Movatterモバイル変換


[0]ホーム

URL:


WO2022032187A1 - Fgf21 combined with ccr2/5 antagonists for the treatment of fibrosis - Google Patents

Fgf21 combined with ccr2/5 antagonists for the treatment of fibrosis
Download PDF

Info

Publication number
WO2022032187A1
WO2022032187A1PCT/US2021/045090US2021045090WWO2022032187A1WO 2022032187 A1WO2022032187 A1WO 2022032187A1US 2021045090 WUS2021045090 WUS 2021045090WWO 2022032187 A1WO2022032187 A1WO 2022032187A1
Authority
WO
WIPO (PCT)
Prior art keywords
fgf
polypeptide
seq
ccr2
aspects
Prior art date
Legal status (The legal status is an assumption and is not a legal conclusion. Google has not performed a legal analysis and makes no representation as to the accuracy of the status listed.)
Ceased
Application number
PCT/US2021/045090
Other languages
French (fr)
Inventor
Frank TACKE
Tobias PUENGEL
Sander LEFERE
Stephanie Lauren BOEHM
Qihong Zhao
Edgar Davidson Charles, Iii
Bradley A. Zinker
Current Assignee (The listed assignees may be inaccurate. Google has not performed a legal analysis and makes no representation or warranty as to the accuracy of the list.)
Universiteit Gent
Universitaetsmedizin Berlin
Rheinisch Westlische Technische Hochschuke RWTH
Bristol Myers Squibb Co
Original Assignee
Universiteit Gent
Universitaetsmedizin Berlin
Rheinisch Westlische Technische Hochschuke RWTH
Bristol Myers Squibb Co
Priority date (The priority date is an assumption and is not a legal conclusion. Google has not performed a legal analysis and makes no representation as to the accuracy of the date listed.)
Filing date
Publication date
Application filed by Universiteit Gent, Universitaetsmedizin Berlin, Rheinisch Westlische Technische Hochschuke RWTH, Bristol Myers Squibb CofiledCriticalUniversiteit Gent
Priority to EP21773170.2ApriorityCriticalpatent/EP4192495A1/en
Priority to JP2023509393Aprioritypatent/JP2023538533A/en
Publication of WO2022032187A1publicationCriticalpatent/WO2022032187A1/en
Anticipated expirationlegal-statusCritical
Ceasedlegal-statusCriticalCurrent

Links

Classifications

Definitions

Landscapes

Abstract

The present application provides methods of treating a fibrosis and/or diabetes comprising administering a FGF-21 polypeptide in combination with a CCR2/5 dual antagonist. The method can also be used to treat NASH.

