Movatterモバイル変換


[0]ホーム

URL:


WO2022129879A1 - Method and system for generating a recovery score for a user - Google Patents

Method and system for generating a recovery score for a user
Download PDF

Info

Publication number
WO2022129879A1
WO2022129879A1PCT/GB2021/053262GB2021053262WWO2022129879A1WO 2022129879 A1WO2022129879 A1WO 2022129879A1GB 2021053262 WGB2021053262 WGB 2021053262WWO 2022129879 A1WO2022129879 A1WO 2022129879A1
Authority
WO
WIPO (PCT)
Prior art keywords
user
heartrate
hrv
recovery
measure
Prior art date
Legal status (The legal status is an assumption and is not a legal conclusion. Google has not performed a legal analysis and makes no representation as to the accuracy of the status listed.)
Ceased
Application number
PCT/GB2021/053262
Other languages
French (fr)
Inventor
David ROBERTAUD
Martin ASHBY
Current Assignee (The listed assignees may be inaccurate. Google has not performed a legal analysis and makes no representation or warranty as to the accuracy of the list.)
Prevayl Innovations Ltd
Original Assignee
Prevayl Innovations Ltd
Priority date (The priority date is an assumption and is not a legal conclusion. Google has not performed a legal analysis and makes no representation as to the accuracy of the date listed.)
Filing date
Publication date
Application filed by Prevayl Innovations LtdfiledCriticalPrevayl Innovations Ltd
Priority to EP21830325.3ApriorityCriticalpatent/EP4262544A1/en
Publication of WO2022129879A1publicationCriticalpatent/WO2022129879A1/en
Anticipated expirationlegal-statusCritical
Ceasedlegal-statusCriticalCurrent

Links

Classifications

Definitions

Landscapes

Abstract

A method and system of generating a recovery score for a user. The method comprises obtaining a measure, HRfirst, of the heartrate of the user when in a first position (S601). The method comprises obtaining a measure, HRVfirst, of the heartrate variability of the user when in the first position (S602). The method comprises obtaining a measure, HRsecond, of the heartrate of the user when in a second position (S603). The method comprises obtaining a measure, HRVsecond, of the heartrate variability of the user when in the second position (S604). The method further comprises generating the recovery score using HRfirst, HRVfirst,HRsecond, and HRVsecond (S605).

