










本公开要求于2022年02月17日提交中国专利局、申请号为202210147600.5、发明名称为“一种车型识别方法、装置和系统”的中国专利申请的优先权,其全部内容通过引用结合在本公开中。This disclosure claims the priority of the Chinese patent application with the application number 202210147600.5 and the title of the invention "a vehicle identification method, device and system" submitted to the China Patent Office on February 17, 2022, the entire contents of which are incorporated herein by reference. In public.
本公开涉及车型识别,尤其涉及一种车型识别方法、装置和系统。The present disclosure relates to vehicle type identification, and in particular to a vehicle type identification method, device and system.
车辆的长宽高度、车辆轮轴数、车辆轴型、车牌类型、车牌颜色、车牌号、车辆外形等信息是车辆类型分类的重要依据,车型作为机动车辆的重要信息,在车辆自动驾驶、公安刑侦判案、交警道路管理、道路交通计费等应用中起到重要的作用。由于车辆类型分类依据的信息项多且相互补充,单一的单目摄像机、双目摄像机、称重、激光扫描、红外扫描等传感器装置,均不能全面、准确地获取相关信息,因此、车辆类型分类在识别精度上难以获得高的准确率。Vehicle length, width and height, number of vehicle axles, vehicle axle type, license plate type, license plate color, license plate number, vehicle shape and other information are important basis for vehicle type classification. Judgment, traffic police road management, road traffic billing and other applications play an important role. Because the vehicle type classification is based on many information items and complement each other, a single sensor device such as monocular camera, binocular camera, weighing, laser scanning, and infrared scanning cannot obtain relevant information comprehensively and accurately. Therefore, the vehicle type classification It is difficult to obtain a high accuracy rate in recognition accuracy.
专利CN111783638A提出了一种检测车辆轮轴数及车型识别的系统、方法,该系统包括测距传感装置、高频并行信号采集设备、计算处理设备,通过测距传感装置,可以获得车轮深度图和车身深度图的数据序列,实现车辆轮轴数检测,并根据采集设备的车牌信息获得车型识别结果,但依据的信息项只有车辆轮轴数、车牌信息,不足以实现车型的精准识别。Patent CN111783638A proposes a system and method for detecting the number of vehicle axles and vehicle type identification. The system includes a distance measuring sensor device, a high-frequency parallel signal acquisition device, and a calculation processing device. Through the distance measuring sensor device, a wheel depth map can be obtained And the data sequence of the vehicle body depth map to detect the number of vehicle axles, and obtain the vehicle model recognition result based on the license plate information of the acquisition device, but the information items based on the vehicle are only the vehicle wheel axle number and license plate information, which is not enough to realize the accurate identification of the vehicle model.
专利CN111523579A提出了一种基于改进深度学习的车型识别方法及系统,该方法基于深度学习方法,需要大量交通卡口车辆图像数据集进行切割、整理、分类、训练,实现车型的分类识别,仅利用了车辆图像的外形信息,车型识别准确率难以保证。Patent CN111523579A proposes a vehicle type recognition method and system based on improved deep learning. This method is based on deep learning methods and requires a large number of vehicle image data sets at traffic checkpoints for cutting, sorting, classification, and training to realize the classification and recognition of vehicle types. Without the shape information of the vehicle image, the accuracy of vehicle model recognition is difficult to guarantee.
因而现有的车型识别技术还存在不足,还有待改进和提高。Therefore, there are still deficiencies in the existing vehicle type identification technology, which needs to be improved and improved.
发明内容Contents of the invention
(一)要解决的技术问题(1) Technical problems to be solved
现有的车型识别技术对车型进行识别的准确率不高。The accuracy rate of the existing vehicle type identification technology for vehicle type identification is not high.
(二)技术方案(2) Technical solution
鉴于上述现有技术的不足之处,本公开的目的在于提供一种车型识别方法、装置和系统,能够提高针对车辆识别的长宽高度的准确性,同时针对车型进行全面识别,综合提高车型的识别准确度。In view of the shortcomings of the above-mentioned prior art, the purpose of the present disclosure is to provide a vehicle type identification method, device and system, which can improve the accuracy of the length, width, and height of vehicle identification, and at the same time fully identify the vehicle type, and comprehensively improve the vehicle type. recognition accuracy.
为了达到上述目的,本公开采取了以下技术方案:In order to achieve the above object, the present disclosure adopts the following technical solutions:
一方面,本公开提供一种车型识别方法,包括:On the one hand, the present disclosure provides a vehicle type identification method, including:
获取车辆的车头图像、车身图像和车尾图像;Obtain the front image, body image and rear image of the vehicle;
获取车辆的宽高长数据;所述宽高长数据包括第一宽高数据、第二宽高数据、第三宽高数据;其中,对所述车头图像和所述车尾图像进行车牌检测,得到车牌图像尺寸与车牌物理尺寸之间的第一比例系数,进而根据车头图像尺寸、车尾图像尺寸分别得到车头的第一宽高数据和车尾的第二宽高数据;将车头图像和/或车尾图像与所述车身图像进行特征值提取与匹配,根据所述第一比例系数和车身图像尺寸得到车身的第三宽高数据;Obtain the width, height and length data of the vehicle; the width, height and length data include the first width and height data, the second width and height data, and the third width and height data; wherein, license plate detection is performed on the front image and the rear image, Obtain the first proportional coefficient between the image size of the license plate and the physical size of the license plate, and then obtain the first width and height data of the front of the car and the second width and height data of the rear of the car respectively according to the image size of the front of the car and the image of the rear of the car; Or perform feature value extraction and matching between the rear image and the vehicle body image, and obtain the third width and height data of the vehicle body according to the first scale factor and the size of the vehicle body image;
获取车辆的车型数据;所述车型数据包括车型信息、车轴信息;其中,通过第一识别模型对所述车头图像进行识别得到所述车型信息;通过第二识别模型对所述车身图像进行识别得到所述车轴信息;Obtain vehicle model data; the vehicle model data includes vehicle model information and axle information; wherein, the vehicle head image is recognized by the first recognition model to obtain the vehicle model information; the vehicle body image is recognized by the second recognition model to obtain said axle information;
整合所述宽高长数据和所述车型数据,输出车型识别数据。Integrating the width, height and length data and the vehicle type data to output vehicle type identification data.
优选的,所述第一宽高数据或所述第二宽高的获取步骤包括:Preferably, the step of obtaining the first width and height data or the second width and height includes:
通过第三识别模型对第一图像进行车牌图像识别,得到车牌位置数据和车牌类型数据;所述第一图像为所述车头图像或所述车尾图像;Perform license plate image recognition on the first image through a third recognition model to obtain license plate position data and license plate type data; the first image is the front image or the rear image;
通过仿射变换将车牌图像的宽高比调整为与对应车牌类型的实际物理宽高比相同,并基于相同的调整比例同步调整所述第一图像的宽高比得到第一调整图像;adjusting the aspect ratio of the license plate image to be the same as the actual physical aspect ratio of the corresponding license plate type through affine transformation, and synchronously adjusting the aspect ratio of the first image based on the same adjustment ratio to obtain a first adjusted image;
获取车牌图像的图像尺寸与车牌的物理尺寸之间的第一比例系数;Obtain the first scale factor between the image size of the license plate image and the physical size of the license plate;
获取第一调整图像的图像尺寸,基于所述第一比例系数得到第一宽高数据或第二宽高数据。The image size of the first adjusted image is acquired, and the first width and height data or the second width and height data are obtained based on the first proportional coefficient.
优选的,获取所述比例系数具体包括:Preferably, obtaining the proportionality coefficient specifically includes:
获取车牌图像中每个字符的字符图像尺寸;Obtain the character image size of each character in the license plate image;
根据车牌的字符物理尺寸,得到所述第一比例系数。According to the physical size of the characters of the license plate, the first proportional coefficient is obtained.
优选的,所述第三宽高数据的获取步骤为:Preferably, the step of obtaining the third width and height data is:
获取第一调整图像和车身图像的特征匹配点,进而得到对应的第二 比例系数;Obtain the feature matching points of the first adjustment image and the vehicle body image, and then obtain the corresponding second scale factor;
根据所述第二比例系数将所述车身图像进行归一化处理,得到第一归一化图像;performing normalization processing on the body image according to the second scale factor to obtain a first normalized image;
获取所述第一归一化图像的图像尺寸,基于所述第一比例系数得到第三宽高数据。Acquire the image size of the first normalized image, and obtain third width and height data based on the first scale factor.
