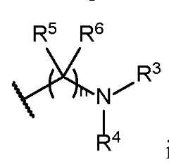
PYRROLOPYRIDINE CARBOXAMIDES AND THEIR USES AS PDGFR INHIBITORS CROSS-REFERENCE TO RELATED APPLICATION [0001] This application claims the benefit of United States Provisional Application No.63/354,274, filed June 22, 2022, the entirety of which is incorporated by reference herein. TECHNICAL FIELD [0002] The disclosure is directed to PDGFR inhibitors and methods of their use. BACKGROUND [0003] Protein kinases are a family of enzymes that catalyze the phosphorylation of specific residues in proteins. Protein kinases play a critical role in the control cell growth, proliferation, differentiation, metabolism, apoptosis, cell mobility, transcription, translation and other signaling processes. The overexpression or inappropriate expression of protein kinases plays a significant role in the development of many diseases and disorders including central nervous system disorders, inflammatory disorders, metabolic disorders, autoimmune diseases, cardiovascular diseases, fibrotic diseases, transplantation rejection, cancer and infectious diseases. [0004] Growth factors (GF) are important regulators of human homeostasis involved in maintaining a delicate balance between cell growth, differentiation, and proliferation. Consequently, dysregulation of GF signaling are implicated in many diseases including oncology, immunology, fibroproliferative, cardiovascular, vascular disorders and pulmonary hypertension. GF bind to several different receptors that amplify the signal through activation of the specific receptor through phosphorylation, leading to confirmation changes increasing the affinity for ATP and the phosphorylation of downstream proteins leading to activation of several signaling cascades. Therefore, small changes in GF or the cognate receptors can significantly alter the local signaling and have dramatic effects on initiation and progression of many diseases. [0005] Platelet-derived growth factor (PDGF) is one of many GFs that regulate cell growth and division. PDGF exerts its biological responses via activation of two highly specific, transmembrane receptor tyrosine kinases, termed PDGFR α and PDGFR β, which can form three different dimeric receptors – αα, ββ and αβ. These receptors can interact with the different dimeric PDGF ligands (PDGF-AA, PDGF-BB, PDGF-CC, PDGF-DD and PDGF-AB) with different specificities and efficacies. The receptors are activated by ligand- induced dimerization, leading to autophosphorylation on specific tyrosine residues. PDGFR phosphorylation recruits signaling proteins containing Tyr(P)-binding domains. Several of these signaling proteins include Src kinase family members, phospholipase C-y1, the p38a subunit of PI3K, GTPase-activating protein. The formation of receptor-signaling complexes then initiates the activation of various signaling pathways, including the Ras-mitogen activated protein (MAP) kinase pathway, the PI3kinase-Akt pathway, the PLC-y1 and the Src pathway. Activation of PDGFRα or PDGFRβ by PDGFs, leads to protein synthesis, proliferation, migration, protection against apoptosis and cellular transformation, key mechanisms associated with several vascular diseases including pulmonary hypertension. Platelet-derived growth factor (PDGF) and its receptors (PDGFR), including PDGFRα and PDGFRβ, play important roles in tumorigenesis, tumor progression, and the regulation of stromal cell function. Constitutive activation of PDGFR signaling, gene rearrangement, and activating mutations of PDGFR have been identified in various types of human tumors and malignancies. [0006] PDGFR signaling is implicated in the development and progression of pulmonary hypertension. PDGFs are expressed in ECs, SMCs and macrophages and are strong mitogens and chemokines. Increased signaling through PDGFRβ leads to smooth muscle cell proliferation which contributes to the development of vascular remodeling. PDGF and PDGF receptors (α and β) are upregulated in human and animals with pulmonary hypertension. Preclinically, efficacy in preventing and reversing vascular remodeling in experimentally induced pulmonary hypertension was demonstrated through non-selective inhibition of PDGF receptors. Clinically, imatinib (also known as Gleevec), a non-selective tyrosine kinase inhibitor including PDGF receptors improved exercise capacity and hemodynamics in patients with advanced pulmonary hypertension. Conversely, dasatinib, a receptor tyrosine kinases inhibitor, was linked to cardiotoxicity and the development of pulmonary hypertension, emphasizing the importance of the appropriate kinase selectivity, and associated differentiated profile. [0007] A need exists for additional PDGFR inhibitors for the treatment of pulmonary hypertension and other conditions in which PDGFR signaling is implicated. SUMMARY [0008] The present disclosure provides PDGFR inhibitors. [0009] In some aspects, the disclosure is directed to compounds of formula (I):

or a pharmaceutically acceptable salt thereof, wherein X is N or CH; R
1A and R
1B are each independently H, C
1-C
6alkyl, C
3-C
6cycloalkyl, halogen, -CN, or C
1- C
4fluoroalkyl; R
7 is H or F; R
2 is optionally substituted aryl; optionally substituted heteroaryl; optionally substituted cycloalkyl; optionally substituted heterocycloalkyl; optionally substituted spiroheterocycloalkyl; or ethynyl substituted with heteroaryl, aryl, optionally substituted alkyl, cycloalkyl, or heterocycloalkyl; R
3 and R
4 are each independently optionally substituted aryl, optionally substituted heteroaryl, optionally substituted alkyl, optionally substituted cycloalkyl, or optionally substituted heterocycloalkyl; or one of R
3 or R
4 may be H; or R
3 and R
4, together with the nitrogen atom to which they are both attached, form an optionally substituted 3-12-membered heterocycloalkyl ring, an optionally substituted 5-12- membered bridged heterocycloalkyl ring, an optionally substituted 4-12-membered fused heterocycloalkyl ring system, or an optionally substituted 5-12-membered spiroheterocycloalkyl ring system, wherein said 3-12-membered heterocycloalkyl ring, 5-12- membered bridged heterocycloalkyl ring, 4-12-membered fused heterocycloalkyl ring system or 512 membered spiroheterocycloalkyl ring system may include in addition to the nitrogen atom to which both R
3 and R
4 are attached, 1-3 other heteroatoms that are each independently O, S, or N; each R
5 and each R
6 is independently H, C
1-C
6alkyl, or C
3-C
5cycloalkyl; or an R
5 and R
6 attached to the same carbon atom, together with that carbon atom, may form a C
3-C
6cycloalkyl ring; or an R
5 or R
6, together with an R
3 or R
4 may form an optionally substituted 3-12- membered heterocycloalkyl ring, an optionally substituted 5-12-membered bridged heterocycloalkyl ring, an optionally substituted 4-12-membered fused heterocycloalkyl ring system, or an optionally substituted 5-12-membered spiroheterocycloalkyl ring system; n is 1, 2, or 3; L is -C(O)NH-, -NHC(O)O-, -NHC(O)-, -NHC(O)NH-, or -NHC(O)NR
8-, wherein when L is -NHC(O)NR
8-, an R
5 or an R
6 attached to a carbon atom, together with R
8, form a heterocycloalkyl ring; and wherein when L is -C(O)NH-, -NHC(O)O-, -NHC(O)NR
8-, or -NHC(O)NH-, n is 2 or 3, and when L is -NHC(O)-, n is 1, 2, or 3. [0010] In some embodiments of the compounds of Formula (I), R
2 is optionally substituted aryl; optionally substituted heteroaryl; optionally substituted cycloalkyl; optionally substituted heterocycloalkyl; or optionally substituted spiroheterocycloalkyl. [0011] Pharmaceutical compositions comprising such compounds, and methods of using such compounds in treating conditions in which PDGFR signaling is implicated are also provided. DETAILED DESCRIPTION OF ILLUSTRATIVE EMBODIMENTS [0012] Unless otherwise defined, all technical and scientific terms used herein have the same meaning as commonly understood by one of ordinary skill in the art to which this disclosure pertains. The terminology used in the description is for describing particular embodiments only and is not intended to be limiting of the disclosure. [0013] Where a range of values is provided, it is understood that each intervening value, to the tenth of the unit of the lower limit unless the context clearly dictates otherwise (such as in the case of a group containing a number of carbon atoms in which case each carbon atom number falling within the range is provided), between the upper and lower limit of that range and any other stated or intervening value in that stated range is encompassed within the disclosure. The upper and lower limits of these smaller ranges may independently be included in the smaller ranges is also encompassed within the disclosure, subject to any specifically excluded limit in the stated range. Where the stated range includes one or both of the limits, ranges excluding either both of those included limits are also included in the disclosure. [0014] The following terms are used to describe the present disclosure. In instances where a term is not specifically defined herein, that term is given an art-recognized meaning by those of ordinary skill applying that term in context to its use in describing the present disclosure. [0015] The articles “a” and “an” as used herein and in the appended claims are used herein to refer to one or to more than one (e.g., to at least one) of the grammatical object of the article unless the context clearly indicates otherwise. By way of example, “an element” means one element or more than one element. [0016] The term “compound”, as used herein, unless otherwise indicated, refers to any specific chemical compound disclosed herein and includes tautomers, optical isomers (enantiomers) and other stereoisomers (diastereomers) thereof, as well as pharmaceutically acceptable salts and derivatives, including prodrug and/or deuterated forms thereof where applicable. Deuterated small molecules contemplated are those in which one or more of the hydrogen atoms contained in the drug molecule have been replaced by deuterium. It is understood by those of ordinary skill that molecules which are described herein are stable compounds as generally described hereunder. [0017] “Pharmaceutically acceptable” means approved or approvable by a regulatory agency of the Federal or a state government or the corresponding agency in countries other than the United States, or that is listed in the U.S. Pharmacopoeia or other generally recognized pharmacopoeia for use in animals, e.g., in humans. [0018] “Pharmaceutically acceptable salt” refers to a salt of a compound of the disclosure that is pharmaceutically acceptable and that possesses the desired pharmacological activity of the parent compound. In particular, such salts are non-toxic may be inorganic or organic acid addition salts and base addition salts. Specifically, such salts include: (1) acid addition salts, formed with inorganic acids such as hydrochloric acid, hydrobromic acid, sulfuric acid, nitric acid, phosphoric acid, and the like; or formed with organic acids such as acetic acid, propionic acid, hexanoic acid, cyclopentanepropionic acid, glycolic acid, pyruvic acid, lactic acid, malonic acid, succinic acid, malic acid, maleic acid, fumaric acid, tartaric acid, citric acid, benzoic acid, 3-(4-hydroxybenzoyl)benzoic acid, cinnamic acid, mandelic acid, methanesulfonic acid, ethanesulfonic acid, 1,2-ethane-disulfonic acid, 2- hydroxyethanesulfonic acid, benzenesulfonic acid, 4-chlorobenzenesulfonic acid, 2- naphthalenesulfonic acid, 4-toluenesulfonic acid, camphorsulfonic acid, 4- methylbicyclo[2.2.2]-oct-2-ene-1-carboxylic acid, glucoheptonic acid, 3-phenylpropionic acid, trimethylacetic acid, tertiary butylacetic acid, lauryl sulfuric acid, gluconic acid, glutamic acid, hydroxynaphthoic acid, salicylic acid, stearic acid, muconic acid, and the like; or (2) salts formed when an acidic proton present in the parent compound either is replaced by a metal ion, e.g., an alkali metal ion, an alkaline earth ion, or an aluminum ion; or coordinates with an organic base such as ethanolamine, diethanolamine, triethanolamine, N- methylglucamine and the like. Salts further include, by way of example only, sodium, potassium, calcium, magnesium, ammonium, tetraalkylammonium, and the like; and when the compound contains a basic functionality, salts of non-toxic organic or inorganic acids, such as hydrochloride, hydrobromide, tartrate, mesylate, acetate, maleate, oxalate and the like. [0019] A “pharmaceutically acceptable excipient” refers to a substance that is non- toxic, biologically tolerable, and otherwise biologically suitable for administration to a subject, such as an inert substance, added to a pharmacological composition or otherwise used as a vehicle, carrier, or diluent to facilitate administration of an agent and that is compatible therewith. [0020] A “solvate” refers to a physical association of a compound of formula (I) with one or more solvent molecules. [0021] The term “alkyl,” when used alone or as part of a substituent group, refers to a straight- or branched-chain hydrocarbon group having from 1 to 12 carbon atoms (“C
1- C
12”), preferably 1 to 6 carbons atoms (“C
1-C
6”), in the group. Examples of alkyl groups include methyl, ethyl, n-propyl, iso-propyl, n-butyl, t-butyl, iso-butyl, sec-butyl, n-pentyl, n- hexyl, n-heptyl, n-octyl, and the like. In some embodiments, the alkyl group is a C
1-C
6 alkyl; in some embodiments, it is a C
1-C
4 alkyl. [0022] When a range of carbon atoms is used herein, for example, C
1-C
6, all ranges, as well as individual numbers of carbon atoms are encompassed. For example, “C
1-C
3” includes C
1-C
3, C
1-C
2, C
2-C
3, C
1, C
2, and C
3. [0023] The term “cycloalkyl” when used alone or as part of a substituent group refers to cyclic-containing, non-aromatic hydrocarbon groups having from 3 to 10 carbon atoms (“C
3-C
10”), preferably from 3 to 6 carbon atoms (“C
3-C
6”). Examples of cycloalkyl groups include cyclopropyl, cyclobutyl, cyclopentyl, cyclohexyl, cycloheptyl, cyclooctyl, indenyl, bicyclo[2.2.1]heptanyl, bicyclo[3.1.1]heptanyl, bicyclo[4.1.0]heptanyl, spiro[3.3]heptanyl, and spiro[3.4]octanyl. [0024] The term “fluoroalkyl” when used alone or as part of a substituent group refers to an alkyl group wherein one or more of the hydrogen atoms has been replaced with one or more fluorine atoms. Examples of fluoroalkyl groups include -CF
3, CHF
2, -CH
2F and the like. [0025] The term “heterocycloalkyl” when used alone or as part of a substituent group refers to any three to twelve-membered monocyclic, saturated or partially unsaturated ring containing at least one heteroatom that is O, N or S. The heterocycloalkyl group may be attached at any heteroatom or carbon atom of the ring such that the result is a stable structure. Examples of heterocycloalkyl groups include, but are not limited to, azepanyl, aziridinyl, azetidinyl, pyrrolidinyl, dioxolanyl, imidazolidinyl, pyrazolidinyl, piperazinyl, piperidinyl, dioxanyl, morpholinyl, dithianyl, thiomorpholinyl, oxazepanyl, oxiranyl, oxetanyl, tetrahydrofuranyl, tetrahydropyranyl, and the like. [0026] The term “bridged heterocycloalkyl ring” refers to any 5 to 12 membered heterocycloalkyl ring system that contains at least one bridged ring. Examples of bridged heterocycloalkyl rings include azabicyclo[3.1.1]heptane, azabicyclo[3.1.1]heptane, azabicyclo[2.2.2]octane, azabicyclo[2.2.1]heptane, azabicyclo[2.1.1]hexane, azabicyclo[1.1.1]pentane, azabicyclo[1.1.1]pentane, 6-oxa-azabicyclo[3.1.1]heptane, 6- diazabicyclo[3.1.1]heptane, 3-thia-azabicyclo[3.1.1]heptane, and the like. [0027] The term “fused heterocycloalkyl ring system” refers to a heterocycloalkyl ring to which another ring is fused. The other ring that is fused to the heterocycle ring may be another heterocycloalkyl ring, a cycloalkyl ring, an aryl ring, or a heteroaryl ring. In some embodiments, the fused heterocycloalkyl ring system is a 4 to 12 membered fused heterocycloalkyl ring system. [0028] The term “spiroheterocycloalkyl ring system” refers to a heterocycloalkyl ring that is substituted with a spirocyclic ring. The spirocyclic ring can be a cycloalkyl ring of a heterocycloalkyl ring. In some embodiments, the spiroheterocycloalkyl ring system is a 5-12-membered spiroheterocycloalkyl ring system. [0029] The terms “halo” or “halogen”, by itself or as part of another substituent, means a fluorine, chlorine, bromine, or iodine atom. [0030] The term “aryl” when used alone or as part of a substituent group also refers to a mono- or bicyclic- aromatic hydrocarbon ring structure having 6 or 10 carbon atoms in the ring, wherein one or more of the carbon atoms in the ring is optionally substituted. The term “aryl” also includes a mono- or bicyclic- aromatic hydrocarbon ring structure having 6 or 10 carbon atoms in the ring, wherein two adjacent carbon atoms in the ring are optionally substituted such that said two adjacent carbon atoms and their respective substituents form a cycloalkyl or heterocycloalkyl ring. Non-limiting examples of aryl groups include, but are not limited to, phenyl, indenyl, naphthyl, 1, 2, 3,4-tetrahydronaphthyl, and the like. [0031] The term “heteroaryl” when used alone or as part of a substituent group refers to a mono- or bicyclic- aromatic ring structure including carbon atoms as well as up to four heteroatoms that are each independently nitrogen, oxygen, or sulfur. Heteroaryl rings can include a total of 5, 6, 9, or 10 ring atoms. The heteroaryl moiety can be unsubstituted, or one or more of the carbon atoms in the ring can be substituted. Exemplary heteroaryls include but are not limited to pyridyl, pyrrolyl, pyrazinyl, pyrimidinyl, pyridazinyl, pyrazolyl, thienyl, indolyl, imidazolyl, oxazolyl, isoxazolyl, thiazolyl, furyl, oxadiazolyl, thiadiazolyl, quinolyl, isoquinolyl, benzothiazolyl, benzoxazolyl, indazolyl, quinoxalyl, quinazolyl, 5,6,7,8-tetrahydroisoquinolinyl, benzofuranyl, benzimidazolyl, thianaphthenyl, pyrrolo[2,3- b]pyridinyl, quinazolinyl-4(3H)-one, triazolyl, 4,5,6,7-tetrahydro-1H-indazole. [0032] The term “optionally substituted,” as used herein to describe a substituent defined herein, means that the substituent may, but is not required to be, substituted with one or more suitable functional groups or other substituents as provided herein. For example, a substituent may be optionally substituted with one or more of: halo (i.e., -F, -Cl, -Br, -I), cyano, -OH, alkyl, -C
1-C
6alkyl, C
3-C
6cycloalkyl, C
2-C
6alkenyl, C
2-C
6 alkynyl, C
1-C
6 haloalkyl, -C
1-C
6 alkoxy, -C
1-C
6 haloalkoxy, C
1-C
6 alkylthio, C
1-C
6 alkylamino, -NH
2, - NH(C
1-C
6 alkyl), -N(C
1-C
-6 alkyl)
2, -NH(C
1-C
6 alkoxy), -C(O)NHC
1-C
6 alkyl, -C(O)N(C
1-C
6 alkyl)
2, -COOH, -C
1-C
6alkylCOOH
, -C
3-C
6cycloalkylCOOH, -C(O)NH
2, C
1-C
6alkylCONH
2, - C
3-C
6cycloalkylCONH
2, C
1-C
6alkylCONHC
1-C
6alkyl
, C
1-C
6alkylCON(C
1-C
6alkyl)
2, -C(O)C
1- C
6 alkyl, -C(O)OC
1-C
6 alkyl, -NHCO(C
1-C
6 alkyl), -N(C
1-C
6 alkyl)C(O)(C
1-C
6 alkyl), - S(O)C
1-C
6 alkyl, -S(O)
2C
1-C
6 alkyl, oxo, 6-12 membered aryl, or 5 to 12 membered heteroaryl groups. [0033] In particular, a substituent may be optionally substituted with one or more of: halo (i.e., -F, -Cl, -Br, -I), cyano, -C
1-C
6alkyl, C
3-C
6cycloalkyl, C
2-C
6alkenyl, C
2-C
6 alkynyl, C
1-C
6 haloalkyl, -C
1-C
6 alkoxy, -C
1-C
6 haloalkoxy, C
1-C
6 alkylthio, C
1-C
6 alkylamino, -NH
2, -NH(C
1-C
6 alkyl), -N(C
1-C-
6 alkyl)
2, -NH(C
1-C
6 alkoxy), -C(O)NHC
1-C6 alkyl, -C(O)N(C
1-C
6 alkyl)
2, -COOH, -C
1-C
6alkylCOOH, -C
3-C
6cycloalkylCOOH, - C(O)NH
2, C
1-C
6alkylCONH
2, -C
3-C6cycloalkylCONH
2, C
1-C
6alkylCONHC
1-C
6alkyl, C
1- C
6alkylCON(C
1-C
6alkyl)
2, -C(O)C
1-C
6 alkyl, -C(O)OC
1-C
6 alkyl, -NHCO(C
1-C
6 alkyl), - N(C
1-C
6 alkyl)C(O)(C
1-C
6 alkyl), -S(O)C
1-C
6 alkyl, -S(O)
2C
1-C
6 alkyl, oxo, 6-12 membered aryl, or 5 to 12 membered heteroaryl groups. In some embodiments, each of the above optional substituents are themselves optionally substituted by one or two groups. [0034] In other embodiments, a substituent may be optionally substituted with one or more of: halo (i.e., -F, -Cl, -Br, -I), cyano, -OH, -C
1-C
6alkyl, -CH
2CH
2OH, - CH
2CH
2CH(OH)CH
2(OH), -CH
2CH(OH)CH
2(OH), -CH
2CH(OH)CH
3, -CH
2OH, -C (CH
3)
2CH
2(OH), -CH
2C(CH
3)
2CH
2(OH), CH
2C(CH
3)
2(OH), -CH
2OCH
3, -CH
2CH
2OCH
3, - CH
2CH
2CH
2OCH
3, -CH
2-(C
3-C
6cycloalkyl), -C
3-C
6cycloalkyl, C
2-C
6alkenyl, C
2-C
6 alkynyl, -C
1-C
6 haloalkyl, -C
1-C
6 alkoxy, -OCH
3, -C
1-C
6 haloalkoxy, -OCH
2CH
2F, -C
1-C
6 alkylthio, C
1-C
6 alkylamino, -NH
2, -NH(C
1-C
6 alkyl), -N(C
1-C
-6 alkyl)
2, -NH(C
1-C
6 alkoxy), - C(O)NHC
1-C
6 alkyl, -CH
2C(O)NHC
1-C
6 alkyl, -C(O)N(C
1-C
6 alkyl)
2, -COOH, -C
1- C
6alkylCOOH
, -C
3-C
6cycloalkylCOOH, -C(O)NH
2, -C
1-C
6alkylCONH
2, -C
1-C
6alkyl-CN, -C
3- C
6cycloalkylCONH
2, -C
1-C
6alkylCONHC
1-C
6alkyl
, C
1-C
6alkylCON(C
1-C
6alkyl)
2, -C(O)C
1-C
6 alkyl, -C(O)OC
1-C
6 alkyl, -NHCO(C
1-C
6 alkyl), -N(C
1-C
6 alkyl)C(O)(C
1-C
6 alkyl), -S(O)C
1- C
6 alkyl, -S(O)
2C
1-C
6 alkyl, -C
1-C
6 alkyl-S(O)
2C
1-C
6 alkyl, oxo, a 4-7 membered heterocycloalkyl group, -CH
2-(3-6 membered cycloalkyl), -CH
2-(4-7 membered heterocycloalkyl), 6-12 membered aryl, 5 to 12 membered heteroaryl groups, -CH
2-(5 to 12 membered heteroaryl)-O-CH
2-(6-12 membered aryl), -CH
2-(5 to 12 membered heteroaryl)- OH. In some embodiments, each of the above optional substituents are themselves optionally substituted by one or two groups. [0035] As used herein, the term “alkenyl” refers to a straight- or branched-chain group having from 2 to 12 carbon atoms (“C
2-C
12”), preferably 2 to 4 carbons atoms (“C
2- C
4”), in the group, wherein the group includes at least one carbon-carbon double bond. Examples of alkenyl groups include vinyl (-CH=CH
2; C
2alkenyl) allyl (-CH
2- CH=CH
2; C
3alkenyl), propenyl (-CH=CHCH
3; C
3alkenyl); isopropenyl (-C(CH
3)=CH
2; C
3alkenyl), butenyl (-CH=CHCH
2CH
3; C
4alkenyl), sec-butenyl (-C(CH
3)=CHCH
3; C
4alkenyl), iso- butenyl (-CH=C(CH
3)
2; C
4alkenyl), 2-butenyl (-CH
2CH=CHCH
3; C
4alkyl), pentenyl (-CH=CHCH
2CH
2CH
3; C
5alkenyl), and the like. [0036] As used herein, the term “alkynyl” refers to a straight- or branched-chain group having from 1 to 12 carbon atoms (“C
1-C
12”), preferably 1 to 4 carbons atoms (“C
2- C
4”), in the group, and wherein the group includes at least one carbon-carbon triple bond. Examples of alkynyl groups include ethynyl (-C≡CH; C
2alkynyl); propargyl (-CH
2-C≡CH; C
3alkynyl), propynyl (-C≡CCH
3; C
3alkynyl); butynyl (-C≡CCH
2CH
3; C
4alkynyl), pentynyl (-C≡CCH
2CH
2CH
3; C
5alkynyl), and the like. [0037] As used herein, the term “alkoxy” refers to an oxygen radical attached to an alkyl group by a single bond. Examples of alkoxy groups include methoxy (-OCH
3), ethoxy (-OCH
2CH
3), isopropoxy (-OCH(CH
3)
2) and the like. [0038] As used herein, the term “haloalkoxy” refers to an oxygen radical attached to a haloalkyl group by a single bond. Examples of haloalkoxy groups include -OCF
3, - OCH
2CF
3, -OCH(CF
3)
2, and the like. [0039] The term “haloalkyl” refers to an alkyl group wherein one or more of the hydrogen atoms has been replaced with one or more halogen atoms. [0040] The term “haloalkoxy” refers to an alkoxy group wherein one or more of the hydrogen atoms has been replaced with one or more halogen atoms. [0041] As used herein, the term “stereoisomers” refers to compounds which have identical chemical constitution, but differ with regard to the arrangement of the atoms or groups in space, e.g., enantiomers, diastereomers or tautomers. [0042] The term “patient” or “subject” is used throughout the specification to describe an animal, preferably a human or a domesticated animal, to whom treatment, including prophylactic treatment, with the compositions according to the present disclosure is provided. For treatment of those conditions or disease states which are specific for a specific animal such as a human patient, the term patient refers to that specific animal, including a domesticated animal such as a dog or cat or a farm animal such as a horse, cow, sheep, etc. In general, in the present disclosure, the term patient refers to a human patient unless otherwise stated or implied from the context of the use of the term. [0043] The term “effective” is used to describe an amount of a compound, composition or component which, when used within the context of its intended use, effects an intended result. The term effective subsumes all other effective amount or effective concentration terms, which are otherwise described or used in the present application. [0044] “Treating” or “treatment” of any disease or disorder refers, in one embodiment, to ameliorating the disease or disorder (e.g., arresting or reducing the development of the disease or at least one of the clinical symptoms thereof). In another embodiment “treating” or “treatment” refers to ameliorating at least one physical parameter, which may not be discernible by the subject. In yet another embodiment, “treating” or “treatment” refers to modulating the disease or disorder, either physically, (e.g., stabilization of a discernible symptom), physiologically, (e.g., stabilization of a physical parameter), or both. In yet another embodiment, “treating” or “treatment” refers to delaying the onset of the disease or disorder. [0045] In some aspects, the disclosure is directed to a compound of formula (I):

