Movatterモバイル変換


[0]ホーム

URL:


WO2023140775A1 - Using pdcch order prach for dual preamble transmissions in ntn - Google Patents

Using pdcch order prach for dual preamble transmissions in ntn
Download PDF

Info

Publication number
WO2023140775A1
WO2023140775A1PCT/SE2023/050050SE2023050050WWO2023140775A1WO 2023140775 A1WO2023140775 A1WO 2023140775A1SE 2023050050 WSE2023050050 WSE 2023050050WWO 2023140775 A1WO2023140775 A1WO 2023140775A1
Authority
WO
WIPO (PCT)
Prior art keywords
prach
pdcch order
prach preamble
preamble
pdcch
Prior art date
Legal status (The legal status is an assumption and is not a legal conclusion. Google has not performed a legal analysis and makes no representation as to the accuracy of the status listed.)
Ceased
Application number
PCT/SE2023/050050
Other languages
French (fr)
Inventor
Talha KHAN
Johan Rune
Current Assignee (The listed assignees may be inaccurate. Google has not performed a legal analysis and makes no representation or warranty as to the accuracy of the list.)
Telefonaktiebolaget LM Ericsson AB
Original Assignee
Telefonaktiebolaget LM Ericsson AB
Priority date (The priority date is an assumption and is not a legal conclusion. Google has not performed a legal analysis and makes no representation as to the accuracy of the date listed.)
Filing date
Publication date
Application filed by Telefonaktiebolaget LM Ericsson ABfiledCriticalTelefonaktiebolaget LM Ericsson AB
Publication of WO2023140775A1publicationCriticalpatent/WO2023140775A1/en
Anticipated expirationlegal-statusCritical
Ceasedlegal-statusCriticalCurrent

Links

Classifications

Definitions

Landscapes

Abstract

Systems and methods are disclosed herein that relate to using Physical Downlink Control Channel (PDCCH) order Physical Random Access Channel (PRACH) for multiple (e.g., dual) preamble transmissions, e.g., in a Non-Terrestrial Network (NTN). In one embodiment, a method performed by a wireless communication device (WCD) for transmission of multiple PRACH preambles comprises receiving, from a base station, one or more PDCCH orders for transmission of multiple PRACH preambles and transmitting multiple PRACH preambles in accordance with the one or more PDCCH orders. Corresponding embodiments of a WCD are also disclosed. Embodiments of a method performed by a base station and corresponding embodiments of a base station are also disclosed.

