


交叉引用cross reference
本申请要求于2021年02月18日提交中国国家知识产权局、申请号为202110190108.1、公开名称“基于多相机的裸手追踪显示方法、装置及系统”的中国专利申请的优先权,其全部内容通过引用结合在本申请中。This application claims the priority of the Chinese patent application with the application number of 202110190108.1 and the public title of "Method, Device and System for Bare-Hand Tracking and Display Based on Multi-Camera", which was filed with the State Intellectual Property Office of China on February 18, 2021, and its entire contents Incorporated herein by reference.
本申请涉及图像检测技术领域,更为具体地,涉及一种基于多相机的裸手追踪显示方法、装置及系统。The present application relates to the technical field of image detection, and more particularly, to a method, device and system for bare-hand tracking display based on multiple cameras.
目前,VR/AR/MR一体机设备越来越多的进入到人们生活中,其主要的应用场景是当用户进行VR/AR/MR场景交互时,通过头戴上的多目追踪摄像头自动识别跟踪用户手一些行为轨迹信息,并通过手的一些行为轨迹检测手势指令,然后作为人造虚拟现实系统的输入信息,和虚拟场景进行交互。At present, more and more VR/AR/MR all-in-one devices have entered people's lives. The main application scenario is that when users interact with VR/AR/MR scenes, the multi-tracking camera on the head will automatically identify them. Track some behavioral trajectory information of the user's hand, and detect gesture commands through some behavioral trajectories of the hand, and then use it as the input information of the artificial virtual reality system to interact with the virtual scene.
其中,手势识别在VR/AR/MR领域非常关键,特别是在VR虚拟游戏交互中,对精度、延时和环境的兼容稳定性要求比较高,目前在VR/AR/MR领域的手势识别中,大都停留在通过红外双目相机,或者深度相机实现,例如,占据主流地位的Inside-Out追踪方案,即通过头戴上一个或者二个及以上的可见光Camera通过实时追踪和感知外部环境,而且实时估计头戴在空间中的位置和姿态信息,进行手势识别。一般为了提高头戴的位置和姿态信息估计的准确度,主流方案是通过2个或者多个可见光Camera实时追踪头部位姿进行实时高进度追踪。Among them, gesture recognition is very critical in the field of VR/AR/MR, especially in VR virtual game interaction, which requires high accuracy, delay, and compatibility and stability of the environment. Currently, gesture recognition in the field of VR/AR/MR has high requirements , most of them are implemented through infrared binocular cameras or depth cameras. For example, the mainstream Inside-Out tracking solution is to track and perceive the external environment in real time by wearing one or two or more visible light cameras on the head. Real-time estimation of the position and posture information of the headset in space for gesture recognition. Generally, in order to improve the accuracy of the estimation of the position and attitude information of the headset, the mainstream solution is to use two or more visible light cameras to track the head pose in real time for real-time high-progress tracking.
可知,现有的头戴一体机需要额外增加手势识别追踪器,目前主要是单独添加2个红外双目相机,或者深度相机来实现手指追踪,但是在VR/AR/MR领域,这样会带来几个关键问题:It can be seen that the existing head-mounted all-in-one machine needs an additional gesture recognition tracker. At present, two infrared binocular cameras or depth cameras are added separately to achieve finger tracking, but in the field of VR/AR/MR, this will bring A few key questions:
1.增加了额外的成本。2.增加了额外的功耗,现在主流的头戴都是一体机形式,主要通过电池自主供电,所以整个系统的功耗非常影响用户交互的 时间长短。3.在增加功耗的同时,散热也会成为一个很大的挑战。4.增加了结构设计的复杂度和ID的挑战。头戴一体机主要发展方向目标就是头戴体积小巧,配戴轻便,用户长时间佩戴不觉得有不适感。5.目前比较成熟和流行的深度相机FOV一般比较小在80°左右,而头戴的FOV一般在110°左右,即手的一些运动轨迹很容易会追踪不到,影响用户体验。1. Added extra cost. 2. Additional power consumption is added. Now the mainstream headsets are in the form of all-in-one machines, which are mainly powered by batteries. Therefore, the power consumption of the entire system greatly affects the length of user interaction. 3. While increasing power consumption, heat dissipation will also become a big challenge. 4. Increased the complexity of the structural design and the challenge of ID. The main development direction of the head-mounted all-in-one machine is that the head-mounted device is small in size, light to wear, and users do not feel uncomfortable when wearing it for a long time. 5. At present, the FOV of the more mature and popular depth cameras is generally relatively small at about 80°, while the FOV of the head-mounted camera is generally around 110°, that is, some movement trajectories of the hand are easily not tracked, which affects the user experience.
发明内容SUMMARY OF THE INVENTION
鉴于上述问题,本申请的目的是提供一种基于多相机的裸手追踪显示方法、装置及系统,以解决目前手势识别或追踪存在的成本高、功耗高、体积大,精测准确度低,影响用户体验等问题。In view of the above problems, the purpose of the present application is to provide a method, device and system for bare-hand tracking and display based on multiple cameras, so as to solve the problems of high cost, high power consumption, large volume and low precision measurement accuracy of current gesture recognition or tracking. , affecting user experience and other issues.
本申请提供的基于多相机的裸手追踪显示方法,包括:分别获取多个追踪相机的待检测视频的帧图像信息,并根据帧图像信息确定与各追踪相机分别对应的当前帧的待检测帧图像;根据待检测帧图像、待检测帧图像的上一帧图像的跟踪信息,以及预设的模块执行顺序,选择性的启动检测模块、跟踪模块和骨骼点识别模块,以获取与待检测帧图像对应的手部位置的跟踪信息以及预设个数的骨骼点的二维坐标;根据二维坐标,以及预先获取的与手部位置对应的头部位置的跟踪数据,确定预设个数的骨骼点的三维坐标;对骨骼点的三维坐标和上一帧图像中的同一手部位置的历史三维坐标进行平滑滤波处理,获取处理后的手部位置的稳定骨骼点;对稳定骨骼点和头部位置的跟踪数据依次进行融合、渲染及显示处理,以完成手部位置的追踪和显示。The multi-camera-based bare-hand tracking display method provided by the present application includes: respectively acquiring frame image information of a video to be detected from multiple tracking cameras, and determining the to-be-detected frame of the current frame corresponding to each tracking camera according to the frame image information. image; according to the tracking information of the frame image to be detected, the previous frame image of the frame image to be detected, and the preset execution sequence of modules, the detection module, the tracking module and the skeletal point recognition module are selectively activated to obtain the same data as the frame to be detected. The tracking information of the hand position corresponding to the image and the two-dimensional coordinates of the preset number of skeleton points; according to the two-dimensional coordinates and the pre-acquired tracking data of the head position corresponding to the hand position, determine the preset number of The three-dimensional coordinates of the skeleton points; the three-dimensional coordinates of the skeleton points and the historical 3D coordinates of the same hand position in the previous frame of image are processed by smooth filtering, and the stable bone points of the processed hand position are obtained; The tracking data of the hand position is fused, rendered and displayed in sequence to complete the tracking and display of the hand position.
