

本发明涉及医疗器械技术领域,具体涉及一种栓塞物及其制备方法。The invention relates to the technical field of medical devices, in particular to an embolism and a preparation method thereof.
近年来,由血管的异常改变或老化等因素引起的血管类疾病的发病率逐年增加,表现形式包括颅内动脉瘤、内脏动脉瘤、外周动脉瘤、动静脉畸形等。此类疾病的治疗方案包括外科手术治疗和微创伤介入治疗。外科手术治疗具有较大的创伤和较多的并发症,微创伤介入治疗则具有创口小、恢复快等优势,并因此受到医生和患者的青睐,其中在血管瘤或畸形血管中填塞弹簧圈以改变血流动力学,是一种应用较为广泛的方法。In recent years, the incidence of vascular diseases caused by abnormal changes in blood vessels or aging has increased year by year, and the manifestations include intracranial aneurysms, visceral aneurysms, peripheral aneurysms, and arteriovenous malformations. Treatment options for such diseases include surgical treatment and minimally invasive interventional therapy. Surgical treatment involves greater trauma and more complications, while minimally invasive interventional treatment has the advantages of small wounds and fast recovery, and is therefore favored by doctors and patients. It is a widely used method to change the hemodynamics.
目前,市面上已有的弹簧圈包括裸金属弹簧圈、表面活性物修饰弹簧圈和高膨胀性水凝胶弹簧圈。其中,裸金属弹簧圈在植入目标位置例如瘤腔,并促进瘤腔血栓化后,瘤体的体积不变,对瘤体周围的神经或组织的压迫仍存在,不能改善占位效应。表面活性物修饰弹簧圈的一种类型是在金属圈表面覆盖一层PLGA材料,PLGA材料能够诱导血栓形成,且PLGA材料本身可生物降解并被人体吸收,当瘤腔血栓化及机化完成后,因PLGA被降解,瘤体可减小,并缓解占位效应。表面活性物修饰弹簧圈的另一种类型是在金属圈栓上尼龙或涤纶纤维的纤毛圈,利用纤毛圈增强致栓性。高膨胀性水凝胶弹簧圈是在金属圈的内腔中添加亲水性聚丙烯水凝胶,将弹簧圈植入瘤腔后,亲水性水凝胶吸水并膨胀,将金属腔的内腔填充完全,减少瘤腔内的孔隙,进而降低血管瘤的再通率。Currently, coils available on the market include bare metal coils, surfactant-modified coils, and high-swell hydrogel coils. Among them, after the bare metal coil is implanted in the target position such as the tumor cavity and promotes the thrombusization of the tumor cavity, the volume of the tumor remains unchanged, and the compression on the nerves or tissues around the tumor still exists, which cannot improve the mass effect. One type of surfactant-modified spring coil is to cover a layer of PLGA material on the surface of the metal coil. PLGA material can induce thrombus formation, and the PLGA material itself can be biodegraded and absorbed by the human body. , due to the degradation of PLGA, the tumor size can be reduced and the mass effect can be alleviated. Another type of surfactant-modified coil is a ciliated loop of nylon or polyester fiber attached to the wire loop, and the ciliated loop is used to enhance thrombogenicity. The highly expansile hydrogel coil is to add hydrophilic polypropylene hydrogel to the inner cavity of the metal ring. After the coil is implanted into the tumor cavity, the hydrophilic hydrogel absorbs water and expands, and the inner cavity of the metal cavity The cavity is completely filled, and the pores in the tumor cavity are reduced, thereby reducing the recanalization rate of the hemangioma.
现有的弹簧圈在生产时均被预定型为2D或3D的立体形态,使用时通过将弹簧圈拉伸为圆柱状的初级形状,并沿微导管输送至瘤腔。弹簧圈在脱离微导管后在自膨张力的作用下恢复至预设的2D或3D形状并填充瘤腔。这些 弹簧圈在输送过程中,因自膨张力的存在,使得弹簧圈的外壁与微导管内壁之间摩擦接触而存在较大的推送阻力,不利于输送。The existing coils are all pre-shaped into 2D or 3D three-dimensional forms during production, and the coils are stretched into a cylindrical primary shape during use, and delivered to the tumor cavity along the microcatheter. After the coil is detached from the microcatheter, under the action of self-expanding tension, the coil returns to the preset 2D or 3D shape and fills the tumor cavity. During the transportation of these coils, due to the existence of self-expansion tension, the frictional contact between the outer wall of the coils and the inner wall of the microcatheter has a large push resistance, which is not conducive to transportation.
发明内容Contents of the invention
本发明的目的在于提供一种栓塞物及其制备方法,该栓塞物在输送过程中具有较小的推送阻力,易于推送,并且该栓塞物顺应瘤壁的形态,提高栓塞致密性。The object of the present invention is to provide an embolism and a preparation method thereof. The embolism has less pushing resistance during delivery, is easy to push, and conforms to the shape of the tumor wall to improve the compactness of the embolism.
为实现上述目的,本发明提供了一种栓塞物,包括具有内腔的管状的螺旋部件和设置于所述内腔中的定型部件;所述定型部件沿所述螺旋部件的轴向延伸,并与所述螺旋部件连接,所述定型部件具有一线性的初级形状和一立体的二级形状,且所述定型部件的远端的柔软度小于所述定型部件的近端的柔软度,以使得所述栓塞物的远端的柔软度小于所述栓塞物的近端的柔软度。To achieve the above object, the present invention provides an embolism, comprising a tubular helical part with a lumen and a shaped part arranged in the lumen; the shaped part extends along the axial direction of the helical part, and Connected with the helical part, the shaping part has a linear primary shape and a three-dimensional secondary shape, and the flexibility of the distal end of the shaping part is smaller than the flexibility of the proximal end of the shaping part, so that The distal end of the plug is less flexible than the proximal end of the plug.
可选地,所述定型部件被配置为当所述定型部件被加热至预定温度以上时,所述定型部件由所述初级形状切换至所述二级形状。Optionally, the styling member is configured to switch from the primary shape to the secondary shape when the styling member is heated above a predetermined temperature.
可选地,所述定型部件的材料为形状记忆材料。Optionally, the material of the shaping component is a shape memory material.
可选地,所述螺旋部件包括第一螺旋部件和第二螺旋部件;所述第二螺旋部件具有所述内腔,且所述第二螺旋部件的材料包括不透射线材料;所述第一螺旋部件嵌套于所述第二螺旋部件的外侧,所述第一螺旋部件的材料包括生物可吸收材料;所述定型部件至少与所述第一螺旋部件连接。Optionally, the helical member includes a first helical member and a second helical member; the second helical member has the lumen, and the material of the second helical member includes a radiopaque material; The helical part is nested outside the second helical part, and the material of the first helical part includes a bioabsorbable material; the shaping part is at least connected to the first helical part.