Description

METHOD AND SYSTEM FOR GENERATING A RECOVERY SCORE FOR A USER
The present invention is directed towards a method and system for generating a recovery score for a user. In particular, the present invention is directed towards methods and systems for determining a recovery score using heartrate values of the user obtained when the user is in a first position such as a resting (e.g. sitting or lying down) position and a second position such as a standing position.
Background
Wearable articles, such as garments, incorporating sensors are wearable electronics used to measure and collect information from a wearer. Such wearable articles are commonly referred to as ‘smart clothing’. It is advantageous to measure biosignals of the wearer during exercise, or other scenarios.
It is known to provide a garment, or other wearable article, to which an electronic device (i.e. an electronics module, and/or related components) is attached in a prominent position, such as on the chest or between the shoulder blades. Advantageously, the electronic device is a detachable device. The electronic device is configured to process the incoming signals, and the output from the processing is stored and/or displayed to a user in a suitable way
A sensor senses a biosignal such as electrocardiogram (ECG) signals and the biosignals are coupled to the electronic device, via an interface. The sensors may be coupled to the interface by means of conductors which are connected to terminals provided on the interface to enable coupling of the signals from the sensor to the interface.
Electronics modules for wearable articles such as garments are known to communicate with user electronic devices over wireless communication protocols such as Bluetooth ® and Bluetooth ® Low Energy. These electronics modules are typically removably attached to the wearable article, interface with internal electronics of the wearable article, and comprise a Bluetooth ® antenna for communicating with the user electronic device.
The electronic device includes drive and sensing electronics comprising components and associated circuitry, to provide the required functionality. The drive and sensing electronics include a power source to power the electronic device and the associated components of the drive and sensing circuitry.
ECG sensing is used to provide a plethora of information about a person’s heart. It is one of the simplest and oldest techniques used to perform cardiac investigations. In its most basic form, it provides an insight into the electrical activity generated within heart muscles that changes over time. By detecting and amplifying these differential biopotential signals, a lot of information can be gathered quickly, including the heart rate. Among professional medical staff, individual signals have names such as “the QRS complex,” which is the largest part of an ECG signal and is a collection of Q, R, and S signals, including the P and T waves.
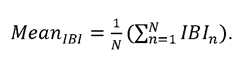
Typically, the detected ECG signals can be displayed as a trace to a user for information. The user may be a clinician who is looking to assess cardiac health or may be a lay user using the electronics module as a fitness or health and wellness assessment device. A typical ECG waveform or trace is illustrated in Figure 1 showing the QRS complex. Figure 2 shows an ECG waveform of two successive heartbeats. The time difference between the two R peaks in the ECG waveform is the inter-beat interval (I Bl) also known as the R-R interval. This time is usually expressed in milliseconds. IBI values represent the time between successive heartbeats.
The orthostatic heart rate (OHR) test (and other similar tests) is an established and widely used test for monitoring the fitness level of a user. OHR test results can indicate whether the user is stressed, overtired, overtrained, or is ill. OHR tests are widely used in the managing of training of athletes and other individuals.
An OHR test measures the difference between the resting heart rate of the user and the orthostatic heart rate. The resting heart rate of the user refers to the heart rate when the user is at rest such as when sitting or lying down in a relaxed position. Generally, the user is lying down in the supine position. The orthostatic heart rate is the heart rate of the user when standing.
The OHR test requires the user to adopt the resting position for a time period of generally 3 minutes and then transfer to the standing position for a further 3 minutes. In a self-testing environment where the OHR test is not supervised by a professional, it can be challenging to ensure that the user complies with adopting these positions at the required times. It can also be challenging to ensure that the user remains in these positions during the test.
If the user does not adopt the resting position before starting the OHR test, the heartrate data recorded while supposedly in the resting position may be inaccurate leading to an inaccurate OHR score. Moreover, if the user deviates from the resting or standing position during the OHR test, the heartrate date recorded may be inaccurate leading to an inaccurate score.
Furthermore, it can be difficult for a user to determine useful information from the OHR score (the difference between the resting heartrate and the orthostatic heart rate) by itself. Useful information includes information relating to the recovery state of the user, such as whether they are under recovered and should rest or recovered and should take part in exercise. Knowing the recovery state of the user enables the user to optimise their training schedule so as to avoid overtraining and risking injury.
An object of the present invention is to provide an improved method and system for performing a recovery test such as an OHR test.
A further object of the present invention is to provide an improved method and system for generating a recovery score from heartbeat values obtained during a recovery test such as an OHR test.
Summary
According to the present disclosure there is provided a method and system as set forth in the appended claims. Other features of the invention will be apparent from the dependent claims, and the description which follows.
According to a first aspect of the disclosure, there is provided a computer-implemented method of performing a recovery test. The method comprises obtaining motion data for the user. The method comprises determining, from the motion data, whether the user has adopted a first position. If the user has adopted the first position, the method comprises obtaining heartbeat data for the user over a first time period; and using the heartbeat data obtained over the first time period to generate a recovery score for the user.
Advantageously, motion data is used to determine whether the user has adopted the first position before the heartbeat data is obtained over the first time period. This helps increase the accuracy of the generated recovery score and helps ensure user compliance with the recovery test without the need for human supervision.
The first position may be a resting position. The resting position may be a position in which the user is sitting or lying down in a relaxed position. Generally, the user is lying down in the supine position
If the user has not adopted the first position, the method further comprises generating a prompt to the user to adopt the first position. Advantageously, the prompt may trigger the user to adopt the first position so as to enable the heartbeat data to be obtained over the first time period. This helps ensure user compliance with the recovery test without the need for human supervision.
The prompt may be audible, visual or haptic prompt or may be a combination of any of audible, visual and haptic prompts. The method may comprise obtaining motion data for the user during the first time period.
The method may comprise determining from the motion data whether the user remains in the first position.
Advantageously, the motion data can be used to ensure user compliance with the recovery test without the need for human supervision. The motion data can be used to determine whether the user has deviated from the first position during the first time period. Deviating from the first position may mean that the user moves from a relaxed position such as a sitting or lying down position to a standing position. If the user has deviated from the first position then the accuracy of the recovery test will likely have been compromised as the obtained heartbeat data will not be a true reflection of the user’s heartbeat while in the first position.
If the user does not remain in the first position, the method may further comprises generating a prompt to the user to restart the recovery test. The prompt may be audible, visual or haptic prompt or may be a combination of any of audible, visual and haptic prompts.
Advantageously, the user may be prompted to restart the recovery test if they deviate from the first position. In this way, heartbeat data obtained after the user has incorrectly deviated from the first position may not be used to generate the recovery score. Instead, the recovery test may be restarted. This helps increase the accuracy of the generated recovery score.
The method may further comprise determining from the obtained heartbeat data whether an abnormal condition is present. The abnormal condition may be a heartbeat that is too high, too low or has a high variance. Advantageously, by detecting an abnormal condition, the present disclosure is able to identify whether the recovery test may be compromised due to abnormally recorded heartbeat data without requiring human supervision of the recovery test.
If the abnormal condition is present, the method may further comprises generating a prompt to the user to restart the recovery test.
If the abnormal condition is present, the method may further comprises generating a prompt to the user to seek medical advice.
Generating the recovery score for the user may comprise: obtaining a measure, HRfirst, of the heartrate of the user when in the first position; obtaining a measure, HRVfirst, of the heartrate variability of the user when in the first position; and generating the recovery score for the user using HRfirst and HRVfirst. The method may comprise obtaining heartbeat data for the user over a second time period occurring after the first time period.
The method may comprise obtaining motion data for the user during the second time period.
The method may comprise determining from the motion data whether the user remains in a second position during the second time period.
The second position may be a standing position.
Advantageously, the motion data can be used to ensure user compliance with the recovery test without the need for human supervision. The motion data can be used to determine whether the user has deviated from the second position during the second time period. Deviating from the second position may mean that the user moves from a standing position to a walking position or a sitting down or lying position. If the user has deviated from the second position then the accuracy of the recovery test will likely have been compromised as the obtained heartbeat data will not be a true reflection of the user’s heartbeat while in the second position.
If the user does not remain in the second position, the method may further comprise generating a prompt to the user to restart the recovery test.
Advantageously, the user may be prompted to restart the recovery test if they deviate from the second position. In this way, heartbeat data obtained after the user has incorrectly deviated from the second position may not be used to generate the recovery score. Instead, the recovery test may be restarted. This helps increase the accuracy of the generated recovery score.
The method may comprise determining from the obtained heartbeat data whether an abnormal condition is present during the second time period. The abnormal condition may be a heartbeat that is too high, too low or has a high variance. Advantageously, by detecting an abnormal condition, the present disclosure is able to identify whether the recovery test has been compromised due to abnormally recorded heartbeat data without requiring human supervision of the recovery test.
If the abnormal condition is present, the method may further comprise generating a prompt to the user to restart the recovery test. The prompt may be audible, visual or haptic prompt or may be a combination of any of audible, visual and haptic prompts. If the abnormal condition is present, the method may further comprises generating a prompt to the user to seek medical advice.
The method may comprise: obtaining motion data for the user after the first time period; determining, from the motion data, whether the user has adopted the second position; and if the user has adopted the second position, the heartbeat data is obtained over the second time period.
Advantageously, motion data may be used to determine whether the user has adopted the second position before the heartbeat data is obtained over the second time period. This helps increase the accuracy of the generated recovery score and helps ensure user compliance with the recovery test without the need for human supervision.
If the user has not adopted the second position, the method may further comprise generating a prompt to the user to adopt the second position. Advantageously, the prompt may trigger the user to adopt the second position so as to enable the heartbeat data to be obtained over the second time period. This helps ensure user compliance with the recovery test without the need for human supervision.
The method may further comprise using the heartbeat data obtained over the second time period to generate a recovery score for the user.
Generating the recovery score for the user may comprise: obtaining a measure, HRfirst, of the heartrate of the user when in the first position; obtaining a measure HRsecond of the heartrate of the user when in the second position; and generating the recovery score for the user using HRfirst and HRsecond . Generating the recovery score may comprise using the difference between HRsecond and HRfirst.
Generating the recovery score for the user may comprise: obtaining a measure, HRfirst, of the heartrate of the userwhen in the first position; obtaining a measure, HRVfirst, of the heartrate variability of the user when in the first position; obtaining a measure, HRsecond, of the heartrate of the userwhen in a second position; and obtaining a measure, HRVsecond, of the heartrate variability of the user when in the second position, wherein the recovery score is generated using HRfirst, HRVfirst,HRsecond, and HRVsecond. Advantageously, heartrate and heartrate variability values are used to generate the recovery score rather than just heartrate values as used in existing orthostatic heart rate tests. This enhances the accuracy of the recovery score.
The recovery score may be generated according to a comparison of HRVfirst and HRVsecondto historic heartrate variability values of the user when in the first and second positions.
Advantageously, by comparing the current heartrate variability of the user to historic values, the present disclosure is able to determine the recovery state of the user. Generally, if the current heartrate variability values are higher than historic heartrate variability values it shows that the user is in a recovered state.
The recovery score may be generated according to a comparison of HRfirst and HRsecond to historic heartrate values of the user when in the first and second positions.
Advantageously, by comparing the current heartrate of the user to historic values, the present disclosure is able to determine the recovery state of the user. Generally, if the current heartrate values are lower than historic heartrate values it shows that the user is in a recovered state.
The method may be performed by a controller for a user electronic device. The user electronics device may further include an interface, coupled to the controller, and arranged to receive signals from an electronics module for a wearable article. The signals may comprise the heartbeat data samples for the user and the motion data for the user.
The method may be performed by an electronics module for a wearable article. The electronics module may have an output unit for outputting the recovery score. The output may be in the form of an audible, visual and/or haptic feedback. The electronics module may have a display for displaying the recovery score. The electronics module may be a component of a smartwatch for example.
According to a second aspect of the disclosure, there is provided a computer-implemented method of performing a recovery test, the method comprising: obtaining heartbeat data for a user over a first time period; obtaining motion data for the user over the first time period; and determining, from the motion data, whether the user remains in a first position during the first time period, wherein if the user remains in the first position during the first time period, using the heartbeat data obtained over the first time period to generate a recovery score for the user.
Advantageously, the motion data can be used to ensure user compliance with the recovery test without the need for human supervision. The motion data can be used to determine whether the user has deviated from the first position during the first time period. Deviating from the first position may mean that the user moves from a relaxed position such as a sitting or lying down position to a standing position. If the user has deviated from the first position then the accuracy of the recovery test will likely have been compromised as the obtained heartbeat data will not be a true reflection of the user’s heartbeat while in the first position.
The method may comprise any of the features of the first aspect of the disclosure.
According to a third aspect of the disclosure, there is provided a computer-readable medium having instructions recorded thereon which, when executed by a processor, cause the processor to perform the method of the first or second aspect of the disclosure.