此外,在至少一个示例性实施例中,根据待检测帧图像以及待检测帧图像的上一帧图像的检测结果,选择性的启动检测模块、跟踪模块和骨骼点识别模块的过程包括:基于上一帧图像的跟踪信息,获取上一帧图像中检测到的手部位置的个数;其中,当手部位置的个数小于2时,同时启动检测模块、跟踪模块和骨骼点识别模块;否则,当手部位置的个数为2时,同时启动跟踪模块和骨骼点识别模块。In addition, in at least one exemplary embodiment, according to the detection results of the frame image to be detected and the previous frame image of the frame image to be detected, the process of selectively starting the detection module, the tracking module and the skeleton point identification module includes: based on the above The tracking information of one frame of image is obtained, and the number of hand positions detected in the previous frame of image is obtained; wherein, when the number of hand positions is less than 2, the detection module, the tracking module and the skeleton point recognition module are activated at the same time; otherwise , when the number of hand positions is 2, the tracking module and the skeleton point recognition module are activated at the same time.
此外,在至少一个示例性实施例中,检测模块设置为通过预训练的手部检测模型对待检测帧图像中的手进行检测定位,获取手部位置及与手部位置对应的ROI,并发送至跟踪模块和骨骼点识别模块;跟踪模块设置为根据ROI及光流追踪算法,跟踪待检测帧图像的下一帧图像的预测ROI,并将与预测 ROI对应的跟踪信息存储至手部跟踪队列中,以更新手部位置的跟踪信息;骨骼点识别模型设置为从手部跟踪队列中获取手部位置的ROI,并通过预训练的骨骼点识别模型对获取的ROI进行预设个数的骨骼点识别。In addition, in at least one exemplary embodiment, the detection module is configured to detect and locate the hand in the frame image to be detected by using a pre-trained hand detection model, obtain the hand position and the ROI corresponding to the hand position, and send it to Tracking module and skeleton point recognition module; the tracking module is set to track the predicted ROI of the next frame image of the frame image to be detected according to the ROI and optical flow tracking algorithm, and store the tracking information corresponding to the predicted ROI in the hand tracking queue , to update the tracking information of the hand position; the skeleton point recognition model is set to obtain the ROI of the hand position from the hand tracking queue, and use the pre-trained skeleton point recognition model to perform a preset number of skeleton points on the obtained ROI. identify.
此外,在至少一个示例性实施例中,头部位置的跟踪数据包括头部位置的位置数据和姿态数据的跟踪数据;其中,位置数据和姿态数据通过设置在头部的追踪相机采集的视频数据以及头部的位姿估计算法来确定。In addition, in at least one exemplary embodiment, the tracking data of the head position includes the position data of the head position and the tracking data of the gesture data; wherein the position data and the gesture data are video data collected by a tracking camera arranged on the head And the pose estimation algorithm of the head to determine.
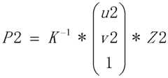
此外,在至少一个示例性实施例中,确定预设个数的骨骼点的三维坐标的过程包括:确定当前帧的骨骼点中的任意一个骨骼点作为目标骨骼点,并获取目标骨骼点的三维坐标;基于目标骨骼点的三维坐标,确定所有骨骼点的三维坐标;其中,目标骨骼点的三维坐标的确定公式如下:In addition, in at least one exemplary embodiment, the process of determining the three-dimensional coordinates of the preset number of skeleton points includes: determining any one of the skeleton points of the current frame as the target skeleton point, and obtaining the 3D coordinates of the target skeleton point. Coordinates; based on the three-dimensional coordinates of the target bone point, determine the three-dimensional coordinates of all bone points; wherein, the formula for determining the three-dimensional coordinates of the target bone point is as follows:
P2=R*P1+TP2=R*P1+T
其中,P2表示目标骨骼点的三维坐标,P1表示上一帧图像的目标骨骼点的历史三维坐标,R表示头部位置的跟踪数据中的当前帧的头部位置相对上一帧图像的头部位置的旋转矩阵,T表示头部位置的跟踪数据中的当前帧的头部位置相对上一帧图像的头部位置的转移矩阵。Among them, P2 represents the three-dimensional coordinates of the target bone point, P1 represents the historical three-dimensional coordinates of the target bone point of the previous frame of image, and R represents the head position of the current frame in the tracking data of the head position relative to the head of the previous frame of image. The rotation matrix of the position, T represents the transition matrix of the head position of the current frame relative to the head position of the previous frame image in the head position tracking data.
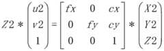
此外,在至少一个示例性实施例中,目标骨骼点的三维坐标的推算公式如下:In addition, in at least one exemplary embodiment, the calculation formula of the three-dimensional coordinates of the target skeleton point is as follows:
其中,表示当前帧的目标骨骼点的三维坐标P2;表示当前帧的目标骨骼点的二维坐标;表示上一帧图像的目标骨骼点的历史三维坐标P1;表示上一帧图像的目标骨骼点的二维坐标;表示获取待检测视频的追踪相机的标定参数;其中,fx和fy表示追踪相机的像素焦距,cx和cy表示追踪相机的光轴在待检测帧图像上的坐标位置;R表示头部位置的跟踪数据中的当前帧的头部位置相对上一帧图像的头部位置的旋转矩阵,T表示头部位置的跟踪数据中的当前帧的头部位置相对上一帧图像的头部位置的转移矩阵。in, Represents the three-dimensional coordinate P2 of the target skeleton point of the current frame; Represents the two-dimensional coordinates of the target skeleton point of the current frame; Represents the historical three-dimensional coordinates P1 of the target skeleton point of the previous frame of image; Represents the two-dimensional coordinates of the target skeleton point of the previous frame of image; Represents the calibration parameters of the tracking camera that obtains the video to be detected; where fx and fy represent the pixel focal length of the tracking camera, cx and cy represent the coordinate position of the optical axis of the tracking camera on the frame image to be detected; R represents the tracking of the head position The rotation matrix of the head position of the current frame in the data relative to the head position of the previous frame image, T represents the transition matrix of the head position of the current frame relative to the head position of the previous frame image in the tracking data of the head position .
此外,在至少一个示例性实施例中,手部检测模型的预训练过程包括:对获取的训练图像数据中的目标区域进行标注,并获取标注的位置信息;其中,目标区域为手部区域;利用yolo模型对标注后的位置信息进行参数训练,直至yolo模型收敛在对应的预设范围内,以完成手部检测模型的训练。In addition, in at least one exemplary embodiment, the pre-training process of the hand detection model includes: marking the target area in the acquired training image data, and obtaining the marked position information; wherein, the target area is the hand area; Use the yolo model to perform parameter training on the marked position information until the yolo model converges within the corresponding preset range, so as to complete the training of the hand detection model.
此外,在至少一个示例性实施例中,骨骼点识别模型的预训练过程包括:基于训练图像数据训练基础神经网络模型,直至神经网络模型收敛在对应的预设范围内,以完成骨骼点识别模型;其中,基础神经网络模型包括:yolo模型、CNN模型、SSD模型或者FPN模型。In addition, in at least one exemplary embodiment, the pre-training process of the skeleton point recognition model includes: training a basic neural network model based on the training image data until the neural network model converges within a corresponding preset range, so as to complete the skeleton point recognition model ; Among them, the basic neural network model includes: yolo model, CNN model, SSD model or FPN model.
此外,在至少一个示例性实施例中,所述训练图像数据是通过头戴式一体机设备上的多个追踪鱼眼相机来获取的。Furthermore, in at least one exemplary embodiment, the training image data is acquired by a plurality of tracking fisheye cameras on a headset device.
此外,本申请还提供一种电子装置,该电子装置包括:存储器、处理器及摄像装置,存储器中包括基于多相机的裸手追踪显示程序,基于多相机的 裸手追踪显示程序被处理器执行时实现如上所示基于多相机的裸手追踪显示方法的步骤。In addition, the present application also provides an electronic device, the electronic device includes: a memory, a processor and a camera device, the memory includes a multi-camera-based bare-hand tracking display program, and the multi-camera-based bare-hand tracking display program is executed by the processor The steps to implement the multi-camera-based bare-hand tracking display method shown above.
