramethyl-1,3,2-dioxaborolan-2-yl)pyridine (320 mg, 1.36 mmol). K
2CO
3 (340 mg, 2.46 mmol), and PdCl
2(dppf) (75 mg, 0.102 mmol) in 1,4- dioxane (4 mL) and water (1 mL) was de-gassed and heated at 130°C by microwave for 3 h. The reaction mixture was diluted with CH
2Cl
2 and filtered. The solution was concentrated and the residue was purified by silica gel column (30% EtOAc/heptane) to give ethyl 2-(6- methoxypyridin-2-yl)pyrazolo[5,1-b]thiazole-7-carboxylate (140 mg, yield 42.3%). LCMS (ESI): mass calcd. for C
14H
13N
3O
3S, 303.1; m/z found, 304.0 [M+H]
+. Step b. ethyl 2-(6-hydroxypyridin-2-yl)pyrazolo[5,1-b]thiazole-7-carboxylate
[00338] A mixture of ethyl 2-(6-methoxypyridin-2-yl)pyrazolo[5,1-b]thiazole-7- carboxylate (120 mg, 0.40 mmol) in 4 M HCl in dioxane (8 mL, 32 mmol) was heated at 120°C by microwave for 10 h. The reaction mixture was concentrated to remove most of 1,4- dioxane and was then diluted with diethyl ether. The resulting mixture was filtered and the solid was collected and dried to give ethyl 2-(6-hydroxypyridin-2-yl)pyrazolo[5,1-b]thiazole- 7-carboxylate which was used in next step without purification. LCMS (ESI): mass calcd. for C
13H
11N
3O
3S, 289.1; m/z found, 290.1 [M+H]
+. Step c. ethyl 2-(6-(2-fluoroethoxy)pyridin-2-yl)pyrazolo[5,1-b]thiazole-7- carboxylate
[00339] A mixture of ethyl 2-(6-hydroxypyridin-2-yl)pyrazolo[5,1-b]thiazole-7- carboxylate (15 mg, 0.052 mmol), 1-fluoro-2-iodoethane (20 mg, 0.115 mmol), and Cs
2CO
3 (50 mg, 0.15 mmol) in DMF (0.7 mL) was stirred at room temperature overnight. The reaction mixture was diluted with CH
2Cl
2 and filtered. The solution was concentrated and the residue was purified with silica gel column (30% EtOAc/heptane) to give ethyl 2-(6-(2- fluoroethoxy)pyridin-2-yl)pyrazolo[5,1-b]thiazole-7-carboxylate (14 mg, yield 80.5%). LCMS (ESI): mass calcd. for C
15H
14FN
3O
3S, 335.1; m/z found, 336.0 [M+H]
+. Step d.2-(6-(2-fluoroethoxy)pyridin-2-yl)pyrazolo[5,1-b]thiazole-7-carboxylic acid
[00340] A mixture of ethyl 2-(6-(2-fluoroethoxy)pyridin-2-yl)pyrazolo[5,1- b]thiazole-7-carboxylate (31 mg, 0.094 mmol) and LiOH (15 mg, 0.63 mmol) in H
2O (1 mL) and THF (2 mL) for 3 days. The reaction mixture was diluted with H
2O (2 mL) and extracted with CH
2Cl
2 (4 mL x 2). The aqueous layer was acidified with 2N HCl solution to adjust pH to ~3. The resulting mixture was filtered and the solid was dried to give 2-(6-(2- fluoroethoxy)pyridin-2-yl)pyrazolo[5,1-b]thiazole-7-carboxylic acid (25 mg, yield 87.0%) which was used in next step without purification. LCMS (ESI): mass calcd. for C
13H
10FN
3O
3S, 307.0; m/z found, 308.0 [M+H]
+. Step e. N-(5-((2-(2,2-dimethylpyrrolidin-1-yl)ethyl)carbamoyl)-2-methylpyridin- 3-yl)-2-(6-(2-fluoroethoxy)pyridin-2-yl)pyrazolo[5,1-b]thiazole-7-carboxamide
[00341] A solution of 2-(6-(2-fluoroethoxy)pyridin-2-yl)pyrazolo[5,1-b]thiazole-7- carboxylic acid (25 mg, 0.081 mmol), 5-amino-N-(2-(2,2-dimethylpyrrolidin-1-yl)ethyl)-6- methylnicotinamide (23 mg, 0.083 mmol), and EDCI (25 mg, 0.13 mmol) in pyridine (2 mL) was heated at 70°C for 7 h. The reaction mixture was concentrated and the residue was first purified with silica gel column (12% MeOH/CH
2Cl
2 with 0.6% NH
4OH). The purified product was purified again with prep-HPLC [Mobile phase A: H
2O with 10 mM NH
4OH, Mobile phase B: ACN; Gradient: 40%-90% in 7 min] to give N-(5-((2-(2,2- dimethylpyrrolidin-1-yl)ethyl)carbamoyl)-2-methylpyridin-3-yl)-2-(6-(2- fluoroethoxy)pyridin-2-yl)pyrazolo[5,1-b]thiazole-7-carboxamide. LCMS (ESI): mass calcd. for C
28H
32FN
7O
3S, 565.2; m/z found, 566.3 [M+H]
+.
