Movatterモバイル変換


[0]ホーム

URL:


WO2023170435A1 - Il10 sarna compositions and methods of use - Google Patents

Il10 sarna compositions and methods of use
Download PDF

Info

Publication number
WO2023170435A1
WO2023170435A1PCT/GR2023/000005GR2023000005WWO2023170435A1WO 2023170435 A1WO2023170435 A1WO 2023170435A1GR 2023000005 WGR2023000005 WGR 2023000005WWO 2023170435 A1WO2023170435 A1WO 2023170435A1
Authority
WO
WIPO (PCT)
Prior art keywords
sarna
cell
lipid
incorporated
present disclosure
Prior art date
Legal status (The legal status is an assumption and is not a legal conclusion. Google has not performed a legal analysis and makes no representation as to the accuracy of the status listed.)
Ceased
Application number
PCT/GR2023/000005
Other languages
French (fr)
Inventor
Konstantina SKOURTIS-STATHAKI
Siv Anita HEGRE
Pàl SÆTROM
David Blakey
Jon VOUTILA
Current Assignee (The listed assignees may be inaccurate. Google has not performed a legal analysis and makes no representation or warranty as to the accuracy of the list.)
Mina Therapeutics Ltd
Original Assignee
Mina Therapeutics Ltd
Priority date (The priority date is an assumption and is not a legal conclusion. Google has not performed a legal analysis and makes no representation as to the accuracy of the date listed.)
Filing date
Publication date
Application filed by Mina Therapeutics LtdfiledCriticalMina Therapeutics Ltd
Publication of WO2023170435A1publicationCriticalpatent/WO2023170435A1/en
Anticipated expirationlegal-statusCritical
Ceasedlegal-statusCriticalCurrent

Links

Classifications

Definitions

Landscapes

Abstract

The disclosure relates to saRNAs useful in upregulating the expression of a target gene and therapeutic compositions comprising the saRNAs, wherein the target gene isIL10. Methods of using the saRNAs and the therapeutic compositions are also provided.