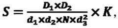
可选地,所述定型部件包括至少一股定型丝,所述栓塞物在轴向上任意位置处的柔软度S通过如下公式计算:Optionally, the shaping component includes at least one strand of shaping wire, and the softness S of the plug at any position in the axial direction is calculated by the following formula:
式中,d1是绕制所述第一螺旋部件的线材的直径,d2是绕制所述第二螺旋部件的线材的直径,d3是所述定型丝的直径,D1是所述第一螺旋部件的外径,D2是所述第二螺旋部件的外径,N是所述定型丝的股数,K=10-5inch2。In the formula, d1 is the diameter of the wire that winds the first helical part, d2 is the diameter of the wire that winds the second helical part, d3 is the diameter of the sizing wire, D1 is the diameter of the wire The outer diameter of the first helical component, D2 is the outer diameter of the second helical component, N is the number of strands of the sizing wire, K=10−5 inch2 .
可选地,所述栓塞物的远端的柔软度为0.084~1.68,所述栓塞物的近端的柔软度为0.336~3.36。Optionally, the softness of the distal end of the plug is 0.084-1.68, and the softness of the proximal end of the plug is 0.336-3.36.
可选地,所述第一螺旋部件的材料包括聚乳酸、L-聚乳酸、聚乳酸-羟基乙酸共聚物、聚己内酯、聚对二氧环己酮中的一种或几种。Optionally, the material of the first helical component includes one or more of polylactic acid, L-polylactic acid, polylactic acid-glycolic acid copolymer, polycaprolactone, and polydioxanone.
可选地,所述生物可吸收材料在1-12个月内降解完全。Optionally, the bioabsorbable material degrades completely within 1-12 months.
可选地,所第二螺旋部件的材料为铂、铼、钨、钽、金、银中的一种或几种的合金;或者所述第二螺旋部件的材料包括基体和掺杂于所述基体中的显影物质,所述基体包括聚乳酸、聚己内酯聚羟基乙酸、乳酸-羟基乙酸共聚物、聚对二氧杂环己酮、聚氨酯、壳聚糖和透明质酸中的任意一种或几种,所述显影物质包括碘造影剂或硫酸钡。Optionally, the material of the second helical component is an alloy of one or more of platinum, rhenium, tungsten, tantalum, gold, and silver; or the material of the second helical component includes a matrix and doped in the A developing substance in a matrix comprising any one of polylactic acid, polycaprolactone polyglycolic acid, lactic acid-glycolic acid copolymer, polydioxanone, polyurethane, chitosan and hyaluronic acid One or more, the developing substance includes iodine contrast agent or barium sulfate.
可选地,所述定型部件包括并行设置的第一定型丝和第二定型丝;所述第一定型丝的长度与所述螺旋部件的长度相匹配,且所述第一定型丝的轴向两端分别与所述螺旋部件的轴向两端连接;所述第二定型丝的长度小于所述螺旋部件的长度,且所述第二定型丝的近端与所述螺旋部件的近端间隔预定距离,所述第二定型丝的远端与所述螺旋部件的远端连接。Optionally, the sizing component includes a first sizing wire and a second sizing wire arranged in parallel; the length of the first sizing wire matches the length of the helical component, and the first sizing wire The axial ends of the two axial ends are respectively connected with the axial ends of the helical part; the length of the second sizing wire is less than the length of the helical part, and the proximal end of the second sizing wire is connected to the helical part The proximal ends are spaced apart by a predetermined distance, and the distal end of the second styling wire is connected to the distal end of the helical member.
可选地,所述第二定型丝的长度为所述螺旋部件的长度的40%~80%。Optionally, the length of the second setting wire is 40%-80% of the length of the helical component.
可选地,所述第一定型丝的股数为1~2股,所述第二定型丝的数量为2~4股。Optionally, the number of strands of the first setting yarn is 1-2 strands, and the number of the second setting yarn is 2-4 strands.
可选地,所述定型部件包括定型丝,所述定型丝的直径沿近端向远端的方向逐渐增大。Optionally, the shaping component includes a shaping wire, and the diameter of the shaping wire increases gradually from the proximal end to the distal end.
可选地,所述定型部件的两端分别与所述螺旋部件的两端连接,并阻止所述螺旋部件解旋。Optionally, both ends of the shaped component are respectively connected to two ends of the helical component, and prevent the helical component from untwisting.
为实现上述目的,本发明还提供了一种如任一项所述的栓塞物的制备方法,包括如下步骤:To achieve the above object, the present invention also provides a method for preparing an embolism as described in any one, comprising the following steps:
将所述定型部件按照所述二级形状在模具上进行热定型处理,所述热定型 处理的温度高于或等于奥氏体转变结束温度;Carrying out heat-setting treatment on the mold according to the secondary shape of the shaped part, the temperature of the heat-setting treatment is higher than or equal to the austenite transformation end temperature;
对加热后的所述定型部件进行冷却处理,并使所述定型部件恢复至所述初级形状;以及,cooling the heated shaped part and returning the shaped part to the primary shape; and,
将所述初级形状的所述定型部件设置于所述螺旋部件的所述内腔中,并使所述定型部件与所述螺旋部件连接。The shaping member of the primary shape is disposed in the lumen of the helical member, and the shaping member is connected to the helical member.