此外,本申请还提供一种基于多相机的裸手追踪显示系统,包括:待检测帧图像确定单元,设置为分别获取多个追踪相机的待检测视频的帧图像信息,并根据帧图像信息确定与各追踪相机分别对应的当前帧的待检测帧图像;二维坐标获取单元,设置为根据待检测帧图像、待检测帧图像的上一帧图像的跟踪信息,以及预设的模块执行顺序,选择性的启动检测模块、跟踪模块和骨骼点识别模块,以获取与待检测帧图像对应的手部位置的跟踪信息以及预设个数的骨骼点的二维坐标;三维坐标确定单元,设置为根据二维坐标,以及预先获取的与手部位置对应的头部位置的跟踪数据,确定预设个数的骨骼点的三维坐标;稳定骨骼点获取单元,设置为对骨骼点的三维坐标和上一帧图像中的同一手部位置的历史三维坐标进行平滑滤波处理,获取处理后的手部位置的稳定骨骼点;追踪显示单元,设置为对稳定骨骼点和头部位置的跟踪数据依次进行融合、渲染及显示处理,以完成手部位置的追踪和显示。In addition, the present application also provides a multi-camera-based bare-hand tracking display system, comprising: a frame image determination unit to be detected, configured to separately acquire frame image information of videos to be detected from multiple tracking cameras, and determine the frame image information according to the frame image information. The frame image to be detected of the current frame corresponding to each tracking camera respectively; the two-dimensional coordinate acquisition unit is set to be based on the frame image to be detected, the tracking information of the previous frame image of the frame image to be detected, and the preset execution sequence of modules, The detection module, the tracking module and the skeletal point identification module are selectively activated to obtain the tracking information of the hand position corresponding to the frame image to be detected and the two-dimensional coordinates of the preset number of skeletal points; the three-dimensional coordinate determination unit is set to According to the two-dimensional coordinates and the pre-acquired tracking data of the head position corresponding to the hand position, the three-dimensional coordinates of the preset number of skeleton points are determined; The historical three-dimensional coordinates of the same hand position in one frame of image are processed by smooth filtering to obtain the stable skeleton point of the processed hand position; the tracking display unit is set to fuse the tracking data of the stable skeleton point and the head position in turn , rendering and display processing to complete the tracking and display of hand position.
根据本申请的另一方面,提供一种计算机可读存储介质,其上存储有计算机程序,所述计算机程序在被处理器执行时实现上述任一项实施例中所述的基于多相机的裸手追踪显示方法。According to another aspect of the present application, there is provided a computer-readable storage medium on which a computer program is stored, the computer program, when executed by a processor, implements the multi-camera-based naked Hand tracking display method.
利用上述基于多相机的裸手追踪显示方法、装置及系统,能够基于头部的追踪相机进行裸手的三维手指姿态估计,能够高精度、高稳定性地还原用户手部在虚拟场景中的姿态位置信息并进行显示,成本低、体积小、用户体验效果明显。Using the above-mentioned method, device and system for tracking and displaying bare hands based on multiple cameras, it is possible to estimate the 3D finger pose of the bare hand based on the tracking camera of the head, and to restore the pose of the user's hand in the virtual scene with high precision and high stability The location information is displayed and the cost is low, the volume is small, and the user experience effect is obvious.
为了实现上述以及相关目的,本申请的一个或多个方面包括后面将详细说明的特征。下面的说明以及附图详细说明了本申请的某些示例性方面。然而,这些方面指示的仅仅是可使用本申请的原理的各种方式中的一些方式。此外,本申请旨在包括所有这些方面以及它们的等同物。To achieve the above and related objects, one or more aspects of the present application include the features described in detail hereinafter. The following description and accompanying drawings illustrate certain exemplary aspects of the present application in detail. These aspects are indicative, however, of but a few of the various ways in which the principles of this application may be employed. Furthermore, this application is intended to include all such aspects and their equivalents.
通过参考以下结合附图的说明,并且随着对本申请的更全面理解,本申请的其它目的及结果将更加明白及易于理解。在附图中:Other objects and results of the present application will be more apparent and readily understood by reference to the following description in conjunction with the accompanying drawings, and as the present application is more fully understood. In the attached image:
图1为根据本申请实施例的基于多相机的裸手追踪显示方法的流程图;FIG. 1 is a flowchart of a method for tracking and displaying bare hands based on multiple cameras according to an embodiment of the present application;
图2为根据本申请实施例的基于多相机的裸手追踪显示系统的方框图;2 is a block diagram of a multi-camera-based bare-hand tracking display system according to an embodiment of the present application;
图3为根据本申请实施例的电子装置的逻辑图。FIG. 3 is a logic diagram of an electronic device according to an embodiment of the present application.
在所有附图中相同的标号指示相似或相应的特征或功能。The same reference numbers indicate similar or corresponding features or functions throughout the drawings.
在下面的描述中,出于说明的目的,为了提供对一个或多个实施例的全面理解,阐述了许多具体细节。然而,很明显,也可以在没有这些具体细节的情况下实现这些实施例。在其它例子中,为了便于描述一个或多个实施例,公知的结构和设备以方框图的形式示出。In the following description, for the purposes of explanation, numerous specific details are set forth in order to provide a thorough understanding of one or more embodiments. It will be apparent, however, that the embodiments may be practiced without these specific details. In other instances, well-known structures and devices are shown in block diagram form in order to facilitate describing one or more embodiments.
为详细描述本申请的基于多相机的裸手追踪显示方法、装置及系统,以下将结合附图对本申请的具体实施例进行详细描述。In order to describe in detail the method, device and system for bare-hand tracking display based on multi-cameras of the present application, specific embodiments of the present application will be described in detail below with reference to the accompanying drawings.
图1示出了根据本申请实施例的基于多相机的裸手追踪显示方法的流程。FIG. 1 shows a flow of a method for tracking and displaying a bare hand based on multiple cameras according to an embodiment of the present application.
如图1所示,本申请实施例的基于多相机的裸手追踪显示方法,包括:As shown in FIG. 1 , the multi-camera-based bare-hand tracking display method according to the embodiment of the present application includes:
S110:分别获取多个追踪相机的待检测视频的帧图像信息,并根据帧图像信息确定与各追踪相机分别对应的当前帧的待检测帧图像。S110: Acquire frame image information of the video to be detected of the multiple tracking cameras respectively, and determine the frame image to be detected of the current frame corresponding to each tracking camera according to the frame image information.
作为具体示例,本申请所述多个追踪相机可包括头部追踪相机和多个鱼眼追踪相机,例如,在头戴一体机上设置4目单色鱼眼追踪相机,且4目单色鱼眼追踪相机在头戴式一体机上的位置摆放,考虑到能够保证头戴一体机在6DoF(degree of freedom,自由度)追踪范围和裸手交互的追踪范围(170°*160°以上)的前提下,尽可能得使4目单色鱼眼追踪相机之间的可视交集区域尽可能最大,4目单色鱼眼追踪相机两两之间的交集区域最小在95°*80°以上,4目可一起拼接为143°*120°以上的区域。As a specific example, the plurality of tracking cameras described in the present application may include a head tracking camera and a plurality of fisheye tracking cameras. The position of the tracking camera on the head-mounted all-in-one machine is placed, considering the premise that the head-mounted all-in-one can ensure the tracking range of 6DoF (degree of freedom) and the tracking range of bare-hand interaction (above 170°*160°). In this case, the visible intersection area between the 4-eye monochrome fisheye tracking cameras should be maximized as much as possible, and the minimum intersection area between the 4-eye monochrome fisheye tracking cameras should be at least 95°*80°. The meshes can be spliced together into an area above 143°*120°.
