





相关申请的交叉引用Cross References to Related Applications
本申请要求享有2021年5月11日提交的题为“确定订单履约仓库的方法和装置”的中国专利申请No.202110513416.3的中国专利申请的优先权,在此全文引用上述中国专利申请公开的内容以作为本申请的一部分或全部。This application claims the priority of the Chinese patent application No. 202110513416.3 filed on May 11, 2021, entitled "Method and Device for Determining Order Fulfillment Warehouse", and the content disclosed in the above Chinese patent application is hereby quoted in its entirety as part or all of this application.
本公开涉及物流技术领域,尤其涉及一种确定订单履约仓库的方法和装置。The present disclosure relates to the field of logistics technology, in particular to a method and device for determining an order fulfillment warehouse.
在物流技术领域,履约指的是从订单生成开始,到用户收到订购物品为止的全过程。实际应用中,对于用户提交的每个订单,都需要从多个发货仓库中选取一个或多个合适的仓库作为履约仓库,从中发货到用户手中,因此,如何确定适合于订单的履约仓库是一个重要的问题。In the field of logistics technology, fulfillment refers to the whole process from the generation of an order to the receipt of the ordered items by the user. In practical applications, for each order submitted by the user, one or more suitable warehouses need to be selected from multiple delivery warehouses as the fulfillment warehouse, and then shipped to the user. Therefore, how to determine the fulfillment warehouse suitable for the order is an important question.
现有技术中,一般设置固定规则来匹配履约仓库。例如,对于用户提交的某订单,从当前的发货仓库中挑选距离订单配送地址最近的一个或多个仓库作为履约仓库,其缺陷在于,以这种方式确定的履约仓库未必能够在配送时长、配送成本、拆单数量(拆单指的是将订单拆分成多个子单以便分别发送到多个仓库进行履约,拆单数量即拆分得到的子单数量)等维度达到最优。具体来说,由于不同仓库的历史配送时长往往具有较大差异,因此距离最近的仓库未必配送时间最短;同时,各仓库的配送计费规则不同,因此距离最近的仓库未必配送成本最低,例如,a仓库为距离订单配送地址最近的仓库,但是a仓库地址与订单配送地址分属不同省份,按照a仓库的配送计费规则“只有同 省才能执行面向企业配送方式(即B网配送方式,这种方式一般成本较低,但是需要物品重量或体积较大,与之相对,面向个人配送方式即C网配送方式,其成本相对B网配送方式为高,但对物品重量和体积没有要求)”,则只能执行面向个人配送方式,因此其配送成本很可能高于与订单配送地址处于同一省份、但是距离较远的另一仓库;最后,现有方式往往无法保证拆单数量最小,这会影响用户体验,一般情况下也会增加配送时长。In the prior art, fixed rules are generally set to match fulfillment warehouses. For example, for an order submitted by a user, one or more warehouses closest to the delivery address of the order are selected from the current delivery warehouse as the fulfillment warehouse. Dimensions such as delivery cost and split order quantity (splitting an order refers to splitting an order into multiple sub-orders to be sent to multiple warehouses for fulfillment respectively, the split order quantity is the number of sub-orders obtained by splitting) and other dimensions are optimal. Specifically, since the historical delivery time of different warehouses is often quite different, the nearest warehouse may not necessarily have the shortest delivery time; at the same time, each warehouse has different delivery billing rules, so the nearest warehouse may not necessarily have the lowest delivery cost, for example, Warehouse a is the closest warehouse to the delivery address of the order, but the address of warehouse a and the delivery address of the order belong to different provinces. According to the delivery billing rules of warehouse a, "only the same province can implement the delivery method for enterprises (that is, the B network delivery method, this kind of The general cost of the method is low, but the weight or volume of the item is required to be large. In contrast, the distribution method for individuals, that is, the distribution method of the C network, its cost is higher than that of the distribution method of the B network, but there is no requirement for the weight and volume of the item)", However, it can only implement the personal delivery method, so its delivery cost is likely to be higher than another warehouse in the same province as the delivery address of the order, but farther away; finally, the existing method often cannot guarantee the minimum number of split orders, which will affect User experience, in general, will also increase delivery time.
发明内容Contents of the invention
有鉴于此,本公开实施例提供一种确定订单履约仓库的方法和装置,能够通过线性规划方法并综合考虑配送时长、配送成本、拆单数量等多个维度来确定订单的履约仓库,从而提高供应链效率并提升用户体验。In view of this, the embodiments of the present disclosure provide a method and device for determining an order fulfillment warehouse, which can determine the fulfillment warehouse of an order through a linear programming method and comprehensively consider multiple dimensions such as delivery time, delivery cost, and the number of dismantled orders, thereby improving supply chain efficiency and improve user experience.
为实现上述目的,根据本公开的一个方面,提供了一种确定订单履约仓库的方法。To achieve the above purpose, according to one aspect of the present disclosure, a method for determining an order fulfillment warehouse is provided.
本公开实施例的确定订单履约仓库的方法包括:在接收到目标订单之后,基于预设的数据库服务器中的发货仓库信息获取目标订单对应的多个候选仓库;根据目标订单的物品信息、以及每一候选仓库针对目标订单中配送地址的历史配送时长信息和配送计费信息,在预设的订单处理引擎中建立线性规划模型;所述线性规划模型表示目标订单的履约仓库选取方式与至少一个履约评价指标之间的对应关系,每一履约仓库选取方式表征从所述候选仓库中选取的至少一个模拟履约仓库以及由该模拟履约仓库履约的目标订单物品,所述履约评价指标包括目标订单的配送时长、配送成本和/或拆单数量;在所述订单处理引擎中对所述线性规划模型求解,得到使所述履约评价指标取最小值时的履约仓库选取方式,依据该履约仓库选取方式确定目标订单的真实履约仓库。The method for determining an order fulfillment warehouse according to an embodiment of the present disclosure includes: after receiving a target order, obtaining a plurality of candidate warehouses corresponding to the target order based on the delivery warehouse information in a preset database server; according to the item information of the target order, and Each candidate warehouse establishes a linear programming model in the preset order processing engine for the historical delivery duration information and delivery billing information of the delivery address in the target order; the linear programming model represents the selection method of the fulfillment warehouse of the target order and at least one The corresponding relationship between performance evaluation indicators, each performance warehouse selection method represents at least one simulated fulfillment warehouse selected from the candidate warehouse and the target order item fulfilled by the simulated fulfillment warehouse, and the performance evaluation index includes the target order Delivery time, delivery cost and/or number of dismantled orders; solve the linear programming model in the order processing engine to obtain the selection method of the fulfillment warehouse when the performance evaluation index takes the minimum value, according to the selection method of the fulfillment warehouse Identify the true fulfillment warehouse for the target order.
可选地,所述线性规划模型的目标函数由三个所述履约评价指标相加而成,每一履约评价指标中包括预设的、处在零与一之间的权重值;其中,所述权重值用于:实现相应履约评价指标在所述目标函数中的开启或关闭、以及在相应履约评价指标开启的情况下表示相应履约评价指标在所述目标函数中的权重。Optionally, the objective function of the linear programming model is formed by adding three performance evaluation indicators, and each performance evaluation indicator includes a preset weight value between zero and one; wherein, the The weight value is used to: enable or disable the corresponding performance evaluation index in the objective function, and represent the weight of the corresponding performance evaluation index in the objective function when the corresponding performance evaluation index is turned on.
可选地,所述目标函数中的目标订单的配送时长为:各模拟履约仓库针对目标订单中配送地址的历史配送时长平均值的加权和,计算该加权和所使用的权重为模拟履约仓库所履约物品的数量。Optionally, the delivery duration of the target order in the objective function is: the weighted sum of the average historical delivery durations of each simulated fulfillment warehouse for the delivery address in the target order, and the weights used to calculate the weighted sum are those of the simulated fulfillment warehouse. The quantity of the fulfillment item.
可选地,所述目标函数中的目标订单的配送成本为:面向企业配送方式成本与面向个人配送方式成本之和;其中,在任一仓库的库存满足目标订单中至少一种物品的数量、目标订单配送地址符合该仓库的面向企业配送条件、并且该种物品的重量或体积大于预设阈值时,该仓库以面向企业配送方式配送该种物品;在任一仓库的库存满足目标订单中至少一种物品的数量,同时,目标订单配送地址不符合该仓库的面向企业配送条件、或者该种物品的重量或体积都不大于预设阈值时,该仓库以面向个人配送方式配送该种物品;面向企业配送方式成本为:计费重量和单价乘积、与最低成本之间的最大值,面向个人配送方式成本为首重成本与续重成本之和。Optionally, the distribution cost of the target order in the objective function is: the sum of the cost of the enterprise-oriented distribution method and the cost of the individual-oriented distribution method; wherein, the inventory in any warehouse meets the quantity of at least one item in the target order, the target When the delivery address of the order meets the warehouse's delivery conditions for enterprises, and the weight or volume of the item is greater than the preset threshold, the warehouse will deliver the item in the way of delivery for the enterprise; the inventory in any warehouse meets at least one of the target orders At the same time, if the delivery address of the target order does not meet the warehouse's delivery conditions for enterprises, or the weight or volume of the item is not greater than the preset threshold, the warehouse will deliver the item in the way of personal delivery; The cost of the delivery method is: the maximum value between the product of the billable weight and the unit price, and the minimum cost. The cost of the delivery method for individuals is the sum of the first weight cost and the additional weight cost.