or a pharmaceutically acceptable salt thereof, wherein X is N or CH; R
1A and R
1B are each independently H, C
1-C
6alkyl, C
3-C
6cycloalkyl, halogen, -CN, or C
1- C
4fluoroalkyl; R
7 is H or F; R
2 is optionally substituted aryl; optionally substituted heteroaryl; optionally substituted cycloalkyl; optionally substituted heterocycloalkyl; optionally substituted spiroheterocycloalkyl; or ethynyl substituted with heteroaryl, aryl, optionally substituted alkyl, cycloalkyl, or heterocycloalkyl; R
3 and R
4 are each independently optionally substituted aryl, optionally substituted heteroaryl, optionally substituted alkyl, optionally substituted cycloalkyl, or optionally substituted heterocycloalkyl; or one of R
3 or R
4 may be H; or R
3 and R
4, together with the nitrogen atom to which they are both attached, form an optionally substituted 3-12-membered heterocycloalkyl ring, an optionally substituted 5-12- membered bridged heterocycloalkyl ring, an optionally substituted 4-12-membered fused heterocycloalkyl ring system, or an optionally substituted 5-12-membered spiroheterocycloalkyl ring system, wherein said 3-12-membered heterocycloalkyl ring, 5-12- membered bridged heterocycloalkyl ring, 4-12-membered fused heterocycloalkyl ring system, or 5-12-membered spiroheterocycloalkyl ring system may include, in addition to the nitrogen atom to which both R
3 and R
4 are attached, 1-3 other heteroatoms that are each independently O, S, or N; each R
5 and each R
6 is independently H, C
1-C
6alkyl, or C
3-C
5cycloalkyl; or an R
5 and R
6 attached to the same carbon atom, together with that carbon atom, may form a C
3-C
6cycloalkyl ring; or an R
5 or R
6, together with an R
3 or R
4 may form an optionally substituted 3-12- membered heterocycloalkyl ring, an optionally substituted 5-12-membered bridged heterocycloalkyl ring, an optionally substituted 4-12-membered fused heterocycloalkyl ring system, or an optionally substituted 5-12-membered spiroheterocycloalkyl ring system; n is 1, 2, or 3; L is -C(O)NH-, -NHC(O)O-, -NHC(O)-, -NHC(O)NH-, or -NHC(O)NR
8-, wherein when L is -NHC(O)NR
8-, an R
5 or an R
6 attached to a carbon atom, together with R
8, form a heterocycloalkyl ring; and wherein when L is -C(O)NH-, -NHC(O)O-, -NHC(O)NR
8-, or -NHC(O)NH-, n is 2 or 3, and when L is -NHC(O)-, n is 1, 2, or 3. [0046] In some asepcts, R
2 in the compounds of Formula (I) is optionally substituted aryl; optionally substituted heteroaryl; optionally substituted cycloalkyl,; optionally substituted heterocycloalkyl; or optionally substituted spiroheterocycloalkyl. [0047] In some aspects, X in the compounds of formula (I) is N or CH. [0048] In some embodiments, X in the compounds of formula (I) is N. [0049] In some embodiments, X in the compounds of formula (I) is CH. [0050] In some aspects, R
1A and R
1B in the compounds of formula (I) is are each independently H, C
1-C
6alkyl, C
3-C
6cycloalkyl, halogen, -CN, or C
1-C
4fluoroalkyl. [0051] In some aspects, R
1A in the compounds of formula (I) is H, C
1-C
6alkyl, C
3- C
6cycloalkyl, halogen, -CN, or C
1-C
4fluoroalkyl. [0052] In some embodiments, R
1A is H. [0053] In other embodiments, R
1A is C
1-C
6alkyl, such as, for example, C
1-C
6alkyl, C
1-C
5alkyl, C
1-C
4alkyl, C
1-C
3alkyl, C
1-C
2alkyl, C
6alkyl, C
5alkyl, C
4alkyl, C
3alkyl, C
2alkyl, C
1alkyl, methyl, ethyl, n-propyl, iso-propyl, n-butyl, t-butyl, iso-butyl, sec-butyl, n-pentyl, n- hexyl, and the like. [0054] In some embodiments, R
1A is methyl. [0055] In some embodiments, R
1A is C
3-C
6cycloalkyl, such as, for example, C
3- C
5cycloalkyl, C
3cycloalkyl, C
4cycloalkyl, C
5cycloalkyl, C
6cycloalkyl, cyclopropyl, cyclobutyl, cyclopentyl, cyclohexyl and the like. [0056] In some embodiments, R
1A is halogen, such as, for example, -F, -Cl, -Br, or - I. [0057] In some embodiments, R
1A is -F. [0058] In some embodiments, R
1A is cyano, i.e., -CN. [0059] In some embodiments, R
1A is C
1-C
4fluoroalkyl, such as, for example, C
4 fluoroalkyl, C
3 fluoroalkyl, C
2 fluoroalkyl, C
1 fluoroalkyl, -CF
3, -CHF
2, or -CH
2F. [0060] In some embodiments, R
1A is -CF
3. [0061] In some aspects, R
1B in the compounds of formula (I) is H, C
1-C
6alkyl, C
3- C
6cycloalkyl, halogen, -CN, or C
1-C
4fluoroalkyl. [0062] In some embodiments, R
1B is H. [0063] In other embodiments, R
1B is C
1-C
6alkyl, such as, for example, C
1-C
6alkyl, C
1-C
5alkyl, C
1-C
4alkyl, C
1-C
3alkyl, C
1-C
2alkyl, C
6alkyl, C
5alkyl, C
4alkyl, C
3alkyl, C
2alkyl, C
1alkyl, methyl, ethyl, n-propyl, iso-propyl, n-butyl, t-butyl, iso-butyl, sec-butyl, n-pentyl, n- hexyl, and the like. [0064] In some embodiments, R
1B is methyl. [0065] In some embodiments, R
1B is C
3-C
6cycloalkyl, such as, for example, C
3- C
5cycloalkyl, C
3cycloalkyl, C
4cycloalkyl, C
5cycloalkyl, C
6cycloalkyl, cyclopropyl, cyclobutyl, cyclopentyl, cyclohexyl and the like. [0066] In some embodiments, R
1B is halogen, such as, for example, -F, -Cl, -Br, or - I. [0067] In some embodiments, R
1B is -F. [0068] In some embodiments, R
1B is cyano, i.e., -CN. [0069] In some embodiments, R
1B is C
1-C
4fluoroalkyl, such as, for example, C
4 fluoroalkyl, C
3 fluoroalkyl, C
2 fluoroalkyl, C
1 fluoroalkyl, -CF
3, -CHF
2, or -CH
2F. [0070] In some embodiments, R
1A is C
1-C
6alkyl and R
1B is H. [0071] In other embodiments, R
1A is H and R
1B is C
1-C
6alkyl. [0072] In some embodiments, R
1A is CH
3 and R
1B is H. [0073] In other embodiments, R
1A is H and R
1B is CH
3. [0074] In some embodiments, R
1A is -F and R
1B is H. [0075] In some embodiments, R
1A is -CF
3 and R
1B is H. [0076] In other embodiments, R
1A is H and R
1B is -F. [0077] In some aspects, R
7 in the compounds of formula (I) is H or F. [0078] In some embodiments, R
7 is H. [0079] In other embodiments, R
7 is F. [0080] In some aspects, R
2 in the compounds of formula (I) is optionally substituted aryl; optionally substituted heteroaryl; optionally substituted cycloalkyl; optionally substituted heterocycloalkyl; optionally substituted spiroheterocycloalkyl; or ethynyl substituted with heteroaryl, aryl, optionally substituted alkyl, cycloalkyl, or heterocycloalkyl. [0081] In some aspects, R
2 in the compounds of formula (I) is optionally substituted aryl, optionally substituted heteroaryl, optionally substituted cycloalkyl, optionally substituted heterocycloalkyl, or optionally substituted spiroheterocycloalkyl. [0082] In some embodiments, R
2 in the compounds of formula (I) is optionally substituted aryl, such as, for example, phenyl, indenyl, naphthyl, 1, 2, 3,4-tetrahydronaphthyl, and the like. [0083] In some embodiments wherein R
2 is optionally substituted aryl, the optionally substituted aryl is an optionally substituted phenyl. [0084] In some embodiments, wherein R
2 is optionally substituted phenyl, the optionally substituted phenyl is substituted with -C(O)N(C
1-C
6alkyl)
2, preferably C(O)N(CH
3)
2; -OC
1-C
6alkyl, preferably -OCH
3; or optionally substituted alkyl,
[0085] In some embodiments wherein R
2 is phenyl substituted with optionally substituted alkyl, the optionally substituted alkyl is -CH
2OH, -CH
2C(O)NH(C
1-C
6alkyl), preferably -CH
2C(O)NH(CH
3). [0086] In some embodiments, R
2 in the compounds of formula (I) is 2-fluoro- benzamid-4-yl. [0087] In some embodiments, R
2 in the compounds of formula (I) is 2-fluoro- benzamid-5-yl. [0088] In some embodiments, R
2 in the compounds of formula (I) is N,N-dimethyl- benzamid-4-yl. [0089] In some embodiments, the optionally substituted phenyl is substituted with one or more of
wherein represents the point(s) of attachment to the phenyl ring. [0090] In some embodiments, R
2 in the compounds of formula (I) is optionally substituted heteroaryl, such as, for example, an optionally substituted pyridyl, pyrrolyl, pyrazinyl, pyrimidinyl, pyridazinyl, pyrazolyl, thienyl, indolyl, imidazolyl, oxazolyl, isoxazolyl, thiazolyl, furyl, oxadiazolyl, thiadiazolyl, quinolyl, isoquinolyl, benzothiazolyl, benzoxazolyl, indazolyl, quinoxalyl, quinazolyl, 5,6,7,8-tetrahydroisoquinolinyl, benzofuranyl, benzimidazolyl, thianaphthenyl, pyrrolo[2,3-b]pyridinyl, quinazolinyl-4(3H)- one, triazolyl, 4,5,6,7-tetrahydro-1H-indazole, or 6,7-dihydro-5H-pyrazolo[5,1- b][1,3]oxazine, and in particular an optionally substituted pyridyl, pyrrolyl, pyrazinyl, pyrimidinyl, pyridazinyl, pyrazolyl, thienyl, indolyl, imidazolyl, oxazolyl, isoxazolyl, thiazolyl, furyl, oxadiazolyl, thiadiazolyl, quinolyl, isoquinolyl, benzothiazolyl, benzoxazolyl, indazolyl, quinoxalyl, quinazolyl, 5,6,7,8-tetrahydroisoquinolinyl, benzofuranyl, benzimidazolyl, thianaphthenyl, pyrrolo[2,3-b]pyridinyl, quinazolinyl-4(3H)- one, triazolyl, or 4,5,6,7-tetrahydro-1H-indazole. [0091] In other embodiments, R
2 in the compounds of formula (I) is pyrazolyl, optionally substituted pyridinyl, optionally substituted thiazolyl, optionally substituted oxazolyl, optionally substituted 5,6,7,8-tetrahydro-pyrazolo[1,2-a]pyridazinyl, optionally substituted pyrrolidinyl, optionally substituted indazolinyl, optionally substituted thiophenyl, optionally substituted pyrimidinyl, optionally substituted 1,2,3-triazolyl, optionally substituted isoxazolyl, optionally substituted isothiazolyl, or optionally substituted 6,7- dihydro-5H-pyrazolo[5,1-b][1,3]oxazinyl. [0092] In some embodiments, the optionally substituted heteroaryl is substituted with optionally substituted C
1-C
6alkyl, such as, for example, -CH
3, -CH
2CH
2OCH
3, - CH
2CH
2CH
2OCH
3, -CH
2OH, -CH
2CH
2OH, -CH
2C(CH
3)
2CH
2OH, -CH
2C(CH
3)
2OH, or - CH
2CH(OH)CH
3. [0093] In some embodiments, the optionally substituted heteroaryl is pyrazolo[1,5- a]pyrimidin-6-yl. [0094] In some embodiments, the optionally substituted heteroaryl is pyrazolo[1,5- a]pyrimidin-3-yl. [0095] In some embodiments, the optionally substituted heteroaryl is substituted with optionally substituted 4-6 membered heterocycloalkyl, such as, for example, optionally substituted oxetanyl, optionally substituted tetrahydropyranyl, or optionally substituted morpholinyl. [0096] In some embodiments, the optionally substituted heteroaryl is substituted with -OC
1-C
6alkyl, such as, for example, -OCH
3; [0097] In some embodiments, the optionally substituted heteroaryl is substituted with -CN. [0098] In some embodiments, the optionally substituted heteroaryl is substituted with optionally substituted 3-6 membered cycloalkyl, such as, for example, -cyclopropyl. [0099] In some embodiments, the optionally substituted heteroaryl is substituted with C
1-C
6haloalkyl, such as, for example, CF
3, CHF
2, or CF
2CH
3. [00100] In some embodiments of R
2, the optionally substituted heteroaryl is benzo[d]oxazol-2(3H)-one-5-yl. [00101] In other embodiments, R
2 is 5,6-dihydro-4H-pyrrolo[1,2-b]pyrazol-3-yl. [00102] In other embodiments, R
2 is 6,7-dihydro-5H-pyrazolo[5,1-b][1,3]oxazin-3- yl. [00103] In other embodiments, R
2 is 4,5,6,7-tetrahydro-3-pyrazolo[1,5-a]pyridine. [00104] In some embodiments wherein R
2 is optionally substituted heteroaryl, the optionally substituted heteroaryl is an optionally substituted 5-membered heteroaryl. [00105] In some embodiments, R
2 is an optionally substituted pyrazolyl, an optionally substituted triazolyl, an optionally substituted isoxazolyl, an optionally substituted oxadiazolyl, an optionally substituted thiophenyl, or an optionally substituted thiazolyl. [00106] In some embodiments wherein R
2 is optionally substituted heteroaryl, the optionally substituted heteroaryl is an optionally substituted 6-membered heteroaryl. [00107] In some embodiments, R
2 is an optionally substituted pyridinyl, or an optionally substituted pyrimidinyl. [00108] In some embodiments, the optionally substituted heteroaryl is substituted with C
1-C
6alkyl, C
1-C
6haloalkyl, C
1-C
6haloalkoxyl, C
1-C
6alkoxyl, -C
1-C
6alk-O-C
1-C
6alkyl, hydroxyl, hydroxyalkyl, halo, cyano, cyclopropyl, 6-membered heterocycloalkyl, 5- membered heterocycloalkyl, 4-membered heterocycloalkyl, -C
1-C
6alk-SO
2-C
1-C
6alkyl, 6- membered heteroaryl, 5-membered heteroaryl, -C(O)NH
2, hydroxy-substituted-4-membered heterocycloalkyl, -C
1-C
6alk-CO
2H, or -NH
2. [00109] Thus, in some embodiments, the optionally substituted heteroaryl is substituted with one or more of
wherein represents the point(s) of attachment to the heteroaryl ring. [00110] In some embodiments of R
2, the optionally substituted heteroaryl is substituted with an optionally substituted C
1-C
6alkyl, such as, for example, C
1-C
6alkyl, C
1- C
5alkyl, C
1-C
4alkyl, C
1-C
3alkyl, C
1-C
2alkyl, C
6alkyl, C
5alkyl, C
4alkyl, C
3alkyl, C
2alkyl, C
1alkyl, methyl, ethyl, n-propyl, iso-propyl, n-butyl, t-butyl, iso-butyl, sec-butyl, n-pentyl, n- hexyl, and the like; or an optionally substituted C
3-C
5cycloalkyl, such as, for example, C
3cycloalkyl, C
4cycloalkyl, C
5cycloalkyl, cyclopropyl, cyclobutyl, cyclopentyl, and the like. [00111] In some embodiments of R
2, the optionally substituted heteroaryl is an optionally substituted 5-membered heteroaryl. [00112] In some embodiments of R
2, the optionally substituted 5-membered heteroaryl is substituted with an optionally substituted C
1-C
6alkyl, such as, for example, C
1- C
6alkyl, C
1-C
5alkyl, C
1-C
4alkyl, C
1-C
3alkyl, C
1-C
2alkyl, C
6alkyl, C
5alkyl, C
4alkyl, C
3alkyl, C
2alkyl, C
1alkyl, methyl, ethyl, n-propyl, iso-propyl, n-butyl, t-butyl, iso-butyl, sec-butyl, n- pentyl, n-hexyl, and the like; or an optionally substituted C
3-C
5cycloalkyl, such as, for example, C
3cycloalkyl, C
4cycloalkyl, C
5cycloalkyl, cyclopropyl, cyclobutyl, cyclopentyl, and the like. [00113] In some embodiments of R
2, the optionally substituted 5-membered heteroaryl is an is an optionally substituted pyrrolyl. [00114] In some embodiments of R
2, the optionally substituted pyrrolyl is an unsubstituted pyrrolyl. [00115] In some embodiments of R
2, unsubstituted pyrrolyl is pyrrol-3-yl. [00116] In some embodiments of R
2, the optionally substituted pyrrolyl is 1- (methylsulfonyl)-1H-pyrrol-3-yl. [00117] In some embodiments of R
2, the optionally substituted 5-membered heteroaryl is an is an optionally substituted pyrazolyl. [00118] In some embodiments of R
2, the optionally substituted pyrazolyl is an unsubstituted pyrazolyl. [00119] In some embodiments of R
2, the unsubstituted pyrazolyl is pyrazol-3-yl. [00120] In some embodiments of R
2, the unsubstituted pyrazolyl is pyrazol-4-yl. [00121] In some embodiments of R
2, the optionally substituted pyrazolyl is substituted with an optionally substituted C
1-C
6alkyl, such as, for example, C
1-C
6alkyl, C
1- C
5alkyl, C
1-C
4alkyl, C
1-C
3alkyl, C
1-C
2alkyl, C
6alkyl, C
5alkyl, C
4alkyl, C
3alkyl, C
2alkyl, C
1alkyl, methyl, ethyl, n-propyl, iso-propyl, n-butyl, t-butyl, iso-butyl, sec-butyl, n-pentyl, n- hexyl, and the like; or an optionally substituted C
3-C
5cycloalkyl, such as, for example, C
3cycloalkyl, C
4cycloalkyl, C
5cycloalkyl, cyclopropyl, cyclobutyl, cyclopentyl, and the like. [00122] In some embodiments of R
2, the optionally substituted pyrazolyl is substituted with a methyl group, i.e., -CH
3. [00123] In some embodiments of R
2, the optionally substituted pyrazolyl is substituted with a 2-hydroxyethyl group, i.e., -CH
2CH
2OH. [00124] In some embodiments of R
2, the optionally substituted pyrazolyl is substituted with a 2-(C
1-C
6alkoxy)ethyl group, i.e., -CH
2CH
2O(C
1-C
6alkyl). [00125] In some embodiments of R
2, the optionally substituted pyrazolyl is substituted with a 3-(C
1-C
6alkoxy)propyl group, i.e., -CH
2 CH
2CH
2O(C
1-C
6alkyl). [00126] In some embodiments of R
2, the optionally substituted pyrazolyl is substituted with a 2-methoxyethyl group, i.e., -CH
2CH
2OCH
3. [00127] In other embodiments of R
2, the optionally substituted pyrazolyl is substituted with a cyclopropyl group. [00128] In some embodiments of R
2, the optionally substituted pyrazolyl is 1- methyl-pyrazol-3-yl, 1-methyl-pyrazol-4-yl, 1-methyl-pyrazol-5-yl, 1-cyclopropyl-pyrazol-3- yl, 1-cyclopropyl-pyrazol-4-yl, 1-cyclopropyl-pyrazol-5-yl, 1-(2-hydroxyethyl)-pyrazol-3-yl, 1-(2-hydroxyethyl)-pyrazol-4-yl, 1-(2-hydroxyethyl)-pyrazol-5-yl, or 1-(2-methoxyethyl)- 1H-pyrazol-4-yl, and in particular optionally substituted pyrazolyl is 1-methyl-pyrazol-3-yl, 1-methyl-pyrazol-4-yl, 1-methyl-pyrazol-5-yl, 1-cyclopropyl-pyrazol-3-yl, 1-cyclopropyl- pyrazol-4-yl, 1-cyclopropyl-pyrazol-5-yl, 1-(2-hydroxyethyl)-pyrazol-3-yl, 1-(2- hydroxyethyl)-pyrazol-4-yl, 1-(2-hydroxyethyl)-pyrazol-5-yl. [00129] In some embodiments of R
2, the optionally substituted pyrazolyl is 1- methyl-pyrazol-5-yl. [00130] In some embodiments of R
2, the optionally substituted pyrazolyl 3- cyclopropyl-1-methyl-1H-pyrazol-4-yl. [00131] In some embodiments of R
2, the optionally substituted pyrazolyl is 1-(3- methoxypropyl)-1H-pyrazol-4-yl, [00132] In some embodiments of R
2, the optionally substituted pyrazolyl is 1- methylpyrazol-4-yl. [00133] In some embodiments of R
2, the optionally substituted pyrazolyl is 1- methylpyrazol-3-yl. [00134] In some embodiments of R
2, the optionally substituted pyrazolyl is 1-(2- methoxyethyl)-pyrazol-4-yl. [00135] In some embodiments of R
2, the optionally substituted pyrazolyl is 1-(2- methoxyethyl)-3,5-dimethyl-pyrazol-4-yl. [00136] In some embodiments of R
2, the optionally substituted pyrazolyl is 1-(3- methoxypropyl)-pyrazol-4-yl. [00137] In some embodiments of R
2, the optionally substituted pyrazolyl is 1-(2- hydroxyeth-1-yl)-pyrazol-4-yl. [00138] In some embodiments of R
2, the optionally substituted pyrazolyl is 3- methylpyrazol-4-yl. [00139] In some embodiments of R
2, the optionally substituted pyrazolyl is 1- ethylpyrazol-5-yl. [00140] In some embodiments of R
2, the optionally substituted pyrazolyl is 1- methyl-5-methoxy-pyrazol-4-yl. [00141] In some embodiments of R
2, the optionally substituted pyrazolyl is 1- methyl-3-methoxy-pyrazol-4-yl. [00142] In some embodiments of R
2, the optionally substituted pyrazolyl is 1- (cyclopropylmethyl)pyrazol-4-yl. [00143] In some embodiments of R
2, the optionally substituted pyrazolyl is 1- cyclobutanyl-pyrazol-4-yl. [00144] In other embodiments of R
2, the optionally substituted pyrazolyl is substituted with two or three methyl groups. [00145] In other embodiments of R
2, the optionally substituted pyrazolyl is 1,5- dimethyl-pyrazol-4-yl, 1,3-dimethyl-pyrazol-4-yl, 1-(2-methoxyethyl)-3,5-dimethyl-pyrazol- 4-yl, 3,5-dimethyl-pyrazol-4-yl, 1,4-dimethyl-pyrazol-5-yl, or 1,3,5-trimethyl-pyrazol-4-yl. [00146] In other embodiments of R
2, the optionally substituted pyrazolyl is 3,5- dimethyl-pyrazol-4-yl. [00147] In other embodiments of R
2, the optionally substituted pyrazolyl is 1,5- dimethyl-pyrazol-4-yl. [00148] In other embodiments of R
2, the optionally substituted pyrazolyl is 1,3- dimethyl-pyrazol-4-yl. [00149] In other embodiments of R
2, the optionally substituted pyrazolyl is 1,3,5- trimethyl-pyrazol-4-yl. [00150] In other embodiments of R
2, the optionally substituted pyrazolyl is 1- methyl-3-trifluoromethyl-pyrazol-4-yl. [00151] In other embodiments of R
2, the optionally substituted pyrazolyl is 1- trifluoromethyl-pyrazol-4-yl. [00152] In other embodiments of R
2, the optionally substituted pyrazolyl is 1-(2,2,2- trifluoroeth-1-yl)-pyrazol-4-yl. [00153] In some embodiments of R
2, the optionally substituted pyrazolyl is 1- difluoromethylpyrazol-4-yl. [00154] In some embodiments of R
2, the optionally substituted pyrazolyl is 1- methyl-3-difluoromethylpyrazol-4-yl. [00155] In some embodiments of R
2, the optionally substituted pyrazolyl is 1- methyl-5-difluoromethylpyrazol-4-yl. [00156] In some embodiments of R
2, the optionally substituted pyrazolyl is 1- methyl-3-(1,1-difluoroeth-1yl)-pyrazol-4-yl. [00157] In some embodiments of R
2, the optionally substituted pyrazolyl is 1-(2- cyanoethyl)-pyrazol-4-yl. [00158] In some embodiments of R
2, the optionally substituted pyrazolyl is 1-(N,N- dimethylacetamid-2-yl)-pyrazol-4-yl. [00159] In other embodiments of R
2, the optionally substituted pyrazolyl is 3,5- dimethyl-1-(2-methoxyethyl)-pyrazol-4-yl. [00160] In other embodiments of R
2, the optionally substituted pyrazolyl is 3,5- dimethyl-1-(oxetan-3-yl)-1H-pyrazol-4-yl. [00161] In other embodiments of R
2, the optionally substituted pyrazolyl is 1-
(thietan-3-yl 1,1-dioxide)-pyrazol-4-yl, i.e., [00162] In other embodiments of R
2, the optionally substituted pyrazolyl is 1- (oxetan-3-yl)-1H-pyrazol-4-yl. [00163] In other embodiments of R
2, the optionally substituted pyrazolyl is 1- (oxetan-3-yl-methyl)-pyrazol-4yl. [00164] In other embodiments of R
2, the optionally substituted pyrazolyl is 1- (tetrahydro-2H-pyran-4-yl)- pyrazol-4-yl. [00165] In other embodiments of R
2, the optionally substituted pyrazolyl is 1- (tetrahydrofuran-3-yl)-pyrazol-4-yl. [00166] In other embodiments of R
2, the optionally substituted pyrazolyl is (R)-1- (tetrahydrofuran-3-yl)-pyrazol-4-yl. [00167] In other embodiments of R
2, the optionally substituted pyrazolyl is (S)-1- (tetrahydrofuran-3-yl)-pyrazol-4-yl. [00168] In other embodiments of R
2, the optionally substituted pyrazolyl is 1- ((methylsulfonyl)methyl)-pyrazol-4-yl. [00169] In other embodiments of R
2, the optionally substituted pyrazolyl is 1- ((cyano)methyl)-pyrazol-4-yl. [00170] In other embodiments of R
2, the optionally substituted pyrazolyl is 1-(1- (cyano)eth-1-yl)-pyrazol-4-yl. [00171] In other embodiments of R
2, the optionally substituted pyrazolyl is (1- hydroxy-2-methylpropan-2-yl)-1H-pyrazol-4-yl. [00172] In other embodiments of R
2, the optionally substituted pyrazolyl is 1-(2- hydroxy-2-methylpropan-1-yl)-pyrazol-4-yl. [00173] In other embodiments of R
2, the optionally substituted pyrazolyl is 1- (acetamid-2-yl)-pyrazol-4-yl. [00174] In other embodiments of R
2, the optionally substituted pyrazolyl is 1-(N- methylacetamid-2-yl)-pyrazol-4-yl. [00175] In other embodiments of R
2, the optionally substituted pyrazolyl is 1-(4- piperidinyl)-pyrazol-4-yl. [00176] In other embodiments of R
2, the optionally substituted pyrazolyl is 1-(2- (methylsulfonyl)ethyl)-1H-pyrazol-4-yl. [00177] In other embodiments of R
2, the optionally substituted pyrazolyl is 1-(2,3- dihydroxy-propan-1-yl)-pyrazol-3-yl. [00178] In other embodiments of R
2, the optionally substituted pyrazolyl is 1-(2,3- dihydroxy-propan-1-yl)-pyrazol-4-yl. [00179] In other embodiments of R
2, the optionally substituted pyrazolyl is 1-(2- hydroxy-propan-1-yl)-pyrazol-4-yl. [00180] In other embodiments of R
2, the optionally substituted pyrazolyl is 1-(3,4- dihydroxy-butan-1yl)-pyrazol-4-yl. [00181] In other embodiments of R
2, the optionally substituted pyrazolyl is 1-((3- hydroxy-isoxazol-5-yl)methyl)-pyrazol-4-yl. [00182] In other embodiments of R
2, the optionally substituted pyrazolyl is 1-((3- benzyloxy-isoxazol-5-yl)methyl)-pyrazol-4-yl. [00183] In other embodiments of R
2, the optionally substituted pyrazolyl is 1- (pyridin-3-yl)-pyrazol-4-yl. [00184] In other embodiments of R
2, the optionally substituted pyrazolyl is 3- (hydroxymethyl)-1-methyl-pyrazol-4-yl. [00185] In other embodiments of R
2, the optionally substituted pyrazolyl is 1-(1- hydroxy-2-methylpropan-2-yl)-pyrazol-4-yl. [00186] In other embodiments of R
2, the optionally substituted pyrazolyl is 1-(4-
tetrahydro-2H-thiopyran 1,1-dioxide)-pyrazol-4-yl, i.e., [00187] In other embodiments of R
2, the optionally substituted pyrazolyl is 1-(3,6- dihydro-2H-pyran-4-yl)-1H-pyrazol-4-yl. [00188] In some embodiments of R
2, the optionally substituted 5-membered heteroaryl is an is an optionally substituted triazolyl. [00189] In some embodiments of R
2, the optionally substituted triazolyl is substituted with an optionally substituted C
1-C
6alkyl, such as, for example, C
1-C
6alkyl, C
1- C
5alkyl, C
1-C
4alkyl, C
1-C
3alkyl, C
1-C
2alkyl, C
6alkyl, C
5alkyl, C
4alkyl, C
3alkyl, C
2alkyl, C
1alkyl, methyl, ethyl, n-propyl, iso-propyl, n-butyl, t-butyl, iso-butyl, sec-butyl, n-pentyl, n- hexyl, and the like; or an optionally substituted C
3-C
5cycloalkyl, such as, for example, C
3cycloalkyl, C
4cycloalkyl, C
5cycloalkyl, cyclopropyl, cyclobutyl, cyclopentyl, and the like. [00190] In some embodiments of R
2, the optionally substituted 5-membered heteroaryl is 2,4-dimethyl-1,2,3-triazol-5-yl. [00191] In some embodiments of R
2, the optionally substituted 5-membered heteroaryl is 2-methyl-1,2,3-triazol-4-yl. [00192] In some embodiments of R
2, the optionally substituted 5-membered heteroaryl is 1-methyl-1,2,3-triazol-5-yl. [00193] In some embodiments of R
2, the optionally substituted 5-membered heteroaryl is an optionally substituted imidazolyl. [00194] In some embodiments of R
2, the optionally substituted imidazolyl is 1- methyl-imidazol-4-yl. [00195] In some embodiments of R
2, the optionally substituted 5-membered heteroaryl is an optionally substituted isoxazolyl. [00196] In some embodiments of R
2, the optionally substituted isoxazolyl is 3,5- dimethyl-isoxazol-4-yl. [00197] In some embodiments of R
2, the optionally substituted isoxazolyl is isoxazol-4-yl. [00198] In some embodiments of R
2, the optionally substituted isoxazolyl is 3- (methoxymethyl)-5-methyl-isoxazol-4-yl. [00199] In some embodiments of R
2, the optionally substituted 5-membered heteroaryl is an optionally substituted furanyl. [00200] In some embodiments of R
2, the optionally substituted furanyl is 2- (hydroxymethyl)-furan-5-yl. [00201] In some embodiments of R
2, the optionally substituted 5-membered heteroaryl is furan-3-yl. [00202] In some embodiments of R
2, the optionally substituted 5-membered heteroaryl is an optionally substituted thiophenyl. [00203] In some embodiments of R
2, the optionally substituted thiophenyl is thiopheny-3-yl. [00204] In some embodiments of R
2, the optionally substituted thiophenyl is 2- hydroxymethyl-thiophen-5-yl. [00205] In some embodiments of R
2, the optionally substituted 5-membered heteroaryl is an optionally substituted thiazolyl. [00206] In some embodiments of R
2, the optionally substituted thiazolyl is 2- methoxy-thiazol-4-yl. [00207] In some embodiments of R
2, the optionally substituted thiazolyl is thiazol- 5-yl. [00208] In some embodiments of R
2, the optionally substituted 5-membered heteroaryl is an optionally substituted isothiazolyl. [00209] In some embodiments of R
2, the optionally substituted isothiazolyl is isothiazol-4-yl. [00210] In some embodiments of R
2, the optionally substituted 5-membered heteroaryl is an optionally substituted oxazolyl. [00211] In some embodiments of R
2, the optionally substituted oxazolyl is oxazol- 5-yl. [00212] In some embodiments of R
2, the optionally substituted oxazolyl is 2- methyl-oxazol-5-yl. [00213] In some embodiments of R
2, the optionally substituted oxazolyl is 2- cyclopropyl-oxazol-5-yl. [00214] In some embodiments of R
2, the optionally substituted 5-membered heteroaryl is an optionally substituted pyrrolyl. [00215] In some embodiments of R
2, the optionally substituted pyrrolyl is 1-methyl- 2-cyano-pyrrol-4-yl. [00216] In some embodiments of R
2, the optionally substituted 5-membered heteroaryl is an optionally substituted thiophenyl. [00217] In some embodiments of R
2, the optionally substituted thiophenyl is 2- hydroxymethyl-thiophen-4-yl. [00218] In some embodiments of R
2, the optionally substituted thiophenyl is thiophen-3-yl. [00219] In some embodiments, R
2 in the compounds of formula (I) is an optionally substituted 6-membered heteroaryl. [00220] In some embodiments of R
2, the optionally substituted 6-membered heteroaryl is an optionally substituted pyridinyl, an optionally substituted pyridazinyl, or an optionally substituted pyrimidinyl. [00221] In some embodiments of R
2, the optionally substituted 6-membered heteroaryl is substituted with an optionally substituted C
1-C
6alkyl, such as, for example, C
1- C
6alkyl, C
1-C
5alkyl, C
1-C
4alkyl, C
1-C
3alkyl, C
1-C
2alkyl, C
6alkyl, C
5alkyl, C
4alkyl, C
3alkyl, C
2alkyl, C
1alkyl, methyl, ethyl, n-propyl, iso-propyl, n-butyl, t-butyl, iso-butyl, sec-butyl, n- pentyl, n-hexyl, and the like; or an optionally substituted C
3-C
5cycloalkyl, such as, for example, C
3cycloalkyl, C
4cycloalkyl, C
5cycloalkyl, cyclopropyl, cyclobutyl, cyclopentyl, and the like. [00222] In some embodiments of R
2, the optionally substituted 6-membered heteroaryl is an is an optionally substituted pyridinyl. [00223] In some embodiments of R
2, the optionally substituted pyridinyl is substituted with an optionally substituted C
1-C
6alkyl, such as, for example, C
1-C
6alkyl, C
1- C
5alkyl, C
1-C
4alkyl, C
1-C
3alkyl, C
1-C
2alkyl, C
6alkyl, C
5alkyl, C
4alkyl, C
3alkyl, C
2alkyl, C
1alkyl, methyl, ethyl, n-propyl, iso-propyl, n-butyl, t-butyl, iso-butyl, sec-butyl, n-pentyl, n- hexyl, and the like; or an optionally substituted C
3-C
5cycloalkyl, such as, for example, C
3cycloalkyl, C
4cycloalkyl, C
5cycloalkyl, cyclopropyl, cyclobutyl, cyclopentyl, and the like. [00224] In some embodiments of R
2, the optionally substituted pyridinyl is unsubstituted pyridinyl. [00225] In some embodiments of R
2, the unsubstituted pyridinyl is pyridine-2-yl. [00226] In some embodiments of R
2, the unsubstituted pyridinyl is pyridine-3-yl. [00227] In some embodiments of R
2, the unsubstituted pyridinyl is pyridine-4-yl. [00228] In some embodiments of R
2, the optionally substituted pyridinyl is C
1- C
6alkoxyl substituted pyridinyl. [00229] In some embodiments of R
2, the optionally substituted pyridinyl is methoxy substituted pyridinyl, such as, for example, 4-methoxypyridin-3-yl. [00230] In some embodiments of R
2, the optionally substituted pyridinyl is 2- methoxypyridin-3-yl. [00231] In some embodiments of R
2, the optionally substituted pyridinyl is 2- methoxypyridin-5-yl. [00232] In some embodiments of R
2, the optionally substituted pyridinyl is 2- methoxypyridin-6-yl. [00233] In some embodiments of R
2, the optionally substituted pyridinyl is 4- methoxypyridin-3-yl. [00234] In some embodiments of R
2, the optionally substituted pyridinyl is 3- methoxypyridin-4-yl. [00235] In some embodiments of R
2, the optionally substituted pyridinyl is 2- ethoxypyridin-3-yl. [00236] In some embodiments of R
2, the optionally substituted pyridinyl is 2- trifluoromethoxypyridin-3-yl. [00237] In some embodiments of R
2, the optionally substituted pyridinyl is 2- hydroxypyridin-3-yl. [00238] In some embodiments of R
2, the optionally substituted pyridinyl is 2- hydroxypyridin-5-yl. [00239] In some embodiments of R
2, the optionally substituted pyridinyl is 2- methylpyridin-3-yl. [00240] In some embodiments of R
2, the optionally substituted pyridinyl is 2- methylpyridin-5-yl. [00241] In some embodiments of R
2, the optionally substituted pyridinyl is 2- ethylpyridin-3-yl. [00242] In some embodiments of R
2, the optionally substituted pyridinyl is 2-(2- fluoroethoxy)pyridin-3-yl. [00243] In some embodiments of R
2, the optionally substituted pyridinyl is 2- amino-3-fluoro-pyridin-5-yl. [00244] In some embodiments of R
2, the optionally substituted pyridinyl is 2- amino-pyridin-5-yl or 6-aminopyridin-3-yl. [00245] In some embodiments of R
2, the optionally substituted pyridinyl is 2-(4- morpholinyl)-pyridin-4-yl. [00246] In some embodiments of R
2, the optionally substituted pyridinyl is 2- (methoxymethyl)-pyridin-4-yl. [00247] In some embodiments of R
2, the optionally substituted pyridinyl is 3- (methoxy)-pyridin-4-yl. [00248] In some embodiments of R
2, the optionally substituted pyridinyl is 2- (methoxy)-pyridin-3-yl. [00249] In some embodiments of R
2, the optionally substituted pyridinyl is 5- (cyano)-pyridin-3-yl. [00250] In some embodiments of R
2, the optionally substituted pyridinyl is 6- (cyano)-pyridin-3-yl. [00251] In some embodiments of R
2, the optionally substituted pyridinyl is 6- (difluoromethyl)-pyridin-3-yl. [00252] In some embodiments of R
2, the optionally substituted pyridinyl is 2- (dimethylamino)pyridin-4-yl. [00253] In some embodiments of R
2, the optionally substituted pyridinyl is 3- (methylsulfonyl)pyridin-5-yl. [00254] In some embodiments of R
2, the optionally substituted pyridinyl is 4- (acetylamino)-pyridin-2-yl. [00255] In some embodiments of R
2, the optionally substituted pyridinyl is 3- (acetylamino)-pyridin-5-yl. [00256] In some embodiments of R
2, the optionally substituted pyridinyl is 2- (acetylamino)-pyridin-4-yl. [00257] In some embodiments of R
2, the optionally substituted pyridinyl is 2-(N- methylacetamid)-pyridin-4-yl, i.e.,
[00258] In some embodiments of R
2, the optionally substituted pyridinyl is 3- fluoro-pyridin-5-yl-2-carboxamide. [00259] In some embodiments of R
2, the optionally substituted 6-membered heteroaryl is an is an optionally substituted pyridazinyl. [00260] In some embodiments of R
2, the optionally substituted pyridazinyl is pyridazin-4-yl. [00261] In some embodiments of R
2, the optionally substituted pyridaziny is 3- methyl-pyridazin-5-yl. [00262] In some embodiments of R
2, the optionally substituted pyridaziny is 3,6- dimethoxy-pyridazin-4-yl. [00263] In some embodiments of R
2, the optionally substituted pyridaziny is 3- hydroxy-pyridazin-6-yl. [00264] In some embodiments of R
2, the optionally substituted 6-membered heteroaryl is an is an optionally substituted pyrimidinyl. [00265] In some embodiments of R
2, the optionally substituted pyrimidinyl is pyrimidin-5-yl. [00266] In some embodiments of R
2, the optionally substituted pyrimidinyl is 2- methoxy-4-hydroxy-pyrimidin-5-yl. [00267] In some embodiments of R
2, the optionally substituted pyrimidinyl is 2- methoxy-pyrimidin-5-yl. [00268] In some embodiments of R
2, the optionally substituted pyrimidinyl is 2,4- dimethoxy-pyrimidin-5-yl. [00269] In some embodiments of R
2, the optionally substituted pyrimidinyl is 4- methyl-pyrimidin-5-yl. [00270] In some embodiments of R
2, the optionally substituted heteroaryl is an optionally substituted 6,7-dihydro-5H-pyrazolo[5,1-b][1,3]oxazine. [00271] In some embodiments of R
2, the optionally substituted 6,7-dihydro-5H- pyrazolo[5,1-b][1,3]oxazine is 6,7-dihydro-5H-pyrazolo[5,1-b][1,3]oxazin-3-yl. [00272] In some embodiments of R
2, the optionally substituted heteroaryl is 6,7- dihydro-4H-pyrazolo[5,1-c][1,4]oxazin-3-yl. [00273] In some embodiments of R
2, the optionally substituted heteroaryl is 5,6- dihydro-8H-imidazo[2,3-c][1,4]oxazin-3-yl. [00274] In some embodiments of R
2, the optionally substituted heteroaryl is 7,8- dihydro-5H-imidazo[3,2-c][1,3]oxazin-3-yl. [00275] In some embodiments of R
2, the optionally substituted heteroaryl is an optionally substituted 1-methylindazol-4-yl. [00276] In some embodiments of R
2, the optionally substituted heteroaryl is an optionally substituted 1H-pyrazolo[3,4-b]pyridin-1-yl. [00277] In some embodiments of R
2, the optionally substituted 1H-pyrazolo[3,4- b]pyridin-1-yl is unsubstituted 1H-pyrazolo[3,4-b]pyridin-1-yl. [00278] In some embodiments of R
2, the optionally substituted heteroaryl is an optionally substituted 1H-pyrazolo[3,4-b]pyridine-5-yl [00279] In some embodiments of R
2, the optionally substituted heteroaryl is an optionally substituted indolyl. [00280] In some embodiments of R
2, the optionally substituted indolyl is an unsubstituted indolyl. [00281] In some embodiments of R
2, the unsubstituted indolyl is indol-3-yl. [00282] In some embodiments of R
2, the optionally substituted heteroaryl is 2-oxo- 2,3-dihydrobenzo[d]oxazol-5-yl. [00283] In some embodiments, R
2 in the compounds of formula (I) is optionally substituted fused heterocycloalkyl. [00284] In some embodiments, R
2 in the compounds of formula (I) or the compounds of formula (I) is optionally substituted alkyl. [00285] In some embodiments, R
2 in the optionally substituted alkyl is 3- methoxyprop-1-yl. [00286] In some embodiments, R
2 in the compounds of formula (I) is optionally substituted cycloalkyl. [00287] In some embodiments, the optionally substituted cycloalkyl is 4-cyano- cyclohex-1-en-1-yl. [00288] In some embodiments, R
2 in the compounds of formula (I) is (methoxymethyl)-cyclopropan-2-yl. [00289] In some embodiments, R
2 in the compounds of formula (I) is 6- oxaspiro[2.5]octan-1-yl. [00290] In some embodiments, R
2 in the compounds of formula (I) is optionally substituted heterocycloalkyl. [00291] In some embodiments, the optionally substituted heterocycloalkyl is an optionally substituted dihydropyran, an optionally substituted tetrahydropyran, or an optionally substituted morpholine. [00292] In some embodiments, the optionally substituted heterocycloalkyl is an optionally substituted dihydrofuran. [00293] In some embodiments the optionally substituted heterocycloalkyl is substituted with hydroxy, hydroxyalkyl, C
1-C
6alkoxyl, or -C
1-C
6alk-O-C
1-C
6alkyl. [00294] In some embodiments, the optionally substituted heterocycloalkyl is
[00295] In some embodiments of R
2, the optionally substituted heterocycloalkyl is 3,6-dihydro-2H-pyran-4-yl. [00296] In some embodiments of R
2, the optionally substituted heterocycloalkyl is tetrahydropyran-4-yl. [00297] In some embodiments of R
2, the optionally substituted heterocycloalkyl is 3,6-dihydro-2H-pyran-5-yl. [00298] In some embodiments of R
2, the optionally substituted heterocycloalkyl is 3,4-dihydro-2H-pyran-5-yl. [00299] In some embodiments of R
2, the optionally substituted heterocycloalkyl is 1-methylpyridin-2(1H)-one-5-yl. [00300] In some embodiments of R
2, the optionally substituted heterocycloalkyl is 1-(3,6-dihydro-pyridin-1(2H)-yl)ethan-1-one-4-yl, i.e.,
[00301] In some embodiments of R
2, the optionally substituted heterocycloalkyl is 2,5-dihydro-furan-3-yl. [00302] In some embodiments of R
2, the optionally substituted heterocycloalkyl is 1-acetyl-3,6-dihydro-pyridin-4-yl. [00303] In some embodiments of R
2, the optionally substituted heterocycloalkyl is 1-acetyl-3,6-dihydro-pyridin-4-yl. [00304] In some embodiments of R
2, the optionally substituted heterocycloalkyl is 2,5-dioxaspiro[3.5]non-7-en-7-yl. [00305] In some embodiments of R
2, the optionally substituted heterocycloalkyl is 1-(2-fluoroethyl)-2-oxo-1,2-dihydropyridin-3-yl. [00306] In some embodiments of R
2, the optionally substituted heterocycloalkyl is 1-methyl-6-oxo-1,6-dihydropyridin-3-yl. [00307] In some embodiments, R
2 in the compounds of formula (I) is ethynyl substituted with heteroaryl, aryl, optionally substituted alkyl, cycloalkyl, or heterocycloalkyl. [00308] In some embodiments, R
2 in the compounds of formula (I) is ethynyl substituted with heteroaryl, such as, for example,
[00309] In some embodiments, R
2 in the compounds of formula (I) is ethynyl substituted with aryl, such as, for example,
[00310] In some embodiments, R
2 in the compounds of formula (I) is ethynyl substituted with optionally substituted alkyl, such as, for example,
[00311] In some embodiments, R
2 in the compounds of formula (I) is ethynyl substituted with cycloalkyl, such as, for example,
[00312] In some embodiments, R
2 in the compounds of formula (I) is ethynyl substituted with heterocycloalkyl such as for example
[00313] In some aspects, n in the compounds of formula (I) is 1, 2, or 3. [00314] In some embodiments, n in the compounds of formula (I) is 1. [00315] In some embodiments, n in the compounds of formula (I) is 2. [00316] In some embodiments, n in the compounds of formula (I) is 3. [00317] In some aspects of the compounds of formula (I), L is -C(O)NH-, - NHC(O)O-, -NHC(O)-, -NHC(O)NH-, or -NHC(O)NR
8-, wherein when L is -NHC(O)NR
8-, an R
5 or an R
6 attached to a carbon atom, together with R
8, form a heterocycloalkyl ring; and wherein when L is -C(O)NH-, -NHC(O)O-, -NHC(O)NR
8-, or -NHC(O)NH-, n is 2 or 3, and when L is -NHC(O)-, n is 1, 2, or 3. [00318] The diradicals “-L-,” as used herein, are written from left-to-right such that the left hand side of L is attached to the pyridinyl/phenyl moiety in the compounds of the disclosure. [00319] In some embodiments of the compounds of formula (I), n is 1 and L is - NHC(O)-. [00320] In some embodiments of the compounds of formula (I), n is 2, or 3 and L is -NHC(O)-. [00321] In some embodiments of the compounds of formula (I), n is 2 and L is - NHC(O)-. [00322] In some embodiments of the compounds of formula (I), n is 3 and L is - NHC(O)-. [00323] In some embodiments of the compounds of formula (I), n is 2 or 3, and L is -C(O)NH-. [00324] In some embodiments of the compounds of formula (I), n is 2 and L is - C(O)NH-. [00325] In some embodiments of the compounds of formula (I), n is 3 and L is - C(O)NH-. [00326] In some embodiments of the compounds of formula (I), n is 2 or 3, and L is -NHC(O)O-. [00327] In some embodiments of the compounds of formula (I), n is 2 and L is - NHC(O)O-. [00328] In some embodiments of the compounds of formula (I), n is 3 and L is - NHC(O)O-. [00329] In some embodiments of the compounds of formula (I), n is 2 or 3, and L is -NHC(O)NH. [00330] In some embodiments of the compounds of formula (I), n is 2 and L is - NHC(O)NH. [00331] In some embodiments of the compounds of formula (I), n is 3 and L is - NHC(O)NH. [00332] In some embodiments of the compounds of formula (I), n is 2 or 3 and L is -NHC(O)NR
8-, wherein an R
5 or an R
6 attached to a carbon atom, together with R
8, form a heterocycloalkyl ring. [00333] In some embodiments of the compounds of formula (I), n is 2 and L is - NHC(O)NR
8-, wherein an R
5 or an R
6 attached to a carbon atom, together with R
8, form a heterocycloalkyl ring. [00334] In some embodiments of the compounds of formula (I), n is 3 and L is - NHC(O)NR
8-, wherein an R
5 or an R
6 attached to a carbon atom, together with R
8, form a heterocycloalkyl ring. [00335] In some aspects, R
3 and R
4 in the compounds of formula (I) are each independently optionally substituted aryl, optionally substituted heteroaryl, optionally substituted alkyl, optionally substituted cycloalkyl, or optionally substituted heterocycloalkyl; or one of R
3 or R
4 in the compounds of formula (I) may be H. [00336] In some embodiments, one of R
3 or R
4 in compounds of formula (I) is H. [00337] In some embodiments, R
3 or R
4 in the compounds of formula (I) is optionally substituted aryl, such as, for example, optionally substituted phenyl, indenyl, naphthyl, or 1,2,3,4-tetrahydronaphthyl. [00338] In some embodiments, R
3 or R
4 in the compounds of formula (I) is optionally substituted heteroaryl, such as, for example, optionally substituted pyridyl, pyrrolyl, pyrazinyl, pyrimidinyl, pyridazinyl, pyrazolyl, thienyl, indolyl, imidazolyl, oxazolyl, isoxazolyl, thiazolyl, furyl, oxadiazolyl, thiadiazolyl, quinolyl, isoquinolyl, benzothiazolyl, benzoxazolyl, indazolyl, quinoxalyl, quinazolyl, 5,6,7,8- tetrahydroisoquinolinyl benzofuranyl, benzimidazolyl, thianaphthenyl, pyrrolo[2,3- b]pyridinyl, quinazolinyl-4(3H)-one, triazolyl, or 4,5,6,7-tetrahydro-1H-indazole. [00339] In some embodiments, R
3 or R
4 in the compounds of formula (I) is pyridinyl. In some embodiments, R
3 or R
4 in the compounds of formula (I) is 2-pyridinyl. [00340] In some embodiments, R
3 or R
4 in the compounds of formula (I) or the compounds of formula (I) is optionally substituted alkyl, such as, for example, optionally substituted C
1-C
6alkyl, C
1-C
5alkyl, C
1-C
4alkyl, C
1-C
3alkyl, C
1-C
2alkyl, C
6alkyl, C
5alkyl, C
4alkyl, C
3alkyl, C
2alkyl, C
1alkyl, methyl, ethyl, n-propyl, iso-propyl, n-butyl, t-butyl, iso- butyl, sec-butyl, n-pentyl, n-hexyl, and the like. [00341] In some embodiments, R
3 or R
4 in the compounds of formula (I) or the compounds of formula (I) is -CH
3. [00342] In some embodiments, R
3 or R
4 in the compounds of formula (I) or the compounds of formula (I) is -CH
2CH(CH
3)
2. [00343] In some embodiments, R
3 or R
4 in the compounds of formula (I) or the compounds of formula (I) is -CH
2CH
2CH
3. [00344] In some embodiments, R
3 or R
4 in the compounds of formula (I) or the compounds of formula (I) is -CH(CH
3)
2. [00345] In some embodiments, R
3 or R
4 in the compounds of formula (I) or the compounds of formula (I) is -C(CH
3)
3. [00346] In some embodiments, R
3 or R
4 in the compounds of formula (I) or the compounds of formula (I) is -CH
2CH
2OCH
3. [00347] In some embodiments, R
3 or R
4 in the compounds of formula (I) or the compounds of formula (I) is -CH
2CH
2OH. [00348] In some embodiments, R
3 or R
4 in the compounds of formula (I) or the compounds of formula (I) is -CH
2CH
2CH(OH)-phenyl. [00349] In some embodiments, R
3 or R
4 in the compounds of formula (I) or the compounds of formula (I) is -CH
2-cyclohexyl. [00350] In some embodiments, R
3 or R
4 in the compounds of formula (I) or the compounds of formula (I) is -CH
2-cyclopropyl. [00351] In some embodiments, R
3 or R
4 in the compounds of formula (I) or the compounds of formula (I) is -CH
2-cyclopentyl. [00352] In some embodiments, R
3 or R
4 in the compounds of formula (I) or the compounds of formula (I) is -CH
2-(tetrahydropyran). [00353] In some embodiments, R
3 or R
4 in the compounds of formula (I) is optionally substituted cycloalkyl, such as, for example, optionally substituted C
3- C
6cycloalkyl, C
3cycloalkyl, C
4cycloalkyl, C
5cycloalkyl, C
6cycloalkyl, cyclopropyl, cyclobutyl, cyclopentyl, cyclohexyl, and the like. [00354] In some embodiments, R
3 or R
4 in the compounds of formula (I) is optionally substituted cyclopentyl. [00355] In some embodiments, R
3 or R
4 in the compounds of formula (I) is unsubstituted cyclopentyl. [00356] In some embodiments, R
3 or R
4 in the compounds of formula (I) is optionally substituted cyclobutyl. [00357] In some embodiments, R
3 or R
4 in the compounds of formula (I) is 1- methyl-cyclobut-1-yl. [00358] In some embodiments, R
3 or R
4 in the compounds of formula (I) is unsubstituted cyclobutyl. [00359] In some embodiments, R
3 or R
4 in the compounds of formula (I) is optionally substituted cyclohexyl. [00360] In some embodiments, R
3 or R
4 in the compounds of formula (I) is unsubstituted cyclohexyl. [00361] In some embodiments, R
3 or R
4 in the compounds of formula (I) is optionally substituted heterocycloalkyl, such as, for example, pyrrolidinyl, tetrahydrofuranyl, tetrahydrothiophenyl, isoxazolidinyl, oxazolidinyl, pyrazolidinyl, imidazolidinyl, or thiazolidinyl. [00362] In some embodiments, R
3 or R
4 in the compounds of formula (I) is tetrahydropyran-4-yl. [00363] In some embodiments, R
3 is optionally substituted alkyl or optionally substituted C
4-C
5cycloalkyl; and R
4 is optionally substituted C
4-C
5cycloalkyl or optionally substituted heteroaryl. [00364] In some aspects, R
3 and R
4 in the compounds of formula (I), together with the nitrogen atom to which they are both attached, form an optionally substituted 3-12- membered heterocycloalkyl ring, an optionally substituted 5-12-membered bridged heterocycloalkyl ring, an optionally substituted 4-12-membered fused heterocycloalkyl ring system, or an optionally substituted 5-12-membered spiroheterocycloalkyl ring system, wherein said 3-12-membered heterocycloalkyl ring, 5-12-membered bridged heterocycloalkyl ring, 4-12-membered fused heterocycloalkyl ring system, or 5-12-membered spiroheterocycloalkyl ring system may include, in addition to the nitrogen atom to which both R
3 and R
4 are attached, 1-3 other heteroatoms that are each independently O, S, or N. [00365] In some aspects, R
3 and R
4 in the compounds of formula (I), together with the nitrogen atom to which they are both attached, form an optionally substituted 3-12- membered heterocycloalkyl ring. Non-limiting examples of such heterocycloalkyl rings include the following:
[00366] In some embodiments, the optionally substituted 3-12-membered heterocycloalkyl ring is an optionally substituted azetidinyl, an optionally substituted pyrrolidinyl, optionally substituted piperidinyl, optionally substituted azepanyl, optionally substituted piperazinyl, optionally substituted oxazepanyl, optionally substituted thiomorpholinyl 1,1-dioxide, or optionally substituted morpholinyl. [00367] In some embodiments, the optionally substituted 3-12-membered heterocycloalkyl ring is
[00368] In some embodiments, the optionally substituted 3-12-membered heterocycloalkyl ring is
[00369] In some embodiments, the optionally substituted 3-12-membered heterocycloalkyl ring is
[00370] In some embodiments, the optionally substituted 3-12-membered heterocycloalkyl ring is
[00371] In some embodiments, the optionally substituted 3-12-membered heterocycloalkyl ring is
[00372] In some embodiments, the optionally substituted 3-12-membered heterocycloalkyl ring is
[00373] In some embodiments, the optionally substituted 3-12-membered heterocycloalkyl ring is
[00374] In some embodiments, the optionally substituted 3-12-membered heterocycloalkyl ring is
[00375] In some embodiments, the optionally substituted 3-12-membered heterocycloalkyl ring is
[00376] In some embodiments, the optionally substituted 3-12-membered heterocycloalkyl ring is
[00377] In some embodiments, the optionally substituted 3-12-membered heterocycloalkyl ring is substituted with C
1-C
6alkyl, C
1-C
6alkoxyl, -C
1-C
6alk-O-C
1-C
6alkyl, hydroxyl, hydroxyalkyl, halo, carbonyl (i.e., (=O)), cyano, cyclopropyl, or 5-membered heteroaryl. [00378] In some embodiments, the optionally substituted 3-12-membered heterocycloalkyl ring is substituted with at least one C
1-C
6alkyl group, such as, for example, C1-C6alkyl, C1-C5alkyl, C1-C4alkyl, C1-C3alkyl, C1-C2alkyl, C6alkyl, C5alkyl, C4alkyl, C
3alkyl, C
2alkyl, C
1alkyl, methyl, ethyl, n-propyl, iso-propyl, n-butyl, t-butyl, iso-butyl, sec- butyl, n-pentyl, n-hexyl, and the like. [00379] In some embodiments, the optionally substituted 3-12-membered heterocycloalkyl ring is substituted with at least one -CH
3 group. [00380] In some embodiments, R
3 and R
4, together with the nitrogen atom to which they are both attached, form a 2,2-dimethylpyrrolidin-1-yl group,
[00381] In some embodiments, R
3 and R
4, together with the nitrogen atom to which they are both attached, form,
[00382] In some embodiments, R
3 and R
4, together with the nitrogen atom to which they are both attached, form,
[00383] In other embodiments, R
3 and R
4, together with the nitrogen atom to which they are both attached, form a 3,3-dimethylpyrrolidin-1-yl group,
[00384] In other embodiments, R
3 and R
4, together with the nitrogen atom to which they are both attached, form a 3,3-dimethylazetidin-1-yl group,
[00385] In other embodiments, R
3 and R
4, together with the nitrogen atom to which they are both attached, form a 2,2-dimethylazetidin-1-yl group,
[00386] In other embodiments, R
3 and R
4, together with the nitrogen atom to which they are both attached, form
[00387] In other embodiments, R
3 and R
4, together with the nitrogen atom to which they are both attached, form a 2-isopropylazetidin-1-yl group,
[00388] In other embodiments, R
3 and R
4, together with the nitrogen atom to which they are both attached, form a 3-isopropylazetidin-1-yl group,
[00389] In other embodiments, R
3 and R
4, together with the nitrogen atom to which they are both attached, form a 2,4-dimethyl-azetidin-1-yl group,
[00390] In other embodiments, R
3 and R
4, together with the nitrogen atom to which they are both attached, form a 2,4-dimethyl-azetidin-1-yl group,
[00391] In some embodiments, R
3 and R
4, together with the nitrogen atom to which they are both attached, form a 2-phenyl-azetidin-1-yl group,
[00392] In some embodiments, R
3 and R
4, together with the nitrogen atom to which they are both attached, form a (R)-2-phenyl-azetidin-1-yl group, [00393] In some embodiments, R
3 and R
4, together with the nitrogen atom to which they are both attached, form a (S)-2-phenyl-azetidin-1-yl group, [00394] In some embodiments, R
3 and R
4, together with the nitrogen atom to which they are both attached, form a 2-pyidin-2-yl-pyrrolidin-1-yl group,
[00395] In some embodiments, R
3 and R
4, together with the nitrogen atom to which they are both attached, form a (R)-2-pyidin-2-yl-pyrrolidin-1-yl group,
[00396] In some embodiments, R
3 and R
4, together with the nitrogen atom to which they are both attached, form a (S)-2-pyidin-2-yl-pyrrolidin-1-yl group,
[00397] In some embodiments, R
3 and R
4, together with the nitrogen atom to which they are both attached, form a 3-pyidin-2-yl-pyrrolidin-1-yl group,
[00398] In some embodiments, R
3 and R
4, together with the nitrogen atom to which they are both attached, form a (R)-3-pyidin-2-yl-pyrrolidin-1-yl group,
[00399] In some embodiments, R
3 and R
4, together with the nitrogen atom to which they are both attached, form a (S)-3-pyidin-2-yl-pyrrolidin-1-yl group,
[00400] In other embodiments, R
3 and R
4, together with the nitrogen atom to which they are both attached, form a 2-methyl-pyrrolidin-1-yl group,
[00401] In other embodiments, R
3 and R
4, together with the nitrogen atom to which they are both attached, form a (R)-2-methyl-pyrrolidin-1-yl group. [00402] In other embodiments, R
3 and R
4, together with the nitrogen atom to which they are both attached, form a (S)-2-methyl-pyrrolidin-1-yl group. [00403] In other embodiments, R
3 and R
4, together with the nitrogen atom to which they are both attached, form a 2-cyclopropyl-pyrrolidin-1-yl group,
[00404] In other embodiments, R
3 and R
4, together with the nitrogen atom to which they are both attached, form a (R)-2-cyclopropyl -pyrrolidin-1-yl group. [00405] In other embodiments, R
3 and R
4, together with the nitrogen atom to which they are both attached, form a (S)-2-cyclopropyl -pyrrolidin-1-yl group. [00406] In other embodiments, R
3 and R
4, together with the nitrogen atom to which they are both attached, form a 3-cyclopropyl-pyrrolidin-1-yl group,
[00407] In other embodiments, R
3 and R
4, together with the nitrogen atom to which they are both attached, form a (R)-3-cyclopropyl-pyrrolidin-1-yl group. [00408] In other embodiments, R
3 and R
4, together with the nitrogen atom to which they are both attached, form a (S)-3-cyclopropyl-pyrrolidin-1-yl group. [00409] In other embodiments, R
3 and R
4, together with the nitrogen atom to which they are both attached, form a 2-isopropyl-pyrrolidin-1-yl group,
[00410] In other embodiments, R
3 and R
4, together with the nitrogen atom to which they are both attached, form a (R)-2- isopropyl -pyrrolidin-1-yl group. [00411] In other embodiments, R
3 and R
4, together with the nitrogen atom to which they are both attached, form a (S)-2- isopropyl -pyrrolidin-1-yl group. [00412] In other embodiments, R
3 and R
4, together with the nitrogen atom to which they are both attached, form a 3-isopropyl-pyrrolidin-1-yl group,
[00413] In other embodiments, R
3 and R
4, together with the nitrogen atom to which they are both attached, form a (R)-3- isopropyl -pyrrolidin-1-yl group. [00414] In other embodiments, R
3 and R
4, together with the nitrogen atom to which they are both attached, form a (S)-3- isopropyl -pyrrolidin-1-yl group. [00415] In other embodiments, R
3 and R
4, together with the nitrogen atom to which they are both attached, form a 3-methyl-pyrrolidin-1-yl group,
[00416] In other embodiments, R
3 and R
4, together with the nitrogen atom to which they are both attached, form a (R)-3-methyl-pyrrolidin-1-yl group. [00417] In other embodiments, R
3 and R
4, together with the nitrogen atom to which they are both attached, form a (S)-3-methyl-pyrrolidin-1-yl group. [00418] In other embodiments, R
3 and R
4, together with the nitrogen atom to which they are both attached, form a 3-(hydroxmethyl)-pyrrolidin-1-yl group,
[00419] In other embodiments, R
3 and R
4, together with the nitrogen atom to which they are both attached, form a (R)-3-(hydroxmethyl)-pyrrolidin-1-yl group. [00420] In other embodiments, R
3 and R
4, together with the nitrogen atom to which they are both attached, form a (S)-3-(hydroxmethyl)-pyrrolidin-1-yl group. [00421] In other embodiments, R
3 and R
4, together with the nitrogen atom to which they are both attached, form a 3-trifluoromethyl-pyrrolidin-1-yl group,
[00422] In other embodiments, R
3 and R
4, together with the nitrogen atom to which they are both attached, form a (R)-3- trifluoromethyl-pyrrolidin-1-yl group. [00423] In other embodiments, R
3 and R
4, together with the nitrogen atom to which they are both attached, form a (S)-3- trifluoromethyl-pyrrolidin-1-yl group. [00424] In other embodiments, R
3 and R
4, together with the nitrogen atom to which they are both attached, form a 3-methoxy-pyrrolidin-1-yl group,
[00425] In other embodiments, R
3 and R
4, together with the nitrogen atom to which they are both attached, form a (R)-3-methoxy-pyrrolidin-1-yl group. [00426] In other embodiments, R
3 and R
4, together with the nitrogen atom to which they are both attached, form a (S)-3-methoxy-pyrrolidin-1-yl group. [00427] In other embodiments, R
3 and R
4, together with the nitrogen atom to which they are both attached, form a 3-cyano-pyrrolidin-1-yl group,
[00428] In other embodiments, R
3 and R
4, together with the nitrogen atom to which they are both attached, form a (R)-3-cyano-pyrrolidin-1-yl group. [00429] In other embodiments, R
3 and R
4, together with the nitrogen atom to which they are both attached, form a (S)-3-cyano-pyrrolidin-1-yl group. [00430] In other embodiments, R
3 and R
4, together with the nitrogen atom to which they are both attached, form a 3-(2,2-difluoroethyl)-pyrrolidin-1-yl group,
[00431] In other embodiments, R
3 and R
4, together with the nitrogen atom to which they are both attached, form a (R)-3-(2,2-difluoroethyl)-pyrrolidin-1-yl group. [00432] In other embodiments, R
3 and R
4, together with the nitrogen atom to which they are both attached, form a (S)-3-(2,2-difluoroethyl)-pyrrolidin-1-yl group. [00433] In other embodiments, R
3 and R
4, together with the nitrogen atom to which they are both attached, form a 2,5-dimethyl-pyrrolidin-1-yl group,
[00434] In other embodiments, R
3 and R
4, together with the nitrogen atom to which they are both attached, form a 2(R),5(S)-dimethyl-pyrrolidin-1-yl group. [00435] In other embodiments, R
3 and R
4, together with the nitrogen atom to which they are both attached, form a 2(S),5(R)-dimethyl-pyrrolidin-1-yl group. [00436] In other embodiments, R
3 and R
4, together with the nitrogen atom to which they are both attached, form a 2(R),5(R)-dimethyl-pyrrolidin-1-yl group. [00437] In other embodiments, R
3 and R
4, together with the nitrogen atom to which they are both attached, form a 2(S),5(S)-dimethyl-pyrrolidin-1-yl group. [00438] In other embodiments, R
3 and R
4, together with the nitrogen atom to which they are both attached, form a 2,4-dimethyl-pyrrolidin-1-yl group,
[00439] In other embodiments, R
3 and R
4, together with the nitrogen atom to which they are both attached, form a 2(R),4(S)-dimethyl-pyrrolidin-1-yl group. [00440] In other embodiments, R
3 and R
4, together with the nitrogen atom to which they are both attached, form a 2(S),4(R)-dimethyl-pyrrolidin-1-yl group. [00441] In other embodiments, R
3 and R
4, together with the nitrogen atom to which they are both attached, form a 2(R),4(R)-dimethyl-pyrrolidin-1-yl group. [00442] In other embodiments, R
3 and R
4, together with the nitrogen atom to which they are both attached, form a 2(S),4(S)-dimethyl-pyrrolidin-1-yl group. [00443] In other embodiments, R
3 and R
4, together with the nitrogen atom to which they are both attached, form a 2(S),5(S)-dimethyl-pyrrolidin-1-yl group. [00444] In other embodiments, R
3 and R
4, together with the nitrogen atom to which they are both attached, form a 2,5-dimethyl-pyrrolidin-1-yl group,
[00445] In some embodiments, R
3 and R
4, together with the nitrogen atom to which they are both attached, form a 2-methyl-piperidin-1-yl group,
[00446] In some embodiments, R
3 and R
4, together with the nitrogen atom to which they are both attached, form a (R)-2-methyl-piperidin-1-yl group. [00447] In other embodiments, R
3 and R
4, together with the nitrogen atom to which they are both attached, form a (S)-2-methyl-piperidin-1-yl group. [00448] In some embodiments, R
3 and R
4, together with the nitrogen atom to which they are both attached, form a 3-methyl-piperidin-1-yl group,
[00449] In some embodiments, R
3 and R
4, together with the nitrogen atom to which they are both attached, form a (R)-3-methyl-piperidin-1-yl group. [00450] In other embodiments, R
3 and R
4, together with the nitrogen atom to which they are both attached, form a (S)-3-methyl-piperidin-1-yl group. [00451] In some embodiments, R
3 and R
4, together with the nitrogen atom to which they are both attached, form a 3-hydroxy-3-isopropyl-piperidin-1-yl group,
[00452] In some embodiments, R
3 and R
4, together with the nitrogen atom to which they are both attached, form a (R)-3-hydroxy-3-isopropyl-piperidin-1-yl group. [00453] In other embodiments, R
3 and R
4, together with the nitrogen atom to which they are both attached, form a (S)-3-hydroxy-3-isopropyl-piperidin-1-yl group. [00454] In some embodiments, R
3 and R
4, together with the nitrogen atom to which they are both attached, form a 4-methyl-piperidin-1-yl group,
[00455] In some embodiments, R
3 and R
4, together with the nitrogen atom to which they are both attached, form a 4-methoxy-piperidin-1-yl group,
[00456] In some embodiments, R
3 and R
4, together with the nitrogen atom to which they are both attached, form
[00457] In some embodiments, R
3 and R
4, together with the nitrogen atom to which they are both attached, form
[00458] In some embodiments, R
3 and R
4, together with the nitrogen atom to which they are both attached, form
[00459] In some embodiments, R
3 and R
4, together with the nitrogen atom to which they are both attached, form:
[00460] In some embodiments, R
3 and R
4, together with the nitrogen atom to which they are both attached, form:
[00461] In some embodiments, R
3 and R
4, together with the nitrogen atom to which they are both attached, form a 1,2,5-trimethyl-4-piperazinyl:
[00462] In some embodiments, R
3 and R
4, together with the nitrogen atom to which they are both attached, form a (2S, 5R)-1,2,5-trimethyl-4-piperazinyl. [00463] In some embodiments, R
3 and R
4, together with the nitrogen atom to which they are both attached, form a (2S, 5S)-1,2,5-trimethyl-4-piperazinyl. [00464] In some embodiments, R
3 and R
4, together with the nitrogen atom to which they are both attached, form a (2R, 5R)-1,2,5-trimethyl-4-piperazinyl. [00465] In some embodiments, R
3 and R
4, together with the nitrogen atom to which they are both attached, form a (2R, 5S)-1,2,5-trimethyl-4-piperazinyl. [00466] In some embodiments, R
3 and R
4, together with the nitrogen atom to which they are both attached, form:
[00467] In some embodiments, R
3 and R
4, together with the nitrogen atom to which they are both attached, form
[00468] In some embodiments, R
3 and R
4, together with the nitrogen atom to which they are both attached, form
[00469] In some embodiments, the optionally substituted 3-12-membered heterocycloalkyl ring is substituted with a cyclopropyl group. [00470] In some embodiments, R
3 and R
4, together with the nitrogen atom to which they are both attached, form a
[00471] In some embodiments, R
3 and R
4, together with the nitrogen atom to which they are both attached, form a
[00472] In some embodiments, R
3 and R
4, together with the nitrogen atom to which they are both attached, form a
[00473] In some embodiments, R
3 and R
4, together with the nitrogen atom to which they are both attached, form a
[00474] In some embodiments, R
3 and R
4, together with the nitrogen atom to which they are both attached, form:
[00475] In some embodiments, R
3 and R
4, together with the nitrogen atom to which they are both attached, form:
[00476] In some embodiments, R
3 and R
4, together with the nitrogen atom to which they are both attached, form:
[00477] In some embodiments, R
3 and R
4, together with the nitrogen atom to which they are both attached, form:
[00478] In some embodiments, R
3 and R
4, together with the nitrogen atom to which they are both attached, form:
[00479] In some embodiments, R
3 and R
4, together with the nitrogen atom to which they are both attached, form:
[00480] In some embodiments, R
3 and R
4, together with the nitrogen atom to which they are both attached, form:
[00481] In some embodiments, R
3 and R
4, together with the nitrogen atom to which they are both attached, form:
[00482] In some embodiments, the optionally substituted 3-12-membered heterocycloalkyl ring is substituted with at least one halogen atom. In some embodiments, the halogen atom is -F. [00483] In some embodiments, R
3 and R
4, together with the nitrogen atom to which they are both attached, form a 4,4-difluoropiperidin-1-yl group,
[00484] In some embodiments, R
3 and R
4, together with the nitrogen atom to which they are both attached, form a 4-fluoropiperidin-1-yl group,
[00485] In some embodiments, R
3 and R
4, together with the nitrogen atom to which they are both attached, form a 4-hydroxypiperidin-1-yl group,
[00486] In some embodiments, R
3 and R
4, together with the nitrogen atom to which they are both attached, form a 4,4-dimethylpiperidin-1-yl group,
[00487] In some embodiments, R
3 and R
4, together with the nitrogen atom to which they are both attached, form a 4-methoxy-4-methylpiperidin-1-yl group,
[00488] In some embodiments, R
3 and R
4, together with the nitrogen atom to which they are both attached, form a 2,2-dimethylpiperidin-1-yl group,
[00489] In some embodiments, R
3 and R
4, together with the nitrogen atom to which they are both attached, form a 2,2-dimethylpiperidin-1-yl group,
[00490] In some embodiments, R
3 and R
4, together with the nitrogen atom to which they are both attached, form a 3,3-difluoropiperidin-1-yl group,
[00491] In some embodiments, R
3 and R
4, together with the nitrogen atom to which they are both attached, form a lmorpholino group,
[00492] In some embodiments, R
3 and R
4, together with the nitrogen atom to which they are both attached, form a 3-methylmorpholino group,
[00493] In some embodiments, R
3 and R
4, together with the nitrogen atom to which they are both attached, form a 3(R)-methylmorpholino group. [00494] In some embodiments, R
3 and R
4, together with the nitrogen atom to which they are both attached, form a 3(S)-methylmorpholino group. [00495] In some embodiments, R
3 and R
4, together with the nitrogen atom to which they are both attached, form a 2-cyclobutyl-morpholino group,
[00496] In some embodiments, R
3 and R
4, together with the nitrogen atom to which they are both attached, form a 2(R)-cyclobutyl-morpholino group. [00497] In some embodiments, R
3 and R
4, together with the nitrogen atom to which they are both attached, form a 2(S)-cyclobutyl-morpholino group. [00498] In some embodiments, R
3 and R
4, together with the nitrogen atom to which they are both attached, form a 3-ethylmorpholino group,
[00499] In some embodiments, R
3 and R
4, together with the nitrogen atom to which they are both attached, form a 3(R)-ethylmorpholino group. [00500] In some embodiments, R
3 and R
4, together with the nitrogen atom to which they are both attached form a 3(S) ethylmorpholino group [00501] In some embodiments, R
3 and R
4, together with the nitrogen atom to which they are both attached, form a 3,5-dimethylmorpholino group,
[00502] In some embodiments, R
3 and R
4, together with the nitrogen atom to which they are both attached, form a 3(R),5(R)-dimethylmorpholino group. [00503] In some embodiments, R
3 and R
4, together with the nitrogen atom to which they are both attached, form a 3(S),5(S)-dimethylmorpholino group. [00504] In some embodiments, R
3 and R
4, together with the nitrogen atom to which they are both attached, form a 3(R),5(S)-dimethylmorpholino group. [00505] In some embodiments, R
3 and R
4, together with the nitrogen atom to which they are both attached, form a 3(S),5(R)-dimethylmorpholino group. [00506] In some embodiments, R
3 and R
4, together with the nitrogen atom to which they are both attached, form a 2,6-dimethylpiperidinyl group,
[00507] In some embodiments, R
3 and R
4, together with the nitrogen atom to which they are both attached, form a 2(R),6(R)- dimethylpiperidinyl group. [00508] In some embodiments, R
3 and R
4, together with the nitrogen atom to which they are both attached, form a 2(S),6(S)- dimethylpiperidinyl group. [00509] In some embodiments, R
3 and R
4, together with the nitrogen atom to which they are both attached, form a 2(R),6(S)- dimethylpiperidinyl group. [00510] In some embodiments, R
3 and R
4, together with the nitrogen atom to which they are both attached, form a 2(S),6(R)- dimethylpiperidinyl group. [00511] In some embodiments, R
3 and R
4, together with the nitrogen atom to which they are both attached, form a 3,5-dimethylpiperidinyl group,
[00512] In some embodiments, R
3 and R
4, together with the nitrogen atom to which they are both attached form a 3(R)5(R)- dimethylpiperidinyl group [00513] In some embodiments, R
3 and R
4, together with the nitrogen atom to which they are both attached, form a 3(S),5(S)- dimethylpiperidinyl group. [00514] In some embodiments, R
3 and R
4, together with the nitrogen atom to which they are both attached, form a 3(R),5(S)- dimethylpiperidinyl group. [00515] In some embodiments, R
3 and R
4, together with the nitrogen atom to which they are both attached, form a 3(S),5(R)- dimethylpiperidinyl group. [00516] In some embodiments, R
3 and R
4, together with the nitrogen atom to which they are both attached, form a 2,5-dimethylpiperidinyl group,
[00517] In some embodiments, R
3 and R
4, together with the nitrogen atom to which they are both attached, form a 2(R),5(R)- dimethylpiperidinyl group. [00518] In some embodiments, R
3 and R
4, together with the nitrogen atom to which they are both attached, form a 2(S),5(S)- dimethylpiperidinyl group. [00519] In some embodiments, R
3 and R
4, together with the nitrogen atom to which they are both attached, form a 2(R),5(S)- dimethylpiperidinyl group. [00520] In some embodiments, R
3 and R
4, together with the nitrogen atom to which they are both attached, form a 2(S),5(R)- dimethylpiperidinyl group. [00521] In some embodiments, R
3 and R
4, together with the nitrogen atom to which they are both attached, form:
[00522] In some embodiments, R
3 and R
4, together with the nitrogen atom to which they are both attached, form:
[00523] In some embodiments, R
3 and R
4, together with the nitrogen atom to which they are both attached, form a 3,3-dimethylmorpholino group,
[00524] In some embodiments, R
3 and R
4, together with the nitrogen atom to which they are both attached, form,
[00525] In some embodiments, R
3 and R
4, together with the nitrogen atom to which they are both attached, form a 2,2-dimethylmorpholino group, O
[00526] In some embodiments, R
3 and R
4, together with the nitrogen atom to which they are both attached, form a 2,6-dimethylmorpholino group,
[00527] In some embodiments, R
3 and R
4, together with the nitrogen atom to which they are both attached, form a 2(R),6(R)-dimethylmorpholino group. [00528] In some embodiments, R
3 and R
4, together with the nitrogen atom to which they are both attached, form a 2(S),6(S)-dimethylmorpholino group. [00529] In some embodiments, R
3 and R
4, together with the nitrogen atom to which they are both attached, form a 2(R),6(S)-dimethylmorpholino group. [00530] In some embodiments, R
3 and R
4, together with the nitrogen atom to which they are both attached, form a 2(S),6(R)-dimethylmorpholino group. [00531] In some embodiments, R
3 and R
4, together with the nitrogen atom to which they are both attached, form a 3-methylmorpholino group,
[00532] In some embodiments, R
3 and R
4, together with the nitrogen atom to which they are both attached, form a 3(R)-methylmorpholino group. [00533] In some embodiments, R
3 and R
4, together with the nitrogen atom to which they are both attached, form a 3(S)-methylmorpholino group. [00534] In some embodiments, R
3 and R
4, together with the nitrogen atom to which they are both attached, form a 2-methylmorpholino group,
[00535] In some embodiments, R
3 and R
4, together with the nitrogen atom to which they are both attached, form a 2(R)-methylmorpholino group. [00536] In some embodiments, R
3 and R
4, together with the nitrogen atom to which they are both attached, form a 2(S)-methylmorpholino group. [00537] In some embodiments, R
3 and R
4, together with the nitrogen atom to which they are both attached, form a 2-ethylmorpholino group,
[00538] In some embodiments, R
3 and R
4, together with the nitrogen atom to which they are both attached, form a 2(R)-ethylmorpholino group. [00539] In some embodiments, R
3 and R
4, together with the nitrogen atom to which they are both attached, form a 2(S)-ethylmorpholino group. [00540] In some embodiments, R
3 and R
4, together with the nitrogen atom to which they are both attached, form a 3,6-dimethylmorpholino group,
[00541] In some embodiments, R
3 and R
4, together with the nitrogen atom to which they are both attached, form a 3(R),6(R)-dimethylmorpholino group. [00542] In some embodiments, R
3 and R
4, together with the nitrogen atom to which they are both attached, form a 3(S),6(S)-dimethylmorpholino group. [00543] In some embodiments, R
3 and R
4, together with the nitrogen atom to which they are both attached, form a 3(R),6(S)-dimethylmorpholino group. [00544] In some embodiments, R
3 and R
4, together with the nitrogen atom to which they are both attached, form a 3(S),6(R)-dimethylmorpholino group. [00545] In some embodiments, the optionally substituted 3-12-membered heterocycloalkyl ring is substituted with a 5-membered heteroaryl group. [00546] In some embodiments, the 3-12-membered heterocycloalkyl ring substituted with a 5-membered heteroaryl group is a pyrrolidinyl ring substituted with a 5- membered heteroaryl group or a piperidinyl ring substituted with a 5-membered heteroaryl group. [00547] In some embodiments, R
3 and R
4, together with the nitrogen atom to which they are both attached, form:
[00548] In some embodiments, R
3 and R
4, together with the nitrogen atom to which they are both attached, form:
[00549] In some aspects, R
3 and R
4 in the compounds of formula (I), together with the nitrogen atom to which they are both attached, form an optionally substituted 5-12- membered bridged heterocycloalkyl ring. Non-limiting examples of such bridged heterocycloalkyl ring systems include:

[00550] In some embodiments, the optionally substituted 5- to 12-membered bridged heterocycloalkyl ring is an optionally substituted 7-azabicyclo[2.2.2]octan-7-yl, an optionally substituted 7-azabicyclo[2.2.1]heptan-7-yl, an optionally substituted 2- azabicyclo[2.2.1]heptan-2-yl, an optionally substituted azabicyclo[3.1.1]heptane, an optionally substituted 8-azabicyclo[3.2.1]octan-8-yl, an optionally substituted 2,5- diazabicyclo[2.2.1]heptan-5-yl, an optionally substituted 6-azabicyclo[3.2.1]octan-6-yl, an optionally substituted 3-azabicyclo[3.2.1]octan-3-yl, an optionally substituted 2- azabicyclo[2.2.2]octan-2yl, an optionally substituted diazabicyclo[2.2.1]heptanyl, an optionally substituted 2-oxa-5-azabicyclo[2.2.2]octan-5-yl, an optionally substituted 2-oxa-5- azabicyclo[2.2.1]heptan-5-yl, an optionally substituted 3-oxa-8-azabicyclo[3.2.1]octan-8-yl, an optionally substituted 6-oxa-3-azabicyclo[3.1.1]heptan-3-yl, an optionally substituted 8- oxa-3-azabicyclo[3.2.1]octan-3-yl, an optionally substituted 3,9-diazabicyclo[4.2.1]nonan-3- yl, an optionally substituted 2-oxa-6-azaadamantan-6-yl, (an optionally substituted 3-oxa- azabicyclo[3.2.1]octanyl, or an optionally substituted 2-oxa-azabicyclo[2.2.1]heptanyl. [00551] In some embodiments, the optionally substituted 5-12-membered bridged heterocycloalkyl ring is substituted with C
1-C
6alkyl, hydroxy, or hydroxyalkyl. [00552] In some embodiments, R
3 and R
4, together with the nitrogen atom to which they are both attached, form a 2-azabicyclo[2.2.2]octan-2-yl group:
[00553] In other embodiments, R
3 and R
4, together with the nitrogen atom to which they are both attached, form an 9-azabicyclo[3.3.1]nonan-9-yl group:
[00554] In other embodiments, R
3 and R
4, together with the nitrogen atom to which they are both attached, form an 3-azabicyclo[3.1.1]heptan-3-yl group,
[00555] In other embodiments, R
3 and R
4, together with the nitrogen atom to which they are both attached, form an 3-azabicyclo[3.2.1]octan-3-yl group,
[00556] In other embodiments, R
3 and R
4, together with the nitrogen atom to which they are both attached, form:
[00557] In other embodiments, R
3 and R
4, together with the nitrogen atom to which they are both attached, form:
[00558] In other embodiments, R
3 and R
4, together with the nitrogen atom to which they are both attached, form an 3-oxa-8-azabicyclo[3.2.1]octan-8-yl group,
[00559] In other embodiments, R
3 and R
4, together with the nitrogen atom to which they are both attached, form an azabicyclo[3.2.1]octan-8-yl group,
[00560] In other embodiments, R
3 and R
4, together with the nitrogen atom to which they are both attached, form an 6-oxa-3-azabicyclo[3.1.1]heptan-3-yl group,
[00561] In other embodiments, R
3 and R
4, together with the nitrogen atom to which they are both attached, form an azabicyclo[3.1.1]heptan-3-yl group,
[00562] In other embodiments, R
3 and R
4, together with the nitrogen atom to which they are both attached, form (1S,4R)-2-azabicyclo[2.2.1]heptan-2-yl group,
[00563] In other embodiments, R
3 and R
4, together with the nitrogen atom to which they are both attached, form a (1R,4S)-2-azabicyclo[2.2.1]heptan-2-yl group,
[00564] In other embodiments, R
3 and R
4, together with the nitrogen atom to which they are both attached, form (1R,4R)-2-oxa-5-azabicyclo[2.2.1]heptan-5-yl group,
[00565] In other embodiments, R
3 and R
4, together with the nitrogen atom to which they are both attached, form a (1S,4S)-2-oxa-5-azabicyclo[2.2.1]heptan-5-yl group,
[00566] In other embodiments, R
3 and R
4, together with the nitrogen atom to which they are both attached, form a 8-oxa-3-azabicyclo[3.2.1]octan-3-yl group,
[00567] In other embodiments, R
3 and R
4, together with the nitrogen atom to which they are both attached, form a (1R, 5S) 8-oxa-3-azabicyclo[3.2.1]octan-3-yl group [00568] In other embodiments, R
3 and R
4, together with the nitrogen atom to which they are both attached, form a 2-oxa-5-azabicyclo[2.2.2]octan-5-yl group,
[00569] In other embodiments, R
3 and R
4, together with the nitrogen atom to which they are both attached, form a azabicyclo[2.2.2]octan-2-yl group,
. [00570] In other embodiments, R
3 and R
4, together with the nitrogen atom to which they are both attached, form a 7-azabicyclo[2.2.1]heptan-7-yl group,
[00571] In other embodiments, R
3 and R
4, together with the nitrogen atom to which they are both attached, form a 2-azabicyclo[2.2.1]heptan-2-yl group,
[00572] In other embodiments, R
3 and R
4, together with the nitrogen atom to which they are both attached, form:
[00573] In other embodiments, R
3 and R
4, together with the nitrogen atom to which they are both attached, form:
[00574] In other embodiments, R
3 and R
4, together with the nitrogen atom to which they are both attached, form:
[00575] In other embodiments, R
3 and R
4, together with the nitrogen atom to which they are both attached, form:
[00576] In other embodiments, R
3 and R
4, together with the nitrogen atom to which they are both attached, form:
[00577] In other embodiments, R
3 and R
4, together with the nitrogen atom to which they are both attached, form:
[00578] In some aspects, R
3 and R
4 in the compounds of formula (I), together with the nitrogen atom to which they are both attached, form an optionally substituted 5-12- membered spiroheterocycloalkyl ring. Non-limiting examples of such ring systems include:

[00579] In some embodiments, the optionally substituted 5-12-membered spiroheterocycloalkyl ring is an optionally substituted 7-azaspiro[3.5]nonan-7-yl, an optionally substituted 4-azaspiro[2.4]heptan-4-yl, an optionally substituted 1- azaspiro[3.3]heptan-1-yl, an optionally substituted 2-azaspiro[3.3]heptan-2-yl, an optionally substituted 6-azaspiro[2.5]octan-6-yl, an optionally substituted 2-oxa-7-azaspiro[4.4]nonan- 7 yl an optionally substituted 1 oxa 7 azaspiro[44]nonan 7 yl an optionally substituted 2 oxa-6-azaspiro[3.4]octan-6-yl, an optionally substituted 5-azaspiro[2.4]heptan-5-yl, an optionally substituted 4-azaspiro[2.4]heptan-4-yl, an optionally substituted 2- azaspiro[4.5]decan-2-yl, an optionally substituted 8-azaspiro[4.5]decan-8-yl, an optionally substituted 2-azaspiro[4.4]nonan-2-yl, an optionally substituted 5-azaspiro[3.5]nonan-5-yl, an optionally substituted 7-oxa-4-azaspiro[2.5]octan-4-yl, an optionally substituted 5- azaspiro[3.4]octan-5-yl, an optionally substituted 1-oxa-7-azaspiro[3.5]nonan-7-yl, an optionally substituted 2-oxa-6-azaspiro[3.4]octan-6-yl, an optionally substituted 2-oxa-7- azaspiro[3.5]nonan-7-yl, an optionally substituted 2-oxa-5-azaspiro[3.4]octan-5-yl, an optionally substituted 8-oxa-5-azaspiro[3.5]nonan-5-yl, an optionally substituted 1- azaspiro[4.4]nonan-1-yl, an optionally substituted 7-oxa-4-azaspiro[2.5]octan-4-yl, an optionally substituted 2,5-dioxa-8-azaspiro[3.5]nonan-8-yl, an optionally substituted 8-oxa-2- azaspiro[4.5]decan-2-yl, an optionally substituted 2-oxa-5-azaspiro[3.5]nonan-5-yl, an optionally substituted 4-oxa-7-azaspiro[2.5]octan-7-yl, an optionally substituted 1- azaspiro[4.5]decan-1-yl, an optionally substituted 6-azaspiro[4.5]decan-6-yl, an optionally substituted 7-azaspiro[3.5]nonan-7-yl, an optionally substituted 3-oxa-9- azaspiro[5.5]undecane-9-yl, an optionally substituted 8-oxa-1-azaspiro[4.5]decan-1-yl, an optionally substituted 1,8-diazaspiro[4.5]decan-1-yl, or an optionally substituted 5-oxa-8- azaspiro[3.5]nonan-8-yl. [00580] In some embodiments, the optionally substituted 5-12-membered spiroheterocycloalkyl ring is substituted with C
1-C
6alkyl, halo, or hydroxyalkyl. [00581] In some embodiments, R
3 and R
4, together with the nitrogen atom to which they are both attached, form a 4-azaspiro[2.4]heptan-4-yl group,
[00582] In some embodiments, R
3 and R
4, together with the nitrogen atom to which they are both attached, form a 5-azaspiro[3.4]octan-5-yl group,
[00583] In some embodiments, R
3 and R
4, together with the nitrogen atom to which they are both attached, form a 6-azaspiro[3.4]octan-6-yl group,
[00584] In some embodiments, R
3 and R
4, together with the nitrogen atom to which they are both attached, form a 6-azaspiro[2.5]octan-6-yl group,
[00585] In some embodiments, R
3 and R
4, together with the nitrogen atom to which they are both attached, form a 7-azaspiro[3.5]nonan-7-yl group,
[00586] In some embodiments, R
3 and R
4, together with the nitrogen atom to which they are both attached, form a 4-azaspiro[2.5]octan-4-yl group,
[00587] In some embodiments, R
3 and R
4, together with the nitrogen atom to which they are both attached, form a 5-azaspiro[2.5]octan-5-yl group,
[00588] In some embodiments, R
3 and R
4, together with the nitrogen atom to which they are both attached, form a 1-azaspiro[3.3]heptan-1-yl group,
[00589] In some embodiments, R
3 and R
4, together with the nitrogen atom to which they are both attached, form a 2-azaspiro[3.3]heptan-2-yl group,
[00590] In some embodiments, R
3 and R
4, together with the nitrogen atom to which they are both attached, form a 2-azaspiro[3.3]heptan-2-yl group,
[00591] In some embodiments, R
3 and R
4, together with the nitrogen atom to which they are both attached, form a 6-fluoro-2-azaspiro[3.3]heptan-2-yl group,
[00592] In some embodiments, R
3 and R
4, together with the nitrogen atom to which they are both attached, form a 7-oxa-2-azaspiro[3.5]nonan-2-yl group,
[00593] In some embodiments, R
3 and R
4, together with the nitrogen atom to which they are both attached, form a 2-oxa-6-azaspiro[3.3]heptan-6-yl group,
[00594] In some embodiments, R
3 and R
4, together with the nitrogen atom to which they are both attached, form a 5-oxa-2-azaspiro[3.5]nonan-2-yl group,
[00595] In some embodiments, R
3 and R
4, together with the nitrogen atom to which they are both attached, form a 5-azaspiro[2.4]heptan-5-yl group,
[00596] In some embodiments, R
3 and R
4, together with the nitrogen atom to which they are both attached, form a 2-oxa-5-azaspiro[3.5]nonan-5-yl group,
[00597] In some embodiments, R
3 and R
4, together with the nitrogen atom to which they are both attached, form a 2-oxa-6-azaspiro[3.5]nonan-6-yl group,
[00598] In some embodiments, R
3 and R
4, together with the nitrogen atom to which they are both attached, form a 7-azaspiro[4.4]nonan-7-yl group,
[00599] In some embodiments, R
3 and R
4, together with the nitrogen atom to which they are both attached, form a 7-azaspiro[4.4]nonan-7-yl group,
[00600] In some embodiments, R
3 and R
4, together with the nitrogen atom to which they are both attached, form a 1-azaspiro[4.4]nonan-1-yl group,
[00601] In some embodiments, R
3 and R
4, together with the nitrogen atom to which they are both attached, form a 2-oxa-7-azaspiro[4.4]nonan-7-yl group,
[00602] In some embodiments, R
3 and R
4, together with the nitrogen atom to which they are both attached, form a 1-oxa-7-azaspiro[4.4]nonan-7-yl group,
[00603] In some embodiments, R
3 and R
4, together with the nitrogen atom to which they are both attached, form a 2-oxa-5-azaspiro[3.4]octan-5-yl group,
[00604] In some embodiments, R
3 and R
4, together with the nitrogen atom to which they are both attached, form a 2-oxa-6-azaspiro[3.4]octan-6-yl group,
[00605] In some embodiments, R
3 and R
4, together with the nitrogen atom to which they are both attached, form a 8-oxa-1-azaspiro[4.5]decan-1-yl group,
[00606] In some embodiments, R
3 and R
4, together with the nitrogen atom to which they are both attached, form a 8-oxa-2-azaspiro[4.5]decan-2-yl group,
[00607] In some embodiments, R
3 and R
4, together with the nitrogen atom to which they are both attached, form a 8-methyl-1,8-diazaspiro[4.5]decan-1-yl group,
[00608] In some embodiments, R
3 and R
4, together with the nitrogen atom to which they are both attached, form a 2-oxa-7-azaspiro[3.5]nonan-7-yl group,
[00609] In some embodiments, R
3 and R
4, together with the nitrogen atom to which they are both attached, form a 7-oxa-4-azaspiro[2.5]octan-4-yl group,
[00610] In some embodiments, R
3 and R
4, together with the nitrogen atom to which they are both attached, form a 4-oxa-7-azaspiro[2.5]octan-7-yl group,
[00611] In some embodiments, R
3 and R
4, together with the nitrogen atom to which they are both attached, form a 8-oxa-5-azaspiro[3.5]nonan-5-yl group,
[00612] In some embodiments, R
3 and R
4, together with the nitrogen atom to which they are both attached, form a 5-oxa-8-azaspiro[3.5]nonan-8-yl group,
[00613] In some embodiments, R
3 and R
4, together with the nitrogen atom to which they are both attached, form a 2,5-dioxa-8-azaspiro[3.5]nonan-8-yl group,
[00614] In some embodiments, R
3 and R
4, together with the nitrogen atom to which they are both attached, form a 6-oxa-azaspiro[3.6]decan-9-yl group,
[00615] In some embodiments, R
3 and R
4, together with the nitrogen atom to which they are both attached, form a 1-oxa-7-azaspiro[3.5]nonan-7-yl group,
[00616] In some embodiments, R
3 and R
4, together with the nitrogen atom to which they are both attached, form:
[00617] In some embodiments, R
3 and R
4, together with the nitrogen atom to which they are both attached, form:
[00618] In some embodiments, R
3 and R
4, together with the nitrogen atom to which they are both attached, form a 2-azaspiro[4.5]decan-2-yl group:
[00619] In some embodiments, R
3 and R
4, together with the nitrogen atom to which they are both attached, form a 1-azaspiro[4.5]decan-1-yl group:
[00620] In some embodiments, R
3 and R
4, together with the nitrogen atom to which they are both attached, form a 5-azaspiro[3.5]nonan-5-yl group,
[00621] In some embodiments, R
3 and R
4, together with the nitrogen atom to which they are both attached, form a 6-azaspiro[4.5]decan-6-yl group,
[00622] In some embodiments, R
3 and R
4, together with the nitrogen atom to which they are both attached, form a 1-oxa-azaspiro[4.5]decan-7-yl group,
[00623] In some embodiments, R
3 and R
4, together with the nitrogen atom to which they are both attached, form a 3-oxa-9-azaspiro[5.5]undecan-9-yl group,
[00624] In some aspects, R
3 and R
4 in the compounds of formula (I), together with the nitrogen atom to which they are both attached, form an optionally substituted 4-12- membered fused heterocycloalkyl ring system. Non-limiting examples of such ring systems include:

[00625] In some embodiments, the optionally substituted 4-12-membered fused heterocycloalkyl ring system is an optionally substituted 3-azabicyclo[3.2.0]heptan-3-yl, an optionally substituted 3-azabicyclo[3.1.0]hexan-3-yl, an optionally substituted 2- azabicyclo[3.1.0]hexan-2-yl, an optionally substituted hexahydro-1H-2-pyrrolo[2,1- c]pyrazinyl, an optionally substituted 5,8-dihydro-6H-7-1,7-naphthyridinyl, an optionally substituted hexahydro-2H-6-furo[2,3-c]pyridinyl, an optionally substituted tetrahydro-1H,3H- 5-furo[3,4-c]pyrrolyl, an optionally substituted 2-oxa-5-azabicyclo[4.1.0]heptanyl, an optionally substituted 4,7-dihydro-5H-6-thieno[2,3-c]pyridinyl, an optionally substituted 2- isoindolinyl, an optionally substituted 3,4-dihydro-1H-2-2,7-naphthyridinyl, an optionally substituted 3,4-dihydro-1H-2-2,6-naphthyridinyl, an optionally substituted 1,4,5,7-tetrahydro- 6-pyrazolo[3,4-c]pyridinyl, 3,4,6,7-tetrahydro-5-imidazo[4,5-c]pyridinyl, an optionally substituted 5,6-dihydro-8H-7-imidazo[2,1-c]pyrazinyl, an optionally substituted 3,4-dihydro- 1H-2-2,6-naphthyridinyl, an optionally substituted 6,7-dihydro-4H-5-thiazolo[4,5- c]pyridinyl, an optionally substituted 7,8-dihydro-5H-6-pyrido[3,4-b]pyrazinyl, an optionally substituted 5,8-dihydro-6H-7-pyrido[3,4-d]pyrimidinyl, an optionally substituted 1,4,6,7- tetrahydro-5-pyrazolo[4,3-c]pyridinyl, an optionally substituted 3,4-dihydro-1H-2- isoquinolinyl, an optionally substituted 1,4,6,7-tetrahydro-5-pyrrolo[3,2-c]pyridinyl, an optionally substituted 6,7-dihydro-4H-5-thiazolo[5,4-c]pyridinyl, an optionally substituted 5,7-dihydro-6-pyrrolo[3,4-b]pyridinyl, an optionally substituted 5,6-dihydro-8H-7- [1,2,4]triazolo[5,1-c]pyrazinyl, an optionally substituted 7,8-dihydro-5H-6-pyrido[4,3- d]pyrimidinyl, an optionally substituted 4,6-dihydro-5-pyrrolo[3,4-d]thiazolyl, an optionally substituted 6,7-dihydro-4H-5-[1,2,3]triazolo[5,1-c]pyrazinyl, an optionally substituted 5,7- dihydro-6-pyrrolo[3,4-d]pyrimidinyl, an optionally substituted 5,6-dihydro-8H-7- imidazo[5,1-c]pyrazinyl, an optionally substituted 6,7-dihydro-4H-5-pyrazolo[5,1- c]pyrazinyl, an optionally substituted 5,6-dihydro-8H-7-[1,2,4]triazolo[3,4-c]pyrazinyl, an optionally substituted 6,7-dihydro-4H-5-oxazolo[4,5-c]pyridinyl, an optionally substituted 1,3-dihydro-2-pyrrolo[3,4-c]pyridinyl, an optionally substituted 6,7-dihydro-4H-5- oxazolo[5,4-c]pyridinyl, or an optionally substituted 4-azatricyclo[3.3.0.01,3]octanyl. [00626] In some embodiments, the optionally substituted 4-12-membered fused heterocycloalkyl ring system is substituted with a C
1-C
6alkyl, halo, carbonyl (i.e., (=O)), or spirocyclopropyl
[00627] In some embodiments, R
3 and R
4, together with the nitrogen atom to which they are both attached, form a 3,4-dihydro-2,7-naphthyridin-2(1H)-yl group:
[00628] In some embodiments, R
3 and R
4, together with the nitrogen atom to which they are both attached, form a 1-methyl-4,5-dihydro-1H-pyrazolo[3,4-c]pyridin-6(7H)-yl group:
[00629] In some embodiments, R
3 and R
4, together with the nitrogen atom to which they are both attached, form a 5H-pyrrolo[3,4-b]pyridin-6(7H)-yl group:
[00630] In some embodiments, R
3 and R
4, together with the nitrogen atom to which they are both attached, form a 5,7-dihydro-pyrrolo[3,4-d]pyrimidin-6-yl group:
[00631] In some embodiments, R
3 and R
4, together with the nitrogen atom to which they are both attached, form a 5,7-dihydro-pyrrolo[3,4-b]pyrazin-6-yl group:
[00632] In some embodiments, R
3 and R
4, together with the nitrogen atom to which they are both attached, form a 2-isoindoline group:
[00633] In some embodiments, R
3 and R
4, together with the nitrogen atom to which they are both attached, form a 1-methyl-6,7-dihydro-1H-pyrazolo[4,3-c]pyridin-5(4H)-yl group:
[00634] In some embodiments, R
3 and R
4, together with the nitrogen atom to which they are both attached, form a 3-methyl-3,4,6,7-tetrahydro-imidazo[4,5-c]pyridine-5-yl group:
[00635] In some embodiments, R
3 and R
4, together with the nitrogen atom to which they are both attached, form a 1-methyl-1,4,6,7-tetrahydro-imidazo[4,5-c]pyridine-5-yl group:
[00636] In some embodiments, R
3 and R
4, together with the nitrogen atom to which they are both attached, form a 1-methyl-1,4,6,7-tetrahydro-pyrrolo[3,2-c]pyridine-5-yl group:
[00637] In some embodiments, R
3 and R
4, together with the nitrogen atom to which they are both attached, form a 5,6-dihydro-8H-[1,2,4]triazolo[5,1-c]pyrazin-7-yl group:
[00638] In some embodiments, R
3 and R
4, together with the nitrogen atom to which they are both attached, form a 7,8-dihydro-5H-[1,2,4]triazolo[1,5-c]pyrimidin-6-yl group:
[00639] In some embodiments, R
3 and R
4, together with the nitrogen atom to which they are both attached, form a 6,7-dihydrothiazolo[5,4-c]pyridin-5(4H)-yl group:
[00640] In some embodiments, R
3 and R
4, together with the nitrogen atom to which they are both attached, form a 4,7-dihydro-5H-6-thieno[2,3-c]pyridine-6-yl group:
[00641] In some embodiments, R
3 and R
4, together with the nitrogen atom to which they are both attached, form a 5,6-dihydro-1,7-naphthyridin-7(8H)-yl group:
[00642] In some embodiments, R
3 and R
4, together with the nitrogen atom to which they are both attached, form a 7,8-dihydro-5H-pyrido[3,4-b]pyrazin-6-yl group:
[00643] In some embodiments, R
3 and R
4, together with the nitrogen atom to which they are both attached, form a 6,7-dihydrothiazolo[4,5-c]pyridin-5(4H)-yl group:
[00644] In some embodiments, R
3 and R
4, together with the nitrogen atom to which they are both attached, form a 2-methyl-6,7-dihydro-4H-oxazolo[4,5-c]pyridin-5-yl group:
[00645] In some embodiments, R
3 and R
4, together with the nitrogen atom to which they are both attached, form a 2-methyl-6,7-dihydro-4H-oxazolo[5,4-c]pyridine-5-yl group:
[00646] In some embodiments, R
3 and R
4, together with the nitrogen atom to which they are both attached, form a 3,4-dihydro-2,6-naphthyridin-2(1H)-yl group:
[00647] In some embodiments, R
3 and R
4, together with the nitrogen atom to which they are both attached, form a 7,8-dihydro-1,6-naphthyridin-6(5H)-yl group:
[00648] In some embodiments, R
3 and R
4, together with the nitrogen atom to which they are both attached, form a 5,6-dihydroimidazo[1,2-a]pyrazin-7(8H)-yl group:
[00649] In some embodiments, R
3 and R
4, together with the nitrogen atom to which they are both attached, form a 5,6-dihydro-8H-imidazo[5,1-c]pyrazin-7-yl group:
[00650] In some embodiments, R
3 and R
4, together with the nitrogen atom to which they are both attached, form a 6,7-dihydro-4H-pyrazolo[5,1-c]pyrazin-5-yl group:
[00651] In some embodiments, R
3 and R
4, together with the nitrogen atom to which they are both attached, form a 6,7-dihydro-4H-[1,2,3]triazolo[5,1-c]pyrazin-5-yl group:
[00652] In some embodiments, R
3 and R
4, together with the nitrogen atom to which they are both attached, form a 4H-pyrrolo[3,4-d]thiazol-5(6H)-yl group:
[00653] In some embodiments, R
3 and R
4, together with the nitrogen atom to which they are both attached, form a 1H-pyrrolo[3,4-c]pyridin-2(3H)-yl group:
[00654] In some embodiments, R
3 and R
4, together with the nitrogen atom to which they are both attached, form a tetrahydro-1H-furo[3,4-c]pyrrol-5(3H)-yl group:
[00655] In some embodiments, R
3 and R
4, together with the nitrogen atom to which they are both attached, form a hexahydro-1H-cyclopenta[c]pyrrol-2-yl group:
[00656] In some embodiments, R
3 and R
4, together with the nitrogen atom to which they are both attached, form a hexahydro-2H-cyclopenta[b]pyrrol-1-yl group:
[00657] In some embodiments, R
3 and R
4, together with the nitrogen atom to which they are both attached, form an octahydro-indol-1-yl group:
[00658] In some embodiments, R
3 and R
4, together with the nitrogen atom to which they are both attached, form a hexahydro-2H-6-furo[2,3-c]pyridine-6-yl group:
[00659] In some embodiments, R
3 and R
4, together with the nitrogen atom to which they are both attached, form an azabicyclo[4.2.0]octan-3-yl group:
[00660] In some embodiments, R
3 and R
4, together with the nitrogen atom to which they are both attached, form a octahydro-cyclopenta[b]pyridine-1-yl group:
[00661] In some embodiments, R
3 and R
4, together with the nitrogen atom to which they are both attached, form a tetrahydro-1H-2-pyrrolo[2,1-c]pyrazin-4(3H)-one group:
[00662] In some embodiments, R
3 and R
4, together with the nitrogen atom to which they are both attached, form a (S)-tetrahydro-1H-2-pyrrolo[2,1-c]pyrazin-4(3H)-one group:
[00663] In some embodiments, R
3 and R
4, together with the nitrogen atom to which they are both attached, form a hexahydro-6H-2-pyrrolo[2,1-c]pyrazin-6-one group:
[00664] In some embodiments, R
3 and R
4, together with the nitrogen atom to which they are both attached, form a hexahydro-2-pyrido[2,1-c]pyrazin-6(1H)-one group:
[00665] In some embodiments, R
3 and R
4, together with the nitrogen atom to which they are both attached, form a 3-azabicyclo[3.2.0]heptan-3-yl group:
[00666] In some embodiments, R
3 and R
4, together with the nitrogen atom to which they are both attached, form a (1R,5S)-3-azabicyclo[3.2.0]heptan-3-yl group:
[00667] In some embodiments, R
3 and R
4, together with the nitrogen atom to which they are both attached, form a 2-azabicyclo[3.1.0]hexan-2-yl group:
[00668] In some embodiments, R
3 and R
4, together with the nitrogen atom to which they are both attached, form an azabicyclo[3.1.0]hexan-3-yl group:
[00669] In some embodiments, R
3 and R
4, together with the nitrogen atom to which they are both attached, form an 1-ethyl-azabicyclo[3.1.0]hexan-3-yl group:
[00670] In some embodiments, R
3 and R
4, together with the nitrogen atom to which they are both attached, form a 4-azatricyclo[3.3.0.0
1,3]octanyl group:
[00671] In some embodiments, R
3 and R
4, together with the nitrogen atom to which they are both attached, form a 6,6-dimethyl-3-azabicyclo[3.1.0]hexan-3-yl group:
[00672] In some embodiments, R
3 and R
4, together with the nitrogen atom to which they are both attached, form a 6,6-difluoro-3-azabicyclo[3.1.0]hexan-3-yl group:
[00673] In some embodiments, R
3 and R
4, together with the nitrogen atom to which they are both attached, form a 3,4-dihydroisoquinolin-2(1H)-yl group:
[00674] In some embodiments, R
3 and R
4, together with the nitrogen atom to which they are both attached, form a 5,8-dihydro-6H-pyrido[3,4-d]pyrimidin-7-yl group:
[00675] In some embodiments, R
3 and R
4, together with the nitrogen atom to which they are both attached, form a 7,8-dihydro-5H-pyrido[4,3-d]pyrimidin-6-yl group:
[00676] In some embodiments, R
3 and R
4, together with the nitrogen atom to which they are both attached, form a 3',4'-dihydro-spirocyclopropane-1,1'-isoquinolin-2-yl group:
[00677] In some embodiments, R
3 and R
4, together with the nitrogen atom to which they are both attached, form a 2-oxa-5-azabicyclo[4.1.0]heptan-5-yl group:
[00678] In some embodiments, R
3 and R
4, together with the nitrogen atom to which they are both attached, form a azabicyclo[4.1.0]heptan-2-yl group:
[00679] In some embodiments, R
3 and R
4, together with the nitrogen atom to which they are both attached, form a azabicyclo[4.1.0]heptan-3-yl group:
[00680] In some embodiments, R
3 and R
4, together with the nitrogen atom to which they are both attached, form an azabicyclo[3.2.0]heptan-6-yl group:
[00681] In some aspects, each R
5 and each R
6 in the compounds of formula (I) independently H, C
1-C
6alkyl, or C
3-C
5cycloalkyl; or an R
5 and R
6 attached to the same carbon atom, together with that carbon atom, may form a C
3-C
6cycloalkyl ring, or an R
5 or R
6, together with an R
3 or R
4 may form an optionally substituted 3-12-membered heterocycloalkyl ring, an optionally substituted 5-12-membered bridged heterocycloalkyl ring, an optionally substituted 4-12-membered fused heterocycloalkyl ring system, or an optionally substituted 5-12-membered spiroheterocycloalkyl ring system [00682] In some embodiments, R
5 or R
6 in the compounds of formula (I) is H. [00683] In some embodiments, R
5 or R
6 in the compounds of formula (I) is C
1- C
6alkyl, such as, for example, C
1-C
6alkyl, C
1-C
5alkyl, C
1-C
4alkyl, C
1-C
3alkyl, C
1-C
2alkyl, C
6alkyl, C
5alkyl, C
4alkyl, C
3alkyl, C
2alkyl, C
1alkyl, methyl, ethyl, n-propyl, iso-propyl, n- butyl, t-butyl, iso-butyl, sec-butyl, n-pentyl, n-hexyl, and the like. [00684] In some embodiments, R
5 or R
6 is methyl (i.e., -CH
3). [00685] In some embodiments, an R
5 and an R
6 are methyl (i.e., -CH
3). [00686] In some embodiments, R
5 or R
6 in the compounds of formula (I) is C
3- C
5cycloalkyl, such as, for example, C
3cycloalkyl, C
4cycloalkyl, C
5cycloalkyl, cyclopropyl, cyclobutyl, cyclopentyl, and the like. [00687] In some embodiments, an R
5 and R
6 in the compounds of formula (I) attached to the same carbon atom, together with that carbon atom, form a C
3-C
6cycloalkyl ring, such as, for example, C
3cycloalkyl, C
4cycloalkyl, C
5cycloalkyl, C
6cycloalkyl, cyclopropyl, cyclobutyl, cyclopentyl, cyclohexyl, and the like. [00688] In some embodiments, an R
5 and R
6 in the compounds of formula (I) attached to the same carbon atom, together with that carbon atom, form a cyclopropyl group. [00689] In some embodiments of the compounds of formula (I), an R
5 or R
6, together with an R
3 or R
4 may form an optionally substituted 3-12-membered heterocycloalkyl ring, an optionally substituted 5-12-membered bridged heterocycloalkyl ring, an optionally substituted 4-12-membered fused heterocycloalkyl ring system, or an optionally substituted 5-12-membered spiroheterocycloalkyl ring system. [00690] In some embodiments of the compounds of formula (I), an R
5 or R
6, together with an R
3 or R
4 may form an optionally substituted 3-12-membered heterocycloalkyl ring, such as, for example, an optionally substituted azetidnyl ring, an optionally substituted pyrrolidinyl ring, or an optionally substituted piperidinyl ring. [00691] In some embodiments, the optionally substituted 3-12-membered heterocycloalkyl ring is a 4-8 membered heterocycloalkyl ring. [00692] In some embodiments of the compounds of formula (I) wherein an R
5 or R
6, together with an R
3 or R
4 may form an optionally substituted 3-12-membered heterocycloalkyl ring, the structure
in formula (I) is
[00693] In some embodiments of the compounds of formula (I) wherein an R
5 or R
6, together with an R
3 or R
4 may form an optionally substituted 3-12-membered heterocycloalkyl ring, the structure
in formula (I) is
[00694] In some embodiments of the compounds of formula (I) wherein an R
5 or R
6, together with an R
3 or R
4 may form an optionally substituted 3-12-membered heterocycloalkyl ring, the structure
in formula (I) is
[00695] In some embodiments of the compounds of formula (I) wherein an R
5 or R
6, together with an R
3 or R
4 may form an optionally substituted 3-12-membered heterocycloalkyl ring, the structure
in formula (I) is
[00696] In some embodiments of the compounds of formula (I) wherein an R
5 or R
6, together with an R
3 or R
4 may form an optionally substituted 3-12-membered heterocycloalkyl ring, the structure
in formula (I) is
[00697] In some embodiments of the compounds of formula (I) wherein an R
5 or R
6, together with an R
3 or R
4 may form an optionally substituted 3-12-membered heterocycloalkyl ring, the structure
in formula (I) is
or
[00698] In some embodiments of the compounds of formula (I) wherein an R
5 or R
6, together with an R
3 or R
4 may form an optionally substituted 3-12-membered heterocycloalkyl ring, the structure
in formula (I) is
[00699] In some embodiments of the compounds of formula (I) wherein an R
5 or R
6, together with an R
3 or R
4 may form an optionally substituted 3-12-membered heterocycloalkyl ring, the structure
in formula (I) is
[00700] In some embodiments of the compounds of formula (I) wherein an R
5 or R
6, together with an R
3 or R
4 may form an optionally substituted 3-12-membered heterocycloalkyl ring, the structure
in formula (I) is
[00701] In some embodiments of the compounds of formula (I) wherein an R
5 or R
6, together with an R
3 or R
4 may form an optionally substituted 3-12-membered heterocycloalkyl ring, the structure
in formula (I) is
[00702] In some embodiments of the compounds of formula (I) wherein an R
5 or R
6, together with an R
3 or R
4may form an optionally substituted 3-12-membered heterocycloalkyl ring, the structure in formula (I) is
[00703] In some embodiments of the compounds of formula (I) wherein an R
5 or R
6, together with an R
3 or R
4may form an optionally substituted 3-12-membered heterocycloalkyl ring, the structure
in formula (I) is
[00704] In some embodiments of the compounds of formula (I) wherein an R
5 or R
6, together with an R
3 or R
4may form an optionally substituted 3-12-membered heterocycloalkyl ring, the structure
in formula (I) is
[00705] In some embodiments of the compounds of formula (I), an R
5 or R
6, together with an R
3 or R
4may form an optionally substituted 4-12-membered fused heterocycloalkyl ring system. [00706] In some embodiments of the compounds of formula (I) wherein an R
5 or R
6, together with an R
3 or R
4 may form an optionally substituted 4-12-membered fused heterocycloalkyl ring system, the structure
in formula (I) is
[00707] In some embodiments of the compounds of formula (I) wherein an R
5 or R
6, together with an R
3 or R
4 may form an optionally substituted 4-12-membered fused heterocycloalkyl ring system, the structure
in formula (I) is
[00708] In some embodiments of the compounds of formula (I), an R
5 or R
6, together with an R
3 or R
4 may form an optionally substituted 5-12-membered bridged heterocycloalkyl ring. [00709] In some embodiments of the compounds of formula (I) wherein an R
5 or R
6, together with an R
3 or R
4 may form an optionally substituted 5-12-membered bridged heterocycloalkyl ring, the structure
in formula (I) is [00710] In some embodiments of the compounds of formula (I), an R
5 or R
6, together with an R
3 or R
4 may form an optionally substituted 5-12-membered spiroheterocycloalkyl ring system. [00711] In some aspects, the compounds according to formula (I) are those that have an IC
50 <20 nM in a PDGFR cellular assay such as, for example, that described in the Examples section below. [00712] In some embodiments, the compounds according to formula (I) are those that have an IC
50 <5 nM in a PDGFR cellular assay such as, for example, that described in the Examples section below. [00713] In some aspects, the compound of the disclosure is one of Examples 1-174, or a pharmaceutically acceptable salt thereof, as described in the Examples section below. [00714] In some aspects, the compound of the disclosure is one of Examples 174- 306, or a pharmaceutically acceptable salt thereof, as described in the Examples section below. [00715] In some aspects, the disclosure is directed to a compound of one of Examples 307-326, or a pharmaceutically acceptable salt thereof, as described in the Examples section below. [00716] References to formula (I) herein encompass any subgenera of those formula disclosed herein. [00717] Stereoisomers of compounds of formula (I) are also contemplated by the present disclosure. Thus, the disclosure encompasses all stereoisomers and constitutional isomers of any compound disclosed or claimed herein, including all enantiomers and diastereomers. [00718] Pharmaceutically acceptable salts and solvates of the compounds of formula (I) are also within the scope of the disclosure. [00719] Isotopic variants of the compounds of formula (I) are also contemplated by the present disclosure. Pharmaceutical compositions and methods of administration [00720] The subject pharmaceutical compositions are typically formulated to provide a therapeutically effective amount of a compound of the present disclosure as the active ingredient, or a pharmaceutically acceptable salt, ester, prodrug, solvate, hydrate or derivative thereof. In some embodiments, the pharmaceutical compositions contain a compound of the present disclosure or a pharmaceutically acceptable salt thereof, and one or more pharmaceutically acceptable excipients, carriers, including inert solid diluents and fillers, diluents, including sterile aqueous solution and various organic solvents, permeation enhancers, solubilizers and adjuvants. [00721] The subject pharmaceutical compositions can be administered alone or in combination with one or more other agents, which are also typically administered in the form of pharmaceutical compositions. Where desired, the one or more compounds of the invention and other agent(s) may be mixed into a preparation or both components may be formulated into separate preparations to use them in combination separately or at the same time. [00722] In some embodiments, the concentration of one or more compounds provided in the pharmaceutical compositions of the present invention is less than 100%, 90%, 80%, 70%, 60%, 50%, 40%, 30%, 20%, 19%, 18%, 17%, 16%, 15%, 14%, 13%, 12%, 11%, 10%, 9%, 8%, 7%, 6%, 5%, 4%, 3%, 2%, 1%, 0.9%, 0.8%, 0.7%, 0.6%, 0.5%, 0.4%, 0.3%, 0.2%, 0.1%, 0.09%, 0.08%, 0.07%, 0.06%, 0.05%, 0.04%, 0.03%, 0.02%, 0.01%, 0.009%, 0.008%, 0.007%, 0.006%, 0.005%, 0.004%, 0.003%, 0.002%, 0.001%, 0.0009%, 0.0008%, 0.0007%, 0.0006%, 0.0005%, 0.0004%, 0.0003%, 0.0002%, or 0.0001% (or a number in the range defined by and including any two numbers above) w/w, w/v or v/v. [00723] In some embodiments, the concentration of one or more compounds of the invention is greater than 90%, 80%, 70%, 60%, 50%, 40%, 30%, 20%, 19.75%, 19.50%, 19.25%, 19%, 18.75%, 18.50%, 18.25% 18%, 17.75%, 17.50%, 17.25% 17%, 16.75%, 16.50%, 16.25%, 16%, 15.75%, 15.50%, 15.25% 15%, 14.75%, 14.50%, 14.25% 14%, 13.75%, 13.50%, 13.25%, 13%, 12.75%, 12.50%, 12.25%, 12%, 11.75%, 11.50%, 11.25% 11%, 10.75%, 10.50%, 10.25% 10%, 9.75%, 9.50%, 9.25%, 9%, 8.75%, 8.50%, 8.25% 8%, 7.75%, 7.50%, 7.25%, 7%, 6.75%, 6.50%, 6.25%, 6%, 5.75%, 5.50%, 5.25%, 5%, 4.75%, 4.50%, 4.25%, 4%, 3.75%, 3.50%, 3.25%, 3%, 2.75%, 2.50%, 2.25%, 2%, 1.75%, 1.50%, 1.25% , 1%, 0.9%, 0.8%, 0.7%, 0.6%, 0.5%, 0.4%, 0.3%, 0.2%, 0.1%, 0.09%, 0.08%, 0.07%, 0.06%, 0.05%, 0.04%, 0.03%, 0.02%, 0.01%, 0.009%, 0.008%, 0.007%, 0.006%, 0.005%, 0.004%, 0.003%, 0.002%, 0.001%, 0.0009%, 0.0008%, 0.0007%, 0.0006%, 0.0005%, 0.0004%, 0.0003%, 0.0002%, or 0.0001% (or a number in the range defined by and including any two numbers above) w/w, w/v, or v/v. [00724] In some embodiments, the concentration of one or more compounds of the invention is in the range from approximately 0.0001% to approximately 50%, approximately 0.001% to approximately 40%, approximately 0.01% to approximately 30%, approximately 0.02% to approximately 29%, approximately 0.03% to approximately 28%, approximately 0.04% to approximately 27%, approximately 0.05% to approximately 26%, approximately 0.06% to approximately 25%, approximately 0.07% to approximately 24%, approximately 0.08% to approximately 23%, approximately 0.09% to approximately 22%, approximately 0.1% to approximately 21%, approximately 0.2% to approximately 20%, approximately 0.3% to approximately 19%, approximately 0.4% to approximately 18%, approximately 0.5% to approximately 17%, approximately 0.6% to approximately 16%, approximately 0.7% to approximately 15%, approximately 0.8% to approximately 14%, approximately 0.9% to approximately 12%, approximately 1% to approximately 10% w/w, w/v or v/v. [00725] In some embodiments, the concentration of one or more compounds of the invention is in the range from approximately 0.001% to approximately 10%, approximately 0.01% to approximately 5%, approximately 0.02% to approximately 4.5%, approximately 0.03% to approximately 4%, approximately 0.04% to approximately 3.5%, approximately 0.05% to approximately 3%, approximately 0.06% to approximately 2.5%, approximately 0.07% to approximately 2%, approximately 0.08% to approximately 1.5%, approximately 0.09% to approximately 1%, approximately 0.1% to approximately 0.9% w/w, w/v or v/v. [00726] In some embodiments, the amount of one or more compounds of the invention is equal to or less than 10 g, 9.5 g, 9.0 g, 8.5 g, 8.0 g, 7.5 g, 7.0 g, 6.5 g, 6.0 g, 5.5 g, 5.0 g, 4.5 g, 4.0 g, 3.5 g, 3.0 g, 2.5 g, 2.0 g, 1.5 g, 1.0 g, 0.95 g, 0.9 g, 0.85 g, 0.8 g, 0.75 g, 0.7 g, 0.65 g, 0.6 g, 0.55 g, 0.5 g, 0.45 g, 0.4 g, 0.35 g, 0.3 g, 0.25 g, 0.2 g, 0.15 g, 0.1 g, 0.09 g, 0.08 g, 0.07 g, 0.06 g, 0.05 g, 0.04 g, 0.03 g, 0.02 g, 0.01 g, 0.009 g, 0.008 g, 0.007 g, 0.006 g, 0.005 g, 0.004 g, 0.003 g, 0.002 g, 0.001 g, 0.0009 g, 0.0008 g, 0.0007 g, 0.0006 g, 0.0005 g, 0.0004 g, 0.0003 g, 0.0002 g, or 0.0001 g (or a number in the range defined by and including any two numbers above). [00727] In some embodiments, the amount of one or more compounds of the invention is more than 0.0001 g, 0.0002 g, 0.0003 g, 0.0004 g, 0.0005 g, 0.0006 g, 0.0007 g, 0.0008 g, 0.0009 g, 0.001 g, 0.0015 g, 0.002 g, 0.0025 g, 0.003 g, 0.0035 g, 0.004 g, 0.0045 g, 0.005 g, 0.0055 g, 0.006 g, 0.0065 g, 0.007 g, 0.0075 g, 0.008 g, 0.0085 g, 0.009 g, 0.0095 g, 0.01 g, 0.015 g, 0.02 g, 0.025 g, 0.03 g, 0.035 g, 0.04 g, 0.045 g, 0.05 g, 0.055 g, 0.06 g, 0.065 g, 0.07 g, 0.075 g, 0.08 g, 0.085 g, 0.09 g, 0.095 g, 0.1 g, , 0.15 g, 0.2 g, , 0.25 g, 0.3 g, , 0.35 g, 0.4 g, , 0.45 g, 0.5 g, 0.55 g, 0.6 g, , 0.65 g, 0.7 g, 0.75 g, 0.8 g, 0.85 g, 0.9 g, 0.95 g, 1 g, 1.5 g, 2 g, 2.5, 3 g, 3.5, 4 g, 4.5 g, 5 g, 5.5 g, 6 g, 6.5g, 7 g, 7.5g, 8 g, 8.5 g, 9 g, 9.5 g, or 10 g (or a number in the range defined by and including any two numbers above). [00728] In some embodiments, the amount of one or more compounds of the invention is in the range of 0.0001-10 g, 0.0005-9 g, 0.001-8 g, 0.005-7 g, 0.01-6 g, 0.05-5 g, 0.1-4 g, 0.5-4 g, or 1-3 g. [00729] In some embodiments, the compounds according to the invention are effective over a wide dosage range. For example, in the treatment of adult humans, dosages from 0.01 to 1000 mg, from 0.5 to 100 mg, from 1 to 50 mg per day, and from 5 to 40 mg per day are examples of dosages that may be used. An exemplary dosage is 10 to 30 mg per day. The exact dosage will depend upon the route of administration, the form in which the compound is administered, the subject to be treated, the body weight of the subject to be treated, and the preference and experience of the attending physician. [00730] Unless otherwise noted, the amounts of the compounds described herein are set forth on a free base basis. That is, the amounts indicate that amount of the compound administered, exclusive of, for example, solvent (such as in solvates) or counterions (such as in pharmaceutically acceptable salts). [00731] Described below are non- limiting exemplary pharmaceutical compositions and methods for preparing the same. Pharmaceutical compositions for oral administration. [00732] In some embodiments, the invention provides a pharmaceutical composition for oral administration containing a compound of the invention, and a pharmaceutical excipient suitable for oral administration. [00733] In some embodiments, the invention provides a solid pharmaceutical composition for oral administration containing: (i) an effective amount of a compound of the invention; optionally (ii) an effective amount of a second agent; and (iii) a pharmaceutical excipient suitable for oral administration. In some embodiments, the composition further contains: (iv) an effective amount of a third agent. [00734] In some embodiments, the pharmaceutical composition may be a liquid pharmaceutical composition suitable for oral consumption. Pharmaceutical compositions of the invention suitable for oral administration can be presented as discrete dosage forms, such as capsules, cachets, or tablets, or liquids or aerosol sprays each containing a predetermined amount of an active ingredient as a powder or in granules, a solution, or a suspension in an aqueous or non-aqueous liquid, an oil-in- water emulsion, or a water-in-oil liquid emulsion. Such dosage forms can be prepared by any of the methods of pharmacy, but all methods include the step of bringing the active ingredient into association with the carrier, which constitutes one or more necessary ingredients. In general, the compositions are prepared by uniformly and intimately admixing the active ingredient with liquid carriers or finely divided solid carriers or both, and then, if necessary, shaping the product into the desired presentation. For example, a tablet can be prepared by compression or molding, optionally with one or more accessory ingredients. Compressed tablets can be prepared by compressing in a suitable machine the active ingredient in a free- flowing form such as powder or granules, optionally mixed with an excipient such as, but not limited to, a binder, a lubricant, an inert diluent, and/or a surface active or dispersing agent. Molded tablets can be made by molding in a suitable machine a mixture of the powdered compound moistened with an inert liquid diluent. [00735] This invention further encompasses anhydrous pharmaceutical compositions and dosage forms comprising an active ingredient, since water can facilitate the degradation of some compounds. For example, water may be added (e.g., 5%) in the pharmaceutical arts as a means of simulating long-term storage in order to determine characteristics such as shelf- life or the stability of formulations over time. Anhydrous pharmaceutical compositions and dosage forms of the invention can be prepared using anhydrous or low moisture containing ingredients and low moisture or low humidity conditions. Pharmaceutical compositions and dosage forms of the invention which contain lactose can be made anhydrous if substantial contact with moisture and/or humidity during manufacturing, packaging, and/or storage is expected. An anhydrous pharmaceutical composition may be prepared and stored such that its anhydrous nature is maintained. Accordingly, anhydrous compositions may be packaged using materials known to prevent exposure to water such that they can be included in suitable formulary kits. Examples of suitable packaging include, but are not limited to, hermetically sealed foils, plastic or the like, unit dose containers, blister packs, and strip packs. [00736] An active ingredient can be combined in an intimate admixture with a pharmaceutical carrier according to conventional pharmaceutical compounding techniques. The carrier can take a wide variety of forms depending on the form of preparation desired for administration. In preparing the compositions for an oral dosage form, any of the usual pharmaceutical media can be employed as carriers, such as, for example, water, glycols, oils, alcohols, flavoring agents, preservatives, coloring agents, and the like in the case of oral liquid preparations (such as suspensions, solutions, and elixirs) or aerosols; or carriers such as starches, sugars, micro-crystalline cellulose, diluents, granulating agents, lubricants, binders, and disintegrating agents can be used in the case of oral solid preparations, in some embodiments without employing the use of lactose. For example, suitable carriers include powders, capsules, and tablets, with the solid oral preparations. If desired, tablets can be coated by standard aqueous or nonaqueous techniques. [00737] Binders suitable for use in pharmaceutical compositions and dosage forms include, but are not limited to, corn starch, potato starch, or other starches, gelatin, natural and synthetic gums such as acacia, sodium alginate, alginic acid, other alginates, powdered tragacanth, guar gum, cellulose and its derivatives (e.g., ethyl cellulose, cellulose acetate, carboxymethyl cellulose calcium, sodium carboxymethyl cellulose), polyvinyl pyrrolidone, methyl cellulose, pre-gelatinized starch, hydroxypropyl methyl cellulose, microcrystalline cellulose, and mixtures thereof. [00738] Examples of suitable fillers for use in the pharmaceutical compositions and dosage forms disclosed herein include, but are not limited to, talc, calcium carbonate (e.g., granules or powder), microcrystalline cellulose, powdered cellulose, dextrates, kaolin, mannitol, silicic acid, sorbitol, starch, pre-gelatinized starch, and mixtures thereof. [00739] Disintegrants may be used in the compositions of the invention to provide tablets that disintegrate when exposed to an aqueous environment. Too much of a disintegrant may produce tablets which may disintegrate in the bottle. Too little may be insufficient for disintegration to occur and may thus alter the rate and extent of release of the active ingredient(s) from the dosage form. Thus, a sufficient amount of disintegrant that is neither too little nor too much to detrimentally alter the release of the active ingredient(s) may be used to form the dosage forms of the compounds disclosed herein. The amount of disintegrant used may vary based upon the type of formulation and mode of administration, and may be readily discernible to those of ordinary skill in the art. About 0.5 to about 15 weight percent of disintegrant, or about 1 to about 5 weight percent of disintegrant, may be used in the pharmaceutical composition. Disintegrants that can be used to form pharmaceutical compositions and dosage forms of the invention include, but are not limited to, agar-agar, alginic acid, calcium carbonate, microcrystalline cellulose, croscarmellose sodium, crospovidone, polacrilin potassium, sodium starch glycolate, potato or tapioca starch, other starches, pre-gelatinized starch, other starches, clays, other algins, other celluloses, gums or mixtures thereof. [00740] Lubricants which can be used to form pharmaceutical compositions and dosage forms of the invention include, but are not limited to, calcium stearate, magnesium stearate, mineral oil, light mineral oil, glycerin, sorbitol, mannitol, polyethylene glycol, other glycols, stearic acid, sodium lauryl sulfate, talc, hydrogenated vegetable oil (e.g., peanut oil, cottonseed oil, sunflower oil, sesame oil, olive oil, corn oil, and soybean oil), zinc stearate, ethyl oleate, ethyl laureate, agar, or mixtures thereof. Additional lubricants include, for example, a syloid silica gel, a coagulated aerosol of synthetic silica, or mixtures thereof. A lubricant can optionally be added, in an amount of less than about 1 weight percent of the pharmaceutical composition. [00741] When aqueous suspensions and/or elixirs are desired for oral administration, the active ingredient therein may be combined with various sweetening or flavoring agents, coloring matter or dyes and, if so desired, emulsifying and/or suspending agents, together with such diluents as water, ethanol, propylene glycol, glycerin and various combinations thereof. [00742] The tablets can be uncoated or coated by known techniques to delay disintegration and absorption in the gastrointestinal tract and thereby provide a sustained action over a longer period. For example, a time delay material such as glyceryl monostearate or glyceryl distearate can be employed. Formulations for oral use can also be presented as hard gelatin capsules wherein the active ingredient is mixed with an inert solid diluent, for example, calcium carbonate, calcium phosphate or kaolin, or as soft gelatin capsules wherein the active ingredient is mixed with water or an oil medium, for example, peanut oil, liquid paraffin or olive oil. [00743] Surfactant which can be used to form pharmaceutical compositions and dosage forms of the invention include, but are not limited to, hydrophilic surfactants, lipophilic surfactants, and mixtures thereof. That is, a mixture of hydrophilic surfactants may be employed, a mixture of lipophilic surfactants may be employed, or a mixture of at least one hydrophilic surfactant and at least one lipophilic surfactant may be employed. [00744] A suitable hydrophilic surfactant may generally have an HLB value of at least 10, while suitable lipophilic surfactants may generally have an HLB value of or less than about 10. An empirical parameter used to characterize the relative hydrophilicity and hydrophobicity of non-ionic amphiphilic compounds is the hydrophilic-lipophilic balance (" HLB" value). Surfactants with lower HLB values are more lipophilic or hydrophobic, and have greater solubility in oils, while surfactants with higher HLB values are more hydrophilic, and have greater solubility in aqueous solutions. [00745] Hydrophilic surfactants are generally considered to be those compounds having an HLB value greater than about 10, as well as anionic, cationic, or zwitterionic compounds for which the HLB scale is not generally applicable. Similarly, lipophilic (i.e., hydrophobic) surfactants are compounds having an HLB value equal to or less than about 10. However, HLB value of a surfactant is merely a rough guide generally used to enable formulation of industrial, pharmaceutical and cosmetic emulsions. [00746] Hydrophilic surfactants may be either ionic or non-ionic. Suitable ionic surfactants include, but are not limited to, alkylammonium salts; fusidic acid salts; fatty acid derivatives of amino acids, oligopeptides, and polypeptides; glyceride derivatives of amino acids, oligopeptides, and polypeptides; lecithins and hydrogenated lecithins; lysolecithins and hydrogenated lysolecithins; phospholipids and derivatives thereof; lysophospholipids and derivatives thereof; carnitine fatty acid ester salts; salts of alkylsulfates; fatty acid salts; sodium docusate; acyl lactylates; mono- and di-acetylated tartaric acid esters of mono- and di-glycerides; succinylated mono- and di-glycerides; citric acid esters of mono- and di- glycerides; and mixtures thereof. [00747] Within the aforementioned group, ionic surfactants include, by way of example: lecithins, lysolecithin, phospholipids, lysophospholipids and derivatives thereof; carnitine fatty acid ester salts; salts of alkylsulfates; fatty acid salts; sodium docusate; acylactylates; mono- and di-acetylated tartaric acid esters of mono- and di-glycerides; succinylated mono- and di-glycerides; citric acid esters of mono- and di-glycerides; and mixtures thereof. [00748] Ionic surfactants may be the ionized forms of lecithin, lysolecithin, phosphatidylcholine, phosphatidylethanolamine, phosphatidylglycerol, phosphatidic acid, phosphatidylserine, lysophosphatidylcholine, lysophosphatidylethanolamine, lysophosphatidylglycerol, lysophosphatidic acid, lysophosphatidylserine, PEG- phosphatidylethanolamine, PVP -phosphatidylethanolamine, lactylic esters of fatty acids, stearoyl-2-lactylate, stearoyl lactylate, succinylated monoglycerides, mono/diacetylated tartaric acid esters of mono/diglycerides, citric acid esters of mono/diglycerides, cholylsarcosine, caproate, caprylate, caprate, laurate, myristate, palmitate, oleate, ricinoleate, linoleate, linolenate, stearate, lauryl sulfate, teracecyl sulfate, docusate, lauroyl carnitines, palmitoyl carnitines, myristoyl carnitines, and salts and mixtures thereof. [00749] Hydrophilic non-ionic surfactants may include, but are not limited to, alkylglucosides; alkylmaltosides; alkylthioglucosides; lauryl macrogolglycerides; polyoxyalkylene alkyl ethers such as polyethylene glycol alkyl ethers; polyoxyalkylene alkylphenols such as polyethylene glycol alkyl phenols; polyoxyalkylene alkyl phenol fatty acid esters such as polyethylene glycol fatty acids monoesters and polyethylene glycol fatty acids diesters; polyethylene glycol glycerol fatty acid esters; polyglycerol fatty acid esters; polyoxyalkylene sorbitan fatty acid esters such as polyethylene glycol sorbitan fatty acid esters; hydrophilic transesterification products of a polyol with at least one member of the group consisting of glycerides, vegetable oils, hydrogenated vegetable oils, fatty acids, and sterols; polyoxyethylene sterols, derivatives, and analogues thereof; polyoxyethylated vitamins and derivatives thereof; polyoxyethylene-polyoxypropylene block copolymers; and mixtures thereof; polyethylene glycol sorbitan fatty acid esters and hydrophilic transesterification products of a polyol with at least one member of the group consisting of triglycerides, vegetable oils, and hydrogenated vegetable oils. The polyol may be glycerol, ethylene glycol, polyethylene glycol, sorbitol, propylene glycol, pentaerythritol, or a saccharide. [00750] Other hydrophilic-non-ionic surfactants include, without limitation, PEG- 10 laurate, PEG- 12 laurate, PEG-20 laurate, PEG-32 laurate, PEG-32 dilaurate, PEG- 12 oleate, PEG- 15 oleate, PEG-20 oleate, PEG-20 dioleate, PEG-32 oleate, PEG-200 oleate, PEG-400 oleate, PEG- 15 stearate, PEG-32 distearate, PEG-40 stearate, PEG- 100 stearate, PEG-20 dilaurate, PEG-25 glyceryl trioleate, PEG-32 dioleate, PEG-20 glyceryl laurate, PEG-30 glyceryl laurate, PEG-20 glyceryl stearate, PEG-20 glyceryl oleate, PEG-30 glyceryl oleate, PEG-30 glyceryl laurate, PEG-40 glyceryl laurate, PEG-40 palm kernel oil, PEG-50 hydrogenated castor oil, PEG-40 castor oil, PEG-35 castor oil, PEG-60 castor oil, PEG-40 hydrogenated castor oil, PEG-60 hydrogenated castor oil, PEG-60 corn oil, PEG-6 caprate/caprylate glycerides, PEG-8 caprate/caprylate glycerides, polyglyceryl-10 laurate, PEG-30 cholesterol, PEG-25 phyto sterol, PEG-30 soya sterol, PEG-20 trioleate, PEG-40 sorbitan oleate, PEG-80 sorbitan laurate, polysorbate 20, polysorbate 80, POE-9 lauryl ether, POE-23 lauryl ether, POE-10 oleyl ether, POE-20 oleyl ether, POE-20 stearyl ether, tocopheryl PEG- 100 succinate, PEG-24 cholesterol, polyglyceryl-lOoleate, Tween 40, Tween 60, sucrose monostearate, sucrose mono laurate, sucrose monopalmitate, PEG 10-100 nonyl phenol series, PEG 15-100 octyl phenol series, and poloxamers. [00751] Suitable lipophilic surfactants include, by way of example only: fatty alcohols; glycerol fatty acid esters; acetylated glycerol fatty acid esters; lower alcohol fatty acids esters; propylene glycol fatty acid esters; sorbitan fatty acid esters; polyethylene glycol sorbitan fatty acid esters; sterols and sterol derivatives; polyoxyethylated sterols and sterol derivatives; polyethylene glycol alkyl ethers; sugar esters; sugar ethers; lactic acid derivatives of mono- and di-glycerides; hydrophobic transesterification products of a polyol with at least one member of the group consisting of glycerides, vegetable oils, hydrogenated vegetable oils, fatty acids and sterols; oil-soluble vitamins/vitamin derivatives; and mixtures thereof. Within this group, preferred lipophilic surfactants include glycerol fatty acid esters, propylene glycol fatty acid esters, and mixtures thereof, or are hydrophobic transesterification products of a polyol with at least one member of the group consisting of vegetable oils, hydrogenated vegetable oils, and triglycerides. [00752] In one embodiment, the composition may include a solubilizer to ensure good solubilization and/or dissolution of the compound of the present invention and to minimize precipitation of the compound of the present invention. This can be especially important for compositions for non-oral use, e.g., compositions for injection. A solubilizer may also be added to increase the solubility of the hydrophilic drug and/or other components, such as surfactants, or to maintain the composition as a stable or homogeneous solution or dispersion. [00753] Examples of suitable solubilizers include, but are not limited to, the following: alcohols and polyols, such as ethanol, isopropanol, butanol, benzyl alcohol, ethylene glycol, propylene glycol, butanediols and isomers thereof, glycerol, pentaerythritol, sorbitol, mannitol, transcutol, dimethyl isosorbide, polyethylene glycol, polypropylene glycol, polyvinylalcohol, hydroxypropyl methylcellulose and other cellulose derivatives, cyclodextrins and cyclodextrin derivatives; ethers of polyethylene glycols having an average molecular weight of about 200 to about 6000, such as tetrahydrofurfuryl alcohol PEG ether (glycofurol) or methoxy PEG ; amides and other nitrogen-containing compounds such as 2- pyrrolidone, 2-piperidone, ε-caprolactam, N-alkylpyrrolidone, N-hydroxyalkylpyrrolidone, N-alkylpiperidone, N-alkylcaprolactam, dimethylacetamide and polyvinylpyrrolidone; esters such as ethyl propionate, tributylcitrate, acetyl triethylcitrate, acetyl tributyl citrate, triethylcitrate, ethyl oleate, ethyl caprylate, ethyl butyrate, triacetin, propylene glycol monoacetate, propylene glycol diacetate, ε-caprolactone and isomers thereof, δ-valerolactone and isomers thereof, β-butyrolactone and isomers thereof; and other solubilizers known in the art, such as dimethyl acetamide, dimethyl isosorbide, N-methyl pyrrolidones, monooctanoin, diethylene glycol monoethyl ether, and water. [00754] Mixtures of solubilizers may also be used. Examples include, but not limited to, triacetin, triethylcitrate, ethyl oleate, ethyl caprylate, dimethylacetamide, N- methylpyrrolidone, N-hydroxyethylpyrrolidone, polyvinylpyrrolidone, hydroxypropyl methylcellulose, hydroxypropyl cyclodextrins, ethanol, polyethylene glycol 200-100, glycofurol, transcutol, propylene glycol, and dimethyl isosorbide. Particularly preferred solubilizers include sorbitol, glycerol, triacetin, ethyl alcohol, PEG-400, glycofurol and propylene glycol. [00755] The amount of solubilizer that can be included is not particularly limited. The amount of a given solubilizer may be limited to a bioacceptable amount, which may be readily determined by one of skill in the art. In some circumstances, it may be advantageous to include amounts of solubilizers far in excess of bioacceptable amounts, for example to maximize the concentration of the drug, with excess solubilizer removed prior to providing the composition to a subject using conventional techniques, such as distillation or evaporation. Thus, if present, the solubilizer can be in a weight ratio of 10%, 25%o, 50%), 100%o, or up to about 200%> by weight, based on the combined weight of the drug, and other excipients. If desired, very small amounts of solubilizer may also be used, such as 5%>, 2%>, 1%) or even less. Typically, the solubilizer may be present in an amount of about 1%> to about 100%, more typically about 5%> to about 25%> by weight. [00756] The composition can further include one or more pharmaceutically acceptable additives and excipients. Such additives and excipients include, without limitation, detackifiers, anti-foaming agents, buffering agents, polymers, antioxidants, preservatives, chelating agents, viscomodulators, tonicifiers, flavorants, colorants, odorants, opacifiers, suspending agents, binders, fillers, plasticizers, lubricants, and mixtures thereof. [00757] In addition, an acid or a base may be incorporated into the composition to facilitate processing, to enhance stability, or for other reasons. Examples of pharmaceutically acceptable bases include amino acids, amino acid esters, ammonium hydroxide, potassium hydroxide, sodium hydroxide, sodium hydrogen carbonate, aluminum hydroxide, calcium carbonate, magnesium hydroxide, magnesium aluminum silicate, synthetic aluminum silicate, synthetic hydrocalcite, magnesium aluminum hydroxide, diisopropylethylamine, ethanolamine, ethylenediamine, triethanolamine, triethylamine, triisopropanolamine, trimethylamine, tris(hydroxymethyl)aminomethane (TRIS) and the like. Also suitable are bases that are salts of a pharmaceutically acceptable acid, such as acetic acid, acrylic acid, adipic acid, alginic acid, alkanesulfonic acid, amino acids, ascorbic acid, benzoic acid, boric acid, butyric acid, carbonic acid, citric acid, fatty acids, formic acid, fumaric acid, gluconic acid, hydroquinosulfonic acid, isoascorbic acid, lactic acid, maleic acid, oxalic acid, para- bromophenylsulfonic acid, propionic acid, p-toluenesulfonic acid, salicylic acid, stearic acid, succinic acid, tannic acid, tartaric acid, thioglycolic acid, toluenesulfonic acid, uric acid, and the like. Salts of polyprotic acids, such as sodium phosphate, disodium hydrogen phosphate, and sodium dihydrogen phosphate can also be used. When the base is a salt, the cation can be any convenient and pharmaceutically acceptable cation, such as ammonium, alkali metals, alkaline earth metals, and the like. Example may include, but not limited to, sodium, potassium, lithium, magnesium, calcium and ammonium. [00758] Suitable acids are pharmaceutically acceptable organic or inorganic acids. Examples of suitable inorganic acids include hydrochloric acid, hydrobromic acid, hydriodic acid, sulfuric acid, nitric acid, boric acid, phosphoric acid, and the like. Examples of suitable organic acids include acetic acid, acrylic acid, adipic acid, alginic acid, alkanesulfonic acids, amino acids, ascorbic acid, benzoic acid, boric acid, butyric acid, carbonic acid, citric acid, fatty acids, formic acid, fumaric acid, gluconic acid, hydroquinosulfonic acid, isoascorbic acid, lactic acid, maleic acid, methanesulfonic acid, oxalic acid, para-bromophenylsulfonic acid, propionic acid, p-toluenesulfonic acid, salicylic acid, stearic acid, succinic acid, tannic acid, tartaric acid, thioglycolic acid, toluenesulfonic acid, uric acid and the like. Pharmaceutical compositions for injection. [00759] In some embodiments, the invention provides a pharmaceutical composition for injection containing a compound of the present invention and a pharmaceutical excipient suitable for injection. Components and amounts of agents in the compositions are as described herein. [00760] The forms in which the novel compositions of the present invention may be incorporated for administration by injection include aqueous or oil suspensions, or emulsions, with sesame oil, corn oil, cottonseed oil, or peanut oil, as well as elixirs, mannitol, dextrose, or a sterile aqueous solution, and similar pharmaceutical vehicles. [00761] Aqueous solutions in saline are also conventionally used for injection. Ethanol, glycerol, propylene glycol, liquid polyethylene glycol, and the like (and suitable mixtures thereof), cyclodextrin derivatives, and vegetable oils may also be employed. The proper fluidity can be maintained, for example, by the use of a coating, such as lecithin, for the maintenance of the required particle size in the case of dispersion and by the use of surfactants. The prevention of the action of microorganisms can be brought about by various antibacterial and antifungal agents, for example, parabens, chlorobutanol, phenol, sorbic acid, thimerosal, and the like. [00762] Sterile injectable solutions are prepared by incorporating the compound of the present invention in the required amount in the appropriate solvent with various other ingredients as enumerated above, as required, followed by filtered sterilization. Generally, dispersions are prepared by incorporating the various sterilized active ingredients into a sterile vehicle which contains the basic dispersion medium and the required other ingredients from those enumerated above. In the case of sterile powders for the preparation of sterile injectable solutions, certain desirable methods of preparation are vacuum-drying and freeze- drying techniques which yield a powder of the active ingredient plus any additional desired ingredient from a previously sterile-filtered solution thereof. [00763] Pharmaceutical compositions for topical (e.g. transdermal) delivery. [00764] In some embodiments, the invention provides a pharmaceutical composition for transdermal delivery containing a compound of the present invention and a pharmaceutical excipient suitable for transdermal delivery. [00765] Compositions of the present invention can be formulated into preparations in solid, semisolid, or liquid forms suitable for local or topical administration, such as gels, water soluble jellies, creams, lotions, suspensions, foams, powders, slurries, ointments, solutions, oils, pastes, suppositories, sprays, emulsions, saline solutions, dimethylsulfoxide (DMSO)-based solutions. In general, carriers with higher densities are capable of providing an area with a prolonged exposure to the active ingredients. In contrast, a solution formulation may provide more immediate exposure of the active ingredient to the chosen area. [00766] The pharmaceutical compositions also may comprise suitable solid or gel phase carriers or excipients, which are compounds that allow increased penetration of, or assist in the delivery of, therapeutic molecules across the stratum corneum permeability barrier of the skin. There are many of these penetration- enhancing molecules known to those trained in the art of topical formulation. [00767] Examples of such carriers and excipients include, but are not limited to, humectants (e.g., urea), glycols (e.g., propylene glycol), alcohols (e.g., ethanol), fatty acids (e.g., oleic acid), surfactants (e.g., isopropyl myristate and sodium lauryl sulfate), pyrrolidones, glycerol monolaurate, sulfoxides, terpenes (e.g., menthol), amines, amides, alkanes, alkanols, water, calcium carbonate, calcium phosphate, various sugars, starches, cellulose derivatives, gelatin, and polymers such as polyethylene glycols. [00768] Another exemplary formulation for use in the methods of the present invention employs transdermal delivery devices ("patches"). Such transdermal patches may be used to provide continuous or discontinuous infusion of a compound of the present invention in controlled amounts, either with or without another agent. The construction and use of transdermal patches for the delivery of pharmaceutical agents is well known in the art. See, e.g., U.S. Pat. Nos.5,023,252, 4,992,445 and 5,001,139. Such patches may be constructed for continuous, pulsatile, or on demand delivery of pharmaceutical agents. Pharmaceutical compositions for inhalation. [00769] Compositions for inhalation or insufflation include solutions and suspensions in pharmaceutically acceptable, aqueous or organic solvents, or mixtures thereof, and powders. The liquid or solid compositions may contain suitable pharmaceutically acceptable excipients as described supra. Preferably the compositions are administered by the oral or nasal respiratory route for local or systemic effect. Compositions in preferably pharmaceutically acceptable solvents may be nebulized by use of inert gases. Nebulized solutions may be inhaled directly from the nebulizing device or the nebulizing device may be attached to a face mask tent, or intermittent positive pressure breathing machine. Solution, suspension, or powder compositions may be administered, preferably orally or nasally, from devices that deliver the formulation in an appropriate manner. [00770] Compositions for inhalation may be delivered as a dry powder (either alone, as a mixture, for example a dry blend with lactose, or a mixed component particle, for example with phospholipids) from a dry powder inhaler or as an aerosol spray from a pressurised container, pump, spray, atomizer or nebuliser, with or without the use of a suitable propellant. Such devices are referred to in, for example, WO2013030802. [00771] Where the inhalable form of the active ingredient is an aerosol composition, the inhalation device may be an aerosol vial provided with a valve adapted to deliver a metered dose, i.e. a metered dose inhaler. Where the inhalable form of the active ingredient is a nebulizable aqueous, organic or aqueous/organic dispersion, the inhalation device may be a nebulizer, such as an airjet nebulizer, or an ultrasonic nebulizer, or a hand- held nebulizer, sometimes referred to as a soft mist or soft spray inhaler, or a mechanical device which allows much smaller nebulized volumes than conventional nebulizers. Such devices are referred to in, for example, WO2013030802. [00772] Where the inhalable form of the active ingredient is the finely divided particulate form, the inhalation device may be, for example, a dry powder inhalation device adapted to deliver dry powder from a capsule or blister containing a dry powder comprising a dosage unit or a multidose dry powder inhalation (MDPI) device adapted to deliver dry powder comprising a dosage unit upon actuation. The dry powder composition preferably contains a diluent or carrier, such as lactose, and a compound that helps to protect against product performance deterioration due to moisture e.g. magnesium stearate. Dry powder inhalation devices are referred to in, for example, WO2013030802 [00773] Thus, in some embodiments, the invention also includes (A) a compound of the invention, or a pharmaceutically acceptable salt thereof, in inhalable form; (B) an inhalable medicament comprising the compound in inhalable form together with a pharmaceutically acceptable carrier in inhalable form; (C) a pharmaceutical product comprising such a compound in inhalable form in association with an inhalation device; and (D) an inhalation device containing such a compound in inhalable form. Other pharmaceutical compositions. [00774] Pharmaceutical compositions may also be prepared from compositions described herein and one or more pharmaceutically acceptable excipients suitable for sublingual, buccal, rectal, intraosseous, intraocular, intranasal, epidural, or intraspinal administration. Preparations for such pharmaceutical compositions are well-known in the art. See, e.g., Anderson, Philip O.; Knoben, James E.; Troutman, William G, eds., Handbook of Clinical Drug Data, Tenth Edition, McGraw-Hill, 2002; Pratt and Taylor, eds., Principles of Drug Action, Third Edition, Churchill Livingston, New York, 1990; Katzung, ed., Basic and Clinical Pharmacology, Ninth Edition, McGraw Hill, 20037ybg; Goodman and Gilman, eds., The Pharmacological Basis of Therapeutics, Tenth Edition, McGraw Hill, 2001 ; Remingtons Pharmaceutical Sciences, 20th Ed., Lippincott Williams & Wilkins., 2000; Martindale, The Extra Pharmacopoeia, Thirty-Second Edition (The Pharmaceutical Press, London, 1999); all of which are incorporated by reference herein in their entirety. [00775] Administration of the compounds or pharmaceutical composition of the present invention can be effected by any method that enables delivery of the compounds to the site of action. These methods include oral routes, intraduodenal routes, parenteral injection (including intravenous, intraarterial, subcutaneous, intramuscular, intravascular, intraperitoneal or infusion), topical (e.g. transdermal application), rectal administration, via local delivery by catheter or stent or through inhalation. Compounds can also be administered intraadiposally or intrathecally. [00776] The amount of the compound administered will be dependent on the subject being treated, the severity of the disorder or condition, the rate of administration, the disposition of the compound and the discretion of the prescribing physician. However, an effective dosage is in the range of about 0.001 to about 100 mg per kg body weight per day, preferably about 1 to about 35 mg/kg/day, in single or divided doses. For a 70 kg human, this would amount to about 0.05 to 7 g/day, preferably about 0.05 to about 2.5 g/day. In some instances, dosage levels below the lower limit of the aforesaid range may be more than adequate, while in other cases still larger doses may be employed without causing any harmful side effect, e.g. by dividing such larger doses into several small doses for administration throughout the day. [00777] In some embodiments, a compound of the invention is administered in a single dose. [00778] Typically, such administration will be by injection, e.g., intravenous injection, in order to introduce the agent quickly. However, other routes may be used as appropriate. A single dose of a compound of the invention may also be used for treatment of an acute condition. [00779] In some embodiments, a compound of the invention is administered in multiple doses. Dosing may be about once, twice, three times, four times, five times, six times, or more than six times per day. Dosing may be about once a month, once every two weeks, once a week, or once every other day. In another embodiment a compound of the invention and another agent are administered together about once per day to about 6 times per day. In another embodiment the administration of a compound of the invention and an agent continues for less than about 7 days. In yet another embodiment the administration continues for more than about 6, 10, 14, 28 days, two months, six months, or one year. In some cases, continuous dosing is achieved and maintained as long as necessary. [00780] Administration of the compounds of the invention may continue as long as necessary. In some embodiments, a compound of the invention is administered for more than 1, 2, 3, 4, 5, 6, 7, 14, or 28 days. In some embodiments, a compound of the invention is administered for less than 28, 14, 7, 6, 5, 4, 3, 2, or 1 day. In some embodiments, a compound of the invention is administered chronically on an ongoing basis, e.g., for the treatment of chronic effects. [00781] An effective amount of a compound of the invention may be administered in either single or multiple doses by any of the accepted modes of administration of agents having similar utilities, including rectal, buccal, intranasal and transdermal routes, by intra- arterial injection, intravenously, intraperitoneally, parenterally, intramuscularly, subcutaneously, orally, topically, or as an inhalant. [00782] The compositions of the invention may also be delivered via an impregnated or coated device such as a stent, for example, or an artery-inserted cylindrical polymer. Such a method of administration may, for example, aid in the prevention or amelioration of restenosis following procedures such as balloon angioplasty. Without being bound by theory, compounds of the invention may slow or inhibit the migration and proliferation of smooth muscle cells in the arterial wall which contribute to restenosis. A compound of the invention may be administered, for example, by local delivery from the struts of a stent, from a stent graft, from grafts, or from the cover or sheath of a stent. In some embodiments, a compound of the invention is admixed with a matrix. Such a matrix may be a polymeric matrix, and may serve to bond the compound to the stent. Polymeric matrices suitable for such use, include, for example, lactone-based polyesters or copolyesters such as polylactide, polycaprolactonglycolide, polyorthoesters, polyanhydrides, polyaminoacids, polysaccharides, polyphosphazenes, poly (ether-ester) copolymers (e.g. PEO-PLLA); polydimethylsiloxane, poly(ethylene-vinylacetate), acrylate-based polymers or copolymers Ĩe.g. polyhydroxyethyl methylmethacrylate, polyvinyl pyrrolidinone), fluorinated polymers such as polytetrafluoroethylene and cellulose esters. Suitable matrices may be nondegrading or may degrade with time, releasing the compound or compounds. Compounds of the invention may be applied to the surface of the stent by various methods such as dip/spin coating, spray coating, dip-coating, and/or brush-coating. The compounds may be applied in a solvent and the solvent may be allowed to evaporate, thus forming a layer of compound onto the stent. Alternatively, the compound may be located in the body of the stent or graft, for example in microchannels or micropores. When implanted, the compound diffuses out of the body of the stent to contact the arterial wall. Such stents may be prepared by dipping a stent manufactured to contain such micropores or microchannels into a solution of the compound of the invention in a suitable solvent, followed by evaporation of the solvent. Excess drug on the surface of the stent may be removed via an additional brief solvent wash. In yet other embodiments, compounds of the invention may be covalently linked to a stent or graft. A covalent linker may be used which degrades in vivo, leading to the release of the compound of the invention. Any bio-labile linkage may be used for such a purpose, such as ester, amide or anhydride linkages. Compounds of the invention may additionally be administered intravascularly from a balloon used during angioplasty. Extravascular administration of the compounds via the pericard or via advential application of formulations of the invention may also be performed to decrease restenosis. [00783] A variety of stent devices which may be used as described are disclosed, for example, in the following references, all of which are hereby incorporated by reference: U.S. Pat. No.5451233; U.S. Pat. No.5040548; U.S. Pat. No.5061273; U.S. Pat. No. 5496346; U.S. Pat. No.5292331; U.S. Pat. No.5674278; U.S. Pat. No.3657744; U.S. Pat. No.4739762; U.S. Pat. No.5195984; U.S. Pat. No.5292331 ; U.S. Pat. No.5674278; U.S. Pat. No.5879382; U.S. Pat. No.6344053. [00784] The compounds of the invention may be administered in dosages. It is known in the art that due to intersubject variability in compound pharmacokinetics, individualization of dosing regimen is necessary for optimal therapy. Dosing for a compound of the invention may be found by routine experimentation in light of the instant disclosure. [00785] When a compound of the invention is administered in a composition that comprises one or more agents, and the agent has a shorter half- life than the compound of the invention unit dose forms of the agent and the compound of the invention may be adjusted accordingly. [00786] The subject pharmaceutical composition may, for example, be in a form suitable for oral administration as a tablet, capsule, pill, powder, sustained release formulations, solution, suspension, for parenteral injection as a sterile solution, suspension or emulsion, for topical administration as an ointment or cream or for rectal administration as a suppository. The pharmaceutical composition may be in unit dosage forms suitable for single administration of precise dosages. The pharmaceutical composition will include a conventional pharmaceutical carrier or excipient and a compound according to the invention as an active ingredient. In addition, it may include other medicinal or pharmaceutical agents, carriers, adjuvants, etc. [00787] Exemplary parenteral administration forms include solutions or suspensions of active compound in sterile aqueous solutions, for example, aqueous propylene glycol or dextrose solutions. Such dosage forms can be suitably buffered, if desired. [00788] Methods of Use [00789] The method typically comprises administering to a subject a therapeutically effective amount of a compound of the invention. The therapeutically effective amount of the subject combination of compounds may vary depending upon the intended application (in vitro or in vivo), or the subject and disease condition being treated, e.g., the weight and age of the subject, the severity of the disease condition, the manner of administration and the like, which can readily be determined by one of ordinary skill in the art. The term also applies to a dose that will induce a particular response in target cells, e.g., reduction of proliferation or downregulation of activity of a target protein. The specific dose will vary depending on the particular compounds chosen, the dosing regimen to be followed, whether it is administered in combination with other compounds, timing of administration, the tissue to which it is administered, and the physical delivery system in which it is carried. [00790] The disclosure also relates to methods of using the compounds described herein to treat in a subject in need thereof, a disease or disorder in which PDGFR signaling is implicated. These methods are accomplished by administering to the subject a compound of the disclosure in an amount effective to treat the disease or disorder. [00791] It should be understood that references herein to methods of treatment using one or more compounds or formulations thereof, or methods of using the compounds described herein to treat a disease or disorder, should also be interpreted as references to: (i) one or more compounds or formulations thereof for use in methods of treatment; and/or (ii) the use of one or more compounds or formulations thereof in the manufacture of a medicament for treating a pathological condition set forth herein. [00792] In some aspects, the disclosure is directed to methods of using the compounds described herein to treat a disease or disorder in a subject in need thereof, wherein the disease or disorder is pulmonary hypertension (PH). [00793] In some embodiments, the pulmonary hypertension is pulmonary arterial hypertension (PAH) (WHO PH Group 1); PH secondary to heart failure (WHO PH Group 2); PH secondary to lung diseases and/or hypoxia (WHO PH Group 3); PH due to pulmonary artery obstruction (WHO Group 4); or PH due to unknown or rare diseases (WHO PH Group 5). [00794] In some embodiments, the PAH (WHO PH Group 1) is idiopathic PAH, PAH with vasoreactivity, heritable PAH, drugs and toxins-induced PAH, PAH associated with connective tissue disease, PAH associated with HIV infection, PAH associated with portal hypertension, PAH associated with congenital heart disease, PAH associated with schistosomiasis, PAH in long-term responders to calcium channel blockers, PAH with overt signs of venous/capillaries involvement; persistent PH of the Newborn syndrome; or systemic sclerosis-associated PAH (SSc-PAH). [00795] In some embodiments, the PAH secondary to heart failure (WHO PH Group 2) is PH due to heart failure with preserved ejection fraction, PH due to heart failure with reduced ejection fraction, valvular heart disease, or congenital post-capillary obstructive lesions. [00796] In some embodiments, the PH secondary to lung diseases and/or hypoxia (WHO PH Group 3) is PH due to obstructive lung disease, PH due to restrictive lung disease, PH due to other lung diseases with mixed restrictive/obstructive pattern, PH due to hypoxia without lung disease, PH due to developmental lung disorders. [00797] In some embodiments, the PH due to obstructive lung disease is PH due to chronic obstructive pulmonary disease (COPD). [00798] In some embodiments, the PH due to restrictive lung disease is PH due to interstitial lung diseases (ILDs). [00799] In some embodiments, the PH due to interstitial lung diseases (ILDs) is PH due to idiopathic pulmonary fibrosis (IPF). [00800] In some embodiments, the PH due to pulmonary artery obstruction (WHO Group 4) is chronic thromboembolic PH (CTEPH) or PH due to other pulmonaty artery obstructions. [00801] In some embodiments, the PH due to unknown or rare diseases (WHO PH Group 5) is PH due to hematologic disorders, PH due to systemic disorders, PH due to other disorders, or PH due to complex congenital heart disease. [00802] In some aspects, the disclosure is directed to methods of using the compounds described herein to treat a disease or disorder in a subject in need thereof, wherein the disease or disorder is a respiratory disease. [00803] In some embodiments, the respiratory disease is asthma. [00804] In some aspects, the disclosure is directed to methods of using the compounds described herein to treat a disease or disorder in a subject in need thereof, wherein the disease or disorder is a fibrotic disease. [00805] In some embodiments, the fibrotic disease is pulmonary fibrosis, cardiac fibrosis or liver fibrosis. [00806] In some embodiments, the fibrotic disease is pulmonary fibrosis. [00807] In some embodiments, the pulmonary fibrosis is an interstitial lung disease. [00808] In some embodiments, the interstitial lung disease is idiopathic pulmonary fibrosis. [00809] In some embodiments, the interstitial lung disease is rheumatoid arthritis- associated interstitial lung disease. [00810] In some embodiments, the interstitial lung disease is systemic sclerosis- associated interstitial lung disease. [00811] In some embodiments, the interstitial lung disease is connective tissue disease-associated interstitial lung disease. [00812] In some embodiments, the interstitial lung disease is nonspecific interstitial pneumonia. [00813] In some embodiments, the interstitial lung disease is unclassifiable interstitial lung disease. [00814] In some embodiments, the interstitial lung disease is hypersensitivity pneumonitis. [00815] In some embodiments, the interstitial lung disease is sarcoidosis. [00816] In some embodiments, the interstitial lung disease is non-idiopathic pulmonary fibrosis interstitial lung disease. [00817] In some aspects, the disclosure is directed to methods of using the compounds described herein to treat a disease or disorder in a subject in need thereof, wherein the disease or disorder is a dermatological disease. [00818] In some embodiments, the dermatological disease or disorder is atopic dermatitis, scleroderma, or urticaria. [00819] In some aspects, the disclosure is directed to methods of using the compounds described herein to treat a disease or disorder in a subject in need thereof, wherein the disease or disorder is an inflammatory disease or disorder. [00820] In some embodiments, the inflammatory disease or disorder is allergic rhinitis, irritable bowel syndrome (IBS); or inflammatory bowel disease (IBD). [00821] In some aspects, the disclosure is directed to methods of using the compounds described herein to treat a disease or disorder in a subject in need thereof, wherein the disease or disorder is an autoimmune disorder. [00822] In some aspects, the disclosure is directed to methods of using the compounds described herein to treat a disease or disorder in a subject in need thereof, wherein the disease or disorder is a metabolic disease. [00823] In some aspects, the disclosure is directed to methods of using the compounds described herein to treat a disease or disorder in a subject in need thereof, wherein the disease or disorder is vascular restenosis; age-related macular degeneration (AMD); irritable bowel syndrome (IBS); inflammatory bowel disease (IBD); obesity-cell related diseases; type I diabetes or type II diabetes. [00824] In other embodiments, the disclosure is directed to methods of using the compounds described herein to treat a disease or disorder in a subject in need thereof, wherein the disease or disorder is pulmonary arterial hypertension (PAH). [00825] In other embodiments, the disclosure is directed to methods of using the compounds described herein to treat a disease or disorder in a subject in need thereof, wherein the disease or disorder is PH secondary to heart failure (WHO PH Group 2). [00826] In other embodiments, the disclosure is directed to methods of using the compounds described herein to treat a disease or disorder in a subject in need thereof, wherein the disease or disorder is PH due to heart failure with preserved ejection fraction. [00827] In other embodiments, the disclosure is directed to methods of using the compounds described herein to treat a disease or disorder in a subject in need thereof, wherein the disease or disorder is PH due to heart failure with reduced ejection fraction. [00828] In other embodiments, the disclosure is directed to methods of using the compounds described herein to treat a disease or disorder in a subject in need thereof, wherein the disease or disorder is valvular heart disease. [00829] In other embodiments, the disclosure is directed to methods of using the compounds described herein to treat a disease or disorder in a subject in need thereof, wherein the disease or disorder is congenital post-capillary obstructive lesions. [00830] In other embodiments, the disclosure is directed to methods of using the compounds described herein to treat a disease or disorder in a subject in need thereof, wherein the disease or disorder is PH secondary to lung diseases and/or hypoxia (WHO PH Group 3). [00831] In other embodiments, the disclosure is directed to methods of using the compounds described herein to treat a disease or disorder in a subject in need thereof, wherein the disease or disorder is PH due to pulmonary artery obstruction (WHO Group 4). [00832] In other embodiments, the disclosure is directed to methods of using the compounds described herein to treat a disease or disorder in a subject in need thereof, wherein the disease or disorder is chronic thromboembolic PH (CTEPH). [00833] In other embodiments, the disclosure is directed to methods of using the compounds described herein to treat a disease or disorder in a subject in need thereof, wherein the disease or disorder is PH due to unknown or rare diseases (WHO PH Group 5). [00834] In other embodiments, the disclosure is directed to methods of using the compounds described herein to treat a disease or disorder in a subject in need thereof, wherein the disease or disorder is idiopathic PAH. [00835] In other embodiments, the disclosure is directed to methods of using the compounds described herein to treat a disease or disorder in a subject in need thereof, wherein the disease or disorder is PAH associated with connective tissue disease. [00836] In other embodiments, the disclosure is directed to methods of using the compounds described herein to treat a disease or disorder in a subject in need thereof, wherein the disease or disorder is systemic sclerosis-associated PAH (SSc-PAH). [00837] In other embodiments, the disclosure is directed to methods of using the compounds described herein to treat a disease or disorder in a subject in need thereof, wherein the disease or disorder is PH secondary to interstitial lung diseases (ILDs). [00838] In other embodiments, the disclosure is directed to methods of using the compounds described herein to treat a disease or disorder in a subject in need thereof, wherein the disease or disorder is PH secondary to chronic obstructive pulmonary disease (COPD). [00839] In other embodiments, the disclosure is directed to methods of using the compounds described herein to treat a disease or disorder in a subject in need thereof, wherein the disease or disorder is PH secondary to idiopathic pulmonary fibrosis (IPF). [00840] In treatment methods according to the disclosure, an effective amount of a pharmaceutical agent according to the disclosure is administered to a subject suffering from or diagnosed as having such a disease or disorder. An "effective amount" means an amount or dose sufficient to generally bring about the desired therapeutic benefit in patients in need of such treatment for the designated disease or disorder. Effective amounts or doses of the compounds of the present disclosure may be ascertained by routine methods such as modeling, dose escalation studies or clinical trials, and by taking into consideration routine factors, e.g., the mode or route of administration or drug delivery, the pharmacokinetics of the compound, the severity and course of the disease or disorder, the subject's previous or ongoing therapy, the subject's health status and response to drugs, and the judgment of the treating physician. An example of a dose is in the range of from about 0.001 to about 200 mg of compound per kg of subject's body weight per day, preferably about 0.05 to 100 mg/kg/day, or about 1 to 35 mg/kg/day, in single or divided dosage units (e.g., BID, TID, QID). For a 70-kg human, an illustrative range for a suitable dosage amount is from about 0.05 to about 7 g/day, or about 0.2 to about 2.5 g/day. [00841] In addition, the compounds of the disclosure may be used in combination with additional active ingredients in the treatment of the above diseases or disorders. The additional active ingredients may be coadministered separately with a compound of the disclosure or included with such an agent in a pharmaceutical composition according to the disclosure. The combination may serve to increase efficacy (e.g., by including in the combination a compound potentiating the potency or effectiveness of an active agent according to the disclosure), decrease one or more side effects, or decrease the required dose of the active agent according to the disclosure. Examples [00842] Compounds of Formula (I) in the present invention can be synthesized in accordance with general synthetic methods to those who are skilled in the art. The following reaction schemes are only meant to represent examples of the invention and are in no way meant to be a limit of the invention. [00843] Compounds of Formula I in the present invention can be synthesized in accordance with general synthetic methods to those who are skilled in the art. The following reaction schemes are only meant to represent examples of the invention and are in no way meant to be a limit of the invention. Scheme 1

