Movatterモバイル変換


[0]ホーム

URL:


WO2022074033A1 - Combination therapy - Google Patents

Combination therapy
Download PDF

Info

Publication number
WO2022074033A1
WO2022074033A1PCT/EP2021/077504EP2021077504WWO2022074033A1WO 2022074033 A1WO2022074033 A1WO 2022074033A1EP 2021077504 WEP2021077504 WEP 2021077504WWO 2022074033 A1WO2022074033 A1WO 2022074033A1
Authority
WO
WIPO (PCT)
Prior art keywords
adc
treatment
individual
cancer
cells
Prior art date
Legal status (The legal status is an assumption and is not a legal conclusion. Google has not performed a legal analysis and makes no representation as to the accuracy of the status listed.)
Ceased
Application number
PCT/EP2021/077504
Other languages
French (fr)
Inventor
Francesca ZAMMARCHI
Current Assignee (The listed assignees may be inaccurate. Google has not performed a legal analysis and makes no representation or warranty as to the accuracy of the list.)
ADC Therapeutics SA
MedImmune Ltd
Original Assignee
ADC Therapeutics SA
MedImmune Ltd
Priority date (The priority date is an assumption and is not a legal conclusion. Google has not performed a legal analysis and makes no representation as to the accuracy of the date listed.)
Filing date
Publication date
Application filed by ADC Therapeutics SA, MedImmune LtdfiledCriticalADC Therapeutics SA
Publication of WO2022074033A1publicationCriticalpatent/WO2022074033A1/en
Anticipated expirationlegal-statusCritical
Ceasedlegal-statusCriticalCurrent

Links

Classifications

Definitions

Landscapes

Abstract

The present disclosure relates to combination therapies for the treatment of pathological conditions, such as cancer. In particular, the present disclosure relates to combination therapies comprising treatment with an anti-CD25 Antibody Drug Conjugate (anti-CD25 ADC) and a second agent.