Description

IL10 SARNA COMPOSITIONS AND METHODS OF USE
RELATED APPLICATIONS
[0001] This application claims priority to US Prov. Application No. 63/317,207 filed March 7, 2022, entitled IL10 SARNA COMPOSITIONS AND METHODS OF USE, the contents of which are incorporated herein by reference in their entirety.
REFERENCE TO SEQUENCE LISTING
[0002] The present application is being filed along with a Sequence Listing in electronic format. The sequence listing filed, entitled 2058_1038PCT_SL v01.txt, was created on 3rd March 2023 and is 930 KB in size. The information in electronic format of the Sequence Listing is incorporated herein by reference in its entirety.
BACKGROUND
[0003] Recently it has been discovered that small duplex RNAs increased gene expression by targeting ncRNAs that overlap gene promoters (Janowski et al., Nature Chemical Biology, vol.3:166-173 (2007), the contents of which are incorporated herein by reference in their entirety). Any short RNA which leads to up-regulation of the expression of a target gene by any mechanism is termed a short activating RNA or small activating RNA (saRNA).
[0004] The IL10 (Interleukin 10; IL-10) gene is a protein coding gene. Members of the interleukin IL 10 protein family of cytokines play important roles in regulating immune responses during host defense but also in autoimmune disorders, inflammatory diseases, and cancer. There remains a need for compositions and methods for the targeted modulation of the IL10 gene with saRNAs.
SUMMARY OF THE DISCLOSURE
[0005] The present disclosure provides synthetic isolated small activating RNAs (saRNAs) which up-regulate the expression of at least one target gene, wherein the at least one target gene is IL10 and/or IL19. In some embodiments, the saRNA comprises an guide strand (antisense strand or sense strand) that is at least 80% complement to a region on a targeted sequence of the target gene. In some embodiments, the targeted sequence is located in the transcription start site (TSS) core of the target gene, wherein the TSS core has a sequence of SEQ ID NO: 1. In some embodiments, the guide strand (antisense strand or sense strand) has 14-30 nucleotides. In some embodiments, the saRNA comprises a guide strand (an antisense strand or a sense strand) that is at least 80% complement to a region on a targeted sequence of the target gene, wherein the targeted sequence is selected from the group consisting of SEQ ID NO: 2-172, and wherein the guide strand has 14-30 nucleotides. In some embodiments, the saRNA may be any saRNA in Table 3 or Table 4. Pharmaceutical compositions, kits, and devices comprising such saRNAs are also provided.
[0006] The present disclosure also provides methods of upregulating the expression of at least one target gene in a subject, wherein the target gene is ILK) and/or IL19.
[0007] The details of various embodiments of the disclosure are set forth in the description below. Other features, objects, and advantages of the disclosure will be apparent from the description and the drawings, and from the claims.
BRIEF DESCRIPTION OF THE DRAWINGS
]0008] The foregoing and other objects, features and advantages will be apparent from the following description of particular embodiments of the disclosure, as illustrated in the accompanying drawings in which like reference characters refer to the same parts throughout the different views. The drawings are not necessarily to scale, emphasis instead being placed upon illustrating the principles of various embodiments of the disclosure.
[0009] FIG. 1 is a schematic illustrating the relationships among the nucleic acid moieties involved in the function of a saRNA of the disclosure.
[0010] FIG. 2 A and FIG. 2B show relative expressions of total IL 10 mRNA levels normalized to FLUC or cell.
[0011] FIG. 3A-3B show lOnM of Pr-173 significantly increased IL10 and IL19 expressions.
[0012] FIG. 4 shows that Pr-173 significantly increased the expression oilLIO by activating transcription.
[0013] FIG. 5A-5C show ChIP qPCR data for open chromatin marks (H3K4me3, H3K9me2).
[0014] FIG. 6 shows Pr-173 has long-lasting effects on ZZJO through transcriptional memory.
[0015] FIG. 7A and FIG. 7B show active IL10 chromatin data on a silent locus after 6 days.
[0016] FIG. 8 shows the ChIP data for beta-actin.
[0017] FIG. 9 shows IL19 expression remains active after 6 days and 1 transfection, but in lower levels than the IL 10 gene. DETAILED DESCRIPTION
[0018] The present disclosure provides compositions, methods, and kits for modulating target gene expression and/or function for therapeutic purposes. These compositions, methods and kits comprise at least one saRNA that upregulates the expression of the target gene.
I. Design and Synthesis of saRNA
[0019] One aspect of the present disclosure provides a method to design and synthesize saRNA.
[0020] The terms “small activating RNA”, “short activating RNA”, or “saRNA” in the context of the present disclosure means a single-stranded or double-stranded RNA that upregulates or has a positive effect on the expression of a specific gene. The saRNA may be single-stranded of 14 to 30 nucleotides, such as 19, 20, 21, 22, or 23 nucleotides. The saRNA may also be double-stranded, each strand comprising 14 to 30 nucleotides, such as 19, 20, 21, 22, or 23 nucleotides. The gene is called the target gene of the saRNA. As used herein, the target gene is a double-stranded DNA comprising a coding strand and a template strand. For example, an saRNA that upregulates the expression of the IL 10 gene is called an “IL 10- saRNA” and the IL 10 gene is the target gene of the ILlO-saRNA. A target gene may be any gene of interest. In some embodiments, a target gene has a promoter region on the template strand.
[0021] By “upregulation,” “up-regulating,” or “activation” of a gene is meant an increase in the level of expression of a gene, or levels of the polypeptide(s) encoded by a gene or the activity thereof, or levels of the RNA transcript(s) (such as mRNA) transcribed from the template strand of a gene above that observed in the absence of the saRNA of the present disclosure. The saRNA of the present disclosure may have a direct upregulating effect on the expression of the target gene.
[0022] The saRNAs of the present disclosure may have an indirect upregulating effect on the RNA transcript(s) transcribed from the template strand of the target gene and/or the polypeptide(s) encoded by the target gene or mRNA. The RNA transcript transcribed from the target gene is referred to thereafter as the target transcript. The target transcript may be an mRNA of the target gene. The target transcript may exist in the mitochondria. The saRNAs of the present disclosure may have a downstream effect on a biological process or activity. In such embodiments, a saRNA targeting a first transcript may have an effect (either upregulating or downregulating) on a second, non-target transcript. Targeted Sequence
[0023] In some embodiments, the saRNA comprises a guide strand (an antisense strand or sense strand) that is at least 80% complementary to a region on the template strand of the target gene or the corresponding region on the coding strand of the target gene. This region on the template strand or the coding strand, where the strand of the saRNA hybridizes or binds to, is referred to as the “targeted sequence” or “target site”. FIG. 1 illustrates the relationships between the antisense strand and the targeted region on the template strand.
[0024] The term “complementary to” in the context means being able to hybridize under stringent conditions. It is to be understood that thymidine of the DNA is replaced by uridine in RNA and that this difference does not alter the understanding of the term “complementarity”.
[0025] The guide strand (antisense strand or sense strand) of the saRNA (whether single- or double-stranded) may be at least 80%, 90%, 95%, 98%, 99% or 100% identical with the reverse complement of the targeted sequence. Thus, the reverse complement of the guide strand of the saRNA has a high degree of sequence identity with the targeted sequence. The targeted sequence may have the same length, i.e., the same number of nucleotides, as the saRNA and/or the reverse complement of the saRNA.
]0026] In some embodiments, the targeted sequence comprises at least 14 and less than 30 nucleotides.
[0027] In some embodiments, the targeted sequence has 19, 20, 21, 22, or 23 nucleotides.
[0028] In some embodiments, the location of the targeted sequence is situated within a promoter area of the template strand or coding strand.
[0029] In some embodiments, the targeted sequence is located within a TSS (transcription start site) core of the template stand or the coding strand. A “TSS core” or “TSS core sequence” as used herein, refers to a region between 2000 nucleotides upstream and 2000 nucleotides downstream of the TSS (transcription start site). Therefore, the TSS core comprises 4001 nucleotides and the TSS is located at position 2001 from the 5’ end of the TSS core sequence. The term “transcription start site” (TSS) as used herein means a nucleotide on the template strand or the coding strand of a gene corresponding to or marking the location of the start of transcription. The TSS may be located within the promoter region on the template strand or the coding strand of the gene.
[0030] In some embodiments, the targeted sequence is located between 1000 nucleotides upstream and 1000 nucleotides downstream of the TSS. [0031] In some embodiments, the targeted sequence is located between 500 nucleotides upstream and 500 nucleotides downstream of the TSS.
[0032] In some embodiments, the targeted sequence is located between 250 nucleotides upstream and 250 nucleotides downstream of the TSS.
[0033] In some embodiments, the targeted sequence is located between 100 nucleotides upstream and 100 nucleotides downstream of the TSS.
[0034] In some embodiments, the targeted sequence is located upstream of the TSS in the TSS core. The targeted sequence may be less than 2000, less than 1000, less than 500, less than 250, or less than 100 nucleotides upstream of the TSS.
[0035] In some embodiments, the targeted sequence is located downstream of the TSS in the TSS core. The targeted sequence may be less than 2000, less than 1000, less than 500, less than 250, or less than 100 nucleotides downstream of the TSS.
[0036] In some embodiments, the targeted sequence is located +/- 50 nucleotides surrounding the TSS of the TSS core. In some embodiments, the targeted sequence substantially overlaps the TSS of the TSS core. In some embodiments, the targeted sequence begins or ends at the TSS of the TSS core. In some embodiments, the targeted sequence overlaps the TSS of the TSS core by 1, 2, 3, 4, 5, 6, 7, 8, 9, 10, 11, 12, 13, 14, 15, 16, 17, 18 or 19 nucleotides in either the upstream or downstream direction.
[0037] The location of the targeted sequence on the template strand or coding strand is defined by the location of the 5’ end of the targeted sequence. The 5’ end of the targeted sequence may be at any position of the TSS core and the targeted sequence may start at any position selected from position 1 to position 4001 of the TSS core. For reference herein, when the 5’ end of the targeted sequence from position 1 to position 2000 of the TSS core, the targeted sequence is considered upstream of the TSS and when the 5’ end of the targeted sequence is from position 2002 to 4001, the targeted sequence is considered downstream of the TSS. When the 5’ end of the targeted sequence is at nucleotide 2001, the targeted sequence is considered to be a TSS centric sequence and is neither upstream nor downstream of the TSS.
[0038] For further reference, for example, when the 5’ end of the targeted sequence is at position 1600 of the TSS core, i.e., it is the 1600th nucleotide of the TSS core, the targeted sequence starts at position 1600 of the TSS core and is considered to be upstream of the TSS.
SaRNA Designs
[0039] In one embodiment, the saRNA of the present disclosure is a single-stranded saRNA. The single-stranded saRNA may be at least 14, or at least 18, e.g., 19, 20, 21, 22 or 23 nucleotides in length since oligonucleotide duplex exceeding this length may have an increased risk of inducing the interferon response. Preferably, the length of the singlestranded saRNA is less than 30 nucleotides. In some embodiments, the length of the singlestranded saRNA is 19 to 25 nucleotides. In one embodiment, the single-stranded saRNA may be exactly 19 nucleotides in length. In another embodiment, the single-stranded saRNA may be exactly 20 nucleotides in length. In another embodiment, the single-stranded saRNA may be exactly 21 nucleotides in length. In another embodiment, the single-stranded saRNA may be exactly 22 nucleotides in length. In another embodiment, the single-stranded saRNA may be exactly 23 nucleotides in length. In some embodiments, the single-stranded saRNA of the present disclosure comprises a sequence of at least 14 nucleotides and less than 30 nucleotides, which has at least 80%, 90%, 95%, 98%, 99% or 100% complementarity to the targeted sequence. In one embodiment, the sequence which has at least 80%, 90%, 95%, 98%, 99% or 100% complementarity to the targeted sequence is at least 15, 16, 17, 18 or 19 nucleotides in length, or 18 to 22, or 19 to 21, or exactly 19.
[0040] In another embodiment, the saRNA of the present disclosure has two strands that form a duplex, one strand being a guide strand. The saRNA duplex is also called a doublestranded saRNA. A double-stranded saRNA or saRNA duplex, as used herein, is a saRNA that includes more than one, and preferably, two, strands in which interstrand hybridization can form a region of duplex structure. The two strands of a double-stranded saRNA are referred to as an antisense strand, and a sense strand.
[0041] Each strand of the duplex may be at least 14, or at least 18, e.g., 19, 20, 21 or 22 nucleotides in length. The duplex may be hybridized over a length of at least 12, or at least 15, or at least 17, or at least 19 nucleotides. Each strand may be exactly 19, 20, 21, 22, or 23 nucleotides in length. Preferably, the length of each strand of the saRNA is less than 30 nucleotides since oligonucleotide duplex exceeding this length may have an increased risk of inducing the interferon response. In one embodiment, the length of each strand of the saRNA is 19 to 25 nucleotides. The strands forming the saRNA duplex may be of equal or unequal lengths.
[0042] In one embodiment, the guide strand (antisense strand or sense strand) of the saRNA of the present disclosure comprises a sequence of at least 14 nucleotides and less than 30 nucleotides, such as exactly 19, 20, 21, 22, or 23 nucleotides in length, which has at least 80%, 90%, 95%, 98%, 99% or 100% complementarity to the targeted sequence. In one embodiment, the sequence which has at least 80%, 90%, 95%, 98%, 99% or 100% complementarity to the targeted sequence is at least 15, 16, 17, 18 or 19 nucleotides in length, or 18 to 22, or 19 to 21, or exactly 19.
[0043] The guide strand (antisense strand or sense strand) may have no more than 5, or no more than 4 or 3, or no more than 2, or no more than 1, or no mismatches with the targeted sequence on the template strand or coding strand. Therefore, the guide strand (antisense strand or sense strand) has a high degree of complementarity to the targeted sequence on the template strand or coding strand. The passenger strand of the saRNA duplex has a high degree of sequence identity with the targeted sequence on the template strand or coding strand.
[0044] The relationships among the saRNA duplex, a target gene, a coding strand of the target gene, a template strand of the target gene, a target transcript, a targeted sequence/target site, and the TSS are shown in FIG. 1.
[0045] A “strand” in the context of the present disclosure means a contiguous sequence of nucleotides, including naturally occuring, non-naturally occurring or modified nucleotides. Two or more strands may be, or each form a part of, separate molecules, or they may be connected covalently, e.g., by a linker such as a polyethyleneglycol linker. The target gene of the present disclosure resides on a double-strand DNA region. One of the strands of the DNA is the template strand and the other one is the coding strand. At least one strand of a saRNA may comprise a region that is complementary to a region on one strand the target gene (targeted sequence) and has sequence identity with corresponding region of the other strand of the target gene. Such a strand is called a guide strand of the saRNA duplex and can be the sense or antisense strand of the saRNA duplex. A second strand of a saRNA that comprises a region complementary to the non-targeted strand of the gene (non-targeted sequence) is called a passenger strand and can be the sense or antisense strand of the saRNA duplex.
[0046] A saRNA duplex may also be formed from a single molecule that is at least partly self-complementary forming a hairpin structure, including a duplex region. In such case, the term “strand” refers to one of the regions of the saRNA that is complementary to another internal region of the saRNA. The guide strand of the saRNA will have no more than 5, or no more than 4 or 3, or no more than 2, or no more than 1 , or no mismatches with the sequence within the region on the template strand or coding strand of the target gene (targeted sequence).
[0047] In some embodiments, the passenger strand of a saRNA may comprise at least one nucleotide that is not complementary to the corresponding nucleotide on the guide strand, called a mismatch with the guide strand. The mismatch with the guide strand may encourage preferential loading of the guide strand (Wu et al., PLoS ONE, vol.6 (12):e28580 (201 1), the contents of which are incorporated herein by reference in their entirety). In one embodiment, the at least one mismatch with the guide strand may be at 3’ end of the passenger strand. In one embodiment, the 3’ end of the passenger strand may comprise 1-5 mismatches with the guide strand. In one embodiment, the 3’ end of the passenger strand may comprise 2-3 mismatches with the guide strand. In one embodiment, the 3 ’ end of the passenger strand may comprise 6-10 mismatches with the guide strand.
[0048] A saRNA duplex may have siRNA-like complementarity to the targeted sequence on the template strand or coding strand; that is, 100% complementarity between nucleotides 2-6 from the 5' end of the guide strand in the saRNA duplex and a region on the targeted sequence. Other nucleotides of the saRNA may, in addition, have at least 80%, 90%, 95%, 98%, 99% or 100% complementarity to a region of the targeted sequence. For example, nucleotides 7 (counted from the 5' end) until the 3' end of the saRNA may have least 80%, 90%, 95%, 98%, 99% or 100% complementarity to a region of the targeted sequence.
[0049] The terms “small interfering RNA” or “siRNA” in the context mean a doublestranded RNA typically 20-25 nucleotides long involved in the RNA interference (RNAi) pathway and interfering with or inhibiting the expression of a specific gene. The gene is the target gene of the siRNA. A siRNA is usually about 21 nucleotides long, with 3' overhangs (e.g., 2 nucleotides) at each end of the two strands.
[0050] In some embodiments, the saRNA may comprise a number of unpaired nucleotides at the 3' end of each strand forming 3' overhangs or tails. The number of unpaired nucleotides forming the 3' overhang of each strand may be in the range of 1 to 5 nucleotides, or 1 to 3 nucleotides, or 2 nucleotides.
[0051] Thus, in some embodiments, the saRNA of the present disclosure may be singlestranded and consists of (i) a sequence having at least 80% complementarity to a targeted sequence on the template strand or coding strand of the target gene; and (ii) a 3' tail (overhang) of 1 -5 nucleotides, which may comprise uracil residues, such as UU, UUU, or mUmU (m strands for 2’-OMe modification). In some embodiments, the saRNA of the present disclosure may be double-stranded and consists of a first strand comprising (i) a first sequence having at least 80% complementarity to a targeted sequence on the template strand or coding strand of the target gene; and (ii) a 3' overhang of 1 -5 nucleotides; and a second strand comprising (i) a second sequence that forms a duplex with the first sequence and (ii) a 3’ overhang of 1-5 nucleotides. Such a 3’ tail (overhang) shall not be regarded as mismatches with regard to determine complementarity between the saRNA guide strand (antisense strand or sense strand) and the targeted sequence. The saRNA of the present disclosure may have complementarity to the targeted sequence over its whole length, except for the 3' tail (overhang), if present.
[0052 ] The saRNA of the present disclosure may contain a flanking sequence. The flanking sequence may be inserted in the 3’ end or 5’ end of the saRNA of the present disclosure. In one embodiment, the flanking sequence is the sequence of a miRNA, rendering the saRNA to have miRNA configuration and may be processed with Drosha and Dicer. In a non-limiting example, the saRNA of the present disclosure has two strands and is cloned into a microRNA precursor, e.g., miR-30 backbone flanking sequence.
(0053] The saRNA of the present disclosure may comprise a restriction enzyme substrate or recognition sequence. The restriction enzyme recognition sequence may be at the 3 ’ end or 5’ end of the saRNA of the present disclosure. Non-limiting examples of restriction enzymes include Notl and Asci.
Target Genes and saRNAs
[0054] As discussed above, the guide strand of the saRNA that can be the sense strand or the antisense strand of the saRNA has a high degree of sequence identity with the reverse complement of the targeted sequence. Instead of “complementary to the targeted sequence,” the guide strand (antisense strand or sense strand) of the saRNA of the present disclosure may also be defined as having “identity” to a region on the template strand or coding strand of the target gene. Therefore, the genomic sequence of the target gene may be used to design saRNAs.
[0055] In some embodiments, the target gene of the saRNAs of the present disclosure is IL10. Sequences of the target gene, protein and mRNA encoded by the target genes, and TSS cores of the target gene is provided in Table 1.
Table 1 Sequences of the target gene and protein and mRNA encoded by the target gene
Figure imgf000010_0001
Figure imgf000011_0002
[0056] Table 2 describes the saRNAs’ targeted sequences, the genomic location of the targeted sequences, and the relative location of saRNAs with no 3’ overhang. In Table 2, the targeted sequence is defined as a region on the template strand of the target gene. The relative location is the distance from the 5’ end of the targeted sequence to the TSS. A negative number represents a location upstream of the TSS and a positive number represents a location downstream of the TSS.
Table 2 Targeted Sequences of saRNAs
Figure imgf000011_0001
Figure imgf000012_0001
Figure imgf000013_0001
Figure imgf000014_0001
Figure imgf000015_0001
Figure imgf000016_0001
Figure imgf000017_0001
[0057] The saRNAs may be single-stranded and comprise 14-30 nucleotides. The sequence of a single-stranded saRNA may have at least 60%, 70%, 80% or 90% identity with a sequence selected from the sequences of the antisense strands in Table 3. In one embodiment, the single-stranded saRNA comprises a sequence selected from the sequences of the antisense strands in Table 3. In one embodiment, the single-stranded saRNA may have a 3’ tail (overhang). The sequence of a single-stranded saRNA with a 3’ tail (overhang) may have at least 60%, 70%, 80% or 90% identity with a sequence selected from the sequences of the antisense strands in Table 4. In one embodiment, the single-stranded saRNA comprises a sequence selected from the sequences of the antisense strands in Table 4. The sequence of a single-stranded saRNA may have at least 60%, 70%, 80% or 90% identity with a sequence selected from the sequences of the sense strands in Table 3. In one embodiment, the singlestranded saRNA comprises a sequence selected from the sequences of the sense strands in Table 3. In one embodiment, the single-stranded saRNA may have a 3’ tail (overhang). The sequence of a single-stranded saRNA with a 3’ tail (overhang) may have at least 60%, 70%, 80% or 90% identity with a sequence selected from the sequences of the sense strands in Table 4. In one embodiment, the single-stranded saRNA comprises a sequence selected from the sequences of the sense strands in Table 4.
[0058] The saRNAs may be double-stranded. The two strands form a duplex and each strand comprises 14-30 nucleotides. The first strand of a double-stranded saRNA may have at least 60%, 70%, 80% or 90% identity with a sequence selected from the sequences of the antisense strands in Table 3. In one embodiment, the first strand of the double-stranded saRNA comprises a sequence selected from the sequences of the antisense strands in Table 3. The second strand of a double-stranded saRNA may have at least 60%, 70%, 80% or 90% identity with a sequence selected from the sequences of the sense strands in Table 3. In one embodiment, the second strand of the double-stranded saRNA comprises a sequence selected from the sequences of the sense strands in Table 3. In one embodiment, the double-stranded saRNA may have a 3 ’ overhang on each strand. The first strand of a double-stranded saRNA may have at least 60%, 70%, 80% or 90% identity with a sequence selected from the sequences of the antisense strands in Table 4. In one embodiment, the first strand of the double-stranded saRNA comprises a sequence selected from the sequences of the antisense strands in Table 4. The second strand of a double-stranded saRNA may have at least 60%, 70%, 80% or 90% identity with a sequence selected from the sequences of the sense strands in Table 4. In one embodiment, the second strand of the double-stranded saRNA comprises a sequence selected from the sequences of the sense strands in Table 4.
[0059] The saRNAs may be modified or unmodified.
Table 3 Sequences of the saRNAs (with no chemical modification or overhangs)
Figure imgf000018_0001
Figure imgf000019_0001
Figure imgf000020_0001
Figure imgf000021_0001
Figure imgf000022_0001
Figure imgf000023_0001
Figure imgf000024_0001
Table 4 Sequences of saRNAs (with chemical modifications and/or overhangs)
Figure imgf000024_0002
Figure imgf000025_0001
Figure imgf000026_0001
Figure imgf000027_0001
Figure imgf000028_0001
Figure imgf000029_0001
Figure imgf000030_0001
- u means 2’0-methyl-uracil (2’-0Me). The 3’ overhang, uu, in the sequences may be replaced with any other 3’ overhang, such as UU (unmodified uracils) or UUU. 5 ’ overhangs such as dT, ddT, or invAb can also be added to the 5 ’ position. - mN (N=A, C, G or U) means 2’-0Me modified N.
[0060] The method disclosed in US 2013/0164846 filed June 23, 2011 (saRNA algorithm), the contents of which are incorporated herein by reference in their entirety, may also be used to design saRNA. The design of saRNA is also disclosed in US Pat. No. 8,324,181 and US Pat. No. 7,709,566 to Corey et al., US Pat. Pub. No. 2010/0210707 to Li et al., and Voutila et al., Mol Then Nucleic Acids, vol. 1, e35 (2012), the contents of each of which are incorporated herein by reference in their entirety.
[0061] The saRNA of the present disclosure may be produced by any suitable method, for example synthetically or by expression in cells using standard molecular biology techniques which are well-known to a person of ordinary skill in the art. For example, the saRNA of the present disclosure may be chemically synthesized or recombinantly produced using methods known in the art.
Chemical Modifications of saRNA
[0062] Herein, in saRNA, the terms “modification” or, as appropriate, “modified” refer to structural and/or chemical modifications with respect to A, G, U or C ribonucleotides.
Nucleotides in the saRNAs of the present disclosure may comprise non-standard nucleotides, such as non-naturally occurring nucleotides or chemically synthesized nucleotides or deoxynucleotides. The saRNA of the present disclosure may include any useful modification, such as to the sugar, the nucleobase, or the internucleoside linkage (e.g. to a linking phosphate / to a phosphodiester linkage / to the phosphodiester backbone). One or more atoms of a pyrimidine nucleobase may be replaced or substituted with optionally substituted amino, optionally substituted thiol, optionally substituted alkyl (e.g., methyl or ethyl), or halo (e.g., chloro or fluoro). In certain embodiments, modifications (e.g., one or more modifications) are present in each of the sugar and the internucleoside linkage. Modifications according to the present disclosure may be modifications of ribonucleic acids (RNAs) to deoxyribonucleic acids (DNAs), threose nucleic acids (TNAs), glycol nucleic acids (GNAs), peptide nucleic acids (PNAs), locked nucleic acids (LNAs) or hybrids thereof. In a nonlimiting example, the 2 ’-OH of U is substituted with 2’-OMe.
[0063] In one embodiment, the saRNAs of the present disclosure may comprise at least one modification described herein.
[0064] In another embodiment, the saRNA is an saRNA duplex and the sense strand and antisense sequence may independently comprise at least one modification. As a non-limiting example, the sense sequence may comprise a modification and the antisense strand may be unmodified. As another non-limiting example, the antisense sequence may comprise a modification and the sense strand may be unmodified. As yet another non-limiting example, the sense sequence may comprise more than one modification and the antisense strand may comprise one modification. As a non-limiting example, the antisense sequence may comprise more than one modification and the sense strand may comprise one modification. [0065] The saRNA of the present disclosure can include a combination of modifications to the sugar, the nucleobase, and/or the internucleoside linkage. These combinations can include any one or more modifications described herein or in International Application Publication WO201 3/052523 filed October 3, 2012, in particular Formulas (Ia)-(Ia-5), (Ib)-(If), (Ila)- (IIp), (IIb-1), (IIb-2), (IIc-l)-(IIc-2), (IIn-1), (IIn-2), (IVa)-(IVl), and (IXa)-(IXr)), the contents of which are incorporated herein by reference in their entirety.
[0066] The saRNA of the present disclosure may or may not be uniformly modified along the entire length of the molecule. For example, one or more or all types of nucleotide (e.g., purine or pyrimidine, or any one or more or all of A, G, U, C) may or may not be uniformly modified in the saRNA of the disclosure. In some embodiments, all nucleotides X in an saRNA of the disclosure are modified, wherein X may be any one of nucleotides A, G, U, C, or any one of the combinations A+G, A+U, A+C, G+U, G+C, U+C, A+G+U, A+G+C, G+U+C or A+G+C.
[0067] Different sugar modifications, nucleotide modifications, and/or internucleoside linkages (e.g., backbone structures) may exist at various positions in an saRNA. One of ordinary skill in the art will appreciate that the nucleotide analogs or other modification(s) may be located at any position(s) of an saRNA such that the function of saRNA is not substantially decreased. The saRNA of the present disclosure may contain from about 1% to about 100% modified nucleotides (either in relation to overall nucleotide content, or in relation to one or more types of nucleotide, i.e. any one or more of A, G, U or C) or any intervening percentage (e.g., from 1% to 20%, from 1% to 25%, from 1% to 50%, from 1% to 60%, from 1% to 70%, from 1% to 80%, from 1% to 90%, from 1% to 95%, from 10% to 20%, from 10% to 25%, from 10% to 50%, from 10% to 60%, from 10% to 70%, from 10% to 80%, from 10% to 90%, from 10% to 95%, from 10% to 100%, from 20% to 25%, from 20% to 50%, from 20% to 60%, from 20% to 70%, from 20% to 80%, from 20% to 90%, from 20% to 95%, from 20% to 100%, from 50% to 60%, from 50% to 70%, from 50% to 80%, from 50% to 90%, from 50% to 95%, from 50% to 100%, from 70% to 80%, from 70% to 90%, from 70% to 95%, from 70% to 100%, from 80% to 90%, from 80% to 95%, from 80% to 100%, from 90% to 95%, from 90% to 100%, and from 95% to 100%).
[0068] In some embodiments, the saRNA of the present disclosure may be modified to be a circular nucleic acid. The terminals of the saRNA of the present disclosure may be linked by chemical reagents or enzymes, producing circular saRNA that has no free ends. Circular saRNA is expected to be more stable than its linear counterpart and to be resistant to digestion with RNase R exonuclease. Circular saRNA may further comprise other structural and/or chemical modifications with respect to A, G, U or C ribonucleotides.
[0069] The saRNA of the present disclosure may be modified with any modifications of an oligonucleotide or polynucleotide disclosed in pages 136 to 247 of PCT Publication WO2013/151666 published Oct. 10, 2013, the contents of which are incorporated herein by reference in their entirety.
[0070] The saRNA of the present disclosure may comprise a combination of modifications. The saRNA may comprise at least 2, 3, 4, 5, 6, 7, 8, 9, 10, 11, 12, 13, 14, 15, 16, 17, 18, 19, 20, 21, 22, 23, 24, 25, 26, 27, 28, 29 or 30 modifications for each strand.
[0071] In some embodiments, the saRNA is at least 50% modified, e.g., at least 50% of the nucleotides are modified. In some embodiments, the saRNA is at least 75% modified, e.g., at least 75% of the nucleotides are modified. In some embodiments, both strands of the saRNA may be modified across the whole length (100% modified). It is to be understood that since a nucleotide (sugar, base and phosphate moiety, e.g., linker) may each be modified, any modification to any portion of a nucleotide, or nucleoside, will constitute a modification.
[0072] In some embodiments, the saRNA is at least 10% modified in only one component of the nucleotide, with such component being selected from the nucleobase, sugar or linkage between nucleosides. For example, modifications of an saRNA may be made to at least 10%, 20%, 30%, 40%, 50%, 60%, 70%, 80%, 90% or 100% of the nucleobases, sugars or linkages of said saRNA.
[0073] In some embodiments, the saRNA comprises at least one sugar modification. Nonlimiting examples of the sugar modification may include the following:
Figure imgf000033_0001
Figure imgf000034_0001
[0074] In some embodiments, at least one of the 2' positions_of the sugar (OH in RNA or H in DNA) of a nucleotide of the saRNA is substituted with -OMe, referred to as 2’-OMe.
Figure imgf000035_0001
[0075] In some embodiments, at least one of the 2' positions_of the sugar (OH in RNA or H in DNA) of a nucleotide of the saRNA is substituted with -F, referred to as 2’-F.
Figure imgf000035_0002
[0076] In some embodiments, the saRNA comprises at least one phosphorothioate linkage or methylphosphonate linkage between nucleotides.
[0077] In some embodiments, the saRNA comprises 3’ and/or 5’ capping or overhang. In some embodiments, the saRNA of the present disclosure may comprise at least one inverted deoxyribonucleoside or dideoxyribonucleoside overhang (e.g., dT or ddT). The inverted overhang, e.g., dT, may be at the 5’ terminus or 3’ terminus of the passenger strand. In some embodiments, the saRNA of the present disclosure may comprise inverted abasic (invAb) modifications on the passenger strand. The at least one inverted abasic modification may be on 5’ end, or 3’ end, or both ends of the passenger strand. The inverted abasic modification may encourage preferential loading of the guide strand.
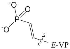
[0078] In some embodiments, the saRNA comprises at least one 5’-(A)-vinylphosphonatc (S’-Ti-VP) modification.
Figure imgf000035_0003
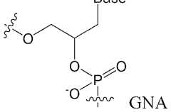
[0079] In some embodiments, the saRNA comprises at least one glycol nucleic acid (GNA), an acyclic nucleic acid analogue, as a modification. Base
Figure imgf000036_0001
saRNA Conjugates and Combinations
[0080] Conjugation may result in increased stability and/or half-life and may be particularly useful in targeting the saRNA of the present disclosure to specific sites in the cell, tissue or organism. The saRNA of the present disclosure can be designed to be conjugated to other polynucleotides, dyes, intercalating agents (e.g. acridines), cross-linkers (e.g. psoralene, mitomycin C), porphyrins (TPPC4, texaphyrin, Sapphyrin), polycyclic aromatic hydrocarbons (e.g., phenazine, dihydrophenazine), artificial endonucleases (e.g. EDTA), alkylating agents, phosphate, amino, mercapto, PEG (e.g., PEG-40K), MPEG, [MPEG]2, polyamino, alkyl, substituted alkyl, radiolabeled markers, enzymes, haptens (e.g. biotin), transport/ absorption facilitators (e.g., aspirin, vitamin E, folic acid), synthetic ribonucleases, proteins, e.g., glycoproteins, or peptides, e.g., molecules having a specific affinity for a co-ligand, or antibodies e.g., an antibody, that binds to a specified cell type such as a cancer cell, endothelial cell, or bone cell, hormones and hormone receptors, non-peptidic species, such as lipids, lectins, carbohydrates, vitamins, cofactors, or a drug. Suitable conjugates for nucleic acid molecules are disclosed in International Publication WO 2013/090648 filed December 14, 2012, the contents of which are incorporated herein by reference in their entirety.
[0081] According to the present disclosure, saRNA of the present disclosure may be administered with, or further include one or more of RNAi agents, small interfering RNAs (siRNAs), small hairpin RNAs (shRNAs), long non-coding RNAs (IncRNAs), enhancer RNAs, enhancer-derived RNAs or enhancer-driven RNAs (eRNAs), microRNAs (miRNAs), miRNA binding sites, antisense RNAs, ribozymes, catalytic DNA, tRNA, RNAs that induce triple helix formation, aptamers or vectors, and the like to achieve different functions. The one or more RNAi agents, small interfering RNAs (siRNAs), small hairpin RNAs (shRNAs), long non-coding RNAs (IncRNA), microRNAs (miRNAs), miRNA binding sites, antisense RNAs, ribozymes, catalytic DNA, tRNA, RNAs that induce triple helix formation, aptamers or vectors may comprise at least one modification or substitution.
[0082] In some embodiments, the modification is selected from a chemical substitution of the nucleic acid at a sugar position, a chemical substitution at a phosphate position and a chemical substitution at a base position. In other embodiments, the chemical modification is selected from incorporation of a modified nucleotide; 3' capping; conjugation to a high molecular weight, non-immunogenic compound; conjugation to a lipophilic compound; and incorporation of phosphorothioate into the phosphate backbone. In one embodiment, the high molecular weight, non-immunogenic compound is polyalkylene glycol, or polyethylene glycol (PEG).
[0083] In one embodiment, saRNA of the present disclosure may be attached to a transgene so it can be co-expressed from an RNA polymerase II promoter. In a non-limiting example, saRNA of the present disclosure is attached to green fluorescent protein gene (GFP).
[0084] In one embodiment, saRNA of the present disclosure may be attached to a DNA or RNA aptamer, thereby producing saRNA-aptamer conjugate. Aptamers are oligonucleotides or peptides with high selectivity, affinity and stability. They assume specific and stable three- dimensional shapes, thereby providing highly specific, tight binding to target molecules. An aptamer may be a nucleic acid species that has been engineered through repeated rounds of in vitro selection or equivalently, SELEX (systematic evolution of ligands by exponential enrichment) to bind to various molecular targets such as small molecules, proteins, nucleic acids, and even cells, tissues and organisms. Nucleic acid aptamers have specific binding affinity to molecules through interactions other than classic Watson-Crick base pairing. Nucleic acid aptamers, like peptides generated by phage display or monoclonal antibodies (mAbs), are capable of specifically binding to selected targets and, through binding, block their targets’ ability to function. In some cases, aptamers may also be peptide aptamers. For any specific molecular target, nucleic acid aptamers can be identified from combinatorial libraries of nucleic acids, e.g., by SELEX. Peptide aptamers may be identified using a yeast two hybrid system. A skilled person is therefore able to design suitable aptamers for delivering the saRNAs or cells of the present disclosure to target cells such as liver cells. DNA aptamers, RNA aptamers and peptide aptamers are contemplated. Administration of saRNA of the present disclosure to the liver using liver-specific aptamers is preferred.
[0085] As used herein, a typical nucleic acid aptamer is approximately 10-15 kDa in size (20-45 nucleotides), binds its target with at least nanomolar affinity, and discriminates against closely related targets. Nucleic acid aptamers may be ribonucleic acid, deoxyribonucleic acid, or mixed ribonucleic acid and deoxyribonucleic acid. Aptamers may be single-stranded ribonucleic acid, deoxyribonucleic acid or mixed ribonucleic acid and deoxyribonucleic acid. Aptamers may comprise at least one chemical modification. [0086] A suitable nucleotide length for an aptamer ranges from about 15 to about 100 nucleotides (nt), and in various other embodiments, 15-30 nt, 20-25 nt, 30-100 nt, 30-60 nt, 25-70 nt, 25-60 nt, 40-60 nt, 25-40 nt, 30-40 nt, any of 22, 23, 24, 25, 26, 27, 28, 29, 30, 31, 32, 33, 34, 35, 36, 37, 38, 39 or 40 nt or 40-70 nt in length. However, the sequence can be designed with sufficient flexibility such that it can accommodate interactions of aptamers with two targets at the distances described herein. Aptamers may be further modified to provide protection from nuclease and other enzymatic activities. The aptamer sequence can be modified by any suitable methods known in the art.
[0087] The saRNA-aptamer conjugate may be formed using any known method for linking two moieties, such as direct chemical bond formation, linkage via a linker such as streptavidin and so on.
[0088] In one embodiment, saRNA of the present disclosure may be attached to an antibody. Methods of generating antibodies against a target cell surface receptor are well known. The saRNAs of the disclosure may be attached to such antibodies with known methods, for example using RNA carrier proteins. The resulting complex may then be administered to a subject and taken up by the target cells via receptor-mediated endocytosis. [0089] In one embodiment, saRNA of the present disclosure may be conjugated with lipid moieties such as a cholesterol moiety (Letsinger et al., Proc. Natl. Acid. Sci. USA, 1989, 86: 6553-6556), cholic acid (Manoharan et al., Biorg. Med. Chem. Let., 1994, 4:1053-1060), a thioether, e.g., beryl-5-tritylthiol (Manoharan et al., Ann. N.Y. Acad. Sci., 1992, 660:306- 309; Manoharan et al., Biorg. Med. Chem. Let., 1993, 3:2765-2770), a thiocholesterol (Oberhauser et al., Nucl. Acids Res., 1992, 20:533-538), an aliphatic chain, e.g., dodecandiol or undecyl residues (Saison-Behmoaras et al., EMBO J, 1991, 10:1111-1118; Kabanov et al., FEBS Lett., 1990, 259:327-330; Svinarchuk et al., Biochimie, 1993, 75:49-54), a phospholipid, e.g., di-hexadecyl-rac-glycerol or triethyl-ammonium 1 ,2-di-O-hexadecyl-rac- glycero-3-Hphosphonate (Manoharan et al., Tetrahedron Lett., 1995, 36:3651-3654; Shea et al., Nucl. Acids Res., 1990, 18:3777-3783), a polyamine or a polyethylene glycol chain (Manoharan et al., Nucleosides & Nucleotides, 1995, 14:969-973), or adamantane acetic acid (Manoharan et al., Tetrahedron Lett., 1995, 36:3651-3654), a palmityl moiety (Mishra et al., Biochim. Biophys. Acta, 1995, 1264:229-237), or an octadecylamine or hexylaminocarbonyloxycholesterol moiety (Crooke et al., J. Pharmacol. Exp. Ther., 1996, 277:923-937), the content of each of which is herein incorporated by reference in its entirety.
[0090] In one embodiment, the saRNA of the present disclosure is conjugated with a ligand. In one non-limiting example, the ligand may be any ligand disclosed in US 20130184328 to Manoharan et al., the contents of which are incorporated herein by reference in their entirety. The conjugate has a formula of Ligand-[linker]optionai-[tether]optionai- oligonucleotide agent. The oligonucleotide agent may comprise a subunit having formulae (I) disclosed by US 20130184328 to Manoharan et al., the contents of which are incorporated herein by reference in their entirety. In another non-limiting example, the ligand may be any ligand disclosed in US 20130317081 to Akinc et al., the contents of which are incorporated herein by reference in their entirety, such as a lipid, a protein, a hormone, or a carbohydrate ligand of Formula II-XXVI. The ligand may be coupled with the saRNA with a bivalent or trivalent branched linker in Formula XXXI-XXXV disclosed in Akinc.
[0091 ] Representative U.S. patents that teach the preparation of such nucleic acid/lipid conjugates include, but are not limited to, U.S. Pat. Nos. 4,828,979; 4,948,882; 5,218,105; 5,525,465; 5,541,313; 5,545,730; 5,552,538; 5,578,717, 5,580,731; 5,591,584; 5,109,124; 5,118,802; 5,138,045; 5,414,077; 5,486,603; 5,512,439; 5,578,718; 5,608,046; 4,587,044; 4,605,735; 4,667,025; 4,762,779; 4,789,737; 4,824,941; 4,835,263; 4,876,335; 4,904,582; 4,958,013; 5,082,830; 5,112,963; 5,214,136; 5,082,830; 5,112,963; 5,214,136; 5,245,022; 5,254,469; 5,258,506; 5,262,536; 5,272,250; 5,292,873; 5,317,098; 5,371,241, 5,391,723; 5,416,203, 5,451,463; 5,510,475; 5,512,667; 5,514,785; 5,565,552; 5,567,810; 5,574,142;
5,585,481 ; 5,587,371 ; 5,595,726; 5,597,696; 5,599,923; 5,599,928 and 5,688,941, the content of each of which is herein incorporated by reference in its entirety.
[0092] The saRNA of the present disclosure may be provided in combination with other active ingredients known to have an effect in the particular method being considered. The other active ingredients may be administered simultaneously, separately, or sequentially with the saRNA of the present disclosure. In one embodiment, saRNA of the present disclosure is administered with saRNA modulating a different target gene.
[0093] In one embodiment, the saRNA is conjugated with a carbohydrate ligand, such as any carbohydrate ligand disclosed in US Pat No. 8106022 and 8828956 to Manoharan et al. (Alnylam Pharmaceuticals), the contents of which are incorporated herein by reference in their entirety. For example, the carbohydrate ligand may be monosaccharide, disaccharide, trisaccharide, tetrasaccharide, oligosaccharide, or polysaccharide. These carbohydrate- conjugated RNA agents may target the parenchymal cells of the liver. In one embodiment, the saRNA is conjugated with more than one carbohydrate ligand, preferably two or three. In one embodiment, the saRNA is conjugated with one or more galactose moiety. In another embodiment, the saRNA is conjugated at least one (e.g., two or three or more) lactose molecules (lactose is a glucose coupled to a galactose). In another embodiment, the saRNA is conjugated with at least one (e.g., two or three or more) N-Acetyl-Galactosamine (GalNAc), N-Ac-Glucosamine (GluNAc), or mannose (e.g., mannose-6-phosphate). In one embodiment, the saRNA is conjugated with at least one mannose ligand, and the conjugated saRNA targets macrophages.
[0094] In one embodiment, saRNA of the present disclosure is administered with a small interfering RNA or siRNA that inhibits the expression of a gene.
[0095] In one embodiment, saRNA of the present disclosure is administered with one or more drugs for therapeutic purposes.
IL Composition of the disclosure
[0096] One aspect of the present disclosure provides pharmaceutical compositions comprising a small activating RNA (saRNA) that upregulates a target gene, and at least one pharmaceutically acceptable carrier.
Formulation, Delivery, Administration, and Dosing
[0097] Pharmaceutical formulations may additionally comprise a pharmaceutically acceptable excipient, which, as used herein, includes, but is not limited to, any and all solvents, dispersion media, diluents, or other liquid vehicles, dispersion or suspension aids, surface active agents, isotonic agents, thickening or emulsifying agents, preservatives, and the like, as suited to the particular dosage form desired. Various excipients for formulating pharmaceutical compositions and techniques for preparing the composition are known in the art (see Remington: The Science and Practice of Pharmacy, 21sl Edition, A. R. Gennaro, Lippincott, Williams & Wilkins, Baltimore, MD, 2006; incorporated herein by reference in its entirety). The use of a conventional excipient medium may be contemplated within the scope of the present disclosure, except insofar as any conventional excipient medium may be incompatible with a substance or its derivatives, such as by producing any undesirable biological effect or otherwise interacting in a deleterious manner with any other component(s) of the pharmaceutical composition.
[0098] In some embodiments, compositions are administered to humans, human patients or subjects. For the purposes of the present disclosure, the phrase “active ingredient” generally refers to saRNA to be delivered as described herein.
[0099] Although the descriptions of pharmaceutical compositions provided herein are principally directed to pharmaceutical compositions which are suitable for administration to humans, it will be understood by the skilled artisan that such compositions are generally suitable for administration to any other animal, e.g., to non-human animals, e.g. non-human mammals. Modification of pharmaceutical compositions suitable for administration to humans in order to render the compositions suitable for administration to various animals is well understood, and the ordinarily skilled veterinary pharmacologist can design and/or perform such modification with merely ordinary, if any, experimentation. Subjects to which administration of the pharmaceutical compositions is contemplated include, but are not limited to, humans and/or other primates; mammals, including commercially relevant mammals such as cattle, pigs, horses, sheep, cats, dogs, mice, and/or rats; and/or birds, including commercially relevant birds such as poultry, chickens, ducks, geese, and/or turkeys. [0100] Formulations of the pharmaceutical compositions described herein may be prepared by any method known or hereafter developed in the art of pharmacology. In general, such preparatory methods include the step of bringing the active ingredient into association with an excipient and/or one or more other accessory ingredients, and then, if necessary and/or desirable, dividing, shaping and/or packaging the product into a desired single- or multi-dose unit.
[0101] A pharmaceutical composition in accordance with the disclosure may be prepared, packaged, and/or sold in bulk, as a single unit dose, and/or as a plurality of single unit doses. As used herein, a “unit dose” is discrete amount of the pharmaceutical composition comprising a predetermined amount of the active ingredient. The amount of the active ingredient is generally equal to the dosage of the active ingredient which would be administered to a subject and/or a convenient fraction of such a dosage such as, for example, one-half or one-third of such a dosage.
[0102] Relative amounts of the active ingredient, the pharmaceutically acceptable excipient, and/or any additional ingredients in a pharmaceutical composition in accordance with the disclosure will vary, depending upon the identity, size, and/or condition of the subject treated and further depending upon the route by which the composition is to be administered. By way of example, the composition may comprise between 0.1% and 100%, e.g., between .5 and 50%, between 1-30%, between 5-80%, at least 80% (w/w) active ingredient.
[0103] In some embodiments, the formulations described herein may contain at least one saRNA. As a non-limiting example, the formulations may contain 1, 2, 3, 4 or 5 saRNAs with different sequences. In one embodiment, the formulation contains at least three saRNAs with different sequences. In one embodiment, the formulation contains at least five saRNAs with different sequences.
[0104] The saRNA of the present disclosure can be formulated using one or more excipients to: (1) increase stability; (2) increase cell transfection; (3) permit the sustained or delayed release (e.g., from a depot formulation of the saRNA); (4) alter the biodistribution (e.g., target the saRNA to specific tissues or cell types); (5) increase the translation of encoded protein in vivo; and/or (6) alter the release profile of encoded protein in vivo.
[0105] In addition to traditional excipients such as any and all solvents, dispersion media, diluents, or other liquid vehicles, dispersion or suspension aids, surface active agents, isotonic agents, thickening or emulsifying agents, preservatives, excipients of the present disclosure can include, without limitation, lipidoids, liposomes, lipid nanoparticles, polymers, lipoplexes, core-shell nanoparticles, peptides, proteins, cells transfected with saRNA (e.g., for transplantation into a subject), hyaluronidase, nanoparticle mimics and combinations thereof. Accordingly, the formulations of the disclosure can include one or more excipients, each in an amount that together increases the stability of the saRNA and/or increases cell transfection by the saRNA. Further, the saRNA of the present disclosure may be formulated using selfassembled nucleic acid nanoparticles. Pharmaceutically acceptable carriers, excipients, and delivery agents for nucleic acids that may be used in the formulation with the saRNA of the present disclosure are disclosed in International Publication WO 2013/090648 fded December 14, 2012, the contents of which are incorporated herein by reference in their entirety.