具体地,本申请提供的单色鱼眼追踪相机的参入如下:FOV:143°*107°*163°(H*V*D);分辨率:640*480;帧率:30Hz;曝光方式:Global shutter(全局快门);颜色通道:单色。Specifically, the input of the monochrome fisheye tracking camera provided by this application is as follows: FOV: 143°*107°*163° (H*V*D); resolution: 640*480; frame rate: 30Hz; exposure mode: Global shutter; color channel: monochrome.
需要说明的是,上述鱼眼追踪相机的设置个数、设置位置以及具体的相机的参数可根据应用场景或者需求进行设置及调整,并不限于上述具体的参数数据。It should be noted that the set number, set position and specific camera parameters of the above-mentioned fisheye tracking cameras can be set and adjusted according to application scenarios or requirements, and are not limited to the above-mentioned specific parameter data.
S120:根据待检测帧图像、待检测帧图像的上一帧图像的跟踪信息,以 及预设的模块执行顺序,选择性的启动检测模块、跟踪模块和骨骼点识别模块,以获取与待检测帧图像对应的手部位置的跟踪信息以及预设个数的骨骼点的二维坐标。S120: Selectively start the detection module, the tracking module and the skeleton point identification module according to the tracking information of the frame image to be detected, the previous frame image of the frame image to be detected, and the preset execution sequence of the modules, so as to obtain and identify the frame to be detected. The tracking information of the hand position corresponding to the image and the two-dimensional coordinates of the preset number of skeleton points.
在该步骤中,根据待检测帧图像以及待检测帧图像的上一帧图像的检测结果,选择性的启动检测模块、跟踪模块和骨骼点识别模块的过程包括:基于上一帧图像的跟踪信息,获取上一帧图像中检测到的手部位置的个数;其中,当手部位置的个数小于2时,表明用户的两只手没有被检测到或者没有被同时检测到,此时需要同时启动检测模块、跟踪模块和骨骼点识别模块;否则,当手部位置的个数为2时,同时启动跟踪模块和骨骼点识别模块。In this step, according to the detection result of the frame image to be detected and the previous frame image of the frame image to be detected, the process of selectively starting the detection module, the tracking module and the skeleton point recognition module includes: tracking information based on the previous frame image , to obtain the number of hand positions detected in the previous frame of image; wherein, when the number of hand positions is less than 2, it indicates that the user's two hands have not been detected or have not been detected at the same time. The detection module, the tracking module and the skeleton point recognition module are started at the same time; otherwise, when the number of hand positions is 2, the tracking module and the skeleton point recognition module are started at the same time.
具体地,检测模块设置为通过预训练的手部检测模型对待检测帧图像中的手进行检测定位,获取手部位置及与手部位置对应的ROI,并发送至跟踪模块和骨骼点识别模块,该ROI可发送至跟踪模块的跟踪消息队列中,以及骨骼点识别模块的跟踪消息队列中。Specifically, the detection module is set to detect and locate the hand in the frame image to be detected through the pre-trained hand detection model, obtain the hand position and the ROI corresponding to the hand position, and send them to the tracking module and the skeleton point recognition module, The ROI can be sent to the tracking message queue of the tracking module and the tracking message queue of the skeleton point recognition module.
其中,跟踪模块设置为根据ROI及光流追踪算法,跟踪待检测帧图像的下一帧图像的预测ROI,并将与预测ROI对应的跟踪信息存储至手部跟踪队列中,以更新手部位置的跟踪信息,在对下一帧图像的手部位置的三维骨骼点的识别提供跟踪信息;其中,光流跟踪算法是物理追踪领域一个比较经典的算法,其可参考现有技术中相关内容的描述。The tracking module is set to track the predicted ROI of the next frame image of the frame image to be detected according to the ROI and the optical flow tracking algorithm, and store the tracking information corresponding to the predicted ROI in the hand tracking queue to update the hand position It provides tracking information for the identification of the three-dimensional skeleton points of the hand position of the next frame of image; wherein, the optical flow tracking algorithm is a relatively classic algorithm in the field of physical tracking, which can refer to the related content in the prior art. describe.
其中,骨骼点识别模型设置为从手部跟踪队列中获取手部位置的ROI,并通过预训练的骨骼点识别模型对获取的ROI进行预设个数的骨骼点识别。该骨骼点跟踪模块可采用跟踪模块的相关数据,也可以相互平行设置,即跟踪模块和骨骼点识别模块同步进行。The skeleton point recognition model is set to obtain the ROI of the hand position from the hand tracking queue, and a preset number of skeleton points are recognized on the obtained ROI through the pre-trained skeleton point recognition model. The skeletal point tracking module can use the relevant data of the tracking module, or can be set in parallel with each other, that is, the tracking module and the skeleton point identification module are performed synchronously.
需要说明的是,骨骼点识别模型在获取手部位置的ROI时,其可以是从跟踪模块的跟踪消息队列中获取,也可以通过检测模块发送到骨骼点识别模块的跟踪消息队列中获取,跟踪模块获取ROI设置为更新手部位置的跟踪信息,为下一帧图像提供相关数据,而该骨骼点识别模块设置为利用该ROI,在对应区域的待检测帧图像数据上进行个点识别。It should be noted that when the ROI of the hand position is obtained by the skeleton point recognition model, it can be obtained from the tracking message queue of the tracking module, or sent to the tracking message queue of the skeleton point recognition module through the detection module. The module obtains the ROI and is set to update the tracking information of the hand position, and provides relevant data for the next frame of image, and the skeleton point recognition module is set to use the ROI to perform point recognition on the image data of the frame to be detected in the corresponding area.
具体地,预设个数的骨骼点可以包括21个骨骼点,进一步地21个骨骼点包括手部的每个手指的3个骨骼点和1个指尖骨骼点,以及1个手掌点,即手的21个骨骼点分别分布在每一个手指的4个骨骼点(三个关节点以及一 个手指尖端的骨骼点)和手掌的一个骨骼点。Specifically, the preset number of skeleton points may include 21 skeleton points, and further the 21 skeleton points include 3 skeleton points and 1 fingertip skeleton point of each finger of the hand, and 1 palm point, namely The 21 bone points of the hand are distributed in 4 bone points of each finger (three joint points and one bone point at the tip of the finger) and one bone point of the palm.
此外,对识别出的21个骨骼点和历史对应的手部位置的骨骼点进行平滑滤波处理,解决某一帧某一个关节点识别不太稳定的问题,进而提高手指骨骼点识别的精度和稳定性。同时,实时统计每一帧帧图像的头的位和姿态追踪数据并实时存入跟踪消息队列中。另外,上述预设个数的骨骼点的具体个数及位置可根据具体的应用场景或者需求进行设置或调整。In addition, smooth filtering is performed on the identified 21 skeleton points and the skeleton points corresponding to the historical hand position to solve the problem that the recognition of a certain joint point in a certain frame is not stable, thereby improving the accuracy and stability of finger skeleton point recognition. sex. At the same time, the bit and attitude tracking data of the head of each frame image is counted in real time and stored in the tracking message queue in real time. In addition, the specific number and position of the above-mentioned preset number of skeleton points may be set or adjusted according to specific application scenarios or requirements.