1H NMR (METHANOL-d4) δ: 8.67- 8.69 (m, 1H), 8.65-8.66 (m, 1H), 8.29-8.42 (m, 1H), 8.22 (d, J=2.0 Hz, 1H), 7.60-7.74 (m, 1H), 7.44 (d, J=7.3 Hz, 1H), 6.72 (d, J=8.3 Hz, 1H), 4.72-4.75 (m, 1H), 4.60-4.64 (m, 1H), 4.54-4.58 (m, 1H), 4.46-4.53 (m, 1H), 3.42 (t, J=6.8 Hz, 2H), 2.74-2.86 (m, 2H), 2.58 (t, J=6.8 Hz, 2H), 2.52 (s, 3H), 1.66-1.81 (m, 2H), 1.55-1.65 (m, 2H), 0.95 (s, 6H). Example 71, N-(5-((2-(5-azaspiro[3.4]octan-5-yl)ethyl)carbamoyl)-2-methylpyridin-3- yl)-2-(1-(2-fluoroethyl)-1H-pyrazol-4-yl)pyrazolo[5,1-b]thiazole-7-carboxamide
Step a. methyl 5-(2-(1-(2-fluoroethyl)-1H-pyrazol-4-yl)pyrazolo[5,1-b]thiazole-7- carboxamido)-6-methylnicotinate
[00342] To a mixture of methyl 5-(2-bromopyrazolo[5,1-b]thiazole-7- carboxamido)-6-methylnicotinate (960 mg, 2.43 mmol) in 1,4-dioxane (20 mL) and H
2O (5 mL) was added 1-(2-fluoroethyl)-4-(4,4,5,5-tetramethyl-1,3,2-dioxaborolan-2-yl)-1H- pyrazole (1.2 g, 5.00 mmol), Cs
2CO
3 (2.4 g, 7.37 mmol), and Pd(dppf)Cl
2·CH
2Cl
2 (480 mg, 0.85 mmol). The system was degassed, and the reaction mixture was stirred at 90 °C under N
2 for 12 hours. The mixture was concentrated under vacuum to give crude methyl 5-(2-(1- (2-fluoroethyl)-1H-pyrazol-4-yl)pyrazolo[5,1-b]thiazole-7-carboxamido)-6-methylnicotinate which was used in next step without purification. Step b.5-(2-(1-(2-fluoroethyl)-1H-pyrazol-4-yl)pyrazolo[5,1-b]thiazole-7- carboxamido)-6-methylnicotinic acid
[00343] To a solution of methyl 5-(2-(1-(2-fluoroethyl)-1H-pyrazol-4- yl)pyrazolo[5,1-b]thiazole-7-carboxamido)-6-methylnicotinate (2.80 mmol) in THF (9 mL) and MeOH (9 mL) was added a solution of LiOH (0.3 g, 7.15 mmol) in H
2O (6 mL). The reaction was stirred at 20°C for 1 hour. The mixture was concentrated under vacuum to afford a brown oil. The brown oil was poured into water (30 mL) carefully. The aqueous layer was washed with DCM (20 mL × 3) and acidified with 1N HCl to pH=3. The resulting precipitate was collected by filtration. The solid was rinsed with H
2O (10 mL) and dried in vacuo to give 5-(2-(1-(2-fluoroethyl)-1H-pyrazol-4-yl)pyrazolo[5,1-b]thiazole-7- carboxamido)-6-methylnicotinic acid (800 mg, 1.31 mmol, 46.9%) as a brown solid. LCMS (ESI): mass calcd. for C
18H
15FN
6O
3S, 414.1; m/z found, 415.2 [M+H]
+. Step c. N-(5-((2-(5-azaspiro[3.4]octan-5-yl)ethyl)carbamoyl)-2-methylpyridin-3- yl)-2-(1-(2-fluoroethyl)-1H-pyrazol-4-yl)pyrazolo[5,1-b]thiazole-7-carboxamide
[00344] To a mixture of 5-(2-(1-(2-fluoroethyl)-1H-pyrazol-4-yl)pyrazolo[5,1- b]thiazole-7-carboxamido)-6-methylnicotinic acid (400 mg, 0.66 mmol) in DMF (15 mL) was added 2-(5-azaspiro[3.4]octan-5-yl)ethanamine (180 mg, 1.17 mmol), DIEA (0.4 mL, 2.42 mmol), and HATU (374 mg, 0.98 mmol). The reaction mixture was stirred at room temperature for 2 hours. The mixture was concentrated under vacuum and the residue was first purified by silica gel column chromatography with MeOH/CH
2Cl
2 (0-20%). The resulting product was purified again by prep-HPLC [Column: Boston Green ODS 150*30mm*5µm; Mobile phase A: water (FA), Mobile phase B: ACN; Gradient: 18% B to 48% B in 7 min; Flow Rate: 25 mL/min] to give N-(5-((2-(5-azaspiro[3.4]octan-5- yl)ethyl)carbamoyl)-2-methylpyridin-3-yl)-2-(1-(2-fluoroethyl)-1H-pyrazol-4- yl)pyrazolo[5,1-b]thiazole-7-carboxamide (32.1 mg, yield 8.04%) as white solid. LCMS (ESI): mass calcd. for C
27H
31FN
8O
2S, 550.2; m/z found, 551.3 [M+H]
+.