[00844] Scheme 1 illustrated the synthesis of key intermediate 1.1H-pyrrolo[2,3- b]pyridine-5-carbonitrile (1-1) treated with sodium hydride and SEMCl in DMF to give SEM protected intermediate (1-2), treatment of (1-2) with LAD in THF at -78
0C followed by X
2 to give key intermediate (1). Scheme 2
[00845] Scheme 2 illustrated the synthesis of Formula I while L = NHCO. The key intermediate (Int 1) first hydrolyzed to acid with a base such LiOH, in a solvent such as THF-H2O to give an acid (I-2), the acid (I-2) was then coupled with an amine (I-1) to give compound (I-3). Couple compound (I-3) with boronated agent (I-4), a catalyst such as PdCl
2(dppf).CH
2Cl
2, a base such as Cs
2CO
3 and a solvent such as dioxane-water to yield compound (I-7). Alternatively intermediate (Int 1) coupled with boronated agent (I-4), a catalyst such as PdCl
2(dppf).CH
2Cl
2, a base such as Cs
2CO
3 and a solvent such as dioxane- water to give compound (I-5), compound (I-5) was hydrolyzed to acid with a base such LiOH, in a solvent such as THF-H2O to give an acid (I-6), the acid (I-6) was then coupled with an amine (I-1) to give compound (I-7). The protecting Boc group was deprotected with an acid such HCl in a solvent such as methanol to give amine (I-8). The amine (I-8) was then treated with acid chloride (I-9), a base such as NaHCO
3 in a solvent such as DMF to produce a chloride compound (I-10). Treated compound (I-10) with amine (I-11), a base such as K
2CO
3 and in a solvent such as DMF to yield compound (I-13). Alternatively, the amine (I- 8) was coupled with an acid (I-12) with an appropriate coupling reagent such as T
3P, a base such as TEA and a solvent such as DMF to produce compound (I-13). Deprotecting SEM group from compound (I-13) with TFA in a solvent such as DCM give Formula I. Compound (I-13) treated with 1-chloromethyl-4-fluoro-1,4-diazoniabicyclo[2.2.2]octane bis(tetrafluoroborate) in acetonitrile to give fluoro containing compound (I-13
’) and subsequently deprotected SEM to give Formula I
’. Scheme 3
H I [00846] Scheme 3 illustrated the alternate synthesis of Formula I while L = NHCO. The nitropyridinylamine (I-14) was reacted with an acid chloride (I-9) and base such as TEA in a solvent such as DCM to give a compound (I-15) which then treated with an amine (I-11), a base such as K2CO3 and in a solvent such as MeCN to give nitro compound (I-16). The nitro compound (I-16) was reduced to an amine (I-19) under H
2 with a catalyst such as Pd/C. Alternatively, the Boc protected aminopyridinylamine (I-1) was first treated with acid chloride (I-9), a base such as NaHCO
3 in a solvent such as DMF to produce a chloride compound (I-17). Treated compound (I-17) with amine (I-11), a base such as K
2CO
3 and in a solvent such as DMF to yield compound (I-18), Boc deprotection by the treatment of compound (I-18) with TFA in a solvent such as DCM to give compound (I-19) The compound (I-19) was treated with an acid (I-6), a coupling agent such as TCFH, a base such as NMI, in a solvent such as DMF to produce compound (I-24). Alternately the amine (I-19) coupled with an acid (I-6) in an appropriate coupling agent such as TCFH, a base such as NMI, in a solvent such as DMF to give a halo compound (I-20). The halo compound (I-20) coupled with boronated agent (I-4), a catalyst such as PdCl
2(dppf).CH
2Cl
2, a base such as Cs
2CO
3 and a solvent such as dioxane-water to give compound (I-24). Further alternately, the halo compound (I-20) converted to a boronated compound (I-22) with 4,4,4',4',5,5,5',5'- octamethyl-2,2'-bi(1,3,2-dioxaborolane) (I-21), a catalyst such as Pd
2(dba)
3, a ligand such as PCy
3, a base such as AcOK and in a solvent such as dioxane. The boronated compound (I-22) was then couple with a halide compound (I-23), a catalyst such as Pd-118, a base such as K
3PO
4 and a solvent such as dioxane-water to give compound (I-24). Deprotecting SEM group from compound (I-13) with TFA in a solvent such as DCM produce Formula I. Scheme 4.
[00847] Scheme 4 illustrated the synthesis of Formula I while L = CONH. The acid (I-2) coupled with pyridinylamine ester (I-25) in an appropriate coupling agent such as TCFH, a base such as NMI in a solvent such as DMF to give an ester compound (I-26). The ester compound (I-22) coupled with boronated agent (I-4), a catalyst such as PdCl
2(dppf)CH
2Cl
2 a base such as Cs
2CO
3 and a solvent such as dioxane-water to give compound (I-27). Compound (I-27) was then hydrolyzed with a base such as LiOH in a solvent such as THF-water to give an acid (I-28). The acid (I-28) was then couple with amine (I-29), an appropriate coupling reagent such as HATU, a base such as DIEA and a solvent such as DMF to yield compound (I-30), deprotecting SEM group from compound (I-30) with TFA in a solvent such as DCM produce Formula I. Scheme 5
[00848] Scheme 5 illustrated the alternative synthesis of Formula I while L = CONH. The ester compound (I-26) was first hydrolyzed with base such as LiOH in a solvent such as THF-water to give acid (I-31). The acid (I-31) was then couple with amine (I-29), an appropriate coupling reagent such as HATU, a base such as DIEA and a solvent such as DMF to produce a halo containing compound (I-32). The halo containing compound (I-32) coupled with boronated agent (I-4), a catalyst such as PdCl
2(dppf).CH
2Cl
2, a base such as Cs
2CO
3 and a solvent such as dioxane-water to give compound (I-33). Alternatively, the bromo containing compound (I-32) converted to a boronated compound (I-34) with 4,4,4',4',5,5,5',5'-octamethyl-2,2'-bi(1,3,2-dioxaborolane) (I-21), a catalyst such as Pd
2(dba)
3 and PCy
3 a base such as AcOK and in a solvent such as dioxane The boronated compound (I-34) was then couple with a halide compound (I-23), a catalyst such as Pd-118, a base such as K
3PO
4 and a solvent such as dioxane-water to compound (I-33), deprotecting SEM group from compound (I-33) with TFA in a solvent such as DCM produce Formula I Scheme 6.
[00849] Scheme 6 illustrated the synthesis of Formula I while L = NHCONH. The amine (I-29) first treated with phenyl carbonochloridate (I-35) in a solvent such as DCM to give compound (I-36). compound (I-36) was reacted with compound (I-14), a base such as DMAP and in a solvent such as acetylnitrile to yield nitro containing compound (I-37) which then reduced under H
2 with a catalyst such as Pd/C in a solvent such as methanol to give amine compound (I-38). The amine compound (I-38) coupled with an acid (I-31), an appropriate coupling agent such as TCFH, a base such as NMI in a solvent such as DMF to give compound (I-39). Compound (I-39) coupled with boronated agent (I-4), a catalyst such as PdCl
2(dppf).CH
2Cl
2, a base such as Cs
2CO
3 and a solvent such as dioxane-water to give compound (I-40), deprotecting SEM group from compound (I-40) with TFA in a solvent such as DCM produce Formula I. Intermediate A.2-iodo-1-((2-(trimethylsilyl)ethoxy)methyl)-1H-pyrrolo[2,3-b]pyridine- 5-carbonitrile
Step 1.1-((2-(trimethylsilyl)ethoxy)methyl)-1H-pyrrolo[2,3-b]pyridine-5-carbonitrile
[00850] To a solution of 1H-pyrrolo[2,3-b]pyridine-5-carbonitrile (15.0 g, 104.79 mmol) in DMF (100 mL) with a stir bar in 1000 mL flask was added NaH (5.0 g, 125.01 mmol) at 0°C under N
2. After 0.5 h, SEMCl (19.2 g, 115.16 mmol) was added at 0°C under N2. The resulting mixture was maintained under nitrogen and stirred at rt overnight to yield a black homogeneous mixture. The reaction was quenched with H
2O (30 mL). The resulting mixture was extracted with ethyl acetate (2 x 50 mL). The organic layers were combined, dried over anhydrous sodium sulfate, filtered and concentrated. The residue obtained was purified by silica gel chromatography (0-15% ethyl acetate/petroleum ether) to afford the 1- ((2-(trimethylsilyl)ethoxy)methyl)-1H-pyrrolo[2,3-b]pyridine-5-carbonitrile as a yellow oil (25.2 g, 88.0% yield). MS (ESI) calcd. for C
14H
19N
3OSi:, 273.13 m/z, found 274.30 [M+H]
+. Step2.2-iodo-1-((2-(trimethylsilyl)ethoxy)methyl)-1H-pyrrolo[2,3-b]pyridine-5- carbonitrile
[00851] To a solution of 1-((2-(trimethylsilyl)ethoxy)methyl)-1H-pyrrolo[2,3- b]pyridine-5-carbonitrile (20.0 g, 73.15 mmol) in THF (400 mL) with a stir bar in 1000 mL flask was added lithium diisopropylamide (43.9 mL, 87.8 mmol, 2.0 M) at -78°C under N
2. After 0.5 h, a solution of I2 (20.4 g, 80.38 mmol) in THF (20 mL) was added at -78°C under N
2. The resulting mixture was maintained under nitrogen and stirred at rt for 1h to yield a red homogeneous mixture. The reaction was quenched with saturated ammonium chloride solution (50 mL). The resulting mixture was extracted with ethyl acetate (2 x 500 mL). The organic layers were combined, dried over anhydrous sodium sulfate, filtered and concentrated. The residue obtained was purified by silica gel chromatography (0-10% ethyl acetate/petroleum ether) to afford the 2-iodo-1-((2-(trimethylsilyl)ethoxy)methyl)-1H- pyrrolo[2,3-b]pyridine-5-carbonitrile as a yellow oil (15.0 g, 48.2% yield). MS (ESI) calcd. for C
14H
18IN
3OSi:, 399.03 m/z, found 400.00 [M+H]
+. Example 1. N-(5-((2-(2,2-dimethylpyrrolidin-1-yl)ethyl)carbamoyl)-2-methylpyridin-3- yl)-2-(1-methyl-1H-pyrazol-4-yl)-1H-pyrrolo[2,3-b]pyridine-5-carboxamide
Step 1. 5-amino-N-(2-(2,2-dimethylpyrrolidin-1-yl)ethyl)-6-methylnicotinamide
[00852] To a 1000 ml flask equipped with a stir bar was added 5-amino-6- methylnicotinic acid (13 g, 85.44 mmol), 2-(2,2-dimethylpyrrolidin-1-yl)ethan-1-amine (30.4 g, 213.72 mmol), TCFH (72.0 g, 256.61 mmol), NMI (42.1 g, 512.77 mmol), and ACN (500 mL) under nitrogen. The mixture was stirred at room temperature overnight. The solvent was removed under vacuum and the residue was purified by silica gel column with MeOH/DCM (0%-40%) to afford the 5-amino-N-(2-(2,2-dimethylpyrrolidin-1-yl)ethyl)-6- methylnicotinamide as an off-white solid (14798.1 mg, 62.1% yield). MS (ESI) calcd. for C
15H
24N
4O, 276.2 m/z, found 277.1 [M+H]
+. Step 2.2-(1-methyl-1H-pyrazol-4-yl)-1-((2-(trimethylsilyl)ethoxy)methyl)-1H- pyrrolo[2,3-b]pyridine-5-carbonitrile
[00853] To a 250 ml stand-up flask equipped with a stirring bar was added 2-iodo- 1-((2-(trimethylsilyl)ethoxy)methyl)-1H-pyrrolo[2,3-b]pyridine-5-carbonitrile (5.0 g, 12.52 mmol), 1-methyl-4-(4,4,5,5-tetramethyl-1,3,2-dioxaborolan-2-yl)-1H-pyrazole (3.9 g, 18.74 mmol), K
2CO
3 (2.6 g, 18.81 mmol), Pd(pph3)4 (1.4 g, 1.21 mmol), 1,4-dioxane (60 mL) and H
2O (12 mL). The resulting mixture was maintained under nitrogen and stirred at 90 °C for 2 h. After cooling down to rt, the reaction was quenched with water (30 mL). The resulting mixture was extracted with ethyl acetate (2 x 50 mL). The organic layers were combined, dried over anhydrous sodium sulfate, filtered and concentrated. The residue obtained was purified by silica gel chromatography (0-50% EA/PE) to afford the 2-(1-methyl-1H-pyrazol- 4-yl)-1-((2-(trimethylsilyl)ethoxy)methyl)-1H-pyrrolo[2,3-b]pyridine-5-carbonitrile as a yellow solid (4.0 g, 88.2% yield). MS (ESI) calcd. for C
18H
23N
5OSi:, 353.17 m/z, found 354.10 [M+H]
+. Step 3.2-(1-methyl-1H-pyrazol-4-yl)-1-((2-(trimethylsilyl)ethoxy)methyl)-1H- pyrrolo[2,3-b]pyridine-5-carboxylic acid
[00854] To a 250 ml stand-up flask equipped with a stirring bar was added 2-(1- methyl-1H-pyrazol-4-yl)-1-((2-(trimethylsilyl)ethoxy)methyl)-1H-pyrrolo[2,3-b]pyridine-5- carbonitrile (5.0 g, 14.15 mmol), KOH (50 mL, 10% in water) and 50 mL ethanol. The mixture was stirred at 90 °C for 2 h to yield a black homogeneous mixture. The pH value of the aqueous phase was adjusted to 6~7 by HCl solution (1 M). The organic layers were filtered to afford the grey crude product. The grey crude product was purified by C18 column with CH3CN/water (5%-70%) to afford the 2-(1-methyl-1H-pyrazol-4-yl)-1-((2- (trimethylsilyl)ethoxy)methyl)-1H-pyrrolo[2,3-b]pyridine-5-carboxylic acid as a white solid (2122.3 mg, 40.2% yield). LC/MS: mass calcd. for C
18H
24N
4O
3Si:372.16, found: 373.10 [M+H]
+.
1H NMR (300 MHz, DMSO-d6) δ 12.98 (s, 1H), 8.79 (d, J = 2.0 Hz, 1H), 8.46 (d, J = 2.0 Hz, 1H), 8.18 (s, 1H), 7.94 (d, J = 0.8 Hz, 1H), 6.80 (s, 1H), 5.75 (s, 2H), 3.93 (s, 3H), 3.54 – 3.64 (m, 2H), 0.80 – 0.94 (m, 2H), -0.12 (s, 9H). Step 4. N-(5-((2-(2,2-dimethylpyrrolidin-1-yl)ethyl)carbamoyl)-2-methylpyridin-3-yl)-2- (1-methyl-1H-pyrazol-4-yl)-1-((2-(trimethylsilyl)ethoxy)methyl)-1H-pyrrolo[2,3- b]pyridine-5-carboxamide

[00855] To a 100 ml flask equipped with a stir bar was added 2-(1-methyl-1H- pyrazol-4-yl)-1-((2-(trimethylsilyl)ethoxy)methyl)-1H-pyrrolo[2,3-b]pyridine-5-carboxylic acid (200 mg, 0.54 mmol), 5-amino-N-(2-(2,2-dimethylpyrrolidin-1-yl)ethyl)-6- methylnicotinamide (148 mg, 0.54 mmol), TCFH (452 mg, 1.61 mmol), NMI (265 mg, 3.23 mmol), and ACN (10 mL). The mixture was stirred at room temperature overnight. The solvent was removed under vacuum and the residue was purified by silica gel column with MeOH/DCM (0%-30%) to afford the N-(5-((2-(2,2-dimethylpyrrolidin-1- yl)ethyl)carbamoyl)-2-methylpyridin-3-yl)-2-(1-methyl-1H-pyrazol-4-yl)-1-((2- (trimethylsilyl)ethoxy)methyl)-1H-pyrrolo[2,3-b]pyridine-5-carboxamide as a yellow solid (300 mg, 85.6% yield). MS (ESI) calcd. for C
33H
46N
8O
3Si, 630.3 m/z, found 631.6 [M+H]
+. Step 5. N-(5-((2-(2,2-dimethylpyrrolidin-1-yl)ethyl)carbamoyl)-2-methylpyridin-3-yl)-2- (1-methyl-1H-pyrazol-4-yl)-1H-pyrrolo[2,3-b]pyridine-5-carboxamide

[00856] To a 100 ml flask equipped with a stir bar was added N-(5-((2-(2,2- dimethylpyrrolidin-1-yl)ethyl)carbamoyl)-2-methylpyridin-3-yl)-2-(1-methyl-1H-pyrazol-4- yl)-1-((2-(trimethylsilyl)ethoxy)methyl)-1H-pyrrolo[2,3-b]pyridine-5-carboxamide (150 mg, 0.24 mmol), TFA (3 mL), and DCM (3 mL). The reaction was stirred at 60 °C for 2h. The mixture was concentrated under reduced pressure to afford the crude product which was purified by Prep-HPLC [Column: Xselect CSH C18 OBD Column 30*150mm 5µm; Mobile Phase A: Water (with 0.05%HCl ), Mobile Phase B: ACN; Flow rate: 60 mL/min; Gradient: 9% B to 15% B in 9 min; Wave Length: 254/220 nm] to afford the N-(5-((2-(2,2- dimethylpyrrolidin-1-yl)ethyl)carbamoyl)-2-methylpyridin-3-yl)-2-(1-methyl-1H-pyrazol-4- yl)-1H-pyrrolo[2,3-b]pyridine-5-carboxamide as a yellow solid (25.3 mg, 19.4% yield). MS (ESI) calcd. for C
27H
32N
8O
2, 500.3 m/z, found 501.2 [M+H]
+.
1H NMR (300 MHz, DMSO- d6) δ 12.51 (s, 1H), 10.72 (s, 1H), 10.47 – 10.63 (m, 1H), 9.51 (t, J = 5.6 Hz, 1H), 9.15 – 9.21 (m, 1H), 8.80 – 8.87 (m, 2H), 8.58 (d, J = 2.1 Hz, 1H), 8.29 (s, 1H), 8.05 (s, 1H), 6.77 (d, J = 1.8 Hz, 1H), 3.92 (s, 3H), 3.61 – 3.88 (m, 3H), 3.31 – 3.46 (m, 1H), 3.15 – 3.30 (m, 1H), 2.99 – 3.14 (m, 1H), 2.76 (s, 3H), 1.82 – 2.10 (m, 4H), 1.49 (s, 3H), 1.19 (s, 3H). [00857] The following tabulated Examples were prepared by a similar method of Example 1 from the appropriate starting materials
Example 7, 2-(1-methyl-1H-pyrazol-4-yl)-N-(2-methyl-5-(2-(piperidin-1- yl)acetamido)pyridin-3-yl)-1H-pyrrolo[2,3-b]pyridine-5-carboxamide
Step 1.2-chloro-N-(6-methyl-5-nitropyridin-3-yl)acetamide
[00858] To a 100 ml flask equipped with a stir bar was added 6-methyl-5- nitropyridin-3-amine (6 g, 39.18 mmol), TEA (11.9 g, 117.598 mmol) and DCM (30 mL). The reaction was stirred for 5 min before 2-chloroacetyl chloride (4.4 g, 38.958 mmol) was added under nitrogen at 0°C. The resulting mixture was stirred at room temperature overnight. The reaction mixture was concentrated and purified by silica gel column with MeOH/DCM (0% - 10%) to afford 2-chloro-N-(6-methyl-5-nitropyridin-3-yl)acetamide as a yellow solid (5.33 g, yield 59.2%). MS (ESI) calcd. for C
8H
8ClN
3O
3: 229.62 m/z, found: 229.95 [M+H]
+. Step 2. N-(6-methyl-5-nitropyridin-3-yl)-2-(piperidin-1-yl)acetamide
[00859] To a 40 mL vial equipped with a stir bar was added piperidine (167 mg, 1.961 mmol), K
2CO
3 (451 mg, 3.263 mmol), and ACN (3 mL). The reaction was stirred for 5 min before 2-chloro-N-(6-methyl-5-nitropyridin-3-yl)acetamide (250 mg, 1.089 mmol) was added. The resulting mixture was stirred at room temperature overnight. The mixture was concentrated and purified by silica gel column with MeOH/DCM (0% - 15%) to afford N-(6- methyl-5-nitropyridin-3-yl)-2-(piperidin-1-yl)acetamide as a brown solid (230 mg, yield 75.9%). MS (ESI) calcd. for C
13H
18N
4O
3: 278.2 m/z, found: 279.1 [M+H]
+. Step 3. N-(5-amino-6-methylpyridin-3-yl)-2-(piperidin-1-yl)acetamide
[00860] To a 100 ml flask equipped with a stir bar was added N-(6-methyl-5- nitropyridin-3-yl)-2-(piperidin-1-yl)acetamide (220 mg, 0.79 mmol), palladium hydroxide (220 mg, 1.57 mmol), and MeOH (10 mL). The resulting mixture was maintained under hydrogen and stirred at room temperature for 1 h. The reaction mixture was filtered and the solution was concentrated under reduced pressure to afford N-(5-amino-6-methylpyridin-3- yl)-2-(piperidin-1-yl)acetamide as a white solid (180 mg, 84.5% yield). MS (ESI) calcd. for C
13H
20N
4O: 248.2 m/z, found 249.1 [M+H]
+. Step 4.2-(1-methyl-1H-pyrazol-4-yl)-N-(2-methyl-5-(2-(piperidin-1- yl)acetamido)pyridin-3-yl)-1-((2-(trimethylsilyl)ethoxy)methyl)-1H-pyrrolo[2,3- b]pyridine-5-carboxamide
[00861] To a 100 ml flask equipped with a stir bar was added 2-(1-methyl-1H- pyrazol-4-yl)-1-((2-(trimethylsilyl)ethoxy)methyl)-1H-pyrrolo[2,3-b]pyridine-5-carboxylic acid (150 mg, 0.40 mmol), N-(5-amino-6-methylpyridin-3-yl)-2-(piperidin-1-yl)acetamide (170 mg, 0.69 mmol), TCFH (450 mg, 1.60 mmol), NMI (270 mg, 3.29 mmol), and ACN (10 mL). The reaction was stirred at room temperature overnight. The reaction mixture was concentrated and the residue was purified by C18 column with CH
3CN/0.05% TFA water (5%-40%) to afford 2-(1-methyl-1H-pyrazol-4-yl)-N-(2-methyl-5-(2-(piperidin-1- yl)acetamido)pyridin-3-yl)-1-((2-(trimethylsilyl)ethoxy)methyl)-1H-pyrrolo[2,3-b]pyridine- 5-carboxamide as a yellow solid (180 mg, 70.5% yield). MS (ESI) calcd. for C
31H
42N
8O
3Si: 602.3 m/z, found 603.3 [M+H]
+. Step 5.2-(1-methyl-1H-pyrazol-4-yl)-N-(2-methyl-5-(2-(piperidin-1- yl)acetamido)pyridin-3-yl)-1H-pyrrolo[2,3-b]pyridine-5-carboxamide
[00862] To a 100 ml flask equipped with a stir bar was added 2-(1-methyl-1H- pyrazol-4-yl)-N-(2-methyl-5-(2-(piperidin-1-yl)acetamido)pyridin-3-yl)-1-((2- (trimethylsilyl)ethoxy)methyl)-1H-pyrrolo[2,3-b]pyridine-5-carboxamide (180 mg, 0.30 mmol), TFA (4 mL), and DCM (4 mL). The reaction was stirred at 60 °C for 2h. The reaction mixture was concentrated under reduced pressure to afford the crude product which was purified by Prep-HPLC [Column: XBridge Shield RP18 OBD Column, 30*150 mm, 5µm; Mobile Phase A: Water(with 10 mmol/L NH
4HCO
3), Mobile Phase B: ACN; Flow rate: 60 mL/min; Gradient: 19% B to 43% B in 8 min; Wave Length: 254/220 nm] to afford 2-(1- methyl-1H-pyrazol-4-yl)-N-(2-methyl-5-(2-(piperidin-1-yl)acetamido)pyridin-3-yl)-1H- pyrrolo[2,3-b]pyridine-5-carboxamide as a white solid (38.7 mg, 27.4% yield). MS (ESI) calcd. for C25H28N8O2: 472.2 m/z, found: 473.2 [M+H]
+. 1H NMR (300 MHz, DMSO-d6) d 12.29 (s, 1H), 10.05 (s, 1H), 9.89 (s, 1H), 8.78 (d, J = 2.1 Hz, 1H), 8.60 (d, J = 2.3 Hz, 1H), 8.46 (d, J = 2.1 Hz, 1H), 8.15 – 8.27 (m, 2H), 8.03 (d, J = 0.8 Hz, 1H), 6.73 (d, J = 1.9 Hz, 1H), 3.92 (s, 3H), 3.11 (s, 2H), 2.40 – 2.50 (m, 7H), 1.51 – 1.63 (m, 4H), 1.35 – 1.45 (m, 2H). [00863] The following tabulated Examples were prepared by a similar method of Example 7 from the appropriate starting materials
Example 43, (S)-2-(1-methyl-1H-pyrazol-4-yl)-N-(6-methyl-5-(2-(3-methylpiperidin-1- yl)acetamido)pyridin-3-yl)-1H-pyrrolo[2,3-b]pyridine-5-carboxamide
Step 1: Step a: tert-butyl (6-methyl-5-nitropyridin-3-yl)carbamate N