S130:根据二维坐标,以及预先获取的与手部位置对应的头部位置的跟踪数据,确定预设个数的骨骼点的三维坐标。S130: Determine the three-dimensional coordinates of a preset number of skeletal points according to the two-dimensional coordinates and the pre-acquired tracking data of the head position corresponding to the hand position.
其中,根据上述各步骤及模块的操作,对其他所有鱼眼追踪相机进行相应操作,获取手部在其他鱼眼追踪相机中的21个骨骼点的二维坐标,由于每一只手在头戴一体机前方的运动是不确定的,用户的每一只手在4目(鱼眼)追踪相机中对应的图像位置也是不确定的,可能存在手的21个骨骼点同时存在2个及以上相机的追踪图像中,也可能存在手的21个骨骼点的一部分点同时存在2个目的追踪相机图像中,其他点同时存在其它2个目的追踪相机图像中,也可能存在手的21个骨骼点一部分点同时存在3个目的追踪相机图像中,一部分点同时存在2个目的追踪相机图像中。Among them, according to the operations of the above steps and modules, corresponding operations are performed on all other fisheye tracking cameras to obtain the two-dimensional coordinates of the 21 skeleton points of the hands in other fisheye tracking cameras. The motion in front of the all-in-one machine is uncertain, and the corresponding image position of each hand of the user in the 4-eye (fisheye) tracking camera is also uncertain. There may be 21 skeleton points of the hand and 2 or more cameras at the same time. In the tracking image of the hand, there may be a part of the 21 skeleton points of the hand that exist in the images of the 2 purpose tracking cameras at the same time, other points exist in the images of the other 2 purpose tracking cameras, and there may also be a part of the 21 skeleton points of the hand. Points exist in 3 destination tracking camera images at the same time, and some points exist in 2 destination tracking camera images at the same time.
为此,需要对二维坐标进行三维骨骼点坐标的转换处理。For this reason, it is necessary to convert the two-dimensional coordinates to the three-dimensional skeleton point coordinates.
具体地,头部位置的跟踪数据包括头部位置的位置数据和姿态数据的跟踪数据;其中,位置数据和姿态数据通过设置在头部的追踪相机采集的视频数据以及头部的位姿估计算法来确定。Specifically, the tracking data of the head position includes the position data of the head position and the tracking data of the attitude data; wherein the position data and the attitude data are video data collected by the tracking camera set on the head and the pose estimation algorithm of the head to make sure.
确定预设个数的骨骼点的三维坐标的过程包括:确定当前帧的骨骼点中的任意一个骨骼点作为目标骨骼点,并获取目标骨骼点的三维坐标;基于目标骨骼点的三维坐标,确定所有骨骼点的三维坐标;其中,目标骨骼点的三维坐标的确定公式如下:The process of determining the three-dimensional coordinates of the preset number of bone points includes: determining any one of the bone points of the current frame as the target bone point, and obtaining the three-dimensional coordinates of the target bone point; based on the three-dimensional coordinates of the target bone point, determining The three-dimensional coordinates of all bone points; wherein, the determination formula of the three-dimensional coordinates of the target bone point is as follows:
P2=R*P1+TP2=R*P1+T
其中,P2表示目标骨骼点的三维坐标,P1表示上一帧图像的目标骨骼点的历史三维坐标,R表示头部位置的跟踪数据中的当前帧的头部位置相对上一帧图像的头部位置的旋转矩阵,T表示头部位置的跟踪数据中的当前帧的头部位置相对上一帧图像的头部位置的转移矩阵。Among them, P2 represents the three-dimensional coordinates of the target bone point, P1 represents the historical three-dimensional coordinates of the target bone point of the previous frame of image, and R represents the head position of the current frame in the tracking data of the head position relative to the head of the previous frame of image. The rotation matrix of the position, T represents the transition matrix of the head position of the current frame relative to the head position of the previous frame image in the head position tracking data.
目标骨骼点的三维坐标的推算公式如下:The calculation formula of the three-dimensional coordinates of the target bone point is as follows:
其中,表示当前帧的目标骨骼点的三维坐标P2;表示当前帧的目标骨骼点的二维坐标;表示上一帧图像的目标骨骼点的历史三维坐标P1;表示上一帧图像的目标骨骼点的二维坐标;表示获取待检测视频的追踪相机的标定参数;其中,fx和fy表示追踪相机的像素焦距,cx和cy表示追踪相机的光轴在待检测帧图像上的坐标位置;R表示头部位置的跟踪数据中的当前帧的头部位置相对上一帧图像的头部位置的旋转矩阵,T表示头部位置的跟踪数据中的当前帧的头部位 置相对上一帧图像的头部位置的转移矩阵。in, Represents the three-dimensional coordinate P2 of the target skeleton point of the current frame; Represents the two-dimensional coordinates of the target skeleton point of the current frame; Represents the historical three-dimensional coordinates P1 of the target skeleton point of the previous frame of image; Represents the two-dimensional coordinates of the target skeleton point of the previous frame of image; Represents the calibration parameters of the tracking camera that obtains the video to be detected; where fx and fy represent the pixel focal length of the tracking camera, cx and cy represent the coordinate position of the optical axis of the tracking camera on the frame image to be detected; R represents the tracking of the head position The rotation matrix of the head position of the current frame in the data relative to the head position of the previous frame image, T represents the transition matrix of the head position of the current frame relative to the head position of the previous frame image in the tracking data of the head position .
基于上述各公式的推导,可以获取手部位置的21个骨骼点在同一个追踪相机下的三维坐标位置,判断手部位置的21个骨骼点的每一个骨骼点有几个共视Camera图像的二维坐标数据,可知其有几个二维坐标(图像数据),就可以计算出对应个数的三维坐标位置,然后通过所有的三维坐标位置进行求取平均值,可以增加三维位置的检测精度。骨骼点的共视Camera越多,骨骼点的三维坐标位置精度越准确,最多可达到四个三维坐标数据。Based on the derivation of the above formulas, the three-dimensional coordinate positions of the 21 skeleton points of the hand position under the same tracking camera can be obtained, and each skeleton point of the 21 skeleton points of the hand position can be determined to have several common views of the Camera image. Two-dimensional coordinate data, it can be known that it has several two-dimensional coordinates (image data), and the corresponding number of three-dimensional coordinate positions can be calculated, and then the average value of all three-dimensional coordinate positions can be calculated, which can increase the detection accuracy of three-dimensional positions. . The more co-viewing Cameras of the skeleton points, the more accurate the 3D coordinate position accuracy of the skeleton points, up to four 3D coordinate data.
S140:对骨骼点的三维坐标和上一帧图像中的同一手部位置的历史三维坐标进行平滑滤波处理,获取处理后的手部位置的稳定骨骼点。S140: Perform smooth filtering processing on the three-dimensional coordinates of the skeleton points and the historical three-dimensional coordinates of the same hand position in the previous frame of image, to obtain the processed stable skeleton points of the hand position.
其中,利用上一步骤中的算法,依次对当前帧的待检测图像的每一只手的其他20个骨骼点进行三维位置获取,即可获取每一只手的21个三维骨骼点坐标信息,然后对每一只手的21个三维骨骼点坐标通过和历史对应的手部位置的三维骨骼点坐标进行平滑滤波处理,解决某一帧某一个关节点识别不太稳定的可能,提高手指三维骨骼点位置识别精度和稳定性。Among them, by using the algorithm in the previous step, the other 20 skeleton points of each hand of the current frame of the image to be detected are obtained in turn to obtain the 3D positions, so that the coordinate information of 21 3D skeleton points of each hand can be obtained. Then, the 21 3D skeleton point coordinates of each hand are processed by smooth filtering through the 3D skeleton point coordinates of the hand position corresponding to the history, so as to solve the possibility that the recognition of a certain joint point in a certain frame is not stable, and improve the 3D skeleton of the finger. Point position recognition accuracy and stability.