Description

USING PDCCH ORDER PRACH FOR DUAL PREAMBLE TRANSMISSIONS IN NTN
Related Applications
This application claims the benefit of provisional patent application serial number 63/301,730, filed January 21, 2022, the disclosure of which is hereby incorporated herein by reference in its entirety.
Technical Field
The present disclosure is related to random access in a wireless communication system.
Background
In Release 15, the Third Generation Partnership Project (3GPP) started the work to prepare New Radio (NR) for operation in a Non-Terrestrial Network (NTN). The work was performed within the study item "NR to support Non-Terrestrial Networks" and resulted in 3GPP Technical Report (TR) 38.811 (see, e.g., V15.4.0). In Release 16, the work to prepare NR for operation in an NTN network continues with the study item "Solutions for NR to support Non-Terrestrial Network", the results of which are described in 3GPP TR 38.821 (see, e.g., V16.1.0).
I Satellite Communications
A satellite radio access network usually includes the following components:
• A satellite that refers to a space-borne platform.
• An earth-based gateway that connects the satellite to a base station or a core network, depending on the choice of architecture.
• Feeder link that refers to the link between a gateway and a satellite
• Access link that refers to the link between a satellite and a User Equipment (UE).
Depending on the orbit altitude, a satellite may be categorized as Low Earth Orbit (LEO), Medium Earth Orbit (MEO), or Geostationary Earth Orbit (GEO) satellite.
• LEO: typical heights ranging from 250 - 1,500 kilometers (km), with orbital periods ranging from 90 - 120 minutes.
• MEO: typical heights ranging from 5,000 - 25,000 km, with orbital periods ranging from 3 - 15 hours. • GEO: height at about 35,786 km, with an orbital period of 24 hours.
The significant orbit height means that satellite systems are characterized by a path loss that is significantly higher than what is expected in terrestrial networks. To overcome the path loss, it is often required that the access and feeder links are operated in line of sight conditions and that the UE is equipped with an antenna offering high beam directivity.
A communication satellite typically generates several beams over a given area. The footprint of a beam is usually in an elliptic shape, which has been traditionally considered as a cell. The footprint of a beam is also often referred to as a spotbeam. The spotbeam may move over the earth surface with the satellite movement or may be earth fixed with some beam pointing mechanism used by the satellite to compensate for its motion. The size of a spotbeam depends on the system design, which may range from tens of kilometers to a few thousands of kilometers. Figure 1 shows an example architecture of a satellite network with bent pipe transponders.
The NTN beam may, in comparison to the beams observed in a terrestrial network, be very wide and cover an area outside of the area defined by the served cell. Beams covering adjacent cells will overlap and cause significant levels of intercell interference. To overcome the large levels of interference, a typical approach is for an NTN to configure different cells with different carrier frequencies and polarization modes.
In a LEO NTN, the satellites are moving with a very high velocity. This leads to a Doppler shift of the carrier frequency on the service link of up to 24 parts-per-million (ppm) for a LEO satellite at 600 km altitude. The Doppler shift is also time variant due to the satellite motion over the sky. The Doppler shift may vary with up to 0.27 ppm per second (ppm/s) for a LEO 600 km satellite. The Doppler shift will impact, i.e., increase or decrease, the frequency received on the service link compared to the transmitted frequency. For GEO NTN, the satellites may move in an orbit inclined relative to the plane of the equator. The inclination introduces a periodic movement of the satellite relative earth which introduces a predictable and daily periodically repeating Doppler shift of the carrier frequency as exemplified in Figure 2. In other words, Figure 2 illustrates an example of the diurnal Doppler shift of the forward service link observed for a GEO satellite operating from an inclined orbit. Throughout the present disclosure, the terms "beam" and "cell" are used interchangeably, unless explicitly noted otherwise. The present disclosure is focused on NTN in the context of Internet of Things (loT), but the systems and methods disclosed herein apply to any wireless network dominated by line-of-sight conditions.
II Ephemeris Data
In 3GPP TR 38.821, it has been captured that ephemeris data should be provided to the UE, for example to assist with pointing a directional antenna (or an antenna beam) towards the satellite. A UE knowing its own position, e.g., thanks to Global Navigation Satellite System (GNSS) support, may also use the ephemeris data to calculate correct Timing Advance (TA) and Doppler shift. The contents of the ephemeris data and the procedures on how to provide and update such data have not yet been studied in detail.
A satellite orbit can be fully described using six parameters. Exactly which set of parameters is used can be decided by the user; many different representations are possible. For example, a choice of parameters used often in astronomy is the set (a, E, i, Q, CD, t). Here, the semi-major axis "a" and the eccentricity "E" describe the shape and size of the orbit ellipse; the inclination "", the right ascension of the ascending node "Q", and the argument of periapsis "CD" determine its position in space, and the epoch "t" determines a reference time (e.g., the time when the satellites moves through periapsis). The set of these parameters is illustrated in Figure 3.
A two-line element set (TLE) is a data format encoding a list of orbital elements of an Earth-orbiting object for a given point in time, the epoch. As an example of a different parametrization, TLEs use mean motion "n" and mean anomaly "M" instead of "a" and "t".
A completely different set of parameters is the position and velocity vector (x, y, z, vx, vy, vz) of a satellite. These are sometimes called orbital state vectors. They can be derived from the orbital elements and vice versa since the information they contain is equivalent. All these formulations (and many others) are possible choices for the format of ephemeris data to be used in NTN.
It is important that a UE can determine the position of a satellite with accuracy of at least a few meters (see, e.g., RP-211573, Work Item Description: NB-IoT/eMTC support for Non-Terrestrial Networks). However, several studies have shown that this might be hard to achieve when using the de-facto standard of TLEs. On the other hand, LEO satellites often have GNSS receivers and can determine their position with some meter level accuracy.
Another aspect discussed during the study item and captured in 3GPP TR 38.821 is the validity time of ephemeris data. Predictions of satellite positions in general degrade with increasing age of the ephemeris data used due to atmospheric drag, maneuvering of the satellite, imperfections in the orbital models used, etc. Therefore, the publicly available TLE data are updated quite frequently, for example. The update frequency depends on the satellite and its orbit and ranges from weekly to multiple times a day for satellites on very low orbits which are exposed to strong atmospheric drag and need to perform correctional maneuvers often.
So, while it seems possible to provide the satellite position with the required accuracy, care needs to be taken to meet these requirements, e.g. when choosing the ephemeris data format, or the orbital model to be used for the orbital propagation.
Ephemeris data consists of at least five parameters describing the shape and position in space of the satellite orbit. It also comes with a timestamp, which is the time when the other parameters describing the orbit ellipse were obtained. The position of the satellite at any given time in the nearer future can be predicted from this data using orbital mechanics. The accuracy of this prediction will however degrade as one projects further and further into the future. The validity time of a certain set of parameters depends on many factors like the type and altitude of the orbit, but also the desired accuracy, and ranges from the scale of a few days to a few years.
Ill NR Cell Search and System Information Acquisition
In NR, the combination of Synchronization Signals (SS) and Physical Broadcast Channel (PBCH) is referred to as a SS/PBCH Block (SSB). Similar to Long Term Evolution (LTE), a pair of SS, namely a Primary Synchronization Signal (PSS) and Secondary Synchronization Signal (SSS), is periodically transmitted on downlink from each cell to allow a UE to initially access to the network. By detecting the SS, a UE can obtain the physical cell identity, achieve downlink synchronization in both time and frequency, and acquire the timing for PBCH. PBCH carries the Master Information Block (MIB), which contains the minimum system information that the UE needs to acquire System Information Block 1 (SIB 1). SIB1 carries the remaining minimum system information that is needed for a UE to be able to perform a subsequent random-access procedure.
IV NR Random Access Procedure
Two types of random access (RA) procedures are supported in NR, namely, a 4- step RA type with Msgl and a 2-step RA type with MSGA. Both types of RA procedures support Contention- Based Random Access (CBRA) and Contention- Free Random Access (CFRA).
The 4-step contention based random access produce, also referred to as Type-1 random access procedure in 3GPP TS 38.213 (see, e.g., V16.7.0), is illustrated in Figure 4. In the first step, a UE initiates the RA procedure by transmitting in the uplink (UL) a RA preamble (Msg 1) on a Physical Random Access Channel (PRACH). After detecting the Msgl, the NR base station (gNB) responds by transmitting in the downlink (DL) a Random Access Response (RAR) on a Physical Downlink Shared Channel (PDSCH) (Msg2). In the third step, after successfully decoding Msg2, the UE continues the RA procedure by transmitting in UL a Physical Uplink Shared Channel (PUSCH) (Msg3) for terminal identification and Radio Resource Control (RRC) connection establishment request. In the last step of the procedure, the gNB transmits in DL a PDSCH (Msg4) for contention resolution.
There can be cases that multiple UEs select the same RA preamble and transmit the RA preamble on the same PRACH time/frequency resource. This preamble collision is called "contention". One of the main purposes of applying Step 3 and Step 4 is to resolve such potential contention.
The 2-step RA procedure, also referred to as Type-2 random access procedure in 3GPP TS 38.213, is illustrated in Figure 5. In the first step, a UE sends a message A (MsgA) including RA preamble together with higher layer data such as a RRC connection request possibly with some small payload on PUSCH. After detecting the MsgA, the network (e.g., gNB) sends a RAR (called message B or MsgB) including UE identifier assignment, timing advance information, contention resolution message, etc.
CFRA procedure is illustrated in Figure 6, where the network (e.g., gNB) assigns the RA preamble for CFRA in 4-step RACH or the RA preamble and PUSCH for CFRA in 2-step RACH, and the network (e.g., gNB) does not configure CFRA resources for 4-step and 2-step RA types at the same time for a Bandwidth Part (BWP). CFRA with 2-step RA type is only supported for handover.
The Msgl of the 4-step RA procedure includes only a RA preamble on PRACH, while the MSGA of the 2-step RA procedure includes an RA preamble on PRACH and a payload on PUSCH. After Msgl transmission or MSGA transmission, the UE monitors for a response from the network (e.g., gNB) within a configured window. For CFRA, upon receiving the network response, the UE ends the RA procedure.
V NR Rel-15 PRACH Configuration
In NR, the time and frequency resource on which a RA preamble (Msg 1) is transmitted is defined as a PRACH occasion. The time resources and preamble format for the Msgl transmission is configured by a PRACH configuration index, which indicates a row in a PRACH configuration table specified in 3GPP TS 38.211 (see, e.g., V16.7.0) Tables 6.3.3.2- 2, 6.3.3.2-3, and 6.3.3.2-4 for Frequency Range 1 (FR1) paired spectrum, FR1 unpaired spectrum, and FR2 with unpaired spectrum, respectively. Part of the Table 6.3.3.2-3 for FR1 unpaired spectrum for preamble format 0 is copied in Table 1 below. In Table 1, the value of x indicates the PRACH configuration period in number of system frames, and the value of y indicates the system frame within each PRACH configuration period on which the PRACH occasions are configured. For instance, if y is set to 0, then, it means PRACH occasions are only configured in the first frame of each PRACH configuration period. The values in the column "subframe number" tells which subframes are configured with PRACH occasion. The values in the column "starting symbol" is the symbol index.
In case of TDD, semi-statically configured DL parts and/or actually transmitted SSBs can override and invalidate some time-domain PRACH occasions defined in the PRACH configuration table. More specifically, PRACH occasions in the UL part are always valid, and a PRACH occasion within the x part is valid as long as it does not precede or collide with an SSB in the RACH slot and it is at least N symbols after the DL part and the last symbol of an SSB. N is 0 or 2 depending on PRACH format and subcarrier spacing. Table 1 PRACH configuration for preamble format 0 for FR1 unpaired spectrum
Figure imgf000009_0001
In the frequency domain, NR supports multiple frequency-multiplexed PRACH occasions on the same time-domain PRACH occasion. This is mainly motivated by the support of analog beam sweeping in NR such that the PRACH occasions associated to one SSB are configured at the same time instance but different frequency locations. The starting position in the frequency is indicated by the higher-layer parameter msgl- FrequencyStart'w SIB1, and the number of consecutive PRACH occasions frequency- multiplexed (i.e., Frequency Domain Multiplexed or"FDMed") in one time instance is configured by the higher-layer parameter msgl-FDM \r\ SIB1. The number of PRACH occasions frequency-multiplexed in one time domain PRACH occasion, can be 1, 2, 4, or 8.
Here the msgl-FDM ar\ msg 1-FrequencyStart are defined in 3GPP TS 38.331 (see, e.g., V16.7.0) as below:
• msgl-FDM : The number of PRACH transmission occasions FDMed in one time instance.
• msgl-FrequencyStart: Offset of lowest PRACH transmission occasion in frequency domain with respective to PRB 0. The value is configured so that the corresponding RACH resource is entirely within the bandwidth of the UL BWP.
The RACH-ConfigGeneric information element (IE) including the msgl-FDM and msgl-FrequencyStart parameters as currently defined in 3GPP is illustrated in Figure 7.
Figure 8 gives an example of the PRACH configuration and, in particular, the PRACH occasion configuration in NR.
In NR Rel-15, there are up to 64 sequences that can be used as RA preambles per PRACH occasion in each cell. The RRC parameter totalNumberOfRA-Preambles determines how many of these 64 sequences are used as RA preambles per PRACH occasion in each cell. The 64 sequences are configured by including firstly all the available cyclic shifts of a root Zadoff-Chu sequence, and secondly in the order of increasing root index, until 64 preambles have been generated for the PRACH occasion.
VI NR Rel-15 Association Between SSB and PRACH Occasion
NR Rel-15 supports one-to-one, one-to-many, and many-to-one association between SSB and PRACH occasions, as illustrated in Figures 9 and 10.
The preambles associated to each SSB is configured by the two RRC parameters in the RACH-ConfigCommorr. ssb-perRACH-OccasionAndCB-Preamb/esPerSSB and tota/NumberOfRA -Preambles.
The detailed mapping rule is specified in 3GPP TS 38.213 section 8.1, as following:
***** START EXCERPT FROM 3GPP TS 38.213 ***** For Type-1 random access procedure, a UE is provided a number N of SS/PBCH blocks associated with one PRACH occasion and a number R of contention based preambles per SS/PBCH block per valid PRACH occasion by ssb-perRACH-OccasionAndCB-PreamblesPerSSB.
A UE is provided a number N of SS/PBCH blocks associated with one PRACH occasion and a number R of contention-based preambles per SS/PBCH block per valid PRACH occasion by ssb-perRACH- OccasionAndCB-PreamblesPerSSB. If /V <1 , one SS/PBCH block is mapped to 1//V consecutive valid PRACH occasions and R contention based preambles with consecutive indexes associated with the SS/PBCH block per valid PRACH occasion start from preamble index 0. If /V>1 , R contention based preambles with consecutive indexes associated with SS/PBCH block n , 0 < n <N - 1 , per valid PRACH occasion start from preamble index
Figure imgf000011_0001
is provided by totalNumberOfRA-
Preambles and is an integer multiple of N .
SS/PBCH block indexes provided by ssb-PositionsInBurst in SIB1 or in ServingCellConfigCommon are mapped to valid PRACH occasions in the following order where the parameters are described in [4, TS 38.211],
- First, in increasing order of preamble indexes within a single PRACH occasion
- Second, in increasing order of frequency resource indexes for frequency multiplexed PRACH occasions
- Third, in increasing order of time resource indexes for time multiplexed PRACH occasions within a PRACH slot
- Fourth, in increasing order of indexes for PRACH slots
*****EN D EXCERPT FROM 3GPP TS 38.213 *****
Figure 11 shows an example of the mapping between SSBs and RA preambles in different PRACH occasions.
For each SSB, the associated RA preambles per PRACH occasion, A/J^'mb|e//V, are further divided into two sets for CBRA and CFRA. The number of CBRA preambles per
SSB per PRACH occasion, R, is signaled by the RRC parameter ssb-perRACH-
OccasionAndCB-Preamb/esPerSSB. Preamble indices for CBRA and CFRA are mapped consecutively for one SSB in one PRACH occasion, as shown in Figure 12.
If Random Access Preambles group B is configured for CBRA, then, amongst the
CBRA preambles #CB-preambles-per-SSB) associated with an SSB, the first numberOfRA-PreamblesGroupA Random Access Preambles belong to Random Access
Preambles group A, and the remaining Random Access Preambles associated with the SSB belong to Random Access Preambles group B. Figure 13 shows an example, when Random Access Preambles group B is configured for CBRA.
According to 3GPP TS 38.213, one of the two conditions must be met in order for a UE to select Random Access Preambles group B for PRACH transmission: • Condition 1: potential Msg3 size (UL data available for transmission plus Medium Access Control (MAC) header and, where required, MAC Control Elements (CEs)) is greater than ra-Msg3SizeGroupA and the pathloss is less than PCMAX (of the Serving Cell performing the Random Access Procedure) - preambleReceivedTargetPower- msg3-DeltaPreamble - messagePowerOffsetGroupB,- or
• Condition 2: the Random Access procedure was initiated for the Common Control Channel (CCCH) logical channel and the CCCH SDU size plus MAC subheader is greater than ra-Msg3SizeGroupA.
Figure 14 illustrates the RACH-Con figCommon IE, as defined in 3GPP.
VII NR Rel-16 for MsgA Configuration
A MsgA Preamble Configuration
The PRACH occasions for 2-step RACH can be either separately configured (also known as Type-2 random access procedure with separate configuration of PRACH occasions with Type-1 random access procedure) or are shared with 4-step RACH (also known as Type-2 random access procedure with common configuration of PRACH occasions with Type-1 random access procedure) in which case different sets of preamble IDs will be used.
For Type-2 random access procedure with common configuration of PRACH occasions with Type-1 random access procedure, a UE is provided a number N of SS/PBCH blocks associated with one PRACH occasion by ssb-perRACH-OccasionAndCB- PreambtesPerSSB and a number Q of contention-based preambles per SS/PBCH block per valid PRACH occasion by msgA-CB-PreamblesPerSSB. The PRACH transmission can be on a subset of PRACH occasions associated with a same SS/PBCH block index for a UE provided with a PRACH mask index by msgA-ssb-sharedRO-Masklndex. An example of the SSB to PRACH occasion mapping and the preamble allocation is provided in Figure 15. Note that only one preamble group is assumed in this example.