优选的,所述第一调整图像包括车头调整图像和车尾调整图像;Preferably, the first adjustment image includes a front adjustment image and a rear adjustment image;
所述第三宽高数据的获取步骤为:The steps for obtaining the third width and height data are:
获取车头调整图像和车身图像的特征匹配点,进而得到对应的第三比例系数;Obtain the feature matching points of the adjusted image of the front of the car and the image of the body, and then obtain the corresponding third proportional coefficient;
根据所述第三比例系数将所述车身图像进行归一化处理,得到第二归一化图像;performing normalization processing on the body image according to the third scale factor to obtain a second normalized image;
获取车尾调整图像和车身图像的特征匹配点,进而得到对应的第四比例系数;Obtain the feature matching points of the rear adjustment image and the body image, and then obtain the corresponding fourth proportional coefficient;
根据所述第四比例系数将所述车身图像进行归一化处理,得到第三归一化图像;performing normalization processing on the body image according to the fourth scale factor to obtain a third normalized image;
获取所述第二归一化图像的图像尺寸,基于所述第一比例系数得到第一车身宽高数据;Acquire the image size of the second normalized image, and obtain the first vehicle body width and height data based on the first scale factor;
获取所述第三归一化图像的图像尺寸,基于所述第一比例系数得到第二车身宽高数据;Acquire the image size of the third normalized image, and obtain second vehicle body width and height data based on the first scale factor;
基于所述第一车身宽高数据和第二车身宽高数据进行加权计算,得到所述第三宽高数据。Weighted calculation is performed based on the first vehicle body width and height data and the second vehicle body width and height data to obtain the third width and height data.
优选的,所述车轴信息包括车轴数、车轴类型;Preferably, the axle information includes axle number and axle type;
所述车型识别数据还包括:所述车头图像、所述车身图像、所述车尾图像、车牌类型数据。The vehicle type identification data further includes: the vehicle front image, the vehicle body image, the vehicle rear image, and license plate type data.
优选的,所述车头图像或所述车尾图像获取步骤包括:Preferably, the step of acquiring the front image or the rear image includes:
获取第二图像,使用第四识别模型对第二图像进行车头或车尾识别,得到粗略矩形框位置信息;所述第二图像为具有车头特征或车尾特征的图像;Acquire the second image, use the fourth recognition model to identify the front or rear of the second image, and obtain rough rectangular frame position information; the second image is an image with front or rear features;
对所述粗略矩形框进行图像边缘检测,得到车头图像或车尾图像。Image edge detection is performed on the rough rectangular frame to obtain a front image or a rear image.
优选的,所述车身图像的获取步骤包括:Preferably, the step of acquiring the body image includes:
获取连续生成的多帧第三图像;所述第三图像为具有车身特征的图像;Acquire continuously generated multi-frame third images; the third images are images with vehicle body features;
计算毎帧所述第三图像的特征向量,并分别计算与前一帧所述第三 图像的匹配相似度,进而得到对应的偏移量;Calculate the feature vector of the third image described in each frame, and calculate the matching similarity with the third image described in the previous frame respectively, and then obtain the corresponding offset;
将多帧所述第三图像根据对应所述偏移量进行平移变换拼接,得到所述车身图像。The plurality of frames of the third image are stitched according to the translation transformation corresponding to the offset to obtain the vehicle body image.
另一方面,本公开提供一种车型识别装置,包括:In another aspect, the present disclosure provides a vehicle type identification device, including:
获取模块,用于获取车辆的车头图像、车身图像和车尾图像;The obtaining module is used to obtain the front image, the body image and the rear image of the vehicle;
处理模块,用于获取车辆的宽高长数据;所述宽高长数据包括第一宽高数据、第二宽高数据、第三宽高数据;其中,对所述车头图像和所述车尾图像进行车牌检测,得到车牌图像尺寸与车牌物理尺寸之间的第一比例系数,进而根据车头图像尺寸、车尾图像尺寸分别得到车头的第一宽高数据和车尾的第二宽高数据;将车头图像和/或车尾图像与所述车身图像进行特征值提取与匹配,根据所述第一比例系数和车身图像尺寸得到车身的第三宽高数据;获取车辆的车型数据;所述车型数据包括车型信息、车轴信息;其中,通过第一识别模型对所述车头图像进行识别得到所述车型信息;通过第二识别模型对所述车身图像进行识别得到所述车轴信息;整合所述宽高长数据和所述车型数据,输出车型识别数据。The processing module is used to obtain the width, height and length data of the vehicle; the width, height and length data include the first width and height data, the second width and height data, and the third width and height data; wherein, the image of the front of the vehicle and the rear of the vehicle Carry out license plate detection on the image to obtain the first proportional coefficient between the license plate image size and the physical size of the license plate, and then obtain the first width and height data of the front of the car and the second width and height data of the rear of the car according to the image size of the front of the car and the image size of the rear of the car respectively; Extracting and matching the feature values of the front image and/or the rear image and the vehicle body image, obtaining the third width and height data of the vehicle body according to the first scale factor and the size of the vehicle body image; obtaining the vehicle type data; the vehicle type The data includes vehicle type information and axle information; wherein, the vehicle type information is obtained by identifying the vehicle head image through the first recognition model; the vehicle body image is recognized by the second recognition model to obtain the axle information; the width is integrated The height data and the vehicle type data are used to output vehicle type identification data.
另一方面,本公开提供一种车型识别系统,包括:In another aspect, the present disclosure provides a vehicle type identification system, including:
多目摄像机,具有多个朝向不同的摄像头;Multi-camera with multiple cameras with different orientations;
车型识别装置,与所述多目摄像机连接,用于接收多个摄像头传输的图像,进而得到车辆的车头图像、车身图像和车尾图像;并获取车辆的宽高长数据;所述宽高长数据包括第一宽高数据、第二宽高数据、第三宽高数据;其中,对所述车头图像和所述车尾图像进行车牌检测,得到车牌图像尺寸与车牌物理尺寸之间的第一比例系数,进而根据车头图像尺寸、车尾图像尺寸分别得到车头的第一宽高数据和车尾的第二宽高数据;将车头图像和/或车尾图像与所述车身图像进行特征值提取与匹配,根据所述第一比例系数和车身图像尺寸得到车身的第三宽高数据;获取车辆的车型数据;所述车型数据包括车型信息、车轴信息;其中,通过第一识别模型对所述车头图像进行识别得到所述车型信息;通过第二识别模型对所述车身图像进行识别得到所述车轴信息;整合所述宽高长数据和所述车型数据,输出车型识别数据。The vehicle type recognition device is connected with the multi-eye camera, and is used to receive the images transmitted by multiple cameras, and then obtain the front image, body image and rear image of the vehicle; and obtain the width, height and length data of the vehicle; the width, height and length The data includes the first width and height data, the second width and height data, and the third width and height data; wherein, the license plate detection is performed on the front image and the rear image to obtain the first distance between the image size of the license plate and the physical size of the license plate. Scale coefficient, and then obtain the first width and height data of the front of the car and the second width and height data of the rear according to the size of the front image and the size of the rear image respectively; perform feature value extraction on the front image and/or the rear image and the body image and matching, obtain the third width and height data of the vehicle body according to the first scale factor and the image size of the vehicle body; obtain the vehicle model data; the vehicle model data includes vehicle model information and axle information; Recognizing the vehicle head image to obtain the vehicle type information; using a second recognition model to recognize the vehicle body image to obtain the axle information; integrating the width, height and length data with the vehicle type data to output vehicle type identification data.
(三)有益效果(3) Beneficial effects
相较于现有技术,本公开提供的一种车型识别方法、装置和系统,具有以下有益效果:Compared with the prior art, the vehicle type identification method, device and system provided by the present disclosure have the following beneficial effects:
使用本公开提供车型识别方法,在得到车头图像、车身图像、车尾图像后,通过进行车牌检测,进而根据车牌图像尺寸以及车牌物理尺寸得到第一比例系数,进而得到精准的车头的第一宽高数据、车尾的第二宽高数据、车身的第三宽高数据,同时对车型以及车轴类型进行精准识别,能够准确得到经过车辆的车型识别数据,提高识别准确度。Using the vehicle type identification method provided by the present disclosure, after obtaining the front image, body image, and rear image, the license plate detection is performed, and then the first proportional coefficient is obtained according to the license plate image size and the license plate physical size, and then the accurate first width of the front of the car is obtained. Height data, the second width and height data of the rear, and the third width and height data of the body, and at the same time accurately identify the vehicle type and axle type, can accurately obtain the vehicle type identification data of passing vehicles, and improve the identification accuracy.