S150:对稳定骨骼点和头部位置的跟踪数据依次进行融合、渲染及显示处理,以完成手部位置的追踪和显示。S150: Perform fusion, rendering and display processing on the tracking data of the stable bone point and the head position in turn, so as to complete the tracking and display of the hand position.
具体地,用平滑滤波处理之后的每一个手的21个骨骼点,和头戴一体机传过来的用户的头部位置的追踪数据进行融合,把相机坐标系下手的骨骼点信息转到头戴一体机坐标下手的骨骼点,然后把该数据传给Unity(用户界面),通过渲染当前帧,再实时回传给头戴一体机,做显示处理。Specifically, the 21 skeleton points of each hand after processing by smooth filtering are fused with the tracking data of the user's head position transmitted from the headset, and the skeleton point information from the camera coordinate system is transferred to the headset. The all-in-one machine coordinates the starting skeleton point, and then transmits the data to Unity (user interface), renders the current frame, and then sends it back to the headset in real time for display processing.
在本申请的一个具体实施方式中,手部检测模型的预训练过程包括:对获取的训练图像数据中的目标区域进行标注,并获取标注的位置信息;其中,目标区域为手部区域;利用yolo模型对标注后的位置信息进行参数训练,直至yolo模型收敛在对应的预设范围内,以完成手部检测模型的训练。In a specific embodiment of the present application, the pre-training process of the hand detection model includes: marking the target area in the acquired training image data, and obtaining the marked position information; wherein, the target area is the hand area; using The yolo model performs parameter training on the marked position information until the yolo model converges within the corresponding preset range to complete the training of the hand detection model.
可知,手部检测模型也可采用其他的神经网络模型进行训练,并不限于上述的具体训练过程。It can be seen that the hand detection model can also be trained by using other neural network models, and is not limited to the above-mentioned specific training process.
此外,骨骼点识别模型的预训练过程包括:基于训练图像数据训练基础神经网络模型,直至神经网络模型收敛在对应的预设范围内,以完成骨骼点识别模型;其中,基础神经网络模型包括:yolo模型、CNN模型、SSD模型或者FPN模型。In addition, the pre-training process of the skeleton point recognition model includes: training the basic neural network model based on the training image data until the neural network model converges within the corresponding preset range to complete the skeleton point recognition model; wherein, the basic neural network model includes: yolo model, CNN model, SSD model or FPN model.
在上述两个模型的训练过程中,训练图像数据可通过头戴式一体机设备上的多个追踪鱼眼相机来获取,例如,图像数据可通过追踪鱼眼相机采集100个用户的共100万张图像数据,手部检测模型和维骨骼点识别模型的输入图像数据都是头戴式一体机的头部追踪相机的数据。如果头部用1个追踪相机进行头部位姿追踪,那么每一帧传入手部检测模型和骨骼点识别模型中就是一张图像数据,如果采用多个追踪相机进行头部位姿追踪,那么每一帧传入手部检测模型和维骨骼点识别模型的就是多张图像数据,本申请采用双目及多目相机解决手的三维骨骼点估计问题,进而提高手部位置的三维骨骼追踪稳定性和追踪精度。During the training process of the above two models, the training image data can be obtained through multiple tracking fisheye cameras on the head-mounted device. The input image data of the hand detection model and the dimensional skeleton point recognition model are all data of the head tracking camera of the headset. If the head uses one tracking camera for head pose tracking, then each frame passed to the hand detection model and the skeleton point recognition model is an image data. If multiple tracking cameras are used for head pose tracking, then Each frame is passed into the hand detection model and the dimensional skeleton point recognition model with multiple pieces of image data. The present application uses binocular and multi-eye cameras to solve the problem of 3D skeleton point estimation of the hand, thereby improving the stability of the 3D skeleton tracking of the hand position. and tracking accuracy.
与上述基于多相机的裸手追踪显示方法相对应,本申请还提供一种基于多相机的裸手追踪显示系统。Corresponding to the above multi-camera-based bare-hand tracking display method, the present application further provides a multi-camera-based bare-hand tracking display system.
具体地,如图2所示,基于多相机的裸手追踪显示系统,包括:Specifically, as shown in Figure 2, the multi-camera-based bare-hand tracking display system includes:
待检测帧图像确定单元210,设置为分别获取多个追踪相机的待检测视频的帧图像信息,并根据帧图像信息确定与各追踪相机分别对应的当前帧的待检测帧图像;二维坐标获取单元220,设置为根据待检测帧图像、待检测帧图像的上一帧图像的跟踪信息,以及预设的模块执行顺序,选择性的启动检测模块、跟踪模块和骨骼点识别模块,以获取与待检测帧图像对应的手部位置的跟踪信息以及预设个数的骨骼点的二维坐标;三维坐标确定单元230,设置为根据二维坐标,以及预先获取的与手部位置对应的头部位置的跟踪数据,确定预设个数的骨骼点的三维坐标;稳定骨骼点获取单元240,设置为对骨骼点的三维坐标和上一帧图像中的同一手部位置的历史三维坐标进行平滑滤波处理,获取处理后的手部位置的稳定骨骼点;追踪显示单元250,设置为对稳定骨骼点和头部位置的跟踪数据依次进行融合、渲染及显示处理,以完成手部位置的追踪和显示。The to-be-detected frame image determination unit 210 is configured to obtain the frame image information of the to-be-detected videos of the multiple tracking cameras respectively, and to determine the to-be-detected frame image of the current frame corresponding to each tracking camera according to the frame image information; two-dimensional coordinate acquisition The unit 220 is configured to selectively activate the detection module, the tracking module and the skeletal point identification module according to the tracking information of the frame image to be detected, the previous frame image of the frame image to be detected, and the preset execution sequence of the modules, so as to obtain and identify the skeleton point. The tracking information of the hand position corresponding to the frame image to be detected and the two-dimensional coordinates of the preset number of skeletal points; the three-dimensional coordinate determination unit 230 is set to be based on the two-dimensional coordinates and the pre-acquired head corresponding to the hand position The tracking data of the position determines the three-dimensional coordinates of a preset number of skeleton points; the stable skeleton point acquisition unit 240 is set to perform smooth filtering on the three-dimensional coordinates of the skeleton points and the historical three-dimensional coordinates of the same hand position in the previous frame image processing, to obtain the stable skeleton point of the processed hand position; the tracking display unit 250 is set to sequentially fuse, render and display the tracking data of the stable skeleton point and the head position, so as to complete the tracking and display of the hand position .
对应地,本申请还提供一种电子装置,图3示出了根据本申请实施例的电子装置的示意结构。Correspondingly, the present application further provides an electronic device, and FIG. 3 shows a schematic structure of an electronic device according to an embodiment of the present application.