与现有技术相比,本发明的栓塞物及其制备方法具有如下优点:Compared with the prior art, the plug of the present invention and its preparation method have the following advantages:
前述的栓塞物包括具有内腔的管状的螺旋部件和设置于所述内腔中的定型部件;所述定型部件沿所述螺旋部件的轴向延伸,并与所述螺旋部件连接;所述定型部件具有一线性的初级形状和一立体的二级形状,且所述定型部件的远端的柔软度小于所述定型部件的近端的柔软度,以使得所述栓塞物的远端的柔软度小于所述栓塞物的近端的柔软度。由于所述定型部件沿轴向地布置在所述螺旋部件的内腔中,因而当所述定型部件处于所述初级形状时,所述螺旋部件也为线性的初级形状,当所述定型部件处于所述二级形状时,所述螺旋部件随之处于立体的二级形状。通常,所述栓塞物在经由微导管输送的过程中,所述定型部件被拉伸并处于所述初级形状,从而所述栓塞物整体处于线性形态,不存在自膨张力,因此栓塞物与微导管之间的摩擦力较小,易于推送。当所述栓塞物脱离微导管时,所述定型部件能够转换为所述二级形状,以使得所述栓塞物整体切换为立体形状并填塞瘤腔。由于所述栓塞物的远端的柔软度小于所述栓塞物的近端的柔软度,以使得所述栓塞物被输送并释放至瘤腔时,所述栓塞物能够更好地顺应瘤壁的形态,并提高栓塞致密性。The aforementioned embolism comprises a tubular helical part with a lumen and a shaped part arranged in the lumen; the shaped part extends along the axial direction of the helical part and is connected with the helical part; the shaped part The part has a linear primary shape and a three-dimensional secondary shape, and the softness of the distal end of the shaped part is less than the softness of the proximal end of the shaped part, so that the softness of the distal end of the plug Less than the softness of the proximal end of the plug. Since the profiled part is axially arranged in the lumen of the helical part, when the profiled part is in the primary shape, the helical part is also in a linear primary shape, and when the profiled part is in the primary shape In the secondary shape, the helical member then assumes a three-dimensional secondary shape. Usually, during the delivery of the embolic object through the microcatheter, the shaped part is stretched and is in the primary shape, so that the embolic object is in a linear form as a whole, and there is no self-expanding force, so the embolic object and the microcatheter There is less friction between the tubes and they are easy to push. When the embolism breaks away from the microcatheter, the shaped part can be transformed into the secondary shape, so that the embolism as a whole switches into a three-dimensional shape and fills the tumor cavity. Since the softness of the distal end of the embolism is less than that of the proximal end of the embolism, when the embolism is delivered and released into the tumor cavity, the embolism can better conform to the tumor wall Morphology, and improve embolism compactness.
所述螺旋部件可包括第一螺旋部件和第二螺旋部件;所述第二螺旋部件具有所述内腔,且所述第二螺旋部件的材料包括不透射线材料;所述第一螺旋部件嵌套于所述第二螺旋部件的外侧,所述第一螺旋部件的材料包括生物可吸收材料;所述定型部件至少与所述第一螺旋部件连接,且所述定型部件 可包括定型丝。影响所述栓塞物的柔软度的参数包括所述第一螺旋部件的外径、绕制所述第一螺旋部件的线材的直径、所述第二螺旋部件的外径、绕制所述第二螺旋部件的线材的直径、所述定型丝的股数、所述定型丝的直径,因此可根据实际需要对相关参数进行调整,以改变所述栓塞物的远端及近端的柔软度。The helical member may include a first helical member and a second helical member; the second helical member has the lumen, and the material of the second helical member includes a radiopaque material; the first helical member is embedded Covered on the outside of the second helical component, the material of the first helical component includes a bioabsorbable material; the shaping component is at least connected to the first helical component, and the shaping component may include a shaping wire. The parameters affecting the softness of the embolus include the outer diameter of the first helical component, the diameter of the wire around which the first helical component is wound, the outer diameter of the second helical component, the outer diameter of the second helical component The diameter of the wire of the helical part, the number of strands of the shaped wire, and the diameter of the shaped wire can be adjusted according to actual needs to change the softness of the distal end and the proximal end of the embolism.
附图用于更好地理解本发明,不构成对本发明的不当限定。其中:The accompanying drawings are used to better understand the present invention, and do not constitute improper limitations to the present invention. in:
图1是本发明根据第一实施例所提供的栓塞物的结构示意图;Fig. 1 is a schematic structural view of an embolism provided by the present invention according to a first embodiment;
图2是本发明根据第二实施例所提供的栓塞物的结构示意图。Fig. 2 is a schematic structural view of an embolism provided by the present invention according to a second embodiment.
[附图标记说明如下]:[the reference signs are explained as follows]:
10-栓塞物,100-螺旋部件,110-第一螺旋部件,120-第二螺旋部件,101-内腔,200-定型部件,210-第一定型丝,220-第二定型丝。10-embolus, 100-helical part, 110-first helical part, 120-second helical part, 101-inner lumen, 200-setting part, 210-first setting wire, 220-second setting wire.
以下通过特定的具体实例说明本发明的实施方式,本领域技术人员可由本说明书所揭露的内容轻易地了解本发明的其他优点与功效。本发明还可以通过另外不同的具体实施方式加以实施或应用,本说明书中的各项细节也可以基于不同观点与应用,在没有背离本发明的精神下进行各种修饰或改变。需要说明的是,本实施例中所提供的图示仅以示意方式说明本发明的基本构想,遂图式中仅显示与本发明中有关的组件而非按照实际实施时的组件数目、形状及尺寸绘制,其实际实施时各组件的型态、数量及比例可为一种随意的改变,且其组件布局型态也可能更为复杂。Embodiments of the present invention are described below through specific examples, and those skilled in the art can easily understand other advantages and effects of the present invention from the content disclosed in this specification. The present invention can also be implemented or applied through other different specific implementation modes, and various modifications or changes can be made to the details in this specification based on different viewpoints and applications without departing from the spirit of the present invention. It should be noted that the diagrams provided in this embodiment are only schematically illustrating the basic idea of the present invention, and only the components related to the present invention are shown in the diagrams rather than the number, shape and shape of the components in actual implementation. Dimensional drawing, the type, quantity and proportion of each component can be changed arbitrarily during actual implementation, and the component layout type may also be more complicated.
另外,以下说明内容的各个实施例分别具有一或多个技术特征,然此并不意味着使用本发明者必需同时实施任一实施例中的所有技术特征,或仅能 分开实施不同实施例中的一部或全部技术特征。换句话说,在实施为可能的前提下,本领域技术人员可依据本发明的公开内容,并视设计规范或实作需求,选择性地实施任一实施例中部分或全部的技术特征,或者选择性地实施多个实施例中部分或全部的技术特征的组合,借此增加本发明实施时的弹性。In addition, each embodiment of the content described below has one or more technical features, but this does not mean that the inventor must implement all the technical features in any embodiment at the same time, or can only implement different embodiments separately. Some or all of the technical features. In other words, on the premise that the implementation is possible, those skilled in the art can selectively implement some or all of the technical features in any embodiment according to the disclosure of the present invention and depending on design specifications or implementation requirements, or Selectively implement a combination of some or all of the technical features in multiple embodiments, thereby increasing the flexibility of the implementation of the present invention.