[00864] To a solution of 5-bromo-2-methyl-3-nitropyridine (22.0 g, 101 mmol), tert-butyl carbamate (14.2 g, 122 mmol) and cesium carbonate (46.2 g, 142 mmol) in dioxane (500 mL) was added dicyclohexyl (2',4',6'-triisopropyl-[1,1'-biphenyl]-2-yl)phosphine (21.7 g, 45.6 mmol) and tris(dibenzylideneacetone) dipalladium(0) (13.9 g, 15.2 mmol) under nitrogen at room-temperature. The resulting mixture was stirred at 100 °C for 16 h the mixture was cooled to room temperature and evaporated in vacuum to afford crude product as black solid. The residue was purified by silica gel column chromatography (eluent: petroleum ether/ethyl acetate=100:0 to 70:30). The desired fractions were collected, and the solvent was concentrated to dryness under vacuum to afford the crude product. Petroleum ether (500 mL) was added to the crude product. The mixture was stirred at room temperature for 30 min. The mixture was filtered, the filtered cake was washed with petroleum ether (200 mL*2). The filter cake was dried in vacuum to afford desired product tert-butyl (6-methyl-5- nitropyridin-3-yl)carbamate (19.9 g, 100%)as white solid. LCMS (ESI): mass calcd. for C
11H
15N
3O
4, 253.2; m/z found, 254.0 [M+H]+. Step 2: tert-butyl (5-amino-6-methylpyridin-3-yl)carbamate
[00865] To a solution of tert-butyl (6-methyl-5-nitropyridin-3-yl)carbamate (5.0 g, 19.7 mmol) in methanol (50 mL) was added palladium 10% on activated carbon (1.66 g, 1.56 mmol) under nitrogen at room-temperature. The resulting mixture was hydrogenated at 25°C (atmospheric pressure) for 16 h. The reaction mixture was filtered and the filtrate was evaporated under vacuum to afford desired product tert-butyl (5-amino-6-methylpyridin-3-yl)carbamate (4.8 g, 92%) as white
solid. LCMS (ESI): mass calcd. for C11H17N3O2, 223.2; m/z found, 224.1 [M+H]+. Step 3. tert-butyl (5-(2-chloroacetamido)-6-methylpyridin-3-yl)carbamate
[00866] To a suspension of tert-butyl (5-amino-6-methylpyridin-3-yl)carbamate (10 g, 45 mmol) and Et
3N (18.68 mL, 0.728 g/mL, 134.36 mmol) in DCM (225 mL) was added chloroacetyl chloride (5.34 mL, 1.42 g/mL, 67.18 mmol) dropwise over 10 min. The reaction was stirred at 25
oC under argon for 1.5 h. All solvents were removed in vacuo. The residue was taken up in methanol (50 mL) and filtered. The collected solid was washed with plenty of EtOAc to afford the product, tert-butyl (5-(2-chloroacetamido)-6-methylpyridin-3- yl)carbamate, as an off-white solid (10.4 g). The product was used without further purification. LCMS (ESI): mass calcd. for C
13H
18ClN
3O
3, 299.1; m/z found, 300.1 [M+H]
+. Step d: tert-butyl (S)-(6-methyl-5-(2-(3-methylpiperidin-1-yl)acetamido)pyridin-3- yl)carbamate
[00867] A mixture of tert-butyl (5-(2-chloroacetamido)-6-methylpyridin-3- yl)carbamate (3 g, 10.01 mmol), (3S)-3-methylpiperidine hydrochloride (1.63 g, 12.01 mmol), and K
2CO
3 (4.15 g, 30.02 mmol) in DMF (50 mL) was heated at 50
oC for 17h. The reaction was poured into ice/water (100 mL) with stirring for 30 min. The precipitate was collected and washed with copious amounts of water, air dried, and dried under high vacuum to afford the product, tert-butyl (S)-(6-methyl-5-(2-(3-methylpiperidin-1- yl)acetamido)pyridin-3-yl)carbamate, as a white solid (1.6 g). The product was used without further purification. LCMS (ESI): mass calcd. for C
19H
30N
4O
3, 362.5; m/z found, 363.1 [M+H]
+.
1H NMR (400 MHz, DMSO-d
6) δ ppm 0.86 (d, J=1.00 Hz, 4 H), 1.47 (s, 9 H), 1.52 - 1.61 (m, 1 H), 1.68 (m, J=1.00, 1.00 Hz, 3 H), 1.82 (t, J=1.00 Hz, 1 H), 2.11 (t, J=1.00 Hz, 1 H), 2.33 (s, 3 H), 2.81 (d, J=1.00 Hz, 2 H), 3.08 (s, 2 H), 8.24 (s, 1 H), 8.36 (s, 1 H), 9.30 - 9.59 (m, 2 H). Step 4: (S)-N-(5-amino-2-methylpyridin-3-yl)-2-(3-methylpiperidin-1-yl)acetamide
[00868] To a solution of tert-butyl (S)-(2-methyl-5-(2-(3-methylpiperidin-1- yl)acetamido)pyridin-3-yl)carbamate (1.6 g, 4.41 mmol) in DCM (25 mL) was added HCl (4M in dioxane) (2.21 mL, 4 M, 8.83 mmol). The reaction was stirred at 25oC for 24 h. All solvents were removed in vacuo to afford the bis-HCl salt of the product, (S)-N-(5-amino-2- methylpyridin-3-yl)-2-(3-methylpiperidin-1-yl)acetamide, as a tan solid (1.48 g). The product was used without further purification. LCMS (ESI): mass calcd. for C
14H
22N
4O, 262.2; m/z found, 263.1 [M+H]
+.
1H NMR (400 MHz, DMSO-d
6) δ ppm 0.88 (d, J=1.00 Hz, 3 H), 1.01 - 1.18 (m, 1 H), 1.67 - 1.92 (m, 3 H), 1.92 - 2.10 (m, 1 H), 2.55 (s, 3 H), 2.74 - 2.84 (m, 1 H), 2.93 - 3.08 (m, 1 H), 3.36 - 3.55 (m, 3 H), 4.17 - 4.38 (m, 2 H), 6.48 (br s, 2 H), 7.76 (d, J=1.00 Hz, 1 H), 7.88 (d, J=1.00 Hz, 1 H), 10.42 (br s, 1 H), 11.09 (s, 1 H). Step 5: (S)-2-(1-methyl-1H-pyrazol-4-yl)-N-(6-methyl-5-(2-(3-methylpiperidin-1- yl)acetamido)pyridin-3-yl)-1-((2-(trimethylsilyl)ethoxy)methyl)-1H-pyrrolo[2,3- b]pyridine-5-carboxamide
[00869] To a solution of 2-(1-methyl-1H-pyrazol-4-yl)-1-((2- (trimethylsilyl)ethoxy)methyl)-1H-pyrrolo[2,3-b]pyridine-5-carboxylic acid (200 mg, 0.54 mmol) and 1-methylimidazole (0.257 mL, 1.03 g/mL, 3.22 mmol) in DCM (3 mL) was added TCFH (451.94 mg, 1.61 mmol) followed by the addition of (S)-N-(5-amino-6-methylpyridin- 3-yl)-2-(3-methylpiperidin-1-yl)acetamide hydrochloride (192.53 mg, 0.64 mmol). The reaction was stirred at 25
oC for 19 h. All volatile components were removed in vacuo. The residue was taken up in EtOAc (50 mL) and water (25 mL). The layers were separated and the organic layer was washed with water (2 x 25 mL), brine (25 mL), dried over MgSO
4, and filtered. Silica gel (3 g) was added and all solvents were removed in vacuo. The silica gel mesh was loaded on a RediSep Gold High Performance silica gel cartridge (40 g) eluting with MeOH/CH
2Cl
2 (0 – 30%) over 15 min to afford the product, (S)-2-(1-methyl-1H- pyrazol-4-yl)-N-(6-methyl-5-(2-(3-methylpiperidin-1-yl)acetamido)pyridin-3-yl)-1-((2- (trimethylsilyl)ethoxy)methyl)-1H-pyrrolo[2,3-b]pyridine-5-carboxamide, as an off-white solid (110.2 mg). LCMS (ESI): mass calcd. for C
32H
44N
8O
3Si, 616.3; m/z found, 617.2 [M+H]
+.
1H NMR (400 MHz, DMSO-d
6) δ ppm -0.01 (s, 9 H), 0.92 - 1.05 (m, 6 H), 1.59 - 1.74 (m, 1 H), 1.74 - 1.90 (m, 3 H), 1.97 (t, J=1.00 Hz, 1 H), 2.24 (t, J=1.00 Hz, 1 H), 2.52 (s, 3 H), 2.88 - 3.03 (m, 2 H), 3.24 (s, 2 H), 3.71 (t, J=1.00 Hz, 2 H), 4.03 (s, 3 H), 5.88 (s, 2 H), 6.93 (s, 1 H), 8.06 (s, 1 H), 8.31 (s, 1 H), 8.66 (d, J=1.00 Hz, 1 H), 8.77 (d, J=1.00 Hz, 1 H), 8.85 (d, J=1.00 Hz, 1 H), 8.95 (d, J=1.00 Hz, 1 H), 9.63 (s, 1 H), 10.59 (s, 1 H). Step 6: (S)-2-(1-methyl-1H-pyrazol-4-yl)-N-(6-methyl-5-(2-(3-methylpiperidin-1- yl)acetamido)pyridin-3-yl)-1H-pyrrolo[2,3-b]pyridine-5-carboxamide N
[00870] A solution of (S)-2-(1-methyl-1H-pyrazol-4-yl)-N-(2-methyl-5-(2-(3- methylpiperidin-1-yl)acetamido)pyridin-3-yl)-1-((2-(trimethylsilyl)ethoxy)methyl)-1H- pyrrolo[2,3-b]pyridine-5-carboxamide (220 mg, 0.36 mmol) in 50% TFA/CH
2Cl
2 (4 mL) was stirred at 25
oC for 17 h. LCMS indicated a mixture of the desired product and the hydroxymethyl intermediate. All solvents were removed in vacuo. The residue was azeotrope with toluene (2 x 3 mL) to remove any excess TFA. The residue was taken up in 4M NH
3 in MeOH with stirring for 2h. Silica gel (3 g) was added to the reaction and all solvents were removed in vacuo. The silica gel mesh was loaded on a RediSep Gold High Performance silica gel cartridge (40 g) eluting with MeOH/CH
2Cl
2 (0 – 30%) over 15 min to afford the product, (S)-2-(1-methyl-1H-pyrazol-4-yl)-N-(6-methyl-5-(2-(3-methylpiperidin-1- yl)acetamido)pyridin-3-yl)-1H-pyrrolo[2,3-b]pyridine-5-carboxamide, as an off-white solid (110.2 mg). LCMS (ESI): mass calcd. for C
26H
30N
8O
2, 486.2; m/z found, 487.2 [M+H]
+.
1H NMR (400 MHz, DMSO-d
6) δ ppm 0.87 (d, J=1.00 Hz, 3 H), 0.90 - 0.96 (m, 1 H), 1.50 - 1.63 (m, 1 H), 1.63 - 1.78 (m, 3 H), 1.85 (t, J=1.00 Hz, 1 H), 2.13 (t, J=1.00 Hz, 1 H), 2.42 (s, 3 H), 2.84 (br d, J=1.00 Hz, 2 H), 3.12 (s, 2 H), 3.91 (s, 3 H), 6.72 (d, J=1.00 Hz, 1 H), 8.02 (s, 1 H), 8.23 (s, 1 H), 8.46 (d, J=1.00 Hz, 1 H), 8.65 (d, J=1.00 Hz, 1 H), 8.72 (d, J=1.00 Hz, 1 H), 8.78 (d, J=1.00 Hz, 1 H), 9.55 (s, 1 H), 10.44 (s, 1 H), 12.26 (s, 1 H). [00871] The following tabulated Examples were prepared by a similar method of Example 43 from the appropriate starting materials
49 N O O LCMS (ESI): mass calcd. for C
25H
28N
8O
2, N 472.2; m/z found, 473
+ 1 N N N .1 [M+H] . H NMR N H H N
N (METHANOL-d
4 H , 400 MHz) δ 8.74 (d, 2-(1-methyl-1H-pyrazol-4-yl)-N-(6-methyl- 1H, J=2.0 Hz), 8.70 (d, 1H, J=2.4 Hz), 5-(2-(3-methylpyrrolidin-1- 8.62 (d, 1H, J=2.0 Hz), 8.46 (d, 1H, J=2.0 yl)acetamido)pyridin-3-yl)-1H-pyrrolo[2,3- Hz), 8.09 (s, 1H), 7.96 (s, 1H), 6.71 (s, b]pyridine-5-carboxamide 1H), 3.97 (s, 3H), 3.39 (d, 2H, J=7.8 Hz), 3.0-3.0 (m, 1H), 2.8-2.9 (m, 1H), 2.78 (dt, 1H, J=5.9, 8.8 Hz), 2.49 (s, 3H), 2.3-2.4 (m, 2H), 2.1-2.2 (m, 1H), 1.47 (tdd, 1H, J=6.5, 8.1, 12.5 Hz), 1.11 (d, 3H, J=6.4 Hz). Example 50, N-(5-(3-(5-azaspiro[3.4]octan-5-yl)propanamido)-2-methylpyridin-3-yl)-2- (1-methyl-1H-pyrazol-4-yl)-1H-pyrrolo[2,3-b]pyridine-5-carboxamide
Step 1. N-(6-methyl-5-nitropyridin-3-yl)acrylamide
[00872] To a solution of 6-methyl-5-nitropyridin-3-amine (0.99 g, 6.47 mmol) and 3-chloropropanoyl chloride (0.62 mL, 6.47 mmol) in DCM (20 mL) at 0
oC was added TEA (1.80 mL, 12.93 mmol). The reaction was warmed to 25°C and stirred for 12 hours. The reaction mixture was filtered and the solution was concentrated under vacuum. The crude product was purified by silica gel column with ethyl acetate/petroleum ether (50% - 100%) to give N-(6-methyl-5-nitropyridin-3-yl)acrylamide as a yellow solid (740 mg, yield 55.2%). MS (ESI) calcd. for C
9H
9N
3O
3: 207.1 m/z, found 208.1 [M+H]
+. Step 2. N-(6-methyl-5-nitropyridin-3-yl)-3-(5-azaspiro[3.4]octan-5-yl)propanamide
[00873] To a 100 ml flask equipped with a stir bar was added N-(6-methyl-5- nitropyridin-3-yl)acrylamide (200 mg, 0.97 mmol), 5-azaspiro[3.4]octane oxalate (350 mg, 1.74 mmol), K
2CO
3 (260 mg, 1.88 mmol), and THF (10 mL). The reaction was stirred at 80 °C for 1 h. The mixture was concentrated and the residue was purified by silica gel column with MeOH/DCM (0% - 12%) to afford N-(6-methyl-5-nitropyridin-3-yl)-3-(5- azaspiro[3.4]octan-5-yl)propanamide as a yellow solid (220 mg, 64.6% yield). MS (ESI) calcd. for C
16H
22N
4O
3: 318.2 m/z, found 319.1 [M+H]
+. Step 3. N-(5-amino-6-methylpyridin-3-yl)-3-(5-azaspiro[3.4]octan-5-yl)propanamide
[00874] To a 100 ml flask equipped with a stir bar was added N-(6-methyl-5- nitropyridin-3-yl)-3-(5-azaspiro[3.4]octan-5-yl)propanamide (220 mg, 0.69 mmol), palladium hydroxide (212 mg, 1.51 mmol), and MeOH (10 mL). The resulting mixture was maintained under hydrogen and stirred at room temperature for 1 h. The reaction mixture was filtered and the solution was concentrated under reduced pressure to afford N-(5-amino-6- methylpyridin-3-yl)-3-(5-azaspiro[3.4]octan-5-yl)propanamide as a yellow solid (180 mg, 79.0% yield). MS (ESI) calcd. for C
16H
24N
4O: 288.2 m/z, found 289.2 [M+H]
+. Step 4. N-(5-(3-(5-azaspiro[3.4]octan-5-yl)propanamido)-2-methylpyridin-3-yl)-2-(1- methyl-1H-pyrazol-4-yl)-1-((2-(trimethylsilyl)ethoxy)methyl)-1H-pyrrolo[2,3- b]pyridine-5-carboxamide
[00875] To a 100 ml flask equipped with a stir bar was added 2-(1-methyl-1H- pyrazol-4-yl)-1-((2-(trimethylsilyl)ethoxy)methyl)-1H-pyrrolo[2,3-b]pyridine-5-carboxylic acid (150 mg, 0.40 mmol), N-(5-amino-6-methylpyridin-3-yl)-3-(5-azaspiro[3.4]octan-5- yl)propanamide (170 mg, 0.59 mmol), TCFH (450 mg, 1.60 mmol), NMI (270 mg, 3.29 mmol), and ACN (10 mL). The reaction was stirred at room temperature for 1 h. The reaction mixture was concentrated and the residue was purified by C18 column with CH
3CN/0.05% TFA water (5%-40%) to afford N-(5-(3-(5-azaspiro[3.4]octan-5- yl)propanamido)-2-methylpyridin-3-yl)-2-(1-methyl-1H-pyrazol-4-yl)-1-((2- (trimethylsilyl)ethoxy)methyl)-1H-pyrrolo[2,3-b]pyridine-5-carboxamide as a yellow solid (190 mg, 73.4% yield). MS (ESI) calcd. for C34H46N8O3Si: 642.3 m/z, found 643.30 [M+H]
+. Step 5. N-(5-(3-(5-azaspiro[3.4]octan-5-yl)propanamido)-2-methylpyridin-3-yl)-2-(1- methyl-1H-pyrazol-4-yl)-1H-pyrrolo[2,3-b]pyridine-5-carboxamide
[00876] To a 100 ml flask equipped with a stir bar was added N-(5-(3-(5- azaspiro[3.4]octan-5-yl)propanamido)-2-methylpyridin-3-yl)-2-(1-methyl-1H-pyrazol-4-yl)- 1-((2-(trimethylsilyl)ethoxy)methyl)-1H-pyrrolo[2,3-b]pyridine-5-carboxamide (170 mg, 0.26 mmol), TFA (4 mL), and DCM (4 mL). The reaction was stirred at 60 °C for 2h. The reaction mixture was concentrated under reduced pressure to afford the crude product which was purified by Prep-HPLC [Column: XBridge Shield RP18 OBD Column, 30*150 mm, 5µm; Mobile Phase A: Water(10 mmol/L NH
4HCO
3), Mobile Phase B: ACN; Flow rate: 60 mL/min; Gradient: 18% B to 42% B in 8 min; Wave Length: 254/220 nm] to afford N-(5-(3- (5-azaspiro[3.4]octan-5-yl)propanamido)-2-methylpyridin-3-yl)-2-(1-methyl-1H-pyrazol-4- yl)-1H-pyrrolo[2,3-b]pyridine-5-carboxamide as a white solid (41.7 mg, 30.4% yield). LCMS (ESI): mass calcd. for C
28H
32N
8O
2, 512.3; m/z found, 513.3 [M+H]
+.
1H NMR (300 MHz, DMSO-d6) δ 12.30 (s, 1H), 10.29 (s, 1H), 10.04 (s, 1H), 8.77 (d, J = 2.1 Hz, 1H), 8.51 (d, J = 2.3 Hz, 1H), 8.45 (d, J = 2.1 Hz, 1H), 8.24 (s, 1H), 8.15 (d, J = 2.4 Hz, 1H), 8.03 (d, J = 0.8 Hz, 1H), 6.73 (d, J = 1.7 Hz, 1H), 3.92 (s, 3H), 2.84 (t, J = 6.9 Hz, 2H), 2.66 (t, J = 7.2 Hz, 2H), 2.35 – 2.49 (m, 5H), 2.11 – 2.23 (m, 2H), 1.80 – 1.91 (m, 2H), 1.49 – 1.75 (m, 6H). [00877] The following tabulated Example 51 was prepared by a similar method of Example 50 from the appropriate starting material
Example 52, (S)-2-(1-methyl-1H-pyrazol-4-yl)-N-(2-methyl-5-(2-(1-methylpyrrolidin-2- yl)acetamido)pyridin-3-yl)-1H-pyrrolo[2,3-b]pyridine-5-carboxamide
Step 1. tert-butyl (S)-2-(2-((6-methyl-5-nitropyridin-3-yl)amino)-2-oxoethyl)pyrrolidine- 1-carboxylate
[00878] A mixture of 6-methyl-5-nitropyridin-3-amine (500 mg, 3.27 mmol), (S)-2- (1-(tert-butoxycarbonyl)pyrrolidin-2-yl)acetic acid (823 mg, 3.59 mmol), TCFH (2.80 g, 9.98 mmol), and NMI (1.60 g, 19.49 mmol) in CH
3CN (10.0 mL) was stirred at room temperature overnight. The reaction mixture was concentrated and purified by silica gel column with EtOAc/petroleum ether (0% - 50%) to afford tert-butyl (S)-2-(2-((6-methyl-5- nitropyridin-3-yl)amino)-2-oxoethyl)pyrrolidine-1-carboxylate as a yellow solid (800 mg, yield 67.2%). MS (ESI) calcd. for C
17H
24N
4O
5: 364.2 m/z, found: 365.2 [M+H]
+. Step 2. (S)-N-(6-methyl-5-nitropyridin-3-yl)-2-(pyrrolidin-2-yl)acetamide
[00879] A mixture of tert-butyl (S)-2-(2-((6-methyl-5-nitropyridin-3-yl)amino)-2- oxoethyl)pyrrolidine-1-carboxylate (1.25 g, 3.43 mmol) in HCl (4 mL, 6M) and EtOAc (9 mL) was stirred at room temperature for 4 h. The reaction mixture was concentrated. The residue was dissolved in 5 mL MeOH and 1 g K
2CO
3 was added. The resulting mixture was stirred for 10 min. The mixture was concentrated and purified first by silica gel column with MeOH/DCM (0% - 100%) and then by silica gel column with THF to afford (S)-N-(6- methyl-5-nitropyridin-3-yl)-2-(pyrrolidin-2-yl)acetamide (300mg, yield 33.0%). MS (ESI) calcd. for C
12H
16N
4O
3: 264.1 m/z, found: 265.1 [M+H]
+. Step 3. (S)-N-(6-methyl-5-nitropyridin-3-yl)-2-(1-methylpyrrolidin-2-yl)acetamide
[00880] A mixture of (S)-N-(6-methyl-5-nitropyridin-3-yl)-2-(pyrrolidin-2- yl)acetamide (240 mg, 0.91 mmol), CH
3I (142 mg, 1.00 mmol), and DIEA (352 mg.2.72 mmol) in DMF (14.0 mL) was stirred at room temperature for 4 h. The mixture was concentrated and purified by silica gel column with MeOH/DCM (0% - 20%) to afford (S)- N-(6-methyl-5-nitropyridin-3-yl)-2-(1-methylpyrrolidin-2-yl)acetamide as a yellow oil (100 mg, yield 39.5%). MS (ESI) calcd. for C
13H
18N
4O
3: 278.1 m/z, found: 279.2 [M+H]
+. Step 4. (S)-N-(5-amino-6-methylpyridin-3-yl)-2-(1-methylpyrrolidin-2-yl)acetamide
[00881] To a solution of (S)-N-(6-methyl-5-nitropyridin-3-yl)-2-(1- methylpyrrolidin-2-yl)acetamide (100 mg, 0.359 mmol) in THF (10 mL) with was added Pd/C (10%wt, 10 mg, 0.094 mmol). The resulting mixture was maintained under hydrogen and stirred at 25 °C for 6 h. The resulting mixture was filtered and the solution was concentrated to give (S)-N-(5-amino-6-methylpyridin-3-yl)-2-(1-methylpyrrolidin-2- yl)acetamide as a light yellow solid (80 mg, 89.6% yield). MS (ESI) calcd. for C
13H
20N
4O: 248.2 m/z, found 249.2 [M+H]
+. Step 5. (S)-2-(1-methyl-1H-pyrazol-4-yl)-N-(2-methyl-5-(2-(1-methylpyrrolidin-2- yl)acetamido)pyridin-3-yl)-1-((2-(trimethylsilyl)ethoxy)methyl)-1H-pyrrolo[2,3- b]pyridine-5-carboxamide
[00882] A mixture of 2-(1-methyl-1H-pyrazol-4-yl)-1-((2- (trimethylsilyl)ethoxy)methyl)-1H-pyrrolo[2,3-b]pyridine-5-carboxylic acid (62mg, 0.17 mmol), (S)-N-(5-amino-6-methylpyridin-3-yl)-2-(1-methylpyrrolidin-2-yl)acetamide(70 mg, 0.28 mmol), TCFH (140 mg, 0.50 mmol), and NMI (82 mg, 1.0 mmol) in CH
3CN (5.0 mL) was stirred at room temperature overnight. The mixture was concentrated and the residue was purified by C18 column with H
2O (0.05% TFA)/ACN (5% - 70%) to give (S)-2-(1- methyl-1H-pyrazol-4-yl)-N-(2-methyl-5-(2-(1-methylpyrrolidin-2-yl)acetamido)pyridin-3- yl)-1-((2-(trimethylsilyl)ethoxy)methyl)-1H-pyrrolo[2,3-b]pyridine-5-carboxamide (89 mg, 88.7% yield) as a brown oil. MS(ESI) calcd. for C
31H
42N
8O
3Si: 602.3 m/z, found 603.3 [M+H]
+. Step 6. (S)-2-(1-methyl-1H-pyrazol-4-yl)-N-(2-methyl-5-(2-(1-methylpyrrolidin-2- yl)acetamido)pyridin-3-yl)-1H-pyrrolo[2,3-b]pyridine-5-carboxamide
[00883] A solution of (S)-2-(1-methyl-1H-pyrazol-4-yl)-N-(2-methyl-5-(2-(1- methylpyrrolidin-2-yl)acetamido)pyridin-3-yl)-1-((2-(trimethylsilyl)ethoxy)methyl)-1H- pyrrolo[2,3-b]pyridine-5-carboxamide (79 mg, 0.13 mmol) in TFA (4 mL) and DCM (4 mL) was stirred at 60
oC for 3 h. The mixture was concentrated and the residue was purified by C18 column with H
2O (0.05% NH
4HCO
3)/ACN (5% - 100%) followed by Prep-HPLC: [Column: Xselect CSH C18 OBD Column 30*150mm 5µm; Mobile Phase A: Water(0.1% FA), Mobile Phase B: ACN; Flow rate: 60 mL/min; Gradient: 8% B to 15% B in 8 min; Wave Length: 254/220 nm] and Prep-Chiral-HPLC to afford (S)-2-(1-methyl-1H-pyrazol-4- yl)-N-(2-methyl-5-(2-(1-methylpyrrolidin-2-yl)acetamido)pyridin-3-yl)-1H-pyrrolo[2,3- b]pyridine-5-carboxamide (2.0 mg, 3.2% yield) as a white solid. LCMS (ESI): mass calcd. for C
25H
28N
8O
2, 472.2; m/z found, 473.2 [M+H]
+.
1H NMR (300 MHz, DMSO-d6) δ 12.31 (s, 1H), 11.65 (brs, 1H), 9.80 -10.65 (m, 2H), 8.73 (s, 2H), 8.42 (s, 2H), 8.15 (s, 1H), 7.91 (s, 1H), 6.62 (s, 1H), 4.22 - 4.31 (m, 1H), 4.01 - 4.10 (m, 2H), 3.86 -3.92 (m, 2H), 3.80 - 3.85 (m, 3H), 3.13 - 3.25 (m, 2H), 2.65 - 2.85 (m 3H), 2.45 - 2.65 (m, 3H), 1.78 - 1.99 (m, 2H), 1.45 - 1.72 (m, 2H). Example 53, (S)-3-fluoro-2-(1-methyl-1H-pyrazol-4-yl)-N-(2-methyl-5-(2-(2- methylpyrrolidin-1-yl)acetamido)pyridin-3-yl)-1H-pyrrolo[2,3-b]pyridine-5- carboxamide
Step 1. (S)-3-fluoro-2-(1-methyl-1H-pyrazol-4-yl)-N-(2-methyl-5-(2-(2-methylpyrrolidin- 1-yl)acetamido)pyridin-3-yl)-1-((2-(trimethylsilyl)ethoxy)methyl)-1H-pyrrolo[2,3- b]pyridine-5-carboxamide
[00884] To a 100 mL flask equipped with a stir bar was added (S)-2-(1-methyl-1H- pyrazol-4-yl)-N-(2-methyl-5-(2-(2-methylpyrrolidin-1-yl)acetamido)pyridin-3-yl)-1-((2- (trimethylsilyl)ethoxy)methyl)-1H-pyrrolo[2,3-b]pyridine-5-carboxamide (200 mg, 0.33 mmol), 1-chloromethyl-4-fluoro-1,4-diazoniabicyclo[2.2.2]octane bis(tetrafluoroborate) (95 mg, 0.27 mmol), and ACN (10 mL). The reaction was stirred at room temperature for 1 h. The reaction was quenched with H
2O and the resulting mixture was extracted with EtOAc (2 x 30 mL). The organic layers were combined, dried over anhydrous sodium sulfate, filtered, and concentrated. The residue obtained was purified by silica gel chromatography MeOH/DCM (0-15%) to afford (S)-3-fluoro-2-(1-methyl-1H-pyrazol-4-yl)-N-(2-methyl-5- (2-(2-methylpyrrolidin-1-yl)acetamido)pyridin-3-yl)-1-((2-(trimethylsilyl)ethoxy)methyl)- 1H-pyrrolo[2,3-b]pyridine-5-carboxamide as a yellow solid (70 mg, 32.5% yield). MS (ESI) calcd. for C
31H
41FN
8O
3Si: 620.3 m/z, found 621.4 [M+H]
+. Step 2. (S)-3-fluoro-2-(1-methyl-1H-pyrazol-4-yl)-N-(2-methyl-5-(2-(2-methylpyrrolidin- 1-yl)acetamido)pyridin-3-yl)-1H-pyrrolo[2,3-b]pyridine-5-carboxamide
[00885] A mixture of (S)-3-fluoro-2-(1-methyl-1H-pyrazol-4-yl)-N-(2-methyl-5-(2- (2-methylpyrrolidin-1-yl)acetamido)pyridin-3-yl)-1-((2-(trimethylsilyl)ethoxy)methyl)-1H- pyrrolo[2,3-b]pyridine-5-carboxamide (60 mg, 0.10 mmol) in TFA (3 mL) and DCM (3 mL) was stirred at 60 °C for 2 h. The mixture was concentrated under reduced pressure to afford the crude product which was purified by Prep-HPLC [Column: XBridge Shield RP18 OBD Column, 30*150 mm, 5µm; Mobile Phase A: Water(10 mmol/L NH
4HCO
3), Mobile Phase B: ACN; Flow rate: 60 mL/min; Gradient: 22% B to 44% B in 9 min; Wave Length: 254/220 nm] to afford (S)-3-fluoro-2-(1-methyl-1H-pyrazol-4-yl)-N-(2-methyl-5-(2-(2- methylpyrrolidin-1-yl)acetamido)pyridin-3-yl)-1H-pyrrolo[2,3-b]pyridine-5-carboxamide as a white solid (13.7 mg, 28.7% yield). LCMS (ESI): mass calcd. for C
25H
27FN
8O
2, 490.2; m/z found, 491.2 [M+H]
+.
1H NMR (300 MHz, DMSO-d6) δ 12.31 (s, 1H), 10.13 (s, 1H), 9.89 (s, 1H), 8.83 (d, J = 2.1 Hz, 1H), 8.52 – 8.65 (m, 2H), 8.16 – 8.27 (m, 2H), 7.99 (s, 1H), 3.95 (s, 3H), 3.40 – 3.57 (m, 1H), 3.00 – 3.20 (m, 2H), 2.53 - 2.59 (m, 1H), 2.40 – 2.46 (m, 4H), 1.89 – 1.99 (m, 1H), 1.62 – 1.83 (m, 2H), 1.30 – 1.48 (m, 1H), 1.08(d, J = 6.1 Hz, 3H).19F NMR (282 MHz, DMSO-d6) d -172.08. [00886] The following tabulated Example 54 was prepared by a similar method of Example 53 from the appropriate starting material
Example 55, N-(5-(2-(3-azabicyclo[4.1.0]heptan-3-yl)acetamido)-2-methylpyridin-3-yl)- 2-(1-methyl-1H-pyrazol-4-yl)-1H-pyrrolo[2,3-b]pyridine-5-carboxamide
Step 1. tert-Butyl (6-methyl-5-(2-(1-methyl-1H-pyrazol-4-yl)-1-((2- (trimethylsilyl)ethoxy)methyl)-1H-pyrrolo[2,3-b]pyridine-5-carboxamido)pyridin-3- yl)carbamate
[00887] To the mixture of 2-(1-methyl-1H-pyrazol-4-yl)-1-((2- (trimethylsilyl)ethoxy)methyl)-1H-pyrrolo[2,3-b]pyridine-5-carboxylic acid (2000 mg, 5.37 mmol), tert-butyl (5-amino-6-methylpyridin-3-yl)carbamate (1364 mg, 6.11 mmol) and DMF (80 mL) were added chloro-N,N,N',N'-tetramethylformamidinium hexafluorophosphate (TCFH, 3076 mg, 10.96 mmol) and 1-methylimidazole (3076 mg, 37.47 mmol), and the resulting mixture was stirred at room temperature overnight. The reaction mixture was concentrated in vacuo to give brown solid. The brown solid was triturated with MTBE (30 mL) at r.t. for 30 min, then filtered. The solid was rinsed with 30 mL petroleum ether, collected and dried to dryness in vacuo to give a brown solid.
1H NMR (400 MHz, METHANOL-d4) δ ppm 8.93 (d, J=2.03 Hz, 1 H), 8.55 - 8.63 (m, 1 H), 8.42 - 8.52 (m, 1 H), 8.19 - 8.23 (m, 1 H), 8.13 - 8.18 (m, 1 H), 8.03 - 8.07 (m, 1 H), 6.83 - 6.88 (m, 1 H), 5.86 - 5.91 (m, 2 H), 4.04 - 4.08 (m, 3 H), 3.74 - 3.80 (m, 2 H), 2.52 - 2.58 (m, 3 H), 1.57 - 1.64 (m, 9 H), 0.98 - 1.05 (m, 2 H), -0.02 - 0.04 (m, 9 H) Step 2. N-(5-amino-2-methylpyridin-3-yl)-2-(1-methyl-1H-pyrazol-4-yl)-1-((2- (trimethylsilyl)ethoxy)methyl)-1H-pyrrolo[2,3-b]pyridine-5-carboxamide
[00888] To tert-Butyl (6-methyl-5-(2-(1-methyl-1H-pyrazol-4-yl)-1-((2- (trimethylsilyl)ethoxy)methyl)-1H-pyrrolo[2,3-b]pyridine-5-carboxamido)pyridin-3- yl)carbamate (2.3 g, 3.98 mmol) was added in 2 M HCl in MeOH (28 mL, 56 mmol), the reaction mixture was stirred at 40 °C for 16 hours. The reaction mixture was filtered and the filter cake was rinsed with DCM (30 mL) of solvent. The solid was collected, dried in vacuo to give a yellow solid. LCMS (ESI): mass calcd. for C
24H
31N
7O
2Si, 477.6; m/z found: 478.2 [M+H]
+. Step 3. N-(5-(2-chloroacetamido)-2-methylpyridin-3-yl)-2-(1-methyl-1H-pyrazol-4-yl)- 1-((2-(trimethylsilyl)ethoxy)methyl)-1H-pyrrolo[2,3-b]pyridine-5-carboxamide N O
[00889] To the mixture of N-(5-amino-2-methylpyridin-3-yl)-2-(1-methyl-1H- pyrazol-4-yl)-1-((2-(trimethylsilyl)ethoxy)methyl)-1H-pyrrolo[2,3-b]pyridine-5-carboxamide (1 g, 2.09 mmol) in DMF (25 mL) was added NaHCO
3 (704 mg, 8.38 mmol), then 2- chloroacetyl chloride (370 µL, 4.36 mmol) at 0 °C. The mixture was warmed at 25 °C for 2 hrs. The reaction mixture was filtered. The filtrate was concentrated in vacuo to give the white crude product. The crude product was triturated with mixture of ethyl acetate: DCM =1:1 (50 mL) and filtered. The filter cake was washed with ethyl acetate (50 mL) and dried in vacuo to give the title compound as a white solid. LCMS (ESI): mass calcd. for C
26H
32ClN
7O
3Si, 554.1; m/z found: 554.2 [M+H]
+. Step 4. N-(5-(2-(3-azabicyclo[4.1.0]heptan-3-yl)acetamido)-2-methylpyridin-3-yl)-2-(1- methyl-1H-pyrazol-4-yl)-1-((2-(trimethylsilyl)ethoxy)methyl)-1H-pyrrolo[2,3- b]pyridine-5-carboxamide O
[00890] The mixture of N-(5-(2-chloroacetamido)-2-methylpyridin-3-yl)-2-(1- methyl-1H-pyrazol-4-yl)-1-((2-(trimethylsilyl)ethoxy)methyl)-1H-pyrrolo[2,3-b]pyridine-5- carboxamide (100 mg, 0.18 mmol), 3-azabicyclo[4.1.0]heptane hydrochloride (34 mg, 0.25 mmol), K
2CO
3 (67 mg,0.49 mmol) and NaI (26 mg, 0.17 mmol) in DMF (10 mL) was stirred at 50°C for 2 hours. The mixture was filtered and the filter cake is washed several times with DCM. The filter liquor was collected, dried in vacuo to give N-(5-(2-(3- azabicyclo[4.1.0]heptan-3-yl)acetamido)-2-methylpyridin-3-yl)-2-(1-methyl-1H-pyrazol-4- yl)-1-((2-(trimethylsilyl)ethoxy)methyl)-1H-pyrrolo[2,3-b]pyridine-5-carboxamide (110 mg, 99.1%) as a yellow solid. LCMS (ESI): mass calcd. for C
32H
42N
8O
3Si, 614.8; m/z found: 615.2 [M+H]
+. Step 5. N-(5-(2-(3-azabicyclo[4.1.0]heptan-3-yl)acetamido)-2-methylpyridin-3-yl)-2-(1- methyl-1H-pyrazol-4-yl)-1H-pyrrolo[2,3-b]pyridine-5-carboxamide
[00891] To a 40 mL of thread vial with magnetic stirrer was added N-(5-(2-(3- azabicyclo[4.1.0]heptan-3-yl)acetamido)-2-methylpyridin-3-yl)-2-(1-methyl-1H-pyrazol-4- yl)-1-((2-(trimethylsilyl)ethoxy)methyl)-1H-pyrrolo[2,3-b]pyridine-5-carboxamide (110 mg, 0.17 mmol), TFA (3 mL)and DCM (3 mL) at room temperature. The reaction mixture was stirred at r.t. for 12 hrs. The mixture was concentrated under vacuum to afford a yellow oil. The yellow oil was added in MeOH (5 mL) and NH
3·H
2O (1 mL). The mixture was continued to stirred at 50 °C for 2 h. The mixture was subjected by prep-HPLC: Column: Phenomenex C1880*40mm*3um; Condition: A: water(NH3H2O)-CAN; B: MeCN. at the beginning: A (72%) and B (28%) and at the end: A: (42%) and B (58%). Gradient Time (min) 8; 100%B Hold Time (min) 2.5; Flow Rate (ml/min) 30. The desired fractions were collected and the solvent was concentrated under vacuum to give N-(5-(2-(3- azabicyclo[4.1.0]heptan-3-yl)acetamido)-2-methylpyridin-3-yl)-2-(1-methyl-1H-pyrazol-4- yl)-1H-pyrrolo[2,3-b]pyridine-5-carboxamide (40.6 mg, 48.7%) as white solid. LCMS (ESI): mass calcd. for C
26H
28N
8O
2, 484.5; m/z found: 485.3 [M+H]
+.
1H NMR (400 MHz, METHANOL-d4) δ ppm 8.80 (d, J=1.79 Hz, 1 H), 8.63 (d, J=2.15 Hz, 1 H), 8.51 (s, 1 H), 8.29 (d, J=2.26 Hz, 1 H), 8.12 (s, 1 H), 7.99 (s, 1 H), 6.75 (s, 1 H), 4.00 (s, 3 H), 3.73 (br s, 2 H), 3.43 - 3.58 (m, 1 H), 2.84 - 3.11 (m, 2 H), 2.68 (br s, 1 H), 2.56 (s, 3 H), 2.32 (br s, 1 H), 1.98 - 2.07 (m, 1 H), 1.24 (br s, 2 H), 0.84 - 0.94 (m, 1 H), 0.54 (br d, J=5.48 Hz, 1 H) [00892] The following tabulated Examples were prepared by a similar method of Example 55 from the appropriate starting materials
Example 69, (S)-2-(3,6-dihydro-2H-pyran-4-yl)-N-(2-methyl-5-(2-(2-methylpyrrolidin-1- yl)acetamido)pyridin-3-yl)-1H-pyrrolo[2,3-b]pyridine-5-carboxamide O
Step 1, 2-(3,6-dihydro-2H-pyran-4-yl)-1-((2-(trimethylsilyl)ethoxy)methyl)-1H- pyrrolo[2,3-b]pyridine-5-carbonitrile
[00893] To a mixture of 2-iodo-1-((2-(trimethylsilyl)ethoxy)methyl)-1H- pyrrolo[2,3-b]pyridine-5-carbonitrile (5 g, 12.52 mmol) was dissolved in dioxane (100 mL) and H
2O (25 mL) were added 2-(3,6-dihydro-2H-pyran-4-yl)-4,4,5,5-tetramethyl-1,3,2- dioxaborolane (5 g, 23.80 mmol), K
2CO
3 (5 g, 36.18 mmol) and Pd-118 (571 mg, 0.88 mmol). The reaction mixture was purged with N
2 for 2 minutes and was stirred at 95 °C for 16 h. The black solid was purified by column chromatography over 4 g silica gel (eluent:DCM/MeOH=100/0-80/20), and the fractions were collected and monitored by LCMS. The fractions were collected and the solvent was removed to give 2-(3,6-dihydro-2H- pyran-4-yl)-1-((2-(trimethylsilyl)ethoxy)methyl)-1H-pyrrolo[2,3-b]pyridine-5-carbonitrile (3.92 g,71.38%) as a pale brown solid. LCMS (ESI): mass calcd. for C
19H
25N
3O
2Si, 355.5; m/z found, 356.3 [M+H]
+. Step 2, 2-(3,6-dihydro-2H-pyran-4-yl)-1-((2-(trimethylsilyl)ethoxy)methyl)-1H- pyrrolo[2,3-b]pyridine-5-carboxylic acid
[00894] 1 M aq. NaOH (5.4 mL, 5.4 mmol) was added dropwise to a mixture solution of 2-(3,6-dihydro-2H-pyran-4-yl)-1-((2-(trimethylsilyl)ethoxy)methyl)-1H- pyrrolo[2,3-b]pyridine-5-carbonitrile (1.91 g, 4.36 mmol) in EtOH (60 mL). The mixture was stirred at 70 °C for 16 hours. The reaction mixture was poured into 100 mL of ice-water carefully and acidified with 1N HCl to pH=5. The mixture immediately turned yellow then became cloudy. The mixture was filtered, rinsed with H
2O (50 mL). The filter cake was dried in vacuo to afford 2-(3,6-dihydro-2H- pyran-4-yl)-1-((2-(trimethylsilyl)ethoxy)methyl)-1H-pyrrolo[2,3-b]pyridine-5-carboxylic acid as a brown solid. LCMS (ESI): mass calcd. for C
19H
26N
2O
4Si, 374.5; m/z found, 375.2 [M+H]
+. Step 3, tert-butyl (5-(2-(3,6-dihydro-2H-pyran-4-yl)-1-((2- (trimethylsilyl)ethoxy)methyl)-1H-pyrrolo[2,3-b]pyridine-5-carboxamido)-6- methylpyridin-3-yl)carbamate
[00895] To the mixture of 2-(3,6-dihydro-2H-pyran-4-yl)-1-((2- (trimethylsilyl)ethoxy)methyl)-1H-pyrrolo[2,3-b]pyridine-5-carboxylic acid (1 g, 2.08 mmol) and tert-butyl (5-amino-6-methylpyridin-3-yl)carbamate (465 mg,2.08 mmol) in DMF (15 mL) were added TCFH (1.2 g, 4.28 mmol) and NMI (1.2 g, 14.62 mmol). The resulting mixture was stirred at room temperature overnight. The reaction mixture was concentrated in vacuo to give a brown solid. The brown solid was triturated with MTBE (30 mL*3) at r.t. for 30 min, then filtered. The solid was rinsed with 30 mL petroleum ether, collected and dried to dryness in vacuo to give tert-butyl (5-(2-(3,6-dihydro-2H-pyran-4-yl)-1-((2- (trimethylsilyl)ethoxy)methyl)-1H-pyrrolo[2,3-b]pyridine-5-carboxamido)-6-methylpyridin- 3-yl)carbamate as a brown solid. LCMS (ESI): mass calcd. for C
30H
41N
5O
5Si, 579.8; m/z found, 580.3 [M+H]
+. Step 4, N-(5-amino-2-methylpyridin-3-yl)-2-(3,6-dihydro-2H-pyran-4-yl)-1-((2- (trimethylsilyl)ethoxy)methyl)-1H-pyrrolo[2,3-b]pyridine-5-carboxamide
[00896] To a mixture of tert-butyl (5-(2-(3,6-dihydro-2H-pyran-4-yl)-1-((2- (trimethylsilyl)ethoxy)methyl)-1H-pyrrolo[2,3-b]pyridine-5-carboxamido)-6-methylpyridin- 3-yl)carbamate (1.2 g, 1.49 mmol) was added in 4 M HCl in MeOH (12 mL, 48 mmol). The reaction mixture was stirred at r.t.16 hours. The reaction mixture was filtered and the filter cake was rinsed with DCM (30 mL*3) of solvent. The solid was collected, dried in vacuo to give N-(5-amino-2-methylpyridin-3-yl)-2-(3,6- dihydro-2H-pyran-4-yl)-1-((2-(trimethylsilyl)ethoxy)methyl)-1H-pyrrolo[2,3-b]pyridine-5- carboxamide as a yellow solid. LCMS (ESI): mass calcd. for C
25H
33N
5O
3Si, 479.6; m/z found, 480.1 [M+H]
+. Step 5, N-(5-(2-chloroacetamido)-2-methylpyridin-3-yl)-2-(3,6-dihydro-2H-pyran-4-yl)- 1-((2-(trimethylsilyl)ethoxy)methyl)-1H-pyrrolo[2,3-b]pyridine-5-carboxamide
[00897] To the mixture of N-(5-amino-2-methylpyridin-3-yl)-2-(3,6-dihydro-2H- pyran-4-yl)-1-((2-(trimethylsilyl)ethoxy)methyl)-1H-pyrrolo[2,3-b]pyridine-5-carboxamide (800 mg,1.59 mmol) in DMF (30 mL) was added NaHCO
3 (533 mg, 6.35 mmol), then 2- chloroacetyl chloride (280 µL, 3.30 mmol) was added at 0 °C. The mixture was warmed at 25 °C for 2 hrs. The reaction mixture was filtered and the filter cake was rinsed with ethyl acetate : DCM =1:1 (10 mL*3). The filtrate was concentrated in vacuo to give N-(5-(2- chloroacetamido)-2-methylpyridin-3-yl)-2-(3,6-dihydro-2H-pyran-4-yl)-1-((2- (trimethylsilyl)ethoxy)methyl)-1H-pyrrolo[2,3-b]pyridine-5-carboxamide (750 mg,75.9%) as a white solid. LCMS (ESI): mass calcd. for C
27H
34ClN
5O
4Si, 556.1; m/z found, 556.2 [M+H]
+. Step 6, (S)-2-(3,6-dihydro-2H-pyran-4-yl)-N-(2-methyl-5-(2-(2-methylpyrrolidin-1- yl)acetamido)pyridin-3-yl)-1-((2-(trimethylsilyl)ethoxy)methyl)-1H-pyrrolo[2,3- b]pyridine-5-carboxamide
[00898] To the mixture of N-(5-(2-chloroacetamido)-2-methylpyridin-3-yl)-2-(3,6- dihydro-2H-pyran-4-yl)-1-((2-(trimethylsilyl)ethoxy)methyl)-1H-pyrrolo[2,3-b]pyridine-5- carboxamide (130 mg, 0.21 mmol) in DMF (6 mL) was added (S)-2-methylpyrrolidine (59 mg, 0.69 mmol), K
2CO
3 (122 mg, 0.88 mmol) and NaI (42 mg, 0.28 mmol). The reaction mixture was stirred at 50°C for 1.5 hours. The reaction mixture was filtered and the filter cake was rinsed with DCM (5 mL*3). The filtrate was concentrated to dryness under vacuum to afford (S)-2-(3,6-dihydro-2H- pyran-4-yl)-N-(2-methyl-5-(2-(2-methylpyrrolidin-1-yl)acetamido)pyridin-3-yl)-1-((2- (trimethylsilyl)ethoxy)methyl)-1H-pyrrolo[2,3-b]pyridine-5-carboxamide (150 mg, 97.1%) as an off-white solid which was used for the next step without further purification. LCMS (ESI): mass calcd. for C
32H
44N
6O
4Si, 604.8; m/z found, 605.3 [M+H]
+. Step 7, (S)-2-(3,6-dihydro-2H-pyran-4-yl)-N-(2-methyl-5-(2-(2-methylpyrrolidin-1- yl)acetamido)pyridin-3-yl)-1H-pyrrolo[2,3-b]pyridine-5-carboxamide
[00899] The mixture of (S)-2-(3,6-dihydro-2H-pyran-4-yl)-N-(2-methyl-5-(2-(2- methylpyrrolidin-1-yl)acetamido)pyridin-3-yl)-1-((2-(trimethylsilyl)ethoxy)methyl)-1H- pyrrolo[2,3-b]pyridine-5-carboxamide (150 mg, 0.20 mmol), TFA (6 mL,81.04 mmol) and DCM (6 mL) was stirred at room temperature for 16 h. The mixture was concentrated under vacuum to afford a yellow oil. The yellow oil was added in MeOH (5 mL) and NH
3·H
2O (1 mL). The mixture was stirred at 50 °C for 2 h. The mixture was subjected by prep-HPLC: Column: Welch Xtimate C18150*25mm*5um. Condition: A: water(NH3H2O+NH4HCO3)- CAN; B: MeCN; at the beginning: A (70%) and B (30%), at the end: A: (40%) and B (60%); Gradient Time (min) 8; 100%B Hold Time (min) 2; Flow Rate (ml/min) 30. The pure fractions were collected and concentrated in vacuo to remove organic solvent. The desired fractions were collected and the solvent was concentrated under vacuum to give (S)-2-(3,6-dihydro-2H-pyran-4-yl)-N-(2-methyl-5-(2-(2-methylpyrrolidin-1- yl)acetamido)pyridin-3-yl)-1H-pyrrolo[2,3-b]pyridine-5-carboxamide (24.9 mg, 31.2%) as white solid. LCMS (ESI): mass calcd. for C
36H
30N
6O
3, 474.6; m/z found, 475.3 [M+H]
+.
1H NMR (400 MHz, METHANOL-d4) δ = 8.83 (d, J = 2.0 Hz, 1H), 8.65 (d, J = 2.4 Hz, 1H), 8.53 (d, J = 2.1 Hz, 1H), 8.28 (d, J = 2.3 Hz, 1H), 6.64 (s, 1H), 6.51 (br s, 1H), 4.40 (br d, J = 2.6 Hz, 2H), 3.98 (t, J = 5.5 Hz, 2H), 3.59 (d, J = 16.1 Hz, 1H), 3.31 - 3.24 (m, 1H), 3.13 (d, J = 16.1 Hz, 1H), 2.62 (br d, J = 1.7 Hz, 3H), 2.53 (s, 3H), 2.42 (d, J = 8.8 Hz, 1H), 2.13 - 1.98 (m, 1H), 1.95 - 1.71 (m, 2H), 1.62 - 1.44 (m, 1H), 1.18 (d, J = 6.1 Hz, 3H) [00900] The following tabulated Examples were prepared by a similar method of Example 69 from the appropriate starting materials
Example 74, (S)-N-(2-methyl-5-(2-(2-methylpyrrolidin-1-yl)acetamido)pyridin-3-yl)-2- (4-(2-(methylamino)-2-oxoethyl)phenyl)-1H-pyrrolo[2,3-b]pyridine-5-carboxamide
Step 1.2-iodo-1-((2-(trimethylsilyl)ethoxy)methyl)-1H-pyrrolo[2,3-b]pyridine-5- carboxylic acid
[00901] 1 M aq. NaOH (35 mL, 35 mmol) was added dropwise to a solution of 2- (1-methyl-1H-pyrazol-4-yl)-1-((2-(trimethylsilyl)ethoxy)methyl)-1H-pyrrolo[2,3-b]pyridine- 5-carbonitrile (5 g, 12.52 mmol) in EtOH (40 mL) via syringe. The mixture was stirred at 70 °C for 16 hours. The yellow solution was diluted with H
2O (30 mL) and acidified with 1 M aq. HCl to pH = 5 and extracted with ethyl acetate (60 mL × 3). The combined extracts was dried over anhydrous Na
2SO
4, filtered, and concentrated to dryness in vacuo to give 2-iodo-1- ((2-(trimethylsilyl)ethoxy)methyl)-1H-pyrrolo[2,3-b]pyridine-5-carboxylic acid (6 g, 12.23 mmol, 97.7%). LCMS (ESI): mass calcd. for C
14H
18IN
3OSi: 418.0; m/z found: 419.0 [M+H]
+. Step 2. (S)-2-iodo-N-(2-methyl-5-(2-(2-methylpyrrolidin-1-yl)acetamido)pyridin-3-yl)-1- ((2-(trimethylsilyl)ethoxy)methyl)-1H-pyrrolo[2,3-b]pyridine-5-carboxamide
[00902] To a solution of 2-iodo-1-((2-(trimethylsilyl)ethoxy)methyl)-1H- pyrrolo[2,3-b]pyridine-5-carboxylic acid (14.5 g, 34.66 mmol), N- (chloro(dimethylamino)methylene)-N-methylmethanaminium hexafluorophosphate(V) (39 g, 139.00 mmol), 1-methyl-1H-imidazole (17 g, 207.06 mmol) and CH
3CN (150 mL) in a 250 mL 3-necked round bottom flask was added (S)-N-(5-amino-6-methylpyridin-3-yl)-2-(2- methylpyrrolidin-1-yl)acetamide (9.4 g, 37.85 mmol). The resulting mixture was stirred at room temperature overnight. The reaction mixture was purified by preparative HPLC to give (S)-2-iodo-N-(2-methyl-5-(2-(2-methylpyrrolidin-1-yl)acetamido)pyridin-3-yl)-1-((2- (trimethylsilyl)ethoxy)methyl)-1H-pyrrolo[2,3-b]pyridine-5-carboxamide (12 g, 18.50 mmol, 53.4% yield) as a brown solid. LCMS (ESI): mass calcd. for C
27H
37IN
6O
3Si: 648.2; m/z found: 649.1 [M+H]
+.1H NMR (400MHz, DMSO-d6): δ 10.26 (s, 1H), 9.95 (s, 1H), 8.93 (d, J=1.9 Hz, 1H), 8.69 (d, J=2.3 Hz, 1H), 8.63 (d, J=2.0 Hz, 1H), 8.27 (d, J=2.1 Hz, 1H), 7.21 (s, 1H), 5.77 (s, 2H), 3.68 - 3.63 (m, 2H), 3.55 (d, J=15.6 Hz, 2H), 3.23 - 3.08 (m, 2H), 2.50 (s, 3H), 2.45 - 2.39 (m, 1H), 2.04 - 1.83 (m, 2H), 1.78 - 1.47 (m, 2H), 1.16 (d, J=6.0 Hz, 3H), 0.93 (t, J=7.8 Hz, 2H), 0.00 (s, 9H). Step 3. (S)-N-(2-methyl-5-(2-(2-methylpyrrolidin-1-yl)acetamido)pyridin-3-yl)-2-(4-(2- (methylamino)-2-oxoethyl)phenyl)-1-((2-(trimethylsilyl)ethoxy)methyl)-1H-pyrrolo[2,3- b]pyridine-5-carboxamide
[00903] To 8 mL threaded vial was added (S)-2-iodo-N-(2-methyl-5-(2-(2- methylpyrrolidin-1-yl)acetamido)pyridin-3-yl)-1-((2-(trimethylsilyl)ethoxy)methyl)-1H- pyrrolo[2,3-b]pyridine-5-carboxamide (70 mg, 0.11 mmol), N-methyl-2-(4-(4,4,5,5- tetramethyl-1,3,2-dioxaborolan-2-yl)phenyl)acetamide (45 mg, 0.16 mmol), K
2CO
3 (44 mg, 0.32 mmol), and dioxane/H
2O (1 mL, v/v=4:1). [1,1′-Bis(di-tert- butylphosphino)ferrocene]dichloropalladium(II) (7 mg, 10.7 mmol) was added under N
2 atmosphere at ambient temperature. The resulting mixture was heated to 90°C and stirred for 16 hours. The mixture was diluted with H
2O (2 mL) and extracted with ethyl acetate (3 mL × 2). The combined organic extracts were dried with anhydrous Na
2SO
4, filtered, and concentrated to dryness in vacuo to give (S)-N-(2-methyl-5-(2-(2-methylpyrrolidin-1- yl)acetamido)pyridin-3-yl)-2-(4-(2-(methylamino)-2-oxoethyl)phenyl)-1-((2- (trimethylsilyl)ethoxy)methyl)-1H-pyrrolo[2,3-b]pyridine-5-carboxamide (80 mg, crude) as yellow oil. LCMS (ESI): mass calcd. for C
36H
47N
7O
4Si: 669.3; m/z found: 670.2 [M+H]
+. Step 4. (S)-N-(2-methyl-5-(2-(2-methylpyrrolidin-1-yl)acetamido)pyridin-3-yl)-2-(4-(2- (methylamino)-2-oxoethyl)phenyl)-1H-pyrrolo[2,3-b]pyridine-5-carboxamide
[00904] To a mixture of (S)-N-(2-methyl-5-(2-(2-methylpyrrolidin-1- yl)acetamido)pyridin-3-yl)-2-(4-(2-(methylamino)-2-oxoethyl)phenyl)-1-((2- (trimethylsilyl)ethoxy)methyl)-1H-pyrrolo[2,3-b]pyridine-5-carboxamide (80 mg, 84.97 mmol) in CH
2Cl
2 (2 mL) in 8 mL threaded vial was added trifluoroacetic acid (2 mL) at ambient temperature. The resulting mixture was stirred overnight. The reaction mixture concentrated to give a residue as black oil. The black oil was dissolved in MeOH (2 mL) and triethylamine (0.5 mL) was added. The mixture was stirred at 60°C for 1 hr. The reaction mixture was purified by preparative HPLC to give (S)-N-(2-methyl-5-(2-(2-methylpyrrolidin- 1-yl)acetamido)pyridin-3-yl)-2-(4-(2-(methylamino)-2-oxoethyl)phenyl)-1H-pyrrolo[2,3- b]pyridine-5-carboxamide (14.9 mg, 25.9 mmoL, 30.4% yield) as a white powder. LCMS (ESI): mass calcd. for C
30H
33N
7O
3: 539.3; m/z found: 540.3 [M+H]
+.
1H NMR (400MHz, DMSO-d6): δ 12.49 (s, 1H), 10.10 (s, 1H), 9.87 (s, 1H), 8.84 (d, J=1.8 Hz, 1H), 8.61 (d, J=2.0 Hz, 1H), 8.55 (d, J=1.5 Hz, 1H), 8.19 (d, J=1.8 Hz, 1H), 8.00 (br d, J=4.5 Hz, 1H), 7.91 (br d, J=8.1 Hz, 2H), 7.37 (br d, J=8.1 Hz, 2H), 7.07 (d, J=1.3 Hz, 1H), 3.50 - 3.40 (m, 3H), 3.12 (dt, J=3.1, 8.3 Hz, 1H), 3.03 (d, J=15.7 Hz, 1H), 2.59 (d, J=4.5 Hz, 3H), 2.56 - 2.54 (m, 1H), 2.43 (s, 3H), 2.33 (q, J=8.7 Hz, 1H), 1.96 - 1.85 (m, 1H), 1.81 - 1.63 (m, 2H), 1.44 - 1.34 (m, 1H), 1.08 (d, J=6.0 Hz, 3H). [00905] The following tabulated Examples were prepared by a similar method of Example 74 from the appropriate starting materials
[00906] The following tabulated Examples were prepared by a similar method of Example 74 from the appropriate starting materials
Example 127, N-(5-(2-(8-oxa-2-azaspiro[4.5]decan-2-yl)acetamido)-2-methylpyridin-3- yl)-2-(1-methyl-1H-pyrazol-4-yl)-1H-pyrrolo[2,3-b]pyridine-5-carboxamide
[00907] To 8 mL threaded vial was added N-(5-(2-chloroacetamido)-2- methylpyridin-3-yl)-2-(1-methyl-1H-pyrazol-4-yl)-1-((2-(trimethylsilyl)ethoxy)methyl)-1H- pyrrolo[2,3-b]pyridine-5-carboxamide (60 mg, 0.08 mmol), 8-oxa-2-azaspiro[4.5]decane (18 mg, 0.127mmol), K2CO3 (77 mg, 0.56 mmol), NaI (12 mg, 0.08 mmol) and DMF (1 mL). The reaction mixture was stirred at 50°C for 16 hours. The solvent was evaporated under vacuum to give the crude product. The crude product was purified by preparative HPLC to give N-(5-(2-(8-oxa-2-azaspiro[4.5]decan-2-yl)acetamido)-2-methylpyridin-3-yl)-2-(1- methyl-1H-pyrazol-4-yl)-1H-pyrrolo[2,3-b]pyridine-5-carboxamide (10 mg, 0.02 mmol, 44.2% yield) as off-white powder. LCMS (ESI): mass calcd. for C
28H
32N
8O
3: 528.3; m/z found: 529.3 [M+H]
+.
1H NMR (400MHz, DMSO-d6): δ 12.30 (s, 1H), 10.06 (s, 1H), 9.90 (s, 1H), 8.77 (d, J=1.9 Hz, 1H), 8.57 (d, J=2.1 Hz, 1H), 8.45 (d, J=1.7 Hz, 1H), 8.24 (s, 1H), 8.17 (d, J=1.9 Hz, 1H), 8.02 (s, 1H), 6.73 (d, J=1.7 Hz, 1H), 3.92 (s, 3H), 3.54 (t, J=5.2 Hz, 4H), 3.26 (s, 2H), 2.70 (t, J=6.9 Hz, 2H), 2.54 (s, 2H), 2.43 (s, 3H), 1.67 (t, J=6.9 Hz, 2H), 1.60 - 1.44 (m, 4H). [00908] The following tabulated Examples were prepared by a similar method of Example 127 from the appropriate starting materials
Example 172, 2-(1-methyl-1H-pyrazol-4-yl)-N-(2-methyl-5-((2-(piperidin-1- yl)ethyl)carbamoyl)phenyl)-1H-pyrrolo[2,3-b]pyridine-5-carboxamide
Step 1, 4-methyl-3-nitro-N-(2-(piperidin-1-yl)ethyl)benzamide
[00909] To the mixture of 4-methyl-3-nitrobenzoic acid (600 mg, 3.31 mmol) and 2-(piperidin-1-yl)ethan-1-amine (510 mg,3.98 mmol) in DMF (9 mL) was added TCFH (1.8 g, 6.42 mmol) and NMI (1.9 g, 23.14 mmol). The resulting mixture was stirred at room temperature overnight. The mixture was purified by flash column chromatography over a 12 g silica gel (gradient: DCM:MeOH from 100:0 to 90:10). The desired fractions were collected and the solvent was concentrated under vacuum to give 4-methyl-3-nitro-N-(2- (piperidin-1-yl)ethyl)benzamide (960 mg, 84.5%) as yellow solid. LCMS (ESI): mass calcd. for C
15H
21N
3O
3: 291.3; m/z found: 292.0 [M+H]
+. Step 2.3-amino-4-methyl-N-(2-(piperidin-1-yl)ethyl)benzamide
[00910] To a mixture of 4-methyl-3-nitro-N-(2-(piperidin-1-yl)ethyl)benzamide (960 mg, 2.80 mmol), Fe (784 mg, 14 mmol) and NH4Cl (782 mg, 14.76 mmol) in MeOH (30 mL) and H
2O (6 mL) was stirred at 70°C for 4 hours. The suspension was filtered through a pad of silica gel and the pad or filter cake was washed with EtOH (10 mL × 3). The combined filtrates were concentrated to dryness to give 3-amino-4-methyl-N-(2- (piperidin-1-yl)ethyl)benzamide (600 mg, 76.3%) as a yellow solid. LCMS (ESI): mass calcd. for C
15H
23N
3O: 261.4; m/z found: 262.1 [M+H]
+. Step 3, 2-(1-methyl-1H-pyrazol-4-yl)-N-(2-methyl-5-((2-(piperidin-1- yl)ethyl)carbamoyl)phenyl)-1-((2-(trimethylsilyl)ethoxy)methyl)-1H-pyrrolo[2,3- b]pyridine-5-carboxamide
[00911] To the mixture of 2-(1-methyl-1H-pyrazol-4-yl)-1-((2- (trimethylsilyl)ethoxy)methyl)-1H-pyrrolo[2,3-b]pyridine-5-carboxylic acid (200 mg, 0.53 mmol) and 3-amino-4-methyl-N-(2-(piperidin-1-yl)ethyl)benzamide (180 mg,0.64 mmol) in DMF (8 mL) was added then TCFH (300 mg, 1.07 mmol) and NMI (300 mg, 3.65 mmol). The resulting mixture was stirred at room temperature overnight. The mixture was concentrated under vacuum to afford a black oil. The as black oil was purified by flash column chromatography over a 4 g silica gel (gradient: DCM: MeOH from 100:0 to 90:10). The desired fractions were collected and the solvent was concentrated under vacuum to give 2-(1-methyl-1H-pyrazol-4-yl)-N-(2-methyl-5-((2-(piperidin-1-yl)ethyl)carbamoyl)phenyl)-1- ((2-(trimethylsilyl)ethoxy)methyl)-1H-pyrrolo[2,3-b]pyridine-5-carboxamide (200 mg, 53.6%) as yellow solid. LCMS (ESI): mass calcd. for C
33H
45N
7O
3Si: 615.8; m/z found: 616.3 [M+H]
+. Step 4, 2-(1-methyl-1H-pyrazol-4-yl)-N-(2-methyl-5-((2-(piperidin-1- yl)ethyl)carbamoyl)phenyl)-1H-pyrrolo[2,3-b]pyridine-5-carboxamide
[00912] The mixture of 2-(1-methyl-1H-pyrazol-4-yl)-N-(2-methyl-5-((2- (piperidin-1-yl)ethyl)carbamoyl)phenyl)-1-((2-(trimethylsilyl)ethoxy)methyl)-1H- pyrrolo[2,3-b]pyridine-5-carboxamide (200 mg, 0.28 mmol), TFA (3 mL) and DCM (3 mL) was stirred at room temperature for 12 hrs. The mixture was concentrated under vacuum to afford a yellow oil. The yellow oil was added in MeOH (5 mL) and NH
3·H
2O (1 mL). The mixture was continued to stir at 50 °C for 2 h. The mixture was concentrated under vacuum to afford a yellow oil. The yellow oil was purified by flash column chromatography over a 4 g silica gel (gradient: DCM:MeOH from 100:0 to 80:20). The desired fractions were collected and the solvent was concentrated under vacuum to give a yellow solid. The yellow solid was triturated with DCM:MeOH=20:1 (10 mL) at r.t. for 30 min., then filtered. The solid was rinsed with 10 mL petroleum ether, collected and dried to dryness in vacuo to give a yellow solid. The yellow solid was subjected by prep-HPLC: Column: Welch Xtimate C18 150*30mm*5um. Condition: A: water (FA) CAN; B: MeCN. at the beginning: A (92%) and B (8%), at the end: A: (62%) and B (38%). Gradient Time (min) 7; 100%B Hold Time (min) 2.7; Flow Rate (ml/min) 25. The pure fractions were collected and concentrated in vacuo to remove organic solvent. The aqueous phase was lyophilized to dryness to give 2-(1-methyl- 1H-pyrazol-4-yl)-N-(2-methyl-5-((2-(piperidin-1-yl)ethyl)carbamoyl)phenyl)-1H- pyrrolo[2,3-b]pyridine-5-carboxamide (34.9 mg, 50.4%) as a yellow powder. LCMS (ESI): mass calcd. for C
27H
31N
7O
2: 485.6; m/z found: 486.3 [M+H]
+.
1H NMR (400MHz, METHANOL-d4) δ = 8.80 (d, J=2.0 Hz, 1H), 8.53 (s, 1H), 8.52 (d, J=2.0 Hz, 1H), 8.12 (s, 1H), 7.99 (s, 1H), 7.94 (d, J=1.7 Hz, 1H), 7.74 (dd, J=1.8, 8.0 Hz, 1H), 7.47 (d, J=8.1 Hz, 1H), 6.75 (s, 1H), 4.00 (s, 3H), 3.72 (t, J=6.2 Hz, 2H), 3.11 (br s, 6H), 2.44 (s, 3H), 1.83 (br s, 4H), 1.66 (br s, 2H) [00913] The following tabulated Examples were prepared by a similar method of Example 172 from the appropriate starting materials
[00914] The following tabulated Examples were prepared by a similar method of Example 74 from the appropriate starting materials
[00915] The following tabulated Examples were prepared by a similar method of Examples 52 or 55 or 69 from the appropriate starting materials
[00916] The following tabulated Examples were prepared by a similar method of Example 172 from the appropriate starting materials
Example 232, (S)-N-(2-fluoro-5-((2-(3-methoxypyrrolidin-1-yl)ethyl)carbamoyl)phenyl)- 2-(1-methyl-1H-pyrazol-4-yl)-1H-pyrrolo[2,3-b]pyridine-5-carboxamide
Step a: (S)-2-(3-methoxypyrrolidin-1-yl)acetonitrile
[00917] To a mixture of (S)-3-methoxypyrrolidine hydrochloride (500 mg, 3.6 mmol), K2CO3 (1.6 g, 11.6 mmol) was dissolved in TBME (20 mL). Then 2- bromoacetonitrile (480 mg, 4 mmol) was added. The mixture was stirred at room temperature for 5 hours and then concentrated under vacuum to give the crude product, which was purified by column chromatography over silica gel (eluent: DCM:MeOH from 100:0 to 85:15) to give (S)-2-(3-methoxypyrrolidin-1-yl)acetonitrile (471 mg, 92%) as a yellow oil.
1H NMR (400 MHz, CHLOROFORM-d) δ ppm 3.98 (dad, J=7.47, 5.11, 2.65, 2.65 Hz, 1 H), 3.71 (s, 2 H), 3.33 (s, 3 H), 2.93 (td, J=8.52, 5.48 Hz, 1 H), 2.73 - 2.87 (m, 2 H), 2.62 (td, J=8.55, 6.62 Hz, 1 H), 2.17 (dtd, J=13.49, 7.89, 7.89, 5.42 Hz, 1 H), 1.83 - 2.02 (m, 1 H). Step b: (S)-2-(3-methoxypyrrolidin-1-yl)ethan-1-amine
[00918] To a mixture of (S)-2-(3-methoxypyrrolidin-1-yl)acetonitrile (400 mg, 2.9 mmol) was dissolved in THF (10 mL). Then LAH (120 mg, 3.2 mmol) was added to the solution at 0°C. The mixture was stirred at room temperature for 1.5 hours. The reaction mixture was then treated with Na
2SO
4.10H
2O (120 mg), portion-wise over 10 min, filtered, and the filtrate concentrated to dryness in vacuo to give (S)-2-(3-methoxypyrrolidin-1- yl)ethan-1-amine (300 mg, crude) as a yellow oil.
1H NMR (400 MHz, CHLOROFORM-d) δ ppm 3.94 (ddt, J=7.51, 6.14, 3.13, 3.13 Hz, 1 H), 3.29 - 3.32 (m, 3 H), 2.78 - 2.86 (m, 2 H), 2.69 - 2.76 (m, 2 H), 2.60 - 2.65 (m, 1 H), 2.55 (dd, J=6.32, 0.83 Hz, 1 H), 2.47 (td, J=8.40, 5.96 Hz, 1 H), 2.04 - 2.12 (m, 1 H), 1.81 - 1.91 (m, 2 H). Step c: (S)-N-(2-fluoro-5-((2-(3-methoxypyrrolidin-1-yl)ethyl)carbamoyl)phenyl)-2-(1- methyl-1H-pyrazol-4-yl)-1-((2-(trimethylsilyl)ethoxy)methyl)-1H-pyrrolo[2,3- b]pyridine-5-carboxamide

