SHARED CSI-RS FOR PARTIAL-RECIPROCITY BASED CSI FEEDBACK
TECHNICAL FIELD
The present disclosure relates to wireless communications, and in particular, to shared channel state information reference signal (CSI-RS) for partial-reciprocity based CSI feedback.
BACKGROUND
Codebook-based Precoding
Multi-antenna techniques can significantly increase the data rates and reliability of a wireless communication system. The performance may in particular improved if both the transmitter and the receiver are equipped with multiple antennas, which results in a multiple-input multiple-output (MIMO) communication channel. Such systems and/or related techniques are commonly referred to as MIMO.
The Third Generation Partnership Project (3 GPP) New Radio (NR, also called 5th Generation or 5G) standard is currently evolving with enhanced MIMO support. A core component in NR is the support of MIMO antenna deployments and MIMO related techniques like for instance spatial multiplexing. The spatial multiplexing mode is aimed for high data rates in favorable channel conditions. An illustration of the spatial multiplexing operation is provided in FIG. 1.
As seen, the information carrying symbol vector s is multiplied by an NT X r precoder matrix W, which serves to distribute the transmit energy in a subspace of the NT (corresponding to NT antenna ports) dimensional vector space. The precoder matrix is typically selected from a codebook of possible precoder matrices, and typically indicated by means of a precoder matrix indicator (PMI), which specifies a unique precoder matrix in the codebook for a given number of symbol streams. The r symbols in s each correspond to a layer and r is referred to as the transmission rank.
In this way, spatial multiplexing is achieved since multiple symbols can be transmitted simultaneously over the same time/frequency resource element (TFRE). The number of symbols r is typically adapted to suit the current channel properties. NR uses orthogonal frequency division multiplexing (OFDM) in the downlink (and discrete Fourier transform (DFT) precoded OFDM in the uplink for rank- 1 transmission) and hence the received NR X 1 vector yn for a certain TFRE on subcarrier n (or alternatively data TFRE number n) is thus modeled by, γn = HnWsn + en where en is a noise/interference vector obtained as realizations of a random process. The precoder W can be a wideband precoder, which is constant over frequency, or frequency selective.
The precoder matrix W is often chosen to match the characteristics of the NR xNT MIMO channel matrix Hn, resulting in so-called channel dependent precoding. This is also commonly referred to as closed-loop precoding and essentially strives for focusing the transmit energy into a subspace which is strong in the sense of conveying much of the transmitted energy to the user equipment (UE, also referred to herein as a wireless device or WD).
In closed-loop precoding for the NR downlink, the UE transmits, based on channel measurements in the downlink, recommendations to the network node (e.g., gNB) of a suitable precoder to use. The network node (e.g., gNB) configures the UE to provide feedback according to CSI-ReportConfig (e.g., a radio resource control (RRC) configuration) and may transmit CSI-RS and configure the UE to use measurements of CSI-RS to feedback recommended precoding matrices that the UE selects from a codebook. A single precoder that is supposed to cover a large bandwidth (wideband precoding) may be fed back. It may also be beneficial to match the frequency variations of the channel and instead feedback a frequency-selective precoding report, e.g., several precoders, one per subband. This is an example of the more general case of channel state information (CSI) feedback, which also encompasses feeding back other information than recommended precoders to assist the network node (e.g., gNodeB) in subsequent transmissions to the UE. Such other information may include channel quality indicators (CQIs) as well as transmission rank indicator (RI). In NR, CSI feedback can be either wideband, where one CSI is reported for the entire channel bandwidth, or frequency- selective, where one CSI is reported for each subband, which is defined as a number of contiguous resource blocks ranging between 4-32 physical resource blocks (PRBs) depending on the band width part (BWP) size.