图1是本公开提供的车型识别方法的流程图;Fig. 1 is a flow chart of the vehicle type identification method provided by the present disclosure;
图2是本公开提供的多目摄像机装设示意图;Fig. 2 is a schematic diagram of multi-eye camera installation provided by the present disclosure;
图3是本公开提供的车头或车尾宽高数据获取步骤流程图;Fig. 3 is a flow chart of steps for acquiring width and height data of the front or rear of the vehicle provided by the present disclosure;
图4是本公开提供的第一比例系数另一实施例获取步骤流程图;Fig. 4 is a flow chart of obtaining steps in another embodiment of the first proportional coefficient provided by the present disclosure;
图5是本公开提供的第三宽高数据的一种获取方式流程图;Fig. 5 is a flowchart of an acquisition method of the third width and height data provided by the present disclosure;
图6是本公开提供的第三宽高数据的另一种获取方式流程图;Fig. 6 is a flow chart of another way of obtaining the third width and height data provided by the present disclosure;
图7是本公开提供的车身图像获取步骤流程图;FIG. 7 is a flow chart of the body image acquisition steps provided by the present disclosure;
图8是本公开提供的车身图像获取示意图;FIG. 8 is a schematic diagram of vehicle body image acquisition provided by the present disclosure;
图9是本公开提供的车型识别方法的一种实施例流程图;FIG. 9 is a flow chart of an embodiment of a vehicle type identification method provided by the present disclosure;
图10是本公开提供的车型识别装置的结构框图;Fig. 10 is a structural block diagram of a vehicle type identification device provided by the present disclosure;
图11是本公开提供的车型识别系统的结构框图。Fig. 11 is a structural block diagram of the vehicle type identification system provided by the present disclosure.
为使本公开的目的、技术方案及效果更加清楚、明确,以下参照附图并举实施例对本公开进一步详细说明。应当理解,此处所描述的具体实施例仅用以解释本公开,并不用于限定本公开。In order to make the purpose, technical solutions and effects of the present disclosure more clear and definite, the present disclosure will be further described in detail below with reference to the accompanying drawings and examples. It should be understood that the specific embodiments described here are only used to explain the present disclosure, not to limit the present disclosure.
本领域技术人员应当理解,前面的一般描述和下面的详细描述是本公开的示例性和说明性的具体实施例,不意图限制本公开。It is to be understood by those of ordinary skill in the art that the foregoing general description and the following detailed description are exemplary and illustrative specific embodiments of the present disclosure and are not intended to limit the present disclosure.
本文中术语“包括”,“包含”或其任何其他变体旨在覆盖非排他性包括,使得包括步骤列表的过程或方法不仅包括那些步骤,而且可以包括未明确列出或此类过程或方法固有的其他步骤。同样,在没有更多限制的情况下,以“包含...一个”开头的一个或多个设备或子系统,元素或结构或组件也不会没有更多限制,排除存在其他设备或其他子系统或其他元素或其他结构或其他组件或其他设备或其他子系统或其他元素或其他结构或其他组件。在整个说明书中,短语“在一个实施例中”,“在另一个实施例中”的出现和类似的语言可以但不一定都指相同的实 施例。Herein the terms "comprises", "comprising" or any other variation thereof are intended to cover a non-exclusive inclusion such that a process or method comprising a list of steps includes not only those steps but may also include steps not expressly listed or inherent in such process or method other steps. Likewise, one or more equipment or subsystems, elements or structures or assemblies beginning with "consisting of ... a" do not, without more limitations, exclude the presence of other equipment or other sub- system or other element or other structure or other component or other device or other subsystem or other element or other structure or other component. Throughout this specification, appearances of the phrases "in one embodiment," "in another embodiment," and similar language may, but do not necessarily, all refer to the same embodiment.
除非另有定义,否则本文中使用的所有技术和科学术语具有与本公开所属领域的普通技术人员通常所理解的相同含义。Unless defined otherwise, all technical and scientific terms used herein have the same meaning as commonly understood by one of ordinary skill in the art to which this disclosure belongs.
请一并参阅图1、图2和图9,本公开提供一种车型识别方法,应用于车型识别装置,与多目摄像机连接。本实施例中,根据实际应用场景,所述多目摄像机安装在道路旁侧的位置1或位置2(如图2所示),所述多目摄像机至少具有多个摄像头,每个摄像头朝向不同的方向,分别获取不同方向上道路的图像数据。Please refer to FIG. 1 , FIG. 2 and FIG. 9 together. The present disclosure provides a vehicle identification method, which is applied to a vehicle identification device and connected with a multi-camera. In this embodiment, according to the actual application scenario, the multi-camera is installed at
进一步的优选方案中,所述摄像头的数量为3个,面对道路各自的朝向分别为正对道路(获取用于生成车身图像的第二图像)、车辆驶来方向(获取用于生成车头图像的图像)、车辆驶离方向(获取用于生成车尾图像的图像)。在进一步优选的方案中,所述摄像头的数量超过3个,在每个方向上的摄像头数量为一个或多个,这样针对同一车辆可以选择其中优选的图像数据生成对应的车头图像、车尾图像、车身图像。摄像头装设的要求如图所示:1)摄像机1和摄像机2、摄像机2和摄像机3之间的视场角存在一定程度重合;2)各摄像机可以上下、左右调整角度;3)车辆驶过摄像机组时,摄像机1能完整采集到车辆车头图像、摄像机2能完整采集到车身全身高度图像且图像画面尽量确保水平平行于路面、摄像机3能完整采集到车辆车尾图像,从而能够方便的进行图像之间的特征点匹配。In a further preferred solution, the number of the cameras is 3, and the respective orientations facing the road are respectively facing the road (acquiring the second image used to generate the image of the vehicle body), and the direction of the vehicle (acquiring the second image used to generate the image of the vehicle head). image of the vehicle), the direction of vehicle departure (the image used to generate the image of the rear of the vehicle is acquired). In a further preferred solution, the number of the cameras is more than 3, and the number of cameras in each direction is one or more, so that for the same vehicle, the preferred image data can be selected to generate the corresponding front image and rear image , Body image. The requirements for camera installation are shown in the figure: 1) There is a certain degree of overlap between the field of view angles between
进一步,多目摄像机的多个摄像头之间的工作过程优选为:车辆进入区域1时,摄像机1采集车辆车头图像序列,处理模块根据图像序列,检测识别车头图像,并同步图像采集信号给摄像机2;车辆进入区域2时,摄像头2采集车身图像序列,同时同步图像采集信号给摄像机3;车辆进入区域3时,摄像头3采集车尾图像序列,从而获得车辆经过区域1-区域3的所有图像序列,进而得到车头图像、车身图像、车尾图像,摄像头依次获取图像,可以有效节约电能、存储资源和计算资源等。Further, the working process between the multiple cameras of the multi-eye camera is preferably: when the vehicle enters the
所述车型识别方法包括:The vehicle identification method includes:
S1、获取车辆的车头图像、车身图像和车尾图像;在本实施例中,所述车头图像、所述车身图像、所述车尾图像,均是通过摄像机拍摄图像序列进而生成,当然,在使用一些具有自动识别功能并能够获取清洗的目标图像的摄像机时,可以直接通过该种摄像机传输的图像进 行使用。S1. Acquire the front image, the body image and the rear image of the vehicle; in this embodiment, the front image, the body image, and the rear image are all generated by a sequence of images captured by a camera. Of course, in When using some cameras with automatic recognition function and capable of acquiring cleaned target images, the images transmitted by such cameras can be used directly.
S2、获取车辆的宽高长数据;所述宽高长数据包括第一宽高数据、第二宽高数据、第三宽高数据;其中,对所述车头图像和所述车尾图像进行车牌检测,得到车牌图像尺寸与车牌物理尺寸之间的第一比例系数,进而根据车头图像尺寸、车尾图像尺寸分别得到车头的第一宽高数据和车尾的第二宽高数据;将车头图像和/或车尾图像与所述车身图像进行特征值提取与匹配,根据所述第一比例系数和车身图像尺寸得到车身的第三宽高数据;在本实施例中,所述第一比例系数包括第一宽度比例系数和第一高度比例系数,二者分别进行简单计算,例如车牌图像尺寸为400*150像素,车牌的物理尺寸为440mm×140mm,则第一宽度比例系数为0.91像素/mm,第一高度比例系数为1.07像素/mm,然后得到车头图像尺寸或车尾图像尺寸后,进行第一宽高数据和第二宽高数据的快速计算,同理可计算得到第三宽高数据。S2. Obtain the width, height and length data of the vehicle; the width, height and length data include the first width and height data, the second width and height data, and the third width and height data; wherein, the license plate is performed on the front image and the rear image Detect to obtain the first proportional coefficient between the image size of the license plate and the physical size of the license plate, and then obtain the first width and height data of the front of the car and the second width and height data of the rear of the car according to the image size of the front of the car and the image of the rear of the car respectively; And/or carry out feature value extraction and matching between the rear image and the vehicle body image, and obtain the third width and height data of the vehicle body according to the first scale factor and the size of the vehicle body image; in this embodiment, the first scale factor Including the first width scaling factor and the first height scaling factor, which are simply calculated separately. For example, if the license plate image size is 400*150 pixels, and the physical size of the license plate is 440mm×140mm, then the first width scaling factor is 0.91 pixels/mm , the first height scale factor is 1.07 pixels/mm, and then after obtaining the front image size or the rear image size, perform fast calculation of the first width and height data and the second width and height data, and the third width and height data can be calculated similarly .