1H NMR (400MHz, METHANOL-d4) δ = 8.82 (d, J=2.0 Hz, 1H), 8.52 (br s, 1H), 8.44 (s, 1H), 8.37 (d, J=2.0 Hz, 1H), 8.30 (s, 1H), 8.14 (s, 1H), 7.92 (s, 1H), 4.87 - 4.85 (m, 1H), 4.74 (t, J=4.6 Hz, 1H), 4.55 (t, J=4.7 Hz, 1H), 4.49 (t, J=4.6 Hz, 1H), 3.70 (t, J=6.6 Hz, 2H), 3.20 (br t, J=6.9 Hz, 2H), 3.12 (br t, J=6.3 Hz, 2H), 2.64 (s, 3H), 2.49 - 2.41 (m, 2H), 2.18 - 2.13 (m, 2H), 2.01 - 1.83 (m, 6H). Example 72, N-(5-((2-(5-azaspiro[3.4]octan-5-yl)ethyl)carbamoyl)-2-methylpyridin-3- yl)-2-(1H-pyrazol-4-yl)pyrazolo[5,1-b]thiazole-7-carboxamide
Step a. N-(5-((2-(5-azaspiro[3.4]octan-5-yl)ethyl)carbamoyl)-2-methylpyridin-3- yl)-2-bromopyrazolo[5,1-b]thiazole-7-carboxamide
[00345] To a mixture of 5-(2-bromopyrazolo[5,1-b]thiazole-7-carboxamido)-6- methylnicotinic acid (0.9 g, 2.36 mmol) in DMF (15 mL) was added 2-(5-azaspiro[3.4]octan- 5-yl)ethanamine ( 648 mg, 4.20 mmol), DIEA (1.4 mL, 8.47 mmol), and HATU (1.3 g, 3.42 mmol). The resulting mixture was stirred at room temperature for 12 hours. The reaction mixture was concentrated under vacuum. The residue was purified by silica gel column chromatography with MeOH/CH
2Cl
2 (0-20%) to give N-(5-((2-(5-azaspiro[3.4]octan-5- yl)ethyl)carbamoyl)-2-methylpyridin-3-yl)-2-bromopyrazolo[5,1-b]thiazole-7-carboxamide as a yellow solid. LCMS (ESI): mass calcd. for C
22H
25BrN
6O
2S, 516.1; m/z found, 517.2 [M+H]
+. Step b. N-(5-((2-(5-azaspiro[3.4]octan-5-yl)ethyl)carbamoyl)-2-methylpyridin-3- yl)-2-(1H-pyrazol-4-yl)pyrazolo[5,1-b]thiazole-7-carboxamide
[00346] A mixture of N-(5-((2-(5-azaspiro[3.4]octan-5-yl)ethyl)carbamoyl)-2- methylpyridin-3-yl)-2-bromopyrazolo[5,1-b]thiazole-7-carboxamide (300 mg, 0.57 mmol), 4- (4,4,5,5-tetramethyl-1,3,2-dioxaborolan-2-yl)-1H-pyrazole (272 mg, 1.40 mmol), Pd(dppf)Cl
2·CH
2Cl
2 (418 mg, 0.74 mmol), and K
2CO
3 (470 mg, 3.40 mmol) in 1,4-dioxane (12 mL) and H
2O (3 mL) was degassed by applying alternating N
2 atmosphere and was then heated at 85 °C for 12 hours. The mixture was concentrated under vacuum. The resulting residue was first purified by silica gel column chromatography with MeOH/CH
2Cl
2 (0-10%). The purified product was then purified by prep-HPLC [Column: Welch Xtimate C18 150*30mm*5µm; Mobile phase A: water (NH
3H
2O+NH
4HCO
3), Mobile phase B: ACN; Gradient: 24% B to 54% B in 7 min, Flow rate: 25 mL/min] to give N-(5-((2-(5- azaspiro[3.4]octan-5-yl)ethyl)carbamoyl)-2-methylpyridin-3-yl)-2-(1H-pyrazol-4- yl)pyrazolo[5,1-b]thiazole-7-carboxamide. The purified product was purified again by Supercritical Fluid Chromatography [Column: Chiralpak AS-3, 100mm, 4.6mm I.D., 3µm; Mobile phase A: CO
2, Mobile phase B: ethanol (0.05% DEA); Gradient: A:B = 60:40; Flow rate: 2.8 mL/min] to give N-(5-((2-(5-azaspiro[3.4]octan-5-yl)ethyl)carbamoyl)-2- methylpyridin-3-yl)-2-(1H-pyrazol-4-yl)pyrazolo[5,1-b]thiazole-7-carboxamide as a white solid. LCMS (ESI): mass calcd. for C
25H
28N
8O
2S, 504.2; m/z found, 505.2 [M+H]
+.
