Movatterモバイル変換


[0]ホーム

URL:


WO2022197877A1 - Methods and compositions for time delayed bio-orthogonal release of cytotoxic agents - Google Patents

Methods and compositions for time delayed bio-orthogonal release of cytotoxic agents
Download PDF

Info

Publication number
WO2022197877A1
WO2022197877A1PCT/US2022/020674US2022020674WWO2022197877A1WO 2022197877 A1WO2022197877 A1WO 2022197877A1US 2022020674 WUS2022020674 WUS 2022020674WWO 2022197877 A1WO2022197877 A1WO 2022197877A1
Authority
WO
WIPO (PCT)
Prior art keywords
antibody
pharmaceutically acceptable
compound
adc
acceptable salt
Prior art date
Legal status (The legal status is an assumption and is not a legal conclusion. Google has not performed a legal analysis and makes no representation as to the accuracy of the status listed.)
Ceased
Application number
PCT/US2022/020674
Other languages
French (fr)
Inventor
Jack David SADOWSKY
Thomas Harden Pillow
Pragya ADHIKARI
Charles Andrew BOSWELL
Current Assignee (The listed assignees may be inaccurate. Google has not performed a legal analysis and makes no representation or warranty as to the accuracy of the list.)
Genentech Inc
Original Assignee
Genentech Inc
Priority date (The priority date is an assumption and is not a legal conclusion. Google has not performed a legal analysis and makes no representation as to the accuracy of the date listed.)
Filing date
Publication date
Application filed by Genentech IncfiledCriticalGenentech Inc
Publication of WO2022197877A1publicationCriticalpatent/WO2022197877A1/en
Anticipated expirationlegal-statusCritical
Ceasedlegal-statusCriticalCurrent

Links

Classifications

Definitions

Landscapes

Abstract

Provided herein are antibody drug conjugates (ADCs) comprising an antibody or fragment thereof and cytotoxic (CTA), wherein the activity of the cytotoxic agent is masked by a moiety comprising a transcyclooctene (TCO) group. Further provided are methods of using said ADC, for example in combination with a trigger compound comprising a tetrazine group. Also provided are ADCs of formula (A), (A-1), (A-1a), and (B), or pharmaceutically acceptable salts thereof; and trigger compounds of formula (X), (I), and (II), or pharmaceutically acceptable salts thereof.

