DEVICES, SYSTEMS AND METHODS FOR NAVIGATING A MOBILE PLATFORM [0001] The present disclosure relates to mobile platform navigation. BACKGROUND [0002] Positioning, navigation, and timing (PNT) of manned and unmanned platforms such as terrestrial vehicles, aerial vehicles and/or watercrafts, may be performed in military as well as in civilian or recreational applications. BRIEF DESCRIPTION OF THE FIGURES [0003] The figures illustrate generally, by way of example, but not by way of limitation, various embodiments discussed in the present document. [0004] For simplicity and clarity of illustration, elements shown in the figures have not necessarily been drawn to scale. For example, the dimensions of some of the elements may be exaggerated relative to other elements for clarity of presentation. Furthermore, reference numerals may be repeated among the figures to indicate corresponding or analogous elements. References to previously presented elements are implied without necessarily further citing the drawing or description in which they appear. The figures are listed below. [0005] FIG. 1 is a schematic illustration of a GNSS-free navigation system, according to some embodiments. [0006] FIG.2 is a further schematic illustration of GNSS-free navigation system, according to some embodiments. [0007] FIGs. 3A to 3E are schematic illustrations of various configurations of directional antenna array arrangement and distance measurement device, with respect to a reference coordinate system. [0008] FIGs.4 and 5 schematically illustrate multiplexing of signals for Positioning, navigation, and timing (PNT) estimate of manned and unmanned platforms, according to some embodiments. [0009] FIG.6 schematically illustrates the distance estimation determination of a plurality of mobile platforms with a distance measurement device of a GNSS-free navigation system, according to some embodiments. [0010] FIG. 7 schematically illustrates the determining of a direction estimation of a plurality of mobile platforms with directional antenna array of a GNSS-free navigation system, according to some embodiments. [0011] FIG. 8 schematically illustrates a GNSS-free navigation configured to determine of PNT estimates of a plurality of mobile platforms, according to some other embodiments. [0012] FIG. 9 schematically illustrates a GNSS-free navigation configured to determine PNT estimates of a plurality of mobile platforms of a swarm, according to some other embodiments. [0013] FIG.10 is a flowchart of a method for implementing GNSS-free navigation, according to some embodiments. [0014] FIG.11 is a flowchart of a method for implementing GNSS-free navigation, according to some other embodiments. [0015] FIG.12 is a flowchart of a method for implementing GNSS-free navigation, according to some alternative embodiments. DETAILED DESCRIPTION [0016] Currently known techniques for navigating mobile platforms such as manned or unmanned vehicles (UV), and, in particular unmanned aerial vehicles (UAV), make intensive usage of Global Navigation Satellite systems (GNSS), such as the US-operated Global Positioning System (GPS), the European-operated “Galileo” System, the Chinese-operated “BeiDou” Navigation Satellite System (BDS), the Russian-operated Global Navigation Satellite System (GLONASS) or others. GNSS describe a satellite constellation capable of providing geolocation and time information to a GNSS receiver on or near Earth. GNSS may require an unobstructed line of sight between the GNSS receiver employed by the mobile platform, to four or more satellites. [0017] One technical problem of the disclosure relates to navigating mobile platforms situations where GNSS-based navigation is not available (temporarily, or permanently) due to limitations of, for instance, operational, technological and/or legal characteristic. [0018] For example, in various scenarios and/or situations, GNSS-based navigation may not be accurate enough or unavailable due to lack of satellite sightline. In further examples, use of GNSS-based navigation may be undesirable, for example, to prevent mobile platform detection and/or geolocation by a GNSS operator. [0019] In some examples, GNSS-based navigation may be unavailable, due to non-availability of a GNSS receiver in a mobile platform. A platform’s GNSS receiver may be non-available due to receiver deactivation, receiver malfunction or because the mobile platform is not equipped with a GNSS receiver. In some examples, a GNSS signal receiver may be deactivated, or the mobile platform may be free of a GNSS receiver, e.g., to prevent GNSS-based platform detection and/or platform geolocation. [0020] In some examples, GNSS-based navigation may be unavailable due to discontinuation of GPSS signal transmission by GNSS satellites. Discontinuation of GPSS signal transmission may be intentional or unintentional. [0021] In some examples, GNSS-based navigation may be available within a first geographical area during a first time period yet may be unavailable in the first geographical area during a second time period, different from the first time period. In a further example, GNSS-based navigation may be available for use in a first geographic area but, at the same time, unavailable in a second geographic area. [0022] In military as well as in civil missions, (intentional or unintentional) non-availability of GNSS- based navigation services may result in loss of navigational control, which may in turn cause temporary or permanent damage to the mobile platform and jeopardize the mission. [0023] Hence, under certain circumstances, dependency on GNSS-based navigation systems should be reduced or avoided, and alternative navigation manners need to be enabled, instead of or as backup to GNSS-based navigation systems. [0024] Other systems to perform platform self-localization for navigation purposes include Real- time location Systems (RTLS). RTLS include a plurality of sensors (receivers) deployed in the platform’s surroundings. The sensors may be employed for determining a platform’s position based on wireless signals received from tags or transmitters attached to the platform. RLTS may require the establishment of a comparatively complex infrastructure such as mutual synchronization and communication between the sensors. [0025] One technical solution of the disclosure relates to a GNSS-free navigation system and method for positioning a mobile platform, and further for navigating a mobile platform to a target, partially or fully without using GNSS in scenarios where GNSS-base navigation is temporarily or permanently limited or unavailable, optionally, without the need of multi-sensor constellations (e.g., more than 3 sensors) external to the platform. For example, the GNSS-free navigation system may be operable with a sensor configuration deployed in the platform’s surroundings, comprising one interrogation unit and one directional antenna array external to the platform. [0026] In the discussion that follows, a “target” may pertain to a target location and/or (target) object. [0027] Aspects of disclosed embodiments pertain to systems, devices and/or methods configured for navigating, indoors and/or outdoors, mobile platforms without utilizing GNSS or RTLS in a reference frame such as, for example, a world coordinate system WCS. Hence, systems, devices and/or methods disclosed herein for navigating a mobile platform may be employed in a GNSS-free, GNSS-denied or GNSS-challenged scenarios or situations. Embodiments of the GNSS-free navigation system may be employed in a variety of platform navigation scenarios including, for example, in indoor and/or outdoor navigation scenarios of manned or unmanned airborne vehicles, terrestrial vehicles and/or vessels. One example scenario may include providing a GNSS-substitute for ground transportation (e.g., automotive). Indoor scenarios may enable platform positioning and navigation in logistics centers, and/or the like. In some examples, components of the GNSS-free navigation system may be installed above ground (e.g., on a mast) for allowing ground vehicle positioning and navigation. [0028] In some examples, a GNSS-free platform navigation system (also: “GNSS-free navigation system”) comprises a transponder that is comprised in a mobile platform. [0029] In some examples, the GNSS-free navigation system further includes a distance measurement subsystem, including an (e.g., ground) distance measurement device (e.g., interrogation unit) that is configured to transmit a wireless interrogation signal Sint to the transponder, which may be considered part of the distance measurement subsystem. The (e.g., ground) distance measurement device may also be configured to receive a wireless response signal “Sresp” that is transmitted by the transponder in response to the interrogation signal “Sint” received by the transponder. [0030] Based on a propagation delay Tpd between the wireless interrogation signal Sint and the received response signal Sresp, a distance between the interrogation unit and the mobile platform can be determined by the GNSS-free navigation system using, for example, the following equation:

[0031] The GNSS-free navigation system may further include a directional antenna array (DAA) arrangement configured to emit electromagnetic radiation EMR towards the platform for determining, e.g., based on phase-based interferometry, an azimuth and an elevation of the mobile platform relative to the DAA arrangement. [0032] The DAA arrangement and the interrogation unit may be collocated or non-collocated. In some examples, the DAA arrangement and the interrogation unit may both be located at a reference ground level, or above a reference ground level. In some example, one of the DAA arrangement or the interrogation unit may be located at a reference ground level, while the corresponding other component may be located above the reference ground level. [0033] The positions of the interrogation unit and of the DAA arrangement with respect to the world coordinate system may be known or determinable. Accordingly, based on the determined distance, azimuth and elevation, the GNSS-free navigation system is operable to determine a position of the platform relative to a reference coordinate system, e.g., for positioning and, optionally, navigation and/or timing purposes. Embodiments also pertain to a GNSS-free navigation system for navigating a plurality of mobile platforms of a swarm with respect to a reference coordinate system. Such GPS-free swarm navigation system includes an (e.g., ground) distance measurement device for determining a range from the first distance measurement device to a subset of mobile platforms of the swarm. The swarm navigation system further includes an (e.g., ground) directional antenna array arrangement for determining an azimuth and an elevation for the mobile