According to a fourth aspect of the disclosure, there is provided a system for performing a recovery test, the system comprising a processor and a memory, the memory storing instructions which when executed by the processor cause the processor to perform operations comprising: obtaining motion data for the user; and determining, from the motion data, whether the user has adopted a first position, wherein if the user has adopted the first position: obtaining heartbeat data for the user over a first time period; and using the heartbeat data obtained over the first time period to generate a recovery score for the user.
The system may comprise a user electronics device. The user electronics device may comprise the processor and the memory. The user electronics device may comprise the display and/or other form of output unit for outputting the generated recovery score. The user electronics device may comprise an interface, coupled to the controller, the controller being arranged to receive signals from an electronics module for a wearable article. The controller may be configured to obtain biosignal data for a wearer of the wearable article from the electronics module.
The system may comprise the electronics module for the wearable article. The electronics module may provide biosignal data to a user electronics device comprising the processor and the memory. The electronics module may comprise the processor and the memory. The electronics module may have an output unit for outputting the recovery score. The output may be in the form of an audible, visual and/or haptic feedback. The electronics module may have a display for displaying the recovery score. The electronics module may be a component of a smartwatch.
According to a fifth aspect of the disclosure, there is provided a computer-implemented method of generating a recovery score for a user. The method comprises obtaining a measure, HRfirst, of the heartrate of the userwhen in a first position. The method comprises obtaining a measure, HRVfirst, of the heartrate variability of the userwhen in the first position. The method comprises generating a recovery score for the user using HRfirst and HRVfirst.
Advantageously, heartrate and heartrate variability values are used to generate the recovery score rather than just heartrate values as used in existing orthostatic heart rate tests. This enhances the accuracy of the recovery score. The recovery score is able to take into account changes in both HR and HRV rather than just HR or HRV. Increased HRs and decreased HRVs are associated with the user being under recovered. Meanwhile decreased HRs and increased HRVs are associated with the user being recovered. There may be situations where the user’s HR is elevated and HRV is also elevated or where the user’s HR is lowered and the HRV is also lowered. Just considering HR or HRV could lead to an inaccurate estimation of the recovery state of the wearer. Advantageously, by considering both HR and HRV the recovery score generated according to the present disclosure is robust against such situations and provides a more accurate reflection of the recovery state of the user.
The method may comprise obtaining a measure, HRsecond, of the heartrate of the user when in a second position. The method may comprise obtaining a measure, HRVsecond, of the heartrate variability of the user when in the second position. The recovery score may be generated using URfirst, HRVfirst, H Rsecond , and HRVsecond.
The first position may be a resting position. The second position may be a standing position.
Advantageously, the heartrate and heartrate variability of the user when in the first and second positions are used to generate the recovery score. These measures have been found to be highly correlated with the recovery state of the user and are thus beneficial in generating an accurate recovery score for the user. Therefore, using both the heartrate and heartrate variability has been found to generate a more accurate recovery score than existing approaches which consider just the heartrate in the first and second positions in isolation such as in existing orthostatic heartrate tests. Heart rate variability gives a measure of how regular the heartbeat is. A lower heartrate variability when compared to a previous average heartrate variability (e.g. a 2 week moving average) indicates that the user is recovered from previous exercises and otherwise has a good fitness level.
Obtaining HRfirst may comprise obtaining a first sequence of heartbeat data samples of the user when in the first position and calculating HRfirst from the first sequence of heartbeat data samples.
Calculating HRfirst may comprises dividing 60000 by the average IBI value in milliseconds for the first sequence of heartbeat data samples. HRVfirst may be calculated from the first sequence of heartbeat data samples using a heartrate variability measure such as the root mean square of successive differences.
Obtaining HRsecond may comprise obtaining a second sequence of heartbeat data samples of the user when in the first position and calculating HRsecond from the second sequence of heartbeat data samples.
Calculating HRsecond may comprises dividing 60000 by the average IBI value in milliseconds for the second sequence of heartbeat data samples.
HRVsecond may be calculated from the second sequence of heartbeat data samples using a heartrate variability measure such as the root mean square of successive differences.
The recovery score may be generated according to (a) a comparison of HRVfirst to a historic heartrate variability value of the user when in the first position. The historic heartrate variability value may be a measure of the average of the historic heart rate variability values of the user when in the first position, HRVhistoricfirst. The recovery score may be increased if HRVfirst is greater than or equal to the historic heartrate variability value (e.g. HRVhistoricfirst).
The recovery score may be generated according to (a) a comparison of HRVfirst and HRVsecondto historic heartrate variability values of the user when in the first and second positions.
Advantageously, by comparing the current heartrate variability of the user to historic values, the present disclosure is able to determine the recovery state of the user. Generally, if the current heartrate variability values are higher than historic heartrate variability values it shows that the user is in a recovered state.
(a) may comprise comparing HRVfirst and HRVsecond to a measure of the average of the historic heartrate variability values of the userwhen in the first position, HRVhistoricfirst, and a measure of the average of the historic heartrate variability values of the userwhen in the second position, HRVhistoricsecond .
(a) may comprise comparing the sum of HRVfirst and HRVsecond to the sum of HRVhistoricfirst and HRVhistoricsecond . The recovery score may be increased if HRVfirst is greater than or equal to the historic heartrate variability value when in the first position (e.g. HRVhistoricfirst). The recovery score may be increased if HRVsecond is greater than or equal to the historic heartrate variability value when in the second position (e.g. HRVhistoricsecond)' . The recovery score may be decreased if HRVfirst is less than the historic heartrate variability value when in the first position (e.g. HRVhistoricfirst). The recovery score may be decreased if HRVsecond is less than the historic heartrate variability value when in the second position (e.g. HRVhistoricsecond)' .
(a) may comprises increasing the recovery score if the sum of HRVfirst and HRVsecond is greater than or equal to the sum of HRVhistoricfirst and HRVhistoricsecond .
Advantageously, it has been found that the heartrate variability for a user is reduced after periods of intense training. Therefore, by comparing current heartrate variability measures to historic heartrate variability measures for the same user, the present disclosure is able to determine whether the user is recovered or under recovered.
(a) may comprise decreasing the recovery score if the sum of HRVfirst and HRVsecond is less than the sum of HRVhistoricfirst and HRVhistoricsecond .
The recovery score may be generated according to: (b) a comparison of HRfirst to a historic heartrate value of the user when in the first position. The historic heartrate value may be a measure of the average of the historic heartrate values of the user when in the first position, HRhistoricflrst/
The recovery score may be generated according to: (b) a comparison of HRfirst and HRsecond to historic heartrate values of the user when in the first and second positions.
Advantageously, by comparing the current heartrate of the user to historic values, the present disclosure is able to determine the recovery state of the user. Generally, if the current heartrate values are lower than historic heartrate values it shows that the user is in a recovered state.
(b) may comprise comparing HRfirst and HRsecond to a measure of the average of the historic heartrate values of the user when in the first position, HRhistoricfirst, and a measure of the average of the historic heartrate values of the user when in the second position, HRhistoricsecond . The recovery score may be increased if HRfirst is less than or equal to the measure of the historic heartrate value of the user when in the first position (e.g., HRhistoricfirst). The recovery score may be increased if HRsecond is less than or equal to the measure of the historic heartrate value of the user when in the second position (e.g., HRhistoricsecond). The recovery score may be decreased if HRfirst is greater than the measure of the historic heartrate value of the user when in the first position (e.g., HRhistoricfirst). The recovery score may be decreased if HRsecond is greaterthan the measure of the historic heartrate value of the user when in the second position (e.g., HRhistoricsecond). (b) may comprise comparing the sum of HRfirst and HRsecond to the sum of HRhistoricfirst and HRhistoricsecond.
(b) may comprise increasing the recovery score if the sum of HRfirst and HRsecond is less than or equal to the sum of HRhistoriCfirst and HRhistoricsecond.
Advantageously, it has been found that the heartrate for a user is increased after periods of intense training. Therefore, by comparing current heartrate measures to historic heartrate measures for the same user, the present disclosure is able to determine whether the user is recovered or under recovered.
(b) may comprise decreasing the recovery score if the sum of HRfirst and HRsecond is greater than the sum of HRhistoricfirst and HRhistoricsecond.
The recovery score may be further generated according to (c) a comparison of a measure of the difference between HRsecond and HRfirst to a threshold value.
(c) may comprises decreasing the recovery score if the difference between HRsecond and HRfirst is greater than a first threshold value.
Advantageously, the recovery score is decreased if the value of HRsecond - HRfirst (e.g. the orthostatic score) is too high. Having too high a difference is highly correlated with the user being under recovered.
(c) may comprise decreasing the recovery score if the difference between HRsecond and HRfirst is less than a second threshold value.
Advantageously, the recovery score is decreased if the value of HRsecond - HRfirst (e.g. the orthostatic score) is too low. Having too low a difference is highly correlated with the user being under recovered
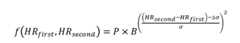
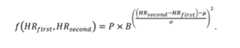
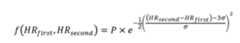
(c) may comprise comparing the output of a probability density function f(HRfirst,HRsecond) to a third threshold value, wherein f(HRfirst,HRsecond) uses the difference between HRsecond and HRfirst and a non-zero constant, μ, that represents a desired value of the difference between HRSecond and HRfirst to generate the output. Without being bound to any particular theory, values of HRsecond - HRfirst have been found to follow a generally normal distribution around an optimum value [i. Therefore, a high output from the function f(HRfirst,HRsecond) means that the difference between HRsecond and HRfirst is within an allowable range of the optimum desired value of the difference (indicating that the user is recovered. A low value means that the difference between HRsecond and HRfirst is outside of the allowable range (indicating that the user is not recovered)
(c) may comprise decreasing the recovery score if the output of f(HRfirst,HRsecond) is less than the third threshold value. If the output of f(HRfirst,HRsecond) is less than the third threshold value, this indicates that the difference between HRsecond and HRfirst is outside the range of acceptable values, indicating that the user is not recovered.
(c) may comprise increasing the recovery score if the output of f(HRfirst,HRsecond) is greater than or equal to the third threshold value. If the output of f(HRfirst,HRsecond) is greater than or equal to the third threshold value, this indicates that the difference between HRsecond and HRfirst is within the range of acceptable values, indicating that the user is recovered.
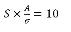
In some examples, the function f(HRfirst,HRsecond) divides (HRsecond - HRfirst) - μ by a non- zero constant σ that defines the width of the curve of the distribution generated by the probability density function. μ may be proportional to σ . Or equally, σ may be proportional to μ . In some examples, μ = 3a. That is, the optimum recovery score may be equal to three standard deviations (σ ). Without being bound to any particular theory, it has been found that the optimum difference between HRSecond ~ HRfirst (i.e. μ) is three standard deviations from the lowest expected difference between HRsecond - HRfirst and three standard deviations from the maximum expected difference between HRsecond - HRfirst. Thus, setting μ = 3σ is beneficial in increasing the accuracy of the generated recovery score. σ may be determined according to the maximum expected difference between heart rates for the user when in the first and second positions, 0HRmax. This maximum expected difference is not necessarily the same as the measured difference between HRsecond - HRfirst. a may be determined according to the minimum expected difference between the heart rates for the user when in the first and second positions, 0HRmln. This minimum expected difference is not necessarily the same as the measured difference between HRsecond - HRfirst. a may be determined by calculating 0HRmax - 0HRmin. σ may be determined by dividing OHRmax - OHRmin by a non-zero constant C. C may be equal to the number of standard deviations required to get from 0HRmln to μ and from μ to 0HRmax. In preferred examples, C = 6. This follows from the finding that the optimum difference between HRsecond ~ HRfirst.(i.e. μ ) is three standard deviations from the lowest expected difference between HRsecond - HRfirst. and three standard deviations from the maximum expected difference between HRsecond - HRfirst..
In some examples, σ = ( 0HRmax - 0HRmln)/C.
0HRmax - 0HRmln may be between 20 and 50, may be between 25 and 40, and may be equal to 40. In some examples, 0HRmax = 30 and 0HRmln = 0.
The values of μ, σ , 0HRmax, 0HRmin may be user specific. One or more of μ , σ, 0HRmax, 0HRmin may be determined based on one or more characteristics of the user. Characteristics include the user’s age, weight, gender, ethnicity, fitness level, diet, medical history, or lifestyle (e.g. whether they are a smoker). The values of μ , σ , 0HRmax, 0HRmin may be updated over time as characteristics of the user change.
H may be between 5 and 25. μ may be between 10 and 20. In some examples, μ is 15.
The function f(HRrest,HRstand) may involve determining For
Figure imgf000016_0001
example, the function f(HRrest,HRstand) may be of the form:
Figure imgf000016_0002
That is, f (H Rrest, H Rstand)is equal to S times times (B to the power of
Figure imgf000016_0004
Figure imgf000016_0003
A and B are non-zero constants. μ is the non-zero constant that represents a desired value of the difference between the heart rates when in the first and second position, and acts as a location parameter that translates the peak of the curve of the distribution generated by the probability density function to a location representing an optimum recovery score for the user. σ is the non-zero scaling constant that defines the width of the curve of the distribution generated by the probability density function. S is a non-zero constant that acts as a scaling factor.
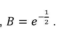
In some examples,
Figure imgf000017_0003
Here, e is the Euler number, a mathematical constant, approximately equal to 2.72.
The constant S may scale the probability density function such the optimum values of HRsecond and HRfirst result in a desired maximum recovery score. In some examples, S = P x α/A, wherein P is a non-zero constant that sets the upper limit of the recovery score. In other words, the function may be of the form:
Figure imgf000017_0001
In some examples
Figure imgf000017_0007
In some examples, P = 10. More generally, P is not limited to any particular value. P may be, for example, 5, 20, 50, or 100.
In some examples, the function f(HRfirst,HRsecond) is of the form:
Figure imgf000017_0002
In some examples, the function f(HRrest,HRstand) is of the form:
Figure imgf000017_0004
In some examples, the function f(HRrest,HRstand) is of the form:
Figure imgf000017_0005
In some examples, the function f(HRrest,HRstand) is of the form:
Figure imgf000017_0006
The recovery score may be further generated according to: (d) a comparison of the difference between HRsecond and historic heartrate values of the user when in the second position to a threshold value and/or a comparison of the difference between HRfirst and the historic heartrate values of the user when in the first position to a threshold value.
(d) may comprise comparing the difference between HRsecond and a measure of the average of the historic heartrate values of the user when in the second position to the threshold value and/or comparing the difference between HRfirst and a measure of the average of the historic heartrate values of the user when in the first position to a threshold value .
(d) may comprise decreasing the recovery score if the difference between HRsecond and the measure of the average of the historic heartrate values of the user when in the second position is greater than the threshold value and/or decreasing the recovery score if the difference between HRfirst and the measure of the average of the historic heartrate values of the user when in the first position is greater than a threshold value . A sudden change in heartrate can be a symptom of a disease or other physiological problem for the user which indicates that they are under recovered and potentially should not train or should train at a reduced intensity.