如在本说明书中所使用的,单数形式“一”、“一个”以及“该”包括复数对象,复数形式“多个”包括两个以上的对象,除非内容另外明确指出外。如在本说明书中所使用的,术语“或”通常是以包括“和/或”的含义而进行使用的,除非内容另外明确指出外,以及术语“安装”、“相连”、“连接”应做广义理解,例如,可以是固定连接,也可以是可拆卸连接,或一体地连接。可以是机械连接,也可以是电连接。可以是直接相连,也可以通过中间媒介间接相连,可以是两个元件内部的连通或两个元件的相互作用关系。对于本领域的普通技术人员而言,可以根据具体情况理解上述术语在本发明中的具体含义。As used in this specification, the singular forms "a", "an" and "the" include plural objects, and the plural form "a plurality" includes two or more objects, unless the content clearly states otherwise. As used in this specification, the term "or" is generally used in the sense including "and/or", unless the content clearly indicates otherwise, and the terms "install", "connect" and "connect" should be To understand it in a broad sense, for example, it can be a fixed connection, a detachable connection, or an integral connection. It can be a mechanical connection or an electrical connection. It can be directly connected or indirectly connected through an intermediary, and it can be the internal communication of two elements or the interaction relationship between two elements. Those of ordinary skill in the art can understand the specific meanings of the above terms in the present invention according to specific situations.
在本文中,术语“近端”、“远端”是从使用该医疗器械的医生角度来看相对于彼此的元件或动作的相对方位、相对位置、方向,尽管“近端”、“远端”并非是限制性的,但是“近端”通常指该医疗设备在正常操作过程中靠近医生的一端,而“远端”通常是指首先进入患者体内的一端。In this context, the terms "proximal", "distal" refer to the relative orientation, relative position, direction of elements or actions relative to each other from the perspective of a doctor using the medical device, although "proximal", "distal ” is not limiting, but “proximal” generally refers to the end of the medical device that is closest to the practitioner during normal operation, and “distal” generally refers to the end that enters the patient first.
本发明的核心思想在于提供一种栓塞物,该栓塞物可用于植入血管瘤的瘤腔或畸形血管的管腔中,以对瘤腔或管腔进行栓塞治疗,所述血管瘤包括但不限于动脉瘤,后文中以将栓塞物植入瘤腔为例进行说明。所述栓塞物经由微导管输送至瘤腔,且在输送过程中,所述栓塞物与微导管的管壁具有较小的摩擦,以减小推送阻力,且所述栓塞物能够更好地顺应瘤壁的形态,并提高栓塞致密性。The core idea of the present invention is to provide an embolism, which can be implanted into the tumor cavity of a hemangioma or the lumen of a malformed blood vessel, so as to embolize the tumor cavity or lumen, and the hemangioma includes but not It is limited to aneurysm, and the embolism implantation into the aneurysm cavity is taken as an example to illustrate. The embolus is delivered to the tumor cavity via a microcatheter, and during delivery, the embolus has less friction with the wall of the microcatheter to reduce push resistance, and the embolus can better conform to The morphology of the tumor wall, and improve the embolism compactness.
为实现上述目的,所述栓塞物包括具有内腔的管状的螺旋部件和设置于所述内腔中的定型部件。所述定型部件沿所述螺旋部件的轴向延伸,并与所述螺旋部件连接。所述定型部件具有一线性的初级形状和一立体的二级形状, 且所述定型部件的远端的柔软度小于所述定型部件的近端的柔软度,以使得所述栓塞物的远端的柔软度小于所述栓塞物的近端的柔软度。这里,所述定型部件可包括至少一股定型丝,或者所述定型部件为管状结构,当所述定型部件包括定型丝时,所述线性的初级形状是指所述定型丝呈直线形态或基本呈直线形态,当所述定型部件为管状结构时,所述线性的初级形状是指所述定型部件的轴线为直线或基本为直线。所述立体的二级形状,是指2D或3D的三维形状,包括但不限于波浪形、螺旋形、圆锥形、多面体形等。To achieve the above purpose, the embolism includes a tubular helical part with a lumen and a shaping part arranged in the lumen. The shaped part extends along the axial direction of the helical part and is connected with the helical part. The shaped part has a linear primary shape and a three-dimensional secondary shape, and the softness of the distal end of the shaped part is less than the softness of the proximal end of the shaped part, so that the distal end of the plug The softness is less than the softness of the proximal end of the plug. Here, the styling component may include at least one strand of styling wire, or the styling component is a tubular structure. When the styling component includes a styling wire, the linear primary shape means that the styling wire is in a straight line or substantially In a rectilinear form, when the shaping member is a tubular structure, the linear primary shape means that the axis of the shaping member is straight or substantially straight. The three-dimensional secondary shape refers to a 2D or 3D three-dimensional shape, including but not limited to wave shape, spiral shape, conical shape, polyhedron shape and the like.
由于所述定型部件沿所述螺旋部件的轴向延伸,并还与所述螺旋部件连接,因此所述螺旋部件的形状与所述定型部件的形状相适应。具体来说,当所述定型部件处于所述初级形状时,所述螺旋部件也处于所述初级形状,即处于圆柱形状;当所述定型部件处于所述二级形状,所述螺旋部件处于相应的二级形状,即表现为波浪形、螺旋形、圆锥形、多面体形等。那么,在利用微导管将所述栓塞物输送至瘤腔的过程中,只要使所述定型部件保持在所述初级形状,就可以使得所述栓塞物保持在初级形状,因此,使用内径大于所述栓塞物的外径的所述微导管来构建所述栓塞物的输送通道时,就可以使得所述微导管的内壁与所述栓塞物之间具有较小的摩擦力,减小所述栓塞物的推送阻力。并且,由于所述栓塞物的远端的柔软度小于所述栓塞物的近端的柔软度,因此,当所述栓塞物被释放至瘤腔,并在使得所述定型部件切换至所述二级形状时,所述栓塞物随之切换至立体形态,并能够很好地顺应瘤壁,进而改善填塞的致密性。Since the shaped part extends along the axial direction of the helical part and is also connected with the helical part, the shape of the helical part is adapted to the shape of the shaped part. Specifically, when the shaping part is in the primary shape, the helical part is also in the primary shape, that is, in a cylindrical shape; when the shaping part is in the secondary shape, the helical part is in the corresponding The secondary shape, that is, wavy, spiral, conical, polyhedral, etc. Then, in the process of using the microcatheter to deliver the embolus to the tumor cavity, as long as the shaping member is kept in the primary shape, the embolus can be kept in the primary shape. When the microcatheter with the outer diameter of the embolism is used to construct the delivery channel of the embolism, there will be less friction between the inner wall of the microcatheter and the embolism, reducing the embolism. Object push resistance. And, because the softness of the distal end of the embolism is smaller than the softness of the proximal end of the embolism, when the embolism is released into the tumor cavity, and the shaping component is switched to the two When the shape is higher, the embolism then switches to a three-dimensional shape, and can well conform to the tumor wall, thereby improving the compactness of the packing.