platforms of the subset, e.g., relative to the antenna array. The swarm navigation system may further include a plurality of mobile platform- mounted distance measurement devices for determining ranges and, e.g., velocities, between the plurality of mobile platforms of the swarm. The swarm navigation system is configured to navigate (e.g., in real-time) at least one mobile platform that is excluded from the subset with respect to the reference coordinate system, (e.g., solely) based on: a) the azimuth and elevation estimates determined for the mobile platforms of the subset, and b) the ranges between the (e.g., ground) distance measurement device and the subset; and c) based on the determined ranges between the mobile platforms of the swarm, which may include the platforms of the subset and the mobile platform excluded from the subset. [0034] In some examples, the subset of vehicles includes at least three or only three only vehicles of the swarm, e.g., arranged to represent vertices of a triangle. [0035] It is noted that the expression “mobile platform” can also encompasses “unmanned mobile platform”. Accordingly, the GPS-free swarm navigation system is configured for navigating, in a GPS-free manner, a swarm of unmanned mobile platforms (e.g., drones, quadcopters, and/or the like). The system may be configured to perform real-time navigation of the swarm, in a GPS-free manner. [0036] It is noted that expressions such as “determining V” like, for example, “determining a propagation delay”, “determining a distance”, "determining a position” “determining an azimuth” or any other parameter value, as well as grammatical variations thereof, may encompass the meaning of expressions such as “determining V within a tolerance or variation limit”. Accordingly, the expression “determining V” and the expression “determining an estimate of V”, as well as grammatical variations thereof, may herein be used interchangeably. [0037] In some examples, a platform’s position is associated with a time stamp to obtain a position- time tuple. This may be achieved, for example, by synchronizing a platform clock employed by the mobile platform with a transponder clock employed by the transponder and with a DAA clock employed by the DAA arrangement. In some examples, the same clock may be employed by the transponder and the DAA arrangement. In some examples, the clocks of a plurality of drones of the swarm can be synchronized with each other independently of the ground clock, e.g., through transmission of a synchronization signal from a transmitter each drone of the plurality of drones to the other drones and receiving of the transmitted synchronization signal by a receiver of the other drones. Drone clock synchronization may include determining time-of-arrival estimates of received synchronization signals, and solving a set of equations involving the relative positions, and clock offsets between drones. [0038] In some examples, multiplexed wireless interrogation signals may be emitted to a plurality of mobile platforms for responsively receiving, from the plurality of mobile platforms, multiplexed response signals for determining, based on a propagation delay between corresponding multiplexed interrogation and response signals, the distances of the plurality of mobile platforms relative to the interrogation unit. [0039] In some examples, directional signals may be emitted by the plurality of mobile platforms for determining a relative direction between the DAA arrangement and the plurality of mobile platforms. In some examples, an identifier may be associated with the directional signals emitted by the mobile platforms to allow associating a received directional signal with the corresponding mobile platform. [0040] In some examples, DAA arrangement and/or (e.g., ground) distance measurement device may be spatially fixed relative to the world coordinate system, or may be mobile relative thereto and, e.g., mounted on or included a mobile platform. [0041] The term “mobile platform” may include any kind of, for example, movable or mobile platform such as any kind of vehicular device including, for example, two-wheeled vehicles, any kind of three-wheeled vehicles, four-wheeled vehicles, land-based or terrestrial vehicles including, for instance, a passenger car, a motorcycle, a bicycle, a transport vehicle (e.g., a bus, truck), a watercraft; a robot, a pedestrian wearing gear that is operable to transmit a response signal based on a received wireless interrogation signal; a submarine; a multipurpose vehicle such as a hovercraft and/or the like. Such platform may be a fully autonomous vehicle (for example a self-driving car or self-piloting drone) and/or a partially autonomous vehicle; a manned movable platform or an unmanned movable platform. In some examples, the mobile platform may be a manned or unmanned aerial vehicle (UAV). For example, the GNSS-free navigation system may be used by a manned or unmanned aerial vehicle to facilitate navigation of the (e.g., airborne) vehicle between buildings in a dense urban environment and/or to navigate the vehicle into building openings (e.g., windows, doors) and/or towards other targets or destinations, and/or for navigating swarms of mobile platforms. [0042] It is noted that mobile platform may operate with various degrees of autonomy including fully autonomous operation, or partial (e.g., remote or onboard) intervention by a human operator. [0043] In some examples, a mobile platform may be configured to transport passengers and/or cargo. [0044] Referring now to FIG.1, a scene 500A is shown containing one or more objects such as a mobile platform 510, exemplified herein by an unmanned aerial vehicle (UAV). Moreover, FIG. 1 schematically illustrates a GNSS-free navigation system 1000 configured to determine a position estimate of mobile platform 510 relative to a world coordinate system WCS defining a corresponding world reference frame 502. In some examples, mobile platform 510 may be considered part of GNSS- free navigation system 1000. In other examples, mobile platform 510 may not be considered part of GNSS-free navigation system 1000. [0045] Although coordinate systems such as world coordinate system WCS may herein be exemplified as cartesian coordinate systems, this should by no means be construed as limiting. Accordingly, other coordinate systems may be employed such as, for example, cylindrical or spherical coordinate systems. [0046] In some examples, GNSS-free navigation system 1000 may comprise a DAA arrangement 1100 positioned at a DAA position “P
DAA” at time stamp t=t
j (j=1,..,N) with respect to world coordinate system WCS. The expression “DAA arrangement” may also encompass the meaning of the expression “ground DAA arrangement”. [0047] In some examples, DAA arrangement 1100 may be configured as a directional receiver antenna providing omnidirectional reception coverage for enabling determining a relative direction Rrel of electromagnetic radiation (EMR) received at DAA arrangement 1100 from free space from an object or mobile platform 510 contained in scene 500A. DAA arrangement 1100 may for example be configured to provide 360 degrees azimuth coverage and 90-180 degrees elevation coverage. Optionally, DAA arrangement 1100 may include receiver elements in a hemi-spherical arrangement. Optionally, DAA arrangement 1100 may include receiver elements in a spherical arrangement. In some examples, a hemispherical arrangement may delineate a convex structure in an orientation pointing in a direction away from a reference (e.g., ground) level, e.g., from the ground towards the sky. In some examples, a hemispherical arrangement may delineate a convex structure having an orientation that points towards a reference (e.g., ground) level, e.g., from a suspension structure towards a floor. [0048] A relative direction may be determined with a variety of direction-finding methods including, for example, phase interferometry, and/or by using all-complex information of received wave (e.g., multiple signal classification or MUSIC algorithm). [0049] GNSS-free navigation system 1000 may further comprise a distance measurement device 1200 and a transponder. Optionally, a transponder may be mounted on each drone. The expression "distance measurement device 1200” may also encompass the meaning of the expression “ground expression distance measurement device 1200”. [0050] Distance measurement device 1200 is located at a distance measurement position “P
DM” relative to world coordinate system WCS at time stamp t=t
j. Distance measurement device 1200 is configured to allow determining a distance estimate (e.g., slant range) between mobile platform 510 and distance measurement device 1200. In some examples, the mobile platform’s ground distance may be derived based on the slant range. [0051] Additional reference is made to FIG.2. EMR received at DAA arrangement 1100 and for which a relative direction estimate RDir is determined, may herein referred to as “directional signal SDir”. The relative direction estimate RDir is defined by a relative azimuth angle, herein designated “φ” and further by a relative inclination angle, herein designated “θ”, of mobile platform 510 relative to DAA arrangement 1100. [0052] The term “relative direction” is used to indicate that the direction may be determined with respect to a certain reference coordinate system such as, for example, a DAA coordinate system DAA
CS that is fixed with respect to DAA arrangement 1100, e.g., as schematically shown in FIG.2. GNSS-free navigation system 1000 may be configured to transforming the relative direction estimate to be descriptive with respect to world coordinate system WSC. In some other examples, the position of mobile platform 510 may be determined with respect to world coordinate system WCS, without performing a transformation from one coordinate system to another. [0053] In some examples, DAA arrangement 1100 may have a “passive” configuration in which the DAA arrangement only receives directional S
Dir, without actively emitting EMR towards mobile platform 510 for producing directional S
Dir that is reflected from mobile platform 510. In such passive configurations, directional signal S
