




本申请要求于2020年12月30日提交中国专利局、申请号为202011609053.5,发明名称为“手写签名校验方法、装置、计算机设备及存储介质”的中国专利申请的优先权,其全部内容通过引用结合在本申请中。This application claims the priority of the Chinese patent application filed on December 30, 2020 with the application number 202011609053.5 and the invention title is "Handwritten Signature Verification Method, Device, Computer Equipment and Storage Medium", the entire content of which is approved by Reference is incorporated in this application.
本申请涉及人工智能技术领域,尤其涉及一种手写签名校验方法、装置、计算机设备及存储介质。The present application relates to the technical field of artificial intelligence, and in particular, to a handwritten signature verification method, device, computer equipment and storage medium.
手写签名是验证用户真实签署意愿的重要手段,互联网金融、B2B电子商务、旅游、教育等互联网应用的迅猛发展,也带动了在线电子签名的应用需求,为了使互联网商务行为有法可依、有据可循,越来越多的互联网平台积极寻求合法有效的在线手写电子签名校对方案。Handwritten signature is an important means to verify the user's true willingness to sign. The rapid development of Internet applications such as Internet finance, B2B e-commerce, tourism, and education has also driven the application demand for online electronic signatures. It can be seen that more and more Internet platforms are actively seeking legal and effective online handwritten electronic signature proofreading solutions.
目前,发明人发现主流的手写签名校对方案多是采用手写体识别,基于手写轨迹或者像素的空间关系,然后把识别结果与姓名进行比对,这种方式不能避免签名被冒用的风险。At present, the inventor found that the mainstream handwritten signature proofreading schemes mostly use handwriting recognition, based on the handwriting trajectory or the spatial relationship of the pixels, and then compare the recognition result with the name, which cannot avoid the risk of signature being used fraudulently.
发明内容SUMMARY OF THE INVENTION
本申请实施例的目的在于提出一种手写签名校验方法、装置、计算机设备及存储介质,以解决签名被冒用的问题。The purpose of the embodiments of the present application is to propose a handwritten signature verification method, device, computer equipment and storage medium, so as to solve the problem of fraudulent use of signatures.
为了解决上述技术问题,本申请实施例提供一种手写签名校验方法,采用了如下所述的技术方案:In order to solve the above technical problems, the embodiments of the present application provide a method for verifying handwritten signatures, which adopts the following technical solutions:
获取待校验的手写签名图像和待校验的人脸图像,其中所述待校验的手写签名图像和所述待校验的人脸图像来源于同一载体;Obtaining the handwritten signature image to be verified and the face image to be verified, wherein the handwritten signature image to be verified and the face image to be verified originate from the same carrier;
将所述待校验的手写签名图像输入到预先训练的深度学习神经网络模型中进行特征提取,获得手写签名图像特征;Inputting the handwritten signature image to be verified into a pre-trained deep learning neural network model for feature extraction to obtain handwritten signature image features;
根据所述手写签名图像特征采用annoy搜索算法对预设的用户签名图像数据库进行检索,获取与所述手写签名图像特征最接近的用户签名图像特征;According to the handwritten signature image feature, annoy search algorithm is used to retrieve the preset user signature image database, and the user signature image feature closest to the handwritten signature image feature is obtained;
计算所述手写签名图像特征和所述最接近的用户签名图像特征之间的签名特征相似度;calculating the signature feature similarity between the handwritten signature image feature and the closest user signature image feature;
将所述签名特征相似度与预设的第一阈值比较,当所述签名特征相似度大于预设的第一阈值时,根据所述最接近的用户签名图像特征检索预设的用户签名图像数据库,得到最接近的用户人脸特征,其中,所述预设的用户签名图像数据库中的用户签名图像特征与用户人脸特征一一对应;Compare the signature feature similarity with a preset first threshold, and when the signature feature similarity is greater than the preset first threshold, retrieve a preset user signature image database according to the closest user signature image feature , to obtain the closest user face feature, wherein the user signature image feature in the preset user signature image database corresponds to the user face feature one-to-one;
将所述待校验的人脸图像输入到预先训练的人脸特征提取模型进行人脸特征提取,获得待校验的人脸特征;Inputting the face image to be verified into a pre-trained face feature extraction model for face feature extraction to obtain the face feature to be verified;
计算所述待校验的人脸特征与所述最接近的用户人脸特征之间的人脸特征相似度;Calculate the facial feature similarity between the facial feature to be verified and the closest user facial feature;
将所述人脸特征相似度与预设的第二阈值比较,当所述人脸特征相似度大于预设的第二阈值时,确定所述待校验的手写签名图像通过验证。The facial feature similarity is compared with a preset second threshold, and when the facial feature similarity is greater than the preset second threshold, it is determined that the handwritten signature image to be verified has passed the verification.
为了解决上述技术问题,本申请实施例还提供一种手写签名校验装置,采用了如下所述的技术方案:In order to solve the above technical problems, the embodiment of the present application also provides a handwritten signature verification device, which adopts the following technical solutions:
获取模块,用于获取待校验的手写签名图像和待校验的人脸图像,其中所述待校验的手写签名图像和所述待校验的人脸图像来源于同一载体;an acquisition module for acquiring a handwritten signature image to be verified and a face image to be verified, wherein the handwritten signature image to be verified and the face image to be verified originate from the same carrier;
第一提取模块,用于将所述待校验的手写签名图像输入到预先训练的深度学习神经网络模型中进行特征提取,获得手写签名图像特征;The first extraction module is used for inputting the handwritten signature image to be verified into a pre-trained deep learning neural network model for feature extraction to obtain the handwritten signature image features;
第一检索模块,用于根据所述手写签名图像特征采用annoy搜索算法对预设的用户签名图像数据库进行检索,获取与所述手写签名图像特征最接近的用户签名图像特征;a first retrieval module, configured to use annoy search algorithm to retrieve a preset user signature image database according to the handwritten signature image features, and obtain the user signature image features that are closest to the handwritten signature image features;
第一计算模块,用于计算所述手写签名图像特征和所述最接近的用户签名图像特征之间的签名特征相似度;a first calculation module, used to calculate the signature feature similarity between the handwritten signature image feature and the closest user signature image feature;
第二检索模块,用于将所述签名特征相似度与预设的第一阈值比较,当所述签名特征相似度大于预设的第一阈值时,根据所述最接近的用户签名图像特征检索预设的用户签名图像数据库,得到最接近的用户人脸特征,其中,所述预设的用户签名图像数据库中的用户签名图像特征与用户人脸特征一一对应;The second retrieval module is configured to compare the signature feature similarity with a preset first threshold, and when the signature feature similarity is greater than the preset first threshold, search according to the closest user signature image feature A preset user signature image database to obtain the closest user face features, wherein the user signature image features in the preset user signature image database are in one-to-one correspondence with user face features;
第二提取模块,用于将所述待校验的人脸图像输入到预先训练的人脸特征提取模型进行人脸特征提取,获得待校验的人脸特征;The second extraction module is used for inputting the face image to be verified into a pre-trained face feature extraction model for face feature extraction to obtain the face feature to be verified;
第二计算模块,用于计算所述待校验的人脸特征与所述最接近的用户人脸特征之间的人脸特征相似度;The second computing module is used to calculate the facial feature similarity between the to-be-verified facial feature and the closest user facial feature;
确定模块,用于将所述人脸特征相似度与预设的第二阈值比较,当所述人脸特征相似度大于预设的第二阈值时,确定所述待校验的手写签名图像通过验证。The determining module is used to compare the similarity of the facial features with a preset second threshold, and when the similarity of the facial features is greater than the preset second threshold, determine that the handwritten signature image to be verified has passed verify.