本发明实施例中,所述定型部件被配置为当所述定型部件被加热至预定温度以上时,所述定型部件由所述初级形状切换至所述二级形状。所述预定温度例如是37℃左右,于是,当所述栓塞物被释放在瘤腔中,且所述定型部件被体液加热至所述预定温度时,所述定型部件由所述初级形状向所述二级形状转变,并带动所述栓塞物发生形状变化。In an embodiment of the present invention, the shaping component is configured such that when the shaping component is heated above a predetermined temperature, the shaping component switches from the primary shape to the secondary shape. The predetermined temperature is, for example, about 37°C. Then, when the embolus is released in the tumor cavity and the shaping member is heated to the predetermined temperature by body fluid, the shaping member changes from the primary shape to the predetermined temperature. The above-mentioned secondary shape transformation, and drives the shape change of the embolism.
发明人通过研究发现,所述栓塞物的柔软度与所述螺旋部件及所述定型部件的各项参数存在相关性,因而可以通过对螺旋部件及定型部件的各项参数进行合理设计来改善所述栓塞物的柔软度。The inventor found through research that there is a correlation between the softness of the embolus and the parameters of the helical part and the shaped part, so the parameters of the helical part and the shaped part can be reasonably designed to improve the softness of the embolus. The softness of the embolism mentioned above.
为使本发明的目的、优点和特征更加清楚,以下结合附图及具体实施例对本发明作进一步详细说明。需说明的是,附图均采用非常简化的形式且均使用非精准的比例,仅用以方便、明晰地辅助说明本发明实施例的目的。附图中相同或相似的附图标记代表相同或相似的部件。In order to make the purpose, advantages and features of the present invention clearer, the present invention will be further described in detail below in conjunction with the accompanying drawings and specific embodiments. It should be noted that all the drawings are in very simplified form and use inaccurate scales, and are only used to facilitate and clearly assist the purpose of illustrating the embodiments of the present invention. The same or similar reference numerals in the drawings represent the same or similar components.
图1示出了本发明第一实施例所提供的栓塞物10的结构示意图。如图1所示,所述栓塞物10包括具有内腔101的管状的螺旋部件100和设置于所述内腔101中的定型部件200。所述定型部件200沿所述螺旋部件100的轴向延伸,并与所述螺旋部件100连接。所述定型部件200具有一线性的初级形状和一立体的二级形状,且所述定型部件的远端的柔软度小于所述定型部件的近端的柔软度,以使得所述栓塞物的远端的柔软度小于所述栓塞物的近端的柔软度。Fig. 1 shows a schematic structural diagram of an
当所述定型部件200处于所述线性的初级形状时,所述螺旋部件100亦显示出线性初级形态,并表现为圆柱形态,因此利用内径大于所述螺旋部件100的微导管来构建所述栓塞物10的输送通道时,只要使所述定型部件200保持初级形状,就可以使得所述栓塞物10与所述微导管的内腔之间可以具有较小的摩擦力,减小所述栓塞物10的推送力。当所述栓塞物10被输送至目标位置例如瘤腔,且所述定型部件200切换至所述二级形状时,所述定型部件200驱使所述螺旋部件100发生形状变化而呈现立体形态以填塞瘤腔。When the
本发明实施例中,当所述定型部件200被加热至预定温度以上时,所述定型部件200由所述初级形状切换至所述二级形状。这里,所述预定温度可以是37℃左右,例如36.8℃~37.2℃。如此,所述定型部件200可被体液加热至所述预定温度。In the embodiment of the present invention, when the
可选地,可以采用形状记忆材料的特性来使所述定型部件200的性能得以实现。也即,所述定型部件200可以采用形状记忆材料制造,且所述定型部件200在高于其奥氏体转变结束温度(Af)时被热定型为所述二级形状,一旦所述定型部件200的温度降低时,所述定型部件200可以切换至所述初级形状。所述形状记忆材料包括但不限于镍、钛、镍钛合金。本领域技术人员知晓,不同的形状记忆材料具有不同的Af,通过对具有特定Af的材料在涉及热处理的后续过程中进行再加工,可使Af重置到期望的范围。所述形状记忆材料可被选择或处理成使得其Af与人类的体腔温度相当,也即所述形状记忆材料的Af在37℃左右,这样当所述栓塞物10被释放在瘤腔中,且所述定型部件200在体液(主要是血液)的作用下被加热至37℃左右时,所述定型部件200即可切换至所述二级形状。Optionally, the properties of the shape memory material can be used to realize the performance of the
需要说明的是,所述栓塞物10在输送的过程中,施术者向所述微导管的内腔中滴注生理盐水以阻止空气进入血管,所述生理盐水有利于使所述定型部件200的温度保持在所述预定温度以下,从而保证所述定型部件200在输送时不存在或者减小其向所述二级形状切换的趋势。It should be noted that during the delivery of the
另外,本发明实施例还优选所述定型部件200的两端分别与所述螺旋部件100的两端连接,并阻止所述螺旋部件100解旋,提高所述栓塞物10的稳定性。In addition, in the embodiment of the present invention, it is also preferred that the two ends of the shaping
请继续参考图1,所述螺旋部件100可包括第一螺旋部件110和第二螺旋部件120。其中,所述第一螺旋部件110嵌套在所述第二螺旋部件120的外侧,且所述第一螺旋部件110的材料包括生物可吸收材料。所述第二螺旋部件120具有所述内腔101,所述第二螺旋部件120的材料包括不透射线材料,也即所述第二螺旋部件120实际为显影元件。所述第二螺旋部件120的两端可分别与所述第一螺旋部件110的两端连接。所述定型部件200可包括定型丝,且所述定型部件200至少与所述第一螺旋部件110连接。Please continue to refer to FIG. 1 , the