Dir may be emitted by a transmitter 1300 comprised in mobile platform 510. [0054] In some other examples, DAA arrangement 1100 may have an active configuration allowing radiating or emitting EMR into free space towards scene 500A to responsively generate directional SDir that is reflected from mobile platform 510 for determining the relative direction. [0055] In some embodiments, distance measurement device 1200 may be configured to allow determining a distance estimate (e.g., slant range) between mobile platform 510 and distance measurement device 1200, using a cooperative distance measurement method, in which the transmitter of the interrogation unit is synchronized with a transponder of the mobile platform. The cooperative distance measurement method may include determining, following (e.g., responsive to) the transmission of an interrogation signal Sint by the transmitter, the time of flight (TOF) of the interrogation signal Sint and/or the received response signal Sresp emitted from the transponder, to derive the propagation delay Tpd between the wireless interrogation signal Sint and the received response signal Sresp. [0056] In a non-cooperative distance measurement implementation, the interrogation unit may maintain the time tag of the transmission of the interrogation signal Sint. The system 1000 may determine the difference between the transmission time tag and the reception time of a signal Srefl reflected from the mobile platform. In the non-cooperative distance measurement implementation, the mobile platform does not employ a transponder that is synchronized with the transmitter of the interrogator unit. Such non-cooperative distance measurement technique may measure distance to an object using ultrawide band (UWB), e.g., indoor and comparatively short-range positioning applications. For example, if the transmitted signal emits in phase 0, all reflected frequencies received at the receiver arrive in different phases, allowing object localization. [0057] In some examples, the mobile platform may employ the interrogation unit, and the transponder may be fixedly located relative to a reference frame (e.g., ground station). [0058] In some examples, distance measurement device 1200 may operate in cooperation with equipment mounted on mobile platform 510 for determining a distance between distance measurement device 1200 and mobile platform 510. For example, distance measurement device 1200 may be configured to emit an interrogation signal Sint towards a transmitter-receiver (e.g., transponder) 1400 employed by an object such as mobile platform 510. Distance measurement device 1200 and transponder 1400 may be considered part of or define distance measurement subsystem. Transmitter- receiver 1400 is configured to emit, based on the received interrogation signal S
int, a response signal S
resp that can be received by distance measurement device 1200. GNSS-free navigation system 1000 is configured to determine, e.g., based on the propagation delay estimate Tpd between the transmitted interrogation signal S
int and the received response signal S
resp, an estimate of an (e.g., slant) range distance between mobile platform 510 and distance measurement device 1200 for timestamp t=t
j. In some examples, functionalities of transmitter 1300 may be implemented by transmitter-receiver 1400. [0059] In some examples, distance measurement device 1200 may be configured to determine a distance estimate that is based on time-of-flight (TOF). TOF-based distance measurement may obviate the need of equipping mobile platform 510 with a transmitter-receiver 1400 that cooperates with distance measurement device 1200. For example, distance measurement device 1200 may be configured to emit an optical signal towards mobile platform 510 to produce a reflection-based optical signal that is received at distance measurement device 1200. Based on the TOF of the emitted and received optical signal, GNSS-free navigation system 1000 may determine the (e.g., slant) distance estimate between distance measurement device 1200 and mobile platform 510. Additional distance measurement techniques may for example be based on gated imaging, intensity-based distance measurement, triangulation by two or more direction finders, and/or the like. [0060] GNSS-free navigation system 1000 may be configured such that the translational position of at least one of DAA arrangement 1100, distance measurement device 1200, transmitter 1300, and/or transmitter-receiver 1400 can be determined (directly or indirectly) with respect to world reference frame 502, described by world coordinate system WCS. In some examples, GNSS-free navigation system 1000 may be configured to determine not only position but also an orientation of an object with respect to world coordinate system WCS. For example, GNSS-free navigation system 1000 may be configured to determine an orientation estimate of DAA arrangement 1100 relative to world coordinate system WCS, for example, to derive based thereon an elevation and azimuth of mobile platform 510 relative to the world coordinate system WCS. [0061] A current or present orientation of an object (e.g., DAA arrangement 1100) with respect to a fixed or reference coordinate system (CS) may be expressed by attitude or orientation angles formed by the object's principal axes of rotation (also: principal axes) relative to the reference coordinate system. To determine the orientation of an object relative to a reference coordinate system, the object's principal axes are transformed into the reference coordinate system by using the Euler angles. The Euler angles are thus the angles through which the object's coordinate system must be rotated to bring its axes to coincidence with the reference coordinate system. Accordingly, the Euler angles describe the object's roll (also: bank), pitch (also: elevation), and azimuth (also: heading) orientation with respect to the reference coordinate system. Hence, one can define the orientation of an object relative to a reference coordinate system by the amount of rotation of the parts of the object about these principal axes. [0062] GNSS-free navigation system 1000 may further include a processor 1500 configured to execute computer-programs useful in performing, e.g., the systems, methods, processes and/or operations of GNSS-free navigation. [0063] GNSS-free navigation system 1000 may further include a memory 1600 configured to store software such as, for example, data 1610, and/or algorithm code and/or artificial intelligence (AI) models 1620. Processor 1500 may be configured to execute algorithm code and/or apply AI models 1620 for the processing of data 1610 resulting in the implementation of a positioning, navigation, and/or timing (PNT) engine 1700 that is operable to determine PNT parameter values for one or more mobile platforms 510. [0064] It is noted that some of the subsystems, devices, components, modules, functional engines and/or processes of GNSS-free navigation system 1000, such as PNT engine 1700, may be run and/or comprised in mobile platform 510 and some may executable and/or comprised in one or more computing platforms external to mobile platform 510. [0065] It is noted that the term “processor”, as used herein, may additionally or alternatively refer to a controller. Processor may be implemented by various types of processor devices and/or processor architectures including, for example, embedded processors, communication processors, graphics processing unit (GPU)-accelerated computing, soft-core processors and/or general purpose processors. In some embodiments, processor 1500 may be implemented as a Central Processing Unit (CPU), a microprocessor, an electronic circuit, an Integrated Circuit (IC), and/or the like. [0066] Memory 1600 may be implemented by various types of memories, including transactional memory and/or long-term storage memory facilities and may function as file storage, document storage, program storage, or as a working memory. The latter may for example be in the form of a static random access memory (SRAM), dynamic random access memory (DRAM), read-only memory (ROM), cache and/or flash memory. As working memory, memory 1600 may, for example, include, e.g., temporally- based and/or non-temporally based instructions. As long-term memory, memory 1600 may for example include a volatile or non-volatile computer storage medium, a hard disk drive, a solid state drive, a magnetic storage medium, a flash memory and/or other storage facility. A hardware memory facility may for example store a fixed information set (e.g., software code) including, but not limited to, a file, program, application, source code, object code, data, and/or the like. Memory 1600 may be a single memory device, or multiple interconnected memory devices which may be collocated on mobile platform 510, distance , or located in different locations such as mobile platform 510 and one or more on a different platform (e.g., DAA arrangement 1100 and/or distance measurement device 1200), accessible to processor 1500 via any communication channel. [0067] PNT engine 1700 may use any deterministic, heuristic algorithm or hybrid (e.g., combined deterministic and heuristic) algorithms and/or artificial intelligence models for implementing positioning, navigating, timing and/or other processes, methods and/or procedures with respect to mobile platform 510. [0068] GNSS-free navigation system 1000 may further comprise communication device 1800 configured to enable wired and/or wireless communication between the various components and/or modules of the system and which may communicate with each other over one or more communication buses (not shown), signal lines (not shown) and/or a communication network 900, schematically shown in FIG.1. [0069] Communication device 1800 may be operative to receive instructions such as navigation and/or operation instructions from a remote human and/or computerized operator, transmitting images and/or other data to an external system, receiving readings and/or other data from external sources, and/or the like, via communication network 900. [0070] The network infrastructure may be configured for using one or more communication formats, protocols and/or technologies such as, for example, to internet communication, optical communication, cellular communication, RF communication, telephony-based communication technologies and/or the like. In some examples, communication device 1800 may include I/O device drivers (not shown) and network interface drivers (not shown) for enabling the transmission and/or reception of data over the network. A device driver may for example, interface with a keypad or to a USB port. A network interface driver may for example execute protocols for the Internet, or an Intranet, Wide Area Network (WAN), Local Area Network (LAN) employing, e.g., Wireless Local Area Network (WLAN)), Metropolitan Area Network (MAN), Personal Area Network (PAN), extranet, 2G, 3G, 3.5G, 4G, 5G, 6G mobile networks, 3GPP, LTE, LTE advanced, Bluetooth® (e.g., Bluetooth smart), ZigBee™, near- field communication (NFC) and/or any other current or future communication network, standard, and/or system. [0071] GNSS-free navigation system 1000 may further include a power device 1900 for powering the various components and/or modules and/or subsystems of the system. Power device 1900 may comprise an internal power supply (e.g., a rechargeable battery) and/ or an interface for allowing connection to an external power supply. [0072] It will be appreciated that separate hardware components such as processors, memories and/or power modules may be allocated to each component and/or module of GNSS-free navigation system 1000. However, for simplicity and without be construed in a limiting manner, the description and claims may refer to a single module and/or component. For example, although processor 1500 may be implemented by several processors, the following description will refer to processor 1500 as the component that conducts all the necessary processing functions of GNSS-free navigation system 1000. [0073] PNT engine 1700 may determine a relative direction estimate RDir of SDir and further determine a distance estimate D between distance measurement device 1200 and mobile platform 510. Based on the relative direction estimate R