Description

FGF21 COMBINED WITH CCR2/5 ANTAGONISTS FOR THE TREATMENT OF FIBROSIS
CROSS-REFERENCE TO RELATED APPLICATIONS
[0001] This PCT application claims the priority benefit of U.S. Provisional Application Nos. 63/063,189, filed on August 7, 2020, 63/065,414, filed on August 13, 2020, 63/065,749, filed on August 14, 2020, 63/065,935, filed on August 14, 2020, and 63/067,184, filed August 18, 2020, all of which are herein incorporated by reference in their entireties.
REFERENCE TO SEQUENCE LISTING SUBMITTED ELECTRONICALLY VIA EFS-WEB
[0002] The content of the electronically submitted sequence listing (Name: 3338_227PC05_Seqlisting_ST25.txt; Size: 28,740 bytes; and Date of Creation: August 5, 2021) filed with the application is incorporated herein by reference in its entirety.
FIELD
[0003] This application pertains to, among other things, methods of treating or preventing a disease or condition related to fibrosis and/or diabetes, e.g., NASH by a combination therapy, including e.g., a FGF-21 polypeptide, e.g., a PEGylated FGF-21 polypeptide (PEG-FGF-21 conjugate), and a CCR2/5 dual antagonist, e.g., Compound A or Compound C.
BACKGROUND
[0004] NASH stands for Non-Alcoholic SteatoHepatitis. It can be defined as the liver manifestation of a metabolic disorder, and is the most severe form of non-alcoholic fatty liver disease (NAFLD). NASH is closely related to the triple epidemic of obesity, pre-diabetes, and diabetes. But its symptoms are often silent or non-specific to NASH, making it difficult to diagnose. As a result, NASH patients can remain unaware of their condition until late stages of the disease.
[0005] While patients remain unaware of their liver condition, NASH can progress to more serious disease stages, such as advanced fibrosis, cirrhosis, liver failure, or liver cancer, driven by hepatocellular ballooning and inflammation.
[0006] In advanced stages of the disease, liver transplant may be a patient’s only option. But this risky surgical procedure is associated with various complications, not to mention long waiting lists due to the lack of available healthy organs from donors, or eligibility issues related to patient condition. Therefore, there exists a need for an effective treatment for NASH.
BRIEF SUMMARY
[0007] The present disclosure is directed to a method of treating or preventing a disease or condition associated with fibrosis and/or diabetes in a subject in need thereof comprising administering to the subject an effective amount of a fibroblast growth factor 21 (FGF-21) polypeptide in combination with a CCR2/5 dual antagonist. In some aspects, the FGF-21 polypeptide is administered sequentially with the CCR2/5 dual antagonist, in any order. In some aspects, the FGF-21 polypeptide is administered concurrently with the CCR2/5 dual antagonist.
[0008] In some aspects, the disease or condition is diabetes, e.g., Type 2 diabetes. In some aspects, the disease or condition is nonalcoholic steatohepatitis (NASH) or nonalcoholic fatty liver disease (NAFLD). In some aspects, the administration of the FGF-21 polypeptide and the CCR2/5 dual antagonist to the subject decreases liver stiffness, decreases percentage body fat, decreases body weight, decreases liver-to-body weight ratio, decreases liver lipid content, decreases liver fibrosis area, decreases fasting blood glucose levels, decreases fasting triglyceride levels, decreases LDL cholesterol levels, decreases ApoB levels, decreases ApoC levels, increases HDL cholesterol, or any combination thereof.
[0009] In some aspects, the administration of the FGF-21 polypeptide in combination with the CCR2/5 dual antagonist to the subject results in (i) reduction in levels of liver fat; (ii) reduction in levels of liver injury; (iii) reduction in levels of fibrosis; (iv) decrease in levels of fibrosis biomarker serum Pro-C3 (N-terminal type III collagen propeptide); (v) decrease in levels of alanine aminotransferase (ALT); (vi) decrease in levels of aspartate aminotransferase (AST), (vii) increase in levels of serum adiponectin; (viii) decrease in levels of plasma LDL; (ix) increase in levels of plasma HDL; (x) decrease in levels of plasma triglyceride; (xi) reduction in level of liver stiffness; or (xii) any combination thereof, compared to the levels in untreated subjects or subjects prior to the administration of the pharmaceutical formulation, or to the levels in subjects treated only with the FGF-21 polypeptide or the CCR2/5 dual antagonist, but not both.
[0010] In some aspects, the administration of the FGF-21 polypeptide in combination with the CCR2/5 dual antagonist to the subject results in (a) reduction in numbers of hepatic monocytes; (b) reduction in numbers of F4/80-positive hepatic monocyte-derived macrophages (MoMF); or (c) both (a) and (b).
[0011] In some aspects, the FGF-21 polypeptide is linked or conjugated to a half-life extending moiety. In some aspects, the half-life extending moiety comprises a polypeptide moiety. In some aspects, the half-life extending moiety comprises an Fc region, albumin, a PAS sequence, transferrin or CTP (28 amino acid C-terminal peptide (CTP) of hCG with its 4 O- glycans), an albumin binding polypeptide, an albumin-binding small molecule, or any combinations thereof. In some aspects, the half-life extending moiety comprises a nonpolypeptide moiety. In some aspects, the half-life extending moiety comprises polyethylene glycol (PEG), hydroxyethyl starch (HES), polysialic acid, or any combination thereof.
[0012] In some aspects, the FGF-21 polypeptide is conjugated to a polyethylene glycol (PEG) moiety (“FGF-21 conjugate”). In some aspects, wherein the FGF-21 conjugate comprises:
Modified FGF-21
Figure imgf000004_0001
(Formula I), and wherein n is any integer.
[0013] In some aspects, the PEG moiety is conjugated to a non-natural amino acid in the FGF-21 polypeptide. In some aspects, the non-natural amino acid in the FGF-21 polypeptide is a phenylalanine derivative. In some aspects, the phenylalanine derivative is para-acetyl-L- phenylalanine.
[0014] In some aspects, the FGF-21 polypeptide comprises an amino acid sequence having at least about 70%, at least about 75%, at least about 80%, at least about 85%, at least about 90%, at least about 95%, at least about 96%, at least about 97%, at least about 98%, or at least about 99% amino acid sequence identity to the amino acid sequence of SEQ ID NO: 3, 7, 11, or 15, wherein the polypeptide has a FGF-21 activity. In some aspects, the FGF-21 polypeptide has a deletion, insertion, and/or substitution. In some aspects, the non-natural amino acid is at amino acid residue 109 corresponding to SEQ ID NO: 3 or 11.
[0015] In some aspects, the FGF-21 polypeptide comprises the sequence as set forth in SEQ ID NO: 1, 5, 9, or 13. In some aspects, the FGF-21 conjugate corresponds to a compound of SEQ ID NO: 2, 6, 10, or 14. [0016] In some aspects, the n is from about 500 to about 900 ethylene glycol units, from about 600 to about 800 ethylene glycol units, from about 650 to about 750 ethylene glycol units, or from about 670 to about 690. In some aspects, the n is between about 670 and about 690, e.g., about 681.
[0017] In some aspects, the FGF-21 polypeptide corresponds to a compound of SEQ ID NO: 4, 8, 12, or 16. In some aspects, the FGF-21 polypeptide comprises the sequence as set forth in SEQ ID NO: 4 or 12. In some aspects, the FGF-21 conjugate is in an L conformation.
[0018] In some aspects, the FGF-21 polypeptide is formulated with an aminopolycarboxylic acid cation chelator, a surfactant, an amino acid buffering agent, an osmotic regulator, or any combination thereof.
[0019] In some aspects, the CCR2/5 dual antagonist is a polypeptide. In some aspects, the CCR2/5 dual antagonist is a small molecule. In some aspects, the CCR2/5 dual antagonist is a compound of formula (X):
Figure imgf000005_0001
or a pharmaceutically acceptable salt thereof, wherein:
R1 is hydrogen or Ci-Ce alkyl;
R8 and R9 are independently selected from hydrogen and Ci-Ce alkyl;
R10 is Ci-C6 alkyl;
Het is an optionally substituted 3- to 14-membered monocyclic or bicyclic heterocyclyl or heteroaryl ring having at least one nitrogen atom;
Ra and Rb are each hydrogen, or, together form an oxo group; and Z is NH or CH2.
[0020] In some aspects, the CCR2/5 dual antagonist is compound (A):
Figure imgf000005_0002
In some aspects, the CCR2/5 dual antagonist is a pharmaceutically acceptable salt of compound
(A).
[0021] In some aspects, the CCR2/5 dual antagonist is compound (C):
Figure imgf000006_0001
In some aspects, the CCR2/5 dual antagonist is a pharmaceutically acceptable salt of compound (C).
[0022] In some aspects, the subject is human. In certain aspects, the method is treating the disease or condition associated with fibrosis and/or diabetes.
[0023] In some aspects, the present disclosure provides a method of treating NASH in a human subject in need thereof comprising administering to the human subject an effective amount of (1) the PEG-FGF-21 conjugate of Formula I
Modified FGF-21
Figure imgf000006_0002
(Formula I), wherein an about 30 kD PEG moiety with n being between about 670 and about 690 is conjugated to the para-acetyl-L-phenylalanine of the FGF-21 polypeptide of SEQ ID NO: 2 or 10; in combination with (2) compound C
Figure imgf000006_0003
(compound C). In some aspects, the PEG-
FGF-21 conjugate of Formula I is combined with a pharmaceutically acceptable salt of Compound C. [0024] In some aspects, the PEG moiety comprises a distal methoxy (-O-CH3) group. In some aspects, n is about 681.
[0025] In some aspects, the CCR2/5 dual antagonist useful for the method is compound
Figure imgf000007_0001
[0026] In some aspects, the CCR2/5 dual antagonist useful for the method is a pharmaceutically acceptable salt of Compound C:
Figure imgf000007_0002
(C).
BRIEF DESCRIPTION OF THE DRAWINGS
[0027] FIGS. 1A-1E show the correlation of CCL2 and FGF21 serum levels with severity of human NAFLD. Serum samples were obtained from patients with biopsy-proven NAFLD (n=85). Data are presented as mean ± SD *P<0.05, **P<0.01, ***P<0.001 (unpaired Student t test in FIGS. A-B, and Pearson's r and P-values of linear correlation analysis in FIGS. C-E). FIGS. 1A and IB show CCL2 and FGF-21 serum levels measured by ELISA and correlated with histologically assessed severity of liver fibrosis and steatohepatitis. FIGS. 1C and ID show correlation of CCL2 serum concentrations with biomarkers of fibrosis (FIB-4 and GGT) and FGF-21 serum levels. FIG. IE shows association of FGF-21 serum levels with biomarkers of steatohepatitis (CK-18 M30, GGT and AST).
[0028] FIGS. 2A-2G show blocking hepatic infiltration of monocytes and macrophages by CCR2/CCR5 inhibition in acute liver injury. Hepatic injury was assessed by necrotic area fraction and serum alanine (ALT) and aspartate (AST) transaminase levels. Data are presented as mean ± SD (n = 6-8 per group) *p<0.05, **p<0.01, ***p<0.001 (one-way ANOVA with post-hoc testing). FIG. 2A shows that acute liver injury was induced by a single CCh injection. Mice received vehicle (Vhc), CCR2/CCR5 inhibitor (CCR2/5i) and/or PEG-FGF21 variant (FGF21v). Liver injury and immune cell migration was assessed 36h after injury induction. FIG. 2B shows H&E and F4/80 immunohistochemistry staining of representative liver sections of control and treatments groups (xlO magnification; scale bars = 100 pm). FIGS. 2C and 2D show quantification of F4/80 positive area fraction. FIGS. 2E to 2G show representative flow cytometric plots of blood (MO = monocytes; Granulo = granulocytes) and liver (MO = monocytes; MoMF = monocyte-derived macrophages; KC = Kupffer cells) immune cell populations and corresponding quantification.
[0029] FIGS. 3A-3J shows combination therapy by dual CCR2/CCR5 inhibition and FGF21 agonism ameliorates steatohepatitis and fibrosis more effectively than single drug treatment. FIG. 3A shows pharmacologic treatment with CCR2/CCR5 inhibitor (CCR2/5i) and/or PEG-FGF21 variant (FGF21v) was conducted over the last 6 weeks of 12 weeks CDAHFD (choline-deficient, amino acid-defined high-fat diet) administration to induce steatohepatitis and fibrosis. FIG. 3B shows a line graph of bodyweight development of all treatment groups (ctrl: control diet; Vhc: vehicle). FIG. 3C shows a representative H&E, Sirius Red and F4/80 immunohistochemistry staining (xlO magnification; scale bars = 100 pm. FIGS. 3D-3F present an assessment of liver injury by serum alanine transaminase levels (ALT), of liver fibrosis by quantification of Sirius Red area fraction and hydroxyproline content and of hepatic triglyceride content. FIG. 3G shows single parameters of the histopathological NAFLD activity score (NAS). FIGS. 3H-3J shows the quantification of flow cytometry for Ly6C+ blood monocytes, hepatic monocyte-derived macrophages (MoMF) and Kupffer cells (KC) and quantification of F4/80 positive area fraction. All data are presented as mean SD (n = 6-8 per group) *P<0.05, **P<0.01, ***P<0.001 (one-way ANOVA with post-hoc testing).
[0030] FIGS. 4A-4F shows the beneficial effects of combination therapy after short term treatment. FIG. 4 A shows that steatohepatitis and fibrosis were induced by CDAHFD (choline- deficient, amino acid-defined high-fat diet) over a total period of 8 weeks. Effects of pharmacologic treatment were assessed after administration of CCR2/CCR5 inhibitor (CCR2/5i) and/or PEG-FGF21 variant (FGF21v) over the last two weeks of injury induction. FIG. 4B shows a representative liver section of H&E, Sirius Red and F4/80 immunohistochemistry staining (xlO magnification; scale bars = 100 gm). FIGS. 4C and 4D show serum alanine transaminase (ALT) levels, NAFLD activity score, hepatic triglyceride and hydroxyproline content as well as quantification of Sirius Red area fraction display the liver phenotype. FIGS. 4E and 4F show the quantification of F4/80 positive area fraction and flow cytometrically determined monocyte-derived macrophages (MoMFs) and liver Kupffer cells (KC). All data are presented as mean SD (n = 6-8 per group) *P<0.05, **P<0.01, ***P<0.001 (one-way ANOVA with post-hoc testing).
[0031] FIGS. 5A-5F show the effects of combination treatment after long term treatment. FIG. 5A shows that chronic liver injury was induced over a total period of 12 weeks and effects of pharmacologic treatment with vehicle (Vhc), CCR2/CCR5 inhibitor (CCR2/5i) and/or PEG- FGF21 variant (FGF21v) was assessed after administration over the last 6 weeks of 12 weeks injury induction. FIGS. 5B-5D present representative FACS plots and corresponding quantification of blood (MO = monocytes) and liver immune cells (MoMF = monocyte-derived macrophages, KC = Kupffer cells and leukocytes). FIG. 5E shows the quantification of serum CCL2, CCL5 and CXCL1 levels by ELISA. FIG. 5F shows the fold change of gene expression levels from total liver tissue measured by RT-qPCR. All data are presented as mean SD (n = 6-8) *P<0.05, **P<0.01, ***P<0.001, ****P<0.0001 (one-way ANOVA with post-hoc testing).
[0032] FIGS. 6A and 6B show lymphocyte populations in long term chronic liver injury. FIG. 6A shows the quantification of lymphocyte immune cell populations in blood (B cells, CD4+ T cells, CD8+ T cells, NK cells and NKT cells). FIG. 6B shows the quantification of lymphocyte immune cell populations in liver (B cells, CD4+ T cells, CD8+ T cells, NK cells and NKT cells).
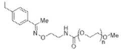
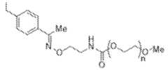
[0033] FIG. 7 shows schematic representations of PEGylated FGF-21 conjugates of the present disclosure. The top drawing shows an FGF-21 conjugate in which the non-natural amino acid in the FGF-21 conjugate is para-acetyl-phenylalanine, e.g., para-acetyl-L-phenylalanine. n represents the number of ethylene glycol units contained in the PEG polymer. The bottom drawing is a schematic representation of a specific PEG linker comprising 681 ethylene glycol units that can be fused or conjugated in a site specific manner to a FGF-21 polypeptide (e.g., a FGF-21 polypeptide comprising a non-native amino acid such as para-acetyl-phenylalanine, e.g., para-acetyl-L-phenylalanine) to yield a FGF-21 conjugate of the present disclosure. DETAILED DESCRIPTION
[0034] The present disclosure provides a method of treating a subject afflicted with a fibrosis and/or diabetes comprising administering a fibroblast grow factor 21 (FGF-21) polypeptide, e.g., such as PEG-FGF-21 (e.g., SEQ ID NO: 2, 4, 6, 8, 10, 12, 14 or 16) in combination with a CCR2/5 dual antagonist.
Definitions
[0035] In order that the present disclosure can be more readily understood, certain terms are first defined. As used in this application, except as otherwise expressly provided herein, each of the following terms shall have the meaning set forth below. Additional definitions are set forth throughout the application.
[0036] The disclosure includes aspects in which exactly one member of the group is present in, employed in, or otherwise relevant to a given product or process. The disclosure includes aspects in which more than one, or all of the group members are present in, employed in, or otherwise relevant to a given product or process.
[0037] The singular forms "a", "an" and "the" include plural referents unless the context clearly dictates otherwise. The terms "a" (or "an"), as well as the terms "one or more," and "at least one" can be used interchangeably herein. In certain aspects, the term "a" or "an" means "single." In other aspects, the term "a" or "an" includes "two or more" or "multiple." Thus, for example, reference to a "FGF-21 conjugate" is a reference to one or more such proteins or conjugates and includes equivalents thereof known to those of ordinary skill in the art, and so forth.
[0038] Furthermore, "and/or" where used herein is to be taken as specific disclosure of each of the two specified features or components with or without the other. Thus, the term "and/or" as used in a phrase such as "A and/or B" herein is intended to include "A and B," "A or B," "A" (alone), and "B" (alone). Likewise, the term "and/or" as used in a phrase such as "A, B, and/or C" is intended to encompass each of the following aspects: A, B, and C; A, B, or C; A or C; A or B; B or C; A and C; A and B; B and C; A (alone); B (alone); and C (alone).
[0039] The term "about" as used herein to a value or composition that is within an acceptable error range for the particular value or composition as determined by one of ordinary skill in the art, which will depend in part on how the value or composition is measured or determined, i.e., the limitations of the measurement system. For example, "about" can mean within 1 or more than 1 standard deviation per the practice in the art. Alternatively, "about" can mean a range of up to 20%. Furthermore, particularly with respect to biological systems or processes, the terms can mean up to an order of magnitude or up to 5-fold of a value. When particular values or compositions are provided in the application and claims, unless otherwise stated, the meaning of "about" should be assumed to be within an acceptable error range for that particular value or composition. When the term "about" is used in conjunction with a numerical range, it modifies that range by extending the boundaries above and below the numerical values set forth. Thus, "about 10-20" means "about 10 to about 20." In general, the term "about" can modify a numerical value above and below the stated value by a variance of, e.g., 10 percent, up or down (higher or lower).
[0040] Unless defined otherwise, all technical and scientific terms used herein have the same meaning as commonly understood by one of ordinary skill in the art to which this disclosure is related. For example, the Concise Dictionary of Biomedicine and Molecular Biology, Juo, Pei-Show, 2nd ed., 2002, CRC Press; The Dictionary of Cell and Molecular Biology, 3rd ed., 1999, Academic Press; and the Oxford Dictionary Of Biochemistry And Molecular Biology, Revised, 2000, Oxford University Press, provide one of skill with a general dictionary of many of the terms used in this disclosure.
[0041] It is understood that wherever aspects are described herein with the language "comprising," otherwise analogous aspects described in terms of "consisting of' and/or "consisting essentially of' are also provided.
[0042] Units, prefixes, and symbols are denoted in their Systeme International de Unites (SI) accepted form. Numeric ranges are inclusive of the numbers defining the range. Unless otherwise indicated, amino acid sequences are written left to right in amino to carboxy orientation. The headings provided herein are not limitations of the various aspects of the disclosure, which can be had by reference to the specification as a whole. Accordingly, the terms defined immediately below are more fully defined by reference to the specification in its entirety. [0043] Amino acids are referred to herein by either their commonly known three letter symbols or by the one-letter symbols recommended by the IUPAC-IUB Biochemical Nomenclature Commission. Unless otherwise indicated, amino acid sequences are written left to right in amino to carboxy orientation.
[0044] Amino acid substitution'. The term "amino acid substitution" refers to replacing an amino acid residue present in a parent or reference sequence (e.g., a wild type sequence) with another amino acid residue. An amino acid can be substituted in a parent or reference sequence (e.g., a wild type polypeptide sequence), for example, via chemical peptide synthesis or through recombinant methods known in the art. Accordingly, a reference to a "substitution at position X" refers to the substitution of an amino acid present at position X with an alternative amino acid residue. In some aspects, substitution patterns can be described according to the schema AnY, wherein A is the single letter code corresponding to the amino acid naturally or originally present at position n, and Y is the substituting amino acid residue. In other aspects, substitution patterns can be described according to the schema An(YZ), wherein A is the single letter code corresponding to the amino acid residue substituting the amino acid naturally or originally present at position n, and Y and Z are alternative substituting amino acid residues that can replace A.
[0045] In the context of the present disclosure, substitutions (even when they are referred to as amino acid substitution) are conducted at the nucleic acid level, i.e., substituting an amino acid residue with an alternative amino acid residue is conducted by substituting the codon encoding the first amino acid with a codon encoding the second amino acid.
[0046] Approximately. As used herein, the term "approximately," as applied to one or more values of interest, refers to a value that is similar to a stated reference value. In certain aspects, the term "approximately" refers to a range of values that fall within 10%, 9%, 8%, 7%, 6%, 5%, 4%, 3%, 2%, 1%, or less in either direction (greater than or less than) of the stated reference value unless otherwise stated or otherwise evident from the context (except where such number would exceed 100% of a possible value).
[0047] Associated with. As used herein with respect to a disease, the term "associated with" means that the symptom, measurement, characteristic, or status in question is linked to the diagnosis, development, presence, or progression of that disease. As association may, but need not, be causatively linked to the disease.
[0048] Biologically active'. The term "biologically active" as applied to a molecule disclosed herein, for example, a FGF-21 conjugate disclosed herein, e.g., a PEG-FGF-21 of SEQ ID NO: 2 or 10 or SEQ ID NO:4 or 12, means any substance which can affect any physical or biochemical properties of a biological system, pathway, molecule, or interaction relating to a living organism. In particular, as used herein, biologically active molecules include, but are not limited to, any substance intended for diagnosis, cure, mitigation, treatment, or prevention of disease or conditions, e.g., diseases or conditions associated with fibrosis, in humans or other animals, or to otherwise enhance physical or mental well-being of humans or animals.
[0049] CCR2/5 dual antagonist A "CCR2/5 dual antagonist" is an antagonist that binds potently to CCR2 and CCR5 receptors and exhibits potent dual inhibition of in vitro receptor-mediated functions such as CCR2- and CCR5-mediated functions such as calcium flux and chemotaxis in response to their respective cognate ligands. Compounds having CCR2/5 dual inhibitory activity are reported in, for example, U.S. Pat. Nos. 8,383,812 and 7,163,937, which are incorporated by reference in their entireties.
[0050] The term "alkyl," as used herein, refers to a group derived from a straight or branched chain saturated hydrocarbon.
[0051] The term "heterocyclyl," as used herein, refers to substituted or unsubstituted nonaromatic (which may be partially or fully saturated) 3- to 14-membered rings having 1 to 4 heteroatoms. Such rings can be 3- to 7-membered monocyclic groups, 7- to 11-membered bicyclic groups, or 10- to 14-membered tricyclic groups. Each ring of the heterocyclyl group containing a heteroatom can contain one or two oxygen or sulfur atoms and/or from 1 to 4 nitrogen atoms provided that the total number of heteroatoms in each ring is four or less, and further provided that the ring contains at least one carbon atom. The fused rings completing bicyclic and tricyclic groups may contain only carbon atoms and may be saturated, partially saturated, or unsaturated. The nitrogen and sulfur atoms may optionally be oxidized and the nitrogen atoms may optionally be quaternized. The heterocyclyl group may be attached at any available nitrogen or carbon atom. The heterocyclyl ring may contain 0, 1, 2 or 3 substituents selected from Ci-C4alkyl, C2-C4 alkenyl, halogen, -OH, -CN, -NO2, -CF3, -O(Ci-C4alkyl), -OCF3, -CHO, -C(O)Ci-C4alkyl, -CO2H, -CO2(Ci-C4alkyl), -NHCO2(Ci-C4alkyl), -S(Ci-C4alkyl), -NH2, -NH(Ci-C4alkyl), -N(Ci-C4alkyl)2, -N(Ci-C4alkyl)3+, -SO2(Ci-C4alkyl), -C(=O)(C1- C4alkylene)NH2, -C(=O)(Ci-C4alkylene)NH(alkyl), and/or C(=O)(Ci-C4alkylene)N(Ci-C4alkyl)2. Exemplary heterocyclic groups include, but are not limited to, azetidinyl pyrrolidinyl, oxetanyl, imidazolinyl, oxazolidinyl, isoxazolinyl, thiazolidinyl, isothiazolidinyl, tetrahydrofuranyl, piperidyl, piperazinyl, 2-oxopiperazinyl, 2-oxopiperidyl, 2-oxopyrrolodinyl, 2-oxoazepinyl, azepinyl, 4-piperidonyl, etrahydropyranyl, morpholinyl, thiamorpholinyl, thiamorpholinyl sulfoxide, thiamorpholinyl sulfone, 1,3 -di oxolane, quinuclidinyl, tetrahydro-1, 1 -di oxothienyl and the like. [0052] The term "heteroaryl" refers to substituted and unsubstituted aromatic 3- to 14- membered rings having 1 to 4 heteroatoms selected from 0, S, or N in at least one of the rings. Said rings can be 5- or 6-membered monocyclic groups, 9- to 14-membered bicyclic groups, or 11- to 14-membered tricyclic groups. Each ring of the heteroaryl group containing a heteroatom can contain one or two oxygen or sulfur atoms and/or from 1 to 4 nitrogen atoms provided that the total number of heteroatoms in each ring is four or less and each ring has at least one carbon atom. The fused rings completing the bicyclic and tricyclic groups may contain only carbon atoms and may be saturated, partially saturated, or unsaturated. The nitrogen and sulfur atoms may optionally be oxidized and the nitrogen atoms may optionally be quatemized. Heteroaryl groups which are bi cyclic or tricyclic must include at least one fully aromatic ring but the other fused ring or rings may be aromatic or non-aromatic. The heteroaryl group may be attached at any available nitrogen or carbon atom of any ring. The heteroaryl ring system may contain 0, 1, 2 or 3 substituents selected from C1-C4 alkyl, C2-C4 alkenyl, halogen, -OH, -CN, -NO2, -CF3, - O(Ci-C4alkyl), -OCF3, -CHO, -C(O)Ci-C4alkyl, -CO2H, -CO2(Ci-C4alkyl), -NHCO2(Ci-C4alkyl), -S(Ci-C4alkyl), -NH2, -NH(Ci-C4alkyl), -N(Ci-C4alkyl)2, -N(Ci-C4alkyl)3+, -SO2(Ci-C4alkyl), - C(=O)(Ci-C4alkylene)NH2, -C(=O)(Ci-C4alkylene)NH(alkyl), and/or C(=O)(Ci-C4 alkylene)N (Ci-C4alkyl)2. Exemplary heteroaryl groups include pyrrolyl, pyrazolyl, pyrazolinyl, imidazolyl, oxazolyl, isoxazolyl, thiazolyl, thia-diazolyl, isothiazolyl, furanyl, thienyl, oxadiazolyl, pyridyl, pyrazinyl, pyrimidinyl, pyridazinyl, triazinyl, indolyl, benzothiazolyl, benzodi oxolyl, benzoxazolyl, benzothienyl, quinolinyl, tetrahydroisoquinolinyl, isoquinolinyl, benzimidazolyl, benzopyranyl, indolizinyl, benzofuranyl, chromonyl, coumarinyl benzopyranyl, cinnolinyl, quinoxalinyl, indazolyl pyrrolopyridyl, furopyridyl dihydroisoindolyl, tetrahydroquinolinyl, and the like. Particular heteroaryl groups include, for example, 6-substituted quinazolin-4-yl and 6- trifluoromethyl-quinazolin-4-yl.
[0053] Conservative amino acid substitution'. A "conservative amino acid substitution" is one in which the amino acid residue is replaced with an amino acid residue having a similar side chain. Families of amino acid residues having similar side chains have been defined in the art, including basic side chains (e.g., lysine, arginine, or histidine), acidic side chains (e.g., aspartic acid or glutamic acid), uncharged polar side chains (e.g., glycine, asparagine, glutamine, serine, threonine, tyrosine, or cysteine), nonpolar side chains (e.g., alanine, valine, leucine, isoleucine, proline, phenylalanine, methionine, or tryptophan), beta-branched side chains (e.g., threonine, valine, isoleucine) and aromatic side chains (e.g., tyrosine, phenylalanine, tryptophan, or histidine). Thus, if an amino acid in a polypeptide is replaced with another amino acid from the same side chain family, the amino acid substitution is considered to be conservative. In another aspect, a string of amino acids can be conservatively replaced with a structurally similar string that differs in order and/or composition of side chain family members.
[0054] Non-conservative amino acid substitutions include those in which (i) a residue having an electropositive side chain (e.g, Arg, His or Lys) is substituted for, or by, an electronegative residue (e.g, Glu or Asp), (ii) a hydrophilic residue (e.g., Ser or Thr) is substituted for, or by, a hydrophobic residue (e.g., Ala, Leu, He, Phe or Vai), (iii) a cysteine or proline is substituted for, or by, any other residue, or (iv) a residue having a bulky hydrophobic or aromatic side chain (e.g., Vai, His, He or Trp) is substituted for, or by, one having a smaller side chain (e.g., Ala or Ser) or no side chain (e.g., Gly).
[0055] Other amino acid substitutions can also be used. For example, for the amino acid alanine, a substitution can be taken from any one of D-alanine, glycine, beta-alanine, L-cysteine and D-cysteine. For lysine, a replacement can be any one of D-lysine, arginine, D-arginine, homo-arginine, methionine, D-methionine, ornithine, or D- ornithine. Generally, substitutions in functionally important regions that can be expected to induce changes in the properties of isolated polypeptides are those in which (i) a polar residue, e.g., serine or threonine, is substituted for (or by) a hydrophobic residue, e.g., leucine, isoleucine, phenylalanine, or alanine; (ii) a cysteine residue is substituted for (or by) any other residue; (iii) a residue having an electropositive side chain, e.g., lysine, arginine or histidine, is substituted for (or by) a residue having an electronegative side chain, e.g., glutamic acid or aspartic acid; or (iv) a residue having a bulky side chain, e.g., phenylalanine, is substituted for (or by) one not having such a side chain, e.g., glycine. The likelihood that one of the foregoing non-conservative substitutions can alter functional properties of the protein is also correlated to the position of the substitution with respect to functionally important regions of the protein: some non-conservative substitutions can accordingly have little or no effect on biological properties.
[0056] Conserved. As used herein, the term "conserved" refers to amino acid residues of a polypeptide sequence, respectively, that are those that occur unaltered in the same position of two or more sequences being compared. Amino acids that are relatively conserved are those that are conserved amongst more related sequences than nucleotides or amino acids appearing elsewhere in the sequences. [0057] In some aspects, two or more sequences are said to be "completely conserved" or "identical" if they are 100% identical to one another. In some aspects, two or more sequences are said to be "highly conserved" if they are at least 70% identical, at least 80% identical, at least 90% identical, or at least 95% identical to one another. In some aspects, two or more sequences are said to be "highly conserved" if they are about 70% identical, about 80% identical, about 90% identical, about 95%, about 98%, or about 99% identical to one another. In some aspects, two or more sequences are said to be "conserved" if they are at least 30% identical, at least 40% identical, at least 50% identical, at least 60% identical, at least 70% identical, at least 80% identical, at least 90% identical, or at least 95% identical to one another. In some aspects, two or more sequences are said to be "conserved" if they are about 30% identical, about 40% identical, about 50% identical, about 60% identical, about 70% identical, about 80% identical, about 90% identical, about 95% identical, about 98% identical, or about 99% identical to one another. Conservation of sequence may apply to the entire length of a polynucleotide or polypeptide or may apply to a portion, region or feature thereof.
[0058] Deamidation'. The term "deamidation" refers to the tendency of amino acid residues within a polypeptide to spontaneously undergo a deamidation reaction, thereby changing the chemical structure of the amino acid, and potentially affecting the function of the polypeptide. Exemplary methods of measuring deamidation are disclosed in the Examples herein. The relative amount of deamidation may be determined with respect to a reference compound, e.g., to identify a polypeptide having decreased deamidation. Relative amounts of deamidation can also be determined with respect to a reference formulation, e.g., to identify a formulation in which a FGF-21 conjugate disclosed herein, e.g., a PEG-FGF-21 of SEQ ID NO: 2, 4, 6, 8, 10, 12, 14, or 16, has reduced deamidation.
[0059] Disease associated with fibrosis'. The term "disease associated with fibrosis" includes diseases, disorders, and conditions in which fibrosis has been observed to occur or in which fibrosis is known or thought to be associated with or contribute to disease etiology, progression, or symptoms, or in which fibrosis is known or thought to occur as the disease progresses.