For Type-2 random access procedure with separate configuration of PRACH occasions with Type-1 random access procedure, a UE is provided a number N of SS/PBCH blocks associated with one PRACH occasion and a number R of contention based preambles per SS/PBCH block per valid PRACH occasion by ssb-perRACH- OccasionAndCB-PreamblesPerSSB-msgA when provided; otherwise, by ssb-perRACH- OccasionAndCB-PreamblesPerSSB. Since the SSB to RO mapping and the preamble allocation are independently configured, the example provided for 4-step RACH in Figure 13 is also valid for this case of 2-step RACH except that the parameters are separately configured for 2-step RACH.
B MsgA PUSCH Configuration
A PUSCH occasion is defined as the time frequency resource used for one PUSCH transmission. For one MsgA PUSCH occasion, one or more Demodulation Reference Signal (DMRS) resources can be configured, one of which will be selected for each PUSCH transmission within the PUSCH occasion.
A set of PUSCH occasions are configured per MsgA PUSCH configuration which are relative to and mapped by a group of RA preambles in a set of PRACH occasions in one PRACH slot. A mapping between one or multiple PRACH preambles and a PUSCH occasion associated with a DMRS resource is according to the mapping order as described below.
Each consecutive number of /Vpreambie preamble indexes from valid PRACH occasions in a PRACH slot
• first, in increasing order of preamble indexes within a single PRACH occasion
• second, in increasing order of frequency resource indexes for frequency multiplexed PRACH occasions
• third, in increasing order of time resource indexes for time multiplexed PRACH occasions within a PRACH slot are mapped to a valid PUSCH occasion and the associated DMRS resource
• first, in increasing order of frequency resource indexes fid for frequency multiplexed PUSCH occasions
• second, in increasing order of DMRS resource indexes within a PUSCH occasion, where a DMRS resource index DMRSid is determined first in an ascending order of a DMRS port index and second in an ascending order of a DMRS sequence index
• third, in increasing order of time resource indexes tid for time multiplexed PUSCH occasions within a PUSCH slot
• fourth, in increasing order of indexes for Ns PUSCH slots
Figure imgf000014_0001
total number of valid PRACH occasions per association pattern period multiplied by the number of preambles per valid PRACH occasion provided by msgA-PUSCH-PreambleGroup, and TPUSCH is a total number of valid PUSCH occasions per PUSCH configuration per association pattern period multiplied by the number of DMRS resource indexes per valid PUSCH occasion provided by msgA-DMRS-Config..
VIII New PRACH Format for NTN
To design a suitable PRACH format for both UL timing estimation and UL frequency estimation for NTN, it is imperative to first understand why the existing NR PRACH formats based on ZC sequences cannot meet the target. It is well known that there are several peaks in the ambiguity function of ZC sequences in the Delay-Doppler plane, leading to many timing and Doppler ambiguities (see, e.g., 3GPP TR 38.821). Due to the nature of ZC sequences, both delay and frequency shift cause cyclic shift in the observation window of received ZC sequences at the gNB. As a result, two issues may arise:
• First, it is difficult if not impossible to separate the two effects (delay and frequency shifts) by observing the composite cyclic shift. Separating them in order to estimate delay and/or frequency shift is needed. This issue exists, even if cyclic shifted ZC sequences with the same root are not used.
• Second, if cyclic shifted ZC sequences are used, the composite shift may make sequence A become sequence B, leading to misdetection. This issue has resulted in the introduction of restricted sets in PRACH formats.
A concrete example illustrating the timing and Doppler ambiguities in PRACH will now be provided. Assume zero delay and 1.25 kilohertz (kHz) frequency offset between transmitter and receiver. The receiver aims to estimate delay and frequency offset by cross correlating the received signal with its reference copy of the transmitted signal. The correlation is performed at multiple hypotheses of frequency offsets that are on the step size of 1.25 kHz. The sampling rate is 30.72 Megahertz (MHz). The cross correlation results are plotted in Figure 16(a) and Figure 16(b) for ZC sequences with roots 56 and 714, respectively. The correlation values in each figure are normalized by the maximum correlation value, yielding a maximum value of 0 decibels (dB) in each figure. It is clear that, in either Figure 16(a) or Figure 16(b), multiple correlation peaks of the same height are observed. This implies that it is impossible to separate the effects of delay and frequency offset in PRACH in the presence of both large timing and frequency uncertainties, leading to difficulties in timing estimation at the gNB and misdetection of RA preambles.
The timing and frequency offset ambiguities of ZC sequences can be understood by examining their theoretical properties. To this end, the following notation is introduced:
• Nzc the length of a ZC sequence
• u: the root of a ZC sequence, and 0 < u < Nzc
• p: the inverse modulo Nzc of u, i.e., (p * u) mod Nzc = 1, and 0 < p < Nzc
• fsc'. the subcarrier spacing of an OFDM signal
• A : the frequency offset between transmitted and received signals
• n0: the delay of received signals relative to the transmitted signal
Let us consider the following form of ZC sequences:
Figure imgf000015_0001
If Nzc is prime, each u is associated with a unique inverse modulo Nzc. It can be shown that if k = f /fsc (and for simplicity k is assumed to be an integer), the peak of cross correlation of the transmitted and received signals is located at the position of (n0 + kp mod Nzc. Clearly, both delay and frequency shift cause cyclic shift in the received ZC sequences, resulting in a composite cyclic shift from which the effect of delay cannot be separated from the effect of frequency shift.
The above analysis also sheds light on how to design a PRACH format to resolve the timing and frequency offset ambiguities. Intuitively, two equations can be used to solve for two unknowns (delay and frequency offset). In particular, if a transmitter sends two signals based on two ZC sequences (that have different properties), the receiver can resolve the timing and frequency offset ambiguities by processing the two received signals. For example, for two ZC sequences with roots u and -u respectively, the peaks of cross correlation of the transmitted and received signals are locate at two positions:
• Position
Figure imgf000015_0002
mod Nzc
• Position 2: s2 = nQ — kp mod Nzc In this case, the second ZC sequence can be treated as the complex conjugate of the first ZC sequence, as shown in Figure 17. With two equations, the delay n0 can be estimated as:
($i + s2) mod Nzc= - 2 -
Once the delay is estimated, the frequency offset can then be readily estimated.
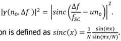
Note that for simplicity, it is assumed that the frequency offset is an integer multiple of the subcarrier spacing. For more general case, it can be shown that the squared autocorrelation of ZC sequence is given by:
Here the sine functio Then by processing the
Figure imgf000016_0001
two received ZC sequences with roots u and -u respectively, the delay n0 and the frequency offset A can be estimated accordingly.
Note that the PRACH format illustrated in Figure 17 has minimal specification impact. The transmission of the first ZC sequence follows an existing NR PRACH format, and the change would be merely to request one additional transmission of a second ZC sequence that is the complex conjugate of the first ZC sequence.
Figure imgf000016_0002
Systems and methods are disclosed herein that relate to using Physical Downlink Control Channel (PDCCH) order Physical Random Access Channel (PRACH) for multiple (e.g., dual) preamble transmissions, e.g., in a Non-Terrestrial Network (NTN). In one embodiment, a method performed by a wireless communication device (WCD) for transmission of multiple PRACH preambles comprises receiving, from a base station, one or more PDCCH orders for transmission of multiple PRACH preambles and transmitting multiple PRACH preambles in accordance with the one or more PDCCH orders. In this manner, the WCD is enabled to perform PDCCH order PRACH even if it lacks the ability to perform timing and/or frequency pre-compensation for uplink transmissions.
In one embodiment, the multiple PRACH preambles use different root sequences. In one embodiment, receiving the one or more PDCCH orders comprises receiving a first PDCCH order for transmission of a first PRACH preamble and receiving a second PDCCH order for transmission of a second PRACH preamble, and transmitting the multiple PRACH preambles comprises transmitting the first PRACH preamble in accordance with the first PDCCH order and transmitting the second PRACH preamble in accordance with the second PDCCH order. In one embodiment, the first PDCCH order and the second PDCCH order are received back-to-back. In another embodiment, the first PDCCH order and the second PDCCH order are received in consecutive PDCCH monitoring occasions according to a respective search space. In another embodiment, the first PDCCH order and the second PDCCH order are received in a same PDCCH monitoring occasion. In another embodiment, receiving the second PDCCH order comprises receiving the second PDCCH order prior to a time at which the first PRACH preamble is transmitted. In another embodiment, receiving the second PDCCH order comprises receiving the second PDCCH order after transmission of the first PRACH preamble. In another embodiment, receiving the second PDCCH order comprises receiving the second PDCCH order after transmission of the first PRACH preamble but before reception of a random access response that is responsive to the first PRACH preamble. In another embodiment, receiving the second PDCCH order comprises receiving the second PDCCH order after reception of a random access response that is responsive to the first PRACH preamble. In another embodiment, receiving the second PDCCH order comprises receiving the second PDCCH order after expiration of a random access response window timer, the random access response window timer defining a time window after transmission of the first PRACH preamble during which the WCD monitors for a random access response.
In one embodiment, the second PDCCH order comprises an indication that the WCD is to stop waiting for a random access response for the first PRACH preamble.
In one embodiment, the second PDCCH order comprises an indication that the WCD is to stop waiting for a random access response for the first PRACH preamble if a respective timer has not yet expired.
In one embodiment, the first PDCCH order comprise an indication of a first root sequence to be used for the first PRACH preamble, and the second PDCCH order comprise an indication of a second root sequence to be used for the second PRACH preamble, the first root sequence being different than the second root sequence. In one embodiment, the first PDCCH order further comprises an indication of the second root sequence to be used for the second PRACH preamble. In one embodiment, the method further comprises, responsive to the indication of the second root sequence being comprised in the first PDCCH order, abandoning a first random access procedure associated to the first PRACH preamble after transmission of the first PRACH preamble.
In one embodiment, the first PDCCH order comprises an indication that the WCD is being ordered to transmit multiple PRACH preambles. In one embodiment, the method further comprises, responsive to the indication that the WCD is being ordered to transmit multiple PRACH preambles being comprised in the first PDCCH order, abandoning a first random access procedure associated to the first PRACH preamble after transmission of the first PRACH preamble.
In one embodiment, transmitting the first PRACH preamble in accordance with the first PDCCH order comprises transmitting the first PRACH preamble in a first PRACH occasion, and transmitting the second PRACH preamble in accordance with the second PDCCH order comprises transmitting the second PRACH preamble in a second PRACH occasion that is after the first PRACH occasion.
In one embodiment, transmitting the first PRACH preamble in accordance with the first PDCCH order comprises transmitting the first PRACH preamble in a first PRACH occasion, and transmitting the second PRACH preamble in accordance with the second PDCCH order comprises transmitting the second PRACH preamble in a second PRACH occasion that is as soon as possible after the first PRACH occasion.
In one embodiment, transmitting the first PRACH preamble in accordance with the first PDCCH order comprises transmitting the first PRACH preamble in a first PRACH occasion, and transmitting the second PRACH preamble in accordance with the second PDCCH order comprises transmitting the second PRACH preamble in a second PRACH occasion, wherein the first PRACH occasion and the second PRACH occasion are simultaneous frequency-multiplexed PRACH occasions.
In one embodiment, transmitting the first PRACH preamble in accordance with the first PDCCH order comprises transmitting the first PRACH preamble in a particular PRACH occasion, and transmitting the second PRACH preamble in accordance with the second PDCCH order comprises transmitting the second PRACH preamble in the particular PRACH occasion such that the first PRACH preamble and the second PRACH preamble are multiplexed in a same PRACH occasion using the same time and frequency resources. In one embodiment, whether the first and second PRACH preambles are transmitted in PRACH occasions in different, non-overlapping time resources or in simultaneous frequency-multiplexed PRACH occasions, or in the same PRACH occasion is network configured.
In one embodiment, receiving the one or more PDCCH orders comprises receiving a single PDCCH order for transmission of both a first PRACH preamble and a second PRACH preamble, and transmitting the multiple PRACH preambles comprises transmitting the first PRACH preamble and the second PRACH preamble in accordance with the single PDCCH order. In one embodiment, the single PDCCH order comprises information that indicates the first PRACH preamble and the second PRACH preamble. In another embodiment, the single PDCCH order comprises information that indicates the first PRACH preamble, and the second PRACH preamble is determined by the WCD. In one embodiment, the second PRACH preamble is a complex conjugate of the first PRACH preamble. In another embodiment, the second preamble is determined based on the first PRACH preamble.
In one embodiment, at least one of the one or more PDCCH orders further comprises information that indicates a PRACH preamble to use for single PRACH preamble transmission, and the method further comprises determining whether to perform single PRACH preamble transmission or multi-PRACH preamble transmission. In one embodiment, transmitting the multiple PRACH preambles comprises transmitting the multiple PRACH preambles responsive to determining (1903) to perform multi- PRACH preamble transmission.
Corresponding embodiments of a WCD are also disclosed. In one embodiment, a WCD for transmission of multiple PRACH preambles comprises one or more transmitters, one or more receivers, and processing circuitry associated with the one or more transmitters and the one or more receivers. The processing circuitry is configured to cause the WCD to receive, from a base station, one or more PDCCH orders for transmission of multiple PRACH preambles and transmit multiple PRACH preambles in accordance with the one or more PDCCH orders.
Embodiments of a method performed by a base station are also disclosed. In one embodiment, a method performed by a base station to enable multiple PRACH transmission comprises transmitting, to a WCD, one or more PDCCH orders for transmission of multiple PRACH preambles and detecting the multiple PRACH preambles. Corresponding embodiments of a base station are also disclosed.
Brief of the
Figure imgf000020_0001
The accompanying drawing figures incorporated in and forming a part of this specification illustrate several aspects of the disclosure, and together with the description serve to explain the principles of the disclosure.
Figure 1 shows an example architecture of a satellite network with bent pipe transponders;
Figure 2 illustrates an example of the diurnal Doppler shift of the forward service link observed for a GEO satellite operating from an inclined orbit;
Figure 3 illustrates a set of parameters that describe a satellite orbit;
Figure 4 illustrates a 4-step contention based random access procedure;
Figure 5 illustrates a 2-step contention based random access procedure;
Figure 6 illustrates a Contention-Free Radio Access (CFRA) procedure;
Figure 7 illustrate the RACH-ConfigGeneric information element (IE) including the msgl-FDM r msgl-FrequencyStart parameters as currently defined in the Third Generation Partnership Project (3GPP);
Figure 8 gives an example of the Physical Random Access Channel (PRACH) configuration and, in particular, the PRACH occasion configuration, in 3GPP New Radio (NR);
Figures 9 and 10 illustrate associations between Synchronization Signal (SS) Physical Broadcast Channel (PBCH) Blocks (SSBs) and PRACH occasions as defined in 3GPP NR Release 15;
Figure 11 shows an example of the mapping between SSBs and preambles in different PRACH occasions;
Figure 12 illustrates how preamble indices for Contention-Based Random Access (CBRA) and CFRA are mapped consecutively for one SSB in one PRACH occasion;
Figure 13 shows an example, when Random Access Preambles group B is configured for CBRA;
Figure 14 illustrates the RACH-Con figCommon IE, as defined in 3GPP;
Figure 15 illustrate an example of the SSB to PRACH occasion mapping and preamble allocation; Figure 16 illustrates simulation results showing the timing and Doppler ambiguities in PRACH;
Figure 17 illustrates an example in which a second Zadoff-Chu (ZC) sequence is a complex conjugate of a first ZC sequence;
Figure 18 illustrates one example of a cellular communications system in which embodiments of the present disclosure may be implemented;
Figure 19 illustrates the operation of a base station and a wireless communication device (WCD) in accordance with embodiments of the present disclosure;
Figure 20 is a schematic block diagram of a radio access node according to some embodiments of the present disclosure;
Figure 21 is a schematic block diagram that illustrates a virtualized embodiment of the radio access node of Figure 20 according to some embodiments of the present disclosure;
Figure 22 is a schematic block diagram of the radio access node of Figure 20 according to some other embodiments of the present disclosure;
Figure 23 is a schematic block diagram of a WCD according to some embodiments of the present disclosure;
Figure 24 is a schematic block diagram of the WCD of Figure 23 according to some other embodiments of the present disclosure;
Figure 25 illustrates a telecommunication network connected via an intermediate network to a host computer in accordance with some embodiments of the present disclosure;
Figure 26 is a generalized block diagram of a host computer communicating via a base station with a UE over a partially wireless connection in accordance with some embodiments of the present disclosure;
Figure 27 is a flowchart illustrating a method implemented in a communication system in accordance with one embodiment of the present disclosure;
Figure 28 is a flowchart illustrating a method implemented in a communication system in accordance with one embodiment of the present disclosure;