Dir and the distance estimate D, PNT engine 1700 may determine a position estimate of mobile platform 510 with respect to world coordinate system WCS. [0074] In some examples, a position estimates may be repeatedly determined by PNT engine 1700 to obtain a plurality of position estimates, optionally, along with corresponding time stamps. [0075] In some examples, based on a position estimate of mobile platform 510, PNT engine 1700 may provide navigation command signals S
nav to (e.g., flight) control and propelling subsystems 512 of mobile platform 510 for navigating mobile platform 510, for example, along a flight path or trajectory towards a target (not shown) such as, for example, a specific location or object within scene 500A. [0076] In some examples, control and propelling subsystem 512 may for example comprise one or more electrically and/or fossil-based propelling apparatuses (e.g., propulsion-based, rotating wing- based, propeller-based apparatuses); inertial sensors (e.g., gyroscopes, acceleration sensors), non- inertial sensors (e.g., altimeters, pressure sensors); and/or the like. [0077] In some examples, navigation command signals S
nav may be generated by a computing platform external to mobile platform 510. In some other examples, navigation command signals SNAV may be generated by a computing platform internal to mobile platform 510. [0078] In some examples, DAA arrangement 1100 and distance measurement device 1200 may be collocated with respect to a same reference coordinate system. In some other examples, DAA arrangement 1100 and distance measurement device 1200 may be located at different positions (i.e., not collocated) with respect to the same reference coordinate system. [0079] In some examples, DAA arrangement 1100 may be spatially fixed relative to world coordinate system WCS and its position relative to the WCS known, or may be mobile so that it can attain different attitudes and/or translational positions with respect to world coordinate system WCS. [0080] In some examples, distance measurement device 1200 may be spatially fixed with respect to world coordinate system WCS and its position relative to the WCS is known, or may be mobile so that distance measurement device 1200 can attain different attitudes and/or positions with respect to world coordinate system WCS. [0081] In examples where DAA arrangement 1100, distance measurement device 1200 and transmitter-receiver 1400 are all mobile (e.g., mounted on or comprised in a corresponding mobile platform), at least one of theses apparatuses or devices may be communicably coupled with another ground station subsystem that is spatially fixed relative to world reference coordinate system WCS and whose position relative to world reference coordinate system WCS is known. [0082] Reference is now made to FIGs. 3A-E, schematically illustrating various DAA arrangement 1100 and distance measurement device 1200 configurations with respect to a reference (e.g., world) coordinate system. A “solid” line type indicates that the respective item is spatially fixed relative to world coordinate system WCS. A dashed line type indicates that the respective item is mobile, i.e., that it can attain different translational positions relative to the world reference frame 502 and, optionally, different attitudes, relative to world reference frame 502. [0083] FIG. 3A schematically illustrates a scenario where DAA arrangement 1100 and distance measurement device 1200 are collocated and spatially fixed relative to world reference frame 502. [0084] FIG. 3B schematically illustrates a scenario where DAA arrangement 1100 and distance measurement device 1200 are not collocated and spatially fixed relative to world reference frame 502. [0085] FIG. 3C schematically illustrates a scenario where DAA arrangement 1100 is mobile, and where DM device 1200 is spatially fixed relative to world reference frame 502. [0086] FIG.3D schematically illustrates a scenario where DM device 1200 is spatially fixed relative to world reference frame 502, and where DAA arrangement 1100 is mobile. [0087] FIG.3E schematically illustrates a scenario where both DAA arrangement 1100 and distance measurement device 1200 are mobile, and where their position relative to world reference frame 502 is determined through a reference platform 600 (implemented, e.g., as ground station platform) that is spatially fixed relative to world reference frame 502 at a known position relative thereto. [0088] The examples described above are listed in Table 1 below, along with a variety of additional or alternative example configurations for realizing a GNSS-free navigation system: Table 1:





[0089] Additional reference is made to FIG.4 and to FIG.5. In some examples, GNSS-free navigation system 1000 may be configured to determine PNT parameter values for a plurality of mobile platforms 510(1),…, 510(i)…, 510(n), herein exemplified as mobile platforms 550(1)-510(3). PNT functionality implementation for a plurality of mobile platforms 510(1)-510(n) may be enabled by employing signal multiplexing techniques, e.g., as outlined herein. [0090] For example, distance measurement device 1200 may be operable to employ, in cooperation with transmitter-receivers 1400(1)-(3), Time Division Multiplexing Access (TDMA), Code-Division Multiple Access (CDMA), and/or other any other multiplexing technique for determining the distance of at least one of the plurality of moving multiple platforms 510(1)-(3) relative to distance measurement device 1200. [0091] In some examples, a data stream is divided into a plurality of frames 5010(1),…, 5010(n). Each frame 5010 be divided into a plurality of non-overlapping time slots Tn at which a correspondingly associated plurality of interrogation signals Sint
n (e.g., signal bursts) is transmitted. The plurality of time slots is herein exemplified by three time slots T1-T3, and the plurality of interrogation signals transmitted during the time slots Tn is herein exemplified by interrogation signals Sint1-Sint3. In some examples, the number of time slots may be predetermined. In some other examples, the number of time slots may be adaptively adjusted, e.g., depending on the number of mobile platforms 510(1)-510(n). In some examples, the timing at which interrogation signal Sint are transmitted may be dynamically or adaptively adjusted. [0092] The term “dynamic” means that the related system characteristics or parameters are, for example, at a certain time of day, or a certain day of the year. The term “adaptive” means that the related system characteristics or parameters are changed in response to changes in characteristics of, for example, the network and may vary depending on a variety of parameters. [0093] Transmitter-receivers 1400(1)-(3) of the respective mobile platforms 510(1)-510(3) are configured to transmit, in response to receiving and processing of the received interrogation signals Sint
1-Sint
3, a corresponding plurality of response signals Sresp
1-Sresp
3 which are associated with the respective interrogation signals Sint
1-Sint
3 by identifier data, e.g., descriptive of a header. In some examples, for the emission of an interrogation signal Sint
i and further for the emission of a corresponding response signal Sresp
i, the transmitter-receiver 1400(i) that is associated with the corresponding mobile platform 510(i) may use the entire bandwidth of the interrogation signal Sint
i and response signal Sresp
i. [0094] Additional reference is made to FIG.6. Based on a propagation delay estimate Tpd between the transmission of an interrogation signals Sinti transmitted from distance measurement device 1200 to mobile platform 510(i), and the associated response signal Srespi received from transmitter-receiver 1400 of mobile platform 510(i) at distance measurement device 1200, a distance estimate Di between a mobile platform 510i and distance measurement device 1200 may be determined by PNT engine 1700. [0095] Further reference is made to FIG. 7. In some examples, a directional signal Sdiri may be emitted by at least one of the plurality of mobile platforms 510(1)-510(3) and received by DAA arrangement 1100 for determining, for a certain time stamp tn, an azimuth and elevation for the plurality of mobile platforms 510(1)-510(n) relative to DAA arrangement 1100. [0096] In some examples, identifier data may be associated with directional signal Sdir
i to allow associating the directional Sdir
i to the corresponding mobile platform 510(i) for determining, for the mobile platform 510(i), a relative direction estimate Rdir