Description

COMBINATION THERAPY
EARLIER APPLICATION
This application claims priority from United Kingdom application number GB2015916.6, filed 7 October 2020. The priority application is hereby incorporated by reference in its entirety and for any and all purposes as if fully set forth herein.
FIELD
The present disclosure relates to combination therapies for the treatment of pathological conditions, such as cancer. In particular, the present disclosure relates to combination therapies comprising treatment with an anti-CD25 Antibody Drug Conjugate (anti-CD25 ADC) and an IL-2.
BACKGROUND
Antibody Therapy
Antibody therapy has been established for the targeted treatment of subjects with cancer, immunological and angiogenic disorders (Carter, P. (2006) Nature Reviews Immunology 6:343-357). The use of antibody-drug conjugates (ADC), i.e. immunoconjugates, for the local delivery of cytotoxic or cytostatic agents, i.e. drugs to kill or inhibit tumour cells in the treatment of cancer, targets delivery of the drug moiety to tumours, and intracellular accumulation therein, whereas systemic administration of these unconjugated drug agents may result in unacceptable levels of toxicity to normal cells (Xie et al (2006) Expert. Opin. Biol. Ther. 6(3):281-291; Kovtun et al (2006) Cancer Res. 66(6):3214-3121 ; Law et al (2006) Cancer Res. 66(4):2328-2337; Wu et al (2005) Nature Biotech. 23(9):1137-1145; Lambert J. (2005) Current Opin. in Pharmacol. 5:543-549; Hamann P. (2005) Expert Opin. Ther. Patents 15(9): 1087- 1103; Payne, G. (2003) Cancer Cell 3:207- 212; Trail et al (2003) Cancer Immunol. Immunother. 52:328-337; Syrigos and Epenetos (1999) Anticancer Research 19:605-614).
CD25
The type I transmembrane protein CD25 is present on activated T- and B- cells, some thymocytes, myeloid precursors, and oligodendrocytes. On activated T-cells, it forms heterodimers with the beta- and gamma subunits (CD122 and CD132), thus comprising the high-affinity receptor for IL-2. This ligand represents a survival factor for activated T- cells, as removal of IL-2 leads to immediate death of these cells.
In case of B-cells, CD25 is physiologically expressed in early developmental stages of late pro-B and pre-B cells. Malignancies arising from this stage of B-cell differentiation may thus also express CD25. Mast cell lesions are also positive for CD25 which is thus considered as a key diagnostic criterion for determination of systemic mastocytosis. In Hodgkin lymphomas, CD25 is reported to be not expressed in Hodgkin-/Reed-Sternberg cells in nodular lymphocyte predominance Hodgkin lymphoma (NLPHL), whereas the same cell type expresses CD25 at varying levels in classical Hodgkin’ lymphomas of mixed cellularity type. The general expression levels are reported to be lower than in tumor infiltrating lymphocytes (TILs), which may result in problems demonstrating CD25 tumor cells in these cases (Levi et al., Merz et al, 1995).
Expression of the target antigen has also been reported for several B- and T-cell-derived subtypes of non-Hodgkin-lymphomas, i.e. B-cell chronic lymphatic leukemia, hairy cell leukemia, small cell lymphocytic lymphoma/chronic lymphocytic leukemia as well as adult T-cell leukemia/lymphoma and anaplastic large cell lymphoma.
CD25 may be localised to the membrane, with some expression observed in the cytoplasm. Soluble CD25 may also be observed outside of cells, such as in serum.
Therapeutic uses of anti-CD25 ADCs
The efficacy of an Antibody Drug Conjugate comprising an anti-CD25 antibody (an anti CD25-ADC) in the treatment of, for example, cancer has been established - see, for example, W02014/057119, WO2016/083468, and WO2016/166341.
Research continues to further improve the efficacy, tolerability, and clinical utility of anti- CD25 ADCs. To this end, the present authors have identified clinically advantageous combination therapies in which an anti-CD25 ADC is administered in combination with at least one IL-2.
SUMMARY
The present authors have determined that the administration of a combination of an anti-CD25 ADC and IL-2 to an individual leads to unexpected clinical advantages. The present authors have further determined that administration of an anti-CD25 ADC to an individual that has either been treated with, or is being treated with, and IL-2 leads to a synergistic increase in treatment efficacy.
Accordingly, in a first aspect the present disclosure provides a method of selecting an individual as suitable for treatment with an anti-CD25 ADC, wherein the individual is selected for treatment with the anti-CD25 ADC if the individual has been treated, or is being treated, with an IL-2. The individual may be selected for treatment if the individual is refractory to treatment, or further treatment, with the IL-2.
In another aspect, the present disclosure provides a method for treating a disorder in an individual, the method comprising selecting an individual as suitable for treatment by a method of the first aspect, and then administering to the individual an effective amount of the anti-CD25 ADC. The method of treatment may further comprise administering an IL-2 in combination with the anti-CD25 ADC.
In another aspect the disclosure provides a method for treating a disorder in an individual, the method comprising administering to the individual an effective amount of an anti-CD25 ADC and IL-2. The individual may be selected for treatment according to a method according of the first aspect. The disorder may be a proliferative disease, for example a cancer such as Hodgkin’s and non-Hodgkin’s Lymphoma, including diffuse large B-cell lymphoma (DLBCL), follicular lymphoma, (FL), Mantle Cell lymphoma (MCL), chronic lymphatic lymphoma (CLL), Marginal Zone B-cell lymphoma (MZBL) and leukemias such as Hairy cell leukemia (HCL), Hairy cell leukemia variant (HCL-v), Acute Myeloid Leukaemia (AML), anaplastic large cell lymphoma (ALCL), and Acute Lymphoblastic Leukaemia (ALL) such as Philadelphia chromosome-positive ALL (Ph+ALL) or Philadelphia chromosome-negative ALL (Ph-ALL).
The proliferative disease may be characterised by the presence of a neoplasm comprising both CD25+ve and CD25-ve cells.
The proliferative disease may be characterised by the presence of a neoplasm composed of CD25-ve neoplastic cells, optionally wherein the CD25-ve neoplastic cells are associated with CD25+ve non-neoplastic cells such as CD25+ve T-cells.
The target neoplasm or neoplastic cells may be all or part of a solid tumour.
“Solid tumor” herein will be understood to include solid haematological cancers such as lymphomas (Hodgkin’s lymphoma or non-Hodgkin’s lymphoma) which are discussed in more detail herein.
Solid tumors may be neoplasms, including non-haematological cancers, comprising or composed of CD25+ve neoplastic cells. Solid tumors may be neoplasms, including non- haematological cancers, infiltrated with CD25+ve cells, such as CD25+ve T-cells; such solid tumours may lack expression of CD25 (that is, comprise or be composed of CD25- ve neoplastic cells).
For example, the solid tumour may be a tumour with high levels of infiltrating T-cells, such as infiltrating regulatory T-cells (Treg; Menetrier-Caux, C., et al., Targ Oncol (2012) 7:15- 28; Arce Vargas et al., 2017, Immunity 46, 1-10; Tanaka, A., et al., Cell Res. 2017 Jan;27(1):109-118). Accordingly, the solid tumour may be pancreatic cancer, breast cancer, colorectal cancer, gastric and oesophageal cancer, leukemia and lymphoma, melanoma, non-small cell lung cancer, ovarian cancer, hepatocellular carcinoma, renal cell carcinoma, and head and neck cancer.
The anti-CD25-ADC may be ADCX25 described herein.
The anti-CD25-ADC may be ADCT-301 or Camidanlumab Tesirine.
The IL-2 may be, or comprise, a polypeptide having at least 70% sequence identity to SEQ ID NO.12, such as 90% sequence identity to SEQ ID NO.12. Preferably, the IL-2 specifically binds IL-2R and/or activates IL-2 signalling. In some embodiments the I L=2 is selected from group comprising: Aldesleukin, Interking, NL 201,Bempegaldesleukin, ALKS 4230, THOR-707, MDNA109, Pulmoleukin, DI-Leu16-IL-2, Simlukafusp alfa, Bifikafusp alfa, Teleukin, Cergutuzumab amunaleukin, and NHS-IL2-LT.
The individual may be human. The individual may have cancer, or may have been determined to have cancer. The individual may have, or have been determined to have, a CD25+ cancer or CD25+ tumour-associated non-tumour cells, such as CD25+ infiltrating T-cells.
In the disclosed methods the anti-CD25 ADC may be administered before the IL-2, simultaneous with the IL-2, or after the IL-2. The disclosed methods may comprise administering a further chemotherapeutic agent to the individual.
In another aspect, the present disclosure provides an anti-CD25 ADC, or a composition comprising an anti-CD25 ADC, for use in a method of treatment as described herein.
In one aspect, the present disclosure provides an IL-2, or a composition comprising an IL- 2, for use in a method of treatment as described herein.
In a further aspect, the present disclosure provides for the use of an anti-CD25 ADC or an IL-2 in the manufacture of a medicament for treating a disorder in an individual, wherein the treatment comprises a method of treatment as described herein.
In another aspect, the disclosure provides a first composition comprising an anti-CD25 ADC for use in a method of treating a disorder in an individual, wherein the treatment comprises administration of the first composition in combination with a second composition comprising a IL-2.
Also provided by this aspect is a first composition comprising a IL-2 for use in a method of treating a disorder in an individual, wherein the treatment comprises administration of the first composition in combination with a second composition comprising an anti-CD25 ADC.
The disorder may be a proliferative disease, for example a cancer such as non-Hodgkin’s Lymphoma, including diffuse large B-cell lymphoma (DLBCL), follicular lymphoma, (FL), Mantle Cell lymphoma (MCL), chronic lymphatic lymphoma (CLL), and Marginal Zone B- cell lymphoma (MZBL), and leukemias such as Hairy cell leukemia (HCL), Hairy cell leukemia variant (HCL-v), anaplastic large cell lymphoma (ALCL), and Acute Lymphoblastic Leukaemia (ALL) such as Philadelphia chromosome-positive ALL (Ph+ALL) or Philadelphia chromosome-negative ALL (Ph-ALL).
The anti-CD25-ADC may be ADCX25 described herein.
The anti-CD25-ADC may be ADCT-301 or Camidanlumab Tesirine. The IL-2 may be, or comprise, a polypeptide having at least 70% sequence identity to SEQ ID NO.12, such as 90% sequence identity to SEQ ID NO.12. Preferably, the IL-2 specifically binds IL-2R and/or activates IL-2 signalling. In some embodiments the I L=2 is selected from group comprising: Aldesleukin, Interking, NL 201,Bempegaldesleukin, ALKS 4230, THOR-707, MDNA109, Pulmoleukin, DI-Leu16-IL-2, Simlukafusp alfa, Bifikafusp alfa, Teleukin, Cergutuzumab amunaleukin, and NHS-IL2-LT.
The individual may be human. The individual may have cancer, or may have been determined to have cancer. The individual may have, or have been determined to have, a CD25+ cancer or CD25+ tumour-associated non-tumour cells, such as CD25+ infiltrating T-cells.
The first composition may be administered before the second composition, simultaneous with the second composition, or after the second composition. The treatment may comprise administering a further chemotherapeutic agent to the individual.
In a further aspect, the disclosure provides the use of an anti-CD25 ADC in the manufacture of a medicament for treating a disorder in an individual, wherein the medicament comprises an anti-CD25 ADC, and wherein the treatment comprises administration of the medicament in combination with a composition comprising IL-2.
Also provided by this aspect is the use of IL-2 in the manufacture of a medicament for treating a disorder in an individual, wherein the medicament comprises a IL-2, and wherein the treatment comprises administration of the medicament in combination with a composition comprising an anti-CD25 ADC.
The disorder may be a proliferative disease, for example a cancer such as Hodgkin’s and non-Hodgkin’s Lymphoma, including diffuse large B-cell lymphoma (DLBCL), follicular lymphoma, (FL), Mantle Cell lymphoma (MCL), chronic lymphatic lymphoma (CLL), Marginal Zone B-cell lymphoma (MZBL) and leukemias such as Hairy cell leukemia (HCL), Hairy cell leukemia variant (HCL-v), Acute Myeloid Leukaemia (AML), anaplastic large cell lymphoma (ALCL), and Acute Lymphoblastic Leukaemia (ALL) such as Philadelphia chromosome-positive ALL (Ph+ALL) or Philadelphia chromosome-negative ALL (Ph-ALL).
The proliferative disease may be characterised by the presence of a neoplasm comprising both CD25+ve and CD25-ve cells.
The proliferative disease may be characterised by the presence of a neoplasm composed of CD25-ve neoplastic cells, optionally wherein the CD25-ve neoplastic cells are associated with CD25+ve non-neoplastic cells such as CD25+ve T-cells.
The target neoplasm or neoplastic cells may be all or part of a solid tumour. “Solid tumor” herein will be understood to include solid haematological cancers such as lymphomas (Hodgkin’s lymphoma or non-Hodgkin’s lymphoma) which are discussed in more detail herein.
Solid tumors may be neoplasms, including non-haematological cancers, comprising or composed of CD25+ve neoplastic cells. Solid tumors may be neoplasms, including non- haematological cancers, infiltrated with CD25+ve cells, such as CD25+ve T-cells; such solid tumours may lack expression of CD25 (that is, comprise or be composed of CD25- ve neoplastic cells).
For example, the solid tumour may be a tumour with high levels of infiltrating T-cells, such as infiltrating regulatory T-cells (Treg; Menetrier-Caux, C., et al., Targ Oncol (2012) 7:15- 28; Arce Vargas et al., 2017, Immunity 46, 1-10; Tanaka, A., et al., Cell Res. 2017 Jan;27(1):109-118). Accordingly, the solid tumour may be pancreatic cancer, breast cancer, colorectal cancer, gastric and oesophageal cancer, leukemia and lymphoma, melanoma, non-small cell lung cancer, ovarian cancer, hepatocellular carcinoma, renal cell carcinoma, and head and neck cancer.
The anti-CD25 ADC may be ADCX25 as described herein.
The anti-CD25-ADC may be ADCT-301 or Camidanlumab Tesirine.
The IL-2 may be, or comprise, a polypeptide having at least 70% sequence identity to SEQ ID NO.12, such as 90% sequence identity to SEQ ID NO.12. Preferably, the IL-2 specifically binds IL-2R and/or activates IL-2 signalling. In some embodiments the I L=2 is selected from group comprising: Aldesleukin, Interking, NL 201,Bempegaldesleukin, ALKS 4230, THOR-707, MDNA109, Pulmoleukin, DI-Leu16-IL-2, Simlukafusp alfa, Bifikafusp alfa, Teleukin, Cergutuzumab amunaleukin, and NHS-IL2-LT.
The individual may be human. The individual may have cancer, or may have been determined to have cancer. The individual may have, or have been determined to have, a CD25+ cancer or CD25+ tumour-associated non-tumour cells, such as CD25+ infiltrating T-cells.
The medicament may be administered before the composition, simultaneous with the composition, or after the composition. The treatment may comprise administering a further chemotherapeutic agent to the individual.
Another aspect of the disclosure provides a kit comprising: a first medicament comprising an anti-CD25 ADC; a package insert comprising instructions for administration of the first medicament according to a method of treatment as disclosed herein. The kit may further comprise a second medicament comprising an IL-2. Another aspect of the disclosure provides a kit comprising: a first medicament comprising an anti-CD25 ADC; a second medicament comprising an IL-2; and, optionally, a package insert comprising instructions for administration of the first medicament to an individual in combination with the second medicament for the treatment of a disorder.
Also provided by this aspect is a kit comprising a medicament comprising an anti-CD25 ADC and a package insert comprising instructions for administration of the medicament to an individual in combination with a composition comprising an IL-2 for the treatment of a disorder.
Further provided by this aspect is a kit comprising a medicament comprising an IL-2 and a package insert comprising instructions for administration of the medicament to an individual in combination with a composition comprising an anti-CD25 ADC for the treatment of a disorder.
The disorder may be a proliferative disease, for example a cancer such as Hodgkin’s and non-Hodgkin’s Lymphoma, including diffuse large B-cell lymphoma (DLBCL), follicular lymphoma, (FL), Mantle Cell lymphoma (MCL), chronic lymphatic lymphoma (CLL), Marginal Zone B-cell lymphoma (MZBL) and leukemias such as Hairy cell leukemia (HCL), Hairy cell leukemia variant (HCL-v), Acute Myeloid Leukaemia (AML), anaplastic large cell lymphoma (ALCL), and Acute Lymphoblastic Leukaemia (ALL) such as Philadelphia chromosome-positive ALL (Ph+ALL) or Philadelphia chromosome-negative ALL (Ph-ALL).
The proliferative disease may be characterised by the presence of a neoplasm comprising both CD25+ve and CD25-ve cells.
The proliferative disease may be characterised by the presence of a neoplasm composed of CD25-ve neoplastic cells, optionally wherein the CD25-ve neoplastic cells are associated with CD25+ve non-neoplastic cells such as CD25+ve T-cells.
The target neoplasm or neoplastic cells may be all or part of a solid tumour.
“Solid tumor” herein will be understood to include solid haematological cancers such as lymphomas (Hodgkin’s lymphoma or non-Hodgkin’s lymphoma) which are discussed in more detail herein.
Solid tumors may be neoplasms, including non-haematological cancers, comprising or composed of CD25+ve neoplastic cells. Solid tumors may be neoplasms, including non- haematological cancers, infiltrated with CD25+ve cells, such as CD25+ve T-cells; such solid tumours may lack expression of CD25 (that is, comprise or be composed of CD25- ve neoplastic cells). For example, the solid tumour may be a tumour with high levels of infiltrating T-cells, such as infiltrating regulatory T-cells (Treg; Menetrier-Caux, C., et al., Targ Oncol (2012) 7:15- 28; Arce Vargas et al., 2017, Immunity 46, 1-10; Tanaka, A., et al., Cell Res. 2017 Jan;27(1):109-118). Accordingly, the solid tumour may be pancreatic cancer, breast cancer, colorectal cancer, gastric and oesophageal cancer, leukemia and lymphoma, melanoma, non-small cell lung cancer, ovarian cancer, hepatocellular carcinoma, renal cell carcinoma, and head and neck cancer.
The anti-CD25 ADC may be ADCX25 as described herein.
The anti-CD25-ADC may be ADCT-301 or Camidanlumab Tesirine.
The IL-2 may be, or comprise, a polypeptide having at least 70% sequence identity to SEQ ID NO.12, such as 90% sequence identity to SEQ ID NO.12. Preferably, the IL-2 specifically binds IL-2R and/or activates IL-2 signalling. In some embodiments the I L=2 is selected from group comprising: Aldesleukin, Interking, NL 201,Bempegaldesleukin, ALKS 4230, THOR-707, MDNA109, Pulmoleukin, DI-Leu16-IL-2, Simlukafusp alfa, Bifikafusp alfa, Teleukin, Cergutuzumab amunaleukin, and NHS-IL2-LT.
The individual may be human. The individual may have cancer, or may have been determined to have cancer. The individual may have, or have been determined to have, a CD25+ cancer or CD25+ tumour-associated non-tumour cells, such as CD25+ infiltrating T-cells.
The medicament or composition comprising the anti-CD25 ADC may be administered before the medicament or composition comprising the IL-2, simultaneous with the medicament or composition comprising the IL-2, or after the medicament or composition comprising the IL-2. The treatment may comprise administering a further chemotherapeutic agent to the individual.
In a yet further aspect, the disclosure provides a composition comprising an anti-CD25 ADC and an IL-2.
Also provided in this aspect of the disclosure is a method of treating a disorder in an individual, the method comprising administering to the individual an effective amount of the composition comprising an anti-CD25 ADC and an IL-2.
Also provided in this aspect of the disclosure is a composition comprising an anti-CD25 ADC and an IL-2 for use in a method of treating a disorder in an individual.
Also provided in this aspect of the disclosure is the use of a composition comprising an anti-CD25 ADC and an IL-2 in the manufacture of a medicament for treating a disorder in an individual. Also provided in this aspect of the disclosure is a kit comprising composition comprising an anti-CD25 ADC and an IL-2 and a set of instructions for administration of the medicament to an individual for the treatment of a disorder.
The disorder may be a proliferative disease, for example a cancer such as Hodgkin’s and non-Hodgkin’s Lymphoma, including diffuse large B-cell lymphoma (DLBCL), follicular lymphoma, (FL), Mantle Cell lymphoma (MCL), chronic lymphatic lymphoma (CLL), Marginal Zone B-cell lymphoma (MZBL) and leukemias such as Hairy cell leukemia (HCL), Hairy cell leukemia variant (HCL-v), Acute Myeloid Leukaemia (AML), anaplastic large cell lymphoma (ALCL), and Acute Lymphoblastic Leukaemia (ALL) such as Philadelphia chromosome-positive ALL (Ph+ALL) or Philadelphia chromosome-negative ALL (Ph-ALL).
The proliferative disease may be characterised by the presence of a neoplasm comprising both CD25+ve and CD25-ve cells.
The proliferative disease may be characterised by the presence of a neoplasm composed of CD25-ve neoplastic cells, optionally wherein the CD25-ve neoplastic cells are associated with CD25+ve non-neoplastic cells such as CD25+ve T-cells.
The target neoplasm or neoplastic cells may be all or part of a solid tumour.
“Solid tumor” herein will be understood to include solid haematological cancers such as lymphomas (Hodgkin’s lymphoma or non-Hodgkin’s lymphoma) which are discussed in more detail herein.
Solid tumors may be neoplasms, including non-haematological cancers, comprising or composed of CD25+ve neoplastic cells. Solid tumors may be neoplasms, including non- haematological cancers, infiltrated with CD25+ve cells, such as CD25+ve T-cells; such solid tumours may lack expression of CD25 (that is, comprise or be composed of CD25- ve neoplastic cells).
For example, the solid tumour may be a tumour with high levels of infiltrating T-cells, such as infiltrating regulatory T-cells (Treg; Menetrier-Caux, C., et al., Targ Oncol (2012) 7:15- 28; Arce Vargas et al., 2017, Immunity 46, 1-10; Tanaka, A., et al., Cell Res. 2017 Jan;27(1):109-118). Accordingly, the solid tumour may be pancreatic cancer, breast cancer, colorectal cancer, gastric and oesophageal cancer, leukemia and lymphoma, melanoma, non-small cell lung cancer, ovarian cancer, hepatocellular carcinoma, renal cell carcinoma, and head and neck cancer.
The anti-CD25 ADC may be ADCX25 as described herein.
The anti-CD25-ADC may be ADCT-301 or Camidanlumab Tesirine.
The IL-2 may be, or comprise, a polypeptide having at least 70% sequence identity to SEQ ID NO.12, such as 90% sequence identity to SEQ ID NO.12. Preferably, the IL-2 specifically binds IL-2R and/or activates IL-2 signalling. In some embodiments the I L=2 is selected from group comprising: Aldesleukin, Interking, NL 201,Bempegaldesleukin, ALKS 4230, THOR-707, MDNA109, Pulmoleukin, DI-Leu16-IL-2, Simlukafusp alfa, Bifikafusp alfa, Teleukin, Cergutuzumab amunaleukin, and NHS-IL2-LT.
The individual may be human. The individual may have cancer, or may have been determined to have cancer. The individual may have, or have been determined to have, a CD25+ cancer or CD25+ tumour-associated non-tumour cells, such as CD25+ infiltrating T-cells.
The treatment may comprise administering a further chemotherapeutic agent to the individual.
DETAILED DESCRIPTION
Antibody Drug Conjugates (ADCs)
The present disclosure relates to the improved efficacy of combinations of an ADC and an IL-2.
The ADC can deliver a drug to a target location. The target location is preferably a proliferative cell population. The antibody is an antibody for an antigen present on a Proliferative cell population. In one aspect the antigen is absent or present at a reduced level in a non-proliferative cell population compared to the amount of antigen present in the proliferative cell population, for example a tumour cell population.