[0106] In one embodiment, the saRNA of the present disclosure comprises two single RNA strands that are 21 nucleotides in length each that are annealed to form a doublestranded saRNA as the active ingredient. The composition further comprises a salt buffer composed of 50mM Tris-HCl, pH 8.0, lOOmM NaCl and 5mM EDTA.
[0107] In another embodiment, the saRNA of the present disclosure may be delivered with dendrimers. Dendrimers are highly branched macromolecules. In one embodiment, the saRNA of the present disclosure is complexed with structurally flexible poly(amidoamine) (PAMAM) dendrimers for targeted in vivo delivery. The complex is called saRNA- dendrimers. Dendrimers have a high degree of molecular uniformity, narrow molecular weight distribution, specific size and shape characteristics, and a highly- functionalized terminal surface. The manufacturing process is a series of repetitive steps starting with a central initiator core. Each subsequent growth step represents a new generation of polymers with a larger molecular diameter and molecular weight, and more reactive surface sites than the preceding generation.
[0108] PAMAM dendrimers are efficient nucleotide delivery systems that bear primary amine groups on their surface and also a tertiary amine group inside of the structure. The primary amine group participates in nucleotide binding and promotes their cellular uptake, while the buried tertiary amino groups act as a proton sponge in endosomes and enhance the release of nucleic acid into the cytoplasm. These dendrimers protect the saRNA carried by them from ribonuclease degradation and achieves substantial release of saRNA over an extended period of time via endocytosis for efficient gene targeting. The in vivo efficacy of these nanoparticles have previously been evaluated where biodistribution studies show that the dendrimers preferentially accumulate in peripheral blood mononuclear cells and live with no discernible toxicity (see Zhou et al., Molecular Ther. 2011 Vol. 19, 2228-2238, the contents of which are incorporated herein by reference in their entirety). PAMAM dendrimers may comprise a triethanolamine (TEA) core, a diaminobutane (DAB) core, a cystamine core, a diaminohexane (HEX) core, a diamonododecane (DODE) core, or an ethylenediamine (EDA) core. In one embodiment, PAMAM dendrimers comprise a TEA core or a DAB core.
Lipidoids
[0109] The synthesis of lipidoids has been extensively described and formulations containing these compounds are particularly suited for delivery of oligonucleotides or nucleic acids (see Mahon et al., Bioconjug Chem. 2010 21 : 1448-1454; Schroeder et al., J Intern Med. 2010 267:9-21; Akinc et al., Nat Biotechnol. 2008 26:561-569; Love et al., Proc Natl Acad Sci U S A. 2010 107:1864-1869; Siegwart et al., Proc Natl Acad Sci U S A. 2011 108:12996- 3001 ; all of which are incorporated herein in their entireties).
[0110] While these lipidoids have been used to effectively deliver double-stranded small interfering RNA molecules in rodents and non-human primates (see Akinc et al., Nat Biotechnol. 2008 26:561-569; Frank-Kamenetsky et al., Proc Natl Acad Sci U S A. 2008 105:11915-11920; Akinc et al., Mol Ther. 2009 17:872-879; Love et al., Proc Natl Acad Sci U S A. 2010 107:1864-1869; Leuschner et al., Nat Biotechnol. 2011 29:1005-1010; all of which is incorporated herein in their entirety), the present disclosure contemplates their formulation and use in delivering saRNA. Complexes, micelles, liposomes or particles can be prepared containing these lipidoids and therefore, can result in an effective delivery of the saRNA following the injection of a lipidoid formulation via localized and/or systemic routes of administration. Lipidoid complexes of saRNA can be administered by various means including, but not limited to, intravenous, intramuscular, or subcutaneous routes.
[0111] In vivo delivery of nucleic acids may be affected by many parameters, including, but not limited to, the formulation composition, nature of particle PEGylation, degree of loading, oligonucleotide to lipid ratio, and biophysical parameters such as, but not limited to, particle size (Akinc et al., Mol Ther. 2009 17:872-879; the contents of which are herein incorporated by reference in its entirety). As an example, small changes in the anchor chain length of polyethylene glycol) (PEG) lipids may result in significant effects on in vivo efficacy. Formulations with the different lipidoids, including, but not limited to penta[3-(l- laurylaminopropionyl)]-triethylenetetramine hydrochloride (TETA-5LAP; aka 98N12-5, see Murugaiah et al., Analytical Biochemistry, 401 :61 (2010); the contents of which are herein incorporated by reference in its entirety), Cl 2-200 (including derivatives and variants), and MD 1 , can be tested for in vivo activity.
[0112] The lipidoid referred to herein as “98N12-5” is disclosed by Akinc et al., Mol Ther. 2009 17:872-879 and the contents of which is incorporated by reference in its entirety. [0113] The lipidoid referred to herein as “Cl 2-200” is disclosed by Love et al., Proc Natl Acad Sci U S A. 2010 107: 1864-1869 and Liu and Huang, Molecular Therapy. 2010 669- 670; the contents of both of which are herein incorporated by reference in their entirety. The lipidoid formulations can include particles comprising either 3 or 4 or more components in addition to the saRNA. As an example, formulations with certain lipidoids, include, but are not limited to, 98N12-5 and may contain 42% lipidoid, 48% cholesterol and 10% PEG (Cl 4 alkyl chain length). As another example, formulations with certain lipidoids, include, but are not limited to, Cl 2-200 and may contain 50% lipidoid, 10% disteroylphosphatidyl choline, 38.5% cholesterol, and 1.5% PEG-DMG.
[0114] In one embodiment, a saRNA formulated with a lipidoid for systemic intravenous administration can target the liver. For example, a final optimized intravenous formulation using saRNA and comprising a lipid molar composition of 42% 98N12-5, 48% cholesterol, and 10% PEG-lipid with a final weight ratio of about 7.5 to 1 total lipid to saRNA and a C14 alkyl chain length on the PEG lipid, with a mean particle size of roughly 50-60 nm, can result in the distribution of the formulation to be greater than 90% to the liver, (see, Akinc et al., Mol Ther. 2009 17:872-879; the contents of which are herein incorporated by reference in its entirety). In another example, an intravenous formulation using a Cl 2-200 (see published international application W02010129709, the contents of which is herein incorporated by reference in their entirety) lipidoid may have a molar ratio of 50/10/38.5/1.5 of C12- 200/disteroylphosphatidyl choline/cholesterol/PEG-DMG, with a weight ratio of 7 to 1 total lipid to nucleic acid and a mean particle size of 80 nm may be effective to deliver saRNA (see, Love et al., Proc Natl Acad Sci U S A. 2010 107:1864-1869, the contents of which are herein incorporated by reference in its entirety).
[0115] In another embodiment, an MD1 lipidoid-containing formulation may be used to effectively deliver saRNA to hepatocytes in vivo. The characteristics of optimized lipidoid formulations for intramuscular or subcutaneous routes may vary significantly depending on the target cell type and the ability of formulations to diffuse through the extracellular matrix into the blood stream. While a particle size of less than 150 nm may be desired for effective hepatocyte delivery due to the size of the endothelial fenestrae (see, Akinc et al., Mol Ther. 2009 17:872-879, the contents of which are herein incorporated by reference in its entirety), use of a lipidoid-formulated saRNA to deliver the formulation to other cells types including, but not limited to, endothelial cells, myeloid cells, and muscle cells may not be similarly sizelimited.
[0116] Use of lipidoid formulations to deliver siRNA in vivo to other non-hepatocyte cells such as myeloid cells and endothelium has been reported (see Akinc et al., Nat Biotechnol. 2008 26:561-569; Leuschner et al., Nat Biotechnol. 2011 29:1005-1010; Cho et al. Adv. Funct. Mater. 2009 19:3112-3118; 8th International Judah Folkman Conference, Cambridge, MA October 8-9, 2010; the contents of each of which is herein incorporated by reference in its entirety). Effective delivery to myeloid cells, such as monocytes, lipidoid formulations may have a similar component molar ratio. Different ratios of lipidoids and other components including, but not limited to, disteroylphosphatidyl choline, cholesterol and PEG-DMG, may be used to optimize the formulation of saRNA for delivery to different cell types including, but not limited to, hepatocytes, myeloid cells, muscle cells, etc. For example, the component molar ratio may include, but is not limited to, 50% Cl 2-200, 10% disteroylphosphatidyl choline, 38.5% cholesterol, and %1.5 PEG-DMG (see Leuschner et al., Nat Biotechnol 2011 29: 1005-1010; the contents of which are herein incorporated by reference in its entirety). The use of lipidoid formulations for the localized delivery of nucleic acids to cells (such as, but not limited to, adipose cells and muscle cells) via either subcutaneous or intramuscular delivery, may not require all of the formulation components desired for systemic delivery, and as such may comprise only the lipidoid and saRNA.
Liposomes, Lipoplexes, and Lipid Nanoparticles
[0117] The saRNA of the disclosure can be formulated using one or more liposomes, lipoplexes, or lipid nanoparticles. In one embodiment, pharmaceutical compositions of saRNA include liposomes. Liposomes are artificially-prepared vesicles which may primarily be composed of a lipid bilayer and may be used as a delivery vehicle for the administration of nutrients and pharmaceutical formulations. Liposomes can be of different sizes such as, but not limited to, a multilamellar vesicle (MLV) which may be hundreds of nanometers in diameter and may contain a series of concentric bilayers separated by narrow aqueous compartments, a small unicellular vesicle (SUV) which may be smaller than 50 nm in diameter, and a large unilamellar vesicle (LUV) which may be between 50 and 500 nm in diameter. Liposome design may include, but is not limited to, opsonins or ligands in order to improve the attachment of liposomes to unhealthy tissue or to activate events such as, but not limited to, endocytosis. Liposomes may contain a low or a high pH in order to improve the delivery of the pharmaceutical formulations.
[0118] The formation of liposomes may depend on the physicochemical characteristics such as, but not limited to, the pharmaceutical formulation entrapped and the liposomal ingredients, the nature of the medium in which the lipid vesicles are dispersed, the effective concentration of the entrapped substance and its potential toxicity, any additional processes involved during the application and/or delivery of the vesicles, the optimization size, polydispersity and the shelf-life of the vesicles for the intended application, and the batch-to- batch reproducibility and possibility of large-scale production of safe and efficient liposomal products.
[0H9] In one embodiment, pharmaceutical compositions described herein may include, without limitation, liposomes such as those formed from 1 ,2-dioleyloxy-/V, /V- dimethylaminopropane (DODMA) liposomes, DiLa2 liposomes from Marina Biotech (Bothell, WA), l,2-dilinoleyloxy-3 -dimethylaminopropane (DLin-DMA), 2,2-dilinoleyl-4-(2- dimethylaminoethyl)-[l,3]-dioxolane (DLin-KC2-DMA), and MC3 (US20100324120; the contents of which are herein incorporated by reference in its entirety) and liposomes which may deliver small molecule drugs such as, but not limited to, DOXIL® from Janssen Biotech, Inc. (Horsham, PA).
[0120] In one embodiment, pharmaceutical compositions described herein may include, without limitation, liposomes such as those formed from the synthesis of stabilized plasmid- lipid particles (SPLP) or stabilized nucleic acid lipid particle (SNALP) that have been previously described and shown to be suitable for oligonucleotide delivery in vitro and in vivo (see Wheeler et al. Gene Therapy. 1999 6:271-281 ; Zhang et al. Gene Therapy. 1999 6:1438-1447; Jeffs et al. Pharm Res. 2005 22:362-372; Morrissey et al., Nat Biotechnol. 2005 2:1002-1007; Zimmermann et al., Nature. 2006 441 :111-114; Heyes et al. J Contr Rel. 2005 107:276-287; Semple et al. Nature Biotech. 2010 28:172-176; Judge et al. J Clin Invest. 2009 119:661-673; deFougerolles Hum Gene Then. 2008 19: 125-132; the contents of each of which are incorporated herein in their entireties). The original manufacture method by Wheeler et al. was a detergent dialysis method, which was later improved by Jeffs et al. and is referred to as the spontaneous vesicle formation method. The liposome formulations may be composed of 3 to 4 lipid components in addition to the saRNA. As an example a liposome can contain, but is not limited to, 55% cholesterol, 20% disteroylphosphatidyl choline (DSPC), 10% PEG-S-DSG, and 15% 1 ,2-dioleyloxy-#, / -dimethylaminopropane (DODM A), as described by Jeffs et al. In another example, certain liposome formulations may contain, but are not limited to, 48% cholesterol, 20% DSPC, 2% PEG-c-DMA, and 30% cationic lipid, where the cationic lipid can be l,2-distearloxy-A,A-dimethylaminopropane (DSDMA), DODMA, DLin-DMA, or 1 ,2-dilinolenyloxy-3 -dimethylaminopropane (DLenDMA), as described by Heyes et al. In another example, the nucleic acid-lipid particle may comprise a cationic lipid comprising from about 50 mol % to about 85 mol % of the total lipid present in the particle; a non-cationic lipid comprising from about 13 mol % to about 49.5 mol % of the total lipid present in the particle; and a conjugated lipid that inhibits aggregation of particles comprising from about 0.5 mol % to about 2 mol % of the total lipid present in the particle as described in W02009127060 to Maclachlan et al, the contents of which are incorporated herein by reference in their entirety. In another example, the nucleic acid-lipid particle may be any nucleic acid-lipid particle disclosed in US2006008910 to Maclachlan et al., the contents of which are incorporated herein by reference in their entirety. As a non-limiting example, the nucleic acid-lipid particle may comprise a cationic lipid of Formula I, a noncationic lipid, and a conjugated lipid that inhibits aggregation of particles.
[0121] In one embodiment, the saRNA of the present disclosure may be formulated in a lipid vesicle which may have crosslinks between functionalized lipid bilayers.
[0122] In one embodiment, the liposome may contain a sugar-modified lipid disclosed in US5595756 to Bally et al., the contents of which are incorporated herein by reference in their entirety. The lipid may be a ganglioside and cerebroside in an amount of about 10 mol percent.
[0123] In one embodiment, the saRNA of the present disclosure may be formulated in a liposome comprising a cationic lipid. The liposome may have a molar ratio of nitrogen atoms in the cationic lipid to the phosphates in the saRNA (N:P ratio) of between 1 :1 and 20:1 as described in International Publication No. WO2013006825, the contents of which are herein incorporated by reference in its entirety. In another embodiment, the liposome may have a N :P ratio of greater than 20: 1 or less than 1 : 1.
[0124] In one embodiment, the saRNA of the present disclosure may be formulated in a lipid-polycation complex. The formation of the lipid-polycation complex may be accomplished by methods known in the art and/or as described in U.S. Pub. No.
20120178702, the contents of which are herein incorporated by reference in its entirety. As a non-limiting example, the polycation may include a cationic peptide or a polypeptide such as, but not limited to, polylysine, polyornithine and/or polyarginine and the cationic peptides described in International Pub. No. WO2012013326; herein incorporated by reference in its entirety. In another embodiment, the saRNA may be formulated in a lipid-polycation complex which may further include a neutral lipid such as, but not limited to, cholesterol or dioleoyl phosphatidylethanolamine (DOPE).
[0125] The liposome formulation may be influenced by, but not limited to, the selection of the cationic lipid component, the degree of cationic lipid saturation, the nature of the PEGylation, ratio of all components and biophysical parameters such as size. In one example by Semple et al. (Semple et al. Nature Biotech. 2010 28: 172-176; the contents of which are herein incorporated by reference in its entirety), the liposome formulation was composed of 57.1 % cationic lipid, 7.1% dipalmitoylphosphatidyl choline, 34.3 % cholesterol, and 1.4% PEG-c-DMA.
[0126] In some embodiments, the ratio of PEG in the lipid nanoparticle (LNP) formulations may be increased or decreased and/or the carbon chain length of the PEG lipid may be modified from C14 to Cl 8 to alter the pharmacokinetics and/or biodistribution of the LNP formulations. As a non-limiting example, LNP formulations may contain 1-5% of the lipid molar ratio of PEG-c-DOMG as compared to the cationic lipid, DSPC and cholesterol. In another embodiment the PEG-c-DOMG may be replaced with a PEG lipid such as, but not limited to, PEG-DSG (1,2-Distearoyl-sn-glycerol, methoxypolyethylene glycol) or PEG-DPG (1,2-Dipalmitoyl-sn-glycerol, methoxypolyethylene glycol). The cationic lipid may be selected from any lipid known in the art such as, but not limited to, DLin-MC3-DMA, DLin- DMA, Cl 2-200 and DLin-KC2-DMA.
[0127] In one embodiment, the saRNA of the present disclosure may be formulated in a lipid nanoparticle such as the lipid nanoparticles described in International Publication No. W02012170930, the contents of which are herein incorporated by reference in its entirety. [0128] In one embodiment, the cationic lipid which may be used in formulations of the present disclosure may be selected from, but not limited to, a cationic lipid described in International Publication Nos. W02012040184, WO2011153120, WO2011149733, WO201 1090965, WO2011043913, WO2011022460, WO2012061259, WO2012054365, WO2012044638, W02010080724, W0201021865 and W02008103276, US Patent Nos. 7,893,302, 7,404,969 and 8,283,333 and US Patent Publication No. US20100036115 and US20120202871 ; the contents of each of which is herein incorporated by reference in their entirety. In another embodiment, the cationic lipid may be selected from, but not limited to, formula A described in International Publication Nos. WO2012040184, WO2011153120, WO2011149733, WO2011090965, WO2011043913, WO2011022460, WO2012061259, WO2012054365 and WO2012044638; the contents of each of which is herein incorporated by reference in their entirety. In yet another embodiment, the cationic lipid may be selected from, but not limited to, formula CLI-CLXXIX of International Publication No.
W02008103276, formula CLI-CLXXIX of US Patent No. 7,893,302, formula CLI- CLXXXXII of US Patent No. 7,404,969 and formula I- VI of US Patent Publication No. US20100036115; the contents of each of which are herein incorporated by reference in their entirety. In yet another embodiment, the cationic lipid may be a multivalent cationic lipid such as the cationic lipid disclosed in US Patent No. 7223887 to Gaucheron et al., the contents of which are incorporated herein by reference in their entirety. The cationic lipid may have a positively-charged head group including two quaternary amine groups and a hydrophobic portion including four hydrocarbon chains as described in US Patent No. 7223887 to Gaucheron et al., the contents of which are incorporated herein by reference in their entirety. In yet another embodiment, the cationic lipid may be biodegradable as the biodegradable lipids disclosed in US20130195920 to Maier et al., the contents of which are incorporated herein by reference in their entirety. The cationic lipid may have one or more biodegradable groups located in a lipidic moiety of the cationic lipid as described in formula I-IV in US 20130195920 to Maier et ah, the contents of which are incorporated herein by reference in their entirety.
[0129] As a non-limiting example, the cationic lipid may be selected from (20Z,23Z)- N,N-dimethylnonacosa-20,23-dien-I0-amine, (17Z,20Z)-N,N-dimemylhexacosa-17,20-dien- 9-amine, (lZ,19Z)-N5N-dimethylpentacosa-l 6, 19-dien-8-amine, (13Z,16Z)-N,N- dimethyldocosa- 13,16-dien-5-amine, (12Z, 15Z)-N,N-dimethylhenicosa- 12, 15-dien-4-amine, (14Z,17Z)-N,N-dimethyltricosa-14,17-dien-6-amine, (15Z,18Z)-N,N-dimethyltetracosa- 15,18-dien-7-amine, ( 18Z,21 Z)-N,N-dimethylheptacosa- 18,21 -dien- 10-amine, ( 15Z, 18Z)- N,N-dimethyltetracosa-15,18-dien-5-amine, (14Z,17Z)-N,N-dimethyltricosa-14,17-dien-4- amine, (19Z,22Z)-N,N-dimeihyloctacosa-19,22-dien-9-amine, (18Z,21 Z)-N,N- dimethylheptacosa- 18 ,21 -dien-8 -amine, (17Z,20Z)-N,N-dimethylhexacosa- 17,20-dien-7- amine, ( 16Z, 19Z)-N,N-dimethylpentacosa- 16, 19-dien-6-amine, (22Z,25Z)-N,N- dimethylhentriaconta-22,25-dien- 10-amine, (21 Z ,24Z)-N,N-dimethyltriaconta-21 ,24-dien-9- amine, (18Z)-N,N-dimetylheptacos-l 8-en-l 0-amine, (17Z)-N,N-dimethylhexacos-17-en-9- amine, (19Z,22Z)-N,N-dimethyloctacosa-19,22-dien-7-amine, N,N-dimethylheptacosan-10- amine, (20Z,23Z)-N-ethyl-N-methylnonacosa-20,23-dien-10-amine, 1-[(1 1 Z, 14Z)-1- nonylicosa-11 , 14-dien-l-yl] pyrrolidine, (20Z)-N,N-dimethylheptacos-20-en-l 0-amine, ( 15Z)-N,N-dimethyl eptacos- 15-en-l 0-amine, ( 14Z)-N,N-dimethylnonacos- 14-en-10-amine, (17Z)-N,N-dimethylnonacos-17-en-10-amine, (24Z)-N,N-dimethyltritriacont-24-en-10-amine, (20Z)-N,N-dimethylnonacos-20-en-l 0-amine, (22Z)-N,N-dimethylhentriacont-22-en-10- amine, ( 16Z)-N,N-dimethylpentacos- 16-en-8-amine, ( 12Z, 15Z)-N,N-dimethyl-2- nonylhenicosa- 12,15-dien- 1-amine, ( 13Z, 16Z)-N,N-dimethyl-3-nonyldocosa-13, 16-dien-l— amine, N,N-dimethyl-l-[(lS,2R)-2-octylcyclopropyl] eptadecan-8-amine, l-[(lS,2R)-2- hexylcyclopropyl]-N,N-dimethylnonadecan-l 0-amine, N,N-dimethyl-l-[(l S ,2R)-2- octylcyclopropyl]nonadecan- 10-amine, N,N-dimethyl-2 l-[(lS,2R)-2- octylcyclopropyl]henicosan-10-amine,N,N-dimethyl-l-[(lS,2S)-2-{[(lR,2R)-2- pentylcyclopropyl]methyl} cyclopropyl] nonadecan- 10-amine, N,N-dimethyl- 1 -[( 1 S,2R)-2- octylcyclopropyl]hexadecan-8-amine, N,N-dimethyl-[(lR,2S)-2- undecyIcyclopropyl]tetradecan-5-amine, N,N-dimethyl-3-{7-[(lS,2R)-2- octylcyclopropyl]heptyl} dodecan- 1-amine, l-[(lR,2S)-2-hepty lcyclopropyl]-N,N- dimethyloctadecan-9-amine, 1 -[( 1 S,2R)-2-decylcyclopropyl]-N,N-dimethylpentadecan-6- amine, N,N-dimethyl-l-[(lS,2R)-2-octylcyclopropyl]pentadecan-8-amine, R-N,N-dimethyl-l- [(9Z,12Z)-octadeca-9,12-dien-l-yloxy]-3-(octyloxy)propan-2-amine, S-N,N-dimethyl-l- [(9Z, 12Z)-octadeca-9, 12-dien- 1 -yloxy]-3-(octyloxy)propan-2-amine, 1 - {2-[(9Z, 12Z)- octadeca-9,12-dien-l-yloxy]-l-[(octyloxy)methyl]ethyl}pyrrolidine, (2S)-N,N-dimethyl-l- [(9Z, 12Z)-octadeca-9, 12-dien- 1 -yloxy]-3-[(5Z)-oct-5-en- 1 -yloxy]propan-2-amine, 1 - {2- [(9Z, 12Z)-octadeca-9, 12-dien- 1 -yloxy]- 1 - [(octyloxy)methyl]ethyl } azetidine, (2S)- 1 - (hexyloxy)-N,N-dimethyl-3 -[(9Z, 12Z)-octadeca-9, 12-dien- 1 -yloxy]propan-2-amine, (2S)- 1 - (heptyloxy)-N,N-dimethyl-3-[(9Z, 12Z)-octadeca-9, 12-dien- 1 -yloxy]propan-2-amine, N,N- dimethyl- 1 -(nonyloxy)-3 -[(9Z, 12Z)-octadeca-9, 12-dien- 1 -yloxy]propan-2-amine, N,N- dimethyl-l-[(9Z)-octadec-9-en-l-yloxy]-3-(octyloxy)propan-2-amine; (2S)-N,N-dimethyl-l- [(6Z,9Z, 12Z)-octadeca-6,9, 12-trien- 1 -yloxy] -3 -(octyloxy)propan-2-amine, (2S)- 1 - [(1 lZ,14Z)-icosa-l l,14-dien-l-yloxy]-N,N-dimethyl-3-(pentyloxy)propan-2-amine, (2S)-1- (hexyloxy)-3-[(l lZ,14Z)-icosa-l l,14-dien-l-yloxy]-N,N-dimethylpropan-2-amine, 1- [(1 lZ,14Z)-icosa-l l,14-dien-l-yloxy]-N,N-dimethyl-3-(octyloxy)propan-2-amine, 1- [(13Z, 16Z)-docosa-13, 16-dien-l-yloxy]-N,N-dimethyl-3-(octyloxy)propan-2-amine, (2 S)- 1 - [( 13Z, 16Z)-docosa- 13,16-dien- 1 -yloxy]-3-(hexyloxy)-N,N-dimethylpropan-2-amine, (2S)- 1 - [( 13Z)-docos- 13-en- 1 -yloxy]-3-(hexyloxy)-N,N-dimethylpropan-2-amine, 1 -[( 13Z)-docos- 13-en-l-yloxy]-N,N-dimethyl-3-(octyloxy)propan-2-amine, l-[(9Z)-hexadec-9-en-l-yloxy]- N,N-dimethyl-3-(octyloxy)propan-2-amine, (2R)-N,N-dimethyl-H(l-metoylo ctyl)oxy]-3- [(9Z, 12Z)-octadeca-9, 12-dien- 1 -yloxy]propan-2-amine, (2R)- 1 - [(3 ,7-dimethyloctyl)oxy]- N,N-dimethyl-3-[(9Z,12Z)-octadeca-9,12-dien-l-yloxy]propan-2-amine, N,N-dimethyl- 1 - (octyloxy)-3-({8-[(lS,2S)-2-{[(lR,2R)-2- pentylcyclopropyl]methyl } cyclopropyl]octyl} oxy)propan-2-amine, N,N-dimethyl- 1 - { [ 8 -(2- oclylcyclopropyl)octyl]oxy}-3-(octyloxy)propan-2-amine and (11E,2OZ,23Z)-N,N- dimethylnonacosa-ll,20,2-trien-10-amine or a pharmaceutically acceptable salt or stereoisomer thereof.
[0130] In one embodiment, the lipid may be a cleavable lipid such as those described in International Publication No. WO2012170889, the contents of which are herein incorporated by reference in their entirety.
[0131] In one embodiment, the nanoparticles described herein may comprise at least one cationic polymer described herein and/or known in the art.
[0132] In one embodiment, the cationic lipid may be synthesized by methods known in the art and/or as described in International Publication Nos. W02012040184,
WO201 1153120, WO2011149733, WO2011090965, WO2011043913, WO2011022460, WO2012061259, WO2012054365, WO2012044638, W02010080724 and W0201021865; the contents of each of which is herein incorporated by reference in their entirety.
[0133] In one embodiment, the LNP formulations of the saRNA may contain PEG-c- DOMG at 3% lipid molar ratio. In another embodiment, the LNP formulations of the saRNA may contain PEG-c-DOMG at 1.5% lipid molar ratio.
[0134] In one embodiment, the pharmaceutical compositions of the saRNA may include at least one of the PEGylated lipids described in International Publication No. 2012099755, the contents of which is herein incorporated by reference in its entirety.
[0135] In one embodiment, the LNP formulation may contain PEG-DMG 2000 (1,2- dimyristoyl-sn-glycero-3-phophoethanolamine-N-[methoxy(polyethylene glycol)-2000). In one embodiment, the LNP formulation may contain PEG-DMG 2000, a cationic lipid known in the art and at least one other component. In another embodiment, the LNP formulation may contain PEG-DMG 2000, a cationic lipid known in the art, DSPC and cholesterol. As a non-limiting example, the LNP formulation may contain PEG-DMG 2000, DLin-DMA, DSPC and cholesterol. As another non-limiting example the LNP formulation may contain PEG-DMG 2000, DLin-DMA, DSPC and cholesterol in a molar ratio of 2:40: 10:48 (see e.g., Geall et al., Nonviral delivery of self-amplifying RNA vaccines, PNAS 2012; PMID: 22908294; herein incorporated by reference in its entirety). As another non-limiting example, the saRNA described herein may be formulated in a nanoparticle to be delivered by a parenteral route as described in U.S. Pub. No. 20120207845; the contents of which is herein incorporated by reference in its entirety. The cationic lipid may also be the cationic lipids disclosed in US20130156845 to Manoharan et al. and US 20130129785 to Manoharan et ah, WO 2012047656 to Wasan et ah, WO 2010144740 to Chen et ah, WO 2013086322 to Ansell et ah, or WO 2012016184 to Manoharan et ah, the contents of each of which are incorporated herein by reference in their entirety.
[0136] In one embodiment, the saRNA of the present disclosure may be formulated with a plurality of cationic lipids, such as a first and a second cationic lipid as described in US20130017223 to Hope et ah, the contents of which are incorporated herein by reference in their entirety. The first cationic lipid can be selected on the basis of a first property and the second cationic lipid can be selected on the basis of a second property, where the properties may be determined as outlined in US20130017223, the contents of which are herein incorporated by reference in its entirety. In one embodiment, the first and second properties are complementary.
[0137] In another embodiment, the saRNA may be formulated with a lipid particle comprising one or more cationic lipids and one or more second lipids, and one or more nucleic acids, wherein the lipid particle comprises a solid core, as described in US Patent Publication No. US20120276209 to Cullis et ah, the contents of which are incorporated herein by reference in their entirety.
[0138] In one embodiment, the saRNA of the present disclosure may be complexed with a cationic amphiphile in an oil-in-water (o/w) emulsion such as described in EP2298358 to Satishchandran et ah, the contents of which are incorporated herein by reference in their entirety. The cationic amphiphile may be a cationic lipid, modified or unmodified spermine, bupivacaine, or benzalkonium chloride and the oil may be a vegetable or an animal oil. As a non-limiting example, at least 10% of the nucleic acid-cationic amphiphile complex is in the oil phase of the oil-in-water emulsion (see e.g., the complex described in European Publication No. EP2298358 to Satishchandran et ah, the contents of which are herein incorporated by reference in its entirety).
[0139] In one embodiment, the saRNA of the present disclosure may be formulated with a composition comprising a mixture of cationic compounds and neutral lipids. As a nonlimiting example, the cationic compounds may be formula (I) disclosed in WO 1999010390 to Ansell et al., the contents of which are disclosed herein by reference in their entirety, and the neutral lipid may be selected from the group consisting of diacylphosphatidylcholine, diacylphosphatidylethanolamine, ceramide and sphingomyelin. In another non-limiting example, the lipid formulation may comprise a cationic lipid of formula A, a neutral lipid, a sterol and a PEG or PEG-modified lipid disclosed in US 20120101 148 to Akinc et al., the contents of which are incorporated herein by reference in their entirety.
[0140] In one embodiment, the LNP formulation may be formulated by the methods described in International Publication Nos. WO2011127255 or W02008103276, each of which are herein incorporated by reference in their entirety. As a non-limiting example, the saRNA of the present disclosure may be encapsulated in any of the lipid nanoparticle (LNP) formulations described in WO2011127255 and/or W02008103276; the contents of each of which are herein incorporated by reference in their entirety.
[0141] In one embodiment, the LNP formulations described herein may comprise a polycationic composition. As a non-limiting example, the polycationic composition may be selected from formula 1-60 of US Patent Publication No. US20050222064; the contents of which is herein incorporated by reference in its entirety. In another embodiment, the LNP formulations comprising a polycationic composition may be used for the delivery of the saRNA described herein in vivo and/or in vitro.
[0142] In one embodiment, the LNP formulations described herein may additionally comprise a permeability enhancer molecule. Non-limiting permeability enhancer molecules are described in US Patent Publication No. US20050222064; the contents of which is herein incorporated by reference in its entirety.
[0143] In one embodiment, the pharmaceutical compositions may be formulated in liposomes such as, but not limited to, DiLa2 liposomes (Marina Biotech, Bothell, WA), SMARTICLES®/NOV340 (Marina Biotech, Bothell, WA), neutral DOPC (1,2-dioleoyl-sn- glycero-3 -phosphocholine) based liposomes (e.g., siRNA delivery for ovarian cancer (Landen et al. Cancer Biology & Therapy 2006 5(12)1708-1713); the contents of which is herein incorporated by reference in its entirety) and hyaluronan-coated liposomes (Quiet Therapeutics, Israel).
[0144] In some embodiments, the pharmaceutical compositions may be formulated with any amphoteric liposome disclosed in WO 2008/043575 to Panzner and US 8580297 to Essler et al. (Marina Biotech), the contents of which are incorporated herein by reference in their entirety. The amphoteric liposome may comprise a mixture of lipids including a cationic amphiphile, an anionic amphiphile and optional one or more neutral amphiphiles. The amphoteric liposome may comprise amphoteric compounds based on amphiphilic molecules, the head groups of which being substituted with one or more amphoteric groups. In some embodiments, the pharmaceutical compositions may be formulated with an amphoteric lipid comprising one or more amphoteric groups having an isoelectric point between 4 and 9, as disclosed in US 20140227345 to Essler et al. (Marina Biotech), the contents of which are incorporated herein by reference in their entirety.
[0145] In some embodiments, the pharmaceutical composition may be formulated with liposomes comprising a sterol derivative as disclosed in US 7312206 to Panzner et al.
(Novosom), the contents of which are incorporated herein by reference in their entirety. In some embodiments, the pharmaceutical composition may be formulated with amphoteric liposomes comprising at least one amphipathic cationic lipid, at least one amphipathic anionic lipid, and at least one neutral lipid, or liposomes comprise at least one amphipathic lipid with both a positive and a negative charge, and at least one neutral lipid, wherein the liposomes are stable at pH 4.2 and pH 7.5, as disclosed in US Pat. No. 7780983 to Panzner et al. (Novosom), the contents of which are incorporated herein by reference in their entirety. In some embodiments, the pharmaceutical composition may be formulated with liposomes comprising a serum-stable mixture of lipids taught in US 20110076322 to Panzner et al, the contents of which are incorporated herein by reference in their entirety, capable of encapsulating the saRNA of the present disclosure. The lipid mixture comprises phosphatidylcholine and phosphatidyl ethanolamine in a ratio in the range of about 0.5 to about 8. The lipid mixture may also include pH sensitive anionic and cationic amphiphiles, such that the mixture is amphoteric, being negatively charged or neutral at pH 7.4 and positively charged at pH 4. The drug/lipid ratio may be adjusted to target the liposomes to particular organs or other sites in the body. In some embodiments, liposomes loaded with the saRNA of the present disclosure as cargo, are prepared by the method disclosed in US 20120021042 to Panzner et al., the contents of which are incorporated herein by reference in their entirety. The method comprises steps of admixing an aqueous solution of a polyanionic active agent and an alcoholic solution of one or more amphiphiles and buffering said admixture to an acidic pH, wherein the one or more amphiphiles are susceptible of forming amphoteric liposomes at the acidic pH, thereby to form amphoteric liposomes in suspension encapsulating the active agent.
[0146] The nanoparticle formulations may be a carbohydrate nanoparticle comprising a carbohydrate earner and a nucleic acid molecule (e.g., saRNA). As a non-limiting example, the carbohydrate carrier may include, but is not limited to, an anhydride-modified phytoglycogen or glycogen-type material, phtoglycogen octenyl succinate, phytoglycogen beta-dextrin, anhydride-modified phytoglycogen beta-dextrin. (See e.g., International Publication No. W02012109121 ; the contents of which is herein incorporated by reference in its entirety). [0147] Lipid nanoparticle formulations may be improved by replacing the cationic lipid with a biodegradable cationic lipid which is known as a rapidly eliminated lipid nanoparticle (reLNP). Ionizable cationic lipids, such as, but not limited to, DLinDMA, DLin-KC2-DMA, and DLin-MC3-DMA, have been shown to accumulate in plasma and tissues over time and may be a potential source of toxicity. The rapid metabolism of the rapidly eliminated lipids can improve the tolerability and therapeutic index of the lipid nanoparticles by an order of magnitude from a 1 mg/kg dose to a 10 mg/kg dose in rat. Inclusion of an enzymatically degraded ester linkage can improve the degradation and metabolism profile of the cationic component, while still maintaining the activity of the reLNP formulation. The ester linkage can be internally located within the lipid chain or it may be terminally located at the terminal end of the lipid chain. The internal ester linkage may replace any carbon in the lipid chain. [0148] In one embodiment, the saRNA may be formulated as a lipoplex, such as, without limitation, the ATUPLEX™ system, the DACC system, the DBTC system and other siRNA- lipoplex technology from Silence Therapeutics (London, United Kingdom), STEMFECT™ from STEMGENT® (Cambridge, MA), and polyethylenimine (PEI) or protamine-based targeted and non-targeted delivery of nucleic acids (Aleku et al. Cancer Res. 2008 68:9788- 9798; Strumberg et al. hit J Clin Pharmacol Ther 2012 50:76-78; Santel et al., Gene Ther
2006 13: 1222-1234; Santel et al., Gene Ther 2006 13: 1360-1370; Gutbier et al., Pulm Pharmacol. Ther. 2010 23:334-344; Kaufmann et al. Microvasc Res 2010 80:286-293Weide et al. J Immunother. 2009 32:498-507; Weide et al. J Immunother. 2008 31 :180-188; Pascolo Expert Opin. Biol. Ther. 4: 1285-1294; Fotin-Mleczek et al., 2011 J. Immunother. 34: 1-15; Song et al., Nature Biotechnol. 2005, 23:709-717; Peer et al., Proc Natl Acad Sci U S A.
2007 6; 104:4095-4100; deFougerolles Hum Gene Ther. 2008 19:125-132; the contents of each of which are incorporated herein by reference in its entirety).
[0149] In one embodiment such formulations may also be constructed or compositions altered such that they passively or actively are directed to different cell types in vivo, including but not limited to hepatocytes, immune cells, tumor cells, endothelial cells, antigen presenting cells, and leukocytes (Akinc et al. Mol Ther. 2010 18:1357-1364; Song et al., Nat Biotechnol. 2005 23:709-717; Judge et al., J Clin Invest. 2009 119:661-673; Kaufmann et al., Microvasc Res 2010 80:286-293; Santel et al., Gene Ther 2006 13:1222-1234; Santel et al., Gene Ther 2006 13:1360-1370; Gutbier et al., Pulm Pharmacol. Ther. 2010 23:334-344; Basha et al., Mol. Ther. 2011 19:2186-2200; Fenske and Cullis, Expert Opin Drug Deliv.
2008 5:25-44; Peer et al., Science. 2008 319:627-630; Peer and Lieberman, Gene Ther. 2011 18 : 1127- 1133 ; the contents of each of which are incorporated herein by reference in its entirety). One example of passive targeting of formulations to liver cells includes the DLin- DMA, DLin-KC2-DMA and DLin-MC3 -DMA-based lipid nanoparticle formulations which have been shown to bind to apolipoprotein E and promote binding and uptake of these formulations into hepatocytes in vivo (Akinc et al. Mol Ther. 2010 18: 1357-1364; the contents of which is herein incorporated by reference in its entirety). Formulations can also be selectively targeted through expression of different ligands on their surface as exemplified by, but not limited by, folate, transferrin, N-acetylgalactosamine (GalNAc), and antibody targeted approaches (Kolhatkar et al., Curr Drug Discov Technol. 2011 8: 197-206;
Musacchio and Torchilin, Front Biosci. 2011 16: 1388-1412; Yu et al., Mol Membr Biol. 2010 27:286-298; Patil et al., Crit Rev Ther Drug Carrier Syst. 2008 25:1-61 ; Benoit et al., Biomacromolecules. 2011 12:2708-2714; Zhao et al., Expert Opin Drug Deliv. 2008 5:309- 319; Akinc et al., Mol Ther. 2010 18:1357-1364; Srinivasan et al., Methods Mol Biol. 2012 820:105-116; Ben-Arie et al., Methods Mol Biol. 2012 757:497-507; Peer 2010 J Control Release. 20:63-68; Peer et al., Proc Natl Acad Sci U S A. 2007 104:4095-4100; Kim et al., Methods Mol Biol. 2011 721 :339-353; Subramanya et al., Mol Ther. 2010 18:2028-2037; Song et al., Nat BiotechnoL 2005 23:709-717; Peer et al., Science. 2008 319:627-630; Peer and Lieberman, Gene Ther. 2011 18:1127-1133; the contents of each of which are incorporated herein by reference in its entirety).
[0150] In one embodiment, the saRNA is formulated as a solid lipid nanoparticle. A solid lipid nanoparticle (SLN) may be spherical with an average diameter between 10 to 1000 nm. SLN possess a solid lipid core matrix that can solubilize lipophilic molecules and may be stabilized with surfactants and/or emulsifiers. In a further embodiment, the lipid nanoparticle may be a self-assembly lipid-polymer nanoparticle (see Zhang et al., ACS Nano, 2008, 2 (8), pp 1696-1702; the contents of which are herein incorporated by reference in its entirety).
[0151] In one embodiment, the saRNA of the present disclosure can be formulated for controlled release and/or targeted delivery. As used herein, “controlled release” refers to a pharmaceutical composition or compound release profile that conforms to a particular pattern of release to effect a therapeutic outcome. In one embodiment, the saRNA may be encapsulated into a delivery agent described herein and/or known in the art for controlled release and/or targeted delivery. As used herein, the term “encapsulate” means to enclose, surround or encase. As it relates to the formulation of the compounds of the disclosure, encapsulation may be substantial, complete or partial. The term “substantially encapsulated” means that at least greater than 50, 60, 70, 80, 85, 90, 95, 96, 97, 98, 99, 99.9, 99.9 or greater than 99.999% of the pharmaceutical composition or compound of the disclosure may be enclosed, surrounded or encased within the delivery agent. “Partially encapsulated” means that less than 10, 10, 20, 30, 40 50 or less of the pharmaceutical composition or compound of the disclosure may be enclosed, surrounded or encased within the delivery agent.
Advantageously, encapsulation may be determined by measuring the escape or the activity of the pharmaceutical composition or compound of the disclosure using fluorescence and/or electron micrograph. For example, at least 1, 5, 10, 20, 30, 40, 50, 60, 70, 80, 85, 90, 95, 96, 97, 98, 99, 99.9, 99.99 or greater than 99.99% of the pharmaceutical composition or compound of the disclosure are encapsulated in the delivery agent.
[0152] In another embodiment, the saRNA may be encapsulated into a lipid nanoparticle or a rapidly eliminated lipid nanoparticle and the lipid nanoparticles or a rapidly eliminated lipid nanoparticle may then be encapsulated into a polymer, hydrogel and/or surgical sealant described herein and/or known in the art. As a non-limiting example, the polymer, hydrogel or surgical sealant may be PLGA, ethylene vinyl acetate (EVAc), poloxamer, GELSITE® (Nanotherapeutics, Inc. Alachua, FL), HYLENEX® (Halozyme Therapeutics, San Diego CA), surgical sealants such as fibrinogen polymers (Ethicon Inc. Cornelia, GA), TISSELL® (Baxter International, Inc., Deerfield, IL), PEG-based sealants, and COSEAL® (Baxter International, Inc., Deerfield, IL).
[0153] In another embodiment, the lipid nanoparticle may be encapsulated into any polymer known in the art which may form a gel when injected into a subject. As another nonlimiting example, the lipid nanoparticle may be encapsulated into a polymer matrix which may be biodegradable.
[0154] In one embodiment, the saRNA formulation for controlled release and/or targeted delivery may also include at least one controlled release coating. Controlled release coatings include, but are not limited to, OPADRY®, polyvinylpyrrolidone/vinyl acetate copolymer, polyvinylpyrrolidone, hydroxypropyl methylcellulose, hydroxypropyl cellulose, hydroxyethyl cellulose, EUDRAGIT RL®, EUDRAGIT RS® and cellulose derivatives such as ethylcellulose aqueous dispersions (AQUACOAT® and SURELEASE®).
[0155] In one embodiment, the controlled release and/or targeted delivery formulation may comprise at least one degradable polyester which may contain polycationic side chains. Degradeable polyesters include, but are not limited to, poly(serine ester), poly(L-lactide-co- L-lysine), poly(4-hydroxy-L-proline ester), and combinations thereof. In another embodiment, the degradable polyesters may include a PEG conjugation to form a PEGylated polymer. [0156] In one embodiment, the saRNA of the present disclosure may be formulated with a targeting lipid with a targeting moiety such as the targeting moieties disclosed in US20130202652 to Manoharan et al., the contents of which are incorporated herein by reference in their entirety. As a non-limiting example, the targeting moiety of formula I of US 20130202652 to Manoharan et al. may selected in order to favor the lipid being localized with a desired organ, tissue, cell, cell type or subtype, or organelle. Non-limiting targeting moieties that are contemplated in the present disclosure include transferrin, anisamide, an RGD peptide, prostate specific membrane antigen (PSMA), fucose, an antibody, or an aptamer.
[0157] In one embodiment, the saRNA of the present disclosure may be encapsulated in a therapeutic nanoparticle. Therapeutic nanoparticles may be formulated by methods described herein and known in the art such as, but not limited to, International Pub Nos.
W02010005740, W02010030763, W02010005721, W02010005723, WO2012054923, US Pub. Nos. US20110262491, US20100104645, US20100087337, US20100068285, US20110274759, US20100068286 and US20120288541 and US Pat No. 8,206,747, 8,293,276, 8,318,208 and 8,318,211; the contents of each of which are herein incorporated by reference in their entirety. In another embodiment, therapeutic polymer nanoparticles may be identified by the methods described in US Pub No. US20120140790, the contents of which are herein incorporated by reference in its entirety.
[0158] In one embodiment, the therapeutic nanoparticle may be formulated for sustained release. As used herein, “sustained release” refers to a pharmaceutical composition or compound that conforms to a release rate over a specific period of time. The period of time may include, but is not limited to, hours, days, weeks, months and years. As a non-limiting example, the sustained release nanoparticle may comprise a polymer and a therapeutic agent such as, but not limited to, the saRNA of the present disclosure (see International Pub No. 2010075072 and US Pub No. US20100216804, US20110217377 and US20120201859, the contents of each of which are herein incorporated by reference in their entirety).
[0159] In one embodiment, the therapeutic nanoparticles may be formulated to be target specific. As a non-limiting example, the therapeutic nanoparticles may include a corticosteroid (see International Pub. No. WO2011084518; the contents of which are herein incorporated by reference in its entirety). In one embodiment, the therapeutic nanoparticles may be formulated to be cancer specific. As a non-limiting example, the therapeutic nanoparticles may be formulated in nanoparticles described in International Pub No. WO2008121949, W02010005726, W02010005725, WO201 1084521 and US Pub No. US20100069426, US20120004293 and US20100104655, the contents of each of which are herein incorporated by reference in their entirety.
[0160] In one embodiment, the nanoparticles of the present disclosure may comprise a polymeric matrix. As a non-limiting example, the nanoparticle may comprise two or more polymers such as, but not limited to, polyethylenes, polycarbonates, polyanhydrides, polyhydroxyacids, polypropylfumerates, polycaprolactones, polyamides, polyacetals, polyethers, polyesters, poly(orthoesters), polycyanoacrylates, polyvinyl alcohols, polyurethanes, polyphosphazenes, polyacrylates, polymethacrylates, polycyanoacrylates, polyureas, polystyrenes, polyamines, polylysine, poly(ethylene imine), poly(serine ester), poly(L-lactide-co-L-lysine), poly(4-hydroxy-L-proline ester) or combinations thereof.
[0161] In one embodiment, the therapeutic nanoparticle comprises a diblock copolymer. In one embodiment, the diblock copolymer may include PEG in combination with a polymer such as, but not limited to, polyethylenes, polycarbonates, polyanhydrides, polyhydroxyacids, polypropylfumerates, polycaprolactones, polyamides, polyacetals, polyethers, polyesters, poly(orthoesters), polycyanoacrylates, polyvinyl alcohols, polyurethanes, polyphosphazenes, polyacrylates, polymethacrylates, polycyanoacrylates, polyureas, polystyrenes, polyamines, polylysine, poly(ethylene imine), poly(serine ester), poly(L-lactide-co-L-lysine), poly(4- hydroxy-L-proline ester) or combinations thereof.
[0162] As a non-limiting example the therapeutic nanoparticle comprises a PLGA-PEG block copolymer (see US Pub. No. US20120004293 and US Pat No. 8,236,330, each of which is herein incorporated by reference in their entirety). In another non-limiting example, the therapeutic nanoparticle is a stealth nanoparticle comprising a diblock copolymer of PEG and PLA or PEG and PLGA (see US Pat No 8,246,968 and International Publication No. WO2012166923, the contents of each of which is herein incorporated by reference in its entirety).
[0163] In one embodiment, the therapeutic nanoparticle may comprise a multiblock copolymer such as, but not limited to the multiblock copolymers described in U.S. Pat. No. 8,263,665 and 8,287,910; the contents of each of which are herein incorporated by reference in its entirety.
[0164] In one embodiment, the block copolymers described herein may be included in a polyion complex comprising a non-polymeric micelle and the block copolymer. (See e.g., U.S. Pub. No. 20120076836; the contents of which are herein incorporated by reference in its entirety). [0165] In one embodiment, the therapeutic nanoparticle may comprise at least one acrylic polymer. Acrylic polymers include but are not limited to, acrylic acid, methacrylic acid, acrylic acid and methacrylic acid copolymers, methyl methacrylate copolymers, ethoxyethyl methacrylates, cyanoethyl methacrylate, amino alkyl methacrylate copolymer, poly(acrylic acid), poly(methacrylic acid), polycyanoacrylates and combinations thereof.
[0166] In one embodiment, the therapeutic nanoparticles may comprise at least one amine-containing polymer such as, but not limited to polylysine, polyethylene imine, poly(amidoamine) dendrimers, poly(beta-amino esters) (See e.g., U.S. Pat. No. 8,287,849; the contents of which are herein incorporated by reference in its entirety) and combinations thereof.
[0167] In one embodiment, the therapeutic nanoparticles may comprise at least one degradable polyester which may contain polycationic side chains. Degradable polyesters include, but are not limited to, poly(serine ester), poly(L-lactide-co-L-lysine), poly(4- hydroxy-L-proline ester), and combinations thereof. In another embodiment, the degradable polyesters may include a PEG conjugation to form a PEGylated polymer.
[0168] In another embodiment, the therapeutic nanoparticle may include a conjugation of at least one targeting ligand. The targeting ligand may be any ligand known in the art such as, but not limited to, a monoclonal antibody. (Kirpotin et al, Cancer Res. 2006 66:6732-6740; the contents of which are herein incorporated by reference in its entirety).
[0169] In one embodiment, the therapeutic nanoparticle may be formulated in an aqueous solution which may be used to target cancer (see International Pub No. WO2011084513 and US Pub No. US20110294717, the contents of each of which is herein incorporated by reference in their entirety).
[0170] In one embodiment, the saRNA may be encapsulated in, linked to and/or associated with synthetic nanocarriers. Synthetic nanocarriers include, but are not limited to, those described in International Pub. Nos. W02010005740, W02010030763, W0201213501, WO2012149252, WO2012149255, WO2012149259, WO2012149265, WO2012149268, WO2012149282, W02012149301, WO2012149393, WO2012149405, WO2012149411, WO2012149454 and WO2013019669, and US Pub. Nos. US20110262491, US20100104645, US20100087337 and US20120244222, the contents of each of which are herein incorporated by reference in their entirety. The synthetic nanocarriers may be formulated using methods known in the art and/or described herein. As a non-limiting example, the synthetic nanocarriers may be formulated by the methods described in International Pub Nos. W02010005740, W02010030763 and W0201213501and US Pub. Nos. US20110262491, US20100104645, US20100087337 and US2012024422, the contents of each of which are herein incorporated by reference in their entirety. In another embodiment, the synthetic nanocarrier formulations may be lyophilized by methods described in International Pub. No. WO2011072218 and US Pat No. 8,211,473; the contents of each of which are herein incorporated by reference in their entirety.
[0171] In one embodiment, the synthetic nanocarriers may contain reactive groups to release the saRNA described herein (see International Pub. No. WO20120952552 and US Pub No. US20120171229, the contents of each of which are herein incorporated by reference in their entirety).
[0172] In one embodiment, the synthetic nanocarriers may be formulated for targeted release. In one embodiment, the synthetic nanocarrier may be formulated to release the saRNA at a specified pH and/or after a desired time interval. As a non-limiting example, the synthetic nanoparticle may be formulated to release the saRNA after 24 hours and/or at a pH of 4.5 (see International Pub. Nos. W02010138193 and W02010138194 and US Pub Nos. US20110020388 and US20110027217, the contents of each of which is herein incorporated by reference in their entireties).