Any or all of HRfirst, HRVfirst,HRsecond , and HRVsecond may be determined from heartbeat data obtained during the recovery test described in relation to the first or second aspect of the disclosure.
The method may be performed by a controller for a user electronic device. The user electronics device may further include an interface, coupled to the controller, and arranged to receive signals from an electronics module for a wearable article. The signals may comprise the heartbeat data samples for the user and the motion data for the user.
The method may be performed by an electronics module for a wearable article. The electronics module may have an output unit for outputting the recovery score. The output may be in the form of an audible, visual and/or haptic feedback. The electronics module may have a display for displaying the recovery score. The electronics module may be a component of a smartwatch for example.
According to a sixth aspect of the present disclosure, there is provided a computer-implemented method of generating a recovery score for a user. The method comprises obtaining a measure, HRfirst, of the heartrate of the user when in a first position. The method comprises obtaining a measure, HRVfirst, of the heartrate variability of the user when in the first position. The method comprises obtaining a measure, HRsecond, of the heartrate of the userwhen in a second position. The method comprises obtaining a measure, HRVsecond, of the heartrate variability of the user when in the second position. The method comprises generating a recovery score for the user, wherein the recovery score is determined according to: a comparison of HRfirst and HRsecond to historic heartrate values of the user when in the first and second positions; and a comparison of HRVfirst and HRVsecond to historic heartrate variability values of the user when in the first and second positions.
The method may comprise any of the features of the fifth aspect of the disclosure.
According to a seventh aspect of the disclosure there is provided a computer-readable medium having instructions recorded thereon which, when executed by a processor, cause the processor to perform the method of the fifth or sixth aspect of the present disclosure.
According to a eighth aspect of the present disclosure, there is provided a system for generating a recovery score for a user, the system comprising a processor and a memory, the memory storing instructions which when executed by the processor cause the processor to perform operations comprising: obtaining a measure, HRfirst, of the heartrate of the user when in a first position; obtaining a measure, HRVfirst, of the heartrate variability of the user when in the first position; and generating a recovery score for the user using HRfirst and HRVfirst.
The operations may further comprise obtaining a measure, HRsecond, of the heartrate of the user when in a second position; and obtaining a measure, HRVsecond, of the heartrate variability of the user when in the second position. The recovery score may be generated using HRfirst, HRVflrst, HRsecond, and HRVsecond.
The system may further comprise a display. The display may be arranged to display the generated recovery score.
The system may comprise a user electronics device. The user electronics device may comprise the processor and the memory. The user electronics device may comprise the display and/or other form of output unit for outputting the generated recovery score. The user electronics device may comprise an interface, coupled to the controller, the controller being arranged to receive signals from an electronics module for a wearable article. The controller may be configured to obtain biosignal data for a wearer of the wearable article from the electronics module.
The system may comprise the electronics module for the wearable article. The electronics module may provide biosignal data to a user electronics device comprising the processor and the memory. The electronics module may comprise the processor and the memory. The electronics module may have an output unit for outputting the recovery score. The output may be in the form of an audible, visual and/or haptic feedback. The electronics module may have a display for displaying the recovery score. The electronics module may be a component of a smartwatch.
In the above examples of the present disclosure, the heartbeat data may be derived an ECG signal but this is not required in all examples and other signals indicative of the heartrate are within the scope of the present disclosure. Other signals indicative of the heartrate include photoplethysmography (PPG) signals, ballistocardiogram (BCG) signals, and electromagnetic cardiogram (EMCG) signals.
Brief Description of the Drawings
Examples of the present disclosure will now be described with reference to the accompanying drawings, in which:
Figure 1 illustrates a signal trace for an ECG signal;
Figure 2 illustrates an ECG waveform that includes electrical signals for two successive heartbeats;
Figure 3 shows a schematic diagram for an example system according to aspects of the present disclosure;
Figure 4 shows a schematic diagram for an example electronics module according to aspects of the present disclosure;
Figure 5 shows a schematic diagram for another example electronics module according to aspects of the present disclosure;
Figure 6 shows a schematic diagram for an example analogue-to-digital converter used in the example electronics module of Figures 4 and 5 according to aspects of the present disclosure;
Figure 7 shows a schematic diagram of the components of an example user electronics device according to aspects of the present disclosure;
Figures 8 to 12 show screenshots of an example recovery score application running on a user electronics device according to aspects of the present disclosure; Figures 13A to 13D show a flow diagram for an example method of generating a recovery score according to aspects of the present disclosure. Figure 13B is a continuation of Figure 13A. Figure 13C is a continuation of Figure 13B. Figure 13D is a continuation of Figure 13C;
Figure 14 shows a flow diagram for an example method of performing a recovery test according to aspects of the present disclosure;
Figures 15A and 15B show a flow diagram for another example method of performing a recovery test according to aspects of the present disclosure;
Figure 16 shows a flow diagram for another example method of performing a recovery test according to aspects of the present disclosure;
Figure 17 shows a flow diagram for another example method of generating a recovery score according to aspects of the present disclosure; and
Figure 18 shows a flow diagram for another example method of generating a recovery score according to aspects of the present disclosure.
Detailed Description
The following description with reference to the accompanying drawings is provided to assist in a comprehensive understanding of various embodiments of the disclosure as defined by the claims and their equivalents. It includes various specific details to assist in that understanding but these are to be regarded as merely exemplary. Accordingly, those of ordinary skill in the art will recognize that various changes and modifications of the various embodiments described herein can be made without departing from the scope and spirit of the disclosure. In addition, descriptions of well-known functions and constructions may be omitted for clarity and conciseness.
The terms and words used in the following description and claims are not limited to the bibliographical meanings but are merely used by the inventor to enable a clear and consistent understanding of the disclosure. Accordingly, it should be apparent to those skilled in the art that the following description of various embodiments of the disclosure is provided for illustration purpose only and not forthe purpose of limiting the disclosure as defined by the appended claims and their equivalents.
It is to be understood that the singular forms “a,” “an,” and “the” include plural referents unless the context clearly dictates otherwise. “Wearable article” as referred to throughout the present disclosure may refer to any form of device interface which may be worn by a user such as a smart watch, necklace, garment, bracelet, or glasses. The wearable article may be a textile article. The wearable article may be a garment. The garment may refer to an item of clothing or apparel. The garment may be a top. The top may be a shirt, t-shirt, blouse, sweater, jacket/coat, or vest. The garment may be a dress, garment brassiere, shorts, pants, arm or leg sleeve, vest, jacket/coat, glove, armband, underwear, headband, hat/cap, collar, wristband, stocking, sock, or shoe, athletic clothing, personal protective equipment, including hard hats, swimwear, wetsuit or dry suit.
The term “wearer” includes a user who is wearing, or otherwise holding, the wearable article.
The type of wearable garment may dictate the type of biosignals to be detected. For example, a hat or cap may be used to detect electroencephalogram or magnetoencephalogram signals.
The wearable article/garment may be constructed from a woven or a non-woven material. The wearable article/garment may be constructed from natural fibres, synthetic fibres, or a natural fibre blended with one or more other materials which can be natural or synthetic. The yarn may be cotton. The cotton may be blended with polyester and/or viscose and/or polyamide according to the application. Silk may also be used as the natural fibre. Cellulose, wool, hemp and jute are also natural fibres that may be used in the wearable article/garment. Polyester, polycotton, nylon and viscose are synthetic fibres that may be used in the wearable article/garment.
The garment may be a tight-fitting garment. Beneficially, a tight-fitting garment helps ensure that the sensor devices of the garment are held in contact with or in the proximity of a skin surface of the wearer. The garment may be a compression garment. The garment may be an athletic garment such as an elastomeric athletic garment.
The garment has sensing units provided on an inside surface which are held in close proximity to a skin surface of a wearer wearing the garment. This enables the sensing units to measure biosignals for the wearer wearing the garment.
The sensing units may be arranged to measure one or more biosignals of a wearer wearing the garment.
“Biosignal” as referred to throughout the present disclosure may refer to signals from living beings that can be continually measured or monitored. Biosignals may be electrical or nonelectrical signals. Signal variations can be time variant or spatially variant. Sensing components may be used for measuring one or a combination of bioelectrical, bioimpedance, biochemical, biomechanical, bioacoustics, biooptical or biothermal signals of the wearer 600. The bioelectrical measurements include electrocardiograms (ECG), electrogastrograms (EGG), electroencephalograms (EEG), and electromyography (EMG). The bioimpedance measurements include plethysmography (e.g., for respiration), body composition (e.g., hydration, fat, etc.), and electroimpedance tomography (EIT). The biomagnetic measurements include magneto neurograms (MNG), magnetoencephalography (MEG), magnetogastrogram (MGG), magnetocardiogram (MCG). The biochemical measurements include glucose/lactose measurements which may be performed using chemical analysis of the wearer 600’s sweat. The biomechanical measurements include blood pressure. The bioacoustics measurements include phonocardiograms (PCG). The biooptical measurements include orthopantomogram (OPG). The biothermal measurements include skin temperature and core body temperature measurements.
Referring to Figures 3 to 7, there is shown an example system 10 according to aspects of the present disclosure. The system 10 comprises an electronics module 100, a wearable article in the form of a garment 200, and a user electronic device 300. The garment 200 is worn by a user who in this embodiment is the wearer 600 of the garment 200.
The electronics module 100 is arranged to integrate with sensing units 400 incorporated into the garment 200 to obtain signals from the sensing units 400. The electronics module 100 and the wearable article 200 and including the sensing units 400 comprise a wearable assembly 500.
The sensing units 400 comprise one or more sensors 209, 21 1 with associated conductors 203, 207 and other components and circuitry. The electronics module 100 is further arranged to wirelessly communicate data to the user electronic device 300. Various protocols enable wireless communication between the electronics module 100 and the user electronic device 300. Example communication protocols include Bluetooth ®, Bluetooth ® Low Energy, and near-field communication (NFC).
The garment 200 has an electronics module holder in the form of a pocket 201 . The pocket 201 is sized to receive the electronics module 100. When disposed in the pocket 201 , the electronics module 100 is arranged to receive sensor data from the sensing units 400. The electronics module 100 is therefore removable from the garment 200.
The present disclosure is not limited to electronics module holders in the form pockets.
The electronics module 100 may be configured to be releasably mechanically coupled to the garment 200. The mechanical coupling of the electronic module 100 to the garment 200 may be provided by a mechanical interface such as a clip, a plug and socket arrangement, etc. The mechanical coupling or mechanical interface may be configured to maintain the electronic module 100 in a particular orientation with respect to the garment 200 when the electronic module 100 is coupled to the garment 200. This may be beneficial in ensuring that the electronic module 100 is securely held in place with respect to the garment 200 and/or that any electronic coupling of the electronic module 100 and the garment 200 (or a component of the garment 200) can be optimized. The mechanical coupling may be maintained using friction or using a positively engaging mechanism, for example.
Beneficially, the removable electronic module 100 may contain all the components required for data transmission and processing such that the garment 200 only comprises the sensing units 400 e.g. the sensors 209, 211 and communication pathways 203, 207. In this way, manufacture of the garment 200 may be simplified. In addition, it may be easier to clean a garment 200 which has fewer electronic components attached thereto or incorporated therein. Furthermore, the removable electronic module 100 may be easierto maintain and/ortroubleshoot than embedded electronics. The electronic module 100 may comprise flexible electronics such as a flexible printed circuit (FPC).
The electronic module 100 may be configured to be electrically coupled to the garment 200.
Referring to Figure 4, there is shown a schematic diagram of an example of the electronics module 100 of Figure 1. A more detailed block diagram of the electronics components of electronics module 100 and garment are shown in Figure 5.
The electronics module 100 comprises an interface 101 , a controller 103, a power source 105, and one or more communication devices which, in the exemplar embodiment comprises a first antenna 107, a second antenna 109 and a wireless communicator 159. The electronics module 100 also includes an input unit such as a proximity sensor or a motion sensor 111 , for example in the form of an inertial measurement unit (IMU).
The electronics module 100 also includes additional peripheral devices that are used to perform specific functions as will be described in further detail herein.
The interface 101 is arranged to communicatively couple with the sensing unit 400 of the garment 200. The sensing unit 400 comprises - in this example - the two sensors 209, 211 coupled to respective first and second electrically conductive pathways 203, 207, each with respective termination points 213, 215. The interface 101 receives signals from the sensors 209, 211. The controller 103 is communicatively coupled to the interface 101 and is arranged to receive the signals from the interface 101 for further processing. The interface 101 of the embodiment described herein comprises first and second contacts 163, 165 which are arranged to be communicatively coupled to the termination points 213, 215 the respective first and second electrically conductive pathways 203, 207. The coupling between the termination points 213, 215 and the respective first and second contacts 163, 165 may be conductive or a wireless (e.g. inductive) communication coupling.
In this example the sensors 209, 211 are used to measure electropotential signals such as electrocardiogram (ECG) signals, although the sensors 209, 211 could be configured to measure other biosignal types as also discussed above.
In this embodiment, the sensors 209, 211 are configured for so-called dry connection to the wearer’s skin to measure ECG signals.
The power source 105 may comprise a plurality of power sources. The power source 105 may be a battery. The battery may be a rechargeable battery. The battery may be a rechargeable battery adapted to be charged wirelessly such as by inductive charging. The power source 105 may comprise an energy harvesting device. The energy harvesting device may be configured to generate electric power signals in response to kinetic events such as kinetic events 10 performed by the wearer 600 of the garment 200. The kinetic event could include walking, running, exercising or respiration of the wearer 600. The energy harvesting material may comprise a piezoelectric material which generates electricity in response to mechanical deformation of the converter. The energy harvesting device may harvest energy from body heat ofthe wearer 600 of the garment. The energy harvesting device may be a thermoelectric energy harvesting device. The power source 105 may be a super capacitor, or an energy cell.