Given the CSI feedback from the UE, the network node (e.g., gNB) determines the transmission parameters it wishes to use to transmit to the UE, including the precoding matrix, transmission rank, and modulation and coding scheme (MCS). These transmission parameters may differ from the recommendations the UE makes. The transmission rank, and thus the number of spatially multiplexed layers, is reflected in the number of columns of the precoder W. For efficient performance, it is beneficial that a transmission rank that matches the channel properties is selected.
2D Antenna Arrays
Some embodiments of the present disclosure may be used with two- dimensional antenna arrays and some of the presented embodiments use such antennas. Such antenna arrays may be (partly) described by the number of antenna columns corresponding to the horizontal dimension Nh, the number of antenna rows corresponding to the vertical dimension Nv and the number of dimensions corresponding to different polarizations Np. The total number of antennas is thus N = NhNvNp. It should be pointed out that the concept of an antenna is non-limiting in the sense that it can refer to any virtualization (e.g., linear mapping) of the physical antenna elements. For example, pairs of physical sub-elements may be fed the same signal, and hence share the same virtualized antenna port.
An example of a 4x4 array with dual-polarized antenna elements is illustrated in FIG. 2, where (NP = 2), with Nh = 4 horizontal antenna elements and Nv = 4 vertical antenna elements.
Precoding may be interpreted as multiplying the signal with different beamforming weights for each antenna prior to transmission. A typical approach is to tailor the precoder to the antenna form factor, i.e., taking into account Nh, Nv and Np when designing the precoder codebook.
Channel State Information Reference Signals (CSI-RS) For CSI measurement and feedback, CSI-RS are defined. A CSI-RS is transmitted on each antenna port and is used by a UE to measure downlink channel between each of the transmit antenna ports and each of its receive antenna ports. The transmit antenna ports are also referred to as CSI-RS ports. The supported number of antenna ports in NR are { 1, 2, 4, 8, 12, 16, 24, 32}. By measuring the received CSI- RS, a UE can estimate the channel that the CSI-RS is traversing, including the radio propagation channel and antenna gains. The CSI-RS for the above purpose may also be referred to as Non-Zero Power (NZP) CSI-RS.
CSI-RS can be configured to be transmitted in certain resource elements (REs) in a slot and certain slots. FIG. 3 shows an example of CSI-RS REs for 12 antenna ports, where 1 RE per resource block (RB) per port is shown.
In addition, interference measurement resource (IMR) is also defined in NR for a UE to measure interference. An IMR resource includes 4 REs, either 4 adjacent RE in frequency in the same OFDM symbol or 2 by 2 adjacent REs in both time and frequency in a slot. By measuring both the channel based on NZP CSI-RS and the interference based on an IMR, a UE can estimate the effective channel and noise plus interference to determine the CSI, i.e., rank, precoding matrix, and the channel quality.
Furthermore, a UE in NR may be configured to measure interference based on one or multiple NZP CSI-RS resources.
CSI framework in NR
In NR, a UE may be configured with multiple CSI reporting settings and multiple CSI-RS resource settings. Each resource setting may include multiple resource sets, and each resource set may include up to 8 CSI-RS resources. For each CSI reporting setting, a UE feeds back a CSI report.
Each CSI reporting setting may include at least the following information:
• A CSI-RS resource set for channel measurement;
• An IMR resource set for interference measurement;
• Optionally, a CSI-RS resource set for interference measurement;
• Time-domain behavior, i.e., periodic, semi-persistent, or aperiodic reporting; • Frequency granularity, i.e., wideband or subband;
• CSI parameters to be reported such as RI, PMI, CQI, and CSI-RS resource indicator (CRI) in case of multiple CSI-RS resources in a resource set;
• Codebook types, i.e., type I or II, and codebook subset restriction;
• Measurement restriction; and/or
• Subband size. One out of two possible subband sizes may be indicated, the value range depends on the bandwidth of the BWP. One CQI/PMI (if configured for subband reporting) is fed back per subband).