1H NMR (400MHz, DMSO-d6) δ = 13.25 (br s, 1H), 9.99 (s, 1H), 8.79 (d, J=2.0 Hz, 1H), 8.65 (br s, 1H), 8.61 (s, 1H), 8.53 (s, 1H), 8.28 (br s, 1H), 8.22 (s, 1H), 7.95 (s, 1H), 3.40 - 3.38 (m, 2H), 2.68 (br s, 4H), 2.49 (s, 3H), 2.09 (br d, J=12.5 Hz, 2H), 1.84 (br s, 2H), 1.73 - 1.51 (m, 6H). Example 73, PET tracer synthesis:
18F- N-(5-((2-(5-azaspiro[3.4]octan-5- yl)ethyl)carbamoyl)-2-methylpyridin-3-yl)-2-(1-(2-fluoroethyl)-1H-pyrazol-4- yl)pyrazolo[5,1-b]thiazole-7-carboxamide
HPLC conditions Semiprep HPLC 1 for 2-
18F-fluoroethyl tosylate (
18F-FETs) Column: Agilent Eclipse XDB C18250x9.4mm, mobile phase: 50% CH
3CN in water UV detector: 254 nm flow rate: 4 ml/min Retention time: 9-10 min Semiprep HPLC 2 for
18F- N-(5-((2-(5-azaspiro[3.4]octan-5-yl)ethyl)carbamoyl)-2- methylpyridin-3-yl)-2-(1-(2-fluoroethyl)-1H-pyrazol-4-yl)pyrazolo[5,1-b]thiazole-7- carboxamide Column: Agilent Eclipse XDB C18250x9.4mm, mobile phase: 20% CH
3CN in 50 mM acetate buffer, pH4.0 UV detector: 254 nm flow rate: 4 ml/min Retention time: about 19 min Analytical HPLC for quality control for
18F- N-(5-((2-(5-azaspiro[3.4]octan-5- yl)ethyl)carbamoyl)-2-methylpyridin-3-yl)-2-(1-(2-fluoroethyl)-1H-pyrazol-4- yl)pyrazolo[5,1-b]thiazole-7-carboxamide Column: Kinetex EVO 5 µm C18150x4.6mm, Flow rate: 1 ml/min UV detector: 254 nm Mobile phase A: CH
3CN, Mobile phase B: 50 mM acetate buffer, pH4.0, Gradient: 5% A for 0-1 min, 5-75% A for 1-12 min Retention time: 8 min Radiochemistry: Step a.2-
18F-fluoroethyl tosylate (
18F-FETs)
[00347] 2-
18F-Fluoroethyl tosylate (
18F-FETs) was synthesized in GE Tracerlab FX2N, GE Healthcare. Specifically, the
18F-F- was trapped on a QMA cartridge and eluted with a solution of K
2CO
3/K
222 (3 mg/15mg in 900 µl CH
3CN and 100 µl water). The solvent was evaporated under a stream of nitrogen at 80-120 °C and azeotropic drying was repeated again with 1 ml portion of dry CH
3CN. To the dried
18F-K222/K
+ complex ([K222]
+/
18F-) was added 7.5-8.5 mg of ethylene di(p-toluenesulfonate) in 1 ml anhydrous CH
3CN. The reaction was remained at 80 °C for 5 min to produce
18F-FETs crude. After cooling down to room temperature, 1 ml of CH
3CN and 3 ml of 10 mM NH
4OAc in water were added to the reaction crude before loading onto Semi-prep HPLC 1. The HPLC fractions containing
18F- FETs were collected in a round bottom flask with 30 ml water.