为实现上述目的,根据本公开的另一方面,提供了一种确定订单履约仓库的装置。To achieve the above object, according to another aspect of the present disclosure, a device for determining an order fulfillment warehouse is provided.
本公开实施例的确定订单履约仓库的装置包括:候选仓库确定单元,用于:在接收到目标订单之后,基于预设的数据库服务器中的发货仓库信息获取目标订单对应的多个候选仓库;建模单元,用于:根据目标订单的物品信息、以及每一候选仓库针对目标订单中配送地址的历史配送时长信息和配送计费信息,在预设的订单处理引擎中建立线性规划模型;其中,所述线性规划模型表示目标订单的履约仓库选 取方式与至少一个履约评价指标之间的对应关系,每一履约仓库选取方式表征从所述候选仓库中选取的至少一个模拟履约仓库以及由该模拟履约仓库履约的目标订单物品,所述履约评价指标包括目标订单的配送时长、配送成本和/或拆单数量;求解单元,用于:在所述订单处理引擎中对所述线性规划模型求解,得到使所述履约评价指标取最小值时的履约仓库选取方式,依据该履约仓库选取方式确定目标订单的真实履约仓库。The device for determining an order fulfillment warehouse in an embodiment of the present disclosure includes: a candidate warehouse determination unit, configured to: after receiving a target order, obtain multiple candidate warehouses corresponding to the target order based on the delivery warehouse information in the preset database server; The modeling unit is used to: establish a linear programming model in a preset order processing engine according to the item information of the target order, and the historical delivery duration information and delivery billing information of each candidate warehouse for the delivery address in the target order; , the linear programming model represents the corresponding relationship between the selection method of the fulfillment warehouse of the target order and at least one performance evaluation index, and each selection method of the fulfillment warehouse represents at least one simulated fulfillment warehouse selected from the candidate warehouses and the simulated The target order item fulfilled by the fulfillment warehouse, the performance evaluation index includes the delivery time of the target order, the delivery cost and/or the number of dismantled orders; the solving unit is used to: solve the linear programming model in the order processing engine, Obtain the selection method of the performance warehouse when the performance evaluation index takes the minimum value, and determine the real performance warehouse of the target order according to the selection method of the performance warehouse.
为实现上述目的,根据本公开的又一方面,提供了一种电子设备。To achieve the above object, according to yet another aspect of the present disclosure, an electronic device is provided.
本公开的一种电子设备包括:一个或多个处理器;存储装置,用于存储一个或多个程序,当所述一个或多个程序被所述一个或多个处理器执行,使得所述一个或多个处理器实现本公开所提供的确定订单履约仓库的方法。An electronic device of the present disclosure includes: one or more processors; a storage device for storing one or more programs, when the one or more programs are executed by the one or more processors, so that the One or more processors implement the method for determining an order fulfillment warehouse provided by the present disclosure.
为实现上述目的,根据本公开的再一方面,提供了一种计算机可读存储介质。To achieve the above purpose, according to yet another aspect of the present disclosure, a computer-readable storage medium is provided.
本公开的一种计算机可读存储介质,其上存储有计算机程序,所述程序被处理器执行时实现本公开所提供的确定订单履约仓库的方法。A computer-readable storage medium of the present disclosure stores a computer program thereon, and when the program is executed by a processor, the method for determining an order fulfillment warehouse provided by the present disclosure is realized.
上述的非惯用的可选方式所具有的进一步效果将在下文中结合具体实施方式加以说明。The further effects of the above-mentioned non-conventional alternatives will be described below in conjunction with specific embodiments.
附图用于更好地理解本公开,不构成对本公开的不当限定。其中:The accompanying drawings are for better understanding of the present disclosure, and do not constitute an improper limitation of the present disclosure. in:
图1是本公开实施例中确定订单履约仓库的方法的主要步骤示意图;FIG. 1 is a schematic diagram of main steps of a method for determining an order fulfillment warehouse in an embodiment of the present disclosure;
图2是本公开实施例中确定订单履约仓库的方法的功能模块示意图;Fig. 2 is a schematic diagram of functional modules of a method for determining an order fulfillment warehouse in an embodiment of the present disclosure;
图3是本公开实施例中确定订单履约仓库的方法的具体流程示意图;FIG. 3 is a schematic flowchart of a method for determining an order fulfillment warehouse in an embodiment of the present disclosure;
图4是本公开实施例中确定订单履约仓库的装置的组成部分示意图;Fig. 4 is a schematic diagram of components of a device for determining an order fulfillment warehouse in an embodiment of the present disclosure;
图5是根据本公开实施例可以应用于其中的示例性系统架构图;FIG. 5 is an exemplary system architecture diagram to which an embodiment of the present disclosure can be applied;
图6是用来实现本公开实施例中确定订单履约仓库的方法的电子设备结构示意图。Fig. 6 is a schematic structural diagram of electronic equipment used to implement the method for determining an order fulfillment warehouse in an embodiment of the present disclosure.
以下结合附图对本公开的示范性实施例做出说明,其中包括本公开实施例的各种细节以助于理解,应当将它们认为仅仅是示范性的。因此,本领域普通技术人员应当认识到,可以对这里描述的实施例做出各种改变和修改,而不会背离本公开的范围和精神。同样,为了清楚和简明,以下的描述中省略了对公知功能和结构的描述。Exemplary embodiments of the present disclosure are described below in conjunction with the accompanying drawings, which include various details of the embodiments of the present disclosure to facilitate understanding, and they should be regarded as exemplary only. Accordingly, those of ordinary skill in the art will recognize that various changes and modifications of the embodiments described herein can be made without departing from the scope and spirit of the disclosure. Also, descriptions of well-known functions and constructions are omitted in the following description for clarity and conciseness.
需要指出的是,在不冲突的情况下,本公开的实施例以及实施例中的技术特征可以相互结合。It should be noted that, in the case of no conflict, the embodiments of the present disclosure and the technical features in the embodiments can be combined with each other.
图1是根据本公开实施例中确定订单履约仓库的方法的主要步骤示意图。Fig. 1 is a schematic diagram of main steps of a method for determining an order fulfillment warehouse according to an embodiment of the present disclosure.
如图1所示,本公开实施例的确定订单履约仓库的方法可具体按照如下步骤执行:As shown in Figure 1, the method for determining an order fulfillment warehouse according to the embodiment of the present disclosure can be specifically executed according to the following steps:
步骤S101:在接收到目标订单之后,基于预设的数据库服务器中的发货仓库信息获取目标订单对应的多个候选仓库。Step S101: After receiving the target order, obtain multiple candidate warehouses corresponding to the target order based on the delivery warehouse information in the preset database server.
在本步骤中,目标订单指的是即将执行履约定仓(即确定履约仓库)的订单。在接收到用户提交的目标订单之后,使用者(可以是人也可以是计算机程序)可以基于数据库中预存的发货仓库信息首先确定候选仓库。可以理解,候选仓库指的是从发货仓库中选取的与目标 订单关联性较高的部分仓库,针对候选仓库执行以下计算过程即可确定其中的履约仓库(即下文中的真实履约仓库)。实际应用中,上述发货仓库指的是能够进行发货的仓库,发货仓库信息可以包括历史配送时长数据、当前库存数据、仓库地址数据等。In this step, the target order refers to an order that is about to perform a fulfillment contract (that is, to determine a fulfillment warehouse). After receiving the target order submitted by the user, the user (either a human or a computer program) can first determine a candidate warehouse based on the pre-stored shipping warehouse information in the database. It can be understood that the candidate warehouses refer to some warehouses selected from the delivery warehouses that have a high correlation with the target order. The following calculation process can be performed on the candidate warehouses to determine the fulfillment warehouses (that is, the real fulfillment warehouses hereinafter). In practical applications, the above-mentioned delivery warehouses refer to warehouses that can deliver goods, and the delivery warehouse information may include historical delivery time data, current inventory data, warehouse address data, and the like.