为了解决上述技术问题,本申请实施例还提供一种计算机设备,采用了如下所述的技术方案:In order to solve the above-mentioned technical problems, the embodiment of the present application also provides a computer device, which adopts the following technical solutions:
一种计算机设备,包括存储器和处理器,存储器中存储有计算机可读指令,所述处理器执行所述计算机可读指令时还实现如下步骤:A computer device includes a memory and a processor, wherein computer-readable instructions are stored in the memory, and the processor also implements the following steps when executing the computer-readable instructions:
获取待校验的手写签名图像和待校验的人脸图像,其中所述待校验的手写签名图像和所述待校验的人脸图像来源于同一载体;Obtaining the handwritten signature image to be verified and the face image to be verified, wherein the handwritten signature image to be verified and the face image to be verified originate from the same carrier;
将所述待校验的手写签名图像输入到预先训练的深度学习神经网络模型中进行特征提取,获得手写签名图像特征;Inputting the handwritten signature image to be verified into a pre-trained deep learning neural network model for feature extraction to obtain handwritten signature image features;
根据所述手写签名图像特征采用annoy搜索算法对预设的用户签名图像数据库进行检索,获取与所述手写签名图像特征最接近的用户签名图像特征;According to the handwritten signature image feature, annoy search algorithm is used to retrieve the preset user signature image database, and the user signature image feature closest to the handwritten signature image feature is obtained;
计算所述手写签名图像特征和所述最接近的用户签名图像特征之间的签名特征相似度;calculating the signature feature similarity between the handwritten signature image feature and the closest user signature image feature;
将所述签名特征相似度与预设的第一阈值比较,当所述签名特征相似度大于预设的第一阈值时,根据所述最接近的用户签名图像特征检索预设的用户签名图像数据库,得到最接近的用户人脸特征,其中,所述预设的用户签名图像数据库中的用户签名图像特征与用户人脸特征一一对应;Compare the signature feature similarity with a preset first threshold, and when the signature feature similarity is greater than the preset first threshold, retrieve a preset user signature image database according to the closest user signature image feature , to obtain the closest user face feature, wherein the user signature image feature in the preset user signature image database corresponds to the user face feature one-to-one;
将所述待校验的人脸图像输入到预先训练的人脸特征提取模型进行人脸特征提取,获得待校验的人脸特征;Inputting the face image to be verified into a pre-trained face feature extraction model for face feature extraction to obtain the face feature to be verified;
计算所述待校验的人脸特征与所述最接近的用户人脸特征之间的人脸特征相似度;Calculate the facial feature similarity between the facial feature to be verified and the closest user facial feature;
将所述人脸特征相似度与预设的第二阈值比较,当所述人脸特征相似度大于预设的第二阈值时,确定所述待校验的手写签名图像通过验证。The facial feature similarity is compared with a preset second threshold, and when the facial feature similarity is greater than the preset second threshold, it is determined that the handwritten signature image to be verified has passed the verification.
为了解决上述技术问题,本申请实施例还提供一种计算机可读存储介质,采用了如下所述的技术方案:In order to solve the above technical problems, the embodiments of the present application also provide a computer-readable storage medium, which adopts the following technical solutions:
一种计算机可读存储介质,计算机可读存储介质上存储有计算机可读指令,所述计算机可读指令被处理器执行时,使得所述处理器执行如下步骤:A computer-readable storage medium, where computer-readable instructions are stored on the computer-readable storage medium, and when the computer-readable instructions are executed by a processor, the processor is caused to perform the following steps:
获取待校验的手写签名图像和待校验的人脸图像,其中所述待校验的手写签名图像和所述待校验的人脸图像来源于同一载体;Obtaining the handwritten signature image to be verified and the face image to be verified, wherein the handwritten signature image to be verified and the face image to be verified originate from the same carrier;
将所述待校验的手写签名图像输入到预先训练的深度学习神经网络模型中进行特征提取,获得手写签名图像特征;Inputting the handwritten signature image to be verified into a pre-trained deep learning neural network model for feature extraction to obtain handwritten signature image features;
根据所述手写签名图像特征采用annoy搜索算法对预设的用户签名图像数据库进行检索,获取与所述手写签名图像特征最接近的用户签名图像特征;According to the handwritten signature image feature, annoy search algorithm is used to retrieve the preset user signature image database, and the user signature image feature closest to the handwritten signature image feature is obtained;
计算所述手写签名图像特征和所述最接近的用户签名图像特征之间的签名特征相似 度;Calculate the signature feature similarity between the handwritten signature image feature and the closest user signature image feature;
将所述签名特征相似度与预设的第一阈值比较,当所述签名特征相似度大于预设的第一阈值时,根据所述最接近的用户签名图像特征检索预设的用户签名图像数据库,得到最接近的用户人脸特征,其中,所述预设的用户签名图像数据库中的用户签名图像特征与用户人脸特征一一对应;Compare the signature feature similarity with a preset first threshold, and when the signature feature similarity is greater than the preset first threshold, retrieve a preset user signature image database according to the closest user signature image feature , to obtain the closest user face feature, wherein the user signature image feature in the preset user signature image database corresponds to the user face feature one-to-one;
将所述待校验的人脸图像输入到预先训练的人脸特征提取模型进行人脸特征提取,获得待校验的人脸特征;Inputting the face image to be verified into a pre-trained face feature extraction model for face feature extraction to obtain the face feature to be verified;
计算所述待校验的人脸特征与所述最接近的用户人脸特征之间的人脸特征相似度;Calculate the facial feature similarity between the facial feature to be verified and the closest user facial feature;
将所述人脸特征相似度与预设的第二阈值比较,当所述人脸特征相似度大于预设的第二阈值时,确定所述待校验的手写签名图像通过验证。The facial feature similarity is compared with a preset second threshold, and when the facial feature similarity is greater than the preset second threshold, it is determined that the handwritten signature image to be verified has passed the verification.
与现有技术相比,本申请实施例主要有以下有益效果:通过将手写签名图像特征与预设的用户签名图像数据库比较,确定手写签名的有效性,可较大程度避免签名被冒用的风险,通过annoy算法和相似度计算的结合,可以兼顾手写签名校验的速度和精度。Compared with the prior art, the embodiment of the present application mainly has the following beneficial effects: by comparing the handwritten signature image features with a preset user signature image database, the validity of the handwritten signature can be determined, and the signature can be avoided to a large extent by fraudulent use. Risk, through the combination of annoy algorithm and similarity calculation, the speed and accuracy of handwritten signature verification can be taken into account.
为了更清楚地说明本申请中的方案,下面将对本申请实施例描述中所需要使用的附图作一个简单介绍,显而易见地,下面描述中的附图是本申请的一些实施例,对于本领域普通技术人员来讲,在不付出创造性劳动的前提下,还可以根据这些附图获得其他的附图。In order to illustrate the solutions in the present application more clearly, the following will briefly introduce the accompanying drawings used in the description of the embodiments of the present application. For those of ordinary skill, other drawings can also be obtained from these drawings without any creative effort.
图1是本申请可以应用于其中的示例性系统架构图;FIG. 1 is an exemplary system architecture diagram to which the present application can be applied;
图2根据本申请的手写签名校验方法的一个实施例的流程图;Fig. 2 is a flow chart according to an embodiment of the handwritten signature verification method of the present application;
图3是手写签名校验的一种具体实施方式的流程图;3 is a flow chart of a specific embodiment of handwritten signature verification;
图4是根据本申请的手写签名校验装置的一个实施例的结构示意图;4 is a schematic structural diagram of an embodiment of a handwritten signature verification device according to the present application;
图5是根据本申请的计算机设备的一个实施例的结构示意图。FIG. 5 is a schematic structural diagram of an embodiment of a computer device according to the present application.
在本文中提及“实施例”意味着,结合实施例描述的特定特征、结构或特性可以包含在本申请的至少一个实施例中。在说明书中的各个位置出现该短语并不一定均是指相同的实施例,也不是与其它实施例互斥的独立的或备选的实施例。本领域技术人员显式地和隐式地理解的是,本文所描述的实施例可以与其它实施例相结合。Reference herein to an "embodiment" means that a particular feature, structure, or characteristic described in connection with the embodiment can be included in at least one embodiment of the present application. The appearances of the phrase in various places in the specification are not necessarily all referring to the same embodiment, nor a separate or alternative embodiment that is mutually exclusive of other embodiments. It is explicitly and implicitly understood by those skilled in the art that the embodiments described herein may be combined with other embodiments.
为了使本技术领域的人员更好地理解本申请方案,下面将结合附图,对本申请实施例中的技术方案进行清楚、完整地描述。In order to make those skilled in the art better understand the solutions of the present application, the technical solutions in the embodiments of the present application will be described clearly and completely below with reference to the accompanying drawings.
如图1所示,系统架构100可以包括终端设备101、102、103,网络104和服务器105。网络104用以在终端设备101、102、103和服务器105之间提供通信链路的介质。网络104可以包括各种连接类型,例如有线、无线通信链路或者光纤电缆等等。As shown in FIG. 1 , the
用户可以使用终端设备101、102、103通过网络104与服务器105交互,以接收或发送消息等。终端设备101、102、103上可以安装有各种通讯客户端应用,例如网页浏览器应用、购物类应用、搜索类应用、即时通信工具、邮箱客户端、社交平台软件等。The user can use the
终端设备101、102、103可以是具有显示屏并且支持网页浏览的各种电子设备,包括但不限于智能手机、平板电脑、电子书阅读器、MP3播放器(Moving Picture Experts Group Audio Layer III,动态影像专家压缩标准音频层面3)、MP4(Moving Picture Experts Group Audio Layer IV,动态影像专家压缩标准音频层面4)播放器、膝上型便携计算机和台式计算机等等。The
服务器105可以是提供各种服务的服务器,例如对终端设备101、102、103上显示的页面提供支持的后台服务器。The
需要说明的是,本申请实施例所提供的手写签名校验方法一般由服务器/终端设备执行,相应地,手写签名校验装置一般设置于服务器/终端设备中。It should be noted that the handwritten signature verification method provided by the embodiments of the present application is generally performed by aserver/terminal device , and accordingly, the handwritten signature verification device is generally set in theserver/terminal device .