18F-FETs was trapped onto a C18 Sep-Pak light cartridge and eluted with 0.5 ml DMF to a 2
nd reaction vial. Step b.
18F- N-(5-((2-(5-azaspiro[3.4]octan-5-yl)ethyl)carbamoyl)-2- methylpyridin-3-yl)-2-(1-(2-fluoroethyl)-1H-pyrazol-4-yl)pyrazolo[5,1-b]thiazole-7- carboxamide
[00348] About 2.5 mg of precursor N-(5-((2-(5-azaspiro[3.4]octan-5- yl)ethyl)carbamoyl)-2-methylpyridin-3-yl)-2-(1H-pyrazol-4-yl)pyrazolo[5,1-b]thiazole-7- carboxamide was dissolved in 300 µl DMF. To the precursor solution was added 3.5-4.5 mg of Cs
2CO
3. After the precursor and Cs
2CO
3 was stirred at room temperature for 20-30 min, the precursor and the
18F-FETs solution were mixed together. The reaction remained at 110 °C with mild stirring for 10 min. After cooling down to room temperature, 1.5 ml of acetate buffer (pH4) was added to the reaction mixture before loading onto semi-prep HPLC 2. The factions containing
18F- N-(5-((2-(5-azaspiro[3.4]octan-5-yl)ethyl)carbamoyl)-2- methylpyridin-3-yl)-2-(1-(2-fluoroethyl)-1H-pyrazol-4-yl)pyrazolo[5,1-b]thiazole-7- carboxamide were collected in a flask with 30 ml water. Then,
18F- N-(5-((2-(5- azaspiro[3.4]octan-5-yl)ethyl)carbamoyl)-2-methylpyridin-3-yl)-2-(1-(2-fluoroethyl)-1H- pyrazol-4-yl)pyrazolo[5,1-b]thiazole-7-carboxamide was trapped on to a C18 Sep-Pak light cartridge and eluted with 0.5 ml ethanol and 4.5 ml 0.9% saline consequently into an intermediate vial. At last,
18F-N-(5-((2-(5-azaspiro[3.4]octan-5-yl)ethyl)carbamoyl)-2- methylpyridin-3-yl)-2-(1-(2-fluoroethyl)-1H-pyrazol-4-yl)pyrazolo[5,1-b]thiazole-7- carboxamide solution passed through a 0.22 µm Millex filter into the final product vial for imaging purpose. [00349] The
18F-compound was authenticated using the analytical HPLC system by co-injecting with the
19F-cold standard. The entire process was completed in approximately 2.5 h including QC. The radiochemical yield was 5-15% (decay corrected to EOB) with the radiochemical purity of >95% and the specific activity was >1000 Ci/mmol (decay corrected to end of synthesis). Biological Assays [00350] PDGFRβ HTRF assay [00351] I. Materials [00352] Reagents
[00353] Instrumentation: a. Compound liquid handling: LabCyte Echo; b. Reagent liquid handling: Thermo Scientific Multidrop Combi; c. BMG PHERAStar multilabel plate reader. [00354] Protein Reagent: His6-TEV-PDGFRβ Protein Prep prepared at Accelagen. [00355] II. Methods and Procedures [00356] Stock solutions: [00357] Assay buffer stock solution, contains 50 mM Hepes, 10 mM MgCl
2, 1 mM EGTA, and 0.01% Brij-35, 0.01% ovalbumin, 2 mM DTT at pH 7.5, in molecular biology grade water. Store at room temperature. [00358] DTT, 2 M in molecular biology grade water, store at -20°C in aliquots. [00359] Ovalbumin, 10% or 100 mg/mL, prepare fresh on experimental day. [00360] PDGFRβ, 116 µM (PDGFRb_08 Prep 02), produced at Accelagen. Store at -80°C in aliquots. [00361] TK-biotin peptide, 0.5 µM in molecular biology grade water, store at - 20°C in aliquots. [00362] ATP, 100 mM in molecular biology grade water, store at -20°C in aliquots. [00363] HTRF KinEASE-TK kit: Allow the contents of the Cisbio kit to warm up to room temperature before use. This kit contains HTRF detection buffer, TK-Antibody labeled with Eu
3+-cryptate, TK-substrate biotin and Streptavidin-XL665. [00364] TK Substrate-Biotin, reconstitute 500 µg lyopholized with 574 µL molecular biology grade water to prepare a 500 µM stock; After use, aliquot the rest and store at -20°C. [00365] TK Antibody-Cryptate, reconstitute lyophilized with 1 mL of molecular biology grade water (100x solution) then add 99 mL detection buffer to prepare a ready to use TK-antibody-cryptate solution; the concentration of the TK-antibody-cryptate reagent is not known. After use, aliquot the rest and store at -20°C. [00366] Streptavidin-XL665, reconstitute 3 mg lyophilized with 3 mL molecular biology grade water to prepare a 1 mg/mL or 16.67 µM stock; MW = 60 kDa; After use, aliquot the rest and store at -20°C. [00367] Freshly prepared solutions: [00368] Assay buffer. Dilute 5x Kinase buffer 5-fold with molecular biology grade water and add DTT to 2 mM and ovalbumin to 0.1 mg/mL (or 0.01%). [00369] 2X protein solution. Make