[0060] The fibrosis may affect an organ or tissue such as the pancreas, lung, heart, kidney, liver, eyes, nervous system, bone marrow, lymph nodes, endomyocardium, or retroperitoneum. Exemplary diseases associated with fibrosis include, but are not limited to nonalcoholic steatohepatitis (NASH), liver fibrosis, pre-cirrhosis, cirrhosis, diffuse parenchymal lung disease, cystic fibrosis, lung or pulmonary fibrosis, progressive massive fibrosis, idiopathic pulmonary fibrosis, injection fibrosis, kidney or renal fibrosis, chronic kidney disease, diabetic kidney disease, focal segmental glomerulosclerosis, membranous nephropathy, IgA nephropathy, myelofibrosis, heart failure, metabolic heart failure, cardiac fibrosis, cataract fibrosis, cataract, ocular scarring, pancreatic fibrosis, skin fibrosis, intestinal fibrosis, intestinal strictures, endomyocardial fibrosis, atrial fibrosis, mediastinal fibrosis, Crohn's disease, retroperitoneal fibrosis, keloid, nephrogenic systemic fibrosis, scleroderma, systemic sclerosis, arthrofibrosis, Peyronie's syndrome, Dupuytren's contracture, diabetic neuropathy, adhesive capsulitis, alcoholic liver disease, hepatosteatosis, viral hepatitis, biliary disease, primary hemochromatosis, drug- related cirrhosis, cryptogenic cirrhosis, Wilson's disease, and, alpha 1 -antitrypsin deficiency, interstitial lung disease (ILD), human fibrotic lung disease, macular degeneration, retinal retinopathy, vitreal retinopathy, myocardial fibrosis, Grave's ophthalmopathy, drug induced ergotism, cardiovascular disease, atherosclerosis/restenosis, hypertrophic scars, primary or idiopathic myelofibrosis, and inflammatory bowel disease (including, but not limited to, collagenous colitis). In some aspects, the disease associated with fibrosis can include liver fibrosis, kidney or renal fibrosis, lung or pulmonary fibrosis and heart or cardiac fibrosis. In some aspects, the disease associated with fibrosis can be liver fibrosis. In some aspects, the disease associated with fibrosis can be NASH.
[0061] Effective Amount. As used herein, the term "effective amount" of a formulation comprising a FGF-21 polypeptide disclosed herein, e.g., a PEG-FGF-21 of SEQ ID NO: 2, 4, 6, 8, 10, 12, 14, or 16, or a CCR2/5 dual antagonist is that amount sufficient to effect beneficial or desired results, for example, clinical results, and, as such, an "effective amount" depends upon the context in which it is being applied. For example, in the context of administering a FGF-21 polypeptide disclosed herein, e.g., a PEG-FGF-21 of SEQ ID NO: 2, 4, 6 , 8, 10, 12, 14, or 16, and a CCR2/5 dual antagonist that treats NASH, an effective amount of the FGF-21 polypeptide and CCR2/5 dual antagonist is, for example, an amount sufficient to improve liver fat, liver injury or fibrosis (e.g., a reduction in liver fat, liver injury or fibrosis with respect to levels in untreated subjects or with respect to levels in the subject prior to the administration of the treatment; or with respect to the subject prior to the administration of the FGF-21 polypeptide but after the administration of the CCR2/5 dual antagonist, or vice versa).
[0062] In some aspects, an effective amount of a FGF-21 polypeptide disclosed herein, e.g., a PEG-FGF-21 of SEQ ID NO: 2, 4, 6, 8, 10, 12, 14, or 16, and CCR2/5 dual antagonist to treat NASH can change the level of one or more fibrosis biomarkers: for example, decrease serum Pro-C3; decrease ALT or AST; increase serum adiponectin; decrease plasma LDL; increase plasma HDL; decrease plasma triglyceride levels, or any combination thereof, with respect to levels in untreated subjects or with respect to levels in the subject prior to the administration of the treatment.
[0063] The term "effective amount" can be used interchangeably with "effective dose," "therapeutically effective amount," or "therapeutically effective dose."
[0064] FGF-21 activity. The term "FGF-21 activity" refers to at least one biological activity of a FGF-21 polypeptide or FGF-21 conjugate (e.g., a PEG-FGF-21 conjugate of the present disclosure). The term "biological activity" refers to the ability of a molecule, e.g., an FGF-21 polypeptide (e.g., a FGF-21 polypeptide or a FGF-21 conjugate disclosed herein, e.g., a PEG-FGF-21 of SEQ ID NO: 2, 4, 6, 8, 10, 12, 14, or 16) to affect any physical or biochemical properties of a biological system, pathway, molecule, or interaction relating to an organism, including but not limited to, viruses, bacteria, bacteriophage, transposon, prion, insects, fungi, plants, animals, and humans.
[0065] For example, biological activity includes any of the biological functions performed by wild-type FGF-21. Exemplary methods of determining whether a molecule possesses at least one biological activity of wild-type FGF-21 (such as the wild-type FGF-21 polypeptide of SEQ ID NO: 3 or 11) can include any functional assays known in the art, including the methods disclosed in Example 5 and 17 of U.S. Appl Publ. No. 2017/0189486, which is herein incorporated by reference in its entirety.
[0066] Identity. As used herein, the term "identity" refers to the overall monomer conservation between polymeric molecules, e.g., between polypeptide molecules. The term "identical" without any additional qualifiers, e.g., protein A is identical to protein B, implies the sequences are 100% identical (100% sequence identity). Describing two sequences as, e.g., "70% identical," is equivalent to describing them as having, e.g., "70% sequence identity."
[0067] Calculation of the percent identity of two polypeptide sequences, for example, can be performed by aligning the two sequences for optimal comparison purposes (e.g., gaps can be introduced in one or both of a first and a polypeptide sequences for optimal alignment and nonidentical sequences can be disregarded for comparison purposes). In certain aspects, the length of a sequence aligned for comparison purposes is at least 30%, at least 40%, at least 50%, at least 60%, at least 70%, at least 80%, at least 90%, at least 95%, or 100% of the length of the reference sequence. The amino acids at corresponding amino acid positions are then compared.
[0068] When a position in the first sequence is occupied by the same amino acid as the corresponding position in the second sequence, then the molecules are identical at that position. The percent identity between the two sequences is a function of the number of identical positions shared by the sequences, taking into account the number of gaps, and the length of each gap, which needs to be introduced for optimal alignment of the two sequences. The comparison of sequences and determination of percent identity between two sequences can be accomplished using a mathematical algorithm.
[0069] Suitable software programs are available from various sources, and for alignment of both protein and nucleotide sequences. One suitable program to determine percent sequence identity is bl2seq, part of the BLAST suite of program available from the U.S. government's National Center for Biotechnology Information BLAST web site (blast.ncbi.nlm.nih.gov). B12seq performs a comparison between two sequences using either the BLASTN or BLASTP algorithm. BLASTN is used to compare nucleic acid sequences, while BLASTP is used to compare amino acid sequences. Other suitable programs are, e.g., Needle, Stretcher, Water, or Matcher, part of the EMBOSS suite of bioinformatics programs and also available from the European Bioinformatics Institute (EBI) at www.ebi.ac.uk/Tools/psa. Sequence alignments can be conducted using methods known in the art such as MAFFT, Clustal (ClustalW, Clustal X or Clustal Omega), MUSCLE, etc.
[0070] Different regions within a single polypeptide target sequence that aligns with a polypeptide reference sequence can each have their own percent sequence identity. It is noted that the percent sequence identity value is rounded to the nearest tenth. For example, 80.11, 80.12, 80.13, and 80.14 are rounded down to 80.1, while 80.15, 80.16, 80.17, 80.18, and 80.19 are rounded up to 80.2. It also is noted that the length value will always be an integer.
[0071] In certain aspects, the percentage identity (%ID) or of a first amino acid sequence to a second amino acid sequence is calculated as %ID = 100 x (Y/Z), where Y is the number of amino acid residues scored as identical matches in the alignment of the first and second sequences (as aligned by visual inspection or a particular sequence alignment program) and Z is the total number of residues in the second sequence. If the length of a first sequence is longer than the second sequence, the percent identity of the first sequence to the second sequence will be higher than the percent identity of the second sequence to the first sequence. [0072] One skilled in the art will appreciate that the generation of a sequence alignment for the calculation of a percent sequence identity is not limited to binary sequence-sequence comparisons exclusively driven by primary sequence data. It will also be appreciated that sequence alignments can be generated by integrating sequence data with data from heterogeneous sources such as structural data (e.g., crystallographic protein structures), functional data (e.g., location of mutations), or phylogenetic data. A suitable program that integrates heterogeneous data to generate a multiple sequence alignment is T-Coffee, available at www.tcoffee.org, and alternatively available, e.g., from the EBI. It will also be appreciated that the final alignment used to calculate percent sequence identity can be curated either automatically or manually.
[0073] In vivo proteolytic degradation'. The term "in vivo proteolytic degradation" refers to the cleavage of a polypeptide when introduced into a living system (e.g., when injected into an organism) which may result from proteases occurring in said organism. Proteolysis can potentially affect the biological activity or half-life of a polypeptide. For example, wild-type FGF-21 can undergo cleavage at the C-terminus, resulting in a truncated, inactive polypeptide.
[0074] An exemplary method of measuring in vivo proteolysis of FGF-21 is the Meso Scale Discovery (MSD)-based electrochemiluminescent immunosorbent assay (ECLIA) described in Example 10 of U.S. Appl. Publ. No. US2017/0189486. The relative amount of in vivo or in vitro proteolysis may be determined with respect to a reference compound, e.g., to identify a polypeptide having decreased in vivo proteolysis. The relative amount of in vivo proteolysis can also be determined with respect to a reference formulation, i.e., to identify a formulation in which the FGF-21 polypeptide moiety of a FGF-21 conjugate disclosed herein, e.g., a PEG-FGF-21 of SEQ ID NO: 2, 4, 6, 8, 10, 12, 14, or 16, has decreased in vitro proteolysis.
[0075] Isolated. As used herein, the term "isolated" refers to a substance or entity (e.g., a polypeptide) that has been separated from at least some of the components with which it was associated (whether in nature or in an experimental setting). Isolated substances (e.g., proteins) can have varying levels of purity in reference to the substances from which they have been associated.
[0076] Linked'. The terms "linked," "fused," "conjugated" and "attached" are used interchangeably and refer to a half-life extending moiety, e.g., a PEG moiety (e.g., a ~30 kD PEG moiety) covalently fused or concatenated, including internally inserted, to an FGF-21 polypeptide, e.g., a variant FGF-21 polypeptide disclosed herein (e.g., a FGF-21 polypeptide of SEQ ID NO: 1, 5,9, or 13).
[0077] In the context of the present disclosure, a FGF-21 polypeptide, e.g., a variant FGF-21 polypeptide disclosed herein (e.g., a FGF-21 polypeptide of SEQ ID NO: 1 , 5, 9, or 13), and a PEG moiety can be "fused" as a result of chemical synthesis.
[0078] In the context of the present disclosure, the terms "conjugate" or "conjugation" denote that two molecular entities (e.g., a FGF-21 polypeptide, e.g., a variant FGF-21 polypeptide disclosed herein and a polymer moiety such as PEG) have been chemically linked. In some particular aspects, the FGF-21 polypeptide and the PEG moiety are linked via an oxime linkage as shown, for example, in formula I disclosed herein. In some aspects, the PEG moiety comprises a distal methoxy (-O-CEE) group.
[0079] Mutation'. In the content of the present disclosure, the terms "mutation" and "amino acid substitution" as defined above (sometimes referred simply as a "substitution") are considered interchangeable.
[0080] Non-natural amino acid. A "non-natural amino acid" refers to an amino acid that is not one of the 20 common amino acids or pyrrolysine or selenocysteine. Other terms that can be used synonymously with the term "non-natural amino acid" are "non-naturally encoded amino acid," "unnatural amino acid," "non-naturally occurring amino acid," and various hyphenated and non-hyphenated versions thereof.
[0081] The term "non-natural amino acid" also includes, but is not limited to, amino acids that occur by modification (e.g., post-translational modifications) of a naturally encoded amino acid (including but not limited to, the 20 common amino acids) but are not themselves naturally incorporated into a growing polypeptide chain by the translation complex. Examples of such non- natural amino acids include, but are not limited to, N-acetylglucosaminyl-L-serine, N- acetylglucosaminyl-L-threonine, and O-phosphotyrosine. In one specific aspect of the present disclosure, a non-natural amino acid is para-acetyl-phenylalanine. In one specific aspect of the present disclosure, a non-natural amino acid is para-acetyl-L-phenylalanine. In one specific aspect of the present disclosure, a non-natural amino acid is para-acetyl-D-phenylalanine.
[0082] Patient'. As used herein, "patient" refers to a subject who can seek or be in need of treatment, requires treatment, is receiving treatment, will receive treatment, or a subject who is under care by a trained professional for a particular disease or condition. [0083] Pharmaceutical composition'. The term "pharmaceutical composition" refers to a preparation which is in such form as to permit the biological activity of the active ingredient (e.g., a FGF-21 polypeptide disclosed herein, e.g., a PEG-FGF-21 of SEQ ID NO: 2, 4, 6, 8, 10, 12, 14, or 16) to be effective, and which contains no additional components (e.g., excipients and water) which are unacceptably toxic to a subject to which the composition would be administered. Such composition can be sterile.
[0084] Pharmaceutically acceptable'. The phrase "pharmaceutically acceptable" is employed herein to refer to those compounds, materials, compositions, and/or dosage forms that are, within the scope of sound medical judgment, suitable for use in contact with the tissues of human beings and animals without excessive toxicity, irritation, allergic response, or other problem or complication, commensurate with a reasonable benefit/risk ratio. In general, approval by a regulatory agency of the Federal or state governments (or listed in the U.S. Pharmacopeia or other generally recognized pharmacopeia) for use in animals, and more particularly in humans implies that those compounds, materials, compositions, and/or dosage forms are pharmaceutically acceptable. Compounds, materials, compositions, and/or dosage forms that are generally acceptable as safe for therapeutically purposes are "therapeutically acceptable."
[0085] Pharmaceutically acceptable excipients'. The phrase "pharmaceutically acceptable excipient," as used herein, refers any ingredient other than the active compounds described herein (for example, a vehicle capable of suspending or dissolving the active compound) and having the properties of being substantially nontoxic and non-inflammatory in a subject. Excipients can include, for example chelators, surfactants, buffering agents, osmotic regulators, antioxidants, emulsifiers, fillers (diluents), preservatives, sorbents, suspensing or dispersing agents, sweeteners, and waters of hydration. Excipients that are generally accepted as safe for therapeutic purposes are "therapeutically acceptable excipients."
[0086] Pharmaceutically acceptable salts'. The present disclosure also includes pharmaceutically acceptable salts of the compounds described herein. As used herein, "pharmaceutically acceptable salts" refers to derivatives of the disclosed compounds wherein the parent compound is modified by converting an existing acid or base moiety to its salt form (e.g., by reacting the free base group with a suitable organic acid). Examples of pharmaceutically acceptable salts include, but are not limited to, mineral or organic acid salts of basic residues such as amines; alkali or organic salts of acidic residues such as carboxylic acids; and the like. [0087] Polypeptide'. The terms "polypeptide," "peptide," and "protein" are used interchangeably herein to refer to polymers of amino acids of any length. The polymer can comprise modified amino acids. The terms also encompass an amino acid polymer that has been modified naturally or by intervention; for example, disulfide bond formation, glycosylation, lipidation, acetylation, phosphorylation, or any other manipulation or modification, such as conjugation with a labeling component. Also included within the definition are, for example, polypeptides containing one or more analogs of an amino acid (including, for example, unnatural amino acids such as homocysteine, ornithine, p-acetylphenylalanine, D-amino acids, and creatine), as well as other modifications known in the art. In a particular aspect, a polypeptide disclosed herein is a FGF-21 polypeptide.
[0088] The term, as used herein, refers to proteins, polypeptides, and peptides of any size, structure, or function. Polypeptides include gene products, naturally occurring polypeptides, synthetic polypeptides, homologs, orthologs, paralogs, fragments and other equivalents, variants, and analogs of the foregoing. A polypeptide can be a single polypeptide or can be a multi- molecular complex such as a dimer, trimer or tetramer. They can also comprise single chain or multichain polypeptides. Most commonly disulfide linkages are found in multichain polypeptides. The term polypeptide can also apply to amino acid polymers in which one or more amino acid residues are an artificial chemical analogue of a corresponding naturally occurring amino acid. In some aspects, a "peptide" can be less than or equal to 50 amino acids long, e.g., about 5, 10, 15, 20, 25, 30, 35, 40, 45, or 50 amino acids long.
[0089] Preventing'. As used herein, the term "preventing" refers to partially or completely delaying onset of an disease, disorder and/or condition; partially or completely delaying onset of one or more symptoms, features, or clinical manifestations of a particular disease, disorder, and/or condition; partially or completely delaying onset of one or more symptoms, features, or manifestations of a particular disease, disorder, and/or condition; partially or completely delaying progression from a particular disease, disorder and/or condition; and/or decreasing the risk of developing pathology associated with the disease, disorder, and/or condition. In some aspects, the pharmaceutical formulation disclosed in the present application can be used to prevent the onset, prevent the symptoms, or prevent complications of diseases or conditions associated with fibrosis such as NASH or diabetes.
[0090] Prophylactic. As used herein, "prophylactic" refers to a therapeutic or course of action used to prevent the onset of a disease or condition, or to prevent or delay a symptom of a disease or condition associated with fibrosis, e.g., NASH. In some aspect, the pharmaceutical formulations disclosed in the present application can be used prophylactically.
[0091] Prophylaxis'. As used herein, a "prophylaxis" refers to a measure taken to maintain health and prevent or delay the onset of a disease or condition associates with fibrosis, e.g., NASH or diabetes, or to prevent or delay symptoms associated with a disease or condition.
[0092] Recombinant'. A "recombinant" polypeptide or protein refers to a polypeptide or protein produced via recombinant DNA technology. Recombinantly produced polypeptides and proteins expressed in engineered host cells are considered isolated for the purpose of the disclosure, as are native or recombinant polypeptides which have been separated, fractionated, or partially or substantially purified by any suitable technique. The variant FGF-21s disclosed herein can be recombinantly produced using methods known in the art. The proteins and peptides disclosed herein can also be chemically synthesized.
[0093] In some aspects, a FGF-21 polypeptide useful for the disclosure (e.g., a FGF-21 polypeptide comprising a non-natural amino acid, e.g., an FGF-21 of SEQ ID NO: 1, 5, 9, or 13) is recombinantly produced by a bacterial host.
[0094] Similarity'. As used herein, the term "similarity" refers to the overall relatedness between polymeric molecules, e.g. between polypeptide molecules. Calculation of percent similarity of polymeric molecules to one another can be performed in the same manner as a calculation of percent identity, except that calculation of percent similarity takes into account conservative substitutions as is understood in the art.
[0095] Subject'. By "subject" or "individual" or "animal" or "mammal," is meant any subject, particularly a mammalian subject, for whom diagnosis, prognosis, or therapy is desired. Mammalian subjects include, but are not limited to, humans, domestic animals, farm animals, zoo animals, sport animals, pet animals such as dogs, cats, guinea pigs, rabbits, rats, mice, horses, cattle, cows; primates such as apes, monkeys, orangutans, and chimpanzees; canids such as dogs and wolves; felids such as cats, lions, and tigers; equids such as horses, donkeys, and zebras; bears, food animals such as cows, pigs, and sheep; ungulates such as deer and giraffes; rodents such as mice, rats, hamsters and guinea pigs; and so on. In certain aspects, the mammal is a human subject. In other aspects, a subject is a human patient. In a particular aspect, a subject is a human patient or cells thereof whether in vivo, in vitro or ex vivo, amenable to the methods described herein. [0096] Suffering from'. An individual who is "suffering from" a disease, disorder, and/or condition has been diagnosed with or displays one or more symptoms of the disease, disorder, and/or condition. In some aspects, the pharmaceutical formulations disclosed herein can be administered to a subject suffering from a disease or condition associated with fibrosis such as NASH or diabetes.
[0097] Susceptible to An individual who is "susceptible to" a disease, disorder, and/or condition has not been diagnosed with and/or may not exhibit symptoms of the disease, disorder, and/or condition but harbors a propensity to develop a disease or its symptoms. In some aspects, an individual who is susceptible to a disease, disorder, and/or condition (for example, cancer) can be characterized by one or more of the following: (1) a genetic mutation associated with development of the disease, disorder, and/or condition; (2) a genetic polymorphism associated with development of the disease, disorder, and/or condition; (3) increased and/or decreased expression and/or activity of a protein and/or nucleic acid associated with the disease, disorder, and/or condition; (4) habits and/or lifestyles associated with development of the disease, disorder, and/or condition; (5) a family history of the disease, disorder, and/or condition; and (6) exposure to and/or infection with a microbe associated with development of the disease, disorder, and/or condition.
[0098] In some aspects, an individual who is susceptible to a disease, disorder, and/or condition will develop the disease, disorder, and/or condition. In some aspects, an individual who is susceptible to a disease, disorder, and/or condition will not develop the disease, disorder, and/or condition. In some aspects, the pharmaceutical formulations disclosed herein can be administered to a subject susceptible to a disease or condition associated with fibrosis such as NASH or diabetes.
[0099] Therapeutic Agent. The terms "therapeutic agent" or "agent" refers to a molecular entity that, when administered to a subject, has a therapeutic, diagnostic, and/or prophylactic effect and/or elicits a desired biological and/or pharmacological effect. For example, in some aspects, a FGF-21 polypeptide disclosed herein (e.g., a PEG-FGF-21 of SEQ ID NO: 2, 4, 6, 8, 10, 12, 14, or 16) can be a therapeutic agent. In some aspects, an agent is another molecule which is co-administered as part of a combination therapy with at least one FGF-21 conjugate disclosed herein, e.g., a PEG-FGF-21 of SEQ ID NO: 2, 4, 6, 8, 10, 12, 14, or 16.
[0100] Therapeutically effective outcome'. As used herein, the term "therapeutically effective outcome" means an outcome that is sufficient in a subject suffering from or susceptible to an infection, disease, disorder, and/or condition, to treat, improve symptoms of, diagnose, prevent, and/or delay the onset of the infection, disease, disorder, and/or condition.
[0101] Treat, treatment, therapy. As used herein, the terms "treat" or "treatment" or "therapy" or grammatical variants thereof refer to partially or completely, preventing, alleviating, ameliorating, improving, relieving, delaying onset of, inhibiting progression of, reducing severity of, and/or reducing incidence of one or more symptoms or features of a disease or condition associated with fibrosis, e.g., NASH or diabetes. For example, "treating" a disease associated with fibrosis can refer to preventing symptoms, ameliorating symptoms, delaying the onset of the disease or condition or its symptoms, etc. Treatment can be administered to a subject who does not exhibit signs of a disease, disorder, and/or condition and/or to a subject who exhibits only early signs of a disease, disorder, and/or condition for the purpose of decreasing the risk of developing pathology associated with the disease, disorder, and/or condition.
[0102] ug, uM, uL: As used herein, the terms "ug," "uM," and "uL" are used interchangeably with "pg," "pM," and "pL" respectively.
[0103] Various aspects of the disclosure are described in further detail in the following subsections.
I. Methods of the Present Disclosure
[0104] The present disclosure also provides methods of treating or preventing a disease or condition associated with fibrosis and/or diabetes in a subject in need thereof comprising administering to the subject a FGF-21 polypeptide disclosed herein, e.g., a PEG-FGF-21 of SEQ ID NO: 2, 4, 6, 8, 10, 12, 14, or 16, in combination with a CCR2/5 dual antagonist. In some aspects, the subject is administered an FGF-21 polypeptide disclosed herein concurrently with a CCR2/5 dual antagonist. In some aspects, the subject is administered an FGF-21 polypeptide disclosed herein sequentially with a CCR2/5 dual antagonist. In some aspects, the subject is administered the FGF-21 polypeptide disclosed herein prior to the CCR2/5 dual antagonist. In some aspects, the subject is administered the FGF-21 polypeptide disclosed herein after the CCR2/5 dual antagonist.
[0105] In some aspects, the disease or condition is diabetes, e.g., type 2 diabetes. In some aspects, the disease or condition is nonalcoholic steatohepatitis (NASH). In some aspects, the disease or condition is nonalcoholic fatty acid disease (NAFAD).
[0106] In some aspects, the FGF-21 polypeptide and the CCR2/5 dual antagonist are administered subcutaneously, e.g., using a safety syringe or an auto-injector. [0107] In some aspects, administration of the FGF-21 polypeptide and the CCR2/5 dual antagonist to the subject decreases liver stiffness, decreases percentage body fat, decreases body weight, decreases liver-to-body weight ratio, decreases liver lipid content, decreases liver fibrosis area, decreases fasting blood glucose levels, decreases fasting triglyceride levels, decreases LDL cholesterol levels, decreases ApoB levels, decreases ApoC levels, increases HDL cholesterol, or any combination thereof.
[0108] In some aspects, the administration of the FGF-21 polypeptide disclosed herein, e.g., a PEG-FGF-21 of SEQ ID NO: 2, 4, 6, 8, 10, 12, 14, or 16, and the CCR2/5 dual antagonist, e.g., Compound A or Compound C, according to the methods of treatment disclosed herein to the subject results in (i) reduction in levels of liver fat; (ii) reduction in levels of liver injury; (iii) reduction in levels of fibrosis; (iv) decrease in levels of fibrosis biomarker serum Pro-C3 (N- terminal type III collagen propeptide); (v) decrease in levels of alanine aminotransferase (ALT); (vi) decrease in levels of aspartate aminotransferase (AST); (vii) increase in levels of serum adiponectin; (viii) decrease in levels of plasma LDL; (ix) increase in levels of plasma HDL; (x) decrease in levels of plasma triglyceride; (xi) reduction in level of liver stiffness; or (xii) any combination thereof, compared to the levels in untreated subjects or to the subject prior to the administration of the FGF-21 polypeptide and/or the CCR2/5 dual antagonist.
[0109] In some aspects, the administration of the FGF-21 polypeptide, e.g., a PEG-FGF- 21 of SEQ ID NO: 2, 4, 6, 8, 10, 12, 14, or 16, and the CCR2/5 dual antagonist, e.g., Compound A or Compound C, according to the methods of treatment disclosed herein to the subject results in (i) reduction in levels of liver fat; (ii) reduction in levels of liver injury; (iii) reduction in levels of fibrosis; (iv) decrease in levels of fibrosis biomarker serum Pro-C3 (N-terminal type III collagen propeptide); (v) decrease in levels of alanine aminotransferase (ALT); (vi) decrease in levels of aspartate aminotransferase (AST), (vii) increase in levels of serum adiponectin; (viii) decrease in levels of plasma LDL; (ix) increase in levels of plasma HDL; (x) decrease in levels of plasma triglyceride; (xi) reduction in level of liver stiffness; or (xii) any combination thereof, compared to the levels in subjects treated only with the FGF-21 polypeptide or the CCR2/5 dual antagonist, but not both.
[0110] In some aspects, the administration of the FGF-21 polypeptide, e.g., a PEG-FGF- 21 of SEQ ID NO: 2, 4, 6, 8, 10, 12, 14, or 16, in combination with the CCR2/5 dual antagonist, e.g., Compound A or Compound C, to the subject results in (a) reduction in numbers of hepatic monocytes; (b) reduction in numbers of F4/80-positive hepatic monocyte-derived macrophages (MoMF) or (c) both (a) and (b) compared to the levels in untreated subjects or to the subject prior to the administration of the FGF-21 polypeptide and/or the CCR2/5 dual antagonist.
[OHl] In some aspects, the administration of the FGF-21 polypeptide, e.g., a PEG-FGF- 21 of SEQ ID NO: 2, 4, 6, 8, 10, 12, 14, or 16, in combination with the CCR2/5 dual antagonist, e.g., Compound A or Compound C, to the subject results in (a) reduction in numbers of hepatic monocytes; (b) reduction in numbers of F4/80-positive hepatic monocyte-derived macrophages (MoMF) or (c) both (a) and (b) compared to the levels in subjects treated only with the FGF-21 polypeptide or the CCR2/5 dual antagonist, but not both.
[0112] In some aspects, the disease associated with fibrosis may affect an organ or tissue such as the pancreas, lung, heart, kidney, liver, eyes, nervous system, bone marrow, lymph nodes, endomyocardium, and/or retroperitoneum. In some aspects, the disease associated with fibrosis may be liver fibrosis or pre-cirrhosis. In some aspects, the disease associated with fibrosis may be selected from: nonalcoholic steatohepatitis (NASH), cirrhosis, diffuse parenchymal lung disease, cystic fibrosis, pulmonary fibrosis, progressive massive fibrosis, idiopathic pulmonary fibrosis, injection fibrosis, renal fibrosis, chronic kidney disease, diabetic kidney disease, focal segmental glomerulosclerosis, membranous nephropathy, IgA nephropathy, myelofibrosis, heart failure, acute heart failure, chronic heart failure, metabolic heart failure, cardiac fibrosis, cataract fibrosis, cataract, ocular scarring, pancreatic fibrosis, skin fibrosis, intestinal fibrosis, intestinal strictures, endomyocardial fibrosis, atrial fibrosis, mediastinal fibrosis, Crohn's disease, retroperitoneal fibrosis, keloid, nephrogenic systemic fibrosis, scleroderma, systemic sclerosis, arthrofibrosis, Peyronie's syndrome, Dupuytren's contracture, diabetic neuropathy, adhesive capsulitis, alcoholic liver disease, hepatosteatosis, viral hepatitis, biliary disease, primary hemochromatosis, drug-related cirrhosis, cryptogenic cirrhosis, Wilson's disease, and, alpha 1 -antitrypsin deficiency, interstitial lung disease (ILD), human fibrotic lung disease, liver fibrosis, macular degeneration, retinal retinopathy, vitreal retinopathy, myocardial fibrosis, Grave's ophthalmopathy, drug induced ergotism, cardiovascular disease, atherosclerosis/restenosis, hypertrophic scars, primary or idiopathic myelofibrosis, and inflammatory bowel disease (including, but not limited to, collagenous colitis). In some aspects, the disease associated with fibrosis results from one or more of pulmonary disease, lung cancer, drug therapy, chemotherapy, or radiation therapy. In some aspects, the disease associated with fibrosis results from one or more of aging, heart attack, stroke, myocardial damage, or left ventricular dysfunction. In some aspects, the disease associated with fibrosis may be selected from renal fibrosis, glomerular nephritis, chronic kidney disease, chronic kidney failure, and nephritis associated with systemic lupus, cancer, physical obstructions, toxins, metabolic disease, immunological diseases, or diabetic nephropathy. In some aspects, the disease associated with fibrosis results from one or more of trauma, spinal injury, infection, surgery, ischemic injury, heart attack, burns, environmental pollutant exposure, pneumonia, tuberculosis, or acute respiratory distress syndrome. In some aspects, the disease associated with fibrosis may be selected from pulmonary fibrosis, interstitial lung disease, human fibrotic lung disease, idiopathic pulmonary fibrosis, liver fibrosis, cardiac fibrosis, myocardial fibrosis, macular degeneration, retinal retinopathy, vitreal retinopathy, Grave's ophthalmopathy, drug induced ergotism, cardiovascular disease, atherosclerosis/restenosis, keloids and hypertrophic scars, primary or idiopathic myelofibrosis, inflammatory bowel disease, collagenous colitis, ocular scarring and cataract fibrosis. In some aspects, the disease associated with fibrosis may be selected from NASH, liver fibrosis, and cirrhosis. In some aspects, the disease associated with fibrosis may be NASH. In some aspects, the disease associated with fibrosis may be selected from diabetic kidney disease, chronic kidney disease, and renal fibrosis. In some aspects, the disease associated with fibrosis may be selected from metabolic heart failure and cardiac fibrosis. In some aspects, the disease associated with fibrosis may be lung fibrosis.
[0113] In some aspects, the present disclosure provides a method of decreasing the hepatic fat fraction in a subject in need thereof, comprising administering to the subject a FGF-21 polypeptide disclosed herein, e.g., a PEG-FGF-21 of SEQ ID NO: 2, 4, 6, 8, 10, 12, 14, or 16, and the CCR2/5 dual antagonist, e.g., Compound A or Compound C, wherein optionally the subject is at risk of developing or has been diagnosed with NASH.