如图3所示,本申请的电子装置1可以是VR/AR/MR头戴式一体机设备、服务器、智能手机、平板电脑、便携计算机、桌上型计算机等具有运算功能的终端设备。其中,该电子装置1包括:处理器12、存储器11、网络接口14及通信总线15。As shown in FIG. 3 , the
其中,存储器11包括至少一种类型的可读存储介质。所述至少一种类型的可读存储介质可为如闪存、硬盘、多媒体卡、卡型存储器11等的非易失性存储介质。在一些实施例中,所述可读存储介质可以是所述电子装置1的内部存储单元,例如该电子装置1的硬盘。在另一些实施例中,所述可读存储介质也可以是所述电子装置1的外部存储器11,例如所述电子装置1上配备的插接式硬盘,智能存储卡(Smart Media Card,SMC),安全数字(Secure Digital,SD)卡,闪存卡(Flash Card)等。Among them, the
在本实施例中,所述存储器11的可读存储介质通常设置为存储安装于所述电子装置1的基于多相机的裸手追踪显示程序10等。所述存储器11还可以设置为暂时地存储已经输出或者将要输出的数据。In this embodiment, the readable storage medium of the
处理器12在一些实施例中可以是一中央处理器(Central Processing Unit,CPU),微处理器或其他数据处理芯片,设置为运行存储器11中存储的程序代码或处理数据,例如执行基于多相机的裸手追踪显示程序10等。The
网络接口14可选地可以包括标准的有线接口、无线接口(如WI-FI接口),通常设置为在该电子装置1与其他电子设备之间建立通信连接。The
通信总线15设置为实现这些组件之间的连接通信。A
图1仅示出了具有组件11-15的电子装置1,但是应理解的是,并不要求实施所有示出的组件,可以替代的实施更多或者更少的组件。Figure 1 only shows the
可选地,该电子装置1还可以包括用户接口,用户接口可以包括输入单元比如键盘(Keyboard)、语音输入装置比如麦克风(microphone)等具有语音识别功能的设备、语音输出装置比如音响、耳机等,可选地用户接口还可以包括标准的有线接口、无线接口。Optionally, the
可选地,该电子装置1还可以包括显示器,显示器也可以称为显示屏或显示单元。在一些实施例中可以是LED显示器、液晶显示器、触控式液晶显示器以及有机发光二极管(Organic Light-Emitting Diode,OLED)触摸器等。显示器设置为显示在电子装置1中处理的信息以及设置为显示可视化的用户界面。Optionally, the
可选地,该电子装置1还包括触摸传感器。所述触摸传感器所提供的供用户进行触摸操作的区域称为触控区域。此外,这里所述的触摸传感器可以为电阻式触摸传感器、电容式触摸传感器等。而且,所述触摸传感器不仅包 括接触式的触摸传感器,也可包括接近式的触摸传感器等。此外,所述触摸传感器可以为单个传感器,也可以为例如阵列布置的多个传感器。Optionally, the
在图1所示的装置实施例中,作为一种计算机存储介质的存储器11中可以包括操作系统以及基于多相机的裸手追踪显示程序10;处理器12执行存储器11中存储的基于多相机的裸手追踪显示程序10时实现如基于多相机的裸手追踪显示方法所示的步骤。In the device embodiment shown in FIG. 1 , the
本申请之计算机可读存储介质的具体实施方式与上述捏合手势检测识别程序方法、装置、系统的具体实施方式大致相同,在此不再赘述。The specific implementations of the computer-readable storage medium of the present application are substantially the same as the specific implementations of the above-mentioned pinch gesture detection and recognition program method, device, and system, and are not repeated here.
本申请实施例中还提供了一种计算机可读存储介质,其上存储有计算机程序,所述计算机程序在被处理器执行时实现根据上述方法实施例中提供的任一种基于多相机的裸手追踪显示方法。Embodiments of the present application further provide a computer-readable storage medium, on which a computer program is stored, and when the computer program is executed by a processor, implements any one of the multi-camera-based naked bodies provided in the foregoing method embodiments. Hand tracking display method.
需要说明的是,在本文中,术语“包括”、“包含”或者其任何其他变体意在涵盖非排他性的包含,从而使得包括一系列要素的过程、装置、物品或者方法不仅包括那些要素,而且还包括没有明确列出的其他要素,或者是还包括为这种过程、装置、物品或者方法所固有的要素。在没有更多限制的情况下,由语句“包括一个……”限定的要素,并不排除在包括该要素的过程、装置、物品或者方法中还存在另外的相同要素。It should be noted that, herein, the terms "comprising", "comprising" or any other variation thereof are intended to encompass non-exclusive inclusion, such that a process, device, article or method comprising a series of elements includes not only those elements, It also includes other elements not expressly listed or inherent to such a process, apparatus, article or method. Without further limitation, an element qualified by the phrase "comprising a..." does not preclude the presence of additional identical elements in the process, apparatus, article, or method that includes the element.
上述本申请实施例序号仅仅为了描述,不代表实施例的优劣。通过以上的实施方式的描述,本领域的技术人员可以清楚地了解到上述实施例方法可借助软件加必需的通用硬件平台的方式来实现,当然也可以通过硬件,但很多情况下前者是更佳的实施方式。基于这样的理解,本申请的技术方案本质上或者说对现有技术做出贡献的部分可以以软件产品的形式体现出来,该计算机软件产品存储在如上所述的一个存储介质(如ROM/RAM、磁碟、光盘)中,包括若干指令用以使得一台终端设备(可以是手机,计算机,服务器,或者网络设备等)执行本申请各个实施例所述的方法。The above-mentioned serial numbers of the embodiments of the present application are only for description, and do not represent the advantages or disadvantages of the embodiments. From the description of the above embodiments, those skilled in the art can clearly understand that the method of the above embodiment can be implemented by means of software plus a necessary general hardware platform, and of course can also be implemented by hardware, but in many cases the former is better implementation. Based on this understanding, the technical solutions of the present application can be embodied in the form of software products in essence or the parts that make contributions to the prior art. The computer software products are stored in a storage medium (such as ROM/RAM) as described above. , magnetic disk, optical disc), including several instructions to make a terminal device (which may be a mobile phone, a computer, a server, or a network device, etc.) execute the methods described in the various embodiments of the present application.
如上参照附图以示例的方式描述根据本申请的基于多相机的裸手追踪显示方法、装置及系统。但是,本领域技术人员应当理解,对于上述本申请所提出的基于多相机的裸手追踪显示方法、装置及系统,还可以在不脱离本申请内容的基础上做出各种改进。因此,本申请的保护范围应当由所附的权利 要求书的内容确定。The multi-camera-based bare-hand tracking display method, device, and system according to the present application are described above by way of example with reference to the accompanying drawings. However, those skilled in the art should understand that various improvements can be made without departing from the content of the present application for the above-mentioned method, device and system for bare-hand tracking display based on multi-cameras proposed in the present application. Therefore, the scope of protection of this application should be determined by the contents of the appended claims.