i of the corresponding mobile platform 510(i). [0097] In some examples, a directional signal Sdiri of mobile platform 510(i) may be emitted in association with a response signal Srespi. For example, a directional signal Sdiri may be emitted in timed coordination (e.g., in sync) with a response signal Srespi. In some examples, the directional signals Sdir may be identical to the response signals Sresp. In some examples, the same identifier data may be used for a directional signal Sdir and the associated response signal Srespi. [0098] An interrogation signal Sint and directional signal Sdir may be repeatedly transmitted with respect to the plurality of mobile platforms 510(n) to determine, for the corresponding time stamps, current position estimates for the plurality of mobile platforms 510(n), e.g., for navigation purposes. [0099] In some embodiments, one or more master mobile platforms of a flock may serve as anchors for other (also: slave) mobile platforms of the flock for determining PNT estimates of the slave mobile platforms relative to Earth. [0100] For example, the system may be configured to determine a PNT estimate (e.g., relative velocity and/or range) of at least one master mobile platform relative to the Earth, and may be further configured to determine a PNT estimate of a slave mobile platform relative to the at least one master mobile platform. Based on the PNT estimate of the slave mobile platform relative to the at least one master mobile platform and of the PNT estimate of the at least one master mobile platform relative to Earth, the system may determine the PNT estimate of the slave mobile platform relative to Earth. [0101] A PNT estimate of the at least one master mobile platform relative Earth may be determined as described herein, for example, by employing a distance measurement subsystem and a directional antenna array arrangement. [0102] In some embodiments, a swarm may comprise a plurality of master mobile platforms. Each master mobile platform may determine platform-to-platform PNT estimates for a set of other mobile platforms associated with its respective master mobile platform. [0103] In some embodiments, the system may be configured to determine ground-to-mobile platform PNT estimates of at least three (e.g., selected) or only three mobile platforms of the swarm. The at least three (e.g., selected) or only three mobile platforms may be arranged to form respective three vertices of a triangle. The at least three (e.g., selected) or only three mobile platforms for which a ground-to-mobile PNT estimates function is determined, may serve as “anchors” or as reference location for mobile platforms for which a platform-to-platform distance parameter estimate is determined with respect to the at least three (e.g., selected) or only three mobile platforms. Accordingly, the at least three (e.g., selected) or only three mobile platforms may be considered descriptive of the “global” PNT of the entire swarm relative to a ground station (or other reference) for instance. [0104] For example, system 8000 (e.g., based on signals received at DAA 1100 and based on processing performed of signals transmitted from and responsively received at distance measurement device 1200) may determine, for (e.g., selected) three or more mobile platforms 510, their respective ground-to-platform PNT estimates. [0105] The PNT estimates determined for three (e.g., selected) mobile platforms 510(1), 510(2) and 510(3) of a swarm comprising mobile platforms 510(1),…, 510(M), along with relative platform-to- platform mobile platform distance estimates, are descriptive of a global PNT estimate of the entire swarm relative to the ground station. [0106] Merely to simplify the discussion that follows and without be construed in a limiting manner, (the coordinate systems) of DAA arrangement 1100 and distance measurement device 1200 of system 8000 are shown as being collocated. [0107] Considering for a swarm of ^ drones at unknown positions ^
^, … , ^
^ relative to Earth, the parameters that describe the state of the swarm can be divided into two groups. The first group contains the parameters necessary to construct a swarm coordinate system whose origin is at ^
^ relative to Earth, and its axes are defined through the directions of ^
^ − ^
^ and ^
^ − ^
^. [0108] The parameters comprising the first group are: ^
^ = {^
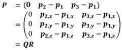
^, ^} where ^ is a 3-dimensional rotation matrix (i.e., the product of Q and its transpose is the identity matrix) which satisfies, along with the upper triangular matrix ^, the QR decomposition of the 3 × 3 matrix ^ ^ ^ ^ ^ ^
[0109] The columns of ^, denoted by +
", +
! and +
# form an orthonormal basis of ℝ
^ that is coupled to the directions of ^
! and ^
# relative to ^
". +
" is the cross product normalized
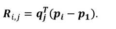
to unit norm, and +!. +# can be obtained by applying the Gram-Schmidt procedure to the vectors ^^! −^"$ and ^^# − ^"$: [0110] Elements of ^ are given by the inner products:
[0111] Note that the only non-zero elements of ^ are ^^,^, ^^,^ and ^^,^ since +3 is orthogonal to^^4 − ^"$ for all 3 > 4 by construction of the Gram-Schmidt procedure. [0112] The six scalars that comprise ^
^ (3 for ^ and 3 for ^
^) suffice for the formulation of the transformation of a position vector ^ from “Earth coordinates” into “swarm coordinates” as follows: ^
6 = ^
7^^ − ^
"$ [0113] The second group of parameters includes the positions of the drones with respect to the swarm coordinates ^
^ = {^
^6 , … , ^
6^ }
[0114] The drones' positions with respect to the swarm coordinate system, given in the elements of^^, are invariant to rotation and translation of the entire swarm as a solid bulk. [0115] To demonstrate this property, we consider a second swarm of ^ drones with positions given by 8
4 = /^
4 + ), where / is a rotation matrix and ) ∈ ℝ
^. [0116] The “Q” component of the QR decomposition of ^
; = ^
8!− 8"8#− 8"$ is the rotation matrix ^
; = /^, since ^
; = /^ = /^^. Transforming the position vector 8
4 into swarm coordinates associated with the second swarm, we have
which implies that rotating the entire swarm by / and shifting it by ) doesn't change the drones' positions with respect to the swarm coordinates. [0117] By definition of the QR decomposition, the transformed positions of the three anchor drones are given in the columns of ^, since
hence, an equivalent parameter set is {^, ^
6@ , … , ^
6^ } which has no dependence on ^ and ^
^6 (note that it contains 3^ − 6 independent scalars, since ^ has 3 non-zero elements, which sums to 3^ together with the 6 degrees of freedom in ^
^). [0118] The distance between two drones is invariant to the coordinate system in which it is measured, i.e.
for all ^, C, so the set of distances only depends on the relative positions of the drones, given in ^
^ and bears no information regarding the position of the anchor drones relative to Earth, given in ^
^. Therefore, measurements of the distances will only be useful for estimation of ^
^. To estimate the complete set of positions in Earth coordinates, measurements of ^
^, ^
^ and ^
^ are required, in addition to the distances between pairs of drones.
[0119] Therefore, the set of distances only depends on the relative positions of the drones, given in^^ and bears no information regarding the position of the anchor drones relative to Earth, given in ^^. Therefore, measurements of the distances will only be useful for estimation of ^
^. To estimate the complete set of positions in Earth coordinates, measurements of ^
^, ^
^ and ^
^ are required, in addition to the distances between pairs of drones. [0120] Determining the positions of mobile platforms of a swarm relative to each other (e.g., relative to "swarm coordinates", independent of "Earth coordinates") may also be beneficial to avoid collisions and/or to maintain a structure of the swarm. This can be achieved without any communication with a ground station and without measuring DF between platforms. [0121] A PNT estimate between two mobile platforms (e.g., a master mobile platform and a slave mobile platform and/or between two slave mobile platforms) may be determined by the system by analyzing characteristics of signals transmitted between mobile platforms. For example, phase-tracking (e.g., Doppler analysis) and/or triangulation (and/or other direction-finding techniques) may be performed for determining a position of a first mobile platform relative to a second mobile platform. In some examples, a first mobile platform receiving a signal from a second mobile platform may be configured to determine, based on the received signal, a PNT estimate relative to another mobile platform. For instance, a first mobile platform may track its distance and, for example, relative velocity to other mobile platforms by tracking Doppler shifts of signals received from the other mobile platforms. The signals emitted by the mobile platforms may be uniquely identifiable, e.g., through their specific frequency and/or any other signal “fingerprint”. [0122] In the example scenario shown in FIG. 8, GNSS-free navigation system 8000 may be configured to determine platform-to-platform PNT estimates of the M mobile platforms 510 of a swarm relative to each other, e.g., through phase-tracking (e.g., Doppler analysis) of signals emitted by at least one mobile platform and received by at least one or all other mobile platforms of the swarm, and further by employing triangulation or any other direction-finding techniques. In some implementations, the mobile platforms 510 of the swarm may include platform-mounted distance measurement devices, e.g., embodied or implemented by transmitter-receivers 1400, for determining ranges between the mobile platforms of the swarm. A transmitter-receiver may be implemented by a transmitter and a transponder. [0123] For example, system 8000 may be configured to determine the position of first mobile platform 510(1) relative to the second mobile platform 510(2), the third mobile platform 510(3), and the i-th mobile platform 510(i). Correspondingly, the positions of second mobile platform 510(2), third mobile platform 510(3) and the i-th mobile platform 510(i) relative to the first mobile platform 510(1) are also known. Further, based on the PNT estimate of the first mobile platform 510(1) relative to Earth, the PNT estimates of the second mobile platform 510(2), the third mobile platform 510(3) and the i-th mobile platform 510(i) relative to Earth can be determined. [0124] In some examples, system 8000 may be configured to determine the elevation and azimuth of exactly three or at least three (e.g., unmanned) mobile platforms, herein referred to as first mobile platform 510(1), second mobile platform 510(2), and third mobile platform 510(3), e.g., relative to the directional antenna arrangement. In some examples, the system may, over time, select different three mobile platforms of the swarm. The system may further determine ranges between the distance measurement device 1200 and the at least three or only three unmanned mobile platforms 510 (herein also referred to as subset of the swarm, in a triangle arrangement), and further determine ranges between the mobile platforms of the swarm relative to each other and relative to at least one mobile platform that is excluded from the subset. The system is configured to navigate the at least one unmanned mobile platform of the swarm and that is excluded from the at least three or only three unmanned mobile platforms, based on: [0125] A) the azimuth and elevation estimates determined for the at least three mobile platforms [0126] B) the ranges between the (e.g., ground) distance measurement device and the at least three unmanned mobile platforms; and [0127] C) the determined ranges between the mobile platforms relative to each other. [0128] The three or more mobile platforms may be arranged or selected to represent the vertices of a triangle or another polygon, respectively. [0129] In some embodiments, the mobile platforms of the swarm may (e.g., each) include a platform-mounted distance measurement device including, for example, a transmitter-receiver 1400, employing, for instance, a transponder. In contrary to the