S3、获取车辆的车型数据;所述车型数据包括车型信息、车轴信息;其中,通过第一识别模型对所述车头图像进行识别得到所述车型信息;通过第二识别模型对所述车身图像进行识别得到所述车轴信息;具体的,所述第一识别模型和第二识别模型均基于深度神经网络模型得到。S3. Obtain vehicle model data; the vehicle model data includes vehicle model information and axle information; wherein, the vehicle head image is recognized by the first recognition model to obtain the vehicle model information; the vehicle body image is processed by the second recognition model The axle information is obtained through recognition; specifically, both the first recognition model and the second recognition model are obtained based on a deep neural network model.
具体的,所述第第一识别模型的训练过程包括:Specifically, the training process of the first recognition model includes:
获取第一训练集,所述第一训练集包括若干第一训练图像,所述第一训练图像为具有车型特征的图像,并标注了各种车辆类型的标签;所述车辆类型包括大型汽车、挂车小型汽车、警用汽车等。Obtain the first training set, the first training set includes several first training images, the first training image is an image with vehicle characteristics, and labels of various vehicle types are marked; the vehicle types include large cars, Trailer small cars, police cars, etc.
使用第一训练集对初始化的神经网络模型进行训练得到所述第一识别模型。The first recognition model is obtained by using the first training set to train the initialized neural network model.
所述第二识别模型的训练过程包括:The training process of the second recognition model includes:
获取第二训练集,所述第二训练集包括若干第二训练图像,所述第二训练图像为具有车轴特征的图像,并标注了各种车轴类型的标签;Obtain a second training set, the second training set includes several second training images, the second training image is an image with axle characteristics, and labels of various axle types are marked;
使用第二训练集对初始化的神经网络模型进行训练得到所述第二识别模型。Using the second training set to train the initialized neural network model to obtain the second recognition model.
S4、整合所述宽高长数据和所述车型数据,输出车型识别数据。具体的,整合数据过程即将识别得到的数据进行融合处理,得到针对该车辆的车型信息的准确识别。S4. Integrate the width, height and length data with the vehicle type data, and output vehicle type identification data. Specifically, the data integration process is to perform fusion processing on the identified data to obtain accurate identification of the vehicle model information.
使用本公开提供车型识别方法,在得到车头图像、车身图像、车尾图像后,通过进行车牌检测,进而根据车牌图像尺寸以及车牌物理尺 寸得到第一比例系数,进而得到精准的车头的第一宽高数据、车尾的第二宽高数据、车身的第三宽高数据,同时对车型以及车轴类型进行精准识别,能够准确得到经过车辆的车型识别数据,提高识别准确度。Using the vehicle type identification method provided by the present disclosure, after obtaining the front image, body image, and rear image, the license plate detection is performed, and then the first proportional coefficient is obtained according to the license plate image size and the license plate physical size, and then the accurate first width of the front of the car is obtained. Height data, the second width and height data of the rear, and the third width and height data of the body, and at the same time accurately identify the vehicle type and axle type, can accurately obtain the vehicle type identification data of passing vehicles, and improve the identification accuracy.
进一步的,请参阅图3,作为优选方案,本实施例中,所述第一宽高数据或所述第二宽高的获取步骤包括:Further, please refer to FIG. 3. As a preferred solution, in this embodiment, the step of obtaining the first width and height data or the second width and height includes:
S21、通过第三识别模型对第一图像进行车牌图像识别,得到车牌位置数据和车牌类型数据;所述第一图像为所述车头图像或所述车尾图像;具体的,所述第三识别模型基于神经网络模型训练得到,可以自动对第一图像进行识别,快速得到对应的识别结果,同时保证准确性。S21. Perform license plate image recognition on the first image through the third recognition model to obtain license plate position data and license plate type data; the first image is the front image or the rear image; specifically, the third recognition The model is trained based on the neural network model, which can automatically recognize the first image and quickly obtain the corresponding recognition results while ensuring accuracy.
具体的,所述车牌类型包括:1、大型汽车号牌-前:440mm×140mm-后:440mm×220mm-黄底黑字黑框线;2、挂车号牌-440mm×220mm-黄底黑字黑框线;3、小型汽车号牌-440mm×140mm-蓝底白字白框线;4、使馆汽车号牌-440mm×140mm-黑底白字,红“使”、“领”字白框线;5、领馆汽车号牌-440mm×140mm-黑底白字,红“使”、“领”字白框线;6、港澳入出境车号牌-440mm×140mm-黑底白字,白“港”、“澳”字白框线;7、教练汽车号牌-440mm×140mm-黄底黑字,黑“学”字黑框线;8、警用汽车号牌-440mm×140mm-白底黑字,红“警”字黑框线。Specifically, the license plate types include: 1. Large-scale car license plate-front: 440mm×140mm-rear: 440mm×220mm-black frame with black characters on yellow background; 2. Trailer license plate-440mm×220mm-black characters on yellow background Black frame line; 3. Small car license plate-440mm×140mm-white frame line with white characters on blue background; 4. License plate of embassy car-440mm×140mm-white characters on black background, red “shi” and “collar” characters and white frame line; 5. Consulate car license plate-440mm×140mm-black background with white characters, red “shi” and “collar” and white frame lines; 6. Hong Kong and Macao entry and exit vehicle license plate-440mm×140mm- black background and white characters, white “Hong Kong” , "Australia" word white frame; 7. Coach car license plate - 440mm × 140mm - yellow background with black characters, black "Xue" character with black frame line; 8. Police car license plate - 440mm × 140mm-white background with black characters , red "police" word black frame.
所述第三识别模型的训练过程包括:The training process of the third recognition model includes:
获取第三训练集,所述第三训练集包括若干第三训练图像,所述第三训练图像为具有车牌特征的图像,并标注了各种车牌类型的标签;Obtain a third training set, the third training set includes some third training images, the third training images are images with license plate features, and are marked with labels of various license plate types;
使用第三训练集对初始化的神经网络模型进行训练得到所述第三识别模型。Using the third training set to train the initialized neural network model to obtain the third recognition model.
S22、通过仿射变换将车牌图像的宽高比调整为与对应车牌类型的实际物理宽高比相同,并基于相同的调整比例同步调整所述第一图像的宽高比得到第一调整图像;S22. Adjust the aspect ratio of the license plate image to be the same as the actual physical aspect ratio of the corresponding license plate type through affine transformation, and synchronously adjust the aspect ratio of the first image based on the same adjustment ratio to obtain a first adjusted image;
S23、获取车牌图像的图像尺寸与车牌的物理尺寸之间的第一比例系数;S23. Obtain a first proportionality coefficient between the image size of the license plate image and the physical size of the license plate;
S24、获取第一调整图像的图像尺寸,基于所述第一比例系数得到第一宽高数据或第二宽高数据。S24. Acquire the image size of the first adjusted image, and obtain first width and height data or second width and height data based on the first scale factor.
本实施例主要对车头图像或车尾图像进行车牌的检测、定位、校正、类型分类、字符分割和识别处理。In this embodiment, the license plate detection, positioning, correction, type classification, character segmentation and recognition processing are mainly performed on the front image or the rear image.
在进一步的实施例中,在得到车牌位置数据后,车牌矩形框的4顶点位置由目标检测和特征点提取的方法得到,同时,所述第三识别模型还能够得到车牌颜色和车牌类型数据,然后结合车牌类型信息通过仿射变换得到与实际物理车牌宽高比一致的车牌图像,再结合语义分割的方法得到各个字符的精确矩形框位置,最后识别出车牌号码信息,即可快速获知车牌的基础信息,包括号码、颜色、类型等。In a further embodiment, after obtaining the license plate position data, the positions of the four vertices of the license plate rectangular frame are obtained by target detection and feature point extraction, and meanwhile, the third recognition model can also obtain license plate color and license plate type data, Then combine the license plate type information to obtain the license plate image with the same aspect ratio as the actual physical license plate through affine transformation, and then combine the semantic segmentation method to obtain the precise rectangular frame position of each character, and finally recognize the license plate number information, you can quickly know the license plate. Basic information, including number, color, type, etc.