Figure 29 is a flowchart illustrating a method implemented in a communication system in accordance with one embodiment of the present disclosure; and Figure 30 is a flowchart illustrating a method implemented in a communication system in accordance with one embodiment of the present disclosure.
Detailed Description
The embodiments set forth below represent information to enable those skilled in the art to practice the embodiments and illustrate the best mode of practicing the embodiments. Upon reading the following description in light of the accompanying drawing figures, those skilled in the art will understand the concepts of the disclosure and will recognize applications of these concepts not particularly addressed herein. It should be understood that these concepts and applications fall within the scope of the disclosure.
Generally, all terms used herein are to be interpreted according to their ordinary meaning in the relevant technical field, unless a different meaning is clearly given and/or is implied from the context in which it is used. All references to a/an/the element, apparatus, component, means, step, etc. are to be interpreted openly as referring to at least one instance of the element, apparatus, component, means, step, etc., unless explicitly stated otherwise. The steps of any methods disclosed herein do not have to be performed in the exact order disclosed, unless a step is explicitly described as following or preceding another step and/or where it is implicit that a step must follow or precede another step. Any feature of any of the embodiments disclosed herein may be applied to any other embodiment, wherever appropriate. Likewise, any advantage of any of the embodiments may apply to any other embodiments, and vice versa. Other objectives, features, and advantages of the enclosed embodiments will be apparent from the following description.
Radio Node: As used herein, a "radio node" is either a radio access node or a wireless communication device.
Radio Access Node: As used herein, a "radio access node" or "radio network node" or "radio access network node" is any node in a Radio Access Network (RAN) of a cellular communications network that operates to wirelessly transmit and/or receive signals. Some examples of a radio access node include, but are not limited to, a base station (e.g., a New Radio (NR) base station (gNB) in a Third Generation Partnership Project (3GPP) Fifth Generation (5G) NR network or an enhanced or evolved Node B (eNB) in a 3GPP Long Term Evolution (LTE) network), a high-power or macro base station, a low-power base station (e.g., a micro base station, a pico base station, a home eNB, or the like), a relay node, a network node that implements part of the functionality of a base station or a network node that implements a gNB Distributed Unit (gNB-DU)) or a network node that implements part of the functionality of some other type of radio access node.
Core Network Node: As used herein, a "core network node" is any type of node in a core network or any node that implements a core network function. Some examples of a core network node include, e.g., a Mobility Management Entity (MME), a Packet Data Network Gateway (P-GW), a Service Capability Exposure Function (SCEF), a Home Subscriber Server (HSS), or the like. Some other examples of a core network node include a node implementing an Access and Mobility Function (AMF), a User Plane Function (UPF), a Session Management Function (SMF), an Authentication Server Function (AUSF), a Network Slice Selection Function (NSSF), a Network Exposure Function (NEF), a Network Function (NF) Repository Function (NRF), a Policy Control Function (PCF), a Unified Data Management (UDM), or the like.
Communication Device: As used herein, a "communication device" is any type of device that has access to an access network. Some examples of a communication device include, but are not limited to: mobile phone, smart phone, sensor device, meter, vehicle, household appliance, medical appliance, media player, camera, or any type of consumer electronic, for instance, but not limited to, a television, radio, lighting arrangement, tablet computer, laptop, or Personal Computer (PC). The communication device may be a portable, hand-held, computer-comprised, or vehiclemounted mobile device, enabled to communicate voice and/or data via a wireless or wireline connection.
Wireless Communication Device: One type of communication device is a wireless communication device, which may be any type of wireless device that has access to (i.e., is served by) a wireless network (e.g., a cellular network). Some examples of a wireless communication device include, but are not limited to: a User Equipment device (UE) in a 3GPP network, a Machine Type Communication (MTC) device, and an Internet of Things (loT) device. Such wireless communication devices may be, or may be integrated into, a mobile phone, smart phone, sensor device, meter, vehicle, household appliance, medical appliance, media player, camera, or any type of consumer electronic, for instance, but not limited to, a television, radio, lighting arrangement, tablet computer, laptop, or PC. The wireless communication device may be a portable, hand-held, computer-comprised, or vehicle-mounted mobile device, enabled to communicate voice and/or data via a wireless connection.
Network Node: As used herein, a "network node" is any node that is either part of the RAN or the core network of a cellular communications network/system.
Note that the description given herein focuses on a 3GPP cellular communications system and, as such, 3GPP terminology or terminology similar to 3GPP terminology is oftentimes used. However, the concepts disclosed herein are not limited to a 3GPP system.
Note that, in the description herein, reference may be made to the term "cell"; however, particularly with respect to 5G NR concepts, beams may be used instead of cells and, as such, it is important to note that the concepts described herein are equally applicable to both cells and beams.
The concepts described herein use NR terminology but are also applicable to LTE-based Non-Terrestrial Network (NTN), including loT NTN.
There currently exist certain challenge(s). With full or partial loss of Global Navigation Satellite System (GNSS) coverage for a UE, the differential Doppler shift may result in a carrier frequency offset (CFO) between the UE transmitter and the Physical Random Access Channel (PRACH) receiver. The NR PRACH formats are only capable of dealing with a CFO up to twice the subcarrier spacing. Larger CFO values will cause the PRACH preamble to be miss-detected. However, if the UE transmits two PRACH preambles with different Zadoff-Chu root sequences, the PRACH receiver can detect the PRACH preambles and estimate timing/frequency despite the large CFO.
There is a need to support dual preamble transmission for Physical Downlink Control Channel (PDCCH) order PRACH, e.g., for an NTN UE in connected mode which cannot perform UE-specific timing/frequency pre-compensation due to a lack of GNSS position and/or satellite position. PDCCH order PRACH refers to a procedure in which the network (e.g., gNB) instructs a UE to transmit a PRACH preamble (i.e., the network sends an order, via PDCCH, (i.e., a PDCCH order) to the UE that instructs the UE to transmit a PRACH preamble).
Certain aspects of the present disclosure and their embodiments may provide solutions to the aforementioned or other challenges. Systems and methods are disclosed herein that, e.g., address the case where a connected mode NTN UE, which does not have GNSS position and/or satellite position, needs to perform PDCCH order PRACH in the presence of a large differential Doppler shift. More specifically, systems and methods are disclosed herein for performing dual PRACH preamble transmission for PDCCH order PRACH, e.g., amid large differential Doppler shifts in NTN, e.g., while using the existing NR PRACH formats and without needing the GNSS position or satellite position.
Certain embodiments may provide one or more of the following technical advantage(s). Embodiments disclosed herein may allow an NTN UE in connected mode to perform PDCCH order PRACH even if it lacks the ability to perform timing and/or frequency pre-compensation for uplink transmissions. This is especially useful for NTN UEs served in a Low Earth Orbiting (LEO) NTN where the differential Doppler shift is large but the UEs do not have GNSS position due to loss of GNSS coverage or if it has an inaccurate GNSS position or if it does not have accurate satellite position information, etc. Without this solution, the connection may need to be dropped altogether when the UE has lost the ability to perform timing/frequency pre-compensation due to short-term loss of GNSS coverage. This solution is also desirable for the case where the UEs are not required to have GNSS capability for NTN operation, i.e., random access is based on dual preamble transmission for both idle mode and connected mode UEs.
Figure 18 illustrates one example of a wireless communication system 1800 in which embodiments of the present disclosure may be implemented. As illustrated, the wireless communication system 1800 includes a satellite-based (or non-terrestrial) radio access network, which includes a satellite 1802 (i.e., a space or airborne radio access node or platform) and one or more gateways 1804 that interconnect the satellite 1802 to a land-based base station component 1806. The satellite-based radio access network is one example of an NTN. The functionality of a base station described herein may be implemented in the satellite 1802 or distributed between the satellite 1802 and the land-based base station component 1806 (e.g., the satellite 1802 may implement LI functionality and the land-based base station component 1806 may implement L2 and L3 functionality). A wireless communication device (WCD) 1808 communicates with the satellite radio access network via the satellite 1802. Note that while only one WCD 1808 is illustrated, there may be many WCDs 1808. Further, different WCDs 1808 may have different WCD capabilities (e.g., different Global Navigation Satellite System (GNSS) capabilities) and/or different WCD features. Note that, in some embodiments, the WCD 1808 is a UE and, as such, the WCD 1808 may also be referred to herein as a UE or UE 1808.
Now, a description of various embodiments of the present disclosure will be provided. Note that while description of different aspects of the solution(s) described herein are described under different headings below, these aspects may be utilized separately or together in any desired combination.
PDCCH Order PRACH for Dual Preamble Transmission
In one embodiment, the network (e.g., a network node such as a base station (e.g., a gNB), the satellite 1802 part of a base station in a NTN network, or the land- based base station component 1806 of a base station in a NTN network) configures the WCD 1808 with PRACH preambles using at least two different root sequences and makes the WCD 1808 transmit two (or more) different PRACH preambles with different root sequences via two (or more) PDCCH orders, which are referred to herein as a first PDCCH order and a second PDCCH order. The preamble index for each PRACH preamble can be indicated in the respective PDCCH order.
If the WCD 1808 transmits a PRACH preamble in response to the first PDCCH order, the network may choose not to send a Random Access Response (RAR) and let the RAR window expire. Then, the network can send another PDCCH order (i.e., the second PDCCH order) where the PRACH preamble transmitted in response to the second PDCCH order has a different root sequence than the PRACH preamble transmitted in response to the first PDCCH order.
In another embodiment, the network can leverage the PDCCH order for random access if it learns that the WCD 1808 has full or partial loss of GNSS coverage.
PDCCH Order PRACH for Dual Preamble Transmission with Unexpired RAR Window
In the method disclosed in the section entitled "PDCCH Order PRACH for Dual Preamble Transmission", the network can transmit a second PDCCH order only after the expiration of the RAR window (e.g., after expiration of ra-ResponseWindow). In another embodiment, the second PDCCH order is transmitted while a timer corresponding to the RAR window (e.g., the ra-ResponseWindowWvnev) is still running. According to the 3GPP Medium Access Control (MAC) specification, it is up to the UE implementation what the UE does when this happens. More specifically, chapter 5.1.1 of 3GPP TS 38.321 version 16.6.0 states:
NOTE 1: If a new Random Access procedure is triggered while another is already ongoing in the MAC entity, it is up to UE implementation whether to continue with the ongoing procedure or start with the new procedure (e.g. for SI request).
At least some of the following embodiments are meant to control the WCD behavior when the second PDCCH order is received by the WCD 1808 before the RAR window (e.g., the ra-ResponseWindow) has expired.
• In one embodiment, an indication is included in the (second) PDCCH order (e.g., in the Downlink Control Information (DCI) carrying the (second) PDCCH order) saying that the WCD 1808 is to abandon any ongoing RA procedure and start the ordered one instead. An alternative could be to include an indication in the (first) PDCCH order (e.g., in the DCI carrying the (first) PDCCH order) saying that the RAR window has a duration of 0 seconds/ms/etc. (e.g., ra- ResponseWindow = 0).
• In another embodiment, the preamble indexes (with different root sequence indexes) for the two PRACH preambles used for the two PDCCH orders are included in the PDCCH order DCI. The WCD behavior upon receiving such a PDCCH order is as follows: o When the WCD 1808 receives the (first) PDCCH order with two preamble indexes, it abandons the first RA procedure after the transmission of first PRACH preamble and transmits the second PRACH preamble as soon as possible.
• In another embodiment, an indication is included in the first PDCCH order DCI to indicate dual preamble transmission mode. The WCD behavior upon receiving such a PDCCH order is, in one embodiment, defined as follows (where relevant parts may be specified in a standard specification or configured via the system information or dedicated signaling): o When the WCD 1808 receives the (first) PDCCH order with dual preamble transmission mode activated, the WCD 1808 abandons the first RA procedure after the transmission of first PRACH preamble and transmits the second PRACH preamble as soon as possible. The PRACH preamble to be used for the second PRACH transmission can be indicated in the (first) PDCCH order or defined in the specification. In a sub-embodiment, the second PRACH preamble is specified to be the conjugate of the first PRACH preamble. As a result, the preamble index for the second PRACH preamble transmission is known to the WCD 1808 and does not need to be explicitly indicated by the network.
• In Rel-15, there are 10 reserved bits in DCI format l_0 when it is used as a PDCCH order. These bits may be utilized for signaling any of the above information. Alternatively, a new DCI format can be specified.
Receiver Processing for PDCCH Order PRACH with Dual Preamble Transmission
For timing/frequency estimation based on the dual preamble approach, the delay and Doppler shift experienced by both preambles should ideally be the same or the mathematical relationship between the delays and the mathematical relationships between the Doppler shifts experienced by the two preambles should be known. In an NTN LEO scenario, however, the timing drift and Doppler variation rate can be very large. If there is a time gap between the transmission of the two preambles, the delay and Doppler shift seen by the two preambles may be different.
In one embodiment, the network (e.g., the base station) tracks the timing and frequency drift seen by the WCD 1808 and, based on this information, the network can approximately calculate the difference in the delays and the difference in the Doppler shifts seen by the two received preambles. Consequently, the network can still calculate the timing and frequency estimation despite the large CFO as the relationship between the delays and the relationship between the Doppler shifts of the two preambles is approximately known to the network.
In another embodiment, the problem is avoided/combated by transmitting the second preamble in a PRACH occasion following as soon as possible after the PRACH occasion used for the transmission of the first preamble.
In yet another embodiment, the two preambles are transmitted simultaneously in two simultaneous frequency-multiplexed PRACH occasions.
In yet another embodiment, the two preambles are transmitted simultaneously in the same PRACH occasion (i.e., using the same time/frequency resources). As a further option, the network may configure which of the dual preamble transmission methods the WCD 1808 should use, e.g. transmitting in subsequent PRACH occasions, transmitting in frequency-multiplexed PRACH occasions, or transmitting both preambles in the same PRACH occasion. This configuration may be provided, e.g., in the broadcast system information, via dedicated RRC or MAC signaling, or indicated in the PDCCH order DCI. As a further option, this configuration may be based on indications from the WCD 1808 (e.g. together with other signaled WCD or UE capability information) about its capabilities with regards to dual preamble transmission, e.g. indication from the WCD 1808 about whether the WCD 1808 is capable of transmitting two simultaneous preambles in respective frequency-multiplexed PRACH occasions and/or indication from the WCD 1808 about whether the WCD 1808 is capable of transmitting two simultaneous preambles in the same PRACH occasion.
Provisioning of PDCCH Ordered RA based on Dual Preamble Transmission
The preambles used for PDCCH ordered random access can be conveyed to the WCD 1808 and/or determined by the WCD 1808 in the following (non-exclusive) different ways (representing different embodiments):
• Each of the two preambles is indicated by the network (e.g., by the base station (e.g., gNB)) in a respective PDCCH order DCI.
• Both preambles are indicated in the same PDCCH order DCI.
• The first preamble (ZC sequence) is indicated in a PDCCH order DCI, and the WCD 1808 generates the second preamble (ZC sequence) as the complex conjugate of the first preamble (ZC sequence).
• The first preamble is indicated in a PDCCH order DCI, and the WCD 1808 determines the second preamble. For example, the WCD 1808 may find the second preamble in a specified table, using the first preamble as input, e.g. to find the correct table row.
• The first preamble is indicated in a PDCCH order DCI, and the WCD 1808 finds the second preamble in a configured table, using the first preamble as input, e.g. to find the correct table row. The table may be configured in the broadcast system information or in dedicated signaling, e.g. RRC signaling. The configuration may be a complete table, or it may consist of an index pointing out one out of multiple specified tables. The indicated preambles may be indicated, e.g., as preamble indexes, or as a root sequence number/index combined with a preamble index, or as a root sequence number/index combined with an indication of the number of cyclic shifts of the root sequence.
Non-exclusive list of options for how two PDCCH order DCIs containing one preamble each can be transmitted for ordering of dual-preamble-based random access is as follows:
• The two PDCCH order DCIs are transmitted back-to-back.
• The two PDCCH order DCIs are transmitted in two subsequent PDCCH monitoring occasions according to the relevant search space.
• The two PDCCH order DCIs are transmitted in the same PDCCH monitoring occasion.
• The second PDCCH order DCI is transmitted without waiting for reception of the first preamble.
• The second PDCCH order DCI is transmitted after the reception of the first preamble (or after the latest time of such preamble reception has elapsed) but before the RAR transmission for the first preamble. Optionally, if the second PDCCH order DCI is superfluous, e.g. because the network (e.g., base station, e.g., gNB) has determined that it can determine the timing and/or frequency offset/error sufficiently well based on the received first preamble, the network may omit the transmission of the second PDCCH order DCI.