embodiment exemplified with respect to FIG.8 where knowledge of the platform-to-Earth positions of three master or anchor mobile platforms of the swarm is required to derive the positions of slave mobile platforms of the same swarm relative to Earth, the following embodiment described a scenario where knowledge of the platform-to-Earth position of only one master mobile platform may suffice, provided that not only the range and, for example, relative velocity between the master and a slave mobile platform is known, but also the orientation of the master and of the slave mobile platform relative to Earth, or the orientation of the master mobile platform relative to Earth as well as the orientation and direction of the slave mobile platform relative to the master mobile platform. For that purpose, the master mobile platform and a slave mobile platform of the swarm may (e.g., each) be equipped with an orientation sensor (e.g., compass, gyroscope), and the slave mobile platform and/or the master platform may for example further be equipped with a phased array for determining the direction relative to each other. [0130] For example, as shown schematically in FIG.9, a GNSS-free navigation system 9000 may be configured such that not only the ranges and, for example, relative velocities of the second mobile platform 510(2) and the third mobile platform 510(3) are known with respect to the first or master mobile platform 510(1), but also the orientations of the mobile platforms relative to Earth and/or relative to each other. This way, for example, the relative position of the second mobile platform 510(2) relative to the master mobile platform 510(1) may be determined, further allowing deriving, based on the position estimate of the master mobile platform 510(1) relative to Earth obtained through DAA arrangement 1100 and distance measurement device 1200, the position of the second mobile platform 510(2) relative to Earth. [0131] Additional reference is made to FIG.10. A method for GNSS-free navigation may include, in some embodiments, determining, by a distance measurement device, a distance between a mobile platform and the distance measurement device (block 10100). [0132] The method may further include receiving electromagnetic radiation from the mobile platform at a directional antenna array arrangement (block 10200). [0133] The method may also include determining, based on interferometry performed through the directional antenna array arrangement, an azimuth and elevation of the mobile platform relative to a reference coordinate system (block 10300). Hence, the position of the mobile platform relative to the reference coordinate system (e.g., Earth) can be determined [0134] Additional reference is made to FIG.11. A GNSS-free navigation method may include, in some embodiments, determining range and, for example, velocity estimates of a plurality of mobile platforms of a swarm relative to each other (block 11100). [0135] The method may further include determining, for at least three or only three mobile platforms of the swarm and arranged, e.g., to represent respective three vertices of a triangle, their respective range and direction estimates with respect to a reference coordinate system (e.g., World Coordinate System) (block 11200), for example, through DAA arrangement 1100 and distance measurement device 1200. [0136] The method may also include determining, based on the range and direction estimates determined for the at least three or only three mobile platforms of the swarm relative to a reference coordinate system (e.g., Earth), and further based on the determined range estimates and, for example, velocity estimates of a plurality of mobile platforms of the swarm, the range and direction estimates of the plurality of mobile platforms relative to the reference coordinate system (e.g., Earth) (block 11300). Hence, the positions of the plurality of mobile platforms relative to the reference coordinate system can be determined. It is noted that the plurality of mobile platforms may only be a part of or make up the entire swarm. [0137] Referring now to FIG.12, a method for determining the positions of a plurality of mobile platforms of a swarm relative to Earth or another reference coordinate system may include, for example, determining a direction and range of a first mobile platform relative to Earth (block 12100). [0138] The method may further include determining an orientation of the first mobile platform relative to Earth (block 12200). [0139] The method may further include determining an orientation of at least one other mobile platform of the swarm relative to Earth (block 12300). [0140] The method may also include determining, for example, a relative velocity and/or distance between the at least one other mobile platform of the swarm relative to the first mobile platform of the swarm (12400). [0141] In addition, the method may include determining, based on: [0142] the direction and range estimate of THE first mobile platform relative to earth; [0143] the orientation estimate of the first mobile platform relative to Earth; [0144] the orientation estimate of at least one other mobile platform of the swarm relative to earth and/or relative to the first mobile platform; and [0145] for example, the relative velocity estimate and a distance estimate between the at least one other mobile platform of the swarm relative to the first mobile platform of the swarm, [0146] a position estimate for the at least one other mobile platform of the swarm relative to Earth (12500). [0147] Additional Examples: [0148] Example 1 concerns a GNSS-free navigation system for determining a position of a mobile platform with respect to a reference coordinate system, the system comprising: [0149] a distance measurement device for determining a distance from the distance measurement device to a mobile platform; and [0150] a directional antenna array arrangement configured to receive electromagnetic radiation (EMR) from the mobile platform for determining, based on interferometry, an azimuth and an elevation of the mobile platform relative to the directional antenna array arrangement; [0151] wherein the system is configured to determine, based on the distance, azimuth and elevation, a position of the mobile platform relative to a reference coordinate system. [0152] Example 2 includes the subject matter of Example 1 and, optionally, wherein the reference coordinate system is a world coordinate system. [0153] Example 3 includes the subject matter of Example 1 and/or Example 2 and, optionally, wherein the distance measurement device is employed for determining a distance estimate based on propagation delay estimate Tpd or time-of-flight (TOF) estimate. [0154] Example 4 includes the subject matter of of any one or more of the example 1 to 3 and, optionally, a transponder, wherein the distance measurement device is configured to transmit a wireless interrogation signal to the transponder and further configured to receive a wireless response signal transmitted by the transponder; [0155] one or more processors; and [0156] a memory storing executable software code instructions by the one or more processors, [0157] and wherein executing the instructions causes: [0158] determining a propagation delay estimate Tpd between the wireless interrogation Sint signal and response signal Sresp; and [0159] determining, based on the propagation delay estimate Tpd, a distance estimate between the distance measurement device and the transponder. [0160] Example 5 includes the subject matter of any one or more of the examples 1 to 4 and, optionally, wherein the directional antenna array arrangement and the distance measurement device are collocated and spatially fixed relative to the world coordinate system. [0161] Example 6 includes the subject matter of any one or more of the examples 1 to 5 and, optionally, wherein the directional antenna array arrangement and the distance measurement device are collocated and spatially fixed relative to the world coordinate system. [0162] Example 7 includes the subject matter of any one or more of the examples 1 to 5 and, optionally, wherein the directional antenna array arrangement and the distance measurement device are not collocated and spatially fixed relative to the world coordinate system. [0163] Example 8 includes the subject matter of any one or more of the examples 1 to 5 and, optionally, wherein the directional antenna array arrangement is spatially fixed, and the distance measurement device is mobile with respect to the world coordinate system. [0164] Example 9 includes the subject matter of any one or more of the examples 1 to 5 and, optionally, wherein the directional antenna array arrangement is mobile, and the distance measurement device is spatially fixed with respect to the world coordinate system. [0165] Example 10 includes the subject matter of any one or more of the examples 1 to 5 and, optionally, further comprising a reference platform that is spatially fixed at a known position with respect to the world coordinate system; and wherein the directional antenna array arrangement and the distance measurement device are mobile with respect to the world coordinate system; and [0166] wherein the positions of the directional antenna array arrangement and the distance measurement device relative to the reference platform are known. [0167] Example 11 includes the subject matter of any one or more of the examples 1 to 10 and, optionally,wherein the transponder is comprised in the mobile platform and the distance measurement device is located remotely from the mobile platform. [0168] Example 12 includes the subject matter of any one or more of the examples 1 to 11 and, optionally, wherein the distance measurement device is comprised in the mobile platform and the transponder is located remotely from the mobile platform. [0169] Example 13 includes the subject matter of any one or more of the examples 1 to 12 and, optionally, wherein the distance, elevation and azimuth of the mobile platform relative to the world coordinate system are determined for respective time stamps. [0170] Example 14 includes the subject matter of any one or more of the examples 1 to 13 and, optionally, wherein the respective time stamps are of identical times, or of different times within a certain time period. [0171] Example 15 includes the subject matter of any one or more of the examples 1 to 14 and, optionally, a plurality of mobile platforms; and [0172] wherein the wireless interrogation signal Sint and response signal Sresp are implemented as multiplexed wireless interrogation signals Sint(1),…, Sint(n) and multiplexed wireless response signals Sresp(1),…, Sresp(n) for determining, based on a propagation delay estimate Tpd of a corresponding interrogation signal Sint(i) and response signal Sresp(i), the