进一步的,请参阅图4,作为优选方案,本实施例中,获取所述比例系数具体包括:Further, please refer to FIG. 4. As a preferred solution, in this embodiment, obtaining the proportional coefficient specifically includes:
获取车牌图像中每个字符的字符图像尺寸;Obtain the character image size of each character in the license plate image;
根据车牌的字符物理尺寸,得到所述第一比例系数。即使用每个字符的物理尺寸与图像尺寸生成所述第一比例系数,则会更加准确,以使在计算车头或车尾的宽高数据时更加准确。实现针对车牌字符物理尺寸的准确估算,从而准确估算出车辆高、宽、长度物理尺寸。According to the physical size of the characters of the license plate, the first proportional coefficient is obtained. Even if the physical size and image size of each character are used to generate the first scale factor, it will be more accurate, so that the width and height data of the front or rear of the vehicle can be calculated more accurately. Realize accurate estimation of the physical size of the license plate characters, so as to accurately estimate the physical size of the vehicle's height, width, and length.
具体实施过程中,在仿射变换后,首先获取变换参数M(M为3x3矩阵),并结合车头精确位置信息,通过仿射变换的方法得到车头的正面图像,得到车头图像的图像尺寸为Wimg_h*Himg_h。In the specific implementation process, after the affine transformation, first obtain the transformation parameter M (M is a 3x3 matrix), and combine the precise position information of the front of the car to obtain the frontal image of the front of the car through the method of affine transformation, and the image size of the obtained front image is Wimg_h *Himg_h .
得到各个字符精确矩形框位置,由变换参数M通过仿射变换的方法得到各个字符的图像尺寸Wimg_h_ch_i*Himg_h_ch_i(其中i为字符序号)。Obtain the precise rectangular frame position of each character, and obtain the image size Wimg_h_ch_i *Himg_h_ch_i (wherein i is the character serial number) of each character by the transformation parameter M through the method of affine transformation.
根据字符的图像尺寸并结合各字符成像情况,通过聚类分析的方法剔除字符“1”或其他由于污损等原因导致字符图像尺寸过大或过小的数据,然后计算得到字符的平均图像尺寸:According to the image size of the characters and combined with the imaging conditions of each character, the character "1" or other data whose character image size is too large or too small due to defacement and other reasons are eliminated by cluster analysis, and then the average image size of the character is calculated. :
其中N1为宽度图像尺寸有效的字符个数,N2为高度图像尺寸有效的字符个数。 Where N1 is the number of valid characters for the width image size, and N2 is the number of valid characters for the height image size.
结合《中华人民共和国机动车号牌》最新行业标准规定的单字符物理尺寸Wphy_ch*Hphy_h,计算得到字符物理尺寸和图像尺寸的比例系数(即第一比例系数,其中第一比例系数包括第一宽度比例系数、第 一高度比例系数):Combining the single-character physical size Wphy_ch *Hphy_h stipulated in the latest industry standard of "Motor Vehicle Number Plate of the People's Republic of China", the proportional coefficient of the physical character size and image size (ie the first proportional coefficient, wherein the first proportional coefficient includes the first proportional coefficient) is calculated. a width scale factor, a first height scale factor):
第一宽度比例系数为第一高度比例系数为The first width scale factor is The first height scale factor is
结合摄像头图像等比例成像特性,可以计算得到车头的物理宽度和高度(即车头的第一宽高数据):Combined with the proportional imaging characteristics of the camera image, the physical width and height of the front of the car (that is, the first width and height data of the front of the car) can be calculated:
在进一步的实施例中,在获取所述第一比例系数前,对第一图像进行畸变校正,使图像更加接近车头的实际形状。In a further embodiment, before acquiring the first scale factor, distortion correction is performed on the first image to make the image closer to the actual shape of the front of the vehicle.
进一步的,请参阅图5,作为优选方案,本实施例中,所述第三宽高数据的获取步骤为:Further, please refer to FIG. 5. As a preferred solution, in this embodiment, the step of obtaining the third width and height data is:
获取第一调整图像和车身图像的特征匹配点,进而得到对应的第二比例系数;所述第一调整图像为车头图像的第一调整图像或车尾图像的第一调整图像。The feature matching points of the first adjusted image and the vehicle body image are obtained, and then the corresponding second proportional coefficient is obtained; the first adjusted image is the first adjusted image of the front image or the first adjusted image of the rear image.
根据所述第二比例系数将所述车身图像进行归一化处理,得到第一归一化图像;performing normalization processing on the body image according to the second scale factor to obtain a first normalized image;
获取所述第一归一化图像的图像尺寸,基于所述第一比例系数得到第三宽高数据。在本实施例中,仅使用车头图像或车尾图像对车身图像进行归一化调整,使车身图像的图像尺寸与调整后的车头图像或车尾图像做适应性调整,进而得到与第一调整图像相适应的归一化图像,能够进一步提高车身的宽高计算精度。Acquire the image size of the first normalized image, and obtain third width and height data based on the first scale factor. In this embodiment, only the front image or the rear image is used to normalize the vehicle body image, so that the image size of the vehicle body image is adaptively adjusted with the adjusted front image or rear image, and then the first adjusted The normalized image adapted to the image can further improve the calculation accuracy of the width and height of the vehicle body.
进一步的,请参阅图6,作为优选方案,本实施例中,所述第一调整图像包括车头调整图像和车尾调整图像;Further, please refer to FIG. 6. As a preferred solution, in this embodiment, the first adjustment image includes an adjustment image for the front of the vehicle and an adjustment image for the rear of the vehicle;
所述第三宽高数据的获取步骤为:The steps for obtaining the third width and height data are:
获取车头调整图像和车身图像的特征匹配点,进而得到对应的第三比例系数;Obtain the feature matching points of the adjusted image of the front of the car and the image of the body, and then obtain the corresponding third proportional coefficient;
根据所述第三比例系数将所述车身图像进行归一化处理,得到第二归一化图像;performing normalization processing on the body image according to the third scale factor to obtain a second normalized image;
获取车尾调整图像和车身图像的特征匹配点,进而得到对应的第四比例系数;Obtain the feature matching points of the rear adjustment image and the body image, and then obtain the corresponding fourth proportional coefficient;
根据所述第四比例系数将所述车身图像进行归一化处理,得到第三归一化图像;performing normalization processing on the body image according to the fourth scale factor to obtain a third normalized image;
获取所述第二归一化图像的图像尺寸,基于所述第一比例系数得到第一车身宽高数据;Acquire the image size of the second normalized image, and obtain the first vehicle body width and height data based on the first scale factor;
获取所述第三归一化图像的图像尺寸,基于所述第一比例系数得到第二车身宽高数据;Acquire the image size of the third normalized image, and obtain second vehicle body width and height data based on the first scale factor;
基于所述第一车身宽高数据和第二车身宽高数据进行加权计算,得到所述第三宽高数据。在本实施例中,所述车身图像与车头调整图像或车尾调整图像进行特征点匹配后,可以得到车辆的三维立体图像。同时使用车头图像和车尾图像对车身图像进行匹配处理,可以有效提高车身的第三宽高数据的计算精度。Weighted calculation is performed based on the first vehicle body width and height data and the second vehicle body width and height data to obtain the third width and height data. In this embodiment, after feature point matching is performed on the vehicle body image and the adjusted image of the front of the vehicle or the adjusted image of the rear of the vehicle, a three-dimensional stereo image of the vehicle can be obtained. At the same time, the front image and the rear image are used to match the body image, which can effectively improve the calculation accuracy of the third width and height data of the body.