The ADC may comprise a linker which may be cleaved so as to release the drug at the target location. The drug may be a compound selected from RelA, RelB, RelC, RelD or RelE. Thus, the conjugate may be used to selectively provide a compound RelA, RelB, Rel C, RelD or RelE to the target location.
The linker may be cleaved by an enzyme present at the target location.
The disclosure particularly relates treatment with an anti-CD25 ADC disclosed in WO2014/057119, and as herein described. anti-CD25 ADCs
As used herein, the term “anti-CD25-ADC” refers to an ADC in which the antibody component is an anti-CD25 antibody and the drug component comprises a pyrrolobenzodiazepine (PBD), such as a PBD dimer. PBD dimers have been shown to form sequence selective, non-distorting and potently cytotoxic DNA interstrand cross-links in the minor groove of DNA. Typically therefore the PBD is able to bind to, and form interstrand cross-links in the minor groove of target cell DNA. Accordingly, the anti-CD25-ADC may be an antibody drug conjugate (ADC) comprising an anti-CD25 antibody linked to a pyrrolobenzodiazepine (PBD) dimer warhead.
The ADC may comprise a conjugate of formula L - (DL)P wherein:
L is an antibody that binds to CD25;
DL is a pyrrolobenzodiazepine (PBD), such as a PBD dimer; and p is preferably from 1 to 8.
In some embodiments there may be a linker (Li) connecting L to DL. In some embodiments Li may be absent, or simply a covalent bond between the antibody and the PBD.
In some embodiments Li is a cleavable linker where - for example - the linker incorporates a sequence that is readily cleaved by enzyme action. For example, a known class of cleavable linkers incorporate a peptide sequence that can be readily cleaved by proteases such as cathepsin. An example of a cleavable drug-linker is the drug-linker of ADCx25 described herein.
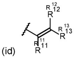
The ADC may comprise a conjugate of formula L - (DL)P, where DL is of formula I or II:
Figure imgf000012_0001
wherein:
L is an antibody (Ab) which is an antibody that binds to CD25; when there is a double bond present between C2’ and C3’, R12 is selected from the group consisting of:
(ia) C5-10 aryl group, optionally substituted by one or more substituents selected from the group comprising: halo, nitro, cyano, ether, carboxy, ester, C1.7 alkyl, C3-7 heterocyclyl and bis-oxy-Ci-3 alkylene;
(ib) C1.5 saturated aliphatic alkyl;
(ic) C3-6 saturated cycloalkyl;
Figure imgf000013_0001
wherein each of R21, R22 and R23 are independently selected from H, Ci-
3 saturated alkyl, C2-3 alkenyl, C2-3 alkynyl and cyclopropyl, where the total number of carbon atoms in the R12 group is no more than 5;
R25b
*\^\p25a
(ie)K , wherein one of R25a and R25b is H and the other is selected from: phenyl, which phenyl is optionally substituted by a group selected from halo, methyl, methoxy; pyridyl; and thiophenyl; and
(if)
Figure imgf000013_0002
, where R24 is selected from: H; C1.3 saturated alkyl; C2-3 alkenyl; C2-3 alkynyl; cyclopropyl; phenyl, which phenyl is optionally substituted by a group selected from halo, methyl, methoxy; pyridyl; and thiophenyl; when there is a single bond present between C2’ and C3’,
R12 is
Figure imgf000013_0003
, where R26a and R26b are independently selected from H, F, C1.4 saturated alkyl, C2-3 alkenyl, which alkyl and alkenyl groups are optionally substituted by a group selected from C1.4 alkyl amido and C1.4 alkyl ester; or, when one of R26a and R26b is H, the other is selected from nitrile and a C1.4 alkyl ester;
R6 and R9 are independently selected from H, R, OH, OR, SH, SR, NH2, NHR, NRR’, nitro, MesSn and halo; where R and R’ are independently selected from optionally substituted C1.12 alkyl, C3-20 heterocyclyl and C5-20 aryl groups;
R7 is selected from H, R, OH, OR, SH, SR, NH2, NHR, NHRR’, nitro, Me3Sn and halo;
R" is a C3-12 alkylene group, which chain may be interrupted by one or more heteroatoms, e.g. O, S, NRN2 (where RN2 is H or C1.4 alkyl), and/or aromatic rings, e.g. benzene or pyridine;
Y and Y’ are selected from O, S, or NH;
R6’, R7’, R9’ are selected from the same groups as R6, R7 and R9 respectively;
[Formula I]
RL1’ is a linker for connection to the antibody (Ab);
R11a is selected from OH, ORA, where RA is C1.4 alkyl, and SOZM, where z is 2 or 3 and M is a monovalent pharmaceutically acceptable cation;
R20 and R21 either together form a double bond between the nitrogen and carbon atoms to which they are bound or;
R20 is selected from H and Rc, where Rc is a capping group;
R21 is selected from OH, ORA and SOZM; when there is a double bond present between C2 and C3, R2 is selected from the group consisting of:
(ia) C5-10 aryl group, optionally substituted by one or more substituents selected from the group comprising: halo, nitro, cyano, ether, carboxy, ester, C1.7 alkyl, C3-7 heterocyclyl and bis-oxy-Ci-3 alkylene; (ib) C1.5 saturated aliphatic alkyl;
(ic) C3-6 saturated cycloalkyl;
Figure imgf000014_0001
, wherein each of R11, R12 and R13 are independently selected from H, C1.3 saturated alkyl, C2-3 alkenyl, C2-3 alkynyl and cyclopropyl, where the total number of carbon atoms in the R2 group is no more than 5;
Figure imgf000014_0002
(ie) , wherein one of R15a and R15b is H and the other is selected from: phenyl, which phenyl is optionally substituted by a group selected from halo, methyl, methoxy; pyridyl; and thiophenyl; and
(if)
Figure imgf000014_0003
, where R14 is selected from: H; C1.3 saturated alkyl; C2-3 alkenyl; C2-3 alkynyl; cyclopropyl; phenyl, which phenyl is optionally substituted by a group selected from halo, methyl, methoxy; pyridyl; and thiophenyl; when there is a single bond present between C2 and C3,
16a RR16a
J l 6b
“ 16b
R2 is R , where R16a and R16b are independently selected from H, F, C1.4 saturated alkyl, C2-3 alkenyl, which alkyl and alkenyl groups are optionally substituted by a group selected from C1.4 alkyl amido and C1.4 alkyl ester; or, when one of R16a and R16b is H, the other is selected from nitrile and a C1.4 alkyl ester;
[Formula II]
R22 is of formula Illa, formula lllb or formula lllc:
A O kA. Q 2.X
(a) Q Illa where A is a C5-7 aryl group, and either
(i) Q1 is a single bond, and Q2 is selected from a single bond and -Z-(CH2)n-, where Z is selected from a single bond, O, S and NH and n is from 1 to 3; or Q2 is a single bond; lllb dependently selected from H and unsubstituted C1.2 alkyl; lllc
Figure imgf000014_0004
where Q is selected from O-RL2’, S-RL2’ and NRN-RL2’, and RN is selected from H, methyl and ethyl
X is selected from the group comprising: O-RL2’, S-RL2’, CO2-R1-2’, CO-RL2’, NH-C(=O)-RL2’,
Figure imgf000015_0001
NHNH-RL2’, CONHNH-RL2’, , NRNRL2’, wherein RN is selected from the group comprising H and C1.4 alkyl;
RL2’ is a linker for connection to the antibody (Ab);
R10 and R11 either together form a double bond between the nitrogen and carbon atoms to which they are bound or;
R10 is H and R11 is selected from OH, ORA and SOZM;
R30 and R31 either together form a double bond between the nitrogen and carbon atoms to which they are bound or;
R30 is H and R31 is selected from OH, ORA and SOZM.
In some embodiments L-RL1’ or L-RL2’ is a group:
Figure imgf000015_0002
where the asterisk indicates the point of attachment to the PBD, Ab is the antibody, L1 is a cleavable linker, A is a connecting group connecting L1 to the antibody, L2 is a covalent bond or together with -OC(=O)- forms a self-immolative linker.
In some of these embodiments, L1 is enzyme cleavable, such as cathepsin cleavable.
It has previously been shown that such ADCs are useful in the treatment of CD25 expressing cancers (see, for example, WO2014/057119, which is incorporated by reference herein in its entirety).
The term anti-CD25-ADC may include any embodiment described in WO 2014/057119.
In particular, in preferred embodiments the ADC may have the chemical structure:
Figure imgf000015_0003
, where the Ab is a CD25 antibody, and the
DAR is between 1 and 8. The antibody may comprise a VH domain comprising a VH CDR1 with the amino acid sequence of SEQ ID NO.3, a VH CDR2 with the amino acid sequence of SEQ ID NO.4, and a VH CDR3 with the amino acid sequence of SEQ ID NO.5.
In some aspects the antibody component of the anti-CD25-ADC is an antibody comprising: a VH domain comprising a VH CDR1 with the amino acid sequence of SEQ ID NO.3, a VH CDR2 with the amino acid sequence of SEQ ID NO.4, and a VH CDR3 with the amino acid sequence of SEQ ID NO.5. In some embodiments the antibody comprises a VH domain having the sequence according to SEQ ID NO. 1.
The antibody may further comprise: a VL domain comprising a VL CDR1 with the amino acid sequence of SEQ ID NO.6, a VL CDR2 with the amino acid sequence of SEQ ID NO.7, and a VL CDR3 with the amino acid sequence of SEQ ID NO.8. In some embodiments the antibody further comprises a VL domain having the sequence according to SEQ ID NO. 2.
In some embodiments the antibody has a VH domain comprising a VH CDR1, a VH CDR2, and a VH CDR3, wherein the antibody comprises the CDR sequences of the VH domain having the sequence according to SEQ ID NO: 1. In some embodiments the antibody has a VL domain comprising a VL CDR1, a VL CDR2, and a VL CDR3, wherein the antibody comprises the CDR sequences of the VL domain having the sequence according to SEQ ID NO: 2.
In some embodiments the antibody comprises a VH domain and a VL domain, the VH and VL domains having the sequences of SEQ ID NO. 1 paired with SEQ ID NO. 2.
The VH and VL domain(s) may pair so as to form an antibody antigen binding site that binds CD25.
In preferred embodiments the antibody is an intact antibody comprising a VH domain and a VL domain, the VH and VL domains having sequences of SEQ ID NO. 1 and SEQ ID NO. 2.
In some embodiments the antibody is a fully human monoclonal lgG1 antibody, preferably lgG1 ,K.
In some embodiments the antibody is the AB12 antibody described in WO 2004/045512 (Genmab A/S).
In an aspect the antibody is an antibody as described herein which has been modified (or further modified) as described below. In some embodiments the antibody is a humanised, deimmunised or resurfaced version of an antibody disclosed herein.
A preferred anti-CD25-ADC for use with the aspects of the present disclosure is ADCX25, as described herein below. Another preferred anti-CD25-ADC for use with the aspects of the present disclosure is ADCT-301.
ADCx25
ADCx25 is an antibody drug conjugate composed of a human antibody against human CD25 attached to a pyrrolobenzodiazepine (PBD) warhead via a cleavable linker. The mechanism of action of ADCX25 depends on CD25 binding. The CD25 specific antibody targets the antibody drug conjugate (ADC) to cells expressing CD25. Upon binding, the ADC internalizes and is transported to the lysosome, where the protease sensitive linker is cleaved and free PBD dimer is released inside the target cell. The released PBD dimer inhibits transcription in a sequence-selective manner, due either to direct inhibition of RNA polymerase or inhibition of the interaction of associated transcription factors. The PBD dimer produces covalent crosslinks that do not distort the DNA double helix and which are not recognized by nucleotide excision repair factors, allowing for a longer effective period (Hartley 2011).
It has the chemical structure:
Figure imgf000017_0001
Ab represents Antibody AB12 (fully human monoclonal lgG1 , K antibody with the VH and VL sequences SEQ ID NO. 1 and SEQ ID NO. 2, respectively, also known as HuMax- TAC). It is synthesised as described in WO 2014/057119 (Conj AB12-E) and typically has a DAR (Drug to Antibody Ratio) of 2.0+/-0.3.
CD25 binding
The “first target protein” (FTP) as used herein is preferably CD25.
As used herein, “binds CD25” is used to mean the antibody binds CD25 with a higher affinity than a non-specific partner such as Bovine Serum Albumin (BSA, Genbank accession no. CAA76847, version no. CAA76847.1 Gl:3336842, record update date: Jan 7, 2011 02:30 PM). In some embodiments the antibody binds CD25 with an association constant (Ka) at least 2, 3, 4, 5, 10, 20, 50, 100, 200, 500, 1000, 2000, 5000, 104, 105 or 106-fold higher than the antibody’s association constant for BSA, when measured at physiological conditions. The antibodies of the disclosure can bind CD25 with a high affinity. For example, in some embodiments the antibody can bind CD25 with a KD equal to or less than about 10'6 M, such as equal to or less than one of 1 x 10'6, 10'7, 10'8, 10'9,10'10, 10'11, 10'12, 10-13 or 10'14.
In some embodiments, CD25 polypeptide corresponds to Genbank accession no. NP_000408, version no. NP_000408.1 Gl:4557667, record update date: Sep 09, 2012 04:59 PM. In one embodiment, the nucleic acid encoding CD25 polypeptide corresponds to Genbank accession no. NM_000417, version no. NM_000417.2 GI:269973860, record update date: Sep 09, 2012 04:59 PM. In some embodiments, CD25 polypeptide corresponds to Uniprot/Swiss-Prot accession No. P01589.
Interleukin-2
IL-2 is a member of a cytokine family, each member of which has a four alpha helix bundle; the family also includes IL-4, IL-7, IL-9, IL-15 and IL-21.
IL-2 signals through the IL-2 receptor, a complex consisting of three chains, termed alpha (CD25), beta (CD122) and gamma (CD132). The subunits are able to bind IL-1 in a number of different combinations [Arenas-Ramirez N. et al. 2015, Trends in Immunology. 36 (12): 763-7777 // Wang X. et al., 2005, Science. 310 (5751): 1159-63 ]: the a subunit (CD25) can bind IL-2 with low affinity (Kd ~10-8 M). However, the IL- 2/CD25 complex alone does not allow signal transduction due to CD25’s short intracellular chain.
- the p and y subunits form an intermediate-affinity (Kd~ 10"9 M) heterodimer that is expressed by memory CD8+ T-cells and NK cells, and is the minimal structure required for signalling.
- the a, p, and y subunits together form a high-affinity (Kd~ 10-11 M) heterotrimer that is expressed by regulatory T-cells and activated T-cells.
Signalling through IL-2 is transduced through three different signalling pathways; JAK- STAT, PI3K/Akt/mTOR and MAPK/ERK pathway. These in turn ultimately lead to activation and/or repression of a number of different expression factors [Friedmann MC, wt al. 1996, PNAS 93 (5): 2077-82], For example, one of IL-2’s checkpoints is through the activated T-cell receptor (TCR) post-MHC binding. Signalling from the TCR goes via a phospholipase-C (PLC) dependent pathway, which in turn activates the NFAT, NFkB and AP-1 transcription factors.
IL-2 has been reported to have a number of important roles in the immune system, tolerance and immunity, primarily via its direct effects on T-cells. In the thymus it acts to prevent autoimmune diseases by promoting the differentiation of regulatory T cells, IL-2 also promotes the differentiation of T cells into effector T cells and into memory T cells when the initial T cell is also stimulated by an antigen. Together with other polarizing cytokines, IL-2 stimulates naive CD4+ T cell differentiation into Th1 and Th2 lymphocytes while it impedes differentiation into Th17 and folicular Th lymphocytes [Liao W., et al. 2011, Current Opinion in Immunology. 23 (5): 598-604 // Liao W., et al., 2013, Immunity. 38 (1): 13-25 // Malek TR., et al., 2010 Immunity. 33 (2): 153-65], IL-2’s expression and secretion is tightly regulated and functions as part of both transient positive and negative feedback loops in mounting and dampening immune responses. Through its role in the development of T cell immunologic memory, which depends upon the expansion of the number and function of antigen-selected T cell clones, it plays a key role in enduring cell-mediated immunity.
IL-2 definitions
In some embodiments IL-2 as defined herein is the murine IL-2 disclosed herein as SEQ ID NO.9, preferably the mature form (ie. SEQ ID NO.10) thereof. In preferred embodiments IL-2 as defined herein is the human IL-2 disclosed herein as SEQ ID NO.11 , preferably the mature form (ie. SEQ ID NO.12) thereof.
In some embodiments, “IL-2” as defined herein is the polypeptide that corresponds to Genbank accession no. CAA23827, version no. CAA23827.1 , record update date: Feb 2, 2011 10:13 AM. In one embodiment, IL-2 as defined herein is the polypeptide encoded by the nucleic acid encoding IL-2 polypeptide corresponds to Genbank accession no V00564, version no. V00564.1, record update date: Feb 2, 2011 10:13 AM. In some embodiments, IL-2 as defined herein is the polypeptide corresponds to Uniprot/Swiss-Prot accession No. P60568-1.
“IL-2” as defined herein also includes functional variants or analogs of IL-2. In some embodiments an analog is considered functional if specifically binds IL-2R and/or activate IL-2 signalling (preferably both).
As used herein, “specifically binds IL-2R” is used to mean the variant or analog of IL-2 binds IL-2R with a higher affinity than a non-specific partner such as Bovine Serum Albumin (BSA, Genbank accession no. CAA76847, version no. CAA76847.1 Gl:3336842, record update date: Jan 7, 2011 02:30 PM). In some embodiments the variant or analog of IL-2 binds IL-2R with an association constant (Ka) at least 2, 3, 4, 5, 10, 20, 50, 100, 200, 500, 1000, 2000, 5000, 104, 105 or 106-fold higher than the variant or analog of IL-2’s association constant for BSA, when measured at physiological conditions. The variant or analog of IL-2 may bind IL-2R with a high affinity. For example, in some embodiments the variant or analog of IL-2 can bind IL-2R with a KD equal to or less than about 10'6 M, such as 1 x 10-6, 10-7, 10-8, 10'9,10'10, or 10’11. In some embodiments, the ‘IL-2R’ against which binding is assayed is the beta/gamma heterodimer (ie. without the alpha subunit).
As used herein, “activate IL-2 signalling” is used to mean that the variant or analog of IL-2 activates the JAK-STAT, PI3K/Akt/mTOR and/or MAPK/ERK pathway. In some embodiments the activation is measured by assessing the phosphorylation levels of a STAT (eg. STAT5), PI3K, and/or MAPK. In some embodiments the pathway is considered activated if phosphorylation levels are at least 10% of the level stimulated by the same concentration of ‘wild-type’ IL-2 (ie. mature, unmodified IL-2). In some cases the pathway is considered activated if phosphorylation levels are at least 20%, such as at least 30%, at least 40%, at least 50%, at least 60%, at least 70%, at least 80%, or at least 90% of the level stimulated by the same concentration of ‘wild-type’ IL-2.
In some embodiments the IL-2 analog or variant is, or comprises, a polypeptide having at least 60% sequence identity to SEQ ID NO.10 or, preferably, SEQ ID NO.12 as disclosed herein. In some embodiments the IL-2 analog or variant is, or comprises, a polypeptide having at least 70%, such as at least 80%, at least 90%, at least 95%, at least 96%, at least 97%, at least 98%, or at least 99% sequence identity to SEQ ID NO.10 or , preferably, SEQ ID NO.12 as disclosed herein.
The cysteine corresponding to position 140 of SEQ ID NO.10 or positon 125 of SEQ ID NO. 12 may be substituted with another amino acid, such as serine. Accordingly, in some embodiments the IL-2 analog or variant is, or comprises, a polypeptide having a substitution at the cysteine corresponding to position 140 of SEQ ID NO.10. In some embodiments the IL-2 analog or variant is, or comprises, a polypeptide having at the sequence of SEQ ID NO.10 with a substitution of the cysteine at position 140. In some embodiments the IL-2 analog or variant is, or comprises, a polypeptide having a substitution at the cysteine corresponding to position 125 of SEQ ID NO.12. In some embodiments the IL-2 analog or variant is, or comprises, a polypeptide having at the sequence of SEQ ID NO.12 with a substitution of the cysteine at position 125. In some embodiments the substitution is with serine.
The alanine at the N-terminus of the mature sequence may be deleted. Accordingly, in some embodiments the IL-2 analog or variant is, or comprises, a polypeptide in which the alanine at position 1 of SEQ ID NO.10 has been deleted. In some embodiments the IL-2 analog or variant is, or comprises, a polypeptide having at the sequence of SEQ ID NO.10 with a deletion of the alanine at position 1. In some embodiments the IL-2 analog or variant is, or comprises, a polypeptide in which the alanine at position 1 of SEQ ID NO.12 has been deleted. In some embodiments the IL-2 analog or variant is, or comprises, a polypeptide having at the sequence of SEQ ID NO.10 with a deletion of the alanine at position 1.
In some embodiments the IL-2 analog or variant is aglycosylated.
Examples of pharmaceutical agents that are suitable for use as IL-2 in the present disclosure include: a) Aldesleukin (aka Proleukin) i. CAS Number -> 110942-02-4
(see http://www.cas.org/content/chemical-substances/faqs) ii. Unique Ingredient Identifier (U N 11) M89N0Q7EQR
(see http://www.fda.gov/Forlndustry/DataStandards/SubstanceRegistrationSyst em-UniquelngredientldentifierUNII/default.htm) b) Interking c) Neoleukin 2/15 i. aka NL-201 ii. See Silva DA. Et al., 2019, Nature, Jan;565(7738):186-191 d) Bempegaldesleukin (NKTR-214) i. CAS Number 1939126-74-5
(see http://www.cas.org/content/chemical-substances/faqs) ii. Unique Ingredient Identifier (UNII) BN01 JG5MZC
(see http://www.fda.gov/Forlndustry/DataStandards/SubstanceRegistrationSyst em-UniquelngredientldentifierUNII/default.htm) e) ALKS 4230 i. See Lopes, JE., et al. 2020, J Immunother Cancer, Apr;8(1):e000673. f) THOR-707 i. See www.clinicaltrials.gov, NCT04009681 g) MDNA109 (Medicenna) i. See Journal of Clinical Oncology 37(15_suppl):e14220-e14220 h) Pulmoleukin/lmmunservice i) De-lmmunized Anti-CD20-IL-2 Immunocytokine (DI-Leu16-IL-2) i. See www.clinicaltrials.gov, NCT01874288 and NCT02151903 ii. See Gillies et al. 2005, Blood, May 15;105(10):3972-8 j) Simlukafusp alfa i. CAS Number -> 1776942-10-9
(see http://www.cas.org/content/chemical-substances/faqs) ii. Unique Ingredient Identifier (UNII) FL08SGO9XA
(see http://www.fda.gov/Forlndustry/DataStandards/SubstanceRegistrationSyst em-UniquelngredientldentifierUNII/default.htm) iii. aka. anti-FAP/interleukin-2 fusion protein RO6874281 , RG7461 iv. See www.clinicaltrials.gov, NCT02627274 k) Bifikafusp alfa i. CAS Number 1957239-90-5
(see http://www.cas.org/content/chemical-substances/faqs) ii. Unique Ingredient Identifier (UNII) 2K7BN4G2DQ
(see http://www.fda.gov/Forlndustry/DataStandards/SubstanceRegistrationSyst em-UniquelngredientldentifierUNII/default.htm) iii. aka. Darleukin l) Teleukin i. See Schliemann et al. (2015) Cancer Immunol. Res., 3, 547-556 ; Catania et al. (2015) Cell Migr. Adhes., 9: 1-2, 14-21 ii. See www.clinicaltrials.gov, NCT02957032 m) Cergutuzumab amunaleukin i. See Klein et al. 2017, Oncoimmunology, Jan 11;6(3):e1277306. n) NHS-IL2-LT i. aka. MSB0010445, EMD 521873; NHS-IL2; Selectikine ii. See Gillessesn et al. Eur J Cancer, 2013 Jan;49(1):35-44 iii. See www.clinicaltrials.gov, NCT01973608
Advantageous properties of the described combinations
Both the anti-CD25 ADC and IL-2 when used as a single agent in isolation have demonstrated clinical utility - for example, in the treatment of cancer. However, as described herein, combination of the anti-CD25 ADC and IL-2 is expected to provide one or more of the following advantages over treatment with either anti-CD25 ADC or IL-2 alone:
1) effective treatment of a broader range of cancers;
2) effective treatment of resistant or refractory forms of disorders such as cancer, and individuals with disorders such as cancer who have relapsed after a period of remission;
3) increased response rate to treatment; and I or
4) Increased durability of treatment.
Effective treatment of a broader range of cancers as used herein means that following treatment with the combination a complete response is observed with a greater range of recognised cancer types. That is, a complete response is seen from cancer types not previously reported to completely respond to either anti-CD25 ADC or IL-2 alone.