a working solution of 100 pM PDGFRβ in assay buffer. Keep on ice until use to maintain enzyme stability. [00370] 2X substrate solution. Make a working solution of 1.6 mM ATP and 1 µM TK-substrate biotin peptide in assay buffer. [00371] 3X quench/detection solution. Make a working solution of 0.1875 µM SA-XL665 and the TK-antibody cryptate diluted by ½ of total quench/detection volume in assay buffer. [00372] Keep final streptavidin/biotin ratio at 1 to 8. [00373] Example of 3x quench/detection solution preparation: 8 mL total volume. [00374] 1x assay buffer – 3910 µL [00375] TK antibody-cryptate in detection buffer – 4000 µL [00376] 0.1875 µM SA-XL665 – 90 uL [00377] The kinase reaction is stopped by the addition of the detection reagents which contain EDTA (detection step). [00378] Assay Procedure: [00379] Assay in white ProxiPlate 384-well [00380] Step 1. Dispensing inhibitors/DMSO and low control: Using the ECHO 555 acoustic dispenser, spot desired compound serial dilutions in DMSO, NEAT DMSO to represent the uninhibited enzyme control, and 10 µM final [imatinib] to the represent the 100% inhibited enzyme control [00381] Step 2. PDGFRβ E + I pre-incubation: Add 2 µL 2x protein solution to columns 1-24 using the Multidrop Combi. Centrifuge at 1000 rpm for 1 min. Incubate 30 min at RT [00382] Step 2. Enzymatic reaction: Add 2 µL substrate solution to columns 1-24 to initiate the reaction using the Multidrop Combi; cover/seal the assay plate to reduce evaporation. Centrifuge at 1000 rpm for 1 min. Incubate at room temperature for 3 hours. [00383] Final concentrations of components in PDGFRβ cascade assay: [00384] 50 mM Hepes, pH 7.5 [00385] 10 mM MgCl2 [00386] 0.01% Brij-35 [00387] 1 mM EGTA [00388] 2 mM DTT [00389] 0.01% Ovalbumin [00390] 50 pM inactive PDGFRβ [00391] 0.5 µM TK-substrate biotin peptide [00392] 62.5 nM SA-XL-665 [00393] TK antibody-Eu3+-cryptate (diluted by 1/3 final from stock) [00394] 800 µM ATP [00395] ≤ 1% DMSO [00396] Step 3. Quench/Detection: Add 2 µl 3x quench/detection solution to columns 1-24 using the Multidrop Combi; cover/seal the plate. Centrifuge 1 min 1000 rpm. Incubate at RT for 60 min. Read the plate in PHERAstar (or similar instrument) on HTRF setting at excitation 337nm - dual emission - 665/620 nm ratio. [00397] III. Calculations and Formulas [00398] HTRF ratio values calculated by the instrument (Ratio is acceptor counts/donor counts * 10,000) is exported from the plate reader and used in data analysis. The exported data will be used to calculate 1) compound activity and 2) assay statistics. Compound activity is represented by % Inhibition when testing a single dose of a compound or IC50 when testing a dose response of a compound. Assay statistics can include Robust Z’ and Signal to Background. [00399] % Inhibition Calculation: Percent inhibition will be calculated for sample wells based on the equation:

[00400] Where, x: sample activity; cr: central reference is calculated based on wells containing all assay components and no compound (DMSO only); sr: scale reference is calculated based on wells inhibited with 10 µM Imatinib (these wells will contain the enzyme and substrate solutions) [00401] IC
50 Calculation: For IC
50 determination, full 11- point dose response data will be processed using the following equation:
[00402] Where S0=Activity level at zero concentration of test compound; SInf=Activity level at infinite concentration; IC50: Concentration at which activity reaches 50% of maximum level; c= Concentration in logarithmic units corresponding to the values on the x-axis of the dose-response curve plot; Hill coefficient n= Measure of the slope at IC50. See Table 1, below. [00403] Registered Parameters (when applicable): % Activity, IC
50, nHill Slope, S
inf, S
0, and Comments [00404] Robust Z’ Calculation: Robust Z prime (RZ’) value will be calculated as defined by the following equation:
[00405] Where, RSD: Robust standard deviation; cr: central reference is calculated based on wells containing all assay components and no compound (DMSO only); sr: scale reference is calculated based on wells inhibited with 10 µM Imatinib compound (these wells will contain the enzyme and substrate solutions) [00406] Signal to Background, S/B, Calculation