具体场景中,可以根据预设规则确定上述候选仓库,例如,可以根据将符合以下所有条件的发货仓库确定为候选仓库:仓库地址与目标订单配送地址之间的距离小于第一阈值,仓库库存至少能够满足目标订单中至少一种物品的数量,仓库针对目标订单配送地址的历史配送时长平均值小于第二阈值。In specific scenarios, the above candidate warehouses can be determined according to preset rules. For example, the delivery warehouses that meet all of the following conditions can be determined as candidate warehouses: the distance between the warehouse address and the delivery address of the target order is less than the first threshold, and the warehouse inventory At least the quantity of at least one item in the target order can be satisfied, and the average historical delivery time of the warehouse for the delivery address of the target order is less than the second threshold.
步骤S102:根据目标订单的物品信息、以及每一候选仓库针对目标订单中配送地址的历史配送时长信息和配送计费信息,在预设的订单处理引擎中建立线性规划模型;所述线性规划模型表示目标订单的履约仓库选取方式与至少一个履约评价指标之间的对应关系。Step S102: According to the item information of the target order, and the historical delivery duration information and delivery billing information of each candidate warehouse for the delivery address in the target order, a linear programming model is established in the preset order processing engine; the linear programming model Indicates the corresponding relationship between the selection method of the fulfillment warehouse of the target order and at least one fulfillment evaluation index.
在本步骤中,目标订单的物品信息可以包括目标订单中每种物品的标识(如库存量单位SKU)、每种物品的数量、每种物品中单一物品的重量和体积等,每一候选仓库针对目标订单中配送地址的历史配送时长信息可以是预设时间间隔内(例如过去一年内)该候选仓库每次针对目标订单中配送地址(也可以是附近位置)的配送时长数据,上述配送计费信息可以包括:面向企业配送条件(例如,只有目标订单配送地址与仓库地址处于同省才能执行面向企业配送方式)、配送费用折扣(一般地,面向企业配送方式与面向个人配送方式具有各自的配送费用折扣)、标准计费报价信息(例如,面向企业配送方式的最低成本与单价,面向个人配送方式的首重重量、首重费用、续重单价等)。In this step, the item information of the target order may include the identification of each item in the target order (such as the stock keeping unit SKU), the quantity of each item, the weight and volume of a single item in each item, etc., and each candidate warehouse The historical delivery time information for the delivery address in the target order can be the delivery time data of the candidate warehouse for each delivery address (or a nearby location) in the target order within a preset time interval (for example, in the past year). The fee information may include: business-oriented delivery conditions (for example, the enterprise-oriented delivery method can only be executed only when the target order delivery address and the warehouse address are in the same province), delivery fee discount (generally, the enterprise-oriented delivery method and the individual-oriented delivery method have their own delivery Fee discounts), standard billing quotation information (for example, the lowest cost and unit price for enterprise delivery methods, the first weight, first weight fee, and unit price for additional weights for personal delivery methods, etc.).
以下将以具体场景中的示例说明上述配送计费规则。具体应用中,可以设置多个分公司来管理不同区域的仓库,例如由北京分公司管理 华北地区的仓库,在将一个候选仓库与目标订单关联时,首先可以确定该候选仓库采用的是面向企业配送方式还是面向个人配送方式(两种方式中只能择一)以及该候选仓库是否具有报价信息。The above delivery charging rules will be described below with examples in specific scenarios. In a specific application, multiple branches can be set up to manage warehouses in different regions. For example, the Beijing branch manages warehouses in North China. When associating a candidate warehouse with a target order, it can first be determined that the candidate warehouse adopts an enterprise-oriented The delivery method is still an individual-oriented delivery method (only one of the two methods can be selected) and whether the candidate warehouse has quotation information.
具体而言,如果该候选仓库的库存满足目标订单中至少一种物品的数量、目标订单配送地址符合该仓库的面向企业配送条件、并且该种物品的重量或体积大于预设阈值(即,物品总重量大于重量阈值或者物品总体积大于体积阈值),则该仓库以面向企业配送方式配送该种物品;如果该候选仓库的库存满足目标订单中至少一种物品的数量,同时,目标订单配送地址不符合该仓库的面向企业配送条件、或者该种物品的重量或体积都不大于预设阈值时,该仓库以面向个人配送方式配送该种物品。Specifically, if the inventory of the candidate warehouse satisfies the quantity of at least one item in the target order, the delivery address of the target order meets the enterprise-oriented delivery conditions of the warehouse, and the weight or volume of the item is greater than a preset threshold (that is, the item If the total weight is greater than the weight threshold or the total volume of the item is greater than the volume threshold), the warehouse will deliver the item in an enterprise-oriented delivery method; if the inventory of the candidate warehouse meets the quantity of at least one item in the target order, at the same time, the delivery address of the target order If the warehouse's business-oriented distribution conditions are not met, or the weight or volume of the item is not greater than the preset threshold, the warehouse will deliver the item in a personal-oriented delivery method.
该候选仓库是否具有报价信息由目标订单的配送地址决定。一般地,由于业务原因(例如目标订单配送地址的相关配送业务较少),该候选仓库有可能不为目标订单的配送地址设置报价信息(即上述标准计费报价信息),这种情况即为缺失报价,需要采用默认报价信息,默认报价一般低于分公司或仓库设置的标准计费报价。Whether the candidate warehouse has quotation information is determined by the delivery address of the target order. Generally, due to business reasons (for example, the delivery address of the target order has less relevant delivery business), the candidate warehouse may not set quotation information for the delivery address of the target order (that is, the above-mentioned standard billing quotation information). In this case, If the quotation is missing, the default quotation information needs to be used. The default quotation is generally lower than the standard billing quotation set by the branch or warehouse.
基于以上场景,目标订单的配送成本可以是面向企业配送方式成本与面向个人配送方式成本之和。面向企业配送方式成本可以在仓库维度进行累加,即,首先计算每一采用面向企业配送方式的仓库的成本,最后将这些成本求和,每一仓库的成本可以是计费重量和单价乘积、与预设的最低成本之间的最大值。其中,面向企业配送方式和面向个人配送方式中的计费重量指的都是物品实际重量与体积折算重量(即物品体积与折算系数之商,面向企业配送方式和面向个人配送方式的折算系数不同)之间的最大值,上述单价指的是一个单位重量(如一公斤)对应的价格。Based on the above scenario, the delivery cost of the target order can be the sum of the cost of the enterprise-oriented delivery method and the cost of the individual-oriented delivery method. The cost of the enterprise-oriented distribution method can be accumulated in the warehouse dimension, that is, first calculate the cost of each warehouse that adopts the enterprise-oriented distribution method, and finally sum these costs. The cost of each warehouse can be the product of billable weight and unit price, and The maximum value between the preset minimum costs. Among them, the billable weight in the enterprise-oriented delivery method and the individual-oriented delivery method refers to the actual weight of the item and the converted weight of the volume (that is, the quotient of the item volume and the conversion factor, and the conversion factor for the enterprise-oriented delivery method and the personal delivery method is different. ), the above unit price refers to the price corresponding to a unit weight (such as one kilogram).
面向个人配送方式成本可以在分公司维度进行累加,即,首先计 算每一分公司的面向个人配送方式成本,之后将这些成本求和。在计算任一分公司的面向个人配送方式成本时,首先确定计费使用的报价信息,例如,当该分公司下存在有报价的候选仓库时,使用最高的报价信息(即,使用最高的首重价格和续重单价),只有该分公司下的候选仓库全部缺失报价,才使用默认的报价信息。在确定报价信息之后,可以计算该分公司下执行面向个人配送方式的各候选仓库履约的物品总重量,该分公司的面向个人配送方式成本即为首重成本(即前述最高的首重价格或默认首重价格)与续重成本(续重重量与最高的续重单价或默认续重单价的乘积,续重重量指的是物品总重量与首重重量之差,续重单价指的是一个续重单位重量对应的价格)之和。Personal delivery method costs can be aggregated at the branch dimension, that is, first calculate the personal delivery method costs for each branch, and then sum these costs. When calculating the cost of individual-oriented delivery methods for any branch company, first determine the quotation information used for billing, for example, when there are candidate warehouses with quotations under this branch company, use the highest quotation information (that is, use the highest first-price Heavy price and unit price of renewing weight), the default quotation information will be used only if all the candidate warehouses under the branch company lack quotations. After the quotation information is determined, the total weight of the items fulfilled by each candidate warehouse under the branch company that implements the personal delivery method can be calculated. The first weight price) and the additional weight cost (the product of the additional weight and the highest additional weight unit price or the default additional weight unit price, the additional weight refers to the difference between the total weight of the item and the first weight, and the additional weight unit price refers to a continuous weight The sum of the price corresponding to the unit weight).