The first antenna 107 is arranged to communicatively couple with the user electronic device 300 using a first communication protocol. In the example described herein, the first antenna 107 is a passive tag such as a passive Radio Frequency Identification (RFID) tag or Near Field Communication (NFC) tag. These tags comprise a communication module as well as a memory which stores the information, and a radio chip. The user electronic device 300 is powered to induce a magnetic field in an antenna ofthe user electronic device 300. When the user electronic device 300 is placed in the magnetic field of the communication module antenna 107, the user electronic device 300 induces current in the communication module antenna 107. This induced current triggers the electronics module 100 to retrieve the information from the memory of the tag and transmit the same back to the user electronic device 300.
In an example operation, the user electronic device 300 is brought into proximity with the electronics module 100. In response to this, the electronics module 100 is configured to energize the first antenna 107 to transmit information to the user electronic device 300 over the first wireless communication protocol. Beneficially, this means that the act of the user electronic device 300 approaching the electronics module 100 energizes the first antenna 107 to transmit the information to the user electronic device 300.
The information may comprise a unique identifier for the electronics module 100. The unique identifier for the electronics module 100 may be an address for the electronics module 100 such as a MAC address or Bluetooth ® address.
The information may comprise authentication information used to facilitate the pairing between the electronics module 100 and the user electronic device 300 over the second wireless communication protocol. This means that the transmitted information is used as part of an out of band (OOB) pairing process.
The information may comprise application information which may be used by the user electronic device 300 to start an application on the user electronic device 300 or configure an application running on the user electronic device 300. The application may be started on the user electronic device 300 automatically (e.g. without wearer 600 input). Alternatively, the application information may cause the user electronic device 300 to prompt the wearer 600 to start the application on the user electronic device. The information may comprise a uniform resource identifier such as a uniform resource location to be accessed by the user electronic device, or text to be displayed on the user electronic device for example. It will be appreciated that the same electronics module 100 can transmit any of the above example information either alone or in combination. The electronics module 100 may transmit different types of information depending on the current operational state of the electronics module 100 and based on information it receives from other devices such as the user electronic device 300.
The second antenna 109 is arranged to communicatively couple with the user electronic device 300 over a second wireless communication protocol. The second wireless communication protocol may be a Bluetooth ® protocol, Bluetooth ® 5 or a Bluetooth ® Low Energy protocol but is not limited to any particular communication protocol. In the present embodiment, the second antenna 109 is integrated into controller 103. The second antenna 109 enables communication between the user electronic device 300 and the controller 100 for configuration and set up of the controller 103 and the peripheral devices as may be required. Configuration of the controller 103 and peripheral devices utilises the Bluetooth ® protocol.
The wireless communicator 159 may be an alternative, or in addition to, the first and second antennas107, 109. Other wireless communication protocols can also be used, such as used for communication over: a wireless wide area network (WWAN), a wireless metro area network (WMAN), a wireless local area network (WLAN), a wireless personal area network (WPAN), Bluetooth ® Low Energy, Bluetooth ® Mesh, Thread, Zigbee, IEEE 802.15.4, Ant, a Global Navigation Satellite System (GNSS), a cellular communication network, or any other electromagnetic RF communication protocol. The cellular communication network may be a fourth generation (4G) LTE, LTE Advanced (LTE-A), LTE Cat-M1 , LTE Cat-M2, NB-loT, fifth generation (5G), sixth generation (6G), and/or any other present or future developed cellular wireless network.
The electronics module 100 includes configured a clock unit in the form of a real time clock (RTC) 153 coupled to the controller 103 and, for example, to be used for data logging, clock building, time stamping, timers, and alarms. As an example, the RTC 153 is driven by a low frequency clock source or crystal operated at 32.768 Hz.
The electronics module 100 also includes a location device 161 such as a GNSS (Global Navigation Satellite System) device which is arranged to provide location and position data for applications as required. In particular, the location device 161 provides geographical location data at least to a nation state level. Any device suitable for providing location, navigation or for tracking the position could be utilised. The GNSS device may include device may include Global Positioning System (GPS), BeiDou Navigation Satellite System (BDS) and the Galileo system devices.
The power source 105 in this example is a lithium polymer battery 105. The battery 105 is rechargeable and charged via a USB C input 131 of the electronics module 100. Of course, the present disclosure is not limited to recharging via USB and instead other forms of charging such as inductive of far field wireless charging are within the scope of the present disclosure. Additional battery management functionality is provided in terms of a charge controller 133, battery monitor 135 and regulator 147. These components may be provided through use of a 30 dedicated power management integrated circuit (PMIC).
The USB C input 131 is also coupled to the controller 131 to enable direct communication with the controller 103 with an external device if required.
The controller 103 is communicatively connected to a battery monitor 135 so that that the controller 103 may obtain information about the state of charge of the battery 105.
The controller 103 has an internal memory 167 and is also communicatively connected to an external memory 143 which in this example is a NAND Flash memory. The memory 143 is used to for the storage of data when no wireless connection is available between the electronics module 100 and a user electronic device 300. The memory 143 may have a storage capacity of at least 1 GB and preferably at least 2 GB.
The electronics module 100 also comprises a temperature sensor 145 and a light emitting diode 147 for conveying status information. The electronic module 100 also comprises conventional electronics components including a power-on-reset generator 149, a development connector 151 , the real time clock 153 and a PROG header 155.
Additionally, the electronics module 100 may comprise a haptic feedback unit 157 for providing a haptic (vibrational) feedback to the wearer 600.
The wireless communicator 159 may provide wireless communication capabilities for the garment 200 and enables the garment to communicate via one or more wireless communication protocols to a remote server 700. Wireless communications may include : a wireless wide area network (WWAN), a wireless metro area network (WMAN), a wireless local area network (WLAN), a wireless personal area network (WPAN), Bluetooth ® Low Energy, Bluetooth ® Mesh, Bluetooth ® 5, Thread, Zigbee, IEEE 802.15.4, Ant, a near field communication (NFC), a Global Navigation Satellite System (GNSS), a cellular communication network, or any other electromagnetic RF communication protocol. The cellular communication network may be a fourth generation (4G) LTE, LTE Advanced (LTE-A), LTE Cat-M1 , LTE Cat-M2, NB-loT, fifth generation (5G), sixth generation (6G), and/or any other present or future developed cellular wireless network.
The electronics module 100 may additionally comprise a Universal Integrated Circuit Card (UICC) that enables the garment to access services provided by a mobile network operator (MNO) or virtual mobile network operator (VMNO). The UICC may include at least a read-only memory (ROM) configured to store an MNO or VMNO profile that the garment can utilize to register and interact with an MNO or VMNO. The UICC may be in the form of a Subscriber Identity Module (SIM) card. The electronics module 100 may have a receiving section arranged to receive the SIM card. In other examples, the UICC is embedded directly into a controller of the electronics module 100. That is, the UICC may be an electronic/embedded UICC (eUlCC). A eUlCC is beneficial as it removes the need to store a number of MNO profiles, i.e. electronic Subscriber Identity Modules (eSIMs). Moreover, eSIMs can be remotely provisioned to garments. The electronics module 100 may comprise a secure element that represents an 35 embedded Universal Integrated Circuit Card (eUlCC). In the present disclosure, the electronics module may also be referred to as an electronics device or unit. These terms may be used interchangeably. The controller 103 is connected to the interface 101 via an analog-to-digital converter (ADC) front end 139 and an electrostatic discharge (ESD) protection circuit 141.
Figure 6 is a schematic illustration of the component circuitry for the ADC front end 139.
In the example described herein, the ADC front end 139 is an integrated circuit (IC) chip which converts the raw analogue biosignal received from the sensors 209, 211 into a digital signal for further processing by the controller 103. ADC IC chips are known, and any suitable one can be utilised to provide this functionality. ADC IC chips for ECG applications include, for example, the MAX30003 chip produced by Maxim Integrated Products Inc.
The ADC front end 139 includes an input 169 and an output 171.
Raw biosignals from the electrodes 209, 211 are input to the ADC front end 139, where received signals are processed in an ECG channel 175 and subject to appropriate filtering through high pass and low pass filters for static discharge and interference reduction as well as for reducing bandwidth prior to conversion to digital signals. The reduction in bandwidth is important to remove or reduce motion artefacts that give rise to noise in the signal due to movement of the sensors 209, 211 .
The output digital signals may be decimated to reduce the sampling rate prior to being passed to a serial programmable interface (SPI) 173 of the ADC front end 139.
ADC front end IC chips suitable for ECG applications may be configured to determine information from the input biosignals such as heart rate and the QRS complex and including the R-R interval. Support circuitry 177 provides base voltages for the ECG channel 175.
The determining of the QRS complex can be implemented for example using the known Pan Tomkins algorithm as described in Pan, Jiapu; Tompkins, Willis J. (March 1985). "A Real-Time QRS Detection Algorithm". IEEE Transactions on Biomedical Engineering. BME-32 (3): 230- 236.
Signals are output to the controller 103 via the SPI 173.
The controller 103 can also be configured to apply digital signal processing (DSP) to the digital signal from the ADC front end 139. The DSP may include noise filtering additional to that carried out in the ADC front end 139 and ay also include additional processing to determine further information about the signal from the ADC front end 139.
The controller 103 is configured to send the biosignals to the user electronic device 300 using either of the first antenna 107, second antenna 109, or wireless communicator 159. The biosignals sent to the user electronic device 300 in this example comprise the inter beat interval (IBI) values representing the time differences between successive R peaks in the measured ECG signal.
The user electronic device 300 in the example of Figure 7 is in the form of a mobile phone or tablet and comprises a controller 305, a memory 304, a wireless communicator 307, a display 301 , a user input unit 306, a capturing device in the form of a camera 303 and an inertial measurement unit (IMU) 309. The controller 305 provides overall control to the user electronic device 300.
The user input unit 306 receives inputs from the user such as a user credential.
The memory 304 stores information for the user electronic device 300.
The display 301 is arranged to display a user interface for applications operable on the user electronic device 300.
The IMU 309 provides motion and/or orientation detection and may comprise an accelerometer and optionally one or both of a gyroscope and a magnetometer.
The user electronic device 300 may also include a biometric sensor. The biometric sensor may be used to identify a user or users of device based on unique physiological features. The biometric sensor may be: a fingerprint sensor used to capture an image of a user's fingerprint; an iris scanner or a retina scanner configured to capture an image of a user's iris or retina; an ECG module used to measure the user’s ECG; or the camera of the user electronic arranged to capture the face of the user. The biometric sensor may be an internal module of the user electronic device. The biometric module may be an external (stand-alone) device which may be coupled to the user electronic device by a wired or wireless link.
The controller 305 is configured to launch an application which is configured to display insights derived from the biosignal data processed by the ADC front end 139 of the electronics module 100, input to electronics module controller 103, and then transmitted from the electronics module 100. The transmitted data is received by the wireless communicator 307 of the user electronic device 300 and input to the controller 305.
Insights include, but are not limited to, an ECG signal trace i.e. the QRS complex, heart rate, respiration rate, core temperature but can also include identification data for the wearer 600 using the wearable assembly 500.
The display 301 may be a presence-sensitive display and therefore may comprise the user input unit 306. The presence-sensitive display may include a display component and a presencesensitive input component. The presence sensitive display may be a touch-screen display arranged as part of the user interface.
User electronic devices in accordance with the present invention are not limited to mobile phones or tablets and may take the form of any electronic device which may be used by a user to perform the methods according to aspects of the present invention. The user electronic device 300 may be a electronics module such as a smartphone, tablet personal computer (PC), mobile phone, smart phone, video telephone, laptop PC, netbook computer, personal digital assistant (PDA), mobile medical device, camera or wearable device. The user electronic device 300 may include a head-mounted device such as an Augmented Reality, Virtual Reality or Mixed Reality headmounted device. The user electronic device 300 may be desktop PC, workstations, television apparatus or a projector, e.g. arranged to project a display onto a surface.
In use, the electronics module 100 is configured to receive raw biosignal data from the sensors 209, 211 and which are coupled to the controller 103 via the interface 101 and the ADC front end 139 for further processing and transmission to the user electronic device 300 as described above. The data transmitted to the user electronics device 300 includes raw or processed biosignal data such as ECG data, heart rate, respiration data, core temperature and other insights as determined.
The controller 305 of the user electronics device 300 is also operable to launch an application which is configured to determine and output (e.g. display) a recovery score for the user. The user interface 302 displayed by the user electronics device 300 during the recovery score test is shown in Figures 8 to 12.
Referring to Figure 8, the recovery score application displays, on the user interface 302, a prompt to the user to lie down, relax and breath normally. This instructs the user to adopt a first, resting, position. The user then presses the start button 3022 to being the measurement procedure. After the user presses the start button 3022, the recovery score application uses motion data received from the electronics module 100 to determine whether the user has adopted the first, resting, position.
The electronics module 100 may comprise a machine-learning core which uses decision trees to output values indicative of different motion states. For example, 0 = lying down, 1 = sitting, 2 = walking, 3 = standing, and 4 = running. The motion states may be output to the user electronics device 300 as the motion data rather than, for example, the original accelerometer values. This simplifies the processing operations performed by the user electronics device 300. This is not required in all examples, and motion data in the form of accelerometer values may be provided to the user electronics device 300 to determine the position of the user.
The recovery score application determines, from the motion data, whether the user has adopted the first, resting, position. For example, the recovery score application may check whether the motion data received from the electronics module 100 has a value indicating that the user is lying down or sitting (e.g. motion data = 0 or 1).
If the recovery score application determines that the user has not adopted the first, resting, position, the user may be prompted visually or otherwise by the user electronics device 300 to adopt the first, resting, position. Advantageously, this approach helps ensure user compliance with the recovery test automatically based on motion data received from the electronics module 100. This enables an accurate recovery score to be generated as the recovery score will not be affected by heartbeat data obtained while the user is not in the correct position. Human supervision by, for example, a clinician is therefore not required to perform the recovery test.
If the recovery score application determines that the user has adopted the first, resting, position, the recovery score application transitions to the screen shown in Figure 9. The recovery score application displays an ECG waveform 3023 using biosignal data transmitted by the electronics module 100 to the user electronics device 300. The biosignal data received by the user electronic device 300 includes the recorded ECG data. Typically the received biosiginal data is in the form of inter-beat internal (IBI) values rather than the original ECG signals.