Effective treatment of a resistant, refractory, or relapsed forms as used herein means that following treatment with the combination a complete response is observed in individuals that are either partially or completely resistant or refractory to treatment with either anti-CD25 ADC or IL-2 alone (for example, individuals who show no response or only partial response following treatment with either agent alone, or those with relapsed disorder). In some embodiments, a complete response following treatment with the anti-CD25 ADC I IL-2 combination is observed at least 10% of individuals that are either partially or completely resistant or refractory to treatment with either anti-CD25 ADC or IL- 2 alone. In some embodiments, a complete response following treatment with the anti-CD25 ADC I IL-2 combination is observed at least 20%, at least 30%, at least 40%, at least 50%, at least 60%, at least 70%, at least 80%, at least 90%, at least 95%, at least 98%, or at least 99% of individuals that are either partially or completely resistant or refractory to treatment with either anti-CD25 ADC or IL-2 alone. Increased response rate to treatment as used herein means that following treatment with the combination a complete response is observed in a greater proportion of individuals than is observed following treatment with either anti-CD25 ADC or IL-2 alone. In some embodiments, a complete response following treatment with the anti-CD25 ADC I IL-2 combination is observed at least 10% of treated individuals. In some embodiments, a complete response following treatment with the anti-CD25 ADC I IL-2 combination is observed at least 20%, at least 30%, at least 40%, at least 50%, at least 60%, at least 70%, at least 80%, at least 90%, at least 95%, at least 98%, or at least 99% of treated individuals.
Increased durability of treatment as used herein means that average duration of complete response in individuals treated with the combination is longer than in individuals who achieve complete response following treatment with either anti-CD25 ADC or IL-2 alone. In some embodiments, the average duration of a complete response following treatment with the anti-CD25 ADC I IL-2 combination is at least 6 months. In some embodiments, the average duration of a complete response following treatment with the anti-CD25 ADC I IL-2 combination is at least 12 months, at least 18 months, at least 24 months, at least 3 years, at least 4 years, at least 5 years, at least 6 years, at least 7 years, at least 8 years, at least 9 years, at least 10 years, at least 15 years, or at least 20 years.
‘Complete response’ is used herein to mean the absence of any clinical evidence of disease in an individual. Evidence may be assessed using the appropriate methodology in the art, for example CT or PET scanning, or biopsy where appropriate. The number of doses required to achieve complete response may be one, two, three, four, five, ten or more. In some embodiments the individuals achieve complete response no more than a year after administration of the first dose, such as no more than 6 months, no more than 3 months, no more than a month, no more than a fortnight, or no more than a week after administration of the first dose.
Treated disorders
The combined therapies described herein include those with utility for anticancer activity. In particular, in certain aspects the therapies include an antibody conjugated, i.e. covalently attached by a linker, to a PBD drug moiety, i.e. toxin. When the drug is not conjugated to an antibody, the PBD drug has a cytotoxic effect. The biological activity of the PBD drug moiety is thus modulated by conjugation to an antibody. The antibody-drug conjugates (ADC) of the disclosure selectively deliver an effective dose of a cytotoxic agent to tumor tissue whereby greater selectivity, i.e. a lower efficacious dose, may be achieved.
Thus, in one aspect, the present disclosure provides combined therapies comprising administering an anti-CD25 ADC which binds CD25 for use in therapy, wherein the method comprises selecting a subject based on expression of the target protein. In one aspect, the present disclosure provides a combined therapy with a label that specifies that the therapy is suitable for use with a subject determined to be suitable for such use. The label may specify that the therapy is suitable for use in a subject has expression of CD25, such as overexpression of CD25. The label may specify that the subject has a particular type of cancer.
In a further aspect there is also provided a combined therapy as described herein for use in the treatment of a proliferative disease. Another aspect of the present disclosure provides the use of a conjugate compound in the manufacture of a medicament for treating a proliferative disease.
One of ordinary skill in the art is readily able to determine whether or not a candidate combined therapy treats a proliferative condition for any particular cell type. For example, assays which may conveniently be used to assess the activity offered by a particular compound are described below.
The combined therapies described herein may be used to treat a proliferative disease. The term “proliferative disease” pertains to an unwanted or uncontrolled cellular proliferation of excessive or abnormal cells which is undesired, such as, neoplastic or hyperplastic growth, whether in vitro or in vivo.
Examples of proliferative conditions include, but are not limited to, benign, pre-malignant, and malignant cellular proliferation, including but not limited to, neoplasms and tumours (e.g. histocytoma, glioma, astrocyoma, osteoma), cancers (e.g. lung cancer, small cell lung cancer, gastrointestinal cancer, bowel cancer, colon cancer, breast carinoma, ovarian carcinoma, prostate cancer, testicular cancer, liver cancer, kidney cancer, bladder cancer, pancreas cancer, brain cancer, sarcoma, osteosarcoma, Kaposi's sarcoma, melanoma), lymphomas, leukemias, psoriasis, bone diseases, fibroproliferative disorders (e.g. of connective tissues), and atherosclerosis. Cancers of interest include, but are not limited to, leukemias and ovarian cancers.
Any type of cell may be treated, including but not limited to, lung, gastrointestinal (including, e.g. bowel, colon), breast (mammary), ovarian, prostate, liver (hepatic), kidney (renal), bladder, pancreas, brain, and skin.
Proliferative disorders of particular interest include, but are not limited to, non-Hodgkin’s Lymphoma, including diffuse large B-cell lymphoma (DLBCL), follicular lymphoma, (FL), Mantle Cell lymphoma (MCL), chronic lymphatic lymphoma (CLL), and Marginal Zone B- cell lymphoma (MZBL), and leukemias such as Hairy cell leukemia (HCL), Hairy cell leukemia variant (HCL-v), anaplastic large cell lymphoma (ALCL), and Acute Lymphoblastic Leukaemia (ALL) such as Philadelphia chromosome-positive ALL (Ph+ALL) or Philadelphia chromosome-negative ALL (Ph-ALL). [Fielding A., Haematologica. 2010 Jan; 95(1): 8-12],
The proliferative disease may be characterised by the presence of a neoplasm comprising both CD25+ve and CD25-ve cells. The proliferative disease may be characterised by the presence of a neoplasm composed of CD25-ve neoplastic cells, optionally wherein the CD25-ve neoplastic cells are associated with CD25+ve non-neoplastic cells such as CD25+ve T-cells.
The target neoplasm or neoplastic cells may be all or part of a solid tumour.
“Solid tumor” herein will be understood to include solid haematological cancers such as lymphomas (Hodgkin’s lymphoma or non-Hodgkin’s lymphoma) which are discussed in more detail herein.
Solid tumors may be neoplasms, including non-haematological cancers, comprising or composed of CD25+ve neoplastic cells. Solid tumors may be neoplasms, including non- haematological cancers, infiltrated with CD25+ve cells, such as CD25+ve T-cells; such solid tumours may lack expression of CD25 (that is, comprise or be composed of CD25- ve neoplastic cells).
For example, the solid tumour may be a tumour with high levels of infiltrating T-cells, such as infiltrating regulatory T-cells (Treg; Menetrier-Caux, C., et al., Targ Oncol (2012) 7:15- 28; Arce Vargas et al., 2017, Immunity 46, 1-10; Tanaka, A., et al., Cell Res. 2017 Jan;27(1):109-118). Accordingly, the solid tumour may be pancreatic cancer, breast cancer, colorectal cancer, gastric and oesophageal cancer, leukemia and lymphoma, melanoma, non-small cell lung cancer, ovarian cancer, hepatocellular carcinoma, renal cell carcinoma, and head and neck cancer.
In some embodiments the proliferative disorder is a T-cell lymphoma. In some cases the disorder is anaplastic large cell lymphoma (ALCL), such as ALK-pos or ALK-neg ALCL.
It is contemplated that the combined therapies of the present disclosure may be used to treat various diseases or disorders, e.g. characterized by the overexpression of a tumor antigen. Exemplary conditions or hyperproliferative disorders include benign or malignant tumors; leukemia, haematological, and lymphoid malignancies. Others include neuronal, glial, astrocytal, hypothalamic, glandular, macrophagal, epithelial, stromal, blastocoelic, inflammatory, angiogenic and immunologic, including autoimmune disorders and graft- versus-host disease (GVHD).
Generally, the disease or disorder to be treated is a hyperproliferative disease such as cancer. Examples of cancer to be treated herein include, but are not limited to, carcinoma, lymphoma, blastoma, sarcoma, and leukemia or lymphoid malignancies. More particular examples of such cancers include squamous cell cancer (e.g. epithelial squamous cell cancer), lung cancer including small-cell lung cancer, non-small cell lung cancer, adenocarcinoma of the lung and squamous carcinoma of the lung, cancer of the peritoneum, hepatocellular cancer, gastric or stomach cancer including gastrointestinal cancer, pancreatic cancer, glioblastoma, cervical cancer, ovarian cancer, liver cancer, bladder cancer, hepatoma, breast cancer, colon cancer, rectal cancer, colorectal cancer, endometrial or uterine carcinoma, salivary gland carcinoma, kidney or renal cancer, prostate cancer, vulval cancer, thyroid cancer, hepatic carcinoma, anal carcinoma, penile carcinoma, as well as head and neck cancer.
Autoimmune diseases for which the combined therapies may be used in treatment include rheumatologic disorders (such as, for example, rheumatoid arthritis, Sjogren's syndrome, scleroderma, lupus such as SLE and lupus nephritis, polymyositis/dermatomyositis, cryoglobulinemia, anti-phospholipid antibody syndrome, and psoriatic arthritis), osteoarthritis, autoimmune gastrointestinal and liver disorders (such as, for example, inflammatory bowel diseases (e.g. ulcerative colitis and Crohn's disease), autoimmune gastritis and pernicious anemia, autoimmune hepatitis, primary biliary cirrhosis, primary sclerosing cholangitis, and celiac disease), vasculitis (such as, for example, ANCA-associated vasculitis, including Churg-Strauss vasculitis, Wegener's granulomatosis, and polyarteriitis), autoimmune neurological disorders (such as, for example, multiple sclerosis, opsoclonus myoclonus syndrome, myasthenia gravis, neuromyelitis optica, Parkinson’s disease, Alzheimer’s disease, and autoimmune polyneuropathies), renal disorders (such as, for example, glomerulonephritis, Goodpasture’s syndrome, and Berger’s disease), autoimmune dermatologic disorders (such as, for example, psoriasis, urticaria, hives, pemphigus vulgaris, bullous pemphigoid, and cutaneous lupus erythematosus), hematologic disorders (such as, for example, thrombocytopenic purpura, thrombotic thrombocytopenic purpura, post-transfusion purpura, and autoimmune hemolytic anemia), atherosclerosis, uveitis, autoimmune hearing diseases (such as, for example, inner ear disease and hearing loss), Behcet's disease, Raynaud's syndrome, organ transplant, graft-versus-host disease (GVHD), and autoimmune endocrine disorders (such as, for example, diabetic-related autoimmune diseases such as insulin-dependent diabetes mellitus (IDDM), Addison’s disease, and autoimmune thyroid disease (e.g. Graves’ disease and thyroiditis)). More preferred such diseases include, for example, rheumatoid arthritis, ulcerative colitis, ANCA-associated vasculitis, lupus, multiple sclerosis, Sjogren's syndrome, Graves’ disease, IDDM, pernicious anemia, thyroiditis, and glomerulonephritis.
In some aspects, the subject has a proliferative disorder selected from (classical) Hodgkin lymphomas, with mixed cellularity type (Hodgkin-/Reed-Sternbert-Cells: CD25 +/-), or non-Hodgkin lymphoma, including B-cell chronic lymphatic leukemaia, diffuse large B-cell lymphoma (DLBCL), follicular lymphoma, (FL), Mantle Cell lymphoma (MCL), chronic lymphatic lymphoma (CLL), Marginal Zone B-cell lymphoma (MZBL) and leukemias such as Hairy cell leukemia (HCL), Hairy cell leukemia variant (HCL-v), Acute Myeloid Leukaemia (AML), anaplastic large cell lymphoma (ALCL), Acute Lymphoblastic Leukaemia (ALL) such as Philadelphia chromosome-positive ALL (Ph+ALL) or Philadelphia chromosome-negative ALL (Ph-ALL) [Fielding A., Haematologica. 2010 Jan; 95(1): 8-12], small cell lymphocytic lymphoma, adult T-cell leukemia/lymphoma, or anaplastic large cell lymphoma.
In some aspects, the subject has a proliferative disease characterised by the presence of a neoplasm comprising both CD25+ve and CD25-ve cells. The proliferative disease may be characterised by the presence of a neoplasm composed of CD25-ve neoplastic cells, optionally wherein the CD25-ve neoplastic cells are associated with CD25+ve non-neoplastic cells such as CD25+ve T-cells.
The target neoplasm or neoplastic cells may be all or part of a solid tumour.
Solid tumors may be neoplasms, including non-haematological cancers, comprising or composed of CD25+ve neoplastic cells. Solid tumors may be neoplasms, including non- haematological cancers, infiltrated with CD25+ve cells, such as CD25+ve T-cells; such solid tumours may lack expression of CD25 (that is, comprise or be composed of CD25- ve neoplastic cells).
For example, the solid tumour may be a tumour with high levels of infiltrating T-cells, such as infiltrating regulatory T-cells (Treg; Menetrier-Caux, C., et al., Targ Oncol (2012) 7:15- 28; Arce Vargas et al., 2017, Immunity 46, 1-10; Tanaka, A., et al., Cell Res. 2017 Jan;27(1):109-118). Accordingly, the solid tumour may be pancreatic cancer, breast cancer, colorectal cancer, gastric and oesophageal cancer, leukemia and lymphoma, melanoma, non-small cell lung cancer, ovarian cancer, hepatocellular carcinoma, renal cell carcinoma, and head and neck cancer.
Classical Hodgkins lymphoma includes the subtypes nodular sclerosing, lymphocyte predominant, lymphocyte depleted and mixed cellularity. The Hodgkins lymphoma subtype may not be defined. In certain aspects, the patients tested according to the methods here have Hodgkins lymphoma of the nodular sclerosing and mixed cellularity subtypes.
In certain aspects, the subject has diffuse large B cell lymphoma or peripheral T cell lymphoma, including the anaplastic large cell lymphoma and angioimmunoblastic T cell lymphoma subtypes.
Patient Selection
In certain aspects, the individuals are selected as suitable for treatment with the combined treatments before the treatments are administered.
As used herein, individuals who are considered suitable for treatment are those individuals who are expected to benefit from, or respond to, the treatment. Individuals may have, or be suspected of having, or be at risk of having cancer. Individuals may have received a diagnosis of cancer. In particular, individuals may have, or be suspected of having, or be at risk of having, lymphoma. In some cases, individuals may have, or be suspected of having, or be at risk of having, a solid cancer that has tumour associated non-tumor cells that express CD25, such as infiltrating cells that express CD25.
In some aspects, subjects are selected on the basis of the amount or pattern of expression of CD25. In some aspects, the selection is based on expression of CD25 at the cell surface in a tissue or structure of interest. So, in some cases, subjects are selected on the basis they have, or are suspected of having, are at risk of having, or have received a diagnosis of a proliferative disease characterized by the presence of a neoplasm comprising or associated with cells having surface expression of CD25. The neoplasm may be composed of cells having surface expression of CD25.
In some aspects, subjects are selected on the basis they have a neoplasm comprising both CD25+ve and CD25-ve cells. The neoplasm may be composed of CD25-ve neoplastic cells, optionally wherein the CD25-ve neoplastic cells are associated with CD25+ve non-neoplastic cells such as CD25+ve Tregs. The neoplasm or neoplastic cells may be all or part of a solid tumour. The solid tumour may be partially or wholly CD25-ve, and may be infiltrated with CD25+ve cells, such as CD25+ve Tregs. In preferred aspects, the solid tumour is associated with high-levels of CD25+ve infiltrating cells, such as Treg cells. In some aspects, the solid tumour is associated with low-levels of CD25+ve infiltrating cells, such as Treg cells. In some aspects, the solid tumour is not associated with CD25+ve infiltrating cells, such as Treg cells; for example, the levels of CD25+ve cells may be below the detection limit.
In some cases, expression of CD25 in a particular tissue of interest is determined. For example, in a sample of tumor tissue. In some cases, systemic expression of CD25 is determined. For example, in a sample of circulating fluid such as blood, plasma, serum or lymph.
In some aspects, the subject is selected as suitable for treatment due to the presence of CD25 expression in a sample. In those cases, subjects without CD25 expression may be considered not suitable for treatment.
In other aspects, the level of CD25 expression is used to select a subject as suitable for treatment. Where the level of expression of the target is above a threshold level, the subject is determined to be suitable for treatment.
In some aspects, an subject is indicated as suitable for treatment if cells obtained from the tumour react with antibodies against CD25 as determined by IHC.
In some aspects, a subject is determined to be suitable for treatment if at least 5%, 10%, 15%, 20%, 25%, 30%, 35%, 40%, 45%, 50%, 55%, 60%, 65%, 70%, 75%, 80%, 85%, 90% or more of all cells in the sample express CD25. In some aspects disclosed herein, a subject is determined to be suitable for treatment if at least at least 5% of the cells in the sample express CD25.
In some aspects, the presence of CD25 and/or in cells in the sample indicates that the individual is suitable for treatment with a combination comprising an anti-CD25 ADC and an IL-2. In other aspects, the amount of CD25 and/or expression must be above a threshold level to indicate that the individual is suitable for treatment. In some aspects, the observation that CD25 and/or localisation is altered in the sample as compared to a control indicates that the individual is suitable for treatment. In some aspects, an individual is indicated as suitable for treatment if cells obtained from lymph node or extra nodal sites react with antibodies against CD25 and/or as determined by IHC.
In some aspects, a patient is determined to be suitable for treatment if at least 5%, 10%, 15%, 20%, 25%, 30%, 35%, 40%, 45%, 50%, 55%, 60%, 65%, 70%, 75%, 80%, 85%, 90% or more of all cells in the sample express CD25. In some aspects disclosed herein, a patient is determined to be suitable for treatment if at least at least 10% of the cells in the sample express CD25.
In some aspects, a patient is determined to be suitable for treatment if at least 5%, 10%, 15%, 20%, 25%, 30%, 35%, 40%, 45%, 50%, 55%, 60%, 65%, 70%, 75%, 80%, 85%, 90% or more of all cells in the sample express. In some aspects disclosed herein, a patient is determined to be suitable for treatment if at least at least 10% of the cells in the sample express.
In some aspects, the individual is selected as suitable for treatment based on their current or previous treatment regime. In some embodiments the individual is selected for treatment with the anti-CD25 ADC if the individual has been treated with an IL-2. In some embodiments the individual is selected for treatment with the anti-CD25 ADC if the individual is being treated with an IL-2. In some cases the individual is selected for treatment if they are refractory to treatment (or further treatment) with the IL-2. In some cases the IL-2 may be, or comprise, a polypeptide having at least 70% sequence identity to SEQ ID NO.12, such as 90% sequence identity to SEQ ID NO.12. Preferably, the IL-2 specifically binds IL-2R and/or activates IL-2 signalling. In some embodiments the I L=2 is selected from group comprising: Aldesleukin, Interking, NL 201,Bempegaldesleukin, ALKS 4230, THOR-707, MDNA109, Pulmoleukin, DI-Leu16-IL-2, Simlukafusp alfa, Bifikafusp alfa, Teleukin, Cergutuzumab amunaleukin, and NHS-IL2-LT. In embodiments where the individual is undergoing, or has undergone, treatment with an IL-2, the anti-CD25 ADC may be administered in combination with an IL-2, or without continued administration of the IL-2.
In some embodiments the anti-CD25 ADC is administered to the selected individual in combination with an IL-2. In some embodiments the anti-CD25 ADC is administered to the selected individual without continued administration of an IL-2.
The term ‘refractory to treatment (or further treatment) with the IL-2’ is used herein to mean that the disorder (such as cancer) does not respond, or has ceased to respond, to administration of the IL-2 when administered as a monotherapy. In some embodiments, individuals with refractory NHL are identified using the response criteria disclosed in Cheson at al., 2014 (South Asian J Cancer. 2014 Jan-Mar; 3(1): 66-70). In that document, non-responders are defined as individuals where there is either (i) a >50% increase from nadir in the sum product of diameters of any previously identified abnormal node, or (ii) an appearance of any new lesion during or at the end of therapy. In some embodiments, individuals with refractory leukaemia are identified as individuals with either stable or progressive disease who have completed one complete treatment cycle, or individual achieving partial response after two or more complete treatment cycles.
Samples
The sample may comprise or may be derived from: a quantity of blood; a quantity of serum derived from the individual’s blood which may comprise the fluid portion of the blood obtained after removal of the fibrin clot and blood cells; a quantity of pancreatic juice; a tissue sample or biopsy; or cells isolated from said individual.
A sample may be taken from any tissue or bodily fluid. In certain aspects, the sample may include or may be derived from a tissue sample, biopsy, resection or isolated cells from said individual.
In certain aspects, the sample is a tissue sample. The sample may be a sample of tumor tissue, such as cancerous tumor tissue. The sample may have been obtained by a tumor biopsy. In some aspects, the sample is a lymphoid tissue sample, such as a lymphoid lesion sample or lymph node biopsy. In some cases, the sample is a skin biopsy.
In some aspects the sample is taken from a bodily fluid, more preferably one that circulates through the body. Accordingly, the sample may be a blood sample or lymph sample. In some cases, the sample is a urine sample or a saliva sample.
In some cases, the sample is a blood sample or blood-derived sample. The blood derived sample may be a selected fraction of a individual’s blood, e.g. a selected cellcontaining fraction or a plasma or serum fraction.
A selected cell-containing fraction may contain cell types of interest which may include white blood cells (WBC), particularly peripheral blood mononuclear cells (PBC) and/or granulocytes, and/or red blood cells (RBC). Accordingly, methods according to the present disclosure may involve detection of a first target polypeptide or nucleic acid in the blood, in white blood cells, peripheral blood mononuclear cells, granulocytes and/or red blood cells.
The sample may be fresh or archival. For example, archival tissue may be from the first diagnosis of an individual, or a biopsy at a relapse. In certain aspects, the sample is a fresh biopsy.
The first target polypeptide may be CD25.
Individual status