这里,用于制造所述第一螺旋部件110的所述生物可吸收材料包括但不限于聚乳酸、L-聚乳酸、聚乳酸-羟基乙酸共聚物、聚己内酯、聚对二氧环己酮中的一种或几种。用于制造所述第二螺旋部件120的材料可以是不透射线的金属,包括不限于铂、铼、钨、钽、金、银中的一种或几种的合金,或者用于制造所述第二螺旋部件120的材料是基体中掺杂有显影物质(即不透射线材料)的复合材料,所述基体包括但不限于聚乳酸、聚己内酯聚羟基乙酸、乳酸-羟基乙酸共聚物、聚对二氧杂环己酮、聚氨酯、壳聚糖和透明质酸中的任意一种或几种,所述显影物质包括碘造影剂或硫酸钡。Here, the bioabsorbable materials used to manufacture the
工作中,所述第二螺旋部件120用于显示所述栓塞物10在体内的位姿(即位置和姿态),便于判断所述栓塞物10是否抵达瘤腔,以及所述栓塞物10在瘤腔中的形态。所述第二螺旋部件120的体积优选为所述栓塞物10的总体积的5%~50%。当所述栓塞物10植入瘤腔中一段时间后,所述第一螺旋部件110逐步被机体降解,转化成对机体无害的小分子物质,这些小分子一方面可以刺激瘤腔的血栓化和机化,一方面可以被机体吸收或代谢,从而起到降低占位效应的效果。通过对所述第一螺旋部件110的材料进行合理选择,可使所述第一螺旋部件110在1~12月内降解完全,优选在6~7个月内降解完全。In operation, the second
进一步地,所述栓塞物10被配置为具有合适的柔软度,以使所述栓塞物10在瘤腔内整体随着所述定型部件200由所述初级形状切换至所述二级形状时能够更好地顺应瘤壁。本领域技术人员可通过对所述栓塞物10的各个组成部分的相关参数的合理设置来调节所述栓塞物10的柔软度。实际中,可通过公式(I)来计算所述栓塞物10在轴向的任意位置处的柔软度S,所述公式(I)为:式中,d1是绕制所述第一螺旋部件的线材的直径,d2是绕制所述第二螺旋部件的线材的直径,d3是所述定型丝的直径,D1是所述第一螺旋部件的外径,D2是所述第二螺旋部件的外径,N是所述定型丝的股数,K是常量系数,其数值与螺旋部件100的材料、定型丝的材料等因素 相关,本实施例中,通过合理的参数配置,使得K的值为10-5inch2。Further, the embolic object 10 is configured to have appropriate softness, so that the embolic object 10 can switch from the primary shape to the secondary shape with the shaping part 200 in the tumor cavity as a whole. Better conform to tumor wall. Those skilled in the art can adjust the softness of the embolic object 10 by reasonably setting the relevant parameters of the various components of the embolic object 10 . In practice, the softness S of the embolic object 10 at any position in the axial direction can be calculated by the formula (I), and the formula (I) is: In the formula, d1 is the diameter of the wire that winds the first helical part, d2 is the diameter of the wire that winds the second helical part, d3 is the diameter of the sizing wire, D1 is the diameter of the wire The outer diameter of the first helical part,D2 is the outer diameter of the second helical part, N is the number of strands of the sizing wire, K is a constant coefficient, and its value is the same as the material of the
较佳地,所述栓塞物10的远端的柔软度小于所述栓塞物10的近端的柔软度。请继续参考图1,可选地,在本发明第一实施例中,所述定型丝包括两股直径相等的定型丝,本文中将这两股所述定型丝分别称之为第一定型丝210和第二定型丝220。所述第一定型丝210和所述第二定型丝220并行设置,其中所述第一定型丝210的长度与所述螺旋部件100的长度相当,且所述第一定型丝210的两端分别与所述螺旋部件100的两端连接。所述第二定型丝220的长度小于所述螺旋部件100的长度,且所述第二定型丝220的远端与所述螺旋部件100的远端连接,所述第二定型丝220的近端与所述螺旋部件100的近端间隔预定距离。此外,所述栓塞物10在轴向上可被划分为近端部分和远端部分,本实施例中,所述远端部分是指所述第二定型丝220所在区域,所述近端部分是指所述第二定型丝220的近端与所述螺旋部件100的近端之间的区域。Preferably, the softness of the distal end of the
在一个具体的栓塞物10中,绕制所述第一螺旋部件110的线材的直径d1为0.0025inch,绕制所述第二螺旋部件120的线材的直径d2为0.0012inch,所述第一定型丝210及所述第二定型丝220的直径d3为0.0012inch,所述第一螺旋部件110的外径D1为0.0130inch,所述第二螺旋部件120的外径D2为0.008inch。在所述栓塞物10的轴向上的一指定位置处,所述定型丝的股数N为位于该位置的所述第一定型丝210的股数与所述第二定型丝220的股数之和,也即,在所述远端部分,所述定型丝的股数为2,在所述近端部分,所述定型丝的股数为1。如此,利用前述的公式(I)计算得到所述栓塞物10的远端部分的柔软度S为1.68,所述栓塞物10的近端部分的柔软度S为3.36。In a
实践中,绕制所述第一螺旋部件110的线材的直径d1可以在0.0020inch~0.0045inch的范围内选择,绕制所述第二螺旋部件120的线材的直径d2可以在0.0008inch~0.0020inch的范围内选择,所述第一定型丝210及所述第二 定型丝220的直径d3可以在0.0005inch~0.0020inch的范围内选择,优选在0.0010inch~0.0016inch的范围内选择,所述第一螺旋部件110的外径D1可以在0.0100inch~0.0200inch的范围内选择,所述第二螺旋部件120的外径D2可以在0.008inch的范围内选择。所述第一定型丝210的股数可以是1股~2股,所述第二定型丝220的股数可以是2股~4股。所述远端部分的柔软度S可以是0.068~1.68,所述近端部分的柔软度S可以是0.336~3.36。In practice, the diameter d1 of the wire for winding the first
可选地,所有所述第二定型丝220的长度相等或不相等,且所述第二定型丝220的长度可以为所述螺旋部件100的长度的40%~80%。举例来说,对于每次手术时首先被植入瘤腔并在瘤腔中起到成篮作用的所述栓塞物10来说,所述第二定型丝220的长度优选为所述螺旋部件100的长度的60%~80%,且所述远端部分的柔软度优选为0.084~1.68,近端部分的柔软度优选为0.336~3.36。对于后续被送入瘤腔起到填塞及收尾作用的所述栓塞物10来说,所述第二定型丝220的长度优选为所述螺旋部件100的长度的40%~60%,所述远端部分的柔软度优选为0.168~1.68,所述近端部分的柔软度优选为1.68~3.36。这样的设置,有利于所述栓塞物10顺应瘤壁,并提高填塞致密度。这里,成篮是指首先被植入瘤腔的所述栓塞物10(或者后文中所述栓塞物10的所述第一节段)沿瘤壁形成立体的所述二级形状,并构成一框架,使得后续植入瘤腔的栓塞物10(或者后文中所述栓塞物10的所述第二节段及所述第三节段)能够在所述框架内形成所述二级形状,以充分填充瘤腔。Optionally, the lengths of all the