应该理解,图1中的终端设备、网络和服务器的数目仅仅是示意性的。根据实现需要,可以具有任意数目的终端设备、网络和服务器。It should be understood that the numbers of terminal devices, networks and servers in FIG. 1 are merely illustrative. There can be any number of terminal devices, networks and servers according to implementation needs.
继续参考图2,示出了根据本申请的手写签名校验的方法的一个实施例的流程图。所述的手写签名校验方法,包括以下步骤:Continuing to refer to FIG. 2 , a flowchart of one embodiment of a method for handwritten signature verification according to the present application is shown. The described handwritten signature verification method comprises the following steps:
步骤S201,获取待校验的手写签名图像和待校验的人脸图像,其中所述待校验的手写签名图像和所述待校验的人脸图像来源于同一载体。Step S201, acquiring a handwritten signature image to be verified and a face image to be verified, wherein the handwritten signature image to be verified and the face image to be verified originate from the same carrier.
在本实施例中,手写签名校验方法运行于其上的电子设备(例如图1所示的服务器/终端设备)可以通过有线连接方式或者无线连接方式获取待校验的手写签名图像和待校验的人脸图像。需要指出的是,上述无线连接方式可以包括但不限于3G/4G连接、WiFi连接、蓝牙连接、WiMAX连接、Zigbee连接、UWB(ultra wideband)连接、以及其他现在已知或将来开发的无线连接方式。In this embodiment, the electronic device (for example, the server/terminal device shown in FIG. 1 ) on which the handwritten signature verification method operates can obtain the handwritten signature image to be verified and the to-be-verified handwritten signature image through a wired connection or a wireless connection. Tested face images. It should be pointed out that the above wireless connection methods may include but are not limited to 3G/4G connection, WiFi connection, Bluetooth connection, WiMAX connection, Zigbee connection, UWB (ultra wideband) connection, and other wireless connection methods currently known or developed in the future .
通过带摄像头的电子设备对用户进行手写签名的同时进行人脸图像的拍摄,或者通过电子设备上的预设的手写签名模块在电子设备的屏幕上签名时,同时通过电子设备的摄像头对人脸图像进行了拍摄。获得待校验的手写签名图像和待校验的人脸图像。也可以导入已经拍摄的签名视频,对视频进行解析,获得待检验的手写签名图像和待校验的人脸图像。Using the electronic device with a camera to sign the user's handwritten signature and simultaneously photographing the face image, or using the preset handwritten signature module on the electronic device to sign on the screen of the electronic device, the camera of the electronic device simultaneously scans the face of the user. image was taken. Obtain the handwritten signature image to be verified and the face image to be verified. It is also possible to import the captured signature video, analyze the video, and obtain the handwritten signature image to be verified and the face image to be verified.
步骤S202,将所述待校验的手写签名图像输入到预先训练的深度学习神经网络模型中进行特征提取,获得手写签名图像特征。Step S202, the handwritten signature image to be verified is input into a pre-trained deep learning neural network model for feature extraction to obtain the handwritten signature image features.
在本实施例中,将待校验的手写签名图像输入到预先训练的深度学习神经网络模型进行特征提取,预先训练的深度学习神经网络学习不同用户的手写签名图像,使深度学习神经网络可以提取不同用户的手写签名图像的高维度特征。In this embodiment, the handwritten signature image to be verified is input into a pre-trained deep learning neural network model for feature extraction, and the pre-trained deep learning neural network learns the handwritten signature images of different users, so that the deep learning neural network can extract High-dimensional features of handwritten signature images of different users.
步骤S203,根据所述手写签名图像特征采用annoy搜索算法对预设的用户签名图像数据库进行检索,获取与所述手写签名图像特征最接近的用户签名图像特征。Step S203, according to the handwritten signature image features, use annoy search algorithm to retrieve the preset user signature image database, and obtain the user signature image features that are closest to the handwritten signature image features.
在本实施例中,在一些应用场景下,预设用户签名图像数据库,只要待校验的手写签名图像与预设用户签名图像数据库中的数据之一匹配,就认为待校验的手写签名有效。在这种场景下,根据手写签名图像特征检索预设的用户签名图像数据库,为了在海量的ID中进行快速的特征查找,我们采用了annoy(Approximate Nearest Neighbors Oh Yeah)算法,这种方法具有快速、稳定的查找能力;annoy的原理为随机选择两个点,以这两个点为初始的中心点,执行聚类数为2的kmeans过程,最终产生收敛后的两个聚类中心点,以到这两个聚类中心点的等距超平面将数据空间分成两个子空间。在划分的子空间内进行不停的递归迭代继续划分,直到每个子空间最多只剩下K个数据节点。通过多次递归迭代划分,最终原始数据会形成类似二叉树结构。二叉树底层是叶子节点记录原始数据节点,其他中间节点记录的是分割超平面的信息。这样查询一个点最接近的点的时间复杂度是次线性。具体的可以通过Python API实现。In this embodiment, in some application scenarios, the user signature image database is preset, and as long as the handwritten signature image to be verified matches one of the data in the preset user signature image database, the handwritten signature to be verified is considered valid . In this scenario, the preset user signature image database is retrieved according to the characteristics of the handwritten signature image. In order to perform fast feature search in a large number of IDs, we use the annoy (Approximate Nearest Neighbors Oh Yeah) algorithm, which has fast , stable search ability; the principle of annoy is to randomly select two points, take these two points as the initial center point, perform the kmeans process with the number of clusters 2, and finally generate two convergent cluster center points, with An equidistant hyperplane to the center points of these two clusters divides the data space into two subspaces. In the divided subspace, the recursive iteration continues to divide until there are at most K data nodes left in each subspace. Through multiple recursive iterative divisions, the final original data will form a binary tree-like structure. The bottom layer of the binary tree is that the leaf nodes record the original data nodes, and the other intermediate nodes record the information of the split hyperplane. In this way, the time complexity of querying the closest point of a point is sub-linear. Specifically, it can be implemented through the Python API.
步骤S204,计算所述手写签名图像特征和所述最接近的用户签名图像特征之间的签名特征相似度。Step S204: Calculate the signature feature similarity between the handwritten signature image feature and the closest user signature image feature.
由于annoy算法不能同时兼顾检索速度和精度,当构建的二叉树层数越多,精度越高,但检索速度越慢,且检索得到仅为最接近的点。而本申请对精度要求高,在采用annoy算法检索到最接近的用户签名图像特征之后,再计算手写签名图像特征和所述最接近的用户签名图像特征之间的相似度,可以兼顾检索速度和精度。通过计算两个特征向量之间的欧式距离计算相似度。Since the Annoy algorithm cannot take into account the retrieval speed and accuracy at the same time, the higher the number of binary tree layers constructed, the higher the accuracy, but the slower the retrieval speed, and only the closest point is retrieved. However, this application requires high precision. After using the annoy algorithm to retrieve the closest user signature image features, the similarity between the handwritten signature image features and the closest user signature image features can be calculated, which can take into account the retrieval speed and precision. The similarity is calculated by calculating the Euclidean distance between two feature vectors.
步骤S205,将所述签名特征相似度与预设的第一阈值比较,当所述签名特征相似度大于预设的第一阈值时,根据所述最接近的用户签名图像特征检索预设的用户签名图像数据库,得到最接近的用户人脸特征,其中,所述预设的用户签名图像数据库中的用户签名图像特征与用户人脸特征一一对应;Step S205, compare the signature feature similarity with a preset first threshold, and when the signature feature similarity is greater than the preset first threshold, retrieve a preset user signature image feature according to the closest user signature image feature. A signature image database to obtain the closest user face features, wherein the user signature image features in the preset user signature image database are in one-to-one correspondence with the user face features;
步骤206,将所述待校验的人脸图像输入到预先训练的人脸特征提取模型进行人脸特征提取,获得待校验的人脸特征。Step 206: Input the face image to be verified into a pre-trained face feature extraction model for face feature extraction to obtain the face feature to be verified.