The recovery score application records heartbeat data while the user is in the resting position for a first time period of three minutes (other time ranges are possible) and thus obtains a first sequence of heartbeat data samples of the user while in the first, resting, position. A timer 3025 displays the remaining time to the user.
During the first time period, the electronics module 100 also transmits motion data to the user electronics device 300. The recovery score application analyses the motion data so as to determine whether the user is remaining in the first position. This helps ensure user compliance with the recovery test throughout the testing procedure. Human supervision by, for example, a clinician is therefore not required to perform the recovery test.
Additional or separate checks may be performed on the heartbeat data received by the user electronics device 300 from the electronics module 100. For example, the recovery score application may check for whether the heartbeat data indicates that an abnormal condition is present. The abnormal condition may be an unexpectedly elevated, rising, or varying heartrate that would not normally be expected when a user is in the first, relaxed position.
If the user has deviated from the first position and/or an abnormal condition is detected in the heartbeat data, the recovery score application prompts the user to restart the recovery test. If the user elects to not restart the recovery test, the heartbeat data obtained prior to the user deviating from the first position I the abnormal condition being detected may still be used to generate the recovery score. In this way, incorrect heartbeat data is automatically removed and not used to generate the recovery score. This helps to enhance the accuracy of the recovery score.
If the heartbeat data indicates a potential concern for the user such as an overly elevated heartrate, the recovery score application may generate a prompt to the user to seek medical advice.
If the user has not deviated from the first position and/or an abnormal condition is not detected in the heartbeat data, the recovery score application transitions to the screen shown in Figure 10 after the first time period has elapsed. The user interface 302 displays a prompt 3027 to the user to adopt the second position by standing up, relaxing and breathing normally. This instructs the userto adopt the second, standing, position. In addition to a visual notification, audible and/or haptic feedback may prompt the user to adopt the standing position.
After a predetermined time interval of generally a few seconds, the recovery score application transitions to the screen in Figure 11 . The recovery score application displays an ECG waveform 3029 using biosignal data transmitted by the electronics module 100 to the user electronics device 300. The biosignal data received by the user electronic device 300 includes the recorded ECG data. The recovery score application records heartbeat data while the user is in the second, standing, position for a second time period of three minutes (other time ranges are possible) to obtain a second sequence of heartbeat data samples for the user. A timer 3031 displays the remaining time to the user. During the second time period, the electronics module 100 also transmits motion data to the user electronics device 300. The recovery score application analyses the motion data so as to determine whether the user is remaining in the second, standing, position. Additional or separate checks may be performed on the heartbeat data received by the user electronics device 300 from the electronics module 100. For example, the recovery score application may check for whether the heartbeat data indicates that an abnormal condition is present. The abnormal condition may be an unexpectedly elevated, rising, or varying heartrate that would not normally be expected when a user is in the second position.
If the user has deviated from the second position and/or an abnormal condition is detected in the heartbeat data, the recovery score application prompts the user to restart the recovery test.
If the user elects to not restart the recovery test, the heartbeat data obtained prior to the user deviating from the second position I the abnormal condition being detected may still be used to generate the recovery score.
If the heartbeat data indicates a potential concern for the user such as an overly elevated heartrate, the recovery score application may generate a prompt to the user to seek medical advice.
If the user has not deviated from the first position and/or an abnormal condition is not detected in the heartbeat data and the second time period has elapsed, the recovery score application uses the heartbeat data obtained over the first and second time periods to generate a recovery score for the user. The recovery score application transitions to the screen shown in Figure 12.
Generally, the obtained heartbeat data samples comprise inter beat interval (I Bl) values that are extracted from the ECG signals. That is, the user electronics device 300 receives the extracted IBI values from the electronics module 100. In other examples, the user electronics device 300 may extract the IBI values from the received ECG signals.
The first time period may be a predefined time period. The first time period may be selected as appropriate by a healthcare professional. Usually a time period sufficiently long is selected so as to compensate for any minor fluctuations in the user’s heartbeat. The first time period may be greater than or equal to 30 seconds, greater than or equal to 1 minute, greater than or equal to 2 minutes, or greater than or equal to 3 minutes. The first time period may be less than 10 minutes, less than 7 minutes, or less than 5 minutes. In some examples, the first time period is 3 minutes. The second time period is usually desired to commence quickly after the first time period. Typically the second time period commences between 1 and 10 seconds after the first time period.
The second time period may be a predefined time period. The second time period may be selected as appropriate by a healthcare professional. Usually a time period sufficiently long is selected so as to compensate for any minor fluctuations in the user’s heartbeat. The second time period may be greater than or equal to 30 seconds, greater than or equal to 1 minute, greater than or equal to 2 minutes, or greater than or equal to 3 minutes. The second time period may be less than 10 minutes, less than 7 minutes, or less than 5 minutes. In some examples, the second time period is 3 minutes.
In some examples, the user electronics device 300 will use motion data to confirm that the user has adopted the second position prior to obtaining the heartbeat data during the second time period. That is, the second time period may only commence once the user electronics device 300 has confirmed that the user has adopted the second position. However, this is not required in all aspects of the present disclosure. In some examples, it may be desirable to obtain the user’s heartbeat data quickly after they adopt the second position. Checking motion data to confirm that the user is in the second position prior to obtaining the heartbeat data may introduce a time delay which could cause this desired heartbeat data to not be obtained during the second time period.
The generated recovery score is used to generate an output to the user. The output to the user is in the form of a recovery recommendation 3034 that gives a training recommendation to the user based on the generated recovery score .The recommendation may be a recommendation to seek medical advice, take a rest day, decrease training intensity or train as normal. Other recommendations are within the scope of the present disclosure. A recovery value 3033 is also displayed. The recovery value 3033 may be derived from the generated recovery measure or may be separately determined. In some examples, the recovery value 3033 is the output of the probability density function which is described in more detail below.
Additional metrics are displayed to the user on the screen including the user’s orthostatic (standing) heart rate 3035, heart rate variability, 3037, mental stress score 3039, physical strain 3041 and heart health score 3041 .
Referring to Figures 13A to 13D there is shown an example sequence of steps used to generate the recovery score using the heartbeat data obtained over the first and second time periods. In step S101 , a measure of the average heartrate, HRfirst, of the user over the first time period is derived using the heartbeat data recorded over the first time period. This may involve determining an average inter-beat interval (IBI) value for the heartbeat data recorded over the first time period. The average IBI value is in milliseconds and is typically converted into a measure of the heartrate in beats per minute by dividing 60000 by the average IBI value.
The average IBI value is typically the mean IBI value. The mean IBI value is a measure of the sum of the IBI values divided by the total number of IBI values. In other words, the mean IBI value is determined according to the formula:
Figure imgf000036_0002
where IBI is the sequence of IBI values for the user over the first time period.
In step S102 a measure of the heartrate variability, HRVfirst, of the user over the first time period is derived using the heartbeat data recorded over the first time period. This may involve computing the root mean square of successive differences for the IBI values.
The measure of the root mean square of successive differences, RMSSD, between successive heartbeats is a time domain measure of heart rate variability. The RMSSD is obtained by calculating each successive time difference between heartbeats. Each of these values is then squared and the result is averaged before the square root of the total is obtained. RMSSD is determined according to the formula:
Figure imgf000036_0001
where IBI is the sequence of IBI values for the user over the first time period.
The present disclosure is not limited to the user of RMMSD as a heartrate variability measure. Other heartrate variability measures that may be used with the present disclosure include the standard deviation of IBI values (SDRR), the standard deviation of differences between adjacent IBI values (SDSR), the percentage of adjacent IBI values (NN) differing by more than 25 ms (pNN25), and the percentage of adjacent IBI values (NN) differing by more than 50 ms (pNN50).
All of the heartbeat values recorded over the first time period may be used to compute the average heartrate and heartrate variability measures. This is not required in all examples, and only a subset of the heartbeat data recorded over the first time period may be used to compute these measures. In step S103, a measure of the average heartrate, HRsecond, of the user over the second time period is derived using the heartbeat data recorded over the second time period. This may involve determining an average inter-beat interval (IBI) value for the heartbeat data recorded over the second time period. The average IBI value is in milliseconds and is typically converted into a measure of the heartrate in beats per minute by dividing 60000 by the average IBI value.
In step S104, a measure of the heartrate variability, HRVsecond, of the user over the second time period is derived using the heartbeat data recorded over the second time period. This may involve computing the root mean square of successive differences for the IBI values.
All of the heartbeat values recorded over the second time period may be used to compute the average heartrate and heartrate variability measures. This is not required in all examples, and only a subset of the heartbeat data recorded over the second time period may be used to compute these measures. For example, the first one minute of heartbeat data samples recorded when the user is in the second position may be disregarded.
The obtained values of HRfirst, HRVfirst,HRsecond, and HRVsecond are used to generate the recovery score.
In step S105, the recovery score is initialised to have an initial value (e.g. = recovery score = 0). The recovery score is then increased and/or decreased based on different recovery measures that use some or all of HRfirst, HRVfirst,HRsecond , and HRVsecond. Increasing the recovery score means that the recovery measure indicates that the user is recovered. Decreasing the recovery score means that the recovery measure indicates that the user is not recovered.
The final recovery score is used to provide a recommendation to the user as displayed in the text box 3034 in Figure 12.
In step S106, a first recovery measure is performed. This comprises comparing HRVfirst and HR Vsecond to historic measures of the heartrate variability for the user during the first and second positions.
In examples, a two week moving average of historic heartrate variability data (HRVhistoricfirst,HRVhistoricsecond) for the user is compared to the values of HRVfirst and HR Vsecond. The two weeks moving average is just one example and other time windows can be used to calculate the historic heartrate variability for the user.
The generation of the recovery score comprises comparing the sum of HRVfirst and HRVsecond to the sum of HRVhistoricfirst and HRVhistoricsecond. This is not required in all examples as HRVfirst may be individually compared with HRVhistoricfirst and HRVsecond may be individually compared with HRVhistoricsecond .
If step S106 determines that the sum of HRVfirst and HRVsecond is greater than or equal to the sum of HRVhistoricfirst and HRVhistoricsecond , then this indicates that the user is recovered and the recovery score is increased in step S107.
If step S106 determines that the sum of HRVfirst and HRVsecond is less than the sum of HRVhistoricfirst and HRVhistoricsecond , then this indicates that the user is not recovered and the recovery score is decreased in step S108.
Advantageously, it has been found that there is a strong correlation between the sum of HR Vfirst and HRVsecond being greater than or equal to the sum of HRVhistoricfirst and HRVhistoricsecond and the user being recovered. The recovery score may be increased/decreased by a greater amount than other measures due to this strong correlation. For example, the recovery score may be increased or decreased by a value of 2.
In step S109 a second recovery measure is performed. This comprises comparing HRfirst and HRsecondt0 historic measures of the heartrate for the user during the first and second positions.
In examples, a two week moving average of historic heartrate data (HRhistoricfirst,HRhistoricsecond) for the user is compared to the values of HRfirst and HRSecond - The two weeks moving average is just one example and other time windows can be used to calculate the historic average heartrate for the user.
The generation of the recovery score comprises comparing the sum of HRfirst and HRsecond to the sum of HRhistoricfirst and HRhistoricsecond- This is not required in all examples as HRfirst may be individually compared with HRhistoricfirst and HRsecond may be individually compared with HRhistoricsecond .
If step S109 determines that the sum of HRfirst and HRsecond is less than or equal to the sum of HRhistoricfirst and HRhistoricsecond then this indicates that the user is recovered and the recovery score is increased in step S110.
If step S109 determines that the sum of HRfirst and HRsecond is greater than the sum of HRhistoricfirst and HRhistoricsecond . then this indicates that the user is not recovered and the recovery score is decreased in step S111 . Advantageously, it has been found that there is a correlation between the sum of HRfirst and HR ^cond being less than or equal to the sum of HRhistoricfirst and HRhistoricsecond and the user being recovered. This is a weaker correlation than the relationship between current and historic heartrate variability measures used above and so the recovery score may be increased/decreased by a lesser amount than the heartrate variability measure. For example, the recovery score may be increased or decreased by a value of 1 .
In steps S112 to S118, a series of recovery measures are performed that consider the difference between HRsecond and HRfirst and a threshold value.
In step S112 a third recovery measure is performed. This comprises comparing the difference between HRsecond and HRfirst to a first threshold value. The difference between HRsecond and HRfirst may be referred to as the orthostatic score.
If step S112 determines that HRsecond - HRfirst is greater than the first threshold value then the recovery score is decreased in step S113. The first threshold value may be the maximum expected difference between the heartrates for the user when in the first and second positions, 0HRmax. In other words, 0HRmax = HRsecond max - HRfirst min. The present disclosure is not limited to any particular value of 0HRmax. This value may be user specific. In some examples, 0HRmax is between 20 and 40 and is preferably 30.
Advantageously, it has been found that there is a strong correlation between HRsecond - HRfirst being greater than the first threshold value and the user being under recovered. If HRsecond - HRflrst is found to be greaterthan the threshold value, the user may be prompted to stop training and/or seek medical advice regardless of the output of the other recovery measures.
If HRsecond ~ HRfirst is less than the first threshold value then the recovery score may be increased but this is not required in all examples.
In step S114 a fourth recovery measure is performed. This comprises comparing the difference between HRsecond and HRfirst to a second threshold value.
If step S114 determines that HRsecond - HRfirst is less than a second threshold value then the recovery score is decreased in step S115. The second threshold value may be the minimum expected difference between the heartrates for the user when in the first and second positions, 0HRmln. In other words, 0HRmin = HRsecond,min - HRfirst max. The present disclosure is not limited to any particular value of 0HRmin. This value may be user specific. In some examples, 0HRmax is between 0 and 10 and is preferably 5. Advantageously, it has been found that there is a strong correlation between HRsecond - HRfirst being less than the second threshold value and the user being under recovered. If HRsecond - HRfirst is found to be less than the second threshold value, the user may be prompted to stop training and/or seek medical advice regardless of the output of the other recovery measures.