Description

METHODS AND COMPOSITIONS FOR TIME DELAYED BIO-ORTHOGONAL RELEASE OF CYTOTOXIC AGENTS
CROSS-REFERENCE TO RELATED APPLICATIONS
[0001 ] This application claims the benefit of priority to US Provisional Application No. 63/163,249, filed March 19, 2021, the disclosure of which is incorporated herein by reference in its entirety.
FIELD OF THE INVENTION
[0002] The subject matter described herein relates generally to antibody-drug conjugates (ADCs) for intratumoral drug delivery, and methods of treating subjects with said ADCs.
BACKGROUND
[0003] Achieving tumor-selective activity of small or large molecule therapeutics is a key goal for the effective treatment of cancer without adverse side effects. Antibody-drug conjugate (ADC) therapy is an established strategy to address this challenge, combining the targeting ability of an antibody with the cytotoxic activity of a chemotherapeutic payload. However, while some ADC therapeutics have been commericalized successfully, the modality as a whole still has significant challenges, including nonspecific toxicity from pinocytosis and the release of payload in normal tissues.
[0004] Prodrug approaches to improve the selective activity of ADCs in tumors rely on tumor-specific factors to uncage an inactive form of the molecule. For example, the presence of proteases and pH differentials can be used as prodrug triggers. Proteases degrade the extracellular matrix surrounding the tumor and promote spreading of tumor cells to distal sites (metastasis), while tumor tissue typically has lower pH due to excess metabolic acitvity compared to normal tissue. Prodrug approaches rely upon the innate presence of a significant differential in the concentration or activity of the unmasking agent in tumor versus normal tissues. However, in practice, tumor-endogenous factors often differ in activity and/or degree from patient to patient, and across primary versus secondary tumors in the same patient, potentially complicating their broad use in the clinic.
[0005] Extrinsic prodrug approaches, where activation is induced via an exogenously- applied stimulus (e.g., light or administration of an activator or catalyst) may enable more patient- and tumor-agnostic control over drug activity. Biorthogonal chemistry presents one such solution to prodrug activation. The Inverse-Electron Demand Diels Alder (IEDDA) click reaction between a trans-cyclooctene (TCO) and tetrazine (Tz) has enabled bond forming and bond-breaking reactions to be initiated at will in living systems. Bond-forming TCO/Tz reactions have seen applications primarily in tumor imaging, for example to enhance contrast. Bond-breaking TCO/Tz reactions have been applied for therapeutic and basic research purposes, including one approach that has entered the clinic for treatment of sarcomas. Some bond-breaking TCO/Tz systems have facilitated intracellular activation of probes or other molecules in vitro, or extracellular payload release from non-internalizing ADCs in vivo. However, there remains a need for effective systems that enable prodrug activation inside a tumor cell to effect an anti-tumor response.
[0066] Thus, there is a need for an ADC system that enables intratumoral prodrug activation in an extrinsic and temporally-controlled fashion.
BRIEF SUMMARY
[0007] In some aspects, provided herein is a method of treating a disorder in a subject in need thereof, comprising administering to the subject in need thereof:
(a) a first composition comprising an ADC, wherein the ADC comprises: an antibody or fragment thereof, wherein the antibody or fragment thereof is capable of binding to and being internalized by a target cell; a cytotoxic agent (CTA); a concentrating moiety; and a masking moiety comprising a transcyclooctene (TCO) functional group; wherein the antibody or fragment thereof is connected to the CTA directly or through an antibody linker, and the concentrating moiety and masking moiety are connected to the cytotoxic agent; and
(b) a second composition comprising a trigger compound, wherein the trigger compound comprises a tetrazine functional group; wherein the second composition is administered after the first composition, and the cytotoxic agent is released by intracellular interaction of the masking moiety and the trigger compound.
[6008] In other aspects, provided herein is an ADC of formula (A) or (B):
Figure imgf000004_0001
or a pharmaceutically acceptable salt thereof, wherein:
Rx and Ry are independently C1-C3 alkyl or H, or together form a C2-C3 bridge connecting the nitrogen atoms to which they are attached;
Rz is H, C1-C6 alkyl, or Ci-Cehaloalkyl;
Ab is an antibody or fragment thereof that binds to and is internalized by a target cell; L1 is a linker;
CTA is a cytotoxic agent;
RA is a concentrating moiety; n, if present, is 1 or 2; and m is an integer from 1 to 6.
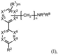
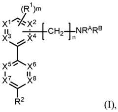
[0069] In yet other aspects, provided herein is a compound of formula (I),
Figure imgf000004_0002
or a pharmaceutically acceptable salt thereof, wherein:
(i) each of X1, X2, X3, and X4 is N; and zero to two of X5, X6, X7, and X8 is N, and the remainder are CH; or
(ii) each of X5, X6, X7, and X8 is N; and zero to two of X1, X2, X3, and X4 is N, and the remainder are CH; RA and RB are independently Ci-C6alkyl or Ci-Cehaloalkyl, or together with the nitrogen to which they are attached form a 3-7 membered saturated heterocyclyl, wherein the heterocyclyl comprises one or two heteroatoms independently selected from O and N, and wherein the heterocyclyl is unsubstituted or substituted with one to three substituents independently selected from the group consisting of halo, -OH, Ci-C6alkoxy, and Ci- Cehaloalkoxy; each R1 is independently selected from the group consisting of halo, Ci-C6alkyl, Ci- Cehaloalkyl, -OH, Ci-C6alkoxy, Ci-Cehaloalkoxy, and -NRlaRlb; wherein each Rla and Rlb is independently H, Ci-C6alkyl, or Ci-Cehaloalkyl;
R2 is H, halo, Ci-C6alkyl, Ci-Cehaloalkyl, -OH, Ci-C6alkoxy, Ci-Cehaloalkoxy, -NR2aR2b, -SR2c, heterocycloalkyl, or phenyl, wherein the phenyl is unsubstituted or substituted with one or more substituents independently selected from the group consisting of halo, -OH, Ci-C6alkoxy, Ci-Cehaloalkoxy, and -NR2dR2e; wherein each R2a, R2b, R2c, R2d, and R2e is independently H, Ci-C6alkyl, or Ci-Cehaloalkyl; m is 0, 1, or 2; and n is 1, 2, or 3; wherein when each of X1, X2, X3, and X4 is N; each of X5, X6, X7, and X8 is CH; m is 0; and RA and RB are both methyl; then n is 1.
DESCRIPTION OF THE DRAWINGS
[0010] The patent or application file contains at least one drawing executed in color.
Copies of this patent or patent application publication with color drawing(s) will be provided by the Office upon request and payment of the necessary fee.
[0011] FIG. 1 is a schematic depicting the mechanism of delivery and release of a CTA from an exemplary ADC. The CTA is a pyrrolobenzodiazepine (PBD) dimer conjugated to an engineered Cys residue of an antibody, through a peptide linker. The PBD dimer toxicity is attenuated in the initial ADC (upper left) by the masking moiety attached to the N10 nitrogen of one of the two PBD units. After internalization by a cell, the linker is cleaved, and the masked-drug catabolite (masked CTA) is retained in the cell. After a delay, administration of a tetrazine releases the masking moiety via an inverse-electron Diels- Alder reaction between the tetrazine and the TCO group, releasing the fully-active and cell- permeable PBD dimer. [0012] FIGS. 2A-2B provide LCMS characterization of products from the reaction of various tetrazines with an exemplary ADC. The masked ADC was incubated at 37 °C with excess tetrazine for 24 hours. The resulting LCMS spectra are shown in FIG. 2A. The key for reaction products is shown in FIG. 2B.
[0013] FIG. 3 depicts the percent of fluorescent probe release induced at pH 7.4 versus pH 5.5 by tetrazines after 15 minutes or 24 hours from a fluorescence-based assay evaluating the click/release efficiency of different tetrazines.
[0014] FIGS. 4A-4D depict an in vitro cell-based assay of intracellular activation of an exemplary masked ADC. FIG. 4A provides a schematic for the assay, in which cells are pulsed with ADC, followed by a delay and a wash, then tetrazine is added as a dose-response, followed by a second delay and wash, and cell viability is measured 5 days later. FIG. 4B depicts the cell viability over a range of masked ADC or unmasked ADC concentration. FIG. 4C depicts the cell viability over a range of tetrazine trigger compound concentration, comparing cell-permeable tetrazine 3 with cell-impermeable tetrazine DOTA-3. FIG. 4D depicts results of the same assay, but wherein the ADC was pre-incubated with tetrazine 3 or DOTA-3 prior to adding to the cells.
[0015] FIG. 5 depicts the effect of exemplary ADCs comprising either Val-Cit or Sq-Cit linkers on SW900 cells. The “masked ADC” comprises a masking moiety as described herein. The “parent ADC” comprises the same CTA, linker, and antibody, but without a masking moiety.
[0016] FIG. 6 provides a graph comparing the effect of different concentrations of ADC in the in vitro cell based assay depicted in FIG. 4A. The ADC was pulsed for 24 hours and tetrazine chased for 15 minutes.
[0017] FIG. 7 provides a graph comparing the effect on cell viability of different tetrazines, tetrazine concentrations, and for different chase times, using the in vitro cell based assay depicted in FIG. 4A.
[0018] FIG. 8 provides a graph comparing the effect of different on the viability of SW900 cells, in the absence of ADC.
[0019] FIGS. 9A-9I are tables summarizing evaluated tetrazines, and other non-tetrazine compounds (compounds 33-35). [0020] FIG. 10 depicts a graph of potency of various tetrazines (23-26) and cell- impermeable controls (DOTA-25 and DOTA-26) in the intracellular activation of a masked CTA catabolite in SW9000 cells.
[0021] FIG. 11 provides a stability assessment of an exemplary ADC in mouse. The top schematic provides the ADC structure and possible cleavage, isomerization, or deconjugation events. The top spectrum is a mass spectrometry analysis of the conjugate prior to dosing. Seven days following dosing, conjugate was affinity-purified from blood and was analyzed as-is (middle spectrum) or incubated with tetrazine 5 to effect CTA release ex vivo and analyzed (bottom spectrum).
[0022J FIGS. 12A-12D describes the biodistribution of an exemplary Ly6E-targeted PBD dimer ADC and catabolite in HCC1569X2 tumor-bearing mice. FIG. 12A provides the structure of radiolabeled ADC and control DOTA conjugates, indicating location of125I andluIn radiolabels (DOTA and antibody tyrosines, respectively). FIG. 12B provides a SPECT- CT imaging showing signal fromluIn-DOTA species for anti-Ly6E DOTA and ADC conjugates. Tumor indicated by white arrow at 6 day timepoint. FIG. 12C provides the Indium-111 signal as % injected dose (%ID) in blood for the ADC conjugate. FIG. 12D illustrates ADC catabolite (luIn-125I) quantitation in harvested tissues from sacrificed animals. Unless otherwise indicated (as in FIG. 12D), data were collected for the Val-Cit- linked ADC.
[0023] FIG. 13 provides in vivo efficacy of anti-Ly6E Val-Cit and Sq-Cit PBD dimer unmasked and masked (M) ADC conjugates at indicated single doses in the HCC 1569X2 mouse xenograft model. Individual curves represent data for single animals with the average shown as a black solid line.
[0024J FIG. 14 illustrates assessment of in vivo tolerability, measured as body weight change, of anti-Ly6E Val-Cit and Sq-Cit PBD dimer unmasked and masked (M) conjugates in the HCC1569X2 mouse xenograft model. Values in parentheses represent dose of conjugate in mg/kg. Individual curves represent data for single animals with the average shown as a black solid line. Masked conjugates are noted by (M).
[0025] FIGS. 15A-15C demonstrate the intratumoral activation of an exemplary Ly6E- targeted ADC in a HCC1569X2 mouse xenograft model. FIG. 15A provides dosing schedules A and B, employing either a 3 or 6 day delay, respectively, between administering IV masked ADC and tetrazine (27 or DOTA-3) at the doses indicated. FIG. 15B illustrates tumor-growth inhibition (TGI) resulting from time-delayed activation of masked ADC by tetrazines 27 or DOTA-3 at either 0.5 or 1.0 mpk under dosing schedule A or B. Percent TGI relative to DOTA-3 is indicated. FIG. 15C provides ex vivo mass spectrometry analysis of conjugate isolated one day following administration of either DOTA-3 or 27 at 0.5 mpk masked ADC under schedule B. Unmasked ADC and byproduct peaks are designated.
DARO, 1 and 2 species, corresponding to species with zero, one or two completely activated PBD payloads, respectively, were quantified (bar graphs).
[0026] FIG. 16 provides the tolerability of tetrazines DOTA-3, 27, 23, and 24 in naive mice after single IV dose, measured as % body weight change over 7 days. Values in parentheses are tetrazine doses in umol/kg.
[0027] FIGS. 17A-17B demonstrate anti-Ly6E masked ADC activation by tetrazines in a HCC1569X2 mouse xenograft model. Masked ADC was administered by a single IV injection on day 0 at a dose of 0.5 mg/kg. Tetrazines shown (or vehicle) were administered by a second IV injection on day 6 at the doses indicated in parentheses in umol/kg. Two separate studies were conducted with different sets of tetrazines: FIG. 17A. DOTA-3, 27, 8, 23, 28, 29, 30, 14, 31 or 32 at maximally-tolerated doses with %TGI for each calculated relative to the tumor growth curve for DOTA-3. FIG. 17B. 23 and 24 at different doses. FIG. 17C provides assessment of additional tetrazines. Average tumor volume at each timepoint is illustrated as a solid black curve with individual animals (n=8) also shown as connected data points. In FIG. 17A and 17C, averaged vehicle tumor volume curve is shown as a dot-dash line.
[0028] FIGS. 18A-18B provides alternative delivery vehicles for components of the ADC activation system described herein. FIG. 18A dosing of Ly6E-expressing SW900 cells with 500 ng/mL of a TCO-masking moiety-DOTA PBD dimer payload conjugated to the anti- Ly6E THIOMAB™ antibody was chased with a tetrazine conjugated to either the same anti- Ly6E antibody or to an anti-CD22 (non-targeted) antibody for free tetrazines. FIG. 18B dosing of SW900 cells with 500 ng/mL of the TCO-masking moiety-DOTA PBD dimer payload conjugated to either the anti-Ly6E THIOMAB™ or the Cys-engineered Fab derived from the full THIOMAB™ antibody (THIOFab) was chased with tetrazine 27. In both figures, cell viability was measured as a function of concentration of tetrazine conjugated (FIG. 18 A) or unconjugated form (FIG. 18B). [0029] FIGS. 19A-19B provide a summary of parallel artificial membrane permeability (PAMPA) data at different pH’s, calcualted pKa of the most basic functional moiety prsent, and whole blood stability data (T1/2) for various tetrazine compounds.
DETAILED DESCRIPTION
[0030] Disclosed herein are ADCs comprising an antibody or fragment thereof and cytotoxic (CTA), wherein the activity of the cytotoxic agent is masked by a moiety comprising a transcyclooctene (TCO) group. The masking moiety may be removed by interaction with a tetrazine (Tz) group present in a trigger compound, releasing the active CTA. Thus, the ADCs provided herein may be useful in temporally-controlled administration of a CTA by administration of the ADC and then, after a period of time, the trigger compound.
[0031] Utilizing an antibody or fragment thereof that is capable of binding to and being internalized by a cell in combination with a cell-permable trigger compound may further reduce off-target side effects compared to other methods of administering similar CTAs, or other ADC systems. Non-intemalized ADC is provided time to dissipate from the system, such that once the trigger compound is administered, the majority of active CTA is released intracellularly. In some embodiments, once internalized, the antibody or fragment thereof becomes separated from the masked CTA, such as by enzymatic cleaveage of a linker connecting the two components. A concentrating moiety may also be connected to the CTA, such as through a linker, to inhibit internalized ADC and/or internalized masked CTA from exiting the cell prior to interaction with the trigger compound.
[0032] “Alkyl” as used herein refers to a saturated linear (i.e. unbranched) or branched univalent hydrocarbon chain or combination thereof, having the number of carbon atoms designated ( e.g C1-C10 means one to ten carbon atoms). Particular alkyl groups are those having 1 to 20 carbon atoms (a “C1-C20 alkyl”), having a 1 to 8 carbon atoms (a “Ci-Cs alkyl”), having 1 to 6 carbon atoms (a “C1-C6 alkyl”), having 2 to 6 carbon atoms (a “C2-C6 alkyl”), or having 1 to 4 carbon atoms (a “C1-C4 alkyl”). Examples of alkyl group include, but are not limited to, methyl, ethyl, n-propyl, isopropyl, n-butyl, t-butyl, isobutyl, sec-butyl, homologs and isomers of, for example, n-pentyl, n-hexyl, n-heptyl, n-octyl, and the like.
[0033] “Alkoxy” refers to an -O-alkyl group, wherein alkyl is as defined herein. Examples of alkoxy groups include, but are not limited to, those having 1 to 6 carbon atoms (a “C1-C6 alkoxy”). [0034] “Heterocycle”, “heterocyclic”, or “heterocyclyl” as used herein refers to a non aromatic, monocyclic or polycyclic ring system comprising from 1 to 14 annular (i.e., ring) carbon atoms and from 1 to 6 annular (i.e., ring) heteroatoms, wherein at least one of the rings comprises an annular heteroatom. The heteroatoms may, for example, be independently be selected from the group consisting of nitrogen, phosphorous, sulfur, and oxygen. A heterocycle comprising more than one ring may be fused, spiro or bridged, or any combination thereof. In fused ring systems, one or more may be fused rings can be cycloalkyl. Particular heterocyclyl groups include 3- to 14-membered rings having 1 to 13 annular carbon atoms and 1 to 6 annular heteroatoms independently selected from the group consisting of nitrogen, phosphorus, oxygen and sulfur; 3- to 8-membered rings having 1 to 7 annular carbon atoms and 1 to 4 annular heteroatoms independently selected from the group consisting of nitrogen, phosphorus, oxygen and sulfur; and 3- to 6-membered rings having 1 to 5 annular carbon atoms and 1 to 4 annular heteroatoms independently selected from the group consisting of nitrogen, phosphorus, oxygen and sulfur. In some variations, heterocyclyl includes monocyclic 3-, 4-, 5-, 6- or 7-membered rings having from 1 to 2, 1 to 3, 1 to 4, 1 to 5 or 1 to 6 annular carbon atoms and 1 to 2, 1 to 3 or 1 to 4 annular heteroatoms independently selected from the group consisting of nitrogen, phosphorus, oxygen and sulfur. In other variations, heterocyclyl includes polycyclic non-aromatic rings having from 1 to 12 annular carbon atoms and 1 to 6 annular heteroatoms independently selected from the group consisting of nitrogen, phosphorus, oxygen and sulfur. In certain variations, the heterocyclyl is a 3-7 membered saturated heterocyclyl. In some variations, the 3-7 membered saturated heterocyclyl comprises one or two heteroatoms independently selected from O and N.
[0035] “Halo” or Halogen” includes fluoro, chloro, bromo, and iodo. Where a residue is substituted with more than one halogen, it may be referred to by using a prefix corresponding to the number of halogen moieties attached, e.g., dihaloaryl, dihaloalkyl, trihaloaryl etc. refer to aryl and alkyl substituted with two (“di”) or three (“tri”) halo groups, which may be but are not necessarily the same halo; thus 4-chloro-3 -fluorophenyl is within the scope of dihaloaryl.
[0036] “Haloalkyl” refers to an alkyl gropu in which in which one or more hydrogen atoms is replaced with a halo, wherein each halo is independently selected. Thus, haloalkyl includes, for example, Ci-C6alkyl in which one or more hydrogen atoms is independently substituted with a fluoro, chloro, iodo, or bromo. [0037] “Haloalkoxy” refers to an alkoxy group in which one or more hydrogen atoms is replaced with a halo, wherein each halo is independently selected. Particular haloalkoxy groups include, but are not limited to, Ci-6haloalkoxy, such as trifluoromethoxy.
[0038] The term “peptidomimetic” or as used herein means a non-peptide chemical moiety. Peptides are short chains of amino acid monomers linked by peptide (amide) bonds, the covalent chemical bonds formed when the carboxyl group of one amino acid reacts with the amino group of another. The shortest peptides are dipeptides, consisting of 2 amino acids joined by a single peptide bond, followed by tripeptides, tetrapeptides, etc. A peptidomimetic chemical moiety includes non-amino acid chemical moieties. A peptidomimetic chemical moiety may also include one or more amino acid thats are separated by one or more non amino acid chemical units.
[0039] The term “antibody” herein is used in the broadest sense and includes monoclonal antibodies, polyclonal antibodies, dimers, multimers, multispecific antibodies (e.g., bispecific antibodies), and antibody fragments, so long as they exhibit the desired biological activity (Miller et al (2003) Jour of Immunology 170:4854-4861). Antibodies may be murine, human, humanized, chimeric, or derived from other species. An antibody is a protein generated by the immune system that is capable of recognizing and binding to a specific antigen. (Janeway, C., Travers, P., Walport, M., Shlomchik (2001) Immuno Biology , 5th Ed., Garland Publishing, New York). A target antigen generally has numerous binding sites, also called epitopes, recognized by CDRs (complementary determining regions) on multiple antibodies. Each antibody that specifically binds to a different epitope has a different structure. Thus, one antigen may have more than one corresponding antibody. An antibody includes a full-length immunoglobulin molecule or an immunologically active portion of a full-length immunoglobulin molecule, i.e., a molecule that contains an antigen binding site that immunospecifically binds an antigen of a target of interest or part thereof, such targets including but not limited to, cancer cell or cells that produce autoimmune antibodies associated with an autoimmune disease. The immunoglobulin disclosed herein can be of any type (e.g., IgG, IgE, IgM, IgD, and IgA), class (e.g., IgGl, IgG2, IgG3, IgG4, IgAl and IgA2) or subclass of immunoglobulin molecule. The immunoglobulins can be derived from any species. In some aspects, however, the immunoglobulin is of human, murine, or rabbit origin.
[0040] The term "antibody fragment(s)" as used herein comprises a portion of a full length antibody, generally the antigen binding or variable region thereof. Examples of antibody fragments include Fab, Fab', F(ab')2, and Fv fragments; diabodies; linear antibodies; minibodies (Olafsen et al (2004 ) Protein Eng. Design & Sel. 17(4):315-323), fragments produced by a Fab expression library, anti-idiotypic (anti-id) antibodies, CDR (complementary determining region), and epitope-binding fragments of any of the above which immunospecifically bind to cancer cell antigens, viral antigens or microbial antigens, single-chain antibody molecules; and multispecific antibodies formed from antibody fragments.
[0041 ] The term “monoclonal antibody” as used herein refers to an antibody obtained from a population of substantially homogeneous antibodies, i.e., the individual antibodies comprising the population are identical except for possible naturally occurring mutations that may be present in minor amounts. Monoclonal antibodies are highly specific, being directed against a single antigenic site. Furthermore, in contrast to polyclonal antibody preparations which include different antibodies directed against different determinants (epitopes), each monoclonal antibody is directed against a single determinant on the antigen. In addition to their specificity, the monoclonal antibodies are advantageous in that they may be synthesized uncontaminated by other antibodies. The modifier “monoclonal” indicates the character of the antibody as being obtained from a substantially homogeneous population of antibodies, and is not to be construed as requiring production of the antibody by any particular method. For example, the monoclonal antibodies to be used in accordance with the subject matter described herein may be made by the hybridoma method first described by Kohler et al (1975) Nature , 256:495, or may be made by recombinant DNA methods (see for example:
US 4816567; US 5807715). The monoclonal antibodies may also be isolated from phage antibody libraries using the techniques described in Clackson et al (1991) Nature, 352:624- 628; Marks et al (1991) J. Mol. Biol., 222:581-597; for example.
[0042] The monoclonal antibodies herein specifically include “chimeric” antibodies in which a portion of the heavy and/or light chain is identical with or homologous to corresponding sequences in antibodies derived from a particular species or belonging to a particular antibody class or subclass, while the remainder of the chain(s) is identical with or homologous to corresponding sequences in antibodies derived from another species or belonging to another antibody class or subclass, as well as fragments of such antibodies, so long as they exhibit the desired biological activity (US 4816567; and Morrison et al (1984) Proc. Natl. Acad. Sci. USA, 81:6851-6855). Chimeric antibodies of interest herein include “primatized” antibodies comprising variable domain antigen-binding sequences derived from a non-human primate ( e.g Old World Monkey, Ape, etc.) and human constant region sequences.
[0043] The term “chimeric” antibody refers to an antibody in which a portion of the heavy and/or light chain is derived from a particular source or species, while the remainder of the heavy and/or light chain is derived from a different source or species.
[0044] The “class” of an antibody refers to the type of constant domain or constant region possessed by its heavy chain. There are five major classes of antibodies: IgA, IgD, IgE, IgG, and IgM, and several of these may be further divided into subclasses (isotypes), e.g., IgGi, IgG2, IgG3, IgG4, IgAi, and IgA2. The heavy chain constant domains that correspond to the different classes of immunoglobulins are called a, d, e, g, and m, respectively.
[0045) The term “intact antibody” as used herein is one comprising a VL and VH domains, as well as a light chain constant domain (CL) and heavy chain constant domains, CHI, CH2 and CH3. The constant domains may be native sequence constant domains (e.g, human native sequence constant domains) or amino acid sequence variant thereof. The intact antibody may have one or more “effector functions” which refer to those biological activities attributable to the Fc constant region (a native sequence Fc region or amino acid sequence variant Fc region) of an antibody. Examples of antibody effector functions include Clq binding; complement dependent cytotoxicity; Fc receptor binding; antibody-dependent cell- mediated cytotoxicity (ADCC); phagocytosis; and down regulation of cell surface receptors such as B cell receptor and BCR.
[0046] The term “Fc region” as used herein refers to a C-terminal region of an immunoglobulin heavy chain that contains at least a portion of the constant region. The term includes native sequence Fc regions and variant Fc regions.
[0047] A “human antibody” is one which possesses an amino acid sequence which corresponds to that of an antibody produced by a human or a human cell or derived from a non-human source that utilizes human antibody repertoires or other human antibody encoding sequences. This definition of a human antibody specifically excludes a humanized antibody comprising non-human antigen-binding residues.
[0048] A “humanized” antibody refers to a chimeric antibody comprising amino acid residues from non-human HVRs and amino acid residues from human FRs. In certain embodiments, a humanized antibody will comprise substantially all of at least one, and typically two, variable domains, in which all or substantially all of the HVRs (e.g, CDRs) correspond to those of a non-human antibody, and all or substantially all of the FRs correspond to those of a human antibody. A humanized antibody optionally may comprise at least a portion of an antibody constant region derived from a human antibody. A “humanized form” of an antibody, e.g ., a non-human antibody, refers to an antibody that has undergone humanization.
[0049] The term “free cysteine amino acid” as used herein refers to a cysteine amino acid residue which has been engineered into a parent antibody, has a thiol functional group (-SH), and is not paired as an intramolecular or intermolecular disulfide bridge. The term “amino acid” as used herein means glycine, alanine, valine, leucine, isoleucine, phenylalanine, proline, serine, threonine, tyrosine, cysteine, methionine, lysine, arginine, histidine, tryptophan, aspartic acid, glutamic acid, asparagine, glutamine or citrulline.
[0050] A “patient” or “individual” or “subject” is a mammal. Mammals include, but are not limited to, domesticated animals (e.g, cows, sheep, cats, dogs, and horses), primates (e.g, humans and non-human primates such as monkeys), rabbits, and rodents (e.g, mice and rats). In certain embodiments, the patient, individual, or subject is a human. In some embodiments, the patient may be a “cancer patient,” i.e. one who is suffering or at risk for suffering from one or more symptoms of cancer.
[0051] The term “cytotoxic agent” as used herein refers to a substance that inhibits or prevents a cellular function and/or causes cell death or destruction. Cytotoxic agents include, but are not limited to, chemotherapeutic agents or drugs (e.g, methotrexate, adriamicin, vinca alkaloids (vincristine, vinblastine, etoposide), doxorubicin, melphalan, mitomycin C, chlorambucil, daunorubicin or other intercalating agents); growth inhibitory agents; antibiotics; toxins such as small molecule toxins or enzymatically active toxins of bacterial, fungal, plant or animal origin, including fragments and/or variants thereof; and the various antitumor or anticancer agents disclosed herein.
[0052] A "chemotherapeutic agent" refers to a chemical compound useful in the treatment of cancer. Examples of chemotherapeutic agents include alkylating agents such as thiotepa and cyclosphosphamide (CYTOXAN®); alkyl sulfonates such as busulfan, improsulfan and piposulfan; aziridines such as benzodopa, carboquone, meturedopa, and uredopa; ethylenimines and methylamelamines including altretamine, triethylenemelamine, triethylenephosphoramide, triethylenethiophosphoramide and trimethylomelamine; acetogenins (especially bullatacin and bullatacinone); delta-9-tetrahydrocannabinol (dronabinol, MARINOL®); beta-lapachone; lapachol; colchicines; betulinic acid; a camptothecin (including the synthetic analogue topotecan (HYCAMTIN®), CPT-11 (irinotecan, CAMPTOSAR®), acetylcamptothecin, scopolectin, and 9-aminocamptothecin); bryostatin; cally statin; CC-1065 (including its adozelesin, carzelesin and bizelesin synthetic analogues); podophyllotoxin; podophyllinic acid; teniposide; cryptophycins (particularly cryptophycin 1 and cryptophycin 8); dolastatin; duocarmycin (including the synthetic analogues, KW-2189 and CB1-TM1); eleutherobin; pancrati statin; a sarcodictyin; spongistatin; nitrogen mustards such as chlorambucil, chlomaphazine, chlorophosphamide, estramustine, ifosfamide, mechlorethamine, mechlorethamine oxide hydrochloride, melphalan, novembichin, phenesterine, prednimustine, trofosfamide, uracil mustard; nitrosoureas such as carmustine, chlorozotocin, fotemustine, lomustine, nimustine, and ranimnustine; antibiotics such as the enediyne antibiotics ( e.g ., calicheamicin, especially calicheamicin gammall and calicheamicin omegall (see, e.g., Nicolaou et al., Angew. Chem Inti. Ed. Engl., 33: 183-186 (1994)); CDP323, an oral alpha-4 integrin inhibitor; dynemicin, including dynemicin A; an esperamicin; as well as neocarzinostatin chromophore and related chromoprotein enediyne antibiotic chromophores), aclacinomysins, actinomycin, authramycin, azaserine, bleomycins, cactinomycin, carabicin, carminomycin, carzinophilin, chromomycins, dactinomycin, daunorubicin, detorubicin, 6-diazo-5-oxo-L-norleucine, doxorubicin (including ADRIAMYCIN®, morpholino-doxorubicin, cyanomorpholino- doxorubicin, 2-pyrrolino-doxorubicin, doxorubicin HC1 liposome injection (DOXIL®), liposomal doxorubicin TLC D-99 (MYOCET®), peglylated liposomal doxorubicin (CAELYX®), and deoxydoxorubicin), epirubicin, esorubicin, idarubicin, marcellomycin, mitomycins such as mitomycin C, mycophenolic acid, nogalamycin, olivomycins, peplomycin, porfiromycin, puromycin, quelamycin, rodorubicin, streptonigrin, streptozocin, tubercidin, ubenimex, zinostatin, zorubicin; anti-metabolites such as methotrexate, gemcitabine (GEMZAR®), tegafur (UFTORAL®), capecitabine (XELODA®), an epothilone, and 5-fluorouracil (5-FU); folic acid analogues such as denopterin, methotrexate, pteropterin, trimetrexate; purine analogs such as fludarabine, 6-mercaptopurine, thiamiprine, thioguanine; pyrimidine analogs such as ancitabine, azacitidine, 6-azauridine, carmofur, cytarabine, dideoxyuridine, doxifluridine, enocitabine, floxuridine; androgens such as calusterone, dromostanolone propionate, epitiostanol, mepitiostane, testolactone; anti adrenals such as aminoglutethimide, mitotane, trilostane; folic acid replenisher such as frolinic acid; aceglatone; aldophosphamide glycoside; aminolevulinic acid; eniluracil; amsacrine; bestrabucil; bisantrene; edatraxate; defofamine; demecolcine; diaziquone; elfornithine; elliptinium acetate; an epothilone; etoglucid; gallium nitrate; hydroxyurea; lentinan; lonidainine; maytansinoids such as maytansine and ansamitocins; mitoguazone; mitoxantrone; mopidanmol; nitraerine; pentostatin; phenamet; pirarubicin; losoxantrone; 2- ethylhydrazide; procarbazine; PSK® polysaccharide complex (JHS Natural Products,
Eugene, OR); razoxane; rhizoxin; sizofiran; spirogermanium; tenuazonic acid; triaziquone; 2,2’,2’-trichlorotriethylamine; trichothecenes (especially T-2 toxin, verracurin A, roridin A and anguidine); urethan; vindesine (ELDISINE®, FILDESIN®); dacarbazine; mannomustine; mitobronitol; mitolactol; pipobroman; gacytosine; arabinoside (“Ara-C”); thiotepa; taxoid, e.g ., paclitaxel (TAXOL®), albumin-engineered nanoparticle formulation of paclitaxel (ABRAXANETM), and docetaxel (TAXOTERE®); chloranbucil; 6-thioguanine; mercaptopurine; methotrexate; platinum agents such as cisplatin, oxaliplatin (e.g, ELOXATIN®), and carboplatin; vincas, which prevent tubulin polymerization from forming microtubules, including vinblastine (VELBAN®), vincristine (ONCOVIN®), vindesine (ELDISINE®, FILDESIN®), and vinorelbine (NAVELBINE®); etoposide (VP- 16); ifosfamide; mitoxantrone; leucovorin; novantrone; edatrexate; daunomycin; aminopterin; ibandronate; topoisomerase inhibitor RFS 2000; difluoromethylornithine (DMFO); retinoids such as retinoic acid, including bexarotene (TARGRETIN®); bisphosphonates such as clodronate (for example, BONEFOS® or OSTAC®), etidronate (DIDROCAL®), NE-58095, zoledronic acid/zoledronate (ZOMETA®), alendronate (FOSAMAX®), pamidronate (AREDIA®), tiludronate (SKELID®), or risedronate (ACTONEL®); troxacitabine (a 1,3- dioxolane nucleoside cytosine analog); antisense oligonucleotides, particularly those that inhibit expression of genes in signaling pathways implicated in aberrant cell proliferation, such as, for example, PKC-alpha, Raf, H-Ras, and epidermal growth factor receptor (EGF- R); vaccines such as THERATOPE® vaccine and gene therapy vaccines, for example, ALLOVECTIN® vaccine, LEUVECTIN® vaccine, and VAXID® vaccine; topoisomerase 1 inhibitor (e.g, LURTOTECAN®); rmRH (e.g, ABARELIX®); BAY439006 (sorafenib; Bayer); SU-11248 (sunitinib, SUTENT®, Pfizer); perifosine, COX-2 inhibitor (e.g., celecoxib or etoricoxib), proteosome inhibitor (e.g, PS341); bortezomib (VELCADE®); CCI-779; tipifarnib (R11577); orafenib, ABT510; Bcl-2 inhibitor such as oblimersen sodium (GENASENSE®, an antisence oligonucleotide); pixantrone; EGFR inhibitors (see definition below); tyrosine kinase inhibitors; serine-threonine kinase inhibitors such as rapamycin (sirolimus, RAPAMUNE®); famesyltransf erase inhibitors such as lonafarnib (SCH 6636, SARASARTM); and pharmaceutically acceptable salts, acids or derivatives of any of the above; as well as combinations of two or more of the above such as CHOP, an abbreviation for a combined therapy of cyclophosphamide, doxorubicin, vincristine, and prednisolone; and FOLFOX, an abbreviation for a treatment regimen with oxaliplatin (ELOXATINTM) combined with 5-FU and leucovorin.
[0053] The term “pharmaceutically acceptable excipient” as used herein means an inert or inactive substance that may be used in the production of a drug or pharmaceutical, such as a tablet containing a compound of the invention as an active ingredient. Various substances may be embraced by the term excipient, including without limitation any substance used as a binder, disintegrant, coating, compression/encapsulation aid, cream or lotion, lubricant, solutions for parenteral administration, materials for chewable tablets, sweetener or flavoring, suspending/gelling agent, or wet granulation agent.
[0054] As used herein, “treatment” (and grammatical variations thereof such as “treat” or “treating”) refers to clinical intervention in an attempt to alter the natural course of the individual being treated, and can be performed either for prophylaxis or during the course of clinical pathology. Desirable effects of treatment include, but are not limited to, preventing occurrence or recurrence of a disease, alleviation of symptoms, diminishment of any direct or indirect pathological consequences of the disease, preventing metastasis (e.g., of cancer), decreasing the rate of disease progression, amelioration or palliation of the disease state, and remission or improved prognosis. In some embodiments, antibodies of the subject matter described herein are used to delay development of a disease or to slow the progression of a disease.
[0055] A “therapeutically effective amount” of an agent, e.g., of an ADC or trigger compound described herein, refers to an amount effective, at dosages and for periods of time necessary, to achieve the desired therapeutic or prophylactic result. For example, a therapeutically effective amount of the drug for treating cancer may reduce the number of cancer cells; reduce the tumor size; inhibit (i.e., slow to some extent and preferably stop) cancer cell infiltration into peripheral organs; inhibit (i.e., slow to some extent and preferably stop) tumor metastasis; inhibit, to some extent, tumor growth; and/or relieve to some extent one or more of the symptoms associated with the cancer. To the extent the drug may prevent growth and/or kill existing cancer cells, it may be cytostatic and/or cytotoxic. The effective amount may extend progression free survival (e.g. as measured by Response Evaluation Criteria for Solid Tumors, RECIST, or CA-125 changes), result in an objective response (including a partial response, PR, or complete response, CR), increase overall survival time, and/or improve one or more symptoms of cancer (e.g. as assessed by FOSI). [0056] As used herein, unless defined otherwise in a claim, the term “optionally” means that the subsequently described event(s) may or may not occur, and includes both event(s) that occur and event(s) that do not occur.
[0057] The phrase “pharmaceutically acceptable salt,” as used herein, refers to pharmaceutically acceptable organic or inorganic salts of a molecule. Exemplary salts include, but are not limited, to sulfate, citrate, acetate, oxalate, chloride, bromide, iodide, nitrate, bisulfate, phosphate, acid phosphate, isonicotinate, lactate, salicylate, acid citrate, tartrate, oleate, tannate, pantothenate, bitartrate, ascorbate, succinate, maleate, gentisinate, fumarate, gluconate, glucuronate, saccharate, formate, benzoate, glutamate, methanesulfonate, ethanesulfonate, benzenesulfonate, / oluenesulfonate, and pamoate (i.e., I,G-methylene-bis -(2 -hydroxy-3- naphthoate)) salts. A pharmaceutically acceptable salt may involve the inclusion of another molecule such as an acetate ion, a succinate ion or other counterion. The counterion may be any organic or inorganic moiety that stabilizes the charge on the parent compound. Furthermore, a pharmaceutically acceptable salt may have more than one charged atom in its structure. Instances where multiple charged atoms are part of the pharmaceutically acceptable salt can have multiple counter ions. Hence, a pharmaceutically acceptable salt can have one or more charged atoms and/or one or more counterion.
[0058] Compounds, compositions, and methods described herein may comprise a trans- cyclooctene (TCO) group. A TCO group containing a point of attachment at the allylic carbon may exist in conformations wherein the attached group is in the equatorial configuration, or the axial configuration. Such a TCO group may exist as two pairs of diastereomers, wherein each diastereomeric pair comprises an axial and an equatorial member; and where the two axial members are enantiomers of each other; and the two equatorial members are enantiomers of each other. Without limited the TCO groups as described herein solely to those shown below, these stereoisomers are illustrated in the following diagram using a carbamate as functional group bonded to an allylic carbon. The TCO groups as described herein are not limited to carbamate-derivatized groups.
I. ADCs
[0059] The ADCs provided herein comprise an antibody (or fragment thereof), a cytotoxic agent (CTA), and a masking moiety comprising a TCO functional group, wherein the masking moiety is connected to the CTA such that the activity of the CTA is impeded, and the antibody is conjugated to the CTA or to the masking moiety through a linker. In some embodiments, the masking moiety is connected to the CTA separately from the antibody, such as at a different position on the CTA. In other embodiments, the antibody is conjugated to the masking moiety (e.g., through a linker), which is in turn connected to the CTA. The ADCs provided herein may further comprise a concentrating moiety, which may, for example, be attached to the masking moiety or to the CTA. Each of the components of the ADC is described in further detail below.
1. Antibody (Ab)
[0060] As described herein, antibodies, e.g., monoclonal antibodies (mABs), are used to deliver the masked CTA into target cells, e.g., cells that express the specific protein that is targeted by the antibody. The antibody portion of the ADC can target a cell that expresses an antigen of interest, whereby the ADC is delivered intracellularly to the target cell, typically through endocytosis. In some embodiments, the antibody is directed to a cell-surface antigen. a. Human Antibodies
[0061] In certain embodiments, an antibody for use in the ADCs, compositions, and methods described herein is a human antibody. Human antibodies can be produced using various techniques known in the art. Human antibodies are described generally in van Dijk and van de Winkel, Curr. Opin. Pharmacol. 5: 368-74 (2001) and Lonberg, Curr. Opin. Immunol. 20:450-459 (2008).
[0062] Human antibodies may be prepared by administering an immunogen to a transgenic animal that has been modified to produce intact human antibodies or intact antibodies with human variable regions in response to antigenic challenge. Such animals typically contain all or a portion of the human immunoglobulin loci, which replace the endogenous immunoglobulin loci, or which are present extrachromosomally or integrated randomly into the animal’s chromosomes. In such transgenic mice, the endogenous immunoglobulin loci have generally been inactivated. For review of methods for obtaining human antibodies from transgenic animals, see Lonberg, Nat. Biotech. 23:1117-1125 (2005). See also, e.g., U.S. Patent Nos. 6,075,181 and 6,150,584 describing XENOMOUSETM technology; U.S. Patent No. 5,770,429 describing HuMab® technology; U.S. Patent No. 7,041,870 describing K-M MOUSE® technology, and U.S. Patent Application Publication No. US 2007/0061900, describing VelociMouse® technology). Human variable regions from intact antibodies generated by such animals may be further modified, e.g., by combining with a different human constant region.