| Application Number | Priority Date | Filing Date | Title |
|---|---|---|---|
| US17/881,555US11798177B2 (en) | 2021-02-18 | 2022-08-04 | Hand tracking method, device and system |
| Application Number | Priority Date | Filing Date | Title |
|---|---|---|---|
| CN202110190108.1ACN112927259A (en) | 2021-02-18 | 2021-02-18 | Multi-camera-based bare hand tracking display method, device and system |
| CN202110190108.1 | 2021-02-18 |
| Application Number | Title | Priority Date | Filing Date |
|---|---|---|---|
| US17/881,555ContinuationUS11798177B2 (en) | 2021-02-18 | 2022-08-04 | Hand tracking method, device and system |
| Publication Number | Publication Date |
|---|---|
| WO2022174594A1true WO2022174594A1 (en) | 2022-08-25 |
| Application Number | Title | Priority Date | Filing Date |
|---|---|---|---|
| PCT/CN2021/122661CeasedWO2022174594A1 (en) | 2021-02-18 | 2021-10-08 | Multi-camera-based bare hand tracking and display method and system, and apparatus |
| Country | Link |
|---|---|
| US (1) | US11798177B2 (en) |
| CN (1) | CN112927259A (en) |
| WO (1) | WO2022174594A1 (en) |
| Publication number | Priority date | Publication date | Assignee | Title |
|---|---|---|---|---|
| CN112927259A (en) | 2021-02-18 | 2021-06-08 | 青岛小鸟看看科技有限公司 | Multi-camera-based bare hand tracking display method, device and system |
| CN113364985B (en)* | 2021-06-11 | 2022-07-29 | 广州逅艺文化科技有限公司 | Live broadcast lens tracking method, device and medium |
| CN116363760A (en)* | 2023-04-10 | 2023-06-30 | 辽宁大学 | A Method of Obtaining Three-Dimensional Coordinates of Human Skeleton Points |
| CN116664819B (en)* | 2023-05-17 | 2024-01-09 | 武汉大学中南医院 | Medical staff hand recognition positioning method, device, equipment and storage medium |
| US12229344B2 (en)* | 2023-06-02 | 2025-02-18 | Apple Inc. | Pinch recognition using finger zones |
| CN117315781B (en)* | 2023-10-08 | 2025-09-05 | 玩出梦想(上海)科技有限公司 | Hand tracking method, data processing device and head-mounted device |
| CN117809380B (en)* | 2024-02-29 | 2024-05-14 | 万有引力(宁波)电子科技有限公司 | Hand gesture tracking method, device, equipment, readable storage medium and program product |
| CN117827013B (en)* | 2024-03-05 | 2024-05-14 | 青岛三诚众合智能设备科技有限公司 | Intelligent learning method and system for production skills based on image processing and electronic equipment |
| Publication number | Priority date | Publication date | Assignee | Title |
|---|---|---|---|---|
| US20170140552A1 (en)* | 2014-06-25 | 2017-05-18 | Korea Advanced Institute Of Science And Technology | Apparatus and method for estimating hand position utilizing head mounted color depth camera, and bare hand interaction system using same |
| US20180285636A1 (en)* | 2017-04-04 | 2018-10-04 | Usens, Inc. | Methods and systems for hand tracking |
| CN109685797A (en)* | 2018-12-25 | 2019-04-26 | 北京旷视科技有限公司 | Bone point detecting method, device, processing equipment and storage medium |
| CN111696140A (en)* | 2020-05-09 | 2020-09-22 | 青岛小鸟看看科技有限公司 | Monocular-based three-dimensional gesture tracking method |
| CN112083801A (en)* | 2020-07-24 | 2020-12-15 | 青岛小鸟看看科技有限公司 | Gesture recognition system and method based on VR virtual office |
| CN112286343A (en)* | 2020-09-16 | 2021-01-29 | 青岛小鸟看看科技有限公司 | Positioning tracking method, platform and head mounted display system |
| CN112927259A (en)* | 2021-02-18 | 2021-06-08 | 青岛小鸟看看科技有限公司 | Multi-camera-based bare hand tracking display method, device and system |
| Publication number | Priority date | Publication date | Assignee | Title |
|---|---|---|---|---|
| CN112083800B (en)* | 2020-07-24 | 2024-04-30 | 青岛小鸟看看科技有限公司 | Gesture recognition method and system based on adaptive finger joint rule filtering |
| Publication number | Priority date | Publication date | Assignee | Title |
|---|---|---|---|---|
| US20170140552A1 (en)* | 2014-06-25 | 2017-05-18 | Korea Advanced Institute Of Science And Technology | Apparatus and method for estimating hand position utilizing head mounted color depth camera, and bare hand interaction system using same |
| US20180285636A1 (en)* | 2017-04-04 | 2018-10-04 | Usens, Inc. | Methods and systems for hand tracking |
| CN109685797A (en)* | 2018-12-25 | 2019-04-26 | 北京旷视科技有限公司 | Bone point detecting method, device, processing equipment and storage medium |
| CN111696140A (en)* | 2020-05-09 | 2020-09-22 | 青岛小鸟看看科技有限公司 | Monocular-based three-dimensional gesture tracking method |
| CN112083801A (en)* | 2020-07-24 | 2020-12-15 | 青岛小鸟看看科技有限公司 | Gesture recognition system and method based on VR virtual office |
| CN112286343A (en)* | 2020-09-16 | 2021-01-29 | 青岛小鸟看看科技有限公司 | Positioning tracking method, platform and head mounted display system |
| CN112927259A (en)* | 2021-02-18 | 2021-06-08 | 青岛小鸟看看科技有限公司 | Multi-camera-based bare hand tracking display method, device and system |
| Publication number | Publication date |
|---|---|
| US11798177B2 (en) | 2023-10-24 |
| US20220383523A1 (en) | 2022-12-01 |
| CN112927259A (en) | 2021-06-08 |
| Publication | Publication Date | Title |
|---|---|---|
| CN112926423B (en) | Pinch gesture detection and recognition method, device and system | |
| WO2022174594A1 (en) | Multi-camera-based bare hand tracking and display method and system, and apparatus | |
| JP7506091B2 (en) | Image-based localization | |
| US10832039B2 (en) | Facial expression detection method, device and system, facial expression driving method, device and system, and storage medium | |
| US11625841B2 (en) | Localization and tracking method and platform, head-mounted display system, and computer-readable storage medium | |
| Memo et al. | Head-mounted gesture controlled interface for human-computer interaction | |
| CN110363867B (en) | Virtual decorating system, method, device and medium | |
| JP6789624B2 (en) | Information processing device, information processing method | |
| CN104317391B (en) | A kind of three-dimensional palm gesture recognition exchange method and system based on stereoscopic vision | |
| US9734393B2 (en) | Gesture-based control system | |
| WO2020010979A1 (en) | Method and apparatus for training model for recognizing key points of hand, and method and apparatus for recognizing key points of hand | |
| WO2019099337A1 (en) | Event camera-based deformable object tracking | |
| KR20170031733A (en) | Technologies for adjusting a perspective of a captured image for display | |
| CN104035557B (en) | Kinect action identification method based on joint activeness | |
| CN110046546A (en) | A kind of adaptive line of sight method for tracing, device, system and storage medium | |
| TW201346640A (en) | Image processing device, and computer program product | |
| JP2019096113A (en) | Processing device, method and program relating to keypoint data | |
| CN104090664B (en) | An interactive projection method, device and system | |
| IL299465A (en) | An object recognition neural network for predicting a missing visual information center | |
| US20160232708A1 (en) | Intuitive interaction apparatus and method | |
| CN111696140A (en) | Monocular-based three-dimensional gesture tracking method | |
| CN112083801A (en) | Gesture recognition system and method based on VR virtual office | |
| WO2023185241A1 (en) | Data processing method and apparatus, device and medium | |
| CN113228117B (en) | Authoring apparatus, authoring method, and recording medium having an authoring program recorded thereon | |
| EP4544378A1 (en) | Object detection and tracking in extended reality devices |
| Date | Code | Title | Description |
|---|---|---|---|
| 121 | Ep: the epo has been informed by wipo that ep was designated in this application | Ref document number:21926308 Country of ref document:EP Kind code of ref document:A1 | |
| NENP | Non-entry into the national phase | Ref country code:DE | |
| 122 | Ep: pct application non-entry in european phase | Ref document number:21926308 Country of ref document:EP Kind code of ref document:A1 |