[0173] In one embodiment, the synthetic nanocarriers may be formulated for controlled and/or sustained release of the saRNA described herein. As a non-limiting example, the synthetic nanocarriers for sustained release may be formulated by methods known in the art, described herein and/or as described in International Pub No. W02010138192 and US Pub No. 20100303850, the contents each of which is herein incorporated by reference in their entirety.
[0174] In one embodiment, the nanoparticle may be optimized for oral administration. The nanoparticle may comprise at least one cationic biopolymer such as, but not limited to, chitosan or a derivative thereof. As a non-limiting example, the nanoparticle may be formulated by the methods described in U.S. Pub. No. 20120282343; the contents of which are herein incorporated by reference in its entirety.
[0175] In one embodiment, the saRNA of the present disclosure may be formulated in a modular composition such as described in US 8575123 to Manoharan et al., the contents of which are herein incorporated by reference in their entirety. As a non-limiting example, the modular composition may comprise a nucleic acid, e.g., the saRNA of the present disclosure, at least one endosomolytic component, and at least one targeting ligand. The modular composition may have a formula such as any formula described in US 8575123 to Manoharan et al., the contents of which are herein incorporated by reference in their entirety. [0176] In one embodiment, the saRNA of the present disclosure may be encapsulated in the lipid formulation to form a stable nucleic acid-lipid particle (SNALP) such as described in US8546554 to de Fougerolles et al., the contents of which are incorporated here by reference in their entirety. The lipid may be cationic or non-cationic. In one non-limiting example, the lipid to nucleic acid ratio (mass/mass ratio) (e.g., lipid to saRNA ratio) will be in the range of from about 1 :1 to about 50:1, from about 1 :1 to about 25: 1, from about 3: 1 to about 15:1, from about 4: 1 to about 10: 1, from about 5: 1 to about 9: 1, or about 6: 1 to about 9:1, or 5: 1, 6:1, 7:1, 8:1, 9:1, 10: 1, or 11 :1. In another example, the SNALP includes 40% 2,2-Dilinoleyl- 4-dimethylaminoethyl-[l,3]-dioxolane (Lipid A), 10% dioleoylphosphatidylcholine (DSPC), 40% cholesterol, 10% polyethyleneglycol (PEG)-C-DOMG (mole percent) with a particle size of 63.0±20 nm and a 0.027 nucleic acid/lipid ratio. In another embodiment, the saRNA of the present disclosure may be formulated with a nucleic acid-lipid particle comprising an endosomal membrane destabilizer as disclosed in US 7189705 to Lam et al., the contents of which are incorporated herein by reference in their entirety. As a non-limiting example, the endosomal membrane destabilizer may be a Ca2+ ion.
[0177] In one embodiment, the saRNA of the present disclosure may be formulated with formulated lipid particles (FLiPs) disclosed in US 8148344 to Akinc et al., the contents of which are herein incorporated by reference in their entirety. Akinc et al. teach that FLiPs may comprise at least one of a single or double-stranded oligonucleotide, where the oligonucleotide has been conjugated to a lipophile and at least one of an emulsion or liposome to which the conjugated oligonucleotide has been aggregated, admixed or associated. These particles have surprisingly been shown to effectively deliver oligonucleotides to heart, lung and muscle disclosed in US 8148344 to Akinc et al., the contents of which are herein incorporated by reference in their entirety.
[0178] In one embodiment, the saRNA of the present disclosure may be delivered to a cell using a composition comprising an expression vector in a lipid formulation as described in US 6086913 to Tam et al., the contents of which are incorporated herein by reference in their entirety. The composition disclosed by Tam is serum-stable and comprises an expression vector comprising first and second inverted repeated sequences from an adeno associated virus (AAV), a rep gene from AAV, and a nucleic acid fragment. The expression vector in Tam is complexed with lipids.
[0179] In one embodiment, the saRNA of the present disclosure may be formulated with a lipid formulation disclosed in US 20120270921 to de Fougerolles et al., the contents of which are incorporated herein by reference in their entirety. In one non-limiting example, the lipid formulation may include a cationic lipid having the formula A described in US 20120270921, the contents of which are herein incorporated by reference in its entirety. In another nonlimiting example, the compositions of exemplary nucleic acid-lipid particles disclosed in Table A of US 20120270921 , the contents of which are incorporated herein by reference in their entirety, may be used with the saRNA of the present disclosure.
[0180] In one embodiment, the saRNA of the present disclosure may be fully encapsulated in a lipid particle disclosed in US 20120276207 to Maurer et aL, the contents of which are incorporated herein by reference in their entirety. The particles may comprise a lipid composition comprising preformed lipid vesicles, a charged therapeutic agent, and a destabilizing agent to form a mixture of preformed vesicles and therapeutic agent in a destabilizing solvent, wherein the destabilizing solvent is effective to destabilize the membrane of the preformed lipid vesicles without disrupting the vesicles.
[0181] In one embodiment, the saRNA of the present disclosure may be formulated with a conjugated lipid. In a non-limiting example, the conjugated lipid may have a formula such as described in US 20120264810 to Lin et al., the contents of which are incorporated herein by reference in their entirety. The conjugate lipid may form a lipid particle which further comprises a cationic lipid, a neutral lipid, and a lipid capable of reducing aggregation.
[0182] In one embodiment, the saRNA of the present disclosure may be formulated in a neutral liposomal formulation such as disclosed in US 20120244207 to Fitzgerald et al., the contents of which are incorporated herein by reference in their entirety. The phrase “neutral liposomal formulation” refers to a liposomal formulation with a near neutral or neutral surface charge at a physiological pH. Physiological pH can be, e.g., about 7.0 to about 7.5, or, e.g., about 7.5, or, e.g., 7.0, 7.1, 7.2, 7.3, 7.4, or 7.5, or, e.g., 7.3, or, e.g., 7.4. An example of a neutral liposomal formulation is an ionizable lipid nanoparticle (iLNP). A neutral liposomal formulation can include an ionizable cationic lipid, e.g., DLin-I C2-DMA.
[0183] In one embodiment, the saRNA of the present disclosure may be formulated with a charged lipid or an amino lipid. As used herein, the term "charged lipid" is meant to include those lipids having one or two fatty acyl or fatty alkyl chains and a quaternary amino head group. The quaternary amine carries a permanent positive charge. The head group can optionally include an ionizable group, such as a primary, secondary, or tertiary amine that may be protonated at physiological pH. The presence of the quaternary amine can alter the pKa of the ionizable group relative to the pKa of the group in a structurally similar compound that lacks the quaternary amine (e.g., the quaternary amine is replaced by a tertiary amine) In some embodiments, a charged lipid is referred to as an "amino lipid." In a non-limiting example, the amino lipid may be any amino lipid described in US201 10256175 to Hope et al., the contents of which are incorporated herein by reference in their entirety. For example, the amino lipids may have the structure disclosed in Tables 3-7 of Hope, such as structure (II), DLin-K-C2-DMA, DLin-K2-DMA, DLin-K6-DMA, etc. The resulting pharmaceutical preparations may be lyophilized according to Hope. In another non-limiting example, the amino lipids may be any amino lipid described in US 20110117125 to Hope et ah, the contents of which are incorporated herein by reference in their entirety, such as a lipid of structure (I), DLin-K-DMA, DLin-C-DAP, DLin-DAC, DLin-MA, DLin-S-DMA, etc. In another non-limiting example, the amino lipid may have the structure (I), (II), (III), or (IV), or 4-(R)-DUn-K.-DMA (VI), 4-(S)-DUn-K-DMA (V) as described in W02009132131 to Manoharan et al., the contents of which are incorporated herein by reference in their entirety. In another non-limiting example, the charged lipid used in any of the formulations described herein may be any charged lipid described in EP2509636 to Manoharan et al., the contents of which are incorporated herein by reference in their entirety.
[0184] In one embodiment, the saRNA of the present disclosure may be formulated with an association complex containing lipids, liposomes, or lipoplexes. In a nonlimiting example, the association complex comprises one or more compounds each having a structure defined by formula (I), a PEG-lipid having a structure defined by formula (XV), a steroid and a nucleic acid disclosed in US8034376 to Manoharan et al., the contents of which are incorporated herein by reference in their entirety. The saRNA may be formulated with any association complex described in US8034376, the contents of which are herein incorporated by reference in its entirety.
[0185] In one embodiment, the saRNA of the present disclosure may be formulated with reverse head group lipids. As a non-limiting example, the saRNA may be formulated with a zwitterionic lipid comprising a headgroup wherein the positive charge is located near the acyl chain region and the negative charge is located at the distal end of the head group, such as a lipid having structure (A) or structure (I) described in WO2011056682 to Leung et ah, the contents of which are incorporated herein by reference in their entirety.
[0186] In one embodiment, the saRNA of the present disclosure may be formulated in a lipid bilayer carrier. As a non-limiting example, the saRNA may be combined with a lipid- detergent mixture comprising a lipid mixture of an aggregation-preventing agent in an amount of about 5 mol% to about 20 mol%, a cationic lipid in an amount of about 0.5 mol% to about 50 mol%, and a fusogenic lipid and a detergent, to provide a nucleic acid-lipid- detergent mixture; and then dialyzing the nucleic acid-lipid-detergent mixture against a buffered salt solution to remove the detergent and to encapsulate the nucleic acid in a lipid bilayer carrier and provide a lipid bilayer-nucleic acid composition, wherein the buffered salt solution has an ionic strength sufficient to encapsulate of from about 40 % to about 80 % of the nucleic acid, described in WO1999018933 to Cullis et al., the contents of which are incorporated herein by reference in their entirety.
[0187] In one embodiment, the saRNA of the present disclosure may be formulated in a nucleic acid-lipid particle capable of selectively targeting the saRNA to a heart, liver, or tumor tissue site. For example, the nucleic acid-lipid particle may comprise (a) a nucleic acid; (b) 1.0 mole % to 45 mole % of a cationic lipid; (c) 0,0 mole % to 90 mole % of another lipid; (d) 1,0 mole % to 10 mole % of a bilayer stabilizing component; (e) 0,0 mole % to 60 mole % cholesterol; and (f) 0,0 mole % to 10 mole % of cationic polymer lipid as described in EP 1328254 to Cullis et al., the contents of which are incorporated herein by reference in their entirety. Cullis teaches that varying the amount of each of the cationic lipid, bilayer stabilizing component, another lipid, cholesterol, and cationic polymer lipid can impart tissue selectivity for heart, liver, or tumor tissue site, thereby identifying a nucleic acid-lipid particle capable of selectively targeting a nucleic acid to the heart, liver, or tumor tissue site.
Polymers, Biodegradable Nanoparticles, and Core-Shell Nanoparticles
[0188| The saRNA of the disclosure can be formulated using natural and/or synthetic polymers. Non-limiting examples of polymers which may be used for delivery include, but are not limited to, DYNAMIC POLYCONJUGATE® (Arrowhead Research Corp., Pasadena, CA) formulations from MIRUS® Bio (Madison, WI) and Roche Madison (Madison, WI), PEIASERX™ polymer formulations such as, without limitation, SMARTT POLYMER TECHNOLOGY™ (PHASERX®, Seattle, WA), DMRI/DOPE, poloxamer, VAXFECTIN® adjuvant from Vical (San Diego, CA), chitosan, cyclodextrin from Calando Pharmaceuticals (Pasadena, CA), dendrimers and poly(lactic-co-glycolic acid) (PLGA) polymers. RONDEL™ (RNAi/Oligonucleotide Nanoparticle Delivery) polymers (Arrowhead Research Corporation, Pasadena, CA) and pH responsive co-block polymers such as, but not limited to, PHASERX® (Seattle, WA).
[0189] A non-limiting example of chitosan formulation includes a core of positively charged chitosan and an outer portion of negatively charged substrate (U.S. Pub. No. 20120258176; herein incorporated by reference in its entirety). Chitosan includes, but is not limited to N-trimethyl chitosan, mono-N-carboxymethyl chitosan (MCC), N-palmitoyl chitosan (NPCS), EDTA-chitosan, low molecular weight chitosan, chitosan derivatives, or combinations thereof. [0190] In one embodiment, the polymers used in the present disclosure have undergone processing to reduce and/or inhibit the attachment of unwanted substances such as, but not limited to, bacteria, to the surface of the polymer. The polymer may be processed by methods known and/or described in the art and/or described in International Pub. No.
WO2012 150467, herein incorporated by reference in its entirety.
[0191] A non-limiting example of PLGA formulations include, but are not limited to, PLGA injectable depots (e.g., ELIGARD® which is formed by dissolving PLGA in 66% N- methyl-2-pyrrolidone (NMP) and the remainder being aqueous solvent and leuprolide. Once injected, the PLGA and leuprolide peptide precipitates into the subcutaneous space).
[0192] Many of these polymer approaches have demonstrated efficacy in delivering oligonucleotides in vivo into the cell cytoplasm (reviewed in de Fougerolles Hum Gene Ther. 2008 19:125-132; herein incorporated by reference in its entirety). Two polymer approaches that have yielded robust in vivo delivery of nucleic acids, in this case with small interfering RNA (siRNA), are dynamic polyconjugates and cyclodextrin-based nanoparticles. The first of these delivery approaches uses dynamic polyconjugates and has been shown in vivo in mice to effectively deliver siRNA and silence endogenous target mRNA in hepatocytes (Rozema et al., Proc Natl Acad Sci U S A. 2007 104:12982-12887; herein incorporated by reference in its entirety). This particular approach is a multicomponent polymer system whose key features include a membrane- active polymer to which nucleic acid, in this case siRNA, is covalently coupled via a disulfide bond and where both PEG (for charge masking) and /V-acetylgalactosamine (for hepatocyte targeting) groups are linked via pH-sensitive bonds (Rozema et ah, Proc Natl Acad Sci U S A. 2007 104:12982-12887; herein incorporated by reference in its entirety). On binding to the hepatocyte and entry into the endosome, the polymer complex disassembles in the low-pH environment, with the polymer exposing its positive charge, leading to endosomal escape and cytoplasmic release of the siRNA from the polymer. Through replacement of the ^acetylgalactosamine group with a mannose group, it was shown one could alter targeting from asialoglycoprotein receptor-expressing hepatocytes to sinusoidal endothelium and Kupffer cells. Another polymer approach involves using transferrin-targeted cyclodextrin-containing polycation nanoparticles. These nanoparticles have demonstrated targeted silencing of the EWS-FLI1 gene product in transferrin receptorexpressing Ewing’s sarcoma tumor cells (Hu-Lieskovan et al., Cancer Res.2005 65: 8984- 8982; herein incorporated by reference in its entirety) and siRNA formulated in these nanoparticles was well tolerated in non-human primates (Heidel et al., Proc Natl Acad Sci USA 2007 104:5715-21 ; herein incorporated by reference in its entirety). Both of these delivery strategies incorporate rational approaches using both targeted delivery and endosomal escape mechanisms.
[0193] The polymer formulation can permit the sustained or delayed release of saRNA (e.g., following intramuscular or subcutaneous injection). The altered release profile for the saRNA can result in, for example, translation of an encoded protein over an extended period of time. Biodegradable polymers have been previously used to protect nucleic acids from degradation and been shown to result in sustained release of payloads in vivo (Rozema et al., Proc Natl Acad Sei U S A. 2007 104:12982-12887; Sullivan et al., Expert Opin Drug Deliv. 2010 7: 1433-1446; Convertine et al., Biomacromolecules. 2010 Oct 1; Chu et al., Acc Chem Res. 2012 Jan 13; Manganiello et al., Biomaterials. 2012 33:2301-2309; Benoit et al., Biomacromolecules. 2011 12:2708-2714; Singha et al., Nucleic Acid Ther. 2011 2:133-147; de Fougerolles Hum Gene Ther. 2008 19:125-132; Schaffert and Wagner, Gene Ther. 2008 16:1131-1138; Chaturvedi et al., Expert Opin Drug Deliv. 2011 8:1455-1468; Davis, Mol Pharm. 2009 6:659-668; Davis, Nature 2010 464: 1067-1070; each of which is herein incorporated by reference in its entirety).
[0194] In one embodiment, the pharmaceutical compositions may be sustained release formulations. In a further embodiment, the sustained release formulations may be for subcutaneous delivery. Sustained release formulations may include, but are not limited to, PLGA microspheres, ethylene vinyl acetate (EV Ac), poloxamer, GELSITE® (Nanotherapeutics, Inc. Alachua, FL), HYLENEX® (Halozyme Therapeutics, San Diego CA), surgical sealants such as fibrinogen polymers (Ethicon Inc. Cornelia, GA), TISSELL® (Baxter International, Inc Deerfield, IL), PEG-based sealants, and COSEAL® (Baxter International, Inc Deerfield, IL).
[0195] As a non-limiting example saRNA may be formulated in PLGA microspheres by preparing the PLGA microspheres with tunable release rates (e.g., days and weeks) and encapsulating the saRNA in the PLGA microspheres while maintaining the integrity of the saRNA during the encapsulation process. EVAc are non-biodegradeable, biocompatible polymers which are used extensively in pre-clinical sustained release implant applications (e.g., extended release products Ocusert a pilocarpine ophthalmic insert for glaucoma or progestasert a sustained release progesterone intrauterine device; transdermal delivery systems Testoderm, Duragesic and Selegiline; catheters). Poloxamer F-407 NF is a hydrophilic, non-ionic surfactant triblock copolymer of polyoxyethylene-polyoxypropylene- polyoxyethylene having a low viscosity at temperatures less than 5°C and forms a solid gel at temperatures greater than 15°C. PEG-based surgical sealants comprise two synthetic PEG components mixed in a delivery device which can be prepared in one minute, seals in 3 minutes and is reabsorbed within 30 days. GELSITE® and natural polymers are capable of in-situ gelation at the site of administration. They have been shown to interact with protein and peptide therapeutic candidates through ionic interaction to provide a stabilizing effect. [0196) Polymer formulations can also be selectively targeted through expression of different ligands as exemplified by, but not limited by, folate, transferrin, and N- acetylgalactosamine (GalNAc) (Benoit et al., Biomacromolecules. 2011 12:2708-2714; Rozema et al., Proc Natl Acad Sci U S A. 2007 104: 12982-12887; Davis, Mol Pharm. 2009 6:659-668; Davis, Nature 2010 464: 1067-1070; each of which is herein incorporated by reference in its entirety).
[0197] The saRNA of the disclosure may be formulated with or in a polymeric compound. The polymer may include at least one polymer such as, but not limited to, polyethenes, polyethylene glycol (PEG), poly(l-lysine)(PLL), PEG grafted to PLL, cationic lipopolymer, biodegradable cationic lipopolymer, polyethyleneimine (PEI), cross-linked branched poly( alkylene imines), a polyamine derivative, a modified poloxamer, a biodegradable polymer, elastic biodegradable polymer, biodegradable block copolymer, biodegradable random copolymer, biodegradable polyester copolymer, biodegradable polyester block copolymer, biodegradable polyester block random copolymer, multiblock copolymers, linear biodegradable copolymer, poly[a-(4-aminobutyl)-L-glycolic acid) (PAGA), biodegradable cross-linked cationic multi-block copolymers, polycarbonates, polyanhydrides, polyhydroxyacids, polypropylfumerates, polycaprolactones, polyamides, polyacetals, polyethers, polyesters, poly(orthoesters), polycyanoacrylates, polyvinyl alcohols, polyurethanes, polyphosphazenes, polyacrylates, polymethacrylates, polycyanoacrylates, polyureas, polystyrenes, polyamines, polylysine, polyethylene imine), poly(serine ester), poly(L-lactide-co-L-lysine), poly(4-hydroxy-L-proline ester), acrylic polymers, amine- containing polymers, dextran polymers, dextran polymer derivatives or combinations thereof. [0198] As a non-limiting example, the saRNA of the disclosure may be formulated with the polymeric compound of PEG grafted with PLL as described in U.S. Pat. No. 6,177,274; herein incorporated by reference in its entirety. The formulation may be used for transfecting cells in vitro or for in vivo delivery of the saRNA. In another example, the saRNA may be suspended in a solution or medium with a cationic polymer, in a dry pharmaceutical composition or in a solution that is capable of being dried as described in U.S. Pub. Nos. 20090042829 and 20090042825; each of which are herein incorporated by reference in their entireties. [0199] As another non-limiting example the saRNA of the disclosure may be formulated with a PLGA-PEG block copolymer (see US Pub. No. US20120004293 and US Pat No. 8,236,330, herein incorporated by reference in their entireties) or PLGA-PEG-PLGA block copolymers (See U.S. Pat. No. 6,004,573, herein incorporated by reference in its entirety). As a non-limiting example, the saRNA of the disclosure may be formulated with a diblock copolymer of PEG and PLA or PEG and PLGA (see US Pat No 8,246,968, herein incorporated by reference in its entirety).
[0200] A polyamine derivative may be used to deliver nucleic acids or to treat and/or prevent a disease or to be included in an implantable or injectable device (U.S. Pub. No. 20100260817 herein incorporated by reference in its entirety). As a non-limiting example, a pharmaceutical composition may include the saRNA and the polyamine derivative described in U.S. Pub. No. 20100260817 (the contents of which are incorporated herein by reference in its entirety. As a non-limiting example the saRNA of the present disclosure may be delivered using a polyaminde polymer such as, but not limited to, a polymer comprising a 1,3-dipolar addition polymer prepared by combining a carbohydrate diazide monomer with a dilkyne unite comprising oligoamines (U.S. Pat. No. 8,236,280; herein incorporated by reference in its entirety).
[0201] In one embodiment, the saRNA of the present disclosure may be formulated with at least one polymer and/or derivatives thereof described in International Publication Nos. WO201 1115862, WO2012082574 and WO2012068187 and U.S. Pub. No. 20120283427, the contents of each of which are herein incorporated by reference in their entireties. In another embodiment, the saRNA of the present disclosure may be formulated with a polymer of formula Z as described in WO2011115862, herein incorporated by reference in its entirety. In yet another embodiment, the saRNA may be formulated with a polymer of formula Z, Z’ or Z” as described in International Pub. Nos. WO2012082574 or WO2012068187 and U.S.
Pub. No. 2012028342, the contents of each of which are herein incorporated by reference in their entireties. The polymers formulated with the saRNA of the present disclosure may be synthesized by the methods described in International Pub. Nos. WO2012082574 or WO20 12068187, the contents of each of which are herein incorporated by reference in their entireties.
[0202] The saRNA of the disclosure may be formulated with at least one acrylic polymer. Acrylic polymers include but are not limited to, acrylic acid, methacrylic acid, acrylic acid and methacrylic acid copolymers, methyl methacrylate copolymers, ethoxyethyl methacrylates, cyanoethyl methacrylate, amino alkyl methacrylate copolymer, poly(acrylic acid), poly(methacrylic acid), polycyanoacrylates and combinations thereof.
[0203] Formulations of saRNA of the disclosure may include at least one amine- containing polymer such as, but not limited to polylysine, polyethylene imine, poly(amidoamine) dendrimers or combinations thereof.
[0204] For example, the saRNA of the disclosure may be formulated in a pharmaceutical compound including a poly(alkylene imine), a biodegradable cationic lipopolymer, a biodegradable block copolymer, a biodegradable polymer, or a biodegradable random copolymer, a biodegradable polyester block copolymer, a biodegradable polyester polymer, a biodegradable polyester random copolymer, a linear biodegradable copolymer, PAGA, a biodegradable cross-linked cationic multi-block copolymer or combinations thereof. The biodegradable cationic lipopolymer may be made by methods known in the art and/or described in U.S. Pat. No. 6,696,038, U.S. App. Nos. 20030073619 and 20040142474 each of which is herein incorporated by reference in their entireties. The poly(alkylene imine) may be made using methods known in the art and/or as described in U.S. Pub. No. 20100004315, herein incorporated by reference in its entirety. The biodegradable polymer, biodegradable block copolymer, the biodegradable random copolymer, biodegradable polyester block copolymer, biodegradable polyester polymer, or biodegradable polyester random copolymer may be made using methods known in the art and/or as described in U.S. Pat. Nos. 6,517,869 and 6,267,987, the contents of which are each incorporated herein by reference in their entirety. The linear biodegradable copolymer may be made using methods known in the art and/or as described in U.S. Pat. No. 6,652,886. The PAGA polymer may be made using methods known in the art and/or as described in U.S. Pat. No. 6,217,912 herein incorporated by reference in its entirety. The PAGA polymer may be copolymerized to form a copolymer or block copolymer with polymers such as but not limited to, poly-L-lysine, polyargine, polyornithine, histones, avidin, protamines, polylactides and poly(lactide-co-glycolides). The biodegradable cross-linked cationic multi-block copolymers may be made my methods known in the art and/or as described in U.S. Pat. No. 8,057,821 or U.S. Pub. No. 2012009145 each of which are herein incorporated by reference in their entireties. For example, the multiblock copolymers may be synthesized using linear polyethyleneimine (LPEI) blocks which have distinct patterns as compared to branched polyethyleneimines. Further, the composition or pharmaceutical composition may be made by the methods known in the art, described herein, or as described in U.S. Pub. No. 20100004315 or U.S. Pat. Nos. 6,267,987 and 6,217,912 each of which are herein incorporated by reference in their entireties. [0205] The saRNA of the disclosure may be formulated with at least one degradable polyester which may contain polycationic side chains. Degradeable polyesters include, but are not limited to, poly(serine ester), poly(L-lactide-co-L-lysine), poly(4-hydroxy-L-proline ester), and combinations thereof. In another embodiment, the degradable polyesters may include a PEG conjugation to form a PEGylated polymer.
[0206] The saRNA of the disclosure may be formulated with at least one crosslinkable polyester. Crosslinkable polyesters include those known in the art and described in US Pub. No. 20120269761, herein incorporated by reference in its entirety.
[0207] In one embodiment, the polymers described herein may be conjugated to a lipid- terminating PEG. As a non-limiting example, PLGA may be conjugated to a lipid-terminating PEG forming PLGA-DSPE-PEG. As another non-limiting example, PEG conjugates for use with the present disclosure are described in International Publication No. W02008103276, herein incorporated by reference in its entirety. The polymers may be conjugated using a ligand conjugate such as, but not limited to, the conjugates described in U.S. Pat. No. 8,273,363, herein incorporated by reference in its entirety.
[0208] In one embodiment, the saRNA described herein may be conjugated with another compound. Non-limiting examples of conjugates are described in US Patent Nos. 7,964,578 and 7,833,992, each of which are herein incorporated by reference in their entireties. In another embodiment, saRNA of the present disclosure may be conjugated with conjugates of formula 1-122 as described in US Patent Nos. 7,964,578 and 7,833,992, each of which are herein incorporated by reference in their entireties. The saRNA described herein may be conjugated with a metal such as, but not limited to, gold. (See e.g., Giljohann et al. Journ. Amer. Chem. Soc. 2009 131(6): 2072-2073; herein incorporated by reference in its entirety). In another embodiment, the saRNA described herein may be conjugated and/or encapsulated in gold-nanoparticles. (International Pub. No. WO201216269 and U.S. Pub. No. 20120302940; each of which is herein incorporated by reference in its entirety).
[0209] As described in U.S. Pub. No. 20100004313, herein incorporated by reference in its entirety, a gene delivery composition may include a nucleotide sequence and a poloxamer. For example, the saRNA of the present disclosure may be used in a gene delivery composition with the poloxamer described in U.S. Pub. No. 20100004313.
[0210] In one embodiment, the polymer formulation of the present disclosure may be stabilized by contacting the polymer formulation, which may include a cationic carrier, with a cationic lipopolymer which may be covalently linked to cholesterol and polyethylene glycol groups. The polymer formulation may be contacted with a cationic lipopolymer using the methods described in U.S. Pub. No. 20090042829 herein incorporated by reference in its entirety.
[0211] The cationic carrier may include, but is not limited to, polyethylenimine, poly(trimethylenimine), poly(tetramethylenimine), polypropylenimine, aminoglycosidepolyamine, dideoxy-diamino-b-cyclodextrin, spermine, spermidine, poly(2- dimethylamino)ethyl methacrylate, poly(lysine), poly(histidine), poly(arginine), cationized gelatin, dendrimers, chitosan, l,2-Dioleoyl-3-Trimethylammonium-Propane(DOTAP), N-[l- (2,3-dioleoyloxy)propyl]-N,N,N-trimethylammonium chloride (DOTMA), l-[2- (oleoyloxy)ethyl]-2-oleyl-3-(2-hydroxyethyl)imidazolinium chloride (DOTIM), 2,3- dioleyloxy-N-[2(sperminecarboxamido)ethyl]-N,N-dimethyl-l-propanaminium trifluoroacetate (DOSPA), 3B-[N — (N',N'-Dimethylaminoethane)-carbamoyl]Cholesterol Hydrochloride (DC-Cholesterol HC1) diheptadecylamidoglycyl spermidine (DOGS), N,N- distearyl-N,N-dimethylammonium bromide (DDAB), N-(l,2-dimyristyloxyprop-3-yl)-N,N- dimethyl-N-hydroxyethyl ammonium bromide (DMRIE), N,N-dioleyl-N,N- dimethylammonium chloride DODAC) and combinations thereof.
[0212] The saRNA of the disclosure may be formulated in a polyplex of one or more polymers (U.S. Pub. No. 20120237565 and 20120270927; each of which is herein incorporated by reference in its entirety). In one embodiment, the polyplex comprises two or more cationic polymers. The cationic polymer may comprise a polyethylene imine) (PEI) such as linear PEI.
[0213] The saRNA of the disclosure can also be formulated as a nanoparticle using a combination of polymers, lipids, and/or other biodegradable agents, such as, but not limited to, calcium phosphate. Components may be combined in a core-shell, hybrid, and/or layer- by-layer architecture, to allow for fine-tuning of the nanoparticle so to delivery of the saRNA may be enhanced (Wang et al., Nat Mater. 2006 5:791-796; Fuller et al., Biomaterials. 2008 29:1526-1532; DeKoker et al., Adv Drug Deliv Rev. 2011 63:748-761 ; Endres et al., Biomaterials. 2011 32:7721-7731 ; Su et al., Mol Pharm. 2011 Jun 6;8(3):774-87 ; herein incorporated by reference in its entirety). As a non-limiting example, the nanoparticle may comprise a plurality of polymers such as, but not limited to hydrophilic-hydrophobic polymers (e.g., PEG-PLGA), hydrophobic polymers (e.g., PEG) and/or hydrophilic polymers (International Pub. No. WO20120225129; herein incorporated by reference in its entirety). [0214] Biodegradable calcium phosphate nanoparticles in combination with lipids and/or polymers may be used to deliver saRNA in vivo. In one embodiment, a lipid coated calcium phosphate nanoparticle, which may also contain a targeting ligand such as anisamide, may be used to deliver the saRNA of the present disclosure. For example, to effectively deliver siRNA in a mouse metastatic lung model a lipid coated calcium phosphate nanoparticle was used (Li et al., J Contr Rel. 2010 142: 416-421 ; Li et ah, J Contr Rel. 2012 158: 108-114; Yang et ah, Mol Ther. 2012 20:609-615; herein incorporated by reference in its entirety).
This delivery system combines both a targeted nanoparticle and a component to enhance the endosomal escape, calcium phosphate, in order to improve delivery of the siRNA.
[0215] In one embodiment, calcium phosphate with a PEG-polyanion block copolymer may be used to delivery saRNA (Kazikawa et al., J Contr Rel. 2004 97:345-356; Kazikawa et al., J Contr Rel. 2006 111 :368-370; herein incorporated by reference in its entirety).
[0216] In one embodiment, a PEG-charge-conversional polymer (Pitella et al., Biomaterials. 2011 32:3106-31 14) may be used to form a nanoparticle to deliver the saRNA of the present disclosure. The PEG-charge-conversional polymer may improve upon the PEG-polyanion block copolymers by being cleaved into a polycation at acidic pH, thus enhancing endosomal escape.
[0217] The use of core-shell nanoparticles has additionally focused on a high-throughput approach to synthesize cationic cross-linked nanogel cores and various shells (Siegwart et al., Proc Natl Acad Sci U S A. 2011 108:12996-13001). The complexation, delivery, and internalization of the polymeric nanoparticles can be precisely controlled by altering the chemical composition in both the core and shell components of the nanoparticle. For example, the core-shell nanoparticles may efficiently deliver saRNA to mouse hepatocytes after they covalently attach cholesterol to the nanoparticle.
[0218] In one embodiment, a hollow lipid core comprising a middle PLGA layer and an outer neutral lipid layer containing PEG may be used to delivery of the saRNA of the present disclosure. As a non-limiting example, in mice bearing a luciferase-expressing tumor, it was determined that the lipid-polymer-lipid hybrid nanoparticle significantly suppressed luciferase expression, as compared to a conventional lipoplex (Shi et al, Angew Chem Int Ed. 2011 50:7027-7031 ; herein incorporated by reference in its entirety).
[0219] In one embodiment, the lipid nanoparticles may comprise a core of the saRNA disclosed herein and a polymer shell. The polymer shell may be any of the polymers described herein and are known in the art. In an additional embodiment, the polymer shell may be used to protect the modified nucleic acids in the core.
[0220] Core-shell nanoparticles for use with the saRNA of the present disclosure may be formed by the methods described in U.S. Pat. No. 8,313,777 herein incorporated by reference in its entirety. [0221] In one embodiment, the core-shell nanoparticles may comprise a core of the saRNA disclosed herein and a polymer shell. The polymer shell may be any of the polymers described herein and are known in the art. In an additional embodiment, the polymer shell may be used to protect the saRNA in the core. As a non-limiting example, the core-shell nanoparticle may be used to treat an eye disease or disorder (See e.g. US Publication No. 20120321719, herein incorporated by reference in its entirety).
[0222] In one embodiment, the polymer used with the formulations described herein may be a modified polymer (such as, but not limited to, a modified polyacetal) as described in International Publication No. WO2011120053, herein incorporated by reference in its entirety.
Delivery
[0223] The present disclosure encompasses the delivery of saRNA for any of therapeutic, prophylactic, pharmaceutical, diagnostic or imaging by any appropriate route taking into consideration likely advances in the sciences of drug delivery. Delivery may be naked or formulated.
[0224] The saRNA of the present disclosure may be delivered to a cell naked. As used herein in, “naked” refers to delivering saRNA free from agents which promote transfection. For example, the saRNA delivered to the cell may contain no modifications. The naked saRNA may be delivered to the cell using routes of administration known in the art and described herein.
[0225] The saRNA of the present disclosure may be formulated, using the methods described herein. The formulations may contain saRNA which may be modified and/or unmodified. The formulations may further include, but are not limited to, cell penetration agents, a pharmaceutically acceptable carrier, a delivery agent, a bioerodible or biocompatible polymer, a solvent, and a sustained-release delivery depot. The formulated saRNA may be delivered to the cell using routes of administration known in the art and described herein.
[0226] The compositions may also be formulated for direct delivery to an organ or tissue in any of several ways in the art including, but not limited to, direct soaking or bathing, via a catheter, by gels, powder, ointments, creams, gels, lotions, and/or drops, by using substrates such as fabric or biodegradable materials coated or impregnated with the compositions, and the like. The saRNA of the present disclosure may also be cloned into a retroviral replicating vector (RRV) and transduced to cells. Administration
[0227] The saRNA of the present disclosure may be administered by any route which results in a therapeutically effective outcome. These include, but are not limited to enteral, gastroenteral, epidural, oral, transdermal, epidural (peridural), intracerebral (into the cerebrum), intracerebroventricular (into the cerebral ventricles), epicutaneous (application onto the skin), intradermal, (into the skin itself), subcutaneous (under the skin), nasal administration (through the nose), intravenous (into a vein), intraarterial (into an artery), intramuscular (into a muscle), intracardiac (into the heart), intraosseous infusion (into the bone marrow), intrathecal (into the spinal canal), intraperitoneal, (infusion or injection into the peritoneum), intravesical infusion, intravitreal (through the eye), intracavernous injection ( into the base of the penis), intravaginal administration, intrauterine, extra-amniotic administration, transdermal (diffusion through the intact skin for systemic distribution), transmucosal ( iffusion through a mucous membrane), insufflation (snorting), sublingual, sublabial, enema, eye drops (onto the conjunctiva), or in ear drops. In specific embodiments, compositions may be administered in a way which allows them cross the blood-brain barrier, vascular barrier, or other epithelial barrier. Routes of administration disclosed in International Publication WO 2013/090648 filed December 14, 2012, the contents of which are incorporated herein by reference in their entirety, may be used to administer the saRNA of the present disclosure.
[0228] In some embodiments, the saRNAs of the present disclosure are delivered via intraocular (such as intracameral, intravitreal or subretinal), topical, subconjunctival, periocular, or retrobulbar routes.
Dosage Forms
[0229] A pharmaceutical composition described herein can be formulated into a dosage form described herein, such as a topical, intranasal, intratracheal, or injectable (e.g., intravenous, intraocular, intravitreal, intramuscular, intracardiac, intraperitoneal, subcutaneous). Liquid dosage forms, injectable preparations, pulmonary forms, and solid dosage forms described in International Publication WO 2013/090648 filed December 14, 2012, the contents of which are incorporated herein by reference in their entirety may be used as dosage forms for the saRNA of the present disclosure.
III. Methods of Use
[0230] One aspect of the present disclosure provides methods of using saRNA of the present disclosure and pharmaceutical compositions comprising the saRNA and at least one pharmaceutically acceptable carrier. The saRNA of the present disclosure modulates the expression of its target gene. In one embodiment is provided a method of regulating the expression of a target gene in vitro and/or in vivo comprising administering the saRNA of the present disclosure. In one embodiment, the expression of the target gene is increased by at least 5, 10, 20, 30, 40%, or at least 45, 50, 55, 60, 65, 70, 75%, or at least 80% in the presence of the saRNA of the present disclosure compared to the expression of the target gene in the absence of the saRNA of the present disclosure. In a further embodiment, the expression of the target gene is increased by a factor of at least 2, 3, 4, 5, 6, 7, 8, 9, 10, or by a factor of at least 15, 20, 25, 30, 35, 40, 45, 50, or by a factor of at least 60, 70, 80, 90, 100, in the presence of the saRNA of the present disclosure compared to the expression of the target gene in the absence of the saRNA of the present disclosure.
IL 10 gene
[0231] One aspect of the present application provides a method of modulating the expression of the IL10 gene comprising administering ILlO-saRNA of the present disclosure. In one embodiment, the expression of the IL10 gene is increased by at least 20, 30, 40%, or at least 45, 50, 55, 60, 65, 70, 75%, or at least 80% in the presence of the ILlO-saRNA of the present disclosure compared to the expression of the IL 10 gene in the absence of the ILlO- saRNA of the present disclosure. In a further embodiment, the expression of the IL 10 gene is increased by at least 10%, 20%, 30%, 40%, 50%, 60%, 70%, 80%, 90%, 100%, 110%, 120%, 130%, 140%, 150%, or by a factor of at least 1.1, 1.2, 1.3, 1.4, 1.5, 1.6, 1.7, 1.8, 1.9, 2, 2.5, 3, 4, 5, 6, 7, 8, 9, 10, or by a factor of at least 15, 20, 25, 30, 35, 40, 45, 50, or by a factor of at least 60, 70, 80, 90, 100, in the presence of the ILlO-saRNA of the present disclosure compared to the expression of the IL 10 gene in the absence of the ILlO-saRNA of the present disclosure. In some embodiments, the expression of the IL10 gene is increased by a factor of around 1.3-2.5. The modulation of the expression of the IL10 gene may be reflected or determined by the change of the IL 10 mRNA levels.
10232] In some embodiments, the IL 10 gene is located in cells such as but not limited to a myeloid cell, such as a granulocyte, a megakaryocyte, a macrophage, a dendritic cell, or a monocyte cell, such as a CD 14-positive (CD 14+) monocyte cell. In some cases, the IL10 gene is located in the DNA of a bone marrow cell such as a hematopoietic stem cell, which is CD34 positive (CD34+). In some cases, the IL10 gene is located in the DNA of B lymphocytes, melanocytes, neuronal and muscle (such as skeletal and cardiac) cells. CD 14- positive monocyte cells are characterized by the expression of the CD 14 cell surface receptor and play an integral role in inflammatory responses. [0233] The diseases treatable by methods of the present disclosure generally occur in mammals. Mammals include, for example, humans, non-human primates, dogs, cats, rats, mice, rabbits, ferrets, guinea pigs, horses, pigs, sheep, goats, and cattle.
[0234] In some embodiments, the disease is hyperproliferative disorders. Tumors and cancers represent a hyperproliferative disorder of particular interest, and all types of tumors and cancers, e.g. solid tumors and haematological cancers are included. Examples of cancer include, but not limited to, cervical cancer, uterine cancer, ovarian cancer, kidney cancer, gallbladder cancer, liver cancer, head and neck cancer, squamous cell carcinoma, gastrointestinal cancer, breast cancer, prostate cancer, testicular cancer, lung cancer, nonsmall cell lung cancer, non-Hodgkin's lymphoma, multiple myeloma, leukemia (such as acute lymphocytic leukemia, chronic lymphocytic leukemia, acute myelogenous leukemia, and chronic myelogenous leukemia), brain cancer (e.g. astrocytoma, glioblastoma, medulloblastoma), neuroblastoma, sarcomas, colon cancer, rectum cancer, stomach cancer, anal cancer, bladder cancer, endometrial cancer, plasmacytoma, lymphomas, retinoblastoma, Wilm's tumor, Ewing sarcoma, melanoma and other skin cancers. The liver cancer may include, but not limited to, cholangiocarcinoma, hepatoblastoma, haemangiosarcoma, or hepatocellular carcinoma (HCC).
[0235] In some embodiments, IL 10 saRNA of the present disclosure can be used to treat chronic inflammation, autoimmune disorders such as but not limited to traumatic brain injury, amyotrophic lateral sclerosis (ALS), Multiple Sclerosis, neuroinflammation, and Graft Versus Host disease. In some embodiments, the chronic inflammation is caused by aging.
[0236] In some embodiments, ILlO-saRNA of the present disclosure may be used to upregulate IL19 gene expression.
IV. Kits and Devices
Kits
[0237] The disclosure provides a variety of kits for conveniently and/or effectively carrying out methods of the present disclosure. Typically, kits will comprise sufficient amounts and/or numbers of components to allow a user to perform multiple treatments of a subject(s) and/or to perform multiple experiments.
[0238] In one embodiment, the present disclosure provides kits for regulate the expression of genes in vitro or in vivo, comprising saRNA of the present disclosure or a combination of saRNA of the present disclosure, saRNA modulating other genes, siRNAs, miRNAs or other oligonucleotide molecules. [0239] The kit may further comprise packaging and instructions and/or a delivery agent to form a formulation composition. The delivery agent may comprise a saline, a buffered solution, a lipidoid, a dendrimer or any delivery agent disclosed herein.
[0240] In one non-limiting example, the buffer solution may include sodium chloride, calcium chloride, phosphate and/or EDTA. In another non-limiting example, the buffer solution may include, but is not limited to, saline, saline with 2mM calcium, 5% sucrose, 5% sucrose with 2mM calcium, 5% Mannitol, 5% Mannitol with 2mM calcium, Ringer’s lactate, sodium chloride, sodium chloride with 2mM calcium and mannose See U.S. Pub. No. 20120258046; herein incorporated by reference in its entirety). In yet another non-limiting example, the buffer solutions may be precipitated or it may be lyophilized. The amount of each component may be varied to enable consistent, reproducible higher concentration saline or simple buffer formulations. The components may also be varied in order to increase the stability of saRNA in the buffer solution over a period of time and/or under a variety of conditions.
Devices
[0241] The present disclosure provides for devices which may incorporate saRNA of the present disclosure. These devices contain in a stable formulation available to be immediately delivered to a subject in need thereof, such as a human patient.
[0242] Non-limiting examples of the devices include a pump, a catheter, a needle, a transdermal patch, a pressurized olfactory delivery device, iontophoresis devices, multilayered microfluidic devices. The devices may be employed to deliver saRNA of the present disclosure according to single, multi- or split-dosing regiments. The devices may be employed to deliver saRNA of the present disclosure across biological tissue, intradermal, subcutaneously, or intramuscularly. More examples of devices suitable for delivering oligonucleotides are disclosed in International Publication WO 2013/090648 fded December 14, 2012, the contents of which are incorporated herein by reference in their entirety.
Definitions
[0243] For convenience, the meaning of certain terms and phrases used in the specification, examples, and appended claims, are provided below. If there is an apparent discrepancy between the usage of a term in other parts of this specification and its definition provided in this section, the definition in this section shall prevail.
[0244] About: As used herein, the term “about” means +/- 10% of the recited value. [0245] Administered in combination: As used herein, the term “administered in combination” or “combined administration” means that two or more agents are administered to a subject at the same time or within an interval such that there may be an overlap of an effect of each agent on the patient. In some embodiments, they are administered within about 60, 30, 15, 10, 5, or 1 minute of one another. In some embodiments, the administrations of the agents are spaced sufficiently close together such that a combinatorial e.g., a synergistic) effect is achieved.
[0246] Amino acid: As used herein, the terms "amino acid" and "amino acids" refer to all naturally occurring L-alpha-amino acids. The amino acids are identified by either the one- letter or three-letter designations as follows: aspartic acid (Asp:D), isoleucine (He: I), threonine (Thr:T), leucine (Leu:L), serine (Ser:S), tyrosine (Tyr:Y), glutamic acid (Glu:E), phenylalanine (Phe:F), proline (Pro:P), histidine (His:H), glycine (Gly:G), lysine (Lys:K), alanine (Ala:A), arginine (Arg:R), cysteine (Cys:C), tryptophan (Trp:W), valine (Val:V), glutamine (Gln:Q) methionine (Met:M), asparagines (Asn:N), where the amino acid is listed first followed parenthetically by the three and one letter codes, respectively.
[0247] Animal: As used herein, the term “animal” refers to any member of the animal kingdom. In some embodiments, “animal” refers to humans at any stage of development. In some embodiments, “animal” refers to non-human animals at any stage of development. In certain embodiments, the non-human animal is a mammal (e.g., a rodent, a mouse, a rat, a rabbit, a monkey, a dog, a cat, a sheep, cattle, a primate, or a pig). In some embodiments, animals include, but are not limited to, mammals, birds, reptiles, amphibians, fish, and worms. In some embodiments, the animal is a transgenic animal, genetically-engineered animal, or a clone.
[0248] Approximately: As used herein, the term “approximately” or “about,” as applied to one or more values of interest, refers to a value that is similar to a stated reference value. In certain embodiments, the term “approximately” or “about” refers to a range of values that fall within 25%, 20%, 19%, 18%, 17%, 16%, 15%, 14%, 13%, 12%, 11%, 10%, 9%, 8%, 7%, 6%, 5%, 4%, 3%, 2%, 1%, or less in either direction (greater than or less than) of the stated reference value unless otherwise stated or otherwise evident from the context (except where such number would exceed 100% of a possible value).
[0249] Associated with: As used herein, the terms “associated with,” “conjugated,” “linked,” “attached,” and “tethered,” when used with respect to two or more moieties, means that the moieties are physically associated or connected with one another, either directly or via one or more additional moieties that serves as a linking agent, to form a structure that is sufficiently stable so that the moieties remain physically associated under the conditions in which the structure is used, e.g., physiological conditions. An “association” need not be strictly through direct covalent chemical bonding. It may also suggest ionic or hydrogen bonding or a hybridization based connectivity sufficiently stable such that the “associated” entities remain physically associated.
[0250] Bifunction or Bifunctional: As used herein, the terms “bifunction” and “bifunctional” refers to any substance, molecule or moiety which is capable of or maintains at least two functions. The functions may affect the same outcome or a different outcome. The structure that produces the function may be the same or different. For example, bifunctional saRNA of the present disclosure may comprise a cytotoxic peptide (a first function) while those nucleosides which comprise the saRNA are, in and of themselves, cytotoxic (second function).
[0251] Biocompatible'. As used herein, the term “biocompatible” means compatible with living cells, tissues, organs or systems posing little to no risk of injury, toxicity or rejection by the immune system.
[0252] Biodegradable'. As used herein, the term “biodegradable” means capable of being broken down into innocuous products by the action of living things.
[0253] Biologically active'. As used herein, the phrase “biologically active” refers to a characteristic of any substance that has activity in a biological system and/or organism. For instance, a substance that, when administered to an organism, has a biological effect on that organism, is considered to be biologically active. In particular embodiments, the saRNA of the present disclosure may be considered biologically active if even a portion of the saRNA is biologically active or mimics an activity considered biologically relevant.
[0254] Cancer: As used herein, the term "cancer" in an individual refers to the presence of cells possessing characteristics typical of cancer-causing cells, such as uncontrolled proliferation, immortality, metastatic potential, rapid growth and proliferation rate, and certain characteristic morphological features. Often, cancer cells will be in the form of a tumor, but such cells may exist alone within an individual, or may circulate in the blood stream as independent cells, such as leukemic cells.