[0063] Human antibodies can also be made by hybridoma-based methods. Human myeloma and mouse-human heteromyeloma cell lines for the production of human monoclonal antibodies have been described. (See, e.g., Kozbor J. Immunol., 133: 3001 (1984); Brodeur et al., Monoclonal Antibody Production Techniques and Applications, pp. 51-63 (Marcel Dekker, Inc., New York, 1987); and Boerner et al., J. Immunol., 147: 86 (1991).) Human antibodies generated via human B-cell hybridoma technology are also described in Li et al., Proc. Natl. Acad. Sci. USA, 103:3557-3562 (2006). Additional methods include those described, for example, in U.S. Patent No. 7,189,826 (describing production of monoclonal human IgM antibodies from hybridoma cell lines) and Ni, Xiandai Mianyixue, 26(4):265-268 (2006) (describing human-human hybridomas). Human hybridoma technology (Trioma technology) is also described in Vollmers and Brandlein, Histology and Histopathology, 20(3):927-937 (2005) and Vollmers and Brandlein, Methods and Findings in Experimental and Clinical Pharmacology, 27(3): 185-91 (2005).
[0064] Human antibodies may also be generated by isolating Fv clone variable domain sequences selected from human-derived phage display libraries. Such variable domain sequences may then be combined with a desired human constant domain. Techniques for selecting human antibodies from antibody libraries are described below. b. Library -Derived Antibodies
[0065] Antibodies for use in the ADCs, compositions, and methods described herein may be isolated by screening combinatorial libraries for antibodies with the desired activity or activities. For example, a variety of methods are known in the art for generating phage display libraries and screening such libraries for antibodies possessing the desired binding characteristics. Such methods are reviewed, e.g., in Hoogenboom et al. in Methods in Molecular Biology 178:1-37 (O’Brien et al., ed., Human Press, Totowa, NJ, 2001) and further described, e.g., in the McCafferty et al., Nature 348:552-554; Clackson et al., Nature 352: 624-628 (1991); Marks et al., J. Mol. Biol. 222: 581-597 (1992); Marks and Bradbury, in Methods in Molecular Biology 248: 161-175 (Lo, ed., Human Press, Totowa, NJ, 2003); Sidhu et al., J. Mol. Biol. 338(2): 299-310 (2004); Lee et al., J. Mol. Biol. 340(5): 1073-1093 (2004); Fellouse, Proc. Natl. Acad. Sci. USA 101(34): 12467-12472 (2004); and Lee et al., J. Immunol. Methods 284(1-2): 119-132(2004). [0066] In certain phage display methods, repertoires of VH and VL genes are separately cloned by polymerase chain reaction (PCR) and recombined randomly in phage libraries, which can then be screened for antigen-binding phage as described in Winter et al., Ann.
Rev. Immunol., 12: 433-455 (1994). Phage typically display antibody fragments, either as single-chain Fv (scFv) fragments or as Fab fragments. Libraries from immunized sources provide high-affinity antibodies to the immunogen without the requirement of constructing hybridomas. Alternatively, the naive repertoire can be cloned (e.g., from human) to provide a single source of antibodies to a wide range of non-self and also self antigens without any immunization as described by Griffiths et al., EMBO J, 12: 725-734 (1993). Finally, naive libraries can also be made synthetically by cloning unrearranged V-gene segments from stem cells, and using PCR primers containing random sequence to encode the highly variable CDR3 regions and to accomplish rearrangement in vitro, as described by Hoogenboom and Winter, J. Mol. Biol., 227: 381-388 (1992). Patent publications describing human antibody phage libraries include, for example: US Patent No. 5,750,373, and US Patent Publication Nos. 2005/0079574, 2005/0119455, 2005/0266000, 2007/0117126, 2007/0160598, 2007/0237764, 2007/0292936, and 2009/0002360.
[0067] Antibodies or antibody fragments isolated from human antibody libraries are considered human antibodies or human antibody fragments herein. c. Chimeric and Humanized Antibodies
[0068] In certain embodiments, an antibody used in the ADCs, compositions, and methods described herein is a chimeric antibody. Certain chimeric antibodies are described, e.g., in U.S. Patent No. 4,816,567; and Morrison et al., Proc. Natl. Acad. Sci. USA, 81:6851-6855 (1984)). In one example, a chimeric antibody comprises a non-human variable region (e.g., a variable region derived from a mouse, rat, hamster, rabbit, or non-human primate, such as a monkey) and a human constant region. In a further example, a chimeric antibody is a “class switched” antibody in which the class or subclass has been changed from that of the parent antibody. Chimeric antibodies include antigen-binding fragments thereof.
[0069] In certain embodiments, a chimeric antibody is a humanized antibody. Typically, a non-human antibody is humanized to reduce immunogenicity to humans, while retaining the specificity and affinity of the parental non-human antibody. Generally, a humanized antibody comprises one or more variable domains in which HVRs, e.g., CDRs, (or portions thereof) are derived from a non-human antibody, and FRs (or portions thereof) are derived from human antibody sequences. A humanized antibody optionally will also comprise at least a portion of a human constant region. In some embodiments, some FR residues in a humanized antibody are substituted with corresponding residues from a non-human antibody (e.g., the antibody from which the HVR residues are derived), e.g., to restore or improve antibody specificity or affinity.
[0070] Humanized antibodies and methods of making them are reviewed, e.g., in Almagro and Fransson, Front. Biosci. 13:1619-1633 (2008), and are further described, e.g., in Riechmann et al., Nature 332:323-329 (1988); Queen et al., Proc. Nat’l Acad. Sci. USA 86:10029-10033 (1989); US Patent Nos. 5, 821,337, 7,527,791, 6,982,321, and 7,087,409; Kashmiri et al., Methods 36:25-34 (2005) (describing SDR (a-CDR) grafting); Padlan, Mol. Immunol. 28:489-498 (1991) (describing “resurfacing”); DalFAcqua et al., Methods 36:43- 60 (2005) (describing “FR shuffling”); and Osbourn et al., Methods 36:61-68 (2005) and Klimka et al., Br. J. Cancer, 83:252-260 (2000) (describing the “guided selection” approach to FR shuffling).
[0071] Human framework regions that may be used for humanization include but are not limited to: framework regions selected using the “best-fit” method (see, e.g., Sims et al. J. Immunol. 151:2296 (1993)); framework regions derived from the consensus sequence of human antibodies of a particular subgroup of light or heavy chain variable regions (see, e.g., Carter et al. Proc. Natl. Acad. Sci. USA, 89:4285 (1992); and Presta et al. J. Immunol., 151:2623 (1993)); human mature (somatically mutated) framework regions or human germline framework regions (see, e.g., Almagro and Fransson, Front. Biosci. 13:1619-1633 (2008)); and framework regions derived from screening FR libraries (see, e.g., Baca et al., J. Biol. Chem. 272:10678-10684 (1997) and Rosok et al., J. Biol. Chem. 271:22611-22618 (1996)). d. Multispecific Antibodies
[0072] In certain embodiments, an antibody provided herein is a multispecific antibody, e.g. a bispecific antibody. The term “multispecific antibody” as used herein refers to an antibody comprising an antigen-binding domain that has polyepitopic specificity (i.e., is capable of binding to two, or more, different epitopes on one molecule or is capable of binding to epitopes on two, or more, different molecules).
[0073] In some embodiments, multispecific antibodies are monoclonal antibodies that have binding specificities for at least two different antigen binding sites (such as a bispecific antibody). In some embodiments, the first antigen-binding domain and the second antigen binding domain of the multispecific antibody may bind the two epitopes within one and the same molecule (intramolecular binding). For example, the first antigen-binding domain and the second antigen-binding domain of the multispecific antibody may bind to two different epitopes on the same protein molecule. In certain embodiments, the two different epitopes that a multispecific antibody binds are epitopes that are not normally bound at the same time by one monospecific antibody, such as e.g. a conventional antibody or one immunoglobulin single variable domain. In some embodiments, the first antigen-binding domain and the second antigen-binding domain of the multispecific antibody may bind epitopes located within two distinct molecules (intermolecular binding). For example, the first antigen binding domain of the multispecific antibody may bind to one epitope on one protein molecule, whereas the second antigen-binding domain of the multispecific antibody may bind to another epitope on a different protein molecule, thereby cross-linking the two molecules.
[0074] In some embodiments, the antigen-binding domain of a multispecific antibody (such as a bispecific antibody) comprises two VH/VL units, wherein a first VH/VL unit binds to a first epitope and a second VH/VL unit binds to a second epitope, wherein each VH/VL unit comprises a heavy chain variable domain (VH) and a light chain variable domain (VL). Such multispecific antibodies include, but are not limited to, full length antibodies, antibodies having two or more VL and VH domains, and antibody fragments (such as Fab, Fv, dsFv, scFv, diabodies, bispecific diabodies and triabodies, antibody fragments that have been linked covalently or non-covalently). A VH/VL unit that further comprises at least a portion of a heavy chain variable region and/or at least a portion of a light chain variable region may also be referred to as an “arm” or “hemimer” or “half antibody.” In some embodiments, a hemimer comprises a sufficient portion of a heavy chain variable region to allow intramolecular disulfide bonds to be formed with a second hemimer. In some embodiments, a hemimer comprises a knob mutation or a hole mutation, for example, to allow heterodimerization with a second hemimer or half antibody that comprises a complementary hole mutation or knob mutation.
[0075] In certain embodiments, a multispecific antibody provided herein may be a bispecific antibody. The term “bispecific antibody” as used herein refers to a multispecific antibody comprising an antigen-binding domain that is capable of binding to two different epitopes on one molecule or is capable of binding to epitopes on two different molecules. A bispecific antibody may also be referred to herein as having “dual specificity” or as being “dual specific.” Exemplary bispecific antibodies may bind both protein and any other antigen. In certain embodiments, one of the binding specificities is for protein and the other is for CD3. See, e.g., U.S. Patent No. 5,821,337. In certain embodiments, bispecific antibodies may bind to two different epitopes of the same protein molecule. In certain embodiments, bispecific antibodies may bind to two different epitopes on two different protein molecules. Bispecific antibodies may also be used to localize cytotoxic agents to cells which express protein. Bispecific antibodies can be prepared as full length antibodies or antibody fragments.
[0076] Techniques for making multispecific antibodies include, but are not limited to, recombinant co-expression of two immunoglobulin heavy chain-light chain pairs having different specificities (see Milstein and Cuello, Nature 305: 537 (1983), WO 93/08829, and Traunecker et ah, EMBO J. 10: 3655 (1991)), and “knob-in-hole” engineering (see, e.g., U.S. Patent No. 5,731,168, W02009/089004, US2009/0182127, US2011/0287009, Marvin and Zhu, Acta Pharmacol. Sin. (2005) 26(6):649-658, and Kontermann (2005) Acta Pharmacol. Sin., 26: 1-9). The term “knob-into-hole” or “KnH” technology as used herein refers to the technology directing the pairing of two polypeptides together in vitro or in vivo by introducing a protuberance (knob) into one polypeptide and a cavity (hole) into the other polypeptide at an interface in which they interact. For example, KnHs have been introduced in the Fc:Fc binding interfaces, CL:CH1 interfaces or VH/VL interfaces of antibodies (see, e.g., US 2011/0287009, US2007/0178552, WO 96/027011, WO 98/050431, Zhu et ah, 1997, Protein Science 6:781-788, and WO2012/106587). In some embodiments, KnHs drive the pairing of two different heavy chains together during the manufacture of multispecific antibodies. For example, multispecific antibodies having KnH in their Fc regions can further comprise single variable domains linked to each Fc region, or further comprise different heavy chain variable domains that pair with similar or different light chain variable domains. KnH technology can be also be used to pair two different receptor extracellular domains together or any other polypeptide sequences that comprises different target recognition sequences (e.g., including affibodies, peptibodies and other Fc fusions).
[0077] Multispecific antibodies may also be made by engineering electrostatic steering effects for making antibody Fc-heterodimeric molecules (WO 2009/089004A1); cross-linking two or more antibodies or fragments (see, e.g., US Patent No. 4,676,980, and Brennan et ah, Science, 229: 81 (1985)); using leucine zippers to produce bi-specific antibodies (see, e.g., Kostelny et ah, J. Immunol., 148(5): 1547-1553 (1992)); using "diabody" technology for making bispecific antibody fragments (see, e.g., Hollinger et al., Proc. Natl. Acad. Sci. USA, 90:6444-6448 (1993)); and using single-chain Fv (sFv) dimers (see, e.g. Gruber et al., J. Immunol., 152:5368 (1994)); and preparing trispecific antibodies as described, e.g., in Tutt et al. J. Immunol. 147: 60 (1991).
[0078] Engineered antibodies with three or more functional antigen binding sites, including “Octopus antibodies” or “dual-variable domain immunoglobulins” (DVDs) are also included herein (see, e.g., US 2006/0025576A1, and Wu et al. Nature Biotechnology (2007)).). The antibody or fragment herein also includes a “Dual Acting FAb” or “DAF” comprising an antigen binding site that binds to a target protein as well as another, different antigen (see, US 2008/0069820, for example). e. Antibody Fragments
[0079] In certain embodiments, an antibody used in the ADCs, compositions, and methods described herein herein is an antibody fragment. Antibody fragments include, but are not limited to, Fab, Fab’, Fab’-SH, F(ab’)2, Fv, and scFv fragments, and other fragments described below. For a review of certain antibody fragments, see Hudson et al. Nat. Med. 9:129-134 (2003). For a review of scFv fragments, see, e.g., Pluckthiin, in The Pharmacology of Monoclonal Antibodies, vol. 113, Rosenburg and Moore eds., (Springer-Verlag, New York), pp. 269-315 (1994); see also WO 93/16185; and U.S. Patent Nos. 5,571,894 and 5,587,458. For discussion of Fab and F(ab')2 fragments comprising salvage receptor binding epitope residues and having increased in vivo half-life, see U.S. Patent No. 5,869,046.
[0080] Diabodies are antibody fragments with two antigen-binding sites that may be bivalent or bispecific. See, for example, EP 404,097; WO 1993/01161; Hudson et al., Nat. Med. 9:129-134 (2003); and Hollinger et al., Proc. Natl. Acad. Sci. USA 90: 6444-6448 (1993). Triabodies and tetrabodies are also described in Hudson et al., Nat. Med. 9:129-134 (2003).
[0081] Single-domain antibodies are antibody fragments comprising all or a portion of the heavy chain variable domain or all or a portion of the light chain variable domain of an antibody. In certain embodiments, a single-domain antibody is a human single-domain antibody (Domantis, Inc., Waltham, MA; see, e.g., U.S. Patent No. 6,248,516 Bl).
[0082] Antibody fragments can be made by various techniques, including but not limited to proteolytic digestion of an intact antibody as well as production by recombinant host cells (e.g. E. coli or phage), as described herein. f. Antibody Variants
[0083] In certain embodiments, amino acid sequence variants of the antibodies used in the ADCs, compositions, and methods provided herein are contemplated. For example, it may be desirable to improve the binding affinity and/or other biological properties of the antibody. Amino acid sequence variants of an antibody may be prepared by introducing appropriate modifications into the nucleotide sequence encoding the antibody, or by peptide synthesis. Such modifications include, for example, deletions from, and/or insertions into and/or substitutions of residues within the amino acid sequences of the antibody. Any combination of deletion, insertion, and substitution can be made to arrive at the final construct, provided that the final construct possesses the desired characteristics, e.g., antigen-binding. g. Cysteine engineered antibody variants
[0084] In certain embodiments, it may be desirable to create cysteine engineered antibodies, e.g., “THIOMAB™ antibody,” in which one or more residues of an antibody are substituted with cysteine residues. In particular embodiments, the substituted residues occur at accessible sites of the antibody. By substituting those residues with cysteine, reactive thiol groups are thereby positioned at accessible sites of the antibody and may be used to conjugate the antibody to other moieties, such as the CTA, or a linker to the CTA, or a linker to both the CTA and masking moiety, as described further herein. In certain embodiments, any one or more of the following residues may be substituted with cysteine: V205 (Kabat numbering) of the light chain; A140 (EU numbering) of the heavy chain; L174 (EU numbering) of the heavy chain; Y373 (EU numbering) of the heavy chain; K149 (Kabat numbering) of the light chain; A118 (EU numbering) of the heavy chain; and S400 (EU numbering) of the heavy chain Fc region. In specific embodiments, the antibodies described herein comprise the HC-A140C (EU numbering) cysteine substitution. In specific embodiments, the antibodies described herein comprise the LC-K149C (Kabat numbering) cysteine substitution. In specific embodiments, the antibodies described herein comprise the HC-A118C (EU numbering) cysteine substitution.
[0085] Cysteine engineered antibodies may be generated as described, e.g., in U.S. Patent No. 7,521,541.
[0086] In certain embodiments, the antibody comprises one of the following heavy chain cysteine substitutions: Table Al. HC Cysteine Substitutions.
Figure imgf000027_0001
[0087J In certain embodiments, the antibody comprises one of the following light chain cysteine substitutions:
Table A2. LC Cysteine Substitutions.
Figure imgf000027_0002
[0088] The ADCs described herein may include cysteine engineered antibodies where one or more amino acids of a wild-type or parent antibody are replaced with a cysteine amino acid. Any form of antibody may be so engineered, i.e. mutated. For example, a parent Fab antibody fragment may be engineered to form a cysteine engineered Fab, referred to herein as “ThioFab.” Similarly, a parent monoclonal antibody may be engineered to form a THIOMAB™ antibody. It should be noted that a single site mutation yields a single engineered cysteine residue in a ThioFab, while a single site mutation yields two engineered cysteine residues in a THIOMAB™ antibody due to the dimeric nature of the IgG antibody. Mutants with replaced (“engineered”) cysteine (Cys) residues are evaluated for the reactivity of the newly introduced, engineered cysteine thiol groups. The thiol reactivity value is a relative, numerical term in the range of 0 to 1.0 and can be measured for any cysteine engineered antibody. Thiol reactivity values of cysteine engineered antibodies for use in an ADC may be, but are not limited to, those in the ranges of 0.6 to 1.0; 0.7 to 1.0; or 0.8 to 1.0.
[0089] To prepare a cysteine engineered antibody by mutagenesis, DNA encoding an amino acid sequence variant of the starting polypeptide is prepared by a variety of methods known in the art. These methods include, but are not limited to, preparation by site-directed (or oligonucleotide-mediated) mutagenesis, PCR mutagenesis, and cassette mutagenesis of an earlier prepared DNA encoding the polypeptide. Variants of recombinant antibodies may be constructed also by restriction fragment manipulation or by overlap extension PCR with synthetic oligonucleotides. Mutagenic primers encode the cysteine codon replacement(s). Standard mutagenesis techniques can be employed to generate DNA encoding such mutant cysteine engineered antibodies. General guidance can be found in Sambrook et al Molecular Cloning, A Laboratory Manual, Cold Spring Harbor Laboratory Press, Cold Spring Harbor, N.Y., 1989; and Ausubel et al Current Protocols in Molecular Biology, Greene Publishing and Wiley-Interscience, New York, N.Y., 1993.
[0090] Cysteine amino acids may be engineered at reactive sites in an antibody and which do not form intrachain or intermolecular disulfide linkages (Junutula, et al., 2008b Nature Biotech., 26(8):925-932; Dornan et al (2009) Blood 114(13):2721-2729; US 7521541; US 7723485; W02009/052249, Shen et al (2012) Nature Biotech., 30(2): 184-191; Junutula et al (2008) Jour of Immun. Methods 332:41-52). The engineered cysteine thiols may react with linker reagents or linker-CTA intermediates (which may further comprise the masking moiety) described herein, which may have thiol-reactive, electrophilic groups such as maleimides, activated disulfides (such as a 4-nitropyridyl disulfide), or alpha-halo amides to form an ADC with cysteine engineered antibodies (THIOMAB™ antibodies). The location of connection to the CTA (e.g., through a linker) can thus be designed, controlled, and known. CTA/antibody ratio may therefore be controlled since the engineered cysteine thiol groups typically react with thiol -reactive linker reagents or linker-CTA intermediates in high yield. Engineering an antibody to introduce a cysteine amino acid by substitution at a single site on the heavy or light chain gives two new cysteines on the symmetrical antibody. [0091] Cysteine engineered antibodies preferably retain the antigen binding capability of their wild type, parent antibody counterparts. Thus, cysteine engineered antibodies are capable of binding, preferably specifically, to antigens. Such antigens include, for example, tumor-associated antigens (TAA), cell surface receptor proteins and other cell surface molecules, transmembrane proteins, signaling proteins, cell survival regulatory factors, cell proliferation regulatory factors, molecules associated with (for e.g., known or suspected to contribute functionally to) tissue development or differentiation, lymphokines, cytokines, molecules involved in cell cycle regulation, molecules involved in vasculogenesis and molecules associated with (for e.g., known or suspected to contribute functionally to) angiogenesis. The tumor-associated antigen may be a cluster differentiation factor (i.e., a CD protein). An antigen to which a cysteine engineered antibody is capable of binding may be a member of a subset of one of the above-mentioned categories, wherein the other subset(s) of said category comprise other molecules/antigens that have a distinct characteristic (with respect to the antigen of interest).
[0092] Cysteine engineered antibodies may be prepared for conjugation with linker intermediates or linker-CTA intermediates by reduction and reoxidation of intrachain disulfide groups. h. Glycosylation Variants
[0093] In certain embodiments, an antibody provided herein is altered to increase or decrease the extent to which the antibody is glycosylated. Addition or deletion of glycosylation sites to an antibody may be conveniently accomplished by altering the amino acid sequence such that one or more glycosylation sites is created or removed.
[0094] Where the antibody comprises an Fc region, the carbohydrate attached thereto may be altered. Native antibodies produced by mammalian cells typically comprise a branched, biantennary oligosaccharide that is generally attached by an N-linkage to Asn297 of the CH2 domain of the Fc region. See, e.g., Wright et al. TIBTECH 15:26-32 (1997). The oligosaccharide may include various carbohydrates, e.g., mannose, N-acetyl glucosamine (GlcNAc), galactose, and sialic acid, as well as a fucose attached to a GlcNAc in the “stem” of the biantennary oligosaccharide structure. In some embodiments, modifications of the oligosaccharide in an antibody may be made in order to create antibody variants with certain improved properties. [0095] In one embodiment, antibody variants are provided having a carbohydrate structure that lacks fucose attached (directly or indirectly) to an Fc region. For example, the amount of fucose in such antibody may be from 1% to 80%, from 1% to 65%, from 5% to 65% or from 20% to 40%. The amount of fucose is determined by calculating the average amount of fucose within the sugar chain at Asn297, relative to the sum of all glycostructures attached to Asn 297 (e. g. complex, hybrid and high mannose structures) as measured by MALDI-TOF mass spectrometry, as described in WO 2008/077546, for example. Asn297 refers to the asparagine residue located at about position 297 in the Fc region (Eu numbering of Fc region residues); however, Asn297 may also be located about ± 3 amino acids upstream or downstream of position 297, i.e., between positions 294 and 300, due to minor sequence variations in antibodies. Such fucosylation variants may have improved ADCC function. See, e.g., US Patent Publication Nos. US 2003/0157108 (Presta, L.); US 2004/0093621 (Kyowa Hakko Kogyo Co., Ltd). Examples of publications related to “defucosylated” or “fucose- deficient” antibody variants include: US 2003/0157108; WO 2000/61739; WO 2001/29246; US 2003/0115614; US 2002/0164328; US 2004/0093621; US 2004/0132140; US 2004/0110704; US 2004/0110282; US 2004/0109865; WO 2003/085119; WO 2003/084570; WO 2005/035586; WO 2005/035778; W02005/053742; W02002/031140; Okazaki et al. J. Mol. Biol. 336:1239-1249 (2004); Yamane-Ohnuki et al. Biotech. Bioeng. 87: 614 (2004). Examples of cell lines capable of producing defucosylated antibodies include Lee 13 CHO cells deficient in protein fucosylation (Ripka et al. Arch. Biochem. Biophys. 249:533-545 (1986); US Pat Appl No US 2003/0157108 Al, Presta, L; and WO 2004/056312 Al, Adams et al., especially at Example 11), and knockout cell lines, such as alpha- 1,6-fucosyltransferase gene, FUT8, knockout CHO cells (see, e.g., Yamane-Ohnuki et al. Biotech. Bioeng. 87: 614 (2004); Kanda, Y. et al., Biotechnol. Bioeng., 94(4):680-688 (2006); and W02003/085107).
[0096] Antibodies variants are further provided with bisected oligosaccharides, e.g., in which a biantennary oligosaccharide attached to the Fc region of the antibody is bisected by GlcNAc. Such antibody variants may have reduced fucosylation and/or improved ADCC function. Examples of such antibody variants are described, e.g., in WO 2003/011878 (Jean- Mairet et al.); US Patent No. 6,602,684 (Umana et al.); and US 2005/0123546 (Umana et al.). Antibody variants with at least one galactose residue in the oligosaccharide attached to the Fc region are also provided. Such antibody variants may have improved CDC function. Such antibody variants are described, e.g., in WO 1997/30087 (Patel et al.); WO 1998/58964 (Raju, S.); and WO 1999/22764 (Raju, S.). i . F c regi on van ants
[0097] In certain embodiments, one or more amino acid modifications may be introduced into the Fc region of an antibody provided herein, thereby generating an Fc region variant. The Fc region variant may comprise a human Fc region sequence (e.g., a human IgGl, IgG2, IgG3 or IgG4 Fc region) comprising an amino acid modification (e.g. a substitution) at one or more amino acid positions.
[0098] In certain embodiments, the subject matter described herein is directed to an antibody variant that possesses some but not all effector functions, which make it a desirable candidate for applications in which the half-life of the antibody in vivo is important yet certain effector functions (such as complement and ADCC) are unnecessary or deleterious. In vitro and/or in vivo cytotoxicity assays can be conducted to confirm the reduction/depletion of CDC and/or ADCC activities. For example, Fc receptor (FcR) binding assays can be conducted to ensure that the antibody lacks FcyR binding (hence likely lacking ADCC activity), but retains FcRn binding ability. The primary cells for mediating ADCC, NK cells, express Fc(RIII only, whereas monocytes express Fc(RI, Fc(RII and Fc(RIII. FcR expression on hematopoietic cells is summarized in Table 3 on page 464 of Ravetch and Kinet, Annu. Rev. Immunol. 9:457-492 (1991). Non-limiting examples of in vitro assays to assess ADCC activity of a molecule of interest is described in U.S. Patent No. 5,500,362 (see, e.g. Hellstrom, I. et al. Proc. NatT Acad. Sci. USA 83:7059-7063 (1986)) and Hellstrom, I et ah, Proc. NatT Acad. Sci. USA 82:1499-1502 (1985); 5,821,337 (see Bruggemann, M. et al., J. Exp. Med. 166:1351-1361 (1987)). Alternatively, non-radioactive assays methods may be employed (see, for example, ACTI™ non-radioactive cytotoxicity assay for flow cytometry (CellTechnology, Inc. Mountain View, CA; and CytoTox 96® non-radioactive cytotoxicity assay (Promega, Madison, WI). Useful effector cells for such assays include peripheral blood mononuclear cells (PBMC) and Natural Killer (NK) cells. Alternatively, or additionally, ADCC activity of the molecule of interest may be assessed in vivo, e.g., in a animal model such as that disclosed in Clynes et al. Proc. NatT Acad. Sci. USA 95:652-656 (1998). Clq binding assays may also be carried out to confirm that the antibody is unable to bind Clq and hence lacks CDC activity. See, e.g., Clq and C3c binding ELISA in WO 2006/029879 and WO 2005/100402. To assess complement activation, a CDC assay may be performed (see, for example, Gazzano- Santoro et al., J. Immunol. Methods 202:163 (1996); Cragg, M.S. et al., Blood 101:1045-1052 (2003); and Cragg, M.S. and M.J. Glennie, Blood 103:2738-2743 (2004)). FcRn binding and in vivo clearance/half life determinations can also be performed using methods known in the art (see, e.g., Petkova, S.B. et ah, Int’l. Immunol. 18(12): 1759- 1769 (2006)).
[0099] In some embodiments, one or more amino acid modifications may be introduced into the Fc portion of the antibody provided herein in order to increase IgG binding to the neonatal Fc receptor. In certain embodiments, the antibody comprises the following three mutations according to EU numbering: M252Y, S254T, and T256E (the “YTE mutation”) (US Patent No. 8,697,650; see also DalFAcqua et ah, Journal of Biological Chemistry 281(33):23514-23524 (2006). In certain embodiments, the YTE mutation does not affect the ability of the antibody to bind to its cognate antigen. In certain embodiments, the YTE mutation increases the antibody’s serum half-life compared to the native (i.e., non- YTE mutant) antibody. In some embodiments, the YTE mutation increases the serum half-life of the antibody by 3-fold compared to the native (i.e., non- YTE mutant) antibody. In some embodiments, the YTE mutation increases the serum half-life of the antibody by 2-fold compared to the native (i.e., non- YTE mutant) antibody. In some embodiments, the YTE mutation increases the serum half-life of the antibody by 4-fold compared to the native (i.e., non- YTE mutant) antibody. In some embodiments, the YTE mutation increases the serum half-life of the antibody by at least 5-fold compared to the native (i.e., non- YTE mutant) antibody. In some embodiments, the YTE mutation increases the serum half-life of the antibody by at least 10-fold compared to the native (i.e., non- YTE mutant) antibody. See, e.g., US Patent No. 8,697,650; see also DalFAcqua et al., Journal of Biological Chemistry 281(33):23514-23524 (2006).
[0160] In certain embodiments, the YTE mutant provides a means to modulate antibody- dependent cell-mediated cytotoxicity (ADCC) activity of the antibody. In certain embodiments, the YTEO mutant provides a means to modulate ADCC activity of a humanized IgG antibody directed against a human antigen. See, e.g., US Patent No. 8,697,650; see also DalFAcqua et al., Journal of Biological Chemistry 281(33):23514-23524 (2006).
[0101] In certain embodiments, the YTE mutant allows the simultaneous modulation of serum half-life, tissue distribution, and antibody activity (e.g., the ADCC activity of an IgG antibody). See, e.g., US Patent No. 8,697,650; see also DalFAcqua et al., Journal of Biological Chemistry 281(33):23514-23524 (2006). [0102] Antibodies with reduced effector function include those with substitution of one or more of Fc region residues 238, 265, 269, 270, 297, 327 and 329 according to EU numbering (U.S. Patent No. 6,737,056). Such Fc mutants include Fc mutants with substitutions at two or more of amino acid positions 265, 269, 270, 297 and 327 according to EU numbering, including the so-called “DANA” Fc mutant with substitution of residues 265 and 297 to alanine according to EU numbering (i.e., D265A and N297A according to EU numbering) (US Patent No. 7,332,581). In certain embodiments the Fc mutant comprises the following two amino acid substitutions: D265A and N297A. In certain embodiments the Fc mutant consists of the following two amino acid substitutions: D265A and N297A.
[0103] In certain embodiments, the proline at position329 (EU numbering) (P329) of a wild-type human Fc region is substituted with glycine or arginine or an amino acid residue large enough to destroy the proline sandwich within the Fc/Fcy receptor interface, that is formed between the P329 of the Fc and tryptophane residues W87 and W110 of FcgRIII (Sondermann et al.: Nature 406, 267-273 (20 July 2000)). In a further embodiment, at least one further amino acid substitution in the Fc variant is S228P, E233P, L234A, L235A, L235E, N297A, N297D, or P331 S and still in another embodiment said at least one further amino acid substitution is L234A and L235A of the human IgGl Fc region or S228P and L235E of the human IgG4 Fc region, all according to EU numbering (U.S. Patent No. 8,969,526).
[0104] In certain embodiments, a polypeptide comprises the Fc variant of a wild-type human IgG Fc region wherein the polypeptide has P329 of the human IgG Fc region substituted with glycine and wherein the Fc variant comprises at least two further amino acid substitutions at L234A and L235A of the human IgGl Fc region or S228P and L235E of the human IgG4 Fc region, and wherein the residues are numbered according to the EU numbering (U.S. Patent No. 8,969,526). In certain embodiments, the polypeptide comprising the P329G, L234A and L235A (EU numbering) substitutions exhibit a reduced affinity to the human FcyRIIIA and FcyRIIA, for down-modulation of ADCC to at least 20% of the ADCC induced by the polypeptide comprising the wild-type human IgG Fc region, and/or for down- modulation of ADCP (U.S. Patent No. 8,969,526).
[0105] In a specific embodiment the polypeptide comprising an Fc variant of a wild-type human Fc polypeptide comprises a triple mutation: an amino acid substitution at position Pro329, a L234A and a L235A mutation according to EU numbering (P329 / LALA) (U.S. Patent No. 8,969,526). In specific embodiments, the polypeptide comprises the following amino acid substitutions: P329G, L234A, and L235A according to EU numbering.
[0166] Certain antibody variants with improved or diminished binding to FcRs are described. (See, e.g., U.S. Patent No. 6,737,056; WO 2004/056312, and Shields et al., J. Biol. Chem. 9(2): 6591-6604 (2001).)
[0.1.07] In certain embodiments, an antibody variant comprises an Fc region with one or more amino acid substitutions which improve ADCC, e.g., substitutions at positions 298,
333, and/or 334 of the Fc region (EU numbering).
[0108] In some embodiments, alterations are made in the Fc region that result in altered (i.e., either improved or diminished) Clq binding and/or Complement Dependent Cytotoxicity (CDC), e.g., as described in US Patent No. 6,194,551, WO 99/51642, and Idusogie et al. J. Immunol. 164: 4178-4184 (2000).
[0109] Antibodies with increased half lives and improved binding to the neonatal Fc receptor (FcRn), which is responsible for the transfer of maternal IgGs to the fetus (Guyer et al., J. Immunol. 117:587 (1976) and Kim et al., J. Immunol. 24:249 (1994)), are described in US2005/0014934A1 (Hinton et al.). Those antibodies comprise an Fc region with one or more substitutions therein which improve binding of the Fc region to FcRn. Such Fc variants include those with substitutions at one or more of Fc region residues: 238, 256, 265, 272,
286, 303, 305, 307, 311, 312, 317, 340, 356, 360, 362, 376, 378, 380, 382, 413, 424 or 434, e.g., substitution of Fc region residue 434 (US Patent No. 7,371,826) according to EU numbering. See also Duncan & Winter, Nature 322:738-40 (1988); U.S. Patent No.
5,648,260; U.S. Patent No. 5,624,821; and WO 94/29351 concerning other examples of Fc region variants. j . Antibody Derivatives
[0.1.10] In certain embodiments, an antibody provided herein may be further modified to contain additional nonproteinaceous moieties that are known in the art and readily available. The moieties suitable for derivatization of the antibody include but are not limited to water soluble polymers. Non-limiting examples of water soluble polymers include, but are not limited to, polyethylene glycol (PEG), copolymers of ethylene glycol/propylene glycol, carboxymethylcellulose, dextran, polyvinyl alcohol, polyvinyl pyrrolidone, poly-1, 3- dioxolane, poly-l,3,6-trioxane, ethylene/maleic anhydride copolymer, polyaminoacids (either homopolymers or random copolymers), and dextran or poly(n-vinyl pyrrolidone)polyethylene glycol, propylene glycol homopolymers, polypropylene oxide/ethylene oxide co-polymers, polyoxyethylated polyols (e.g., glycerol), polyvinyl alcohol, and mixtures thereof. Polyethylene glycol propionaldehyde may have advantages in manufacturing due to its stability in water. The polymer may be of any molecular weight, and may be branched or unbranched. The number of polymers attached to the antibody may vary, and if more than one polymer is attached, they can be the same or different molecules. In general, the number and/or type of polymers used for derivatization can be determined based on considerations including, but not limited to, the particular properties or functions of the antibody to be improved, whether the antibody derivative will be used in a therapy under defined conditions, etc.
[0111] In another embodiment, conjugates of an antibody and nonproteinaceous moiety that may be selectively heated by exposure to radiation are provided. In one embodiment, the nonproteinaceous moiety is a carbon nanotube (Kam et ah, Proc. Natl. Acad. Sci. USA 102: 11600-11605 (2005)). The radiation may be of any wavelength, and includes, but is not limited to, wavelengths that do not harm ordinary cells, but which heat the nonproteinaceous moiety to a temperature at which cells proximal to the antibody-nonproteinaceous moiety are killed. k. Tumor-Associated Antigens
[0112] Antibodies, including but not limited to cysteine engineered antibodies, which may be useful in the ADCs described herein in the treatment of cancer include, but are not limited to, antibodies against cell surface receptors and tumor-associated antigens (TAA). Certain tumor-associated antigens are known in the art, and can be prepared for use in generating antibodies using methods and information which are well known in the art. In attempts to discover effective cellular targets for cancer diagnosis and therapy, researchers have sought to identify transmembrane or otherwise tumor-associated polypeptides that are specifically expressed on the surface of one or more particular type(s) of cancer cell as compared to on one or more normal non-cancerous cell(s). Often, such tumor-associated polypeptides are more abundantly expressed on the surface of the cancer cells as compared to on the surface of the non-cancerous cells. The identification of such tumor-associated cell surface antigen polypeptides has given rise to the ability to more specifically target cancer cells for destruction via antibody -based therapies. [0113] Examples of tumor-associated antigens TAA include, but are not limited to, those listed below. For convenience, information relating to these antigens, all of which are known in the art, is listed below and includes names, alternative names, Genbank accession numbers and primary reference(s), following nucleic acid and protein sequence identification conventions of the National Center for Biotechnology Information (NCBI). Nucleic acid and protein sequences corresponding to TAA listed below are available in public databases such as GenBank. Tumor-associated antigens targeted by antibodies include all amino acid sequence variants and isoforms possessing at least about 70%, 80%, 85%, 90%, or 95% sequence identity relative to the sequences identified in the cited references, and/or which exhibit substantially the same biological properties or characteristics as a TAA having a sequence found in the cited references. For example, a TAA having a variant sequence generally is able to bind specifically to an antibody that binds specifically to the TAA with the corresponding sequence listed. The sequences and disclosure in the reference specifically recited herein are expressly incorporated by reference.
1. Recombinant Methods and Compositions
[0114] Antibodies may be produced using recombinant methods and compositions, e.g., as described in U.S. Patent No. 4,816,567. In one embodiment, isolated nucleic acid encoding an antibody described herein is provided. Such nucleic acid may encode an amino acid sequence comprising the VL and/or an amino acid sequence comprising the VH of the antibody (e.g., the light and/or heavy chains of the antibody). In a further embodiment, one or more vectors (e.g., expression vectors) comprising such nucleic acid are provided. In a further embodiment, a host cell comprising such nucleic acid is provided. In one such embodiment, a host cell comprises (e.g., has been transformed with): (1) a vector comprising a nucleic acid that encodes an amino acid sequence comprising the VL of the antibody and an amino acid sequence comprising the VH of the antibody, or (2) a first vector comprising a nucleic acid that encodes an amino acid sequence comprising the VL of the antibody and a second vector comprising a nucleic acid that encodes an amino acid sequence comprising the VH of the antibody. In one embodiment, the host cell is eukaryotic, e.g. a Chinese Hamster Ovary (CHO) cell or lymphoid cell (e.g., Y0, NS0, Sp20 cell). In one embodiment, a method of making an antibody is provided, wherein the method comprises culturing a host cell comprising a nucleic acid encoding the antibody, as provided above, under conditions suitable for expression of the antibody, and optionally recovering the antibody from the host cell (or host cell culture medium). [0115] For recombinant production of an antibody, nucleic acid encoding an antibody, e.g., as described above, is isolated and inserted into one or more vectors for further cloning and/or expression in a host cell. Such nucleic acid may be readily isolated and sequenced using conventional procedures (e.g., by using oligonucleotide probes that are capable of binding specifically to genes encoding the heavy and light chains of the antibody).
[0116] Suitable host cells for cloning or expression of antibody-encoding vectors include prokaryotic or eukaryotic cells described herein. For example, antibodies may be produced in bacteria, in particular when glycosylation and Fc effector function are not needed. For expression of antibody fragments and polypeptides in bacteria, see, e.g., U.S. Patent Nos. 5,648,237, 5,789,199, and 5,840,523. (See also Charlton, Methods in Molecular Biology,
Vol. 248 (B.K.C. Lo, ed., Humana Press, Totowa, NJ, 2003), pp. 245-254, describing expression of antibody fragments in E. coli.) After expression, the antibody may be isolated from the bacterial cell paste in a soluble fraction and can be further purified.
[0117] In addition to prokaryotes, eukaryotic microbes such as filamentous fungi or yeast are suitable cloning or expression hosts for antibody-encoding vectors, including fungi and yeast strains whose glycosylation pathways have been “humanized,” resulting in the production of an antibody with a partially or fully human glycosylation pattern. See Gemgross, Nat. Biotech. 22:1409-1414 (2004), and Li et ak, Nat. Biotech. 24:210-215 (2006).
Suitable host cells for the expression of glycosylated antibody are also derived from multicellular organisms (invertebrates and vertebrates). Examples of invertebrate cells include plant and insect cells. Numerous baculoviral strains have been identified which may be used in conjunction with insect cells, particularly for transfection of Spodoptera frugiperda cells.