在步骤S102中,使用者可以根据目标订单的物品信息、以及每一候选仓库针对目标订单中配送地址的历史配送时长信息和配送计费信息,在订单处理引擎中建立线性规划模型。其中,订单处理引擎是订单处理服务器中的特定功能单元,线性规划模型可以表示目标订单的履约仓库选取方式与至少一个履约评价指标之间的对应关系。具体地,每一履约仓库选取方式可以表征从候选仓库中选取的至少一个模拟履约仓库(即建模过程中假定的履约仓库,与下文的真实履约仓库相对而言)以及由该模拟履约仓库履约的目标订单物品,上述履约评价指标可以包括目标订单的配送时长、配送成本和/或拆单数量。可以理解,上述线性规划模型可以由目标函数和至少一个约束条件组成。In step S102, the user can establish a linear programming model in the order processing engine according to the item information of the target order, and the historical delivery duration information and delivery billing information of each candidate warehouse for the delivery address in the target order. Wherein, the order processing engine is a specific functional unit in the order processing server, and the linear programming model can represent the corresponding relationship between the selection method of the fulfillment warehouse of the target order and at least one performance evaluation index. Specifically, each fulfillment warehouse selection method can represent at least one simulated fulfillment warehouse selected from candidate warehouses (that is, the assumed fulfillment warehouse in the modeling process, as opposed to the real fulfillment warehouse below) and the fulfillment by the simulated fulfillment warehouse. The above-mentioned performance evaluation indicators may include the delivery time of the target order, the delivery cost and/or the number of split orders. It can be understood that the above linear programming model may consist of an objective function and at least one constraint condition.
特别地,线性规划模型的目标函数可以由三个履约评价指标(即配送时长、配送成本和拆单数量)相加而成,每一履约评价指标中包括预设的、处在零与一之间的权重值,以上权重值可以用于实现相应履约评价指标在所述目标函数中的开启或关闭、以及在相应履约评价指标开启的情况下表示相应履约评价指标在目标函数中的权重。即,将任一履约评价指标的相应权重值提高,即可增加该履约评价指标在目标函数中的权重,将任一履约评价指标的相应权重值降低,即可减小该履约评价指标在目标函数中的权重,将任一履约评价指标的相应 权重值设置为零,则可以关闭该履约评价指标,例如,将配送时长和拆单数量的权重值设置为零之后,线性规划模型即成为只与配送成本相关的模型。In particular, the objective function of the linear programming model can be formed by adding three performance evaluation indicators (namely, delivery time, delivery cost, and order split quantity), and each performance evaluation indicator includes a preset value between zero and one. The above weight values can be used to enable or disable the corresponding performance evaluation index in the objective function, and represent the weight of the corresponding performance evaluation index in the objective function when the corresponding performance evaluation index is turned on. That is, increasing the corresponding weight value of any performance evaluation index can increase the weight of the performance evaluation index in the objective function, and reducing the corresponding weight value of any performance evaluation index can reduce the performance evaluation index in the target function. The weight in the function, if the corresponding weight value of any performance evaluation index is set to zero, the performance evaluation index can be turned off. Models related to shipping costs.
作为一个优选方案,目标函数中的配送时长可以表示为:各模拟履约仓库针对目标订单中配送地址的历史配送时长平均值的加权和,计算该加权和所使用的权重为模拟履约仓库所履约物品的数量,目标函数中的配送成本可以表示为:面向企业配送方式成本与面向个人配送方式成本之和。As a preferred solution, the delivery duration in the objective function can be expressed as: the weighted sum of the average historical delivery durations of each simulated fulfillment warehouse for the delivery address in the target order, and the weight used to calculate the weighted sum is the fulfilled items of the simulated fulfillment warehouse The distribution cost in the objective function can be expressed as: the sum of the cost of the enterprise-oriented distribution method and the cost of the individual-oriented distribution method.
步骤S103:在订单处理引擎中对线性规划模型求解,得到使履约评价指标取最小值时的履约仓库选取方式,依据该履约仓库选取方式确定目标订单的真实履约仓库。Step S103: Solve the linear programming model in the order processing engine to obtain the selection method of the fulfillment warehouse when the performance evaluation index takes the minimum value, and determine the real fulfillment warehouse of the target order according to the selection method of the fulfillment warehouse.
在本步骤中,可以求解上述线性规则模型,从而得到履约评价指标取最小值对应的履约仓库选取方式,由此能够确定目标订单最终的真实履约仓库以及每一履约仓库所履约的物品。In this step, the above-mentioned linear rule model can be solved to obtain the selection method of the fulfillment warehouse corresponding to the minimum value of the performance evaluation index, so as to determine the final real fulfillment warehouse of the target order and the items fulfilled by each fulfillment warehouse.
图2是本公开实施例中确定订单履约仓库的方法的功能模块示意图,图3是本公开实施例中确定订单履约仓库的方法的具体流程示意图,以下将结合图2、3说明本公开的一个具体实施例。Fig. 2 is a schematic diagram of the functional modules of the method for determining the order fulfillment warehouse in the embodiment of the present disclosure, and Fig. 3 is a schematic flow chart of the specific method for determining the order fulfillment warehouse in the embodiment of the present disclosure, and one of the present disclosure will be described below in conjunction with Figs. 2 and 3 Specific examples.
本公开实施例中确定订单履约仓库的方法可以通过以下功能模块来实现:优化对象筛选器、基础数据加工器、策略下发器、履约定仓优化器和履约定仓效果计算器。The method for determining the order fulfillment warehouse in the embodiment of the present disclosure can be realized by the following functional modules: an optimization object filter, a basic data processor, a policy issuer, a performance contract warehouse optimizer, and a performance contract warehouse effect calculator.
具体执行步骤为:第一步,使用者通过优化对象筛选器制定筛选策略以进行目标订单的筛选。例如,将某种类型的订单作为目标订单。第二步,使用者基于优化对象筛选器将目标订单下发到基础数据加工器。第三步,基础数据加工器接收到优化对象筛选器下发的目标订单 之后,基于数据库中的发货仓库信息确定候选仓库信息(包括库存信息、历史配送时长信息、配送计费信息等)。第四步,使用者通过策略下发器选择优化策略,即确定每一履约评价指标的权重值。第五步,使用者通过履约定仓优化器收集到所需的各种数据之后,执行以下建模。The specific execution steps are as follows: first step, the user formulates a screening strategy through the optimization object filter to screen the target orders. For example, a certain type of order as a target order. In the second step, the user sends the target order to the basic data processor based on the optimization object filter. In the third step, after the basic data processor receives the target order issued by the optimization object filter, it determines the candidate warehouse information (including inventory information, historical delivery time information, delivery billing information, etc.) based on the delivery warehouse information in the database. In the fourth step, the user selects an optimization strategy through the strategy sender, that is, determines the weight value of each performance evaluation index. In the fifth step, the user performs the following modeling after collecting the various data required through the implementation of the warehouse optimization tool.
编号与集合:Numbering and collections:
输入参数:Input parameters:
决策变量:Decision variables:
目标函数:Objective function:
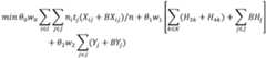
以上目标函数由三项相加而成。第一项表示配送时长,为各候选仓库的历史配送时长平均值tj的加权和,计算该加权和所使用的权重为模拟履约仓库所履约物品的数量ni。第二项表示配送成本,为C网成本与B网成本之和,C网成本为首重成本与续重成本之和。第三项为拆单数量。The above objective function is formed by adding three terms. The first item represents the delivery time, which is the weighted sum of the average historical delivery time tj of each candidate warehouse, and the weight used to calculate the weighted sum is the quantity ni of fulfilled items in the simulated fulfillment warehouse. The second item represents the distribution cost, which is the sum of the cost of network C and the cost of network B, and the cost of network C is the sum of the cost of the first weight and the cost of the continued weight. The third item is the quantity of split orders.
以下分别介绍每一约束条件。Each constraint is described below.
这三个约束条件限制每种物品只能由有能力满足该种物品全部数量的候选仓库履约。These three constraints restrict each item to be fulfilled only by candidate warehouses capable of fulfilling the full quantity of that item.
此约束条件限制每种物品只能从一个候选仓库履约。This constraint restricts each item to fulfillment from only one candidate warehouse.
这四个约束条件限制了各变量的大小关系,以及限制某个候选仓库至少履约一种物品才能成为履约仓库。These four constraints limit the size relationship of each variable, and restrict a candidate warehouse to fulfill at least one item before it can become a fulfilling warehouse.
在以上四个约束条件中,第一个约束条件对有报价候选仓库的首重费用进行限制,第二个约束条件对缺失报价候选仓库的首重费用进行限制,第三个约束条件对有报价候选仓库的续重费用进行限制,第四个约束条件对缺失报价候选仓库的续重费用进行限制。Among the above four constraints, the first constraint restricts the first-weight cost of candidate warehouses with quotations, the second constraint restricts the first-weight costs of candidate warehouses without quotations, and the third constraint restricts The renewing fee of the candidate warehouse is limited, and the fourth constraint restricts the renewing fee of the candidate warehouse for missing quotations.