[0255] Cell growth: As used herein, the term “cell growth” is principally associated with growth in cell numbers, which occurs by means of cell reproduction (i.e. proliferation) when the rate of the latter is greater than the rate of cell death (e.g. by apoptosis or necrosis), to produce an increase in the size of a population of cells, although a small component of that growth may in certain circumstances be due also to an increase in cell size or cytoplasmic volume of individual cells. An agent that inhibits cell growth can thus do so by either inhibiting proliferation or stimulating cell death, or both, such that the equilibrium between these two opposing processes is altered.
[0256] Cell type: As used herein, the term "cell type" refers to a cell from a given source (e.g., a tissue, organ) or a cell in a given state of differentiation, or a cell associated with a given pathology or genetic makeup.
[0257] Chromosome: As used herein, the term “chromosome” refers to an organized structure of DNA and protein found in cells.
[0258] Complementary: As used herein, the term “complementary” as it relates to nucleic acids refers to hybridization or base pairing between nucleotides or nucleic acids, such as, for example, between the two strands of a double-stranded DNA molecule or between an oligonucleotide probe and a target are complementary.
[0259] Condition: As used herein, the term “condition” refers to the status of any cell, organ, organ system or organism. Conditions may reflect a disease state or simply the physiologic presentation or situation of an entity. Conditions may be characterized as phenotypic conditions such as the macroscopic presentation of a disease or genotypic conditions such as the underlying gene or protein expression profdes associated with the condition. Conditions may be benign or malignant.
[0260] Controlled Release: As used herein, the term “controlled release” refers to a pharmaceutical composition or compound release profile that conforms to a particular pattern of release to effect a therapeutic outcome.
[0261] Cytostatic. As used herein, “cytostatic” refers to inhibiting, reducing, suppressing the growth, division, or multiplication of a cell (e.g., a mammalian cell (e.g., a human cell)), bacterium, virus, fungus, protozoan, parasite, prion, or a combination thereof.
[0262] Cytotoxic. As used herein, “cytotoxic” refers to killing or causing injurious, toxic, or deadly effect on a cell (e.g., a mammalian cell (e.g., a human cell)), bacterium, virus, fungus, protozoan, parasite, prion, or a combination thereof.
[0263] Delivery: As used herein, “delivery” refers to the act or manner of delivering a compound, substance, entity, moiety, cargo or payload.
[0264] Delivery Agent'. As used herein, “delivery agent” refers to any substance which facilitates, at least in part, the in vivo delivery of a saRNA of the present disclosure to targeted cells.
[0265] Destabilized: As used herein, the term “destable,” “destabilize,” or “destabilizing region” means a region or molecule that is less stable than a starting, wild-type or native form of the same region or molecule. [0266] Detectable label: As used herein, “detectable label” refers to one or more markers, signals, or moieties which are attached, incorporated or associated with another entity that is readily detected by methods known in the art including radiography, fluorescence, chemiluminescence, enzymatic activity, absorbance and the like. Detectable labels include radioisotopes, fluorophores, chromophores, enzymes, dyes, metal ions, ligands such as biotin, avidin, streptavidin and haptens, quantum dots, and the like. Detectable labels may be located at any position in the oligonucleotides disclosed herein. They may be within the nucleotides or located at the 5’ or 3’ terminus.
[0267] Encapsulate: As used herein, the term “encapsulate” means to enclose, surround or encase.
[0268] Engineered: As used herein, embodiments of the disclosure are “engineered” when they are designed to have a feature or property, whether structural or chemical, that varies from a starting point, wild type or native molecule.
[0269] Equivalent subject: As used herein, “equivalent subject" may be e.g. a subject of similar age, sex and health such as liver health or cancer stage, or the same subject prior to treatment according to the disclosure. The equivalent subject is "untreated" in that he does not receive treatment with a saRNA according to the disclosure. However, he may receive a conventional anti-cancer treatment, provided that the subject who is treated with the saRNA of the disclosure receives the same or equivalent conventional anti-cancer treatment.
[0270] Exosome: As used herein, “exosome” is a vesicle secreted by mammalian cells.
[0271] Expression.' As used herein, “expression” of a nucleic acid sequence refers to one or more of the following events: (1) production of an RNA template from a DNA sequence (e.g., by transcription); (2) processing of an RNA transcript (e.g., by splicing, editing, 5’ cap formation, and/or 3’ end processing); (3) translation of an RNA into a polypeptide or protein; and (4) post-translational modification of a polypeptide or protein.
[0272] Feature: As used herein, a “feature” refers to a characteristic, a property, or a distinctive element.
[0273] Formulation'. As used herein, a “formulation” includes at least one saRNA of the present disclosure and a delivery agent.
[0274] Fragment: A “fragment,” as used herein, refers to a portion. For example, fragments of proteins may comprise polypeptides obtained by digesting full-length protein isolated from cultured cells. Fragments of oligonucleotides may comprise nucleotides, or regions of nucleotides. [0275] Functional'. As used herein, a “functional” biological molecule is a biological molecule in a form in which it exhibits a property and/or activity by which it is characterized. [0276] Gene: As used herein, the term "gene" refers to a nucleic acid sequence that comprises control and most often coding sequences necessary for producing a polypeptide or precursor. Genes, however, may not be translated and instead code for regulatory or structural RNA molecules.
[0277] A gene may be derived in whole or in part from any source known to the art, including a plant, a fungus, an animal, a bacterial genome or episome, eukaryotic, nuclear or plasmid DNA, cDNA, viral DNA, or chemically synthesized DNA. A gene may contain one or more modifications in either the coding or the untranslated regions that could affect the biological activity or the chemical structure of the expression product, the rate of expression, or the manner of expression control. Such modifications include, but are not limited to, mutations, insertions, deletions, and substitutions of one or more nucleotides. The gene may constitute an uninterrupted coding sequence or it may include one or more introns, bound by the appropriate splice junctions.
[0278] Gene expression: As used herein, the term "gene expression" refers to the process by which a nucleic acid sequence undergoes successful transcription and in most instances translation to produce a protein or peptide. For clarity, when reference is made to measurement of “gene expression”, this should be understood to mean that measurements may be of the nucleic acid product of transcription, e.g., RNA or mRNA or of the amino acid product of translation, e.g., polypeptides or peptides. Methods of measuring the amount or levels of RNA, mRNA, polypeptides and peptides are well known in the art.
[0279] Genome: The term "genome" is intended to include the entire DNA complement of an organism, including the nuclear DNA component, chromosomal or extrachromosomal DNA, as well as the cytoplasmic domain (e.g., mitochondrial DNA).
[0280] Homology'. As used herein, the term “homology” refers to the overall relatedness between polymeric molecules, e.g. between nucleic acid molecules (e.g. DNA molecules and/or RNA molecules) and/or between polypeptide molecules. In some embodiments, polymeric molecules are considered to be “homologous” to one another if their sequences are at least 25%, 30%, 35%, 40%, 45%, 50%, 55%, 60%, 65%, 70%, 75%, 80%, 85%, 90%, 95%, or 99% identical or similar. The term “homologous” necessarily refers to a comparison between at least two sequences (polynucleotide or polypeptide sequences). In accordance with the disclosure, two polynucleotide sequences are considered to be homologous if the polypeptides they encode are at least about 50%, 60%, 70%, 80%, 90%, 95%, or even 99% for at least one stretch of at least about 20 amino acids. In some embodiments, homologous polynucleotide sequences are characterized by the ability to encode a stretch of at least 4- 5 uniquely specified amino acids. For polynucleotide sequences less than 60 nucleotides in length, homology is determined by the ability to encode a stretch of at least 4 -5 uniquely specified amino acids. In accordance with the disclosure, two protein sequences are considered to be homologous if the proteins are at least about 50%, 60%, 70%, 80%, or 90% identical for at least one stretch of at least about 20 amino acids.
[0281] The term "hyperproliferative cell" may refer to any cell that is proliferating at a rate that is abnormally high in comparison to the proliferating rate of an equivalent healthy cell (which may be referred to as a "control"). An "equivalent healthy" cell is the normal, healthy counterpart of a cell. Thus, it is a cell of the same type, e.g., from the same organ, which performs the same functions(s) as the comparator cell. For example, proliferation of a hyperproliferative hepatocyte should be assessed by reference to a healthy hepatocyte, whereas proliferation of a hyperproliferative prostate cell should be assessed by reference to a healthy prostate cell.
[0282] By an "abnormally high" rate of proliferation, it is meant that the rate of proliferation of the hyperproliferative cells is increased by at least 20, 30, 40%, or at least 45, 50, 55, 60, 65, 70, 75%, or at least 80%, as compared to the proliferative rate of equivalent, healthy (non-hyperproliferative) cells. The "abnormally high" rate of proliferation may also refer to a rate that is increased by a factor of at least 2, 3, 4, 5, 6, 7, 8, 9, 10, or by a factor of at least 15, 20, 25, 30, 35, 40, 45, 50, or by a factor of at least 60, 70, 80, 90, 100, compared to the proliferative rate of equivalent, healthy cells.
[0283] Hyperproliferative disorder: As used herein, a "hyperproliferative disorder" may be any disorder which involves hyperproliferative cells as defined above. Examples of hyperproliferative disorders include neoplastic disorders such as cancer, psoriatic arthritis, rheumatoid arthritis, gastric hyperproliferative disorders such as inflammatory bowel disease, skin disorders including psoriasis, Reiter's syndrome, pityriasis rubra pilaris, and hyperproliferative variants of the disorders of keratinization.
[0284] The skilled person is fully aware of how to identify a hyperproliferative cell. The presence of hyperproliferative cells within an animal may be identifiable using scans such as X-rays, MRI or CT scans. The hyperproliferative cell may also be identified, or the proliferation of cells may be assayed, through the culturing of a sample in vitro using cell proliferation assays, such as MTT, XTT, MTS or WST-1 assays. Cell proliferation in vitro can also be determined using flow cytometry. [0285] Identity. As used herein, the term “identity” refers to the overall relatedness between polymeric molecules, e.g., between oligonucleotide molecules (e.g. DNA molecules and/or RNA molecules) and/or between polypeptide molecules. Calculation of the percent identity of two polynucleotide sequences, for example, can be performed by aligning the two sequences for optimal comparison purposes (e.g., gaps can be introduced in one or both of a first and a second nucleic acid sequences for optimal alignment and non-identical sequences can be disregarded for comparison purposes). In certain embodiments, the length of a sequence aligned for comparison purposes is at least 30%, at least 40%, at least 50%, at least 60%, at least 70%, at least 80%, at least 90%, at least 95%, or 100% of the length of the reference sequence. The nucleotides at corresponding nucleotide positions are then compared. When a position in the first sequence is occupied by the same nucleotide as the corresponding position in the second sequence, then the molecules are identical at that position. The percent identity between the two sequences is a function of the number of identical positions shared by the sequences, taking into account the number of gaps, and the length of each gap, which needs to be introduced for optimal alignment of the two sequences. The comparison of sequences and determination of percent identity between two sequences can be accomplished using a mathematical algorithm. For example, the percent identity between two nucleotide sequences can be determined using methods such as those described in Computational Molecular Biology, Lesk, A. M., ed., Oxford University Press, New York, 1988;
Biocomputing: Informatics and Genome Projects, Smith, D. W., ed., Academic Press, New York, 1993; Sequence Analysis in Molecular Biology, von Heinje, G., Academic Press, 1987; Computer Analysis of Sequence Data, Part I, Griffin, A. M., and Griffin, H. G., eds., Humana Press, New Jersey, 1994; and Sequence Analysis Primer, Gribskov, M. and Devereux, J., eds., M Stockton Press, New York, 1991 ; each of which is incorporated herein by reference. For example, the percent identity between two nucleotide sequences can be determined using the algorithm of Meyers and Miller (CABIOS, 1989, 4: 11-17), which has been incorporated into the ALIGN program (version 2.0) using a PAM 120 weight residue table, a gap length penalty of 12 and a gap penalty of 4. The percent identity between two nucleotide sequences can, alternatively, be determined using the GAP program in the GCG software package using an NWSgapdna.CMP matrix. Methods commonly employed to determine percent identity between sequences include, but are not limited to those disclosed in Carillo, H., and Lipman, D., SIAM J Applied Math., 48:1073 (1988); incorporated herein by reference. Techniques for determining identity are codified in publicly available computer programs. Exemplary computer software to determine homology between two sequences include, but are not limited to, GCG program package, Devereux, J., et al., Nucleic Acids Research, 12(1), 387 (1984)), BLASTP, BLASTN, and FASTA Altschul, S. F. et al., J. Molec. Biol., 215, 403 (1990)).
[0286] Inhibit expression of a gene: As used herein, the phrase “inhibit expression of a gene” means to cause a reduction in the amount of an expression product of the gene. The expression product can be an RNA transcribed from the gene (e.g., an mRNA) or a polypeptide translated from an mRNA transcribed from the gene. Typically a reduction in the level of an mRNA results in a reduction in the level of a polypeptide translated therefrom. The level of expression may be determined using standard techniques for measuring mRNA or protein.
[0287] In vitro'. As used herein, the term “zra vitro” refers to events that occur in an artificial environment, e.g., in a test tube or reaction vessel, in cell culture, in a Petri dish, etc., rather than within an organism (e.g., animal, plant, or microbe).
[0288] In vivo'. As used herein, the term “zn vivo” refers to events that occur within an organism e.g., animal, plant, or microbe or cell or tissue thereof).
[0289] Isolated'. As used herein, the term “isolated” refers to a substance or entity that has been separated from at least some of the components with which it was associated (whether in nature or in an experimental setting). Isolated substances may have varying levels of purity in reference to the substances from which they have been associated. Isolated substances and/or entities may be separated from at least about 10%, about 20%, about 30%, about 40%, about 50%, about 60%, about 70%, about 80%, about 90%, or more of the other components with which they were initially associated. In some embodiments, isolated agents are more than about 80%, about 85%, about 90%, about 91%, about 92%, about 93%, about 94%, about 95%, about 96%, about 97%, about 98%, about 99%, or more than about 99% pure. As used herein, a substance is “pure” if it is substantially free of other components. Substantially isolated'. By “substantially isolated” is meant that the compound is substantially separated from the environment in which it was formed or detected. Partial separation can include, for example, a composition enriched in the compound of the present disclosure. Substantial separation can include compositions containing at least about 50%, at least about 60%, at least about 70%, at least about 80%, at least about 90%, at least about 95%, at least about 97%, or at least about 99% by weight of the compound of the present disclosure, or salt thereof. Methods for isolating compounds and their salts are routine in the art.
[0290] Label: The term “label” refers to a substance or a compound which is incorporated into an object so that the substance, compound or object may be detectable. [0291] Linker: As used herein, a linker refers to a group of atoms, e.g., 10-1,000 atoms, and can be comprised of the atoms or groups such as, but not limited to, carbon, amino, alkylamino, oxygen, sulfur, sulfoxide, sulfonyl, carbonyl, and imine. The linker can be attached to a modified nucleoside or nucleotide on the nucleobase or sugar moiety at a first end, and to a payload, e.g., a detectable or therapeutic agent, at a second end. The linker may be of sufficient length as to not interfere with incorporation into a nucleic acid sequence. The linker can be used for any useful purpose, such as to form saRNA conjugates, as well as to administer a payload, as described herein.
[0292] Examples of chemical groups that can be incorporated into the linker include, but are not limited to, alkyl, alkenyl, alkynyl, amido, amino, ether, thioether, ester, alkylene, heteroalkylene, aryl, or heterocyclyl, each of which can be optionally substituted, as described herein. Examples of linkers include, but are not limited to, unsaturated alkanes, polyethylene glycols (e.g., ethylene or propylene glycol monomeric units, e.g., diethylene glycol, dipropylene glycol, triethylene glycol, tripropylene glycol, tetraethylene glycol, or tetraethylene glycol), and dextran polymers and derivatives thereof. Other examples include, but are not limited to, cleavable moieties within the linker, such as, for example, a disulfide bond (-S-S-) or an azo bond (-N=N-), which can be cleaved using a reducing agent or photolysis. Non-limiting examples of a selectively cleavable bond include an amido bond can be cleaved for example by the use of tris(2-carboxyethyl)phosphine (TCEP), or other reducing agents, and/or photolysis, as well as an ester bond can be cleaved for example by acidic or basic hydrolysis.
[0293] Metastasis: As used herein, the term “metastasis” means the process by which cancer invades and spreads from the place at which it first arose as a primary tumor to distant locations in the body. Metastasis also refers to cancers resulting from the spread of the primary tumor. For example, someone with breast cancer may show metastases in their lymph system, liver, bones or lungs.
[0294] Modified: As used herein “modified” refers to a changed state or structure of a molecule of the disclosure. Molecules may be modified in many ways including chemically, structurally, and functionally. In one embodiment, the saRNAs of the present disclosure are modified by the introduction of non-natural nucleosides and/or nucleotides.
[0295] Naturally occurring: As used herein, “naturally occurring” means existing in nature without artificial aid.
[0296] Nucleic acid: The term "nucleic acid" as used herein, refers to a molecule comprised of one or more nucleotides, i.e., ribonucleotides, deoxyribonucleotides, or both. The term includes monomers and polymers of ribonucleotides and deoxyribonucleotides, with the ribonucleotides and/or deoxyribonucleotides being bound together, in the case of the polymers, via 5' to 3' linkages. The ribonucleotide and deoxyribonucleotide polymers may be single or double-stranded. However, linkages may include any of the linkages known in the art including, for example, nucleic acids comprising 5' to 3' linkages. The nucleotides may be naturally occurring or may be synthetically produced analogs that are capable of forming base-pair relationships with naturally occurring base pairs. Examples of non-naturally occurring bases that are capable of forming base-pairing relationships include, but are not limited to, aza and deaza pyrimidine analogs, aza and deaza purine analogs, and other heterocyclic base analogs, wherein one or more of the carbon and nitrogen atoms of the pyrimidine rings have been substituted by heteroatoms, e.g., oxygen, sulfur, selenium, phosphorus, and the like.
[0297] Patient: As used herein, “patient” refers to a subject who may seek or be in need of treatment, requires treatment, is receiving treatment, will receive treatment, or a subject who is under care by a trained professional for a particular disease or condition.
[0298] Peptide: As used herein, “peptide” is less than or equal to 50 amino acids long, e.g., about 5, 10, 15, 20, 25, 30, 35, 40, 45, or 50 amino acids long.
[0299] Pharmaceutically acceptable'. The phrase “pharmaceutically acceptable” is employed herein to refer to those compounds, materials, compositions, and/or dosage forms which are, within the scope of sound medical judgment, suitable for use in contact with the tissues of human beings and animals without excessive toxicity, irritation, allergic response, or other problem or complication, commensurate with a reasonable benefit/risk ratio.
[0300] Pharmaceutically acceptable excipients: The phrase “pharmaceutically acceptable excipient,” as used herein, refers any ingredient other than the compounds described herein (for example, a vehicle capable of suspending or dissolving the active compound) and having the properties of being substantially nontoxic and non-inflammatory in a patient. Excipients may include, for example: antiadherents, antioxidants, binders, coatings, compression aids, disintegrants, dyes (colors), emollients, emulsifiers, fillers (diluents), film formers or coatings, flavors, fragrances, glidants (flow enhancers), lubricants, preservatives, printing inks, sorbents, suspensing or dispersing agents, sweeteners, and waters of hydration. Exemplary excipients include, but are not limited to: butylated hydroxytoluene (BHT), calcium carbonate, calcium phosphate (dibasic), calcium stearate, croscarmellose, crosslinked polyvinyl pyrrolidone, citric acid, crospovidone, cysteine, ethylcellulose, gelatin, hydroxypropyl cellulose, hydroxypropyl methylcellulose, lactose, magnesium stearate, maltitol, mannitol, methionine, methylcellulose, methyl paraben, microcrystalline cellulose, polyethylene glycol, polyvinyl pyrrolidone, povidone, pregelatinized starch, propyl paraben, retinyl palmitate, shellac, silicon dioxide, sodium carboxymethyl cellulose, sodium citrate, sodium starch glycolate, sorbitol, starch (corn), stearic acid, sucrose, talc, titanium dioxide, vitamin A, vitamin E, vitamin C, and xylitol.
[0301] Pharmaceutically acceptable salts: The present disclosure also includes pharmaceutically acceptable salts of the compounds described herein. As used herein, “pharmaceutically acceptable salts” refers to derivatives of the disclosed compounds wherein the parent compound is modified by converting an existing acid or base moiety to its salt form (e.g., by reacting the free base group with a suitable organic acid). Examples of pharmaceutically acceptable salts include, but are not limited to, mineral or organic acid salts of basic residues such as amines; alkali or organic salts of acidic residues such as carboxylic acids; and the like. Representative acid addition salts include acetate, adipate, alginate, ascorbate, aspartate, benzenesulfonate, benzoate, bisulfate, borate, butyrate, camphorate, camphorsulfonate, citrate, cyclopentanepropionate, digluconate, dodecylsulfate, ethanesulfonate, fumarate, glucoheptonate, glycerophosphate, hemisulfate, heptonate, hexanoate, hydrobromide, hydrochloride, hydroiodide, 2-hydroxy-ethanesulfonate, lactobionate, lactate, laurate, lauryl sulfate, malate, maleate, malonate, methanesulfonate, 2- naphthalenesulfonate, nicotinate, nitrate, oleate, oxalate, palmitate, pamoate, pectinate, persulfate, 3 -phenylpropionate, phosphate, picrate, pivalate, propionate, stearate, succinate, sulfate, tartrate, thiocyanate, toluenesulfonate, undecanoate, valerate salts, and the like. Representative alkali or alkaline earth metal salts include sodium, lithium, potassium, calcium, magnesium, and the like, as well as nontoxic ammonium, quaternary ammonium, and amine cations, including, but not limited to ammonium, tetramethylammonium, tetraethylammonium, methylamine, dimethylamine, trimethylamine, triethylamine, ethylamine, and the like. The pharmaceutically acceptable salts of the present disclosure include the conventional non-toxic salts of the parent compound formed, for example, from non-toxic inorganic or organic acids. The pharmaceutically acceptable salts of the present disclosure can be synthesized from the parent compound which contains a basic or acidic moiety by conventional chemical methods. Generally, such salts can be prepared by reacting the free acid or base forms of these compounds with a stoichiometric amount of the appropriate base or acid in water or in an organic solvent, or in a mixture of the two; generally, nonaqueous media like ether, ethyl acetate, ethanol, isopropanol, or acetonitrile are preferred. Lists of suitable salts are found in Remington ’s Pharmaceutical Sciences, 17th ed., Mack Publishing Company, Easton, Pa., 1985, p. 1418, Pharmaceutical Salts: Properties, Selection, and Use, P.H. Stahl and C.G. Wermuth (eds.), Wiley-VCH, 2008, and Berge et al., Journal of Pharmaceutical Science, 66, 1-19 (1977), each of which is incorporated herein by reference in its entirety.
[0302] Pharmaceutically acceptable solvate1. The term “pharmaceutically acceptable solvate,” as used herein, means a compound of the disclosure wherein molecules of a suitable solvent are incorporated in the crystal lattice. A suitable solvent is physiologically tolerable at the dosage administered. For example, solvates may be prepared by crystallization, recrystallization, or precipitation from a solution that includes organic solvents, water, or a mixture thereof. Examples of suitable solvents are ethanol, water (for example, mono-, di-, and tri-hydrates), A-methylpyrrolidinone (NMP), dimethyl sulfoxide (DMSO), N,N’- dimethylformamide (DMF), N, N ’-dimethylacetamide (DMAC), l,3-dimethyl-2- imidazolidinone (DMEU), l,3-dimethyl-3,4,5,6-tetrahydro-2-(lH)-pyrimidinone (DMPU), acetonitrile (ACN), propylene glycol, ethyl acetate, benzyl alcohol, 2-pyrrolidone, benzyl benzoate, and the like. When water is the solvent, the solvate is referred to as a “hydrate.” [0303] Pharmacologic effect'. As used herein, a “pharmacologic effect” is a measurable biologic phenomenon in an organism or system which occurs after the organism or system has been contacted with or exposed to an exogenous agent. Pharmacologic effects may result in therapeutically effective outcomes such as the treatment, improvement of one or more symptoms, diagnosis, prevention, and delay of onset of disease, disorder, condition or infection. Measurement of such biologic phenomena may be quantitative, qualitative or relative to another biologic phenomenon. Quantitative measurements may be statistically significant. Qualitative measurements may be by degree or kind and may be at least 10%, 20%, 30%, 40%, 50%, 60%, 70%, 80%, 90% or more different. They may be observable as present or absent, better or worse, greater or less. Exogenous agents, when referring to pharmacologic effects are those agents which are, in whole or in part, foreign to the organism or system. For example, modifications to a wild type biomolecule, whether structural or chemical, would produce an exogenous agent. Likewise, incorporation or combination of a wild type molecule into or with a compound, molecule or substance not found naturally in the organism or system would also produce an exogenous agent.
[0304] The saRNA of the present disclosure, comprises exogenous agents. Examples of pharmacologic effects include, but are not limited to, alteration in cell count such as an increase or decrease in neutrophils, reticulocytes, granulocytes, erythrocytes (red blood cells), megakaryocytes, platelets, monocytes, connective tissue macrophages, epidermal langerhans cells, osteoclasts, dendritic cells, microglial cells, neutrophils, eosinophils, basophils, mast cells, helper T cells, suppressor T cells, cytotoxic T cells, natural killer T cells, B cells, natural killer cells, or reticulocytes. Pharmacologic effects also include alterations in blood chemistry, pH, hemoglobin, hematocrit, changes in levels of enzymes such as, but not limited to, liver enzymes AST and ALT, changes in lipid profiles, electrolytes, metabolic markers, hormones or other marker or profile known to those of skill in the art.
[0305] Physicochemical: As used herein, “physicochemical” means of or relating to a physical and/or chemical property.
[0306] Preventing’. As used herein, the term “preventing” refers to partially or completely delaying onset of an infection, disease, disorder and/or condition; partially or completely delaying onset of one or more symptoms, features, or clinical manifestations of a particular infection, disease, disorder, and/or condition; partially or completely delaying onset of one or more symptoms, features, or manifestations of a particular infection, disease, disorder, and/or condition; partially or completely delaying progression from an infection, a particular disease, disorder and/or condition; and/or decreasing the risk of developing pathology associated with the infection, the disease, disorder, and/or condition.
[0307] Procirug’. The present disclosure also includes prodrugs of the compounds described herein. As used herein, “prodrugs” refer to any substance, molecule or entity which is in a form predicate for that substance, molecule or entity to act as a therapeutic upon chemical or physical alteration. Prodrugs may by covalently bonded or sequestered in some way and which release or are converted into the active drug moiety prior to, upon or after administered to a mammalian subject. Prodrugs can be prepared by modifying functional groups present in the compounds in such a way that the modifications are cleaved, either in routine manipulation or in vivo, to the parent compounds. Prodrugs include compounds wherein hydroxyl, amino, sulfhydryl, or carboxyl groups are bonded to any group that, when administered to a mammalian subject, cleaves to form a free hydroxyl, amino, sulfhydryl, or carboxyl group respectively. Preparation and use of prodrugs is discussed in T. Higuchi and V. Stella, “Pro-drugs as Novel Delivery Systems,” Vol. 14 of the A.C.S. Symposium Series, and in Bioreversible Carriers in Drug Design, ed. Edward B. Roche, American Pharmaceutical Association and Pergamon Press, 1987, both of which are hereby incorporated by reference in their entirety.
[0308] Prognosing: As used herein, the term “prognosing” means a statement or claim that a particular biologic event will, or is very likely to, occur in the future. [0309] Progression: As used herein, the term “progression” or “cancer progression” means the advancement or worsening of or toward a disease or condition.
[0310] Proliferate: As used herein, the term “proliferate” means to grow, expand or increase or cause to grow, expand or increase rapidly. “Proliferative” means having the ability to proliferate. “Anti-proliferative” means having properties counter to or inapposite to proliferative properties.
[0311] Protein: A "protein" means a polymer of amino acid residues linked together by peptide bonds. The term, as used herein, refers to proteins, polypeptides, and peptides of any size, structure, or function. Typically, however, a protein will be at least 50 amino acids long. In some instances the protein encoded is smaller than about 50 amino acids. In this case, the polypeptide is termed a peptide. If the protein is a short peptide, it will be at least about 10 amino acid residues long. A protein may be naturally occurring, recombinant, or synthetic, or any combination of these. A protein may also comprise a fragment of a naturally occurring protein or peptide. A protein may be a single molecule or may be a multi-molecular complex. The term protein may also apply to amino acid polymers in which one or more amino acid residues are an artificial chemical analogue of a corresponding naturally occurring amino acid.
[0312] Protein expression: The term "protein expression" refers to the process by which a nucleic acid sequence undergoes translation such that detectable levels of the amino acid sequence or protein are expressed.
[0313] Purified: As used herein, “purify,” “purified,” “purification” means to make substantially pure or clear from unwanted components, material defilement, admixture or imperfection.
[0314] Regression: As used herein, the term “regression” or “degree of regression” refers to the reversal, either phenotypically or genotypically, of a cancer progression. Slowing or stopping cancer progression may be considered regression.
[0315] Sample: As used herein, the term “sample” or “biological sample” refers to a subset of its tissues, cells or component parts (e.g. body fluids, including but not limited to blood, mucus, lymphatic fluid, synovial fluid, cerebrospinal fluid, saliva, amniotic fluid, amniotic cord blood, urine, vaginal fluid and semen). A sample further may include a homogenate, lysate or extract prepared from a whole organism or a subset of its tissues, cells or component parts, or a fraction or portion thereof, including but not limited to, for example, plasma, serum, spinal fluid, lymph fluid, the external sections of the skin, respiratory, intestinal, and genitourinary tracts, tears, saliva, milk, blood cells, tumors, organs. A sample further refers to a medium, such as a nutrient broth or gel, which may contain cellular components, such as proteins or nucleic acid molecule.
[0316] Signal Sequences: As used herein, the phrase “signal sequences” refers to a sequence which can direct the transport or localization of a protein.
[0317] Single unit close As used herein, a “single unit dose” is a dose of any therapeutic administered in one dose/at one time/single route/single point of contact, i.e., single administration event.
[0318] Similarity. As used herein, the term “similarity” refers to the overall relatedness between polymeric molecules, e.g. between polynucleotide molecules (e.g. DNA molecules and/or RNA molecules) and/or between polypeptide molecules. Calculation of percent similarity of polymeric molecules to one another can be performed in the same manner as a calculation of percent identity, except that calculation of percent similarity takes into account conservative substitutions as is understood in the art.
[0319] Split dose: As used herein, a “split dose” is the division of single unit dose or total daily dose into two or more doses.
[0320] Stable: As used herein “stable” refers to a compound that is sufficiently robust to survive isolation to a useful degree of purity from a reaction mixture, and in one embodiment, capable of formulation into an efficacious therapeutic agent.
[0321] Stabilized: As used herein, the term “stabilize”, “stabilized,” “stabilized region” means to make or become stable.
[0322] Subject: As used herein, the term “subject” or “patient” refers to any organism to which a composition in accordance with the disclosure may be administered, e.g., for experimental, diagnostic, prophylactic, and/or therapeutic purposes. Typical subjects include animals (e.g., mammals such as mice, rats, rabbits, non-human primates, and humans) and/or plants.
[0323] Substantially: As used herein, the term “substantially” refers to the qualitative condition of exhibiting total or near-total extent or degree of a characteristic or property of interest. One of ordinary skill in the biological arts will understand that biological and chemical phenomena rarely, if ever, go to completion and/or proceed to completeness or achieve or avoid an absolute result. The term “substantially” is therefore used herein to capture the potential lack of completeness inherent in many biological and chemical phenomena.
[0324] Substantially equal: As used herein as it relates to time differences between doses, the term means plus/minus 2%. [0325] Substantially simultaneously. As used herein and as it relates to plurality of doses, the term means within 2 seconds.
[0326] Suffering from'. An individual who is “suffering from” a disease, disorder, and/or condition has been diagnosed with or displays one or more symptoms of a disease, disorder, and/or condition.
[0327] Susceptible to'. An individual who is “susceptible to” a disease, disorder, and/or condition has not been diagnosed with and/or may not exhibit symptoms of the disease, disorder, and/or condition but harbors a propensity to develop a disease or its symptoms. In some embodiments, an individual who is susceptible to a disease, disorder, and/or condition (for example, cancer) may be characterized by one or more of the following: (1) a genetic mutation associated with development of the disease, disorder, and/or condition; (2) a genetic polymorphism associated with development of the disease, disorder, and/or condition; (3) increased and/or decreased expression and/or activity of a protein and/or nucleic acid associated with the disease, disorder, and/or condition; (4) habits and/or lifestyles associated with development of the disease, disorder, and/or condition; (5) a family history of the disease, disorder, and/or condition; and (6) exposure to and/or infection with a microbe associated with development of the disease, disorder, and/or condition. In some embodiments, an individual who is susceptible to a disease, disorder, and/or condition will develop the disease, disorder, and/or condition. In some embodiments, an individual who is susceptible to a disease, disorder, and/or condition will not develop the disease, disorder, and/or condition.
[0328] Sustained release: As used herein, the term “sustained release” refers to a pharmaceutical composition or compound release profile that conforms to a release rate over a specific period of time.
[0329] Synthetic. The term “synthetic” means produced, prepared, and/or manufactured by the hand of man. Synthesis of polynucleotides or polypeptides or other molecules of the present disclosure may be chemical or enzymatic.
[0330] Targeted Cells: As used herein, “targeted cells” refers to any one or more cells of interest. The cells may be found in vitro, in vivo, in situ or in the tissue or organ of an organism. The organism may be an animal, in one embodiment, a mammal, or a human and in one embodiment, a patient.
[0331] Therapeutic Agent: The term “therapeutic agent” refers to any agent that, when administered to a subject, has a therapeutic, diagnostic, and/or prophylactic effect and/or elicits a desired biological and/or pharmacological effect. [0332] Therapeutically effective amount: As used herein, the term “therapeutically effective amount” means an amount of an agent to be delivered (e.g., nucleic acid, drug, therapeutic agent, diagnostic agent, prophylactic agent, etc.) that is sufficient, when administered to a subject suffering from or susceptible to an infection, disease, disorder, and/or condition, to treat, improve symptoms of, diagnose, prevent, and/or delay the onset of the infection, disease, disorder, and/or condition.
[0333] Therapeutically effective outcome'. As used herein, the term “therapeutically effective outcome” means an outcome that is sufficient in a subject suffering from or susceptible to an infection, disease, disorder, and/or condition, to treat, improve symptoms of, diagnose, prevent, and/or delay the onset of the infection, disease, disorder, and/or condition. [0334] Total daily dose: As used herein, a “total daily dose” is an amount given or prescribed in 24 hour period. It may be administered as a single unit dose.
[0335] Transcription factor: As used herein, the term “transcription factor” refers to a
DNA-binding protein that regulates transcription of DNA into RNA, for example, by activation or repression of transcription. Some transcription factors effect regulation of transcription alone, while others act in concert with other proteins. Some transcription factor can both activate and repress transcription under certain conditions. In general, transcription factors bind a specific target sequence or sequences highly similar to a specific consensus sequence in a regulatory region of a target gene. Transcription factors may regulate transcription of a target gene alone or in a complex with itself (as a homodimer) other with other molecules (as a heterodimer). Each of these complex formation is able to induce multiple regulatory function from a single transcription factor.
[0336] Treating'. As used herein, the term “treating” refers to partially or completely alleviating, ameliorating, improving, relieving, delaying onset of, inhibiting progression of, reducing severity of, and/or reducing incidence of one or more symptoms or features of a particular infection, disease, disorder, and/or condition. For example, “treating” cancer may refer to inhibiting survival, growth, and/or spread of a tumor. Treatment may be administered to a subject who does not exhibit signs of a disease, disorder, and/or condition and/or to a subject who exhibits only early signs of a disease, disorder, and/or condition for the purpose of decreasing the risk of developing pathology associated with the disease, disorder, and/or condition.
[0337] The phrase "a method of treating" or its equivalent, when applied to, for example, cancer refers to a procedure or course of action that is designed to reduce, eliminate or prevent the number of cancer cells in an individual, or to alleviate the symptoms of a cancer. "A method of treating" cancer or another proliferative disorder does not necessarily mean that the cancer cells or other disorder will, in fact, be completely eliminated, that the number of cells or disorder will, in fact, be reduced, or that the symptoms of a cancer or other disorder will, in fact, be alleviated. Often, a method of treating cancer will be performed even with a low likelihood of success, but which, given the medical history and estimated survival expectancy of an individual, is nevertheless deemed an overall beneficial course of action.
[0338] Tumor growth: As used herein, the term “tumor growth” or “tumor metastases growth”, unless otherwise indicated, is used as commonly used in oncology, where the term is principally associated with an increased mass or volume of the tumor or tumor metastases, primarily as a result of tumor cell growth.
[0339] Tumor Burden: As used herein, the term “tumor burden” refers to the total Tumor Volume of all tumor nodules with a diameter in excess of 3mm carried by a subject.
[0340] Tumor Volume: As used herein, the term “tumor volume” refers to the size of a tumor. The tumor volume in mm3 is calculated by the formula: volume = (width)2 x length/2. [0341] Unmodified.' As used herein, “unmodified” refers to any substance, compound or molecule prior to being changed in any way. Unmodified may, but does not always, refer to the wild type or native form of a biomolecule. Molecules may undergo a series of modifications whereby each modified molecule may serve as the “unmodified” starting molecule for a subsequent modification.
Equivalents and Scope
[0342] Those skilled in the art will recognize, or be able to ascertain using no more than routine experimentation, many equivalents to the specific embodiments in accordance with the disclosure described herein. The scope of the present disclosure is not intended to be limited to the above Description, but rather is as set forth in the appended claims.
[0343] In the claims, articles such as “a,” “an,” and “the” may mean one or more than one unless indicated to the contrary or otherwise evident from the context. Claims or descriptions that include “or” between one or more members of a group are considered satisfied if one, more than one, or all of the group members are present in, employed in, or otherwise relevant to a given product or process unless indicated to the contrary or otherwise evident from the context. The disclosure includes embodiments in which exactly one member of the group is present in, employed in, or otherwise relevant to a given product or process. The disclosure includes embodiments in which more than one, or all of the group members are present in, employed in, or otherwise relevant to a given product or process. [0344] It is also noted that the term “comprising” is intended to be open and permits the inclusion of additional elements or steps.
[0345] Where ranges are given, endpoints are included. Furthermore, it is to be understood that unless otherwise indicated or otherwise evident from the context and understanding of one of ordinary skill in the art, values that are expressed as ranges can assume any specific value or subrange within the stated ranges in different embodiments of the disclosure, to the tenth of the unit of the lower limit of the range, unless the context clearly dictates otherwise.
[0346] In addition, it is to be understood that any particular embodiment of the present disclosure that falls within the prior art may be explicitly excluded from any one or more of the claims. Since such embodiments are deemed to be known to one of ordinary skill in the art, they may be excluded even if the exclusion is not set forth explicitly herein. Any particular embodiment of the compositions of the disclosure (e.g., any nucleic acid or protein encoded thereby; any method of production; any method of use; etc.) can be excluded from any one or more claims, for any reason, whether or not related to the existence of prior art.
[0347] All cited sources, for example, references, publications, databases, database entries, and art cited herein, are incorporated into this application by reference, even if not expressly stated in the citation. In case of conflicting statements of a cited source and the instant application, the statement in the instant application shall control.
[0348] The disclosure is further illustrated by the following non-limiting examples.
EXAMPLES
Materials and Procedures:
Transfection of saRNA
[0349] The saRNA of the present disclosure may be produced by any suitable method, for example synthetically or by expression in cells using standard molecular biology techniques which are well-known to a person of ordinary skill in the art. For example, the saRNA of the present disclosure may be chemically synthesized or recombinantly produced using methods known in the art.
[0350] Sense and antisense strands of saRNA are synthesized. They are first annealed in a Tris-EDTA based buffer following a denaturing step at 90°C, followed by a gradual anneal step to room temperature. Cells were seeded at 0.25 to IxlO5 per well in a 24- well plate and transfected using Lipofectamine 2000 (Life Technologies). Transfection is performed immediately after seeding with the indicated oligonucleotide concentration using 1 uL of Lipofectamine 2000. Cells were then transfected 24 hours later and harvested for analysis 48 hours and 72 hours after seeding. RT-PCR
[0351] saRNA is transfected into 0.25 to IxlO5 cells. Total RNA is harvested posttransfection at 48 hours and 72 hours. The RNA isolated at 72 hours receives two sequential transfection of oligonucleotide. Total RNA is recovered using the RNeasy Mini Kit (QIAGEN) following the manufacturer's recommendation. The RNA is quantified using a QIAxpert machine (QIAGEN). 100 ng - 500 ng of total RNA from each sample is reverse transcribed using the One Step RT-PCR kit (Qiagen) following the manufacturer's recommendation. Relative expression levels were determined by real-time PGR using Quantifast SYBR Green Master Mix (QIAGEN) with validated Quantifast SYBR Probes from QIAGEN.
Example 1. Upregulation of IL10 mRNA expressions with IL10 saRNAs in vitro
[0352] In this study, upregulation of total IL10 mRNA levels by saRNA treatment was first tested in SK-MEL-30 cells (human melanoma cell line). SK-MEL-30 cells (human melanoma cell line) were seeded at 50.000 cells/well in a 24-well plate and reverse transfected with 20 nM oligo at seeding, forward transfected 24 h later, and collected 48 h and 72 h after seeding for analysis. Transfection reagent used was RNAiMAX (1.5 pl/well). GAPDH was used as housekeeping gene. N = 2 experiments. Relative expressions of total IL10 mRNA levels were normalized to FLUC or cell. The following saRNAs were tested: PR16, PR32, PR36, PR38, PR40, PR83, PR111, PR119, PR133, PR136, PR144, PR173, PR195, and PR197.
[0353] From this panel, saRNAs that consistently induced upregulation within the target range were identified. The results are shown in FIG. 2A (normalized to FLUC) and FIG. 2B (normalized to cell).
[0354] In a further study, SK-MEL-30 cells received lx transfection with lOnM of Pr-173. As shown in FIG. 3A, lx transfection with lOnM of Pr-173 significantly increased IL10 expressions. FIG. 3B shows IL19 gene expression was also upregulated.
[0355] In yet another study, transcription analysis in IL- 10 locus upon the transfection of IL- 10 saRNAs was conducted. The transcription level (pre-mRNA level) data in FIG. 4 show that Pr-173 significantly increased the expression of IL- 10 by activating transcription.
Example 2. Long-lasting effects of Pr-173 on the IL10 gene
[0356] IL10 is a repressed gene in the SK-MEL-30 cells. In this study, ChIP qPCR experiments for open chromatin marks (H3K4me3, H3K9me2) were performed using region- specific primers. As shown in FIG. 5A-5C, Pr-173 may activate the IL10 gene by epigenetic modifications creating an active and open chromatin environment and reducing repression. [0357] Furthermore, since the saRNA Pr-173 may cause a modification in the chromatin environment allowing more open and transcription-permissive conditions, whether the chromatin also worked by enabling durable effects through chromatin / transcriptional memory was examined. An in vitro experiment was performed wherein the cells were transfected only once with the saRNA Pr-173 and they were then split after 72hr without further addition of the saRNA and left to grow for another 72hr. Therefore, the saRNA Pr- 173 was transfected once and the RNA effects were measured after 144hr (6 days). Both nascent (pre-mRNA) transcription levels and also mature mRNA levels were measured. As shown in FIG. 6, Pr-173 has long-lasting effects on IL10 through transcriptional memory. Pr- 173 may work through changes in chromatin environment, followed by chromatin offering natural memory creating hotspots of activation. It is demonstrated that saRNAs have a great potential for increased duration in repressed genes.
[0358] To further substantiate that the above durable effect was indeed due to a stable persistence in the open chromatin environment, a similar experiment to the one described above was performed but chromatin levels were measured via ChIP analysis, as the final read-out. FIG. 7A and FIG. 7B show active IL10 chromatin data on a silent locus after 6 days. These results collectively suggest that the IL10 gene remained active 6 days after the administration of the saRNA Pr-173 because of the persistent occupancy of open and active (initiative) chromatin mark.
[0359] Beta-actin (b-action), as a housekeeping gene, was used as a control in this study. B-actin is a constitutively active gene where the saRNA Pr-173 does not bind to and therefore is not regulated by Pr-173. Consequently, the effects observed on IL10 gene should not be observed in the control gene b-actin. The ChIP data for beta-actin in FIG. 8 confirm that the effects of Pr-173 on IL10 are specific and that IL10 is indeed a repressed gene that gets activated via Pr-173 in a specific manner.
[0360] Similar studies were conducted to test the effect of Prl73 on the ILK gene. As shown in FIG. 9, IL 19 expression remains active after 6 days and 1 transfection, but in lower levels than the IL 10 gene. Not willing to be bound by any theory, this might indicate that Prl73 has a primally effect on the IL 10 gene (specificity) and ILK increased expression is a consequence of the effects on IL10, due to the natural proximity of the IL 19 gene to the IL 10 gene. OTHER EMBODIMENTS
[0361] It is to be understood that while the present disclosure has been described in conjunction with the detailed description thereof, the foregoing description is intended to illustrate and not limit the scope of the present disclosure, which is defined by the scope of the appended claims. Other aspects, advantages, and modifications are within the scope of the following claims.