在本实施例中,将待校验的人脸图像输入到预先训练的人脸特征提取模型模型进行人脸特征提取,预先训练的人脸特征提取模型基于第二卷积神经网络模型,第二卷积神经网络模型学习不同用户的人脸图像,使第二卷积神经网络模型可以提取不同用户的人脸图像的高维度特征。In this embodiment, the face image to be verified is input into a pre-trained face feature extraction model for face feature extraction, and the pre-trained face feature extraction model is based on the second convolutional neural network model, the second The convolutional neural network model learns the face images of different users, so that the second convolutional neural network model can extract the high-dimensional features of the face images of different users.
步骤207,计算所述待校验的人脸特征与所述最接近的用户人脸特征之间的人脸特征相似度;Step 207, calculating the facial feature similarity between the facial feature to be verified and the closest user facial feature;
通过计算两个特征向量之间的欧式距离计算相似度。The similarity is calculated by calculating the Euclidean distance between two feature vectors.
步骤208,将所述人脸特征相似度与预设的第二阈值比较,当所述人脸特征相似度大于预设的第二阈值时,确定所述待校验的手写签名图像通过验证。Step 208: Compare the facial feature similarity with a preset second threshold, and when the facial feature similarity is greater than the preset second threshold, determine that the handwritten signature image to be verified has passed the verification.
当待校验的人脸特征与最接近的用户人脸特征之间的人脸相似度大于预设的第二阈值时,认为待校验的手写签名图像和待校验的人脸图像与预设的用户签名图像数据库中的数据一致,通过验证。When the face similarity between the face feature to be verified and the closest user face feature is greater than the preset second threshold, it is considered that the handwritten signature image to be verified and the face image to be verified are the same as the preset The data in the set user signature image database is consistent and verified.
本申请通过将手写签名图像特征与预设的用户签名图像数据库比较,确定手写签名的有效性,可较大程度避免签名被冒用的风险,通过annoy算法和相似度计算的结合,可以兼顾手写签名校验的速度和精度。This application determines the validity of the handwritten signature by comparing the features of the handwritten signature image with the preset user signature image database, which can largely avoid the risk of the signature being fraudulently used. Speed and precision of signature verification.
在本实施例的一些可选的实现方式中,在步骤202之前,上述电子设备还可以执行以下步骤:In some optional implementations of this embodiment, before step 202, the above-mentioned electronic device may further perform the following steps:
获取签名图像训练样本,所述签名图像训练样本为N个标注了用户ID的手写签名图像;Obtaining signature image training samples, where the signature image training samples are N handwritten signature images marked with user IDs;
将所述签名图像训练样本输入到深度学习神经网络模型,获得所述深度学习神经网络模型响应所述签名图像训练样本输出的N个签名预测结果;Inputting the signature image training sample into a deep learning neural network model, and obtaining N signature prediction results output by the deep learning neural network model in response to the signature image training sample;
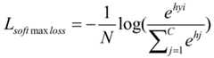
通过softmax损失函数比对所述N个签名预测结果和所述标注是否一致,其中所述softmax损失函数为:Compare the N signature prediction results with the annotations through a softmax loss function, where the softmax loss function is:
其中,N为训练样本数,针对第i个样本其对应的yi是标注的结果,h=(h1,h2,...,hc)为样本i的预测结果,其中C是所有分类的数量;Among them, N is the number of training samples, the corresponding yi for the i-th sample is the marked result, h=(h1,h2,...,hc) is the prediction result of sample i, where C is the number of all categories;
调整所述深度学习神经网络模型各节点的参数,至所述损失函数达到最小时结束,得到训练好的深度学习神经网络模型。The parameters of each node of the deep learning neural network model are adjusted until the loss function reaches a minimum, and a trained deep learning neural network model is obtained.
深度学习神经网络模型可以看成图像特征提取模型连接输出层,其中输出层为softmax输出层,softmax输出层用于根据前述图像特征提取模型提取的特征对输入的手写签名图像进行识别,训练时,通过softmaxloss比较预测结果和标注的结果是否一致,当softmaxloss达到最小值时,深度学习神经网络模型训练结束,被训练好的深度学习神经网络模型具备提取签名图像高维度特征的能力。The deep learning neural network model can be regarded as an image feature extraction model connected to the output layer. The output layer is the softmax output layer. The softmax output layer is used to identify the input handwritten signature image according to the features extracted by the aforementioned image feature extraction model. During training, The softmaxloss is used to compare whether the predicted results are consistent with the marked results. When the softmaxloss reaches the minimum value, the training of the deep learning neural network model ends, and the trained deep learning neural network model has the ability to extract high-dimensional features of the signature image.
在一些可选的实现方式中,预设用户签名图像数据库包含用户指纹特征,且指纹特征与用户签名图像特征一一对应,在步骤S208之前,上述电子设备可以执行以下步骤:In some optional implementations, the preset user signature image database includes user fingerprint features, and the fingerprint features correspond to the user signature image features one-to-one. Before step S208, the above electronic device may perform the following steps:
获取待校验的指纹图像,所述指纹图像和所述待校验的手写签名图像源于同一载体;Acquiring a fingerprint image to be verified, the fingerprint image and the handwritten signature image to be verified originate from the same carrier;
将所述指纹图像输入到预先训练的指纹特征提取模型中进行特征提取,获得待校验指纹特征;Inputting the fingerprint image into a pre-trained fingerprint feature extraction model for feature extraction to obtain fingerprint features to be verified;
根据所述最接近的用户签名图像特征检索预设的用户签名图像数据库,得到与所述最接近的用户签名图像特征对应的用户指纹特征;Retrieve a preset user signature image database according to the closest user signature image feature, and obtain the user fingerprint feature corresponding to the closest user signature image feature;
计算所述待校验指纹特征和所述用户指纹特征之间的指纹特征相似度;Calculate the fingerprint feature similarity between the fingerprint feature to be verified and the user fingerprint feature;
将所述指纹特征相似度与预设的第三阈值比较,当所述指纹特征相似度大于预设的第三阈值,且所述人脸特征相似度大于预设的第二阈值时,确定所述待校验的手写签名图像通过验证。The fingerprint feature similarity is compared with a preset third threshold, and when the fingerprint feature similarity is greater than the preset third threshold, and the face feature similarity is greater than the preset second threshold, determine the The handwritten signature image to be verified is verified.
在一些场景下,重要文件的签署不但要求手写签名,也会要求留下签署人的指纹。为了防止模仿字迹情况,同时对指纹进行识别。指纹特征的特征的提取通过预先训练的指纹特征提取模型,指纹特征提取模型基于第一卷积神经网络模型。In some scenarios, the signing of important documents requires not only a handwritten signature, but also the signer's fingerprints. In order to prevent imitation of handwriting, the fingerprint is identified at the same time. The features of the fingerprint features are extracted through a pre-trained fingerprint feature extraction model, and the fingerprint feature extraction model is based on the first convolutional neural network model.
预设的用户签名图像数据库中,用户指纹特征与用户签名图像特征一一对应,根据最接近的用户签名图像特征得到对应的用户指纹特征,计算所述待校验指纹特征和所述用户指纹特征之间的指纹特征相似度,可以计算两个特征向量之间的欧式距离。In the preset user signature image database, the user fingerprint features are in one-to-one correspondence with the user signature image features, and the corresponding user fingerprint features are obtained according to the closest user signature image features, and the fingerprint features to be verified and the user fingerprint features are calculated. The similarity between fingerprint features can be calculated by Euclidean distance between two feature vectors.
将所述指纹特征相似度与预设的第三阈值比较,当所述指纹特征相似度大于预设的第三阈值,且所述人脸特征相似度大于预设的第二阈值时,确定所述待校验的手写签名图像通过验证。The fingerprint feature similarity is compared with a preset third threshold, and when the fingerprint feature similarity is greater than the preset third threshold, and the face feature similarity is greater than the preset second threshold, determine the The handwritten signature image to be verified is verified.
验证签名的同时,同时验证指纹,可以避免字迹是被模仿,但被认为是有效签名的情况,提高了签名校验的准确性。While verifying the signature, the fingerprint is verified at the same time, which can avoid the situation that the handwriting is imitated, but it is regarded as a valid signature, which improves the accuracy of signature verification.