这两个约束条件限制首重费用和续重费用非负。These two constraints restrict the first weight cost and the additional weight cost to be non-negative.
这三个约束条件对B网费用进行限制,并限制B网费用为计费重量和单价乘积、与最低成本之间的最大值。These three constraints limit the cost of network B, and limit the cost of network B to the maximum value between the product of billable weight and unit price and the minimum cost.
这两个约束条件限制重量小于30公斤同时体积小于1立方米的物品需要走C网履约。These two constraints restrict items with a weight of less than 30 kg and a volume of less than 1 cubic meter to be fulfilled through the C network.
这两个约束条件限制重量大于等于30公斤或者体积大于等于1立方米的物品可以走B网履约。需要说明的是,在这两个约束条件中引入变量BTj,从而避免变量相乘的情况发生,由此将非线性问题改变为线型问题,使模型成为线性规划模型,有利于加速模型求解。These two constraints restrict items with a weight greater than or equal to 30 kg or a volume greater than or equal to 1 cubic meter to be fulfilled through the B network. It should be noted that the variable BTj is introduced into these two constraints to avoid the multiplication of variables, thereby changing the nonlinear problem into a linear problem and making the model a linear programming model, which is conducive to accelerating the solution of the model .
该约束条件限制了两个变量的大小关系。This constraint restricts the magnitude relationship of the two variables.
以上三个约束条件用于计算变量Uk。The above three constraints are used to calculate the variable Uk .
该约束条件用于计算分公司的C网履约总重量。This constraint condition is used to calculate the total weight of the branch's C network fulfillment.
以上六个约束条件限制了各变量的取值范围。The above six constraints limit the value range of each variable.
该约束条件限制变量Wk为整数。实际应用中,可以取消该约束条件来加快模型求解。This constraint restricts the variable Wk to be an integer. In practical applications, this constraint can be canceled to speed up the model solution.
以上即为混合B网履约和C网履约两种配送计费规则的线性规划模型,具体应用中,将bsij全部设置为零时,该线性规划模型即成为C网规则下的履约定仓模型。The above is the linear programming model of the two distribution and billing rules that mix B-net fulfillment and C-net fulfillment. In a specific application, when all bsij are set to zero, the linear programming model becomes the fulfillment contract warehouse model under the C-net rule .
此后,可以将目标订单和候选仓库的相关信息输入以上线性规划模型并求解,即可得到使履约评价指标取最小值时的履约仓库选取方式,进而可以得到目标订单的真实履约仓库以及每一真实履约仓库所履约的物品。Afterwards, the relevant information of the target order and candidate warehouses can be input into the above linear programming model and solved, and the selection method of the fulfillment warehouse when the performance evaluation index takes the minimum value can be obtained, and then the real fulfillment warehouse of the target order and each real fulfillment warehouse can be obtained. Items fulfilled by the fulfillment warehouse.
最后,执行第六步,通过履约定仓效果计算器将计算出的定仓结果与现有规则得出的定仓结果进行配送时长、配送成本和拆单数量的比较,从而合理评价本公开方法的优化效果。Finally, the sixth step is performed, and the calculated result of the fixed position is compared with the result of the fixed position obtained by the existing rules through the performance of the fixed position effect calculator, so as to reasonably evaluate the disclosed method optimization effect.
在本公开实施例的技术方案中,在接收到目标订单之后,首先根据数据库服务器中的发货仓库信息确定目标订单对应的多个候选仓库;之后根据目标订单的物品信息、以及每一候选仓库针对目标订单中配送地址的历史配送时长信息和配送计费信息建立反映履约仓库选取方式与履约评价指标之间对应关系的线性规划模型,履约评价指标可以包括目标订单的配送时长、配送成本和/或拆单数量;最后,对线性规划模型求解,即可得到使履约评价指标取最小值时的履约仓库选取方式,依据该履约仓库选取方式即可确定目标订单的真实履约仓库。通过以上设置,能够基于数学规划方式并综合权衡配送时长、配送成本、拆单数量来实现最优的履约决策,由此提高供应链效率,提升用户体 验,并节省不必要的配送成本。此外,在本公开实施例中,还为配送时长、配送成本、拆单数量等履约评价指标设置权重值,从而可以根据实际需要开启或关闭任一履约评价指标、或者提高或降低任一履约评价指标在目标函数中的权重。In the technical solution of the embodiment of the present disclosure, after receiving the target order, first determine multiple candidate warehouses corresponding to the target order according to the delivery warehouse information in the database server; then according to the item information of the target order, and each candidate warehouse Based on the historical delivery time information and delivery billing information of the delivery address in the target order, establish a linear programming model that reflects the corresponding relationship between the selection method of the fulfillment warehouse and the performance evaluation index. The performance evaluation index can include the delivery time of the target order, delivery cost and/or or the number of dismantled orders; finally, by solving the linear programming model, the selection method of the fulfillment warehouse when the performance evaluation index takes the minimum value can be obtained, and the actual fulfillment warehouse of the target order can be determined according to the selection method of the fulfillment warehouse. Through the above settings, the optimal performance decision can be achieved based on the mathematical planning method and comprehensively weighing the delivery time, delivery cost, and the number of split orders, thereby improving supply chain efficiency, improving user experience, and saving unnecessary delivery costs. In addition, in the embodiment of the present disclosure, weight values are also set for performance evaluation indicators such as delivery time, delivery cost, and number of dismantled orders, so that any performance evaluation indicator can be turned on or off, or any performance evaluation can be increased or decreased according to actual needs. The weight of the indicator in the objective function.
需要说明的是,对于前述的各方法实施例,为了便于描述,将其表述为一系列的动作组合,但是本领域技术人员应该知悉,本公开并不受所描述的动作顺序的限制,某些步骤事实上可以采用其它顺序进行或者同时进行。此外,本领域技术人员也应该知悉,说明书中所描述的实施例均属于优选实施例,所涉及的动作和模块并不一定是实现本公开所必须的。It should be noted that, for the convenience of description, the foregoing method embodiments are expressed as a series of action combinations, but those skilled in the art should know that the present disclosure is not limited by the described action sequence, some The steps may in fact be performed in other orders or simultaneously. In addition, those skilled in the art should also know that the embodiments described in the specification belong to preferred embodiments, and the actions and modules involved are not necessarily necessary to realize the present disclosure.
为便于更好的实施本公开实施例的上述方案,下面还提供用于实施上述方案的相关装置。In order to better implement the above solutions of the embodiments of the present disclosure, related devices for implementing the above solutions are also provided below.
请参阅图4所示,本公开实施例提供的确定订单履约仓库的装置400可以包括:候选仓库确定单元401、建模单元402和求解单元403。Referring to FIG. 4 , the
其中,候选仓库确定单元401可用于:在接收到目标订单之后,基于预设的数据库服务器中的发货仓库信息获取目标订单对应的多个候选仓库;建模单元402可用于:根据目标订单的物品信息、以及每一候选仓库针对目标订单中配送地址的历史配送时长信息和配送计费信息,在预设的订单处理引擎中建立线性规划模型;其中,所述线性规划模型表示目标订单的履约仓库选取方式与至少一个履约评价指标之间的对应关系,每一履约仓库选取方式表征从所述候选仓库中选取的至少一个模拟履约仓库以及由该模拟履约仓库履约的目标订单物品,所述履约评价指标包括目标订单的配送时长、配送成本和/或拆单数量;求解单元403可用于:在所述订单处理引擎中对所述线性规划模型求解,得到使所述履约评价指标取最小值时的履约仓库选取方式,依据该履约仓库选取方式确定目标订单的真实履约仓库。Among them, the candidate warehouse determining unit 401 can be used to: after receiving the target order, obtain a plurality of candidate warehouses corresponding to the target order based on the delivery warehouse information in the preset database server; the
在本公开实施例中,所述线性规划模型的目标函数由三个所述履约评价指标相加而成,每一履约评价指标中包括预设的、处在零与一之间的权重值;其中,所述权重值用于:实现相应履约评价指标在所述目标函数中的开启或关闭、以及在相应履约评价指标开启的情况下表示相应履约评价指标在所述目标函数中的权重。In the embodiment of the present disclosure, the objective function of the linear programming model is formed by adding three performance evaluation indicators, and each performance evaluation indicator includes a preset weight value between zero and one; Wherein, the weight value is used to: enable or disable the corresponding performance evaluation index in the objective function, and represent the weight of the corresponding performance evaluation index in the objective function when the corresponding performance evaluation index is turned on.