• The second PDCCH order DCI is transmitted after the transmission of the RAR for the first preamble or, in case the first preamble was not received, after the expiration of the RA response window (as configured by ra- ResponseWindow). Optionally, if the second PDCCH order DCI is superfluous, e.g. because the network (e.g., base station, e.g., gNB) has determined that it can determine the timing and/or frequency offset/error sufficiently well based on the received first preamble, the network may omit the transmission of the second PDCCH order DCI.
• The second PDCCH order DCI may be transmitted when the network (e.g., base station, e.g., gNB) has determined that it cannot respond appropriately to the first preamble and may then optionally include an indication that the WCD 1808 should stop waiting for a RAR for the first transmitted preamble if the RA response window has not expired yet.
Optionally, in any of the previously described embodiments or options, the exact PRACH occasion, or the exact time/frequency transmission resources, to be used for transmission of each preamble may be indicated for each respective preamble in the PDCCH order DCI(s).
As another option, instead of transmitting two PDCCH order DCIs, the second PDCCH order DCI may be replaced by information in the RAR message sent in response to the first preamble. This information may include an indication of the second preamble and/or possibly an indication of the PRACH occasion or UL transmission resources (i.e., time/frequency resources) the WCD 1808 should use for transmission of the second preamble. A very simple variant could be to reuse the UL grant in the RAR for indication of UL transmission resources to be used for transmission of the second preamble. This reuse could be indicated by a flag in the RAR or it may be indicated in the PDCCH order DCI which triggered the transmission of the first preamble (i.e., the preamble to which the RAR message is sent in response) or it may be known from specification or preceding configuration that the UL grant in the RAR message sent in response to the first preamble will be reused for indication of UL transmission resources to be used for transmission of the second preamble.
WCD Receiving the PDCCH Order Selects on the Fly whether to use Regular Single-Preamble RA or Dual-Preamble RA
In one embodiment, the network (e.g., base station such as, e.g., gNB) includes, in the PDCCH order DCI, an indication of one preamble for use in a regular singlepreamble RA and an indication of one preamble which is to be used as the first preamble for dual-preamble RA. In another embodiment, the network (e.g., base station such as, e.g., gNB) includes information that indicates three preambles in the PDCCH order DCI: one preamble for use in a regular single-preamble RA and two preambles which are to be used as the first and second preambles in a dual-preamble RA. With the above two embodiments, when the WCD 1808 receives the PDCCH order DCI, the WCD 1808 can autonomously select between regular single-preamble RA and dual-preamble RA, e.g. based on the WCD's current GNSS status, or more generally, the WCD's current ability to, or prerequisites for, determining sufficiently accurate pre- compensation of preamble transmission timing offset/error and/or frequency offset/error. The network (e.g., base station such as, e.g., gNB) is prepared to receive either of the preamble allocated for regular single-preamble RA or the preamble to be used as the first preamble in a dual-preamble RA. As a further option, if simultaneous transmission of the two preambles for the dual-preamble RA is supported, the network (e.g., base station such as, e.g., gNB) is prepared to receive either the preamble allocated for regular single-preamble RA or the both the two preambles to be used for dual-preamble RA. As yet a further option, different PRACH occasions, or UL transmission resources, may be allocated (e.g., in the PDCCH order DCI or in the system information) for transmission of respectively the preamble for regular singlepreamble RA and the preamble(s) for dual-preamble RA.
PRACH Resource Configuration for Dual Preamble Transmission via PDCCH Order
The following embodiments relate to PRACH resource configuration for PDCCH ordered RA which the network (e.g., base station such as, e.g., gNB) can use for UEs with full or partial loss of GNSS coverage.
In one embodiment, the network (e.g., base station such as, e.g., gNB) configures special PRACH resources for PDCCH order for the UEs with full or partial loss of GNSS coverage, and the network (e.g., base station such as, e.g., gNB) applies a longer PRACH reception window for these PRACH resources. In a sub-embodiment, the PRACH resources are indicated using the PDCCH order DCI. In another subembodiment, these PRACH resources are configured in the System Information, but are only used by the network and the WCD 1808 when the WCD 1808 is triggered by this special kind of PDCCH order. That is, in this sub-embodiment, the network (e.g., base station such as, e.g., gNB) can allocate the UL transmission resources that the special PRACH resources use for other types of UL transmissions, e.g. PUSCH transmission scheduled via UL grants, when these UL transmission resources are not to be used for PDCCH ordered random access.
Another alternative is that no special PRACH resources are configured for the case where the network (e.g., base station such as, e.g., gNB) orders dual-preamble transmission via PDCCH order. That is, the PRACH resources used for regular PDCCH ordered RA are also used for PDCCH ordered dual-preamble RA. In one embodiment, the network (e.g., base station such as, e.g., gNB) dynamically applies a larger PRACH reception window (i.e. larger guard times and possibly guard frequencies) for the PRACH occasions following a dual-preamble PDCCH order until both preambles have been received (or enough time has elapsed for the gNB to conclude that the preambles will not arrive or have arrived but been missed) or until the network (e.g., base station such as, e.g., gNB) has determined that it can accurately determine the time and frequency error (e.g. if this occurs before the reception of the second preamble).
Opportunistic RAR Transmission
In these embodiments, the network (e.g., base station such as, e.g., gNB) "blindly" transmits a RAR message in response to the first preamble, without knowing whether it has correctly determined the timing and/or frequency offset/error. It is then left to the WCD 1808 to determine if it should rely on the information in the received RAR (e.g., the timing advance command), or should continue with the dual-preamble RA procedure and wait for a RAR message in response to the second preamble. This assumes that the WCD 1808 can determine, or estimate, whether the size of the time and/or frequency offset/error requires dual-preamble transmission or can be handled with transmission of a single preamble. As one option, the WCD's determination, or estimation, may be based at least in part on the time that has elapsed since it confirmed its position through a GNSS measurement (and/or optionally other aspects related to the accuracy of the WCD's location information) and/or the time that has elapsed since the WCD 1808 received up to date ephemeris data for the satellite serving the WCD's serving cell.
This method is susceptible to problems caused by preamble collision. Therefore, as one option, the network (e.g., base station such as, e.g., gNB) may choose to use the method based on the current (or historic) RA load. For instance, if the RA load is low, and the risk for preamble collision therefore is low, the network (e.g., base station such as, e.g., gNB) may choose to use the method, whereas if the RA load is high, and the risk for preamble collision therefore is higher, the network (e.g., base station such as, e.g., gNB) may choose not to use the method. Further Description
Figure 19 illustrates the operation of a base station 1900 and the WCD 1808 in accordance with at least some of the embodiments described above. In regard to the system 1800 of Figure 18, the functionality of the base station 1900 may be performed by the satellite Q102, the land-based base station component 1806, or a combination thereof. Note that not all of the details of the embodiments described above are repeated here with respect to Figure 19; however, the details above are equally applicable to the corresponding steps of Figure 19. Also note that optional steps are represented in Figure 19 by dashed boxes/lines.
As illustrated, the base station 1900 may, in some embodiments, send, to the WCD 1808, PRACH resource configurations for dual (or multi) PRACH preamble RA (step
1901). Details regarding such PRACH resource configurations for dual PRACH preamble RA are provided above and not repeated here.
The base station 1900 sends, to the WCD 1808, one or more PDCCH orders for transmission of two (or more) PRACH preambles for dual (or multi) preamble RA (step
1902). As described above, in some embodiments (referred to here as "Option A" embodiments), the base station 1900 sends separate PDCCH orders for each PRACH preamble. So, for dual preamble RA, the base station 1900 sends a first PDCCH order for a first PRACH preamble (1902A1) and sends a second PDCCH order for a second PRACH preamble (1902A2). In this case, each PDCCH order may include an indication of the respective PRACH preamble to be transmitted. Various embodiments are described above in regard to the use of two PDCCH orders for dual preamble RA and those details are equally applicable here. As also described above, in some embodiments (referred to here as "Option B" embodiments), the base station 1900 sends a single PDCCH order for the dual (or multi) preamble RA. So, for dual preamble RA, the base station 1900 sends a single PDCCH order dual preamble RA (1902B). As describe above, the single PDCCH order may include information that indicates both the first PRACH preamble and the second PRACH preamble to be used for dual preamble RA. However, in other embodiments, the single PDCCH order may include information that indicates the first PRACH preamble, and the second PRACH preamble is, e.g., defined by specification, defined by a configuration received from the network, determined by the WCD 1808 (e.g., as a complex conjugate of the first PRACH preamble), or the like. Various embodiments are described above in regard to the use of a single PDCCH order for dual preamble RA and those details are equally applicable here.
As described above, the WCD 1808 may autonomously determine whether to perform single-preamble RA or dual (or multi) preamble RA. In this regard, in some embodiments, the WCD 1808 determines whether to perform single-preamble RA or dual (or multi) preamble RA (step 1903). The details of how this determination is made are provided above and, as such, not repeated here. In this example, it is to be assumed that the WCD 1808 determines that it is to use dual (or multi) preamble RA.
The WCD 1808 transmits two (or multiple) PRACH preambles in accordance with the received PDCCH order(s) for dual (or multi) preamble RA (step 1904). The details for various embodiments related to the transmission of the PRACH preambles for dual preamble RA are provided above and are equally applicable here.
At the base station 1900, the base station 1900 detects the two (or more) PRACH preambles (step 1906) and performs one or more actions (e.g., estimate timing/frequency and continue the RA procedure by sending, e.g., a RAR to the WCD 1808) based on the detected PRACH preambles (step 1908).
Figure 20 is a schematic block diagram of a radio access node 2000 according to some embodiments of the present disclosure. Optional features are represented by dashed boxes. The radio access node 2000 may be, for example, the base station 1900, the satellite 1802, or the land-based base station component 1806 described above. As illustrated, the radio access node 2000 includes a control system 2002 that includes one or more processors 2004 (e.g., Central Processing Units (CPUs), Application Specific Integrated Circuits (ASICs), Field Programmable Gate Arrays (FPGAs), and/or the like), memory 2006, and a network interface 2008. The one or more processors 2004 are also referred to herein as processing circuitry. In addition, the radio access node 2000 may include one or more radio units 2010 that each includes one or more transmitters 2012 and one or more receivers 2014 coupled to one or more antennas 2016. The radio units 2010 may be referred to or be part of radio interface circuitry. In some embodiments, the radio unit(s) 2010 is external to the control system 2002 and connected to the control system 2002 via, e.g., a wired connection (e.g., an optical cable). However, in some other embodiments, the radio unit(s) 2010 and potentially the antenna(s) 2016 are integrated together with the control system 2002. The one or more processors 2004 operate to provide one or more functions of a radio access node 2000 as described herein (e.g., one or more functions of the base station 1900, a base station, a gNB, or the like, as described herein). In some embodiments, the function(s) are implemented in software that is stored, e.g., in the memory 2006 and executed by the one or more processors 2004.
Figure 21 is a schematic block diagram that illustrates a virtualized embodiment of the radio access node 2000 according to some embodiments of the present disclosure. Again, optional features are represented by dashed boxes. As used herein, a "virtualized" radio access node is an implementation of the radio access node 2000 in which at least a portion of the functionality of the radio access node 2000 is implemented as a virtual component(s) (e.g., via a virtual machine(s) executing on a physical processing node(s) in a network(s)). As illustrated, in this example, the radio access node 2000 may include the control system 2002 and/or the one or more radio units 2010, as described above. The control system 2002 may be connected to the radio unit(s) 2010 via, for example, an optical cable or the like. The radio access node 2000 includes one or more processing nodes 2100 coupled to or included as part of a network(s) 2102. If present, the control system 2002 or the radio unit(s) are connected to the processing node(s) 2100 via the network 2102. Each processing node 2100 includes one or more processors 2104 (e.g., CPUs, ASICs, FPGAs, and/or the like), memory 2106, and a network interface 2108.
In this example, functions 2110 of the radio access node 2000 described herein (e.g., one or more functions of the base station 1900, a base station, a gNB, or the like, as described herein) are implemented at the one or more processing nodes 2100 or distributed across the one or more processing nodes 2100 and the control system 2002 and/or the radio unit(s) 2010 in any desired manner. In some particular embodiments, some or all of the functions 2110 of the radio access node 2000 described herein are implemented as virtual components executed by one or more virtual machines implemented in a virtual environment(s) hosted by the processing node(s) 2100. As will be appreciated by one of ordinary skill in the art, additional signaling or communication between the processing node(s) 2100 and the control system 2002 is used in order to carry out at least some of the desired functions 2110. Notably, in some embodiments, the control system 2002 may not be included, in which case the radio unit(s) 2010 communicate directly with the processing node(s) 2100 via an appropriate network interface(s). In some embodiments, a computer program including instructions which, when executed by at least one processor, causes the at least one processor to carry out the functionality of radio access node 2000 or a node (e.g., a processing node 2100) implementing one or more of the functions 2110 of the radio access node 2000 in a virtual environment according to any of the embodiments described herein is provided. In some embodiments, a carrier comprising the aforementioned computer program product is provided. The carrier is one of an electronic signal, an optical signal, a radio signal, or a computer readable storage medium (e.g., a non-transitory computer readable medium such as memory).
Figure 22 is a schematic block diagram of the radio access node 2000 according to some other embodiments of the present disclosure. The radio access node 2000 includes one or more modules 2200, each of which is implemented in software. The module(s) 2200 provide the functionality of the radio access node 2000 described herein. This discussion is equally applicable to the processing node 2100 of Figure 21 where the modules 2200 may be implemented at one of the processing nodes 2100 or distributed across multiple processing nodes 2100 and/or distributed across the processing node(s) 2100 and the control system 2002.
Figure 23 is a schematic block diagram of a WCD 2300 according to some embodiments of the present disclosure. The WCD 2300 may be the WCD 1808 or UE as described herein. As illustrated, the WCD 2300 includes one or more processors 2302 (e.g., CPUs, ASICs, FPGAs, and/or the like), memory 2304, and one or more transceivers 2306 each including one or more transmitters 2308 and one or more receivers 2310 coupled to one or more antennas 2312. The transceiver(s) 2306 includes radio-front end circuitry connected to the antenna(s) 2312 that is configured to condition signals communicated between the antenna(s) 2312 and the processor(s) 2302, as will be appreciated by on of ordinary skill in the art. The processors 2302 are also referred to herein as processing circuitry. The transceivers 2306 are also referred to herein as radio circuitry. In some embodiments, the functionality of the WCD 2300 described herein (e.g., the functionality of the WCD 1808 or UE described herein) may be fully or partially implemented in software that is, e.g., stored in the memory 2304 and executed by the processor(s) 2302. Note that the WCD 2300 may include additional components not illustrated in Figure 23 such as, e.g., one or more user interface components (e.g., an input/output interface including a display, buttons, a touch screen, a microphone, a speaker(s), and/or the like and/or any other components for allowing input of information into the WCD 2300 and/or allowing output of information from the WCD 2300), a power supply (e.g., a battery and associated power circuitry), etc.
In some embodiments, a computer program including instructions which, when executed by at least one processor, causes the at least one processor to carry out the functionality of the WCD 2300 according to any of the embodiments described herein is provided. In some embodiments, a carrier comprising the aforementioned computer program product is provided. The carrier is one of an electronic signal, an optical signal, a radio signal, or a computer readable storage medium (e.g., a non-transitory computer readable medium such as memory).
Figure 24 is a schematic block diagram of the WCD 2300 according to some other embodiments of the present disclosure. The WCD 2300 includes one or more modules 2400, each of which is implemented in software. The module(s) 2400 provide the functionality of the WCD 2300 described herein (e.g., the functionality of the WCD 1808 or UE described herein).
With reference to Figure 25, in accordance with an embodiment, a communication system includes a telecommunication network 2500, such as a 3GPP- type cellular network, which comprises an access network 2502, such as a RAN, and a core network 2504. The access network 2502 comprises a plurality of base stations 2506A, 2506B, 2506C, such as Node Bs, eNBs, gNBs, or other types of wireless Access Points (APs), each defining a corresponding coverage area 2508A, 2508B, 2508C. Each base station 2506A, 2506B, 2506C is connectable to the core network 2504 over a wired or wireless connection 2510. A first UE 2512 located in coverage area 2508C is configured to wirelessly connect to, or be paged by, the corresponding base station 2506C. A second UE 2514 in coverage area 2508A is wirelessly connectable to the corresponding base station 2506A. While a plurality of UEs 2512, 2514 are illustrated in this example, the disclosed embodiments are equally applicable to a situation where a sole UE is in the coverage area or where a sole UE is connecting to the corresponding base station 2506.