Claims

Claims
1. A synthetic isolated small activating RNA (saRNA), wherein the saRNA comprises a sense strand and/or an antisense strand comprising a sequence selected from the sequences in Table 3 and Table 4.
2. The saRNA of claim 1 comprising a sequence selected from SEQ ID NO: 174, 176,
178, 180, 182, 184, 186, 188, 190, 192, 194, 196, 198, 200, 202, 204, 206, 208, 210, 212, 214, 216, 218, 220, 222, 224, 226, 228, 230, 232, 234, 236, 238, 240, 242, 244, 246, 248, 250, 252, 254, 256, 258, 260, 262, 264, 266, 268, 270, 272, 274, 276, 278, 280, 282, 284, 286, 288, 290, 292, 294, 296, 298, 300, 302, 304, 306, 308, 310, 312, 314, 316, 318, 320, 322, 324, 326, 328, 330, 332, 334, 336, 338, 340, 342, 344, 346, 348, 350, 352, 354, 356, 358, 360, 362, 364, 366, 368, 370, 372, 374, 376, 378, 380, 382, 384, 386, 388, 390, 392, 394, 396, 398, 400, 402, 404, 406, 408, 410, 412, 414, 416, 418, 420, 422, 424, 426, 428, 30, 432, 434, 436, 438, 440, 442, 444, 446, 448, 450, 452, 454, 456, 458, 460, 462, 464, 66, 468, 470, 472, 474, 476, 478, 480, 482, 484, 486, 488, 490, 492, 494, 496, 498, 500, 502, 504, 506, 508, 510, 512, 514, 516, 518, 520, 522, 524, 526, 528, 530, 532, 534, 536, 38, 540, 542, 544, 546, 548, 550, 552, 554: 556, 558, 560, 562, 564, 566, 568, 570, 572, 74, 576, 578, 580, 582, 584, 586, 588, 590, 592, 594, 596, 598, 600, 602, 604, 606, 608, 10, 612, 614, 616, 618, 620, 622, 624, 626, 628, 630, 632, 634, 636, 638, 640, 642, 644, 46, 648, 650, 652, 654, 656, 658, 660, 662, 664, 666, 668, 670, 672, 674, 676, 678, 680, 82, 684, 686, 688, 690, 692, 694, 696, 698, 700, 702, 704, 706, 708, 710, 712, 714, 716, 18, 720, 722, 724, 726, 728, 730, 732, 734, 736, 738, 740, 742, 744, 746, 748, 750, 752, 54, 756, 758, 760, 762, 764, 766, 768, 770, 772, 774, 776, 778, 780, 782, 784, 786, 788, 90, 792, 794, 796, 798, 800, 802, 804, 806, 808, 810, 812, 814, 816, 818, 820, 822, 824, 26, 828, 830, 832, 834, 836, 838, 840, 842, 844, 846, 848, 850, 852, 854, 856, 173, 175, 77, 179, 181, 183, 185, 187, 189, 191, 193, 195, 197, 199, 201, 203, 205, 207, 209, 211, 13, 215, 217, 219, 221, 223, 225, 227, 229, 231, 233, 235, 237, 239, 241, 243, 245, 247, 49, 251, 253, 255, 257, 259, 261, 263, 265, 267, 269, 271, 273, 275, 277, 279, 281, 283, 85, 287, 289, 291, 293, 295, 297, 299, 301, 303, 305, 307, 309, 311, 313, 315, 317, 319, 21, 323, 325, 327, 329, 331, 333, 335, 337, 339, 341, 343, 345, 347, 349, 351, 353, 355, 57, 359, 361, 363, 365, 367, 369, 371, 373, 375, 377, 379, 381, 383, 385, 387, 389, 391, 93, 395, 397, 399, 401, 403, 405, 407, 409, 411, 413, 415, 417, 419, 421, 423, 425, 427 429, 431, 433, 435, 437, 439, 441, 443, 445, 447, 449, 451, 453, 455, 457, 459, 461, 463,
465, 467, 469, 471, 473, 475, 477, 479, 481, 483, 485, 487, 489, 491, 493, 495, 497, 499,
501, 503, 505, 507, 509, 511, 513, 515, 517, 519, 521, 523, 525, 527, 529, 531, 533, 535,
537, 539, 541, 543, 545, 547, 549, 551, 553, 555, 557, 559, 561, 563, 565, 567, 569, 571,
573, 575, 577, 579, 581, 583, 585, 587, 589, 591, 593, 595, 597, 599, 601, 603, 605, 607,
609, 611, 613, 615, 617, 619, 621, 623, 625, 627, 629, 631, 633, 635, 637, 639, 641, 643,
645, 647, 649, 651, 653, 655, 657, 659, 661, 663, 665, 667, 669, 671, 673, 675, 677, 679,
681, 683, 685, 687, 689, 691, 693, 695, 697, 699, 701, 703, 705, 707, 709, 711, 713, 715,
717, 719, 721, 723, 725, 727, 729, 731 , 733, 735, 737, 739, 741, 743, 745, 747, 749, 751,
753, 755, 757, 759, 761, 763, 765, 767, 769, 771, 773, 775, 777, 779, 781, 783, 785, 787,
789, 791, 793, 795, 797, 799, 801, 803, 805, 807, 809, 811, 813, 815, 817, 819, 821, 823,
825, 827, 829, 831, 833, 835, 837, 839, 841, 843, 845, 847, 849, 851, 853, and 855.
3. The saRNA of claim 1 or claim 2, wherein the saRNA comprises at least one chemical modification.
4. The saRNA of any one of claims 1-3 wherein the saRNA is Pr-173, Pr-173’, Pr-111 or Pr-111 ’.
5. The saRNA of any one of claims 1-4, wherein the saRNA comprises a sequence selected from SEQ ID NOs: 181, 182, 193, 194, 523, 524, 535 and 536.
6. The saRNA of any one of claims 1-5, wherein the saRNA is Pr-173 or Pr-173’.
7. The saRNA of any one of claims 1-6, wherein the saRNA comprises a sequence selected from SEQ ID NOs: 193, 194, 535, and 536.
8. The saRNA of any one of claims 1-7, wherein the saRNA comprises the sequence of SEQ ID NO: 193 or 535.
9. A synthetic isolated small activating RNA (saRNA) which up-regulates the expression of at least one target gene in a cell, wherein the at least one target gene is IL10 and/or IL19, wherein the saRNA comprises an antisense strand that is at least 80% complementary to a targeted sequence of the target gene, wherein the antisense strand consists of 14-30 nucleotides, and wherein the saRNA comprises at least one chemical modification.
10. The saRNA of claim 9, wherein the targeted sequence is selected from SEQ ID NOs: 2-172.
11. The saRNA of claim 9 or claim 10, wherein the antisense strand comprises a sequence selected from SEQ ID NO: 174, 176, 178, 180, 182, 184, 186, 188, 190, 192, 194, 196, 198, 200, 202, 204, 206, 208, 210, 212, 214, 216, 218, 220, 222, 224, 226, 228, 230, 232, 234, 236, 238, 240, 242, 244, 246, 248, 250, 252, 254, 256, 258, 260, 262, 264, 266, 268, 270, 272, 274, 276, 278, 280, 282, 284, 286, 288, 290, 292, 294, 296, 298, 300, 302, 304, 306, 308, 310, 312, 314, 316, 318, 320, 322, 324, 326, 328, 330, 332, 334, 336, 338, 340, 342, 344, 346, 348, 350, 352, 354, 356, 358, 360, 362, 364, 366, 368, 370, 372, 374, 376, 378, 380, 382, 384, 386, 388, 390, 392, 394, 396, 398, 400, 402, 404, 406, 408, 410, 412, 414, 416, 418, 420, 422, 424, 426, 428, 430, 432, 434, 436, 438, 440, 442, 444, 446, 448, 450, 452, 454, 456, 458, 460, 462, 464, 466, 468, 470, 472, 474, 476, 478, 480, 482, 484, 486, 488, 490, 492, 494, 496, 498, 500, 502, 504, 506, 508, 510, 512, and 514.
12. The saRNA of claim 9 or claim 10, wherein the antisense strand comprises a 3’ overhang.
13. The saRNA of claim 12, wherein the 3’ overhang is uu, UU, or UUU.
14. The saRNA of any one of claims 9, 10, 12 and 13, wherein the antisense strand comprises a sequence selected from SEQ ID NO: 516, 518, 520, 522, 524, 526, 528, 530, 532, 534, 536, 538, 540, 542, 544, 546, 548, 550, 552, 554, 556, 558, 560, 562, 564, 566,
568, 570, 572, 574, 576, 578, 580, 582, 584, 586, 588, 590, 592, 594, 596, 598, 600, 602,
604, 606, 608, 610, 612, 614, 616, 618, 620, 622, 624, 626, 628, 630, 632, 634, 636, 638,
640, 642, 644, 646, 648, 650, 652, 654, 656, 658, 660, 662, 664, 666, 668, 670, 672, 674,
676, 678, 680, 682, 684, 686, 688, 690, 692, 694, 696, 698, 700, 702, 704, 706, 708, 710,
712, 714, 716, 718, 720, 722, 724, 726, 728, 730, 732, 734, 736, 738, 740, 742, 744, 746,
748, 750, 752, 754, 756, 758, 760, 762, 764, 766, 768, 770, 772, 774, 776, 778, 780, 782,
784, 786, 788, 790, 792, 794, 796, 798, 800, 802, 804, 806, 808, 810, 812, 814, 816, 818, 820, 822, 824, 826, 828, 830, 832, 834, 836, 838, 840, 842, 844, 846, 848, 850, 852, 854, and 856.
15. The saRNA of any of claims 9-14, wherein the saRNA is double stranded and further comprises a sense strand.
16. The saRNA of claim 15, wherein the sense strand comprises a sequence selected from SEQ ID NO: 173, 175, 177, 179, 181, 183, 185, 187, 189, 191, 193, 195, 197, 199, 201, 203, 205, 207, 209, 211, 213, 215, 217, 219, 221, 223, 225, 227, 229, 231, 233, 235, 237, 239, 241, 243, 245, 247, 249, 251, 253, 255, 257, 259, 261, 263, 265, 267, 269, 271, 273, 275, 277, 279, 281, 283, 285, 287, 289, 291, 293, 295, 297, 299, 301, 303, 305, 307, 309, 311, 313, 315, 317, 319, 321, 323, 325, 327, 329, 331, 333, 335, 337, 339, 341, 343, 345, 347, 349, 351, 353, 355, 357, 359, 361, 363, 365, 367, 369, 371, 373, 375, 377, 379, 381, 383, 385, 387, 389, 391, 393, 395, 397, 399, 401, 403, 405, 407, 409, 411, 413, 415, 417, 419, 421, 423, 425, 427, 429, 431, 433, 435, 437, 439, 441, 443, 445, 447, 449, 451, 453, 455, 457, 459, 461, 463, 465, 467, 469, 471, 473, 475, 477, 479, 481, 483, 485, 487, 489, 491, 493, 495, 497, 499, 501, 503, 505, 507, 509, 511, and 513.
17. The saRNA of claim 15, wherein the sense strand comprises a 3’ overhang and/or a 5’ overhang.
18. The saRNA of claim 17, wherein the 3’ overhang is uu, UU, or UUU.
19. The saRNA of claim 17 or claim 18, wherein the 5’ overhang is dT, ddT, inv ddT or invAb.
20. The saRNA of any one of claims 15 and 17-19, wherein the sense strand comprises a sequence selected from SEQ ID NO: 515, 517, 519, 521, 523, 525, 527, 529, 531, 533, 535, 537, 539, 541, 543, 545, 547, 549, 551, 553, 555, 557, 559, 561, 563, 565, 567, 569, 571,
573, 575, 577, 579, 581, 583, 585, 587, 589, 591, 593, 595, 597, 599, 601, 603, 605, 607,
609, 611, 613, 615, 617, 619, 621, 623, 625, 627, 629, 631, 633, 635, 637, 639, 641, 643,
645, 647, 649, 651, 653, 655, 657, 659, 661, 663, 665, 667, 669, 671, 673, 675, 677, 679,
681, 683, 685, 687, 689, 691, 693, 695, 697, 699, 701, 703, 705, 707, 709, 711, 713, 715,
717, 719, 721, 723, 725, 727, 729, 731, 733, 735, 737, 739, 741, 743, 745, 747, 749, 751, 1 , 755, 757, 759, 761, 763, 765, 767, 769, 771, 773, 775, 777, 779, 781, 783, 785, 787,
789, 791 , 793, 795, 797, 799, 801, 803, 805, 807, 809, 81 1, 813, 815, 817, 819, 821, 823,
825, 827, 829, 831, 833, 835, 837, 839, 841, 843, 845, 847, 849, 851, 853, and 855.
21. The saRNA of any one of claims 9-20, wherein the cell is a myeloid cell, a bone marrow cell, a B lymphocyte, a melanocyte, a neuronal cell, or a muscle cell.
22. The saRNA of claim any one of claims 9-21, wherein the cell is a granulocyte, a megakaryocyte, a macrophage, a dendritic cell, or a monocyte cell.
23. A synthetic isolated small activating RNA (saRNA) which up-regulates the expression of at least one target gene in a cell, wherein the at least one target gene is IL10 and/or IL19, wherein the saRNA comprises a sense strand that is at least 80% complementary to a targeted sequence of the target gene, wherein the sense strand consists of 14-30 nucleotides, and wherein the saRNA comprises at least one chemical modification.
24. The saRNA of claim 23, wherein the sense strand comprises a sequence selected from
SEQ ID NO: 173, 175, 177, 179, 181, 183, 185, 187, 189, 191, 193, 195, 197, 199, 201, 203, 205, 207, 209, 211, 213, 215, 217, 219, 221, 223, 225, 227, 229, 231, 233, 235, 237, 239,
241, 243, 245, 247, 249, 251, 253, 255, 257, 259, 261, 263, 265, 267, 269, 271, 273, 275,
277, 279, 281, 283, 285, 287, 289, 291, 293, 295, 297, 299, 301, 303, 305, 307, 309, 311,
313, 315, 317, 319, 321, 323, 325, 327, 329, 331, 333, 335, 337, 339, 341, 343, 345, 347,
349, 351, 353, 355, 357, 359, 361, 363, 365, 367, 369, 371, 373, 375, 377, 379, 381, 383,
385, 387, 389, 391, 393, 395, 397, 399, 401, 403, 405, 407, 409, 411, 413, 415, 417, 419,
421, 423, 425, 427, 429, 431, 433, 435, 437, 439, 441, 443, 445, 447, 449, 451, 453, 455,
457, 459, 461, 463, 465, 467, 469, 471, 473, 475, 477, 479, 481, 483, 485, 487, 489, 491,
493, 495, 497, 499, 501, 503, 505, 507, 509, 511, and 513.
25. The saRNA of claim 23, wherein the sense strand comprises a 3’ overhang and/or a 5’ overhang.
26. The saRNA of claim 25, wherein the 3’ overhang is uu, UU, or UUU.
27. The saRNA of claim 25 or claim 26, wherein the 5’ overhang is dT, ddT, inv ddT or invAb.
28. The saRNA of any one of claims 23 and 25-27, wherein the sense strand comprises a sequence selected from SEQ ID NO: 515, 517, 519, 521, 523, 525, 527, 529, 531, 533, 535, 537, 539, 541, 543, 545, 547, 549, 551, 553, 555, 557, 559, 561, 563, 565, 567, 569, 571, 573, 575, 577, 579, 581, 583, 585, 587, 589, 591, 593, 595, 597, 599, 601, 603, 605, 607, 609, 611, 613, 615, 617, 619, 621, 623, 625, 627, 629, 631, 633, 635, 637, 639, 641, 643, 645, 647, 649, 651, 653, 655, 657, 659, 661, 663, 665, 667, 669, 671, 673, 675, 677, 679, 681, 683, 685, 687, 689, 691 , 693, 695, 697, 699, 701, 703, 705, 707, 709, 711, 713, 715, 717, 719, 721, 723, 725, 727, 729, 731, 733, 735, 737, 739, 741, 743, 745, 747, 749, 751, 753, 755, 757, 759, 761, 763, 765, 767, 769, 771, 773, 775, 777, 779, 781, 783, 785, 787, 789, 791, 793, 795, 797, 799, 801, 803, 805, 807, 809, 811, 813, 815, 817, 819, 821, 823, 825, 827, 829, 831, 833, 835, 837, 839, 841, 843, 845, 847, 849, 851, 853, and 855.
29. The saRNA of any one of claims 23-28, wherein the saRNA comprises the sequence of SEQ ID NO: 193 or 535.
30. The saRNA of any one of claims 23-29, wherein the saRNA is double stranded and further comprises an antisense strand.
31. The saRNA of claim 30 wherein the antisense strand comprises a sequence selected from SEQ ID NO: 174, 176, 178, 180, 182, 184, 186, 188, 190, 192, 194, 196, 198, 200, 202, 204, 206, 208, 210, 212, 214, 216, 218, 220, 222, 224, 226, 228, 230, 232, 234, 236, 238, 240, 242, 244, 246, 248, 250, 252, 254, 256, 258, 260, 262, 264, 266, 268, 270, 272, 274, 276, 278, 280, 282, 284, 286, 288, 290, 292, 294, 296, 298, 300, 302, 304, 306, 308, 310, 312, 314, 316, 318, 320, 322, 324, 326, 328, 330, 332, 334, 336, 338, 340, 342, 344, 346, 348, 350, 352, 354, 356, 358, 360, 362, 364, 366, 368, 370, 372, 374, 376, 378, 380, 382, 384, 386, 388, 390, 392, 394, 396, 398, 400, 402, 404, 406, 408, 410, 412, 414, 416, 418, 420, 422, 424, 426, 428, 430, 432, 434, 436, 438, 440, 442, 444, 446, 448, 450, 452, 454, 456, 458, 460, 462, 464, 466, 468, 470, 472, 474, 476, 478, 480, 482, 484, 486, 488, 490, 492, 494, 496, 498, 500, 502, 504, 506, 508, 510, 512, and 514.
32. The saRNA of claim 30, wherein the antisense strand comprises a 3’ overhang.
33. The saRNA of claim 32, wherein the 3’ overhang is uu, UU, or UUU.
34. The saRNA of any one of claims 30 or 32-33, wherein the antisense strand comprises a sequence selected from SEQ ID NO: 516, 518, 520, 522, 524, 526, 528, 530, 532, 534, 536, 538, 540, 542, 544, 546, 548, 550, 552, 554, 556, 558, 560, 562, 564, 566, 568, 570, 572,
574, 576, 578, 580, 582, 584, 586, 588, 590, 592, 594, 596, 598, 600, 602, 604, 606, 608,
610, 612, 614, 616, 618, 620, 622, 624, 626, 628, 630, 632, 634, 636, 638, 640, 642, 644,
646, 648, 650, 652, 654, 656, 658, 660, 662, 664, 666, 668, 670, 672, 674, 676, 678, 680,
682, 684, 686, 688, 690, 692, 694, 696, 698, 700, 702, 704, 706, 708, 710, 712, 714, 716,
718, 720, 722, 724, 726, 728, 730, 732, 734, 736, 738, 740, 742, 744, 746, 748, 750, 752,
754, 756, 758, 760, 762, 764, 766, 768, 770, 772, 774, 776, 778, 780, 782, 784, 786, 788,
790, 792, 794, 796, 798, 800, 802, 804, 806, 808, 810, 812, 814, 816, 818, 820, 822, 824,
826, 828, 830, 832, 834, 836, 838, 840, 842, 844, 846, 848, 850, 852, 854, and 856.
35. The saRNA of any one of claims 30-34, wherein the antisense strand comprises the sequence of SEQ ID NO: 194 or 536.
36. The saRNA of any one of claims 23-35, wherein the cell is a myeloid cell, a bone marrow cell, a B lymphocyte, a melanocyte, a neuronal cell, or a muscle cell.
37. The saRNA of any one of claims 23-36, wherein the cell is a granulocyte, a megakaryocyte, a macrophage, a dendritic cell, or a monocyte cell.
38. A pharmaceutical composition comprising the saRNA of any one of claims 1-37 and at least one pharmaceutically acceptable excipient.
39. The pharmaceutical composition of claim 38, further comprising liposomes.
40. A method of up-regulating the expression of at least one target gene in a cell, wherein the at least one target gene is ILK) and/or IL19, comprising contacting the cell with the saRNA of any of claims 1-37 or the composition of claim 38 or claim 39.
41. The method of claim 40, wherein the expression of the target gene is increased by at least 30%, 40%, or 50% following contacting the cell with the saRNA.
42. The method of claim 40 or claim 41 , wherein the cell is a myeloid cell, a bone marrow cell, a B lymphocyte, a melanocyte, a neuronal cell, or a muscle cell.
43. The method of any one of claims 40-42, wherein the cell is a granulocyte, a megakaryocyte, a macrophage, a dendritic cell, or a monocyte cell.
44. A method of treating a disease of a subject, comprising administering a therapeutically effective amount of the saRNA of any one of claims 1-37 or the pharmaceutical composition of claim 38 or claim 39 to the subject in need thereof.
45. The method of claim 44, wherein the disease is chronic inflammation or an autoimmune disorder.
46. The method of claim 44 or claim 45, wherein the disease is traumatic brain injury, amyotrophic lateral sclerosis (ALS), Multiple Sclerosis, neuroinflammation, Graft Versus Host disease.
47. The method of claim 44, wherein the disease is cancer.
48. The saRNA of any one of claims 1-37 or the pharmaceutical composition of claim 38 or claim 39 for use in treating a disease in a subject.
49. The saRNA or pharmaceutical composition for use of claim 48, wherein the disease is chronic inflammation or an autoimmune disorder.
50. The saRNA or pharmaceutical composition for use of claim 48 or claim 49, wherein the disease is traumatic brain injury, amyotrophic lateral sclerosis (ALS), Multiple Sclerosis, neuroinflammation, Graft Versus Host disease.
51. The saRNA or pharmaceutical composition for use of claim 48, wherein the disease is cancer.
52. Use of the saRNA of any one of claims 1-37 or the pharmaceutical composition of claim 38 or claim 39 for the preparation of a medicament for treating a disease in a subject.
53. The use of claim 52, wherein the disease is chronic inflammation or an autoimmune disorder.
54. The use of claim 52 or 53, wherein the disease is traumatic brain injury, amyotrophic lateral sclerosis (ALS), Multiple Sclerosis, neuroinflammation, Graft Versus Host disease.
55. The use of claim 52, wherein the disease is cancer.
PCT/GR2023/0000052022-03-072023-03-06Il10 sarna compositions and methods of useCeasedWO2023170435A1 (en)

Applications Claiming Priority (2)

Application NumberPriority DateFiling DateTitle
US202263317207P2022-03-072022-03-07
US63/317,2072022-03-07

Publications (1)

Publication NumberPublication Date
WO2023170435A1true WO2023170435A1 (en)2023-09-14

Family

ID=85726953

Family Applications (1)

Application NumberTitlePriority DateFiling Date
PCT/GR2023/000005CeasedWO2023170435A1 (en)2022-03-072023-03-06Il10 sarna compositions and methods of use

Country Status (1)

CountryLink
WO (1)WO2023170435A1 (en)

Citations (187)