在一些可选的实现方式中,在上述将所述指纹图像输入到预先训练的指纹特征提取模型中进行特征提取,获得待校验指纹特征的步骤之前,上述电子设备可以执行以下步骤:In some optional implementations, before the above step of inputting the fingerprint image into a pre-trained fingerprint feature extraction model for feature extraction and obtaining the fingerprint feature to be verified, the electronic device may perform the following steps:
获取指纹图像训练样本,所述指纹图像训练样本为N个标注了用户ID的指纹图像;Obtaining fingerprint image training samples, where the fingerprint image training samples are N fingerprint images marked with user IDs;
将所述指纹图像训练样本输入到第一卷积神经网络模型,获得所述第一卷积神经网络模型响应所述指纹图像训练样本输出的N个指纹预测结果;Inputting the fingerprint image training sample into the first convolutional neural network model, and obtaining N fingerprint prediction results output by the first convolutional neural network model in response to the fingerprint image training sample;
通过softmax损失函数比对所述N个指纹预测结果和所述标注是否一致;Compare whether the N fingerprint prediction results are consistent with the annotations through the softmax loss function;
调整所述第一卷积神经网络模型各节点的参数,至所述损失函数达到最小时结束,得到训练好的指纹特征提取模型。The parameters of each node of the first convolutional neural network model are adjusted until the loss function reaches a minimum, and a trained fingerprint feature extraction model is obtained.
第一卷积神经网络的训练采用有监督的训练,即将标注了用户身份的指纹图像输入到第一卷积神经网络,调节第一卷积神经网络各节点的参数,使第一卷积神经网络输出的指纹预测结果与标注结果一致,第一卷积神经网络的输出层使用softmax输出层,通过softmaxloss衡量第一卷积神经网络是否收敛,到softmaxloss值达到最小时,第一卷积神经网络训练结束,经过训练的第一卷积神经网络的输出层之前的结构构成指纹特征提取模型。The training of the first convolutional neural network adopts supervised training, that is, the fingerprint image marked with the user's identity is input into the first convolutional neural network, and the parameters of each node of the first convolutional neural network are adjusted to make the first convolutional neural network. The output fingerprint prediction results are consistent with the labeling results. The output layer of the first convolutional neural network uses the softmax output layer. The softmaxloss is used to measure whether the first convolutional neural network converges. When the softmaxloss value reaches the minimum, the first convolutional neural network is trained. At the end, the structure before the output layer of the trained first convolutional neural network constitutes a fingerprint feature extraction model.
在一些可选的实现方式中,在上述将所述待校验的人脸图像输入到预先训练的人脸特征提取模型中进行特征提取,获得待校验人脸特征的步骤之前,上述电子设备可以执行以下步骤:In some optional implementations, before the above-mentioned step of inputting the face image to be verified into a pre-trained face feature extraction model for feature extraction and obtaining the face feature to be verified, the electronic device The following steps can be performed:
获取人脸图像训练样本,所述人脸图像训练样本为N个标注了用户ID的人脸图像;Obtaining face image training samples, where the face image training samples are N face images marked with user IDs;
将所述人脸图像训练样本输入到第二卷积神经网络模型,获得所述第二卷积神经网络模型响应所述人脸图像训练样本输出的N个人脸预测结果;Inputting the face image training sample into the second convolutional neural network model, and obtaining N face prediction results output by the second convolutional neural network model in response to the face image training sample;
通过softmax损失函数比对所述N个人脸预测结果和所述标注是否一致;Compare whether the N face prediction results are consistent with the annotations through the softmax loss function;
调整所述第二卷积神经网络模型各节点的参数,至所述损失函数达到最小时结束,得到训练好的人脸特征提取模型。The parameters of each node of the second convolutional neural network model are adjusted until the loss function reaches a minimum, and a trained facial feature extraction model is obtained.
第二卷积神经网络的训练采用有监督的训练,即将标注了用户身份的人脸图像输入到第二卷积神经网络,调节第二卷积神经网络各节点的参数,使第二卷积神经网络输出的人脸预测结果与标注结果一致,第二卷积神经网络的输出层使用softmax输出层,通过softmaxloss衡量第二卷积神经网络是否收敛,到softmaxloss值达到最小时,第二卷积神经网络训练结束,经过训练的第二卷积神经网络输出层之前的结构构成人脸特征提取模型。The training of the second convolutional neural network adopts supervised training, that is, the face image marked with the user's identity is input into the second convolutional neural network, and the parameters of each node of the second convolutional neural network are adjusted to make the second convolutional neural network The face prediction results output by the network are consistent with the labeling results. The output layer of the second convolutional neural network uses the softmax output layer, and the softmaxloss is used to measure whether the second convolutional neural network converges. When the softmaxloss value reaches the minimum, the second convolutional neural network At the end of network training, the structure before the output layer of the trained second convolutional neural network constitutes a face feature extraction model.
需要强调的是,为进一步保证上述手写签名信息的私密和安全性,上述待校验的手写签名图像还可以存储于一区块链的节点中。It should be emphasized that, in order to further ensure the privacy and security of the above-mentioned handwritten signature information, the above-mentioned handwritten signature image to be verified can also be stored in a node of a blockchain.
本申请所指区块链是分布式数据存储、点对点传输、共识机制、加密算法等计算机技术的新型应用模式。区块链(Blockchain),本质上是一个去中心化的数据库,是一串使用密码学方法相关联产生的数据块,每一个数据块中包含了一批次网络交易的信息,用于验证其信息的有效性(防伪)和生成下一个区块。区块链可以包括区块链底层平台、平台产品服 务层以及应用服务层等。The blockchain referred to in this application is a new application mode of computer technology such as distributed data storage, point-to-point transmission, consensus mechanism, and encryption algorithm. Blockchain, essentially a decentralized database, is a series of data blocks associated with cryptographic methods. Each data block contains a batch of network transaction information to verify its Validity of information (anti-counterfeiting) and generation of the next block. The blockchain can include the underlying platform of the blockchain, the platform product service layer, and the application service layer.
本申请可用于众多通用或专用的计算机系统环境或配置中。例如:个人计算机、服务器计算机、手持设备或便携式设备、平板型设备、多处理器系统、基于微处理器的系统、置顶盒、可编程的消费电子设备、网络PC、小型计算机、大型计算机、包括以上任何系统或设备的分布式计算环境等等。本申请可以在由计算机执行的计算机可执行指令的一般上下文中描述,例如计算机可读指令模块。一般地,计算机可读指令模块包括执行特定任务或实现特定抽象数据类型的例程、计算机可读指令、对象、组件、数据结构等等。也可以在分布式计算环境中实践本申请,在这些分布式计算环境中,由通过通信网络而被连接的远程处理设备来执行任务。在分布式计算环境中,计算机可读指令模块可以位于包括存储设备在内的本地和远程计算机存储介质中。The present application may be used in numerous general purpose or special purpose computer system environments or configurations. For example: personal computers, server computers, handheld or portable devices, tablet devices, multiprocessor systems, microprocessor-based systems, set-top boxes, programmable consumer electronics, network PCs, minicomputers, mainframe computers, including A distributed computing environment for any of the above systems or devices, and the like. This application may be described in the general context of computer-executable instructions, such as computer-readable instruction modules, being executed by a computer. Generally, modules of computer-readable instructions include routines, computer-readable instructions, objects, components, data structures, etc. that perform particular tasks or implement particular abstract data types. The application may also be practiced in distributed computing environments where tasks are performed by remote processing devices that are linked through a communications network. In a distributed computing environment, modules of computer readable instructions may be located in both local and remote computer storage media including storage devices.
本领域普通技术人员可以理解实现上述实施例方法中的全部或部分流程,是可以通过计算机可读指令来指令相关的硬件来完成,该计算机可读指令可存储于一计算机可读取存储介质中,该计算机可读指令在执行时,可包括如上述各方法的实施例的流程。其中,前述的存储介质可为磁碟、光盘、只读存储记忆体(Read-Only Memory,ROM)等非易失性存储介质,或随机存储记忆体(Random Access Memory,RAM)等。Those of ordinary skill in the art can understand that all or part of the processes in the methods of the above embodiments can be implemented by instructing relevant hardware through computer-readable instructions, and the computer-readable instructions can be stored in a computer-readable storage medium. , when the computer-readable instructions are executed, the processes of the above-mentioned method embodiments may be included. Wherein, the aforementioned storage medium may be a non-volatile storage medium such as a magnetic disk, an optical disk, a read-only memory (Read-Only Memory, ROM), or a random access memory (Random Access Memory, RAM) or the like.
应该理解的是,虽然附图的流程图中的各个步骤按照箭头的指示依次显示,但是这些步骤并不是必然按照箭头指示的顺序依次执行。除非本文中有明确的说明,这些步骤的执行并没有严格的顺序限制,其可以以其他的顺序执行。而且,附图的流程图中的至少一部分步骤可以包括多个子步骤或者多个阶段,这些子步骤或者阶段并不必然是在同一时刻执行完成,而是可以在不同的时刻执行,其执行顺序也不必然是依次进行,而是可以与其他步骤或者其他步骤的子步骤或者阶段的至少一部分轮流或者交替地执行。It should be understood that although the various steps in the flowchart of the accompanying drawings are sequentially shown in the order indicated by the arrows, these steps are not necessarily executed in sequence in the order indicated by the arrows. Unless explicitly stated herein, the execution of these steps is not strictly limited to the order and may be performed in other orders. Moreover, at least a part of the steps in the flowchart of the accompanying drawings may include multiple sub-steps or multiple stages, and these sub-steps or stages are not necessarily executed at the same time, but may be executed at different times, and the execution sequence is also It does not have to be performed sequentially, but may be performed alternately or alternately with other steps or at least a portion of sub-steps or stages of other steps.