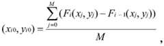
具体实施中,通过车头正面完整图像和车身图像,计算两图像的特征匹配点,并求出两图像高度变换的第三比例系数f1:In the specific implementation, the feature matching points of the two images are calculated through the complete image of the front of the car and the image of the body, and the third proportional coefficient f1 of the height transformation of the two images is obtained:
其中Himg_s为车身图像高度,Himg_h为车头图像高度,Fs(yi)为车头图像特征点y坐标,Fh(yi)为车身图像特征点y坐标,K为特征点对数目; Wherein Himg_s is the height of the vehicle body image, Himg_h is the height of the head image, Fs (yi ) is the y coordinate of the feature point of the head image, Fh (yi ) is the y coordinate of the feature point of the body image, and K is the number of feature point pairs;
根据所述第三比例系数计算第二归一化图像,得到车身侧面完整图像的归一化长Wimg0_s和高Himg0_s:Calculate the second normalized image according to the third scale factor, and obtain the normalized length Wimg0_s and height Himg0_s of the complete image of the side of the vehicle body:
Wimg0_s=f1*Wimg_s,其中Wimg_s为车身图像长度,Wimg0_s =f1 *Wimg_s , where Wimg_s is the length of the body image,
Himg0_s=f1*Himg_s,其中Himg_s为车身图像高度Himg0_s =f1 *Himg_s , where Himg_s is the height of the vehicle body image
根据第一比例系数,结合摄像头图像等比例成像特性,则可以估算车身的第一车身宽高数据的长度和高度信息:According to the first scale factor, combined with the proportional imaging characteristics of the camera image, the length and height information of the first body width and height data of the body can be estimated:
同理,使用车尾调整图像和车身图像的特征点匹配和车尾高度信息,可以得到车身的第二车身宽高数据的长度W"phy_s和高度H"phy_s信息;Similarly, the length W"phy_s and the height H"phy_s information of the second body width and height data of the body can be obtained by using the feature point matching of the rear adjustment image and the body image and the height information of the rear body;
为更准确地估算车身的第三宽高数据,则使用第一车身宽高数据和第二车身宽高数据,求加权值,作为车身的第三宽高数据中长度和高度信息:In order to more accurately estimate the third width and height data of the body, use the first body width and height data and the second body width and height data to find the weighted value as the length and height information in the third width and height data of the body:
Wphy_s=W'phy_s*α+W"phy_s*β,其中α∈(0,1)和β∈(0,1)为权值,α+β=1;Wphy_s = W'phy_s *α+W"phy_s *β, where α∈(0,1) and β∈(0,1) are weights, α+β=1;
其中δ∈(0,1)和为权值, where δ∈(0,1) and is the weight,
一般地,取α=0.5,β=0.5,δ=0.5,即求平均值。Generally, take α=0.5, β=0.5, δ=0.5, That is, to find the average value.
进一步的,请参阅图7和图8,作为优选方案,本实施例中,所述车轴信息包括车轴数、车轴类型;Further, please refer to FIG. 7 and FIG. 8. As a preferred solution, in this embodiment, the axle information includes the number of axles and the type of axles;
所述车型识别数据还包括:所述车头图像、所述车身图像、所述车尾图像、车牌类型数据。具体的,在进行多数据信息融合处理后,能够获取完整车头、车身和车尾3个面的正视图图像,以及对应的三维立体图像,融合计算得到车辆的长宽高度、车辆轮轴数、车辆轴型、车牌类型、车牌颜色、车牌号、车辆外形等信息,实现车型准确识别。The vehicle type identification data further includes: the vehicle front image, the vehicle body image, the vehicle rear image, and license plate type data. Specifically, after multi-data information fusion processing, the front view images of the complete front, body, and rear surfaces, as well as the corresponding three-dimensional images, can be obtained, and the length, width, and height of the vehicle, the number of wheel axles, and the vehicle Axle type, license plate type, license plate color, license plate number, vehicle shape and other information to achieve accurate vehicle identification.
综合上述所有步骤得到的信息,采用多数据信息融合处理的方法,获取完整车头、车身和车尾3个面的正视图图像,融合计算得到车辆的长宽高度、车辆轮轴数、车辆轴型、车牌类型、车牌颜色、车牌号、车辆外形等信息,实现车型准确识别。Combining the information obtained in all the above steps, the multi-data information fusion processing method is used to obtain the front view images of the complete three faces of the front, body and rear, and the length, width and height of the vehicle, the number of vehicle axles, the vehicle axle type, License plate type, license plate color, license plate number, vehicle shape and other information to achieve accurate vehicle identification.
进一步的,作为优选方案,本实施例中,所述车头图像或所述车尾图像获取步骤包括:Further, as a preferred solution, in this embodiment, the step of acquiring the front image or the rear image includes:
获取第二图像,使用第四识别模型对第二图像进行车头或车尾识别,得到粗略矩形框位置信息;所述第二图像为具有车头特征或车尾 特征的图像;优选的,所述第四识别模型为通过对初始化的神经网络模型进行训练得到。具有所述车头特征或车尾特征的图像通过预设的第一摄像头(例如摄像头1或摄像头3)拍摄得到,该第一摄像头装设在道路一侧,与道路边缘乘一定角度(非90°),当摄像头的视野中出现车辆时,所拍摄的照片即具有所述车头特征或车尾特征。Acquire the second image, use the fourth recognition model to identify the front or rear of the second image to obtain rough rectangular frame position information; the second image is an image with front or rear features; preferably, the first The four recognition models are obtained by training the initialized neural network model. The image with the features of the front or the rear of the car is captured by a preset first camera (such as
对所述粗略矩形框进行图像边缘检测,得到车头图像或车尾图像。使用基于神经网络的识别模型进行车头或车尾的识别,可以快速确定第二图像中是否有车头或车尾图像,并快速进行标注,同时还保证准确性。Image edge detection is performed on the rough rectangular frame to obtain a front image or a rear image. Using the neural network-based recognition model to identify the front or rear of the car can quickly determine whether there is a front or rear image in the second image, and quickly mark it while ensuring accuracy.
基于深度学习目标检测的方法得到车辆车头或车尾的粗略矩形框位置信息,并结合图像边缘检测方法得到车头图像的边缘图像,然后根据边缘信息确定车头左右和上下精确位置,实现车头的精确定位,再结合检测置信度和车头的精确位置信息实现车头完整图像的抓拍。所述第四识别模型的训练过程包括:Based on the deep learning target detection method, the rough rectangular frame position information of the vehicle front or rear is obtained, combined with the image edge detection method to obtain the edge image of the front image, and then the precise left, right, up and down positions of the front are determined according to the edge information, and the precise positioning of the front is realized. , combined with the detection confidence and the precise position information of the front of the car to capture the complete image of the front of the car. The training process of the fourth recognition model includes:
获取第四训练集,所述第四训练集包括若干第四训练图像,所述第四训练图像为具有车头特征或车尾特征的图像,并标注了车头或车尾的标签;Obtain the fourth training set, the fourth training set includes some fourth training images, the fourth training image is an image with the characteristics of the front or the rear of the vehicle, and the label of the front or the rear of the vehicle is marked;
使用第四训练集对初始化的神经网络模型进行训练得到所述第四识别模型。The fourth recognition model is obtained by using the fourth training set to train the initialized neural network model.
进一步的,作为优选方案,本实施例中,所述车身图像的获取步骤包括:Further, as a preferred solution, in this embodiment, the step of acquiring the vehicle body image includes:
获取连续生成的多帧第三图像;所述第三图像为具有车身特征的图像;优选的,连续生成的多帧第三图像可以是单位时间内的一段视频进行图像筛选得到。具有所述车身特征的图像为通过预设的第二摄像头(例如摄像头2)拍摄得到,该第二摄像头的拍摄方向与道路边缘垂直,当视野中出现车辆时,所拍摄的照片即具有车身特征。Acquire continuously generated multiple frames of third images; the third images are images with vehicle body characteristics; preferably, the continuously generated multiple frames of third images may be obtained by screening a segment of video per unit time. The image with the characteristics of the vehicle body is captured by a preset second camera (such as camera 2), and the shooting direction of the second camera is perpendicular to the edge of the road. When a vehicle appears in the field of view, the photograph taken has the characteristics of the vehicle body .
计算毎帧所述第三图像的特征向量,并分别计算与前一帧所述第三图像的匹配相似度,进而得到对应的偏移量;Calculate the feature vector of the third image in each frame, and calculate the matching similarity with the third image in the previous frame respectively, and then obtain the corresponding offset;
将多帧所述第三图像根据对应所述偏移量进行平移变换拼接,得到所述车身图像。本实施例,无论是小车还是大车(特别是车辆超长、超宽的车辆),均能够获取完整的车辆图像。The plurality of frames of the third image are stitched according to the translation transformation corresponding to the offset to obtain the vehicle body image. In this embodiment, whether it is a small car or a large car (especially a vehicle with an ultra-long or wide width), a complete vehicle image can be obtained.
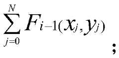
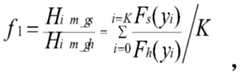
具体在实施中,请参阅图8,根据车身图像序列形成的多帧第三图像,检测车辆(车身)是否出现在摄像头视场范围区域2位置,是则 记录为flag=1,拼接开始。Specifically in the implementation, please refer to FIG. 8. According to the third multi-frame image sequence formed by the vehicle body image sequence, it is detected whether the vehicle (body) appears in the camera field of view area 2, and if it is recorded as flag=1, the splicing starts.