[0118] Plant cell cultures can also be utilized as hosts. See, e.g., US Patent Nos. 5,959,177, 6,040,498, 6,420,548, 7,125,978, and 6,417,429 (describing PLANTIBODIESTM technology for producing antibodies in transgenic plants).
[0119] Vertebrate cells may also be used as hosts. For example, mammalian cell lines that are adapted to grow in suspension may be useful. Other examples of useful mammalian host cell lines are monkey kidney CV1 line transformed by SV40 (COS-7); human embryonic kidney line (293 or 293 cells as described, e.g., in Graham et ak, J. Gen Virol. 36:59 (1977); baby hamster kidney cells (BHK); mouse sertoli cells (TM4 cells as described, e.g., in Mather, Biol. Reprod. 23:243-251 (1980); monkey kidney cells (CV1); African green monkey kidney cells (VERO-76); human cervical carcinoma cells (HELA); canine kidney cells (MDCK; buffalo rat liver cells (BRL 3 A); human lung cells (W138); human liver cells (Hep G2); mouse mammary tumor (MMT 060562); TRI cells, as described, e.g., in Mather et al., Annals N.Y. Acad. Sci. 383:44-68 (1982); MRC 5 cells; and FS4 cells. Other useful mammalian host cell lines include Chinese hamster ovary (CHO) cells, including DHFR- CHO cells (Urlaub et al., Proc. Natl. Acad. Sci. USA 77:4216 (1980)); and myeloma cell lines such as Y0, NS0 and Sp2/0. For a review of certain mammalian host cell lines suitable for antibody production, see, e.g., Yazaki and Wu, Methods in Molecular Biology, Vol. 248 (B.K.C. Lo, ed., Humana Press, Totowa, NJ), pp. 255-268 (2003).
[0120] In some embodiments, the ADC binds to one or more polypeptides selected from the group consisting of DLL3; EDAR; CLL1; BMPRIB; E16; STEAPl; 0772P; MPF; NaPi2b; Serna 5b; PSCA hlg; ETBR; MSG783; STEAP2; TrpM4; CRIPTO; CD21; CD79b; FcRH2; B7-H4; HER2; NCA; MDP; IL20Ra; Brevican; EphB2R; ASLG659; PSCA;
GEDA; BAFF-R; CD22; CD79a; CXCR5; HLA-DOB; P2X5; CD72; LY64; FcRHl; IRTA2; TENB2; PMEL17; TMEFFl; GDNF-Ral; Ly6E; TMEM46; Ly6G6D; LGR5; RET; LY6K; GPR19; GPR54; ASPHD1; Tyrosinase; TMEM118; GPR172A; MUC16 and CD33. m. Anti-Ly6E Antibodies
[0X21] In certain embodiments, an ADC as provided herein comprises an anti-Ly6E antibody. Lymphocyte antigen 6 complex, locus E (Ly6E), also known as retinoic acid induced gene E (RIG-E) and stem cell antigen 2 (SCA-2). It is a GPI linked, 131 amino acid length, ~8.4kDa protein of unknown function with no known binding partners. It was initially identified as a transcript expressed in immature thymocyte, thymic medullary epithelial cells in mice (Mao, et al. (1996) Proc. Natl. Acad. Sci. U.S.A. 93:5910-5914). In some embodiments, the subject matter described herein provides an ADC comprising an anti- Ly6E antibody described in PCT Publication No. WO 2013/177055. n. Antibody Affinity
[0122] In certain embodiments, an antibody provided herein has a dissociation constant (Kd) of < ImM, < 100 nM, < 50 nM, < 10 nM, < 5 nM, < 1 nM, < 0.1 nM, < 0.01 nM, or < 0.001 nM, and optionally is > 1013 M. (e.g. 108M or less, e.g. from 108M to 1013M, e.g., from 109M to 1013 M). [0123] In one embodiment, Kd is measured by a radiolabeled antigen binding assay (RIA) performed with the Fab version of an antibody of interest and its antigen as described by the following assay. Solution binding affinity of Fabs for antigen is measured by equilibrating Fab with a minimal concentration of (125I)-labeled antigen in the presence of a titration series of unlabeled antigen, then capturing bound antigen with an anti -Fab antibody-coated plate (see, e.g., Chen et al., J. Mol. Biol. 293:865-881(1999)). To establish conditions for the assay, MICROTITER® multi-well plates (Thermo Scientific) are coated overnight with 5 pg/ml of a capturing anti-Fab antibody (Cappel Labs) in 50 mM sodium carbonate (pH 9.6), and subsequently blocked with 2% (w/v) bovine serum albumin in PBS for two to five hours at room temperature (approximately 23 °C). In a non-adsorbent plate (Nunc #269620), 100 pM or 26 pM [125I] -antigen are mixed with serial dilutions of a Fab of interest (e.g., consistent with assessment of the anti-VEGF antibody, Fab-12, in Presta et al., Cancer Res. 57:4593-4599 (1997)). The Fab of interest is then incubated overnight; however, the incubation may continue for a longer period (e.g., about 65 hours) to ensure that equilibrium is reached. Thereafter, the mixtures are transferred to the capture plate for incubation at room temperature (e.g., for one hour). The solution is then removed and the plate washed eight times with 0.1% polysorbate 20 (TWEEN- 20®) in PBS. When the plates have dried, 150 mΐ/well of scintillant (MICROSCINT-20 ™; Packard) is added, and the plates are counted on a TOPCOUNT ™ gamma counter (Packard) for ten minutes. Concentrations of each Fab that give less than or equal to 20% of maximal binding are chosen for use in competitive binding assays.
[0124] According to another embodiment, Kd is measured using surface plasmon resonance assays using a BIACORE®-2000 or a BIACORE®-3000 (BIAcore, Inc., Piscataway, NJ) at 25°C with immobilized antigen CM5 chips at ~10 response units (RU). Briefly, carboxymethylated dextran biosensor chips (CM5, BIACORE, Inc.) are activated with A-ethyl-A'- (3- dimethylaminopropyl)-carbodiimide hydrochloride (EDC) and A-hydroxysuccinimide (NHS) according to the supplier’s instructions. Antigen is diluted with 10 mM sodium acetate, pH 4.8, to 5 pg/ml (-0.2 mM) before injection at a flow rate of 5 pl/minute to achieve approximately 10 response units (RU) of coupled protein. Following the injection of antigen, 1 M ethanolamine is injected to block unreacted groups. For kinetics measurements, two-fold serial dilutions of Fab (0.78 nM to 500 nM) are injected in PBS with 0.05% polysorbate 20 (TWEEN-20™) surfactant (PBST) at 25°C at a flow rate of approximately 25 pl/min. Association rates (kon) and dissociation rates (k0ff) are calculated using a simple one-to-one Langmuir binding model
(BIACORE® Evaluation Software version 3.2) by simultaneously fitting the association and dissociation sensorgrams. The equilibrium dissociation constant (Kd) is calculated as the ratio k0ff/l<0n See, e.g., Chen et al., J. Mol. Biol. 293:865-881 (1999). If the on-rate exceeds 106 M1 s1 by the surface plasmon resonance assay above, then the on-rate can be determined by using a fluorescent quenching technique that measures the increase or decrease in fluorescence emission intensity (excitation = 295 nm; emission = 340 nm, 16 nm band-pass) at 25°C of a 20 nM anti antigen antibody (Fab form) in PBS, pH 7.2, in the presence of increasing concentrations of antigen as measured in a spectrometer, such as a stop-flow equipped spectrophotometer (Aviv Instruments) or a 8000-series SLM-AMINCO ™ spectrophotometer (ThermoSpectronic) with a stirred cuvette.
2. Linkers
[0125] The ADCs provided herein, such as for compositions and methods provided herein, comprise a linker conjugating the antibody to the rest of the ADC. In some embodiments, the antibody is conjugated directly to one or more CTAs through a linker, while in other embodiments, the antibody is conjugated to one or mroe masking moieties through a linker. The linkers may include bifunctional or multifunctinoal moieties, and one antibody may be conjugated to multiple CTAs or multiple masking moieties.
[0126] Methods of attaching linkers to antibodies are well known in the art, and include the use of reactive functional groups on the linker such as NHS esters, isothiocyanates, haloacetamides, mixed disulfides, and maleimides. Thus, the ADCs provided herein include those in which the Ab is covalently attached to a linker through a thio-succinimide, disulfide, ester, amide, or triazole functional group. Linkers for use in the methods and compositions provided herein may include cleavable linkers (such as peptide, hydrazone, or disulfide) and non-cleavable (such as thioether).
[0127] Cleavable linkers include those that are hydrolyzed by lysosomal enzymes. Thus, for example, an ADC as provided herein may be administered to a subject in need thereof, internalized by a target cell in the subject, the linker between the antibody and the CTA or between the antibody and the masking moiety hydrolyzed, and the CTA released within the cell, wherein the CTA is still masked by the masking moiety. The CTA is then unmasked by interaction of the masking moiety with the trigger compound, separately administered.
[0128] Cleavable linkers include peptide linkers that can be hydrolyzed by lysosomal enzymes, such as lysosomal cysteine proteases and lysosomal thiol reductases. Such cleavable linkers may include those comprising a Valine-Citrulline (Val-Cit) dipeptide, which can be cleaved by Cathepsin B (see, e.g., US 6,214,345). Cleavable linkers further include peptidomimetic linkers, non-peptide linkers that have certain properties of peptides.
[0129] Cleavable linkers include those that contain a disulfide bond, and may be known as disulfide linkers. The disulfide bond (which may be known alternatively as a disulfide bridge) may occur at any location in the linker, including at the attachment point of the linker to another component of the ADC, such as attachment of the linker too the antibody, or linker to the CTA, or linker to the masking moiety, depending on the configuration of the ADC. Disulfide linkers may be cleaved via reduction, thiol-disulfide exchange, or through enzymatic cleavage. Intracellular enzymatic cleavage may occur, for example, by action of enzymes of the thioredoxin family.
[0130] In some embodiments, the antibody is linked to the rest of the ADC through a non peptide, peptidomimetic linker that is cleavable by lysosomal enzymes. For example, the amide bond in the middle of a dipeptide (e.g. Val-Cit) may be replaced with an amide mimic; and/or entire amino acid (e.g., valine amino acid in Val-Cit dipeptide) may be replaced with a non-amino acid moiety (e.g., cycloalkyl dicarbonyl structures (for example, ring size = 4 or
5))·
[0131 ] In other embodiments, the antibody is linked to the rest of the ADC through a non- cleavable linker. Non-cleavable linkers include linkers comprising a peptide wherein the peptide is not cleavable by lysosomal proteases. Non-cleavable linkers also include linkers which do not comprise a peptide, and which are not cleavable by lysosomal proteases.
[0132] In still further embodiments, the linker comprises a functional group by which it is convalently attached to the Ab, a spacing element, and a functional group by which it is covalently attached to the rest of the ADC (e.g. to the CTA, or to the masking moiety). For example, the linker may be covalently attached to the Ab through a thio-succinimide, disulfide, ester, amide, or triazole functional group; comprise a spacing element; and then be attached to the CTA or masking moiety through a thio-succinimide, disulfide, ester, amide, or triazole functional group. In certain embodiments, the spacing element comprises an alkyl chain, or an ether. In certain embodiments, the spacing element comprises Ci-Cio alkyl, or comprises polyethylene glycol (PEG). In some embodiments, the spacing element comprises [-0-CH2CH2-]I-IO. Linkers for use in the methods and compositions provided herein include, for example, maleimide-PEGn-succinimidyl esters, wherein n is an integer from 1 to 20, such as from 1 to 10, or from 3 to 6. 3. Concentrating Moiety
[0133] The ADCs provided herein, and of the compositions and methods provided herein, may in some embodiments comprise a concentrating moiety. The concentrating moiety may include any group which increases the retention of the ADC inside the cell; or for ADCs in which the antibody is cleaved, increases the retention of the masked CTA inside the cell; in comparison to an ADC or masked CTA without a concentrating moiety. Without wishing to be bound by any theory, including a concentrating moiety in the ADC helps maintain the intracellular concentration of the ADC (or masked CTA cleaved from the Ab) while remaining circulating ADC dissipates through physiological clearing mechanisms. This leads to decreased side effects (including off-target side effects) once the CTA is activated by administration of the trigger compound, as the majority of the CTA is residualized within the target cells.
[0134] Concentrating moieties for use in the compositions and methods provided herein may include, for example, a peptide fragment bearing one or more carboxylic acid groups; or a chelator. In some embodiments, the chelator is DOTA, a DOTA derivative, or is desferrioxamine (which may also be known as deferoxamine). In certain embodiments, the concentrating moiety is DOTA. In certain embodiments, the peptide fragment comprises from 3 to 20 amino acids. In some embodiments, the chelator is a DOTA derivative, including but not limited to a compound with the structure of DOTA wherein one or two of the -CH2C(0)0H groups bonded to the heterocycle has been replaced with another group, such as a conjugating group, linker, or protecting group; or wherein one or more of the - CH2C(0)0H groups bonded to the heterocycle is modified, such as esterified, or halogenated, or branched, or is an amide, or contains a conjugating group, or a polyethylene glycol linker.
[0135] In some embodiments, the concentrating moiety comprises one or more negatively charged functional groups at physiological pH, such as at intracellular pH (e.g., pH between about 7.0 and about 7.4). Functional groups which are negatively charged at physiological pH are well known to those of skill in the art, and may include, for example, carboxylic acids (e.g., comprising -COOH) which are deprotonated to form the conjugate base carboxylate at physiological pH. In some embodiments, the concentrating moiety comprises one or more carboxylic acid functional groups, such as between 1 and 6 carboxylic acid functional groups (which may exist as the conjugate base). In some embodiments, the concentrating moiety has a net neutral or net positive charge at physiological pH, and contains between 1 and 4 carboxylic acid functional groups. In certain embodiments, the concentrating moiety is a chelator. In some embodiments, the concentrating moiety is a peptide that comprises one or more negatively charged functional groups at physiological pH. In certain embodiments, the peptide comprises at least 3 negatively charged functional groups. In some embodiments, the peptide comprises between 3 and 6 negatively charged functional groups. In certain embodiments, the peptide comprises from 3 to 20 amino acids, and at least 3 negatively charged functional groups, such as 3 and 6 negatively charged functional groups, for example carboxylic acid functional groups.
4. Masking Moiety
[0136] The ADCs provided herein, including those for use in the compositions and methods provided herein, comprise a masking moiety that is covalently attached to the CTA in such a way as to fully or partially block the cytotoxic activity of the CTA until removed through reaction with a trigger compound. In certain embodiments, the masking moiety comprises a transcyclooctene functional group, which reacts with a tetrazine functional group on the trigger compound to release the unmasked CTA. The number and attachment point of the masking moieties to the CTA depend on the identity of the CTA. In some embodiments, one masking moiety is covalently attached to the CTA. In other embodiments, two or more masking moieties are covalently attached to the CTA.
[0137] In some embodiments, the masking moiety is of the structure:
Figure imgf000043_0001
wherein Rx and Ry are independently C1-C3 alkyl or H, or together form a C2-C3 bridge connecting the nitrogen atoms to which they are attached;
Rz is H, C1-C6 alkyl, or Ci-Cehaloalkyl; and/'/w indicates the point of attachment to other components of the ADC.
[0.1.38] In some embodiments, Rz is H. In some embodiments, the masking moiety is covalently bound to the CTA through the ester group of the masking moiety. 5. ADCs of formula (I)
[0139] In some embodiments, the ADC is of formula (A) or formula (B):
Figure imgf000044_0001
(B), or a pharmaceutically acceptable salt thereof, wherein:
Rx and Ry are independently C1-C3 alkyl or H, or together form a C2-C3 bridge connecting the nitrogen atoms to which they are attached;
Rz is H, C1-C6 alkyl, or Ci-Cehaloalkyl;
Ab is an antibody or fragment thereof that binds to and is internalized by a target cell; L1 is a linker;
CTA is a cytotoxic agent;
RA is a concentrating moiety; n, if present, is 1 or 2; and m is an integer from 1 to 6.
[0140] In some embodiments, the ADC is of formula (A), wherein n is 1 or 2, and m is an integer from 1 to 4. In certain embodiments, m is 1 or 2. In some embodiments, Rz is H.
[0141] In certain embodiments, the ADC of Formula (A) is of formula (A-l):
Figure imgf000045_0001
pharmaceutically acceptable salt thereof.
[0142] In certain embodiments, the ADC of Formula (A) or (A-l) is of formula (A-la):
Figure imgf000045_0002
-la), or a pharmaceutically acceptable salt thereof.
[0143] The antibody or fragment thereof Ab of formula (A), (A-l), (A-la), or (B) may be any of the antibodies (or fragments thereof) further described herein, such as a human antibody, chimeric antibody, humanized antibody, library-derived antibody, or any combinations thereof. In some embodiments, the antibody is cysteine-engineered, a glycosylation variant, or an Fc region variant, or any combination thereof. In some embodiments, the antibody binds a tumor-associated antigen. In certain embodiments, the antibody is an anti-Ly6E antibody. In still further embodiments, the antibody is an anti-Ly6E antibody and is cysteine-engineered (e.g., a THIOMAB™ anti-Ly6E antibody).
[0144] The linker L1 of formula (A), (A-l), (A-la), or (B) may include any of the linkers described herein, such as those which are peptidomimetic, peptide, cleavable, non-cleavable, alkyl-chain containing, or PEG-containing, or combinations thereof. In certain embodiments, L1 is a cleavable linker, such as a linker cleavable by a lysosomal cysteine protease or a lysosomal thiol reductase or a thiol. In certain embodiments, the cleavable linker is a cleavable peptide linker. In other embodiments, the cleavable linker is a cleavable peptidomimetic linker. In some embodiments, the linker comprises a peptide or disulfide linkage. In some embodiments, the linker comprises a contiguous sequence of amino acids. In certain embodiments, the linker is connected to the antibody or fragment thereof through a thio-succinimide, disulfide, ester, amide, or triazole functional group. In some embodiments, the linker comprises a Valine-Citrulline (Val-Cit) dipeptide. In yet further embodiments, the linker comprises a functional group by which it is covalently attached to the Ab, spacing element, and a functional group by which it is covalently attached to the rest of the ADC. In certain embodiments, both functional groups are independently selected from the group consisting of thio-succinimide, disulfide, ester, amide, and triazole functional groups; and the spacing element comprises an alkyl chain, or an ether, or a combination thereof. In certain embodiments, the spacing element comprises Ci-Cio alkyl, or comprises polyethylene glycol (PEG). In some embodiments, the spacing element comprises [-0-CH2CH2-]I-IO. In some embodiments, the linker is derived from a maleimide-PEGn-succinimidyl ester (e.g., wherein n is an integer from 1 to 10, such as from 3 to 6).
[0145] In some embodiments of the ADCs of formulas (A), (A-l), (A- la) or (B), or a pharmaceutically acceptable salt thereof, Rx and Ry are independently C1-C3 alkyl or H, or together form a C2-C3 bridge connecting the nitrogen atoms to which they are attached. In certain embodiments, Rx and Ry are independently C1-C3 alkyl or H. In certain embodiments, Rx and Ry together form a C2-C3 bridge connecting the nitrogen atoms to which they are attached. In some embodiments, Rx and Ry together form a C2 bridge connecting the nitrogen atoms to which they are attached.
[0146] The concentrating moiety RA of any one of the ADCs of formulas (A), (A-l), or (B), or a pharmaceutically acceptable salt thereof, may be any of the concentrating moieties described herein, such as a peptide fragment bearing one or more negatively charged functional groups; or a chelator. In some embodiments, the chelator is DOTA, a DOTA derivative, or is desferrioxamine (which may also be known as deferoxamine). In certain embodiments, the concentrating moiety is DOTA. In other embodiments, the concenrating moiety is a peptide fragment (e.g., between 3 to 20 amino acids) comprising one or more negatively charged functional groups, such as one or more carboxylic acid functinoal groups.
[0147] The CTA of any one of the ADCs of formulas (A), (A-l), or (B), or a pharmaceutically acceptable salt thereof, may be any of the CTAs described herein. For example, in some embodiments, the CTA is a chemotherapeutic agent or drug (e.g., methotrexate, adriamicin, vinca alkaloids (vincristine, vinblastine, etoposide), doxorubicin, melphalan, mitomycin C, chlorambucil, daunorubicin or other intercalating agents); growth inhibitory agent; antibiotic; or a toxin such as small molecule toxin or enzymatically active toxin of bacterial, fungal, plant or animal origin, including fragments and/or variants thereof. In some embodiments, the CTA is a chemotherapeutic agent. In certain embodiments, the CTA is a PBD dimer, auristatin, CBI dimer, or camptothecin analog. In some embodiments, the CTA is a PBD dimer. In some embodiments, the CTA is a chemotherapeutic or drug that comprises an amine or hydroxyl group that must be unconstrained to have activity.
[0148] In some embodiments, the ADC is:
Figure imgf000047_0001
, or a pharmaceutically acceptable salt thereof.
[0149] In certain embodiments, the ADC is:
Figure imgf000047_0002
or a pharmaceutically acceptable salt thereof. [0150] In some embodiments, as explained elsewhere herein, the TCO group is in the axial configuration.
[0151 ] In certain embodiments of ADCs provided herein comprising the moiety:
Figure imgf000048_0001
including those in which Rx and Ry have been defined, the * indicates a diastereomeric center. In certain embodiments, both diastereomers exhibit similar activity. Thus, in some embodiments, a mixture of diastereomers is provided.
II. Trigger Compounds
[0152] The methods and compositions provided herein further comprise a trigger compound, which reacts with the masking moiety on the ADC to release the CTA. The trigger compound for use in the methods and compositions provided herein comprises a tetrazine functional group. In some embodiments, the trigger compound is stable in whole blood. In some embodiments, the trigger compound has a T1/2 in a whole blood assay of at least 1 hour, 2 hours, at least 3 hours, at least 4 hours, at least 5 hours, at least 6 hours, at least 7 hours, at least 8 hours, or at least 9 hours. In some embodiments, the trigger compound is orally bioavailable. In some embodiments, the trigger compound further comprises an amine functional group, such as a primary amine, secondary amine, or tertiary amine. The amine functional group may be connected directly to the tetrazine, or may be connected through one or more intermediate chemical moeities. For example, in some embodiments, the trigger compound comprises a tetrazine-alkyl-amine moiety, or a tetrazine-aromatic ring-amine moiety, or a tetrazine-aromatic ring-alkyl-amine moiety. In certain embodiments, the trigger compound comprises an aniline functional group. In certain embodiments, the trigger compound is of the formula (X):
N=N
Figure imgf000048_0002
(X), or a pharmaceutically acceptable salt thereof, wherein Rx and Ry are independently selected from the group consisting of hydrogen, halogen, heteroaryl, aryl, heterocyclyl, cycloalkyl, -OR’, Ci-C6alkyl, and -NRR’; wherein the Ci-Cealkyl, aryl, heteroaryl, heterocyclyl, and cycloalkyl are independently unsubstituted or substituted with one or more substituents independently selected from the group consisting of halogen, -OR”, -NR”R’”, and Ci-Cealkyl-MC’R”’; wherein each R, R’, R”, and R’” is independently hydrogen, Ci-C6alkyl, or Ci-Cehaloalkyl; and R and R’ or R” and R’”, when connected to the same nitrogen atom, come together to form a heterocycle.
[0.1.53] In some embodiments, one of Rx and Ry is hydrogen, and the remaining Rx or Ry is - NRR’, unsubstituted or substituted heteroaryl, or unsubstituted or substituted aryl. In some embodiments of formula (X), the heterocycle (e.g., of Rx, Ry, or a substituent thereof, or formed by R and R’ or R” and R’”) is piperidinyl.
[0154] In certain embodiments, the trigger compound is a compound of formula (I):
Figure imgf000049_0001
or a pharmaceutically acceptable salt thereof, wherein:
(i) each of X1, X2, X3, and X4 is N; and zero to two of X5, X6, X7, and X8 is N, and the remainder are CH; or
(ii) each of X5, X6, X7, and X8 is N; and zero to two of X1, X2, X3, and X4 is N, and the remainder are CH;
RA and RB are independently Ci-C6alkyl or Ci-Cehaloalkyl, or together with the nitrogen to which they are attached form a 3-7 membered saturated heterocyclyl, wherein the heterocyclyl comprises one or two heteroatoms independently selected from O and N, and wherein the heterocyclyl is unsubstituted or substituted with one to three substituents independently selected from the group consisting of halo, -OH, Ci-C6alkoxy, and Ci- Cehaloalkoxy; each R1 is independently selected from the group consisting of halo, Ci-C6alkyl, Ci- Cehaloalkyl, -OH, Ci-C6alkoxy, Ci-Cehaloalkoxy, and -NRlaRlb; wherein each Rla and Rlb is independently H, Ci-Cealkyl, or Ci-Cehaloalkyl;
R2 is H, halo, Ci-C6alkyl, Ci-Cehaloalkyl, -OH, Ci-C6alkoxy, Ci-Cehaloalkoxy, -NR2aR2b, -SR2c, heterocycloalkyl, or phenyl, wherein the phenyl is unsubstituted or substituted with one or more substituents independently selected from the group consisting of halo, -OH, Ci-C6alkoxy, Ci- Cehaloalkoxy, and -NR2dR2e; wherein each R2a, R2b, R2c, R2d, and R2e is independently H, Ci-C6alkyl, or Ci-Cehaloalkyl; m is 0, 1, or 2; and n is 1, 2, or 3; wherein when each of X1, X2, X3, and X4 is N; each of X5, X6, X7, and X8 is CH; m is 0; and RA and RB are both methyl; then n is 1.
[0155] In some embodiments of the compound of formula (I), or a pharmaceutically acceptable salt thereof, each of X1, X2, X3, and X4 is N; and zero to two of X5, X6, X7, and X8 is N, and the remainder are CH. In some embodiments, each of X1, X2, X3, and X4 is N; one of X5, X6, X7, and X8 is N, and the remainder are CH. In other embodiments, each of X1, X2, X3, and X4 is N; two of X5, X6, X7, and X8 is N, and the remainder are CH. In further embodiments, each of X1, X2, X3, and X4 is N; and each of X5, X6, X7, and X8 are CH. In other embodiments of the compound of formula (I), or a pharmaceutically acceptable salt thereof, each of X5, X6, X7, and X8 is N; and zero to two of X1, X2, X3, and X4 is N, and the remainder are CH. In some embodiments, each of X5, X6, X7, and X8 is N; one of X1, X2, X3, and X4 is N, and the remainder are CH. In other embodiments, each of X5, X6, X7, and X8 is N; two of X1, X2, X3, and X4 is N, and the remainder are CH. In further embodiments, each of X5, X6, X7, and X8 is N; and each of X1, X2, X3, and X4 are CH.
[0156] In compounds of formula (I), wherein one or more of X1, X2, X3, and X4 is CH, the H may be substituted by R1, if present, or -[CH2]nNRARB. Thus, for example, the present disclosure includes, but is not limited to, compounds wherein
Figure imgf000051_0002
[0157] In some embodiments, the compound of formula (I) is a compound of formula (II):
Figure imgf000051_0001
or a pharmaceutically acceptable salt thereof, wherein RA, RB, L, R1, R2, and n are as defined for formula (I).
[0158] In some embodiments of formula (I), or a pharmaceutically acceptable salt thereof, n is 1 or 2. In some embodiments, n is 1. In other embodiments, n is 2. In certain embodiments, m is 0 or 1. In some embodiments, m is 1. In other embodiments, m is 0. In certain embodiments, the compound of formula (I) is a compound of formula (II), or a pharmaceutically acceptable salt thereof.
[0159] In some embodiments of formula (I), RA and RB are independently Ci-C2alkyl; or together with the nitrogen to which they are attached form a 3-6 membered saturated heterocycle comprising one or two N, wherein the heterocycle is unsubstituted or substituted with one to three halo. In some embodients, the heterocycle is piperidine, unsubstituted or substituted with one to three halo. In certain embodiments, the halo is independently fluro or chloro. In some embodiments, n is 1 or 2. In some embodiments, n is 1. In other embodiments, n is 2. In some embodiments, m is 0 or 1. In certain embodiments, the compound of formula (I) is a compound of formula (II), or a pharmaceutically acceptable salt thereof.
[0160] In certain embodiments of formula (I), or a pharmaceutically acceptable salt thereof, wherein each R1 is independently selected from the group consisting of halo, Ci-C6alkyl, Ci- Cehaloalkyl, -OH, Ci-C6alkoxy, Ci-Cehaloalkoxy, and -NRlaRlb; wherein each Rla and Rlb is independently H, Ci-C6alkyl, or Ci-Cehaloalkyl. In some embodiments, each R1 is independently selected from the group consisting of halo, Ci-C3alkyl, Ci-C3haloalkyl, -OH, Ci-C3alkoxy, Ci-C3haloalkoxy, and -NRlaRlb; wherein each Rla and Rlb is independently H, Ci-C3alkyl, or Ci-C3haloalkyl. In some embodiments, each R1 is independently selected from the group consisting of halo, Ci-C3alkyl, Ci-C3haloalkyl, -OH, Ci-C3alkoxy, and -NH2. In certain embodiments, each R1 is independently selected from the group consisting of fluoro, methyl, halomethyl, -OH, methoxy, and -NH2. In some embdodiments, n is 1 or 2. In some embodiments, n is 1. In other embodiments, n is 2. In some embodiments, m is 1. In some embodiments, n is 1 or 2 and m is 0 or 1. In certain embodiments, the compound of formula (I) is a compound of formula (II), or a pharmaceutically acceptable salt thereof.
[0161 ] In certain embodiments of formula (I), or a pharmaceutically acceptable salt thereof, wherein R2 is H, halo, Ci-C6alkyl, Ci-Cehaloalkyl, -OH, Ci-C6alkoxy, Ci-Cehaloalkoxy, -NR2aR2b, -SR2c, heterocycloalkyl, or phenyl, wherein the phenyl is unsubstituted or substituted with one or more substituents independently selected from the group consisting of halo, -OH, Ci-C6alkoxy, Ci-Cehaloalkoxy, and -NR2dR2e; wherein each R2a, R2b, R2c, R2d, and R2e is independently H, Ci-Cealkyl, or Ci-Cehaloalkyl. In certain embodiments, R2 is H, halo, Ci-C3alkyl, Ci-C3haloalkyl, -OH, Ci-C3alkoxy, Ci-C3haloalkoxy, -NR2aR2b, -SR2c, heterocycloalkyl, or phenyl, wherein the phenyl is unsubstituted or substituted with one or more substituents independently selected from the group consisting of halo, -OH, Ci- C3alkoxy, Ci-C3haloalkoxy, and -NR2dR2e; wherein each R2a, R2b, R2c, R2d, and R2e is independently H, Ci-C3alkyl, or Ci-C3haloalkyl. In certain embodiments, the heterocycloalkyl is a 3-7 membered heterocycloalkyl comprising one to three annular heteroatoms independently selected from N, O, and S. In other embodiments, the heterocycloalkyl is a 5-6 membered heterocycloalkyl comprising one or two heteroatoms independently selected from O and N. In some embodiments, R2 is -OH, -NH2, -NH(Ci- C3alkyl), Ci-C3haloalkyl, -S(Ci-Cealkyl), piperidine, or phenyl, wherein the phenyl is unsubstituted or substituted with -OH or -NH2. In some embodiments, R2 is -OH. In others, R2 is -NH2. In others, R2 is -NH(Ci-C3alkyl), such as -NH(methyl), -NH(ethyl), or - NH(propyl). In yet other embodiments, R2 is Ci-C3haloalkyl, such as halomethyl, haloethyl, or halopropyl, or Ci-C3alkyl substituted with one to three halogen. In some embodiments, R2 is -S(Ci-Cealkyl), such as -S(methyl), -S(ethyl), or -S(propyl). In certain embodiments, R2 is piperidine. In some embodiments, R2 is phenyl, unsubstituted or substituted. In certain embodiments, R2 is phenyl, unsubstituted or substituted with -OH or -NR2dR2e. In certain embodiments, R2 is phenyl, unsubstituted or substituted with -OH or -NH2. In certain embodiments, the compound of formula (I) is a compound of formula (II), or a pharmaceutically acceptable salt thereof. In some embodiments, n is 1 or 2 and m is 0 or 1.
[0162] In certain embodiments of the compound of formula (I), or a pharmaceutically acceptable salt thereof, each of X1, X2, X3, and X4 is N; n is 2; and RA and RB together with the nitrogen to which they are attached form a 3-6 membered saturated heterocycle comprising one or two N, wherein the heterocycle is unsubstituted or substituted. In some embodiments, the heterocycle comprises one N. In certain embodiments, the heterocycle is unsubstituted or substituted with one to three substituents independently selected from the group consisting of halo, -OH, Ci-C3alkoxy, and Ci-C3haloalkoxy. In some embodiments, n is 1 or 2 and m is 0 or 1.
[0163] In some embodiments of the compound of formula (I), or a pharmaceutically acceptable salt thereof, RA and RB are independently Ci-C3alkyl or Ci-C3haloalkyl, or together with the nitrogen to which they are attached form a 3-7 membered saturated heterocycle, wherein the heterocycle comprises one or two heteroatoms independently selected from O and N, and wherein the heterocycle is unsubstituted or substituted with one to three substituents independently selected from the group consisting of halo, -OH, Ci- C3alkoxy, and Ci-C3haloalkoxy. In considering how many heteroatoms are included in the heterocycle, the nitrogen atom to which RA and RB are attached is included (e.g., is one heteroatom). In some embodiments, RA and RB together with the nitrogen to which they are attached form a 3-7 membered saturated heterocycle, wherein the heterocycle comprises one or two heteroatoms independently selected from O and N, and wherein the heterocycle is unsubstituted or substituted with one to three substituents independently selected from the group consisting of halo, -OH, Ci-C6alkoxy, and Ci-Cehaloalkoxy. In some embodiments,
RA and RB together with the nitrogen to which they are attached form a 6-membered heterocycle comprising one or two annular N atoms, unsubstituted or substitued with one to three substituents independently selected from the group consisting of halo, -OH, Ci- Cealkoxy, and Ci-Cehaloalkoxy. In some embodiments, RA and RB together with the nitrogen to which they are attached form piperidine, unsubstituted or substitued with one to three substituents independently selected from the group consisting of halo, -OH, Ci-G,alkoxy, and Ci-Cehaloalkoxy. In certain embodiments, the compound of formula (I) is a compound of formula (II), or a pharmaceutically acceptable salt thereof. In some embodiments, n is 1 or 2 and m is 0 or 1.
[0164] In some embodiments of formula (I) or formula (II), or a pharmaceutically acceptable salt thereof: n is 1 or 2; m is 0 or 1;
R1, if present, is halo, Ci-C3alkyl, Ci-C3haloalkyl, -OH, Ci-C3alkoxy, or -ML;
RA and RB are independently Ci-C2alkyl; or together with the nitrogen to which they are attached form a 3-6 membered saturated heterocycle comprising one or two N, wherein the heterocycle is unsubstituted or substituted with one to three halo; and
R2 is -OH, -ML, -NH(Ci-C3alkyl), Ci-C3haloalkyl, -S(Ci-Cealkyl), piperidine, or phenyl, wherein the phenyl is unsubstituted or substituted with -OH or -ML.
[0165] In some embodiments, the compound is a compound from List 1 :
Figure imgf000054_0001
Figure imgf000055_0001
pharmaceutically acceptable salt thereof.
III. Methods of Administering Antibody Drug Conjugates
[0166] In some aspects, provided herein are methods of treating disease in a subject in need thereof, comprising first administering to the subject an ADC as described herein, and then administering a trigger compound as described herein.
[0167] In some aspects, provided herein is a method of treating a disorder in a subject in need thereof, by administering to the subject:
(a) a first composition comprising an ADC, wherein the ADC comprises: an antibody or fragment thereof, wherein the antibody or fragment thereof is capable of binding to and being internalized by a target cell; a cytotoxic agent (CTA); and a masking moiety comprising a transcyclooctene (TCO) functional group; wherein the antibody or fragment thereof is conjugated to the CTA or to the masking moiety through a linker, and the masking moiety is connected to the CTA; and (b) a second composition comprising a trigger compound, wherein the trigger compound comprises a tetrazine functional group; wherein the second composition is administered after the first composition, and the CTA is released by intracellular interaction of the masking moiety and the trigger compound.
[0.1.68] Also provided is a first composition and a second composition for use in treating a disease in a subject in need thereof, wherein
(a) the first composition comprises an ADC, wherein the ADC comprises: an antibody or fragment thereof, wherein the antibody or fragment thereof is capable of binding to and being internalized by a target cell; a cytotoxic agent (CTA); and a masking moiety comprising a transcyclooctene (TCO) functional group; wherein the antibody or fragment thereof is conjugated to the CTA or to the masking moiety through a linker, and the masking moiety is connected to the CTA; and
(b) the second composition comprises a trigger compound, wherein the trigger compound comprises a tetrazine functional group.
[0169] In said compositions for use, the second composition is administered after the first composition, and the CTA is released by intracellular interaction of the masking moiety and the trigger compound.
[0170] Further provided is an ADC for use in the manufacture of a medicament, and a trigger compound for use in the manufacture of a medicament, for use in treating a disorder in a subject in need thereof, wherein:
(a) the ADC comprises an antibody or fragment thereof, wherein the antibody or fragment thereof is capable of binding to and being internalized by a target cell; a cytotoxic agent (CTA); and a masking moiety comprising a transcyclooctene (TCO) functional group; wherein the antibody or fragment thereof is conjugated to the CTA or to the masking moiety through a linker, and the masking moiety is connected to the CTA; and
(b) the trigger compound comprises a tetrazine functional group.
[0171] In said ADCs and trigger compounds ofir use, the second composition is administered after the first composition, and the CTA is released by intracellular interaction of the masking moiety and the trigger compound. In some embodiments, the ADC further comprises a concentrating moiety, wherein the concentrating moiety is connected to the cytotoxic agent directly or through the masking moiety.
[0172] In some embodiments, the antibody or antibody linker is cleaved after administration of the ADC and prior to release of the CTA, for example when the linker is a peptide or peptidomimetic linker comprising an enzyme-cleavable bond.
[0173) In some embodiments, the time period between the administering the first and second compositions is, for example, at least 2 hours, 6 hours, at least 12 hours, at least 24 hours, at least 2 days, at least 4 days, at least 6 days, or at least a week, or may be between two hours to two weeks, between two hours to one week, between 6 hours to 120 hours, between 6 hours to 96 hours, between 6 hours to 72 hours, between 24 hours to 72 hours, between 1 to 7 days, between 1 to 5 days, or between 1 to 3 days. In some embodiments, the trigger compound is administered at least 24 hours, at least 36 hours, at least 48 hours, or at least 72 hours after the ADC is administered to the subject in need thereof.
[0.1.74] The first composition and the second composition may be administered through any appropriate means to the subject in need thereof.
[0175) Depending on the intended mode of administration, the first and second compositions can be in solid, semi-solid, or liquid dosage form, such as, for example, injectables, tablets, suppositories, pills, time-release capsules, elixirs, tinctures, emulsions, syrups, powders, liquids, suspensions, or the like, sometimes in unit dosages and consistent with conventional pharmaceutical practices. They may be administered via systemic or local administration such as oral, nasal, parenteral (as by intravenous (both bolus and infusion), intramuscular, or subcutaneous injection), transdermal, vaginal, buccal, rectal, or topical (as by powders, ointments, or drops) administration modes. They may also be administered intracistemally, intraperitoneally, as an oral or nasal spray, or as a liquid aerosol or dry powder pharmaceutical composition for inhalation. The first and second compositions may be administered via the same mode (e.g., both parenterally), but may also in be administered via separate modes.
[0.1.76] In some embodiments, the first composition comprising the ADC is administered, parenterally (as by intravenous (both bolus and infusion), intramuscular, or subcutaneous injection), and the secnod composition comprising the trigger compound is administered parenterally (as by intravenous (both bolus and infusion), intramuscular, or subcutaneous injection), or orally.
[0177] Formulations suitable for parenteral administration may include aqueous and non- aqueous sterile injection solutions which may contain anti-oxidants, buffers, bacteriostats and solutes which render the formulation isotonic with the blood of the intended recipient; and aqueous and non-aqueous sterile suspensions which may include suspending agents and thickening agents. Formulations suitable for oral adminstration may include tablets, troches, lozenges, aqueous or oil suspensions, dispersible powders or granules, emulsions, hard or soft capsules (e.g., gelatin capsules), syrups or elixirs. Formulations intended for oral use may be prepared according to any method known to the art for the manufacture of pharmaceutical compositions and such compositions may contain one or more agents including sweetening agents, flavoring agents, coloring agents and preserving agents, in order to provide a palatable preparation. Tablets containing the active ingredient in admixture with non-toxic pharmaceutically acceptable excipient which are suitable for manufacture of tablets are acceptable. These excipients may be, for example, inert diluents, such as calcium or sodium carbonate, lactose, calcium or sodium phosphate; granulating and disintegrating agents, such as maize starch, or alginic acid; binding agents, such as starch, gelatin or acacia; and lubricating agents, such as magnesium stearate, stearic acid or talc. Tablets may be uncoated or may be coated by known techniques including microencapsulation to delay disintegration and adsorption in the gastrointestinal tract and thereby provide a sustained action over a longer period. For example, a time delay material such as glyceryl monostearate or glyceryl distearate alone or with a wax may be employed.
[0.1.78J In some embodiments, the subject in need thereof is a mammal, such as a human.
[0179] In some embodiments, the disease is a hyperproliferative disease. In certain embodiments, the disease is cancer. In some embodiments, the cancer is selected from the group consisting of a carcinoma, lymphoma, blastoma, sarcoma, leukemia, lymphoid malignancies, squamous cell cancer (e.g. epithelial squamous cell cancer), lung cancer including small-cell lung cancer, non-small cell lung cancer, adenocarcinoma of the lung and squamous carcinoma of the lung, cancer of the peritoneum, hepatocellular cancer, gastric or stomach cancer including gastrointestinal cancer, pancreatic cancer, glioblastoma, cervical cancer, ovarian cancer, liver cancer, bladder cancer, hepatoma, breast cancer, colon cancer, rectal cancer, colorectal cancer, endometrial or uterine carcinoma, salivary gland carcinoma, kidney or renal cancer, prostate cancer, vulval cancer, thyroid cancer, hepatic carcinoma, anal carcinoma, penile carcinoma, and head and neck cancer.
[0180] The ADC used in the methods described herein may comprise any CTA, masking moiety, antibody or fragment thereof, and linker as described herein, and in any combination. In some embodiments, the ADC further comprises a concentrating moiety, which again may be any concentrating moiety described herein. In some embodiments, the ADC is of formula
(A), (A-l), (A- la), or (B), or a pharmaceutically acceptable salt thereof.
[0181 ] The trigger compound may be any of the trigger compounds described herein, including those of formula (X), formula (I), and formula (II), or a pharmaceutically acceptable salt thereof, or other trigger compounds comprising a tetrazine functional group as described herein.