[0114] In some aspects, the present disclosure provides a method of decreasing liver stiffness, decreasing percentage body fat, decreasing body weight, decreasing liver-to-body weight ratio, decreasing liver lipid content, decreasing liver fibrosis area, decreasing fasting blood glucose levels, fasting triglyceride, decreasing LDL cholesterol, decreasing ApoB, decreasing ApoC, and/or increasing HDL cholesterol in a subject in need thereof, comprising administering to the subject an effective amount of a pharmaceutical formulation comprising a FGF-21 polypeptide disclosed herein, e.g., a PEG-FGF-21 of SEQ ID NO: 2, 4, 6, 8, 10, 12, 14 or 16, and the CCR2/5 dual antagonist, e.g., Compound A or Compound C, wherein optionally the subject is at risk of developing or has been diagnosed with NASH. The FGF-21 polypeptide disclosed herein, e.g., a PEG-FGF-21 of SEQ ID NO: 2, 4, 6, 8, 10, 12, 14, or 16, and the CCR2/5 dual antagonist, e.g., Compound A or Compound C, may here and in all other instances described herein also be administered as separate pharmaceutical formulations.
[0115] In some aspects, the present disclosure provides a method of increasing adiponectin levels in a subject in need thereof, comprising administering to the subject an effective amount of a pharmaceutical formulation comprising a FGF-21 polypeptide disclosed herein, e.g., a PEG-FGF-21 of SEQ ID NO: 2, 4, 6, 8, 10, 12, 14, or 16, and the CCR2/5 dual antagonist, e.g., Compound A or Compound C, wherein optionally said subject is at risk of developing or has been diagnosed with NASH.
[0116] In some aspects, the present disclosure provides a method of treating one or more symptoms associated with NASH in a subject in need thereof, comprising administering to the subject an effective amount of a pharmaceutical formulation comprising a FGF-21 polypeptide disclosed herein, e.g., a PEG-FGF-21 of SEQ ID NO: 2, 4, 6, 8, 10, 12, 14, or 16, and the CCR2/5 dual antagonist, e.g., Compound A or Compound C.
[0117] Provided herein are also methods of treating or preventing NASH in a subject in need thereof, comprising administering to the subject a therapeutically effective amount of a pharmaceutical formulation disclosed herein comprising a variant FGF-21 polypeptide comprising SEQ ID NO: 1, 5, 9 or 13, wherein the non-natural p-acetyl-phenylalanine residue thereof is linked via an oxime linkage to a PEG moiety with a molecular weight of about 28kDa to about 32 kDa. In some aspects, the non-natural p-acetyl-phenylalanine substitutes glutamine 109 of wild type FGF-21 (SEQ ID NO: 3 or SEQ ID NO: 11). In some aspects, the non-natural p- acetyl-phenylalanine substitutes glutamine 109 of a FGF-21 variant of SEQ ID NO:7, or SEQ ID NO: 15. In some aspects, the PEG moiety has a molecular weight of about 30 kDa. In some aspects, the PEG moiety has between about 600 and about 800 ethylene glycol units. In some aspects, the PEG moiety is PEGesi.
[0118] In some specific aspects, the present disclosure provides methods of treating or preventing NASH in a subject in need thereof, comprising administering to the subject a FGF-21 conjugate of SEQ ID NO: 2, 4, 6, 8, 10, 12, 14, or 16, in combination with a CCR2/5 dual antagonist, e.g., Compound A or Compound C.
[0119] In some aspects, the subject may exhibit NASH CRN fibrosis stage 1-3, which optionally is determined by a liver biopsy. In some aspects, prior to treatment the subject may exhibit a fatty liver index of at least about 60. In some aspects, prior to treatment the subject may exhibit a hepatic fat fraction percentage of at least 10%, which optionally is determined by magnetic resonance imaging.
[0120] In some aspects, the disclosure provides a method of treating type 1 diabetes or type 2 diabetes in a subject in need thereof, comprising administering to the subject a FGF-21 polypeptide disclosed herein, e.g., a PEG-FGF-21 of SEQ ID NO: 2, 4, 6, 8, 10, 12, 14, or 16, in combination with a CCR2/5 dual antagonist, e.g., Compound A or Compound C.
[0121] In some aspects, the disclosure provides a method of treating obesity in a subject in need thereof, comprising administering to the subject a FGF-21 polypeptide disclosed herein, e.g., a PEG-FGF-21 of SEQ ID NO: 2, 4, 6, 8, 10, 12, 14, or 16, in combination with a CCR2/5 dual antagonist, e.g., Compound A or Compound C.
[0122] In some aspects the disclosure provides a method of regulating at least one of glucose and lipid homeostasis, glucose uptake, GLUT 1 expression, and/or serum concentrations of glucose, triglycerides, insulin or glucagon in a subject in need thereof, comprising administering to the subject a FGF-21 polypeptide disclosed herein, e.g., a PEG-FGF-21 of SEQ ID NO: 2, 4, 6, 8, 10, 12, 14, or 16, in combination with a CCR2/5 dual antagonist, e.g., Compound A or Compound C.
[0123] In some aspects, the disclosure provides a method of increasing insulin sensitivity, increasing levels of adiponectin, reducing levels of blood glucose, reducing levels of glucagon, reducing levels of triglyceride, reducing levels of fructosamine, reducing levels of low density cholesterol, or reducing levels of C-reactive protein in a subject in need thereof, comprising administering to the subject a FGF-21 polypeptide disclosed herein, e.g., a PEG-FGF-21 of SEQ ID NO: 2, 4, 6, 8, 10, 12, 14, or 16, in combination with a CCR2/5 dual antagonist, e.g., Compound A or Compound C.
[0124] In some aspects the disclosure provides a method of treating a condition or disorder selected from obesity, diabetes, pancreatitis, insulin resistance, hyperinsulinemia, glucose intolerance, hyperglycemia, metabolic syndrome, impaired glucose tolerance, inadequate glucose clearance, high blood glucose, and Prader-Willi syndrome in a subject in need thereof, comprising administering to the subject a FGF-21 polypeptide disclosed herein, e.g., a PEG- FGF-21 of SEQ ID NO: 2, 4, 6, 8, 10, 12, 14, or 16, in combination with a CCR2/5 dual antagonist, e.g., Compound A or Compound C.
[0125] In some aspects the disclosure provides a method of treating an insulin related condition or disorder selected from Type A Insulin Resistance, Type C Insulin Resistance (AKA HAIR- AN Syndrome), Rabson-Mendenhall Syndrome, Donohue's Syndrome or Leprechaunism, hyperandrogenism, hirsuitism, or acanthosis nigricans in a subject in need thereof, comprising administering to the subject a FGF-21 polypeptide disclosed herein, e.g., a PEG-FGF-21 of SEQ ID NO: 2, 4, 6, 8, 10, 12, 14, or 16, in combination with a CCR2/5 dual antagonist, e.g., Compound A or Compound C.
II. FGF-21 Polypeptide
[0126] The present disclosure is directed to a combination therapy of a fibroblast growth factor 21 (FGF-21) polypeptide and a CCR2/5 dual antagonist. An FGF-21 polypeptide useful for the present methods can be any variants or fragments of a wild-type FGF-21 polypeptide. In some aspects, the FGF-21 polypeptide is conjugated to a heterologous moiety (e.g., PEG moiety ("FGF-21 conjugate")). In some aspects, the FGF-21 polypeptide is linked to a heterologous polypeptide. In some aspects, the FGF-21 polypeptide is linked to a heterologous polypeptide and conjugated to a heterologous moiety.
[0127] The term "FGF-21 conjugate" refers to a conjugate comprising a FGF-21 polypeptide moiety linked to a PEG moiety. In some aspects, the PEG moiety comprises a distal methoxy (-O-CEE) group. The term "FGF-21 polypeptide" refers generically to both the wildtype FGF-21 polypeptide (e.g., a polypeptide of SEQ ID NO:3 or 11), to a "variant FGF-21 polypeptide" (e.g., a polypeptide of SEQ ID NO:7 or 15).
[0128] As used herein, the terms "PEG-FGF-21 conjugate" or "PEG-FGF-21" refer to PEGylated FGF-21 forms comprising a PEG moiety linked to a variant FGF-21 polypeptide moiety via an oxime linkage. Exemplary PEG-FGF-21 conjugates of the present disclosure are set forth in SEQ ID NO: 2, 4, 6 and 8 in TABLE 1, below. PEG-FGF-21 conjugates of the present disclosure comprising forms of the polypeptides having the sequences set forth in SEQ ID Nos: 2, 4, 6, and 8, but without an N-terminal methionine correspond to SEQ ID NOS: 10, 12, 14, or 16.
[0129] In some aspects, the term "FGF-21 variant" refers to an FGF-21 polypeptide comprising a Glyl71Glu point mutation and a 120-PGNKSPHRDPAPRG-133 (SEQ ID NO: 17) > GSGRG (SEQ ID NO: 18) substitution with the respect to the sequence of wild type FGF-21. In some aspects, an FGF-21 variant disclosed herein corresponds to FGF-21 sequence set forth in SEQ ID NO: 5 or SEQ ID NO: 7, or their corresponding forms without an N-terminal methionine, i.e., SEQ ID NO: 13 and SEQ ID NO: 15. In some aspects, an FGF-21 variant disclosed herein corresponds to a conjugate set forth in SEQ ID NO: 6 or SEQ ID NO: 8, or their corresponding forms without an N-terminal methionine, i.e., SEQ ID NO: 14 and SEQ ID NO 16:.
TABLE 1: Exemplary FGF-21 sequences (pAF = para-acetyl-L-phenylalanine)
Figure imgf000033_0001
Figure imgf000034_0001
Figure imgf000035_0001
[0130] In the compositions, formulations, methods, or kits disclosed herein, the compound of SEQ ID NO: 1 or its form without N-terminal methionine of SEQ ID NO: 9 can be replaced with the compound of SEQ ID NO:5 or its form without N-terminal methionine of SEQ ID NO: 13; the compound of SEQ ID NO:2 or its form without N-terminal methionine of SEQ ID NO: 10 can be replaced with the compound of SEQ ID NO: 6 or its form without N-terminal methionine of SEQ ID NO: 14; the compound of SEQ ID NO: 3 or its form without N-terminal methionine of SEQ ID NO: 11 can be replaced with the compound of SEQ ID NO:7 or its form without N-terminal methionine of SEQ ID NO: 15; and the compound of SEQ ID NON or its form without N-terminal methionine of SEQ ID NO: 12 can be replaced with the compound of SEQ ID NO:8 or its form without N-terminal methionine of SEQ ID NO: 16.
[0131] Numerous FGF-21s known in the art can be used in the PEGylated FGF-21 conjugate formulations disclosed herein, for example those disclosed in U.S. Patent Nos. 8,012,931 and 9,434,788, both of which are herein incorporated by reference in their entireties. Fibroblast growth factor 21 (FGF-21) has been described in the literature (Nishimura et al., Biochimica et Biophysica Acta, 1492:203-206 (2000); WO 01/36640; and WO 01/18172, and U.S. Patent Publication No. 20040259780, each of which is incorporated by reference herein in its entirety). Unlike other FGFs, FGF-21 has been reported not to have proliferative and tumorigenic effects (Ornitz and Itoh, Genome Biology 2001, 2(3):reviews3005.1-3005.12).
[0132] Multiple polymorphisms of FGF-21 have been identified. Leucine or Proline have been described at the same position in U.S. Patent Publication No. 20010012628 and U.S. Pat. No. 6,716,626. N-terminal leader or signal sequences that differ by 1 amino acid (leucine) are shown in U.S. Pat. No. 6,716,626 and U.S. Patent Publication No. 20040259780. FGF-21 variants or mutants include, but are not limited to, those disclosed in U.S. Pat. No. 6,716,626; U.S. Patent Publication Nos. 2005/0176631, 2005/0037457, 2004/0185494, 2004/0259780, 2002/0164713, and 2001/0012628; WO 01/36640; WO 03/011213; WO 03/059270; WO 04/110472; WO 05/061712; WO 05/072769; WO 05/091944; WO 05/113606; WO 06/028595; WO 06/028714; WO 06/050247; WO 06/065582; WO 06/078463; W001/018172; WO09/149171; W010/042747; W012/066075; WO11/154349; WO13/052311; WO13/188181, which are incorporated by reference in their entirety herein.
[0133] As used herein, the terms "variant FGF-21" and "variant FGF-21 polypeptide" refer to a FGF-21 polypeptide that differs from a reference wild-type FGF-21 polypeptide (e.g., a wild-type human FGF-21 of SEQ ID NO: 3 or its form without N-terminal methionine of SEQ ID NO: 11) in at least one amino acid position and typically has at least one biological activity of a fibroblast growth factor 21, as well as FGF-21 analogs, FGF-21 isoforms, FGF-21 mimetics, FGF-21 fragments, hybrid FGF-21 proteins, fusion proteins, oligomers and multimers, homologues, glycosylation pattern variants, splice variants, and muteins thereof, regardless of the biological activity of the same. The term encompasses both naturally occurring and non-naturally occurring variants, e.g., a variant resulting from the substitution of an amino acid in a wild-type FGF-21 polypeptide, e.g., a polypeptide of SEQ ID NO:3 or its form without N-terminal methionine of SEQ ID NO: 11, with a non-natural amino acid (e.g., para-acetyl-L- phenylalanine). The substitution can be, for example, the result of recombinant expression or chemical or enzymatic synthesis. In some aspects, a variant FGF-21 polypeptide of the present disclosure comprises, consists, or consists essentially of a polypeptide of SEQ ID NO: 1 or its form without N-terminal methionine of SEQ ID NO: 9, or SEQ ID NO: 5 or its form without N- terminal methionine of SEQ ID NO: 13.
[0134] Variant FGF-21 polypeptides of the present disclosure encompass a FGF-21 polypeptide comprising one or more amino acid substitutions, additions or deletions. For example, a variant FGF-21 polypeptide of the present disclosure comprises one or more amino acid substitutions (for example with naturally occurring or non-naturally occurring amino acids), deletions (terminal or internal deletions), or modification such as the attachment of a heterologous moiety (C-terminal, N-terminal, or internal, either by intercalation/insertion in the amino acid sequence or by side-chain attachment). The term variant FGF-21 polypeptide also encompasses polymorphisms (e.g., naturally occurring FGF-21 sequence variants), e.g., the P- form or L-form of FGF-21.
[0135] Substitutions in a wide variety of amino acid positions in naturally-occurring FGF-21 polypeptide have been described. Substitutions including but not limited to, those that modulate solubility or stability, increase agonist activity, increase in vivo or in vitro half-life, increase protease resistance, convert the polypeptide into an antagonist, reduce immunogenicity or toxicity, facilitate purification or manufacturability, or any combination thereof, and are also encompassed by the term variant FGF-21 polypeptide.
[0136] The term variant FGF-21 polypeptide also includes biologically-active fragments, biologically active variants and stereoisomers of the naturally-occurring FGF-21 polypeptide as well as agonist, mimetic, and antagonist variants of the naturally-occurring FGF-21 and polypeptide fusions thereof. Fusions comprising additional amino acids at the amino terminus, carboxyl terminus, or both, are encompassed by the term variant FGF-21 polypeptide.
[0137] Exemplary fusions include, but are not limited to, e.g., methionyl FGF-21 in which a methionine is linked to the N-terminus of a FGF-21 polypeptide resulting, for example, from the recombinant expression of the mature form of FGF-21 lacking the leader or signal peptide or portion thereof (a methionine is linked to the N-terminus of FGF-21 resulting from the recombinant expression, e.g. in E. coh). fusions for the purpose of purification (including, but not limited to, to poly-histidine or affinity epitopes).
[0138] The term variant FGF-21 polypeptide also includes glycosylated FGF-21 polypeptides, such as but not limited to, polypeptides glycosylated at any amino acid position, N- linked or O-linked glycosylated forms of the polypeptide. Variants containing single nucleotide changes are also considered as biologically active variants of FGF-21. In addition, splice variants are also included.
[0139] The term variant FGF-21 polypeptide also includes FGF-21 heterodimers, homodimers, heteromultimers, or homomultimers of any one or more unmodified or modified F GF -2 Is or any other polypeptide, protein, carbohydrate, polymer, small molecule, linker, ligand, or other biologically active molecule of any type, linked by chemical means or expressed as a fusion protein, as well as polypeptide analogues containing, for example, specific deletions or other modifications yet maintain biological activity.
[0140] In some aspects, the variant FGF-21 polypeptide comprises an addition, substitution or deletion that increases the affinity of the FGF-21 polypeptide for its receptor. Similarly, the term variant FGF-21 polypeptide comprises chemically or enzymatically cleavage sequences, protease-cleaved sequences, reactive groups, antibody-binding domains (including but not limited to, FLAG or poly-His) or other affinity based sequences (including, but not limited to, FLAG, poly-His, GST, etc.) or linked molecules (including, but not limited to, biotin) that improve detection (including, but not limited to, GFP), purification, transport through tissues or cell membranes, prodrug release or activation, FGF-21 polypeptide size reduction, or other traits of the polypeptide.
[0141] In some aspects, the variant FGF-21 polypeptide comprises a polypeptide having at least about 70%, at least about 75%, at least about 80%, at least about 85%, at least about 90%, at least about 95%, at least about 96%, at least about 97%, at least about 98%, or at least about 99% amino acid sequence identity to the amino acid sequence of SEQ ID NO: 1, SEQ ID NO: 3, SEQ ID NO: 5 or SEQ ID NO: 7, or their respective forms without N-terminal methionine of SEQ ID NOS: 13 or 15, wherein the polypeptide has a FGF-21 activity.
[0142] In some aspects, the variant FGF-21 polypeptide consists or consists essentially of a polypeptide having at least about 70%, at least about 75%, at least about 80%, at least about 85%, at least about 90%, at least about 95%, at least about 96%, at least about 97%, at least about 98%, or at least about 99% amino acid sequence identity to the amino acid sequence of SEQ ID NO: 1, SEQ ID NO: 3, SEQ ID NO: 5 or SEQ ID NO: 7, or their respective forms without N- terminal methionine of SEQ ID NOS: 9, 11, 13, or 15, wherein the polypeptide has a FGF-21 activity.
[0143] Variant FGF-21 polypeptides encompassed by this definition include, e.g., variant FGF-21 polypeptides comprising at least one non-natural amino acid. In some aspects, the non- natural amino acid is an amino acid which upon reaction with an aminooxy derivative can form a stable oxime linkage, e.g., p-acetylphenylalanine, m-acetylphenylalanine, p-(3-oxobutenoyl)-L- phenylalanine, p-(2-amino-3 -hydroxy ethyl)phenylalanine, and the like. In some aspects, the nonnatural amino acid is p-acetylphenylalanine. In some aspects, the non-natural amino acid is p- acetyl -L-pheny 1 al anine .
[0144] In some aspects, one or more non-natural amino acids are incorporated in one or more of the following positions of wild type FGF-21 : before position 1 (i.e. at the N-terminus), 1, 2, 3, 4, 5, 6, 7, 8, 9, 10, 11, 12, 13, 14, 15, 16, 17, 18, 19, 20, 21, 22, 23, 24, 25, 26, 27, 28, 29,
30, 31, 32, 33, 34, 35, 36, 37, 38, 39, 40, 41, 42, 43, 44, 45, 46, 47, 48, 49, 50, 51, 52, 53, 54, 55,
56, 57, 58, 59, 60, 61, 62, 63, 64, 65, 66, 67, 68, 69, 70, 71, 72, 73, 74, 75, 76, 77, 78, 79, 80, 81,
82, 83, 84, 85, 86, 87, 88, 89, 90, 91, 92, 93, 94, 95, 96, 97, 98, 99, 100, 101, 102, 103, 104, 105,
106, 107, 108, 109, 110, 111, 112, 113, 114, 115, 116, 117, 118, 119, 120, 121, 122, 123, 124,
125, 126, 127, 128, 129, 130, 131, 132, 133, 134, 135, 136, 137, 138, 139, 140, 141, 142, 143,
144, 145, 146, 147, 148, 149, 150, 151, 152, 153, 154, 155, 156, 157, 158, 159, 160, 161, 162,
163, 164, 165, 166, 167, 168, 169, 170, 171, 172, 173, 174, 175, 176, 177, 178, 179, 180, 181,
182 (i.e., at the carboxyl terminus of the protein) (amino acid positions corresponding to SEQ ID NO: 3).
[0145] In some specific aspects, a variant FGF-21 of the present disclosure is a modified FGF-21 polypeptide SEQ ID NO: 1 or SEQ ID NO: 9, i.e., a derivative of the wild type FGF-21 of SEQ ID NO: 3, or its form without N-terminal methionine of SEQ ID NO: 11, in which glutamine 109 of wild type FGF-21 has been substituted with a non-natural para-acetyl-L- phenylalanine amino acid. In some specific aspects, a variant FGF-21 of the present disclosure is a modified FGF-21 polypeptide SEQ ID NO: 5 or SEQ ID NO: 13 , i.e., a derivative of the FGF- 21 variant of SEQ ID NO: 7, or its form without N-terminal methionine of SEQ ID NO: 15, in which glutamine 109 of the FGF-21 variant has been substituted with a non-natural para-acetyl- L-phenylalanine amino acid.
[0146] In some aspects, the FGF-21 polypeptide comprises an FGF-21 portion and a non- FGF-21 portion, e.g., a half-life extending moiety. Exemplary non-FGF-21 portions include a polypeptide moiety or a non-polypeptide moiety, e.g., Fc, XTEN, albumin, a PAS sequence, transferrin, CTP (28 amino acid C-terminal peptide (CTP) of human chorionic gonadotropin (hCG) with its 4 O-glycans), polyethylene glycol (PEG), hydroxyethyl starch (HES), albumin binding polypeptide, and albumin-binding small molecules. Exemplary FGF-21 polypeptides of the disclosure include, e.g., FGF-21-Fc polypeptides, FGF-21-XTEN polypeptides, FGF-21- albumin polypeptides, FGF-21-PAS polypeptides, FGF-21 -transferrin polypeptides, FGF-21- CTP polypeptides, FGF-21-PEG polypeptides, FGF-21-HES polypeptides, FGF-21 -albumin binding polypeptide polypeptides, and FGF-21 -albumin-binding small molecule polypeptides. As such, an FGF-21 polypeptide can be a fusion protein.
[0147] As discussed above, exemplary FGF-21 polypeptides include FGF-21 fused to one or more XTEN polypeptides. Schellenburger et al., Nat. Biotech. 27: 1186-90 (2009), which is incorporated herein by reference in its entirety. The XTEN polypeptide can be fused to either the N-terminal end of FGF-21 or to the C-terminal end of FGF-21. Exemplary XTEN polypeptides include, e.g., those disclosed in WO 2009/023270, WO 2010/091122, WO 2007/103515, US 2010/0189682, and US 2009/0092582, each of which is incorporated herein by reference in its entirety.
[0148] As discussed above, exemplary FGF-21 polypeptides also include FGF-21 fused to one or more albumin polypeptides, albumin binding polypeptides, or albumin-binding small molecules. In one embodiment, the albumin is human albumin. The albumin or albumin binding protein can be fused to either the N-terminal end of FGF-21 or to the C-terminal end of FGF-21 or inserted between two amino acids in FGF-21. Examples of albumin, e.g., fragments thereof, that may be used in the present disclosure are known, e.g., U.S. Patent No. 7,592,010; U.S. Patent No. 6,686,179; and Schulte, Thrombosis Res. 124 Suppl. 2:S6-S8 (2009), each of which is incorporated herein by reference in its entirety.
[0149] The albumin binding polypeptides can compromise, without limitation, bacterial albumin-binding domains, albumin-binding peptides, or albumin-binding antibody fragments that can bind to albumin. Domain 3 from streptococcal protein G, as disclosed by Kraulis et al., FEBS Lett. 378:190-194 (1996) and Linhult et al., Protein Sci. 11 :206-213 (2002) is an example of a bacterial albumin-binding domain. Examples of albumin-binding peptides include a series of peptides having the core sequence DICLPRWGCLW (SEQ ID NO: 19). See, e,g., Dennis et al., J. Biol. Chem. 2002, 277: 35035-35043 (2002). Examples of albumin-binding antibody fragments are disclosed in Muller and Kontermann, Curr. Opin. Mol. Ther. 9:319-326 (2007); Rooverset et al., Cancer Immunol. Immunother. 56:303-317 (2007), and Holt et al., Prot. Eng. Design Sci., 21 :283-288 (2008), which are incorporated herein by reference in their entireties.
[0150] In some aspects, a recombinant FGF-21 polypeptide of the disclosure comprises at least one attachment site for a non-polypeptide small molecule, variant, or derivative that can bind to albumin thereof. An example of such albumin binding moieties is 2-(3- maleimidopropanamido)-6-(4-(4-iodophenyl)butanamido)hexanoate (“Albu” tag) as disclosed by Trusselet et al.. Bioconjugate Chem. 20:2286-2292 (2009).
[0151] As discussed above, exemplary FGF-21 polypeptides also include FGF-21 fused to at least one P subunit of the C-terminal peptide (CTP) of human chorionic gonadotropin or fragment, variant, or derivative thereof. The CTP can be fused to FGF-21 either the N-terminal end of FGF-21 or to the C-terminal end of FGF-21 or inserted between two amino acids in FGF- 21. One or more CTP peptides fused to or inserted into a recombinant protein is known to increase the in vivo half-life of that protein. See, e.g., U.S. Patent No. 5,712,122, incorporated by reference herein in its entirety. Exemplary CTP peptides can also be found in U.S. Patent Application Publication No. US 2009/0087411 Al, incorporated by reference.
[0152] As discussed above, exemplary FGF-21 polypeptides also include FGF-21 fused to at least one PAS sequence or fragment, variant, or derivative thereof. A PAS peptide or PAS sequence, as used herein, means an amino acid sequence comprising mainly alanine and serine residues or comprising mainly alanine, serine, and proline residues, the amino acid sequence forming random coil conformation under physiological conditions. Accordingly, the PAS sequence is a building block, an amino acid polymer, or a sequence cassette comprising, consisting essentially of, or consisting of alanine, serine, and proline which can be used as a part of the heterologous moiety in the chimeric protein. An amino acid polymer also can form random coil conformation when residues other than alanine, serine, and proline are added as a minor constituent in the PAS sequence. By “minor constituent” is meant that that amino acids other than alanine, serine, and proline can be added in the PAS sequence to a certain degree, e.g, up to about 12%, i.e., about 12 of 100 amino acids of the PAS sequence, up to about 10%, up to about 9%, up to about 8%, about 6%, about 5%, about 4%, about 3%, i.e. about 2%, or about 1%, of the amino acids. The amino acids different from alanine, serine and proline cab be selected from the group consisting of Arg, Asn, Asp, Cys, Gin, Glu, Gly, His, He, Leu, Lys, Met, Phe, Thr, Trp, Tyr, and Vai. Under physiological conditions, a PAS peptide forms a random coil conformation and thereby can mediate an increased in vivo and/or in vitro stability to a recombinant protein of the invention, and has procoagulant activity. Examples of PAS sequences are known from, e.g., US Pat. Publ. No. 2010/0292130 Al and PCT Appl. Publ. No. WO 2008/155134 Al. European issued patent EP2173890. [0153] As discussed above, exemplary FGF-21 polypeptides also include FGF-21 fused to at least one transferrin peptide or fragment, variant, or derivative thereof. Any transferrin can be fused to or inserted into a recombinant FGF-21 protein of the invention. As an example, wildtype human Tf (Tf) is a 679 amino acid protein, of approximately 75 KDa (not accounting for glycosylation), with two main domains, N (about 330 amino acids) and C (about 340 amino acids), which appear to originate from a gene duplication. See GenBank accession numbers NM001063, XM002793, M12530, XM039845, XM 039847 and S95936
(www.ncbi.nlm.nih.gov), all of which are herein incorporated by reference in their entirety.
[0154] Transferrin transports iron through transferrin receptor (TfR)-mediated endocytosis. After the iron is released into an endosomal compartment and Tf-TfR complex is recycled to cell surface, the Tf is released back extracellular space for next cycle of iron transporting. Tf possesses a long half-life that is in excess of 14-17 days (Li et al., Trends Pharmacol. Sci. 23:206-209 (2002)). Transferrin fusion proteins have been studied for half-life extension, targeted deliver for cancer therapies, oral delivery and sustained activation of proinsulin (Brandsma et al., Biotechnol. Adv., 29: 230-238 (2011); Bai et al., Proc. Natl. Acad. Sci. USA W2 1291-12% (2005); Kim et al., J. Pharmacol. Exp. Ther., 334:682-692 (2010); Wang et al., J. Controlled Release 155:386-392 (2011)).
[0155] As discussed above, exemplary FGF-21 polypeptides also include FGF-21 fused to at least one hydroxyethyl starch (HES) polymer. HES is a derivative of naturally occurring amylopectin and is degraded by alpha-amylase in the body. HES exhibits advantageous biological properties and is used as a blood volume replacement agent and in hemodilution therapy in the clinics. See, e.g., Sommermeyer et al., Krankenhauspharmazie 8:271-278 (1987); and Weidler et al., Arzneim.-Forschung/Drug Res. 41 : 494-498 (1991).
[0156] HES is mainly characterized by the molecular weight distribution and the degree of substitution. HES has a mean molecular weight (weight mean) of from 1 to 300 kD, from 2 to 200kD, from 3 to 100 kD, or from 4 to 70kD. Hydroxy ethyl starch can further exhibit a molar degree of substitution of from 0.1 to 3, from 0.1 to 2, from 0.1 to 0.9, or from 0.1 to 0.8, and a ratio between C2:C6 substitution in the range of from 2 to 20 with respect to the hydroxyethyl groups. HES with a mean molecular weight of about 130 kD is VOLUVEN® from Fresenius. VOLUVEN® is an artificial colloid, employed, e.g., for volume replacement used in the therapeutic indication for therapy and prophylaxis of hypovolaemia. There are a number of HES attachment methods available to those skilled in the art, e.g., the same PEG attachment methods described above.
[0157] As disclosed above, a variant FGF-21 polypeptide of the present disclosure can be linked to a PEG (polyethylene glycol) moiety. Linkage of PEG to a variant FGF-21 polypeptide disclosed herein (e.g., a FGF-21 polypeptide of SEQ ID NO: 1 or SEQ ID NO: 5, or their respective forms without N-terminal methionine of SEQ ID NO: 9 or 13) can result in changes including, but not limited to, increased or modulated serum (in vivo) half-life, or increased or modulated therapeutic half-life relative to the unmodified form, modulated immunogenicity or toxicity, modulated physical association characteristics such as aggregation and multimer formation, altered receptor binding, altered binding to one or more binding partners, and altered receptor dimerization or multimerization. In some aspects, linkage of PEG to a variant FGF-21 disclosed herein (e.g., a FGF-21 polypeptide of SEQ ID NO: 1 or SEQ ID NO:5, or their respective forms without N-terminal methionine of SEQ ID NO: 9 or 13) improves or alters pharmacokinetic or biophysical properties including but not limited to increasing the rate of absorption, reducing toxicity, improving solubility, reducing protein aggregation, increasing biological activity and/or target selectivity of the PEGylated FGF-21, increasing manufacturability, and/or reducing immunogenicity (see, e.g., U.S. Pat. No. 4,179,337), compared to a reference compound such as an unconjugated form of the variant FGF-21 polypeptide (e.g., a FGF-21 polypeptide of SEQ ID NO: 1 or SEQ ID NO:5, or their respective forms without N-terminal methionine of SEQ ID NO: 9 or 13) or wild-type FGF-21 (e.g., a FGF- 21 polypeptide of SEQ ID NO:3, or its form without N-terminal methionine of SEQ ID NO: 11). In some aspects, at least one linker can be interposed between the variant FGF-21 polypeptide moiety and the PEG moiety. In some aspects, the PEG moiety comprises a distal methoxy (-0- CFE) group.
[0158] An examination of the crystal structure of FGF-21 or FGF family member(s) and its interaction with the FGF receptor can indicate which certain amino acid residues have side chains that are fully or partially accessible to solvent. The side chain of a non-natural amino acid at these positions may point away from the protein surface and out into the solvent and thus be linked to PEG.
[0159] PEG can be linked to one or more of the following amino acid positions of a wild type FGF-21 polypeptide or variant FGF-21 polypeptide: before position 1 (i.e. at the N- terminus), 1, 2, 3, 4, 5, 6, 7, 8, 9, 10, 11, 12, 13, 14, 15, 16, 17, 18, 19, 20, 21, 22, 23, 24, 25, 26, 27, 28, 29, 30, 31, 32, 33, 34, 35, 36, 37, 38, 39, 40, 41, 42, 43, 44, 45, 46, 47, 48, 49, 50, 51, 52, 53, 54, 55, 56, 57, 58, 59, 60, 61, 62, 63, 64, 65, 66, 67, 68, 69, 70, 71, 72, 73, 74, 75, 76, 77, 78, 79, 80, 81, 82, 83, 84, 85, 86, 87, 88, 89, 90, 91, 92, 93, 94, 95, 96, 97, 98, 99, 100, 101, 102, 103, 104, 105, 106, 107, 108, 109, 110, 111, 112, 113, 114, 115, 116, 117, 118, 119, 120, 121,
122, 123, 124, 125, 126, 127, 128, 129, 130, 131, 132, 133, 134, 135, 136, 137, 138, 139, 140,
141, 142, 143, 144, 145, 146, 147, 148, 149, 150, 151, 152, 153, 154, 155, 156, 157, 158, 159,
160, 161, 162, 163, 164, 165, 166, 167, 168, 169, 170, 171, 172, 173, 174, 175, 176, 177, 178,
179, 180, 181, 182 (z.e., at the carboxyl terminus of the protein) (amino acid positions corresponding to SEQ ID NO: 3). In some aspects, the PEG is attached to a side chain of a nonnatural amino acid, e.g., a phenylalanine derivative such as para-acetyl-L-phenylalanine, that substitutes a naturally occurring amino acid at any of the positions disclosed above.
[0160] PEGs of the present disclosure includes, but are not limited to, polyethylene glycol, polyethylene glycol propionaldehyde, mono Ci-Cio alkoxy or aryloxy derivatives thereof (described in U.S. Pat. No. 5,252,714 which is incorporated by reference herein), monomethoxypolyethylene glycol, discrete PEG, polypropylene oxide/ethylene oxide copolymer, polyalkylene glycol and derivatives thereof, copolymers of polyalkylene glycols and derivatives thereof, or mixtures thereof. In some aspects, the PEG may have a branched structure. Branched PEGs are described, for example, in U.S. Pat. No. 5,643,575; Morpurgo et al., Appl. Biochem. Biotechnol. 56:59-72 (1996); Vorobjev et al., Nucleosides Nucleotides 18:2745-2750 (1999); and Caliceti et al., Bioconjug. Chem. 10:638-646 (1999).
[0161] In some aspects, the molecular weight of the PEG is about 30 kDa. Other sizes may be used, depending on the desired profile (e.g., the duration of sustained release desired, the effects, if any on biological activity, the ease in handling, the degree or lack of antigenicity and other known effects of the polyethylene glycol to a protein or analog). In some aspects, the molecular weight of the PEG is about 28 kDa, about 29 kDa, about 30 kDa, about 31 kDa, or about 32 kDa. In some aspects, the molecular weight of the PEG is between about 28 kDa and about 29 kDa, between about 29 kDa and about 30 kDa, between about 30 kDa and about 31 kDa, or between about 31 kDa and about 32 kDa.
[0162] In some aspects, the PEG has about 600 ethylene glycol units, about 610 ethylene glycol units, about 620 ethylene glycol units, about 630 ethylene glycol units, about 640 ethylene glycol units, about 650 ethylene glycol units, about 660 ethylene glycol units, about 670 ethylene glycol units, about 680 ethylene glycol units, about 690 ethylene glycol units, about 700 ethylene glycol units, about 710 ethylene glycol units, about 720 ethylene glycol units, about 730 ethylene glycol units, about 740 ethylene glycol units, about 750 ethylene glycol units, about 760 ethylene glycol units, about 770 ethylene glycol units, about 780 ethylene glycol units, about 790 ethylene glycol units, or about 800 ethylene glycol units.