作为一个优选方案,所述目标函数中的目标订单的配送时长为:各模拟履约仓库针对目标订单中配送地址的历史配送时长平均值的加权和,计算该加权和所使用的权重为模拟履约仓库所履约物品的数量。As a preferred solution, the delivery duration of the target order in the objective function is: the weighted sum of the average historical delivery durations of each simulated fulfillment warehouse for the delivery address in the target order, and the weight used to calculate the weighted sum is the simulated fulfillment warehouse The quantity of items fulfilled.
较佳地,在所述目标函数中的目标订单的配送成本为:面向企业配送方式成本与面向个人配送方式成本之和;其中,在任一仓库的库存满足目标订单中至少一种物品的数量、目标订单配送地址符合该仓库的面向企业配送条件、并且该种物品的重量或体积大于预设阈值时,该仓库以面向企业配送方式配送该种物品;在任一仓库的库存满足目标订单中至少一种物品的数量,同时,目标订单配送地址不符合该仓库的面向企业配送条件、或者该种物品的重量或体积都不大于预设阈值时,该仓库以面向个人配送方式配送该种物品;面向企业配送方式成本为:计费重量和单价乘积、与最低成本之间的最大值,面向个人配送方式成本为首重成本与续重成本之和。Preferably, the delivery cost of the target order in the objective function is: the sum of the cost of the delivery method for the enterprise and the cost of the delivery method for the individual; wherein, the inventory in any warehouse meets the quantity of at least one item in the target order, When the delivery address of the target order meets the warehouse's delivery conditions for enterprises, and the weight or volume of the item is greater than the preset threshold, the warehouse will deliver the item in the way of delivery for the enterprise; the inventory in any warehouse meets at least one of the target orders. At the same time, if the delivery address of the target order does not meet the warehouse's delivery conditions for enterprises, or the weight or volume of the item is not greater than the preset threshold, the warehouse will deliver the item in the personal delivery mode; The cost of the enterprise delivery method is: the maximum value between the product of the billable weight and the unit price, and the minimum cost, and the cost of the personal delivery method is the sum of the first weight cost and the additional weight cost.
图5示出了可以应用本公开实施例的确定订单履约仓库的方法或确定订单履约仓库的装置的示例性系统架构500。Fig. 5 shows an
如图5所示,系统架构500可以包括终端设备501、502、503,网络504和服务器505(此架构仅仅是示例,具体架构中包含的组件可以根据申请具体情况调整)。网络504用以在终端设备501、502、503和服务器505之间提供通信链路的介质。网络504可以包括各种连接类型,例如有线、无线通信链路或者光纤电缆等。As shown in Fig. 5, a
用户可以使用终端设备501、502、503通过网络504与服务器505交互,以接收或发送信息等。终端设备501、502、503上可以安装有各种客户端应用,例如履约仓库计算应用(仅为示例)。Users can use
终端设备501、502、503可以是具有显示屏并且支持网页浏览的各种电子设备,包括但不限于智能手机、平板电脑、膝上型便携计算机和台式计算机等等。The
服务器505可以是提供各种服务的服务器,例如对用户利用终端设备501、502、503所操作的履约仓库计算应用提供支持的订单处理服务器(仅为示例)。订单处理服务器可以对接收到的履约仓库计算请求等进行处理,并将处理结果(例如计算出的履约仓库标识,仅为示例)反馈给终端设备501、502、503。The
需要说明的是,本公开实施例所提供的确定订单履约仓库的方法一般由服务器505执行,确定订单履约仓库的装置一般也设置于服务器505中。It should be noted that the method for determining the order fulfillment warehouse provided by the embodiment of the present disclosure is generally executed by the
应该理解,图5中的终端设备、网络和服务器的数目仅仅是示意性的。根据实现需要,可以具有任意数目的终端设备、网络和服务器。It should be understood that the numbers of terminal devices, networks and servers in Fig. 5 are only illustrative. According to the implementation needs, there can be any number of terminal devices, networks and servers.
本公开还提供了一种电子设备。本公开实施例的电子设备包括:一个或多个处理器;存储装置,用于存储一个或多个程序,当所述一个或多个程序被所述一个或多个处理器执行,使得所述一个或多个处理器实现本公开所提供的确定订单履约仓库的方法。The present disclosure also provides an electronic device. The electronic device in the embodiment of the present disclosure includes: one or more processors; a storage device for storing one or more programs, when the one or more programs are executed by the one or more processors, so that the One or more processors implement the method for determining an order fulfillment warehouse provided by the present disclosure.
下面参考图6,其示出了适于用来实现本公开实施例的电子设备的计算机系统600的结构示意图。图6示出的电子设备仅仅是一个示例,不应对本公开实施例的功能和使用范围带来任何限制。Referring now to FIG. 6 , it shows a schematic structural diagram of a
如图6所示,计算机系统600包括中央处理单元(CPU)601,其可以根据存储在只读存储器(ROM)602中的程序或者从存储部分608加载到随机访问存储器(RAM)603中的程序而执行各种适当的动作和处理。在RAM603中,还存储有计算机系统600操作所需的各种程序和数据。CPU601、ROM 602以及RAM 603通过总线604彼此相连。输入/输出(I/O)接口605也连接至总线604。As shown in FIG. 6 , a
以下部件连接至I/O接口605:包括键盘、鼠标等的输入部分606;包括诸如阴极射线管(CRT)、液晶显示器(LCD)等以及扬声器等的输出部分607;包括硬盘等的存储部分608;以及包括诸如LAN卡、调制解调器等的网络接口卡的通信部分609。通信部分609经由诸如因特网的网络执行通信处理。驱动器610也根据需要连接至I/O接口605。可拆卸介质611,诸如磁盘、光盘、磁光盘、半导体存储器等等,根据需要安装在驱动器610上,以便从其上读出的计算机程序根据需要被安装入存储部分608。The following components are connected to the I/O interface 605: an input section 606 including a keyboard, a mouse, etc.; an
特别地,根据本公开公开的实施例,上文的主要步骤图描述的过程可以被实现为计算机软件程序。例如,本公开实施例包括一种计算机程序产品,其包括承载在计算机可读介质上的计算机程序,该计算机程序包含用于执行主要步骤图所示的方法的程序代码。在上述实施例中,该计算机程序可以通过通信部分609从网络上被下载和安装,和/或从可拆卸介质611被安装。在该计算机程序被中央处理单元601执行时,执行本公开的系统中限定的上述功能。In particular, according to the disclosed embodiments of the present disclosure, the process described in the main step diagram above can be implemented as a computer software program. For example, an embodiment of the present disclosure includes a computer program product, which includes a computer program carried on a computer-readable medium, where the computer program includes program code for executing the method shown in the main step diagram. In the above-described embodiments, the computer program can be downloaded and installed from the network via the communication section 609, and/or installed from the
需要说明的是,本公开所示的计算机可读介质可以是计算机可读信号介质或者计算机可读存储介质或者是上述两者的任意组合。计算机可读存储介质例如可以是——但不限于——电、磁、光、电磁、红外线、或半导体的系统、装置或器件,或者任意以上的组合。计算机可读存储介质的更具体的例子可以包括但不限于:具有一个或多个导 线的电连接、便携式计算机磁盘、硬盘、随机访问存储器(RAM)、只读存储器(ROM)、可擦式可编程只读存储器(EPROM或闪存)、光纤、便携式紧凑磁盘只读存储器(CD-ROM)、光存储器件、磁存储器件、或者上述的任意合适的组合。在本公开中,计算机可读存储介质可以是任何包含或存储程序的有形介质,该程序可以被指令执行系统、装置或者器件使用或者与其结合使用。在本公开中,计算机可读信号介质可以包括在基带中或者作为载波一部分传播的数据信号,其中承载了计算机可读的程序代码。这种传播的数据信号可以采用多种形式,包括但不限于电磁信号、光信号或上述任意合适的组合。计算机可读信号介质还可以是计算机可读存储介质以外的任何计算机可读介质,该计算机可读介质可以发送、传播或者传输用于由指令执行系统、装置或者器件使用或者与其结合使用的程序。计算机可读介质上包含的程序代码可以用任何适当的介质传输,包括但不限于:无线、电线、光缆、RF等等,或者上述的任意合适的组合。It should be noted that the computer-readable medium shown in the present disclosure may be a computer-readable signal medium or a computer-readable storage medium or any combination of the above two. A computer readable storage medium may be, for example, but not limited to, an electrical, magnetic, optical, electromagnetic, infrared, or semiconductor system, apparatus, or device, or any combination thereof. More specific examples of computer-readable storage media may include, but are not limited to, electrical connections with one or more wires, portable computer diskettes, hard disks, random access memory (RAM), read-only memory (ROM), erasable Programmable read-only memory (EPROM or flash memory), optical fiber, portable compact disk read-only memory (CD-ROM), optical storage device, magnetic storage device, or any suitable combination of the above. In the present disclosure, a computer-readable storage medium may be any tangible medium that contains or stores a program that can be used by or in conjunction with an instruction execution system, apparatus, or device. In the present disclosure, a computer readable signal medium may include a data signal carrying computer readable program code in baseband or propagated as part of a carrier wave. Such propagated data signals may take many forms, including but not limited to electromagnetic signals, optical signals, or any suitable combination of the foregoing. A computer readable signal medium may also be any computer readable medium other than a computer readable storage medium that can transmit, propagate, or transport a program for use by or in connection with an instruction execution system, apparatus, or device. Program code embodied on a computer readable medium may be transmitted using any appropriate medium, including but not limited to wireless, wireline, optical fiber cable, RF, etc., or any suitable combination of the foregoing.