The individual may be an animal, mammal, a placental mammal, a marsupial (e.g., kangaroo, wombat), a monotreme (e.g., duckbilled platypus), a rodent (e.g., a guinea pig, a hamster, a rat, a mouse), murine (e.g., a mouse), a lagomorph (e.g., a rabbit), avian (e.g., a bird), canine (e.g., a dog), feline (e.g., a cat), equine (e.g., a horse), porcine (e.g., a pig), ovine (e.g., a sheep), bovine (e.g., a cow), a primate, simian (e.g., a monkey or ape), a monkey (e.g., marmoset, baboon), an ape (e.g., gorilla, chimpanzee, orangutang, gibbon), or a human.
Furthermore, the individual may be any of its forms of development, for example, a foetus. In one preferred embodiment, the individual is a human. The terms “subject”, “patient” and “individual” are used interchangeably herein.
In some aspects disclosed herein, an individual has, or is suspected as having, or has been identified as being at risk of, cancer. In some aspects disclosed herein, the individual has already received a diagnosis of cancer. The individual may have received a diagnosis of a proliferative disease characterised by the presence of a neoplasm comprising both CD25+ve and CD25-ve cells.
The proliferative disease may be characterised by the presence of a neoplasm composed of CD25-ve neoplastic cells, optionally wherein the CD25-ve neoplastic cells are associated with CD25+ve non-neoplastic cells such as CD25+ve T-cells.
In some cases, the individual has received a diagnosis of a solid tumour containing CD25+ expressing infiltrating cells.
Solid tumors may be neoplasms, including non-haematological cancers, comprising or composed of CD25+ve neoplastic cells. Solid tumors may be neoplasms, including non- haematological cancers, infiltrated with CD25+ve cells, such as CD25+ve T-cells; such solid tumours may lack expression of CD25 (that is, comprise or be composed of CD25- ve neoplastic cells).
For example, the solid tumour may be a tumour with high levels of infiltrating T-cells, such as infiltrating regulatory T-cells (Treg; Menetrier-Caux, C., et al., Targ Oncol (2012) 7:15- 28; Arce Vargas et al., 2017, Immunity 46, 1-10; Tanaka, A., et al., Cell Res. 2017 Jan;27(1):109-118). Accordingly, the solid tumour may be pancreatic cancer, breast cancer, colorectal cancer, gastric and oesophageal cancer, leukemia and lymphoma, melanoma, non-small cell lung cancer, ovarian cancer, hepatocellular carcinoma, renal cell carcinoma, and head and neck cancer.
The Individual may be undergoing, or have undergone, a therapeutic treatment for that cancer. The subject may, or may not, have previously received ADCX25. In some cases the cancer is lymphoma, including non-Hodgkins lymphoma.
The Individual may be undergoing, or have undergone, treatment with an IL-2. In some cases the individual may be refractory to treatment (or further treatment) with the IL-2. In some cases the IL-2 may be, or comprise, a polypeptide having at least 70% sequence identity to SEQ ID NO.12, such as 90% sequence identity to SEQ ID NO.12. Preferably, the IL-2 specifically binds IL-2R and/or activates IL-2 signalling. In some embodiments the IL=2 is selected from group comprising: Aldesleukin, Interking, NL 201,Bempegaldesleukin, ALKS 4230, THOR-707, MDNA109, Pulmoleukin, DI-Leu16-IL- 2, Simlukafusp alfa, Bifikafusp alfa, Teleukin, Cergutuzumab amunaleukin, and NHS-IL2- LT. In embodiments where the individual is undergoing, or has undergone, treatment with an IL-2, the anti-CD25 ADC may be administered in combination with an IL-2, or without continued administration of the IL-2.
Controls
In some aspects, target expression in the individual is compared to target expression in a control. Controls are useful to support the validity of staining, and to identify experimental artefacts.
In some cases, the control may be a reference sample or reference dataset. The reference may be a sample that has been previously obtained from a individual with a known degree of suitability. The reference may be a dataset obtained from analyzing a reference sample.
Controls may be positive controls in which the target molecule is known to be present, or expressed at high level, or negative controls in which the target molecule is known to be absent or expressed at low level.
Controls may be samples of tissue that are from individuals who are known to benefit from the treatment. The tissue may be of the same type as the sample being tested. For example, a sample of tumor tissue from a individual may be compared to a control sample of tumor tissue from a individual who is known to be suitable for the treatment, such as a individual who has previously responded to the treatment.
In some cases the control may be a sample obtained from the same individual as the test sample, but from a tissue known to be healthy. Thus, a sample of cancerous tissue from a individual may be compared to a non-cancerous tissue sample.
In some cases, the control is a cell culture sample.
In some cases, a test sample is analyzed prior to incubation with an antibody to determine the level of background staining inherent to that sample.
In some cases an isotype control is used. Isotype controls use an antibody of the same class as the target specific antibody, but are not immunoreactive with the sample. Such controls are useful for distinguishing non-specific interactions of the target specific antibody.
The methods may include hematopathologist interpretation of morphology and immunohistochemistry, to ensure accurate interpretation of test results. The method may involve confirmation that the pattern of expression correlates with the expected pattern. For example, where the amount of CD25 expression is analyzed, the method may involve confirmation that in the test sample the expression is observed as membrane staining, with a cytoplasmic component. The method may involve confirmation that the ratio of target signal to noise is above a threshold level, thereby allowing clear discrimination between specific and non-specific background signals.
Methods of Treatment
The term “treatment,” as used herein in the context of treating a condition, pertains generally to treatment and therapy, whether of a human or an animal (e.g., in veterinary applications), in which some desired therapeutic effect is achieved, for example, the inhibition of the progress of the condition, and includes a reduction in the rate of progress, a halt in the rate of progress, regression of the condition, amelioration of the condition, and cure of the condition. Treatment as a prophylactic measure (i.e., prophylaxis, prevention) is also included.
The term “therapeutically-effective amount” or “effective amount” as used herein, pertains to that amount of an active compound, or a material, composition or dosage from comprising an active compound, which is effective for producing some desired therapeutic effect, commensurate with a reasonable benefit/risk ratio, when administered in accordance with a desired treatment regimen.
Similarly, the term “prophylactically-effective amount,” as used herein, pertains to that amount of an active compound, or a material, composition or dosage from comprising an active compound, which is effective for producing some desired prophylactic effect, commensurate with a reasonable benefit/risk ratio, when administered in accordance with a desired treatment regimen.
Disclosed herein are methods of therapy. Also provided is a method of treatment, comprising administering to a subject in need of treatment a therapeutically-effective amount of an anti-CD25 ADC and an IL-2. The term “therapeutically effective amount” is an amount sufficient to show benefit to a subject. Such benefit may be at least amelioration of at least one symptom. The actual amount administered, and rate and time-course of administration, will depend on the nature and severity of what is being treated. Prescription of treatment, e.g. decisions on dosage, is within the responsibility of general practitioners and other medical doctors. The subject may have been tested to determine their eligibility to receive the treatment according to the methods disclosed herein. The method of treatment may comprise a step of determining whether a subject is eligible for treatment, using a method disclosed herein.
The anti-CD25 ADC comprises an anti-CD25 antibody. The anti-CD25 antibody may be HuMax-TAC™. The ADC may comprise a drug which is a PBD dimer. The ADC may be an anti-CD25-ADC, and in particular, ADCX25 or ADCT-301. The ADC may be an ADC disclosed in WO2014/057119.
The IL-2 may be, or comprise, a polypeptide having at least 70% sequence identity to SEQ ID NO.12, such as 90% sequence identity to SEQ ID NO.12. Preferably, the IL-2 specifically binds IL-2R and/or activates IL-2 signalling. In some embodiments the I L=2 is selected from group comprising: Aldesleukin, Interking, NL 201,Bempegaldesleukin, ALKS 4230, THOR-707, MDNA109, Pulmoleukin, DI-Leu16-IL-2, Simlukafusp alfa, Bifikafusp alfa, Teleukin, Cergutuzumab amunaleukin, and NHS-IL2-LT.
The treatment may involve administration of the anti-CD25 ADC I IL-2 combination alone or in further combination with other treatments, either simultaneously or sequentially dependent upon the condition to be treated.
An example method of treatment involves:
(1) identifying an individual has been treated with, or is being treated with an IL-2;
(2) administering to the individual an anti-CD25 ADC, such as ADCx25; and, optionally
(3) administering to the individual an IL-2 in combination with the anti-CD25 ADC (for example, at the same time as the ADC, or after the ADC).
Examples of treatments and therapies include, but are not limited to, chemotherapy (the administration of active agents, including, e.g. drugs, such as chemotherapeutics); surgery; and radiation therapy.
A “chemotherapeutic agent” is a chemical compound useful in the treatment of cancer, regardless of mechanism of action. Classes of chemotherapeutic agents include, but are not limited to: alkylating agents, antimetabolites, spindle poison plant alkaloids, cytotoxic/antitumor antibiotics, topoisomerase inhibitors, antibodies, photosensitizers, and kinase inhibitors. Chemotherapeutic agents include compounds used in “targeted therapy” and conventional chemotherapy.
Examples of chemotherapeutic agents include: Lenalidomide (REVLIMID®, Celgene), Vorinostat (ZOLINZA®, Merck), Panobinostat (FARYDAK®, Novartis), Mocetinostat (MGCD0103), Everolimus (ZORTRESS®, CERTICAN®, Novartis), Bendamustine (TREAKISYM®, RIBOMUSTIN®, LEVACT®, TREANDA®, Mundipharma International), erlotinib (TARCEVA®, Genentech/OSI Pharm.), docetaxel (TAXOTERE®, Sanofi- Aventis), 5-FU (fluorouracil, 5-fluorouracil, CAS No. 51-21-8), gemcitabine (GEMZAR®, Lilly), PD-0325901 (CAS No. 391210-10-9, Pfizer), cisplatin (cis-diamine, dichloroplatinum(ll), CAS No. 15663-27-1), carboplatin (CAS No. 41575-94-4), paclitaxel (TAXOL®, Bristol-Myers Squibb Oncology, Princeton, N.J.), trastuzumab (HERCEPTIN®, Genentech), temozolomide (4-methyl-5-oxo- 2,3,4,6,8-pentazabicyclo [4.3.0] nona-2,7,9- triene- 9-carboxamide, CAS No. 85622-93-1, TEMODAR®, TEMODAL®, Schering Plough), tamoxifen ((Z)-2-[4-(1 ,2-diphenylbut-1-enyl)phenoxy]-/V,/\/-dimethylethanamine, NOLVADEX®, ISTUBAL®, VALODEX®), and doxorubicin (ADRIAMYCIN®), Akti-1/2, HPPD, and rapamycin.
More examples of chemotherapeutic agents include: oxaliplatin (ELOXATIN®, Sanofi), bortezomib (VELCADE®, Millennium Pharm.), sutent (SUNITINIB®, SU11248, Pfizer), letrozole (FEMARA®, Novartis), imatinib mesylate (GLEEVEC®, Novartis), XL-518 (Mek inhibitor, Exelixis, WO 2007/044515), ARRY-886 (Mek inhibitor, AZD6244, Array BioPharma, Astra Zeneca), SF-1126 (PI3K inhibitor, Semafore Pharmaceuticals), BEZ- 235 (PI3K inhibitor, Novartis), XL-147 (PI3K inhibitor, Exelixis), PTK787/ZK 222584 (Novartis), fulvestrant (FASLODEX®, AstraZeneca), leucovorin (folinic acid), rapamycin (sirolimus, RAPAMUNE®, Wyeth), lapatinib (TYKERB®, GSK572016, Glaxo Smith Kline), lonafarnib (SARASAR™, SCH 66336, Schering Plough), sorafenib (NEXAVAR®, BAY43- 9006, Bayer Labs), gefitinib (IRESSA®, AstraZeneca), irinotecan (CAMPTOSAR®, CPT- 11, Pfizer), tipifarnib (ZARNESTRA™, Johnson & Johnson), ABRAXANE™ (Cremophor- free), albumin-engineered nanoparticle formulations of paclitaxel (American Pharmaceutical Partners, Schaumberg, II), vandetanib (rINN, ZD6474, ZACTIMA®, AstraZeneca), chloranmbucil, AG1478, AG1571 (Sil 5271; Sugen), temsirolimus (TORISEL®, Wyeth), pazopanib (GlaxoSmithKline), canfosfamide (TELCYTA®, Telik), thiotepa and cyclosphosphamide (CYTOXAN®, NEOSAR®); alkyl sulfonates such as busulfan, improsulfan and piposulfan; aziridines such as benzodopa, carboquone, meturedopa, and uredopa; ethylenimines and methylamelamines including altretamine, triethylenemelamine, triethylenephosphoramide, triethylenethiophosphoramide and trimethylomelamine; acetogenins (especially bullatacin and bullatacinone); a camptothecin (including the synthetic analog topotecan); bryostatin; callystatin; CC-1065 (including its adozelesin, carzelesin and bizelesin synthetic analogs); cryptophycins (particularly cryptophycin 1 and cryptophycin 8); dolastatin; duocarmycin (including the synthetic analogs, KW-2189 and CB1-TM1); eleutherobin; pancratistatin; a sarcodictyin; spongistatin; nitrogen mustards such as chlorambucil, chlornaphazine, chlorophosphamide, estramustine, ifosfamide, mechlorethamine, mechlorethamine oxide hydrochloride, melphalan, novembichin, phenesterine, prednimustine, trofosfamide, uracil mustard; nitrosoureas such as carmustine, chlorozotocin, fotemustine, lomustine, nimustine, and ranimnustine; antibiotics such as the enediyne antibiotics (e.g. calicheamicin, calicheamicin gammall, calicheamicin omegall (Angew Chem. Inti. Ed. Engl. (1994) 33:183-186); dynemicin, dynemicin A; bisphosphonates, such as clodronate; an esperamicin; as well as neocarzinostatin chromophore and related chromoprotein enediyne antibiotic chromophores), aclacinomysins, actinomycin, authramycin, azaserine, bleomycins, cactinomycin, carabicin, carminomycin, carzinophilin, chromomycinis, dactinomycin, daunorubicin, detorubicin, 6-diazo-5-oxo-L-norleucine, morpholinodoxorubicin, cyanomorpholino-doxorubicin, 2-pyrrolino-doxorubicin and deoxydoxorubicin), epirubicin, esorubicin, idarubicin, nemorubicin, marcellomycin, mitomycins such as mitomycin C, mycophenolic acid, nogalamycin, olivomycins, peplomycin, porfiromycin, puromycin, quelamycin, rodorubicin, streptonigrin, streptozocin, tubercidin, ubenimex, zinostatin, zorubicin; anti-metabolites such as methotrexate and 5- fluorouracil (5-Fll); folic acid analogs such as denopterin, methotrexate, pteropterin, trimetrexate; purine analogs such as fludarabine, 6-mercaptopurine, thiamiprine, thioguanine; pyrimidine analogs such as ancitabine, azacitidine, 6-azauridine, carmofur, cytarabine, dideoxyuridine, doxifluridine, enocitabine, floxuridine; androgens such as calusterone, dromostanolone propionate, epitiostanol, mepitiostane, testolactone; antiadrenals such as aminoglutethimide, mitotane, trilostane; folic acid replenisher such as frolinic acid; aceglatone; aldophosphamide glycoside; aminolevulinic acid; eniluracil; amsacrine; bestrabucil; bisantrene; edatraxate; defofamine; demecolcine; diaziquone; elfornithine; elliptinium acetate; an epothilone; etoglucid; gallium nitrate; hydroxyurea; lentinan; lonidainine; maytansinoids such as maytansine and ansamitocins; mitoguazone; mitoxantrone; mopidanmol; nitraerine; pentostatin; phenamet; pirarubicin; losoxantrone; podophyllinic acid; 2-ethylhydrazide; procarbazine; PSK® polysaccharide complex (JHS Natural Products, Eugene, OR); razoxane; rhizoxin; sizofiran; spirogermanium; tenuazonic acid; triaziquone; 2,2’,2”-trichlorotriethylamine; trichothecenes (especially T-2 toxin, verracurin A, roridin A and anguidine); urethan; vindesine; dacarbazine; mannomustine; mitobronitol; mitolactol; pipobroman; gacytosine; arabinoside (“Ara-C”); cyclophosphamide; thiotepa; 6-thioguanine; mercaptopurine; methotrexate; platinum analogs such as cisplatin and carboplatin; vinblastine; etoposide (VP-16); ifosfamide; mitoxantrone; vincristine; vinorelbine (NAVELBINE®); novantrone; teniposide; edatrexate; daunomycin; aminopterin; capecitabine (XELODA®, Roche); ibandronate; CPT-11 ; topoisomerase inhibitor RFS 2000; difluoromethylornithine (DMFO); retinoids such as retinoic acid; and pharmaceutically acceptable salts, acids and derivatives of any of the above. Combinations of agents may be used, such as CHP (doxorubicin, prednisone, cyclophosphamide), or CHOP (doxorubicin, prednisone, cyclophopsphamide, vincristine).
Also included in the definition of “chemotherapeutic agent” are: (i) anti-hormonal agents that act to regulate or inhibit hormone action on tumors such as anti-estrogens and selective estrogen receptor modulators (SERMs), including, for example, tamoxifen (including NOLVADEX®; tamoxifen citrate), raloxifene, droloxifene, 4-hydroxytamoxifen, trioxifene, keoxifene, LY117018, onapristone, and FARESTON® (toremifine citrate); (ii) aromatase inhibitors that inhibit the enzyme aromatase, which regulates estrogen production in the adrenal glands, such as, for example, 4(5)-imidazoles, aminoglutethimide, MEGASE® (megestrol acetate), AROMASIN® (exemestane; Pfizer), formestanie, fadrozole, RIVISOR® (vorozole), FEMARA® (letrozole; Novartis), and ARIMIDEX® (anastrozole; AstraZeneca); (iii) anti-androgens such as flutamide, nilutamide, bicalutamide, leuprolide, and goserelin; as well as troxacitabine (a 1 ,3- dioxolane nucleoside cytosine analog); (iv) protein kinase inhibitors such as MEK inhibitors (WO 2007/044515); (v) lipid kinase inhibitors; (vi) antisense oligonucleotides, particularly those which inhibit expression of genes in signaling pathways implicated in aberrant cell proliferation, for example, PKC-alpha, Raf and H-Ras, such as oblimersen (GENASENSE®, Genta Inc.); (vii) ribozymes such as VEGF expression inhibitors (e.g., ANGIOZYME®) and HER2 expression inhibitors; (viii) vaccines such as gene therapy vaccines, for example, ALLOVECTIN®, LEUVECTIN®, and VAXID®; PROLEU KIN® rlL- 2; topoisomerase 1 inhibitors such as LURTOTECAN®; ABARELIX® rmRH; (ix) anti- angiogenic agents such as bevacizumab (AVASTIN®, Genentech); and pharmaceutically acceptable salts, acids and derivatives of any of the above.
Also included in the definition of “chemotherapeutic agent” are therapeutic antibodies such as alemtuzumab (Campath), bevacizumab (AVASTIN®, Genentech); cetuximab (ERBITUX®, Imclone); panitumumab (VECTIBIX®, Amgen), pertuzumab (PERJETA™, OMNITARG™, 2C4, Genentech), trastuzumab (HERCEPTIN®, Genentech), MDX-060 (Medarex) and the antibody drug conjugate, gemtuzumab ozogamicin (MYLOTARG®, Wyeth).
Humanized monoclonal antibodies with therapeutic potential as chemotherapeutic agents in combination with the conjugates of the disclosure include: alemtuzumab, apolizumab, aselizumab, atlizumab, bapineuzumab, bevacizumab, bivatuzumab mertansine, cantuzumab mertansine, cedelizumab, certolizumab pegol, cidfusituzumab, cidtuzumab, daclizumab, eculizumab, efalizumab, epratuzumab, erlizumab, felvizumab, fontolizumab, gemtuzumab ozogamicin, inotuzumab ozogamicin, ipilimumab, labetuzumab, lintuzumab, matuzumab, mepolizumab, motavizumab, motovizumab, natalizumab, nimotuzumab, nolovizumab, numavizumab, omalizumab, palivizumab, pascolizumab, pecfusituzumab, pectuzumab, pertuzumab, pexelizumab, ralivizumab, ranibizumab, reslivizumab, reslizumab, resyvizumab, rovelizumab, ruplizumab, sibrotuzumab, siplizumab, sontuzumab, tacatuzumab tetraxetan, tadocizumab, talizumab, tefibazumab, tocilizumab, toralizumab, trastuzumab, tucotuzumab celmoleukin, tucusituzumab, umavizumab, urtoxazumab, and visilizumab.
Compositions according to the present disclosure are preferably pharmaceutical compositions. Pharmaceutical compositions according to the present disclosure, and for use in accordance with the present disclosure, may comprise, in addition to the active ingredient, i.e. a conjugate compound, a pharmaceutically acceptable excipient, carrier, buffer, stabiliser or other materials well known to those skilled in the art. Such materials should be non-toxic and should not interfere with the efficacy of the active ingredient. The precise nature of the carrier or other material will depend on the route of administration, which may be oral, or by injection, e.g. cutaneous, subcutaneous, or intravenous.
Pharmaceutical compositions for oral administration may be in tablet, capsule, powder or liquid form. A tablet may comprise a solid carrier or an adjuvant. Liquid pharmaceutical compositions generally comprise a liquid carrier such as water, petroleum, animal or vegetable oils, mineral oil or synthetic oil. Physiological saline solution, dextrose or other saccharide solution or glycols such as ethylene glycol, propylene glycol or polyethylene glycol may be included. A capsule may comprise a solid carrier such a gelatin.
For intravenous, cutaneous or subcutaneous injection, or injection at the site of affliction, the active ingredient will be in the form of a parenterally acceptable aqueous solution which is pyrogen-free and has suitable pH, isotonicity and stability. Those of relevant skill in the art are well able to prepare suitable solutions using, for example, isotonic vehicles such as Sodium Chloride Injection, Ringer's Injection, Lactated Ringer's Injection. Preservatives, stabilisers, buffers, antioxidants and/or other additives may be included, as required.
Dosage
It will be appreciated by one of skill in the art that appropriate dosages of the anti-CD25 ADC and/or the IL-2, and compositions comprising these active elements, can vary from subject to subject. Determining the optimal dosage will generally involve the balancing of the level of therapeutic benefit against any risk or deleterious side effects. The selected dosage level will depend on a variety of factors including, but not limited to, the activity of the particular compound, the route of administration, the time of administration, the rate of excretion of the compound, the duration of the treatment, other drugs, compounds, and/or materials used in combination, the severity of the condition, and the species, sex, age, weight, condition, general health, and prior medical history of the subject. The amount of compound and route of administration will ultimately be at the discretion of the physician, veterinarian, or clinician, although generally the dosage will be selected to achieve local concentrations at the site of action which achieve the desired effect without causing substantial harmful or deleterious side-effects.
In certain aspects, the dosage of anti-CD25 ADC is determined by the expression of CD25 observed in a sample obtained from the subject. Thus, the level or localisation of expression of CD25 in the sample may be indicative that a higher or lower dose of anti-CD25 ADC is required. For example, a high expression level of CD25 may indicate that a higher dose of anti-CD25 ADC would be suitable. In some cases, a high expression level of CD25 may indicate the need for administration of another agent in addition to the anti-CD25 ADC. For example, administration of the anti-CD25 ADC in conjunction with a chemotherapeutic agent. A high expression level of CD25 may indicate a more aggressive therapy.
Administration can be effected in one dose, continuously or intermittently (e.g., in divided doses at appropriate intervals) throughout the course of treatment. Methods of determining the most effective means and dosage of administration are well known to those of skill in the art and will vary with the formulation used for therapy, the purpose of the therapy, the target cell(s) being treated, and the subject being treated. Single or multiple administrations can be carried out with the dose level and pattern being selected by the treating physician, veterinarian, or clinician.
In general, a suitable dose of each active compound is in the range of about 100 ng to about 25 mg (more typically about 1 pg to about 10 mg) per kilogram body weight of the subject per day. Where the active compound is a salt, an ester, an amide, a prodrug, or the like, the amount administered is calculated on the basis of the parent compound and so the actual weight to be used is increased proportionately.
In one embodiment, each active compound is administered to a human subject according to the following dosage regime: about 100 mg, 3 times daily.
In one embodiment, each active compound is administered to a human subject according to the following dosage regime: about 150 mg, 2 times daily.