[0182] Further provided are pharmaceutical compositions comprising an ADC as described herein, and a pharmaceutically acceptable excipient. In some embodiments, the ADC is of formula (A), (A-l), (A- la), or (B), or a pharmaceutically acceptable salt thereof.
[0183] Also are provided pharmaceutical compositions comprising a trigger compound as described herein, and a pharmaceutically acceptable excipient. In some embodiments, the trigger compound is of formula (X), formula (I), or formula (II), or a pharmaceutically acceptable salt thereof.
[0184] Further provided are kits for carrying out the methods detailed herein, which comprises one or more compounds described herein or a phamaceutical composition comprising a compound described herein. The kits may employ any of the compounds disclosed herein. In one variation, the kit employs an ADC of formula (A), (A-l), (A-la), or
(B), or a pharmaceutically acceptable salt thereof; and a trigger compound as described herein or a pharmaceutically acceptable salt thereof. In some embodiments, the trigger compound is of formula (X), formula (I), or formula (II), or a pharmaceutically acceptable salt thereof. The kits may be used for any one or more of the uses described herein, such as, for example, treating cancer.
[0185] Modifications and other embodiments of the presently disclosed subject matter set forth herein may come to mind to one skilled in the art to which the presently disclosed subject matter pertains having the benefit of the teachings presented in the foregoing descriptions. Therefore, it is to be understood that the presently disclosed subject matter is not to be limited to the specific embodiments disclosed and that modifications and other embodiments are intended to be included within the scope of the appended claims. In other words, the subject matter described herein covers all alternatives, modifications, and equivalents. In the event that one or more of the incorporated literature, patents, and similar materials differs from or contradicts this application, including but not limited to defined terms, term usage, described techniques, or the like, this application controls. Unless otherwise defined, all technical and scientific terms used herein have the same meaning as commonly understood by one of ordinary skill in this field. All publications, patent applications, patents, and other references mentioned herein are incorporated by reference in their entirety.
ENUMERATED EMBODIMENTS
El . A method of treating a disorder in a subject in need thereof, comprising administering to the subject in need thereof:
(a) a first composition comprising an ADC, wherein the ADC comprises: an antibody or fragment thereof, wherein the antibody or fragment thereof is capable of binding to and being internalized by a target cell; a cytotoxic agent (CTA); a concentrating moiety; and a masking moiety comprising a transcyclooctene (TCO) functional group; wherein the antibody or fragment thereof is connected to the CTA directly or through an antibody linker, and the concentrating moiety and masking moiety are connected to the cytotoxic agent; and
(b) a second composition comprising a trigger compound, wherein the trigger compound comprises a tetrazine functional group; wherein the second composition is administered after the first composition, and the cytotoxic agent is released by intracellular interaction of the masking moiety and the trigger compound.
E2. The method of embodiment El, wherein prior to the cytotoxic agent being released, the linker is cleaved.
E3. The method of embodiment El to E2, wherein the first composition is administered parenterally to the subject. E4. The method of any one of embodiments El to E3, wherein the second composition is administered parenterally to the subject.
E5. The method of any one of embodiments El to E4, wherein the second composition is administered orally to the subject in need thereof.
E6. The method of any one of embodiments El to E5, wherein the ADC is of formula (A) or
(B)
Figure imgf000061_0001
or a pharmaceutically acceptable salt thereof, wherein:
Rx and Ry are independently C1-C3 alkyl or H, or together form a C2-C3 bridge connecting the nitrogen atoms to which they are attached;
Rz is H, C1-C6 alkyl, or Ci-Cehaloalkyl;
Ab is an antibody or fragment thereof that binds to and is internalized by a target cell; L1 is a linker;
CTA is a cytotoxic agent;
RA is a concentrating moiety; n, if present, is 1 or 2; and m is an integer from 1 to 6.
E7. The method of any one of embodiments El to E6, wherein the concentrating moiety is a peptide fragment bearing one or more carboxylic acid groups; or a chelator.
E8. The method of any one of embodiments El to E7, wherein the concentrating moiety is desferrioxamine or DOTA. E9. The method of any one of embodiments El to E8, wherein the cytotoxic agent is a PBD dimer, auristatin, a CBI dimer, or camptothecin analog.
E10. The method of any one of embodiments El to E9, wherein the ADC is:
Figure imgf000062_0001
, or a pharmaceutically acceptable salt thereof.
Ell. The method of any one of embodiments El to E10, wherein the trigger compound comprises an amine functional group.
E12. The method of any one of embodiments El to Ell, wherein the trigger compound further comprises a tertiary amine functional group.
E13. The method of any one of embodiments El to Ell, wherein the trigger compound comprises an aniline functional group, which may be further substituted.
E14. The method of any one of embodiments El to Ell, wherein the trigger compound is of the formula (X):
N=N
Figure imgf000062_0002
(X), or a pharmaceutically acceptable salt thereof, wherein Rx and Ry are independently selected from the group consisting of hydrogen, halogen, heteroaryl, aryl, heterocyclyl, cycloalkyl, -OR’, Ci-C6alkyl, and -NRR’; wherein the Ci-C6alkyl, aryl, heteroaryl, heterocyclyl, and cycloalkyl are independently unsubstituted or substituted with one or more substituents independently selected from the group consisting of halogen, -OR”, -NR”R’”, and Ci-Cealkyl-MC’R’”; wherein each R, R’, R”, and R’” is independently hydrogen, Ci-C6alkyl, or Ci-Cehaloalkyl; and R and R’ or R” and R’”, when connected to the same nitrogen atom, come together to form a heterocycle.
E15. The method of any one of embodiments El to E13, wherein the trigger compound is a compound of formula (I),
Figure imgf000063_0001
or a pharmaceutically acceptable salt thereof, wherein:
(i) each of X1, X2, X3, and X4 is N; and zero to two of X5, X6, X7, and X8 is N, and the remainder are CH; or
(ii) each of X5, X6, X7, and X8 is N; and zero to two of X1, X2, X3, and X4 is N, and the remainder are CH;
RA and RB are independently Ci-C6alkyl or C i-G,haloalkyl, or together with the nitrogen to which they are attached form a 3-7 membered saturated heterocyclyl, wherein the heterocyclyl comprises one or two heteroatoms independently selected from O and N, and wherein the heterocyclyl is unsubstituted or substituted with one to three substituents independently selected from the group consisting of halo, -OH, Ci-C6alkoxy, and Ci- Cehaloalkoxy; each R1 is independently selected from the group consisting of halo, Ci-C6alkyl, Ci- Cehaloalkyl, -OH, Ci-C6alkoxy, Ci-Cehaloalkoxy, and -NRlaRlb; wherein each Rla and Rlb is independently H, Ci-C6alkyl, or Ci-Cehaloalkyl;
R2 is H, halo, Ci-C6alkyl, Ci-Cehaloalkyl, -OH, Ci-C6alkoxy, Ci-Cehaloalkoxy, -NR2aR2b, -SR2c, heterocycloalkyl, or phenyl, wherein the phenyl is unsubstituted or substituted with one or more substituents independently selected from the group consisting of halo, -OH, Ci-C6alkoxy, Ci-Cehaloalkoxy, and -NR2dR2e; wherein each R2a, R2b, R2c, R2d, and R2e is independently H, Ci-Cealkyl, or Ci-Cehaloalkyl; m is 0, 1, or 2; and n is 1, 2, or 3; wherein when each of X1, X2, X3, and X4 is N; each of X5, X6, X7, and X8 is CH; m is 0; and RA and RB are both methyl; then n is 1.
E16. The method of any one of embodiments El to E15, wherein the trigger compound is a compound from List 1, or a pharmaceutically acceptable salt thereof.
E17. The method of any one of embodiments El to E16, wherein the antibody or fragment thereof binds to one or more polypeptides selected from the group consisting of DLL3; EDAR; CLL1; BMPR1B; E16; STEAP1; 0772P; MPF; NaPi2b; Serna 5b; PSCA hlg; ETBR; MSG783; STEAP2; TrpM4; CRIPTO; CD21; CD79b; FcRH2; B7-H4; HER2; NCA; MDP; IL20Ra; Brevican; EphB2R; ASLG659; PSCA; GEDA; BAFF-R; CD22; CD79a; CXCR5; HLA-DOB; P2X5; CD72; LY64; FcRHl; IRTA2; TENB2; PMEL17; TMEFF1; GDNF-Ral; Ly6E; TMEM46; Ly6G6D; LGR5; RET; LY6K; GPR19; GPR54; ASPHD1; Tyrosinase; TMEM118; GPR172A; MUC16 and CD33.
E18. The method of any one of embodiments El to E17, wherein in the antibody or fragment thereof is cysteine engineered.
E19. The method of any one of embodiments El to E18, wherein the second composition is administered at least 6 hours after the first composition.
E20. The method of any one of embodiments El to El 9, wherein the second composition is administered between 1 to 7 days after the first composition.
E21. The method of any one of embodiments El to E20, wherein the disorder is a hyperproliferative disorder. E22. The method of any one of embodiments El to E21, wherein the disorder is selected from the group consisting of carcinoma, lymphoma, blastoma, sarcoma, leukemia, lymphoid malignancies, squamous cell cancer (e.g. epithelial squamous cell cancer), lung cancer including small-cell lung cancer, non-small cell lung cancer, adenocarcinoma of the lung and squamous carcinoma of the lung, cancer of the peritoneum, hepatocellular cancer, gastric or stomach cancer including gastrointestinal cancer, pancreatic cancer, glioblastoma, cervical cancer, ovarian cancer, liver cancer, bladder cancer, hepatoma, breast cancer, colon cancer, rectal cancer, colorectal cancer, endometrial or uterine carcinoma, salivary gland carcinoma, kidney or renal cancer, prostate cancer, vulval cancer, thyroid cancer, hepatic carcinoma, anal carcinoma, penile carcinoma, and head and neck cancer.
E23. An ADC of formula (A) or (B):
Figure imgf000065_0001
or a pharmaceutically acceptable salt thereof, wherein:
Rx and Ry are independently C1-C3 alkyl or H, or together form a C2-C3 bridge connecting the nitrogen atoms to which they are attached;
Rz is H, C1-C6 alkyl, or Ci-Cehaloalkyl;
Ab is an antibody or fragment thereof that binds to and is internalized by a target cell; L1 is a linker;
CTA is a cytotoxic agent;
RA is a concentrating moiety; n, if present, is 1 or 2; and m is an integer from 1 to 6.
E24. The ADC of embodiment E23, wherein the ADC is of formula (A-l):
Figure imgf000066_0001
pharmaceutically acceptable salt thereof.
E25. The ADC of embodiment E23, wherein the ADC is of formula (A-la):
Figure imgf000066_0002
-la), or a pharmaceutically acceptable salt thereof.
E26. The ADC of any one of embodiments E23 to E25, or a pharmaceutically acceptable salt thereof, wherein the concentrating moiety a peptide fragment bearing one or more carboxylic acid groups; or a chelator.
E27. The ADC of any one of embodiments E23 to E26, or a pharmaceutically acceptable salt thereof, wherein the concentrating moiety is desferrioxamine or DOT A.
E28. The ADC of any one of embodiments E23 to E27, or a pharmaceutically acceptable salt thereof, wherein the cytotoxic agent is a PBD dimer, auristatin, CBI dimer, or camptothecin analog.
E29. The ADC of any one of embodiments E23 to E28, or a pharmaceutically acceptable salt thereof, wherein L1 is a cleavable linker.
E30. The ADC of any one of embodiments E23 to E29, or a pharmaceutically acceptable salt thereof, wherein L1 comprises a peptide or disulfide linkage.
E31. The ADC of any one of embodiments E23 to E30, or a pharmaceutically acceptable salt thereof, wherein L1 comprises a contiguous sequence of amino acids. E32. The ADC of any one of embodiments E23 to E31, wherein L1 is a linker, and is connected to the antibody or fragment thereof through a thio-succinimide, disulfide, ester, amide, or tri azole functional group.
E33. The ADC of any one of embodiments E23 to E32, or a pharmaceutically acceptable salt thereof, wherein the ADC is:
Figure imgf000067_0001
, or a pharmaceutically acceptable salt thereof.
E34. The ADC of any one of embodiments E23 to E32, or a pharmaceutically acceptable salt thereof, wherein the ADC is:
Figure imgf000067_0002
or a pharmaceutically acceptable salt thereof. E35. The ADC of any one of embodiments E23 to E34, wherein the antibody or fragment thereof binds to one or more polypeptides selected from the group consisting of DLL3; EDAR; CLL1; BMPR1B; E16; STEAPl; 0772P; MPF; NaPi2b; Serna 5b; PSCA hlg; ETBR; MSG783; STEAP2; TrpM4; CRIPTO; CD21; CD79b; FcRH2; B7-H4; HER2; NCA; MDP; IL20Ra; Brevican; EphB2R; ASLG659; PSCA; GEDA; BAFF-R; CD22; CD79a; CXCR5; HLA-DOB; P2X5; CD72; LY64; FcRHl; IRTA2; TENB2; PMEL17; TMEFF1; GDNF-Ral; Ly6E; TMEM46; Ly6G6D; LGR5; RET; LY6K; GPR19; GPR54; ASPHD1; Tyrosinase; TMEM118; GPR172A; MUC16 and CD33.
E36. A pharmaceutical formulation, comprising an ADC of any one of embodiments E23 to E35, or pharmaceutically acceptable salt thereof, and a pharmaceutically acceptable excipient.
E37. A compound of formula (I),
Figure imgf000068_0001
or a pharmaceutically acceptable salt thereof, wherein:
(i) each of X1, X2, X3, and X4 is N; and zero to two of X5, X6, X7, and X8 is N, and the remainder are CH; or
(ii) each of X5, X6, X7, and X8 is N; and zero to two of X1, X2, X3, and X4 is N, and the remainder are CH;
RA and RB are independently Ci-C6alkyl or Ci-Cehaloalkyl, or together with the nitrogen to which they are attached form a 3-7 membered saturated heterocyclyl, wherein the heterocyclyl comprises one or two heteroatoms independently selected from O and N, and wherein the heterocyclyl is unsubstituted or substituted with one to three substituents independently selected from the group consisting of halo, -OH, Ci-Cealkoxy, and Ci- Cehaloalkoxy; each R1 is independently selected from the group consisting of halo, Ci-C6alkyl, Ci- Cehaloalkyl, -OH, Ci-C6alkoxy, Ci-Cehaloalkoxy, and -NRlaRlb; wherein each Rla and Rlb is independently H, Ci-Cealkyl, or Ci-Cehaloalkyl;
R2 is H, halo, Ci-C6alkyl, Ci-Cehaloalkyl, -OH, Ci-C6alkoxy, Ci-Cehaloalkoxy, -NR2aR2b, -SR2c, heterocycloalkyl, or phenyl, wherein the phenyl is unsubstituted or substituted with one or more substituents independently selected from the group consisting of halo, -OH, Ci-C6alkoxy, Ci-Cehaloalkoxy, and -NR2dR2e; wherein each R2a, R2b, R2c, R2d, and R2e is independently H, Ci-C6alkyl, or Ci-Cehaloalkyl; m is 0, 1, or 2; and n is 1, 2, or 3; wherein when each of X1, X2, X3, and X4 is N; each of X5, X6, X7, and X8 is CH; m is 0; and RA and RB are both methyl; then n is 1.
E38. The compound of embodiment E37, or a pharmaceutically acceptable salt thereof, wherein n is 1 or 2.
E39. The compound of embodiment E37 or E38, or a pharmaceutically acceptable salt thereof, wherein RA and RB are independently Ci-C2alkyl; or together with the nitrogen to which they are attached form a 3-6 membered saturated heterocycle comprising one or two N, wherein the heterocycle is unsubstituted or substituted with one to three halo.
E40. The compound of any one of embodiments E37 to E39, or a pharmaceutically acceptable salt thereof, wherein RA and RB together with the nitrogen atom to which they are attached form piperidine, unsubstituted or substituted with one to three halo.
E41. The compound of any one of embodiments E37 to E40, or a pharmaceutically acceptable salt thereof, wherein m is 0 or 1.
E42. The compound of any one of embodiments E37 to E40, or a pharmaceutically acceptable salt thereof, wherein each R1 is independently selected from the group consisting of fluoro, methyl, halomethyl, -OH, methoxy, or -ME.
E43. The compound of any one of embodiments E37 to E41, or a pharmaceutically acceptable salt thereof, wherein R2 is -OH, -Mb, -Mf(Ci-C3alkyl), Ci-C3haloalkyl, -S(Ci- Cealkyl), piperidine, or phenyl, wherein the phenyl is unsubstituted or substituted with -OH or -ME.
E44. The compound of any one of embodiments E37 to E43, wherein each of X5, X6, X7, and
X8 is N.
E45. The compound of any one of embodiments E37 to E43, wherein each of X1, X2, X3, and X4 is N; n is 2; and RA and RB together with the nitrogen to which they are attached form a 3- 6 membered saturated heterocycle comprising one or two N, wherein the heterocycle is unsubstituted or substituted.
E46. The compound of embodiment E37 or a pharmaceutically acceptable salt thereof, wherein the compound of formula (I) is a compound of formula (II)
Figure imgf000070_0001
or a pharmaceutically acceptable salt thereof, wherein RA, RB, L, R1, R2, and n are as defined for formula (I).
E47. The compound of any one of embodiments E37 to E46, wherein the compound is a compound of List 1, or a pharmaceutically acceptable salt thereof.
E48. A pharmaceutical composition, comprising a compound of any one of embodiments E37 to E47, or a pharmaceutically acceptable salt thereof, and a pharmaceutically acceptable excipient.
EXAMPLES
[0.1.86] All animal studies were run in accordance with the American Association for Accreditation of Laboratory Animal Care and the Genentech Institutional Animal Care and Use Committee standards.
Example 1: ADC Conjugation [0187] A payload based on a pyrrolobenzodiazepine (PBD) dimer that was conjugated site- specifically to a Cys-engineered THIOMAB™ antibody via a protease-cleavable linker (Figure IB) was designed, as illustrated by FIG. 1. The mechanism by which PBD dimers cause cell death involves induction of DNA damage via crosslinks formed between DNA bases and the two N10 imines on the PBD dimer. To attenuate its activity, a branched masking moiety comprising a TCO group (TCO-masking moiety-DOTA) was incorporated on one of the two N10 nitrogens. The DOTA functionality was included to confer cell retention on the delivered catabolite. As shown in FIG. 1, upon a biorthogonal reaction of the TCO with a tetrazine trigger compound, a series of elimination reactions results in the fully- activated and cell-permeable PBD dimer to effect killing of the targeted and surrounding cells. To enable tumor-targeted delivery, the masked-PBD dimer payload was conjugated to a THIOMAB™ antibody directed against lymphocyte antigen 6 complex, locus E (Ly6E).
[0188] The THIOMAB™ antibody selected for conjugation was a previously-described anti-Ly6E THIOMAB™ antibody with a Cys mutation at position 149 in the light chain (K149C) (See Chuh, J. D. C. etal. Preclinical optimization of Ly6E-targeted ADCs for increased durability and efficacy of anti -tumor response. Mabs 13, 1862452 (2020)). Conjugation proceeded by deblocking and incubating the THIOMAB™ antibody with 3 to 5 equivalents of the selected linker-payload in Tris buffered saline at pH 7.5 with 10% DMF in a manner similar to that previously described for maleimide-THIOMAB™ antibody conjugations (See Adhikari, P., Zacharias, N., Ohri, R. & Sadowsky, J. Site-Specific Conjugation to Cys-Engineered THIOMAB™ Antibodies. Methods Mol Biology Clifton N J 2078, 51-69 (2020)). Drug-to-ntibody ratios (DARs) were within the range of 1.8-2.0, and % aggregation, measured by analytical size-exclusion-chromatography (SEC), was below 5% for all conjugates described.
Example 2: Biochemical masked payload activation
[0189] Antibody masked-drug conjugate at a concentration of 1.0 mg/mL (-13.3 uM conjugated TCO masked payload) was incubated with 67 uM of tetrazine in PBS, pH 7.4 with 10% N,N-dimethylformamide as co-solvent for -17 hours at 37 °C. The conjugate was partially digested with IdeS (Fabricator, Genovis, Inc) per the manufacturer’s protocol to give Fab’2 and Fc/2 fragments, which were subsequently analyzed by reverse-phase LCMS to assess degree of reaction with the TCO group and masking moiety release induced by the tetrazines (ESI-TOF, Agilent, Inc). [0190] The extent of tetrazine-induced uncaging of TCO coumarin probes was monitored as a fluorescence increase due to release of free coumarin in a manner similar to that described previously with modifications. Briefly, tetrazines dissolved in a mixture of DMSO and water in a black 96-well plate were first diluted with citrate/phosphate (Mcllvaine) buffer at either pH 5.5 or pH 7.4 and, to initiate reaction, the TCO-coumarin probe was added. DMSO was added to each well such that the final DMSO concentration was 0.2%. Final concentration of tetrazine and probe was 1 uM and 0.2 uM, respectively, and final assay volume was 48 uL. As a control for 100% release, wells were prepared containing free aminocoumarin at 0.2 uM in the buffers above. Once all reagents were added to the plate, it was sealed and centrifuged briefly before incubation at 37C with shaking. Fluorescence intensities (Fl=tetrazine+coumarin probe, F2=free coumarin) at appropriate times (15 minutes, 30 minutes, 1 hour, 5 hours and 24 hours) were measured using a plate reader at an excitation and emission wavelength of 380 nm and 450 nm, respectively. Decaging efficiency was measured using the formula:
Decaging efficiency = F1/F2 x 100%
[0191] The extent to which the click/release reaction could proceed with the TCO-masking moiety -DOTA PBD construct was evaluated using LCMS by performing reactions with a limited number of tetrazines in PBS buffer on the intact antibody conjugate. The resulting LCMS spectra are shown in FIG. 2A, and an illustration and key of detected species is shown in FIG. 2B. Across four of the five tetrazines tested (except tetrazine 4), the starting masked- drug conjugate was completely consumed, implying the initial click reaction between Tz and TCO occurs readily. However, it was observed that only one tetrazine in this set (tetrazine 5) was able to convert the masked-drug efficiently to the desired PBD payload, the remainder of the tetrazines giving rise to several byproducts corresponding to adducts that failed to release the PBD. These results are consistent with previous findings that bond-breaking tetrazine- TCO click reactions can result in dead-end byproducts under certain conditions ( See Versteegen, R. M., Rossin, R., ten Hoeve, W., Janssen, H. M. & Robillard, M. S. Click to Release: Instantaneous Doxorubicin Elimination upon Tetrazine Ligation. Angewandte Chemie Int Ed 52, 14112-14116 (2013); and Carlson, J. C. T., Mikula, H. & Weissleder, R. Unraveling Tetrazine-Triggered Bioorthogonal Elimination Enables Chemical Tools for Ultrafast Release and Universal Cleavage. J Am Chem Soc 140, 3603-3612 (2018)). [0192] Based on these results, a series of tetrazines were assessed for masked-drug activation.
Example 3: Assessment of click/release activity of various tetrazines
[0193] Tetrazines were assessed for click/release activity in a high-throughput fluorescence-based assay using a caged coumarin as the released probe (FIG. 3). Release was measured at 15 minutes and 24 hours and, at each timepoint, at pH 5.5 and 7.4 to model endolysosomal and cytoplasmic cell compartments, respectively (FIG. 3). Overall, although probe release never exceeded -40%, a trend toward increased release by tetrazines at the lower pH for certain tetrazines was observed. Of the most active tetrazines in the fluorescence assay were bis-phenols and anilines (e.g., tetrazines 16-18) mirroring results obtained with click/release of the masked-PBD dimer biochemically (FIGS. 2A-2B).
Example 4: Cell-based drug unmasking assays
[0194] Masked-drug activation by tetrazines inside cells was evaluated in Ly6E-expressing SW900 lung tumor cells, with pulse-chase cell treatment protocol that maximized delivery of intracellular masked-drug payload and minimized levels of extracellular masked-drug conjugate at the time of tetrazine administration (FIG. 4A).
[0.1.95] Cytotoxic potency of the anti-Ly6E masked-PBD dimer conjugate (0% activated) and its corresponding non-masked (100% activated) control under a variety of conditions was evaluated. The masked-drug conjugate was essentially inactive up to 1000 ng/mL whereas the unmasked-drug control displayed an IC50 of 5.3 nM, representing an activity window of at least -200-fold (FIG. 4B; “prodrug” = masked-drug, “parent” = unmasked-drug).
Changing the linker connecting the payload to the antibody from the Val-Cit dipeptide to the peptidomimetic Sq-Cit linker gave comparable cytotoxic potencies and activity window for masked-drug and unmasked-drug PBD dimer conjugates (FIG. 5). Cells were incubated with masked or unmasked conjugate for 24 hours, followed by a wash and detection of cell viabilty 5 days later, or were treated continuously with either conjugate for 5 days without a wash, followed by detection of cell viability; both procedures gave equivalent cytotoxic potency and activity windows for masked versus unmasked PBD dimer conjugates (FIG. 4B). The dose-response curves indicated that the window in activity between masked and unmasked conjugate was maximal at a concentration > 20 ng/mL (FIG. 4B). However, during the course of screening tetrazines it was found the concentration of masked-drug conjugate needed to be increased to >100 ng/mL to observe significant tetrazine-induced cell killing, possibly owing to incomplete intracellular tetrazine/TCO click reactions (FIG. 6). It was also observed that a tetrazine incubation time (delay2 in FIG. 4A) of 15 minutes was sufficient to observe significant tetrazine-induced cell-killing activity and provided a sufficiently stringent test for identifying the most active intracellular activators (FIG. 7). Based on these experiments, the final pulse-chase protocol to assess tetrazines employed a masked-drug pulse of 500 ng/mL for 24 hours, followed by a wash, a tetrazine chase for 15 minutes, followed by another wash and read out of cell viability after 5 days.
[0196] Final protocol: SW900 cells were plated in a black-walled 96-well plate (3500 cells per well) and allowed to adhere overnight at 37°C in a humidified atmosphere of 5% CO2. Cells were pretreated with 500 ng/mL masked-drug conjugate for 24 hours and washed three times with media. Tetrazine was added to cells for 15 minutes, cells were washed with media once and fresh media was added. After a 5-day incubation, Cell Titer-Glo reagent (Promega Corp.) was added to the wells for 10 min at room temperature and cell viability was measured as a luminescence signal using an EnVision Multilabel Plate Reader (PerkinElmer). For evaluation of tetrazines alone without masked-drug pretreatment, adhered SW900 cells (3000 cells per well) were incubated with tetrazines at different concentrations in media for 5 days prior to evaluation of cell viability.
[0197] Early screening with the pulse-chase cell assay revealed that tetrazine 3 displayed a highly potent IC50 of 1.8 nM (FIG. 4C). To establish whether activity induced by 3 was due to intracellular click/release, a cell-impermeable control analog DOTA-3 was evaluated (FIG. 4C). Unlike 3, the analog DOTA-3 was completely inactive in the pulse-chase assay (IC50 » 100 nM; FIG. 4C). The large difference in activity of 3 versus DOTA-3 was not due to intrinsic differences in ability of each to activate the masked-drug since both were equipotent when co-incubated with masked-drug conjugate prior to addition to cells (FIG. 4D). Nor was the activity of 3 due to the tetrazine itself, which had minimal effect on cells up to 1 mM (FIG. 8). Overall, the results suggest that the cytotoxicity induced by 3 is due to intracellular activation of a cell-retained masked-drug PBD catabolite and, more broadly, that the pulse- chase assay is a reliable test for intracellular activation of other tetrazines.
[0.1.98] Over 100 tetrazines were evaluated for intracellular masked-drug activation, summarized in FIGS. 9A-9I. Also evaluated were the non-tetrazine compounds 33-35, which showed poor activity. A theme that emerged from this screening was the correlation of activity with the presence of a protonatable amine. For example, whereas aminoalkyl tetrazine 3 displayed an IC50 of 1.8 nM, the corresponding alcohol, compound 6, was inactive (IC50 > 100 nM). Substitution on the amine of compound 3 with one or two methyl groups was tolerated (compounds 7 and 8, IC50 = 1.9 and 1.3 nM, respectively), but addition of a third methyl group to give the quaternary ammonium tetrazine 9 was not (IC50 > 100 nM). Similarly, replacement of the amine in 3 with a guanidine group (compound 10), which should be more protonatable than the amine (pKa ~13 versus ~9, respectively), destroyed cytotoxic activity (IC50 > 100 nM). Fluoroalkyl substitutions on the amine of 3, 7 or 8 that would be expected to make it less protonatable were also detrimental to activity (compounds 11-13). Homologation of the alkyl amine in 3 to give compound 14 did not affect potency (IC50 = 1.8 nM) while eliminating the phenyl ring between the amine and tetrazine (compound 15) reduced potency modestly (IC50 ~ 10 nM). None of the most active tetrazines (e.g., 3, 7, 8 and 14) were significantly cytotoxic on their own (FIG. 8).
[0199] Without wishing to be bound by theory, the impact of tetrazine amine substitution on the intracellular activation of the masked-drug may be attributable to effects of the amino group on tetrazine cellular trafficking or the click/release reaction. One possibility is that the presence of an amine in tetrazines like 3 drives co-localization with a TCO-masking moiety - DOTA PBD catabolite in the lysosome. Small molecule amines with pKa values between 6.5 and 11 can be lysosomotropic depending on their structure ( See Kaufmann, A. M. & Krise, J. P. Lysosomal sequestration of amine-containing drugs: Analysis and therapeutic implications. J Pharm Sci 96, 729-746 (2007); Nadanaciva, S. etal. A high content screening assay for identifying lysosomotropic compounds. Toxicol In Vitro 25, 715-723 (2011)). It may be that antibody-delivered DOTA catabolites similarly accumulate in lysosomes ( See Press, O. W. etal. Comparative metabolism and retention of iodine-125, yttrium-90, and indium-111 radioimmunoconjugates by cancer cells. Cancer Res 56, 2123-9 (1996)). It further may be that aminoalkyl tetrazines accelerate click/release reactions in cells directly via positive impacts of the amino group on the reaction pathway leading to the free payload as has been observed previously in biochemical experiments ( See Sarris, A. J. etal. Fast and pH independent elimination of trans-cyclooctene using aminoethyl functionalized tetrazines. Chem Weinheim Der Bergstrasse Ger 24, 18075-18081 (2018)). Notably, however, aminoalkyl tetrazines like 3 were not particularly effective in releasing the masked-drug payload in the in vitro biochemical assays (FIGS. 2 A, 2B, 3, 9 A).
[0200] A theme that emerged from screening additional tetrazines was the dependence of activity on the presence of a protonatable amino group. This was evidenced, for example, by complete loss of activity observed for the alcohol analog of 3 (EC50»100 nM for 6). More subtle substitutions on the amine of compound 3 with one or two methyl groups or inclusion in a heteroalkyl ring, none of which greatly affected calculated pKa or experimental PAMPA permeability indices, were tolerated (compounds 7, 8, 27, EC50 = 1.3-2.3 nM). However, addition of a third methyl group to 3 to give a quaternary ammonium tetrazine or replacement of the amine in 3 with a guanidine group, which would be expected to be more positively charged at physiological pH (calculated pKa = 10.1 versus 9.5 for 3) were deleterious (EC50 > 100 nM). Both displayed lower membrane permeability (PAMPA Pe values <2 at pH 5 and 7) likely explaining their lack of activity. Fluoroalkyl substitutions on the amine of 3 reduced calculated pKa and increased permeability at pH 5, but were also significantly less active (EC50>28 nM). Homologation of the alkyl amine in 3 or moving the amino group to other positions did not affect potency (EC50 = 1.7-3.4 nM) while eliminating the phenyl ring between the amine and tetrazine reduced potency modestly (IC50 ~ 10 nM). Importantly, not all tetrazines with protonatable amines, including tetrazine 2, a close analog of 3, and tetrazines reported to induce efficient click/release reactions biochemically (Sarris, A. J. et al. Chem Weinheim Der Bergstrasse Ger 24, 18075-18081 (2018)) were highly effective in this cell-based assay; even addition of a protonatable amine to a tetrazine reported itself to be effective inside cells (62; Fan, X. etal. Angewandte Chemie IntEd 55, 14046-14050 (2016)) resulted in only modestly improved activity (EC50-100 nM for 19). Thus, protonatable amines are necessary, but insufficient to enable tetrazines like 3 to potently activate the masked-PBD payload inside cells. Like tetrazine 3, none of the most active analogs (e.g., 7,
8, 27, 14) were significantly cytotoxic in the absence of masked-drug pretreatment.
Additional PAMPA data, pKa (calculated), and whole blood assay data for selected tetrazines is presented in FIGS. 19A and 19B.
[0261 ] In view of the data demonstrating protonatable amines were necessary for cell-based activity, and bis-phenols/bis-anilines were the most effective biochemically (e.g., 5, 16, and 17, FIG. 3), tetrazines 23-26 were synthesized and evaluated. These tetrazines have both bis- phenol/aniline and basic amine functionality (FIG. 10). Compound 24 was especially potent in cells (IC50 = 1.8 nM; FIG. 10) and was of the most active tetrazines in the biochemical in vitro assay (FIG. 3). Impermeable analogs DOTA-25 and DOTA-26 were much less active than their amino analogs 25 and 26 in the cell-based assay (FIG. 10), confirming the latter can act as potent intracellular unmasking activators.
Example 5: In vivo conjugate masked-drug stability [0202] In vivo studies required that the masked-drug conjugate was stable and inactive by itself and could deliver sufficient masked-drug payload to the tumor to drive efficacy upon intracellular activation by a tetrazine. Avenues of potential instability included the TCO group of the conjugate being susceptible to removal by circulating esterases, resulting in premature activation, or to isomerization to a cis-cyclooctene (CCO), which would render it incapable of reacting with an administered tetrazine (FIG. 11, top scheme).
[0263] To determine the in vivo stability of masked ADCs, affinity capture LC-MS was performed as described previously ( See Xu, K. el al. Characterization of intact antibody-drug conjugates from plasma/serum in vivo by affinity capture capillary liquid chromatography- mass spectrometry. Anal Biochem 412, 56-66 (2011)).
[0204] Briefly, human Ly6E extracellular domain (ECD) was biotinylated and immobilized onto streptavidin-coated paramagnetic beads (Invitrogen) in a 96-well plate, and then the ECD-bead system was used to capture conjugate by incubating with approximately 40 pL of mouse plasma samples for 2 h at room temperature. The captured ADC was then washed with HBSEP buffer (10 mM HEPES, pH 7.4, 150 mM NaCl, 3.4 mM ethylenediaminetetraacetic acid [EDTA], 0.005% P-20; GE Healthcare) and, to simplify LC- MS analysis, either deglycosylated using PNGase F (New England Biolabs) at 37 °C overnight, or digested by addition of IdeS (FabRICATOR, Genovis) at 37 °C for 1 h. After extensive washing of the beads with HBSEP, water and 10% acetonitrile, the ADC analytes were eluted using 30% acetonitrile in water with 1% formic acid and analyzed by LC-MS. Raw MS data were deconvoluted and the average drug-to-antibody ratio was calculated based on the peak areas of species where DAR=0, 1 and 2 corresponded to conjugates with 0, 1, and 2 PBD dimer payloads lacking the TCO-masking moiety-DOTA group, respectively.
[0205] Mass spectrometry of the starting conjugate showed it to be nearly homogeneous (FIG. 11, top graph). After a single intravenous dose and recovery of the masked drug conjugate after circulating for 7 days in a mouse, mass spectrometry analysis revealed that no major bond-cleavage or deconjugation processes had occurred (FIG. 11, middle graph). Treatment of the conjugate isolated from the mouse study with tetrazine 5, which removed the masking moiety efficiently from the pure conjugate in buffer (FIG. 2A, bottom spectrum), gave comparably efficient release of the masking moiety, implying that the TCO had not isomerized to CCO over the 7 days in circulation (FIG. 11, bottom graph). It was concluded that the components of the masked-PBD conjugate were stable in circulation in vivo for at least 7 days. Example 6: Biodistribution
[0206] Conjugates were dual -radiolabeled with125I (on tyrosines) andU1ln (in DOTA) to track both intact antibody and residualized catabolites. Radioiodination was achieved by first oxidizing 1 mCi of125I (Perkin Elmer) in Iodogen Tubes (Pierce) for 5 min, prior to transferring to a separate tube containing 75 pg of antibody conjugate for 1 min. Radiometal chelation ofU1ln by DOTA was achieved by incubating 1 mCi ofU1ln (Nordion) with ~ 100 pg of DOTA-containing conjugate in 0.1 M HEPES, pH 7 for 1 hr at 37°C. All radiolabeled conjugates were purified using Nap5 desalting columns (GE) resulting in ~9 pCi/pg for125I or 7 pCi/pg ofU1ln. Radioconjugates were further analyzed for purity using analytical size exclusion chromatography (Waters) with radiodetection.
[0207] Adult female SCID-BG mice (Charles River) were inoculated with 0.2 mL containing 5 million HCC1569X2 cells in a 50:50 suspension of HBSS (Invitrogen) and Matrigel (BD Biosciences) via injection into the #2/3 mammary fat pad. After tumor volumes reached 300-400 mm3, mice were randomly assigned to groups and received intraperitoneal bolus injection of Nal to prevent thyroid sequestration of free iodine. Then mice received a single intravenous dose of 1 mg/kg radiolabeled conjugate, containing 5 pCi each of125I andU1ln. Mice were bled at indicated time points through retro orbital collection under anesthesia (n=4 per time point). At terminal collection points, mice were euthanized under anesthesia and organs were harvested, rinsed and blotted dry. Tissues were analyzed with a 2480 Wizard 2 gamma counter (Perkin Elmer) within the energy windows of both125I andU1ln. Counts per minute were used to calculate the percent of injected dose per gram (%ID/g) of tissue and plotted using Prism (GraphPad).
[0208] Non-invasive in vivo distribution was obtained by single photon emission computed tomography/X-ray computed tomography (SPECT-CT) using a modification of previously reported methods (MiLabs, NL). Radiolabeling procedures and tumor generation were identical as for the biodistribution study. Imaged mice received a single intravenous bolus dose via tail vein injection of radiolabeled conjugate (5 pCi125I, 650 pCiU1ln) combined with unmodified antibody to give a total antibody/conjugate dose of 5 mg/kg. Mice were imaged at 6 h, 1 day and 6 days post dose. Immediately after CT acquisition, SPECT images were acquired in a window centered on two 20% windows centered at the 173-keV and 247- keV photopeaks ofU1ln using the Extra Ultra-High Sensitivity Mouse collimator with a 2 mm pinhole and reconstructed resolution of -0.85 mm3. SPECT data was acquired using spiral mode exposures for 20 min. SPECT image analysis and quantification was accomplished using VivoQuant (Invicro, Boston).
[0269] Results : Biodistribution was monitored in a Ly6E-expressing tumor xenograft model (HCC 1569X2) in part to establish a suitable timepoint at which maximal masked-drug catabolite was present in the tumor versus intact masked-drug in systemic circulation. Differentiating catabolized from conjugated masked-drug species was achieved through dual- radiolabeling the masked-drug conjugate with indium-111, incorporated into the DOTA of the masked-PBD payload, and iodine-125, incorporated into the tyrosines of the antibody (FIG. 12A). SinceluIn-DOTA and related DOTA analogs are residualizing labels while125I- tyrosine is rapidly effluxed from the cell in which it is generated, bothU1ln and125I signals can result from intact conjugate, but only theU1ln signal corresponds to intracellular catabolite. Thus, quantitation of the resi dualized masked-drug catabolite, as % injected dose per gram of tissue (%ID/g) was accomplished by subtracting the125I signal (intact only) from theU1ln signal (intact+catabolite). As controls, conventional radiolabeled anti-Ly6E and untargeted (anti-gD) conjugates with DOTA attached stochastically to lysine residues were also evaluated (FIG. 12A). Distribution was monitored by whole-body SPECT-CT imaging in tumor-bearing mice and quantitated by radioactivity measurements of blood and harvested tissues (from sacrificed animals). Live-animal SPECT-CT imaging showed accumulation of both the anti-Ly6E masked-drug and anti-Ly6E DOTA control in the tumor, reaching a maximum at 6 days after administration (FIG. 12B). Levels of intact Ly6E-targeting masked-drug and DOTA conjugates (U1ln signal) in blood decreased rapidly to ~4% of the injected dose after 6 days (FIG. 12C). We attribute the unusually fast clearance of the anti- Ly6E conjugates to antigen-specific tumor-mediated uptake, given that the untargeted (anti- gD) DOTA conjugate was not as rapidly cleared in the tumor model (-30% injected dose remaining after 6 days). Lastly, from analyses of individual tissues, the presumed masked- drug catabolite (luIn-125I signal) built up to -40% injected dose per gram in tumor after 3 days (FIG. 12D). The catabolite was accumulated more selectively in tumor versus other tissues (e.g., liver, bone marrow) for the sq-cit-linked versus val-cit-linked masked-drug conjugate.
Example 7: In vivo efficacy
[0210] The efficacy of anti-Ly6E TCO masked-drug activation by tetrazines was investigated in a mouse human breast cancer xenograft model (HCC 1569X2). The HCC 1569X2 cell line was derived at Genentech from parental HCC1569 cells (ATCC) to provide optimal tumor growth in mice. This cell line was authenticated by short tandem repeat (STR) profiling using the Promega PowerPlex 16 System and compared with external STR profiles of cell lines to determine cell line ancestry. Animal studies using this cell line were carried out at Genentech in compliance with National Institutes of Health guidelines for the care and use of laboratory animals and were approved by the Institutional Animal Care and Use Committee (IACUC) at Genentech. To establish the xenograft model, five million tumor cells (suspended in 0.2 mL of HBSS with Matrigel) were inoculated into the thoracic mammary fat pad of female C.B-17 SCID-beige mice (Charles River Laboratory; Hollister, CA).
[0211] When tumors reached the desired volume (-200 mm3), animals were divided into groups of n=5-9 with similar distribution of tumor volumes, and received intravenous dose(s) of vehicle (20 mM histidine acetate, 240 mM sucrose, 0.02% polysorbate-20, pH 5.5 for conjugate or 30% Hydroxypropyl-beta-Cyclodextrin (HPBCD) for tetrazine), antibody-drug conjugate (ADC), or tetrazine through the tail vein. The treatment information was not blinded during measurement. Tumors were measured in two dimensions (length and width) using calipers and tumor volume was calculated using the formula: Tumor size (mm3) = 0.5 x (length x width x width). Changes in body weights were reported as a percentage relative to the starting weight. Tumor sizes and mouse body weights were recorded twice weekly over the course of the study. Mice whose tumor volume exceeded 2000 mm3 or whose body weight loss was >20% of their starting weight were promptly euthanized per IACUC guidelines.
[0212] Data were analyzed using R statistical software system (R Foundation for Statistical Computing; Vienna, Austria), and a mixed modeling was fit within R using the nlme package. Cubic regression splines were used to fit a non-linear profile to the time courses of body weight change or log2 tumor volume at each dose level. These non-linear profiles were then related to dose within the mixed model. This approach addresses both repeated measurements and modest dropouts due to any non-treatment-related removal of animals before study end. Results were plotted in natural scale as fitted body weight change or tumor volume of each group over time.
[0213] Tumor growth inhibition (%TGI) was calculated as the percentage of the area under the fitted curve (AUC) for the respective drug-treated group per day relative to DOTA-3- treated animals, %TGI = 100 x (1 - (AUCtreatment/day)/(AUCVehicie/day)). Unless otherwise indicated, %TGI was calculated starting from day of tetrazine dose (Day 3 or 6) to the last day the drug-treated or DOTA-3 group remained on study (Day 20-35). 100% TGI was defined as tumor stasis, while values greater than 100% TGI indicate tumor regression. Fitted tumor volume data are reported as %TGI with 95% confidence intervals (CIs; lower and upper range).