* Cited by examiner, † Cited by third party
Publication numberPriority datePublication dateAssigneeTitle
US4587044A (en)1983-09-011986-05-06The Johns Hopkins UniversityLinkage of proteins to nucleic acids
US4605735A (en)1983-02-141986-08-12Wakunaga Seiyaku Kabushiki KaishaOligonucleotide derivatives
US4667025A (en)1982-08-091987-05-19Wakunaga Seiyaku Kabushiki KaishaOligonucleotide derivatives
US4762779A (en)1985-06-131988-08-09Amgen Inc.Compositions and methods for functionalizing nucleic acids
US4824941A (en)1983-03-101989-04-25Julian GordonSpecific antibody to the native form of 2'5'-oligonucleotides, the method of preparation and the use as reagents in immunoassays or for binding 2'5'-oligonucleotides in biological systems
US4828979A (en)1984-11-081989-05-09Life Technologies, Inc.Nucleotide analogs for nucleic acid labeling and detection
US4835263A (en)1983-01-271989-05-30Centre National De La Recherche ScientifiqueNovel compounds containing an oligonucleotide sequence bonded to an intercalating agent, a process for their synthesis and their use
US4876335A (en)1986-06-301989-10-24Wakunaga Seiyaku Kabushiki KaishaPoly-labelled oligonucleotide derivative
US4904582A (en)1987-06-111990-02-27Synthetic GeneticsNovel amphiphilic nucleic acid conjugates
US4948882A (en)1983-02-221990-08-14Syngene, Inc.Single-stranded labelled oligonucleotides, reactive monomers and methods of synthesis
US4958013A (en)1989-06-061990-09-18Northwestern UniversityCholesteryl modified oligonucleotides
US5082830A (en)1988-02-261992-01-21Enzo Biochem, Inc.End labeled nucleotide probe
US5109124A (en)1988-06-011992-04-28Biogen, Inc.Nucleic acid probe linked to a label having a terminal cysteine
US5112963A (en)1987-11-121992-05-12Max-Planck-Gesellschaft Zur Foerderung Der Wissenschaften E.V.Modified oligonucleotides
US5118802A (en)1983-12-201992-06-02California Institute Of TechnologyDNA-reporter conjugates linked via the 2' or 5'-primary amino group of the 5'-terminal nucleoside
US5138045A (en)1990-07-271992-08-11Isis PharmaceuticalsPolyamine conjugated oligonucleotides
US5214136A (en)1990-02-201993-05-25Gilead Sciences, Inc.Anthraquinone-derivatives oligonucleotides
US5218105A (en)1990-07-271993-06-08Isis PharmaceuticalsPolyamine conjugated oligonucleotides
US5245022A (en)1990-08-031993-09-14Sterling Drug, Inc.Exonuclease resistant terminally substituted oligonucleotides
US5254469A (en)1989-09-121993-10-19Eastman Kodak CompanyOligonucleotide-enzyme conjugate that can be used as a probe in hybridization assays and polymerase chain reaction procedures
US5258506A (en)1984-10-161993-11-02Chiron CorporationPhotolabile reagents for incorporation into oligonucleotide chains
US5262536A (en)1988-09-151993-11-16E. I. Du Pont De Nemours And CompanyReagents for the preparation of 5'-tagged oligonucleotides
US5272250A (en)1992-07-101993-12-21Spielvogel Bernard FBoronated phosphoramidate compounds
US5292873A (en)1989-11-291994-03-08The Research Foundation Of State University Of New YorkNucleic acids labeled with naphthoquinone probe
US5317098A (en)1986-03-171994-05-31Hiroaki ShizuyaNon-radioisotope tagging of fragments
US5371241A (en)1991-07-191994-12-06Pharmacia P-L Biochemicals Inc.Fluorescein labelled phosphoramidites
US5391723A (en)1989-05-311995-02-21Neorx CorporationOligonucleotide conjugates
US5414077A (en)1990-02-201995-05-09Gilead SciencesNon-nucleoside linkers for convenient attachment of labels to oligonucleotides using standard synthetic methods
US5451463A (en)1989-08-281995-09-19Clontech Laboratories, Inc.Non-nucleoside 1,3-diol reagents for labeling synthetic oligonucleotides
US5486603A (en)1990-01-081996-01-23Gilead Sciences, Inc.Oligonucleotide having enhanced binding affinity
US5510475A (en)1990-11-081996-04-23Hybridon, Inc.Oligonucleotide multiple reporter precursors
US5512667A (en)1990-08-281996-04-30Reed; Michael W.Trifunctional intermediates for preparing 3'-tailed oligonucleotides
US5512439A (en)1988-11-211996-04-30Dynal AsOligonucleotide-linked magnetic particles and uses thereof
US5514785A (en)1990-05-111996-05-07Becton Dickinson And CompanySolid supports for nucleic acid hybridization assays
US5525465A (en)1987-10-281996-06-11Howard Florey Institute Of Experimental Physiology And MedicineOligonucleotide-polyamide conjugates and methods of production and applications of the same
US5545730A (en)1984-10-161996-08-13Chiron CorporationMultifunctional nucleic acid monomer
US5565552A (en)1992-01-211996-10-15Pharmacyclics, Inc.Method of expanded porphyrin-oligonucleotide conjugate synthesis
US5574142A (en)1992-12-151996-11-12Microprobe CorporationPeptide linkers for improved oligonucleotide delivery
US5578718A (en)1990-01-111996-11-26Isis Pharmaceuticals, Inc.Thiol-derivatized nucleosides
US5580731A (en)1994-08-251996-12-03Chiron CorporationN-4 modified pyrimidine deoxynucleotides and oligonucleotide probes synthesized therewith
US5585481A (en)1987-09-211996-12-17Gen-Probe IncorporatedLinking reagents for nucleotide probes
US5587371A (en)1992-01-211996-12-24Pharmacyclics, Inc.Texaphyrin-oligonucleotide conjugates
US5595726A (en)1992-01-211997-01-21Pharmacyclics, Inc.Chromophore probe for detection of nucleic acid
US5595756A (en)1993-12-221997-01-21Inex Pharmaceuticals CorporationLiposomal compositions for enhanced retention of bioactive agents
US5597696A (en)1994-07-181997-01-28Becton Dickinson And CompanyCovalent cyanine dye oligonucleotide conjugates
US5599928A (en)1994-02-151997-02-04Pharmacyclics, Inc.Texaphyrin compounds having improved functionalization
US5608046A (en)1990-07-271997-03-04Isis Pharmaceuticals, Inc.Conjugated 4'-desmethyl nucleoside analog compounds
US5688941A (en)1990-07-271997-11-18Isis Pharmaceuticals, Inc.Methods of making conjugated 4' desmethyl nucleoside analog compounds
WO1999010390A1 (en)1997-08-221999-03-04Idemitsu Petrochemical Co., Ltd.Solid catalyst components for olefin polymerization, catalysts for olefin polymerization and process for producing olefin polymers
WO1999018933A2 (en)1997-10-101999-04-22Inex Pharmaceuticals CorporationMethods for encapsulating nucleic acids in lipid bilayers
US6004573A (en)1997-10-031999-12-21Macromed, Inc.Biodegradable low molecular weight triblock poly(lactide-co-glycolide) polyethylene glycol copolymers having reverse thermal gelation properties
US6086913A (en)1995-11-012000-07-11University Of British ColumbiaLiposomal delivery of AAV vectors
US6177274B1 (en)1998-05-202001-01-23Expression Genetics, Inc.Hepatocyte targeting polyethylene glyco-grafted poly-L-lysine polymeric gene carrier
US6217912B1 (en)1998-07-132001-04-17Expression Genetics, Inc.Polyester analogue of poly-L-lysine as a soluble, biodegradable gene delivery carrier
US6267987B1 (en)1997-12-122001-07-31Samyang CorporationPositively charged poly[alpha-(omega-aminoalkyl) glycolic acid] for the delivery of a bioactive agent via tissue and cellular uptake
US6517869B1 (en)1997-12-122003-02-11Expression Genetics, Inc.Positively charged poly(alpha-(omega-aminoalkyl)lycolic acid) for the delivery of a bioactive agent via tissue and cellular uptake
US20030073619A1 (en)2000-09-142003-04-17Mahato Ram I.Novel cationic lipopolymer as biocompatible gene delivery agent
EP1328254A2 (en)2000-10-252003-07-23The University Of British ColumbiaLipid formulations for target delivery
US6652886B2 (en)2001-02-162003-11-25Expression GeneticsBiodegradable cationic copolymers of poly (alkylenimine) and poly (ethylene glycol) for the delivery of bioactive agents
US20040142474A1 (en)2000-09-142004-07-22Expression Genetics, Inc.Novel cationic lipopolymer as a biocompatible gene delivery agent
US20050222064A1 (en)2002-02-202005-10-06Sirna Therapeutics, Inc.Polycationic compositions for cellular delivery of polynucleotides
US20060008910A1 (en)2004-06-072006-01-12Protiva Biotherapeuties, Inc.Lipid encapsulated interfering RNA
WO2006113246A2 (en)*2005-04-152006-10-26The Regents Of The University Of CaliforniaSmall activating rna molecules and methods of use
US7189705B2 (en)2000-04-202007-03-13The University Of British ColumbiaMethods of enhancing SPLP-mediated transfection using endosomal membrane destabilizers
US7223887B2 (en)2001-12-182007-05-29The University Of British ColumbiaMultivalent cationic lipids and methods of using same in the production of lipid particles
US7312206B2 (en)2001-02-212007-12-25Novosom AgSterol derivatives, liposomes comprising sterol derivatives and method for loading liposomes with active substances
WO2008043575A2 (en)2006-10-132008-04-17Novosom AgImprovements in or relating to amphoteric liposomes
US7404969B2 (en)2005-02-142008-07-29Sirna Therapeutics, Inc.Lipid nanoparticle based compositions and methods for the delivery of biologically active molecules
WO2008103276A2 (en)2007-02-162008-08-28Merck & Co., Inc.Compositions and methods for potentiated activity of biologicaly active molecules
WO2008121949A1 (en)2007-03-302008-10-09Bind Biosciences, Inc.Cancer cell targeting using nanoparticles
US20090042829A1 (en)2007-08-062009-02-12Majed MatarNucleic Acid-Lipopolymer Compositions
WO2009127060A1 (en)2008-04-152009-10-22Protiva Biotherapeutics, Inc.Novel lipid formulations for nucleic acid delivery
WO2009132131A1 (en)2008-04-222009-10-29Alnylam Pharmaceuticals, Inc.Amino lipid based improved lipid formulation
US20100004315A1 (en)2008-03-142010-01-07Gregory SlobodkinBiodegradable Cross-Linked Branched Poly(Alkylene Imines)
US20100004313A1 (en)2008-02-292010-01-07TbdModified Poloxamers for Gene Expression and Associated Methods
WO2010005726A2 (en)2008-06-162010-01-14Bind Biosciences Inc.Therapeutic polymeric nanoparticles with mtor inhibitors and methods of making and using same
WO2010005723A2 (en)2008-06-162010-01-14Bind Biosciences, Inc.Drug loaded polymeric nanoparticles and methods of making and using same
WO2010005725A2 (en)2008-06-162010-01-14Bind Biosciences, Inc.Therapeutic polymeric nanoparticles comprising vinca alkaloids and methods of making and using same
WO2010005740A2 (en)2008-06-162010-01-14Bind Biosciences, Inc.Methods for the preparation of targeting agent functionalized diblock copolymers for use in fabrication of therapeutic targeted nanoparticles
US20100036115A1 (en)1997-07-232010-02-11Sirna Therapeutics, Inc.Novel Compositions for the Delivery of Negatively Charged Molecules
WO2010021865A1 (en)2008-08-182010-02-25Merck Sharp & Dohme Corp.Novel lipid nanoparticles and novel components for delivery of nucleic acids
WO2010030763A2 (en)2008-09-102010-03-18Bind Biosciences, Inc.High throughput fabrication of nanoparticles
US7709566B2 (en)2005-10-202010-05-04Asahi Glass Company, LimitedPolytetrafluoroethylene aqueous dispersion and its product
WO2010075072A2 (en)2008-12-152010-07-01Bind BiosciencesLong circulating nanoparticles for sustained release of therapeutic agents
WO2010080724A1 (en)2009-01-122010-07-15Merck Sharp & Dohme Corp.Novel lipid nanoparticles and novel components for delivery of nucleic acids
US7780983B2 (en)2001-02-212010-08-24Novosom AgAmphoteric liposomes
US20100260817A1 (en)2009-03-202010-10-14Egen, Inc.Polyamine Derivatives
WO2010129709A1 (en)2009-05-052010-11-11Alnylam Pharmaceuticals, Inc.Lipid compositions
US7833992B2 (en)2001-05-182010-11-16Merck Sharpe & DohmeConjugates and compositions for cellular delivery
WO2010138194A2 (en)2009-05-272010-12-02Selecta Biosciences, Inc.Immunomodulatory agent-polymeric compounds
WO2010144740A1 (en)2009-06-102010-12-16Alnylam Pharmaceuticals, Inc.Improved lipid formulation
US7893302B2 (en)2005-02-142011-02-22Sirna Therapeutics, Inc.Lipid nanoparticle based compositions and methods for the delivery of biologically active molecules
WO2011022460A1 (en)2009-08-202011-02-24Merck Sharp & Dohme Corp.Novel cationic lipids with various head groups for oligonucleotide delivery
EP2298358A1 (en)2002-05-062011-03-23Alnylam Pharmaceuticals Inc.Methods for delivery of nucleic acids
US20110076322A1 (en)2005-09-152011-03-31Steffen PanznerAmphoteric liposomes
WO2011043913A2 (en)2009-10-082011-04-14Merck Sharp & Dohme Corp.Novel cationic lipids with short lipid chains for oligonucleotide delivery
WO2011056682A1 (en)2009-10-272011-05-12The University Of British ColumbiaReverse head group lipids, lipid particle compositions comprising reverse headgroup lipids, and methods for the delivery of nucleic acids
US20110117125A1 (en)2008-01-022011-05-19Tekmira Pharmaceuticals CorporationCompositions and methods for the delivery of nucleic acids
WO2011072218A2 (en)2009-12-112011-06-16Bind BiosciencesStable formulations for lyophilizing therapeutic particles
US7964578B2 (en)2001-05-182011-06-21Sirna Therapeutics, Inc.Conjugates and compositions for cellular delivery
WO2011084518A2 (en)2009-12-152011-07-14Bind Biosciences, Inc.Therapeutic polymeric nanoparticles comprising corticosteroids and methods of making and using same
WO2011084521A2 (en)2009-12-152011-07-14Bind Biosciences, Inc.Therapeutic polymeric nanoparticles comprising epothilone and methods of making and using same
WO2011090965A1 (en)2010-01-222011-07-28Merck Sharp & Dohme Corp.Novel cationic lipids for oligonucleotide delivery
WO2011115862A1 (en)2010-03-182011-09-22Merck Sharp & Dohme Corp.Endosomolytic poly(amidoamine) disulfide polymers for the delivery of oligonucleotides
WO2011120053A1 (en)2010-03-262011-09-29Mersana Therapeutics, Inc.Modified polymers for delivery of polynucleotides, method of manufacture, and methods of use thereof
US8034376B2 (en)2006-10-032011-10-11Alnylam Pharamaceticals, Inc.Lipid containing formulations
WO2011127255A1 (en)2010-04-082011-10-13Merck Sharp & Dohme Corp.Preparation of lipid nanoparticles
US20110256175A1 (en)2008-10-092011-10-20The University Of British ColumbiaAmino lipids and methods for the delivery of nucleic acids
US20110262491A1 (en)2010-04-122011-10-27Selecta Biosciences, Inc.Emulsions and methods of making nanocarriers
US8057821B2 (en)2004-11-032011-11-15Egen, Inc.Biodegradable cross-linked cationic multi-block copolymers for gene delivery and methods of making thereof
WO2011149733A2 (en)2010-05-242011-12-01Merck Sharp & Dohme Corp.Novel amino alcohol cationic lipids for oligonucleotide delivery
US20110294717A1 (en)2009-12-152011-12-01Ali Mir MTherapeutic Polymeric Nanoparticle Compositions with High Glass Transition Temperature or High Molecular Weight Copolymers
WO2011153120A1 (en)2010-06-042011-12-08Merck Sharp & Dohme Corp.Novel low molecular weight cationic lipids for oligonucleotide delivery
US20120021042A1 (en)2005-09-152012-01-26Steffen PanznerEfficient Method For Loading Amphoteric Liposomes With Nucleic Acid Active Substances
US8106022B2 (en)2007-12-042012-01-31Alnylam Pharmaceuticals, Inc.Carbohydrate conjugates as delivery agents for oligonucleotides
US20120028342A1 (en)2009-03-242012-02-02Ismagilov Rustem FSlip chip device and methods
WO2012016184A2 (en)2010-07-302012-02-02Alnylam Pharmaceuticals, Inc.Methods and compositions for delivery of active agents
WO2012013326A1 (en)2010-07-302012-02-02Curevac GmbhComplexation of nucleic acids with disulfide-crosslinked cationic components for transfection and immunostimulation
US20120024422A1 (en)2009-03-122012-02-02Illinois Tool Works Inc.Mis-fuel inhibitor
WO2012013501A1 (en)2010-07-292012-02-02Fujitsu Technology Solutions Intellectual Property GmbhComputer system, method for programming a real-time clock and a computer program product
WO2012016269A1 (en)2010-08-022012-02-09Curtin University Of TechnologyDetermining location of, and imaging, a subsurface boundary
WO2012025129A1 (en)2010-08-242012-03-01Gkn Driveline International GmbhBoot for joints, especially for constant velocity joints, with a transition area
US20120076836A1 (en)2009-03-312012-03-29The University Of TokyoPolyion complex of double-stranded ribonucleic acid
WO2012040184A2 (en)2010-09-202012-03-29Merck Sharp & Dohme Corp.Novel low molecular weight cationic lipids for oligonucleotide delivery
US8148344B2 (en)2008-03-272012-04-03Alnylam Pharmaceuticals, Inc.Compositions and methods for mediating RNAi in vivo
WO2012044638A1 (en)2010-09-302012-04-05Merck Sharp & Dohme Corp.Low molecular weight cationic lipids for oligonucleotide delivery
WO2012047656A1 (en)2010-09-272012-04-12The University Of British ColumbiaLipid a analog compositions
WO2012054923A2 (en)2010-10-222012-04-26Bind Biosciences, Inc.Therapeutic nanoparticles with high molecular weight copolymers
US20120101148A1 (en)2009-01-292012-04-26Alnylam Pharmaceuticals, Inc. lipid formulation
WO2012054365A2 (en)2010-10-212012-04-26Merck Sharp & Dohme Corp.Novel low molecular weight cationic lipids for oligonucleotide delivery
WO2012061259A2 (en)2010-11-052012-05-10Merck Sharp & Dohme Corp.Novel low molecular weight cyclic amine containing cationic lipids for oligonucleotide delivery
WO2012068187A1 (en)2010-11-192012-05-24Merck Sharp & Dohme Corp.Poly(amide) polymers for the delivery of oligonucleotides
WO2012082574A1 (en)2010-12-172012-06-21Merck Sharp & Dohme Corp.Membrane lytic poly(amido amine) polymers for the delivery of oligonucleotides
US20120171229A1 (en)2010-12-302012-07-05Selecta Biosciences, Inc.Synthetic nanocarriers with reactive groups that release biologically active agents
US20120178702A1 (en)1995-01-232012-07-12University Of PittsburghStable lipid-comprising drug delivery complexes and methods for their production
WO2012095252A1 (en)2011-01-122012-07-19Robert Bosch GmbhIgnition coil, in particular for compact engines
WO2012099755A1 (en)2011-01-112012-07-26Alnylam Pharmaceuticals, Inc.Pegylated lipids and their use for drug delivery
US8236280B2 (en)2003-12-192012-08-07University Of CincinnatiPolyamides for nucleic acid delivery
US20120202871A1 (en)2009-07-012012-08-09Protiva Biotherapeutics, Inc.Cationic lipids and methods for the delivery of therapeutic agents
US20120201859A1 (en)2002-05-022012-08-09Carrasquillo Karen GDrug Delivery Systems and Use Thereof
US20120207845A1 (en)2005-01-042012-08-16Hsing-Wen SungPharmaceutical composition of nanoparticles
WO2012109121A1 (en)2011-02-072012-08-16Purdue Research FoundationCarbohydrate nanoparticles for prolonged efficacy of antimicrobial peptide
US8263665B2 (en)2005-04-012012-09-11Intezyne Technologies, Inc.Polymeric micelles for drug delivery
US20120237565A1 (en)2011-03-142012-09-20Intezyne Technologies, IncorporatedPegylated polyplexes containing two or more different polymers for polynucleotide delivery
US20120244222A1 (en)2011-03-252012-09-27Selecta Biosciences, Inc.Osmotic mediated release synthetic nanocarriers
US20120244207A1 (en)2009-06-152012-09-27Alnylam Pharmaceuticals, Inc.Methods For Increasing Efficacy of Lipid Formulated siRNA
US8283333B2 (en)2009-07-012012-10-09Protiva Biotherapeutics, Inc.Lipid formulations for nucleic acid delivery
US20120258046A1 (en)2009-12-092012-10-11Thorsten MutzkeMannose-containing solution for lyophilization, transfection and/or injection of nucleic acids
US20120258176A1 (en)2005-01-042012-10-11Hsing-Wen SungNanoparticles for protein drug delivery
US8287910B2 (en)2009-04-302012-10-16Intezyne Technologies, Inc.Polymeric micelles for polynucleotide encapsulation
US8287849B2 (en)2000-10-102012-10-16Massachusetts Institute Of TechnologyBiodegradable poly(beta-amino esters) and uses thereof
EP2509636A2 (en)2009-12-072012-10-17Alnylam Pharmaceuticals, Inc.Compositions for nucleic acid delivery
US20120264810A1 (en)2009-09-222012-10-18The University Of British ColumbiaCompositions and methods for enhancing cellular uptake and intracellular delivery of lipid particles
US20120269761A1 (en)2006-01-122012-10-25Massachusetts Institute Of TechnologyBiodegradable elastomers
US20120270921A1 (en)2009-08-142012-10-25Alnylam Pharmaceuticals, Inc.Lipid Formulated Compositions and Methods for Inhibiting Expression of a Gene from the Ebola Virus
WO2012149259A1 (en)2011-04-292012-11-01Selecta Biosciences, Inc.Tolerogenic synthetic nanocarriers to reduce antibody responses
US20120276207A1 (en)1999-07-152012-11-01The University Of British ColumbiaMethods for preparation of lipid-encapsulated therapeutic agents
US20120276209A1 (en)2009-11-042012-11-01The University Of British ColumbiaNucleic acid-containing lipid particles and related methods
US20120282343A1 (en)2001-10-032012-11-08Johns Hopkins UniversityCompositions for oral gene therapy and methods of using same
US20120283427A1 (en)2009-11-132012-11-08Bend Research, Inc.Cationic dextran polymer derivatives
WO2012150467A2 (en)2011-05-042012-11-08The University Of NottinghamNovel polymers which resist bacterial attachment
US8313777B2 (en)2006-10-052012-11-20The Johns Hopkins UniversityWater-dispersible oral, parenteral, and topical formulations for poorly water soluble drugs using smart polymeric nanoparticles
US20120302940A1 (en)2011-05-262012-11-29Jackson State UniversityPopcorn Shape Gold Nanoparticle For Targeted Diagnosis, Photothermal Treatment and In-Situ Monitoring Therapy Response for Cancer and Multiple Drug Resistance Bacteria
US8324181B2 (en)2005-11-172012-12-04Board Of Regents, The University Of Texas SystemModulation of gene expression by oligomers targeted to chromosomal DNA
WO2012166923A2 (en)2011-05-312012-12-06Bind BiosciencesDrug loaded polymeric nanoparticles and methods of making and using same
WO2012170889A1 (en)2011-06-082012-12-13Shire Human Genetic Therapies, Inc.Cleavable lipids
WO2012170930A1 (en)2011-06-082012-12-13Shire Human Genetic Therapies, IncLipid nanoparticle compositions and methods for mrna delivery
US20120321719A1 (en)2010-02-252012-12-20The Johns Hopkins UniversitySustained Delivery of Therapeutic Agents to an Eye Compartment
WO2013006825A1 (en)2011-07-062013-01-10Novartis AgLiposomes having useful n:p ratio for delivery of rna molecules
US20130017223A1 (en)2009-12-182013-01-17The University Of British ColumbiaMethods and compositions for delivery of nucleic acids
WO2013019669A2 (en)2011-07-292013-02-07Selecta Biosciences, Inc.Synthetic nanocarriers that generate humoral and cytotoxic t lymphocyte (ctl) immune responses
WO2013052523A1 (en)2011-10-032013-04-11modeRNA TherapeuticsModified nucleosides, nucleotides, and nucleic acids, and uses thereof
US20130129785A1 (en)2010-05-102013-05-23Alnylam Pharmaceuticals, IncMethods and compositions for delivery of active agents
WO2013086322A1 (en)2011-12-072013-06-13Alnylam Pharmaceuticals, Inc.Branched alkyl and cycloalkyl terminated biodegradable lipids for the delivery of active agents
US20130156845A1 (en)2010-04-292013-06-20Alnylam Pharmaceuticals, Inc.Lipid formulated single stranded rna
WO2013090648A1 (en)2011-12-162013-06-20modeRNA TherapeuticsModified nucleoside, nucleotide, and nucleic acid compositions
US20130164846A1 (en)2010-06-232013-06-27Mina Therapeutics LimitedRna molecules and uses thereof
US20130184328A1 (en)2004-08-102013-07-18Alnylam Pharmaceuticals, Inc.Ligand-conjugated monomers
US20130195920A1 (en)2011-12-072013-08-01Alnylam Pharmaceuticals, Inc.Biodegradable lipids for the delivery of active agents
US20130202652A1 (en)2010-07-302013-08-08Alnylam Pharmaceuticals, Inc.Methods and compositions for delivery of active agents
US8546554B2 (en)2008-09-252013-10-01Alnylam Pharmaceuticals, Inc.Lipid formulated compositions and methods for inhibiting expression of Serum Amyloid A gene
WO2013151666A2 (en)2012-04-022013-10-10modeRNA TherapeuticsModified polynucleotides for the production of biologics and proteins associated with human disease
US8575123B2 (en)2008-04-112013-11-05Tekmira Pharmaceuticals CorporationSite-specific delivery of nucleic acids by combining targeting ligands with endosomolytic components
US8580297B2 (en)2002-02-192013-11-12Marina Biotech, Inc.Components for producing amphoteric liposomes
US20130317081A1 (en)2012-04-262013-11-28Alnylam PharmaceuticalsSERPINC1 iRNA COMPOSITIONS AND METHODS OF USE THEREOF
WO2015162422A1 (en)*2014-04-222015-10-29Mina Therapeutics LimitedSarna compositions and methods of use
EP3778892A1 (en)*2018-04-102021-02-17Ractigen TherapeuticsNovel small activating rna

Patent Citations (239)