附图中的流程图和框图,图示了按照本公开各种实施例的系统、方法和计算机程序产品的可能实现的体系架构、功能和操作。在这点上,流程图或框图中的每个方框可以代表一个模块、程序段、或代码的一部分,上述模块、程序段、或代码的一部分包含一个或多个用于实现规定的逻辑功能的可执行指令。也应当注意,在有些作为替换的实现中,方框中所标注的功能也可以以不同于附图中所标注的顺序发生。例如,两个接连地表示的方框实际上可以基本并行地执行,它们有时也可以按相反的顺序执行,这根据所涉及的功能而定。也要注意的是,框图或流程图中的每个方框、以及框图或流程图中的方框的组合,可以用执行规定的功能或操作的专用的基于硬件的系统来实现,或者可以用专用硬件与计算机指令的组合来实现。The flowchart and block diagrams in the Figures illustrate the architecture, functionality, and operation of possible implementations of systems, methods and computer program products according to various embodiments of the present disclosure. In this regard, each block in a flowchart or block diagram may represent a module, program segment, or portion of code that includes one or more logical functions for implementing specified executable instructions. It should also be noted that, in some alternative implementations, the functions noted in the block may occur out of the order noted in the figures. For example, two blocks shown in succession may, in fact, be executed substantially concurrently, or they may sometimes be executed in the reverse order, depending upon the functionality involved. It should also be noted that each block in the block diagrams or flowchart illustrations, and combinations of blocks in the block diagrams or flowchart illustrations, can be implemented by a dedicated hardware-based system that performs the specified function or operation, or can be implemented by a A combination of dedicated hardware and computer instructions.
描述于本公开实施例中所涉及到的单元可以通过软件的方式实现,也可以通过硬件的方式来实现。所描述的单元也可以设置在处理器中,例如,可以描述为:一种处理器包括候选仓库确定单元、建模单元和 求解单元。其中,这些单元的名称在某种情况下并不构成对该单元本身的限定,例如,候选仓库确定单元还可以被描述为“向建模单元提供候选仓库的单元”。The units involved in the embodiments described in the present disclosure may be implemented by software or by hardware. The described units can also be set in the processor, for example, it can be described as: a processor includes a candidate warehouse determination unit, a modeling unit and a solution unit. Wherein, the names of these units do not constitute a limitation of the unit itself under certain circumstances, for example, the candidate warehouse determination unit may also be described as "a unit that provides candidate warehouses to the modeling unit".
作为另一方面,本公开还提供了一种计算机可读介质,该计算机可读介质可以是上述实施例中描述的设备中所包含的;也可以是单独存在,而未装配入该设备中的。上述计算机可读介质承载有一个或者多个程序,当上述一个或者多个程序被该设备执行时,使得该设备执行的步骤包括:在接收到目标订单之后,基于预设的数据库服务器中的发货仓库信息获取目标订单对应的多个候选仓库;根据目标订单的物品信息、以及每一候选仓库针对目标订单中配送地址的历史配送时长信息和配送计费信息,在预设的订单处理引擎中建立线性规划模型;所述线性规划模型表示目标订单的履约仓库选取方式与至少一个履约评价指标之间的对应关系,每一履约仓库选取方式表征从所述候选仓库中选取的至少一个模拟履约仓库以及由该模拟履约仓库履约的目标订单物品,所述履约评价指标包括目标订单的配送时长、配送成本和/或拆单数量;在所述订单处理引擎中对所述线性规划模型求解,得到使所述履约评价指标取最小值时的履约仓库选取方式,依据该履约仓库选取方式确定目标订单的真实履约仓库。As another aspect, the present disclosure also provides a computer-readable medium. The computer-readable medium may be included in the device described in the above-mentioned embodiments; . The above-mentioned computer-readable medium bears one or more programs, and when the above-mentioned one or more programs are executed by the device, the step of causing the device to perform includes: after receiving the target order, based on the default dispatch in the database server According to the item information of the target order, and the historical delivery duration information and delivery billing information of each candidate warehouse for the delivery address in the target order, in the preset order processing engine Establishing a linear programming model; the linear programming model represents the corresponding relationship between the selection method of the fulfillment warehouse of the target order and at least one performance evaluation index, and each selection method of the fulfillment warehouse represents at least one simulated fulfillment warehouse selected from the candidate warehouses As well as the target order item fulfilled by the simulated fulfillment warehouse, the performance evaluation index includes the delivery time of the target order, delivery cost and/or the number of dismantled orders; the linear programming model is solved in the order processing engine to obtain The selection method of the performance warehouse when the performance evaluation index takes the minimum value, and the actual performance warehouse of the target order is determined according to the selection method of the performance warehouse.
在本公开实施例的技术方案中,在接收到目标订单之后,首先根据数据库服务器中的发货仓库信息确定目标订单对应的多个候选仓库;之后根据目标订单的物品信息、以及每一候选仓库针对目标订单中配送地址的历史配送时长信息和配送计费信息建立反映履约仓库选取方式与履约评价指标之间对应关系的线性规划模型,履约评价指标可以包括目标订单的配送时长、配送成本和/或拆单数量;最后,对线性规划模型求解,即可得到使履约评价指标取最小值时的履约仓库选取方式,依据该履约仓库选取方式即可确定目标订单的真实履约仓库。通过以上设置,能够基于数学规划方式并综合权衡配送时长、配送成本、拆单数量来实现最优的履约决策,由此提高供应链效率,提升用户体 验,并节省不必要的配送成本。此外,在本公开实施例中,还为配送时长、配送成本、拆单数量等履约评价指标设置权重值,从而可以根据实际需要开启或关闭任一履约评价指标、或者提高或降低任一履约评价指标在目标函数中的权重。In the technical solution of the embodiment of the present disclosure, after receiving the target order, first determine multiple candidate warehouses corresponding to the target order according to the delivery warehouse information in the database server; then according to the item information of the target order, and each candidate warehouse Based on the historical delivery time information and delivery billing information of the delivery address in the target order, establish a linear programming model that reflects the corresponding relationship between the selection method of the fulfillment warehouse and the performance evaluation index. The performance evaluation index can include the delivery time of the target order, delivery cost and/or or the number of dismantled orders; finally, by solving the linear programming model, the selection method of the fulfillment warehouse when the performance evaluation index takes the minimum value can be obtained, and the actual fulfillment warehouse of the target order can be determined according to the selection method of the fulfillment warehouse. Through the above settings, the optimal performance decision can be achieved based on the mathematical planning method and comprehensively weighing the delivery time, delivery cost, and the number of split orders, thereby improving supply chain efficiency, improving user experience, and saving unnecessary delivery costs. In addition, in the embodiment of the present disclosure, weight values are also set for performance evaluation indicators such as delivery time, delivery cost, and number of dismantled orders, so that any performance evaluation indicator can be turned on or off, or any performance evaluation can be increased or decreased according to actual needs. The weight of the indicator in the objective function.