The telecommunication network 2500 is itself connected to a host computer 2516, which may be embodied in the hardware and/or software of a standalone server, a cloud-implemented server, a distributed server, or as processing resources in a server farm. The host computer 2516 may be under the ownership or control of a service provider, or may be operated by the service provider or on behalf of the service provider. Connections 2518 and 2520 between the telecommunication network 2500 and the host computer 2516 may extend directly from the core network 2504 to the host computer 2516 or may go via an optional intermediate network 2522. The intermediate network 2522 may be one of, or a combination of more than one of, a public, private, or hosted network; the intermediate network 2522, if any, may be a backbone network or the Internet; in particular, the intermediate network 2522 may comprise two or more sub-networks (not shown).
The communication system of Figure 25 as a whole enables connectivity between the connected UEs 2512, 2514 and the host computer 2516. The connectivity may be described as an Over-the-Top (OTT) connection 2524. The host computer 2516 and the connected UEs 2512, 2514 are configured to communicate data and/or signaling via the OTT connection 2524, using the access network 2502, the core network 2504, any intermediate network 2522, and possible further infrastructure (not shown) as intermediaries. The OTT connection 2524 may be transparent in the sense that the participating communication devices through which the OTT connection 2524 passes are unaware of routing of uplink and downlink communications. For example, the base station 2506 may not or need not be informed about the past routing of an incoming downlink communication with data originating from the host computer 2516 to be forwarded (e.g., handed over) to a connected UE 2512. Similarly, the base station 2506 need not be aware of the future routing of an outgoing uplink communication originating from the UE 2512 towards the host computer 2516.
Example implementations, in accordance with an embodiment, of the UE, base station, and host computer discussed in the preceding paragraphs will now be described with reference to Figure 26. In a communication system 2600, a host computer 2602 comprises hardware 2604 including a communication interface 2606 configured to set up and maintain a wired or wireless connection with an interface of a different communication device of the communication system 2600. The host computer 2602 further comprises processing circuitry 2608, which may have storage and/or processing capabilities. In particular, the processing circuitry 2608 may comprise one or more programmable processors, ASICs, FPGAs, or combinations of these (not shown) adapted to execute instructions. The host computer 2602 further comprises software 2610, which is stored in or accessible by the host computer 2602 and executable by the processing circuitry 2608. The software 2610 includes a host application 2612. The host application 2612 may be operable to provide a service to a remote user, such as a UE 2614 connecting via an OTT connection 2616 terminating at the UE 2614 and the host computer 2602. In providing the service to the remote user, the host application 2612 may provide user data which is transmitted using the OTT connection 2616.
The communication system 2600 further includes a base station 2618 provided in a telecommunication system and comprising hardware 2620 enabling it to communicate with the host computer 2602 and with the UE 2614. The hardware 2620 may include a communication interface 2622 for setting up and maintaining a wired or wireless connection with an interface of a different communication device of the communication system 2600, as well as a radio interface 2624 for setting up and maintaining at least a wireless connection 2626 with the UE 2614 located in a coverage area (not shown in Figure 26) served by the base station 2618. The communication interface 2622 may be configured to facilitate a connection 2628 to the host computer 2602. The connection 2628 may be direct or it may pass through a core network (not shown in Figure 26) of the telecommunication system and/or through one or more intermediate networks outside the telecommunication system. In the embodiment shown, the hardware 2620 of the base station 2618 further includes processing circuitry 2630, which may comprise one or more programmable processors, ASICs, FPGAs, or combinations of these (not shown) adapted to execute instructions. The base station 2618 further has software 2632 stored internally or accessible via an external connection.
The communication system 2600 further includes the UE 2614 already referred to. The UE's 2614 hardware 2634 may include a radio interface 2636 configured to set up and maintain a wireless connection 2626 with a base station serving a coverage area in which the UE 2614 is currently located. The hardware 2634 of the UE 2614 further includes processing circuitry 2638, which may comprise one or more programmable processors, ASICs, FPGAs, or combinations of these (not shown) adapted to execute instructions. The UE 2614 further comprises software 2640, which is stored in or accessible by the UE 2614 and executable by the processing circuitry 2638. The software 2640 includes a client application 2642. The client application 2642 may be operable to provide a service to a human or non-human user via the UE 2614, with the support of the host computer 2602. In the host computer 2602, the executing host application 2612 may communicate with the executing client application 2642 via the OTT connection 2616 terminating at the UE 2614 and the host computer 2602. In providing the service to the user, the client application 2642 may receive request data from the host application 2612 and provide user data in response to the request data. The OTT connection 2616 may transfer both the request data and the user data. The client application 2642 may interact with the user to generate the user data that it provides.
It is noted that the host computer 2602, the base station 2618, and the UE 2614 illustrated in Figure 26 may be similar or identical to the host computer 2516, one of the base stations 2506A, 2506B, 2506C, and one of the UEs 2512, 2514 of Figure 25, respectively. This is to say, the inner workings of these entities may be as shown in Figure 26 and independently, the surrounding network topology may be that of Figure 25.
In Figure 26, the OTT connection 2616 has been drawn abstractly to illustrate the communication between the host computer 2602 and the UE 2614 via the base station 2618 without explicit reference to any intermediary devices and the precise routing of messages via these devices. The network infrastructure may determine the routing, which may be configured to hide from the UE 2614 or from the service provider operating the host computer 2602, or both. While the OTT connection 2616 is active, the network infrastructure may further take decisions by which it dynamically changes the routing (e.g., on the basis of load balancing consideration or reconfiguration of the network).
The wireless connection 2626 between the UE 2614 and the base station 2618 is in accordance with the teachings of the embodiments described throughout this disclosure. One or more of the various embodiments improve the performance of OTT services provided to the UE 2614 using the OTT connection 2616, in which the wireless connection 2626 forms the last segment.
A measurement procedure may be provided for the purpose of monitoring data rate, latency, and other factors on which the one or more embodiments improve. There may further be an optional network functionality for reconfiguring the OTT connection 2616 between the host computer 2602 and the UE 2614, in response to variations in the measurement results. The measurement procedure and/or the network functionality for reconfiguring the OTT connection 2616 may be implemented in the software 2610 and the hardware 2604 of the host computer 2602 or in the software 2640 and the hardware 2634 of the UE 2614, or both. In some embodiments, sensors (not shown) may be deployed in or in association with communication devices through which the OTT connection 2616 passes; the sensors may participate in the measurement procedure by supplying values of the monitored quantities exemplified above, or supplying values of other physical quantities from which the software 2610, 2640 may compute or estimate the monitored quantities. The reconfiguring of the OTT connection 2616 may include message format, retransmission settings, preferred routing, etc.; the reconfiguring need not affect the base station 2618, and it may be unknown or imperceptible to the base station 2618. Such procedures and functionalities may be known and practiced in the art. In certain embodiments, measurements may involve proprietary UE signaling facilitating the host computer 2602's measurements of throughput, propagation times, latency, and the like. The measurements may be implemented in that the software 2610 and 2640 causes messages to be transmitted, in particular empty or 'dummy' messages, using the OTT connection 2616 while it monitors propagation times, errors, etc.
Figure 27 is a flowchart illustrating a method implemented in a communication system, in accordance with one embodiment. The communication system includes a host computer, a base station, and a UE which may be those described with reference to Figures 25 and 26. For simplicity of the present disclosure, only drawing references to Figure 27 will be included in this section. In step 2700, the host computer provides user data. In sub-step 2702 (which may be optional) of step 2700, the host computer provides the user data by executing a host application. In step 2704, the host computer initiates a transmission carrying the user data to the UE. In step 2706 (which may be optional), the base station transmits to the UE the user data which was carried in the transmission that the host computer initiated, in accordance with the teachings of the embodiments described throughout this disclosure. In step 2708 (which may also be optional), the UE executes a client application associated with the host application executed by the host computer.
Figure 28 is a flowchart illustrating a method implemented in a communication system, in accordance with one embodiment. The communication system includes a host computer, a base station, and a UE which may be those described with reference to Figures 25 and 26. For simplicity of the present disclosure, only drawing references to Figure 28 will be included in this section. In step 2800 of the method, the host computer provides user data. In an optional sub-step (not shown) the host computer provides the user data by executing a host application. In step 2802, the host computer initiates a transmission carrying the user data to the UE. The transmission may pass via the base station, in accordance with the teachings of the embodiments described throughout this disclosure. In step 2804 (which may be optional), the UE receives the user data carried in the transmission.
Figure 29 is a flowchart illustrating a method implemented in a communication system, in accordance with one embodiment. The communication system includes a host computer, a base station, and a UE which may be those described with reference to Figures 25 and 26. For simplicity of the present disclosure, only drawing references to Figure 29 will be included in this section. In step 2900 (which may be optional), the UE receives input data provided by the host computer. Additionally or alternatively, in step 2902, the UE provides user data. In sub-step 2904 (which may be optional) of step 2900, the UE provides the user data by executing a client application. In sub-step 2906 (which may be optional) of step 2902, the UE executes a client application which provides the user data in reaction to the received input data provided by the host computer. In providing the user data, the executed client application may further consider user input received from the user. Regardless of the specific manner in which the user data was provided, the UE initiates, in sub-step 2908 (which may be optional), transmission of the user data to the host computer. In step 2910 of the method, the host computer receives the user data transmitted from the UE, in accordance with the teachings of the embodiments described throughout this disclosure.
Figure 30 is a flowchart illustrating a method implemented in a communication system, in accordance with one embodiment. The communication system includes a host computer, a base station, and a UE which may be those described with reference to Figures 25 and 26. For simplicity of the present disclosure, only drawing references to Figure 30 will be included in this section. In step 3000 (which may be optional), in accordance with the teachings of the embodiments described throughout this disclosure, the base station receives user data from the UE. In step 3002 (which may be optional), the base station initiates transmission of the received user data to the host computer. In step 3004 (which may be optional), the host computer receives the user data carried in the transmission initiated by the base station. Any appropriate steps, methods, features, functions, or benefits disclosed herein may be performed through one or more functional units or modules of one or more virtual apparatuses. Each virtual apparatus may comprise a number of these functional units. These functional units may be implemented via processing circuitry, which may include one or more microprocessor or microcontrollers, as well as other digital hardware, which may include Digital Signal Processor (DSPs), special-purpose digital logic, and the like. The processing circuitry may be configured to execute program code stored in memory, which may include one or several types of memory such as Read Only Memory (ROM), Random Access Memory (RAM), cache memory, flash memory devices, optical storage devices, etc. Program code stored in memory includes program instructions for executing one or more telecommunications and/or data communications protocols as well as instructions for carrying out one or more of the techniques described herein. In some implementations, the processing circuitry may be used to cause the respective functional unit to perform corresponding functions according one or more embodiments of the present disclosure.
While processes in the figures may show a particular order of operations performed by certain embodiments of the present disclosure, it should be understood that such order is exemplary (e.g., alternative embodiments may perform the operations in a different order, combine certain operations, overlap certain operations, etc.).
Those skilled in the art will recognize improvements and modifications to the embodiments of the present disclosure. All such improvements and modifications are considered within the scope of the concepts disclosed herein.
Some example embodiments of the present disclosure are as follows:
Group A Embodiments
Embodiment 1: A method performed by a wireless communication device, WCD, (1808) for transmission of multiple Physical Random Access, PRACH, preambles, the method comprising: receiving (1902), from a base station (1900), one or more Physical Downlink Control Channel, PDCCH, orders for transmission of multiple PRACH preambles; and transmitting (1904) multiple PRACH preambles in accordance with the one or more PDCCH orders. Embodiment 2: The method of embodiment 1 wherein the multiple PRACH preambles use different root sequences (e.g., different Zadoff-Chu root sequences).
Embodiment 3: The method of embodiment 1 or 2 wherein: receiving (1902) the one or more PDCCH orders comprises receiving (1902A1) a first PDCCH order for transmission of a first PRACH preamble and receiving (1902A2) a second PDCCH order for transmission of a second PRACH preamble; and transmitting (1904) the multiple PRACH preambles comprises transmitting (1904) the first PRACH preamble in accordance with the first PDCCH order and transmitting (1904) the second PRACH preamble in accordance with the second PDCCH order.
Embodiment 4: The method of embodiment 3 wherein the first PDCCH order and the second PDCCH order are received back-to-back.
Embodiment 5: The method of embodiment 3 wherein the first PDCCH order and the second PDCCH order are received in consecutive PDCCH monitoring occasions according to a respective search space.
Embodiment 6: The method of embodiment 3 wherein the first PDCCH order and the second PDCCH order are received in a same PDCCH monitoring occasion.
Embodiment 7: The method of embodiment 3 wherein the first PDCCH order and the second PDCCH order are received in a same PDCCH monitoring occasion.
Embodiment 8: The method of embodiment 3 wherein receiving (1902A2) the second PDCCH order comprises receiving (1902A2) the second PDCCH order prior to a time at which the first PRACH preamble is transmitted.
Embodiment 9: The method of embodiment 3 wherein receiving (1902A2) the second PDCCH order comprises receiving (1902A2) the second PDCCH order after transmission of the first PRACH preamble.
Embodiment 10: The method of embodiment 3 wherein receiving (1902A2) the second PDCCH order comprises receiving (1902A2) the second PDCCH order after transmission of the first PRACH preamble but before reception of a random access response that is responsive to the first PRACH preamble.
Embodiment 11: The method of embodiment 3 wherein receiving (1902A2) the second PDCCH order comprises receiving (1902A2) the second PDCCH order after reception of a random access response that is responsive to the first PRACH preamble.
Embodiment 12: The method of embodiment 3 wherein receiving (1902A2) the second PDCCH order comprises receiving (1902A2) the second PDCCH order after expiration of a random access response window timer, the random access response window timer defining a time window after transmission of the first PRACH preamble during which the WCD (1808) monitors for a random access response.
Embodiment 13: The method of embodiment 3 wherein the second PDCCH order comprises an indication that the WCD (1808) is to stop waiting for a random access response for the first PRACH preamble.
Embodiment 14: The method of embodiment 3 wherein the second PDCCH order comprises an indication that the WCD (1808) is to stop waiting for a random access response for the first PRACH preamble if a respective timer has not yet expired.
Embodiment 15: The method of embodiment 3 wherein the first PDCCH order comprise an indication of a first root sequence to be used for the first PRACH preamble, and the second PDCCH order comprise an indication of a second root sequence to be used for the second PRACH preamble, the first root sequence being different than the second root sequence.
Embodiment 16: The method of embodiment 15 wherein the first PDCCH order further comprises an indication of the second root sequence to be used for the second PRACH preamble.
Embodiment 17: The method of embodiment 16 further comprising, responsive to the indication of the second root sequence being comprised in the first PDCCH order, abandoning a first random access procedure associated to the first PRACH preamble after transmission of the first PRACH preamble.
Embodiment 18: The method of any of embodiments 3 to 15 wherein the first PDCCH order comprises an indication that the WCD (1808) is being ordered to transmit multiple PRACH preambles.
Embodiment 19: The method of embodiment 18 further comprising, responsive to the indication that the WCD (1808) is being ordered to transmit multiple PRACH preambles being comprised in the first PDCCH order, abandoning a first random access procedure associated to the first PRACH preamble after transmission of the first PRACH preamble.