[00919] To a mixture of 4-fluoro-3-(2-(1-methyl-1H-pyrazol-4-yl)-1-((2- (trimethylsilyl)ethoxy)methyl)-1H-pyrrolo[2,3-b]pyridine-5-carboxamido)benzoic acid (200 mg, 0.4 mmol), (S)-2-(3-methoxypyrrolidin-1-yl)ethanamine (100 mg, 0.7 mmol) in DMF (20 mL) was added TCFH (330 mg, 1.2 mmol) and NMI (330 mg, 4 mmol). The mixture was stirred at room temperature for 5 hours and then concentrated under vacuum to give the crude product, which was purified by column chromatography over silica gel (eluent: DCM:MeOH from 100:0 to 90:10) to give (S)-N-(2-fluoro-5-((2-(3-methoxypyrrolidin-1- yl)ethyl)carbamoyl)phenyl)-2-(1-methyl-1H-pyrazol-4-yl)-1-((2- (trimethylsilyl)ethoxy)methyl)-1H-pyrrolo[2,3-b]pyridine-5-carboxamide (216 mg, 81%) as a pale brown oil. LCMS (ESI): mass calcd. for C
32H
42FN
7O
4Si, 635.8 m/z found, 636.3 [M+H]
+. Step d: (S)-N-(2-fluoro-5-((2-(3-methoxypyrrolidin-1-yl)ethyl)carbamoyl)phenyl)-2-(1- methyl-1H-pyrazol-4-yl)-1H-pyrrolo[2,3-b]pyridine-5-carboxamide
[00920] To a solution of (S)-N-(2-fluoro-5-((2-(3-methoxypyrrolidin-1- yl)ethyl)carbamoyl)phenyl)-2-(1-methyl-1H-pyrazol-4-yl)-1-((2- (trimethylsilyl)ethoxy)methyl)-1H-pyrrolo[2,3-b]pyridine-5-carboxamide (200 mg, 0.3 mmol) in DCM (4 mL) was added TFA (4 mL) at room temperature. The mixture was stirred at room temperature for 12 hours. The mixture was concentrated under vacuum to give a crude product. The crude product was added in MeOH (5 mL) and NH
3·H
2O (1 mL). The mixture was stirred at room temperature for 2 hours. Then the mixture was concentrated under vacuum to give the crude product, which was purified by preparative high-performance liquid chromatography over column: O-Welch C18150*30mm* 5um to give the title compound (S)-N-(2-fluoro-5- ((2-(3-methoxypyrrolidin-1-yl)ethyl)carbamoyl)phenyl)-2-(1-methyl-1H-pyrazol-4-yl)-1H- pyrrolo[2,3-b]pyridine-5-carboxamide (47 mg, 31%) as a pale yellow solid. LCMS (ESI): mass calcd. for C
26H
28FN
7O
3, 505.5 m/z found, 506.3 [M+H]
+.
1H NMR (400 MHz, METHANOL- d
4) δ ppm 8.76 - 8.81 (m, 1 H), 8.51 - 8.63 (m, 1 H), 8.47 - 8.51 (m, 1 H), 8.30 - 8.39 (m, 1 H), 8.11 (s, 1 H), 7.98 (s, 1 H), 7.79 (ddd, J=8.28, 4.52, 2.26 Hz, 1 H), 7.36 (t, J=9.41 Hz, 1 H), 6.74 (s, 1 H), 4.03 - 4.10 (m, 1 H), 3.97 - 4.02 (m, 3 H), 3.61 - 3.68 (m, 2 H), 3.31 - 3.33 (m, 3 H), 3.09 - 3.17 (m, 2 H), 2.97 - 3.04 (m, 3 H), 2.84 - 2.92 (m, 1 H), 2.12 - 2.24 (m, 1 H), 1.94 - 2.04 (m, 1 H). [00921] The following tabulated Examples were prepared by a similar method of Example 226 from the appropriate starting materials
Example 273, N-(5-(2-(2,2-dimethylpyrrolidin-1-yl)acetamido)pyridin-3-yl)-2-(1-methyl- 1H-pyrazol-4-yl)-1H-pyrrolo[2,3-b]pyridine-5-carboxamide
Step a: tert-butyl (5-nitropyridin-3-yl)carbamate
[00922] To a mixture of 5-bromo-2-fluoro-3-nitropyridine (2 g, 9.8 mmol), tert- butyl carbamate (1.4 g, 12 mmol) in dioxane (70 mL) was added Cs
2CO
3 (5.2 g, 16 mmol) and XPhos (0.9 g, 1.9 mmol), then Pd
2(dba)
3 (1.3g, 1.5 mmol) was added at 25°C under N
2. The mixture reaction was stirred at 90 °C for 16 h and then the mixture was concentrated under vacuum to give the crude product, which was purified by silica gel chromatography (petroleum ether/DCM from 100/0 to 0/100) to give tert-butyl (5-nitropyridin-3-yl)carbamate (3.43 g, crude) as a brown solid. LCMS (ESI): mass calcd. For C
10H
13N
3O
4, 239.6 m/z found, 240.2 [M+H]
+. [00923] Step b: tert-butyl (5-aminopyridin-3-yl)carbamate [00924]
[00925] To a solution of tert-butyl (5-nitropyridin-3-yl)carbamate (2 g, 7.1 mmol) was added in THF/EtOH/H2O=5:5:2 (72 mL) and NH4Cl (1.5 g, 28 mmol) then added Fe (1.6 g, 28 mmol). The resultant mixture was stirred at 80 °C for 4 h and then concentrated under vacuum to give the crude product, which was purified by silica gel column chromatography (eluent: petroleum ether: ethyl acetate from 100:0 to 0:100) to give tert-butyl (5-nitropyridin- 3-yl)carbamate (2.17 g, crude) as a yellow solid. LCMS (ESI): mass calcd. for C
10H
15N
3O
2, 209.2 m/z found, 210.1 [M+H]+. [00926] Step c: tert-butyl (5-(2-(1-methyl-1H-pyrazol-4-yl)-1-((2- (trimethylsilyl)ethoxy)methyl)-1H-pyrrolo[2,3-b]pyridine-5-carboxamido)pyridin-3- yl)carbamate
[00927] To the mixture of 2-(1-(2-fluoroethyl)-1H-pyrazol-4-yl)pyrazolo[5,1- b]thiazole-7-carboxylic acid (1 g, 2.6 mmol), tert-butyl (3-amino-4-methylphenyl)carbamate (629 mg, 2.6 mmol) in DMF (30 mL).then TCFH(2.1 g, 5.5 mmol) and NMI (3.1 mL, 19 mmol) were added, and the resulting mixture was stirred at room temperature overnight. and then concentrated under vacuum to give the crude product, which was purified by silica gel column chromatography (eluent: petroleum ether: ethyl acetate from 100:0 to 50:50) to give tert-butyl (5-(2-(1-methyl-1H-pyrazol-4-yl)-1-((2-(trimethylsilyl)ethoxy)methyl)-1H- pyrrolo[2,3-b]pyridine-5-carboxamido)pyridin-3-yl)carbamate (2.52 g, crude) as a yellow solid. LCMS (ESI): mass calcd. for C
28H
37N
7O
4Si, 563.7 m/z found, 564.2 [M+H]
+. [00928] Step d: N-(5-aminopyridin-3-yl)-2-(1-methyl-1H-pyrazol-4-yl)-1H- pyrrolo[2,3-b]pyridine-5-carboxamide
[00929] A mixture of tert-butyl (5-(2-(1-methyl-1H-pyrazol-4-yl)-1-((2- (trimethylsilyl)ethoxy)methyl)-1H-pyrrolo[2,3-b]pyridine-5-carboxamido)pyridin-3- yl)carbamate (2.5 g, 3.7 mmol) in DCM (25 mL) and added HCl/dioxane (25 mL, 100 mmol, 4M), The reaction was stirred at room temperature for 6 h. The mixture was concentrated under vacuum to give a crude product. The crude product was added in MeOH (5 mL) and NH
3·H
2O (1 mL). The mixture was continued to stir at room temperature for 3 hours. Then the mixture was concentrated under vacuum to give a yellow solid. The yellow solid was triturated with EtOAc (10 mL) at room temperature for 30 min, then filtered. The filter cake was rinsed with EtOAc (6 mL*3), collected and dried to dryness in vacuo to give N-(5- aminopyridin-3-yl)-2-(1-methyl-1H-pyrazol-4-yl)-1H-pyrrolo[2,3-b]pyridine-5-carboxamide (950 mg, crude) as a yellow solid. LCMS (ESI): mass calcd. for C
17H
15N
7O, 333.3 m/z found, 334.1 [M+H]+. [00930] Step e: N-(5-(2-chloroacetamido)pyridin-3-yl)-2-(1-methyl-1H-pyrazol- 4-yl)-1H-pyrrolo[2,3-b]pyridine-5-carboxamide [00931]
[00932] To the mixture of N-(5-aminopyridin-3-yl)-2-(1-methyl-1H-pyrazol-4-yl)- 1H-pyrrolo[2,3-b]pyridine-5-carboxamide (250 mg, 0.5 mmol) in DMF (6 mL) was added NaHCO
3 (178 mg, 2.1 mmol), then 2-chloroacetyl chloride (100 mg, 0.9 mmol) was added at 0 °C. The mixture was continued to stirred at 25 °C for 1 h, The reaction mixture was concentrated under vacuum to give N-(5-(2-chloroacetamido)pyridin-3-yl)-2-(1-methyl-1H- pyrazol-4-yl)-1H-pyrrolo[2,3-b]pyridine-5-carboxamide (218 mg, 84% ) as a yellow oil. LCMS (ESI): mass calcd. for C
19H
16ClN
7O
2, 409.8 m/z found, 410.1 [M+H]
+. [00933] Step f: N-(5-(2-(2,2-dimethylpyrrolidin-1-yl)acetamido)pyridin-3-yl)-2- (1-methyl-1H-pyrazol-4-yl)-1H-pyrrolo[2,3-b]pyridine-5-carboxamide [00934]
[00935] To a solution of N-(5-(2-chloroacetamido)-2-(trifluoromethyl)pyridin-3-yl)- 2-(1-methyl-1H-pyrazol-4-yl)-1H-pyrrolo[2,3-b]pyridine-5-carboxamide (195 mg,0.3 mmol), 2,2-dimethylpyrrolidine (68 mg,0.7 mmol), K
2CO
3 (181 mg,1.3 mmol) and NaI (65 mg,0.4 mmol) in DMF (4 mL) was stirred at 50°C for 6 hours. Then the mixture was concentrated under vacuum to give the crude product, which was purified by preparative high-performance liquid chromatography over column: Welch Xtimate C18150*30mm*5um and SFC over column: DAICEL CHIRALPAK AS(250mm*30mm,10um) to give the title compound N-(5- (2-(2,2-dimethylpyrrolidin-1-yl)acetamido)pyridin-3-yl)-2-(1-methyl-1H-pyrazol-4-yl)-1H- pyrrolo[2,3-b]pyridine-5-carboxamide (36.3 mg, 77%) as a white solid. LCMS (ESI): mass calcd. for C
25H
28N
8O
2, 472. m/z found, 473.3 [M+H]
+.
1H NMR (400MHz, METHANOL-d
4) δ 8.65 (d, J=2.0 Hz, 1H), 8.58 (d, J=2.1 Hz, 1H), 8.54 (t, J=2.2 Hz, 1H), 8.49 (d, J=2.0 Hz, 1H), 8.36 (d, J=2.1 Hz, 1H), 7.98 (s, 1H), 7.86 (s, 1H), 6.60 (s, 1H), 3.86 (s, 3H), 3.22 - 3.21 (m, 2H), 2.83 (br t, J=6.9 Hz, 2H), 1.83 - 1.76 (m, 2H), 1.73 - 1.67 (m, 2H), 1.01 (s, 6H). [00936] The following tabulated Examples were prepared by a similar method of Example 273 from the appropriate starting materials
Example 276, N-(5-(2-(2,2-dimethylpyrrolidin-1-yl)acetamido)-2- (trifluoromethyl)pyridin-3-yl)-2-(1-methyl-1H-pyrazol-4-yl)-1H-pyrrolo[2,3-b]pyridine- 5-carboxamide
[00937] Step a: 5-chloro-3-nitro-2-(trifluoromethyl)pyridine [00938]
[00939] To a solution of 2-bromo-5-chloro-3-nitropyridine (1.5 g, 6.3 mmol) and CuI (1.5 g, 7.6 mmol) in N,N-dimethylformamide (20 mL) was added methyl 2,2-difluoro-2- (fluorosulfonyl)acetate (1.5 g, 7.6 mmol) at room-temperature. The resulting mixture was stirred at 85 °C for 12 h before cooling to room temperature. The resulting mixture was quenched with water (10 mL) and extracted with ethyl acetate (10 mL*3). The organic extracts were dried over anhydrous Na
2SO
4 and filtered. The filtrate was concentrated under reduced pressure to give crude product, which was purified by column chromatography over silica gel (eluent: petroleum ether: ethyl acetate = 99:1) to give the title compound 5-chloro- 3-nitro-2-(trifluoromethyl)pyridine (2 g, 69%) as a pale brown oil. [00940] Step b: tert-butyl (5-nitro-6-(trifluoromethyl)pyridin-3-yl)carbamate
[00941] To a solution of 5-chloro-3-nitro-2-(trifluoromethyl)pyridine (2 g, 7.6 mmol), tert-butyl carbamate (1.1 g, 9.1 mmol) in dioxane (20 mL) was added Cs
2CO
3 (3.7 g, 11.4 mmol) and XPhos (0.73 g, 1.5 mmol) and Pd
2(dba)
3 (1.0 g, 1.1 mmol) under N
2. The resultant mixture was stirred at 90 °C for 12 h. The resulting mixture was quenched with water (20 mL) and extracted with ethyl acetate (20 mL*3). The organic extracts were dried over anhydrous Na
2SO
4 and filtered. The filtrate was concentrated under reduced pressure to give crude product, which was purified by column chromatography over silica gel (eluent: petroleum ether: ethyl acetate = 90:10) to give the product: tert-butyl (5-nitro-6- (trifluoromethyl)pyridin-3-yl)carbamate (1.7 g, 73%) as a red solid. LCMS (ESI): mass calcd. for C
11H
12F
3N
3O
4, 307.226; m/z found, 308.1 [M+H]
+. Step c: tert-butyl (5-amino-6-(trifluoromethyl)pyridin-3-yl)carbamate
[00942] To a solution of tert-butyl (5-nitro-6-(trifluoromethyl) pyridin-3-yl) carbamate (1.7 g, 5.5 mmol) and ammonia hydrochloride (1.5 g, 27.6 mol) in MeOH (30 mL) and H
2O (6 mL) was added iron (1.5 g, 27.7 mmol). The mixture stirred at 70 °C for 4 h. The resulting mixture was quenched with water (300 mL) and extracted with ethyl acetate (300 mL*3). The organic extracts were dried over anhydrous Na
2SO
4 and filtered. The filtrate was concentrated under reduced pressure to give crude product, which was purified by column chromatography over silica gel (eluent: petroleum ether: ethyl acetate = 90:10) to give the product: tert-butyl (5-amino-6-(trifluoromethyl)pyridin-3-yl)carbamate (1.5 g, 98%) as a yellow solid. Step d: tert-butyl (5-(2-(1-methyl-1H-pyrazol-4-yl)-1-((2-(trimethylsilyl)ethoxy)methyl)- 1H-pyrrolo[2,3-b]pyridine-5-carboxamido)-6-(trifluoromethyl)pyridin-3-yl)carbamate

[00943] To a solution of 2-(1-methyl-1H-pyrazol-4-yl)-1-((2- (trimethylsilyl)ethoxy)methyl)-1H-pyrrolo[2,3-b]pyridine-5-carboxylic acid (560 mg, 1.4 mmol), N-ethyl-N-isopropylpropan-2-amine (745 mg, 5.8 mmol) and 2-chloro-1- methylpyridin-1-ium iodide (589 mg, 2.3 mmol) in THF (20 mL) were tert-butyl (5-amino-6- (trifluoromethyl)pyridin-3-yl)carbamate (600 mg, 2.2 mmol). The resultant mixture was stirred at 70 °C for 12 h. The resulting mixture was quenched with water (20 mL) and extracted with ethyl acetate (20 mL*3). The organic extracts were dried over anhydrous Na
2SO
4 and filtered. The filtrate was concentrated under reduced pressure to give crude product, which was purified by column chromatography over silica gel (eluent: petroleum ether: ethyl acetate = 70:30) to give the product tert-butyl (5-(2-(1-methyl-1H-pyrazol-4-yl)- 1-((2-(trimethylsilyl)ethoxy)methyl)-1H-pyrrolo[2,3-b]pyridine-5-carboxamido)-6- (trifluoromethyl)pyridin-3-yl)carbamate (300 mg, 33%) as a pale brown oil. LCMS (ESI): mass calcd for C
29H
36F
3N
7O
4Si, 631.721; m/z found, 632.4 [M+H]
+. Step e: N-(5-amino-2-(trifluoromethyl)pyridin-3-yl)-2-(1-methyl-1H-pyrazol-4-yl)-1H- pyrrolo[2,3-b]pyridine-5-carboxamide
[00944] To a solution of tert-butyl (5-(2-(1-methyl-1H-pyrazol-4-yl)-1-((2- (trimethylsilyl)ethoxy)methyl)-1H-pyrrolo[2,3-b]pyridine-5-carboxamido)-6- (trifluoromethyl)pyridin-3-yl)carbamate (600 mg, 0.95 mmol) in DCM (1 mL) was added HCl/dioxane (1 mL, 4 mmol, 4M). The reaction mixture was stirred at 20 °C for 12 h. The mixture was concentrated under vacuum to afford a yellow oil. Then NH
3/MeOH (1 mL, 7 mmol) was added. The reaction mixture was stirred at 20 °C for 1 h. The mixture was concentrated under vacuum to afford a yellow oil (240 mg, 78%) as a yellow oil. Step f: N-(5-(2-chloroacetamido)-2-(trifluoromethyl)pyridin-3-yl)-2-(1-methyl-1H- pyrazol-4-yl)-1H-pyrrolo[2,3-b]pyridine-5-carboxamide
[00945] To a solution of N-(5-amino-2-(trifluoromethyl)pyridin-3-yl)-2-(1-methyl- 1H-pyrazol-4-yl)-1H-pyrrolo[2,3-b]pyridine-5-carboxamide (120 mg, 0.30 mmol) and hydrogen carbonate sodium (76 mg, 0.91 mmol) in N,N-dimethylformamide (3 mL) was added 2-chloroacetyl chloride (41 mg, 0.36 mmoL). The mixture stirred at 25 °C for 1 h. The reaction mixture was filtered. The filtrate was concentrated in vacuo to give the title compound N-(5-(2-chloroacetamido)-2-(trifluoromethyl)pyridin-3-yl)-2-(1-methyl-1H- pyrazol-4-yl)-1H-pyrrolo[2,3-b]pyridine-5-carboxamide (100 mg, 48%) as brown oil. LCMS (ESI): mass calcd. for C
20H
15ClF
3N
7O
2, 477.827; m/z found, 478.0 [M+H]
+. Step g: N-(5-(2-(2,2-dimethylpyrrolidin-1-yl)acetamido)-2-(trifluoromethyl)pyridin-3- yl)-2-(1-methyl-1H-pyrazol-4-yl)-1H-pyrrolo[2,3-b]pyridine-5-carboxamide
[00946] To a solution of N-(5-(2-chloroacetamido)-2-(trifluoromethyl)pyridin-3-yl)- 2-(1-methyl-1H-pyrazol-4-yl)-1H-pyrrolo[2,3-b]pyridine-5-carboxamide (100 mg, 0.14 mmol), K
2CO
3 (59.3 mg, 0.43 mmol) and NaI (12.9 mg, 0.08 mmol) in DMF (3 mL) was added piperidine (15.0 mg, 0.18 mmol). The mixture stirred at 50°C for 1 h and then concentrated under vacuum to give the crude product, which was purified by preparative high-performance liquid chromatography over Column: Welch Xtimate C18 150*30mm*5um to give the title compound N-(5-(2-(2,2-dimethylpyrrolidin-1- yl)acetamido)-2-(trifluoromethyl)pyridin-3-yl)-2-(1-methyl-1H-pyrazol-4-yl)-1H- pyrrolo[2,3-b]pyridine-5-carboxamide (35.0 mg, 40%) as a white solid. LCMS (ESI): mass calcd. for C
25H
25F
3N
8O
2, 526.514; m/z found, 527.3 [M+H]
+.
1H NMR (400MHz, METHANOL-d
4) δ 8.87 (d, J=2.0 Hz, 1H), 8.77 (d, J=2.0 Hz, 1H), 8.56 (d, J=1.8 Hz, 1H), 8.47 (d, J=2.0 Hz, 1H), 8.12 (s, 1H), 7.99 (s, 1H), 6.75 (s, 1H), 3.99 (s, 3H), 3.46 (s, 2H), 2.78 (br s, 4H), 1.77 (quin, J=5.5 Hz, 4H), 1.57 (br s, 2H) [00947] The following tabulated Examples were prepared by a similar method of Example 276 from the appropriate starting materials
[00948] Example 279, N-(5-(2-(3-oxa-8-azabicyclo[3.2.1]octan-8-yl)acetamido)- 2-fluoropyridin-3-yl)-2-(1-methyl-1H-pyrazol-4-yl)-1H-pyrrolo[2,3-b]pyridine-5- carboxamide [00949]
[00950] Step a: tert-butyl (6-fluoro-5-nitropyridin-3-yl)carbamate c [00951]
[00952] To a mixture of 5-bromo-2-fluoro-3-nitropyridine (500 mg, 2.3 mmol), tert- butyl carbamate (320 mg, 2.7 mmol) in dioxane (18 mL) was added Cs2CO3 (1.2 g, 3.7 mmol) and XPhos (216 mg, 0.45 mmol), then Pd
2(dba)
3 (312 mg, 0.34 mmol) was added at 25°C under N
2. The mixture reaction was warmed to 90°C for 15 hours and then concentrated under vacuum to give the crude product, which was purified by column chromatography over silica gel (eluent: petroleum ether/ethyl acetate from 100:0 to 80:20) to give tert-butyl (6-fluoro-5- nitropyridin-3-yl)carbamate (400 mg, 49%) as a red solid. LCMS (ESI): mass calcd. for C
10H
12FN
3O
4, 257.2 m/z found, 258.1 [M+H]
+. [00953] Step b: tert-butyl (5-amino-6-fluoropyridin-3-yl)carbamate [00954]
[00955] To a mixture of tert-butyl (6-fluoro-5-nitropyridin-3-yl)carbamate (100 mg, 0.28 mmol) in THF (10 mL) was hydrogenated at 25°C (atmospheric pressure) with 5% Pd/C (34 mg, 0.03 mmol) as a catalyst in the presence of H
2 (2.4 mg, 1.2 mmol, 15 psi). The mixture stirred at room temperature for 12 hours. Then the reaction mixture was filtered through a pad of celite and the pad or filter cake was washed with EtOAc (10 mL * 3). The combined filtrate was concentrated under reduced pressure to give tert-butyl (5-amino-6-fluoropyridin-3- yl)carbamate (110 mg, crude) as a red solid. LCMS (ESI): mass calcd. for C
10H
14FN
3O
2, 227.2 m/z found, 228.1 [M+H]
+. [00956] Step c: tert-butyl (6-fluoro-5-(2-(1-methyl-1H-pyrazol-4-yl)-1-((2- (trimethylsilyl)ethoxy) [00957] methyl)-1H-pyrrolo[2,3-b]pyridine-5-carboxamido)pyridin-3- yl)carbamate [00958]
[00959] To the mixture of 2-(1-methyl-1H-pyrazol-4-yl)-1-((2- (trimethylsilyl)ethoxy)methyl)-1H-pyrrolo[2,3-b]pyridine-5-carboxylic acid (800 mg, 2.0 mmol) in DMF (20 mL) was added tert-butyl (5-amino-6-fluoropyridin-3-yl)carbamate (680 mg, 2.4 mmol) and NMI (1.2 g, 15 mmol), then TCFH (1.2 g, 4.4 mmol) was added. The resulting mixture was heated 50°C and stirred for 2 hours and then concentrated under vacuum to give the crude product, which was purified by column chromatography over silica gel (eluent: petroleum ether: ethyl acetate from 100:0 to 60:40) to give tert-butyl (6-fluoro-5-(2- (1-methyl-1H-pyrazol-4-yl)-1-((2-(trimethylsilyl)ethoxy)methyl)-1H-pyrrolo[2,3-b]pyridine- 5-carboxamido)pyridin-3-yl)carbamate (520 mg, 22%) as a yellow solid. LCMS (ESI): mass calcd. for C
28H
36FN
7O
4Si, 581.7 m/z found, 582.3 [M+H]
+. [00960] Step d: N-(5-amino-2-fluoropyridin-3-yl)-2-(1-methyl-1H-pyrazol-4-yl)- 1H-pyrrolo[2,3-b]pyridine-5-carboxamide
[00961] To a solution of tert-butyl (6-fluoro-5-(2-(1-methyl-1H-pyrazol-4-yl)-1-((2- (trimethylsilyl)ethoxy)methyl)-1H-pyrrolo[2,3-b]pyridine-5-carboxamido)pyridin-3- yl)carbamate (750 mg, 1.3 mmol) in DCM (10 mL) was added 4M HCl in dioxane (10 mL, 40 mmol) at room temperature for 3 hours. The mixture was concentrated under vacuum to give a crude product. The crude product was added in MeOH (10 mL) and NH
3·H
2O (2 mL). The mixture was continued to stir at room temperature for 3 hours. Then the mixture was concentrated under vacuum to give a yellow solid. The yellow solid was triturated with EtOAc (10 mL) at room temperature for 30 min., then filtered. The filter cake was rinsed with EtOAc (3 mL*3), collected and dried to dryness in vacuo to give N-(5-amino-2-fluoropyridin-3-yl)-2- (1-methyl-1H-pyrazol-4-yl)-1H-pyrrolo[2,3-b]pyridine-5-carboxamide (560 mg, crude) as a yellow solid. LCMS (ESI): mass calcd. for C
17H
14FN
7O, 351.3 m/z found, 352.1 [M+H]
+. [00962] Step e: N-(5-(2-chloroacetamido)-2-fluoropyridin-3-yl)-2-(1-methyl-1H- pyrazol-4-yl)-1H-pyrrolo[2,3-b]pyridine-5-carboxamide [00963]
[00964] To the mixture of N-(5-amino-2-fluoropyridin-3-yl)-2-(1-methyl-1H- pyrazol-4-yl)-1H-pyrrolo[2,3-b]pyridine-5-carboxamide (200 mg, 0.37 mmol) in DMF (3 mL) was added NaHCO
3 (63 mg, 0.75 mmol), then 2-chloroacetyl chloride (46 μL, 0.58 mmol) was added at 0 °C. The mixture stirred at room temperature for 2 hours and then concentrated under vacuum to give a brown solid. The brown solid was triturated with DCM/MeOH=10/1 (10 mL) at room temperature for 30 min, then filtered. The filter cake was rinsed with DCM (10 mL*3), collected and dried to dryness in vacuo to give N-(5-(2-chloroacetamido)-2-fluoropyridin-3- yl)-2-(1-methyl-1H-pyrazol-4-yl)-1H-pyrrolo[2,3-b]pyridine-5-carboxamide (80 mg, 39% ) as a yellow solid. LCMS (ESI): mass calcd. for C
19H
15ClFN
7O
2, 427.8 m/z found, 428.1 [M+H]
+. [00965] Step f: N-(5-(2-(3-oxa-8-azabicyclo[3.2.1]octan-8-yl)acetamido)-2- fluoropyridin-3-yl)-2-(1-methyl-1H-pyrazol-4-yl)-1H-pyrrolo[2,3-b]pyridine-5- carboxamide [00966]
[00967] To a solution of N-(5-(2-chloroacetamido)-2-fluoropyridin-3-yl)-2-(1- methyl-1H-pyrazol-4-yl)-1H-pyrrolo[2,3-b]pyridine-5-carboxamide (100 mg, 0.23 mmol), 3- oxa-8-azabicyclo[3.2.1]octane;hydrochloride (87 mg, 0.58 mmol), K
2CO
3 (112 mg, 0.81 mmol) and NaI (45 mg, 0.3 mmol) in DMF (3 mL) was stirred at 50°C for 1 hour. Then the mixture was concentrated under vacuum to give the crude product, which was purified by preparative high-performance liquid chromatography over column: Phenomenex C18 80*40mm*3um to give the title compound N-(5-(2-(3-oxa-8-azabicyclo[3.2.1]octan-8- yl)acetamido)-2-fluoropyridin-3-yl)-2-(1-methyl-1H-pyrazol-4-yl)-1H-pyrrolo[2,3- b]pyridine-5-carboxamide (30 mg, 16%) as a white solid. LCMS (ESI): mass calcd. for C
25H
25FN
8O
3, 504.5 m/z found, 505.2 [M+H]
+.
1H NMR (400 MHz, DMSO-d
6) δ ppm 12.29 - 12.34 (m, 1 H), 10.30 - 10.35 (m, 1 H), 10.12 (br s, 1 H), 8.76 (br s, 1 H), 8.60 - 8.64 (m, 1 H), 8.46 (br s, 1 H), 8.36 (br s, 1 H), 8.25 (s, 1 H), 8.02 (s, 1 H), 6.72 - 6.75 (m, 1 H), 3.92 (s, 3 H), 3.77 (br d, J=10.04 Hz, 2 H), 3.42 - 3.46 (m, 2 H), 3.12 (br s, 2 H), 3.09 (s, 2 H), 1.86 - 1.92 (m, 2 H), 1.76 (br d, J=7.03 Hz, 2 H). [00968] The following tabulated Examples were prepared by a similar method of Example 279 from the appropriate starting materials
Example 296, (S)-N-(2-methyl-5-(2-(2-methylpyrrolidin-1-yl)acetamido)pyridin-3-yl)-2- (pyridin-4-ylethynyl)-1H-pyrrolo[2,3-b]pyridine-5-carboxamide

[00969] A 2-5 mL microwave vial, equipped with a stir bar, was charged with 4- ethynylpyridine (28.7 mg, 0.264 mmol), (S)-2-iodo-N-(2-methyl-5-(2-(2-methylpyrrolidin-1- yl)acetamido)pyridin-3-yl)-1-((2-(trimethylsilyl)ethoxy)methyl)-1H-pyrrolo[2,3-b]pyridine- 5-carboxamide (152 mg, 0.235 mmol), bis(triphenylphosphine)palladium(II) chloride (16.7 mg, 0.0236 mmol), and cuprous iodide (3.1 mg, 0.016 mmol). A nitrogen atmosphere was established. DMF (2.0 mL) and N,N-diisopropylethylamine (130 µL, 0.75 mmol) were added to the reaction vessel. The mixture was stirred for 3 min under argon. The mixture was heated at 80 °C for 1 h and allowed to cool to 20 °C. The mixture was concentrated under reduced pressure, and the residue was dissolved in DCM/MeOH and filtered through Si-Trisamine. The filter cake was washed multiple times with solvent. The filtrate was concentrated in a 30 mL vial for the next step. The vial was placed under a nitrogen atmosphere. DCM (2.0 mL) was added, and the vial was cooled to 0 °C. TFA (2.0 mL) was added. After 2 h, the mixture was allowed to warm to 20 °C. Solvent was removed under reduced pressure after 18 h. Toluene was added and removed under reduced pressure. To the crude residue in a 30 mL vial with stir bar was added ammonia [7 M in MeOH (5.0 mL, 35 mmol)]. After 24 h, solvent was removed under reduced pressure. The crude residue was purified using Prep-HPLC [Column: Waters XBridge BEH C18, 5 µm, 19 x 150 mm, Mobile Phases: A => Water + pH 10 NH
4OH in water, B => MeCN + pH 10 NH
4OH in water, gradient from 20% B to 55% B, 10 minute run time, flow rate: 25 mL/min] to afford (S)-N-(2-methyl-5-(2-(2- methylpyrrolidin-1-yl)acetamido)pyridin-3-yl)-2-(pyridin-4-ylethynyl)-1H-pyrrolo[2,3- b]pyridine-5-carboxamide (57 mg, yield 48%) as a light yellow solid. LCMS (ESI): mass calcd. for C
28H
27N
7O
2, 493.2; m/z found, 494.2 [M+H]
+.
1H NMR (DMSO-d
6, 400 MHz) δ 12.74 (br s, 1H), 10.15 (s, 1H), 9.87 (s, 1H), 8.94 (d, 1H, J=2.4 Hz), 8.6-8.7 (m, 4H), 8.19 (d, 1H, J=2.4 Hz), 7.5-7.6 (m, 2H), 7.14 (s, 1H), 3.46 (d, 1H, J=15.7 Hz), 3.12 (dt, 1H, J=3.2, 8.4 Hz), 3.04 (d, 1H, J=15.7 Hz), 2.5-2.6 (m, 1H), 2.42 (s, 3H), 2.34 (q, 1H, J=8.5 Hz), 1.92 (ttd, 1H, J=5.0, 7.2, 9.5 Hz), 1.6-1.8 (m, 2H), 1.39 (dddd, 1H, J=6.4, 8.3, 10.3, 12.2 Hz), 1.08 (d, 3H, J=5.9 Hz). [00970] The following tabulated Examples were prepared by a similar method of Example 296 from the appropriate starting materials
Example 303, N-(2-methyl-5-(2-(2-methylpyrrolidin-1-yl)acetamido)phenyl)-2-(1- (tetrahydrofuran-3-yl)-1H-pyrazol-4-yl)-1H-pyrrolo[2,3-b]pyridine-5-carboxamide
Step a, tert-Butyl (3-(2-iodo-1-((2-(trimethylsilyl)ethoxy)methyl)-1H-pyrrolo[2,3- b]pyridine-5-carboxamido)-4-methylphenyl)carbamate

[00971] A 100 mL round bottom flask, equipped with a stir bar, was charged with 2-iodo-1-((2-(trimethylsilyl)ethoxy)methyl)-1H-pyrrolo[2,3-b]pyridine-5-carboxylic acid (502.5 mg, 1.201 mmol) and (3-amino-4-methyl-phenyl)-carbamic acid tert-butyl ester (277.9 mg, 1.25 mmol). An argon atmosphere was established. DCM (12.0 mL, 188 mmol), 1- methylimidazole (0.6 mL, 7.45 mmol), and chloro-N,N,N',N'-tetramethylformamidinium hexafluorophosphate (1.07 g, 3.81 mmol) were added to the reaction vessel. The reaction proceeded at 20 °C. After 17.5 h, solvent was removed under reduced pressure. Water was added. The white solid was collected by filtration and washed with additional water. The solid was allowed to air-dry. The crude residue was purified using silica gel column chromatography [RediSep 40g column pre-equilibrated with Heptane]. The desired product was eluted with a 100% Heptane to 100% EtOAc gradient to provide tert-butyl (3-(2-iodo-1- ((2-(trimethylsilyl)ethoxy)methyl)-1H-pyrrolo[2,3-b]pyridine-5-carboxamido)-4- methylphenyl)carbamate (0.684 g, yield 91 %). LCMS (ESI): mass calcd. for C
26H
35IN
4O
4Si, 622.1; m/z found, 645.1 [M+Na]
+.
1H NMR (DMSO-d
6, 400 MHz) δ 10.06 (s, 1H), 9.41 (s, 1H), 8.91 (s, 1H), 8.6-8.6 (m, 1H), 7.64 (s, 1H), 7.3-7.3 (m, 1H), 7.22 (d, 1H, J=8.3 Hz), 7.19 (s, 1H), 5.76 (s, 2H), 3.65 (t, 2H, J=7.8 Hz), 2.25 (s, 3H), 1.56 (s, 9H), 0.92 (t, 2H, J=7.8 Hz), 0.00 (s, 9H). Step b, N-(5-amino-2-methylphenyl)-2-(1-(tetrahydrofuran-3-yl)-1H-pyrazol-4-yl)-1H- pyrrolo[2,3-b]pyridine-5-carboxamide