进一步参考图4,作为对上述图2所示方法的实现,本申请提供了一种手写签名校验装置的一个实施例,该装置实施例与图2所示的方法实施例相对应,该装置具体可以应用于各种电子设备中。Further referring to FIG. 4 , as an implementation of the method shown in FIG. 2 above, the present application provides an embodiment of a handwritten signature verification device. The device embodiment corresponds to the method embodiment shown in FIG. 2 . The device Specifically, it can be applied to various electronic devices.
如图4所示,本实施例所述的手写签名校验装置400包括:获取模块401、第一提取模块402、第一检索模块403、第一计算模块404、第二检索模块405、第二提取模块406、第二计算模块407以及确定模块408。其中:As shown in FIG. 4 , the handwritten signature verification device 400 in this embodiment includes: an
获取模块401,用于获取待校验的手写签名图像和待校验的人脸图像,其中所述待校验的手写签名图像和所述待校验的人脸图像来源于同一载体;The obtaining
第一提取模块402,用于将所述待校验的手写签名图像输入到预先训练的深度学习神经网络模型中进行特征提取,获得手写签名图像特征;The
第一检索模块403,用于根据所述手写签名图像特征采用annoy搜索算法对预设的用户签名图像数据库进行检索,获取与所述手写签名图像特征最接近的用户签名图像特征;The
第一计算模块404,用于计算所述手写签名图像特征和所述最接近的用户签名图像特征之间的签名特征相似度;The
第二检索模块405,用于将所述签名特征相似度与预设的第一阈值比较,当所述签名特征相似度大于预设的第一阈值时,根据所述最接近的用户签名图像特征检索预设的用户签名图像数据库,得到最接近的用户人脸特征,其中,所述预设的用户签名图像数据库中的用户签名图像特征与用户人脸特征一一对应;The
第二提取模块406,用于将所述待校验的人脸图像输入到预先训练的人脸特征提取模型进行人脸特征提取,获得待校验的人脸特征;The
第二计算模块407,用于计算所述待校验的人脸特征与所述最接近的用户人脸特征之间的人脸特征相似度;The
确定模块408,用于将所述人脸特征相似度与预设的第二阈值比较,当所述人脸特征相似度大于预设的第二阈值时,确定所述待校验的手写签名图像通过验证。A
在本实施例中,通过将手写签名图像特征与预设的用户签名图像数据库比较,确定手写签名的有效性,可较大程度避免签名被冒用的风险,通过annoy算法和相似度计算的结合,可以兼顾手写签名校验的速度和精度。In this embodiment, the validity of the handwritten signature is determined by comparing the features of the handwritten signature image with the preset user signature image database, which can largely avoid the risk of the signature being fraudulently used. Through the combination of the annoy algorithm and the similarity calculation , which can take into account the speed and accuracy of handwritten signature verification.
在本实施例的一些可选的实现方式中,所述手写签名校验装置400还包括:In some optional implementations of this embodiment, the handwritten signature verification device 400 further includes:
第一获取子模块,用于获取签名图像训练样本,所述签名图像训练样本为N个标注了用户ID的手写签名图像;The first acquisition submodule is used to acquire signature image training samples, where the signature image training samples are N handwritten signature images marked with user IDs;
第一预测子模块,用于将所述签名图像训练样本输入到深度学习神经网络模型,获得所述深度学习神经网络模型响应所述签名图像训练样本输出的N个签名预测结果;a first prediction submodule, configured to input the signature image training sample into a deep learning neural network model, and obtain N signature prediction results output by the deep learning neural network model in response to the signature image training sample;
第一比对子模块,用于通过softmax损失函数比对所述N个签名预测结果和所述标注是否一致,其中所述softmax损失函数为:The first comparison sub-module is used to compare whether the N signature prediction results are consistent with the annotations through a softmax loss function, wherein the softmax loss function is:
其中,N为训练样本数,针对第i个样本其对应的yi是标注的结果,h=(h1,h2,...,hc)为样本i的预测结果,其中C是所有分类的数量;Among them, N is the number of training samples, the corresponding yi for the i-th sample is the marked result, h=(h1,h2,...,hc) is the prediction result of sample i, where C is the number of all categories;
第一调整子模块,用于调整所述深度学习神经网络模型各节点的参数,至所述损失函数达到最小时结束,得到训练好的深度学习神经网络模型。The first adjustment sub-module is used to adjust the parameters of each node of the deep learning neural network model, and ends when the loss function reaches a minimum, and a trained deep learning neural network model is obtained.
在本实施例的一些可选的实现方式中,所述手写签名校验装置400还包括:In some optional implementations of this embodiment, the handwritten signature verification device 400 further includes:
第二获取子模块,用于获取待校验的指纹图像,所述指纹图像和所述待校验的手写签名图像源于同一载体;The second acquisition sub-module is used to acquire the fingerprint image to be verified, and the fingerprint image and the handwritten signature image to be verified originate from the same carrier;
第一提取子模块,用于将所述指纹图像输入到预先训练的指纹特征提取模型中进行特征提取,获得待校验指纹特征;The first extraction submodule is used for inputting the fingerprint image into a pre-trained fingerprint feature extraction model for feature extraction to obtain fingerprint features to be verified;
第一检索子模块,用于根据所述最接近的用户签名图像特征检索预设的用户签名图像数据库,得到与所述最接近的用户签名图像特征对应的用户指纹特征;a first retrieval submodule, used for retrieving a preset user signature image database according to the closest user signature image feature, to obtain a user fingerprint feature corresponding to the closest user signature image feature;
第一计算子模块,用于计算所述待校验指纹特征和所述用户指纹特征之间的指纹特征相似度;a first calculation submodule for calculating the fingerprint feature similarity between the fingerprint feature to be verified and the user fingerprint feature;
第一确定子模块,用于将所述指纹特征相似度与预设的第三阈值比较,当所述指纹特征相似度大于预设的第三阈值,且所述人脸特征相似度大于预设的第二阈值时,确定所述待校验的手写签名图像通过验证。The first determination sub-module is used to compare the similarity of the fingerprint features with a preset third threshold, when the similarity of the fingerprint features is greater than the preset third threshold, and the similarity of the face features is greater than the preset third threshold When the second threshold is , it is determined that the handwritten signature image to be verified has passed the verification.
在本实施例的一些可选的实现方式中,所述手写签名校验装置400还包括:In some optional implementations of this embodiment, the handwritten signature verification device 400 further includes:
第三获取子模块,用于获取指纹图像训练样本,所述指纹图像训练样本为N个标注了用户ID的指纹图像;The third acquisition sub-module is used to acquire fingerprint image training samples, and the fingerprint image training samples are N fingerprint images marked with user IDs;
第二预测子模块,用于将所述指纹图像训练样本输入到第一卷积神经网络模型,获得所述第一卷积神经网络模型响应所述指纹图像训练样本输出的N个指纹预测结果;a second prediction submodule, configured to input the fingerprint image training sample into a first convolutional neural network model, and obtain N fingerprint prediction results output by the first convolutional neural network model in response to the fingerprint image training sample;
第二比对子模块,用于通过softmax损失函数比对所述N个指纹预测结果和所述标注是否一致;The second comparison sub-module is used to compare the N fingerprint prediction results and the labels through the softmax loss function;
第二调整子模块,用于调整所述第一卷积神经网络模型各节点的参数,至所述损失函数达到最小时结束,得到训练好的指纹特征提取模型。The second adjustment sub-module is used to adjust the parameters of each node of the first convolutional neural network model, and ends when the loss function reaches a minimum, and a trained fingerprint feature extraction model is obtained.