In one embodiment, each active compound is administered to a human subject according to the following dosage regime: about 200 mg, 2 times daily.
However in one embodiment, each conjugate compound is administered to a human subject according to the following dosage regime: about 50 or about 75 mg, 3 or 4 times daily.
In one embodiment, each conjugate compound is administered to a human subject according to the following dosage regime: about 100 or about 125 mg, 2 times daily.
For the anti-CD25 ADC, where it is a PBD bearing ADC, the dosage amounts described above may apply to the conjugate (including the PBD moiety and the linker to the antibody) or to the effective amount of PBD compound provided, for example the amount of compound that is releasable after cleavage of the linker.
The anti-CD25 ADC comprises an anti-CD25 antibody. The anti-CD25 antibody may be HuMax-TAC. The ADC may comprise a drug which is a PBD dimer. The ADC may be an anti-CD25-ADC, and in particular, ADCX25 or ADCT-301. The ADC may be an ADC disclosed in WO2014/057119.
The IL-2 may be, or comprise, a polypeptide having at least 70% sequence identity to SEQ ID NO.12, such as 90% sequence identity to SEQ ID NO.12. Preferably, the IL-2 specifically binds IL-2R and/or activates IL-2 signalling. In some embodiments the I L=2 is selected from group comprising: Aldesleukin, Interking, NL 201,Bempegaldesleukin, ALKS 4230, THOR-707, MDNA109, Pulmoleukin, DI-Leu16-IL-2, Simlukafusp alfa, Bifikafusp alfa, Teleukin, Cergutuzumab amunaleukin, and NHS-IL2-LT.
Antibodies
The term “antibody” herein is used in the broadest sense and specifically covers monoclonal antibodies, polyclonal antibodies, dimers, multimers, multispecific antibodies {e.g., bispecific antibodies), intact antibodies (also described as “full-length” antibodies) and antibody fragments, so long as they exhibit the desired biological activity, for example, the ability to bind CD25 (Miller et al (2003) Jour, of Immunology 170:4854- 4861). Antibodies may be murine, human, humanized, chimeric, or derived from other species such as rabbit, goat, sheep, horse or camel.
An antibody is a protein generated by the immune system that is capable of recognizing and binding to a specific antigen. (Janeway, C., Travers, P., Walport, M., Shlomchik (2001) Immuno Biology, 5th Ed., Garland Publishing, New York). A target antigen generally has numerous binding sites, also called epitopes, recognized by Complementarity Determining Regions (CDRs) on multiple antibodies. Each antibody that specifically binds to a different epitope has a different structure. Thus, one antigen may have more than one corresponding antibody. An antibody may comprise a full- length immunoglobulin molecule or an immunologically active portion of a full-length immunoglobulin molecule, i.e., a molecule that contains an antigen binding site that immunospecifically binds an antigen of a target of interest or part thereof, such targets including but not limited to, cancer cell or cells that produce autoimmune antibodies associated with an autoimmune disease. The immunoglobulin can be of any type (e.g. IgG, IgE, IgM, IgD, and IgA), class (e.g. lgG1 , lgG2, lgG3, lgG4, lgA1 and lgA2) or subclass, or allotype (e.g. human G1m1, G1m2, G1m3, non-G1m1 [that, is any allotype other than G1m1], G1m17, G2m23, G3m21 , G3m28, G3m11, G3m5, G3m13, G3m14, G3m10, G3m15, G3m16, G3m6, G3m24, G3m26, G3m27, A2m1, A2m2, Km1, Km2 and Km3) of immunoglobulin molecule. The immunoglobulins can be derived from any species, including human, murine, or rabbit origin.
"Antibody fragments" comprise a portion of a full length antibody, generally the antigen binding or variable region thereof. Examples of antibody fragments include Fab, Fab', F(ab')2, and scFv fragments; diabodies; linear antibodies; fragments produced by a Fab expression library, anti-idiotypic (anti-ld) antibodies, CDR (complementary determining region), and epitope-binding fragments of any of the above which immunospecifically bind to cancer cell antigens, viral antigens or microbial antigens, single-chain antibody molecules; and multispecific antibodies formed from antibody fragments.
The term “monoclonal antibody” as used herein refers to an antibody obtained from a population of substantially homogeneous antibodies, i.e. the individual antibodies comprising the population are identical except for possible naturally occurring mutations that may be present in minor amounts. Monoclonal antibodies are highly specific, being directed against a single antigenic site. Furthermore, in contrast to polyclonal antibody preparations which include different antibodies directed against different determinants (epitopes), each monoclonal antibody is directed against a single determinant on the antigen. In addition to their specificity, the monoclonal antibodies are advantageous in that they may be synthesized uncontaminated by other antibodies. The modifier “monoclonal” indicates the character of the antibody as being obtained from a substantially homogeneous population of antibodies, and is not to be construed as requiring production of the antibody by any particular method. For example, the monoclonal antibodies to be used in accordance with the present disclosure may be made by the hybridoma method first described by Kohler et al (1975) Nature 256:495, or may be made by recombinant DNA methods (see, US 4816567). The monoclonal antibodies may also be isolated from phage antibody libraries using the techniques described in Clackson et al (1991) Nature, 352:624-628; Marks et al (1991) J. Mol. Biol., 222:581-597 or from transgenic mice carrying a fully human immunoglobulin system (Lonberg (2008) Curr. Opinion 20(4):450-459).
The monoclonal antibodies herein specifically include “chimeric” antibodies in which a portion of the heavy and/or light chain is identical with or homologous to corresponding sequences in antibodies derived from a particular species or belonging to a particular antibody class or subclass, while the remainder of the chain(s) is identical with or homologous to corresponding sequences in antibodies derived from another species or belonging to another antibody class or subclass, as well as fragments of such antibodies, so long as they exhibit the desired biological activity (US 4816567; and Morrison et al (1984) Proc. Natl. Acad. Sci. USA, 81 :6851-6855). Chimeric antibodies include “primatized” antibodies comprising variable domain antigen-binding sequences derived from a non-human primate (e.g. Old World Monkey or Ape) and human constant region sequences.
An “intact antibody” herein is one comprising VL and VH domains, as well as a light chain constant domain (CL) and heavy chain constant domains, CH1, CH2 and CH3. The constant domains may be native sequence constant domains (e.g. human native sequence constant domains) or amino acid sequence variant thereof. The intact antibody may have one or more “effector functions” which refer to those biological activities attributable to the Fc region (a native sequence Fc region or amino acid sequence variant Fc region) of an antibody. Examples of antibody effector functions include C1q binding; complement dependent cytotoxicity; Fc receptor binding; antibody-dependent cell- mediated cytotoxicity (ADCC); phagocytosis; and down regulation of cell surface receptors such as B cell receptor and BCR.
Depending on the amino acid sequence of the constant domain of their heavy chains, intact antibodies can be assigned to different “classes.” There are five major classes of intact antibodies: IgA, IgD, IgE, IgG, and IgM, and several of these may be further divided into “subclasses” (isotypes), e.g., lgG1, lgG2, lgG3, lgG4, IgA, and lgA2. The heavychain constant domains that correspond to the different classes of antibodies are called a, 5, E, y, and p, respectively. The subunit structures and three-dimensional configurations of different classes of immunoglobulins are well known.
Brief Description of the Figures
Embodiments and experiments illustrating the principles of the disclosure will now be discussed with reference to the accompanying figures in which:
Figure 1. In vivo combination study of surADCX25 with interleukin 2 in the MC38 syngeneic model
Each line on a graph represents the tumour model of an individual animal.
A) Efficacy of 0.25 mg/kg ADC only versus two IL-2 combinations
B) Efficacy of 0.5 mg/kg ADC only versus two IL-2 combinations
C) Re-challenge study
The disclosure includes the combination of the aspects and preferred features described except where such a combination is clearly impermissible or expressly avoided.
The section headings used herein are for organizational purposes only and are not to be construed as limiting the subject matter described.
Aspects and embodiments of the present disclosure will now be illustrated, by way of example, with reference to the accompanying figures. Further aspects and embodiments will be apparent to those skilled in the art. All documents mentioned in this text are incorporated herein by reference.
Throughout this specification, including the claims which follow, unless the context requires otherwise, the word “comprise,” and variations such as “comprises” and “comprising,” will be understood to imply the inclusion of a stated integer or step or group of integers or steps but not the exclusion of any other integer or step or group of integers or steps.
It must be noted that, as used in the specification and the appended claims, the singular forms “a,” “an,” and “the” include plural referents unless the context clearly dictates otherwise. Ranges may be expressed herein as from “about” one particular value, and/or to “about” another particular value. When such a range is expressed, another embodiment includes from the one particular value and/or to the other particular value. Similarly, when values are expressed as approximations, by the use of the antecedent “about,” it will be understood that the particular value forms another embodiment.
STATEMENTS OF INVENTION
1. A method of selecting an individual as suitable for treatment with an anti-CD25 ADC, wherein the individual is selected for treatment with the anti-CD25 ADC if the individual has been treated with an IL-2.
2. A method of selecting an individual as suitable for treatment with an anti-CD25 ADC, wherein the individual is selected for treatment with the anti-CD25 ADC if the individual is being treated with an IL-2.
3. The method according to any one of the preceding paragraphs, wherein the individual is selected for treatment if the individual is refractory to treatment, or further treatment, with the IL-2.
4. A method for treating a disorder in an individual, the method comprising:
(i) selecting an individual as suitable for treatment by a method according to any one of paragraphs 1 to 3; and
(ii) administering to the individual an effective amount of the anti-CD25 ADC.
5. The method according to paragraph 4, further comprising administering an IL-2 in combination with the anti-CD25 ADC.
6. A method for treating a disorder in an individual, the method comprising administering to the individual an effective amount of an anti-CD25 ADC and IL-2.
7. The method according to paragraph 6, wherein the individual is selected for treatment according to a method according to any one of paragraphs 1 to 3.
8. The method according to any one of paragraphs 5 to 7, wherein the treatment comprises administering the anti-CD25 ADC before the IL-2, simultaneous with the IL-2, or after the IL-2.
9. The method according to any previous paragraph, wherein the treatment further comprises administering a chemotherapeutic agent.
10. The method according to any previous paragraph, wherein the individual is human.
11. The method according to any preceding paragraph, wherein the individual has a disorder or has been determined to have a disorder.
12. The method according to paragraph 11, wherein the individual has, or has been has been determined to have, a cancer which expresses CD25 or CD25+ tumour- associated non-tumour cells, such as CD25+ infiltrating cells. 13. The method according to any previous paragraph, wherein the individual is undergoing treatment with an IL-2.
14. The method according to any previous paragraph, wherein the individual has undergone treatment with an IL-2.
15. The method according to any previous paragraph, wherein the individual is refractory to treatment, or further treatment, with the IL-2.
16. The method according to any one of the preceding paragraphs, wherein the treatment has increased efficacy as compared to monotherapy with either the anti-CD25 ADC or IL-2 alone.
17. The method according to any preceding paragraph, wherein the anti-CD25 ADC comprises a conjugate of formula L - (DL)P, wherein L is an antibody that binds to CD25, DL is a pyrrolobenzodiazepine (PBD) dimer, and p is preferably from 1 to 8.
18. The method according to paragraph 17, wherein the conjugate comprises a cleavable linker (Li) connecting L to DL.
19. The method according to either one of paragraphs 17 or 18, wherein DL comprises the formula:
Figure imgf000044_0001
20. The method according to any preceding paragraph, wherein the anti-CD25 ADC has the chemical structure:
Figure imgf000044_0002
wherein Ab is antibody comprising a VH domain having the sequence of SEQ ID NO. 1 and a VL domain having the sequence of SEQ ID NO. 2. 21. The method according to any preceding paragraph, wherein the anti-CD25 ADC is ADCx25, ADCT-301 , or Camidanlumab Tesirine.
22. The method according to any previous paragraph, wherein the disorder is a proliferative disease.
23. The method of paragraph 18, wherein the disorder is cancer.
24. The composition, method, use, or kit according any previous paragraph, wherein the individual has, or has been has been determined to have, a disorder characterised by the presence of a neoplasm comprising both CD25+ve and CD25-ve cells.
25. The composition, method, use, or kit according any previous paragraph, wherein the individual has, or has been has been determined to have, a disorder characterised by the presence of a neoplasm comprising, or composed of, CD25-ve neoplastic cells.
26. The composition, method, use, or kit according to either of paragraphs 24 or 25, wherein the neoplasm is all or part of a solid tumour.
27. The method of statement 26, wherein the solid tumour is associated with CD25+ve infiltrating cells; optionally wherein the solid tumour is associated with high levels of CD25+ve infiltrating cells.
28. The method of statement 27, wherein the solid tumour is selected from the group consisting of pancreatic cancer, breast cancer (including triple negative breast cancer), colorectal cancer, gastric and oesophageal cancer, melanoma, non-small cell lung cancer, ovarian cancer, hepatocellular carcinoma, renal cell carcinoma, bladder, and head and neck cancer.
29. The composition, method, use, or kit of any previous paragraph, wherein the disorder is selected from the group comprising:
Hodgkin’s and non-Hodgkin’s Lymphoma, including diffuse large B-cell lymphoma (DLBCL), follicular lymphoma, (FL), Mantle Cell lymphoma (MCL), chronic lymphatic lymphoma (CLL), Marginal Zone B-cell lymphoma (MZBL); leukemias such as Hairy cell leukemia (HCL), Hairy cell leukemia variant (HCL-v), Acute Myeloid Leukaemia (AML), anaplastic large cell lymphoma (ALCL), and Acute Lymphoblastic Leukaemia (ALL) such as Philadelphia chromosome-positive ALL (Ph+ALL) or Philadelphia chromosome-negative ALL (Ph-ALL); pancreatic cancer, breast cancer, colorectal cancer, gastric and oesophageal cancer, leukemia and lymphoma, melanoma, non-small cell lung cancer, ovarian cancer, hepatocellular carcinoma, renal cell carcinoma, and head and neck cancer. 30. The method according to any previous paragraph, wherein the IL-2 is, or comprises, a polypeptide having at least 70% sequence identity to SEQ ID NO.10.
31. The method according to paragraph 30, wherein the IL-2 is, or comprises, a polypeptide having at least 90% sequence identity to SEQ ID NO.10.
32. The method according to paragraph 31, wherein the IL-2 is, or comprises, a polypeptide having the sequence of SEQ ID NO.10.
33. The method according to any one of paragraphs 1 to 29, wherein the IL-2 is, or comprises, a polypeptide having at least 70% sequence identity to SEQ ID NO.12.
34. The method according to paragraph 33, wherein the IL-2 is, or comprises, a polypeptide having at least 90% sequence identity to SEQ ID NO.12.
35. The method according to paragraph 34, wherein the IL-2 is, or comprises, a polypeptide having the sequence of SEQ ID NO.12.
36. The method according to anyone of paragraphs 30 to 35, wherein the cysteine located at the position corresponding to position 140 of SEQ ID NO.10 or positon 125 of SEQ ID NO. 12 is substituted with a non-cysteine amino acid; optionally wherein the non-cysteine amino acid is serine.
37. The method according to anyone of paragraphs 30 to 36, wherein the alanine located at the position corresponding to position 1 of SEQ ID NO.10 or SEQ ID NO. 12 is deleted.
38. The method according to any previous paragraph, wherein the IL-2 is aglycosylated.
39. The method according to any previous paragraph, wherein the IL-2 specifically binds IL-2R and/or activates IL-2 signalling.
40. The method according to any one of paragraphs 1 to 30, wherein the IL-2 is selected from the group consisting of: Aldesleukin, Interking, NL-201 ,Bempegaldesleukin, ALKS 4230, HQR-707, MDNA109, Pulmoleukin, DI-Leu16-IL-2, Simlukafusp alfa, Bifikafusp alfa, Teleukin, Cergutuzumab amunaleukin, and NHS-IL2-LT.
41. An anti-CD25 ADC for use in a method of treatment according to any one of paragraphs 4 to 40.
42. A composition comprising an anti-CD25 ADC, for use in a method of treatment according to any one of paragraphs 4 to 40.
43. An IL-2 for use in a method of treatment according to any one of paragraphs 5 to 40. 44. A composition comprising an IL-2, for use in a method of treatment according to any one of paragraphs 5 to 40.
45. Use of an anti-CD25 ADC in the manufacture of a medicament for treating a disorder in an individual, wherein the treatment comprises the method of any one of paragraphs 4 to 40.
46. Use of an IL-2 in the manufacture of a medicament for treating a disorder in an individual, wherein the treatment comprises the method of any one of paragraphs 5 to 40.
47. A kit comprising: a first medicament comprising an anti-CD25 ADC; a package insert comprising instructions for administration of the first medicament according to the method of any one or paragraphs 4 to 40.
48. The kit according to paragraph 47, further comprising: a second medicament comprising an IL-2.
EXAMPLES
Example 1 : in vivo study of anti-CD25 ADC and IL-2 combination
Introduction
Camidanlumab tesirine (ADCT-301) is an anti-CD25 antibody-drug conjugate (ADC) conjugated via a protease cleavable linker to SG3199, a highly cytotoxic DNA minor groove crosslinking pyrrolobenzodiazepine dimer (Flynn et al. Mol Cancer Ther 2016, and as described herein).
MC38 is a CD25-ve mouse colon cancer-derived model used pre-clinically in immunotherapy-type studies which is known to have infiltration of Treg and Teff cells.
In Arce Vargas et al., 2017, Immunity 46, 1-10, April 18, 2017
(http://dx.doi.Org/10.1016/j.immuni.2017.03.013) selective depletion of tumor infiltrating Treg cells in the MC38 model was shown using an Fc enhanced version of PC61, a rat antibody directed against mouse CD25 and synergy with PD1 was described. The wildtype PC61 was conjugated to the PBD dimer drug-linker SG3249 (the PBD drug-linker used in ADCx25 I ADCT-301 I Camidanlumab Tesirine) and designated as Surrogate- ADCx25 (or SurADCx25). The efficacy of Surrogate-ADCx25 was studied as monotherapy or in combination with human IL-2 IS (“improved sequence” - single, non-glycosylated polypeptide chain without N-terminal Met and a Cys to Ser substitution at amino acid position 125 // 133 amino acids, 15.4kDa) in the MC38 syngeneic mouse model.
Methods : efficacy study (part A), re-challenge study (part B)
Female C57BL/6 mice (C57BL/6NCrl, Envigo) were 9-12 weeks old (part A) on Day 0 of the study and had a body weight (BW) range of 17 to 24 g. At the completion of part A, tumor-free survivors (TFS) were transferred to a secondary re-challenge study (part B). Age-matched (20-week old), naive control female C57BL/6 mice were used for part B of the study (n=10). The TFS from part A were 17-20 weeks old on Day 0 of the rechallenge study.
On the day of implant of part A of the study, 5 x 105 MC38 cells (0.1 mL suspension) were subcutaneously implanted into the left flank of each test animal. Tumors were monitored as their volumes approached the target range of 80-120 mm3. Eight days after tumor cell implantation, on Day 0 of the study, animals were sorted into nine groups (n=10/group) with individual tumor volumes of 70 to 161 mm3, and group mean tumor volumes of 102 mm3.
All ADC doses were administered intravenously on Day 0 as single dose; IL-2 was administered intraperitoneally (i.p.) 48h after the ADC QDx5 on, QDx2 off, for 2 cycles. The dosing volume was 0.2 mL per 20 grams of body weight (10 mL/kg), and was scaled to the body weight of each individual animal.
Tumors were measured twice per week until the study was ended on Day 53. Each single mouse was euthanized when its tumor volume reached 2,000 mm3 and each group was euthanized when the mean tumor volume reached 1500 mm3.
On Day 0 of the re-challenge study, part B, 5 x 105 MC38 cells (0.1 mL suspension) were subcutaneously implanted into the right flank (contralateral to the original cell implant) and tumor growth was monitored for 27 days. No treatment was administered in part B of the study.
Tumors were measured in two dimensions using calipers, and volume was calculated using the formula:
Tumor Volume (mm3) = w2 x I/2, where w = width and I = length, in mm, of the tumor.
Tumor weight may be estimated with the assumption that 1 mg is equivalent to 1 mm3 of tumor volume.
Results
Figure imgf000049_0001
Figure imgf000049_0002
Figure imgf000050_0001
See Figure 1 for plots of tumour size.
Conclusion
Synergy was observed between the anti-CD25 ADC surADCx25 and IL-2.
Example 2
The purpose of this proposed study is to preliminarily assess the safety, tolerability, pharmacological and clinical activity of this combination
The following cancer types have been chosen for study: Diseases A, B, and C.
Evidence for efficacy as single agents exists for both drugs:
• anti CD25 ADC (see, for example, see, for example, WO2014/057119, WO2016/083468, and WO2016/166341)
• IL-2 (see KS Peggs et al.2009, Clinical and Experimental Immunology, 157: 9-
19 [doi: 10.1111/j.1365-2249.2009.03912.X])
This primary purpose of this study is to explore whether these agents can be safely combined, and if so, will identify the dose(s) and regimens appropriate for further study. The study will also assess whether each combination induces pharmacologic changes in tumor that would suggest potential clinical benefit.
In addition, it will provide preliminary evidence that a combination may increase the response rate and durability of response compared with published data for treatment with single agent anti-CD25 ADC or IL-2.
Each disease group may include a subset of patients previously treated with the IL-2 to explore whether combination therapy might overcome resistance to IL-2 therapy. For each disease, it is not intended to apply specific molecular selection as the data available at present generally do not support excluding patients on the basis of approved molecular diagnostic tests.
Rationale for anti CD25 ADC starting dose
The RDE for already established fo r ADC (in ug/kg administered every three weeks) will be used for all patients in this study. To ensure patient safety, a starting dose below the RDE will be used; the starting dose level will be one where patient benefit could still be demonstrated in study ADC1 , suggesting that patients enrolled at such dose level will gain at least some benefit by taking part.
Rationale for IL-2 starting dose