[0163] In some aspects, the PEG has between about 600 ethylene glycol units and about 610 ethylene glycol units, between about 610 ethylene glycol units and about 620 ethylene glycol units, between about 620 ethylene glycol units and about 630 ethylene glycol units, between about 630 ethylene glycol units and about 640 ethylene glycol units, between about 640 ethylene glycol units and about 650 ethylene glycol units, between about 650 ethylene glycol units and about 660 ethylene glycol units, between about 660 ethylene glycol units and about 670 ethylene glycol units, between about 670 ethylene glycol units and about 680 ethylene glycol units, between about 680 ethylene glycol units and about 690 ethylene glycol units, between about 690 ethylene glycol units and about 700 ethylene glycol units, between about 700 ethylene glycol units and about 710 ethylene glycol units, between about 710 ethylene glycol units and about 720 ethylene glycol units, between about 720 ethylene glycol units and about 730 ethylene glycol units, between about 730 ethylene glycol units and about 740 ethylene glycol units, between about 740 ethylene glycol units and about 750 ethylene glycol units, between about 750 ethylene glycol units and about 760 ethylene glycol units, between about 760 ethylene glycol units and about 770 ethylene glycol units, between about 770 ethylene glycol units and about 780 ethylene glycol units, between about 780 ethylene glycol units and about 790 ethylene glycol units, or between about 790 ethylene glycol units and about 800 ethylene glycol units.
[0164] In some aspects, the PEG has 660, 661, 662, 663, 664, 665, 666, 667, 668, 669, 670, 671, 672, 673, 674, 675, 676, 677, 678, 679, 680, 681, 682, 683, 684, 685, 686, 687, 688, 689, 690, 691, 692, 693, 694, 695, 696, 697, 698, 699, or 700 ethylene glycol units.
[0165] In some specific aspects, the PEG moiety is linked to a variant FGF-21 polypeptide of the present disclosure (e.g., a FGF-21 polypeptide of SEQ ID NO: 1 or SEQ ID NO:5, or their respective forms without N-terminal methionine of SEQ ID NO: 9 or SEQ ID NO: 13) via an oxime linkage. In some aspects, the PEG moiety is linked to a variant FGF-21 polypeptide of the present disclosure (e.g., a variant FGF-21 polypeptide of SEQ ID NO: 1 or SEQ ID NO;5, or their respective forms without N-terminal methionine of SEQ ID NO: 9 or SEQ ID NO: 13) via an oxime linkage formed between a reactive group of a PEG molecule (e.g., the aminooxy group of a 30 kDa methyl PEGesi aminooxy molecule) and a reactive group of a non-natural amino acid in the variant FGF-21 polypeptide (e.g., the acetyl group of p-acetyl- phenylalanine, e.g., at amino acid position 109 of the sequence of the variant FGF-21 polypeptide). In some aspects, the non-natural amino acid is para-acetyl-L-phenylalanine replacing Glnl09 of SEQ ID NO: 3 or Glnl09 of SEQ ID NO:7. In some aspects, the PEG moiety is linear and/or comprises a distal methoxy (-O-CEE) group.
[0166] In some aspects, the FGF-21 conjugate in a formulation disclosed herein is a PEG- FGF-21 of SEQ ID NO: 2, i.e., the FGF-21 of SEQ ID NO: 1 in which glutamine 109 of wild type FGF-21 (SEQ ID NO:3) has been replaced with para-acetyl-L-phenylalanine, and a PEG moiety, e.g., a linear PEG with molecular weight between about 28 kDa and about 32kDa, e.g, about 30 kDa, which has been covalently attached to the para-acetyl-L-phenylalanine via an oxime linkage. In some aspects, the PEG moiety comprises a distal methoxy (-O-CH3) group.
[0167] In some aspects, the FGF-21 conjugate in a formulation disclosed herein is a PEG- FGF-21 of SEQ ID NO: 10, i.e., the FGF-21 of SEQ ID NO: 9 in which glutamine 109 of wild type FGF-21 (SEQ ID NO: 11) has been replaced with para-acetyl-L-phenylalanine, and a PEG moiety, e.g., a linear PEG with molecular weight between about 28 kDa and about 32kDa, e.g, about 30 kDa, which has been covalently attached to the para-acetyl-L-phenylalanine via an oxime linkage. In some aspects, the PEG moiety comprises a distal methoxy (-O-CH3) group.
[0168] In some aspects, the FGF-21 conjugate in a formulation disclosed herein is a PEG- FGF-21 of SEQ ID NO: 2, i.e., an FGF-21 conjugate comprising (i) the FGF-21 of SEQ ID NO: 1 in which para-acetyl-L-phenylalanine replaces glutamine 109 of wild type FGF-21 (SEQ ID NO:3), and (ii) a PEG moiety, e.g., a linear PEG with molecular weight between about 28 kDa and about 32kDa, e.g, about 30 kDa, covalently attached to the para-acetyl-L-phenylalanine via an oxime linkage. In some aspects, the PEG moiety comprises a distal methoxy (-O-CH3) group.
[0169] In some aspects, the FGF-21 conjugate in a formulation disclosed herein is a PEG- FGF-21 of SEQ ID NO: 10, i.e., an FGF-21 conjugate comprising (i) the FGF-21 of SEQ ID NO: 9 in which para-acetyl-L-phenylalanine replaces glutamine 109 of wild type FGF-21 (SEQ ID NO: 11), and (ii) a PEG moiety, e.g., a linear PEG with molecular weight between about 28 kDa and about 32kDa, e.g, about 30 kDa, covalently attached to the para-acetyl-L-phenylalanine via an oxime linkage. In some aspects, the PEG moiety comprises a distal methoxy (-O-CH3) group.
[0170] In some aspects, the FGF-21 conjugate in a formulation disclosed herein is a PEG- FGF-21 of SEQ ID NO: 4, i.e., the FGF-21 of SEQ ID NO: 1 in which glutamine 109 of wild type FGF-21 (SEQ ID NO:3) has been replaced with para-acetyl-L-phenylalanine, and a linear PEG moiety comprising 681 ethylene glycol units has been covalently attached to the para- acetyl-L-phenylalanine via an oxime linkage. In some aspects, the PEG moiety comprises a distal methoxy (-O-CH3) group.
[0171] In some aspects, the FGF-21 conjugate in a formulation disclosed herein is a PEG- FGF-21 of SEQ ID NO: 12, i.e., the FGF-21 of SEQ ID NO: 9 in which glutamine 109 of wild type FGF-21 (SEQ ID NO: 11) has been replaced with para-acetyl-L-phenylalanine, and a linear PEG moiety comprising 681 ethylene glycol units has been covalently attached to the para- acetyl-L-phenylalanine via an oxime linkage. In some aspects, the PEG moiety comprises a distal methoxy (-O-CH3) group.
[0172] In some aspects, the FGF-21 conjugate in a formulation disclosed herein is a PEG- FGF-21 of SEQ ID NO: 4, i.e., an FGF-21 conjugate comprising (i) the FGF-21 of SEQ ID NO: 1 in which para-acetyl-L-phenylalanine replaced glutamine 109 of wild type FGF-21 (SEQ ID NO:3), and (ii) a linear PEG moiety comprising 681 ethylene glycol units covalently attached to the para-acetyl-L-phenylalanine via an oxime linkage. In some aspects, the PEG moiety comprises a distal methoxy (-O-CH3) group.
[0173] In some aspects, the FGF-21 conjugate in a formulation disclosed herein is a PEG- FGF-21 of SEQ ID NO: 12, i.e., an FGF-21 conjugate comprising (i) the FGF-21 of SEQ ID NO: 9 in which para-acetyl-L-phenylalanine replaced glutamine 109 of wild type FGF-21 (SEQ ID NO: 11), and (ii) a linear PEG moiety comprising 681 ethylene glycol units covalently attached to the para-acetyl-L-phenylalanine via an oxime linkage. In some aspects, the PEG moiety comprises a distal methoxy (-O-CH3) group.
[0174] In some aspects, the FGF-21 conjugate in a formulation disclosed herein is a PEG- FGF-21 of SEQ ID NO: 6, i.e., the FGF-21 of SEQ ID NO: 5 in which glutamine 109 of the FGF-21 variant of SEQ ID NO: 7 has been replaced with para-acetyl-L-phenylalanine, and a PEG moiety, e.g., a linear PEG with molecular weight between about 28 kDa and about 32kDa, e.g, about 30 kDa, which has been covalently attached to the para-acetyl-L-phenylalanine via an oxime linkage. In some aspects, the PEG moiety comprises a distal methoxy (-O-CH3) group.
[0175] In some aspects, the FGF-21 conjugate in a formulation disclosed herein is a PEG- FGF-21 of SEQ ID NO: 14, i.e., the FGF-21 of SEQ ID NO: 13 in which glutamine 109 of the FGF-21 variant of SEQ ID NO: 15 has been replaced with para-acetyl-L-phenylalanine, and a PEG moiety, e.g., a linear PEG with molecular weight between about 28 kDa and about 32kDa, e.g, about 30 kDa, which has been covalently attached to the para-acetyl-L-phenylalanine via an oxime linkage. In some aspects, the PEG moiety comprises a distal methoxy (-O-CH3) group.
[0176] In some aspects, the FGF-21 conjugate in a formulation disclosed herein is a PEG- FGF-21 of SEQ ID NO: 6, i.e., an FGF-21 conjugate comprising (i) the FGF-21 of SEQ ID NO: 5 in which para-acetyl-L-phenylalanine replaces glutamine 109 of FGF-21 variant of SEQ ID NO:7, and (ii) a PEG moiety, e.g., a linear PEG with molecular weight between about 28 kDa and about 32kDa, e.g, about 30 kDa, covalently attached to the para-acetyl-L-phenylalanine via an oxime linkage. In some aspects, the PEG moiety comprises a distal methoxy (-O-CH3) group.
[0177] In some aspects, the FGF-21 conjugate in a formulation disclosed herein is a PEG- FGF-21 of SEQ ID NO: 14, i.e., an FGF-21 conjugate comprising (i) the FGF-21 of SEQ ID NO: 13 in which para-acetyl-L-phenylalanine replaces glutamine 109 of FGF-21 variant of SEQ ID NO: 15, and (ii) a PEG moiety, e.g., a linear PEG with molecular weight between about 28 kDa and about 32kDa, e.g, about 30 kDa, covalently attached to the para-acetyl-L-phenylalanine via an oxime linkage. In some aspects, the PEG moiety comprises a distal methoxy (-O-CH3) group.
[0178] In some aspects, the FGF-21 conjugate in a formulation disclosed herein is a PEG- FGF-21 of SEQ ID NO: 8, i.e., the FGF-21 of SEQ ID NO: 5 in which glutamine 109 of the FGF-21 variant of SEQ ID NO:7 has been replaced with para-acetyl-L-phenylalanine, and a linear PEG moiety comprising 681 ethylene glycol units has been covalently attached to the para- acetyl-L-phenylalanine via an oxime linkage. In some aspects, the PEG moiety comprises a distal methoxy (-O-CH3) group.
[0179] In some aspects, the FGF-21 conjugate in a formulation disclosed herein is a PEG- FGF-21 of SEQ ID NO: 16, i.e., the FGF-21 of SEQ ID NO: 13 in which glutamine 109 of the FGF-21 variant of SEQ ID NO: 15 has been replaced with para-acetyl-L-phenylalanine, and a linear PEG moiety comprising 681 ethylene glycol units has been covalently attached to the para- acetyl-L-phenylalanine via an oxime linkage. In some aspects, the PEG moiety comprises a distal methoxy (-O-CH3) group.
[0180] In some aspects, the FGF-21 conjugate in a formulation disclosed herein is a PEG- FGF-21 of SEQ ID NO: 8, i.e., an FGF-21 conjugate comprising (i) the FGF-21 of SEQ ID NO: 5 in which para-acetyl-L-phenylalanine replaced glutamine 109 of the FGF-21 variant of SEQ ID NO:7, and (ii) a linear PEG moiety comprising 681 ethylene glycol units covalently attached to the para-acetyl-L-phenylalanine via an oxime linkage. In some aspects, the PEG moiety comprises a distal methoxy (-O-CH3) group. [0181] In some aspects, the FGF-21 conjugate in a formulation disclosed herein is a PEG- FGF-21 of SEQ ID NO: 16, i.e., an FGF-21 conjugate comprising (i) the FGF-21 of SEQ ID NO: 13 in which para-acetyl-L-phenylalanine replaced glutamine 109 of the FGF-21 variant of SEQ ID NO: 15, and (ii) a linear PEG moiety comprising 681 ethylene glycol units covalently attached to the para-acetyl-L-phenylalanine via an oxime linkage. In some aspects, the PEG moiety comprises a distal methoxy (-O-CH3) group.
[0182] Thus, in some specific aspects of the present disclosure, the FGF-21 conjugate in a formulation disclosed herein comprises (i) a FGF-21 polypeptide moiety of SEQ ID NO: 1, and (ii) a linear PEG moiety with 681 ethylene glycol units, i.e., a PEG moiety with a molecular weight of approximately 30 kDa, wherein the PEG moiety is covalently attached to the para- acetyl-L-phenylalanine at position 109 via an oxime linkage. In some aspects, the PEG moiety comprises a distal methoxy (-O-CH3) group.
[0183] Thus, in some specific aspects of the present disclosure, the FGF-21 conjugate in a formulation disclosed herein comprises (i) a FGF-21 polypeptide moiety of SEQ ID NO: 9, and (ii) a linear PEG moiety with 681 ethylene glycol units, i.e., a PEG moiety with a molecular weight of approximately 30 kDa, wherein the PEG moiety is covalently attached to the para- acetyl-L-phenylalanine at position 109 via an oxime linkage. In some aspects, the PEG moiety comprises a distal methoxy (-O-CH3) group.
[0184] Thus, in some specific aspects of the present disclosure, the FGF-21 conjugate in a formulation disclosed herein comprises (i) a FGF-21 polypeptide moiety of SEQ ID NO: 5, and (ii) a linear PEG moiety with 681 ethylene glycol units, i.e., a PEG moiety with a molecular weight of approximately 30 kDa, wherein the PEG moiety is covalently attached to the para- acetyl-L-phenylalanine at position 109 via an oxime linkage. In some aspects, the PEG moiety comprises a distal methoxy (-O-CH3) group.
[0185] Thus, in some specific aspects of the present disclosure, the FGF-21 conjugate in a formulation disclosed herein comprises (i) a FGF-21 polypeptide moiety of SEQ ID NO: 13, and (ii) a linear PEG moiety with 681 ethylene glycol units, i.e., a PEG moiety with a molecular weight of approximately 30 kDa, wherein the PEG moiety is covalently attached to the para- acetyl-L-phenylalanine at position 109 via an oxime linkage. In some aspects, the PEG moiety comprises a distal methoxy (-O-CH3) group.
[0186] In some aspects, the oxime linkage is formed by chemical reaction between a reactive group of a non-natural amino acid present in a variant FGF-21 (e.g., the acetyl group of p-acetyl-phenylalanine) and a reactive group of a PEG molecule (e.g., the aminooxy group of a 30 kDa PEG681 aminooxy molecule comprising a distal methoxy group). In some aspects, the non-natural amino acid can be incorporated into the variant FGF-21 polypeptide recombinantly (e.g., by expression in a prokaryotic cell culture), using in vitro transcription and translation, using chemical synthesis, or using any methods known in the art. In some aspects, the PEG molecule can be chemically linked to an amino acid (e.g., p-acetyl-phenylalanine), and the PEG- amino acid subsequently incorporated into a FGF-21 polypeptide, for example, via chemical synthesis. In some aspects, the PEG molecule comprises a distal methoxy (-O-CEE) group.
[0187] Production of FGF-21 polypeptides via yeast expression has been hindered in the past by the presence of O-linked glycosylation, which required site-specific mutagenesis to remove O-linked glycosylation sites. FGF-21 polypeptides also show a substantial degree of glycosylation when produced recombinantly in mammalian cell cultures. Thus, in some aspects, the variant FGF-21 polypeptides of the present disclosure are produced recombinantly in prokaryotic cells cultures. Accordingly, in some aspects, the variant FGF-21 polypeptides of the present disclosure are not glycosylated.
[0188] As disclosed above, the present disclosure provided pharmaceutical formulations comprising a FGF-21 conjugate disclosed herein, e.g., a PEG-FGF-21 of SEQ ID NO: 2, 4, 6 or 8, or respective form thereof without N-terminal methionine such as SEQ ID NO: 10, 12, 14, or 16, and an aminopoly carboxylic acid cation chelator, e.g., di ethylenetriaminepentaacetic acid (DTP A). The terms "chelator" or "cation chelator" are interchangeable and refer to any substance that is able to remove a metal ion from a solution system by forming a new complex ion that has different chemical properties than those of the original metal ion. In particular, the cation chelators disclosed herein are chelators that specifically bind divalent metals, e.g., Ca++.
[0189] In some specific aspects, the aminopolycarboxylic acid cation chelator is DTPA. Pentetic acid or diethylenetriaminepentaacetic acid (DTPA) is an aminopolycarboxylic acid consisting of a diethylenetriamine backbone with five carboxymethyl groups. The conjugate base of DTPA has a high affinity for metal cations. Thus, the penta-anion DTPA5- is potentially an octadentate ligand assuming that each nitrogen centre and each COO--group counts as a centre for coordination. The formation constants for its complexes are about 100 greater than those for EDTA.
[0190] As a chelating agent, DTPA wraps around a metal ion by forming up to eight bonds. Transition metals, however, usually form less than eight coordination bonds. So, after forming a complex with a metal, DTPA still has the ability to bind to other reagents, as is shown by its derivative pendetide. For example, in its complex with copper(II), DTPA binds in a hexadentate manner utilizing the three amine centres and three of the five carboxylates.
[0191] In some other aspects, the aminopolycarboxylic acid cation chelator can be another aminopolycarboxylic acid cation chelator, such as ethylenediaminetetraacetic acid (EDTA), ethylene glycol-bis(P-aminoethyl ether)-N,N,N',N' -tetraacetic acid (EGTA), 1,4,7,10- tetraazacyclododecane-l,4,7,10-tetraacetic acid (DOTA), or related compound, e.g., tiuxetan (a modified version of DTPA whose carbon backbone contains an isothiocyanatobenzyl and a methyl group). Other chelating agents related to DTPA and EDTA known in the art are those in which the nitrogens of the amide groups may be substituted by one or more Ci-is alkyl groups, e.g. DTPA.BMA and EDTA.BMA.
[0192] In some aspects, the DTPA cation chelator is present in an amount between about 10 pM and about 100 pM, between 15 pM and about 95 pM, between about 20 pM and about 90 pM, between about 25 pM and about 85 pM, between about 30 pM and about 80 pM, between about 35 pM and about 75 pM, between about 40 pM and about 70 pM, between about 45 pM and about 65 pM, between about 50 pM and about 60 pM, between about 25 pM and about 75 pM, between about 40 pM and about 60 pM, between about 30 pM and about 70 pM, or between about 40 pM and about 75 pM.
[0193] In a specific aspect, the aminopolycarboxylic acid cation chelator, e.g., DTPA, is present in an amount of 50 pM.
[0194] In some aspects, the pH of the formulation is about 6.8, about 6.9, about 7.0, about 7.1, about 7.2, about 7.3, about 7.4, or about 7.5. In some aspects, the pharmaceutical formulation is more stable than a reference formulation with a pH of 6.5.
[0195] In some aspects, pharmaceutical formulation further comprises a surfactant. The term "surfactant" as used herein means any compound, typically an amphipathic molecule, that reduces surface tension when dissolved or suspended in water or water solutions, or which reduces interfacial tension between two liquids, or between a liquid and a solid.
[0196] In the context of the present disclosure, a surfactant is any compound that decreases interfacial stress and shear in a solution comprising a FGF-21 conjugate disclosed herein, e.g., a PEG-FGF-21 of SEQ ID NO: 2, 4, 6 or 8, or respective form thereof without N- terminal methionine such as SEQ ID NO: 10, 12, 14, or 16. [0197] In some aspects, the surfactant is a nonionic surfactant, i.e., is a surfactant that tends to have no net charge in neutral solutions. In some aspects, the nonanionic surfactant is a polysorbate. Polysorbates are an important class of non-ionic surfactants used widely in protein pharmaceuticals to stabilize the proteins against interface-induced aggregation and to minimize surface adsorption of proteins (Wang W 2005. Protein aggregation and its inhibition in biopharmaceutics. Int J Pharm 289 (1-2): 1-30). Polysorbates are amphiphilic, non-ionic surfactants composed of fatty acid esters of polyoxyethylene (POE) sorbitan. Commercially available polysorbates are chemically diverse mixtures containing mainly sorbitan POE fatty acid esters.
[0198] As used herein, the term "polysorbate" refers to oleate esters of sorbitol and its anhydrides, typically copolymerized with ethylene oxide. Exemplary polysorbates include Polysorbate 20 (TWEEN 20; PS20) (polyoxyethylene (20) sorbitan monolaurate); Polysorbate 40 (TWEEN 40; PS40) (polyoxyethylene (20) sorbitan monopalmitate); Polysorbate 60 (TWEEN 60; PS60) (polyoxyethylene (20) sorbitan monostearate); and Polysorbate 80 (TWEEN 80; PS80) (polyoxyethylene (20) sorbitan monooleate).
[0199] The number 20 following the 'polyoxyethylene' part refers to the total number of oxyethylene -(CH2CH2O)- groups found in the molecule. The number following the 'polysorbate' part is related to the type of fatty acid associated with the polyoxyethylene sorbitan part of the molecule. Monolaurate is indicated by 20, monopalmitate is indicated by 40, monostearate by 60, and monooleate by 80. In some aspects, the non-ionic surfactant is present in an amount above the critical micelle concentration (CMC), which for polyoxyethylene sorbitan fatty acid esters is approximately an amount of at least 0.01 mg/ml. See Wan and Lee, Journal of Pharm Sci, 63, p.136, 1974. Surfactant concentrations (%) throughout the present specification correspond to (w/v).
[0200] In some aspects, the polysorbate is polysorbate 80 (PS80).
[0201] In some aspects, the pharmaceutical formulation further comprises an amino acid buffering agent. Amino acids may be advantageously used as buffers in pharmaceutical applications because they naturally present substances which are easily metabolizable. Furthermore, amino acids used as buffers can also protect proteins in the amorphous phase if the formulation is freeze-dried. A suitable amino acid buffer can contain histidine, lysine, and/or arginine. Histidine has a good buffering capacity around pH 7. [0202] As used herein, the term "histidine" comprises either L-histidine or D-histidine, a solvated form of histidine, a hydrated form e.g., monohydrate) of histidine, or an anhydrous form of histidine, or a mixture thereof. Other suitable buffers in the formulations of the present disclosure glutamate, Tris, or succinate, to mention just a few.
[0203] In some specific aspects, the amino acid buffering agent is L-histidine.
[0204] In some aspects, the pharmaceutical formulation further comprises an osmotic regulator (also known in the art tonicity agents). According to the present disclosure the osmotic regulator (tonicity agent) can comprises a polyol, a saccharide, a carbohydrate, a salt, such as sodium chloride, or mixtures thereof. Exemplary polyols comprise those with a molecular weight that is less than about 600 kD (e.g., in the range from 120 to 400 kD), e.g., mannitol, trehalose, sorbitol, erythritol, isomalt, lactitol, maltitol, xylitol, glycerol, lactitol, propylene glycol, polyethylene glycol, inositol, or mixtures thereof.
[0205] Saccharide or carbohydrate osmotic regulators comprise monosaccharides, disaccharides and polysaccharides or mixtures thereof. In some aspects, the saccharide or carbohydrate is selected from the group consisting of fructose, glucose, mannose, sucrose, sorbose, xylose, lactose, maltose, sucrose, dextran, pullulan, dextrin, cyclodextrins, soluble starch, hydroxyethyl starch, water-soluble glucans, and mixtures thereof.
[0206] In some aspects, the osmotic regulator comprises a saccharide selected from the group of reducing sugar or non-reducing sugar or mixtures thereof. In some aspects, the osmotic regulator the tonicity agent comprises a saccharide which is a non-reducing sugar, preferably a sugar selected from the group consisting of sucrose, trehalose, and mixtures thereof. In some specific aspects, the non-reducing sugar is sucrose.
[0207] In some aspects, a FGF-21 polypeptide disclosed herein, e.g., a PEG-FGF-21 of SEQ ID NO: 2, 4, 6 or 8 or respective form thereof without N-terminal methionine such as SEQ ID NO: 10, 12, 14, or 16, is present at a concentration between about 1 mg/ml and about 40 mg/ml. In some aspects, a FGF-21 conjugate disclosed herein, e.g., a PEG-FGF-21 of SEQ ID NO: 2, 4, 6 or 8, or respective form thereof without N-terminal methionine such as SEQ ID NO: 10, 12, 14, or 16, is present at a concentration of about 10 mg/ml, about 20 mg/ml, about 30 mg/ml, or about 40 mg/ml.
[0208] In some aspects, the FGF-21 polypeptide is formulated for subcutaneous administration. In some aspects, the FGF-21 polypeptide is formulated for subcutaneous administration, e.g., with a safety syringe. [0209] In some aspects, the present disclosure provides a pharmaceutical formulation comprising (i) a FGF-21 conjugate disclosed herein, e.g., a PEG-FGF-21 of SEQ ID NO: 2, 4, 6 or 8, or respective form thereof without N-terminal methionine such as SEQ ID NO: 10, 12, 14, or 16; (ii) histidine at a concentration between about 10 mM and about 50 mM; (iii) sucrose at a concentration between about 100 mM and about IM; (iv) Polysorbate 80 at a concentration between about 0.01% and about 0.1% (w/v); and, (v) DTPA at a concentration between about 10 pM and about 100 pM; wherein the pH of the formulation is between about 6.7 and about 7.5.
[0210] Also provided is a pharmaceutical formulation comprising (i) a FGF-21 conjugate disclosed herein, e.g., a PEG-FGF-21 of SEQ ID NO: 2, 4, 6 or 8, or respective form thereof without N-terminal methionine such as SEQ ID NO: 10, 12, 14, or 16; (ii) histidine at a concentration of about 20 mM; (iii) sucrose at a concentration of about 600 mM; (iv) Polysorbate 80 at a concentration of about 0.05% (w/v); and (v) DTPA at a concentration of about 50 pM; wherein the pH is about 7.1.
[0211] Also provided is a pharmaceutical formulation comprising (i) a FGF-21 conjugate disclosed herein, e.g., a PEG-FGF-21 of SEQ ID NO: 2, 4, 6 or 8, or respective form thereof without N-terminal methionine such as SEQ ID NO: 10, 12, 14, or 16; (ii) histidine at a concentration of 20 mM; (iii) sucrose at a concentration of 600 mM; (iv) Polysorbate 80 at a concentration of 0.05% (w/v); and (v) DTPA at a concentration of 50 pM; wherein the pH is 7.1.
[0212] Also provided is a pharmaceutical formulation comprising (i) a FGF-21 conjugate disclosed herein, e.g., a PEG-FGF-21 of SEQ ID NO: 2, 4, 6 or 8, or respective form thereof without N-terminal methionine such as SEQ ID NO: 10, 12, 14, or 16; (ii) histidine at a concentration of about 20 mM; and (iii) sucrose at a concentration of about 600 mM; wherein the pH is about 7.0.
[0213] Also provided is a pharmaceutical formulation comprising (i) a FGF-21 conjugate disclosed herein, e.g., a PEG-FGF-21 of SEQ ID NO: 2, 4, 6 or 8, or respective form thereof without N-terminal methionine such as SEQ ID NO: 10, 12, 14, or 16; (ii) histidine at a concentration of 20 mM; and (iii) sucrose at a concentration of 600 mM; wherein the pH is 7.0.
[0214] In some specific aspects, the present disclosure provide a pharmaceutical formulation comprising (i) a FGF-21 conjugate disclosed herein, e.g., a PEG-FGF-21 of SEQ ID NO: 2, 4, 6 or 8, or respective form thereof without N-terminal methionine such as SEQ ID NO: 10, 12, 14, or 16, at a concentration of about 10 mg/mL; (ii) histidine at a concentration of about 20 mM; (iii) sucrose at a concentration of about 600 mM; (iv) Polysorbate 80 at a concentration of about 0.05% (w/v); and (v) DTPA at a concentration of about 50 uM; wherein the pH is about 7.1.
[0215] Also provided is a pharmaceutical formulation comprising (i) a FGF-21 conjugate disclosed herein, e.g., a PEG-FGF-21 of SEQ ID NO: 2, 4, 6 or 8, or respective form thereof without N-terminal methionine such as SEQ ID NO: 10, 12, 14, or 16, at a concentration of about 20 mg/mL; (ii) histidine at a concentration of about 20 mM; (iii) sucrose at a concentration of about 600 mM; (iv) Polysorbate 80 at a concentration of about 0.05% (w/v); and (v) DTPA at a concentration of about 50 uM; wherein the pH is about 7.1.
[0216] Also provided is a pharmaceutical formulation comprising (i) a FGF-21 conjugate disclosed herein, e.g., a PEG-FGF-21 of SEQ ID NO: 2, 4, 6 or 8, or respective form thereof without N-terminal methionine such as SEQ ID NO: 10, 12, 14, or 16, at a concentration of 10 mg/mL; (ii) histidine at a concentration of 20 mM; (iii) sucrose at a concentration of 600 mM; (iv) Polysorbate 80 at a concentration of 0.05% (w/v); and (v) DTPA at a concentration of 50 uM; wherein the pH is 7.1.
[0217] Also provided is a pharmaceutical formulation comprising (i) a FGF-21 conjugate disclosed herein, e.g., a PEG-FGF-21 of SEQ ID NO: 2, 4, 6 or 8, or respective form thereof without N-terminal methionine such as SEQ ID NO: 10, 12, 14, or 16, at a concentration of 20 mg/mL; (ii) histidine at a concentration of 20 mM; (iii) sucrose at a concentration of 600 mM; (iv) Polysorbate 80 at a concentration of 0.05% (w/v); and (v) DTPA at a concentration of 50 uM; wherein the pH is 7.1.
[0218] In a specific aspect, the present disclosure provides a pharmaceutical formulation comprising a FGF-21 conjugate of SEQ ID NO:2 at a concentration of 20 g/L in 20 mM histidine, 600 mM sucrose, 50 uM DTPA, and 0.05% PS80, pH 7.1.
[0219] In a specific aspect, the present disclosure provides a pharmaceutical formulation comprising a FGF-21 conjugate of SEQ ID NO: 10 at a concentration of 20 g/L in 20 mM histidine, 600 mM sucrose, 50 uM DTPA, and 0.05% PS80, pH 7.1.
[0220] In a specific aspect, the present disclosure provides a pharmaceutical formulation comprising a FGF-21 conjugate of SEQ ID NO:4 at a concentration of 10 g/L in 20 mM histidine, 600 mM sucrose, 50 uM DTPA, and 0.05% PS80 (w/v), pH 7.1.
[0221] In a specific aspect, the present disclosure provides a pharmaceutical formulation comprising a FGF-21 conjugate of SEQ ID NO: 12 at a concentration of 10 g/L in 20 mM histidine, 600 mM sucrose, 50 uM DTPA, and 0.05% PS80 (w/v), pH 7.1. [0222] In a specific aspect, the present disclosure provides a pharmaceutical formulation comprising a FGF-21 conjugate of SEQ ID NO:4 at a concentration of 20 g/L in 20 mM histidine, 600 mM sucrose, 50 uM DTP A, and 0.05% PS80, pH 7.1.
[0223] In a specific aspect, the present disclosure provides a pharmaceutical formulation comprising a FGF-21 conjugate of SEQ ID NO: 12 at a concentration of 20 g/L in 20 mM histidine, 600 mM sucrose, 50 uM DTP A, and 0.05% PS80, pH 7.1.
[0224] In a specific aspect, the present disclosure provides a pharmaceutical formulation comprising a FGF-21 conjugate of SEQ ID NO:4 at a concentration of 10 g/L in 20 mM histidine, 600 mM sucrose, 50 uM DTP A, and 0.05% PS80 (w/v), pH 7.1.
[0225] In a specific aspect, the present disclosure provides a pharmaceutical formulation comprising a FGF-21 conjugate of SEQ ID NO: 12 at a concentration of 10 g/L in 20 mM histidine, 600 mM sucrose, 50 uM DTP A, and 0.05% PS80 (w/v), pH 7.1.
[0226] In a specific aspect, the present disclosure provides a pharmaceutical formulation comprising a FGF-21 conjugate of SEQ ID NO:6 at a concentration of 20 g/L in 20 mM histidine, 600 mM sucrose, 50 uM DTP A, and 0.05% PS80, pH 7.1.
[0227] In a specific aspect, the present disclosure provides a pharmaceutical formulation comprising a FGF-21 conjugate of SEQ ID NO: 14 at a concentration of 20 g/L in 20 mM histidine, 600 mM sucrose, 50 uM DTP A, and 0.05% PS80, pH 7.1.
[0228] In a specific aspect, the present disclosure provides a pharmaceutical formulation comprising a FGF-21 conjugate of SEQ ID NO:4 at a concentration of 10 g/L in 20 mM histidine, 600 mM sucrose, 50 uM DTP A, and 0.05% PS80 (w/v), pH 7.1.
[0229] In a specific aspect, the present disclosure provides a pharmaceutical formulation comprising a FGF-21 conjugate of SEQ ID NO: 12 at a concentration of 10 g/L in 20 mM histidine, 600 mM sucrose, 50 uM DTP A, and 0.05% PS80 (w/v), pH 7.1.
[0230] In a specific aspect, the present disclosure provides a pharmaceutical formulation comprising a FGF-21 conjugate of SEQ ID NO:8 at a concentration of 20 g/L in 20 mM histidine, 600 mM sucrose, 50 uM DTP A, and 0.05% PS80, pH 7.1.
[0231] In a specific aspect, the present disclosure provides a pharmaceutical formulation comprising a FGF-21 conjugate of SEQ ID NO: 16 at a concentration of 20 g/L in 20 mM histidine, 600 mM sucrose, 50 uM DTP A, and 0.05% PS80, pH 7.1. [0232] In a specific aspect, the present disclosure provides a pharmaceutical formulation comprising a FGF-21 conjugate of SEQ ID NO:4 at a concentration of 10 g/L in 20 mM histidine, 600 mM sucrose, 50 uM DTP A, and 0.05% PS80 (w/v), pH 7.1.
[0233] In a specific aspect, the present disclosure provides a pharmaceutical formulation comprising a FGF-21 conjugate of SEQ ID NO: 12 at a concentration of 10 g/L in 20 mM histidine, 600 mM sucrose, 50 uM DTP A, and 0.05% PS80 (w/v), pH 7.1.
[0234] In some aspects, the formulation is frozen. In some aspects, the formulation is stored in a bag, e.g., a clam shell bag. In some aspects, the bag, e.g., a clam shell bag, has a volume between 6L and 12L.
[0235] In some aspects, the formulation is contained in a vial. In some aspects, the formulation is contained in a syringe. In some aspects, the syringe is a safety syringe. In some aspects, the syringe is a pre-fillable syringe. In some aspects, the syringe is a BD NEOPAK™ pre- fillable syringe. In some aspects, the formulation is contained in a self-injection device.
III. CCR2/5 Dual Antagonist
[0236] In some aspects, the present methods include a combination therapy of an FGF-21 polypeptide with a CCR2/5 dual antagonist. In some aspects, a CCR2/5 dual antagonist is a polypeptide, e.g., an antibody, e.g., a bispecific antibody.
[0237] In some aspects, a CCR2/5 dual antagonist is a small molecule. In some aspects, CCR2/5 dual antagonist refers to a small-molecule antagonist that binds potently to CCR2 and CCR5 receptors and exhibits potent dual inhibition of in vitro receptor-mediated functions such as CCR2- and CCR5-mediated functions such as calcium flux and chemotaxis in response to their respective cognate ligands. Compounds having CCR2/5 dual inhibitory activity are reported in, for example, U.S. Pat. Nos. 8,383,812 and 7,163,937, which are incorporated herein by reference in their entireties.
[0238] In some aspects, the CCR2/5 dual antagonist is an equipotent dual antagonist of CCR2 and CCR5. In some aspects, the CCR2/5 dual antagonist is a compound of formula (X):
Figure imgf000057_0001
or a pharmaceutically acceptable salt thereof, wherein:
R1 is hydrogen or Ci-Ce alkyl;
R8 and R9 are independently selected from hydrogen and Ci-Ce alkyl;
R10 is Ci-C6 alkyl;
Het is an optionally substituted 3- to 14-membered monocyclic or bicyclic heterocyclyl or heteroaryl ring having at least one nitrogen atom; and Ra and Rb are each hydrogen, or, together form an oxo group; and Z is NH or CH2.
[0239] U.S. Pat. No. 7,163,937 (hereby incorporated by reference) discloses CCR2/5 dual antagonists including (S)-l-((l S,2R,4R)-4-(isopropyl(methyl)amino)-2-propylcyclohexyl)-3-((6- (trifluoromethyl)quinazolin-4-yl)amino)pyrrolidin-2-one (hereinafter referred to as Compound A). The structure of the CCR2/5 dual antagonist Compound (A) is:
Figure imgf000058_0001
(A); or a pharmaceutically acceptable salt thereof.
[0240] In some aspects, the CCR2/5 dual antagonist useful for the present method is Compound A. In some aspects, the CCR2/5 dual antagonist useful for the present method is a pharmaceutically acceptable salt of Compound A. It has been previously shown that Compound A potently blocks binding of CCL2, a ligand for CCR2, to mouse CCR2-expressing cells; potently blocks mouse CCL4, a ligand for CCR5, to mouse CCR5-expressing cells; potently inhibits mouse CCL2- and mouse CCL4-induced functions (e.g., calcium flux, integrin CDl lb upregulation); and is pharmacologically related to Compound C. See Table 1 of US Patent Publication 2019/0224205, published July 25, 2019. US Patent Publication 2019/0224205 is incorporated by reference in its entirety.