[0214] Results: The efficacy of the anti-Ly6E masked-PBD conjugate and corresponding non-masked conjugate at several doses in the Ly6E-expressing HCC 1569X2 lung tumor xenograft model (FIG. 13). The masked-drug conjugate displayed minimal anti-tumor growth efficacy at a single IV dose of up to 3 mg/kg while the non-masked PBD conjugate gave rise to tumor regression at a dose of 0.3 mg/kg, representing an activity window of at least 10-fold. These results are consistent qualitatively with cell-based assessment of these two conjugates (FIG. 4B). Neither masked or unmasked PBD dimer conjugates induced significant weight loss in the mice at the doses employed (FIG. 14).
[0215] Based on clearance, tumor distribution and efficacy studies with the anti-Ly6E masked and unmasked (control) PBD conjugates incorporated either a 0.5 or 1.0 mpk masked-drug conjugate dose and a 3- or 6-day delay (FIG. 15 A). As in cell-based assays, a cell-permeable and cell-impermeable tetrazine were used to assess the degree to which efficacy was driven by intratumoral versus circulating masked-drug activation. It was found that the cell-permeable tetrazine 3, as used in cell assay development, was unstable in blood and thus a more stable analog was chosen, 27, which was equipotent with 3 in cell-based assays (FIGS. 9A and 9D). The cell-impermeable control used was DOTA-3, which was blood-stable. Both 27 and DOTA-3 were well-tolerated in naive mice at a single dose of up to 59 and 40 umol/kg, respectively (FIG. 16); masked ADC activation studies were therefore conducted with these tetrazine doses.
[0216] In the xenograft model, the cell-permeable tetrazine (27) induced significantly greater anti-tumor efficacy than the cell-impermeable tetrazine (DOTA-3) when the longer 6- day delay between masked-drug ADC and tetrazine administration was employed (FIG.
15B). This was true at either 0.5 or 1.0 mg/kg masked-drug ADC, although efficacy induced by 27 was more consistent across animals at the lower dose. Shortening the activation delay to 3 days resulted in efficacy that was not different for 27 versus DOTA-3. Without wishing to be bound by theory, it is hypothesized that the efficacy seen in the 0.5 mpk ADC/6 day delay cohort is driven proportionally more by intratumorally-unmasked ADC than unmasked circulating ADC relative to efficacy observed for the other cohorts. This is supported by ex vivo analysis of the circulating conjugate isolated from blood from the 0.5 mpk/6 day cohort one day after tetrazine administration (FIG. 15C). This analysis showed that DOTA-3 was somewhat more effective than tetrazine 27 in converting circulating masked-drug conjugate to the active conjugate, suggesting that increased efficacy induced by 27 is not due to increased activation of circulating conjugate. However, tetrazine 27 induced only mild tumor growth inhibition and was not greatly separated from the cell-impermeable control (-65% relative TGI).
[0217] Employing the optimized dosing protocol (0.5 mpk ADC, 6 day delay), a broader set of tetrazines selected from the most potent in either the cell-based or biochemical assay was assessed in the HCC1569X2 xenograft model (FIGS. 17A and 17C). Of these tetrazines, only 23 induced robust tumor regression in vivo (113% TGI relative to DOTA-3). A subsequent study, incorporating tetrazine 23 and its more cell-active analog, 24, revealed that both tetrazines were potent at inducing unmasking at doses as low as 10 umol/kg (FIG. 17B). Neither tetrazine, at a dose of 100 umol/kg, affected tumor growth alone. It was concluded that tetrazines 23 and 24 are highly effective at activating tumor-targeted masked ADC to induce tumor regression. Without wishing to be bound by therory, their pronounced in vivo activity versus other tetrazines that were similarly or more potent in cultured cells or biochemically may be explained by a combination of factors uniquely at play in a living animal including blood stability, liver microsomal stability, PK, and tumor penetration.
[0218) In these mouse experiments, the combination of selected antibody (IgGl), antigen (Ly6E), xenograft model (HCC 1569X2) and masked- ADC dose (0.5 mpk) provided for rapid tumor-mediated clearance of the conjugate from blood; as a result, it is believed that the efficacy induced by tetrazines under these conditions is driven predominantly by intratumoral activation of the masked-drug. In more realistic disease settings, however, rapid clearance may not be expected, and it is possible there would be the problem of having too much circulating masked-drug to realize a significant improvement in TI upon tetrazine activation. Circumventing this challenge could require a “clearing step” to reduce systemic masked-drug levels prior to activation, as has been employed with ADEPT and extracellularly-activated TCO masking systems. Alternatively, administering the masked-drug on a faster-clearing delivery vehicle (e.g., a Fab) and/or delivering the tetrazine activator as a tumor-targeted conjugate may enable more tumor-specific drug unmasking. Experiments conducted using the cell-based pulse-chase assay described herein have demonstrated that these alternative modes for delivery of the masked-drug or tetrazine are effective (FIGS. 18A-18B). Example 8: In vivo Rat Toxicology Study
[0219] The tolerability and toxicity profiles of tetrazines 23 and 24 were evaluated in Sprague Dawley rats.
Figure imgf000083_0001
23 24
[0220] In each test group, six female Sprague Dawley rats were administered a single dose (40 mg/kg) of tetrazine 23 or tetrazine 24, and observed for four days. A control group of three female Sprague Dawley rats was administered vehicle. A summary of the PK profiles for the tetrazines is provided below. In both test groups, minimal gastric mucosal (glandular) hypertrophy was observed.
Figure imgf000083_0002
[0223 ] Next, the tolerability and toxicity profiles of the unmaksed anti-Ly6E Sq-Cit PBD dimer (parent), masked anti-Ly6E Sq-Cit PBD dimer (prodrug), and the prodrug in combination with delayed tetrazine 24 release were evaluated. Each of test groups 2-9 comprised 6 female Sprague Dawley rats, administered a single dose of the described ADC on Day 0. Groups 3 and 6 were administered tetrazine 24 on Day 1, while Groups 4, 7, and 9 were administered tetrazine 24 on Day 7, to compare the effect of delayed tetrazine administration and release of PBD. Test group 1 comprised 3 female Sprague Dawley rats, and evaluted vehicle only.
Figure imgf000083_0003
Figure imgf000084_0001
[0222] For groups 3-9, the concentration of tetrazine was measured 1 hour after dosing, and was similar across all groups. Select samples were evaluated for stability, and the release of DOTA:TCO complex of prodrug with tetrazine was confirmed. At 12 days, a necropsy on the the animals was performed to evaluate distribution of unconjugated PBD dimer in the kidney, liver, bone marrow, and skin. Unconjugated PBD dimer was found in the kidney for all three 5 mg/kg groups (Group 5, 6, and 7) and at higher than dose proportional level in the 10 mg/kg group (Group 9). Unconjugated PBD dimer was found in the liver for all three 5 mg/kg groups (Group 5, 6, and 7) and in the 10 mg/kg group (Group 9). Unconjugated PBD dimer was found in bone marrow only for Groups 7 and 9. Unconjugated PBD dimer was found in skin in 3 of the 7 test groups, but no trend was observed. Overall, there was a slight trend for improvement of bone marrow toxi cities when comparing groups 2, 3, and 4; and comparing groups 5, 6, and 7 - lower bone marrow toxicity was observed in the prodrug- ADC and tetrazine-administered groups, compared to the groups with parent ADC and no tetrazine.
[0223] The maximum tolerated dose was 2.5 mg/kg of parent compound (mortality /bone marrow tox observed at 5 mg/kg); 2.5 mg/kg for prodrug PBD TDC + tetrazine day 1 (mortality /bone marrow tox observed at 5 mg/kg); and 5 mg/kg for prodrug PBD TDC + tetrazine day 7 (mortality /bone marrow tox observed at 10 mg/kg). About a 2x improvement in maximum tolerated dose was observed with prodrug PBD TDC + tetrazine day 7 compared to parent compound, based on dose.
Synthesis Example 1: (E)-cyclooct-2-en-l-yl ( 4-(l-hydroxy-2-oxo-2-(4-tritylpiperazin-l - yl)ethyl)phenyl)carbamate Boc
Figure imgf000085_0001
Synthesis Example 1, Part 1: Preparation of tert-butyl 4-(2-(4-nitrophenyl)-2-
Figure imgf000085_0002
7 9
[0224] To a solution of 4'-nitroacetophenone (9.0 g, 54.5 mmol) and n-iodosuccinimide (3.68 g, 16.35 mmol) in acetonitrile (30 mL) was added a solution of tert-butyl 1- piperazinecarboxylate (15.22 g, 81.7 mmol) in acetonitrile (10 mL) and tert- butylhydroperoxide (7.37 g, 81.74 mmol) slowly at 25°C. The mixture was stirred at 25°C for 12 hours. TLC (25% EtOAc in petroleum ether, Rf = 0.4) showed the starting material was consumed. The reaction mixture was diluted with EtOAc (500 mL), the mixture was washed with water (200 mL x 3), dried over anhydrous sodium sulfate, and concentrated in vacuo. The residue was purified by chromatography on silica eluting with 10-20% EtOAc in petroleum ether to afford tert-butyl 4-[2-(4-nitrophenyl)-2-oxo-acetyl]piperazine-l- carboxylate (4000 mg, 20.2% yield) as a yellow solid. ¾ NMR (400 MHz, CDCh): d 8.37 (d, J= 8.8 Hz, 2H), 8.16 (d, J= 8.8 Hz, 2H), 3.77 - 3.75 (m, 2H), 3.58 (t, J= 5.6 Hz, 2H), 3.49 (t, J= 5.2 Hz, 2H), 3.38 (t, 7= 5.6 Hz, 2H), 1.48 (s, 9H).
Synthesis Example 1, Part 2: Synthesis of tert-butyl 4-(2-hydroxy-2-(4-
Figure imgf000086_0001
[0225] To a solution of tert-butyl 4-[2-(4-nitrophenyl)-2-oxo-acetyl]piperazine-l- carboxylate (5700.0 mg, 15.69 mmol) in Ethanol (20 mL) was added sodium borohydride (3755.6 mg, 99.28 mmol) at 25°C and the mixture stirred at 25°C for 2h. TLC (5% MeOH in DCM, Rf=0.5) showed the starting material was consumed. The reaction mixture was diluted with water (100 mL), and extracted with DCM (80 mL x 3), the organic layer was concentrated to dryness and the residue was purified by chromatography on silica eluting with 0-5% MeOH in DCM to afford tert-butyl 4-[2-hydroxy-2-(4- nitrophenyl)acetyl]piperazine-l-carboxylate (4900 mg, 77.3%) as a yellow solid. Ή NMR (400 MHz, CDCh): d 8.23 (d, J= 8.4 Hz, 2H), 7.64 (d, J= 8.8 Hz, 2H), 5.76 (s, 1 H), 3.52 - 3.48 (s, 4H), 3.31 - 3.14 (s, 4H), 1.38 (s, 9H).
Synthesis Example 1, Part 3: Synthesis of 2-hydroxy-2-(4-nitrophenyl)-l-(piperazin-l- yl)ethan-l-one (Compound 11)
Figure imgf000086_0002
10 11
[0226] A solution of tert-butyl 4-[2-hydroxy-2-(4-nitrophenyl)acetyl]piperazine-l- carboxylate (4600.0 mg, 12.59 mmol) in 5% trifluoroacetic acid in 1,1, 1,3,3, 3-hexafluor 0-2- propanol (32 mL). The mixture was stirred at 25°C for 2h. TLC (20% EtOAc in petroleum ether, Rf= 0.5) showed the reaction was completed. The mixture was concentrated in vacuo to remove the solvent, the residue was diluted with DCM (10 mL) and then concentrated in vacuo to afford 2-hydroxy-2-(4-nitrophenyl)-l-piperazin-l-yl-ethanone; 2,2,2-trifluoroacetic acid (4700 mg, 98.4%) as a crude colorless oil.
Synthesis Example 1, Part 4: Synthesis of 2-hydroxy-2-(4-nitrophenyl)-l-(4-tritylpiperazin-l-
Figure imgf000087_0001
[0227] To a solution of 2-hydroxy-2-(4-nitrophenyl)-l-piperazin-l-yl-ethanone; 2,2,2- trifluoroacetic acid (4700.0 mg, 12.39 mmol) and triethylamine (3761.7 mg, 37.17 mmol) in Dichloromethane (50 mL) was added tritylchloride (3800.0 mg, 13.63 mmol). The resulted mixture was stirred at 25°C for 12h. The TLC (20% ethyl acetate in petroleum ether, Rf=0.4) indicated the reaction was completed. The mixture was concentrated in vacuo and purified by chromatography on silica eluting with 0-5% ethyl acetate in petroleum ether to give 2- hydroxy-2-(4-nitrophenyl)-l-(4-tritylpiperazin-l-yl)ethanone (6000 mg, 95.4%) as colorless oil. ¾NMR (400 MHz, DMSO-d6): d 8.11 (d, J= 8.0 Hz, 2H), 7.51 (d, J= 8.4 Hz, 2H), 7.36-7.21 (m, 15H), 6.04 (d, J= 6.4 Hz, 1H), 5.50 (d, J= 6.4 Hz, 1H), 3.63 (br, 4H), 3.13 - 3.07 (m, 4H).
Synthesis Example 1, Part 5: Synthesis of 2-(4-aminophenyl)-2-hydroxy-l-(4-tritylpiperazin-
Figure imgf000087_0002
12 13
[0228] To a mixture of 2-hydroxy-2-(4-nitrophenyl)-l-(4-tritylpiperazin-l-yl)ethanone (1000.0 mg, 1.97mmol) and ammonium chloride (1053.8 mg, 19.7 mmol) in Water (10 mL) and Ethanol (20 mL) was added iron (550.2 mg, 9.85 mmol). The mixture was stirred at 80°C for lh. TLC (3 % MeOH in DCM, Rf=0.5) showed the reaction was completed. The mixture was filtrated and the organic layer was concentrated in vacuo. The resulting solution was diluted with water (20 mL) and extracted with EtOAc (20 mL x 3), the organic layers were combined and dried with NaiSCL, then the mixture was concentrated and purified by pre-TLC (3 % MeOH in DCM, Rf=0.5 ) to afford 2-(4-aminophenyl)-2-hydroxy-l-(4- tritylpiperazin-l-yl)ethanone (265 mg, 28.2%) as colorless oil. Ή NMR (400 MHz, CDCh): d 7.40 (br s, 5H), 7.25 - 7.23 (m, 6H), 7.18 - 7.15 (m, 3H), 6.94 (d, J= 8.0 Hz, 2H), 6.55 (d, J = 7.6 Hz, 2H), 5.01 (s, 1H), 3.75 - 3.70 (m, 1H), 3.44 - 3.20 (m, 4H), 2.06 (br, 4H).
Synthesis Example 1, Part 6: Synthesis of (E)-cyclooct-2-en-l-yl (4-(l-hydroxy-2-oxo-2-(4-
Figure imgf000088_0001
13 2
[0229] To a solution of 2-(4-aminophenyl)-2-hydroxy-l-(4-tritylpiperazin-l-yl)ethanone (266.4 mg, 0.56 mmol) in N,N-Dimethylformamide (4 mL) was added [(2E)-cyclooct-2-en-l- yl] (4-nitrophenyl) carbonate (125.0 mg, 0.43 mmol), 1-hydroxybenzotriazole (58.0 mg, 0.43 mmol) and N,N-Diisopropylethylamine (0.36 mL, 2.15 mmol), the mixture stirred at 35°C for 3 days. TLC (50% EtOAc in petroleum ether, Rf=0.6) showed most starting material was consumed. The mixture was concentrated under reduced pressure to remove the solvent, the residue was purified flash column eluting with 0-50% EtOAc in petroleum ether to afford (2E)-cyclooct-2-en- 1 -yl]N-[4-[ 1 -hydroxy -2-oxo-2-(4-tritylpiperazin- 1 -yl)ethyl]phenyl carbamate (200 mg, 70.3%) as a white solid. LCMS (5-95, AB, 1.5min): RT (220/254nm) = 0.980 min, m/z = 652.2 [M+Na]+. ¾NMR (400 MHz, CDCh): d 7.47 - 7.30 (m, 7H), 7.23 - 7.11 (m, 12H), 6.70 (br s, 1H), 5.94 - 5.87 (m, 1H), 5.60 (d, J = 16.4 Hz, 1H), 5.48 (br s, 1H), 5.07 (d, J = 6.0 Hz, 1H), 4.67 (d, J = 6.4 Hz, 1H), 3.44 - 3.41 (m, 1H), 3.25 - 3.18 (m, 1H), 2.50 - 2.48 (m, 1H), 2.18 - 2.14 (m, 1H), 2.05 - 1.96 (m, 2H), 1.95 - 1.89 (m, 2H), 1.82 - 1.74 (m, 3H), 1.54 - 1.51 (m, 2H), 1.20 - 1.13 (m, 2H), 0.89 - 0.82 (m, 2H).
Synthesis Example 2: Synthesis of mal-Sq-Cit TCO-masking moiety-DOTA dimer payload
Synthesis Example 2, Part 1:
Figure imgf000089_0001
[0230] To a solution of triphosgene (93.9 mg, 0.32 mmol) in dichloromethane (5 mL) was added a solution of compound 1 (270.0 mg, 0.32 mmol; made according to WO2013/55987) and triethylamine (96.1 mg, 0.95 mmol) in dichloromethane (5 mL), the mixture stirred at 15°C for 30 min. TLC (5% MeOH in DCM) showed the starting material was consumed, then the mixture was concentrated to give the crude, which was used for the next step directly.
[0231] To a solution of above product in dichloromethane (5 mL) was added a solution of triethylamine (64.0 mg, 0.63 mmol) and compound 2 (99.7 mg, 0.16 mmol; as described in Synthesis Example 1) in dichloromethane (5 mL), the mixture was stirred at 15°C for 24h. Then a solution of compound 3 (541.7 mg, 0.95 mmol; made according to WO2015/95223) and triethylamine (64.0 mg, 0.63mmol) in N,N-Dimethylformamide (10 mL) was added, the formed mixture stirred at 15°C for another 24h. The mixture was concentrated and purified by flash column chromatography eluting with 0-10% MeOH in DCM to give compound 4 (210 mg, 31.5%) as a pale yellow solid. LCMS (5-95, AB, 1.5min): RT (220/254nm) = 1.295 min, m/z = 932.7 [M+other]+.
Figure imgf000090_0001
[0232] To a mixture of compound 4 (110.0 mg, 0.05 mmol) in tetrahydrofuran (1 mL) and Water (1 mL) was added acetic acid (1.5 mL). The mixture was stirred at 15°C for 12h. The mixture was concentrated to give the crude compound 5 which was used for next step directly. LCMS (5-95, AB, 1.5min): RT =0.878 min, m/z = 818.5 [M/2+H]+;
Figure imgf000090_0002
[0233] To a solution of compound 5 (88.0 mg, 0.05 mmol) and DOTA-OSu (39.1 mg, 0.08 mmol) in N,N-Dimethylformamide (2 mL) was added N,N-diisopropylethylamine (33.6 mg, 0.26 mmol). The mixture was stirred at 15°C for 12h. The mixture was purified by reverse phase chromatography (acetonitrile 34-44%/0.225% FA in water) to afford compound 6 (28 mg, 26.7%) as a white solid. LCMS (5-95, AB, 1.5min): RT (220/254nm) = 0.736 min, m/z = 1011.5 [M/2+H]+.
Synthesis Example 2, Part 4:
Figure imgf000091_0001
[0234] To a solution of compound 6 (28.0 mg, 0.01 mmol) in Dimethyl sulfoxide (2 mL) was added IBX (19.4 mg, 0.07 mmol). The mixture was stirred at 38°C for 48h. The mixture was purified by Pre-HPLC (acetonitrile 35-40%/0.225% FA in water) to afford compound 7 as a mixture of isomers: (peak 1, 1.0 mg, 3.5%) as a white solid, LCMS (5-95, AB, 1.5min): Rx (220/254nm) = 0.853 min, m/z = 1009.4 [M/2+H]+; FIRMS (5-95AB_4MIN): m/z = 2017.9204[M+H]+; (peak 2, 1.0 mg, 3.5%) as a white solid, LCMS (5-95, AB, 1.5min): RT (220/254nm) = 0.860 min, m/z = 1009.6 [M/2+H]+; HRMS (5-95AB_4MIN): m/z = 2017.9215[M+H]+.
Synthesis Example 2, Part 5:
Figure imgf000091_0002
[0235] The above compound (as a mixture) was synthesized following a similar procedure to Synthesis Examples 2-5, replacing linker compound 3 in Synthesis Example 2 with a different linker; and Boc as a protecting group on compound 2 in Synthesis Example 2 instead of Trt. [0236] The crude mixture was purified by reverse phase chromatography (acetonitrile 33- 40%/0.225% FA in water) to afford the above compound as a mixture of two isomers: first isomer, (1.0 mg, 5.3%) as a white solid, LCMS (5-95, AB, 1.5min): RT =0.682 min, m/z = 1010.8 [M/2+H]+; second isomer: (1.1 mg, 5.1%) as a white solid, LCMS (5-95, AB, 1.5min): RT =0.686 min, m/z = 1010.3 [M/2+H]+.
Synthesis Example 3: Preparation of Val-Cit linked masked-PBD payload
[0237] The Val-Cit linked masked-PBD payload was prepared analogously to the Sq-Cit- linked payload described in Synthesis Example 2, with the following alternative steps:
Figure imgf000092_0001
[0238] To a solution of triphosgene (187.8 mg, 0.6 mmol) in Dichloromethane (15 mL) was added the solution of compound 1 (600.0 mg, 0.70 mmol) and Et3N (355.8 mg, 3.52 mmol) in Dichloromethane (10 mL), the mixture stirred at 16°C for 40 minutes. TLC (5% MeOH in DCM) showed the starting material was consumed, then the mixture was used directly in next step.
[0239] To above mixture was added a solution of compound 2 (342.9 mg, 0.70 mmol) in dichloromethane (25 mL) was added a solution of triethylamine (142.3 mg, 1.41 mmol) and above isocyanate (636.6 mg, 0.70mmol), the mixture was stirred at 25°C for 16h. The mixture was used directly in next step without purification.
[0240] To above mixture was added a solution of MC-Val-Cit-PAB-OH (402.7 mg, 0.70 mmol; CAS 159857-80-4) and triethylamine (142.3 mg, 1.41 mmol) inN,N- Dimethylformamide (8 mL), the mixture was stirred at 30 °C for 16.0 hrs. The mixture was concentrated and purified by chromatography on silica gel eluting with 10% MeOH in DCM to afford compound 3 (340 mg, 24.6%) as a yellow solid. LCMS (5-95, AB, 1.5min): RT = 1.095 min, m/z = 983.1 [M/2+H]+;
Figure imgf000093_0001
[0241] To a solution of compound 3 (340 mg, 0.1730 mmol) in tetrahydrofuran (6 mL) was added acetic acid (12.0 mL) / Water (4 mL), the mixture stirred at 15 °C for 16.0 hrs. TLC (10% MeOH in DCM, Rf= 0.5) showed the reaction was completed. Then aqueous NaHCCb was added to the mixture to adjust the pH = 8, then the mixture was extracted with DCM (50.0 mL x 3), the organic layer was dried over Na2SC>4, filtered and concentrated to give the crude product which was purified by chromatography on silica gel eluting with 10% MeOH in DCM to afford compound 4 (210 mg, 69.9%) as a yellow solid. LCMS (5-95, AB, 1.5min): RT =0.849 min, m/z = 869.2 [M/2+H]+.
Figure imgf000093_0002
[0242] To a solution of compound 4 (90.0 mg, 0.05 mmol) in Dimethyl sulfoxide (4 mL) was added IBX (72.6 mg, 0.26 mmol), the mixture stirred at 38°C for 16.0 hrs. The resulting residue was purified by reverse phase chromatography (acetonitrile 55-60%/0.225% FA in water) to afford compound 5 (13 mg, 14.5% yield) as a yellow solid. LCMS (10-80, AB, 7.0min): RT = 4.492 min, m/z = 867.2 [M/2+H]+.
Figure imgf000093_0003
[0243] To a solution of compound 5 (13.0 mg, 0.01 mmol) in HFIP (2.0 mL) was added TFA (0.4 mL) at 0°C, the mixture stirred at 0°C for 40 min. Then the mixture was concentrated and used in next step directly.
[0244] To a solution of DOTA-OSu (30 mg, 0.06 mmol) and N, N-Diisopropylethylamine (38.6 mg, 0.30 mmol) in Dimethyl sulfoxide (2 mL) was added above de-Boc product (13.0 mg, 0.01 mmol), the mixture was stirred at 25°C for 16.0 hrs. The resulting mixture was purified by reverse phase chromatography (acetonitrile 33-40%/0.225% FA in water) to afford Compound 6 as a mixture of isomers: isomer 1 (1.0 mg, 5.3%) as a white solid, LCMS (5-95, AB, 1.5min): RT =0.682 min, m/z = 1010.8 [M/2+H]+; and isomer 2 (1.1 mg, 5.1%) as a white solid, LCMS (5-95, AB, 1.5min): RT =0.686 min, m/z = 1010.3 [M/2+H]+.
Synthesis Example 4 - Preparation of a Double Masked Payload
Figure imgf000094_0001
[0245] To a mixture of Compound 1 (1200.0 mg, 1.12 mmol) in CFLCN (12 mL) was added, CS2CO3 (1093.0 mg, 3.35 mmol) and propargylamine (308.0 mg, 5.59 mmol), Pd- Cy*Phine (71.73 mg, 0.06mmol), the mixture was stirred at 95°C in microwave under the atmosphere of N2 for 1.5 hour. The reaction mixture was filtered, the filtrate was concentrated to give the crude which was purified by flash chromatography on silica gel eluting with 0-8% methanol in DCM to afford Compound 2 (1000 mg, 89.4%) as a yellow solid. LCMS (5-95, AB, 1.5 min): RT = 1.154 min, m/z = 1000.4 [M+H]+;
Synthesis of Compound 3:
Figure imgf000094_0002
[0246] To a mixture of Compound 2 (1000.0 mg, 1 mmol) and MLCl (534.7 mg, 10 mmol) in H2O (24 mL) and EtOH (24 mL) was added Fe powder (279.2 mg, 5 mmol). The mixture was stirred at 80 °C for lh. The mixture was filtered and washed with DCM (30 mL x 3) and water (30 mL). The combined organic phase were concentrated and purified by flash chromatography on silica gel eluting with 0-3.5% MeOH in DCM to afford Compound 3 (400 mg, 39.1%) as a brown solid. LCMS (5-95, AB, 1.5 min): RT = 1.102 min, m/z = 941.0 [M+H]+;
Synthesis of Compound 5:
Figure imgf000095_0001
[0247] To a solution of compound 3 (300.0 mg, 0.32 mmol) and compound 4 (234.0 mg, 0.34 mmol) in dichloromethane (25 mL) was added N,N-Diisopropylethylamine (61.90 mg, 0.48 mmol). The mixture was stirred at 15°C for lh. TLC (8% MeOH in DCM, Rf=0.5) showed most starting material was consumed. The mixture was concentrated and purified by flash column eluting with 0-8% MeOH in DCM to give compound 5 (320 mg, 73.9%) as a yellow solid. LCMS (5-95, AB, 1.5min): RT (220/254nm) = 0.986 min, m/z = 670.2 [M/2+H]+.
Synthesis of Compound 7:
Figure imgf000095_0002
[0248] To a mixture of triphosgene (39.90 mg, 0.13 mmol) and 4 A MS in anhydrous DCM (5 mL) was added a solution of Compound 5 (180.0 mg, 0.13 mmol) and Et3N (40.8 mg, 0.40 mmol) in anhydrous DCM (5 mL). The reaction mixture was stirred at 15 °C for 0.5 hour. The mixture was concentrated in vacuo and re-dissolved in DCM (5 ml), which was used for the next directly.
[0249] To above solution was added a solution of Compound 6 (186.3 mg, 0.30 mmol), Et3N (40.8 mg, 0.40 mmol) and dibutyltin dilaurate (8.5 mg, 0.01 mmol) in anhydrous DCM (5 mL). The reaction mixture was stirred at 15°C for 16h. The mixture was filtered and the filtrate was concentrated to give the crude which was purified by flash column eluting with 0- 8% MeOH in DCM to give Compound 7 (140 mg, 39.3%) as a yellow solid.
Synthesis of Compound 8:
Figure imgf000096_0001
[0250] To a mixture of Compound 7 (52.0 mg, 0.02 mmol) in THF (1 mL) and Water (1 mL) was added AcOH (1.5 mL). The mixture was stirred at 15°C for 12h. The mixture was concentrated and washed with EtOAc (2 mL x 3) and the solid was collected to give Compound 8 (35 mg, 55.5%) as a white solid. LCMS (5-95, AB, 7.0 min): RT = 3.872 min, m/z = 969.4 [M/2+H]+.
Synthesis of Compound 9:
Figure imgf000097_0001
[0251] To a solution of Compound 8 (35.0 mg, 0.01 mmol) and DOTA-OSu (25.6 mg,
0.03 mmol) in DMF (2 mL) was added N,N-diisopropylethylamine (7.1 mg, 0.05 mmol).
The mixture was stirred at 15°C for 12h. The mixture was purified by reverse phase chromatography (acetonitrile 28-58% /0.225% FA in water) to afford Compound 9 (8 mg, 27.1%) as a white solid. LCMS (5-95, AB, 1.5 min): RT = 0.697 min, m/z = 903.9 [M/2+H]+.
Synthesis of Compound 10:
Figure imgf000097_0002
[0252] To a solution of Compound 9 (8.0 mg, 0.0030 mmol) in DMSO (2 mL) was added IBX (4.2 mg, 0.01 mmol). The mixture was stirred at 38°C for 48h. The mixture was purified by Pre-HPLC (acetonitrile 20-50%/0.1% NH4HC03 in water) to afford Compound 10 (1 mg, 12.5%, a mixture of 3 peaks) as a white solid. LCMS (5-95, AB, 1.5 min): RT = 0.723 min, m/z = 903.5 [M/2+H]+; FIRMS (5-95AB_4MIN_neg): m/z = 2703.1697[M-H]+.
Separation of Compounds 11 and 12:
[0253] Compound 10 (a mixture of 3 peaks) was further separated by Pre-HPLC (acetonitrile 20-50%/0.1% NH4HC03 in water) to afford Compound 11 (1.1 mg, peak 2). LCMS (5-95, AB, 1.5min): RT (220/254nm) = 0.852 min, m/z = 903.5 [M/3+H]+; HRMS (5- 95, AB, 4MIN_neg): m/z = 2703.1810[M-H]+; and Compound 12 (0.8 mg, peak 3). LCMS (5-95, AB, 1.5min): RT (220/254nm) = 0.859 min, m/z = 902.9 [M/3+H]+; HRMS(5-95, AB, 4MIN_neg): m/z = 2703.1682[M-H]+.
Synthesis of Tetrazine Compounds
[0254] Tetrazine compounds were generally synthesized following one of the methods Al, A2, A3, A4, Bl, B2, and C described below, which are provided as representative synthetic schemes. These methods were adapted from US2016/106859 (Al); Angew. Chem. Int. Ed., 2012, 51, 5222 -5225 (A2); Angew. Chem. Int. Ed., 2012, 51, 5222 -5225 (A3); EP3622968 (A4); Organic Letters, 2017, 5693 - 5696 (Bl); Synlett, 2007, 204 - 210 (B2); Heterocycl. Commun., 2013, 19, 171-177 (C). The synthesis of exemplary tetrazine compounds are provided in Synthesis Examples 5-9. Additional exemplary synthesized tetrazines are provided in Table 1.
Method Al:
Figure imgf000098_0001
Method A2:
Figure imgf000098_0002
Method A3 :
Figure imgf000098_0003
Method A4:
Figure imgf000098_0004
Method B 1 :
Figure imgf000099_0001
B1-1 B1-2 B1-3
Method B2:
Figure imgf000099_0002
Method C:
Figure imgf000099_0003
C-4 C-5
Synthesis Example 5: Tetrazine 17 - Method A3
Figure imgf000099_0004
[0255] To a mixture of K2CO3 (4230.0 mg, 30.61 mmol) and piperidine (2606.1 mg, 30.61 mmol) in N,N-dimethylformamide (45 mL) was added 4-(bromomethyl)benzonitrile (3000.0 mg, 15.3 mmol) and the mixture was stirred for 16h at 25°C. The solvent was removed in vacuo, diluted with 50 mL of H2O and extracted with 3 x 100 mL of ethyl acetate. The combined organic layers were washed with brine (30 mL), dried over anhydrous sodium sulfate and concentrated in vacuo, and purified by flash column chromatography (30% ethyl acetate in petroleum ether) to give 4-(l-piperidylmethyl)benzonitrile (2600 mg, 84.8%) as colorless oil. ¾ NMR (400MHz, CDCh): d 7.60 (d, J = 8.4 Hz, 2H), 7.45 (d, J = 8.4 Hz, 2H), 3.50 (s, 2H), 2.51 (br, 4H), 1.61-1.55 (m, 4H), 1.47 - 1.44 (m, 2H).
Figure imgf000100_0001
[0256] To a mixture of 4-(l-piperidylmethyl)benzonitrile (2.0 g, 9.99 mmol), sulfur (0.32 g, 9.99 mmol) and hydrazine monohydrate (9.69 mL, 199.72 mmol) in Ethanol (30 mL) was added formimidamide acetate (10.4 g, 99.86 mmol) and the formed mixture was stirred at 40°C for 16h. After cooling to room temperature, Diehl orom ethane (3 OmL)/ Acetic acid (30mL) was added. Then sodium nitrile (13780.7 mg, 199.72 mmol) was added portion wise over 60 minutes. The mixture was diluted with EtOAc (150 mL) and washed with sodium bicarbonate (25 mL x 3). The organic layer was dried with MgSCE and concentrated to give the crude which was purified by flash column chromatography (10%methanol in dichloromethane) followed by preparative HPLC (acetonitrile 4-24% / 0.2% formic acid in water) to give 3-[4-(l-piperidylmethyl)phenyl]-l,2,4,5-tetrazine (138 mg, 5.2%; tetrazine 17) as a red solid. LCMS (30-90, CD, 2 min): RT = 0.999 min, m/z = 256.2[M+H]+. ¾ NMR (400MHz, Methanol-d4): d 10.37 (s, 1H), 8.64 (d, J = 8.4 Hz, 2H), 7.73 (d, J = 8.4 Hz, 2H), 4.00 (s, 2H), 2.86 (brs, 4H), 1.79 - 1.73 (m, 4H), 1.62 - 1.60 (m, 2H).
Synthesis Example 6: Tetrazine 29 - Method A2 (with modifications)
Figure imgf000100_0002
[0257] A solution of 4-cyanophenol (6000.0 mg, 50.37 mmol)and piperidine (4717.9 mg, 55.41mmol) and formaldehyde (3025.2 mg, 100.74 mmol) in 2-propanol (120 mL) was stirred at 85°C for 16h. TLC (5%methanol in dichloromethane, Rf = 0.4) showed the the reaction was completed. The organic layer was concentrated under vacuum, and the residue was purified by flash column chromatography eluting with 30% ethyl acetate in petroleum ether to afford 4-hydroxy-3-(l-piperidylmethyl)benzonitrile (7000 mg, 64.3%) as a white solid. ¾ NMR (400MHz, methanol-d4): d 7.45 (dd, J = 2.4, 8.4 Hz, 1H), 7.39 (d, J = 2.0 Hz, 1H), 6.76 (d, J = 8.8 Hz, 1H), 3.84 (s, 2H), 2.69 - 2.63 (m, 4H), 1.72 - 1.66 (m, 4H), 1.59 - 1.55 (m, 2H).
Figure imgf000101_0001
[0258] A mixture of 4-hydroxy-3-(l-piperidylmethyl)benzonitrile (6.0 g, 27.74 mmol), 4- cyanophenol (16.52 g, 138.71 mmol) and Zn(OTf)2 (5.04 g, 13.87mmol) in hydrazine monohydrate (67.28 mL, 1387.1 mmol) was stirred at 60°C for 16h. The mixture was concentrated to give the crude which was dissolve in Diehl or omethane (lOOmL) / Acetic acid (100 mL), then sodium nitrite (37763.7 mg, 547.3 mmol) was added at 0°C. Then the mixture was stirred until the color turned bright red. The mixture was concentrated and diluted with water (50 mL). The formed mixture was extracted with EtOAc (50 mL x 3), the organic layers were combined and dried with Na2S04, filtered and concentrated to give the crude which was purified by chromatography on silica eluting with 0-5 % MeOH in DCM followed by reverse phase chromatography (acetonitrile 60-80% / 0.225% FA in water) to afford tetrazine 29 (1680 mg, 15%) as a red solid. LCMS (10-80, AB, 7 min): RT = 2.023 min, m/z = 364.1 [M+H]+;1HNMR (400MHz, DMSO-d6): d 10.48 (br, 1H), 8.47 (m, 1H), 8.35 (d, J = 8.4 Hz, 1H), 7.12 (d, J = 8.4 Hz, 3H), 7.03 (d, J = 8.4 Hz, 1H), 4.11 (s, 2H), 2.91 (brs, 4H), 1.67 (br, 4H), 1.50 (br, 2H).
Synthesis Example 7: Tetrazine 30 - Method A2 (with modifications)
Figure imgf000101_0002
[0259] To a solution of 4-amino-3-methylbenzonitrile (4200.0 mg, 31.78 mmol) and Di- tert-butyldi carbonate (18.25 mL, 79.45 mmol) in Tetrahydrofuran (120 mL) was added 4- dimethylaminopyridine (194.1 mg, 1.59 mmol), the mixture was stirred for 16 h at 70 °C.
TLC (20% ethyl acetate in petroleum ether, Rr=0 7) showed the reaction was completed. The reaction mixture was evaporated to dryness in vacuo. The residue was dissolved in Dichloromethane (120 mL), and trifluoroacetic acid (5.0 mL,) was added. The mixture was stirred at room temperature for 3 h. The mixture was basified with aqueous ammonia to pH = 7, and washed with water (30 mL). The organic portion was dried with Na2SC>4, and the solvents were evaporated to dryness in vacuo to give crude product, which was purified by flash chromatography on silica gel eluting with eluting with 0-10% ethyl acetate in petroleum ether to afford tert-butyl N-(4-cyano-2-methyl-phenyl)carbamate (6200 mg, 84%) as a white solid . ¾ NMR (400 MHz, DMSO-de): d 8.82 (s, 1H), 7.72 (d, J = 8.4 Hz, 1H), 7.61 - 7.57 (m, 2H), 2.24 (s, 3H), 1.47 (s, 9H).
Figure imgf000102_0001
[0260] To a solution of tert-butyl N-(4-cyano-2-methyl-phenyl)carbamate (6.2g, 26.69mmol) and l-bromo-2,5-pyrrolidinedione (5.56 g, 31.23 mmol) in Carbon tetrachloride (150mL) was added 2,2'-azobis(2-methylpropionitrile) (620.0 mg, 3.78 mmol), the mixture was stirred at 70 C for 16h. TLC (20% ethyl acetate in petroleum ether, Rf = 0.7) showed the reaction was completed. The resulting mixture was concentrated under vacuum and purified by flash column chromatography eluting with 0-10% ethyl acetate in petroleum ether to get tert-butyl N-[2-(bromomethyl)-4-cyano-phenyl]carbamate (6500 mg, 78.3%) as a white solid. ¾ NMR (400 MHz, DMSO-d6): d 9.11 (s, 1H), 7.91 (d, J = 2.0 Hz, 1H), 7.86 (d, J = 8.8 Hz, 1H), 7.74 (dd, J = 2.0, 8.8 Hz, 1H), 4.88 (s, 2H) 1.49 (s, 9H).
Figure imgf000102_0002
[0261] To a solution of tert-butyl N-[2-(bromomethyl)-4-cyano-phenyl]carbamate (6.5 g, 20.89 mmol) and K2CO3 (5774.1 mg, 41.78 mmol) in N,N-Dimethylformamide (50 mL) was added piperidine (3.83 mL, 41.78 mmol), the mixture was stirred at 50 C for 16h The resulting solution was diluted with H2O (50 mL) and extracted with ethyl acetate (100 mL x 3). The combined organic layers were washed with brine (100 mL), dried over anhydrous sodium sulfate and concentrated under vacuum to give the crude which was purified by flash column chromatography eluting with 0-10% ethyl acetate in petroleum ether to get tert-butyl N-[4-cyano-2-(l-piperidylmethyl)phenyl] carbamate (4300 mg, 65.3%) as a white solid. ¾ NMR (400 MHz, DMSO-de): d 11.30 (s, 1H), 8.11 (d, J = 8.8 Hz, 1H), 7.68 (dd, J = 8.4, 2.0 Hz, 1H), 7.61 (d, J = 1.6 Hz, 1H), 3.64 (s, 2H), 2.35 (br s, 4H) 1.39 - 1.57 (m, 15H).
Figure imgf000103_0001
[0262] To a solution of 4-aminobenzonitrile (2500.0 mg, 21.16 mmol) and 4- dimethylaminopyridine (517.1 mg, 4.23 mmol) in Tetrahydrofuran (75 mL) was added Di- tert-butyldi carbonate (14.58 mL, 63.48 mmol), the mixture was stirred for 16h at 70 C, TLC (20% ethyl acetate in petroleum ether, Rf = 0.5 ) indicated the reaction was completed. The resulting mixture was concentrated under vacuum, and the residue was dissolved in Dichloromethane (75 mL), and trifluoroacetic acid (3.0 mL) was added. The mixture was stirred at 20°C for 2 h. TLC (20% ethyl acetate in petroleum ether, Rf = 0.4) indicated the reaction was completed. The mixture was basified with aqueous ammonia to pH = 7, and washed with water (50 mL). The organic layer was dried with Na2SC>4, and the solvents were evaporated to dryness in vacuo and purified by flash column chromatography eluting with 0- 10% ethyl acetate in petroleum ether to get tert-butyl N-(4-cyanophenyl) carbamate (3000 mg, 65%) as a white solid. ¾ NMR (400MHz, DMSO-d6): d 9.89 (s, 1H), 7.71 (d, J = 8.8 Hz, 2H), 7.63 (d, J = 8.8 Hz, 2H), 1.48 (s, 9H).
Figure imgf000103_0002
[0263] A mixture of tert-butyl N-[4-cyano-2-(l-piperidylmethyl)phenyl]carbamate (500.0 mg, 1.59 mmol), tert-butyl N-(4-cyanophenyl)carbamate (1383.9 mg, 6.34 mmol) and Zn(OTf)2 (339.9 mg, 0.79 mmol) in hydrazine monohydrate (3.9 mL, 79.26 mmol) was stirred at 60 C for 12h. The mixture was concentrated and the residue was dissolved in in Dichloromethane (30 mL) and acetic acid (30 mL). Then sodium nitrite (2187.6 mg, 31.7 mmol) was added to the mixture at 0°C, and stirred at 25 °C for 2h. The TLC (20% ethyl acetate in petroleum ether, Rf = 0.4) indicated the reaction was completed. The reaction mixture was quenched with H2O (100 mL). Then the mixture was extracted with DCM (50 mL x 3). The organic layer was concentrated and purified by flash chromatography on silica gel eluting with 0-30% ethyl acetate in petroleum ether) to afford tert-butyl N-[4-[6-[4-(tert- butoxycarbonylamino)phenyl]-l,2,4,5-tetrazin-3-yl]-2-(l-piperidylmethyl)phenyl]carbamate (190 mg, 21.3%) as a red solid. LCMS (10-80, AB, 7.0 min): RT = 3,677 min, m/z = 562.4 [M+H]+; ¾ NMR (400 MHz, CDCh): d 11.01 (s, 1H), 8.55 - 8.49 (m, 3H), 8.32 - 8.30 (m, 2H), 7.58 (d, J = 8.0 Hz, 2H), 6.72 (s, 1H), 3.67 (s, 2H), 2.45 (br, 4H), 1.58 (br, 6H), 1.54 (s, 18H).
Figure imgf000104_0001
[0264] A mixture of trifluoroacetic acid (0.5 mL, 6.73 mmol), tert-butyl N-[4-[6-[4-(tert- butoxycarbonylamino)phenyl]-l,2,4,5-tetrazin-3-yl]-2-(l-piperidylmethyl)phenyl]carbamate (40.0 mg, 0.0700 mmol) in Dichloromethane (1.0 mL) was stirred at 20 °C for lh. The reaction mixture was concentrated and purified by reverse phase chromatography (acetonitrile 10-40%/0.225% FA in water) to afford tetrazine 30 (15 mg, 49.6%) as a red solid. LCMS (5-95, AB, 1.5min): RT = 0.741 min, m/z = 362.1 [M+H]+; ¾ NMR (400MHz, methanol-d4): d 8.53 (s, 1H), 8.33 - 8.24 (m, 4H), 6.88 (d, J = 8.4 Hz, 1H), 6.81 (d, J = 8.8 Hz, 2H), 3.90 (s, 2H), 2.81 (brs, 4H), 1.73 - 1.69 (m, 4H), 1.57 (brs, 2H).
Synthesis Example 8: Tetrazine 31 - Method A2 (with modifications)
Figure imgf000104_0002
[0265] To a solution of 4-cyanophenol (5.0 g, 41.97 mmol) in trifluoroacetic acid (35 mL, 471.19 mmol) was added hexamethylenetetramine (11.77 g, 83.95 mmol) at 0°C and stirred at 100°C for 16 h. The TLC (25% ethyl acetate in petroleum ether, Rf= 0.5) indicated the reaction was completed. The reaction was quenched with aqueous sulfuric acid (50%, 20 mL) and water (200 mL). The formed mixture was extracted with ethyl acetate (100 mL x 2), dried and concentrated. The residue was purified by flash chromatography on silica gel eluting with 0 - 12% ethyl acetate in petroleum ether to afford 3-formyl-4-hydroxy- benzonitrile (380 mg, 6.2%) as a white solid. ¾ NMR (400 MHz, chloroform-d): d 11.47 (s, 1H), 9.94 (s, 1H), 7.95 (d, J = 2.0 Hz, 1H), 7.78 (dd, J = 8.8, 2.0 Hz, 1H), 7.12 (d, J = 8.8 Hz, 1H).
Figure imgf000105_0001
[0266] To a solution of 3-formyl-4-hydroxy-benzonitrile (375.0 mg, 2.55 mmol) in Dichloromethane (20 mL) was added tert-butyl 1-piperazinecarboxylate (569.6 mg, 3.06 mmol) and acetic acid (459.0 mg, 7.65 mmol). The mixture was stirred at 20 °C for 2h. Then NaBH(OAc)3 (1000.0 mg, 4.72 mmol) was added to the reaction and stirred for 12 h at 20 °C. The TLC (25% ethyl acetate in petroleum ether, Rf = 0.3) indicated the reaction was completed. The mixture was diluted with DCM (80 mL), and washed with brine (20 mL x 2). The organic layer was concentrated to give crude product, which was purified by flash chromatography on silica gel eluting with 0-20% ethyl acetate in petroleum ether to afford tert-butyl 4-[(5-cyano-2-hydroxy-phenyl)methyl]piperazine-l-carboxylate (500 mg, 61.8%) as a white solid. ¾ NMR (400 MHz, chloroform-d): d 7.48 (dd, J = 8.4, 2.0 Hz, 1H), 7.29 (d, J = 1.6 Hz, 1H), 6.86 (d, J = 8.4 Hz, 1H), 3.74 (s, 2H), 3.57 - 3.52 (m, 4H), 2.72 - 2.65 (m, 4H), 1.46 (s, 9H).
Figure imgf000105_0002
[0267] To a mixture of tert-butyl 4-[(5-cyano-2-hydroxy-phenyl)methyl]piperazine- 1- carboxylate (350.0 mg, 1.1 mmol), 4-cyanophenol (1.31 g, 11.03 mmol) and Zn(OTf)2 (100.0 mg, 0.2800 mmol) in was added hydrazine monohydrate (10 mL, 206.15 mmol). The mixture was stirred at 60 °C for 12h. The mixture was concentrated under reduced pressure to give crude, which was dissolved in Dichloromethane (30 mL) and HOAc (10 mL). Then NaNCL (2.33 g, 33.84 mmol) was added at 0°C and the mixture was stirred at 20 °C for 2h. The resulting mixture was diluted with water (50 mL) and extracted with DCM (50 mL x 3), the organic layers were combined and dried with Na2SC>4, filtered and concentrated to give the crude which was purified by reverse phase chromatography (acetonitrile 25-55%/ 0.225% FA in water) to afford tert-butyl 4-[[2-hydroxy-5-[6-(4-hydroxyphenyl)- l,2,4,5-tetrazin-3- yl]phenyl]methyl]piperazine-l-carboxylate (150 mg, 8.7%) as a red solid. LCMS (5-95, AB, 1.5min): RT = 0.955 min, m/z =365.1[M+H]+; ¾NMR (400 MHz, DMSO-d6): d 10.43 (s, 1H), 8.27 - 8.74 (m, 4H), 7.22 (s, 1H), 7.04 (d, J = 6.8 Hz, 2H), 4.39 (s, 2H), 4.00 (s, 2H), 3.08 - 3.28 (m, 4H), 1.41 (s, 9H).
Figure imgf000106_0001
[0268] To a mixture of tert-butyl 4-[[2-hydroxy-5-[6-(4-hydroxyphenyl)-l,2,4,5-tetrazin-3- yl] phenyl]methyl]piperazine-l-carboxylate (50.0 mg, 0.1100 mmol) in Diehl or omethane (1 mL) was added trifluoroacetic acid (0.2 mL), the mixture was stirred at 10 °C for 2h. The mixture was concentrated in vacuum and purified by reverse phase chromatography (acetonitrile 7-37%/0.075% TFA in water) to afford tetrazine 31 (22 mg, 40.6%) as a red solid. LCMS (5-95, AB, 1.5min): RT = 0.955 min, m/z = 365.1 [M+H]+; ¾NMR (400 MHz, methanol-d4): d 8.52 (d, J = 2.0 Hz, 1H), 8.47 - 8.43 (m, 3H), 7.09 (d, J = 8.8 Hz, 1H), 7.03 - 7.00 (m, 2H), 4.07 (s, 2H), 3.39 - 3.36 (m, 4H), 3.08 (br s, 4H).
Synthesis Example 9: Tetrazine 32 - Method A2 (with modifications)
Figure imgf000106_0002
[0269] To a mixture of 3-bromo-4-hydroxybenzonitrile (5.0 g, 25.25 mmol) in Acetone (70mL) was added benzyl bromide (5.18 g, 30.3 mmol) and potassium carbonate (10.5 g,
75.6 mmol). The formed mixture was stirred at 50 °C for 16h, TLC (20% EtOAc in petroleum ether, Rf=0.5) showed the reaction was completed. The mixture was filtrated and the organic layer was concentrated in vacuum. The resulting mixture was diluted with water (50 mL) and extracted with EtOAc (50 mL x 3), the organic layers were combined and dried with Na2S04, then the mixture was concentrated and purified by chromatography on silica eluting with 0-5% EtOAc in petroleum ether to afford 4-benzyloxy-3-bromo-benzonitrile (6.2 g, 85.2%) as a white solid. ¾ NMR (400MHz, chloroform-d): d 7.86 (d, J = 2.0 Hz, 1H), 7.56 (dd, J = 2.0, 8.4 Hz, 1H), 7.47 - 7.42 (m, 5H), 6.98 (d, J = 8.4 Hz, 1H), 5.24 (s, 2H).R έ^NHBoo
Figure imgf000107_0002
,
[0270] To a mixture of 4-benzyloxy-3-bromo-benzonitrile (5.1 g, 17.6mmol) in 1,4- Dioxane (100 mL) and Water (20 mL) was added potassium n-boc- aminomethyltrifluoroborate (3.2 g, 13.5 mmol), Xphos (643.5 mg, 1.35 mmol), Pd(OAc)2 (151.5 mg, 0.67 mmol) and cesium carbonate (13.2 g, 40.5 mmol). The resulting mixture was stirred at 110 °C for 16h. The mixture was filtrated and filtrate was concentrated in vacuum. The resulting mixture was diluted with water (30 mL) and extracted with EtOAc (50 mL x 3). The organic layers were combined and dried with NaiSCL, filtered and concentrated to give the crude which was purified by chromatography on silica eluting with 0-2% EtOAc in petroleum ether to afford tert-butyl N-[(2-benzyloxy-5-cyano- phenyl)methyl]carbamate (900 mg, 19.7%) as a yellow solid. LCMS (5-95, AB, 1.5 min): RT = 0.986 min, m/z = 283.0 [M-56+H]+; ¾ NMR (400MHz, CDCh): d 7.58 - 7.54 (m, 2H), 7.42 - 7.39 (m, 5H), 6.97 (d, J = 8.8 Hz, 1H), 5.16 (s, 2H), 4.97 (br, 1H), 4.37 (d, J = 6.0 Hz, 2H), 1.46 (s, 9H).
Figure imgf000107_0001
[0271] To a solution of tert-butyl N-[(2-benzyloxy-5-cyano-phenyl)methyl]carbamate (900.0 mg, 2.66 mmol) in Methyl alcohol (40 mL) was added 10% Palladium on carbon (100.0 mg) at 25°C. The mixture was stirred under an atmosphere of ¾ (1 atm) at 25 °C for lh. TLC (20% EtOAc in petroleum ether, Rf=0.5) showed the reaction was completed. The mixture was filtered and concentrated to afford tert-butyl N-[(5-cyano-2-hydroxy- phenyl)methyl]carbamate (660.3 mg, 100%) as a brown solid. ¾ NMR (400MHz, CDCb): d 7.50 (d, J = 2.0, 8.4 Hz, 1H), 7.38 (d, J = 2.0 Hz, 1H), 6.97 (d, J = 8.4 Hz, 1H), 5.37 (br, 1H), 4.23 (d, J = 6.4 Hz, 2H), 1.46 (s, 9H)
Figure imgf000108_0001
[0272] To a mixture of tert-butyl N-[(5-cyano-2-hydroxy-phenyl)methyl]carbamate (790. Omg, 3.18mmol), 4-cyanophenol (3.8 g, 31.82 mmol) and Zn(OTf)2 (578.3 mg, 1.59 mmol) was added hydrazine monohydrate (7.7 mL, 159.09 mmol). The mixture was stirred at 60 °C for 12h. The reaction was concentrated under reduced pressure to give the crude which was dissolved in solution Diehl or omethane (150 mL) and HOAc (150.0 mL, 3.18 mmol). Then sodium nitrite (4390.7 mg, 63.63 mmol) was added at 0°C, the mixture was stirred at 25°C for 4h. The resulting solution was diluted with water (100 mL) and extracted with EtOAc (50 mL x 5), the organic layers were combined, dried with Na2S04, filtered and concentrated to give the crude which was purified by chromatography on silica eluting with 0-45% EtOAc in petroleum ether followed by reverse phase chromatography (acetonitrile 41- 71% / 0.225%FA in water) to afford tert-butyl N-[[2-hydroxy-5-[6-(4-hydroxyphenyl)- l,2,4,5-tetrazin-3-yl]phenyl]methyl] carbamate (100 mg, 7.9%) as a red solid. LCMS (5-95, AB, 1.5 min): RT = 0.903 min, m/z =418 [M+Na]+.
Figure imgf000108_0002
[0273] A mixture of tert-butyl N-[[2-hydroxy-5-[6-(4-hydroxyphenyl)-l,2,4,5-tetrazin-3-yl] phenyl]methyl]carbamate (20.0 mg, 0.05mmol) in HCl/EtOAc (4.0 mL, 16 mmol) was stirred at 25°C for lh. The mixture was concentrated in vacuum and washed with EtOAc (1 mL x 2) to afford tetrazine 32 (11.1 mg, 64.8%) as a purple solid. LCMS (5-95, AB, 1.5 min): RT = 0.711 min, m/z = 296.1 [M+H]+; ¾ NMR (400MHz, DMSO-d6): d 11.17 (br s, 1H), 10.43 (s, 1H), 8.54 (d, J = 2.0 Hz, 1H), 8.42 - 8.36 (m, 3H), 8.20 (br s, 3H), 7.20 (d, J = 8.8 Hz,
1H), 7.04 (d, J = 8.8 Hz, 2H), 4.10 (s, 2H).
Table 1: Additional synthesized compounds.
Figure imgf000108_0003
Figure imgf000109_0001
Figure imgf000110_0001
Figure imgf000111_0001