[00972] tert-Butyl (3-(2-iodo-1-((2-(trimethylsilyl)ethoxy)methyl)-1H-pyrrolo[2,3- b]pyridine-5-carboxamido)-4-methylphenyl)carbamate (253.8 mg, 0.40766 mmol), 1- (oxolan-3-yl)-1H-pyrazole-4-boronic acid pinacol ester (133 mg, 0.487 mmol), 1,1'- bis(diphenylphosphino)ferrocene-palladium(II)dichloride dichloromethane complex (26.7 mg, 0.0327 mmol), cesium carbonate (262 mg, 0.803 mmol), and 1,4-dioxane:distilled water (5:1) (4.0 mL) were combined in a 2-5 mL microwave vial, equipped with a stir bar. The vial was sealed with a cap. The contents were sparged with nitrogen with vigorous stirring. The mixture was irradiated in a Biotage Initiator+ microwave reactor at 110 °C for 1 h and allowed to cool to room temperature. [00973] Solvent was removed under reduced pressure to provide crude tert-butyl (4- methyl-3-(2-(1-(tetrahydrofuran-3-yl)-1H-pyrazol-4-yl)-1-((2-(trimethylsilyl)ethoxy)methyl)- 1H-pyrrolo[2,3-b]pyridine-5-carboxamido)phenyl)carbamate, which was dissolved in MeOH, filtered through a metal scavenger, and concentrated. A 30 mL vial, containing tert-butyl (4- methyl-3-(2-(1-(tetrahydrofuran-3-yl)-1H-pyrazol-4-yl)-1-((2-(trimethylsilyl)ethoxy)methyl)- 1H-pyrrolo[2,3-b]pyridine-5-carboxamido)phenyl)carbamate, equipped with a stir bar, was charged with HCl, 4.0 M in 1,4-dioxane (6.0 mL, 4 M, 24 mmol) and MeOH (1.0 mL). The reaction proceeded at 21 °C. After 35 h, solvent was removed. Ammonia solution, 7 M in MeOH (7.0 mL, 7 M, 49 mmol) was added. The reaction proceeded at 21 °C overnight, and solvent was removed under reduced pressure. The crude product purity was improved by using flash silica gel chromatography [RediSep 12g column pre-equilibrated with 2% (1:9 NH4OH in water/MeOH)/98% DCM]. The desired product was eluted with a 2% (1:9 NH4OH in water/MeOH)/98% DCM] to 20% (1:9 NH4OH in water/MeOH)/80% DCM]. The impure residue was used for the next step. LCMS (ESI): mass calcd. for C22H22N6O2, 402.2; m/z found, 403.2 [M+H]
+. Step c, N-(2-methyl-5-(2-(2-methylpyrrolidin-1-yl)acetamido)phenyl)-2-(1- (tetrahydrofuran-3-yl)-1H-pyrazol-4-yl)-1H-pyrrolo[2,3-b]pyridine-5-carboxamide
[00974] To a solution of N-(5-amino-2-methylphenyl)-2-(1-(tetrahydrofuran-3-yl)- 1H-pyrazol-4-yl)-1H-pyrrolo[2,3-b]pyridine-5-carboxamide (164.06 mg, 0.4076 mmol) in DMF (4.0 mL) was added triethylamine (180 µL, 1.295 mmol) followed by the addition of chloroacetyl chloride (90 µL, 1.1 mmol). The reaction was stirred at 20 °C under argon for 24 h. To the same 30 mL vial was added K
2CO
3 (170 mg, 1.23 mmol) and 2-methylpyrrolidine (100 µL, 0.980 mmol). The vial was heated at 55 °C for approximately 18 h and allowed to cool to room temperature. [00975] The crude mixture was diluted with DMF and filtered. The crude residue was purified using Prep-HPLC [Column: Waters XBridge BEH C18, 5 µm, 19 x 150 mm, Mobile Phases: A =>Water + pH 10 NH4OH, B => MeCN + pH 10 NH4OH, gradient from 30% B to 65% B, 10 minute run time, flow rate: 25 mL/min] to afford N-(2-methyl-5-(2-(2- methylpyrrolidin-1-yl)acetamido)phenyl)-2-(1-(tetrahydrofuran-3-yl)-1H-pyrazol-4-yl)-1H- pyrrolo[2,3-b]pyridine-5-carboxamide (2.0 mg, 0.89%) as a light brown solid. LCMS (ESI): mass calcd. for C
29H
33N
7O
3, 527.3; m/z found, 528.3 [M+H]
+. Example 304, N-(2-fluoro-5-(2-((S)-2-methylpyrrolidin-1-yl)acetamido)phenyl)-2-(1- (tetrahydrofuran-3-yl)-1H-pyrazol-4-yl)-1H-pyrrolo[2,3-b]pyridine-5-carboxamide

[00976] Tert-butyl (4-fluoro-3-(2-iodo-1-((2-(trimethylsilyl)ethoxy)methyl)-1H- pyrrolo[2,3-b]pyridine-5-carboxamido)phenyl)carbamate (199 mg, 0.318 mmol), 1-(oxolan- 3-yl)-1H-pyrazole-4-boronic acid pinacol ester (133 mg, 0.487 mmol), 1,1'- bis(diphenylphosphino)ferrocene-palladium(II)dichloride dichloromethane complex (26.7 mg, 0.0327 mmol), cesium carbonate (262 mg, 0.803 mmol), and 1,4-dioxane:distilled water (5:1) (4.0 mL) were combined in a 2-5 mL microwave vial, equipped with a stir bar. The vial was sealed with a cap. The contents were sparged with nitrogen with vigorous stirring. The mixture was irradiated in a Biotage Initiator+ microwave reactor at 110 °C for 1 h and allowed to cool to room temperature. Solvent was removed under reduced pressure to provide crude tert-butyl (4-fluoro-3-(2-(1-(tetrahydrofuran-3-yl)-1H-pyrazol-4-yl)-1-((2- (trimethylsilyl)ethoxy)methyl)-1H-pyrrolo[2,3-b]pyridine-5-carboxamido)phenyl)carbamate. [00977] The crude tert-butyl (4-fluoro-3-(2-(1-(tetrahydrofuran-3-yl)-1H-pyrazol-4- yl)-1-((2-(trimethylsilyl)ethoxy)methyl)-1H-pyrrolo[2,3-b]pyridine-5- carboxamido)phenyl)carbamate was dissolved in DCM/MeOH and filtered through Si- Trisamine metal scavenger. All solvent was removed to give crude residue in a 30 mL vial. A nitrogen atmosphere was established. DCM (4.0 mL) and hydrogen chloride, 4.0 M in 1,4- dioxane (5.0 mL, 20 mmol) were added. The reaction proceeded overnight at room temperature. All solvent was removed under reduced pressure in a 20 mL vial. A 20 mL vial containing crude residue was charged with ammonia solution, 7M in MeOH (5.0 mL, 35 mmol). A nitrogen atmosphere was established. The reaction proceeded for 7.5 h. All solvent was removed to give crude N-(5-amino-2-fluorophenyl)-2-(1-(tetrahydrofuran-3-yl)-1H- pyrazol-4-yl)-1H-pyrrolo[2,3-b]pyridine-5-carboxamide. The crude residue was purified using silica gel column chromatography with EtOAc/MeOH. [00978] A 30 mL vial, containing N-(5-amino-2-fluorophenyl)-2-(1- (tetrahydrofuran-3-yl)-1H-pyrazol-4-yl)-1H-pyrrolo[2,3-b]pyridine-5-carboxamide from the previous step, equipped with a stir bar, was placed under a nitrogen atmosphere and charged with DMF (2.0 mL), triethylamine (100 µL, 0.714 mmol), and chloroacetyl chloride (40 µL, 0.50 mmol) at 21 °C. After 1.5 h, the reaction was complete. All solvent was removed under reduced pressure. K
2CO
3 (62.2 mg, 0.45 mmol) was added to the 30 mL vial containing crude residue. The vial was placed under a nitrogen atmosphere. DMF (2.0 mL) and (S)-2- methyl-pyrrolidine (40 µL, 0.37 mmol) were added. The vial was heated at 50 °C. After approximately 15 h, the mixture was allowed to cool to 21 °C. The reaction was not complete. Additional (S)-2-methyl-pyrrolidine (50 µL, 0.46 mmol) was added. The reaction was heated for 8 h at 50 °C. The vial was allowed to cool to 21 °C. Solvent was removed under reduced pressure. The crude residue was dissolved in DCM/MeOH, filtered through an Acrodisc, concentrated, and prepared for purification. The residue was purified using Prep- HPLC [Column: Waters XBridge BEH C18, 5 µm, 19 x 150 mm, Mobile Phases: A =>Water + pH 10 NH4OH, B => MeCN + pH 10 NH4OH, gradient from 30% B to 65% B, 8 minute run time, flow rate: 25 mL/min] to afford N-(2-fluoro-5-(2-((S)-2-methylpyrrolidin-1- yl)acetamido)phenyl)-2-(1-(tetrahydrofuran-3-yl)-1H-pyrazol-4-yl)-1H-pyrrolo[2,3- b]pyridine-5-carboxamide as a brown solid. LCMS (ESI): mass calcd. for C
28H
30FN
7O
3, 531.2; m/z found, 532.3 [M+H]
+.
1H NMR (CHLOROFORM-d, 400 MHz) δ (ppm) 11.98 (br s, 1H), 9.26 (s, 1H), 8.79 (d, 1H, J=2.0 Hz), 8.57 (d, 1H, J=2.4 Hz), 8.45 (d, 1H, J=2.0 Hz), 8.24 (dd, 1H, J=2.4, 6.8 Hz), 7.99 (s, 1H), 7.93 (s, 1H), 7.76 (ddd, 1H, J=2.7, 4.5, 8.9 Hz), 7.12 (dd, 1H, J=8.8, 10.3 Hz), 6.66 (s, 1H), 5.10 (tdd, 1H, J=2.5, 5.3, 7.8 Hz), 4.1-4.3 (m, 2H), 4.02 (dd, 1H, J=5.4, 10.3 Hz), 3.93 (dt, 1H, J=5.9, 8.6 Hz), 3.44 (d, 1H, J=17.1 Hz), 3.2- 3.2 (m, 1H), 3.09 (d, 1H, J=17.1 Hz), 2.5-2.7 (m, 2H), 2.3-2.5 (m, 2H), 1.7-1.9 (m, 3H), 1.5- 1.6 (m, 1H), 1.15 (d, 3H, J=5.9 Hz). [00979] The following tabulated Example was prepared by a similar method of Example 304 from the appropriate starting materials:
[00980] The following tabulated Example was prepared by a similar method of Example 1 from the appropriate starting material:
Example 307, N-(5-((2-cyclohexylethyl)carbamoyl)-2-methylpyridin-3-yl)-2-(1-methyl- 1H-pyrazol-4-yl)-1H-pyrrolo[2,3-b]pyridine-5-carboxamide
Step a.1-((2-(trimethylsilyl)ethoxy)methyl)-1H-pyrrolo[2,3-b]pyridine-5- carbonitrile
[00981] To a solution of 1H-pyrrolo[2,3-b]pyridine-5-carbonitrile (15.0 g, 104.79 mmol) in DMF (100 mL) with a stir bar in 1000 mL flask was added NaH (5.0 g, 125.01 mmol) at 0°C under N
2. After 0.5 h, SEMCl (19.2 g, 115.16 mmol) was added at 0°C under N2. The resulting mixture was maintained under nitrogen and stirred at rt overnight to yield a black homogeneous mixture. The reaction was quenched with H
2O (30 mL). The resulting mixture was extracted with ethyl acetate (2 x 50 mL). The organic layers were combined, dried over anhydrous sodium sulfate, filtered and concentrated. The residue obtained was purified by silica gel chromatography (0-15% ethyl acetate/petroleum ether) to afford the 1- ((2-(trimethylsilyl)ethoxy)methyl)-1H-pyrrolo[2,3-b]pyridine-5-carbonitrile as a yellow oil (25.2 g, 88.0% yield). MS (ESI) calcd. for C14H19N3OSi: 273.13 m/z, found 274.30 [M+H]
+. Step b.2-iodo-1-((2-(trimethylsilyl)ethoxy)methyl)-1H-pyrrolo[2,3-b]pyridine-5- carbonitrile
[00982] To a solution of 1-((2-(trimethylsilyl)ethoxy)methyl)-1H-pyrrolo[2,3- b]pyridine-5-carbonitrile (20.0 g, 73.15 mmol) in THF (400 mL) with a stir bar in 1000 mL flask was added lithium diisopropylamide (43.9 mL, 87.8 mmol, 2.0 M) at -78°C under N
2. After 0.5 h, a solution of I2 (20.4 g, 80.38 mmol) in THF (20 mL) was added at -78°C under N
2 The resulting mixture was maintained under nitrogen and stirred at rt for 1h to yield a red homogeneous mixture. The reaction was quenched with saturated ammonium chloride solution (50 mL). The resulting mixture was extracted with ethyl acetate (2 x 500 mL). The organic layers were combined, dried over anhydrous sodium sulfate, filtered and concentrated. The residue obtained was purified by silica gel chromatography (0-10% ethyl acetate/petroleum ether) to afford the 2-iodo-1-((2-(trimethylsilyl)ethoxy)methyl)-1H- pyrrolo[2,3-b]pyridine-5-carbonitrile as a yellow oil (15.0 g, 48.2% yield). MS (ESI) calcd. for C
14H
18IN
3OSi: 399.03 m/z, found 400.00 [M+H]
+. Step c. 2-(1-methyl-1H-pyrazol-4-yl)-1-((2-(trimethylsilyl)ethoxy)methyl)-1H- pyrrolo[2,3-b]pyridine-5-carbonitrile
[00983] To the mixture of 2-iodo-1-((2-(trimethylsilyl)ethoxy)methyl)-1H- pyrrolo[2,3-b]pyridine-5-carbonitrile (2.5 g, 6.3 mmol) was dissolved in dioxane (100 mL) and H
2O (25 mL). Then 1-methyl-4-(4,4,5,5-tetramethyl-1,3,2-dioxaborolan-2-yl)-1H- pyrazole (2.5 g, 12 mmol), K
2CO
3 (2.5 g, 18 mmol) and Pd-118 (286 mg, 0.44 mmol) were added. The reaction mixture was purged with N
2 for 2 minutes. The reaction mixture was stirred at 95°C for 16 h. The reaction mixture was filtered through a pad of celite and the pad or filter cake was washed with DCM (40 mL). The combined filtrate was concentrated under reduced pressure to give crude product, which was purified by column chromatography over silica gel (eluent: DCM/MeOH from 100:0 to 90:10) to give 2-(1-methyl-1H-pyrazol-4-yl)-1- ((2-(trimethylsilyl)ethoxy)methyl)-1H-pyrrolo[2,3-b]pyridine-5-carbonitrile (2 g, 90%) as a white solid. LCMS (ESI): mass calcd. for C18H23N5OSi, 372.5 m/z found, 373.3 [M+H]
+.
1H NMR (400 MHz, CHLOROFORM-d) δ 8.55 (d, J = 1.9 Hz, 1H), 8.16 (d, J = 1.9 Hz, 1H), 8.01 (s, 1H), 7.95 (s, 1H), 6.66 (s, 1H), 5.77 (s, 2H), 4.05 (s, 3H), 3.77 - 3.69 (m, 2H), 1.06 - 0.95 (m, 2H), 0.00 (s, 9H) Step d: 2-(1-methyl-1H-pyrazol-4-yl)-1-((2-(trimethylsilyl)ethoxy)methyl)-1H- pyrrolo[2,3-b]pyridine-5-carboxylic acid
[00984] To a solution of 2-(1-methyl-1H-pyrazol-4-yl)-1-((2- (trimethylsilyl)ethoxy)methyl)-1H-pyrrolo[2,3-b]pyridine-5-carbonitrile (2.0 g, 5.7 mmol) in EtOH (14 mL) was added dropwise 1 M aq. NaOH (14 mL, 14 mmol). The mixture was stirred at 70°C for 16 hours. The reaction mixture was poured into 10 mL of ice-water carefully and acidified with 1N HCl (aq.) to pH=5. The mixture was filtered, washed with water (20 mL). The filter cake was dried in vacuo to afford 2-(1-methyl-1H-pyrazol-4-yl)-1- ((2-(trimethylsilyl)ethoxy)methyl)-1H-pyrrolo[2,3-b]pyridine-5-carboxylic acid (1.9 g, 88%) as a brown solid. LCMS (ESI): mass calcd. for C
18H
24N
4O
3Si, 353.5 m/z found, 353.9 [M+H]
+.
1H NMR (400 MHz, METHANOL-d
4) δ 8.95 (d, J = 1.8 Hz, 1H), 8.61 (d, J = 1.8 Hz, 1H), 8.20 (s, 1H), 8.04 (s, 1H), 6.84 (s, 1H), 5.87 (s, 2H), 4.07 (s, 3H), 3.76 (t, J = 8.0 Hz, 2H), 1.00 (t, J = 8.0 Hz, 2H), 0.00 (s, 9H) Step e: ethyl 6-methyl-5-(2-(1-methyl-1H-pyrazol-4-yl)-1-((2- (trimethylsilyl)ethoxy)methyl)-1H-pyrrolo[2,3-b]pyridine-5- carboxamido)nicotinate

[00985] To the mixture of 2-(1-methyl-1H-pyrazol-4-yl)-1-((2- (trimethylsilyl)ethoxy)methyl)-1H-pyrrolo[2,3-b]pyridine-5-carboxylic acid (500 mg, 1.3 mmol) in DMF (18 mL) was added ethyl 5-amino-6 methylnicotinate (280 mg, 1.6 mmol) and NMI (750 mg, 9.1 mmol), then TCFH (740 mg, 2.6 mmol) was added. The resulting mixture was heated 50°C and stirred for 2 hours and then concentrated under vacuum to give the crude product, which was purified by column chromatography over silica gel (eluent: petroleum ether: ethyl acetate from 100:0 to 0:100) to give ethyl 6-methyl-5-(2-(1-methyl- 1H-pyrazol-4-yl)-1-((2-(trimethylsilyl)ethoxy)methyl)-1H-pyrrolo[2,3-b]pyridine-5- carboxamido)nicotinate (562 mg, 76%) as a yellow solid. LCMS (ESI): mass calcd. for C
27H
34N
6O
4Si, 534.7 m/z found, 535.2 [M+H]
+. Step f: 6-methyl-5-(2-(1-methyl-1H-pyrazol-4-yl)-1-((2- (trimethylsilyl)ethoxy)methyl)-1H-pyrrolo[2,3-b]pyridine-5- carboxamido)nicotinic acid
[00986] To a solution of ethyl 6-methyl-5-(2-(1-methyl-1H-pyrazol-4-yl)-1-((2- (trimethylsilyl)ethoxy)methyl)-1H-pyrrolo[2,3-b]pyridine-5-carboxamido)nicotinate (2.2 g, 3.9 mmol) in THF/MeOH = 1/1 (30 mL) was added lithium hydroxide hydrate (200 mg, 4.8 mmol) in water (10 mL). The reaction mixture was stirred at room-temperature for 1 hour. The mixture was adjust to pH=3~4 with aqueous HCl (2 M). The mixture was filtered and washed with water (20 mL * 3). The solid was evaporated under vacuum to give 6-methyl-5- (2-(1-methyl-1H-pyrazol-4-yl)-1-((2-(trimethylsilyl)ethoxy)methyl)-1H-pyrrolo[2,3- b]pyridine-5-carboxamido)nicotinic acid (2.3 g,crude) as a brown solid. LCMS (ESI): mass calcd. for C
25H
30N
6O
4Si, 506.6; m/z found, 507.1 [M+H]
+. Step g: N-(5-((2-cyclohexylethyl)carbamoyl)-2-methylpyridin-3-yl)-2-(1-methyl- 1H-pyrazol-4-yl)-1-((2-(trimethylsilyl)ethoxy)methyl)-1H-pyrrolo[2,3-b]pyridine- 5-carboxamide
[00987] To the mixture of 6-methyl-5-(2-(1-methyl-1H-pyrazol-4-yl)-1-((2- (trimethylsilyl)ethoxy)methyl)-1H-pyrrolo[2,3-b]pyridine-5-carboxamido)nicotinic acid (180 mg, 0.33 mmol) in DMF (18 mL) was added DIEA (0.26 mL, 1.5 mmol) and HATU (198 mg, 0.52 mmol), then 2-cyclohexylethan-1-amine (54 mg, 0.42 mmol) was added. The resulting mixture was heated at room temperature and stirred for 2 hours and then concentrated under vacuum to give N-(5-((2-cyclohexylethyl)carbamoyl)-2-methylpyridin-3- yl)-2-(1-methyl-1H-pyrazol-4-yl)-1-((2-(trimethylsilyl)ethoxy)methyl)-1H-pyrrolo[2,3- b]pyridine-5-carboxamide (220 mg, 68%) as a white solid. LCMS (ESI): mass calcd. for C
33H
45N
7O
3Si, 615.8 m/z found, 616.3 [M+H]
+. Step h: N-(5-((2-cyclohexylethyl)carbamoyl)-2-methylpyridin-3-yl)-2-(1-methyl- 1H-pyrazol-4-yl)-1H-pyrrolo[2,3-b]pyridine-5-carboxamide
[00988] To a solution of N-(5-((2-cyclohexylethyl)carbamoyl)-2-methylpyridin-3- yl)-2-(1-methyl-1H-pyrazol-4-yl)-1-((2-(trimethylsilyl)ethoxy)methyl)-1H-pyrrolo[2,3- b]pyridine-5-carboxamide (200 mg, 0.21 mmol), TFA (5 mL) and DCM (5 mL) at room temperature for 3 hours. The mixture was concentrated under vacuum to give a crude product. The crude product was added in MeOH (5 mL) and NH
3·H
2O (1 mL). The mixture was continued to stir at room temperature for 3 hours. Then, the mixture was concentrated under vacuum to give a yellow solid. The yellow solid was triturated with EtOAc (10 mL) at room temperature for 30 min., then filtered. The filter cake was rinsed with EtOAc (3 mL*3), collected and dried to dryness in vacuo to give N-(5-((2-cyclohexylethyl)carbamoyl)-2- methylpyridin-3-yl)-2-(1-methyl-1H-pyrazol-4-yl)-1H-pyrrolo[2,3-b]pyridine-5-carboxamide (37 mg, 39%) as a white solid. LCMS (ESI): mass calcd. for C
27H
31N
7O
2, 485.6 m/z found, 486.3 [M+H]
+.
1H NMR (400 MHz, METHANOL-d
4) δ ppm 8.80 (br d, J=5.48 Hz, 2 H), 8.69 (br s, 1 H), 8.51 (s, 1 H), 8.30 (s, 1 H), 7.98 (s, 1 H), 6.74 (s, 1 H), 3.99 (s, 3 H), 3.44 (br t, J=7.27 Hz, 2 H), 2.63 (s, 3 H), 1.63 - 1.88 (m, 5 H), 1.55 (q, J=7.03 Hz, 2 H), 1.19 - 1.39 (m, 4 H), 0.87 - 1.08 (m, 2 H) [00989] The following tabulated Examples were prepared by a similar method of Example 307, from the appropriate starting materials
Example 316, N-(5-(2-cyclopentylacetamido)-2-methylpyridin-3-yl)-2-(1-methyl-1H- pyrazol-4-yl)-1H-pyrrolo[2,3-b]pyridine-5-carboxamide N [00990]
[00991] Step a: tert-butyl (6-methyl-5-nitropyridin-3-yl)carbamate N

O [00992] To a solution of 5-bromo-2-methyl-3-nitropyridine (22.0 g, 101 mmol), tert-butyl carbamate (14.2 g, 122 mmol) and cesium carbonate (46.2 g, 142 mmol) in dioxane (500 mL) was added dicyclohexyl (2',4',6'-triisopropyl-[1,1'-biphenyl]-2-yl)phosphine (21.7 g 456 mmol) and tris(dibenzylideneacetone) dipalladium(0) (139 g 152 mmol) under nitrogen at room-temperature. The resulting mixture was stirred at 100 °C for 16 h. the mixture was cooled to room temperature and evaporated in vacuum to afford crude product as black solid. The residue was purified by silica gel column chromatography (eluent: petroleum ether/ethyl acetate=100:0 to 70:30). The desired fractions were collected, and the solvent was concentrated to dryness under vacuum to afford the crude product. Petroleum ether (500 mL) was added to the crude product. The mixture was stirred at room temperature for 30 min. The mixture was filtered, the filtered cake was washed with petroleum ether (200 mL*2). The filter cake was dried in vacuum to afford desired product tert-butyl (6-methyl-5-nitropyridin- 3-yl)carbamate (19.9 g, 100%)as white solid. LCMS (ESI): mass calcd. for C
11H
15N
3O
4, 253.2; m/z found, 254.0 [M+H]+. [00993] Step b: tert-butyl (5-amino-6-methylpyridin-3-yl)carbamate
[00994] To a solution of tert-butyl (6-methyl-5-nitropyridin-3-yl)carbamate (5.0 g, 19.7 mmol) in methanol (50 mL) was added palladium 10% on activated carbon (1.66 g, 1.56 mmol) under nitrogen at room-temperature. The resulting mixture was hydrogenated at 25°C (atmospheric pressure) for 16 h. The reaction mixture was filtered and the filtrate was evaporated under vacuum to afford desired product tert-butyl (5-amino-6-methylpyridin-3- yl)carbamate (4.8 g, 92%) as white solid. LCMS (ESI): mass calcd. for C
11H
17N
3O
2, 223.2; m/z found, 224.1 [M+H]+. Step c. tert-butyl (6-methyl-5-(2-(1-methyl-1H-pyrazol-4-yl)-1-((2- (trimethylsilyl)ethoxy)methyl)-1H-pyrrolo[2,3-b]pyridine-5-carboxamido)pyridin-3- yl)carbamate
[00995] To a solution of 2-(1-methyl-1H-pyrazol-4-yl)-1-((2- (trimethylsilyl)ethoxy)methyl)-1H-pyrrolo[2,3-b]pyridine-5-carboxylic acid (3 g, 8.05 mmol), tert-butyl (5-amino-6-methylpyridin-3-yl)carbamate (2.16 g, 9.66 mmol), and 1- methylimidazole (3.85 mL, 1.03 g/mL, 48.32 mmol) in DCM (90 mL) was added TCFH (6.78 g, 24.16 mmol). The reaction mixture was stirred at 25
oC under argon for 23 h. All solvents were removed in vacuo. The residue was taken up in EtOAc (150 mL) and water (25 mL). The layers were separated, and the organic layer was washed with water (3 x 25 mL), dried over MgSO
4, and filtered. Silca gel (5 g) was added, and all solvents were removed in vacuo. The silca gel mesh was loaded on a Redi Sep Rf silica gel cartridge (80 g) eluting with MeOH/EtOAc (0 - 30%) over 40 min to afford the product, tert-butyl (6-methyl- 5-(2-(1-methyl-1H-pyrazol-4-yl)-1-((2-(trimethylsilyl)ethoxy)methyl)-1H-pyrrolo[2,3- b]pyridine-5-carboxamido)pyridin-3-yl)carbamate, as an off-white solid (4.638 g). LCMS (ESI): mass calcd. for C
29H
39N
7O
4Si, 577.3; m/z found, 578.2 [M+H]
+.
1H NMR (400 MHz, DMSO-d
6) δ ppm 0.00 (s, 9 H), 0.98 (t, J=1.00 Hz, 2 H), 1.59 (s, 9 H), 2.49 (s, 3 H), 3.72 (t, J=1.00 Hz, 2 H), 4.03 (s, 3 H), 5.89 (s, 2 H), 6.94 (s, 1 H), 8.06 (s, 1 H), 8.09 - 8.15 (m, 1 H), 8.30 (s, 1 H), 8.48 (d, J=1.00 Hz, 1 H), 8.65 (d, J=1.00 Hz, 1 H), 8.95 (d, J=1.00 Hz, 1 H), 9.67 (s, 1 H), 10.18 (s, 1 H). Step d. N-(5-amino-2-methylpyridin-3-yl)-2-(1-methyl-1H-pyrazol-4-yl)-1-((2- (trimethylsilyl)ethoxy)methyl)-1H-pyrrolo[2,3-b]pyridine-5-carboxamide
[00996] A solution of tert-butyl (6-methyl-5-(2-(1-methyl-1H-pyrazol-4-yl)-1-((2- (trimethylsilyl)ethoxy)methyl)-1H-pyrrolo[2,3-b]pyridine-5-carboxamido)pyridin-3- yl)carbamate (3.63 g, 6.28 mmol) in MeOH (40 mL) and HCl (4M in dioxane) (40 mL, 4 M, 160 mmol) was stirred at 25
oC for 23 h. All solvents were removed in vacuo. The residue was dried under high vacuum to afford the product, N-(5-amino-2-methylpyridin-3-yl)-2-(1- methyl-1H-pyrazol-4-yl)-1-((2-(trimethylsilyl)ethoxy)methyl)-1H-pyrrolo[2,3-b]pyridine-5- carboxamide, as a tan solid (quantitative yield). The product was used without further purification LCMS (ESI): mass calcd for C
24H
31N
7O
2Si 4772; m/z found 4782 [M+H]
+ Step e. N-(5-(2-cyclopentylacetamido)-2-methylpyridin-3-yl)-2-(1-methyl-1H-pyrazol-4- yl)-1-((2-(trimethylsilyl)ethoxy)methyl)-1H-pyrrolo[2,3-b]pyridine-5-carboxamide
[00997] To a mixture of N-(5-amino-2-methylpyridin-3-yl)-2-(1-methyl-1H- pyrazol-4-yl)-1-((2-(trimethylsilyl)ethoxy)methyl)-1H-pyrrolo[2,3-b]pyridine-5-carboxamide hydrochloride (200 mg, 0.36 mmol) and 2-cyclopentylacetic acid (55.87 mg, 0.44 mmol) in DCM (3 mL) was added 1-methylimidazole (0.17 mL, 1.03 g/mL, 2.18 mmol) followed by TCFH (305.78 mg, 1.09 mmol). The reaction was stirred at 25
oC for 29 h. All volatile components were removed in vacuo. The residue was taken up in EtOAc (50 mL) and water (25 mL). The layers were separated, and the organic layer was washed with water (2 x 25 mL), dried over MgSO4, and filtered. Silica gel (3 g) was added, and all solvents were removed in vacuo. The silica gel mesh was loaded on a Redi Sep Rf silica gel cartridge (24 g) eluting with MeOH/CH
2Cl
2 (0 - 30%) over 10 min to afford the product, N-(5-(2- cyclopentylacetamido)-2-methylpyridin-3-yl)-2-(1-methyl-1H-pyrazol-4-yl)-1-((2- (trimethylsilyl)ethoxy)methyl)-1H-pyrrolo[2,3-b]pyridine-5-carboxamide, as a tan solid (169.6 mg). LCMS (ESI): mass calcd. for C
25H
25N
7O
2, 587.3; m/z found, 588.3 [M+H]
+.
1H NMR (400 MHz, DMSO-d
6) δ ppm -0.01 (s, 9 H), 0.97 (t, J=1.00 Hz, 2 H), 1.22 - 1.37 (m, 3 H), 1.56 - 1.66 (m, 2 H), 1.66 - 1.77 (m, 2 H), 1.78 - 1.92 (m, 2 H), 2.42 (s, 2 H), 2.52 (s, 3 H), 3.71 (t, J=1.00 Hz, 2 H), 4.04 (s, 3 H), 5.88 (s, 2 H), 6.92 (s, 1 H), 8.07 (s, 1 H), 8.26 (d, J=1.00 Hz, 1 H), 8.31 (s, 1 H), 8.61 (d, J=1.00 Hz, 1 H), 8.64 (d, J=1.00 Hz, 1 H), 8.93 (d, J=1.00 Hz, 1 H), 10.17 (s, 1 H), 10.21 (s, 1 H). Step f. N-(5-(2-cyclopentylacetamido)-2-methylpyridin-3-yl)-2-(1-methyl-1H-pyrazol-4- yl)-1H-pyrrolo[2,3-b]pyridine-5-carboxamide N
[00998] A solution of N-(5-(2-cyclopentylacetamido)-2-methylpyridin-3-yl)-2-(1- methyl-1H-pyrazol-4-yl)-1-((2-(trimethylsilyl)ethoxy)methyl)-1H-pyrrolo[2,3-b]pyridine-5- carboxamide (166 mg, 0.28 mmol) in 50% TFA/CH2Cl2 (3 mL) was stirred at 25 oC for 29 h. All solvents were removed in vacuo. The residue was taken up in toluene (5 ml) and all solvents were removed in vacuo (3 x) to help remove excess TFA. The residue was treated with 4M NH
3 in MeOH (10 mL) for 30 min. All solvents were removed in vacuo. The residue was taken up in MeOH (3 mL) and purified by HPLC (acetonitrile/water/formic acid) to afford the product, N-(5-(2-cyclopentylacetamido)-2-methylpyridin-3-yl)-2-(1-methyl-1H- pyrazol-4-yl)-1H-pyrrolo[2,3-b]pyridine-5-carboxamide, as a white solid (48.3 mg). LCMS (ESI): mass calcd. for C
25H
27N
7O
2, 457.2; m/z found, 458.3 [M+H]
+.
1H NMR (400 MHz, DMSO-d
6) δ ppm 1.11 - 1.26 (m, 2 H) 1.45 - 1.57 (m, 2 H), 1.57 - 1.67 (m, 2 H), 1.67 - 1.83 (m, 2 H), 2.23 (quin, J=1.00 Hz, 1 H), 2.32 (s, 1 H), 2.35 (s, 1 H), 2.41 (s, 3 H), 3.89 (s, 3 H), 6.71 (s, 1 H), 8.02 (s, 1 H), 8.15 (d, J=1.00 Hz, 1 H), 8.23 (s, 1 H), 8.43 (d, J=1.00 Hz, 1 H), 8.52 (d, J=1.00 Hz, 1 H), 8.75 (d, J=1.00 Hz, 1 H), 9.99 (s, 1 H), 10.08 (s, 1 H), 12.29 (s, 1 H). [00999] The following tabulated Examples were prepared by a similar method of Example 316 from the appropriate starting materials
Biological Assays [001000] PDGFRβ HTRF assay [001001] I. Materials [001002] Reagents
[001003] Instrumentation: a. Compound liquid handling: LabCyte Echo; b. Reagent liquid handling: Thermo Scientific Multidrop Combi; c. BMG PHERAStar multilabel plate reader. [001004] Protein Reagent: His6-TEV-PDGFRβ Protein Prep prepared at Accelagen. [001005] II. Methods and Procedures [001006] Stock solutions: [001007] Assay buffer stock solution, contains 50 mM Hepes, 10 mM MgCl
2, 1 mM EGTA, and 0.01% Brij-35, 0.01% ovalbumin, 2 mM DTT at pH 7.5, in molecular biology grade water. Store at room temperature. [001008] DTT, 2 M in molecular biology grade water, store at -20°C in aliquots. [001009] Ovalbumin, 10% or 100 mg/mL, prepare fresh on experimental day. [001010] PDGFRβ, 116 µM (PDGFRb_08 Prep 02), produced at Accelagen. Store at -80°C in aliquots. [001011] TK-biotin peptide, 0.5 µM in molecular biology grade water, store at - 20°C in aliquots. [001012] ATP, 100 mM in molecular biology grade water, store at -20°C in aliquots. [001013] HTRF KinEASE-TK kit: Allow the contents of the Cisbio kit to warm up to room temperature before use. This kit contains HTRF detection buffer, TK-Antibody labeled with Eu
3+-cryptate, TK-substrate biotin and Streptavidin-XL665. [001014] TK Substrate-Biotin, reconstitute 500 µg lyopholized with 574 µL molecular biology grade water to prepare a 500 µM stock; After use, aliquot the rest and store at -20°C. [001015] TK Antibody-Cryptate, reconstitute lyophilized with 1 mL of molecular biology grade water (100x solution) then add 99 mL detection buffer to prepare a ready to use TK-antibody-cryptate solution; the concentration of the TK-antibody-cryptate reagent is not known. After use, aliquot the rest and store at -20°C. [001016] Streptavidin-XL665, reconstitute 3 mg lyophilized with 3 mL molecular biology grade water to prepare a 1 mg/mL or 16.67 µM stock; MW = 60 kDa; After use, aliquot the rest and store at -20°C. [001017] Freshly prepared solutions: [001018] Assay buffer. Dilute 5x Kinase buffer 5-fold with molecular biology grade water and add DTT to 2 mM and ovalbumin to 0.1 mg/mL (or 0.01%). [001019] 2X protein solution. Make a working solution of 100 pM PDGFRβ in assay buffer. Keep on ice until use to maintain enzyme stability. [001020] 2X substrate solution. Make a working solution of 1.6 mM ATP and 1 µM TK-substrate biotin peptide in assay buffer. [001021] 3X quench/detection solution. Make a working solution of 0.1875 µM SA-XL665 and the TK-antibody cryptate diluted by ½ of total quench/detection volume in assay buffer. [001022] Keep final streptavidin/biotin ratio at 1 to 8. [001023] Example of 3x quench/detection solution preparation: 8 mL total volume. [001024] 1x assay buffer – 3910 µL [001025] TK antibody-cryptate in detection buffer – 4000 µL [001026] 0.1875 µM SA-XL665 – 90 uL [001027] The kinase reaction is stopped by the addition of the detection reagents which contain EDTA (detection step). [001028] Assay Procedure: [001029] Assay in white ProxiPlate 384-well [001030] Step 1. Dispensing inhibitors/DMSO and low control: Using the ECHO 555 acoustic dispenser, spot desired compound serial dilutions in DMSO, NEAT DMSO to represent the uninhibited enzyme control, and 10 µM final [imatinib] to the represent the 100% inhibited enzyme control [001031] Step 2. PDGFRβ E + I pre-incubation: Add 2 µL 2x protein solution to columns 1-24 using the Multidrop Combi. Centrifuge at 1000 rpm for 1 min. Incubate 30 min at RT [001032] Step 2. Enzymatic reaction: Add 2 µL substrate solution to columns 1- 24 to initiate the reaction using the Multidrop Combi; cover/seal the assay plate to reduce evaporation. Centrifuge at 1000 rpm for 1 min. Incubate at room temperature for 3 hours. [001033] Final concentrations of components in PDGFRβ cascade assay: [001034] 50 mM Hepes, pH 7.5 [001035] 10 mM MgCl2 [001036] 0.01% Brij-35 [001037] 1 mM EGTA [001038] 2 mM DTT [001039] 0.01% Ovalbumin [001040] 50 pM inactive PDGFRβ [001041] 0.5 µM TK-substrate biotin peptide [001042] 62.5 nM SA-XL-665 [001043] TK antibody-Eu3+-cryptate (diluted by 1/3 final from stock) [001044] 800 µM ATP [001045] ≤ 1% DMSO [001046] Step 3. Quench/Detection: Add 2 µl 3x quench/detection solution to columns 1-24 using the Multidrop Combi; cover/seal the plate. Centrifuge 1 min 1000 rpm. Incubate at RT for 60 min. Read the plate in PHERAstar (or similar instrument) on HTRF setting at excitation 337nm - dual emission - 665/620 nm ratio. [001047] III. Calculations and Formulas [001048] HTRF ratio values calculated by the instrument (Ratio is acceptor counts/donor counts * 10,000) is exported from the plate reader and used in data analysis. The exported data will be used to calculate 1) compound activity and 2) assay statistics. Compound activity is represented by % Inhibition when testing a single dose of a compound or IC50 when testing a dose response of a compound. Assay statistics can include Robust Z’ and Signal to Background. [001049] % Inhibition Calculation: Percent inhibition will be calculated for sample
wells based on the equation: [001050] Where, x: sample activity; cr: central reference is calculated based on wells containing all assay components and no compound (DMSO only); sr: scale reference is calculated based on wells inhibited with 10 µM Imatinib (these wells will contain the enzyme and substrate solutions) [001051] IC
50 Calculation: For IC
50 determination, full 11- point dose response data will be processed using the following equation:
[001052] Where S0=Activity level at zero concentration of test compound; SInf=Activity level at infinite concentration; IC50: Concentration at which activity reaches 50% of maximum level; c= Concentration in logarithmic units corresponding to the values on the x-axis of the dose-response curve plot; Hill coefficient n= Measure of the slope at IC50. See Table 1 below [001053] Registered Parameters (when applicable): % Activity, IC
50, nHill Slope, S
inf, S
0, and Comments [001054] Robust Z’ Calculation: Robust Z prime (RZ’) value will be calculated as defined by the following equation:
[001055] Where, RSD: Robust standard deviation; cr: central reference is calculated based on wells containing all assay components and no compound (DMSO only); sr: scale reference is calculated based on wells inhibited with 10 µM Imatinib compound (these wells will contain the enzyme and substrate solutions) [001056] Signal to Background, S/B, Calculation
[001057] Where, CR, Central Reference (no compound wells); SR, Scale Reference (inhibitor control wells). [001058] PDGFRβ LanthaScreen assay [001059] I. Materials
[001060] II. Methods and Procedures [001061] Stock solutions: [001062] Assay buffer stock contains 50 mM HEPES pH7.5, 10 mM MgCl
2, 0.01% Brij- 35, 1 mM EGTA. [001063] Tb-labeled inactive PDGFRβ.3.6 µM in 50 mM HEPES, pH 7.4, 150 mM NaCl, 0.005% Tween-20 and 10% glycerol. Store at -80
oC in aliquots. [001064] Tracer 222, 50 µM in DMSO, store at -20
oC. [001065] Freshly prepared solutions: [001066] Assay buffer. Add DTT to 2 mM and ovalbumin to 0.1 mg/mL to Assay buffer stock. [001067] Kinase-Tracer solution. Make a working solution of 0.2 nM Tb-labeled inactive PDGFRβ and 40 nM Tracer 222 in Assay buffer. Keep on ice until use. [001068] Assay Procedure: [001069] Step 1. Dispensing inhibitors: Using Echo, dispense 40nL/well (or less) compound serial dilutions in DMSO onto the assay plate. [001070] Step 2. Dispensing Kinase-Tracer solution: Add 4 µL/well Kinase-Tracer solution. Seal the plate with optically transparent plate seal. Centrifuge at 1000 rpm for 1 min. [001071] Final concentrations of components in the assay: [001072] [Tb-PDGFRβ] = 0.2 nM; [001073] [Tracer 222] = 40 nM; [001074] [DMSO] ^ 1%. [001075] Step 3. Detection: Read TR-FRET signals after 18 hours incubation at room temperature. [001076] III. Calculations and Formulas [001077] % Inhibition: % Inhibition = (NC – sample) / (NC – PC) * 100 where NC is the mean of negative control (reactions without inhibitor), and PC is the mean of positive control (1µM sunitinib). [001078] IC50 determination: Compounds are serially diluted 3-fold and tested in an 11- point dose response. IC
50 values are determined from a 4-parameter fit, using the following equation: Y = Bottom + (Top – Bottom) / (1+10((Log IC
50-X)*Hill slope)), where X = log
10 of the compound concentration; top can be defined by PC; bottom defined by NC. See Table 1, below. [001079] PDGFRβ cellular assay [001080] I. Materials

[001081] II. Methods and Procedures [001082] Cell Culture and Preparation: Cells are cultured according to ATCC procedure (5) with the addition of the antibiotic penicillin-streptomycin. If working from frozen, cells should be thawed according to ATCC procedure. Depending on the cell density of frozen vial, cells will need time to recover from thaw. An 80% confluent T75 flask should be enough for one 384 well plate. [001083] Stock Solutions: Rat PDGFBB. A 100ug/mL stock is prepared by reconstituting 50ug in 500uL of 4mM HCl and 0.1% BSA. It can be stored for a month at 4°C, or aliquoted out and frozen in the -20/-80°C to avoid multiple free-thaw cycles. [001084] Freshly Prepared Solutions: [001085] 1x Cisbio cell lysis buffer. The cell lysis buffer is diluted 4-fold with molecular grade water. The blocking agent is then diluted 25-fold in the diluted lysis buffer. [001086] Antibody solutions. Equal amounts d2 and cryptate antibody are diluted 20-fold in detection buffer. [001087] Rat PDGFBB. A working stock of 100ng/mL is created from the stock solution in 10%FBS culture media. [001088] Assay Steps [001089] Step 1: Plating Cells: Media from the A10 cell flask is aspirated. The cells are rinsed with PBS and then trypsinized to disperse the cell layer. The cells are then pelleted are resuspended to 1.25e5 cells/mL. 40uL of cells are then plated in 384 Greiner TC treated plates at a density of 5000 cells/well using the Combi. Plates are covered and placed in the incubator (37°C 5% CO2) overnight to allow cells to adhere. [001090] Step 2: Compound Dispense: Approximately 18 hours after plating, dispense 40nL compound onto cells using Echo. Column 12 is the neutral control DMSO, column 24 is the inhibitor control 10 mM Imatinib (10uM final assay concentration). The plate is returned to the incubator for 3 hours. [001091] Step 3: Activation by PDGFbb: 6uL of the working stock of 100ng/mL PDGFbb is dispensed using the Tempest to give a final assay concentration of 15ng/mL (EC80). After 10 minutes the media is removed by flicking the plate. [001092] Step 4: Cell lysis and antibody addition: 20uL lysis buffer per well is added to the plate via Tempest. 5uL antibody solution is added per well via the Tempest. The plate is placed on the shaker at 230 rpm for 1 hour at room temperature. [001093] Step 5: Detection: The plate is read using the HTRF module on the BMG Pherastar. Data is analyzed using Genedata Screener. [001094] III. Calculations and Formulas: [001095] % Inhibition: % Inhibition = (NC – sample) / (NC – PC) * 100 where NC is the mean of negative control (reactions without inhibitor), and PC is the mean of positive control (10µM imatinib). [001096] IC50 determination: Compounds are serially diluted 3-fold and tested in an 11- point dose response. IC
50 values are determined from a 4-parameter fit, using the following equation: Y = Bottom + (Top – Bottom) / (1+10((Log IC
50-X)*Hill slope)), where X = log
10 of the compound concentration; top can be defined by PC; bottom defined by NC. See Table 1, below. [001097] VEGFR ADP GLO assay [001098] I. Materials
[001099] II. Methods and Procedures [001100] Stock solutions: [001101] Assay buffer stock contains 50mM HEPES pH7.5, 10mM MgCl
2, 0.01% Brij- 35, and 1mM EGTA. [001102] Unphosphorylated VEGFR2.52.6 µM in 50 mM Tris-HCl, pH 8.0, 50 mM NaCl, 5% Glycerol, 0.5 mM TCEP. Store at -80
oC in aliquots. [001103] 10mg/mL srctide solution, prepared in Assay buffer (Assay buffer stock with 2mM DTT, 0.1% Pluronic F-127, and 0.1mg/mL ovalbumin). Sonicate 10 mg/ml Srctide solution for 10 minutes and then vacuum filter. [001104] Freshly prepared solutions [001105] Assay buffer. Add DTT to 2mM, Pluronic F-127 to 0.1% and ovalbumin to 0.1mg/mL to Assay buffer stock. [001106] 2X kinase solution. Make a working solution of 10 nM unphosphorylated VEGFR2 in Assay buffer. Vacuum filter 2x kinase solution prior to running assay. Keep on ice until use. [001107] 2X substrate/ATP solution. Make a working solution of 2mg/mL srctide and 2.4mM ATP in Assay buffer. Keep on ice until use. [001108] Assay Procedure: [001109] Step 1. Dispensing inhibitors/controls: Using Echo, dispense 10nL/well compound serial dilutions in DMSO to columns 1-22 (in 384-well plates) or columns 1-44 (in 1536-well plates). Dilution series = 11 pt, 3-fold dilutions. The top compound concentration in the source plate is 4 mM. The top compound concentration in the assay plate is 10 uM. Using Echo, dispense 10 nl/well DMSO to column 23 (in 384-well plates) or columns 45-47 (in 1536-well plates). These wells will serve as negative control wells Using Echo, dispense 10 nl/well 400 uM TAK-593 in DMSO to column 24 (in 384-well plates) or column 48 (in 1536-well plates). The final concentration of TAK-593 in the assay should be 1 uM. These wells will serve as positive control wells. [001110] Step 2. Pre-incubation of inhibitors with kinase: Add 2 µL/well 2X kinase solution. Centrifuge at 1000 rpm for 1 min. Incubate at room temperature for 30 min. [001111] Step 3. Kinase cascade reaction: Add 2 µL/well 2X substrate/ATP solution to initiate kinase reactions. Centrifuge at 1000 rpm for 1 min. Incubate at room temperature for 180 min. [001112] Final concentrations of components in the assay: [001113] [VEGFR2] = 5 nM; [001114] [ATP] = 1.2 mM; [001115] [Srctide] = 1 mg/mL; [001116] [DMSO] ^ 1%. [001117] Step 4. Quench: Add 2 uL/well ADP Glo Reagent + 0.05% CHAPS. Centrifuge at 1000 rpm for 1 min; Incubate at room temperature for one hour. [001118] Step 5. Detection: Add 2uL/well Kinase Detection Reagent + 0.05% CHAPS. Centrifuge at 1000 rpm for 1 min; Incubate at room temperature for 1 hour; Read Luminescence on a plate reader. [001119] III. Calculations and Formulas [001120] % Inhibition: % Inhibition = (NC – sample) / (NC – PC) * 100 where NC is the mean of negative control (reactions without inhibitor), and PC is the mean of positive control (1µM TAK-593). [001121] IC50 determination: Compounds are serially diluted 3-fold and tested in an 11- point dose response. IC50 values are determined from a 4-parameter fit, using the following equation: Y = Bottom + (Top – Bottom) / (1+10
(Log IC50-X)*Hill slope), where X = log
10 of the compound concentration; top can be defined by PC; bottom defined by NC. See Table 1, below. Table 1. Biology chemical and cellular activity