distance of one or more of the plurality of mobile platforms relative to the distance measurement device. [0173] Example 16 concerns a method for determining a position of a mobile platform with respect to a reference coordinate system, the method comprising: [0174] determining, by a distance measurement device, a distance between the mobile platform and the distance measurement device; [0175] receiving electromagnetic radiation from the mobile platform at a directional antenna array arrangement; and [0176] determining, based on interferometry performed through the directional antenna array arrangement, an azimuth and elevation of the mobile platform relative to a reference coordinate system. [0177] Example 17 includes the subject matter of example 16 and, optionally, wherein the reference coordinate system is a world coordinate system. [0178] Example 18 includes the subject matter of example 16 and/or 17 and, optionally, wherein the distance measurement device is employed for determining a distance estimate based on propagation delay estimate Tpd or time-of-flight (TOF) estimate. [0179] Example 19 includes the subject matter of any one or more of examples 16 to 18 and, optionally, a transponder; [0180] wherein the distance measurement device is configured to transmit a wireless interrogation signal to the transponder and further configured to receive a wireless response signal transmitted by the transponder; [0181] one or more processors; and [0182] a memory storing executable software code instructions by the one or more processors, and wherein executing the instructions causes: [0183] determining a propagation delay estimate Tpd between the wireless interrogation Sint signal and response signal Sresp; and [0184] determining, based on the propagation delay estimate Tpd, a distance estimate between the distance measurement device and the transponder. [0185] Example 20 includes the subject matter of any one or more of examples 16 to 19 and, optionally, wherein the directional antenna array arrangement and the distance measurement device are collocated and spatially fixed relative to the world coordinate system. [0186] Example 21 includes the subject matter of any one or more of examples 16 to 19 and, optionally, wherein the directional antenna array arrangement and the distance measurement device are not collocated and spatially fixed relative to the world coordinate system. [0187] Example 22 includes the subject matter of any one or more of examples 16 to 19 and, optionally, wherein the directional antenna array arrangement is spatially fixed, and the distance measurement device is mobile with respect to the world coordinate system. [0188] Example 23 includes the subject matter of any one or more of examples 16 to 19 and, optionally, wherein the directional antenna array arrangement is mobile, and the distance measurement device is spatially fixed with respect to the world coordinate system. [0189] Example 24 includes the subject matter of any one or more of examples 16 to 19 and, optionally, further comprising a reference platform that is spatially fixed at a known position with respect to the world coordinate system; and [0190] wherein the directional antenna array arrangement and the distance measurement device are mobile with respect to the world coordinate system; and [0191] wherein the positions of the directional antenna array arrangement and the distance measurement device relative to the reference platform are known. [0192] Example 25 includes the subject matter of any one or more of examples 16 to 19 and, optionally, wherein the transponder is comprised in the mobile platform and the distance measurement device is located remotely from the mobile platform. [0193] Example 26 includes the subject matter of any one or more of examples 16 to 25 and, optionally, wherein the distance measurement device is comprised in the mobile platform and the transponder is located remotely from the mobile platform. [0194] Example 27 includes the subject matter of any one or more of examples 16 to 26 and, optionally, wherein the distance, elevation and azimuth of the mobile platform relative to the world coordinate system are determined for respective time stamps. [0195] Example 28 includes the subject matter of example 27 and, optionally, wherein the respective time stamps are of identical times, or of different times within a certain time period. [0196] Example 29 includes the subject matter of any one or more of examples 16 to 28 and, optionally, wherein the wireless interrogation signal Sint and response signal Sresp are implemented as multiplexed wireless interrogation signals Sint(1),…, Sint(n) and multiplexed wireless response signals Sresp(1),…, Sresp(n) for determining, based on a propagation delay estimate Tpd of a corresponding interrogation signal Sint(i) and response signal Sresp(i), the distance of one or more of a plurality of mobile platforms relative to the distance measurement device. [0197] Example 30 concerns a GNSS-free navigation system for determining position estimates of a plurality of mobile platforms of a swarm of mobile platforms with respect to a reference coordinate system, the GNSS-free navigation system comprising: [0198] a memory for storing computer-executable instructions; and [0199] a processor which, when executing the computer-executable instructions causes the s GNSS- free navigation system to perform the following: [0200] determining, based on signals emitted by the plurality of mobile platforms, range and, for example, velocity estimates of the plurality of mobile platforms relative to each other; [0201] determining for at least three or only three mobile platforms of the swarm, the respective range and direction estimates in relation to a reference coordinate system; and [0202] determining, based on the range and direction estimates determined for the at least three or only three mobile platforms of the swarm, and further based on the determined range and, for example, velocity estimates of the plurality of mobile platforms, the range and direction estimates of the plurality of mobile platforms relative to the reference coordinate system. [0203] Example 31 includes the subject matter of example 30 and, optionally, wherein the at least three or only three mobile platforms are comprised in the plurality of mobile platforms. [0204] Example 32 includes the subject matter of examples 30 and/or 31 and, optionally, wherein a range and, for example, velocity estimate of a first mobile platform relative to a second platform of the plurality of mobile platforms is determined through phase-tracking of a signal emitted by the second mobile platform and received by the first mobile platform. [0205] Example 33 concerns a GNSS-free navigation method for determining position estimates of a plurality of mobile platforms of a swarm of mobile platforms with respect to a reference coordinate system, the method comprising: [0206] determining, based on signals emitted by the plurality of mobile platforms, range and, for example, velocity estimates, of the plurality of mobile platforms relative to each other; [0207] determining for at least three or only three mobile platforms of the swarm, the respective range and direction estimates in relation to a reference coordinate system; and [0208] determining, based on the range and direction estimates determined for the at least three or only three mobile platforms of the swarm, and further based on the determined range and, for example, velocity estimates, of the plurality of mobile platforms, the range and direction estimates of the plurality of mobile platforms relative to the reference coordinate system. [0209] Example 34 includes the subject matter of example 33 and, optionally, wherein the at least three or only three mobile platforms are comprised in the plurality of mobile platforms. [0210] Example 35 includes the subject matter of example 33 and/or 34 and, optionally, wherein a range and, for example, velocity estimate, of a first mobile platform relative to a second platform of the plurality of mobile platforms is determined through phase-tracking of a signal emitted by the second mobile platform and received by the first mobile platform. [0211] It is important to note that the methods described herein and illustrated in the accompanying diagrams shall not be construed in a limiting manner. For example, methods described herein may include additional or even fewer processes or operations in comparison to what is described herein and/or illustrated in the diagrams. In addition, method steps are not necessarily limited to the chronological order as illustrated and described herein. [0212] Any digital computer system, unit, device, module and/or engine exemplified herein can be configured or otherwise programmed to implement a method disclosed herein, and to the extent that the system, module and/or engine is configured to implement such a method, it is within the scope and spirit of the disclosure. Once the system, module and/or engine are programmed to perform particular functions pursuant to computer readable and executable instructions from program software that implements a method disclosed herein, it in effect becomes a special purpose computer particular to embodiments of the method disclosed herein. The methods and/or processes disclosed herein may be implemented as a computer program product that may be tangibly embodied in an information carrier including, for example, in a non-transitory tangible computer-readable and/or non-transitory tangible machine-readable storage device. The computer program product may directly loadable into an internal memory of a digital computer, comprising software (e.g., data and/or algorithm code) for performing the methods and/or processes as disclosed herein. [0213] The methods and/or processes disclosed herein may be implemented as a computer program that may be intangibly embodied by a computer readable signal medium. A computer readable signal medium may include a propagated data signal with computer readable program code embodied therein, for example, in baseband or as part of a carrier wave. Such a propagated signal may take any of a variety of forms, including, but not limited to, electro-magnetic, optical, or any suitable combination thereof. A computer readable signal medium may be any computer readable medium that is not a non-transitory computer or machine-readable storage device and that can communicate, propagate, or transport a program for use by or in connection with apparatuses, systems, platforms, methods, operations and/or processes discussed herein. [0214] The terms “non-transitory computer-readable storage device” and “non-transitory machine- readable storage device” encompasses distribution media, intermediate storage media, execution memory of a computer, and