在本实施例的一些可选的实现方式中,所述手写签名校验装置400还包括:In some optional implementations of this embodiment, the handwritten signature verification device 400 further includes:
第五获取子模块,用于获取人脸图像训练样本,所述人脸图像训练样本为N个标注了用户ID的人脸图像;The fifth acquisition sub-module is used to acquire face image training samples, and the face image training samples are N face images marked with user IDs;
第三预测子模块,用于将所述人脸图像训练样本输入到第二卷积神经网络模型,获得所述第二卷积神经网络模型响应所述人脸图像训练样本输出的N个人脸预测结果;The third prediction submodule is configured to input the face image training sample into the second convolutional neural network model, and obtain N face predictions output by the second convolutional neural network model in response to the face image training sample result;
第三比对子模块,用于通过softmax损失函数比对所述N个人脸预测结果和所述标注是否一致;The third comparison sub-module is used to compare whether the N face prediction results are consistent with the labeling through the softmax loss function;
第三调整子模块,用于调整所述第二卷积神经网络模型各节点的参数,至所述损失函 数达到最小时结束,得到训练好的人脸特征提取模型。The third adjustment sub-module is used to adjust the parameters of each node of the second convolutional neural network model, and ends when the loss function reaches a minimum, to obtain a trained facial feature extraction model.
在本实施例的一些可选的实现方式中,所述手写签名校验装置400还包括:In some optional implementations of this embodiment, the handwritten signature verification device 400 further includes:
存储模块,用于将所述待校验的手写签名图像和待校验的人脸图像存储至区块链中。The storage module is used to store the to-be-verified handwritten signature image and the to-be-verified face image in the blockchain.
为解决上述技术问题,本申请实施例还提供计算机设备。具体请参阅图5,图5为本实施例计算机设备基本结构框图。To solve the above technical problems, the embodiments of the present application also provide computer equipment. Please refer to FIG. 5 for details. FIG. 5 is a block diagram of a basic structure of a computer device according to this embodiment.
所述计算机设备5包括通过系统总线相互通信连接存储器51、处理器52、网络接口53。需要指出的是,图中仅示出了具有组件51-53的计算机设备5,但是应理解的是,并不要求实施所有示出的组件,可以替代的实施更多或者更少的组件。其中,本技术领域技术人员可以理解,这里的计算机设备是一种能够按照事先设定或存储的指令,自动进行数值计算和/或信息处理的设备,其硬件包括但不限于微处理器、专用集成电路(Application Specific Integrated Circuit,ASIC)、可编程门阵列(Field-Programmable Gate Array,FPGA)、数字处理器(Digital Signal Processor,DSP)、嵌入式设备等。The
所述计算机设备可以是桌上型计算机、笔记本、掌上电脑及云端服务器等计算设备。所述计算机设备可以与用户通过键盘、鼠标、遥控器、触摸板或声控设备等方式进行人机交互。The computer equipment may be a desktop computer, a notebook computer, a palmtop computer, a cloud server and other computing equipment. The computer device can perform human-computer interaction with the user through a keyboard, a mouse, a remote control, a touch pad or a voice control device.
所述存储器51至少包括一种类型的可读存储介质,所述可读存储介质包括闪存、硬盘、多媒体卡、卡型存储器(例如,SD或DX存储器等)、随机访问存储器(RAM)、静态随机访问存储器(SRAM)、只读存储器(ROM)、电可擦除可编程只读存储器(EEPROM)、可编程只读存储器(PROM)、磁性存储器、磁盘、光盘等。在一些实施例中,所述存储器51可以是所述计算机设备5的内部存储单元,例如该计算机设备5的硬盘或内存。在另一些实施例中,所述存储器51也可以是所述计算机设备5的外部存储设备,例如该计算机设备5上配备的插接式硬盘,智能存储卡(Smart Media Card,SMC),安全数字(Secure Digital,SD)卡,闪存卡(Flash Card)等。当然,所述存储器51还可以既包括所述计算机设备5的内部存储单元也包括其外部存储设备。本实施例中,所述存储器51通常用于存储安装于所述计算机设备5的操作系统和各类应用软件,例如手写签名校验方法的计算机可读指令等。此外,所述存储器51还可以用于暂时地存储已经输出或者将要输出的各类数据。The
所述处理器52在一些实施例中可以是中央处理器(Central Processing Unit,CPU)、控制器、微控制器、微处理器、或其他数据处理芯片。该处理器52通常用于控制所述计算机设备5的总体操作。本实施例中,所述处理器52用于运行所述存储器51中存储的计算机可读指令或者处理数据,例如运行所述手写签名校验方法的计算机可读指令。In some embodiments, the
所述网络接口53可包括无线网络接口或有线网络接口,该网络接口53通常用于在所述计算机设备5与其他电子设备之间建立通信连接。The
通过将手写签名图像特征与预设的用户签名图像数据库比较,确定手写签名的有效性,可较大程度避免签名被冒用的风险,通过annoy算法和相似度计算的结合,可以兼顾手写签名校验的速度和精度。By comparing the characteristics of the handwritten signature image with the preset user signature image database, the validity of the handwritten signature can be determined, and the risk of signature fraud can be avoided to a large extent. speed and accuracy of the test.
本申请还提供了另一种实施方式,即提供一种计算机可读存储介质,所述计算机可读存储介质存储有计算机可读指令,所述计算机可读指令可被至少一个处理器执行,以使所述至少一个处理器执行如上述的手写签名校验方法的步骤。所述计算机可读存储介质可以是非易失性,也可以是易失性。The present application also provides another embodiment, that is, to provide a computer-readable storage medium, where the computer-readable storage medium stores computer-readable instructions, and the computer-readable instructions can be executed by at least one processor to The at least one processor is caused to perform the steps of the handwritten signature verification method as described above. The computer-readable storage medium may be non-volatile or volatile.
通过将手写签名图像特征与预设的用户签名图像数据库比较,确定手写签名的有效性,可较大程度避免签名被冒用的风险,通过annoy算法和相似度计算的结合,可以兼顾手写签名校验的速度和精度。By comparing the characteristics of the handwritten signature image with the preset user signature image database, the validity of the handwritten signature can be determined, and the risk of signature fraud can be avoided to a large extent. speed and accuracy of the test.
通过以上的实施方式的描述,本领域的技术人员可以清楚地了解到上述实施例方法可借助软件加必需的通用硬件平台的方式来实现,当然也可以通过硬件,但很多情况下前者是更佳的实施方式。基于这样的理解,本申请的技术方案本质上或者说对现有技术做出贡献的部分可以以软件产品的形式体现出来,该计算机软件产品存储在一个存储介质(如 ROM/RAM、磁碟、光盘)中,包括若干指令用以使得一台终端设备(可以是手机,计算机,服务器,空调器,或者网络设备等)执行本申请各个实施例所述的方法。From the description of the above embodiments, those skilled in the art can clearly understand that the method of the above embodiment can be implemented by means of software plus a necessary general hardware platform, and of course can also be implemented by hardware, but in many cases the former is better implementation. Based on this understanding, the technical solution of the present application can be embodied in the form of a software product in essence or in a part that contributes to the prior art, and the computer software product is stored in a storage medium (such as ROM/RAM, magnetic disk, CD-ROM), including several instructions to make a terminal device (which may be a mobile phone, a computer, a server, an air conditioner, or a network device, etc.) execute the methods described in the various embodiments of this application.
显然,以上所描述的实施例仅仅是本申请一部分实施例,而不是全部的实施例,附图中给出了本申请的较佳实施例,但并不限制本申请的专利范围。本申请可以以许多不同的形式来实现,相反地,提供这些实施例的目的是使对本申请的公开内容的理解更加透彻全面。尽管参照前述实施例对本申请进行了详细的说明,对于本领域的技术人员来而言,其依然可以对前述各具体实施方式所记载的技术方案进行修改,或者对其中部分技术特征进行等效替换。凡是利用本申请说明书及附图内容所做的等效结构,直接或间接运用在其他相关的技术领域,均同理在本申请专利保护范围之内。Obviously, the above-described embodiments are only a part of the embodiments of the present application, rather than all of the embodiments. The accompanying drawings show the preferred embodiments of the present application, but do not limit the scope of the patent of the present application. This application may be embodied in many different forms, rather these embodiments are provided so that a thorough and complete understanding of the disclosure of this application is provided. Although the present application has been described in detail with reference to the foregoing embodiments, those skilled in the art can still modify the technical solutions described in the foregoing specific embodiments, or perform equivalent replacements for some of the technical features. . Any equivalent structure made by using the contents of the description and drawings of the present application, which is directly or indirectly used in other related technical fields, is also within the scope of protection of the patent of the present application.