[0241] U.S. Pat. No. 8,383,812 (hereby incorporated by reference) discloses CCR2/5 dual antagonists including N-((lR,2S,5R)-5-(tert-butylamino)-2-((S)-3-(7-tert-butylpyrazolo[l,5- a][l,3,5]triazin-4-ylamino)-2-oxopyrrolidin-l-yl)cyclohexyl)acetamide (hereinafter referred to as Compound C). The structure of the CCR2/5 dual antagonist Compound (C) is:
Figure imgf000059_0001
(Q; or a pharmaceutically acceptable salt thereof.
[0242] In some aspects, the CCR2/5 dual antagonist useful for the present method is Compound C. In some aspects, the CCR2/5 dual antagonist useful for the present method is a pharmaceutically acceptable salt of Compound C. Compound C, also known as BMS-813160, is currently in Phase II clinical trial (NCT04123379) for treating non-small cell lung cancer (NSCLC) or hepatocellular carcinoma (HCC) in combination with nivolumab.
[0243] In some aspects, the CCR2/5 dual antagonist can be formulated for suitable administration.
***
[0244] It is to be appreciated that the Detailed Description section, and not the Summary and Abstract sections, is intended to be used to interpret the claims. The Summary and Abstract sections may set forth one or more but not all exemplary aspects of the present disclosure as contemplated by the inventor(s), and thus, are not intended to limit the present disclosure and the appended claims in any way.
[0245] The present disclosure has been described above with the aid of functional building blocks illustrating the implementation of specified functions and relationships thereof. The boundaries of these functional building blocks have been arbitrarily defined herein for the convenience of the description. Alternate boundaries can be defined so long as the specified functions and relationships thereof are appropriately performed.
[0246] The foregoing description of the specific aspects will so fully reveal the general nature of the disclosure that others can, by applying knowledge within the skill of the art, readily modify and/or adapt for various applications such specific aspects, without undue experimentation, without departing from the general concept of the present disclosure. Therefore, such adaptations and modifications are intended to be within the meaning and range of equivalents of the disclosed aspects, based on the teaching and guidance presented herein. It is to be understood that the phraseology or terminology herein is for the purpose of description and not of limitation, such that the terminology or phraseology of the present specification is to be interpreted by the skilled artisan in light of the teachings and guidance.
[0247] The breadth and scope of the present disclosure should not be limited by any of the above-described exemplary aspects, but should be defined only in accordance with the following claims and their equivalents.
[0248] The contents of all cited references (including literature references, patents, patent applications, and websites) that may be cited throughout this application are hereby expressly incorporated by reference in their entirety for any purpose, as are the references cited therein.
EXAMPLES
Example 1 Combination Therapy
[0249] With new potential drug targets emerging, combination therapies appear attractive to treat NASH and fibrosis. Chemokine receptor CCR2 (C-C chemokine receptor type 2)/CCR5 (C-C chemokine receptor type 5) antagonists can improve fibrosis by reducing monocyte infiltration and altering macrophage subsets in the liver. Fibroblast growth factor 21 (FGF21) has the potential to improve non-alcoholic steatohepatitis (NASH) by modulating lipid and glucose metabolism, and by decreasing hepatic steatosis, inflammation and fibrosis. Accordingly, we compared effects of single drug treatment to combined therapy in mouse models of acute and chronic liver injury.
[0250] Summary: Serum samples from 85 patients were analyzed with biopsy-proven NAFLD (non-alcoholic fatty liver disease). A CCR2/5 inhibitor (45mpk bid or 15mpk bid in combination) and a pegylated FGF21 agonist (0.6mpk biw SC) were tested in male C57BL/6J mice. Acute injury was induced by carbon tetrachloride (CCh), chronic steatohepatitis and fibrosis by a choline-deficient, amino acid-defined high-fat diet (CDAA-HFD) for up to 12 weeks. Compound dosing was initiated after 6 weeks of CDAA-HFD, and effects were assessed after short- (2w) or long-term (6w) treatment.
[0251] In NAFLD patients, chemokine CCL2 and FGF21 serum levels correlated with inflammatory serum markers, but only CCL2 was significantly associated with advanced human liver fibrosis. In experimental acute liver injury, CCR2/5 inhibitor treated mice showed significantly lower numbers of circulating and hepatic Ly6C+ monocytes and monocyte-derived macrophages (MoMFs). Upon FGF21 treatment, hepatic MoMF numbers remained unaffected, but FGF21 reduced ALT and necroses in acutely injured livers.
[0252] In chronic steatohepatitis (CDAA-HFD), FGF21 reduced body weight gain, triglycerides, steatosis and NASH activity, while CCR2/CCR5 antagonism reduced MoMF, inflammatory markers and hepatic fibrosis. Combination treatment reflected aspects of both therapies in short- and long-term, thereby amplifying beneficial effects on all aspects of steatohepatitis and fibrosis. Combined CCR2/CCR5 antagonism and FGF21 agonism improved NAFLD activity score, ALT levels and steatosis already after 2w of treatment, while significant changes on fibrosis required a longer treatment duration.
[0253] CCR2/5 inhibition blocked the infiltration of inflammatory monocytes and FGF21 agonism improved obesity-related metabolic disorders. However, combined therapy ameliorates progressive steatohepatitis and fibrosis synergistically, resulting in a therapeutic action more potent than single drug treatment, therefore confirming the therapeutic effect of combining these two approaches in patients with NASH.
[0254] Material and Methods
[0255] Patient cohort
[0256] Patients with biopsy-proven NAFLD were prospectively recruited at the Ghent University Hospital, Belgium, between 2011 and 2018, as previously described (Lefere S, Van de Velde F, Devisscher L, Bekaert M, Raevens S, Verheist X, et al. Serum vascular cell adhesion molecule-1 predicts significant liver fibrosis in non-alcoholic fatty liver disease. Int J Obes (Lond). 2017;41(8): 1207-13). Appropriate exclusion of liver disease of other etiologies, including alcohol-induced or drug-induced liver disease, viral or auto-immune hepatitis, metabolic and cholestatic liver diseases, was performed using specific clinical, biochemical, histological and/or radiographic criteria. All patients had a negative history of alcohol abuse as indicated by an average daily consumption of < 20g. None of the subjects were on treatment with corticosteroids or insulin. After applying these exclusion criteria, we included 85 patients for analysis.
[0257] Blood samples were collected after overnight fasting. All samples were centrifuged, fractionated and stored at -80°C until further analysis. Laboratory evaluation included standard liver biochemistry (alanine aminotransferase (ALT), aspartate aminotransferase (AST), y-glutamyl transpeptidase (GGT)), complete blood count, triglycerides and total serum cholesterol. Body mass index (BMI) was calculated as body weight/height2 (kg/m2). Diabetes mellitus was defined according to the American Diabetes Association criteria (American Diabetes A. 2. Classification and Diagnosis of Diabetes: Standards of Medical Care in Diabetes-2018. Diabetes Care. 2018;41(Suppl 1):S13-S27).
[0258] Human liver biopsies were routinely processed and stained with hematoxylin- eosin (H&E) and Sirius red. An experienced pathologist evaluated the biopsies, blinded to the patient characteristics. Only biopsies with at least 6 complete portal tracts were deemed appropriate for adequate histological evaluation. Histological features were scored according to the NASH Clinical Research Network scoring system (Kleiner DE, Brunt EM, Van Natta M, Behling C, Contos MJ, Cummings OW, et al. Design and validation of a histological scoring system for nonalcoholic fatty liver disease. Hepatology. 2005;41(6): 1313-21).
[0259] A diagnosis of non-alcoholic fatty liver (NAFL) was made if >5% of hepatocytes contained macrovesicular lipid droplets, whereas the diagnosis of NASH was based on the joint presence of steatosis, hepatocyte ballooning and lobular inflammation (Kleiner DE, Brunt EM. Nonalcoholic fatty liver disease: pathologic patterns and biopsy evaluation in clinical research. Semin Liver Dis. 2012;32(l):3-13; Bedossa P, Consortium FP. Utility and appropriateness of the fatty liver inhibition of progression (FLIP) algorithm and steatosis, activity, and fibrosis (SAF) score in the evaluation of biopsies of nonalcoholic fatty liver disease. Hepatology. 2014;60(2):565-75).
[0260] Fibrosis was evaluated using the NASH Clinical Research Network fibrosis staging system (Kleiner DE, Brunt EM, Van Natta M, Behling C, Contos MJ, Cummings OW, et al. Design and validation of a histological scoring system for nonalcoholic fatty liver disease. Hepatology. 2005;41(6): 1313-21).
[0261] The study protocol was approved by the Ghent University Hospital Ethical Committee and conducted according to the principles of the Declaration of Helsinki. Participants gave their written informed consent, which was validated by the Ethical Review Board.
[0262] Animal experiments
[0263] C57BL6/J wildtype (WT) mice were housed in a specific-pathogen-free environment at the Animal Facility of the University Hospital Aachen in a 12-hour light / dark cycle with free access to food and water. In vivo animal experiments were performed with male mice at eight weeks of age under conditions approved by the appropriate institutional and governmental authorities according to German legal requirements (State Agency for Nature, Environment and Consumer Protection in North-Rhine Westphalia, LANUV NRW).
[0264] Pharmacological treatment and induction of liver injury.
[0265] Both pharmacologic compounds were provided by Bristol-Myers-Squibb. The CCR2/5 antagonist (Compound A) was dissolved in sterile water at pH 3 containing 0.5% methylcellulose (400cps) and 0.1% Tween-80. The CCR2/5 antagonist was administered via oral gavage (PO) at either 45 mg/kg body weight (BW) b.i.d. in single drug treatment or 15 mg/kg BW b.i.d. in combination treatment. PEG-FGF21 variant (FGF21v, also PEG-FGF21v herein) (PEG-FGF-21 conjugate of SEQ ID NO: 6 having a 30kD PEG moiety) was suspended in a vehicle containing 20 mM Tris(hydroxymethyl)aminomethane and 250 mM sucrose at pH 8.3. PEG-FGF21v was administered by subcutaneous (SC) injection at 0.6 mg/kg BW twice weekly.
[0266] Carbon tetrachloride (CC14) (Merck, Darmstadt, Germany) solved in com oil was injected once intraperitoneally (IP) at 0.6 mL/kg BW to induced acute liver injury. All mice were sacrificed after 36 h and liver and blood samples were retrieved for analysis.
[0267] For chronic liver injury, mice were fed a choline-deficient, L-amino acid-defined, high-fat diet enriched with 2% cholesterol (CDAHFD) (El 5673-940, Ssniff, Soest, Germany) for up to 12 weeks. Pharmacologic treatment started as single drug or combination therapy after 6 weeks of diet administration. Mice were sacrificed after two or six weeks of treatment for final analysis.
[0268] Phenotypic assessment and model endpoints
[0269] Conventional hematoxylin-eosin (H&E) and sirius red stainings were performed according to established protocols and necrotic area fraction was quantified with Imaged (Mossanen JC, Krenkel O, Ergen C, Govaere O, Liepelt A, Puengel T, et al. Chemokine (C-C motif) receptor 2-positive monocytes aggravate the early phase of acetaminophen-induced acute liver injury. Hepatology. 2016;64(5): 1667-82). NAFLD activity score was assessed by an investigator blinded to the treatment groups, and colorimetric tests were conducted for hydroxyproline. Immunohistochemistry stainings for F4/80 (Abeam) were performed on paraffin-embedded liver sections (Bartneck M, Fech V, Ehling J, Govaere O, Warzecha KT, Hittatiya K, et al. Histidine-rich glycoprotein promotes macrophage activation and inflammation in chronic liver disease. Hepatology. 2016;63(4): 1310-24). Alanine aminotransferase (ALT) and aspartate aminotransferase (AST) activities were measured (UV test at 37°C) in serum (Roche Modular pre-analytics system, Rotkreuz, Switzerland). Liver and blood leukocytes were analyzed by multicolor flow cytometry using an LSR-Fortessa (BD Biosciences), as described (Mossanen JC, Krenkel O, Ergen C, Govaere O, Liepelt A, Puengel T, et al. Chemokine (C-C motif) receptor 2-positive monocytes aggravate the early phase of acetaminophen-induced acute liver injury. Hepatology. 2016;64(5): 1667-82).
[0270] Enzyme-linked immunosorbent assay
[0271] Serum CCL2 and FGF21 concentrations in human serum were determined using specific kits (DCP00 and DF2100 respectively, R&D, Oxon, UK) according to the manufacturer’s protocols. Human cytokeratin-18 M30 fragments were measured using the M30 apoptosense ELISA kit (TECOmedical, Nijkerk, The Netherlands).
[0272] Statistics
[0273] Statistical analysis was performed using SPSS 25.0 (SPSS Software, IBM Corp., Armonk, NY, USA) and GraphPad Prism 6 (GraphPad Software Inc., La Jolla, CA, USA). The appropriate parametric or non-parametric tests were applied. A two-sided P value < 0.05 was considered statistically significant. Continuous variables were presented as median (interquartile range) or mean ± standard deviation (SD), depending on the normality of distribution.
[0274] For analysis of patient data, significant correlations were determined by calculating the Pearson’s correlation coefficient. Multivariate binary logistic regression analysis on variables significantly associated with advanced fibrosis in univariate analysis, followed by stepwise backward elimination, was performed to identify factors independently associated with the presence of advanced fibrosis.
[0275] All experimental data from mice were presented as mean ± SD. Differences between groups were evaluated by two-tailed unpaired Student t-test, one-way ANOVA with post-hoc testing and Pearson's linear correlation analysis (GraphPad Prism 6).
[0276] Results
[0277] CCL2 and FGF21 serum levels correlated with different aspects of human NAFLD
[0278] In order to establish the relevance of targeting CCR2 / CCL2 and FGF21 in humans, serum CCL2 and FGF-21 levels were analyzed in 85 patients with biopsy-confirmed NAFLD. CCL2 or monocyte chemoattractant protein- 1 (MCP-1) is expressed and secreted by various hepatic cells during fibrosis progression, as has been shown in mouse models as well as human patients (Weiskirchen R, Tacke F. Liver Fibrosis: From Pathogenesis to Novel Therapies. Dig Dis. 2016;34(4):410-22; Haukeland JW, Damas JK, Konopski Z, Loberg EM, Haaland T, Goverud I, et al. Systemic inflammation in nonalcoholic fatty liver disease is characterized by elevated levels of CCL2. J Hepatol. 2006;44(6): 1167-74). FGF21 is synthesized and secreted from the liver, and it has multiple metabolic effects (Kharitonenkov A, Shiyanova TL, Koester A, Ford AM, Micanovic R, Galbreath EJ, et al. FGF-21 as a novel metabolic regulator. J Clin Invest. 2005;115(6): 1627-35). Deficient or aberrant FGF21 is associated with NAFLD/NASH, and elevated FGF21 serum levels correlate with hepatic fat content in mice and humans (reviewed in Tucker B, Li H, Long X, Rye KA, Ong KL. Fibroblast growth factor 21 in non-alcoholic fatty liver disease. Metabolism. 2019; 101 : 153994]. The presence of non-alcoholic fatty liver (NAFL; n=31) or non-alcoholic steatohepatitis (NASH; n=54) was evaluated by an expert pathologist (TABLE 2) and verified by clinical and biochemical patient characteristics (TABLE 3).
TABLE 2. Histological features according to diagnosis
Histological feature
Figure imgf000065_0001
Steatosis, n (%) No (< 5%) 0 (0)
Mild (5-33%) 20 (64.5)
Figure imgf000065_0002
Moderate (33-66%) 7 (22.6)
Figure imgf000065_0003
Severe (> 66%) 4 (12.9)
Figure imgf000065_0004
Lobular inflammation, n (%)
Figure imgf000065_0005
^4 (77.4) Q (Q-J
(per 200x field) < 2 foci 7 (22.6) 38 (73.1)
2-4 foci 0 (0) 14 (26 9)
> 4 foci 0 (0)0 (0)
Ballooning, n (%) None 29 (93.6) 0 (0)
Few ballooning cells 1 (3.2) 30 (57 7)
Prominent ballooning 1 (3.2) 22 (42 3)
Fibrosis, n (%) Stage 0 (none) 14 (45.2)2 (3 ,7)
Stage 1 (perisinusoidal or periportal) 15 (48.4)
Figure imgf000065_0006
Stage 2 (perisinusoidal and periportal) 2 (6.5)
Figure imgf000065_0007
Stage 3 (bridging fibrosis) 0 (0) 9 (16 7)
Stage 4 (cirrhosis) 0 (0) 3 (5.6)
TABLE 3. Patient characteristics
Characteristic NAFL (n=31) NASH (n=54) P value Age, years 44 (30-49) 49 (40-59) 0.003"
BMI, kg/m2 41,5 (39.4-45.6) 38.5 (34.9-42.8) 0.006"
Type 2 diabetes, presence 6 (19.4) 30 (55.5) 0.001"
Triglycerides, mg/dl 170 (124-199) 185 (142-257) 0.151
Total Cholesterol, mg/dl 182 (157-207) 169 (137-220) 0.425
Thrombocytes, x 103/pl 241 (210-274) 219 (195-267) 0.125
AST, U/l 24 (22-30) 33 (25-51) 0.003"
ALT, U/l 36 (30-49) 46 (32-75) 0.087
GGT, U/l 29 (19-45) 50 (28-110) 0.006"
CCL2, pg/ml 342.8 (267.0-400.3) 349.5 (291.0-451.8) 0.326
FGF-21, pg/ml 265.6 (156.4-573.1) 296.4 (189.8-587.3) 0.586
CK-18 M30, U/l 252.7 (184.0-340.4) 270.9 (177.7-480.0) 0.535
Results were expressed as mean ± SD or median (interquartile range) for continuous variables, depending on the normality of the distribution, and n (%) for categorical variables. * P < 0.05; ** P < 0.01.
ALT: Alanine Aminotransferase; AST: Aspartate Aminotransferase; BMI: body mass index; CCL2: chemokine (C-C motif) ligand 2; CK-18 M30: cytokeratin-18 M30 fragments; FGF-2: fibroblast growth factor 21; GGT: y- glutamy Itransferase .
[0279] Fibrosis was absent, mild or moderate (F0-F2) in 73 patients, while 12 patients had progressed to advanced levels of fibrosis (F3-F4). CCL2 serum levels were significantly elevated in patients with advanced fibrosis compared to those without (P < 0.001), and also correlated with the FIB-4 score (FIGS. 1A, 1C; TABLE 4).
TABLE 4. Univariate analysis according to the presence of advanced (>F3) Fibrosis
<F2 Fibrosis (n=73) >F3 Fibrosis (n=12) P value
Age, years 44,8 ± 11,7 55,8 ± 9,6 0.003"
Type 2 diabetes, % 26 (36) 9 (75) 0.011*
ALT, U/l 37 (31,5-62) 44 (32-70) 0.883 AST, U/l 26 (23-41) 36 (27-58) 0.130
AST/ALT ratio 0.73 ± 0.2 0.92 ± 0.27 0.005"
GGT, U/l 33 (23-56) 92 (48-145) 0.006"
Thrombocytes, x 103/JJ.1 225 (198-270) 200 (171-277) 0.436
Total cholesterol, mg/dl 174 (150-211) 153 (98-235) 0.351 Triglycerides (mg/dl) 174 (129-218) 230 (170-452) 0.264
CCL2, pg/ml 345,6 ± 102,4 469,7 ± 117,7 <0.001"*
FGF-21, pg/ml 260 (157-537) 674 (281-868) 0.07
Results were expressed as mean ± SD or median (interquartile range) for continuous variables, depending on the normality of the distribution, and n (%) for categorical variables. * P < 0.05; ** P < 0.01; *** P < 0.001. ALT: Alanine Aminotransferase; AST: Aspartate Aminotransferase; CCL2: chemokine (C-C motif) ligand 2; FGF-2: fibroblast growth factor 21; GGT: y-glutamyltransferase.
[0280] CCL2 levels were not significantly different between patients with NAFL or NASH (FIG. 1A). FGF21 serum levels did not correlate with the stage of fibrosis, nor did CCL2 concentrations correlate with FGF21 serum levels FIGS. IB and ID). On the contrary, FGF21 was associated with biomarkers of steatohepatitis (CK-18 M30, yGT, AST) (FIG. IE). In multivariate analysis, the association between advanced fibrosis (F3-F4) and CCL2 levels remained significant (P = 0.017) after adjusting for the AST / ALT ratio and presence of type 2 diabetes, which were the only other factors independently associated with advanced fibrosis in our cohort (TABLE 5).
TABLE 5. Multivariate analysis according to the presence of advanced (>F3) Fibrosis
>F3 fibrosis (n=12) vs. <F2 fibrosis (n=73)
OR 95% CI P value
Ratio AST/ALT 15.981 1.052-242.861 0.046*
5.131 1.096-24.020 0.038*
Type 2 diabetes, presence
CCL2, pg/ml 1.007 1.001-1.013 0.017*
* P < 0.05.
ALT: alanine aminotransferase; AST: aspartate aminotransferase; CCL2:chemokine (C-C motif) ligand 2. [0281] In conclusion, these data indicated differing roles for CCR2-CCL2 and FGF21 pathways in the pathogenesis of liver fibrosis and chronic steatohepatitis, corroborating the potential distinct benefits of pharmacological targeting each pathway.
[0282] Effects of CCR2/CCR5 inhibition and FGF21 agonism on hepatic infiltration of monocytes in acute liver injury
[0283] CCL2 attracts monocytes via CCR2 to the site of injury leading to the differentiation of monocytes into MoMF, which drive hepatic inflammation and activate hepatic stellate cells (HSC), thereby aggravating fibrosis progression (Weiskirchen R, Tacke F. Liver Fibrosis: From Pathogenesis to Novel Therapies. Dig Dis. 2016;34(4):410-22; Baeck C, Wei X, Bartneck M, Fech V, Heymann F, Gassier N, et al. Pharmacological inhibition of the chemokine C-C motif chemokine ligand 2 (monocyte chemoattractant protein 1) accelerates liver fibrosis regression by suppressing Ly-6C(+) macrophage infiltration in mice. Hepatology. 2014;59(3): 1060-72). In order to investigate the efficacy of the CCR2/5 inhibitor (CCR2/5i) on blocking monocyte infiltration and to demonstrate that combination therapy with the PEG- FGF21 variant (FGF21v) does not affect this mechanism, the acute liver injury model induced by a single injection of carbon tetrachloride (CC14) in mice was used. Immune cell populations and liver injury were assessed 36h after CC14 injection (FIG. 2A). CCR2/5 inhibition was associated with significantly reduced numbers of hepatic monocytes and F4/80-positive hepatic monocyte- derived macrophages (MoMF) (FIGS. 2B, 2C, and 2G) as well as blood monocytes (FIG. 2F). The reduction in monocytes and MoMF was accompanied by a significant amelioration of the liver injury, as assessed by quantification of the necrotic area fraction (FIGS. 2B and 2C) and serum ALT and AST levels (FIG. 2D). Of note, CCR2/5 inhibition did not affect other myeloid or lymphoid immune cell populations (data not shown). In corroboration of these findings, combination therapy reflected the inhibition of monocyte infiltration into acutely injured liver that was also seen by CCR2/5i single treatment. PEG-FGF21v treatment was associated with a trend towards reduced levels of blood granulocytes (FIG. 2F) and significantly lower AST and ALT serum levels (FIG. 2D) without an impact on necrotic area fraction (FIG. 2C). These findings supported that CCR2/5 inhibition blocks monocyte infiltration in acute liver injury. Importantly, this effect was not affected by combination treatment with PEG-FGF21v, stressing the different mode of action of both compounds, which were therefore evaluated in combination in a chronic model of fatty liver disease. [0284] Combination therapy by dual CCR2/CCR5 inhibition and FGF21 agonism ameliorated steatohepatitis and fibrosis more effectively than single drug treatment
[0285] In mice and humans, infiltration of monocytes and accumulation of MoMF into the chronically injured liver can be inhibited by CCR2/5 antagonists (Puengel T, Krenkel O, Kohlhepp M, Lefebvre E, Luedde T, Trautwein C, et al. Differential impact of the dual CCR2/CCR5 inhibitor cenicriviroc on migration of monocyte and lymphocyte subsets in acute liver injury. PLoS One. 2017;12(9):e0184694; Krenkel O, Puengel T, Govaere O, Abdallah AT, Mossanen JC, Kohlhepp M, et al. Therapeutic inhibition of inflammatory monocyte recruitment reduces steatohepatitis and liver fibrosis. Hepatology. 2018;67(4): 1270-83), while fibroblast growth factor 21 (FGF21) can ameliorate pathologic drivers of NASH and fibrosis by affecting lipid and glucose metabolism (Markan KR, Naber MC, Ameka MK, Anderegg MD, Mangelsdorf DJ, Kliewer SA, et al. Circulating FGF21 is liver derived and enhances glucose uptake during refeeding and overfeeding. Diabetes. 2014;63(12):4057-63; Coskun T, Bina HA, Schneider MA, Dunbar JD, Hu CC, Chen Y, et al. Fibroblast growth factor 21 corrects obesity in mice. Endocrinology. 2008;149(12):6018-27). The CDAHFD liver injury model was used to induce steatohepatitis and liver fibrosis over a total period of 12 weeks, and started pharmacologic treatment from half of the time over the last 6 weeks (FIG. 3A). Counter-regulatory elevated levels of CCL2 and CCL5 in the serum confirmed efficient pharmacologic inhibition of CCR2 and CCR5 (FIG. 5E). Control animals showed a continuous weight gain over time, while CDAHFD fed mice rather maintained their bodyweight. Mice which received PEG-FGF21v demonstrated moderate weight loss compared to CCR2/5 inhibitor-treated mice. Combination treatment showed additive effects, as mice displayed the lowest bodyweight overall (FIG. 3B). Inhibition of CCR2/CCR5 was accompanied by significantly reduced levels of hepatic macrophages (FIGS. 3C and 31), serum alanine transaminase (ALT) levels (FIG. 3D) and liver fibrosis (FIGS. 3C and 3E). Assessment of the NAFLD activity score (NAS) components revealed beneficial effects of FGF21 administration on hepatic steatosis, which was confirmed by a lower hepatic triglyceride content, while CCR2/5 treatment was associated with reduced lobular inflammation (FIGS. 3B, 3E, and 3F). Whereas an ALT decrease was observed following PEG-FGF21v treatment, liver fibrosis was especially mitigated by CCR2/5 inhibition
(FIGS. 3B-3D)
[0286] Combination treatment with the CCR2/5 antagonist and the PEG-FGF21v reflected beneficial effects of both single drug treatments regarding bodyweight evolution, hepatic triglyceride content, histological liver injury and fibrosis. In addition, combined therapy had synergistic effects on hepatocyte ballooning and on the NAS overall. Positive synergistic effects were also revealed on gene expression levels related to inflammation (Tnf, Mcpl) and fibrosis (Tgtp, asma, Collal, Timpl) (FIG. 5F). Similar to the CC14 experiment, CCR2/5 inhibitor-treated animals demonstrated a strong inhibition of blood monocytes (FIG. 3H) and F4/80-positive MoMF accumulation (FIGS. 3C, 31, and 3J) without affecting resident hepatic macrophages (FIG. 31) or lymphocyte populations (FIGS. 6A and 6B). These data indicated that combination of CCR2/5 inhibition and PEG-FGF21v treatment was more potent than single drug treatment alone, providing justification for clinical studies of combination treatments of these mechanisms in patients with NASH and fibrosis.
[0287] Potent synergistic effects of combination therapy were already active at early disease stages
[0288] Based on the effects of single and combination therapy on histological endpoints in the 6-weeks treatment model, the early effects of pharmacologic therapy in the CDAHFD mouse model were investigated. In contrast to the long-term model, liver injury was assessed after only two weeks of pharmacologic treatment, thus at week 8 after injury induction (FIG. 4A). Histologic analysis showed moderate levels of fibrosis and steatohepatitis after 8 weeks CDAHFD (FIG. 4B). Remarkably, all aspects of disease phenotype were most effectively improved in the combination treatment (FIGS. 4B-4E). Liver injury as assessed by serum alanine transaminases (ALT) was significantly reduced in mice which received PEG-FGF21v. Liver injury was ameliorated most significantly when PEG-FGF21v was combined with the CCR2/5 antagonist (FIG. 4C). Similarly, liver triglycerides were moderately (non-significant) reduced with PEG-FGF21v, but significantly lowered in the combination treatment (FIG. 4C). Single drug treatment caused trends (non-significant) towards reduced levels of fibrosis at this timepoint (FIG. 4D), but a stronger fibrosis reduction upon combined therapy with CCR2/5 antagonist and PEG-FGF21v. Similarly, although all therapy regimens significantly reduced the NAS, combination treatment was most effective for all aspects of NAS (FIG. 4C, and data not shown).
[0289] The particular effects of the CCR2/5 antagonist on the composition of the hepatic immune cell compartment were present in single CCR2/5i or combination therapy. Analogous to long-term treatment, monocytes and monocyte-derived macrophages were significantly reduced upon pharmacologic treatment without affecting resident liver Kupffer cells or lymphoid immune cells (FIG. 4F, and data not shown). Collectively, while individual aspects of distinct drug targeting remained preserved in combination treatments, targeting multiple pharmacologic pathways appeared more potent for improving the liver disease phenotype than single drug treatment.
[0290] Discussion
[0291] The prevalence of NAFLD and NASH is increasing, leading to the projection that liver-related morbidity and mortality will dramatically increase within the next decades in many areas of the world (Estes C, Anstee QM, Arias-Loste MT, Bantel H, Bellentani S, Caballeria J, et al. Modeling NAFLD disease burden in China, France, Germany, Italy, Japan, Spain, United Kingdom, and United States for the period 2016-2030. J Hepatol. 2018;69(4):896-904). At present, lifestyle modification is the mainstay of therapeutic recommendations, while no specific pharmacologic treatment is available for the therapy of NAFLD/NASH (European Association for the Study of the Liver. EASL-EASD-EASO Clinical Practice Guidelines for the management of non-alcoholic fatty liver disease. J Hepatol. 2016;64(6): 1388-402). With many drugs targeting multiple pathways in metabolism, inflammation and fibrogenesis under development, it can be expected that several drugs will be approved in the foreseeable future (Friedman SL, Neuschwander-Tetri BA, Rinella M, Sanyal AJ. Mechanisms of NAFLD development and therapeutic strategies. Nat Med. 2018;24(7):908-22; Rinella ME, Tacke F, Sanyal AJ, Anstee QM, participants of the AEW. Report on the AASLDZEASL joint workshop on clinical trial endpoints in NAFLD. J Hepatol. 2019;71 (4): 823-33). Nevertheless, many compounds, including obeticholic acid, cenicriviroc and pegbelfermin, have only improved the investigational endpoints in a subset of patients exposed to these drugs (Younossi ZM, Ratziu V, Loomba R, Rinella M, Anstee QM, Goodman Z, et al. Obeticholic acid for the treatment of non-alcoholic steatohepatitis: interim analysis from a multicentre, randomised, placebo-controlled phase 3 trial. Lancet. 2019;394(10215):2184-96; Ratziu V, Sanyal A, Harrison SA, Wong VW, Francque S, Goodman Z, et al. Cenicriviroc Treatment for Adults with Nonalcoholic Steatohepatitis and Fibrosis: Final Analysis of the Phase 2b CENTAUR Study. Hepatology. 2020; Sanyal A, Charles ED, Neuschwander-Tetri BA, Loomba R, Harrison SA, Abdelmalek MF, et al. Pegbelfermin (BMS-986036), a PEGylated fibroblast growth factor 21 analogue, in patients with non-alcoholic steatohepatitis: a randomised, double-blind, placebo-controlled, phase 2a trial. Lancet. 2019;392(10165):2705-17). The involvement of many pathophysiological mechanisms and the crosstalk between them in NAFLD could partly explain why targeting a single pathway might be insufficient. Combination treatment is therefore an attractive possibility to overcome these problems, although there is currently little evidence to suggest specific combinations.
[0292] This study has demonstrated that the combination of targeting inflammatory pathways through inhibiting the CCR2 and CCR5 chemokine receptors, and restoring lipid metabolism through a pegylated FGF21 analogue ameliorated all histological features of NASH, including liver fibrosis, in mice. This specific regimen had synergistic effects compared to the use of the single compounds. The data was furthermore substantiated by an analysis of hepatic immune cells, hepatic fat content, serum CCL2 and FGF21 levels, which reflected the distinct pathophysiological modes of action for both compounds.
[0293] The CCR2/5 inhibitor cenicriviroc was investigated in the phase 2b CENTAUR trial, in which cenicriviroc significantly increased the proportion of patients achieving fibrosis regression after one year of treatment (Friedman SL, Ratziu V, Harrison SA, Abdelmalek MF, Aithal GP, Caballeria J, et al. A randomized, placebo-controlled trial of cenicriviroc for treatment of nonalcoholic steatohepatitis with fibrosis. Hepatology. 2018;67(5): 1754-67). In the present study, the CCR2/5 inhibition, using a novel oral CCR2/5 antagonist, strongly reduced the number of MoMF, and led to improved liver fibrosis. Results from the second year of follow-up in the CENTAUR trial suggest that the antifibrotic effect of cenicriviroc might not be durable in the long-term (Ratziu V, Sanyal A, Harrison SA, Wong VW, Francque S, Goodman Z, et al. Cenicriviroc Treatment for Adults with Nonalcoholic Steatohepatitis and Fibrosis: Final Analysis of the Phase 2b CENTAUR Study. Hepatology. 2020), possibly because the underlying metabolic stress is not alleviated.
[0294] The results presented have shown that combination of CCR2/5 antagonists with a metabolic, antisteatotic drug (such as an FGF21 agonist) can improve NASH and fibrosis in human patients more effectively than either drug alone (Lefere S, Devisscher L, Tacke F. Targeting CCR2/5 in the treatment of nonalcoholic steatohepatitis (NASH) and fibrosis: opportunities and challenges. Expert Opin Investig Drugs. 2020: 1-4).
[0295] Ongoing clinical trials demonstrated significantly reduced content of hepatic triglycerides in NASH patients treated with FGF21 agonists compared to the placebo group (Sanyal A, Charles ED, Neu sch wander-Tetri BA, Loomba R, Harrison SA, Abdelmalek MF, et al. Pegbelfermin (BMS-986036), a PEGylated fibroblast growth factor 21 analogue, in patients with non-alcoholic steatohepatitis: a randomised, double-blind, placebo-controlled, phase 2a trial. Lancet. 2019;392(10165):2705-17). The efficacy and safety of the FGF21 analogue pegbelfermin is currently being evaluated in a phase 2b clinical study in patients with NASH and stage 3 fibrosis (FALCON1, ClinicalTrials.gov Identifier NCT03486899) and patients with NASH cirrhosis (FALCON2, ClinicalTrials.gov Identifier NCT03486912).
[0296] In conclusion, this study confirmed therapeutic efficacy of CCR2/5 antagonists and FGF21 agonists in an experimental model of steatohepatitis and fibrosis. Targeting inflammatory and metabolic pathways at the same time ameliorated various aspects of NAFLD to a greater extent than single drug treatment alone, and indicated that combination therapies can have synergistic effects on the course of disease progression.
Example 2
Clinical Evaluation of Combination Therapy
[0297] Subjects with NAFLD or NASH are treated with an CCR2/5 antagonist (e.g., Compound C, or a pharmaceutically acceptable salt thereof) and a PEG-FGF-21 conjugate (e.g., SEQ ID NO :2 or SEQ ID NO: 4) for 6 months. The subjects are assessed before the study, and at intervals during the study during the therapy and after the last doses of therapy, for safety and pharmacodynamic evaluations. MRIs of the subjects' livers are taken during the therapy and after completion of the therapy, to determine the efficacy, e.g., reduction of hepatic fat.