Claims

CLAIMS What is claimed is:
1. A method of treating a disorder in a subject in need thereof, comprising administering to the subject in need thereof:
(a) a first composition comprising an ADC, wherein the ADC comprises: an antibody or fragment thereof, wherein the antibody or fragment thereof is capable of binding to and being internalized by a target cell; a cytotoxic agent (CTA); a concentrating moiety; and a masking moiety comprising a transcyclooctene (TCO) functional group; wherein the antibody or fragment thereof is connected to the CTA directly or through an antibody linker, and the concentrating moiety and masking moiety are connected to the cytotoxic agent; and
(b) a second composition comprising a trigger compound, wherein the trigger compound comprises a tetrazine functional group; wherein the second composition is administered after the first composition, and the cytotoxic agent is released by intracellular interaction of the masking moiety and the trigger compound.
2. The method of claim 1, wherein prior to the cytotoxic agent being released, the linker is cleaved.
3. The method of claim 1 or 2, wherein the first composition is administered parenterally to the subject.
4. The method of any one of claims 1 to 3, wherein the second composition is administered parenterally to the subject.
5. The method of any one of claims 1 to 4, wherein the second composition is administered orally to the subject in need thereof.
6. The method of any one of claims 1 to 5, wherein the ADC is of formula (A) or (B):
Figure imgf000113_0001
or a pharmaceutically acceptable salt thereof, wherein:
Rx and Ry are independently C1-C3 alkyl or H, or together form a C2-C3 bridge connecting the nitrogen atoms to which they are attached;
Rz is H, C1-C6 alkyl, or Ci-Cehaloalkyl;
Ab is an antibody or fragment thereof that binds to and is internalized by a target cell; L1 is a linker;
CTA is a cytotoxic agent;
RA is a concentrating moiety; n, if present, is 1 or 2; and m is an integer from 1 to 6.
7. The method of any one of claims 1 to 6, wherein the concentrating moiety is a peptide fragment bearing one or more carboxylic acid groups; or a chelator.
8. The method of any one of claims 1 to 7, wherein the concentrating moiety is desferrioxamine or DOTA.
9. The method of any one of claims 1 to 8, wherein the cytotoxic agent is a PBD dimer, auristatin, a CBI dimer, or camptothecin analog.
10. The method of any one of claims 1 to 9, wherein the ADC is:
Figure imgf000114_0001
, or a pharmaceutically acceptable salt thereof.
11. The method of any one of claims 1 to 10, wherein the trigger compound comprises an amine functional group.
12. The method of any one of claims 1 to 11, wherein the trigger compound further comprises a tertiary amine functional group.
13. The method of any one of claims 1 to 11, wherein the trigger compound comprises an aniline functional group, which may be further substituted.
14. The method of any one of claims 1 to 11, wherein the trigger compound is of the formula (X):
N=N
Figure imgf000114_0002
(X), or a pharmaceutically acceptable salt thereof, wherein Rx and Ry are independently selected from the group consisting of hydrogen, halogen, heteroaryl, aryl, heterocyclyl, cycloalkyl, -OR’, Ci-C6alkyl, and -NRR’; wherein the Ci-C6alkyl, aryl, heteroaryl, heterocyclyl, and cycloalkyl are independently unsubstituted or substituted with one or more substituents independently selected from the group consisting of halogen, -OR”, -NR”R’”, and Ci-Cealkyl-MTR’”; wherein each R, R’, R”, and R’” is independently hydrogen, Ci-C6alkyl, or Ci-Ghaloalkyl; and R and R’ or R” and R’”, when connected to the same nitrogen atom, come together to form a heterocycle.
15. The method of any one of claims 1 to 13, wherein the trigger compound is a compound of formula (I),
Figure imgf000115_0001
or a pharmaceutically acceptable salt thereof, wherein:
(i) each of X1, X2, X3, and X4 is N; and zero to two of X5, X6, X7, and X8 is N, and the remainder are CH; or
(ii) each of X5, X6, X7, and X8 is N; and zero to two of X1, X2, X3, and X4 is N, and the remainder are CH;
RA and RB are independently Ci-C6alkyl or Ci-Ghaloalkyl, or together with the nitrogen to which they are attached form a 3-7 membered saturated heterocyclyl, wherein the heterocyclyl comprises one or two heteroatoms independently selected from O and N, and wherein the heterocyclyl is unsubstituted or substituted with one to three substituents independently selected from the group consisting of halo, -OH, Ci-C6alkoxy, and Ci- Cehaloalkoxy; each R1 is independently selected from the group consisting of halo, Ci-C6alkyl, Ci- Cehaloalkyl, -OH, Ci-Cealkoxy, Ci-Cehaloalkoxy, and -NRlaRlb; wherein each Rla and Rlb is independently H, Ci-C6alkyl, or Ci-Ghaloalkyl;
R2 is H, halo, Ci-C6alkyl, Ci-Cehaloalkyl, -OH, Ci-C6alkoxy, Ci-Ghaloalkoxy, -NR2aR2b, -SR2c, heterocycloalkyl, or phenyl, wherein the phenyl is unsubstituted or substituted with one or more substituents independently selected from the group consisting of halo, -OH, Ci-C6alkoxy, Ci-Ghaloalkoxy, and -NR2dR2e; wherein each R2a, R2b, R2c, R2d, and R2e is independently H, Ci-Galkyl, or Ci-Ghaloalkyl; m is 0, 1, or 2; and n is 1, 2, or 3; wherein when each of X1, X2, X3, and X4 is N; each of X5, X6, X7, and X8 is CH; m is 0; and RA and RB are both methyl; then n is 1.
16. The method of any one of claims 1 to 15, wherein the trigger compound is a compound from List 1, or a pharmaceutically acceptable salt thereof.
17. The method of any one of claims 1 to 16, wherein the antibody or fragment thereof binds to one or more polypeptides selected from the group consisting of DLL3; EDAR; CLL1; BMPR1B; El 6; STEAP1; 0772P; MPF; NaPi2b; Serna 5b; PSCA hlg; ETBR; MSG783; STEAP2; TrpM4; CRIPTO; CD21; CD79b; FcRH2; B7-H4; HER2; NCA; MDP; IL20Ra; Brevican; EphB2R; ASLG659; PSCA; GEDA; BAFF-R; CD22; CD79a; CXCR5; HLA-DOB; P2X5; CD72; LY64; FcRHl; IRTA2; TENB2; PMEL17; TMEFF1; GDNF-Ral; Ly6E; TMEM46; Ly6G6D; LGR5; RET; LY6K; GPR19; GPR54; ASPHD1; Tyrosinase; TMEM118; GPR172A; MUC16 and CD33.
18. The method of any one of claims 1 to 17, wherein in the antibody or fragment thereof is cysteine engineered.
19. The method of any one of claims 1 to 18, wherein the second composition is administered at least 6 hours after the first composition.
20. The method of any one of claims 1 to 19, wherein the second composition is administered between 1 to 7 days after the first composition.
21. The method of any one of claims 1 to 20, wherein the disorder is a hyperproliferative disorder.
22. The method of any one of claims 1 to 21, wherein the disorder is selected from the group consisting of carcinoma, lymphoma, blastoma, sarcoma, leukemia, lymphoid malignancies, squamous cell cancer (e.g. epithelial squamous cell cancer), lung cancer including small-cell lung cancer, non-small cell lung cancer, adenocarcinoma of the lung and squamous carcinoma of the lung, cancer of the peritoneum, hepatocellular cancer, gastric or stomach cancer including gastrointestinal cancer, pancreatic cancer, glioblastoma, cervical cancer, ovarian cancer, liver cancer, bladder cancer, hepatoma, breast cancer, colon cancer, rectal cancer, colorectal cancer, endometrial or uterine carcinoma, salivary gland carcinoma, kidney or renal cancer, prostate cancer, vulval cancer, thyroid cancer, hepatic carcinoma, anal carcinoma, penile carcinoma, and head and neck cancer.
23. An ADC of formula (A) or (B):
Figure imgf000117_0001
or a pharmaceutically acceptable salt thereof, wherein:
Rx and Ry are independently C1-C3 alkyl or H, or together form a C2-C3 bridge connecting the nitrogen atoms to which they are attached;
Rz is H, C1-C6 alkyl, or Ci-Cehaloalkyl;
Ab is an antibody or fragment thereof that binds to and is internalized by a target cell; L1 is a linker;
CTA is a cytotoxic agent;
RA is a concentrating moiety; n, if present, is 1 or 2; and m is an integer from 1 to 6.
24. The ADC of claim 23, wherein the ADC is of formula (A-l):
Figure imgf000117_0002
pharmaceutically acceptable salt thereof.
25. The ADC of claim 23, wherein the ADC is of formula (A-la):
Figure imgf000118_0001
- la), or a pharmaceutically acceptable salt thereof.
26. The ADC of claim 23 or 25, or a pharmaceutically acceptable salt thereof, wherein the concentrating moiety a peptide fragment bearing one or more carboxylic acid groups; or a chelator.
27. The ADC of any one of claims 23 to 26, or a pharmaceutically acceptable salt thereof, wherein the concentrating moiety is desferrioxamine or DOTA.
28. The ADC of any one of claims 23 to 27, or a pharmaceutically acceptable salt thereof, wherein the cytotoxic agent is a PBD dimer, auristatin, CBI dimer, or camptothecin analog.
29. The ADC of any one of claims 23 to 28, or a pharmaceutically acceptable salt thereof, wherein L1 is a cleavable linker.
30. The ADC of any one of claims 23 to 29, or a pharmaceutically acceptable salt thereof, wherein L1 comprises a peptide or disulfide linkage.
31. The ADC of any one of claims 23 to 30, or a pharmaceutically acceptable salt thereof, wherein L1 comprises a contiguous sequence of amino acids.
32. The ADC of any one of claims 23 to 31, wherein L1 is a linker, and is connected to the antibody or fragment thereof through a thio-succinimide, disulfide, ester, amide, or triazole functional group.
33. The ADC of any one of claims 23 to 32, or a pharmaceutically acceptable salt thereof, wherein the ADC is:
Figure imgf000119_0002
, or a pharmaceutically acceptable salt thereof.
34. The ADC of any one of claims 23 to 32, or a pharmaceutically acceptable salt thereof, wherein the ADC is:
Figure imgf000119_0001
or a pharmaceutically acceptable salt thereof.
35. The ADC of any one of claims 23 to 34, wherein the antibody or fragment thereof binds to one or more polypeptides selected from the group consisting of DLL3; EDAR; CLL1; BMPR1B; El 6; STEAPl; 0772P; MPF; NaPi2b; Serna 5b; PSCA hlg; ETBR; MSG783; STEAP2; TrpM4; CRIPTO; CD21; CD79b; FcRH2; B7-H4; HER2; NCA; MDP; IL20Ra; Brevican; EphB2R; ASLG659; PSCA; GEDA; BAFF-R; CD22; CD79a; CXCR5; HLA- DOB; P2X5; CD72; LY64; FcRHl; IRTA2; TENB2; PMEL17; TMEFF1; GDNF-Ral;
Ly6E; TMEM46; Ly6G6D; LGR5; RET; LY6K; GPR19; GPR54; ASPHD1; Tyrosinase; TMEM118; GPR172A; MUC16 and CD33.
36. A pharmaceutical formulation, comprising an ADC of any one of claims 23 to 35, or pharmaceutically acceptable salt thereof, and a pharmaceutically acceptable excipient.
37. A compound of formula (I),
Figure imgf000120_0001
or a pharmaceutically acceptable salt thereof, wherein:
(i) each of X1, X2, X3, and X4 is N; and zero to two of X5, X6, X7, and X8 is N, and the remainder are CH; or
(ii) each of X5, X6, X7, and X8 is N; and zero to two of X1, X2, X3, and X4 is N, and the remainder are CH;
RA and RB are independently Ci-C6alkyl or C i-Ghaloalkyl, or together with the nitrogen to which they are attached form a 3-7 membered saturated heterocyclyl, wherein the heterocyclyl comprises one or two heteroatoms independently selected from O and N, and wherein the heterocyclyl is unsubstituted or substituted with one to three substituents independently selected from the group consisting of halo, -OH, Ci-Cealkoxy, and Ci- Cehaloalkoxy; each R1 is independently selected from the group consisting of halo, Ci-C6alkyl, Ci- Cehaloalkyl, -OH, Ci-C6alkoxy, Ci-Ghaloalkoxy, and -NRlaRlb; wherein each Rla and Rlb is independently H, Ci-C6alkyl, or Ci-Ghaloalkyl;
R2 is H, halo, Ci-C6alkyl, Ci-Cehaloalkyl, -OH, Ci-C6alkoxy, Ci-Ghaloalkoxy, -NR2aR2b, -SR2c, heterocycloalkyl, or phenyl, wherein the phenyl is unsubstituted or substituted with one or more substituents independently selected from the group consisting of halo, -OH, Ci-C6alkoxy, Ci-Ghaloalkoxy, and -NR2dR2e; wherein each R2a, R2b, R2c, R2d, and R2e is independently H, Ci-Galkyl, or Ci-Ghaloalkyl; m is 0, 1, or 2; and n is 1, 2, or 3; wherein when each of X1, X2, X3, and X4 is N; each of X5, X6, X7, and X8 is CH; m is 0; and RA and RB are both methyl; then n is 1.
38. The compound of claim 37, or a pharmaceutically acceptable salt thereof, wherein n is 1 or 2.
39. The compound of claim 37 or 38, or a pharmaceutically acceptable salt thereof, wherein RA and RB are independently Ci-C2alkyl; or together with the nitrogen to which they are attached form a 3-6 membered saturated heterocycle comprising one or two N, wherein the heterocycle is unsubstituted or substituted with one to three halo.
40. The compound of any one of claims 37 to 39, or a pharmaceutically acceptable salt thereof, wherein RA and RB together with the nitrogen atom to which they are attached form piperidine, unsubstituted or substituted with one to three halo.
41. The compound of any one of claims 37 to 40, or a pharmaceutically acceptable salt thereof, wherein m is 0 or 1.
42. The compound of any one of claims 37 to 41, or a pharmaceutically acceptable salt thereof, wherein each R1 is independently selected from the group consisting of fluoro, methyl, halomethyl, -OH, methoxy, or -NH2.
43. The compound of any one of claims 37 to 42, or a pharmaceutically acceptable salt thereof, wherein R2 is -OH, -NH2, -NH(Ci-C3alkyl), Ci-C3haloalkyl, -S(Ci-Cealkyl), piperidine, or phenyl, wherein the phenyl is unsubstituted or substituted with -OH or -NH2.
44. The compound of any one of claims 37 to 43, wherein each of X5, X6, X7, and X8 is N.
45. The compound of any one of claims 37 to 43, wherein each of X1, X2, X3, and X4 is N; n is 2; and RA and RB together with the nitrogen to which they are attached form a 3-6 membered saturated heterocycle comprising one or two N, wherein the heterocycle is unsubstituted or substituted.
46. The compound of claim 37, or a pharmaceutically acceptable salt thereof, wherein the compound of formula (I) is a compound of formula (II)
Figure imgf000122_0001
or a pharmaceutically acceptable salt thereof, wherein RA, RB, L, R1, R2, and n are as defined for formula (I).
47. The compound of any one of claims 37 to 46, wherein the compound is a compound of List 1, or a pharmaceutically acceptable salt thereof.
48. A pharmaceutical composition, comprising a compound of any one of claims 37 to 47, or a pharmaceutically acceptable salt thereof, and a pharmaceutically acceptable excipient.
PCT/US2022/0206742021-03-192022-03-17Methods and compositions for time delayed bio-orthogonal release of cytotoxic agentsCeasedWO2022197877A1 (en)

Applications Claiming Priority (2)

Application NumberPriority DateFiling DateTitle
US202163163249P2021-03-192021-03-19
US63/163,2492021-03-19

Publications (1)

Publication NumberPublication Date
WO2022197877A1true WO2022197877A1 (en)2022-09-22

Family

ID=81346144

Family Applications (1)

Application NumberTitlePriority DateFiling Date
PCT/US2022/020674CeasedWO2022197877A1 (en)2021-03-192022-03-17Methods and compositions for time delayed bio-orthogonal release of cytotoxic agents

Country Status (1)

CountryLink
WO (1)WO2022197877A1 (en)

Cited By (1)

* Cited by examiner, † Cited by third party
Publication numberPriority datePublication dateAssigneeTitle
WO2024235134A1 (en)*2023-05-122024-11-21四川科伦博泰生物医药股份有限公司Conjugate having targeting effect, and preparation method therefor and use thereof

Citations (93)