| Application Number | Priority Date | Filing Date | Title |
|---|---|---|---|
| CN202011609053.5ACN112733645B (en) | 2020-12-30 | 2020-12-30 | Handwritten signature verification method, handwritten signature verification device, computer equipment and storage medium |
| CN202011609053.5 | 2020-12-30 |
| Publication Number | Publication Date |
|---|---|
| WO2022142032A1true WO2022142032A1 (en) | 2022-07-07 |
| Application Number | Title | Priority Date | Filing Date |
|---|---|---|---|
| PCT/CN2021/091266CeasedWO2022142032A1 (en) | 2020-12-30 | 2021-04-30 | Handwritten signature verification method and apparatus, computer device, and storage medium |
| Country | Link |
|---|---|
| CN (1) | CN112733645B (en) |
| WO (1) | WO2022142032A1 (en) |
| Publication number | Priority date | Publication date | Assignee | Title |
|---|---|---|---|---|
| CN116089447A (en)* | 2022-11-07 | 2023-05-09 | 上海信宝博通电子商务有限公司 | Data processing method and device for risk report query |
| US12125318B1 (en) | 2024-04-15 | 2024-10-22 | Quick Quack Car Wash Holdings, LLC | Apparatus and a method for detecting fraudulent signature inputs |
| Publication number | Priority date | Publication date | Assignee | Title |
|---|---|---|---|---|
| CN113255582A (en)* | 2021-06-21 | 2021-08-13 | 中国银行股份有限公司 | Handwriting identification method and device based on deep neural network and block chain |
| CN113705560B (en)* | 2021-09-01 | 2025-04-25 | 深圳平安医疗健康科技服务有限公司 | Data extraction method, device, equipment and storage medium based on image recognition |
| US12051256B2 (en) | 2021-09-13 | 2024-07-30 | Microsoft Technology Licensing, Llc | Entry detection and recognition for custom forms |
| CN114724150B (en)* | 2022-04-24 | 2025-08-01 | 中国工商银行股份有限公司 | Intelligent detection method and device for business information, computer equipment, medium and product |
| CN117037191A (en)* | 2022-10-13 | 2023-11-10 | 腾讯科技(深圳)有限公司 | Training method, data processing method, device, storage medium, and program product |
| CN117133000A (en)* | 2023-08-09 | 2023-11-28 | 中国平安人寿保险股份有限公司 | Signature verification methods, devices, equipment and storage media |
| CN117437650A (en)* | 2023-12-20 | 2024-01-23 | 山东山大鸥玛软件股份有限公司 | Handwritten signature comparison method, system, device and medium based on deep learning |
| CN118384467A (en)* | 2024-04-26 | 2024-07-26 | 广东新粤交通投资有限公司 | Intelligent Internet of things monitoring system and method for expressway tunnel fire-fighting equipment |
| Publication number | Priority date | Publication date | Assignee | Title |
|---|---|---|---|---|
| CN103995995A (en)* | 2013-04-22 | 2014-08-20 | 厦门维觉电子科技有限公司 | Multimedia signature identification method and system |
| CN105631272A (en)* | 2016-02-02 | 2016-06-01 | 云南大学 | Multi-safeguard identity authentication method |
| CN106779665A (en)* | 2016-11-23 | 2017-05-31 | 广东微模式软件股份有限公司 | A POS cash withdrawal method based on human biometric identification and anti-repudiation technology |
| CN108388813A (en)* | 2018-02-28 | 2018-08-10 | 中国平安财产保险股份有限公司 | Electronic endorsement method, user equipment, storage medium and device |
| CN109523392A (en)* | 2018-10-19 | 2019-03-26 | 中国平安财产保险股份有限公司 | Signature file generation method, device, computer equipment and storage medium |
| US20200218794A1 (en)* | 2018-04-04 | 2020-07-09 | Beijing Sensetime Technology Development Co., Ltd. | Identity authentication, unlocking, and payment methods and apparatuses, storage media, products, and devices |
| Publication number | Priority date | Publication date | Assignee | Title |
|---|---|---|---|---|
| CN107302433A (en)* | 2016-04-15 | 2017-10-27 | 平安科技(深圳)有限公司 | Method of calibration, verification server and the user terminal of electronic signature |
| CN109409254A (en)* | 2018-10-10 | 2019-03-01 | 成都优易数据有限公司 | A kind of electronic contract handwritten signature identification method based on twin neural network |
| CN110210194A (en)* | 2019-04-18 | 2019-09-06 | 深圳壹账通智能科技有限公司 | Electronic contract display methods, device, electronic equipment and storage medium |
| CN111428557A (en)* | 2020-02-18 | 2020-07-17 | 深圳壹账通智能科技有限公司 | Method and device for automatic verification of handwritten signature based on neural network model |
| Publication number | Priority date | Publication date | Assignee | Title |
|---|---|---|---|---|
| CN103995995A (en)* | 2013-04-22 | 2014-08-20 | 厦门维觉电子科技有限公司 | Multimedia signature identification method and system |
| CN105631272A (en)* | 2016-02-02 | 2016-06-01 | 云南大学 | Multi-safeguard identity authentication method |
| CN106779665A (en)* | 2016-11-23 | 2017-05-31 | 广东微模式软件股份有限公司 | A POS cash withdrawal method based on human biometric identification and anti-repudiation technology |
| CN108388813A (en)* | 2018-02-28 | 2018-08-10 | 中国平安财产保险股份有限公司 | Electronic endorsement method, user equipment, storage medium and device |
| US20200218794A1 (en)* | 2018-04-04 | 2020-07-09 | Beijing Sensetime Technology Development Co., Ltd. | Identity authentication, unlocking, and payment methods and apparatuses, storage media, products, and devices |
| CN109523392A (en)* | 2018-10-19 | 2019-03-26 | 中国平安财产保险股份有限公司 | Signature file generation method, device, computer equipment and storage medium |
| Publication number | Priority date | Publication date | Assignee | Title |
|---|---|---|---|---|
| CN116089447A (en)* | 2022-11-07 | 2023-05-09 | 上海信宝博通电子商务有限公司 | Data processing method and device for risk report query |
| US12125318B1 (en) | 2024-04-15 | 2024-10-22 | Quick Quack Car Wash Holdings, LLC | Apparatus and a method for detecting fraudulent signature inputs |
| Publication number | Publication date |
|---|---|
| CN112733645B (en) | 2023-08-01 |
| CN112733645A (en) | 2021-04-30 |
| Publication | Publication Date | Title |
|---|---|---|
| WO2022142032A1 (en) | Handwritten signature verification method and apparatus, computer device, and storage medium | |
| CN113435583B (en) | Federal learning-based countermeasure generation network model training method and related equipment thereof | |
| US12417647B2 (en) | Method and apparatus for recognizing multimedia content | |
| US11727053B2 (en) | Entity recognition from an image | |
| WO2022126970A1 (en) | Method and device for financial fraud risk identification, computer device, and storage medium | |
| US11409789B2 (en) | Determining identity in an image that has multiple people | |
| CN112528025A (en) | Text clustering method, device and equipment based on density and storage medium | |
| WO2022142014A1 (en) | Multi-modal information fusion-based text classification method, and related device thereof | |
| WO2022174491A1 (en) | Artificial intelligence-based method and apparatus for medical record quality control, computer device, and storage medium | |
| WO2021143267A1 (en) | Image detection-based fine-grained classification model processing method, and related devices | |
| CN114780727A (en) | Text classification method and device based on reinforcement learning, computer equipment and medium | |
| WO2022105118A1 (en) | Image-based health status identification method and apparatus, device and storage medium | |
| CN112330331A (en) | Identity verification method, device and equipment based on face recognition and storage medium | |
| CN112668482B (en) | Face recognition training method, device, computer equipment and storage medium | |
| CN112995414B (en) | Behavior quality inspection method, device, equipment and storage medium based on voice call | |
| CN113553386B (en) | Embedding representation model training method, question answering method and device based on knowledge graph | |
| CN113688268B (en) | Picture information extraction method, device, computer equipment and storage medium | |
| WO2022105120A1 (en) | Text detection method and apparatus from image, computer device and storage medium | |
| CN114282258A (en) | Screen capture data desensitization method and device, computer equipment and storage medium | |
| CN114547575A (en) | A kind of electronic signature verification method, device, computer equipment and storage medium | |
| CN118799947A (en) | Training method of face anti-counterfeiting recognition model, face anti-counterfeiting recognition method and device | |
| CN112966150A (en) | Video content extraction method and device, computer equipment and storage medium | |
| CN116524574A (en) | Facial area recognition method and device and electronic equipment | |
| CN117078332A (en) | Abnormal behavior detection method, device, computer equipment and storage medium | |
| CN114528837A (en) | Intention recognition method and device, computer equipment and storage medium |
| Date | Code | Title | Description |
|---|---|---|---|
| 121 | Ep: the epo has been informed by wipo that ep was designated in this application | Ref document number:21912794 Country of ref document:EP Kind code of ref document:A1 | |
| NENP | Non-entry into the national phase | Ref country code:DE | |
| 122 | Ep: pct application non-entry in european phase | Ref document number:21912794 Country of ref document:EP Kind code of ref document:A1 |