上述具体实施方式,并不构成对本公开保护范围的限制。本领域技术人员应该明白的是,取决于设计要求和其他因素,可以发生各种各样的修改、组合、子组合和替代。任何在本公开的精神和原则之内所作的修改、等同替换和改进等,均应包含在本公开保护范围之内。The specific implementation manners described above do not limit the protection scope of the present disclosure. It should be apparent to those skilled in the art that various modifications, combinations, sub-combinations and substitutions may occur depending on design requirements and other factors. Any modifications, equivalent replacements and improvements made within the spirit and principles of the present disclosure shall be included within the protection scope of the present disclosure.
| Application Number | Priority Date | Filing Date | Title |
|---|---|---|---|
| CN202110513416.3ACN113239317B (en) | 2021-05-11 | 2021-05-11 | Method and device for determining order performance warehouse |
| CN202110513416.3 | 2021-05-11 |
| Publication Number | Publication Date |
|---|---|
| WO2022237667A1true WO2022237667A1 (en) | 2022-11-17 |
| Application Number | Title | Priority Date | Filing Date |
|---|---|---|---|
| PCT/CN2022/091370CeasedWO2022237667A1 (en) | 2021-05-11 | 2022-05-07 | Method and apparatus for determining order fulfillment warehouse |
| Country | Link |
|---|---|
| CN (1) | CN113239317B (en) |
| WO (1) | WO2022237667A1 (en) |
| Publication number | Priority date | Publication date | Assignee | Title |
|---|---|---|---|---|
| CN115965440A (en)* | 2022-12-21 | 2023-04-14 | 北京沃东天骏信息技术有限公司 | A business processing method, device, electronic device, and computer-readable medium |
| CN117893116A (en)* | 2024-03-14 | 2024-04-16 | 宁波蓝犀信息科技有限公司 | Data processing method, device and system |
| CN118096029A (en)* | 2024-04-23 | 2024-05-28 | 宁波安得智联科技有限公司 | Order aging analysis method, device, equipment and computer storage medium |
| CN118568369A (en)* | 2024-07-30 | 2024-08-30 | 浙江口碑网络技术有限公司 | Address recommendation method and device, electronic equipment and computer storage medium |
| Publication number | Priority date | Publication date | Assignee | Title |
|---|---|---|---|---|
| CN113239317B (en)* | 2021-05-11 | 2024-02-13 | 北京沃东天骏信息技术有限公司 | Method and device for determining order performance warehouse |
| CN113689264A (en)* | 2021-08-26 | 2021-11-23 | 商派软件有限公司 | Order fulfillment method and system |
| CN114418482A (en)* | 2021-12-23 | 2022-04-29 | 杭州拼便宜网络科技有限公司 | Order information processing method, apparatus, electronic device and computer readable medium |
| CN114819840A (en)* | 2022-05-10 | 2022-07-29 | 北京沃东天骏信息技术有限公司 | Warehouse information processing method and device and storage medium |
| CN115293705A (en)* | 2022-08-18 | 2022-11-04 | 北京小米移动软件有限公司 | Warehouse site selection method, device and medium |
| CN115345716B (en)* | 2022-10-17 | 2023-03-24 | 北京永辉科技有限公司 | Method, system, medium and electronic device for estimating order fulfillment duration |
| CN116485314A (en)* | 2023-06-16 | 2023-07-25 | 北京京东乾石科技有限公司 | Method and device for inventory allocation |
| CN116862345A (en)* | 2023-07-14 | 2023-10-10 | 壹站(上海)供应链管理有限公司 | Delivery mode planning method and system based on performance |
| CN116797144B (en)* | 2023-08-23 | 2023-11-28 | 广州淘通科技股份有限公司 | Logistics warehouse screening method and device based on order information |
| CN117078150B (en)* | 2023-10-17 | 2024-02-09 | 深圳市中农易讯信息技术有限公司 | Agricultural product conveying path optimization method |
| CN117974009B (en)* | 2024-03-27 | 2024-07-16 | 北京京东乾石科技有限公司 | Method and device for determining task splitting rate, electronic equipment and storage medium |
| CN120235315B (en)* | 2025-05-29 | 2025-08-26 | 浙江子不语电子商务有限公司 | Supply chain optimization processing method and system |
| Publication number | Priority date | Publication date | Assignee | Title |
|---|---|---|---|---|
| US20170228812A1 (en)* | 2016-02-08 | 2017-08-10 | International Business Machines Corporation | System and method for optimizing delivering sources of online orders |
| CN111292030A (en)* | 2018-12-10 | 2020-06-16 | 北京京东尚科信息技术有限公司 | Bin selection method and device and computer readable storage medium |
| CN112308477A (en)* | 2020-03-24 | 2021-02-02 | 北京沃东天骏信息技术有限公司 | Inventory positioning method and device |
| CN112329970A (en)* | 2020-04-14 | 2021-02-05 | 北京沃东天骏信息技术有限公司 | Order information processing method, apparatus, computer equipment and medium |
| CN113239317A (en)* | 2021-05-11 | 2021-08-10 | 北京沃东天骏信息技术有限公司 | Method and device for determining order fulfillment warehouse |
| Publication number | Priority date | Publication date | Assignee | Title |
|---|---|---|---|---|
| CN111047241A (en)* | 2018-10-15 | 2020-04-21 | 北京京东尚科信息技术有限公司 | Inventory management method, apparatus, and computer-readable storage medium |
| CN111369031A (en)* | 2018-12-25 | 2020-07-03 | 顺丰科技有限公司 | A kind of warehouse planning method and device |
| Publication number | Priority date | Publication date | Assignee | Title |
|---|---|---|---|---|
| US20170228812A1 (en)* | 2016-02-08 | 2017-08-10 | International Business Machines Corporation | System and method for optimizing delivering sources of online orders |
| CN111292030A (en)* | 2018-12-10 | 2020-06-16 | 北京京东尚科信息技术有限公司 | Bin selection method and device and computer readable storage medium |
| CN112308477A (en)* | 2020-03-24 | 2021-02-02 | 北京沃东天骏信息技术有限公司 | Inventory positioning method and device |
| CN112329970A (en)* | 2020-04-14 | 2021-02-05 | 北京沃东天骏信息技术有限公司 | Order information processing method, apparatus, computer equipment and medium |
| CN113239317A (en)* | 2021-05-11 | 2021-08-10 | 北京沃东天骏信息技术有限公司 | Method and device for determining order fulfillment warehouse |
| Publication number | Priority date | Publication date | Assignee | Title |
|---|---|---|---|---|
| CN115965440A (en)* | 2022-12-21 | 2023-04-14 | 北京沃东天骏信息技术有限公司 | A business processing method, device, electronic device, and computer-readable medium |
| CN117893116A (en)* | 2024-03-14 | 2024-04-16 | 宁波蓝犀信息科技有限公司 | Data processing method, device and system |
| CN117893116B (en)* | 2024-03-14 | 2024-05-28 | 宁波蓝犀信息科技有限公司 | Data processing method, device and system |
| CN118096029A (en)* | 2024-04-23 | 2024-05-28 | 宁波安得智联科技有限公司 | Order aging analysis method, device, equipment and computer storage medium |
| CN118568369A (en)* | 2024-07-30 | 2024-08-30 | 浙江口碑网络技术有限公司 | Address recommendation method and device, electronic equipment and computer storage medium |
| Publication number | Publication date |
|---|---|
| CN113239317A (en) | 2021-08-10 |
| CN113239317B (en) | 2024-02-13 |
| Publication | Publication Date | Title |
|---|---|---|
| WO2022237667A1 (en) | Method and apparatus for determining order fulfillment warehouse | |
| CN112884405B (en) | Price inquiry system and scheduling method thereof | |
| CN110070244A (en) | Supplier evaluation method, system, electronic equipment and computer-readable medium | |
| US20220391783A1 (en) | Stochastic demand model ensemble | |
| US12417433B2 (en) | Warehousing data processing method and apparatus, medium, and electronic device | |
| CN113095893A (en) | Method and device for determining sales of articles | |
| CN113111133A (en) | User classification method and device | |
| CN114663015B (en) | Replenishment method and device | |
| CN110689157A (en) | Method and device for determining call relation | |
| CN113780922B (en) | Method and device for determining goods flow direction and flow | |
| CN107301519A (en) | A kind of task weight pricing method in mass-rent express system | |
| CN110827102B (en) | Method and device for adjusting goods price | |
| CN113780699B (en) | Resource allocation method, resource allocation device and electronic equipment | |
| CN113743906A (en) | Method and device for determining service processing strategy | |
| CN109961161A (en) | Commodity management method, system, electronic device, and computer-readable medium | |
| CN110008970A (en) | A kind of address information generation method and device | |
| CN110880119B (en) | Data processing method and device | |
| CN114445102A (en) | Quotation data processing method and device | |
| CN110991923A (en) | Architecture construction method, apparatus, electronic device and medium | |
| CN116911708A (en) | A method and device for processing logistics information | |
| CN110838019A (en) | Method and device for determining the population of trial product distribution | |
| CN110956478A (en) | Method and device for determining incoming quantity of items | |
| CN115115313A (en) | A method and device for managing order timeliness | |
| CN114997779A (en) | Storage processing method and device, electronic equipment and computer readable medium | |
| CN112785358A (en) | Order fulfillment merchant access method and device |
| Date | Code | Title | Description |
|---|---|---|---|
| 121 | Ep: the epo has been informed by wipo that ep was designated in this application | Ref document number:22806633 Country of ref document:EP Kind code of ref document:A1 | |
| NENP | Non-entry into the national phase | Ref country code:DE | |
| 32PN | Ep: public notification in the ep bulletin as address of the adressee cannot be established | Free format text:NOTING OF LOSS OF RIGHTS PURSUANT TO RULE 112(1) EPC (EPO FORM 1205 DATED 13/03/2024) | |
| 122 | Ep: pct application non-entry in european phase | Ref document number:22806633 Country of ref document:EP Kind code of ref document:A1 |