计算当前第i帧第三图像的特征点集合其中i为第三图像帧序号,j为特征点序号,N为有效特征点数目,(xj,yj)为特征点对应的图像位置,则上一帧即第i-1帧第三图像对应的匹配特征点集合为Calculate the set of feature points of the third image of the current frame i Where i is the serial number of the third image frame, j is the serial number of the feature point, N is the number of valid feature points, (xj , yj ) is the image position corresponding to the feature point, then the last frame is the third image of the i-1th frame The corresponding set of matching feature points is
根据第i帧第三图像的特征点集合和上一帧i-1第三图像的特征点集合计算特征点的匹配相似度,通过阈值过滤掉匹配失败的点,则分别计算匹配特征对的平均(xi0,yi0)位移量,即第i帧第三图像与第i-1帧第三图像车身目标为平移变换,其偏移量:According to the set of feature points of the third image of the i-th frame and the set of feature points of the third image of i-1 in the previous frame Calculate the matching similarity of the feature points, filter out the points that fail to match through the threshold, then calculate the average (xi0 , yi0 ) displacement of the matching feature pair, that is, the third image of the i-th frame and the third image of the i-1th frame The image body target is a translation transformation, its offset:
其中M为有效特征对数目; Where M is the number of effective feature pairs;
结合车辆正常行驶经过摄像头2区域2位置的实际情况,车辆车身图像的垂直位移量yi0近似为零,可忽略不计,因此,可以根据车辆车身图像的水平位移量xi0计算第i帧第三图像与第i-1帧第三图像车身目标的拼接图,如图8所示。Combined with the actual situation of the vehicle passing through the position of the camera 2 area 2 normally, the vertical displacement yi0 of the vehicle body image is approximately zero and can be ignored. Therefore, the i-th frame can be calculated according to the horizontal displacement xi0 of the vehicle body image x i0 The mosaic diagram of the image and the body target in the third image of frame i-1 is shown in Fig. 8 .
将每一帧第三图像均按照前述步骤操作,直到车辆(车身)消失摄像头视场范围区域2位置,即flag=0,最后一张第三图像处理完毕,则车辆的完整车身图像拼接完成,进入下一辆车辆的拼接准备阶段。Operate each frame of the third image in accordance with the aforementioned steps until the vehicle (body) disappears at position 2 of the field of view of the camera, that is, flag=0. After the last third image is processed, the stitching of the complete body image of the vehicle is completed. Enter the preparation stage for splicing of the next vehicle.
请参阅图10,本公开还提供一种车型识别装置,包括:Please refer to FIG. 10 , the present disclosure also provides a vehicle type identification device, including:
获取模块,用于获取车辆的车头图像、车身图像和车尾图像;The obtaining module is used to obtain the front image, the body image and the rear image of the vehicle;
处理模块,用于获取车辆的宽高长数据;所述宽高长数据包括第一宽高数据、第二宽高数据、第三宽高数据;其中,对所述车头图像和所述车尾图像进行车牌检测,得到车牌图像尺寸与车牌物理尺寸之间 的第一比例系数,进而根据车头图像尺寸、车尾图像尺寸分别得到车头的第一宽高数据和车尾的第二宽高数据;将车头图像和/或车尾图像与所述车身图像进行特征值提取与匹配,根据所述第一比例系数和车身图像尺寸得到车身的第三宽高数据;获取车辆的车型数据;所述车型数据包括车型信息、车轴信息;其中,通过第一识别模型对所述车头图像进行识别得到所述车型信息;通过第二识别模型对所述车身图像进行识别得到所述车轴信息;整合所述宽高长数据和所述车型数据,输出车型识别数据。The processing module is used to obtain the width, height and length data of the vehicle; the width, height and length data include the first width and height data, the second width and height data, and the third width and height data; wherein, the image of the front of the vehicle and the rear of the vehicle Carry out license plate detection on the image to obtain the first proportional coefficient between the license plate image size and the physical size of the license plate, and then obtain the first width and height data of the front of the car and the second width and height data of the rear of the car according to the image size of the front of the car and the image size of the rear of the car respectively; Extracting and matching the feature values of the front image and/or the rear image and the vehicle body image, obtaining the third width and height data of the vehicle body according to the first scale factor and the size of the vehicle body image; obtaining the vehicle type data; the vehicle type The data includes vehicle type information and axle information; wherein, the vehicle type information is obtained by identifying the vehicle head image through the first recognition model; the vehicle body image is recognized by the second recognition model to obtain the axle information; the width is integrated The height data and the vehicle type data are used to output vehicle type identification data.
请参阅图11,本公开还提供一种车型识别系统,包括:Please refer to FIG. 11 , the present disclosure also provides a vehicle type identification system, including:
多目摄像机,具有多个朝向不同的摄像头;Multi-camera with multiple cameras with different orientations;
车型识别装置,与所述多目摄像机连接,用于接收多个摄像头传输的图像,进而得到车辆的车头图像、车身图像和车尾图像;并获取车辆的宽高长数据;所述宽高长数据包括第一宽高数据、第二宽高数据、第三宽高数据;其中,对所述车头图像和所述车尾图像进行车牌检测,得到车牌图像尺寸与车牌物理尺寸之间的第一比例系数,进而根据车头图像尺寸、车尾图像尺寸分别得到车头的第一宽高数据和车尾的第二宽高数据;将车头图像和/或车尾图像与所述车身图像进行特征值提取与匹配,根据所述第一比例系数和车身图像尺寸得到车身的第三宽高数据;获取车辆的车型数据;所述车型数据包括车型信息、车轴信息;其中,通过第一识别模型对所述车头图像进行识别得到所述车型信息;通过第二识别模型对所述车身图像进行识别得到所述车轴信息;整合所述宽高长数据和所述车型数据,输出车型识别数据。The vehicle type recognition device is connected with the multi-eye camera, and is used to receive the images transmitted by multiple cameras, and then obtain the front image, body image and rear image of the vehicle; and obtain the width, height and length data of the vehicle; the width, height and length The data includes the first width and height data, the second width and height data, and the third width and height data; wherein, the license plate detection is performed on the front image and the rear image to obtain the first distance between the image size of the license plate and the physical size of the license plate. Scale coefficient, and then obtain the first width and height data of the front of the car and the second width and height data of the rear according to the size of the front image and the size of the rear image respectively; perform feature value extraction on the front image and/or the rear image and the body image and matching, obtain the third width and height data of the vehicle body according to the first scale factor and the image size of the vehicle body; obtain the vehicle model data; the vehicle model data includes vehicle model information and axle information; Recognizing the vehicle head image to obtain the vehicle type information; using a second recognition model to recognize the vehicle body image to obtain the axle information; integrating the width, height and length data with the vehicle type data to output vehicle type identification data.
可以理解的是,对本领域普通技术人员来说,可以根据本公开的技术方案及其发明构思加以等同替换或改变,而所有这些改变或替换都应属于本公开所附的权利要求的保护范围。It can be understood that those skilled in the art can make equivalent replacements or changes according to the technical solutions and inventive concepts of the present disclosure, and all these changes or replacements should fall within the protection scope of the appended claims of the present disclosure.
本公开提供的车型识别方法,通过获取车头图像、车身图像、车尾图像,以及进行车牌检测,从而可根据车牌图像尺寸以及车牌物理尺寸得到第一比例系数,进而得到精准的车头的第一宽高数据、车尾的第二宽高数据、车身的第三宽高数据,同时对车型以及车轴类型进行精准识别,能够准确得到经过车辆的车型识别数据,提高识别准确度,具有很强的工业实用性。The vehicle type identification method provided in the present disclosure can obtain the first proportional coefficient according to the size of the license plate image and the physical size of the license plate by acquiring the front image, the body image, and the rear image, and detecting the license plate, and then obtain the accurate first width of the front of the vehicle. Height data, the second width and height data of the rear, and the third width and height data of the body, and at the same time accurately identify the vehicle type and axle type, can accurately obtain the vehicle type identification data of passing vehicles, improve the identification accuracy, and has a strong industrial practicality.