The RDE for already established f o r the IL-2 (in ug/kg administered every three weeks) will be used for all patients in this study. To ensure patient safety, a starting dose below the RDE will be used; the starting dose level will be one where patient benefit could still be demonstrated in study SA1 , suggesting that patients enrolled at such dose level will gain at least some benefit by taking part.
Objectives and related endpoints
Figure imgf000052_0001
Study design
This phase lb, multi-center, open-label study to characterize the safety, tolerability, pharmacokinetics (PK), pharmacodynamics (PD) and antitumor activity of the ADC in combination with the IL-2, in patients with disease A, disease B, and disease C. The study is comprised of a dose escalation part followed by a dose expansion part.
Dose escalation will start with reduced starting doses (compared to their respective recommended phase 2 or licensed dose levels), for both ADC and the IL-2, to guarantee patient safety. Starting doses will be 33% (or 50%) of the RDE for each compound. Subsequently, doses will be first escalated for the IL-2 until the RDE or licensed dose has been reached, or a lower dose if necessary for tolerability reasons. Then, the dose for ADC will be escalated, until the RDE for combination treatment is reached.
A perceived safe starting dose of 33% of the intended efficacious dose is proposed for both compounds, but this may need adaptation to lower or higher, as the individual risk profile for the combination may be.
Compound 1 should be the compound for which an efficatious clinical dose has been firmly established (at 100%), and which is therefore aimed to be reached quickly in the trial patients by first escalating the dose of this compound.
If the dose combination is determined to be safe, it may be tested in additional patients to confirm the safety and tolerability at that dose level. Further tailoring of the dose of each compound may be conducted, and/or the regimen may be modified.
The dose escalation of the combination will be guided by a Bayesian Logistic Regression Model (BLRM) based on any Dose Limiting Toxicities (DLTs) observed in the first (or first two, TBC) cycles of therapy. Use of a BLRM is a well-established method to estimate the maximum tolerated dose (MTD)/ recommended dose for expansion (RDE) in cancer patients. The adaptive BLRM will be guided by the Escalation With Overdose Control (EWOC) principle to control the risk of DLT in future patients on the study. The use of Bayesian response adaptive models for small datasets has been accepted by FDA and EMEA ("Guideline on clinical trials in small populations", February 1, 2007) and endorsed by numerous publications (Babb et al. 1998, Neuenschwander et al. 2008).
The decisions on new dose combinations are made by the Investigators and sponsor study personnel in a dose escalation safety call (DESC) based upon the review of patient tolerability and safety information (including the BLRM summaries of DLT risk, if applicable) along with PK, PD and preliminary activity information available at the time of the decision.
Once the MTD(s)/RDE is determined for the combination, the expansion part of the study may be initiated to further assess the safety, tolerability and preliminary efficacy.
■ For combinations with IO, changes in the immune infiltrate in tumors will also be characterized following combination treatment in the target disease indications.
Given the available prior clinical experience with the agents in this study, it is expected that in most cases a combination dose can be identified without testing a large number of dose levels or schedules. To assess the pharmacodynamic activity of the combinations, patients will be asked to undergo a tumor biopsy at baseline and again after approximately two cycles of therapy. ■ For IO combo: The extent of the change in tumor infiltration by immune cells including lymphocytes and macrophages will contribute to a decision on any potential benefit.
Dose escalation part
During the dose escalation part of the study, patients will be treated with a fixed dose of ADC administered i.v., and increasing doses of the IL-2 until the RDE for the IL-2 has been reached. Subsequently, doses of ADC are increased (in different cohorts) while the dose for the IL-2 is kept constant.
Two to approximately 3 or 4 patients with disease A, disease B or disease C will be treated in each escalation cohort until the determination of MTD(s)/RDE(s) is determined.
There will be a 24-hour observation before enrolling the second patient at Dose Level 1. The DLT observation period at each dose level is either 1 cycle (3 weeks) or 2 cycles (6 weeks) as mandated by the appropriate authorities for IO therapies, after which it will be determined whether to escalate to the next dose level, stay at the current dose level, or de-escalate to the previous dose level for the next cohort. There will be no de-escalation from Dose Level 1. Intrapatient dose escalation is not permitted.
Dose escalation is not permitted unless 2 or more patients have complete DLT information through the first cycle in any given dose level. Dose escalation will be determined by using a mCRM with a target DLT rate of 30% and an equivalence interval of 20% to 35%, and with dose escalation-with-overdose-control (EWOC) and no dose skipping.
Patients will be assigned to a cohort that is actively enrolling. Dose escalation will be performed in each combination following the completion of one cycle of treatment. Safety assessments including adverse events (AEs) and laboratory values will be closely monitored for all enrolled patients in order to identify any DLTs. A single MTD/RDE will be defined; a disease-specific MTD/RDE will not be established.
The mCRM will be implemented for DE under the oversight of a Dose Escalation Steering Committee (DESC). The DESC will confirm each escalating dose level after reviewing all available safety data. PK data from patients in that dose level and prior dose levels may also inform decision making. The DESC may halt dose escalation prior to determining the MTD based on emerging PK, PD, toxicity or response data.
Additional patients may be included at any dose level to further assess the safety and tolerability if at least 1 patient in the study has achieved a partial response or better, or if further evaluation of PK or PD data is deemed necessary by the DESC to determine the RDE.
Dose Escalation will be stopped after 3 cohorts (or at least 6 patients) are consecutively assigned to the same dose level. If the MTD is not reached, the recommended dose for expansion (RDE) will be determined. Prior to the determination of the MTD/RDE a minimum of 6 patients must have been treated with the combination.
It is intended that paired tumor biopsies will be obtained from patients during dose escalation. Analysis of these biopsies will contribute to a better understanding of the relationship between the dose and the pharmacodynamic activity of the combination.
Safety Oversight by the Dose Escalation Steering Committee
A DESC comprised of ADC Therapeutics and the investigators will review patient safety on an ongoing basis during the DE to determine if the dose escalation schedule prescribed by the mCRM warrants modification. In addition to safety observations, PK and/or PD data may also inform decision making. Intermediate doses may be assigned after agreement between ADC Therapeutics and investigators. The DESC may continue to provide oversight during Part 2. No formal Data Safety Monitoring Board (DSMB) will be used.
Dose expansion part
Once the MTD/RDE has been declared, dose expansion part may begin. The main objective of the expansion part is to further assess the safety and tolerability of the study treatment at the MTD/RDE and to gain a preliminary understanding of the efficacy of the combination compared to historical single agent efficacy data.
An important exploratory objective is to assess changes in the immune infiltrate in tumor in response to treatment. This will be assessed in paired tumor biopsies collected from patients, with a minimum of ten evaluable biopsy pairs (biopsy specimens must contain sufficient tumor for analysis) in patients treated at the MTD/RDE. If this is not feasible, collection of these biopsies may be stopped. A minimum of 10 to 20 patients are planned to be treated in each investigational arm,
Several different investigational arms will open, one per disease. A total of nine investigational arms may be run in the dose expansion. Should enrollment for any of these groups not be feasible, then enrollment to that group may be closed before the 10 to 20 patients target is met.
In each treatment group a maximum of approximately six patients who have received and progressed on prior single administration (i.e. not in combination) IL-2 therapy will be allowed to be treated. This number may be increased if a combination shows promise of overcoming resistance to prior treatment with single administration IL-2.
Patient Population
The study will be conducted in adult patients with advanced Disease A, Disease B or Disease C as outlined above. The investigator or designee must ensure that only patients who meet all the following inclusion and none of the exclusion criteria are offered treatment in the study. Inclusion criteria
Patients eligible for inclusion in this study have to meet all of the following criteria:
1. Written informed consent must be obtained prior to any procedures
2. Age 18 years.
3. Patients with advanced/metastatic cancer, with measurable disease as determined by
RECIST version 1.1, who have progressed despite standard therapy or are intolerant to standard therapy, or for whom no standard therapy exists. Patients must fit into one of the following groups:
• Disease A
• Disease B
• Disease C
4. ECOG Performance Status 0 - 1 (or 2 TBC)
5. TBC: Patient must have a site of disease amenable to biopsy, and be a candidate for tumor biopsy according to the treating institution's guidelines. Patient must be willing to undergo a new tumor biopsy at baseline, and again during therapy on this study.
6. Prior therapy with the IL-2 or related compounds (i.e. same MOA) is allowed
Exclusion criteria
Patients eligible for this study must not meet any of the following criteria:
1. History of severe hypersensitivity reactions to other mAbs (OR to same backbone mAb as in ADC OR to same IO mAb if applicable)
2. Known history of positive serum human ADA to backbone of mAb as in ADC
3. Central Nervous System (CNS) disease only (if applicable)
4. Symptomatic CNS metastases or evidence of leptomeningeal disease (brain MRI or previously documented cerebrospinal fluid (CSF) cytology) Previously treated asymptomatic CNS metastases are permitted provided that the last treatment (systemic anticancer therapy and-or local radiotherapy) was completed >= 8 weeks prior to 1st day of dosing, except usage of low dose steroids on a taper is allowed) Patients with discrete dural metastases are eligible.
5. Patient having out of range laboratory values defined as:
• Serum creatinine <= 1.5 x ULN. If serum creatinine > 1.5, the creatinine clearance (calculated using Cockcroft-Gault formula, or measured) must be
> 60 mL/min/1 ,73m2 for a patient to be eligible
• Total bilirubin > 1.5 x ULN, except for patients with Gilbert's syndrome who are excluded if total bilirubin > 3.0 x ULN or direct bilirubin > 1.5 x ULN
• Alanine aminotransferase (ALT) > 3 x ULN, except for patients that have tumor involvement of the liver, who are excluded if ALT > 5 x ULN
• Aspartate aminotransferase (AST) > 3 x ULN, except for patients that have tumor involvement of the liver, who are excluded if AST > 5 x ULN • Absolute neutrophil count< 1.0 x 10e9/L
• Platelet count< 75 x 10e9/L
• Hemoglobin (Hgb) < 8 g/dL
• Potassium, magnesium, calcium or phosphate abnormality > CTCAE grade 1 despite appropriate replacement therapy
6. Impaired cardiac function or clinically significant cardiac disease, including any of the following:
• Clinically significant and/or uncontrolled heart disease such as congestive heart failure requiring treatment (NYHA grade III or IV) or uncontrolled hypertension defined by a Systolic Blood Pressure (SBP) 160 mm Hg and/or Diastolic Blood Pressure (DBP) 100 mm Hg, with or without anti-hypertensive medication.
• QTcF >470 msec for females or >450 msec for males on screening ECG using
Fridericia's correction, congenital long QT syndrome
• Acute myocardial infarction or unstable angina pectoris < 3 months (months prior to study entry
• Clinically significant valvualr disease with documented compromise in cardiac function
• Symptomatic pericarditis
• History of or ongoing documented cardiomyopathy
• Left Ventricular Ejection Fraction (LVEF) <40%, as determined by echocardiogram (ECHO) or Multi gated acquisition (MLIGA) scan
• History or presence of any clinically significant cardiac arrhythmias, e.g. ventricular, supraventricular, nodal arrhythmias, or conduction abnormality (TBC qualifier: ... requiring a pacemaker or not controlled with medication)
• Presence of unstable atrial fibrillation (ventricular response rate> 100 bpm). NOTE: Patients with stable atrial fibrillation can be enrolled provided they do not meet other cardiac exclusion criteria.
• Complete left bundle branch block (LBBB), bifascicular block
• Any clinically significant ST segment and/or T-wave abnormalities
7. Toxicity attributed to prior IO therapy that led to discontinuation of therapy. Adequately treated patients for drug-related skin rash or with replacement therapy for endocrinopathies are not excluded, provided these toxicities did not lead to the discontinuation of prior treatment.
8. Patients with active, known or suspected autoimmune disease. Subjects with vitiligo, type I diabetes mellitus, residual hypothyroidism due to autoimmune condition only requiring hormone replacement, psoriasis not requiring systemic treatment, or conditions not expected to recur in the absence of an external trigger are permitted to enroll, provided the trigger can be avoided.
9. Human Immunodeficiency Virus (HIV), or active Hepatitis B (HBV) or Hepatitis C (HCV) virus infection Testing is not mandatory to be eligible. Testing for HCV should be considered if the patient is at risk for having undiagnosed HCV (e.g. history of injection drug use).
10. Malignant disease, other than that being treated in this study. Exceptions to this exclusion include the following: malignancies that were treated curatively and have not recurred within 2 years prior to study treatment; completely resected basal cell and squamous cell skin cancers; any malignancy considered to be indolent and that has never required therapy; and completely resected carcinoma in situ of any type.
11. Systemic anti-cancer therapy within 2 weeks of the first dose of study treatment. For cytotoxic agents that have major delayed toxicity, e.g. mitomycin C and nitrosoureas, 4 weeks is indicated as washout period. For patients receiving anticancer immunotherapies such as CTLA-4 antagonists, 6 weeks is indicated as the washout period.
12. Active diarrhea CTCAE grade 2 or a medical condition associated with chronic diarrhea (such as irritable bowel syndrome, inflammatory bowel disease)
13. Presence of 2: CTCAE grade 2 toxicity (except alopecia, peripheral neuropathy and ototoxicity, which are excluded if >= CTCAE grade 3) due to prior cancer therapy.
14. Active infection requiring systemic antibiotic therapy.
15. Active ulceration of the upper Gl tract or Gl bleeding
16. Active bleeding diathesis or on oral anti-vitamin K medication (except low-dose warfarin and aspirin or equivalent, as long as the INR <= 2.0)
17. Active autoimmune disease, motor neuropathy considered of autoimmune origin, and other CNS autoimmune disease
18. Patients requiring concomitant immunosuppressive agents or chronic treatment with corticoids except: replacement dose steroids in the setting of adrenal insufficiency topical, inhaled, nasal and ophthalmic steroids are allowed
19. Use of any live vaccines against infectious diseases (e.g. influenza, varicella, pneumococcus) within 4 weeks of initiation of study treatment (NB the use of live vaccines is not allowed through the whole duration of the study)
20. Use of hematopoietic colony-stimulating growth factors (e.g. G-CSF, GMCSF, M- CSF) < 2 weeks prior start of study drug. An erythroid stimulating agent is allowed as long as it was initiated at least 2 weeks prior to the first dose of study treatment.
21. Major surgery within 2 weeks of the first dose of study treatment (NB mediastinoscopy, insertion of a central venous access device, or insertion of a feeding tube are not considered major surgery).
22. Radiotherapy within 2 weeks of the first dose of study drug, except for palliative radiotherapy to a limited field, such as for the treatment of bone pain or a focally painful tunlor mass. To allow for assessment of response to treatment, patients must have remaining measurable disease that has not been irradiated
23. Participation in an interventional, investigational study within 2 weeks of the first dose of study treatment.
24. Any medical condition that would, in the investigator's judgment, prevent the patient's participation in the clinical study due to safety concerns, compliance with clinical study procedures or interpretation of study results.
25. Sexually active males unless they use a condom during intercourse while taking drug and for 90 days after stopping study treatment and should not father a child in this period. A condom is required to be used also by vasectomized men in order to prevent delivery of the drug via seminal fluid. 26. Pregnant or lactating women, where pregnancy is defined as the state of a female after conception and until the termination of gestation, confirmed by a positive hCG laboratory test. In rare cases of an endocrine-secreting tumor, hCG levels may be above normal limits but with no pregnancy in the patient. In these cases, there should be a repeat serum hCG test (with a non-rising result) and a vaginal/pelvic ultrasound to rule out pregnancy. Upon confirmation of results and discussion with the Medical representative, these patients may enter the study.
27. Women of child-bearing potential, defined as all women physiologically capable of becoming pregnant, unless they are using highly effective methods of contraception during study treatment and for 90 days after the last any dose of study treatment. Highly effective contraception methods include:
• Total abstinence (when this is in line with the preferred and usual lifestyle of the patient. Periodic abstinence (e.g., calendar, ovulation, symptothermal, postovulation methods) and withdrawal are not acceptable methods of contraception
• Female sterilization (have had surgical bilateral oophorectomy with or without hysterectomy), total hysterectomy or tubal ligation at least 6 weeks before taking study treatment. In case of oophorectomy alone, only when the reproductive status of the woman has been confirmed by follow up hormone level assessment
• Male sterilization (at least 6 months prior to screening). For female patients on the study the vasectomized male partner should be the sole partner for that patient.
• Use of oral (estrogen and progesterone), injected or implanted combined hormonal methods of contraception or placement of an intrauterine device (IUD) or intrauterine system (I US) or other forms of hormonal contraception that have comparable efficacy (failure rate <1%), for example hormone vaginal ring or transdermal hormone contraception. In case of use of oral contraception, women should have been stable on the same pill for a minimum of 3 months before taking study treatment. Women are considered post-menopausal and not of child bearing potential if they have had 12 months of natural (spontaneous) amenorrhea with an appropriate clinical profile (e.g. age appropriate, history of vasomotor symptoms) or have had surgical bilateral oophorectomy (with or without hysterectomy) or tubal ligation at least 6 weeks ago. In the case of oophorectomy alone, only when the reproductive status of the woman has been confirmed by follow up hormone level assessment is she considered not of child bearing potential.
Dose-Limiting Toxicities and Dose modification guidelines
A dose-limiting toxicity (DLT) is defined as any of the following events thought to be at least possibly related to ADC per investigator judgment that occurs during the 21 -day DLT evaluation period. Toxicity that is clearly and directly related to the primary disease or to another etiology is excluded from this definition. DLT Definitions
A hematologic DLT is defined as:
■ Grade 3 or 4 febrile neutropenia or neutropenic infection
■ Grade 4 neutropenia lasting >7 days
■ Grade 4 thrombocytopenia
■ Grade 3 thrombocytopenia with clinically significant bleeding, or Grade 3 thrombocytopenia requiring a platelet transfusion
■ Grade 3 anemia that requires transfusion
■ Grade 4 anemia
A non-hematologic DLT is defined as:
■ Grade 4 non-hematologic toxicity
■ Grade 3 non-hematologic toxicity lasting >3 days despite optimal supportive care or medical intervention
■ A case of Hy’s law (AST and/or ALT > 3x ULN and bilirubin > 2x ULN, and without initial findings of cholestasis (serum alkaline phosphatase (ALP) activity < 2x ULN) and no other reason that could explain the combination of increased transaminases and serum total bilirubin, such as viral hepatitis A, B, or C, preexisting or acute liver disease, or another drug capable of causing the observed injury)
■ Grade 3 or higher hypersensitivity/infusion-related reaction (regardless of premedication). A grade 3 hypersensitivity I infusion-related reaction that resolves within 8 hours after onset with appropriate clinical management does not qualify as a DLT.
■ LVEF decrease to < 40% or >20% decrease from baseline
■ Grade 4 tumor lysis syndrome (Grade 3 TLS will not constitute DLT unless it leads to irreversible end-organ damage)
The following conditions are not considered non-hematologic DLT:
• Grade 3 fatigue for < 7 days
• Grade 3 diarrhea, nausea, or vomiting in the absence of premedication that responds to therapy and improves by at least 1 grade within 3 days for Grade 3 events or to < Grade 1 within 7 days.
• AST or ALT elevation > 5 x ULN but < 8 x ULN, without concurrent elevation in bilirubin, that downgrades to < Grade 2 within 5 days after onset.
• Grade 3 serum lipase or serum amylase for < 7 days if without clinical signs or symptoms of pancreatitis
Patients who experience a DLT that resolves or stabilizes with appropriate medical management may continue treatment at the discretion of the investigator in consultation with the sponsor.
Dose modifications
Guidelines for management of specific toxicities are detailed in the table below. For management of events not specified in the tables, the following may serve as a guidance to investigators:
Figure imgf000061_0001
SEQUENCE LISTING PART OF THE DESCRIPTION
SEQ ID NO. 1 (AB12 VH):
QVQLVQSGAEVKKPGSSVKVSCKASGGTFSRYIINWVRQAPGQGLEWMGRIIPILGVENYAQKFQ
GRVTITADKSTSTAYMELSSLRSEDTAVYYCARKDWFDYWGQGTLVTVSSASTKGPSVFPLA
SEQ ID NO. 2 (AB12 VL):
EIVLTQSPGTLSLSPGERATLSCRASQSVSSYLAWYQQKPGQAPRLLIYGASSRATGIPDRFSGS
GSGTDFTLTISRLEPEDFAVYYCQQYGSSPLTFGGGTKVEIKRTVAAPSVFIFP
SEQ ID NO. 3 (VH CDR1): RYIIN
SEQ ID NO. 4 (VH CDR2):
RIIPILGVENYAQKFQG
SEQ ID NO. 5 (VH CDR3):
KDWFDY
SEQ ID NO. 6 (VL CDR1):
RASQSVSSYLA
SEQ ID NO. 7 (VL CDR2):
GASSRAT
SEQ ID NO. 8 (VL CDR3):
QQYGSSPLT
SEQ ID NO. 9 (murine IL-2, immature*):
MYSMQLASCVTLTLVLLVNSAPTSSSTSSSTAEAQQQQQQQQQQQQHLEQLLMDLQELLSRME
NYRNLKLPRMLTFKFYLPKQATELKDLQCLEDELGPLRHVLDLTQSKSFQLEDAENFISNIRVTVVK
LKGSDNTFECQFDDESATWDFLRRWIAFCQSIISTSPQ
SEQ ID NO. 10 (murine IL-2, mature):
APTSSSTSSSTAEAQQQQQQQQQQQQHLEQLLMDLQELLSRMENYRNLKLPRMLTFKFYLPKQ
ATELKDLQCLEDELGPLRHVLDLTQSKSFQLEDAENFISNIRVTVVKLKGSDNTFECQFDDESATV
VDFLRRWIAFCQSIISTSPQ SEQ ID NO. 11 (human IL-2, immature*):
MYRMQLLSCIALSLALVTNSAPTSSSTKKTQLQLEHLLLDLQMILNGINNYKNPKLTRMLTFKFYMP KKATELKHLQCLEEELKPLEEVLNLAQSKNFHLRPRDLISNINVIVLELKGSETTFMCEYADETATIV EFLNRWITFCQSIISTLT
SEQ ID NO. 12 (human IL-2, mature):
APTSSSTKKTQLQLEHLLLDLQMILNGINNYKNPKLTRMLTFKFYMPKKATELKHLQCLEEELKPLE EVLNLAQSKNFHLRPRDLISNINVIVLELKGSETTFMCEYADETATIVEFLNRWITFCQSIISTLT
*Note that the IL-2 polypeptides of SEQ ID Nos. 9 and 11 are the immature polypeptides comprising a 20 amino-acid leader sequence (underlined) before the start of the mature sequence.