[00407] Where, CR, Central Reference (no compound wells); SR, Scale Reference (inhibitor control wells). [00408] PDGFRβ LanthaScreen assay [00409] I. Materials
[00410] II. Methods and Procedures [00411] Stock solutions: [00412] Assay buffer stock contains 50 mM HEPES pH7.5, 10 mM MgCl
2, 0.01% Brij- 35, 1 mM EGTA. [00413] Tb-labeled inactive PDGFRβ.3.6 µM in 50 mM HEPES, pH 7.4, 150 mM NaCl, 0.005% Tween-20 and 10% glycerol. Store at -80 °C in aliquots. [00414] Tracer 222, 50 µM in DMSO, store at -20 °C. [00415] Freshly prepared solutions: [00416] Assay buffer. Add DTT to 2 mM and ovalbumin to 0.1 mg/mL to Assay buffer stock. [00417] Kinase-Tracer solution. Make a working solution of 0.2 nM Tb-labeled inactive PDGFRβ and 40 nM Tracer 222 in Assay buffer. Keep on ice until use. [00418] Assay Procedure: [00419] Step 1. Dispensing inhibitors: Using Echo, dispense 40nL/well (or less) compound serial dilutions in DMSO onto the assay plate. [00420] Step 2. Dispensing Kinase-Tracer solution: Add 4 µL/well Kinase-Tracer solution. Seal the plate with optically transparent plate seal. Centrifuge at 1000 rpm for 1 min. [00421] Final concentrations of components in the assay: [00422] [Tb-PDGFRβ] = 0.2 nM; [00423] [Tracer 222] = 40 nM; [00424] [DMSO] ≤ 1%. [00425] Step 3. Detection: Read TR-FRET signals after 18 hours incubation at room temperature. [00426] III. Calculations and Formulas [00427] % Inhibition: % Inhibition = (NC – sample) / (NC – PC) * 100 where NC is the mean of negative control (reactions without inhibitor), and PC is the mean of positive control (1µM sunitinib). [00428] IC50 determination: Compounds are serially diluted 3-fold and tested in an 11- point dose response. IC
50 values are determined from a 4-parameter fit, using the following equation: Y = Bottom + (Top – Bottom) / (1+10((Log IC
50-X)*Hill slope)), where X = log
10 of the compound concentration; top can be defined by PC; bottom defined by NC. See Table 1, below. [00429] PDGFRβ cellular assay [00430] I. Materials

[00431] II. Methods and Procedures [00432] Cell Culture and Preparation: Cells are cultured according to ATCC procedure (5) with the addition of the antibiotic penicillin-streptomycin. If working from frozen, cells should be thawed according to ATCC procedure. Depending on the cell density of frozen vial, cells will need time to recover from thaw. An 80% confluent T75 flask should be enough for one 384 well plate. [00433] Stock Solutions: Rat PDGFBB. A 100ug/mL stock is prepared by reconstituting 50ug in 500uL of 4mM HCl and 0.1% BSA. It can be stored for a month at 4°C, or aliquoted out and frozen in the -20/-80°C to avoid multiple free-thaw cycles. [00434] Freshly Prepared Solutions: [00435] 1x Cisbio cell lysis buffer. The cell lysis buffer is diluted 4-fold with molecular grade water. The blocking agent is then diluted 25-fold in the diluted lysis buffer. [00436] Antibody solutions. Equal amounts d2 and cryptate antibody are diluted 20-fold in detection buffer. [00437] Rat PDGFBB. A working stock of 100ng/mL is created from the stock solution in 10%FBS culture media. [00438] Assay Steps [00439] Step 1: Plating Cells: Media from the A10 cell flask is aspirated. The cells are rinsed with PBS and then trypsinized to disperse the cell layer. The cells are then pelleted are resuspended to 1.25e5 cells/mL. 40uL of cells are then plated in 384 Greiner TC treated plates at a density of 5000 cells/well using the Combi. Plates are covered and placed in the incubator (37°C 5% CO2) overnight to allow cells to adhere. [00440] Step 2: Compound Dispense: Approximately 18 hours after plating, dispense 40nL compound onto cells using Echo. Column 12 is the neutral control DMSO, column 24 is the inhibitor control 10 mM Imatinib (10uM final assay concentration). The plate is returned to the incubator for 3 hours. [00441] Step 3: Activation by PDGFbb: 6uL of the working stock of 100ng/mL PDGFbb is dispensed using the Tempest to give a final assay concentration of 15ng/mL (EC80). After 10 minutes the media is removed by flicking the plate. [00442] Step 4: Cell lysis and antibody addition: 20uL lysis buffer per well is added to the plate via Tempest. 