| Application Number | Priority Date | Filing Date | Title |
|---|---|---|---|
| CN202210147600.5 | 2022-02-17 | ||
| CN202210147600.5ACN114639078A (en) | 2022-02-17 | 2022-02-17 | A vehicle type identification method, device and system |
| Publication Number | Publication Date |
|---|---|
| WO2023155483A1true WO2023155483A1 (en) | 2023-08-24 |
| Application Number | Title | Priority Date | Filing Date |
|---|---|---|---|
| PCT/CN2022/128972CeasedWO2023155483A1 (en) | 2022-02-17 | 2022-11-01 | Vehicle type identification method, device, and system |
| Country | Link |
|---|---|
| CN (1) | CN114639078A (en) |
| WO (1) | WO2023155483A1 (en) |
| Publication number | Priority date | Publication date | Assignee | Title |
|---|---|---|---|---|
| CN117087790A (en)* | 2023-10-19 | 2023-11-21 | 江西江铃集团晶马汽车有限公司 | Full-automatic bus door installation method and system |
| CN117351439A (en)* | 2023-12-06 | 2024-01-05 | 山东博安智能科技股份有限公司 | Dynamic monitoring management system for intelligent expressway overrun vehicle |
| CN117553695A (en)* | 2024-01-11 | 2024-02-13 | 摩斯智联科技有限公司 | Method, apparatus and computer storage medium for calculating vehicle height based on aspect ratio suppression noise |
| Publication number | Priority date | Publication date | Assignee | Title |
|---|---|---|---|---|
| CN114639078A (en)* | 2022-02-17 | 2022-06-17 | 广州广电运通金融电子股份有限公司 | A vehicle type identification method, device and system |
| CN116740662B (en)* | 2023-08-15 | 2023-11-21 | 贵州中南锦天科技有限责任公司 | Axle recognition method and system based on laser radar |
| CN119573854A (en)* | 2025-02-06 | 2025-03-07 | 交通运输部规划研究院 | Highway axle load spectrum monitoring method and system based on multi-source data |
| Publication number | Priority date | Publication date | Assignee | Title |
|---|---|---|---|---|
| CN107545239A (en)* | 2017-07-06 | 2018-01-05 | 南京理工大学 | A kind of deck detection method matched based on Car license recognition with vehicle characteristics |
| US10286908B1 (en)* | 2018-11-01 | 2019-05-14 | Eric John Wengreen | Self-driving vehicle systems and methods |
| CN111582255A (en)* | 2020-06-19 | 2020-08-25 | 上海眼控科技股份有限公司 | Vehicle overrun detection method and device, computer equipment and storage medium |
| CN112652173A (en)* | 2019-10-11 | 2021-04-13 | 深圳富泰宏精密工业有限公司 | Driving safety prompting method, vehicle and storage medium |
| CN112966582A (en)* | 2021-02-26 | 2021-06-15 | 北京卓视智通科技有限责任公司 | Vehicle type three-dimensional recognition method, device and system, electronic equipment and storage medium |
| CN114639078A (en)* | 2022-02-17 | 2022-06-17 | 广州广电运通金融电子股份有限公司 | A vehicle type identification method, device and system |
| Publication number | Priority date | Publication date | Assignee | Title |
|---|---|---|---|---|
| KR101038669B1 (en)* | 2009-06-15 | 2011-06-02 | (주) 알티솔루션 | Image-based Undetectable Vehicle Recognition System and Vehicle Recognition Method |
| CN106127107A (en)* | 2016-06-14 | 2016-11-16 | 宁波熵联信息技术有限公司 | The model recognizing method that multi-channel video information based on license board information and vehicle's contour merges |
| CN111860384B (en)* | 2020-07-27 | 2021-12-14 | 上海福赛特智能科技有限公司 | Vehicle type recognition method |
| CN112435167B (en)* | 2020-12-01 | 2024-03-12 | 深圳市豪恩汽车电子装备股份有限公司 | Device and method for acquiring road surface image of motor vehicle bottom |
| CN112580569B (en)* | 2020-12-25 | 2023-06-09 | 山东旗帜信息有限公司 | Vehicle re-identification method and device based on multidimensional features |
| Publication number | Priority date | Publication date | Assignee | Title |
|---|---|---|---|---|
| CN107545239A (en)* | 2017-07-06 | 2018-01-05 | 南京理工大学 | A kind of deck detection method matched based on Car license recognition with vehicle characteristics |
| US10286908B1 (en)* | 2018-11-01 | 2019-05-14 | Eric John Wengreen | Self-driving vehicle systems and methods |
| CN112652173A (en)* | 2019-10-11 | 2021-04-13 | 深圳富泰宏精密工业有限公司 | Driving safety prompting method, vehicle and storage medium |
| CN111582255A (en)* | 2020-06-19 | 2020-08-25 | 上海眼控科技股份有限公司 | Vehicle overrun detection method and device, computer equipment and storage medium |
| CN112966582A (en)* | 2021-02-26 | 2021-06-15 | 北京卓视智通科技有限责任公司 | Vehicle type three-dimensional recognition method, device and system, electronic equipment and storage medium |
| CN114639078A (en)* | 2022-02-17 | 2022-06-17 | 广州广电运通金融电子股份有限公司 | A vehicle type identification method, device and system |
| Publication number | Priority date | Publication date | Assignee | Title |
|---|---|---|---|---|
| CN117087790A (en)* | 2023-10-19 | 2023-11-21 | 江西江铃集团晶马汽车有限公司 | Full-automatic bus door installation method and system |
| CN117351439A (en)* | 2023-12-06 | 2024-01-05 | 山东博安智能科技股份有限公司 | Dynamic monitoring management system for intelligent expressway overrun vehicle |
| CN117351439B (en)* | 2023-12-06 | 2024-02-20 | 山东博安智能科技股份有限公司 | Dynamic monitoring management system for intelligent expressway overrun vehicle |
| CN117553695A (en)* | 2024-01-11 | 2024-02-13 | 摩斯智联科技有限公司 | Method, apparatus and computer storage medium for calculating vehicle height based on aspect ratio suppression noise |
| CN117553695B (en)* | 2024-01-11 | 2024-05-03 | 摩斯智联科技有限公司 | Method and device for calculating vehicle height and computer storage medium |
| Publication number | Publication date |
|---|---|
| CN114639078A (en) | 2022-06-17 |
| Publication | Publication Date | Title |
|---|---|---|
| WO2023155483A1 (en) | Vehicle type identification method, device, and system | |
| CN111951305B (en) | Target detection and motion state estimation method based on vision and laser radar | |
| CN107738612B (en) | Automatic parking parking space detection and recognition system based on panoramic vision assistance system | |
| US20200041284A1 (en) | Map road marking and road quality collecting apparatus and method based on adas system | |
| AU2009311052B2 (en) | Motion detection method, apparatus and system | |
| CN111369541A (en) | Vehicle detection method for intelligent automobile under severe weather condition | |
| CN104616502B (en) | Car license recognition and alignment system based on combination type bus or train route video network | |
| CN115372958A (en) | Target detection and tracking method based on millimeter wave radar and monocular vision fusion | |
| CN104881645B (en) | The vehicle front mesh object detection method of feature based point mutual information and optical flow method | |
| CN111856445B (en) | Target detection method, device, equipment and system | |
| CN113781578B (en) | Gate passing behavior identification and control method combining target detection and binocular vision | |
| CN110516633B (en) | Lane line detection method and system based on deep learning | |
| CN102393901B (en) | Traffic flow information perception method based on hybrid characteristic and system thereof | |
| CN111429484A (en) | Multi-target vehicle track real-time construction method based on traffic monitoring video | |
| CN110231013A (en) | A kind of Chinese herbaceous peony pedestrian detection based on binocular vision and people's vehicle are apart from acquisition methods | |
| CN108288386A (en) | Road-surface concrete tracking based on video | |
| CN105551264A (en) | Speed detection method based on license plate characteristic matching | |
| CN105719283A (en) | Road surface crack image detection method based on Hessian matrix multi-scale filtering | |
| CN108491810A (en) | Vehicle limit for height method and system based on background modeling and binocular vision | |
| CN108645375B (en) | Rapid vehicle distance measurement optimization method for vehicle-mounted binocular system | |
| CN107122740A (en) | A kind of vehicle type recognition device and method based on twin camera | |
| CN115497073A (en) | Real-time obstacle camera detection method based on fusion of vehicle-mounted camera and laser radar | |
| CN110378341A (en) | A kind of binocular vision pedestrian distance detection method | |
| CN114463303A (en) | Road target detection method based on fusion of binocular camera and laser radar | |
| CN117334040B (en) | A cross-domain roadside perception multi-vehicle association method and system |
| Date | Code | Title | Description |
|---|---|---|---|
| 121 | Ep: the epo has been informed by wipo that ep was designated in this application | Ref document number:22926787 Country of ref document:EP Kind code of ref document:A1 | |
| NENP | Non-entry into the national phase | Ref country code:DE | |
| 122 | Ep: pct application non-entry in european phase | Ref document number:22926787 Country of ref document:EP Kind code of ref document:A1 |