Claims

- 73 - WHAT IS CLAIMED IS:
1. A method of treating or preventing a disease or condition associated with fibrosis and/or diabetes in a subject in need thereof comprising administering to the subject an effective amount of a fibroblast growth factor 21 (FGF-21) polypeptide in combination with a CCR2/5 dual antagonist.
2. The method of claim 1, wherein the FGF-21 polypeptide is administered sequentially with the CCR2/5 dual antagonist, in any order.
3. The method of claim 1, wherein the FGF-21 polypeptide is administered concurrently with the CCR2/5 dual antagonist.
4. The method of any one of claims 1 to 3, wherein the disease or condition is diabetes.
5. The method of claim 4, wherein the diabetes is type 2 diabetes.
6. The method of any one of claims 1 to 3, wherein the disease or condition is nonalcoholic steatohepatitis (NASH).
7. The method of any one of claims 1 to 3, wherein the disease or condition is nonalcoholic fatty liver disease (NAFLD).
8. The method of any one of claims 1 to 7, wherein the administration of the FGF-21 polypeptide and the CCR2/5 dual antagonist to the subject decreases liver stiffness, decreases percentage body fat, decreases body weight, decreases liver-to-body weight ratio, decreases liver lipid content, decreases liver fibrosis area, decreases fasting blood glucose levels, decreases fasting triglyceride levels, decreases LDL cholesterol levels, decreases ApoB levels, decreases ApoC levels, increases HDL cholesterol, or any combination thereof.
9. The method of any one of claims 1 to 7, wherein the administration of the FGF-21 polypeptide in combination with the CCR2/5 dual antagonist to the subject results in
(i) reduction in levels of liver fat;
(ii) reduction in levels of liver injury;
(iii) reduction in levels of fibrosis;
(iv) decrease in levels of fibrosis biomarker serum Pro-C3 (N-terminal type III collagen propeptide); - 74 -
(v) decrease in levels of alanine aminotransferase (ALT);
(vi) decrease in levels of aspartate aminotransferase (AST),
(vii) increase in levels of serum adiponectin;
(viii) decrease in levels of plasma LDL
(ix) increase in levels of plasma HDL;
(x) decrease in levels of plasma triglyceride;
(xi) reduction in level of liver stiffness;
(xii) any combination thereof, compared to the levels in untreated subjects or subjects prior to the administration of the FGF-21 polypeptide and/or the CCR2/5 dual antagonist, or to the levels in subjects treated only with the FGF-21 polypeptide or the CCR2/5 dual antagonist, but not both.
10. The method of any one of claims 1 to 9, wherein the administration of the FGF-21 polypeptide in combination with the CCR2/5 dual antagonist to the subject results in
(a) reduction in numbers of hepatic monocytes;
(b) reduction in numbers of F4/80-positive hepatic monocyte-derived macrophages (MoMF) or
(c) both (a) and (b).
11. The method of any one of claims 1 to 10, wherein the FGF-21 polypeptide is linked or conjugated to a half-life extending moiety.
12. The method of claim 11, wherein the half-life extending moiety comprises a polypeptide moiety.
13. The method of claim 12, wherein the half-life extending moiety comprises an Fc region, albumin, a PAS sequence, transferrin or CTP (28 amino acid C-terminal peptide (CTP) of hCG with its 4 O-glycans), albumin binding polypeptide, albumin-binding small molecules, or any combinations thereof.
14. The method of claim 11, wherein the half-life extending moiety comprises a nonpolypeptide moiety.
15. The method of claim 14, wherein the half-life extending moiety comprises polyethylene glycol (PEG), hydroxyethyl starch (HES), polysialic acid, or any combination thereof. - 75 -
16. The method of claim 14, wherein the FGF-21 polypeptide is conjugated to a polyethylene glycol (PEG) moiety (“FGF-21 conjugate”).
17. The method of claim 16, wherein the FGF-21 conjugate comprises:
FGF-21 polypeptide
Figure imgf000076_0001
(Formula I), and wherein n is any integer.
18. The method of claim 16 or 17, wherein the PEG moiety is conjugated to a non-natural amino acid in the FGF-21 polypeptide.
19. The method of claim 18, wherein the non-natural amino acid in the FGF-21 polypeptide is a phenylalanine derivative.
20. The method of claim 19, wherein the phenylalanine derivative is para-acetyl-L- phenylalanine.
21. The method of any one of claims 1 to 20, wherein the FGF-21 polypeptide comprises an amino acid sequence having at least about 70%, at least about 75%, at least about 80%, at least about 85%, at least about 90%, at least about 95%, at least about 96%, at least about 97%, at least about 98%, or at least about 99% amino acid sequence identity to the amino acid sequence of SEQ ID NO: 3, 7, 11, or 15, wherein the polypeptide has a FGF-21 activity.
22. The method of any one of claims 1 to 21, wherein the FGF-21 polypeptide has a deletion, insertion, and/or substitution.
23. The method of any one of claims 18 to 22, wherein the non-natural amino acid is at amino acid residue 109 corresponding to SEQ ID NO: 3.
24. The method of any one of claims 1 to 23, wherein the FGF-21 polypeptide comprises the sequence as set forth in SEQ ID NO: 1, 5, 9, or 13.
25. The method of claim 17, wherein the FGF-21 conjugate corresponds to a compound of SEQ ID NO: 2, 6, 10, or 14. - 76 -
26. The method of claim 17, wherein the n is from about 500 to about 900 ethylene glycol units, from about 600 to about 800 ethylene glycol units, from about 650 to about 750 ethylene glycol units, or from about 670 to about 690.
27. The method of claim 26, wherein the n is between about 670 and about 690, e.g., about 681.
28. The method of any one of claims 1 to 27, wherein the FGF-21 polypeptide corresponds to a compound of SEQ ID NO: 4, 8, 12, or 16.
29. The method of any one of claims 1 to 23, wherein the FGF-21 polypeptide comprises the sequence as set forth in SEQ ID NO: 4 or 12.
30. The method of claims 1 to 29, wherein the FGF-21 conjugate is in an L conformation.
31. The method of any one of claims 1 to 30, wherein the FGF-21 polypeptide is formulated with an aminopolycarboxylic acid cation chelator, a surfactant, an amino acid buffering agent, an osmotic regulator, or any combination thereof.
32. The method of claim 31, wherein the aminopolycarboxylic acid cation chelator is diethylenetriaminepentaacetic acid (DTP A).
33. The method of any one of claims 31 or 32, wherein the pH of the formulation is about 6.7, about 6.8, about 6.9, about 7.0, about 7.1, about 7.2, about 7.3, about 7.4, or about 7.5.
34. The method of any one of claims 1 to 33, wherein the FGF-21 polypeptide is formulated at, e.g., about 20 mg/ml with:
(i) histidine at a concentration between about 10 mM and about 50 mM, e.g., about 20mM;
(ii) sucrose at a concentration between about 100 mM and about IM, e.g., about 600mM;
(iii) polysorbate 80 at a concentration between about 0.01% and about 0.1% (w/v), e.g., about 0.05% (w/v); and,
(iv) DTPA at a concentration between about 10 pM and about 100 pM, e.g., about 50 pM; wherein the pH of the formulation is between about 6.7 and about 7.5, e.g., about 7.1, wherein the FGF-21 polypeptide comprises formula I: - 77 -
FGF-21 polypeptide
Figure imgf000078_0001
(Formula I), wherein n is between about 670 and about 690, e.g., about 681, and wherein the FGF-21 polypeptide comprises SEQ ID NO: 1 or SEQ ID NO: 9.
35. The method of any one of claims 1 to 34, wherein the CCR2/5 dual antagonist is a polypeptide.
36. The method of any one of claims 1 to 34, wherein the CCR2/5 dual antagonist is a small molecule.
37. The method of claim 36, wherein the CCR2/5 dual antagonist is a compound of formula (X):
Figure imgf000078_0002
(X); or a pharmaceutically acceptable salt thereof, wherein:
R1 is hydrogen or Ci-Ce alkyl;
R8 and R9 are independently selected from hydrogen and Ci-Ce alkyl;
R10 is Ci-C6 alkyl;
Het is an optionally substituted 3- to 14-membered monocyclic or bicyclic heterocyclyl or heteroaryl ring having at least one nitrogen atom;
Ra and Rb are each hydrogen, or, together form an oxo group; and Z is NH or CH2.
38. The method of claim 36, wherein the CCR2/5 dual antagonist is compound (A):
Figure imgf000079_0001
(A); or a pharmaceutically acceptable salt thereof.
39. The method of claim 36, wherein the CCR2/5 dual antagonist is compound (C):
Figure imgf000079_0002
(Q; or a pharmaceutically acceptable salt thereof.
40. A kit or article of manufacture comprising (i) an FGF-21 polypeptide and/or a CCR2/5 dual antagonist, and (ii) instructions for use according to the method of any one of claims 1 to 39.
41. The method of any one of claims 1 to 39, wherein the subject is human.
42. The method of claim 41, wherein the method is treating the disease or condition associated with fibrosis and/or diabetes.
43. A method of treating NASH in a human subject in need thereof comprising administering to the human subject an effective amount of (1) the PEG-FGF-21 conjugate of Formula I
Modified FGF-21
Figure imgf000079_0003
(Formula I), wherein an about 30 kD PEG moiety with n being between about 670 and about 690 is conjugated to the para-acetyl-L-phenylalanine of the FGF-21 polypeptide of SEQ ID NO:
2 or SEQ ID NO: 10; in combination with (2) compound C
Figure imgf000080_0001
44. The method of claim 43, wherein the PEG moiety comprises a distal methoxy (-O-CEE) group.
45. The method of claim 44, wherein n is about 681.
46. The method of claim 36, wherein the CCR2/5 dual antagonist is compound (C):
Figure imgf000080_0002
47. The method of claim 36, wherein the CCR2/5 dual antagonist is a pharmaceutically acceptable salt of Compound C:
Figure imgf000080_0003
48. A method of treating NASH in a human subject in need thereof comprising administering to the human subject an effective amount of (1) the PEG-FGF-21 conjugate of Formula I
Modified FGF-21
Figure imgf000081_0001
(Formula I), wherein an about 30 kD PEG moiety with n being between about 670 and about 690 is conjugated to the para-acetyl-L-phenylalanine of the FGF-21 polypeptide of SEQ ID NO: 2 or SEQ ID NO: 10; in combination with (2)a pharmaceutically acceptable salt of compound C
Figure imgf000081_0002
49. The method of claim 48, wherein the PEG moiety comprises a distal methoxy (-O- CH3) group.
50. The method of claim 49, wherein n is about 681.
PCT/US2021/0450902020-08-072021-08-06Fgf21 combined with ccr2/5 antagonists for the treatment of fibrosisCeasedWO2022032187A1 (en)

Priority Applications (2)

Application NumberPriority DateFiling DateTitle
EP21773170.2AEP4192495A1 (en)2020-08-072021-08-06Fgf21 combined with ccr2/5 antagonists for the treatment of fibrosis
JP2023509393AJP2023538533A (en)2020-08-072021-08-06 FGF21 in combination with CCR2/5 antagonists for the treatment of fibrosis

Applications Claiming Priority (10)

Application NumberPriority DateFiling DateTitle
US202063063189P2020-08-072020-08-07
US63/063,1892020-08-07
US202063065414P2020-08-132020-08-13
US63/065,4142020-08-13
US202063065749P2020-08-142020-08-14
US202063065935P2020-08-142020-08-14
US63/065,9352020-08-14
US63/065,7492020-08-14
US202063067184P2020-08-182020-08-18
US63/067,1842020-08-18

Publications (1)

Publication NumberPublication Date
WO2022032187A1true WO2022032187A1 (en)2022-02-10

Family

ID=77821982

Family Applications (1)

Application NumberTitlePriority DateFiling Date
PCT/US2021/045090CeasedWO2022032187A1 (en)2020-08-072021-08-06Fgf21 combined with ccr2/5 antagonists for the treatment of fibrosis