any other medium or device capable of storing for later reading by a computer program implementing embodiments of a method disclosed herein. A computer program product can be deployed to be executed on one computer or on multiple computers at one site or distributed across multiple sites and interconnected by one or more communication networks. [0215] These computer readable and executable instructions may be provided to a processor of a general purpose computer, special purpose computer, or other programmable data processing apparatus to produce a machine, such that the instructions, which execute via the processor of the computer or other programmable data processing apparatus, create means for implementing the functions/acts specified in the flowchart and/or block diagram block or blocks. These computer readable and executable program instructions may also be stored in a computer readable storage medium that can direct a computer, a programmable data processing apparatus, and/or other devices to function in a particular manner, such that the computer readable storage medium having instructions stored therein comprises an article of manufacture including instructions which implement aspects of the function/act specified in the flowchart and/or block diagram block or blocks. [0216] The computer readable and executable instructions may also be loaded onto a computer, other programmable data processing apparatus, or other device to cause a series of operational steps to be performed on the computer, other programmable apparatus or other device to produce a computer implemented process, such that the instructions which execute on the computer, other programmable apparatus, or other device implement the functions/acts specified in the flowchart and/or block diagram block or blocks. [0217] The term “engine” may comprise one or more computer modules, wherein a module may be a self-contained hardware and/or software component that interfaces with a larger system. A module may comprise a machine or machines executable instructions. A module may be embodied by a circuit or a controller programmed to cause the system to implement the method, process and/or operation as disclosed herein. For example, a module may be implemented as a hardware circuit comprising, e.g., custom VLSI circuits or gate arrays, an Application-Specific Integrated Circuit (ASIC), off-the-shelf semiconductors such as logic chips, transistors, and/or other discrete components. A module may also be implemented in programmable hardware devices such as field programmable gate arrays, programmable array logic, programmable logic devices and/or the like. [0218] The term “random” also encompasses the meaning of the term “substantially randomly” or “pseudo-randomly”. [0219] The expression “real-time” as used herein generally refers to the updating of information based on received data, at essentially the same rate as the data is received, for instance, without user- noticeable judder, latency or lag. [0220] In the discussion, unless otherwise stated, adjectives such as “substantially” and “about” that modify a condition or relationship characteristic of a feature or features of an embodiment of the invention, are to be understood to mean that the condition or characteristic is defined to within tolerances that are acceptable for operation of the embodiment for an application for which it is intended. [0221] Unless otherwise specified, the terms “substantially”, “'about” and/or “close” with respect to a magnitude or a numerical value may imply to be within an inclusive range of -10% to +10% of the respective magnitude or value. [0222] “Coupled with” can mean indirectly or directly "coupled with”. [0223] It is important to note that the method may include is not limited to those diagrams or to the corresponding descriptions. For example, the method may include additional or even fewer processes or operations in comparison to what is described in the figures. In addition, embodiments of the method are not necessarily limited to the chronological order as illustrated and described herein. [0224] Discussions herein utilizing terms such as, for example, "processing", "computing", "calculating", "determining", "establishing", "analyzing", "checking", “estimating”, “deriving”, “selecting”, “inferring” or the like, may refer to operation(s) and/or process(es) of a computer, a computing platform, a computing system, or other electronic computing device, that manipulate and/or transform data represented as physical (e.g., electronic) quantities within the computer's registers and/or memories into other data similarly represented as physical quantities within the computer's registers and/or memories or other information storage medium that may store instructions to perform operations and/or processes. The term determining may, where applicable, also refer to “heuristically determining”. [0225] It should be noted that where an embodiment refers to a condition of "above a threshold", this should not be construed as excluding an embodiment referring to a condition of "equal or above a threshold". Analogously, where an embodiment refers to a condition “below a threshold”, this should not be construed as excluding an embodiment referring to a condition “equal or below a threshold”. It is clear that should a condition be interpreted as being fulfilled if the value of a given parameter is above a threshold, then the same condition is considered as not being fulfilled if the value of the given parameter is equal or below the given threshold. Conversely, should a condition be interpreted as being fulfilled if the value of a given parameter is equal or above a threshold, then the same condition is considered as not being fulfilled if the value of the given parameter is below (and only below) the given threshold. [0226] It should be understood that where the claims or specification refer to "a" or "an" element and/or feature, such reference is not to be construed as there being only one of that element. Hence, reference to “an element” or “at least one element” for instance may also encompass “one or more elements”. [0227] Terms used in the singular shall also include the plural, except where expressly otherwise stated or where the context otherwise requires. [0228] In the description and claims of the present application, each of the verbs, "comprise" "include" and "have", and conjugates thereof, are used to indicate that the data portion or data portions of the verb are not necessarily a complete listing of components, elements or parts of the subject or subjects of the verb. [0229] Unless otherwise stated, the use of the expression “and/or” between the last two members of a list of options for selection indicates that a selection of one or more of the listed options is appropriate and may be made. Further, the use of the expression “and/or” may be used interchangeably with the expressions “at least one of the following”, “any one of the following” or “one or more of the following”, followed by a listing of the various options. [0230] As used herein, the phrase “A,B,C, or any combination of the aforesaid” should be interpreted as meaning all of the following: (i) A or B or C or any combination of A, B, and C, (ii) at least one of A, B, and C; (iii) A, and/or B and/or C, and (iv) A, B and/or C. Where appropriate, the phrase A, B and/or C can be interpreted as meaning A, B or C. The phrase A, B or C should be interpreted as meaning “selected from the group consisting of A, B and C”. This concept is illustrated for three elements (i.e., A,B,C), but extends to fewer and greater numbers of elements (e.g., A, B, C, D, etc.). [0231] It is appreciated that certain features of the invention, which are, for clarity, described in the context of separate embodiments or example, may also be provided in combination in a single embodiment. Conversely, various features of the invention, which are, for brevity, described in the context of a single embodiment, example and/or option, may also be provided separately or in any suitable sub-combination or as suitable in any other described embodiment, example or option of the invention. Certain features described in the context of various embodiments, examples and/or optional implementations are not to be considered essential features of those embodiments, unless the embodiment, example and/or optional implementation is inoperative without those elements. [0232] It is noted that the terms “in some embodiments”, “according to some embodiments”, “for example”, “e.g.,”, “for instance” and “optionally” may herein be used interchangeably. [0233] The number of elements shown in the Figures should by no means be construed as limiting and is for illustrative purposes only. [0234] “Real-time” as used herein generally refers to the updating and/or processing of information at essentially the same rate as the data is received. For example, in the context of the present invention “real-time” is intended to mean that mobile platforms of a swarm may be navigated without user- noticeable judder, latency or lag. [0235] It is noted that the terms “operable to” can encompass the meaning of the term “modified or configured to”. In other words, a machine “operable to” perform a task can in some embodiments, embrace a mere capability (e.g., “modified”) to perform the function and, in some other embodiments, a machine that is actually made (e.g., “configured”) to perform the function. [0236] Throughout this application, various embodiments may be presented in and/or relate to a range format. It should be understood that the description in range format is merely for convenience and brevity and should not be construed as an inflexible limitation on the scope of the embodiments. Accordingly, the description of a range should be considered to have specifically disclosed all the possible subranges as well as individual numerical values within that range. For example, description of a range such as from 1 to 6 should be considered to have specifically disclosed subranges such as from 1 to 3, from 1 to 4, from 1 to 5, from 2 to 4, from 2 to 6, from 3 to 6 etc., as well as individual numbers within that range, for example, 1, 2, 3, 4, 5, and 6. This applies regardless of the breadth of the range. [0237] The phrases “ranging/ranges between” afirst indicate number and a second indicate number and “ranging/ranges from” afirst indicate number “to” a second indicate number are used herein interchangeably and are meant to include thefirst and second indicated numbers and all the fractional and integral numerals there between. [0238] While the invention has been described with respect to a limited number of embodiments, these should not be construed as limitations on the scope of the invention, but rather as exemplifications of some of the embodiments.