Embodiment 20: The method of any of embodiments 3 to 19 wherein: transmitting the first PRACH preamble in accordance with the first PDCCH order comprises transmitting the first PRACH preamble in a first PRACH occasion; and transmitting the second PRACH preamble in accordance with the second PDCCH order comprises transmitting the second PRACH preamble in a second PRACH occasion that is as soon as possible after the first PRACH occasion.
Embodiment 21: The method of any of embodiments 3 to 19 wherein: transmitting the first PRACH preamble in accordance with the first PDCCH order comprises transmitting the first PRACH preamble in a first PRACH occasion; and transmitting the second PRACH preamble in accordance with the second PDCCH order comprises transmitting the second PRACH preamble in a second PRACH occasion; wherein the first PRACH occasion and the second PRACH occasion are simultaneous frequency-multiplexed PRACH occasions.
Embodiment 22: The method of any of embodiments 3 to 19 wherein: transmitting the first PRACH preamble in accordance with the first PDCCH order comprises transmitting the first PRACH preamble in a particular PRACH occasion; and transmitting the second PRACH preamble in accordance with the second PDCCH order comprises transmitting the second PRACH preamble in the particular PRACH occasion such that the first PRACH preamble and the second PRACH preamble are multiplexed in a same PRACH occasion using the same time and frequency resources.
Embodiment 23: The method of any of embodiments 3 to 19 wherein whether the first and second PRACH preambles are transmitted in PRACH occasions in different, non-overlapping time resources or in simultaneous frequency-multiplexed PRACH occasions, or in the same PRACH occasion is network configured.
Embodiment24: The method of embodiment 1 or 2 wherein: receiving (1902) the one or more PDCCH orders comprises receiving (1902B) a single PDCCH order for transmission of both a first PRACH preamble and a second PRACH preamble; and transmitting (1904) the multiple PRACH preambles comprises transmitting the first PRACH preamble and the second PRACH preamble in accordance with the single PDCCH order.
Embodiment 25: The method of embodiment 24 wherein the single PDCCH order comprises information that indicates the first PRACH preamble and the second PRACH preamble.
Embodiment 26: The method of embodiment 24 wherein the single PDCCH order comprises information that indicates the first PRACH preamble, and the second PRACH preamble is determined by the WCD (1808). Embodiment 27: The method of embodiment 26 wherein the second PRACH preamble is a complex conjugate of the first PRACH preamble.
Embodiment 28: The method of embodiment 26 wherein the second preamble is determined based on the first PRACH preamble (e.g., using the first PRACH preamble as input to a predefined, indicated, or configured table).
Embodiment 29: The method of embodiment 1 or 2 wherein: at least one of the one or more PDCCH orders further comprises information that indicates a PRACH preamble to use for single PRACH preamble transmission; and the method further comprises determining (1903) whether to perform single PRACH preamble transmission or multi-PRACH preamble transmission.
Embodiment 30: The method of embodiment 29 wherein transmitting (1904) the multiple PRACH preambles comprises transmitting (1904) the multiple PRACH preambles responsive to determining (1903) to perform multi-PRACH preamble transmission.
Embodiment 31: The method of any of the previous embodiments, further comprising: providing user data; and forwarding the user data to a host computer via the transmission to the base station.
Group B Embodiments
Embodiment 32: A method performed by a base station (1900) to enable multiple Physical Random Access Channel, PRACH, transmission, the method comprising: transmitting (1902), to a wireless communication device, WCD, (1808), one or more Physical Downlink Control Channel, PDCCH, orders for transmission of multiple PRACH preambles; and detecting (1906) the multiple PRACH preambles.
Embodiment 33: The method of embodiment 32 wherein the multiple PRACH preambles use different root sequences (e.g., different Zadoff-Chu root sequences).
Embodiment 34: The method of embodiment 32 or 33 wherein: transmitting (1902) the one or more PDCCH orders comprises transmitting (1902A1) a first PDCCH order for transmission of a first PRACH preamble and transmitting (1902A2) a second PDCCH order for transmission of a second PRACH preamble; and detecting (1906) the multiple PRACH preambles comprises detecting (1906) the first PRACH preamble in accordance with the first PDCCH order and detecting (1906) the second PRACH preamble in accordance with the second PDCCH order. Embodiment 35: The method of embodiment 34 wherein the first PDCCH order and the second PDCCH order are transmitted back-to-back.
Embodiment 36: The method of embodiment 34 wherein the first PDCCH order and the second PDCCH order are transmitted in consecutive PDCCH monitoring occasions according to a respective search space.
Embodiment 37: The method of embodiment 34 wherein the first PDCCH order and the second PDCCH order are transmitted in a same PDCCH monitoring occasion.
Embodiment 38: The method of embodiment 34 wherein the first PDCCH order and the second PDCCH order are transmitted in a same PDCCH monitoring occasion.
Embodiment 39: The method of embodiment 34 wherein transmitting (1902A2) the second PDCCH order comprises transmitting (1902A2) the second PDCCH order prior to a time at which the first PRACH preamble is detected.
Embodiment 40: The method of embodiment 34 wherein transmitting (1902A2) the second PDCCH order comprises transmitting (1902A2) the second PDCCH order after detection of the first PRACH preamble.
Embodiment 41: The method of embodiment 34 wherein transmitting (1902A2) the second PDCCH order comprises transmitting (1902A2) the second PDCCH order after detecting the first PRACH preamble and without transmitting a random access response responsive to detecting the first PRACH preamble.
Embodiment 42: The method of embodiment 34 wherein transmitting (1902A2) the second PDCCH order comprises transmitting (1902A2) the second PDCCH order after transmission of a random access response that is responsive to detection of the first PRACH preamble.
Embodiment 43: The method of embodiment 34 wherein transmitting (1902A2) the second PDCCH order comprises transmitting (1902A2) the second PDCCH order after expiration of a random access response window timer, the random access response window timer defining a time window after transmission of the first PRACH preamble during which the WCD (1808) monitors for a random access response.
Embodiment 44: The method of embodiment 34 wherein the second PDCCH order comprises an indication that the WCD (1808) is to stop waiting for a random access response for the first PRACH preamble. Embodiment 45: The method of embodiment 34 wherein the second PDCCH order comprises an indication that the WCD (1808) is to stop waiting for a random access response for the first PRACH preamble if a respective timer has not yet expired.
Embodiment 46: The method of embodiment 34 wherein the first PDCCH order comprise an indication of a first root sequence to be used for the first PRACH preamble, and the second PDCCH order comprise an indication of a second root sequence to be used for the second PRACH preamble, the first root sequence being different than the second root sequence.
Embodiment 47: The method of embodiment 46 wherein the first PDCCH order further comprises an indication of the second root sequence to be used for the second PRACH preamble.
Embodiment 48: The method of any of embodiments 34 to 46 wherein the first PDCCH order comprises an indication that the WCD (1808) is being ordered to transmit multiple PRACH preambles.
Embodiment 49: The method of any of embodiments 34 to 48 wherein: detecting the first PRACH preamble in accordance with the first PDCCH order comprises detecting the first PRACH preamble in a first PRACH occasion; and detecting the second PRACH preamble in accordance with the second PDCCH order comprises detecting the second PRACH preamble in a second PRACH occasion that is as soon as possible after the first PRACH occasion.
Embodiment 50: The method of any of embodiments 34 to 48 wherein: detecting the first PRACH preamble in accordance with the first PDCCH order comprises detecting the first PRACH preamble in a first PRACH occasion; and detecting the second PRACH preamble in accordance with the second PDCCH order comprises detecting the second PRACH preamble in a second PRACH occasion; wherein the first PRACH occasion and the second PRACH occasion are simultaneous frequency-multiplexed PRACH occasions.
Embodiment 51: The method of any of embodiments 34 to 48 wherein: detecting the first PRACH preamble in accordance with the first PDCCH order comprises detecting the first PRACH preamble in a particular PRACH occasion; and detecting the second PRACH preamble in accordance with the second PDCCH order comprises detecting the second PRACH preamble in the particular PRACH occasion such that the first PRACH preamble and the second PRACH preamble are multiplexed in a same PRACH occasion using the same time and frequency resources.
Embodiment 52: The method of any of embodiments 34 to 51 wherein whether the first and second PRACH preambles are transmitted in PRACH occasions in different, non-overlapping time resources or in simultaneous frequency-multiplexed PRACH occasions, or in the same PRACH occasion is network configured.
Embodiment 53: The method of embodiment 32 or 33 wherein: transmitting (1902) the one or more PDCCH orders comprises transmitting (1902B) a single PDCCH order for transmission of both a first PRACH preamble and a second PRACH preamble; and detecting (1906) the multiple PRACH preambles comprises detecting the first PRACH preamble and the second PRACH preamble in accordance with the single PDCCH order.
Embodiment 54: The method of embodiment 53 wherein the single PDCCH order comprises information that indicates the first PRACH preamble and the second PRACH preamble.
Embodiment 55: The method of embodiment 53 wherein the single PDCCH order comprises information that indicates the first PRACH preamble, wherein the second PRACH preamble is determined based on the first PRACH preamble (e.g., the second PRACH preamble is a complex conjugate of the first PRACH preamble or the second PRACH preamble determined from a predefined, specified, or configured table using the first PRACH preamble as input).
Embodiment 56: The method of embodiment 32 or 33 wherein: at least one of the one or more PDCCH orders further comprises information that indicates a PRACH preamble to use for single PRACH preamble transmission.
Embodiment 57: The method of any of the previous embodiments, further comprising: obtaining user data; and forwarding the user data to a host computer or a wireless communication device.
Group C Embodiments
Embodiment 58: A wireless communication device comprising:
- processing circuitry configured to perform any of the steps of any of the Group A embodiments; and - power supply circuitry configured to supply power to the wireless communication device.
Embodiment 59: A base station comprising:
- processing circuitry configured to perform any of the steps of any of the Group B embodiments; and
- power supply circuitry configured to supply power to the base station.
Embodiment 60: A User Equipment, UE, comprising:
- an antenna configured to send and receive wireless signals;
- radio front-end circuitry connected to the antenna and to processing circuitry, and configured to condition signals communicated between the antenna and the processing circuitry;
- the processing circuitry being configured to perform any of the steps of any of the Group A embodiments;
- an input interface connected to the processing circuitry and configured to allow input of information into the UE to be processed by the processing circuitry;
- an output interface connected to the processing circuitry and configured to output information from the UE that has been processed by the processing circuitry; and
- a battery connected to the processing circuitry and configured to supply power to the UE.
Embodiment 61: A communication system including a host computer comprising:
- processing circuitry configured to provide user data; and
- a communication interface configured to forward the user data to a cellular network for transmission to a User Equipment, UE;
- wherein the cellular network comprises a base station having a radio interface and processing circuitry, the base station's processing circuitry configured to perform any of the steps of any of the Group B embodiments.
Embodiment 62: The communication system of the previous embodiment further including the base station.
Embodiment 63: The communication system of the previous 2 embodiments, further including the UE, wherein the UE is configured to communicate with the base station. Embodiment 64: The communication system of the previous 3 embodiments, wherein:
- the processing circuitry of the host computer is configured to execute a host application, thereby providing the user data; and
- the UE comprises processing circuitry configured to execute a client application associated with the host application.
Embodiment 65: A method implemented in a communication system including a host computer, a base station, and a User Equipment, UE, the method comprising:
- at the host computer, providing user data; and
- at the host computer, initiating a transmission carrying the user data to the UE via a cellular network comprising the base station, wherein the base station performs any of the steps of any of the Group B embodiments.
Embodiment 66: The method of the previous embodiment, further comprising, at the base station, transmitting the user data.
Embodiment 67: The method of the previous 2 embodiments, wherein the user data is provided at the host computer by executing a host application, the method further comprising, at the UE, executing a client application associated with the host application.
Embodiment 68: A User Equipment, UE, configured to communicate with a base station, the UE comprising a radio interface and processing circuitry configured to perform the method of the previous 3 embodiments.
Embodiment 69: A communication system including a host computer comprising:
- processing circuitry configured to provide user data; and
- a communication interface configured to forward user data to a cellular network for transmission to a User Equipment, UE;
- wherein the UE comprises a radio interface and processing circuitry, the UE's components configured to perform any of the steps of any of the Group A embodiments.
Embodiment 70: The communication system of the previous embodiment, wherein the cellular network further includes a base station configured to communicate with the UE.
Embodiment 71: The communication system of the previous 2 embodiments, wherein: - the processing circuitry of the host computer is configured to execute a host application, thereby providing the user data; and
- the UE's processing circuitry is configured to execute a client application associated with the host application.
Embodiment 72: A method implemented in a communication system including a host computer, a base station, and a User Equipment, UE, the method comprising:
- at the host computer, providing user data; and
- at the host computer, initiating a transmission carrying the user data to the UE via a cellular network comprising the base station, wherein the UE performs any of the steps of any of the Group A embodiments.
Embodiment 73: The method of the previous embodiment, further comprising at the UE, receiving the user data from the base station.
Embodiment 74: A communication system including a host computer comprising:
- communication interface configured to receive user data originating from a transmission from a User Equipment, UE, to a base station;
- wherein the UE comprises a radio interface and processing circuitry, the UE's processing circuitry configured to perform any of the steps of any of the Group A embodiments.
Embodiment 75: The communication system of the previous embodiment, further including the UE.
Embodiment 76: The communication system of the previous 2 embodiments, further including the base station, wherein the base station comprises a radio interface configured to communicate with the UE and a communication interface configured to forward to the host computer the user data carried by a transmission from the UE to the base station.
Embodiment 77: The communication system of the previous 3 embodiments, wherein:
- the processing circuitry of the host computer is configured to execute a host application; and
- the UE's processing circuitry is configured to execute a client application associated with the host application, thereby providing the user data.
Embodiment 78: The communication system of the previous 4 embodiments, wherein: - the processing circuitry of the host computer is configured to execute a host application, thereby providing request data; and
- the UE's processing circuitry is configured to execute a client application associated with the host application, thereby providing the user data in response to the request data.
Embodiment 79: A method implemented in a communication system including a host computer, a base station, and a User Equipment, UE, the method comprising:
- at the host computer, receiving user data transmitted to the base station from the UE, wherein the UE performs any of the steps of any of the Group A embodiments.
Embodiment 80: The method of the previous embodiment, further comprising, at the UE, providing the user data to the base station.
Embodiment 81: The method of the previous 2 embodiments, further comprising:
- at the UE, executing a client application, thereby providing the user data to be transmitted; and
- at the host computer, executing a host application associated with the client application.
Embodiment 82: The method of the previous 3 embodiments, further comprising:
- at the UE, executing a client application; and
- at the UE, receiving input data to the client application, the input data being provided at the host computer by executing a host application associated with the client application;
- wherein the user data to be transmitted is provided by the client application in response to the input data.
Embodiment 83: A communication system including a host computer comprising a communication interface configured to receive user data originating from a transmission from a User Equipment, UE, to a base station, wherein the base station comprises a radio interface and processing circuitry, the base station's processing circuitry configured to perform any of the steps of any of the Group B embodiments.
Embodiment 84: The communication system of the previous embodiment further including the base station. Embodiment 85: The communication system of the previous 2 embodiments, further including the UE, wherein the UE is configured to communicate with the base station.
Embodiment 86: The communication system of the previous 3 embodiments, wherein:
- the processing circuitry of the host computer is configured to execute a host application; and
- the UE is configured to execute a client application associated with the host application, thereby providing the user data to be received by the host computer.
Embodiment 87: A method implemented in a communication system including a host computer, a base station, and a User Equipment, UE, the method comprising:
- at the host computer, receiving, from the base station, user data originating from a transmission which the base station has received from the UE, wherein the UE performs any of the steps of any of the Group A embodiments.
Embodiment 88: The method of the previous embodiment, further comprising at the base station, receiving the user data from the UE.
Embodiment 89: The method of the previous 2 embodiments, further comprising at the base station, initiating a transmission of the received user data to the host computer.