需要说明的是,当所述定型丝包括多股所述第一定型丝210时,至少一股所述第一定型丝210的两端分别与所述螺旋部件100的两端连接。连接方式可以是通过热熔或点胶的方式在所述栓塞物10的端部(近端及远端)上形成无创伤性的接合部(图中未示出),并至少使所述第一定型丝210的端部和所述第一螺旋部件110的端部至少部分地包覆于相应的所述接合部内。It should be noted that, when the sizing wire includes multiple strands of the
另外,本领域技术人员可以理解,在一些实现方式中,可以通过一股丝 材形成一股定型丝,例如,当所述定型丝包括一股第一定型丝210和一股第二定型丝220时,可以由两股相互独立的丝材分别形成一股所述第一定型丝210和一股所述第二定型丝220。同理,当所述定型丝包括一股第一定型丝210和两股所述第二定型丝220时,可以由三根相互独立的丝材分别形成一股所述第一定型丝210和两个所述第二定型丝220。在另一些实施例中,可以通过一股丝材形成两股以上的定型丝。举例来说,当所述定型丝包括一股所述第一定型丝210和一股所述第二定型丝220时,可以由一股丝材同时构成所述第一定型丝210和所述第二定型丝220。具体地,所述丝材通过一次弯折形成两部分,其中一部分构成一股所述第一丝材210,另一部分构成一股所述第二丝材220。或者,当所述定型丝包括两股所述第一定型丝210和一股所述第二定型丝220时,可以由一股丝材同时构成两个所述第一定型丝210和一股所述第二定型丝220。具体地,所述丝材通过两次弯折形成三部分,其中的两部分等长,以分别构成两股所述第一定型丝210,另一部分稍短,以构成一股所述第二定型丝220。In addition, those skilled in the art can understand that, in some implementations, one set of filaments can be formed by one filament, for example, when the set filaments include one
替代性地,在本发明的第二实施例中,如图2所示,所述定型部件200仅包括一股定型丝,且所述定型丝的长度与所述螺旋部件100的长度相当(即所述定型部件200包括一股所述第一定型丝210)。本实施例中,所述定型丝的直径沿近端向远端的方向逐渐增大。Alternatively, in the second embodiment of the present invention, as shown in FIG. 2 , the
在本实施例的一个具体的栓塞物10中,绕制所述第一螺旋部件110的线材的直径d1为0.0025inch,绕制所述第二螺旋部件120的线材的直径d2为0.0012inch,所述定型丝的最大直径d3max为0.0018inch,所述定型丝的最小直径d3min为0.0012inch,所述第一螺旋部件110的外径D1为0.0130inch,所述第二螺旋部件120的外径D2为0.008inch,且在所述栓塞物10的轴向上的任意位置处,所述定型丝的股数均为1。利用前述公式(I)计算得到所述栓塞物10的远端端部的柔软度S为1.49,所述栓塞物10的近端端部的柔软度S 为3.36。本实施例中,可以通过对所述定型丝的直径进行选择,以使得所述栓塞物10起到成篮、填塞或收尾作用。In a
不仅于此,本发明实施例所提供的一个所述栓塞物10可包括沿远端向近端依次连接的第一节段、第二节段和第三节段,根据所述公式(I)对所述第一节段、所述第二节段及所述第三节段处的所述定型丝的类型、股数以及直径进行调整,可以使得所述第一节段具有适宜成篮的柔软度,以起到成篮作用,并使所述第二节段具有适宜填塞的柔软度,以用于起填塞作用,还使所述第三节段具有适宜收尾的柔软度,以起到起收尾作用。也即,通过对所述栓塞物10的不同位置的柔软度进行调整使得同一个所述栓塞物10可以兼具成篮、填塞及收尾作用,减少一个血管瘤填塞时使用的栓塞物10的数量,避免多次重复执行所述栓塞物10的输送、释放操作(包括拆圈、出鞘、进微导管、调整微导管及进瘤等具体步骤),提高施术者操作的便利性,同时也降低病人的经济压力。在一些其他实施方式中,也可以通过调节第一螺旋部件和第二螺旋部件的尺寸材料对栓塞物的柔软度进行调节。Not only that, the
进一步地,本发明实施例还提供如前所述的栓塞物10的制备方法,具体包括如下步骤:Further, the embodiment of the present invention also provides a method for preparing the
将所述定型部件200按照所述二级形状在模具上进行热定型处理,所述热定型处理的温度高于或等于所述定型部件200的奥氏体转变结束温度;performing heat-setting treatment on the mold according to the secondary shape of the
对加热后的所述定型部件200进行冷却处理,并使所述定型部件200恢复至所述初级形状;以及,cooling the heated shaped
将所述初级形状的所述定型部件200设置于所述螺旋部件100的所述内腔101中,并使所述定型部件200与所述螺旋部件100连接。The shaping
本发明实施例所提供的技术方案中,所述螺旋部件未被预定型,而所述定型部件具有线性的初级形状和立体的二级形状,且通过温度变化作为所述定型部件由所述初级形状切换至所述二级形状的触发因素。因此在所述栓塞 物在输送过程中使所述定型部件处于所述初级形状,可以使得所述栓塞物相应处于初级形状,并具有较小的推送阻力,改善所述栓塞物的推送性能。In the technical solution provided by the embodiment of the present invention, the spiral part is not pre-shaped, and the shaping part has a linear primary shape and a three-dimensional secondary shape, and the shaping part is formed by the primary shape through temperature change. The trigger for shape switching to the secondary shape. Therefore, when the embolism is delivered, the shaped part is in the primary shape, so that the embolism is correspondingly in the primary shape, and has a small pushing resistance, which improves the pushing performance of the embolism.
虽然本发明披露如上,但并不局限于此。本领域的技术人员可以对本发明进行各种改动和变型而不脱离本发明的精神和范围。这样,倘若本发明的这些修改和变型属于本发明权利要求及其等同技术的范围之内,则本发明也意图包含这些改动和变型在内。Although the present invention is disclosed above, it is not limited thereto. Those skilled in the art can make various changes and modifications to the present invention without departing from the spirit and scope of the present invention. Thus, if these modifications and variations of the present invention fall within the scope of the claims of the present invention and their equivalent technologies, the present invention also intends to include these modifications and variations.