If HRsecond ~ HRfirst is greater than the second threshold value then the recovery score may be increased but this is not required in all examples.
In step S116 a fourth recovery measure is performed. This comprises comparing the output of a probability density function f(HRfirst, HRsecond) to a third threshold value. The function f (HRfirst, HRsecond) uses the difference between HRsecond and HRfirst and a non-zero constant, H, that represents a desired value of the difference between HRsecond and HRfirst to generate the output.
The probability density function is of the form:
Equation 1 :
Figure imgf000040_0001
A is a non-zero scaling constant.
A may be equal to
Figure imgf000040_0002
Preferably, the probability density function is scaled such that the probability density function outputs a value between 0 and a pre-defined, and preferably intuitive, maximum value (e.g. 10). In these examples, S acts as a scaling constant to set the maximum value of the function.
If the desired maximum value = 10 then S can be determined as being equal to:
Figure imgf000040_0004
Or more simply,
Figure imgf000040_0003
The output value does not have to be between 0 and 10. It may be between any values as desired by a healthcare professional and which can be determined by appropriately selecting the value of the scaling constant S. That is, S may be an integerwhich sets the maximum desired value for the recovery score. More generally, S may be set such that S = P x σ / A. P is a non-zero constant that sets the upper limit of the output by the function. In some examples, P = 10. P is not limited to any particular value. P may be, for example, 5, 20, 50, or 100.
In some examples, S may equal 1 such that the probability density function is not scaled.
B is a non-zero constant. In some examples,
Figure imgf000041_0001
H is a non-zero constant that represents a desired value of the difference between the heartrates when in the first and second positions, μ is a location parameter that determines the location of the peak of the normal distribution. The peak of the normal distribution is the optimum difference between the heartrates for the user when in the first and second position. That is, μ translates the peak of the curve of the distribution generated by the probability density function to a location representing an optimum value for the user. σ is a non-zero scaling constant that defines the width of the curve of the distribution generated by the probability density function; and
In preferred examples, μ is set to be proportional to the standard deviation. In particular, preferred examples, μ = 3a. This centres the peak of the distribution at a position that is 3 standard deviations from a minimum expected difference between the standing and resting heart rates for the user, and also 3 standard deviations away from a maximum expected difference between the standing and resting heart rates for the user.
In preferred examples, a is determined according to the maximum expected difference between heartrates for the user when in the first and second positions, 0HRmax , and the minimum expected difference between heartrates for the user when in the first and second positoins, 0HRmin. 0HRmax and 0HRmin are as defined above.
In particular preferred examples a is determined by calculating (OHRmax - OHRmm)/ C , where C is a non-zero constant that represents the number of standard deviations required to get from 0HRmln to μ and from μ to 0HRmax. C is a number greater than 0. Preferably, C = 6.
The present disclosure is not limited to any particular value of a. This value is generally user specific, a may be between 1 and 30, preferably between 1 and 25, preferably still between 1 and 20, preferably still between 1 and 15, preferably still between 1 and 10, preferably still between 1 and 5. In most preferred example σ = 5. The present disclosure is not limited to any particular value of 0HRmax and 0HRmln. These values are generally user specific. However, in some examples, the difference between 0HRmax and 0HRmin is between 20 and 50, preferably still between 25 and 40, and preferably still is 30.
The present disclosure is not limited to any particular value of μ . The value of μ is proportional to the value of σ and so will vary as σ varies. In some examples, μ is between 5 and 25. μ is between 10 and 20. μ is 15.
In preferred examples, the function f(HRfirst,HRsecond) is of the form:
Equation 2:
Figure imgf000042_0001
In preferred examples, the function f(HRfirst,HRsecond) is of the form:
Equation 3:
Figure imgf000042_0002
In preferred examples, the function f(HRfirst,HRsecond) is of the form:
Equation 4:
Figure imgf000042_0003
Figure imgf000042_0004
In preferred examples still, σ = 5, 0HRmax = 30, 0HRmin = 0, μ = 15. That is:
Equation 5:
Figure imgf000042_0005
The output of the probability density function is also the numerical component of the recovery score 3033 that is displayed by the user interface 302. If step S116 determines that the output of the probability density function f(HRfirst, HRsecond) is less than the third threshold value, then the recovery score is decreased in step S117.
If step S116 determines that the output of the probability density function of f(HRfirst, HRsecond) is greater than the third threshold value, then the recovery score is increased in step S118.
The present disclosure is not limited to any particular threshold value as it is generally user specific and depends on the scaling used for the probability density function. Generally, the third threshold value is between 0 and 10, and is preferably 5.
Advantageously, it has been found that there is a correlation between the output of the probability density function f(HRfirst, HRsecond) and the user being recovered. This is a weaker correlation than the relationship than some of the other recovery measures such as the heartrate variability measure and so the recovery score may be increased/decreased by a lesser amount than the heartrate variability measure. For example, the recovery score may be increased or decreased by a value of 1 .
In step S119 a fifth recovery measure is performed. This comprises comparing the recovery score as determined from the first to fourth recovery measures to a fourth threshold value.
If step S119 determines that the recovery score is greater than or equal to a fourth threshold value (e.g. 2), the difference between HRsecond and HRhistoricsecond is compared to a fifth threshold value in step S120. If the difference between HRsecond and HRhistoricsecond is greater than the fifth threshold value, then the recovery score is decreased in step S121. The present disclosure is not limited to any particular value of the fourth or fifth threshold value. Generally the fourth threshold value is between 1 and 5 and is preferably 2. Generally the fifth threshold value is between 2 and 8 and is preferably 5.
In step S122 a sixth recovery measure is performed. This comprises comparing the difference between HRsecond and HRhistoricsecond to a sixth threshold value. If the difference between HRSecond and HRhistoricsecond is greater than the sixth threshold value, then the recovery score is decreased or may otherwise be set to a predefined low value (e.g. 1) in step S123 to indicate that the user is under recovered. The present disclosure is not limited to any particular value of the sixth threshold value. Generally the sixth threshold value is between 5 and 15 and is preferably 10.
Advantageously, it has been found that there is a correlation between difference between HRsecond and HRhistoricsecond and the user being recovered. This is a strong correlation and is given priority over other recovery measures that suggest to train normally. Thus, as a result of this measure, the recovery score may be set to a certain low value rather than increased or decreased.
In step S124, the recovery score as determined according to the first to sixth recovery measures is used to generate a recovery recommendation. The recovery recommendation may be determined according to the following table:
Figure imgf000044_0001
The above table is just an example. Other values are possible depending on the type of recovery recommendations provided and the values used to increase/decrease the recovery score.
In step S125 the recovery score is output to the user.
The recovery measures above are just examples. All six recovery measures are not required. One, a subset, or all of the recovery measures listed above may be used. The order of recovery measures is just an example. A different order of recovery measures could also be used.
The above example uses heartbeat data from both the first and second time period to generate the recovery score. This is not required in all examples if, for example, the recovery test terminates before the second time period. Only heartbeat data and heartrate variability data from the first time period may be used to generate the recovery score. This may comprise comparing HRfirst to HRhistoricfirst .
Referring to Figure 14, there is shown an example method of performing a recovery for a user. The user may elect to take a recovery test via the user interface 302 as explained above in relation to Figures 8 to 12. The user is prompted to adopt the first position.
Step S201 comprises obtaining motion data for the user.
Step S202 comprises determining, from the motion data, whether the user has adopted the first, resting position. If the user has not adopted the first position, the method returns to step S201 . In this way, further motion data is obtained and analysed to see whether the user has now adopted the first position.
If the user has adopted the first position, the method proceeds to step S203. Step S203 comprises obtaining heartbeat data for the user over a first time period.
Step S204 comprises using the heartbeat data obtained over the first time period to generate a recovery score for the user.
Generating the recovery score may involve deriving a measure of the average heartrate of the user over the first time period. This average heartrate of the user may be used to generate the recovery score. The average heartrate of the user may be compared to a historic average heartrate of the user.
Generating the recovery score may involve deriving a measure of the heartrate variability of the user over the first time period. The heartrate variability measure may be used to generate the recovery score. The heartrate variability measure compared to a historic heartrate variability for the user.
The average heartrate of the user and the heartrate variability of the user over the first time period may be used to generate the recovery score for the user.
Figures 15A to 15B show another example method of generating a recovery score for a user.
Steps S301 to S303 correspond to Steps S201 to S203 in Figure 14.
Step S304 comprises obtaining motion data for the user over the first time period.
Step S305 comprises determining from the motion data whether the user remains in the first position during the first time period.
If the user does not remain in the first position, the method proceeds to Step S306 to prompt the userto restart the recovery test such as by returning to step S301 . If the user elects to not restart the recovery test, the heartbeat data obtained prior to the user moving out of the first position may still be used to generate the recovery score. Additionally or separately, if the heartbeat data indicates a potential concern for the heartbeat such as an overly elevated heartrate, the method may comprise generating a prompt to the user to seek medical advice. If an abnormal condition is not present, the user is then prompted to adopt a second position. The second position may be a standing position.
The method proceeds to Step S307. Step S307 comprises obtaining heartbeat data for the user over a second time period.
Step S308 comprises obtaining motion data for the user over the second time period.
Step S309 comprises determining from the motion data whether the user remains in the second position during the second time period.
If the user has deviated from the second position, the method proceeds to step S310 prompt the user to restart the recovery test such as by proceeding to step S301 . If the user elects to not restart the recovery test, the heartbeat data obtained prior to the user moving out of the second position may still be used to generate the recovery score. If the heartbeat data indicates a potential concern for the heartbeat such as an overly elevated heartrate, the method may comprise generating a prompt to the user to seek medical advice.
If the user remains in the second position, the method proceeds to step S31 1. Step S311 comprises using the heartbeat data obtained over the first time period and the heartbeat data obtained over the second time period to generate a recovery score for the user. This may involve using one or more of the recovery measures described above in relation to Figures 13A to 13D
Figure 16 shows another example method according to aspects of the present disclosure. This method is similar to that of Figure 14, but in this example a check is not required to initially be performed to confirm that the user is in the first position before obtaining the heartbeat data for the user over the first time period.
Step S401 comprises obtaining heartbeat data for a user over a first time period.
Step S402 comprises obtaining motion data for the user over the first time period.
Step S403 comprises determining, from the motion data, whether the user has deviated from a first position during the first time period.
If the user has deviated from the first position during the first time period, the method proceeds to step S404. Step S404 comprises generating a prompt to the user to restart the recovery test. If the user remains in the first position during the first time period, the method proceeds to step S405. Step S405 comprises using the heartbeat data obtained over the first time period to generate a recovery score for the user.
Referring to Figure 17, there is shown an example method of generating a recovery score for a user according to aspects of the present disclosure.
Step S501 comprises obtaining a measure, HRfirst, of the heartrate of the user when in a first position.
Step S502 comprises obtaining a measure, HRVfirst, ofthe heartrate variability of the userwhen in the first position.
Step S503 comprises generating a recovery score for the user using HRfirst, and HRVfirst.
Referring to Figure 18, there is shown an example method of generating a recovery score for a user according to aspects of the present disclosure.
Step S601 comprises obtaining a measure, HRfirst, of the heartrate of the user when in a first position.
Step S602 comprises obtaining a measure, HRVfirst, ofthe heartrate variability of the userwhen in the first position.
Step S603 comprises obtaining a measure, HRsecond, of the heartrate of the user when in a second position.
Step S604 comprises obtaining a measure, HRVsecond, of the heartrate variability of the user when in the second position.
Step S605 comprises generating a recovery score for the user using HRfirst, HRVfirst,HRsecond, and HRVsecond.
In summary, there is provided a method and system of performing a recovery test for a user and generating a recovery score. The method comprises obtaining motion data for the user (S201). The method comprises determining, from the motion data, whether the user has adopted a first position (S202). If the user has adopted the first position: the method further comprises obtaining heartbeat data for the user over a first time period (S203); and using the heartbeat data obtained over the first time period to generate a recovery score for the user (S204). The recovery score may be generated using heartrate and heartrate variability data generated during the first time period and optionally a second period when the user adopts a second position.
In some embodiments, the described elements may be configured to reside on a tangible, persistent, addressable storage medium and may be configured to execute on one or more processors. These functional elements may in some embodiments include, by way of example, components, such as software components, object-oriented software components, class components and task components, processes, functions, attributes, procedures, subroutines, segments of program code, drivers, firmware, microcode, circuitry, data, databases, data structures, tables, arrays, and variables.
Although the example embodiments have been described with reference to the components, modules and units discussed herein, such functional elements may be combined into fewer elements or separated into additional elements. Various combinations of optional features have been described herein, and it will be appreciated that described features may be combined in any suitable combination. In particular, the features of any one example embodiment may be combined with features of any other embodiment, as appropriate, except where such combinations are mutually exclusive. Throughout this specification, the term “comprising” or “comprises” means including the component(s) specified but not to the exclusion of the presence of others.
All of the features disclosed in this specification (including any accompanying claims, abstract and drawings), and/or all of the steps of any method or process so disclosed, may be combined in any combination, except combinations where at least some of such features and/or steps are mutually exclusive.
Each feature disclosed in this specification (including any accompanying claims, abstract and drawings) may be replaced by alternative features serving the same, equivalent or similar purpose, unless expressly stated otherwise. Thus, unless expressly stated otherwise, each feature disclosed is one example only of a generic series of equivalent or similar features.
The invention is not restricted to the details of the foregoing embodiment(s). The invention extends to any novel one, or any novel combination, of the features disclosed in this specification (including any accompanying claims, abstract and drawings), or to any novel one, or any novel combination, of the steps of any method or process so disclosed.