5uL antibody solution is added per well via the Tempest. The plate is placed on the shaker at 230 rpm for 1 hour at room temperature. [00443] Step 5: Detection: The plate is read using the HTRF module on the BMG Pherastar. Data is analyzed using Genedata Screener. [00444] III. Calculations and Formulas: [00445] % Inhibition: % Inhibition = (NC – sample) / (NC – PC) * 100 where NC is the mean of negative control (reactions without inhibitor), and PC is the mean of positive control (10µM imatinib). [00446] IC50 determination: Compounds are serially diluted 3-fold and tested in an 11- point dose response. IC
50 values are determined from a 4-parameter fit, using the following equation: Y = Bottom + (Top – Bottom) / (1+10((Log IC
50-X)*Hill slope)), where X = log
10 of the compound concentration; top can be defined by PC; bottom defined by NC. See Table 1, below. [00447] VEGFR ADP GLO assay [00448] I. Materials
[00449] II. Methods and Procedures [00450] Stock solutions: [00451] Assay buffer stock contains 50mM HEPES pH7.5, 10mM MgCl
2, 0.01% Brij-35, and 1mM EGTA. [00452] Unphosphorylated VEGFR2.52.6 µM in 50 mM Tris-HCl, pH 8.0, 50 mM NaCl, 5% Glycerol, 0.5 mM TCEP. Store at -80 °C in aliquots. [00453] 10mg/mL srctide solution, prepared in Assay buffer (Assay buffer stock with 2mM DTT, 0.1% Pluronic F-127, and 0.1mg/mL ovalbumin). Sonicate 10 mg/ml Srctide solution for 10 minutes and then vacuum filter. [00454] Freshly prepared solutions [00455] Assay buffer. Add DTT to 2mM, Pluronic F-127 to 0.1% and ovalbumin to 0.1mg/mL to Assay buffer stock. [00456] 2X kinase solution. Make a working solution of 10 nM unphosphorylated VEGFR2 in Assay buffer. Vacuum filter 2x kinase solution prior to running assay. Keep on ice until use. [00457] 2X substrate/ATP solution. Make a working solution of 2mg/mL srctide and 2.4mM ATP in Assay buffer. Keep on ice until use. [00458] Assay Procedure: [00459] Step 1. Dispensing inhibitors/controls: Using Echo, dispense 10nL/well compound serial dilutions in DMSO to columns 1-22 (in 384-well plates) or columns 1-44 (in 1536-well plates). Dilution series = 11 pt, 3-fold dilutions. The top compound concentration in the source plate is 4 mM. The top compound concentration in the assay plate is 10 uM. Using Echo, dispense 10 nl/well DMSO to column 23 (in 384-well plates) or columns 45-47 (in 1536-well plates). These wells will serve as negative control wells Using Echo, dispense 10 nl/well 400 uM TAK-593 in DMSO to column 24 (in 384-well plates) or column 48 (in 1536-well plates). The final concentration of TAK-593 in the assay should be 1 uM. These wells will serve as positive control wells. [00460] Step 2. Pre-incubation of inhibitors with kinase: Add 2 µL/well 2X kinase solution. Centrifuge at 1000 rpm for 1 min. Incubate at room temperature for 30 min. [00461] Step 3. Kinase cascade reaction: Add 2 µL/well 2X substrate/ATP solution to initiate kinase reactions. Centrifuge at 1000 rpm for 1 min. Incubate at room temperature for 180 min. [00462] Final concentrations of components in the assay: [00463] [VEGFR2] = 5 nM; [00464] [ATP] = 1.2 mM; [00465] [Srctide] = 1 mg/mL; [00466] [DMSO] ≤ 1%. [00467] Step 4. Quench: Add 2 uL/well ADP Glo Reagent + 0.05% CHAPS. Centrifuge at 1000 rpm for 1 min; Incubate at room temperature for one hour. [00468] Step 5. Detection: Add 2uL/well Kinase Detection Reagent + 0.05% CHAPS. Centrifuge at 1000 rpm for 1 min; Incubate at room temperature for 1 hour; Read Luminescence on a plate reader. [00469] III. Calculations and Formulas [00470] % Inhibition: % Inhibition = (NC – sample) / (NC – PC) * 100 where NC is the mean of negative control (reactions without inhibitor), and PC is the mean of positive control (1µM TAK-593). [00471] IC
50 determination: Compounds are serially diluted 3-fold and tested in an 11- point dose response. IC
50 values are determined from a 4-parameter fit, using the following equation: Y = Bottom + (Top – Bottom) / (1+10
(Log IC50-X)*Hill slope), where X = log
10 of the compound concentration; top can be defined by PC; bottom defined by NC. See Table 1, below. Table 1. Biology chemical and cellular activity