Claims

1 . An anti-CD25 ADC for use in a method for treating a disorder in an individual, the method comprising administering to the individual an effective amount of the ADC and IL-2; wherein the anti-CD25 ADC comprises a conjugate of formula L - (DL)P, wherein L is an antibody that binds to CD25, DL is a pyrrolobenzodiazepine (PBD) dimer, and p is from 1 to 8.
2. The anti-CD25-ADC for use according to claim 1 , wherein the individual is selected for treatment with the ADC: a) if the individual has been treated with IL-2; b) if the individual is being treated with IL-2; or c) if the individual is refractory to treatment, or further treatment, with IL-2;
3. The anti-CD25-ADC for use according to any one of claims 1 to 2, wherein the treatment comprises administering ADCx25 or ADCT-301 before IL-2, simultaneous with IL-2, or after IL-2.
4. The anti-CD25-ADC for use according to any of claim 1 to 3, wherein the treatment further comprises administering a chemotherapeutic agent.
5. The anti-CD25-ADC for use according to any of claim 1 to 4, wherein the individual is human.
6. The anti-CD25-ADC for use according to claim 1 , wherein the individual has, or has been determined to have, a cancer which expresses CD25 or CD25+ tumour- associated non-tumour cells, such as CD25+ infiltrating cells.
7. The anti-CD25-ADC for use according to any of claim 1 to 6, wherein the individual is undergoing treatment with IL-2.
8. The anti-CD25-ADC for use according to any of claim 1 to 7, wherein the individual has undergone treatment with IL-2.
9. The anti-CD25-ADC for use according to any of claim 1 to 8, wherein the individual is refractory to treatment, or further treatment, with IL-2.
10. The anti-CD25-ADC for use according to any of claim 1 to 9, wherein the disorder is a proliferative disease.
11. The anti-CD25-ADC for use according to any of claim 1 to 10, wherein the disorder is cancer.
63
RECTIFIED SHEET (RULE 91) ISA/EP
12. The anti-CD25-ADC for use according to any of claim 1 to 11 , wherein the disorder is selected from the group comprising: non-Hodgkin’s Lymphoma, including diffuse large B-cell lymphoma (DLBCL), follicular lymphoma, (FL), Mantle Cell lymphoma (MCL), chronic lymphatic lymphoma (CLL), and Marginal Zone B-cell lymphoma (MZBL), and leukemias such as Hairy cell leukemia (HCL), Hairy cell leukemia variant (HCL-v), anaplastic large cell lymphoma (ALCL), and Acute Lymphoblastic Leukaemia (ALL) such as Philadelphia chromosome-positive ALL (Ph+ALL) or Philadelphia chromosomenegative ALL (Ph-ALL).
13. The anti-CD25-ADC for use according to any one of claims 1 to 12, wherein the conjugate comprises a cleavable linker (Li) connecting L to DL.
14. The anti-CD25-ADC for use according to any one of claims 1 to 13, wherein D'comprises the formula:
Figure imgf000065_0001
15. The anti-CD25-ADC for use according to any one of claims 1 to 14, wherein the anti-CD25 ADC has the chemical structure:
Figure imgf000065_0002
wherein Ab is antibody comprising a VH domain having the sequence of SEQ ID NO. 1 and a VL domain having the sequence of SEQ ID NO. 2.
16. The anti-CD25-ADC for use according to any one of claims 1 to 15, wherein the anti-CD25 ADC is ADCx25, ADCT-301 , or Camidanlumab Tesirine.
17. A method for treating a disorder in an individual, the method comprising administering to the individual an effective amount of:
64
RECTIFIED SHEET (RULE 91) ISA/EP (i) an anti-CD25 ADC, wherein the anti-CD25 ADC comprises a conjugate of formula L - (DL)P, wherein L is an antibody that binds to CD25, DL is a pyrrolobenzodiazepine (PBD) dimer, and p is from 1 to 8; and
(ii) IL-2
65
RECTIFIED SHEET (RULE 91) ISA/EP
PCT/EP2021/0775042020-10-072021-10-06Combination therapyCeasedWO2022074033A1 (en)

Applications Claiming Priority (2)

Application NumberPriority DateFiling DateTitle
GBGB2015916.6AGB202015916D0 (en)2020-10-072020-10-07Combination therapy
GB2015916.62020-10-07

Publications (1)

Publication NumberPublication Date
WO2022074033A1true WO2022074033A1 (en)2022-04-14

Family

ID=73139056

Family Applications (1)

Application NumberTitlePriority DateFiling Date
PCT/EP2021/077504CeasedWO2022074033A1 (en)2020-10-072021-10-06Combination therapy

Country Status (2)

CountryLink
GB (1)GB202015916D0 (en)
WO (1)WO2022074033A1 (en)

Citations (7)

* Cited by examiner, † Cited by third party
Publication numberPriority datePublication dateAssigneeTitle
US4816567A (en)1983-04-081989-03-28Genentech, Inc.Recombinant immunoglobin preparations
WO2004045512A2 (en)2002-11-152004-06-03Genmab A/SHuman monoclonal antibodies against cd25
WO2007044515A1 (en)2005-10-072007-04-19Exelixis, Inc.Azetidines as mek inhibitors for the treatment of proliferative diseases
WO2014057119A1 (en)2012-10-122014-04-17Adc Therapeutics SàrlPyrrolobenzodiazepine-antibody conjugates
WO2016083468A1 (en)2014-11-252016-06-02Adc Therapeutics SaPyrrolobenzodiazepine-antibody conjugates
WO2016166341A1 (en)2015-04-152016-10-20Van Berkel Patricius Hendrikus CornelisSite-specific antibody-drug conjugates
WO2020011724A1 (en)*2018-07-112020-01-16Adc Therapeutics SaCombination therapy

Patent Citations (7)

* Cited by examiner, † Cited by third party
Publication numberPriority datePublication dateAssigneeTitle
US4816567A (en)1983-04-081989-03-28Genentech, Inc.Recombinant immunoglobin preparations
WO2004045512A2 (en)2002-11-152004-06-03Genmab A/SHuman monoclonal antibodies against cd25
WO2007044515A1 (en)2005-10-072007-04-19Exelixis, Inc.Azetidines as mek inhibitors for the treatment of proliferative diseases
WO2014057119A1 (en)2012-10-122014-04-17Adc Therapeutics SàrlPyrrolobenzodiazepine-antibody conjugates
WO2016083468A1 (en)2014-11-252016-06-02Adc Therapeutics SaPyrrolobenzodiazepine-antibody conjugates
WO2016166341A1 (en)2015-04-152016-10-20Van Berkel Patricius Hendrikus CornelisSite-specific antibody-drug conjugates
WO2020011724A1 (en)*2018-07-112020-01-16Adc Therapeutics SaCombination therapy

Non-Patent Citations (41)

* Cited by examiner, † Cited by third party
Title
"Genbank", Database accession no. NM_000417.2
"Uniprot", Database accession no. P60568-1
ANGEW CHEM. INTL. ED. ENGL., vol. 33, 1994, pages 183 - 186
ARCE VARGAS ET AL., IMMUNITY, vol. 46, 18 April 2017 (2017-04-18), pages 1 - 10, Retrieved from the Internet <URL:http://dx.doi.Org/10.1016/j.immuni.2017.03.013>
ARCE VARGAS ET AL., IMMUNITY, vol. 46, 2017, pages 1 - 10
CARTER, P., NATURE REVIEWS IMMUNOLOGY, vol. 6, 2006, pages 343 - 357
CAS , no. 1957239-90-5
CATANIA ET AL., CELL MIGR. ADHES., vol. 9
CHESON, SOUTH ASIAN J CANCER, vol. 3, no. 1, 2014, pages 66 - 70
CLACKSON ET AL., NATURE, vol. 352, 1991, pages 624 - 628
COLLINS GRAHAM P. ET AL: "Adct-301 (Camidanlumab Tesirine), a Novel PyrrolobenzodiazepineBased CD25-Targeting Antibody Drug Conjugate, in aPhase 1 Study of Relapsed/Refractory Non-HodgkinLymphoma Shows Activity in T-Cell Lymphoma", vol. 132, no. Supplement 1, 29 November 2018 (2018-11-29), US, pages 1658 - 1658, XP055812663, ISSN: 0006-4971, Retrieved from the Internet <URL:https://ashpublications.org/blood/article/132/Supplement%201/1658/273195/Adct301-Camidanlumab-Tesirine-a-Novel> DOI: 10.1182/blood-2018-99-115986*
EXPERT OPIN. THER. PATENTS, vol. 15, no. 9, 2005, pages 1087 - 1103
F SPRIANO ET AL: "THE ANTI-CD25 ANTIBODY-DRUG CONJUGATE CAMIDANLUMAB TESIRINE (ADCT-301) PRESENTS A STRONG PRECLINICAL ACTIVITY BOTH AS SINGLE AGENT AND IN COMBINATION IN LYMPHOMA CELL LINES", HEMATOLOGICAL ONCOLOGY, 15TH INTERNATIONAL CONFERENCE ON MALIGNANT LYMPHOMA, 2019, LUGANO, 12 June 2019 (2019-06-12), XP055721611, DOI: 10.1002/hon.134_2630*
FDAEMEA, GUIDELINE ON CLINICAL TRIALS IN SMALL POPULATIONS, 1 February 2007 (2007-02-01)
FIELDING A., HAEMATOLOGICA, vol. 95, no. 1, January 2010 (2010-01-01), pages 8 - 12
FLYNN ET AL., MOL CANCER THER, 2016
GILLESSESN ET AL., EUR J CANCER, vol. 49, no. 1, January 2013 (2013-01-01), pages 35 - 44
GILLIES ET AL., BLOOD, vol. 105, no. 10, 2005, pages 3972 - 8
GISSELBRECHT C ET AL: "Interleukin-2 treatment in lymphoma: A phase II multicenter study", BLOOD, AMERICAN SOCIETY OF HEMATOLOGY, US, vol. 83, no. 8, 1 January 1994 (1994-01-01), pages 2081 - 2085, XP002327659, ISSN: 0006-4971*
GOLDBERG AARON D ET AL: "Camidanlumab tesirine, an antibody-drug conjugate, in relapsed/refractory CD25-positive acute myeloid leukemia or acute lymphoblastic leukemia: A phase I study", LEUKEMIA RESEARCH, NEW YORK,NY, US, vol. 95, 7 June 2020 (2020-06-07), XP086208177, ISSN: 0145-2126, [retrieved on 20200607], DOI: 10.1016/J.LEUKRES.2020.106385*
HOLMBERG L A ET AL: "RITUXIMAB AND INTERLEUKIN 2 FOR CD20 POSITIVE NON-HODGKIN'S LYMPHOMA FOLLOWING AUTOLOGOUS TRANSPLANT", BLOOD, AMERICAN SOCIETY OF HEMATOLOGY, US, vol. 100, no. 11, 10 December 2002 (2002-12-10), XP009058800, ISSN: 0006-4971*
JOURNAL OF CLINICAL ONCOLOGY, vol. 37, pages e14220 - e14220
KLEIN ET AL., ONCOIMMUNOLOGY, vol. 6, no. 3, 11 January 2017 (2017-01-11), pages e1277306
KOHLER ET AL., NATURE, vol. 256, 1975, pages 495
KOVTUN ET AL., CANCER RES., vol. 66, no. 4, 2006, pages 2328 - 2337
KS PEGGS ET AL., CLINICAL AND EXPERIMENTAL IMMUNOLOGY, vol. 157, 2009, pages 9 - 19
LAMBERT J., CURRENT OPIN. IN PHARMACOL., vol. 5, 2005, pages 543 - 549
LONBERG, CURR. OPINION, vol. 20, no. 4, 2008, pages 450 - 459
LOPES, JE. ET AL., J IMMUNOTHER CANCER, vol. 8, no. 1, 2020, pages e000673
MARKS ET AL., J. MOL. BIOL., vol. 222, 1991, pages 581 - 597
MENETRIER-CAUX, C. ET AL., TARG ONCOL, vol. 7, 2012, pages 15 - 28
MORRISON ET AL., PROC. NATL. ACAD. SCI. USA, vol. 81, 1984, pages 6851 - 6855
PAYNE, G, CANCER CELL, vol. 3, 2003, pages 207 - 212
SCHLIEMANN ET AL., CANCER IMMUNOL. RES., vol. 3, 2015, pages 547 - 556
SILVA DA ET AL., NATURE, vol. 565, no. 7738, January 2019 (2019-01-01), pages 186 - 191
SYRIGOSEPENETOS, ANTICANCER RESEARCH, vol. 19, 1999, pages 605 - 614
TANAKA, A. ET AL., CELL RES, vol. 27, no. 1, January 2017 (2017-01-01), pages 109 - 118
TANAKA, A. ET AL., CELL RES., vol. 27, no. 1, January 2017 (2017-01-01), pages 109 - 118
TRAIL ET AL., CANCER IMMUNOL. IMMUNOTHER., vol. 52, 2003, pages 328 - 337
WU ET AL., NATURE BIOTECH., vol. 23, no. 9, 2005, pages 1137 - 1145
XIE ET AL., EXPERT. OPIN. BIOL. THER., vol. 6, no. 3, 2006, pages 281 - 291

Also Published As

Publication numberPublication date
GB202015916D0 (en)2020-11-18

Similar Documents

PublicationPublication DateTitle
US20230149556A1 (en)Combination therapy
US11596696B2 (en)Combination therapy with an anti-CD25 antibody-drug conjugate
US20200129638A1 (en)Combination therapy with an anti-psma antibody-drug conjugate
EP3843748B1 (en)Combination therapy
US20230132256A1 (en)Combination therapy
KR20220020331A (en) Combination therapy comprising an anti-CD25 antibody drug conjugate and an additional agent
US20220305132A1 (en)Combination therapy comprising an anti-cd19 antibody drug conjugate and a pi3k inhibitor or a secondary agent
WO2022074033A1 (en)Combination therapy
WO2022029223A1 (en)Combination therapy comprising anti-kaag1 antibody drug conjugate and parp inhibitor
JP2024526244A (en) Combination therapy
EA046551B1 (en) COMBINATION THERAPY
EA047973B1 (en) COMBINATION THERAPY CONTAINING ANTI-CD19 DRUG CONJUGATE AND PI3K INHIBITOR

Legal Events

DateCodeTitleDescription
121Ep: the epo has been informed by wipo that ep was designated in this application

Ref document number:21783317

Country of ref document:EP

Kind code of ref document:A1

NENPNon-entry into the national phase

Ref country code:DE

122Ep: pct application non-entry in european phase

Ref document number:21783317

Country of ref document:EP

Kind code of ref document:A1


[8]ページ先頭

©2009-2025 Movatter.jp