| Application Number | Priority Date | Filing Date | Title |
|---|---|---|---|
| CN202111566522.4ACN114176697B (en) | 2021-12-20 | 2021-12-20 | Embolic material and preparation method thereof |
| CN202111566522.4 | 2021-12-20 |
| Publication Number | Publication Date |
|---|---|
| WO2023116326A1true WO2023116326A1 (en) | 2023-06-29 |
| Application Number | Title | Priority Date | Filing Date |
|---|---|---|---|
| PCT/CN2022/133935CeasedWO2023116326A1 (en) | 2021-12-20 | 2022-11-24 | Embolus and preparation method therefor |
| Country | Link |
|---|---|
| CN (2) | CN114176697B (en) |
| WO (1) | WO2023116326A1 (en) |
| Publication number | Priority date | Publication date | Assignee | Title |
|---|---|---|---|---|
| CN114176697B (en)* | 2021-12-20 | 2024-07-05 | 神遁医疗科技(上海)有限公司 | Embolic material and preparation method thereof |
| Publication number | Priority date | Publication date | Assignee | Title |
|---|---|---|---|---|
| US6280457B1 (en)* | 1999-06-04 | 2001-08-28 | Scimed Life Systems, Inc. | Polymer covered vaso-occlusive devices and methods of producing such devices |
| US20100010533A1 (en)* | 2008-07-11 | 2010-01-14 | Cook Incorporated | Variable strength embolization coil |
| CN203226858U (en)* | 2013-05-17 | 2013-10-09 | 威海维心医疗设备有限公司 | Spring coil conveying system for arterial aneurysm embolism |
| CN108697425A (en)* | 2015-12-18 | 2018-10-23 | 巴尔特美国 | Vascular implantation system and process with flexible Disengagement zone |
| CN108814670A (en)* | 2018-10-12 | 2018-11-16 | 微创神通医疗科技(上海)有限公司 | Implantation material and embolization device |
| CN112641484A (en)* | 2020-12-31 | 2021-04-13 | 微创神通医疗科技(上海)有限公司 | Embolism material and preparation method thereof |
| CN113303860A (en)* | 2020-12-31 | 2021-08-27 | 微创神通医疗科技(上海)有限公司 | Embolism material and preparation method thereof |
| CN114176697A (en)* | 2021-12-20 | 2022-03-15 | 神遁医疗科技(上海)有限公司 | A kind of embolism and preparation method thereof |
| Publication number | Priority date | Publication date | Assignee | Title |
|---|---|---|---|---|
| JP4175117B2 (en)* | 2003-01-10 | 2008-11-05 | 株式会社カネカメディックス | Indwelling device for embolization |
| US8535345B2 (en)* | 2004-10-07 | 2013-09-17 | DePuy Synthes Products, LLC | Vasoocclusive coil with biplex windings to improve mechanical properties |
| CN201079423Y (en)* | 2007-09-29 | 2008-07-02 | 成正辉 | Shaver for thrombus and embolus in blood vessel |
| CN202490000U (en)* | 2012-02-14 | 2012-10-17 | 周斌 | Medical cerebral thrombosis treating device |
| CN104739479B (en)* | 2013-12-31 | 2017-11-03 | 微创神通医疗科技(上海)有限公司 | A kind of turn and preparation method thereof |
| US10111670B2 (en)* | 2015-05-01 | 2018-10-30 | DePuy Synthes Products, Inc. | Expandable vascular occlusion device with lead framing coil |
| CN212415821U (en)* | 2020-08-31 | 2021-01-29 | 微创神通医疗科技(上海)有限公司 | Hemangioma plugging device, hemangioma plugging treatment device and hemangioma plugging system |
| Publication number | Priority date | Publication date | Assignee | Title |
|---|---|---|---|---|
| US6280457B1 (en)* | 1999-06-04 | 2001-08-28 | Scimed Life Systems, Inc. | Polymer covered vaso-occlusive devices and methods of producing such devices |
| US20100010533A1 (en)* | 2008-07-11 | 2010-01-14 | Cook Incorporated | Variable strength embolization coil |
| CN203226858U (en)* | 2013-05-17 | 2013-10-09 | 威海维心医疗设备有限公司 | Spring coil conveying system for arterial aneurysm embolism |
| CN108697425A (en)* | 2015-12-18 | 2018-10-23 | 巴尔特美国 | Vascular implantation system and process with flexible Disengagement zone |
| CN108814670A (en)* | 2018-10-12 | 2018-11-16 | 微创神通医疗科技(上海)有限公司 | Implantation material and embolization device |
| CN112641484A (en)* | 2020-12-31 | 2021-04-13 | 微创神通医疗科技(上海)有限公司 | Embolism material and preparation method thereof |
| CN113303860A (en)* | 2020-12-31 | 2021-08-27 | 微创神通医疗科技(上海)有限公司 | Embolism material and preparation method thereof |
| CN114176697A (en)* | 2021-12-20 | 2022-03-15 | 神遁医疗科技(上海)有限公司 | A kind of embolism and preparation method thereof |
| Publication number | Publication date |
|---|---|
| CN114176697A (en) | 2022-03-15 |
| CN114176697B (en) | 2024-07-05 |
| CN116672022A (en) | 2023-09-01 |
| Publication | Publication Date | Title |
|---|---|---|
| JP3665133B2 (en) | Anatomically shaped vascular occlusion device and method of manufacturing the same | |
| JP4961349B2 (en) | Embolization coil, embolization coil manufacturing method, medical device | |
| CN113303859B (en) | Embolic material and preparation method thereof | |
| JP3024071B2 (en) | Vascular occlusion device formed in anatomical structure and method of manufacturing the same | |
| US9687245B2 (en) | Occlusive devices and methods of use | |
| CN108433769B (en) | Occlusion device | |
| US20200000477A1 (en) | Embolization Plug | |
| JP7618425B2 (en) | Intracapsular inverted braid with highly flexible filling material | |
| CN113423347B (en) | Vascular Occlusive Devices | |
| JP2007289719A (en) | Anatomically molded vascular occlusion device | |
| JP2007525304A (en) | Compound vaso-occlusive coil | |
| US20180221030A1 (en) | Devices and Methods for Treatment of Endovascular and Non-Endovascular Defects in Humans Using Tandem Embolization Devices | |
| CA2418221A1 (en) | Vaso-occlusive coils with selectively flattened areas | |
| CN103826688A (en) | Packing coil | |
| EP2672899A1 (en) | Vaso-occlusive device | |
| WO2022142787A1 (en) | Embolic agent and preparation method therefor | |
| JP2023539289A (en) | Aneurysm occlusion devices, aneurysm occlusion treatment devices, and aneurysm occlusion systems | |
| US20040006362A1 (en) | Uniaxial multifilar vaso-occlusive device with high stretch resistance and low buckling strength | |
| WO2023116326A1 (en) | Embolus and preparation method therefor | |
| WO2023116498A1 (en) | Embolic agent | |
| CN104837417A (en) | Geometric coil | |
| CN217285931U (en) | Embolization device and embolization system | |
| CN215651344U (en) | Embolism object | |
| JP2023538699A (en) | Aneurysm occlusion devices, aneurysm occlusion treatment devices, and aneurysm occlusion systems | |
| CN116807549A (en) | Embolization devices and embolization systems |
| Date | Code | Title | Description |
|---|---|---|---|
| 121 | Ep: the epo has been informed by wipo that ep was designated in this application | Ref document number:22909641 Country of ref document:EP Kind code of ref document:A1 | |
| NENP | Non-entry into the national phase | Ref country code:DE | |
| 122 | Ep: pct application non-entry in european phase | Ref document number:22909641 Country of ref document:EP Kind code of ref document:A1 |