Claims

1 . A computer-implemented method of generating a recovery score for a user, the method comprising: obtaining a measure, HRfirst, of the heartrate of the user when in a first position; obtaining a measure, HRVfirst, of the heartrate variability of the user when in the first position; obtaining a measure, HRsecond, of the heartrate of the user when in a second position; obtaining a measure, HRVsecond, of the heartrate variability of the user when in the second position; and generating the recovery score using HRfirst, HRVfirst, HRsecond , and HRVsecond .
2. A method as claimed in claim 1 , wherein the recovery score is generated according to: (a) a comparison of HRVfirst and HRVsecond to historic heartrate variability values of the user when in the first and second positions.
3. A method as claimed in claim 2, wherein (a) comprises comparing HRVfirst and HRVsecondto a measure of the average of the historic heartrate variability values of the user when in the first position, HRVhistoricfirst, and a measure of the average of the historic heartrate variability values of the user when in the second position, HRV historicsecond .
4. A method as claimed in claim 3, wherein (a) comprises comparing the sum of HRVfirst and HRVsecond to the sum of HRVhistoriCfirst and HRVhistoricsecond .
5. A method as claimed in claim 4, wherein (a) comprises increasing the recovery score if the sum of HRVfirst and HRVsecond is greater than or equal to the sum of HRVhistoricfirst and HRVhistoricsecond .
6. A method as claimed in claim 4 or 5, wherein (a) comprises decreasing the recovery score if the sum of HRVfirst and HRVsecond is less than the sum of HRVhistoricfirst and HRVhistoricsecond .
7. A method as claimed in any preceding claim, wherein the recovery score is generated according to: (b) a comparison of HRfirst and HRsecond to historic heartrate values of the user when in the resting and standing positions. A method as claimed in claim 7, wherein (b) comprises comparing HRfirst and HRsecond to a measure of the average of the historic heartrate values of the user when in the first position, HRhistoricfirst, and a measure of the average of the historic heartrate values of the user when in the second position, HRhistoricsecond . A method as claimed in claim 8, wherein (b) comprises comparing the sum of HRfirst and HRsecond to the sum of HRhistoricfirst and HRhistoricsecond . A method as claimed in claim 9, wherein (b) comprises increasing the recovery score if the sum of HRfirst and HRsecond is less than or equal to the sum of HRhistoricfirst and HRhistoricsecond . A method as claimed in claim 9 or 10, wherein (b) comprises decreasing the recovery score if the sum of HRfirst and HRsecond is greater than the sum of HRhistoricfirst and HRhistoricsecond . A method as claimed in any preceding claim, wherein the recovery score is further generated according to: (c) a comparison of a measure of the difference between HRsecond and HRfirst to a threshold value. A method as claimed in claim 12, wherein (c) comprises decreasing the recovery score if the difference between HRsecond and HRfirst is greater than a first threshold value. A method as claimed in claim 12 or 13, wherein (c) comprises decreasing the recovery score if the difference between HRsecond and HRfirst is less than a second threshold value. A method as claimed in any of claims 12 to 14, wherein (c) comprises comparing the output of a probability density function f(HRfirst, HRsecond) to a third threshold value, wherein f(HRfirst,HRsecond)uses the difference between HRsecond and HRfirst and a non-zero constant, μ, that represents a desired value of the difference between HRsecond and HRfirst to generate the output. A method as claimed in claim 15, wherein (c) comprises decreasing the recovery score if the output of f(HRfirst, HRsecond) is less than the third threshold value.
17. A method as claimed in claim 15 or 16, wherein (c) comprises increasing the recovery score if the output of f(HRfirst,HRsecond) is greater than or equal to the third threshold value.
18. A method as claimed in any preceding claim, wherein the recovery score is further generated according to: (d) a comparison of the difference between HRsecond and historic heartrate values of the user when in the second position to a threshold value.
19. A method as claimed in claim 18, wherein (d) comprises comparing the difference between HRsecond and a measure of the average of the historic heartrate values of the user when in the second position to the threshold value.
20. A method as claimed in claim 19, wherein (d) comprises decreasing the recovery score if the difference between HRsecond and the measure of the average of the historic heartrate values of the user when in the second position is greater than the threshold value
21 . A computer-implemented method of generating a recovery score for a user, the method comprising: obtaining a measure, HRfirst, of the heartrate of the user when in a first position; obtaining a measure, HRVfirst, of the heartrate variability of the user when in the first position; obtaining a measure, HRsecond, of the heartrate of the user when in a second position; and obtaining a measure, HRVsecond, of the heartrate variability of the user when in the second position, generating a recovery score for the user, wherein the recovery score is determined according to:
(a) a comparison of HRfirst and HRsecond to historic heartrate values of the user when in the first and second positions; and
(b) a comparison of HRVfirst and HRVsecondto historic heartrate variability values of the user when in the first and second positions.
22. A computer-readable medium having instructions recorded thereon which, when executed by a processor, cause the processor to perform the method as claimed in any preceding claim. A system for generating a recovery score for a user, the system comprising a processor and a memory, the memory storing instructions which when executed by the processor cause the processor to perform operations comprising: obtaining a measure, HRfirst, of the heartrate of the userwhen in a first position; obtaining a measure, HRVfirst, of the heartrate variability of the user when in the first position; and obtaining a measure, HRsecond, of the heartrate of the user when in a second position; obtaining a measure, HRVsecond, of the heartrate variability of the user when in the second position; and generating the recovery score using HRfirst, HRVfirst,HRsecond , and HRVsecond.
PCT/GB2021/0532622020-12-152021-12-13Method and system for generating a recovery score for a userCeasedWO2022129879A1 (en)

Priority Applications (1)

Application NumberPriority DateFiling DateTitle
EP21830325.3AEP4262544A1 (en)2020-12-152021-12-13Method and system for generating a recovery score for a user

Applications Claiming Priority (2)

Application NumberPriority DateFiling DateTitle
GB2019778.6AGB2605556B (en)2020-12-152020-12-15Method and system for performing a recovering test and generating a recovery score for a user
GB2019778.62020-12-15

Publications (1)

Publication NumberPublication Date
WO2022129879A1true WO2022129879A1 (en)2022-06-23

Family

ID=74188955

Family Applications (1)

Application NumberTitlePriority DateFiling Date
PCT/GB2021/053262CeasedWO2022129879A1 (en)2020-12-152021-12-13Method and system for generating a recovery score for a user

Country Status (3)

CountryLink
EP (1)EP4262544A1 (en)
GB (1)GB2605556B (en)
WO (1)WO2022129879A1 (en)

Cited By (1)

* Cited by examiner, † Cited by third party
Publication numberPriority datePublication dateAssigneeTitle
WO2024092214A1 (en)*2022-10-282024-05-02Ohio State Innovation FoundationMethods and systems for monitoring bio-magnetic signals

Citations (4)

* Cited by examiner, † Cited by third party
Publication numberPriority datePublication dateAssigneeTitle
EP1852062A1 (en)*2006-05-032007-11-07Polar Electro OyMethod, user-specific performance monitor, system, and computer software product
EP2486848A1 (en)*2011-02-092012-08-15Nikolaus KleppDevice and method for measuring the recovery and potential performance of a test subject
US20160058378A1 (en)*2013-10-242016-03-03JayBird LLCSystem and method for providing an interpreted recovery score
US20160374567A1 (en)*2015-06-252016-12-29Whoop, Inc.Heart rate variability with sleep detection

Family Cites Families (1)

* Cited by examiner, † Cited by third party
Publication numberPriority datePublication dateAssigneeTitle
US9220444B2 (en)*2010-06-072015-12-29Zephyr Technology CorporationSystem method and device for determining the risk of dehydration

Patent Citations (4)

* Cited by examiner, † Cited by third party
Publication numberPriority datePublication dateAssigneeTitle
EP1852062A1 (en)*2006-05-032007-11-07Polar Electro OyMethod, user-specific performance monitor, system, and computer software product
EP2486848A1 (en)*2011-02-092012-08-15Nikolaus KleppDevice and method for measuring the recovery and potential performance of a test subject
US20160058378A1 (en)*2013-10-242016-03-03JayBird LLCSystem and method for providing an interpreted recovery score
US20160374567A1 (en)*2015-06-252016-12-29Whoop, Inc.Heart rate variability with sleep detection

Non-Patent Citations (1)

* Cited by examiner, † Cited by third party
Title
POLAR RESEARCH AND TECHNOLOGY: "White Paper Polar Orthostatic Test", 13 August 2019 (2019-08-13), XP055893149, Retrieved from the Internet <URL:https://www.polar.com/sites/default/files/static/science/white-papers/polar-orthostatic-test-white-paper.pdf> [retrieved on 20220217]*

Cited By (1)

* Cited by examiner, † Cited by third party
Publication numberPriority datePublication dateAssigneeTitle
WO2024092214A1 (en)*2022-10-282024-05-02Ohio State Innovation FoundationMethods and systems for monitoring bio-magnetic signals

Also Published As

Publication numberPublication date
EP4262544A1 (en)2023-10-25
GB2605556A (en)2022-10-12
GB2605556B (en)2024-01-31
GB202019778D0 (en)2021-01-27

Similar Documents

PublicationPublication DateTitle
US20230414149A1 (en)Method and System for Measuring and Displaying Biosignal Data to a Wearer of a Wearable Article
WO2022223958A1 (en)Method of preparing training data for use in training a health event identification machine-learning model
US20230263468A1 (en)An Electronics Module for a Wearable Article, a Controller for an Electronics Module, and a Wearable Article Incorporating an Electronics Module
GB2602645A (en)Method and system for detecting peaks in a heartrate signal
GB2608174A (en)Wearable article and system
WO2022129879A1 (en)Method and system for generating a recovery score for a user
GB2605349A (en)Method and system for performing a recovery test and generating a recovery score for a user
US20240245339A1 (en)A Controller, Electronics Module, System and Method
WO2022106836A1 (en)Method and system for adjusting a peak detection algorithm
WO2022106833A1 (en)Method and system for detecting peaks in a biosignal
EP4228503B1 (en)Method and system for determining a recovery score for a subject
GB2599673A (en)Method and system for measuring and displaying biosignal data to a wearer of a wearable article
US20250000424A1 (en)Method and System for Measuring and Displaying Biosignal Data to a Wearer of a Wearable Article
WO2022223957A1 (en)Method and system for correcting heartrate values derived from a heart rate signal
WO2023144529A1 (en)Method, computer-readable medium and system for guiding a breathing exercise performed by a user
GB2602646A (en)Method and system for correcting an array of candidate peaks identified from a heartrate signal
GB2611326A (en)Method and system for facilitating communication between an electronics module and an audio output device
GB2621222A (en)Method and system for estimating cardiovascular fitness and maximum heart rate for a user
WO2023052751A1 (en)Method and system for facilitating communication between an electronics module and an audio output device
GB2608172A (en)A controller, electronics module, system and method
GB2619291A (en)Electronics module for a wearable article and system incorporating an electronics module and a wearable article
GB2599672A (en)Method and system for measuring and displaying biosignal data to a wearer of a wearable article
GB2599671A (en)Method and system for measuring and displaying biosignal data to a wearer of a wearable article
GB2608173A (en)A controller, electronics module, system and method
GB2608175A (en)Shirt collar assembly and wearable article

Legal Events

DateCodeTitleDescription
121Ep: the epo has been informed by wipo that ep was designated in this application

Ref document number:21830325

Country of ref document:EP

Kind code of ref document:A1

NENPNon-entry into the national phase

Ref country code:DE

ENPEntry into the national phase

Ref document number:2021830325

Country of ref document:EP

Effective date:20230717


[8]ページ先頭

©2009-2025 Movatter.jp