* Cited by examiner, † Cited by third party
Publication numberPriority datePublication dateAssigneeTitle
US4667025A (en)1982-08-091987-05-19Wakunaga Seiyaku Kabushiki KaishaOligonucleotide derivatives
US4789737A (en)1982-08-091988-12-06Wakunaga Seiyaku Kabushiki KaishaOligonucleotide derivatives and production thereof
US4835263A (en)1983-01-271989-05-30Centre National De La Recherche ScientifiqueNovel compounds containing an oligonucleotide sequence bonded to an intercalating agent, a process for their synthesis and their use
US4605735A (en)1983-02-141986-08-12Wakunaga Seiyaku Kabushiki KaishaOligonucleotide derivatives
US4948882A (en)1983-02-221990-08-14Syngene, Inc.Single-stranded labelled oligonucleotides, reactive monomers and methods of synthesis
US5541313A (en)1983-02-221996-07-30Molecular Biosystems, Inc.Single-stranded labelled oligonucleotides of preselected sequence
US4824941A (en)1983-03-101989-04-25Julian GordonSpecific antibody to the native form of 2'5'-oligonucleotides, the method of preparation and the use as reagents in immunoassays or for binding 2'5'-oligonucleotides in biological systems
US4587044A (en)1983-09-011986-05-06The Johns Hopkins UniversityLinkage of proteins to nucleic acids
US5118802A (en)1983-12-201992-06-02California Institute Of TechnologyDNA-reporter conjugates linked via the 2' or 5'-primary amino group of the 5'-terminal nucleoside
US5258506A (en)1984-10-161993-11-02Chiron CorporationPhotolabile reagents for incorporation into oligonucleotide chains
US5545730A (en)1984-10-161996-08-13Chiron CorporationMultifunctional nucleic acid monomer
US5552538A (en)1984-10-161996-09-03Chiron CorporationOligonucleotides with cleavable sites
US5578717A (en)1984-10-161996-11-26Chiron CorporationNucleotides for introducing selectably cleavable and/or abasic sites into oligonucleotides
US4828979A (en)1984-11-081989-05-09Life Technologies, Inc.Nucleotide analogs for nucleic acid labeling and detection
US4762779A (en)1985-06-131988-08-09Amgen Inc.Compositions and methods for functionalizing nucleic acids
US5317098A (en)1986-03-171994-05-31Hiroaki ShizuyaNon-radioisotope tagging of fragments
US4876335A (en)1986-06-301989-10-24Wakunaga Seiyaku Kabushiki KaishaPoly-labelled oligonucleotide derivative
US4904582A (en)1987-06-111990-02-27Synthetic GeneticsNovel amphiphilic nucleic acid conjugates
US5585481A (en)1987-09-211996-12-17Gen-Probe IncorporatedLinking reagents for nucleotide probes
US5525465A (en)1987-10-281996-06-11Howard Florey Institute Of Experimental Physiology And MedicineOligonucleotide-polyamide conjugates and methods of production and applications of the same
US5112963A (en)1987-11-121992-05-12Max-Planck-Gesellschaft Zur Foerderung Der Wissenschaften E.V.Modified oligonucleotides
US5082830A (en)1988-02-261992-01-21Enzo Biochem, Inc.End labeled nucleotide probe
US5109124A (en)1988-06-011992-04-28Biogen, Inc.Nucleic acid probe linked to a label having a terminal cysteine
US5262536A (en)1988-09-151993-11-16E. I. Du Pont De Nemours And CompanyReagents for the preparation of 5'-tagged oligonucleotides
US5512439A (en)1988-11-211996-04-30Dynal AsOligonucleotide-linked magnetic particles and uses thereof
US5599923A (en)1989-03-061997-02-04Board Of Regents, University Of TxTexaphyrin metal complexes having improved functionalization
US5391723A (en)1989-05-311995-02-21Neorx CorporationOligonucleotide conjugates
US4958013A (en)1989-06-061990-09-18Northwestern UniversityCholesteryl modified oligonucleotides
US5416203A (en)1989-06-061995-05-16Northwestern UniversitySteroid modified oligonucleotides
US5451463A (en)1989-08-281995-09-19Clontech Laboratories, Inc.Non-nucleoside 1,3-diol reagents for labeling synthetic oligonucleotides
US5254469A (en)1989-09-121993-10-19Eastman Kodak CompanyOligonucleotide-enzyme conjugate that can be used as a probe in hybridization assays and polymerase chain reaction procedures
US5292873A (en)1989-11-291994-03-08The Research Foundation Of State University Of New YorkNucleic acids labeled with naphthoquinone probe
US5486603A (en)1990-01-081996-01-23Gilead Sciences, Inc.Oligonucleotide having enhanced binding affinity
US5578718A (en)1990-01-111996-11-26Isis Pharmaceuticals, Inc.Thiol-derivatized nucleosides
US5214136A (en)1990-02-201993-05-25Gilead Sciences, Inc.Anthraquinone-derivatives oligonucleotides
US5414077A (en)1990-02-201995-05-09Gilead SciencesNon-nucleoside linkers for convenient attachment of labels to oligonucleotides using standard synthetic methods
US5514785A (en)1990-05-111996-05-07Becton Dickinson And CompanySolid supports for nucleic acid hybridization assays
US5688941A (en)1990-07-271997-11-18Isis Pharmaceuticals, Inc.Methods of making conjugated 4' desmethyl nucleoside analog compounds
US5218105A (en)1990-07-271993-06-08Isis PharmaceuticalsPolyamine conjugated oligonucleotides
US5608046A (en)1990-07-271997-03-04Isis Pharmaceuticals, Inc.Conjugated 4'-desmethyl nucleoside analog compounds
US5138045A (en)1990-07-271992-08-11Isis PharmaceuticalsPolyamine conjugated oligonucleotides
US5245022A (en)1990-08-031993-09-14Sterling Drug, Inc.Exonuclease resistant terminally substituted oligonucleotides
US5567810A (en)1990-08-031996-10-22Sterling Drug, Inc.Nuclease resistant compounds
US5512667A (en)1990-08-281996-04-30Reed; Michael W.Trifunctional intermediates for preparing 3'-tailed oligonucleotides
US5510475A (en)1990-11-081996-04-23Hybridon, Inc.Oligonucleotide multiple reporter precursors
US5371241A (en)1991-07-191994-12-06Pharmacia P-L Biochemicals Inc.Fluorescein labelled phosphoramidites
US5595726A (en)1992-01-211997-01-21Pharmacyclics, Inc.Chromophore probe for detection of nucleic acid
US5587371A (en)1992-01-211996-12-24Pharmacyclics, Inc.Texaphyrin-oligonucleotide conjugates
US5565552A (en)1992-01-211996-10-15Pharmacyclics, Inc.Method of expanded porphyrin-oligonucleotide conjugate synthesis
US5272250A (en)1992-07-101993-12-21Spielvogel Bernard FBoronated phosphoramidate compounds
US5574142A (en)1992-12-151996-11-12Microprobe CorporationPeptide linkers for improved oligonucleotide delivery
US5595756A (en)1993-12-221997-01-21Inex Pharmaceuticals CorporationLiposomal compositions for enhanced retention of bioactive agents
US5599928A (en)1994-02-151997-02-04Pharmacyclics, Inc.Texaphyrin compounds having improved functionalization
US5597696A (en)1994-07-181997-01-28Becton Dickinson And CompanyCovalent cyanine dye oligonucleotide conjugates
US5580731A (en)1994-08-251996-12-03Chiron CorporationN-4 modified pyrimidine deoxynucleotides and oligonucleotide probes synthesized therewith
US5591584A (en)1994-08-251997-01-07Chiron CorporationN-4 modified pyrimidine deoxynucleotides and oligonucleotide probes synthesized therewith
US20120178702A1 (en)1995-01-232012-07-12University Of PittsburghStable lipid-comprising drug delivery complexes and methods for their production
US6086913A (en)1995-11-012000-07-11University Of British ColumbiaLiposomal delivery of AAV vectors
US20100036115A1 (en)1997-07-232010-02-11Sirna Therapeutics, Inc.Novel Compositions for the Delivery of Negatively Charged Molecules
WO1999010390A1 (en)1997-08-221999-03-04Idemitsu Petrochemical Co., Ltd.Solid catalyst components for olefin polymerization, catalysts for olefin polymerization and process for producing olefin polymers
US6004573A (en)1997-10-031999-12-21Macromed, Inc.Biodegradable low molecular weight triblock poly(lactide-co-glycolide) polyethylene glycol copolymers having reverse thermal gelation properties
WO1999018933A2 (en)1997-10-101999-04-22Inex Pharmaceuticals CorporationMethods for encapsulating nucleic acids in lipid bilayers
US6267987B1 (en)1997-12-122001-07-31Samyang CorporationPositively charged poly[alpha-(omega-aminoalkyl) glycolic acid] for the delivery of a bioactive agent via tissue and cellular uptake
US6517869B1 (en)1997-12-122003-02-11Expression Genetics, Inc.Positively charged poly(alpha-(omega-aminoalkyl)lycolic acid) for the delivery of a bioactive agent via tissue and cellular uptake
US6177274B1 (en)1998-05-202001-01-23Expression Genetics, Inc.Hepatocyte targeting polyethylene glyco-grafted poly-L-lysine polymeric gene carrier
US6217912B1 (en)1998-07-132001-04-17Expression Genetics, Inc.Polyester analogue of poly-L-lysine as a soluble, biodegradable gene delivery carrier
US20120276207A1 (en)1999-07-152012-11-01The University Of British ColumbiaMethods for preparation of lipid-encapsulated therapeutic agents
US7189705B2 (en)2000-04-202007-03-13The University Of British ColumbiaMethods of enhancing SPLP-mediated transfection using endosomal membrane destabilizers
US6696038B1 (en)2000-09-142004-02-24Expression Genetics, Inc.Cationic lipopolymer as biocompatible gene delivery agent
US20040142474A1 (en)2000-09-142004-07-22Expression Genetics, Inc.Novel cationic lipopolymer as a biocompatible gene delivery agent
US20030073619A1 (en)2000-09-142003-04-17Mahato Ram I.Novel cationic lipopolymer as biocompatible gene delivery agent
US8287849B2 (en)2000-10-102012-10-16Massachusetts Institute Of TechnologyBiodegradable poly(beta-amino esters) and uses thereof
EP1328254A2 (en)2000-10-252003-07-23The University Of British ColumbiaLipid formulations for target delivery
US6652886B2 (en)2001-02-162003-11-25Expression GeneticsBiodegradable cationic copolymers of poly (alkylenimine) and poly (ethylene glycol) for the delivery of bioactive agents
US7780983B2 (en)2001-02-212010-08-24Novosom AgAmphoteric liposomes
US7312206B2 (en)2001-02-212007-12-25Novosom AgSterol derivatives, liposomes comprising sterol derivatives and method for loading liposomes with active substances
US7833992B2 (en)2001-05-182010-11-16Merck Sharpe & DohmeConjugates and compositions for cellular delivery
US7964578B2 (en)2001-05-182011-06-21Sirna Therapeutics, Inc.Conjugates and compositions for cellular delivery
US20120282343A1 (en)2001-10-032012-11-08Johns Hopkins UniversityCompositions for oral gene therapy and methods of using same
US7223887B2 (en)2001-12-182007-05-29The University Of British ColumbiaMultivalent cationic lipids and methods of using same in the production of lipid particles
US8580297B2 (en)2002-02-192013-11-12Marina Biotech, Inc.Components for producing amphoteric liposomes
US20140227345A1 (en)2002-02-192014-08-14Marina Biotech, Inc.Components for producing amphoteric liposomes
US20050222064A1 (en)2002-02-202005-10-06Sirna Therapeutics, Inc.Polycationic compositions for cellular delivery of polynucleotides
US20120201859A1 (en)2002-05-022012-08-09Carrasquillo Karen GDrug Delivery Systems and Use Thereof
EP2298358A1 (en)2002-05-062011-03-23Alnylam Pharmaceuticals Inc.Methods for delivery of nucleic acids
US20120270927A1 (en)2003-12-192012-10-25Reineke Theresa MPolyamides For Nucleic Acid Delivery
US8236280B2 (en)2003-12-192012-08-07University Of CincinnatiPolyamides for nucleic acid delivery
US20060008910A1 (en)2004-06-072006-01-12Protiva Biotherapeuties, Inc.Lipid encapsulated interfering RNA
US20130184328A1 (en)2004-08-102013-07-18Alnylam Pharmaceuticals, Inc.Ligand-conjugated monomers
US20120009145A1 (en)2004-11-032012-01-12Gregory SlobodkinBiodegradable Cross-Linked Cationic Multi-block Copolymers for Gene Delivery and Methods of Making Thereof
US8057821B2 (en)2004-11-032011-11-15Egen, Inc.Biodegradable cross-linked cationic multi-block copolymers for gene delivery and methods of making thereof
US20120207845A1 (en)2005-01-042012-08-16Hsing-Wen SungPharmaceutical composition of nanoparticles
US20120258176A1 (en)2005-01-042012-10-11Hsing-Wen SungNanoparticles for protein drug delivery
US7404969B2 (en)2005-02-142008-07-29Sirna Therapeutics, Inc.Lipid nanoparticle based compositions and methods for the delivery of biologically active molecules
US7893302B2 (en)2005-02-142011-02-22Sirna Therapeutics, Inc.Lipid nanoparticle based compositions and methods for the delivery of biologically active molecules
US8263665B2 (en)2005-04-012012-09-11Intezyne Technologies, Inc.Polymeric micelles for drug delivery
WO2006113246A2 (en)*2005-04-152006-10-26The Regents Of The University Of CaliforniaSmall activating rna molecules and methods of use
US20100210707A1 (en)2005-04-152010-08-19Longcheng LiSmall Activating RNA Molecules and Methods of Use
US20110076322A1 (en)2005-09-152011-03-31Steffen PanznerAmphoteric liposomes
US20120021042A1 (en)2005-09-152012-01-26Steffen PanznerEfficient Method For Loading Amphoteric Liposomes With Nucleic Acid Active Substances
US7709566B2 (en)2005-10-202010-05-04Asahi Glass Company, LimitedPolytetrafluoroethylene aqueous dispersion and its product
US8324181B2 (en)2005-11-172012-12-04Board Of Regents, The University Of Texas SystemModulation of gene expression by oligomers targeted to chromosomal DNA
US20120269761A1 (en)2006-01-122012-10-25Massachusetts Institute Of TechnologyBiodegradable elastomers
US8034376B2 (en)2006-10-032011-10-11Alnylam Pharamaceticals, Inc.Lipid containing formulations
US8313777B2 (en)2006-10-052012-11-20The Johns Hopkins UniversityWater-dispersible oral, parenteral, and topical formulations for poorly water soluble drugs using smart polymeric nanoparticles
WO2008043575A2 (en)2006-10-132008-04-17Novosom AgImprovements in or relating to amphoteric liposomes
WO2008103276A2 (en)2007-02-162008-08-28Merck & Co., Inc.Compositions and methods for potentiated activity of biologicaly active molecules
WO2008121949A1 (en)2007-03-302008-10-09Bind Biosciences, Inc.Cancer cell targeting using nanoparticles
US8246968B2 (en)2007-03-302012-08-21Bind Biosciences, Inc.Cancer cell targeting using nanoparticles
US20090042829A1 (en)2007-08-062009-02-12Majed MatarNucleic Acid-Lipopolymer Compositions
US20090042825A1 (en)2007-08-062009-02-12Majed MatarComposition, method of preparation & application of concentrated formulations of condensed nucleic acids with a cationic lipopolymer
US8273363B2 (en)2007-09-282012-09-25Bind Biosciences, Inc.Cancer cell targeting using nanoparticles
US8236330B2 (en)2007-09-282012-08-07Bind Biosciences, Inc.Cancer cell targeting using nanoparticles
US20120004293A1 (en)2007-09-282012-01-05Zale Stephen ECancer Cell Targeting Using Nanoparticles
US8106022B2 (en)2007-12-042012-01-31Alnylam Pharmaceuticals, Inc.Carbohydrate conjugates as delivery agents for oligonucleotides
US8828956B2 (en)2007-12-042014-09-09Alnylam Pharmaceuticals, Inc.Carbohydrate conjugates as delivery agents for oligonucleotides
US20110117125A1 (en)2008-01-022011-05-19Tekmira Pharmaceuticals CorporationCompositions and methods for the delivery of nucleic acids
US20100004313A1 (en)2008-02-292010-01-07TbdModified Poloxamers for Gene Expression and Associated Methods
US20100004315A1 (en)2008-03-142010-01-07Gregory SlobodkinBiodegradable Cross-Linked Branched Poly(Alkylene Imines)
US8148344B2 (en)2008-03-272012-04-03Alnylam Pharmaceuticals, Inc.Compositions and methods for mediating RNAi in vivo
US8575123B2 (en)2008-04-112013-11-05Tekmira Pharmaceuticals CorporationSite-specific delivery of nucleic acids by combining targeting ligands with endosomolytic components
WO2009127060A1 (en)2008-04-152009-10-22Protiva Biotherapeutics, Inc.Novel lipid formulations for nucleic acid delivery
WO2009132131A1 (en)2008-04-222009-10-29Alnylam Pharmaceuticals, Inc.Amino lipid based improved lipid formulation
US8293276B2 (en)2008-06-162012-10-23Bind Biosciences, Inc.Drug loaded polymeric nanoparticles and methods of making and using same
WO2010005721A2 (en)2008-06-162010-01-14Bind Biosciences, Inc.Drug loaded polymeric nanoparticles and methods of making and using same
US20100104645A1 (en)2008-06-162010-04-29Bind Biosciences, Inc.Methods for the preparation of targeting agent functionalized diblock copolymers for use in fabrication of therapeutic targeted nanoparticles
US20100069426A1 (en)2008-06-162010-03-18Zale Stephen ETherapeutic polymeric nanoparticles with mTor inhibitors and methods of making and using same
US20100068285A1 (en)2008-06-162010-03-18Zale Stephen EDrug Loaded Polymeric Nanoparticles and Methods of Making and Using Same
US20120288541A1 (en)2008-06-162012-11-15Zale Stephen EDrug Loaded Polymeric Nanoparticles and Methods of Making and Using Same
WO2010005726A2 (en)2008-06-162010-01-14Bind Biosciences Inc.Therapeutic polymeric nanoparticles with mtor inhibitors and methods of making and using same
WO2010005723A2 (en)2008-06-162010-01-14Bind Biosciences, Inc.Drug loaded polymeric nanoparticles and methods of making and using same
US8318211B2 (en)2008-06-162012-11-27Bind Biosciences, Inc.Therapeutic polymeric nanoparticles comprising vinca alkaloids and methods of making and using same
US20100068286A1 (en)2008-06-162010-03-18Greg TroianoDrug Loaded Polymeric Nanoparticles and Methods of Making and Using Same
US8318208B1 (en)2008-06-162012-11-27Bind Biosciences, Inc.Drug loaded polymeric nanoparticles and methods of making and using same
WO2010005740A2 (en)2008-06-162010-01-14Bind Biosciences, Inc.Methods for the preparation of targeting agent functionalized diblock copolymers for use in fabrication of therapeutic targeted nanoparticles
US20110274759A1 (en)2008-06-162011-11-10Greg TroianoDrug Loaded Polymeric Nanoparticles and Methods of Making and Using Same
US20100104655A1 (en)2008-06-162010-04-29Zale Stephen ETherapeutic Polymeric Nanoparticles Comprising Vinca Alkaloids and Methods of Making and Using Same
WO2010005725A2 (en)2008-06-162010-01-14Bind Biosciences, Inc.Therapeutic polymeric nanoparticles comprising vinca alkaloids and methods of making and using same
US8206747B2 (en)2008-06-162012-06-26Bind Biosciences, Inc.Drug loaded polymeric nanoparticles and methods of making and using same
WO2010021865A1 (en)2008-08-182010-02-25Merck Sharp & Dohme Corp.Novel lipid nanoparticles and novel components for delivery of nucleic acids
US20100087337A1 (en)2008-09-102010-04-08Bind Biosciences, Inc.High Throughput Fabrication of Nanoparticles
WO2010030763A2 (en)2008-09-102010-03-18Bind Biosciences, Inc.High throughput fabrication of nanoparticles
US8546554B2 (en)2008-09-252013-10-01Alnylam Pharmaceuticals, Inc.Lipid formulated compositions and methods for inhibiting expression of Serum Amyloid A gene
US20110256175A1 (en)2008-10-092011-10-20The University Of British ColumbiaAmino lipids and methods for the delivery of nucleic acids
US20110217377A1 (en)2008-12-152011-09-08Zale Stephen ELong Circulating Nanoparticles for Sustained Release of Therapeutic Agents
WO2010075072A2 (en)2008-12-152010-07-01Bind BiosciencesLong circulating nanoparticles for sustained release of therapeutic agents
US20100216804A1 (en)2008-12-152010-08-26Zale Stephen ELong Circulating Nanoparticles for Sustained Release of Therapeutic Agents
WO2010080724A1 (en)2009-01-122010-07-15Merck Sharp & Dohme Corp.Novel lipid nanoparticles and novel components for delivery of nucleic acids
US20120101148A1 (en)2009-01-292012-04-26Alnylam Pharmaceuticals, Inc. lipid formulation
US20120024422A1 (en)2009-03-122012-02-02Illinois Tool Works Inc.Mis-fuel inhibitor
US20100260817A1 (en)2009-03-202010-10-14Egen, Inc.Polyamine Derivatives
US20120028342A1 (en)2009-03-242012-02-02Ismagilov Rustem FSlip chip device and methods
US20120076836A1 (en)2009-03-312012-03-29The University Of TokyoPolyion complex of double-stranded ribonucleic acid
US8287910B2 (en)2009-04-302012-10-16Intezyne Technologies, Inc.Polymeric micelles for polynucleotide encapsulation
WO2010129709A1 (en)2009-05-052010-11-11Alnylam Pharmaceuticals, Inc.Lipid compositions
WO2010138193A2 (en)2009-05-272010-12-02Selecta Biosciences, Inc.Targeted synthetic nanocarriers with ph sensitive release of immunomodulatory agents
WO2010138194A2 (en)2009-05-272010-12-02Selecta Biosciences, Inc.Immunomodulatory agent-polymeric compounds
US20100303850A1 (en)2009-05-272010-12-02Selecta Biosciences, Inc.Nanocarriers possessing components with different rates of release
US20110027217A1 (en)2009-05-272011-02-03Selecta Biosciences, Inc.Immunomodulatory agent-polymeric compounds
WO2010138192A2 (en)2009-05-272010-12-02Selecta Biosciences, Inc.Nanocarriers possessing components with different rates of release
US20110020388A1 (en)2009-05-272011-01-27Selecta Biosciences, Inc.Targeted synthetic nanocarriers with ph sensitive release of immunomodulatory agents
US20100324120A1 (en)2009-06-102010-12-23Jianxin ChenLipid formulation
WO2010144740A1 (en)2009-06-102010-12-16Alnylam Pharmaceuticals, Inc.Improved lipid formulation
US20120244207A1 (en)2009-06-152012-09-27Alnylam Pharmaceuticals, Inc.Methods For Increasing Efficacy of Lipid Formulated siRNA
US8283333B2 (en)2009-07-012012-10-09Protiva Biotherapeutics, Inc.Lipid formulations for nucleic acid delivery
US20120202871A1 (en)2009-07-012012-08-09Protiva Biotherapeutics, Inc.Cationic lipids and methods for the delivery of therapeutic agents
US20120270921A1 (en)2009-08-142012-10-25Alnylam Pharmaceuticals, Inc.Lipid Formulated Compositions and Methods for Inhibiting Expression of a Gene from the Ebola Virus
WO2011022460A1 (en)2009-08-202011-02-24Merck Sharp & Dohme Corp.Novel cationic lipids with various head groups for oligonucleotide delivery
US20120264810A1 (en)2009-09-222012-10-18The University Of British ColumbiaCompositions and methods for enhancing cellular uptake and intracellular delivery of lipid particles
WO2011043913A2 (en)2009-10-082011-04-14Merck Sharp & Dohme Corp.Novel cationic lipids with short lipid chains for oligonucleotide delivery
WO2011056682A1 (en)2009-10-272011-05-12The University Of British ColumbiaReverse head group lipids, lipid particle compositions comprising reverse headgroup lipids, and methods for the delivery of nucleic acids
US20120276209A1 (en)2009-11-042012-11-01The University Of British ColumbiaNucleic acid-containing lipid particles and related methods
US20120283427A1 (en)2009-11-132012-11-08Bend Research, Inc.Cationic dextran polymer derivatives
EP2509636A2 (en)2009-12-072012-10-17Alnylam Pharmaceuticals, Inc.Compositions for nucleic acid delivery
US20120258046A1 (en)2009-12-092012-10-11Thorsten MutzkeMannose-containing solution for lyophilization, transfection and/or injection of nucleic acids
US8211473B2 (en)2009-12-112012-07-03Bind Biosciences, Inc.Stable formulations for lyophilizing therapeutic particles
WO2011072218A2 (en)2009-12-112011-06-16Bind BiosciencesStable formulations for lyophilizing therapeutic particles
US20120140790A1 (en)2009-12-152012-06-07Ali Mir MTherapeutic Polymeric Nanoparticle Compositions with High Glass Transition Termperature or High Molecular Weight Copolymers
WO2011084518A2 (en)2009-12-152011-07-14Bind Biosciences, Inc.Therapeutic polymeric nanoparticles comprising corticosteroids and methods of making and using same
WO2011084521A2 (en)2009-12-152011-07-14Bind Biosciences, Inc.Therapeutic polymeric nanoparticles comprising epothilone and methods of making and using same
US20110294717A1 (en)2009-12-152011-12-01Ali Mir MTherapeutic Polymeric Nanoparticle Compositions with High Glass Transition Temperature or High Molecular Weight Copolymers
US20130017223A1 (en)2009-12-182013-01-17The University Of British ColumbiaMethods and compositions for delivery of nucleic acids
WO2011090965A1 (en)2010-01-222011-07-28Merck Sharp & Dohme Corp.Novel cationic lipids for oligonucleotide delivery
US20120321719A1 (en)2010-02-252012-12-20The Johns Hopkins UniversitySustained Delivery of Therapeutic Agents to an Eye Compartment
WO2011115862A1 (en)2010-03-182011-09-22Merck Sharp & Dohme Corp.Endosomolytic poly(amidoamine) disulfide polymers for the delivery of oligonucleotides
WO2011120053A1 (en)2010-03-262011-09-29Mersana Therapeutics, Inc.Modified polymers for delivery of polynucleotides, method of manufacture, and methods of use thereof
WO2011127255A1 (en)2010-04-082011-10-13Merck Sharp & Dohme Corp.Preparation of lipid nanoparticles
US20110262491A1 (en)2010-04-122011-10-27Selecta Biosciences, Inc.Emulsions and methods of making nanocarriers
US20130156845A1 (en)2010-04-292013-06-20Alnylam Pharmaceuticals, Inc.Lipid formulated single stranded rna
US20130129785A1 (en)2010-05-102013-05-23Alnylam Pharmaceuticals, IncMethods and compositions for delivery of active agents
WO2011149733A2 (en)2010-05-242011-12-01Merck Sharp & Dohme Corp.Novel amino alcohol cationic lipids for oligonucleotide delivery
WO2011153120A1 (en)2010-06-042011-12-08Merck Sharp & Dohme Corp.Novel low molecular weight cationic lipids for oligonucleotide delivery
US20130164846A1 (en)2010-06-232013-06-27Mina Therapeutics LimitedRna molecules and uses thereof
WO2012013501A1 (en)2010-07-292012-02-02Fujitsu Technology Solutions Intellectual Property GmbhComputer system, method for programming a real-time clock and a computer program product
US20130202652A1 (en)2010-07-302013-08-08Alnylam Pharmaceuticals, Inc.Methods and compositions for delivery of active agents
WO2012013326A1 (en)2010-07-302012-02-02Curevac GmbhComplexation of nucleic acids with disulfide-crosslinked cationic components for transfection and immunostimulation
WO2012016184A2 (en)2010-07-302012-02-02Alnylam Pharmaceuticals, Inc.Methods and compositions for delivery of active agents
WO2012016269A1 (en)2010-08-022012-02-09Curtin University Of TechnologyDetermining location of, and imaging, a subsurface boundary
WO2012025129A1 (en)2010-08-242012-03-01Gkn Driveline International GmbhBoot for joints, especially for constant velocity joints, with a transition area
WO2012040184A2 (en)2010-09-202012-03-29Merck Sharp & Dohme Corp.Novel low molecular weight cationic lipids for oligonucleotide delivery
WO2012047656A1 (en)2010-09-272012-04-12The University Of British ColumbiaLipid a analog compositions
WO2012044638A1 (en)2010-09-302012-04-05Merck Sharp & Dohme Corp.Low molecular weight cationic lipids for oligonucleotide delivery
WO2012054365A2 (en)2010-10-212012-04-26Merck Sharp & Dohme Corp.Novel low molecular weight cationic lipids for oligonucleotide delivery
WO2012054923A2 (en)2010-10-222012-04-26Bind Biosciences, Inc.Therapeutic nanoparticles with high molecular weight copolymers
WO2012061259A2 (en)2010-11-052012-05-10Merck Sharp & Dohme Corp.Novel low molecular weight cyclic amine containing cationic lipids for oligonucleotide delivery
WO2012068187A1 (en)2010-11-192012-05-24Merck Sharp & Dohme Corp.Poly(amide) polymers for the delivery of oligonucleotides
WO2012082574A1 (en)2010-12-172012-06-21Merck Sharp & Dohme Corp.Membrane lytic poly(amido amine) polymers for the delivery of oligonucleotides
US20120171229A1 (en)2010-12-302012-07-05Selecta Biosciences, Inc.Synthetic nanocarriers with reactive groups that release biologically active agents
WO2012099755A1 (en)2011-01-112012-07-26Alnylam Pharmaceuticals, Inc.Pegylated lipids and their use for drug delivery
WO2012095252A1 (en)2011-01-122012-07-19Robert Bosch GmbhIgnition coil, in particular for compact engines
WO2012109121A1 (en)2011-02-072012-08-16Purdue Research FoundationCarbohydrate nanoparticles for prolonged efficacy of antimicrobial peptide
US20120237565A1 (en)2011-03-142012-09-20Intezyne Technologies, IncorporatedPegylated polyplexes containing two or more different polymers for polynucleotide delivery
US20120244222A1 (en)2011-03-252012-09-27Selecta Biosciences, Inc.Osmotic mediated release synthetic nanocarriers
WO2012149265A2 (en)2011-04-292012-11-01Selecta Biosciences, Inc.Tolerogenic synthetic nanocarriers to reduce cytotoxic t lymphocyte responses
WO2012149252A2 (en)2011-04-292012-11-01Selecta Biosciences, Inc.Tolerogenic synthetic nanocarriers
WO2012149405A2 (en)2011-04-292012-11-01Selecta Biosciences, Inc.Tolerogenic synthetic nanocarriers for regulating innate immune responses
WO2012149411A1 (en)2011-04-292012-11-01Selecta Biosciences, Inc.Controlled release of immunosuppressants from synthetic nanocarriers
WO2012149268A1 (en)2011-04-292012-11-01Selecta Biociences, Inc.Tolerogenic synthetic nanocarriers for allergy therapy
WO2012149282A2 (en)2011-04-292012-11-01Selecta Biosciences, Inc.Tolerogenic synthetic nanocarriers for generating cd8+regulatory t cells
WO2012149255A2 (en)2011-04-292012-11-01Selecta Biosciences, Inc.Tolerogenic synthetic nanocarriers to reduce immune responses to therapeutic proteins
WO2012149393A2 (en)2011-04-292012-11-01Selecta Biosciences, Inc.Tolerogenic synthetic nanocarriers for antigen-specific deletion of t effector cells
WO2012149301A2 (en)2011-04-292012-11-01Selecta Biosciences, Inc.Tolerogenic synthetic nanocarriers for inducing regulatory b cells
WO2012149454A2 (en)2011-04-292012-11-01Selecta Biosciences, Inc.Tolerogenic synthetic nanocarriers coupled to cd1d-restricted antigens and methods of use
WO2012149259A1 (en)2011-04-292012-11-01Selecta Biosciences, Inc.Tolerogenic synthetic nanocarriers to reduce antibody responses
WO2012150467A2 (en)2011-05-042012-11-08The University Of NottinghamNovel polymers which resist bacterial attachment
US20120302940A1 (en)2011-05-262012-11-29Jackson State UniversityPopcorn Shape Gold Nanoparticle For Targeted Diagnosis, Photothermal Treatment and In-Situ Monitoring Therapy Response for Cancer and Multiple Drug Resistance Bacteria
WO2012166923A2 (en)2011-05-312012-12-06Bind BiosciencesDrug loaded polymeric nanoparticles and methods of making and using same
WO2012170930A1 (en)2011-06-082012-12-13Shire Human Genetic Therapies, IncLipid nanoparticle compositions and methods for mrna delivery
WO2012170889A1 (en)2011-06-082012-12-13Shire Human Genetic Therapies, Inc.Cleavable lipids
WO2013006825A1 (en)2011-07-062013-01-10Novartis AgLiposomes having useful n:p ratio for delivery of rna molecules
WO2013019669A2 (en)2011-07-292013-02-07Selecta Biosciences, Inc.Synthetic nanocarriers that generate humoral and cytotoxic t lymphocyte (ctl) immune responses
WO2013052523A1 (en)2011-10-032013-04-11modeRNA TherapeuticsModified nucleosides, nucleotides, and nucleic acids, and uses thereof
US20130195920A1 (en)2011-12-072013-08-01Alnylam Pharmaceuticals, Inc.Biodegradable lipids for the delivery of active agents
WO2013086322A1 (en)2011-12-072013-06-13Alnylam Pharmaceuticals, Inc.Branched alkyl and cycloalkyl terminated biodegradable lipids for the delivery of active agents
WO2013090648A1 (en)2011-12-162013-06-20modeRNA TherapeuticsModified nucleoside, nucleotide, and nucleic acid compositions
WO2013151666A2 (en)2012-04-022013-10-10modeRNA TherapeuticsModified polynucleotides for the production of biologics and proteins associated with human disease
US20130317081A1 (en)2012-04-262013-11-28Alnylam PharmaceuticalsSERPINC1 iRNA COMPOSITIONS AND METHODS OF USE THEREOF
WO2015162422A1 (en)*2014-04-222015-10-29Mina Therapeutics LimitedSarna compositions and methods of use
EP3778892A1 (en)*2018-04-102021-02-17Ractigen TherapeuticsNovel small activating rna

Non-Patent Citations (106)

* Cited by examiner, † Cited by third party
Title
"8th International Judah Folkman Conference", 8 October 2010, CAMBRIDGE
"Biocomputing: Informatics and Genome Projects", 1993, ACADEMIC PRESS
"Computational Molecular Biology", 1988, OXFORD UNIVERSITY PRESS
"Computer Analysis of Sequence Data", 1994, HUMANA PRESS
"Pharmaceutical Salts: Properties, Selection, and Use", 2008, WILEY-VCH
"Remington's Pharmaceutical Sciences", 1985, MACK PUBLISHING COMPANY, pages: 1418
"Sequence Analysis Primer", 1991, M STOCKTON PRESS
AKINC ET AL., MOL THER, vol. 17, 2009, pages 872 - 879
AKINC ET AL., MOL THER., vol. 17, 2009, pages 872 - 879
AKINC ET AL., NAT BIOTECHNOL., vol. 26, 2008, pages 561 - 569
ALEKU ET AL., CANCER RES., vol. 68, 2008, pages 9788 - 9798
ALTSCHUL, S. F. ET AL., J. MOLEC. BIOL.,, vol. 215, 1990, pages 403
BASHA ET AL., MOL. THER., vol. 19, 2011, pages 2186 - 2200
BENOIT ET AL., BIOMACROMOLECULES, vol. 12, 2011, pages 2708 - 2714
BERGE ET AL., JOURNAL OF PHARMACEUTICAL SCIENCE, vol. 66, 1977, pages 1 - 19
CHATURVEDI ET AL., EXPERT OPIN DRUG DELIV., vol. 8, 2011, pages 1455 - 1468
CHO ET AL., ADV. FUNCT. MATER., vol. 19, 2009, pages 3112 - 3118
CHU ET AL., ACC CHEM RES., 13 January 2012 (2012-01-13)
CONVERTINE ET AL., BIOMACROMOLECULES, 1 October 2010 (2010-10-01)
CROOKE ET AL., J. PHARMACOL. EXP. THER., vol. 277, 1996, pages 923 - 937
DATABASE Geneseq [online] 17 December 2015 (2015-12-17), "Interleukin 10 (IL10) targeted antisense saRNA, SEQ: 4250.", XP002809399, retrieved from EBI accession no. GSN:BCG37379 Database accession no. BCG37379*
DAVIS, MOL PHARM., vol. 6, 2009, pages 659 - 668
DAVIS, NATURE, vol. 464, 2010, pages 1067 - 1070
DE FOUGEROLLES, HUM GENE THER., vol. 19, 2008, pages 125 - 132
DEKOKER ET AL., ADV DRUG DELIV REV., vol. 63, 2011, pages 748 - 761
DEVEREUX ET AL., NUCLEIC ACIDS RESEARCH, vol. 12, no. 1, 1984, pages 387
FENSKECULLIS, EXPERT OPIN DRUG DELIV., vol. 5, 2008, pages 309 - 319
FOTIN-MLECZEK ET AL., J. IMMUNOTHER., vol. 34, 2011, pages 1 - 15
FRANK-KAMENETSKY ET AL., PROC NATL ACAD SCI USA., vol. 105, 2008, pages 11915 - 11920
FULLER ET AL., BIOMATERIALS, vol. 29, 2008, pages 1526 - 1532
GEALL ET AL.: "Nonviral delivery of self-amplifying RNA vaccines", PNAS, 2012
GILJOHANN ET AL., JOURN. AMER. CHEM. SOC., vol. 131, no. 6, 2009, pages 2072 - 2073
GUTBIER ET AL., PULM PHARMACOL. THER., vol. 23, 2010, pages 334 - 344
HEIDEL ET AL., PROC NATL ACAD SCI USA, vol. 104, 2007, pages 5715 - 21
HEYES ET AL., J CONTR REL., vol. 107, 2005, pages 276 - 287
HU-LIESKOVAN ET AL., CANCER RES., vol. 65, 2005, pages 8984 - 8982
JANOWSKI ET AL., NATURE CHEMICAL BIOLOGY, vol. 3, 2007, pages 166 - 173
JEFFS ET AL., PHARM RES., vol. 22, 2005, pages 362 - 372
JUDGE ET AL., J CLIN INVEST., vol. 119, 2009, pages 661 - 673
KABANOV ET AL., FEBS LETT., vol. 259, 1990, pages 327 - 330
KAUFMANN ET AL., MICROVASC RES, vol. 80, 2010, pages 286 - 293
KAZIKAWA ET AL., J CONTR REL., vol. 111, 2006, pages 368 - 370
KAZIKAWA ET AL., J CONTR REL., vol. 97, 2004, pages 345 - 356
KIM ET AL., METHODS MOL BIOL., vol. 721, 2011, pages 339 - 353
KIRPOTIN ET AL., CANCER RES., vol. 66, 2006, pages 6732 - 6740
KOLHATKAR ET AL., CURR DRUG DISCOV TECHNOL., vol. 8, 2011, pages 197 - 206
LANDEN ET AL., CANCER BIOLOGY & THERAPY, vol. 5, no. 12, 2006, pages 1708 - 1713
LETSINGER ET AL., PROC. NATL. ACID. SCI. USA, vol. 86, 1989, pages 6553 - 6556
LEUSCHNER ET AL., NAT BIOTECHNOL, vol. 29, 2011, pages 1005 - 1010
LEUSCHNER ET AL., NAT BIOTECHNOL., vol. 29, 2011, pages 1005 - 1010
LI ET AL., J CONTR REL., vol. 142, 2010, pages 416 - 421
LI ET AL., J CONTR REL., vol. 158, 2012, pages 108 - 114
LIUHUANG, MOLECULAR THERAPY., 2010, pages 669 - 670
LOVE ET AL., PROC NATL ACAD SCI U S A., vol. 107, 2010, pages 1864 - 1869
LOVE ET AL., PROC NATL ACAD SCI USA., vol. 107, 2010, pages 1864 - 1869
MAHON ET AL., BIOCONJUG CHEM, vol. 21, 2010, pages 1448 - 1454
MANGANIELLO ET AL., BIOMATERIALS, vol. 33, 2012, pages 2301 - 2309
MANOHARAN ET AL., ANN. N.Y. ACAD. SCI., vol. 660, 1992, pages 306 - 309
MANOHARAN ET AL., BIORG. MED. CHEM. LET., vol. 3, 1993, pages 2765 - 2770
MANOHARAN ET AL., BIORG. MED. CHEM. LET., vol. 4, 1994, pages 1053 - 1060
MANOHARAN ET AL., NUCLEOSIDES & NUCLEOTIDES, vol. 14, 1995, pages 969 - 973
MANOHARAN ET AL., TETRAHEDRON LETT., vol. 36, 1995, pages 3651 - 3654
MEYERSMILLER, CABIOS, vol. 4, 1989, pages 11 - 17
MISHRA ET AL., BIOCHIM. BIOPHYS. ACTA, vol. 1264, 1995, pages 229 - 237
MORRISSEY ET AL., NAT BIOTECHNOL., vol. 23, 2005, pages 1002 - 1007
MURUGAIAH ET AL., ANALYTICAL BIOCHEMISTRY, vol. 401, 2010, pages 61
MUSACCHIOTORCHILIN, FRONT BIOSCI., vol. 16, 2011, pages 1388 - 1412
OBERHAUSER ET AL., NUCL. ACIDS RES., vol. 20, 1992, pages 533 - 538
PASCOLO, EXPERT OPIN. BIOL. THER., vol. 4, pages 1285 - 1294
PATIL ET AL., CRIT REV THER DRUG CARRIER SYST., vol. 25, 2008, pages 1 - 61
PEER ET AL., SCIENCE, vol. 319, 2008, pages 627 - 630
PEER, J CONTROL RELEASE., vol. 20, 2010, pages 63 - 68
PEERLIEBERMAN, GENE THER., vol. 18, 2011, pages 1127 - 1133
PITELLA ET AL., BIOMATERIALS, vol. 32, 2011, pages 3106 - 3114
ROZEMA ET AL., PROC NATL ACAD SCI U S A., vol. 104, no. 104, 2007, pages 12982 - 12887
ROZEMA ET AL., PROC NATL ACAD SCI USA., vol. 104, 2007, pages 12982 - 12887
SAISON-BEHMOARAS ET AL., EMBO J, vol. 10, 1991, pages 1111 - 1118
SANTEL ET AL., GENE THER, vol. 13, 2006, pages 1360 - 1370
SCHAFFERTWAGNER, GENE THER., vol. 16, 2008, pages 1131 - 1138
SCHROEDER ET AL., J INTERN MED., vol. 267, 2010, pages 9 - 21
SEMPLE ET AL., NATURE BIOTECH., vol. 28, 2010, pages 172 - 176
SHEA ET AL., NUCL. ACIDS RES., vol. 18, 1990, pages 3777 - 3783
SHI ET AL., ANGEW CHEM INT ED., vol. 50, 2011, pages 7027 - 7031
SIEGWART ET AL., PROC NATL ACAD SCI U S A., vol. 108, 2011, pages 12996 - 13001
SINGHA ET AL., NUCLEIC ACID THER., vol. 2, 2011, pages 133 - 147
SONG ET AL., NATURE BIOTECHNOL., vol. 23, 2005, pages 709 - 717
SRINIVASAN ET AL., METHODS MOL BIOL., vol. 757, 2012, pages 497 - 507
STRUMBERG ET AL., INT J CLIN PHARMACOL THER, vol. 50, 2012, pages 76 - 78
SU ET AL., MOL PHARM., vol. 8, no. 3, 6 June 2011 (2011-06-06), pages 774 - 87
SUBRAMANYA ET AL., MOL THER., vol. 18, 2010, pages 2028 - 2037
SULLIVAN ET AL., EXPERT OPIN DRUG DELIV., vol. 7, 2010, pages 1433 - 1446
SVINARCHUK ET AL., BIOCHIMIE, vol. 75, 1993, pages 49 - 54
T. HIGUCHIV. STELLA: "Pro-drugs as Novel Delivery Systems", A.C.S. SYMPOSIUM SERIES, vol. 14
VON HEINJE, G.: "Sequence Analysis in Molecular Biology", 1987, AMERICAN PHARMACEUTICAL ASSOCIATION AND PERGAMON PRESS
VOUTILA ET AL., MOL THER NUCLEIC ACIDS, vol. 1, 2012, pages e35
WANG ET AL., NAT MATER., vol. 5, 2006, pages 791 - 796
WEIDE ET AL., J IMMUNOTHER., vol. 31, 2008, pages 180 - 188
WEIDE ET AL., J IMMUNOTHER., vol. 32, 2009, pages 498 - 507
WHEELER ET AL., GENE THERAPY., vol. 6, 1999, pages 271 - 281
WU ET AL., PLOS ONE, vol. 6, no. 12, 2011, pages e28580
YANG ET AL., MOL THER., vol. 20, 2012, pages 609 - 615
YU ET AL., MOL MEMBR BIOL., vol. 27, 2010, pages 286 - 298
ZHANG ET AL., ACS NANO, vol. 2, no. 8, 2008, pages 1696 - 1702
ZHANG ET AL., GENE THERAPY, vol. 6, 1999, pages 1438 - 1447
ZHOU ET AL., MOLECULAR THER, vol. 19, 2011, pages 2228 - 2238
ZIMMERMANN ET AL., NATURE, vol. 441, 2006, pages 111 - 114

Similar Documents

PublicationPublication DateTitle
US20180258429A1 (en)Sarna compositions and methods of use
US20240018519A1 (en)Stabilized saRNA Compositions and Methods of Use
US20230031703A1 (en)Stabilized hnf4a sarna compositions and methods of use
WO2016170348A2 (en)Sarna compositions and methods of use
WO2016170349A1 (en)C/ebp alpha sarna compositions and methods of use
WO2023099884A1 (en)Pax6 sarna compositions and methods of use
US20240002850A1 (en)SIRT1-saRNA Compositions and Methods of Use
WO2024134199A1 (en)Chemically modified sarna compositions and methods of use
US20240175033A1 (en)TMEM173 saRNA Compositions and Methods of Use
WO2023170435A1 (en)Il10 sarna compositions and methods of use
US20220211740A1 (en)Sirt1-sarna compositions and methods of use
CN117337330A (en)TMEM173 saRNA compositions and methods of use
WO2022047105A2 (en)Nucleic acids for inhibiting tert expression

Legal Events

DateCodeTitleDescription
121Ep: the epo has been informed by wipo that ep was designated in this application

Ref document number:23712933

Country of ref document:EP

Kind code of ref document:A1

NENPNon-entry into the national phase

Ref country code:DE

122Ep: pct application non-entry in european phase

Ref document number:23712933

Country of ref document:EP

Kind code of ref document:A1


[8]ページ先頭

©2009-2025 Movatter.jp