Country Status (3)

CountryLink
EP (1)EP4192495A1 (en)
JP (1)JP2023538533A (en)
WO (1)WO2022032187A1 (en)

Cited By (2)

* Cited by examiner, † Cited by third party
Publication numberPriority datePublication dateAssigneeTitle
WO2022115597A1 (en)*2020-11-252022-06-02Bristol-Myers Squibb CompanyMethods of treating liver diseases
WO2025155843A1 (en)*2024-01-192025-07-24Akero Therapeutics, Inc.Method of treating liver or lung injury

Citations (44)

* Cited by examiner, † Cited by third party
Publication numberPriority datePublication dateAssigneeTitle
US4179337A (en)1973-07-201979-12-18Davis Frank FNon-immunogenic polypeptides
US5252714A (en)1990-11-281993-10-12The University Of Alabama In HuntsvillePreparation and use of polyethylene glycol propionaldehyde
US5643575A (en)1993-10-271997-07-01Enzon, Inc.Non-antigenic branched polymer conjugates
US5712122A (en)1989-02-211998-01-27Washington UniversityCarboxy terminal peptide-extended proteins
WO2001018172A2 (en)1999-09-072001-03-15Amgen, Inc.Fibroblast growth factor-like polypeptides
WO2001036640A2 (en)1999-11-182001-05-25Chiron CorporationHuman fgf-21 gene and gene expression products
US20010012628A1 (en)1999-11-052001-08-09Pankaj AgarwalsbgFGF-19a
US20020164713A1 (en)1999-11-182002-11-07Chiron CorporationHuman FGF-21 gene and gene expression products
WO2003011213A2 (en)2001-07-302003-02-13Eli Lilly And CompanyMethod for treating diabetes and obesity
WO2003059270A2 (en)2002-01-152003-07-24Eli Lilly And CompanyMethod for reducing morbidity and mortality in critically ill patients
US6686179B2 (en)1992-01-312004-02-03Aventis Behring L.L.C.Fusion polypeptides of human serum albumin and a therapeutically active polypeptide
WO2004110472A2 (en)2003-06-122004-12-23Eli Lilly And CompanyFusion proteins
WO2005061712A1 (en)2003-12-102005-07-07Eli Lilly And CompanyMuteins of fibroblast growth factor 21
WO2005072769A1 (en)2004-01-262005-08-11Eli Lilly And CompanyUse of fgf-21 and thiazolidinedione for treating type 2 diabetes
WO2005091944A2 (en)2004-03-172005-10-06Eli Lilly And CompanyGlycol linked fgf-21 compounds
WO2005113606A2 (en)2004-05-132005-12-01Eli Lilly And CompanyFgf-21 fusion proteins
WO2006028595A2 (en)2004-09-022006-03-16Eli Lilly And CompanyMuteins of fibroblast growth factor 21
WO2006028714A1 (en)2004-09-022006-03-16Eli Lilly And CompanyMuteins of fibroblast growth factor 21
WO2006050247A2 (en)2004-10-292006-05-11Neose Technologies, Inc.Remodeling and glycopegylation of fibroblast growth factor (fgf)
WO2006065582A2 (en)2004-12-142006-06-22Eli Lilly And CompanyMuteins of fibroblast growth factor 21
WO2006078463A2 (en)2005-01-212006-07-27Eli Lilly And CompanyMethod for treating cardiovascular disease
US7163937B2 (en)2003-08-212007-01-16Bristol-Myers Squibb CompanyCyclic derivatives as modulators of chemokine receptor activity
WO2007103515A2 (en)2006-03-062007-09-13Amunix, Inc.Unstructured recombinant polymers and uses thereof
WO2008155134A1 (en)2007-06-212008-12-24Technische Universität MünchenBiological active proteins having increased in vivo and/or vitro stability
WO2009023270A2 (en)2007-08-152009-02-19Amunix, Inc.Compositions and methods for modifying properties of biologically active polypeptides
US20090087411A1 (en)2006-02-032009-04-02Fuad FaresLong-acting interferons and derivatives thereof and methods thereof
US7592010B2 (en)2001-12-212009-09-22Human Genome Sciences, Inc.Albumin fusion proteins
WO2009149171A2 (en)2008-06-042009-12-10Amgen Inc.Fgf21 mutants and uses thereof
WO2010042747A2 (en)2008-10-102010-04-15Amgen Inc.Fgf21 mutants and uses thereof
US20100189682A1 (en)2005-09-272010-07-29Volker SchellenbergerBiologically active proteins having increased In Vivo and/or In Vitro stability
WO2010091122A1 (en)2009-02-032010-08-12Amunix, Inc.Extended recombinant polypeptides and compositions comprising same
US8012931B2 (en)2007-03-302011-09-06Ambrx, Inc.Modified FGF-21 polypeptides and their uses
WO2011154349A2 (en)2010-06-082011-12-15Novo Nordisk A/SFgf21 analogues and derivatives
WO2012066075A1 (en)2010-11-192012-05-24Novartis AgMethods of treating fgf21-associated disorders
US8383812B2 (en)2009-10-132013-02-26Bristol-Myers Squibb CompanyN-((1R,2S,5R)-5-(tert-butylamino)-2-((S)-3-(7-tert-butylpyrazolo[1,5-A][1,3,5]triazin-4-ylamino)-2-oxopyrrolidin-1-yl)cyclohexyl)acetamide, a dual modulator of chemokine receptor activity, crystalline forms and processes
WO2013052311A1 (en)2011-10-042013-04-11Eli Lilly And CompanyFibroblast growth factor 21 variants
WO2013188181A1 (en)2012-06-112013-12-19Eli Lilly And CompanyFibroblast growth factor 21 proteins
WO2014144878A2 (en)*2013-03-152014-09-18The Scripps Research InstituteNovel thiol & amino modifying reagents for protein chemistry and methods of use thereof
WO2015143367A2 (en)*2014-03-212015-09-24Tobira Therapeutics, Inc.Cenicriviroc for the treatment of fibrosis
US9434788B2 (en)2012-07-112016-09-06The United States Of America, As Represented By The Secretary Of AgricultureBio-based fiber gums (BFGs) and processes for producing BFGs
US20170189486A1 (en)2014-10-242017-07-06Bristol-Myers Squibb CompanyModified fgf-21 polypeptides and uses thereof
WO2018126016A1 (en)*2016-12-282018-07-05Modunex Bio Corp.Combination therapy for nonalcoholic steatohepatitis (nash) and liver fibrosis
US20190224205A1 (en)2018-01-222019-07-25Bristol-Myers Squibb CompanyCompositions and methods of treating cancer
WO2021142143A1 (en)*2020-01-082021-07-15Bristol-Myers Squibb CompanyFgf-21 conjugate formulations

Patent Citations (52)

* Cited by examiner, † Cited by third party
Publication numberPriority datePublication dateAssigneeTitle
US4179337A (en)1973-07-201979-12-18Davis Frank FNon-immunogenic polypeptides
US5712122A (en)1989-02-211998-01-27Washington UniversityCarboxy terminal peptide-extended proteins
US5252714A (en)1990-11-281993-10-12The University Of Alabama In HuntsvillePreparation and use of polyethylene glycol propionaldehyde
US6686179B2 (en)1992-01-312004-02-03Aventis Behring L.L.C.Fusion polypeptides of human serum albumin and a therapeutically active polypeptide
US5643575A (en)1993-10-271997-07-01Enzon, Inc.Non-antigenic branched polymer conjugates
WO2001018172A2 (en)1999-09-072001-03-15Amgen, Inc.Fibroblast growth factor-like polypeptides
US20010012628A1 (en)1999-11-052001-08-09Pankaj AgarwalsbgFGF-19a
US20040185494A1 (en)1999-11-182004-09-23Chiron CorporationHuman FGF-21 gene and gene expression products
WO2001036640A2 (en)1999-11-182001-05-25Chiron CorporationHuman fgf-21 gene and gene expression products
US20020164713A1 (en)1999-11-182002-11-07Chiron CorporationHuman FGF-21 gene and gene expression products
US6716626B1 (en)1999-11-182004-04-06Chiron CorporationHuman FGF-21 nucleic acids
US20050037457A1 (en)1999-11-182005-02-17Chiron CorporationHuman FGF-21 gene and gene expression products
US20040259780A1 (en)2001-07-302004-12-23Glasebrook Andrew LawrenceMethod for treating diabetes and obesity
WO2003011213A2 (en)2001-07-302003-02-13Eli Lilly And CompanyMethod for treating diabetes and obesity
US7592010B2 (en)2001-12-212009-09-22Human Genome Sciences, Inc.Albumin fusion proteins
WO2003059270A2 (en)2002-01-152003-07-24Eli Lilly And CompanyMethod for reducing morbidity and mortality in critically ill patients
US20050176631A1 (en)2002-01-152005-08-11Heuer Josef G.Method for reducing morbidity and mortality in critically ill patients
WO2004110472A2 (en)2003-06-122004-12-23Eli Lilly And CompanyFusion proteins
US7163937B2 (en)2003-08-212007-01-16Bristol-Myers Squibb CompanyCyclic derivatives as modulators of chemokine receptor activity
WO2005061712A1 (en)2003-12-102005-07-07Eli Lilly And CompanyMuteins of fibroblast growth factor 21
WO2005072769A1 (en)2004-01-262005-08-11Eli Lilly And CompanyUse of fgf-21 and thiazolidinedione for treating type 2 diabetes
WO2005091944A2 (en)2004-03-172005-10-06Eli Lilly And CompanyGlycol linked fgf-21 compounds
WO2005113606A2 (en)2004-05-132005-12-01Eli Lilly And CompanyFgf-21 fusion proteins
WO2006028595A2 (en)2004-09-022006-03-16Eli Lilly And CompanyMuteins of fibroblast growth factor 21
WO2006028714A1 (en)2004-09-022006-03-16Eli Lilly And CompanyMuteins of fibroblast growth factor 21
WO2006050247A2 (en)2004-10-292006-05-11Neose Technologies, Inc.Remodeling and glycopegylation of fibroblast growth factor (fgf)
WO2006065582A2 (en)2004-12-142006-06-22Eli Lilly And CompanyMuteins of fibroblast growth factor 21
WO2006078463A2 (en)2005-01-212006-07-27Eli Lilly And CompanyMethod for treating cardiovascular disease
US20100189682A1 (en)2005-09-272010-07-29Volker SchellenbergerBiologically active proteins having increased In Vivo and/or In Vitro stability
US20090087411A1 (en)2006-02-032009-04-02Fuad FaresLong-acting interferons and derivatives thereof and methods thereof
WO2007103515A2 (en)2006-03-062007-09-13Amunix, Inc.Unstructured recombinant polymers and uses thereof
US8012931B2 (en)2007-03-302011-09-06Ambrx, Inc.Modified FGF-21 polypeptides and their uses
WO2008155134A1 (en)2007-06-212008-12-24Technische Universität MünchenBiological active proteins having increased in vivo and/or vitro stability
US20100292130A1 (en)2007-06-212010-11-18Technische Universitat MunchenBiological active proteins having increased in vivo and/or in vitro stability
EP2173890A1 (en)2007-06-212010-04-14Technische Universität MünchenBiological active proteins having increased in vivo and/or vitro stability
US20090092582A1 (en)2007-08-152009-04-09Oren BoginCompositions and methods for modifying properties of biologically active polypeptides
WO2009023270A2 (en)2007-08-152009-02-19Amunix, Inc.Compositions and methods for modifying properties of biologically active polypeptides
WO2009149171A2 (en)2008-06-042009-12-10Amgen Inc.Fgf21 mutants and uses thereof
WO2010042747A2 (en)2008-10-102010-04-15Amgen Inc.Fgf21 mutants and uses thereof
WO2010091122A1 (en)2009-02-032010-08-12Amunix, Inc.Extended recombinant polypeptides and compositions comprising same
US8383812B2 (en)2009-10-132013-02-26Bristol-Myers Squibb CompanyN-((1R,2S,5R)-5-(tert-butylamino)-2-((S)-3-(7-tert-butylpyrazolo[1,5-A][1,3,5]triazin-4-ylamino)-2-oxopyrrolidin-1-yl)cyclohexyl)acetamide, a dual modulator of chemokine receptor activity, crystalline forms and processes
WO2011154349A2 (en)2010-06-082011-12-15Novo Nordisk A/SFgf21 analogues and derivatives
WO2012066075A1 (en)2010-11-192012-05-24Novartis AgMethods of treating fgf21-associated disorders
WO2013052311A1 (en)2011-10-042013-04-11Eli Lilly And CompanyFibroblast growth factor 21 variants
WO2013188181A1 (en)2012-06-112013-12-19Eli Lilly And CompanyFibroblast growth factor 21 proteins
US9434788B2 (en)2012-07-112016-09-06The United States Of America, As Represented By The Secretary Of AgricultureBio-based fiber gums (BFGs) and processes for producing BFGs
WO2014144878A2 (en)*2013-03-152014-09-18The Scripps Research InstituteNovel thiol & amino modifying reagents for protein chemistry and methods of use thereof
WO2015143367A2 (en)*2014-03-212015-09-24Tobira Therapeutics, Inc.Cenicriviroc for the treatment of fibrosis
US20170189486A1 (en)2014-10-242017-07-06Bristol-Myers Squibb CompanyModified fgf-21 polypeptides and uses thereof
WO2018126016A1 (en)*2016-12-282018-07-05Modunex Bio Corp.Combination therapy for nonalcoholic steatohepatitis (nash) and liver fibrosis
US20190224205A1 (en)2018-01-222019-07-25Bristol-Myers Squibb CompanyCompositions and methods of treating cancer
WO2021142143A1 (en)*2020-01-082021-07-15Bristol-Myers Squibb CompanyFgf-21 conjugate formulations

Non-Patent Citations (48)

* Cited by examiner, † Cited by third party
Title
"GenBank", Database accession no. XM 039847
BAECK CWEI XBARTNECK MFECH VHEYMANN FGASSIER N ET AL.: "Pharmacological inhibition of the chemokine C-C motif chemokine ligand 2 (monocyte chemoattractant protein 1) accelerates liver fibrosis regression by suppressing Ly-6C(+) macrophage infiltration in mice", HEPATOLOGY, vol. 59, no. 3, 2014, pages 1060 - 72
BAI ET AL., PROC. NATL. ACAD. SCI. USA, vol. 102, 2005, pages 7292 - 7296
BARTNECK MFECH VEHLING JGOVAERE OWARZECHA KTHITTATIYA K ET AL.: "Histidine-rich glycoprotein promotes macrophage activation and inflammation in chronic liver disease", HEPATOLOGY, vol. 63, no. 4, 2016, pages 1310 - 24
BEDOSSA PCONSORTIUM FP: "Utility and appropriateness of the fatty liver inhibition of progression (FLIP) algorithm and steatosis, activity, and fibrosis (SAF) score in the evaluation of biopsies of nonalcoholic fatty liver disease", HEPATOLOGY, vol. 60, no. 2, 2014, pages 565 - 75
BRANDSMA ET AL., BIOTECHNOL. ADV., vol. 29, 2011, pages 230 - 238
CALICETI ET AL., BIOCONJUG. CHEM., vol. 10, 1999, pages 638 - 646
COSKUN TBINA HASCHNEIDER MADUNBAR JDHU CCCHEN Y ET AL.: "Fibroblast growth factor 21 corrects obesity in mice", ENDOCRINOLOGY, vol. 149, no. 12, 2008, pages 6018 - 27, XP009122247, DOI: 10.1210/en.2008-0816
DENNIS ET AL., J. BIOL. CHEM., vol. 277, 2002, pages 35035 - 35043
ESTES CANSTEE QMARIAS-LOSTE MTBANTEL HBELLENTANI SCABALLERIA J ET AL.: "Modeling NAFLD disease burden in China, France, Germany, Italy, Japan, Spain, United Kingdom, and United States for the period 2016-2030", J HEPATOL, vol. 69, no. 4, 2018, pages 896 - 904
EUROPEAN ASSOCIATION FOR THE STUDY OF THE LIVER: "EASL-EASD-EASO Clinical Practice Guidelines for the management of non-alcoholic fatty liver disease", J HEPATOL, vol. 64, no. 6, 2016, pages 1388 - 402
FRIEDMAN SLNEUSCHWANDER-TETRI BARINELLA MSANYAL AJ: "Mechanisms of NAFLD development and therapeutic strategies", NAT MED, vol. 24, no. 7, 2018, pages 908 - 22, XP036542053, DOI: 10.1038/s41591-018-0104-9
FRIEDMAN SLRATZIU VHARRISON SAABDELMALEK MFAITHAL GPCABALLERIA J ET AL.: "A randomized, placebo-controlled trial of cenicriviroc for treatment of nonalcoholic steatohepatitis with fibrosis", HEPATOLOGY, vol. 67, no. 5, 2018, pages 1754 - 67
HAUKELAND JWDAMAS JKKONOPSKI ZLOBERG EMHAALAND TGOVERUD I ET AL.: "Systemic inflammation in nonalcoholic fatty liver disease is characterized by elevated levels of CCL2", J HEPATOL, vol. 44, no. 6, 2006, pages 1167 - 74, XP025054331, DOI: 10.1016/j.jhep.2006.02.011
HOLT ET AL., PROT. ENG. DESIGN SCI., vol. 21, 2008, pages 283 - 288
KHARITONENKOV ASHIYANOVA TLKOESTER AFORD AMMICANOVIC RGALBREATH EJ ET AL.: "FGF-21 as a novel metabolic regulator", J CLIN INVEST, vol. 115, no. 6, 2005, pages 1627 - 35, XP002362553, DOI: 10.1172/JCI23606
KIM ET AL., J. PHARMACOL. EXP. THER., vol. 334, 2010, pages 682 - 692
KIM KYEONGJIN ET AL: "Targeting of Secretory Proteins as a Therapeutic Strategy for Treatment of Nonalcoholic Steatohepatitis (NASH)", INTERNATIONAL JOURNAL OF MOLECULAR SCIENCES, vol. 21, no. 7, 26 March 2020 (2020-03-26), pages 2296, XP055858834, Retrieved from the Internet <URL:https://www.ncbi.nlm.nih.gov/pmc/articles/PMC7177791/pdf/ijms-21-02296.pdf> DOI: 10.3390/ijms21072296*
KLEINER DEBRUNT EM: "Nonalcoholic fatty liver disease: pathologic patterns and biopsy evaluation in clinical research", SEMIN LIVER DIS, vol. 32, no. 1, 2012, pages 3 - 13
KLEINER DEBRUNT EMVAN NATTA MBEHLING CCONTOS MJCUMMINGS OW ET AL.: "Design and validation of a histological scoring system for nonalcoholic fatty liver disease", HEPATOLOGY, vol. 41, no. 6, 2005, pages 1313 - 21, XP055123202, DOI: 10.1002/hep.20701
KRAULIS ET AL., EBS LETT., vol. 378, 1996, pages 190 - 194
KRENKEL O, PUENGEL TGOVAERE OABDALLAH ATMOSSANEN JCKOHLHEPP M ET AL.: "Therapeutic inhibition of inflammatory monocyte recruitment reduces steatohepatitis and liver fibrosis", HEPATOLOGY, vol. 67, no. 4, 2018, pages 1270 - 83
LEFERE SDEVISSCHER LTACKE F: "Targeting CCR2/5 in the treatment of nonalcoholic steatohepatitis (NASH) and fibrosis: opportunities and challenges", EXPERT OPIN INVESTIG DRUGS, 2020, pages 1 - 4
LEFERE SVAN DE VELDE FDEVISSCHER LBEKAERT MRAEVENS SVERHELST X ET AL.: "Serum vascular cell adhesion molecule-1 predicts significant liver fibrosis in non-alcoholic fatty liver disease", INT J OBES (LOND, vol. 41, no. 8, 2017, pages 1207 - 13, XP055832398, DOI: 10.1038/ijo.2017.102
LI ET AL., TRENDS PHARMACOL. SCI., vol. 23, 2002, pages 206 - 209
LINHULT ET AL., PROTEIN SCI, vol. 11, 2002, pages 206 - 213
MARKAN KRNABER MCAMEKA MKANDEREGG MDMANGELSDORF DJKLIEWER SA ET AL.: "Circulating FGF21 is liver derived and enhances glucose uptake during refeeding and overfeeding", DIABETES, vol. 63, no. 12, 2014, pages 4057 - 63
MORPURGO ET AL., APPL. BIOCHEM. BIOTECHNOL., vol. 56, 1996, pages 59 - 72
MOSSANEN JCKRENKEL OERGEN CGOVAERE OLIEPELT APUENGEL T ET AL.: "Chemokine (C-C motif) receptor 2-positive monocytes aggravate the early phase of acetaminophen-induced acute liver injury", HEPATOLOGY, vol. 64, no. 5, 2016, pages 1667 - 82, XP055499922, DOI: 10.1002/hep.28682/suppinfo
MULLERKONTERMANN, CURR. OPIN. MOL. THER., vol. 9, 2007, pages 319 - 326
NISHIMURA ET AL., BIOCHIMICA ET BIOPHYSICA ACTA, vol. 1492, 2000, pages 203 - 206
PUENGEL TKRENKEL OKOHLHEPP MLEFEBVRE ELUEDDE TTRAUTWEIN C ET AL.: "Differential impact of the dual CCR2/CCR5 inhibitor cenicriviroc on migration of monocyte and lymphocyte subsets in acute liver injury", PLOS ONE, vol. 12, no. 9, 2017, pages e0184694
PUENGEL TOBIAS ET AL: "AS016: Combination therapy with a dual CCR2/CCR5 antagonist and a FGF21 analogue synergizes in ameliorating steatohepatitis and fibrosis", EASL 2020: THE DIGITAL INTERNATIONAL LIVER CONGRESS, vol. 73, 28 August 2020 (2020-08-28), pages S1 - S18, XP055858850, Retrieved from the Internet <URL:https://www.sciencedirect.com/science/article/pii/S0168827820305511/pdfft?md5=3df4710903c96901e2800d90b19f7232&pid=1-s2.0-S0168827820305511-main.pdf>*
RATZIU VSANYAL AHARRISON SAWONG VWFRANCQUE SGOODMAN Z ET AL.: "Cenicriviroc Treatment for Adults with Nonalcoholic Steatohepatitis and Fibrosis: Final Analysis of the Phase 2b CENTAUR Study", HEPATOLOGY, 2020
RINELLA METACKE FSANYAL AJANSTEE QM: "participants of the AEW. Report on the AASLD/EASL joint workshop on clinical trial endpoints in NAFLD", J HEPATOL, vol. 71, no. 4, 2019, pages 823 - 33
ROOVERSET ET AL., CANCER IMMUNOL. IMMUNOTHER., vol. 56, 2007, pages 303 - 317
SANYAL ACHARLES EDNEUSCHWANDER-TETRI BALOOMBA RHARRISON SAABDELMALEK MF ET AL.: "Pegbelfermin (BMS-986036), a PEGylated fibroblast growth factor 21 analogue, in patients with non-alcoholic steatohepatitis: a randomised, double-blind, placebo-controlled, phase 2a trial", LANCET, vol. 392, no. 10165, 2019, pages 2705 - 17, XP085563778, DOI: 10.1016/S0140-6736(18)31785-9
SCHELLENBURGER ET AL., NAT. BIOTECH., vol. 27, 2009, pages 1186 - 90
SCHULTE, THROMBOSIS RES, vol. 124, 2009, pages S6 - S8
SOMMERMEYER ET AL., KRANKENHAUSPHARMAZIE, vol. 8, 1987, pages 271 - 278
TRUSSELET ET AL., BIOCONJUGATE CHEM., vol. 20, 2009, pages 2286 - 2292
VOROBJEV ET AL., NUCLEOSIDES NUCLEOTIDES, vol. 18, 1999, pages 2745 - 2750
WANG ET AL., J. CONTROLLED RELEASE, vol. 155, 2011, pages 386 - 392
WANG W: "Protein aggregation and its inhibition in biopharmaceutics", INT J PHARM, vol. 289, no. 1-2, 2005, pages 1 - 30, XP004967405, DOI: 10.1016/j.ijpharm.2004.11.014
WANLEE, JOURNAL OF PHARM SCI, vol. 63, 1974, pages 136
WEIDLER ET AL., ARZNEIM.-FORSCHUNG/DRUG RES., vol. 41, 1991, pages 494 - 498
WEISKIRCHEN RTACKE F: "Liver Fibrosis: From Pathogenesis to Novel Therapies", DIG DIS, vol. 34, no. 4, 2016, pages 410 - 22
YOUNOSSI ZMRATZIU VLOOMBA RRINELLA MANSTEE QMGOODMAN Z ET AL.: "Obeticholic acid for the treatment of non-alcoholic steatohepatitis: interim analysis from a multicentre, randomised, placebo-controlled phase 3 trial", LANCET, vol. 394, no. 10215, 2019, pages 2184 - 96, XP085946641, DOI: 10.1016/S0140-6736(19)33041-7

Cited By (2)

* Cited by examiner, † Cited by third party
Publication numberPriority datePublication dateAssigneeTitle
WO2022115597A1 (en)*2020-11-252022-06-02Bristol-Myers Squibb CompanyMethods of treating liver diseases
WO2025155843A1 (en)*2024-01-192025-07-24Akero Therapeutics, Inc.Method of treating liver or lung injury

Also Published As

Publication numberPublication date
JP2023538533A (en)2023-09-08
EP4192495A1 (en)2023-06-14

Similar Documents

PublicationPublication DateTitle
US12083164B2 (en)Amylin analogues
WO2011161226A2 (en)Novel antibody formulation
US20230346957A1 (en)Fgf-21 conjugate formulations
US12226451B2 (en)FGF-21 formulations
WO2022032187A1 (en)Fgf21 combined with ccr2/5 antagonists for the treatment of fibrosis
US20240299552A1 (en)Pharmaceutical Composition of GLP-1/GLP-2 Dual Agonists
KR20230121824A (en) Pharmaceutical composition of GLP-1/GLP-2 dual agonists
CA3200526A1 (en)Pharmaceutical composition of glp-1/glp-2 dual agonists
AU2021236878B2 (en)Liquid formulations of glucagon analogues
WO2022106976A1 (en)Stable pharmaceutical formulations of soluble fgfr3 decoys
JP7684788B2 (en) Compositions and methods for treating metabolic disorders
US20240123031A1 (en)Methods of treating liver diseases
US20220372111A1 (en)Polypeptide inhibitors of neutrophil elastase activity and uses thereof
WO2025169190A2 (en)Modified oxyntomodulin and methods of use thereof
HK40095698B (en)Pharmaceutical composition of glp-1/glp-2 dual agonists
HK40095698A (en)Pharmaceutical composition of glp-1/glp-2 dual agonists

Legal Events

DateCodeTitleDescription
121Ep: the epo has been informed by wipo that ep was designated in this application

Ref document number:21773170

Country of ref document:EP

Kind code of ref document:A1

ENPEntry into the national phase

Ref document number:2023509393

Country of ref document:JP

Kind code of ref document:A

NENPNon-entry into the national phase

Ref country code:DE

ENPEntry into the national phase

Ref document number:2021773170

Country of ref document:EP

Effective date:20230307


[8]ページ先頭

©2009-2025 Movatter.jp