* Cited by examiner, † Cited by third party
Publication numberPriority datePublication dateAssigneeTitle
US4676980A (en)1985-09-231987-06-30The United States Of America As Represented By The Secretary Of The Department Of Health And Human ServicesTarget specific cross-linked heteroantibodies
US4816567A (en)1983-04-081989-03-28Genentech, Inc.Recombinant immunoglobin preparations
EP0404097A2 (en)1989-06-221990-12-27BEHRINGWERKE AktiengesellschaftBispecific and oligospecific, mono- and oligovalent receptors, production and applications thereof
WO1993001161A1 (en)1991-07-111993-01-21Pfizer LimitedProcess for preparing sertraline intermediates
WO1993008829A1 (en)1991-11-041993-05-13The Regents Of The University Of CaliforniaCompositions that mediate killing of hiv-infected cells
WO1993016185A2 (en)1992-02-061993-08-19Creative Biomolecules, Inc.Biosynthetic binding protein for cancer marker
WO1994029351A2 (en)1993-06-161994-12-22Celltech LimitedAntibodies
US5500362A (en)1987-01-081996-03-19Xoma CorporationChimeric antibody with specificity to human B cell surface antigen
WO1996027011A1 (en)1995-03-011996-09-06Genentech, Inc.A method for making heteromultimeric polypeptides
US5571894A (en)1991-02-051996-11-05Ciba-Geigy CorporationRecombinant antibodies specific for a growth factor receptor
US5587458A (en)1991-10-071996-12-24Aronex Pharmaceuticals, Inc.Anti-erbB-2 antibodies, combinations thereof, and therapeutic and diagnostic uses thereof
US5624821A (en)1987-03-181997-04-29Scotgen Biopharmaceuticals IncorporatedAntibodies with altered effector functions
US5648237A (en)1991-09-191997-07-15Genentech, Inc.Expression of functional antibody fragments
WO1997030087A1 (en)1996-02-161997-08-21Glaxo Group LimitedPreparation of glycosylated antibodies
US5750373A (en)1990-12-031998-05-12Genentech, Inc.Enrichment method for variant proteins having altered binding properties, M13 phagemids, and growth hormone variants
US5770429A (en)1990-08-291998-06-23Genpharm International, Inc.Transgenic non-human animals capable of producing heterologous antibodies
US5789199A (en)1994-11-031998-08-04Genentech, Inc.Process for bacterial production of polypeptides
US5807715A (en)1984-08-271998-09-15The Board Of Trustees Of The Leland Stanford Junior UniversityMethods and transformed mammalian lymphocyte cells for producing functional antigen-binding protein including chimeric immunoglobulin
US5821337A (en)1991-06-141998-10-13Genentech, Inc.Immunoglobulin variants
WO1998050431A2 (en)1997-05-021998-11-12Genentech, Inc.A method for making multispecific antibodies having heteromultimeric and common components
US5840523A (en)1995-03-011998-11-24Genetech, Inc.Methods and compositions for secretion of heterologous polypeptides
WO1998058964A1 (en)1997-06-241998-12-30Genentech, Inc.Methods and compositions for galactosylated glycoproteins
US5869046A (en)1995-04-141999-02-09Genentech, Inc.Altered polypeptides with increased half-life
WO1999022764A1 (en)1997-10-311999-05-14Genentech, Inc.Methods and compositions comprising glycoprotein glycoforms
US5959177A (en)1989-10-271999-09-28The Scripps Research InstituteTransgenic plants expressing assembled secretory antibodies
WO1999051642A1 (en)1998-04-021999-10-14Genentech, Inc.Antibody variants and fragments thereof
US6040498A (en)1998-08-112000-03-21North Caroline State UniversityGenetically engineered duckweed
US6075181A (en)1990-01-122000-06-13Abgenix, Inc.Human antibodies derived from immunized xenomice
WO2000061739A1 (en)1999-04-092000-10-19Kyowa Hakko Kogyo Co., Ltd.Method for controlling the activity of immunologically functional molecule
US6150584A (en)1990-01-122000-11-21Abgenix, Inc.Human antibodies derived from immunized xenomice
US6194551B1 (en)1998-04-022001-02-27Genentech, Inc.Polypeptide variants
US6214345B1 (en)1993-05-142001-04-10Bristol-Myers Squibb Co.Lysosomal enzyme-cleavable antitumor drug conjugates
WO2001029246A1 (en)1999-10-192001-04-26Kyowa Hakko Kogyo Co., Ltd.Process for producing polypeptide
US6248516B1 (en)1988-11-112001-06-19Medical Research CouncilSingle domain ligands, receptors comprising said ligands methods for their production, and use of said ligands and receptors
WO2002031140A1 (en)2000-10-062002-04-18Kyowa Hakko Kogyo Co., Ltd.Cells producing antibody compositions
US6420548B1 (en)1999-10-042002-07-16Medicago Inc.Method for regulating transcription of foreign genes
US20020164328A1 (en)2000-10-062002-11-07Toyohide ShinkawaProcess for purifying antibody
WO2003011878A2 (en)2001-08-032003-02-13Glycart Biotechnology AgAntibody glycosylation variants having increased antibody-dependent cellular cytotoxicity
US20030115614A1 (en)2000-10-062003-06-19Yutaka KandaAntibody composition-producing cell
US6602684B1 (en)1998-04-202003-08-05Glycart Biotechnology AgGlycosylation engineering of antibodies for improving antibody-dependent cellular cytotoxicity
US20030157108A1 (en)2001-10-252003-08-21Genentech, Inc.Glycoprotein compositions
WO2003084570A1 (en)2002-04-092003-10-16Kyowa Hakko Kogyo Co., Ltd.DRUG CONTAINING ANTIBODY COMPOSITION APPROPRIATE FOR PATIENT SUFFERING FROM FcϜRIIIa POLYMORPHISM
WO2003085119A1 (en)2002-04-092003-10-16Kyowa Hakko Kogyo Co., Ltd.METHOD OF ENHANCING ACTIVITY OF ANTIBODY COMPOSITION OF BINDING TO FcϜ RECEPTOR IIIa
WO2003085107A1 (en)2002-04-092003-10-16Kyowa Hakko Kogyo Co., Ltd.Cells with modified genome
US20040093621A1 (en)2001-12-252004-05-13Kyowa Hakko Kogyo Co., LtdAntibody composition which specifically binds to CD20
US6737056B1 (en)1999-01-152004-05-18Genentech, Inc.Polypeptide variants with altered effector function
US20040110282A1 (en)2002-04-092004-06-10Kyowa Hakko Kogyo Co., Ltd.Cells in which activity of the protein involved in transportation of GDP-fucose is reduced or lost
US20040109865A1 (en)2002-04-092004-06-10Kyowa Hakko Kogyo Co., Ltd.Antibody composition-containing medicament
WO2004056312A2 (en)2002-12-162004-07-08Genentech, Inc.Immunoglobulin variants and uses thereof
US20040132140A1 (en)2002-04-092004-07-08Kyowa Hakko Kogyo Co., Ltd.Production process for antibody composition
US20050014934A1 (en)2002-10-152005-01-20Hinton Paul R.Alteration of FcRn binding affinities or serum half-lives of antibodies by mutagenesis
US20050079574A1 (en)2003-01-162005-04-14Genentech, Inc.Synthetic antibody phage libraries
WO2005035778A1 (en)2003-10-092005-04-21Kyowa Hakko Kogyo Co., Ltd.PROCESS FOR PRODUCING ANTIBODY COMPOSITION BY USING RNA INHIBITING THE FUNCTION OF α1,6-FUCOSYLTRANSFERASE
WO2005035586A1 (en)2003-10-082005-04-21Kyowa Hakko Kogyo Co., Ltd.Fused protein composition
US20050119455A1 (en)2002-06-032005-06-02Genentech, Inc.Synthetic antibody phage libraries
US20050123546A1 (en)2003-11-052005-06-09Glycart Biotechnology AgAntigen binding molecules with increased Fc receptor binding affinity and effector function
WO2005053742A1 (en)2003-12-042005-06-16Kyowa Hakko Kogyo Co., Ltd.Medicine containing antibody composition
WO2005100402A1 (en)2004-04-132005-10-27F.Hoffmann-La Roche AgAnti-p-selectin antibodies
US20050266000A1 (en)2004-04-092005-12-01Genentech, Inc.Variable domain library and uses
US6982321B2 (en)1986-03-272006-01-03Medical Research CouncilAltered antibodies
US20060025576A1 (en)2000-04-112006-02-02Genentech, Inc.Multivalent antibodies and uses therefor
WO2006029879A2 (en)2004-09-172006-03-23F.Hoffmann-La Roche AgAnti-ox40l antibodies
US7041870B2 (en)2000-11-302006-05-09Medarex, Inc.Transgenic transchromosomal rodents for making human antibodies
US7087409B2 (en)1997-12-052006-08-08The Scripps Research InstituteHumanization of murine antibody
US7125978B1 (en)1999-10-042006-10-24Medicago Inc.Promoter for regulating expression of foreign genes
US7189826B2 (en)1997-11-242007-03-13Institute For Human Genetics And BiochemistryMonoclonal human natural antibodies
US20070061900A1 (en)2000-10-312007-03-15Murphy Andrew JMethods of modifying eukaryotic cells
US20070117126A1 (en)1999-12-152007-05-24Genentech, Inc.Shotgun scanning
US20070160598A1 (en)2005-11-072007-07-12Dennis Mark SBinding polypeptides with diversified and consensus vh/vl hypervariable sequences
US20070237764A1 (en)2005-12-022007-10-11Genentech, Inc.Binding polypeptides with restricted diversity sequences
US20070292936A1 (en)2006-05-092007-12-20Genentech, Inc.Binding polypeptides with optimized scaffolds
US20080069820A1 (en)2006-08-302008-03-20Genentech, Inc.Multispecific antibodies
US7371826B2 (en)1999-01-152008-05-13Genentech, Inc.Polypeptide variants with altered effector function
WO2008077546A1 (en)2006-12-222008-07-03F. Hoffmann-La Roche AgAntibodies against insulin-like growth factor i receptor and uses thereof
US20090002360A1 (en)2007-05-252009-01-01Innolux Display Corp.Liquid crystal display device and method for driving same
US7521541B2 (en)2004-09-232009-04-21Genetech Inc.Cysteine engineered antibodies and conjugates
WO2009052249A1 (en)2007-10-192009-04-23Genentech, Inc.Cysteine engineered anti-tenb2 antibodies and antibody drug conjugates
US7527791B2 (en)2004-03-312009-05-05Genentech, Inc.Humanized anti-TGF-beta antibodies
WO2009089004A1 (en)2008-01-072009-07-16Amgen Inc.Method for making antibody fc-heterodimeric molecules using electrostatic steering effects
US20090182127A1 (en)2006-06-222009-07-16Novo Nordisk A/SProduction of Bispecific Antibodies
US7723485B2 (en)2007-05-082010-05-25Genentech, Inc.Cysteine engineered anti-MUC16 antibodies and antibody drug conjugates
US20110287009A1 (en)2010-04-232011-11-24Genentech, Inc.Production of Heteromultimeric Proteins
WO2012106587A1 (en)2011-02-042012-08-09Genentech, Inc.Fc VARIANTS AND METHODS FOR THEIR PRODUCTION
WO2013055987A1 (en)2011-10-142013-04-18Spirogen SàrlPyrrolobenzodiazepines and conjugates thereof
WO2013177055A2 (en)2012-05-212013-11-28Genentech, Inc.ANTI-Ly6E ANTIBODIES AND IMMUNOCONJUGATES AND METHODS OF USE
US8697650B2 (en)2010-02-162014-04-15Medimmune, LlcHSA-related compositions and methods of use
US8969526B2 (en)2011-03-292015-03-03Roche Glycart AgAntibody Fc variants
WO2015095223A2 (en)2013-12-162015-06-25Genentech, Inc.Peptidomimetic compounds and antibody-drug conjugates thereof
US20160106859A1 (en)2011-05-162016-04-21Koninklijke Philips N.V.Bio-orthogonal drug activation
WO2019212357A1 (en)*2018-05-042019-11-07Tagworks Pharmaceuticals B.V.Compounds comprising a linker for increasing transcyclooctene stability
EP3622968A1 (en)2008-10-312020-03-18The General Hospital CorporationCompositions and methods for delivering a substance to a biological target
WO2020239039A1 (en)*2019-05-312020-12-03四川大学华西医院Method for preparing tetrazine compounds and application thereof
WO2020256544A1 (en)*2019-06-172020-12-24Tagworks Pharmaceuticals B.V.Tetrazines for high click release speed and yield

Patent Citations (99)

* Cited by examiner, † Cited by third party
Publication numberPriority datePublication dateAssigneeTitle
US4816567A (en)1983-04-081989-03-28Genentech, Inc.Recombinant immunoglobin preparations
US5807715A (en)1984-08-271998-09-15The Board Of Trustees Of The Leland Stanford Junior UniversityMethods and transformed mammalian lymphocyte cells for producing functional antigen-binding protein including chimeric immunoglobulin
US4676980A (en)1985-09-231987-06-30The United States Of America As Represented By The Secretary Of The Department Of Health And Human ServicesTarget specific cross-linked heteroantibodies
US6982321B2 (en)1986-03-272006-01-03Medical Research CouncilAltered antibodies
US5500362A (en)1987-01-081996-03-19Xoma CorporationChimeric antibody with specificity to human B cell surface antigen
US5648260A (en)1987-03-181997-07-15Scotgen Biopharmaceuticals IncorporatedDNA encoding antibodies with altered effector functions
US5624821A (en)1987-03-181997-04-29Scotgen Biopharmaceuticals IncorporatedAntibodies with altered effector functions
US6248516B1 (en)1988-11-112001-06-19Medical Research CouncilSingle domain ligands, receptors comprising said ligands methods for their production, and use of said ligands and receptors
EP0404097A2 (en)1989-06-221990-12-27BEHRINGWERKE AktiengesellschaftBispecific and oligospecific, mono- and oligovalent receptors, production and applications thereof
US5959177A (en)1989-10-271999-09-28The Scripps Research InstituteTransgenic plants expressing assembled secretory antibodies
US6417429B1 (en)1989-10-272002-07-09The Scripps Research InstituteTransgenic plants expressing assembled secretory antibodies
US6075181A (en)1990-01-122000-06-13Abgenix, Inc.Human antibodies derived from immunized xenomice
US6150584A (en)1990-01-122000-11-21Abgenix, Inc.Human antibodies derived from immunized xenomice
US5770429A (en)1990-08-291998-06-23Genpharm International, Inc.Transgenic non-human animals capable of producing heterologous antibodies
US5750373A (en)1990-12-031998-05-12Genentech, Inc.Enrichment method for variant proteins having altered binding properties, M13 phagemids, and growth hormone variants
US5571894A (en)1991-02-051996-11-05Ciba-Geigy CorporationRecombinant antibodies specific for a growth factor receptor
US5821337A (en)1991-06-141998-10-13Genentech, Inc.Immunoglobulin variants
WO1993001161A1 (en)1991-07-111993-01-21Pfizer LimitedProcess for preparing sertraline intermediates
US5648237A (en)1991-09-191997-07-15Genentech, Inc.Expression of functional antibody fragments
US5587458A (en)1991-10-071996-12-24Aronex Pharmaceuticals, Inc.Anti-erbB-2 antibodies, combinations thereof, and therapeutic and diagnostic uses thereof
WO1993008829A1 (en)1991-11-041993-05-13The Regents Of The University Of CaliforniaCompositions that mediate killing of hiv-infected cells
WO1993016185A2 (en)1992-02-061993-08-19Creative Biomolecules, Inc.Biosynthetic binding protein for cancer marker
US6214345B1 (en)1993-05-142001-04-10Bristol-Myers Squibb Co.Lysosomal enzyme-cleavable antitumor drug conjugates
WO1994029351A2 (en)1993-06-161994-12-22Celltech LimitedAntibodies
US5789199A (en)1994-11-031998-08-04Genentech, Inc.Process for bacterial production of polypeptides
WO1996027011A1 (en)1995-03-011996-09-06Genentech, Inc.A method for making heteromultimeric polypeptides
US5731168A (en)1995-03-011998-03-24Genentech, Inc.Method for making heteromultimeric polypeptides
US5840523A (en)1995-03-011998-11-24Genetech, Inc.Methods and compositions for secretion of heterologous polypeptides
US5869046A (en)1995-04-141999-02-09Genentech, Inc.Altered polypeptides with increased half-life
WO1997030087A1 (en)1996-02-161997-08-21Glaxo Group LimitedPreparation of glycosylated antibodies
WO1998050431A2 (en)1997-05-021998-11-12Genentech, Inc.A method for making multispecific antibodies having heteromultimeric and common components
US20070178552A1 (en)1997-05-022007-08-02Genentech, Inc.Method for Making Multispecific Antibodies Having Heteromultimeric and Common Components
WO1998058964A1 (en)1997-06-241998-12-30Genentech, Inc.Methods and compositions for galactosylated glycoproteins
WO1999022764A1 (en)1997-10-311999-05-14Genentech, Inc.Methods and compositions comprising glycoprotein glycoforms
US7189826B2 (en)1997-11-242007-03-13Institute For Human Genetics And BiochemistryMonoclonal human natural antibodies
US7087409B2 (en)1997-12-052006-08-08The Scripps Research InstituteHumanization of murine antibody
US6194551B1 (en)1998-04-022001-02-27Genentech, Inc.Polypeptide variants
WO1999051642A1 (en)1998-04-021999-10-14Genentech, Inc.Antibody variants and fragments thereof
US6602684B1 (en)1998-04-202003-08-05Glycart Biotechnology AgGlycosylation engineering of antibodies for improving antibody-dependent cellular cytotoxicity
US6040498A (en)1998-08-112000-03-21North Caroline State UniversityGenetically engineered duckweed
US7371826B2 (en)1999-01-152008-05-13Genentech, Inc.Polypeptide variants with altered effector function
US7332581B2 (en)1999-01-152008-02-19Genentech, Inc.Polypeptide variants with altered effector function
US6737056B1 (en)1999-01-152004-05-18Genentech, Inc.Polypeptide variants with altered effector function
WO2000061739A1 (en)1999-04-092000-10-19Kyowa Hakko Kogyo Co., Ltd.Method for controlling the activity of immunologically functional molecule
US7125978B1 (en)1999-10-042006-10-24Medicago Inc.Promoter for regulating expression of foreign genes
US6420548B1 (en)1999-10-042002-07-16Medicago Inc.Method for regulating transcription of foreign genes
WO2001029246A1 (en)1999-10-192001-04-26Kyowa Hakko Kogyo Co., Ltd.Process for producing polypeptide
US20070117126A1 (en)1999-12-152007-05-24Genentech, Inc.Shotgun scanning
US20060025576A1 (en)2000-04-112006-02-02Genentech, Inc.Multivalent antibodies and uses therefor
US20030115614A1 (en)2000-10-062003-06-19Yutaka KandaAntibody composition-producing cell
US20020164328A1 (en)2000-10-062002-11-07Toyohide ShinkawaProcess for purifying antibody
WO2002031140A1 (en)2000-10-062002-04-18Kyowa Hakko Kogyo Co., Ltd.Cells producing antibody compositions
US20070061900A1 (en)2000-10-312007-03-15Murphy Andrew JMethods of modifying eukaryotic cells
US7041870B2 (en)2000-11-302006-05-09Medarex, Inc.Transgenic transchromosomal rodents for making human antibodies
WO2003011878A2 (en)2001-08-032003-02-13Glycart Biotechnology AgAntibody glycosylation variants having increased antibody-dependent cellular cytotoxicity
US20030157108A1 (en)2001-10-252003-08-21Genentech, Inc.Glycoprotein compositions
US20040093621A1 (en)2001-12-252004-05-13Kyowa Hakko Kogyo Co., LtdAntibody composition which specifically binds to CD20
WO2003085107A1 (en)2002-04-092003-10-16Kyowa Hakko Kogyo Co., Ltd.Cells with modified genome
WO2003085119A1 (en)2002-04-092003-10-16Kyowa Hakko Kogyo Co., Ltd.METHOD OF ENHANCING ACTIVITY OF ANTIBODY COMPOSITION OF BINDING TO FcϜ RECEPTOR IIIa
US20040110282A1 (en)2002-04-092004-06-10Kyowa Hakko Kogyo Co., Ltd.Cells in which activity of the protein involved in transportation of GDP-fucose is reduced or lost
US20040109865A1 (en)2002-04-092004-06-10Kyowa Hakko Kogyo Co., Ltd.Antibody composition-containing medicament
WO2003084570A1 (en)2002-04-092003-10-16Kyowa Hakko Kogyo Co., Ltd.DRUG CONTAINING ANTIBODY COMPOSITION APPROPRIATE FOR PATIENT SUFFERING FROM FcϜRIIIa POLYMORPHISM
US20040110704A1 (en)2002-04-092004-06-10Kyowa Hakko Kogyo Co., Ltd.Cells of which genome is modified
US20040132140A1 (en)2002-04-092004-07-08Kyowa Hakko Kogyo Co., Ltd.Production process for antibody composition
US20050119455A1 (en)2002-06-032005-06-02Genentech, Inc.Synthetic antibody phage libraries
US20050014934A1 (en)2002-10-152005-01-20Hinton Paul R.Alteration of FcRn binding affinities or serum half-lives of antibodies by mutagenesis
WO2004056312A2 (en)2002-12-162004-07-08Genentech, Inc.Immunoglobulin variants and uses thereof
US20050079574A1 (en)2003-01-162005-04-14Genentech, Inc.Synthetic antibody phage libraries
WO2005035586A1 (en)2003-10-082005-04-21Kyowa Hakko Kogyo Co., Ltd.Fused protein composition
WO2005035778A1 (en)2003-10-092005-04-21Kyowa Hakko Kogyo Co., Ltd.PROCESS FOR PRODUCING ANTIBODY COMPOSITION BY USING RNA INHIBITING THE FUNCTION OF α1,6-FUCOSYLTRANSFERASE
US20050123546A1 (en)2003-11-052005-06-09Glycart Biotechnology AgAntigen binding molecules with increased Fc receptor binding affinity and effector function
WO2005053742A1 (en)2003-12-042005-06-16Kyowa Hakko Kogyo Co., Ltd.Medicine containing antibody composition
US7527791B2 (en)2004-03-312009-05-05Genentech, Inc.Humanized anti-TGF-beta antibodies
US20050266000A1 (en)2004-04-092005-12-01Genentech, Inc.Variable domain library and uses
WO2005100402A1 (en)2004-04-132005-10-27F.Hoffmann-La Roche AgAnti-p-selectin antibodies
WO2006029879A2 (en)2004-09-172006-03-23F.Hoffmann-La Roche AgAnti-ox40l antibodies
US7521541B2 (en)2004-09-232009-04-21Genetech Inc.Cysteine engineered antibodies and conjugates
US20070160598A1 (en)2005-11-072007-07-12Dennis Mark SBinding polypeptides with diversified and consensus vh/vl hypervariable sequences
US20070237764A1 (en)2005-12-022007-10-11Genentech, Inc.Binding polypeptides with restricted diversity sequences
US20070292936A1 (en)2006-05-092007-12-20Genentech, Inc.Binding polypeptides with optimized scaffolds
US20090182127A1 (en)2006-06-222009-07-16Novo Nordisk A/SProduction of Bispecific Antibodies
US20080069820A1 (en)2006-08-302008-03-20Genentech, Inc.Multispecific antibodies
WO2008077546A1 (en)2006-12-222008-07-03F. Hoffmann-La Roche AgAntibodies against insulin-like growth factor i receptor and uses thereof
US7723485B2 (en)2007-05-082010-05-25Genentech, Inc.Cysteine engineered anti-MUC16 antibodies and antibody drug conjugates
US20090002360A1 (en)2007-05-252009-01-01Innolux Display Corp.Liquid crystal display device and method for driving same
WO2009052249A1 (en)2007-10-192009-04-23Genentech, Inc.Cysteine engineered anti-tenb2 antibodies and antibody drug conjugates
WO2009089004A1 (en)2008-01-072009-07-16Amgen Inc.Method for making antibody fc-heterodimeric molecules using electrostatic steering effects
EP3622968A1 (en)2008-10-312020-03-18The General Hospital CorporationCompositions and methods for delivering a substance to a biological target
US8697650B2 (en)2010-02-162014-04-15Medimmune, LlcHSA-related compositions and methods of use
US20110287009A1 (en)2010-04-232011-11-24Genentech, Inc.Production of Heteromultimeric Proteins
WO2012106587A1 (en)2011-02-042012-08-09Genentech, Inc.Fc VARIANTS AND METHODS FOR THEIR PRODUCTION
US8969526B2 (en)2011-03-292015-03-03Roche Glycart AgAntibody Fc variants
US20160106859A1 (en)2011-05-162016-04-21Koninklijke Philips N.V.Bio-orthogonal drug activation
WO2013055987A1 (en)2011-10-142013-04-18Spirogen SàrlPyrrolobenzodiazepines and conjugates thereof
WO2013177055A2 (en)2012-05-212013-11-28Genentech, Inc.ANTI-Ly6E ANTIBODIES AND IMMUNOCONJUGATES AND METHODS OF USE
WO2015095223A2 (en)2013-12-162015-06-25Genentech, Inc.Peptidomimetic compounds and antibody-drug conjugates thereof
WO2019212357A1 (en)*2018-05-042019-11-07Tagworks Pharmaceuticals B.V.Compounds comprising a linker for increasing transcyclooctene stability
WO2020239039A1 (en)*2019-05-312020-12-03四川大学华西医院Method for preparing tetrazine compounds and application thereof
WO2020256544A1 (en)*2019-06-172020-12-24Tagworks Pharmaceuticals B.V.Tetrazines for high click release speed and yield

Non-Patent Citations (95)

* Cited by examiner, † Cited by third party
Title
ADHIKARI, P.ZACHARIAS, N.OHRI, R.SADOWSKY, J.: "Site-Specific Conjugation to Cys-Engineered THIOMABTM Antibodies", METHODS MOL BIOLOGY CLIFTON N J, vol. 2078, 2020, pages 51 - 69
ALMAGROFRANSSON, FRONT. BIOSCI., vol. 13, 2008, pages 1619 - 1633
ANGEW. CHEM. INT. ED., vol. 51, 2012, pages 5222 - 5225
ANGEWANDTE CHEMIE INT ED, vol. 52, 2013, pages 14112 - 14116
AUSUBEL ET AL.: "Current Protocols in Molecular Biology", 1993, GREENE PUBLISHING AND WILEY-INTERSCIENCE
BACA ET AL., J. BIOL. CHEM., vol. 272, 1997, pages 10678 - 10684
BOERNER ET AL., J. IMMUNOL., vol. 147, 1991, pages 60
BRENNAN ET AL., SCIENCE, vol. 229, 1985, pages 81
BRUGGEMANN, M. ET AL., J. EXP. MED., vol. 166, 1987, pages 1351 - 1361
CARLSON, J. C. T.MIKULA, H.WEISSLEDER, R.: "Unraveling Tetrazine-Triggered Bioorthogonal Elimination Enables Chemical Tools for Ultrafast Release and Universal Cleavage", JAM CHEM SOC, vol. 140, 2018, pages 3603 - 3612, XP055725869, DOI: 10.1021/jacs.7b11217
CARTER ET AL., PROC. NATL. ACAD. SCI. USA, vol. 89, 1992, pages 4285
CHEN ET AL., J. MOL. BIOL., vol. 293, 1999, pages 865 - 881
CHUH, J. D. C. ET AL.: "Preclinical optimization of Ly6E-targeted ADCs for increased durability and efficacy of anti-tumor response", MABS, vol. 13, 2020, pages 1862452
CLACKSON ET AL., NATURE, vol. 352, 1991, pages 624 - 628
CLYNES ET AL., PROC. NAT'L ACAD. SCI. USA, vol. 95, 1998, pages 652 - 656
CRAGG, M.S. ET AL., BLOOD, vol. 101, 2003, pages 1045 - 1052
CRAGG, M.S.M.J. GLENNIE, BLOOD, vol. 103, 2004, pages 2738 - 2743
DALL'ACQUA ET AL., JOURNAL OF BIOLOGICAL CHEMISTRY, vol. 281, no. 33, 2006, pages 23514 - 23524
DALL'ACQUA ET AL., METHODS, vol. 36, 2005, pages 61 - 68
DORNAN ET AL., BLOOD, vol. 114, no. 13, 2009, pages 2721 - 2729
FAN, X. ET AL., ANGEWANDTE CHEMIE INT ED, vol. 55, 2016, pages 14046 - 14050
FELLOUSE, PROC. NATL. ACAD. SCI. USA, vol. 101, no. 34, 2004, pages 12467 - 12472
GAZZANO-SANTORO ET AL., J. IMMUNOL. METHODS, vol. 202, 1996, pages 163
GERNGROSS, NAT. BIOTECH., vol. 22, 2004, pages 1409 - 1414
GRAHAM ET AL., J. GEN VIROL., vol. 36, 1977, pages 59
GRIFFITHS ET AL., EMBO J, vol. 12, 1993, pages 725 - 734
GRUBER ET AL., J. IMMUNOL., vol. 152, 1994, pages 5368
GUYER ET AL., J. IMMUNOL., vol. 117, 1976, pages 587
HELLSTROM, I ET AL., PROC. NAT'L ACAD. SCI. USA, vol. 82, 1985, pages 1499 - 1502
HELLSTROM, I. ET AL., PROC. NAT'L ACAD. SCI. USA, vol. 83, 1986, pages 7059 - 7063
HETEROCYCL. COMMUN., vol. 19, 2013, pages 171 - 177
HOLLINGER ET AL., PROC. NATL. ACAD. SCI. USA, vol. 90, 1993, pages 6444 - 6448
HOOGENBOOMWINTER, J. MOL. BIOL., vol. 227, 1992, pages 381 - 388
HUDSON ET AL., NAT. MED., vol. 248, 2003, pages 129 - 134
IDUSOGIE ET AL., J. IMMUNOL., vol. 164, 2000, pages 4178 - 4184
JUNUTULA ET AL., JOUR OF IMMUN. METHODS, vol. 332, 2008, pages 41 - 52
JUNUTULA ET AL., NATURE BIOTECH., vol. 26, no. 8, 2008, pages 925 - 932
KAM ET AL., PROC. NATL. ACAD. SCI. USA, vol. 102, 2005, pages 11600 - 11605
KANDA, Y. ET AL., BIOTECHNOL. BIOENG., vol. 94, no. 4, 2006, pages 680 - 688
KAUFMANN, A. M.KRISE, J. P.: "Lysosomal sequestration of amine-containing drugs: Analysis and therapeutic implications", JPHARM SCI, vol. 96, 2007, pages 729 - 746
KLIMKA ET AL., BR. J. CANCER, vol. 83, 2000, pages 252 - 260
KOHLER ET AL., NATURE, vol. 256, 1975, pages 495
KONTERMANN, ACTA PHARMACOL. SIN., vol. 26, no. 6, 2005, pages 649 - 658
KOSTELNY ET AL., J. IMMUNOL., vol. 148, no. 5, 1992, pages 1547 - 1553
KOZBO, J. IMMUNOL., vol. 133, 1984, pages 3001
LEE ET AL., J. IMMUNOL. METHODS, vol. 284, no. 1-2, 2004, pages 119 - 132
LI ET AL., NAT. BIOTECH., vol. 24, 2006, pages 210 - 215
LI ET AL., PROC. NATL. ACAD. SCI. USA, vol. 103, 2006, pages 3557 - 3562
LONBERG, CURR. OPIN. IMMUNOL., vol. 20, 2008, pages 450 - 459
LONBERG, NAT. BIOTECH., vol. 23, 2005, pages 1117 - 1125
MAO ET AL., PROC. NATL. ACAD. SCI. U.S.A., vol. 93, 1996, pages 5910 - 5914
MAO WUYU ET AL: "Organocatalytic and Scalable Syntheses of Unsymmetrical 1,2,4,5-Tetrazines by Thiol-Containing Promotors", ANGEWANDTE CHEMIE INTERNATIONAL EDITION, vol. 58, no. 4, 21 January 2019 (2019-01-21), pages 1106 - 1109, XP055921139, ISSN: 1433-7851, Retrieved from the Internet <URL:https://onlinelibrary.wiley.com/doi/full-xml/10.1002/anie.201812550> DOI: 10.1002/anie.201812550*
MARKS ET AL., J. MOL. BIOL., vol. 222, 1991, pages 581 - 597
MATHER ET AL., ANNALS N.Y. ACAD. SCI., vol. 383, 1982, pages 44 - 68
MATHER, BIOL. REPROD., vol. 23, 1980, pages 243 - 251
MCCAFFERTY ET AL., NATURE, vol. 322, 1988, pages 738 - 329
MILLER ET AL., JOUR. OF IMMUNOLOGY, vol. 170, 2003, pages 4854 - 4861
MILSTEINCUELLO, NATURE, vol. 305, 1983, pages 537
MORRISON ET AL., PROC. NATL. ACAD. SCI. USA, vol. 81, 1984, pages 6851 - 6855
NADANACIVA, S. ET AL.: "A high content screening assay for identifying lysosomotropic compounds", TOXICOL IN VITRO, vol. 25, 2011, pages 715 - 723, XP055279409, DOI: 10.1016/j.tiv.2010.12.010
NI, XIANDAI MIANYIXUE, vol. 26, no. 4, 2006, pages 265 - 268
NICOLAOU ET AL., ANGEW. CHEM INTL. ED. ENGL., vol. 33, 1994, pages 183 - 186
OKAZAKI ET AL., J. MOL. BIOL., vol. 336, no. 5, 2004, pages 1239 - 1249
OLAFSEN ET AL., PROTEIN ENG. DESIGN & SEL., vol. 17, no. 4, 2004, pages 315 - 323
ORGANIC LETTERS, 2017, pages 5693 - 5696
PADLAN, MOL. IMMUNOL., vol. 28, 1991, pages 489 - 498
PETKOVA, S.B. ET AL., INT'L. IMMUNOL., vol. 18, no. 12, 2006, pages 1759 - 1769
PLUCKTHUN: "The Pharmacology of Monoclonal Antibodies", vol. 113, 1994, SPRINGER-VERLAG, pages: 269 - 315
PRESS, O. W. ET AL.: "Comparative metabolism and retention of iodine-125, yttrium-90, and indium-111 radioimmunoconjugates by cancer cells", CANCER RES, vol. 56, 1996, pages 2123 - 9
PRESTA ET AL., CANCER RES., vol. 57, 1997, pages 4593 - 4599
PRESTA ET AL., J. IMMUNOL., vol. 151, 1993, pages 2623
QUEEN ET AL., PROC. NAT'L ACAD. SCI. USA, vol. 86, 1989, pages 10029 - 10033
RAVETCHKINET, ANNU. REV. IMMUNOL., vol. 9, 1991, pages 457 - 492
RIPKA ET AL., ARCH. BIOCHEM. BIOPHYS., vol. 249, 1986, pages 533 - 545
ROSOK ET AL., J. BIOL. CHEM., vol. 271, 1996, pages 22611 - 22618
ROSSIN RAFFAELLA ET AL: "Chemically triggered drug release from an antibody-drug conjugate leads to potent antitumour activity in mice", NATURE COMMUNICATIONS, vol. 9, no. 1, 4 May 2018 (2018-05-04), XP055928553, Retrieved from the Internet <URL:http://www.nature.com/articles/s41467-018-03880-y.pdf> DOI: 10.1038/s41467-018-03880-y*
SAMBROOK ET AL.: "Molecular Cloning, A Laboratory Manual", 1989, COLD SPRING HARBOR LABORATORY PRESS
SARRIS, A. J. ET AL., CHEM WEINHEIM DER BERGSTRASSE GER, vol. 24, 2018, pages 18075 - 18081
SARRIS, A. J. ET AL.: "Fast and pH independent elimination of trans-cyclooctene using aminoethyl functionalized tetrazines", CHEM WEINHEIM DER BERGSTRASSE GER, vol. 24, 2018, pages 18075 - 18081
SHEN ET AL., NATURE BIOTECH., vol. 30, no. 2, 2012, pages 184 - 191
SHIELDS ET AL., J. BIOL. CHEM., vol. 9, no. 2, 2001, pages 6591 - 6604
SONDERMANN ET AL., NATURE, vol. 406, 20 July 2000 (2000-07-20), pages 267 - 273
SYNLETT, 2007, pages 204 - 210
TRAUNECKER ET AL., EMBO J., vol. 10, 1991, pages 3655
URLAUB ET AL., PROC. NATL. ACAD. SCI. USA, vol. 77, 1980, pages 4216
VAN DIJKVAN DE WINKEL, CURR. OPIN. PHARMACOL., vol. 5, 2001, pages 368 - 74
VOLLMERSBRANDLEIN, HISTOLOGY AND HISTOPATHOLOGY, vol. 20, no. 3, 2005, pages 927 - 937
VOLLMERSBRANDLEIN, METHODS AND FINDINGS IN EXPERIMENTAL AND CLINICAL PHARMACOLOGY, vol. 27, no. 3, 2005, pages 185 - 91
WINTER ET AL., ANN. REV. IMMUNOL., vol. 12, 1994, pages 433 - 455
WRIGHT ET AL., TIBTECH, vol. 15, 1997, pages 26 - 32
WU ET AL., NATURE BIOTECHNOLOGY, 2007
XU, K. ET AL.: "Characterization of intact antibody-drug conjugates from plasma/serum in vivo by affinity capture capillary liquid chromatography-mass spectrometry", ANAL BIOCHEM, vol. 412, 2011, pages 56 - 66
YAMANE-OHNUKI ET AL., BIOTECH. BIOENG., vol. 87, 2004, pages 614
YAZAKIWU: "Methods in Molecular Biology", vol. 248, 2003, HUMANA PRESS, pages: 255 - 268
ZHU ET AL., PROTEIN SCIENCE, vol. 6, 1997, pages 781 - 788

Cited By (1)

* Cited by examiner, † Cited by third party
Publication numberPriority datePublication dateAssigneeTitle
WO2024235134A1 (en)*2023-05-122024-11-21四川科伦博泰生物医药股份有限公司Conjugate having targeting effect, and preparation method therefor and use thereof

Similar Documents

PublicationPublication DateTitle
JP7705809B2 (en) Dosage of antibody drug conjugate
JP7663514B2 (en) MCL-1 INHIBITOR ANTIBODY-DRUG CONJUGATES AND METHODS OF USE - Patent application
CA2996902C (en)Pyrrolobenzodiazepine antibody drug conjugates and methods of use
CN106432496B (en)anti-CD 79B antibodies and immunoconjugates and methods of use
US20210371413A1 (en)Polycyclic amides as cytotoxic agents
CN104540524A (en)Immunoconjugates comprising anti-CD22 antibodies
US10017577B2 (en)Antibodies and immunoconjugates
JP7708662B2 (en) Conjugated chemical degraders and methods of use
HK1208685A1 (en)Anti-cd79b antibodies and immunoconjugates and methods of use
NZ775959A (en)Anti-ctla4 antibodies, antibody fragments, their immunoconjugates and uses thereof
KR20200107837A (en)Antibody-drug conjugate comprising antibody binding to antibody against human DLK1 and its use
JP2022515885A (en) Compounds containing cleavable linkers and their use
WO2022197877A1 (en)Methods and compositions for time delayed bio-orthogonal release of cytotoxic agents
EP4188927A1 (en)Cytotoxic agents
WO2018054353A1 (en)Anti-globo h antibodies
US12440706B2 (en)Conjugated chemical inducers of degradation and methods of use
RU2801630C2 (en)Antibody-drug conjugates including antibody against human dlk1 and their use
WO2025162493A1 (en)Anti-nectin-4 antibody/ligand-drug conjugate and use thereof
WO2024127333A1 (en)Cytotoxic compounds
WO2024206118A1 (en)Nuclear localization polypeptides and conjugates and uses thereof
CN119855616A (en)Antibody-drug conjugates comprising anti-FOLR 1 antibodies
HK1233668A (en)Anti-cd79b antibodies and immunoconjugates and methods of use
HK1233668A1 (en)Anti-cd79b antibodies and immunoconjugates and methods of use
HK1197246B (en)Anti-cd79b antibodies and immunoconjugates and methods of use
HK1171236B (en)Anti-fcrh5 antibodies and immunoconjugates and methods of use

Legal Events

DateCodeTitleDescription
121Ep: the epo has been informed by wipo that ep was designated in this application

Ref document number:22717964

Country of ref document:EP

Kind code of ref document:A1

NENPNon-entry into the national phase

Ref country code:DE

122Ep: pct application non-entry in european phase

Ref document number:22717964

Country of ref document:EP

Kind code of ref document:A1


[8]ページ先頭

©2009-2025 Movatter.jp