Claims

Claims
1. A method performed by a wireless communication device, WCD, (1808) for transmission of multiple Physical Random Access, PRACH, preambles, the method comprising: receiving (1902), from a base station (1900), one or more Physical Downlink Control Channel, PDCCH, orders for transmission of multiple PRACH preambles; and transmitting (1904) multiple PRACH preambles in accordance with the one or more PDCCH orders.
2. The method of claim 1 wherein the multiple PRACH preambles use different root sequences.
3. The method of claim 1 or 2 wherein: receiving (1902) the one or more PDCCH orders comprises receiving (1902A1) a first PDCCH order for transmission of a first PRACH preamble and receiving (1902A2) a second PDCCH order for transmission of a second PRACH preamble; and transmitting (1904) the multiple PRACH preambles comprises transmitting (1904) the first PRACH preamble in accordance with the first PDCCH order and transmitting (1904) the second PRACH preamble in accordance with the second PDCCH order.
4. The method of claim 3 wherein the first PDCCH order and the second PDCCH order are received back-to-back.
5. The method of claim 3 wherein the first PDCCH order and the second PDCCH order are received in consecutive PDCCH monitoring occasions according to a respective search space.
6. The method of claim 3 wherein the first PDCCH order and the second PDCCH order are received in a same PDCCH monitoring occasion.
7. The method of claim 3 wherein receiving (1902A2) the second PDCCH order comprises receiving (1902A2) the second PDCCH order prior to a time at which the first PRACH preamble is transmitted.
8. The method of claim 3 wherein receiving (1902A2) the second PDCCH order comprises receiving (1902A2) the second PDCCH order after transmission of the first PRACH preamble.
9. The method of claim 3 wherein receiving (1902A2) the second PDCCH order comprises receiving (1902A2) the second PDCCH order after transmission of the first PRACH preamble but before reception of a random access response that is responsive to the first PRACH preamble.
10. The method of claim 3 wherein receiving (1902A2) the second PDCCH order comprises receiving (1902A2) the second PDCCH order after reception of a random access response that is responsive to the first PRACH preamble.
11. The method of claim 3 wherein receiving (1902A2) the second PDCCH order comprises receiving (1902A2) the second PDCCH order after expiration of a random access response window timer, the random access response window timer defining a time window after transmission of the first PRACH preamble during which the WCD (1808) monitors for a random access response.
12. The method of claim 3 wherein the second PDCCH order comprises an indication that the WCD (1808) is to stop waiting for a random access response for the first PRACH preamble.
13. The method of claim 3 wherein the second PDCCH order comprises an indication that the WCD (1808) is to stop waiting for a random access response for the first PRACH preamble if a respective timer has not yet expired.
14. The method of claim 3 wherein the first PDCCH order comprise an indication of a first root sequence to be used for the first PRACH preamble, and the second PDCCH order comprise an indication of a second root sequence to be used for the second PRACH preamble, the first root sequence being different than the second root sequence.
15. The method of claim 14 wherein the first PDCCH order further comprises an indication of the second root sequence to be used for the second PRACH preamble.
16. The method of claim 15 further comprising, responsive to the indication of the second root sequence being comprised in the first PDCCH order, abandoning a first random access procedure associated to the first PRACH preamble after transmission of the first PRACH preamble.
17. The method of any of claims 3 to 14 wherein the first PDCCH order comprises an indication that the WCD (1808) is being ordered to transmit multiple PRACH preambles.
18. The method of claim 17 further comprising, responsive to the indication that the WCD (1808) is being ordered to transmit multiple PRACH preambles being comprised in the first PDCCH order, abandoning a first random access procedure associated to the first PRACH preamble after transmission of the first PRACH preamble.
19. The method of any of claims 3 to 18 wherein: transmitting the first PRACH preamble in accordance with the first PDCCH order comprises transmitting the first PRACH preamble in a first PRACH occasion; and transmitting the second PRACH preamble in accordance with the second PDCCH order comprises transmitting the second PRACH preamble in a second PRACH occasion that is after the first PRACH occasion.
20. The method of any of claims 3 to 18 wherein: transmitting the first PRACH preamble in accordance with the first PDCCH order comprises transmitting the first PRACH preamble in a first PRACH occasion; and transmitting the second PRACH preamble in accordance with the second PDCCH order comprises transmitting the second PRACH preamble in a second PRACH occasion that is as soon as possible after the first PRACH occasion.
21. The method of any of claims 3 to 18 wherein: transmitting the first PRACH preamble in accordance with the first PDCCH order comprises transmitting the first PRACH preamble in a first PRACH occasion; and transmitting the second PRACH preamble in accordance with the second PDCCH order comprises transmitting the second PRACH preamble in a second PRACH occasion; wherein the first PRACH occasion and the second PRACH occasion are simultaneous frequency-multiplexed PRACH occasions.
22. The method of any of claims 3 to 18 wherein: transmitting the first PRACH preamble in accordance with the first PDCCH order comprises transmitting the first PRACH preamble in a particular PRACH occasion; and transmitting the second PRACH preamble in accordance with the second PDCCH order comprises transmitting the second PRACH preamble in the particular PRACH occasion such that the first PRACH preamble and the second PRACH preamble are multiplexed in a same PRACH occasion using the same time and frequency resources.
23. The method of any of claims 3 to 18 wherein whether the first and second PRACH preambles are transmitted in PRACH occasions in different, non-overlapping time resources or in simultaneous frequency-multiplexed PRACH occasions, or in the same PRACH occasion is network configured.
24. The method of claim 1 or 2 wherein: receiving (1902) the one or more PDCCH orders comprises receiving (1902B) a single PDCCH order for transmission of both a first PRACH preamble and a second PRACH preamble; and transmitting (1904) the multiple PRACH preambles comprises transmitting the first PRACH preamble and the second PRACH preamble in accordance with the single PDCCH order.
25. The method of claim 24 wherein the single PDCCH order comprises information that indicates the first PRACH preamble and the second PRACH preamble.
26. The method of claim 24 wherein the single PDCCH order comprises information that indicates the first PRACH preamble, and the second PRACH preamble is determined by the WCD (1808).
27. The method of claim 26 wherein the second PRACH preamble is a complex conjugate of the first PRACH preamble.
28. The method of claim 26 wherein the second preamble is determined based on the first PRACH preamble.
29. The method of claim 1 or 2 wherein: at least one of the one or more PDCCH orders further comprises information that indicates a PRACH preamble to use for single PRACH preamble transmission; and the method further comprises determining (1903) whether to perform single PRACH preamble transmission or multi-PRACH preamble transmission.
30. The method of claim 29 wherein transmitting (1904) the multiple PRACH preambles comprises transmitting (1904) the multiple PRACH preambles responsive to determining (1903) to perform multi-PRACH preamble transmission.
31. A wireless communication device, WCD, (1808) for transmission of multiple Physical Random Access, PRACH, preambles, the WCD (1808) adapted to perform the method of any of claim 1 to 30.
32. A wireless communication device, WCD, (1808; 2300) for transmission of multiple Physical Random Access, PRACH, preambles, the WCD (1808; 2300) comprising: one or more transmitters (2308); one or more receivers (2310); and processing circuitry (2302) associated with the one or more transmitters (2308) and the one or more receivers (2310), the processing circuitry (2302) configured to cause the WCD (1808; 2300) to: receive (1902), from a base station (1900), one or more Physical Downlink Control Channel, PDCCH, orders for transmission of multiple PRACH preambles; and transmit (1904) multiple PRACH preambles in accordance with the one or more PDCCH orders.
33. The WCD (1808; 2300) of claim 32 wherein the processing circuitry (2302) is further configured to cause the WCD (1808; 2300) to perform the method of any of claims 2 to 30.
34. A method performed by a base station (1900) to enable multiple Physical Random Access Channel, PRACH, transmission, the method comprising: transmitting (1902), to a wireless communication device, WCD, (1808), one or more Physical Downlink Control Channel, PDCCH, orders for transmission of multiple PRACH preambles; and detecting (1906) the multiple PRACH preambles.
35. The method of claim 34 wherein the multiple PRACH preambles use different root sequences.
36. The method of claim 34 or 35 wherein: transmitting (1902) the one or more PDCCH orders comprises transmitting (1902A1) a first PDCCH order for transmission of a first PRACH preamble and transmitting (1902A2) a second PDCCH order for transmission of a second PRACH preamble; and detecting (1906) the multiple PRACH preambles comprises detecting (1906) the first PRACH preamble in accordance with the first PDCCH order and detecting (1906) the second PRACH preamble in accordance with the second PDCCH order.
37. The method of claim 36 wherein the first PDCCH order and the second PDCCH order are transmitted back-to-back.
38. The method of claim 36 wherein the first PDCCH order and the second PDCCH order are transmitted in consecutive PDCCH monitoring occasions according to a respective search space.
39. The method of claim 36 wherein the first PDCCH order and the second PDCCH order are transmitted in a same PDCCH monitoring occasion.
40. The method of claim 36 wherein transmitting (1902A2) the second PDCCH order comprises transmitting (1902A2) the second PDCCH order prior to a time at which the first PRACH preamble is detected.
41. The method of claim 36 wherein transmitting (1902A2) the second PDCCH order comprises transmitting (1902A2) the second PDCCH order after detection of the first PRACH preamble.
42. The method of claim 36 wherein transmitting (1902A2) the second PDCCH order comprises transmitting (1902A2) the second PDCCH order after detecting the first PRACH preamble and without transmitting a random access response responsive to detecting the first PRACH preamble.
43. The method of claim 36 wherein transmitting (1902A2) the second PDCCH order comprises transmitting (1902A2) the second PDCCH order after transmission of a random access response that is responsive to detection of the first PRACH preamble.
44. The method of claim 36 wherein transmitting (1902A2) the second PDCCH order comprises transmitting (1902A2) the second PDCCH order after expiration of a random access response window timer, the random access response window timer defining a time window after transmission of the first PRACH preamble during which the WCD (1808) monitors for a random access response.
45. The method of claim 36 wherein the second PDCCH order comprises an indication that the WCD (1808) is to stop waiting for a random access response for the first PRACH preamble.
46. The method of claim 36 wherein the second PDCCH order comprises an indication that the WCD (1808) is to stop waiting for a random access response for the first PRACH preamble if a respective timer has not yet expired.
47. The method of claim 36 wherein the first PDCCH order comprise an indication of a first root sequence to be used for the first PRACH preamble, and the second PDCCH order comprise an indication of a second root sequence to be used for the second PRACH preamble, the first root sequence being different than the second root sequence.
48. The method of claim 47 wherein the first PDCCH order further comprises an indication of the second root sequence to be used for the second PRACH preamble.
49. The method of any of claims 36 to 47 wherein the first PDCCH order comprises an indication that the WCD (1808) is being ordered to transmit multiple PRACH preambles.
50. The method of any of claims 36 to 49 wherein: detecting the first PRACH preamble in accordance with the first PDCCH order comprises detecting the first PRACH preamble in a first PRACH occasion; and detecting the second PRACH preamble in accordance with the second PDCCH order comprises detecting the second PRACH preamble in a second PRACH occasion that is after the first PRACH occasion.
51. The method of any of claims 36 to 49 wherein: detecting the first PRACH preamble in accordance with the first PDCCH order comprises detecting the first PRACH preamble in a first PRACH occasion; and detecting the second PRACH preamble in accordance with the second PDCCH order comprises detecting the second PRACH preamble in a second PRACH occasion that is as soon as possible after the first PRACH occasion.
52. The method of any of claims 36 to 49 wherein: detecting the first PRACH preamble in accordance with the first PDCCH order comprises detecting the first PRACH preamble in a first PRACH occasion; and detecting the second PRACH preamble in accordance with the second PDCCH order comprises detecting the second PRACH preamble in a second PRACH occasion; wherein the first PRACH occasion and the second PRACH occasion are simultaneous frequency-multiplexed PRACH occasions.
53. The method of any of claims 36 to 49 wherein: detecting the first PRACH preamble in accordance with the first PDCCH order comprises detecting the first PRACH preamble in a particular PRACH occasion; and detecting the second PRACH preamble in accordance with the second PDCCH order comprises detecting the second PRACH preamble in the particular PRACH occasion such that the first PRACH preamble and the second PRACH preamble are multiplexed in a same PRACH occasion using the same time and frequency resources.
54. The method of any of claims 36 to 53 wherein whether the first and second PRACH preambles are transmitted in PRACH occasions in different, non-overlapping time resources or in simultaneous frequency-multiplexed PRACH occasions, or in the same PRACH occasion is network configured.
55. The method of claim 34 or 35 wherein: transmitting (1902) the one or more PDCCH orders comprises transmitting (1902B) a single PDCCH order for transmission of both a first PRACH preamble and a second PRACH preamble; and detecting (1906) the multiple PRACH preambles comprises detecting the first PRACH preamble and the second PRACH preamble in accordance with the single PDCCH order.
56. The method of claim 55 wherein the single PDCCH order comprises information that indicates the first PRACH preamble and the second PRACH preamble.
57. The method of claim 55 wherein the single PDCCH order comprises information that indicates the first PRACH preamble, wherein the second PRACH preamble is determined based on the first PRACH preamble (e.g., the second PRACH preamble is a complex conjugate of the first PRACH preamble or the second PRACH preamble determined from a predefined, specified, or configured table using the first PRACH preamble as input).
58. The method of claims 34 or 35 wherein: at least one of the one or more PDCCH orders further comprises information that indicates a PRACH preamble to use for single PRACH preamble transmission.
59. A base station (1900) for enabling multiple Physical Random Access Channel, PRACH, transmission, the base station (1900) adapted to perform the method of any of claims 34 to 58.
60. A base station (1900; 2000) for enabling multiple Physical Random Access Channel, PRACH, transmission, the base station (1900; 2000) comprising processing circuitry (2004; 2104) configured to cause the base station (1900; 2000) to: transmit (1902), to a wireless communication device, WCD, (1808), one or more Physical Downlink Control Channel, PDCCH, orders for transmission of multiple PRACH preambles; and detect (1906) the multiple PRACH preambles.
61. The base station (1900; 2000) of claim 60 wherein the processing circuitry (2004; 2104) is further configured to cause the base station (1900; 2000) to perform the method of any of claims 35 to 58.
PCT/SE2023/0500502022-01-212023-01-20Using pdcch order prach for dual preamble transmissions in ntnCeasedWO2023140775A1 (en)

Applications Claiming Priority (2)

Application NumberPriority DateFiling DateTitle
US202263301730P2022-01-212022-01-21
US63/301,7302022-01-21

Publications (1)

Publication NumberPublication Date
WO2023140775A1true WO2023140775A1 (en)2023-07-27

Family

ID=85157095

Family Applications (1)

Application NumberTitlePriority DateFiling Date
PCT/SE2023/050050CeasedWO2023140775A1 (en)2022-01-212023-01-20Using pdcch order prach for dual preamble transmissions in ntn

Country Status (1)

CountryLink
WO (1)WO2023140775A1 (en)

Cited By (1)

* Cited by examiner, † Cited by third party
Publication numberPriority datePublication dateAssigneeTitle
WO2025195454A1 (en)*2024-03-222025-09-25华为技术有限公司Communication method and communication apparatus

Citations (1)

* Cited by examiner, † Cited by third party
Publication numberPriority datePublication dateAssigneeTitle
CN110753403B (en)*2018-07-232021-10-29中国移动通信有限公司研究院 A kind of DCI configuration, random access method, apparatus, equipment and medium

Patent Citations (1)

* Cited by examiner, † Cited by third party
Publication numberPriority datePublication dateAssigneeTitle
CN110753403B (en)*2018-07-232021-10-29中国移动通信有限公司研究院 A kind of DCI configuration, random access method, apparatus, equipment and medium

Non-Patent Citations (3)

* Cited by examiner, † Cited by third party
Title
"NR to support Non-Terrestrial Networks", 3GPP TECHNICAL REPORT (TR) 38.811
"Solutions for NR to support Non-Terrestrial Network", 3GPP TR 38.821
SHARP: "Remaining issues on RACH procedure", vol. RAN WG1, no. Athens, Greece; 20180226 - 20180302, 17 February 2018 (2018-02-17), XP051398095, Retrieved from the Internet <URL:http://www.3gpp.org/ftp/tsg%5Fran/WG1%5FRL1/TSGR1%5F92/Docs/> [retrieved on 20180217]*

Cited By (1)

* Cited by examiner, † Cited by third party
Publication numberPriority datePublication dateAssigneeTitle
WO2025195454A1 (en)*2024-03-222025-09-25华为技术有限公司Communication method and communication apparatus

Similar Documents

PublicationPublication DateTitle
JP7023353B2 (en) A method for a terminal to transmit positioning information in a wireless communication system that supports sidelinks and a device for that purpose.
US20240324029A1 (en)Random access procedures for satellite communications
US10439706B2 (en)Mobile satellite communication system
US11316586B2 (en)Frequency adjustment for high speed LTE deployments
US20230292371A1 (en)Rar window definition in ntn
CN113632577B (en) Control mechanism for random access procedure
US20230254900A1 (en)Prach configuration for nr over ntn
US20240049307A1 (en)Method and apparatus for random access resource mapping in non-terrestrial network
EP4018588B1 (en)Systems and methods of csi reference resource determination
US20210181293A1 (en)Method for performing otdoa-related operation by terminal in wireless communication system, and apparatus therefor
US20240073963A1 (en)Network Device, Terminal Device, and Methods Therein
WO2023140775A1 (en)Using pdcch order prach for dual preamble transmissions in ntn
US20240298302A1 (en)Small data transfer techniques for non-terrestial networks
KR20200054035A (en)Method and apparatus for performing position measurement in new radio vehicle to everything system
JP7641395B2 (en) On-Demand SIB Delivery Using SDT
US20240224335A1 (en)Systems and methods for early indication for multiple features
WO2024259699A1 (en)Ta determination method and apparatus, and device and storage medium

Legal Events

DateCodeTitleDescription
121Ep: the epo has been informed by wipo that ep was designated in this application

Ref document number:23702943

Country of ref document:EP

Kind code of ref document:A1

NENPNon-entry into the national phase

Ref country code:DE

122Ep: pct application non-entry in european phase

Ref document number:23702943

Country of ref document:EP

Kind code of ref document:A1


[8]ページ先頭

©2009-2025 Movatter.jp