When the CSI-RS resource set in a CSI reporting setting includes multiple CSI-RS resources, one of the CSI-RS resources is selected by a UE and a CSI-RS resource indicator (CRI) is also reported by the UE to indicate to the network node about the selected CSI-RS resource in the resource set, together with RI, PMI and CQI associated with the selected CSI-RS resource.
For aperiodic CSI reporting in NR, more than one CSI reporting settings, each with a different CSI-RS resource set for channel measurement and/or resource set for interference measurement can be configured and triggered at the same time. In this case, multiple CSI reports are aggregated and sent from the UE to the network node in a single physical uplink shared channel (PUSCH).
NR Rel-16 Enhanced Type II Port Selection Codebook
The enhanced Type II (eType II) port selection (PS) codebook was introduced in 3GPP Release 16 (Rel-16), which is intended to be used for beamformed CSI-RS, where each CSI-RS port covers a small portion of the cell coverage area with high beamforming gain (comparing to non-beamformed CSI-RS). Although it is up to the network node implementation, it is generally assumed that each CSI-RS port is transmitted in a two-dimensional (2D) spatial beam which has a main lobe with an azimuth pointing angle and an elevation pointing angle. The actual precoder matrix used for CSI-RS is transparent to UE. Based on the measurement, the UE selects the best CSI-RS ports and recommends to network node to use for downlink (DL) transmission. The eType II PS codebook may be used by the UE to feedback the selected CSI-RS ports and the way to combine them. Structure, Configuration and Reporting ofeType II PS Codebook
For a given transmission layer l, with l ∈ {1, ... , v} and v being the rank indicator (RI), the precoder matrix for all frequency domain (FD) units is given by a size PCSI-RS x N3 matrix Wl, where:
• PCSI-RS is the number of single-polarized CSI-RS ports;
• N3 = NSB x R is the number of PMI subbands, where: o The value R = {1,2} (the PMI subband size indicator) is RRC configured; o NSB is the number of CQI subbands, which is also RRC configured; and
• The RI value v is set according to the configured higher layer parameter typeII-RI-Restriction-rl6. UE shall not report v > 4.
The precoder matrix W
l, can be factorized as
normalized such that
Port selection matrix Wp. W
1 is a size P
CSI-RS x 2k port selection precoder matrix that can be factorized into where:
• W port selection matrix consisting of 0s and Is.
Selected ports are indicated by Is which are common for both polarizations;
• L is the number of selected CSI-RS ports per polarization. Supported L values can be found in Table 1;
• Selected CSI-RS ports are jointly determined by two parameters d and i
1,1. Starting from the port, only every d-th port can be selected (note that port numbering is up to network node to decide). o The value of d is configured with the higher layer parameter portSelectionSamplingSize, where d ∈ {1, 2, 3, 4} and d < min
o The value of ί
± 1, where is determined
by UE based on CSI-RS measurement. UE may feedback the chosen i
1,1 to network node.
• is common for all layers.
Frequency-domain compression matrix Wƒ,l. Wƒ,l is a size N3 X Mv FD- domain compression matrix for layer l, where:
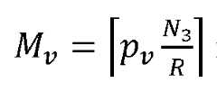
• is the number of selected FD basis vectors, which depends on
the rank indicator v and the RRC configured parameter p
v. Supported values of p
v can be found in Table 1.
*
vectors that are selected from N
3 orthogonal DFT basis vectors with
size N
3 X 1. o For N
3 < 19, a one-step free selection is used.
For each layer, FD basis selection is indicated with a bit combinatorial indicator. In 3 GPP
Technical Specification (TS) 38.214, the combinatorial indicator is given by the index i16 i where l corresponds to the layer index. This combinatorial index is reported by UE to the network node per layer per PMI. o For N3 > 19, a two-step selection with layer-common intermediary subset (IntS) is used.
■ In this first step, a window-based layer-common IntS selection is used, which is parameterized by M
initiai . The IntS consists of FD basis vectors mod (M
initiai + n,N
3 ), where n = . In TS 38.214, the selected IntS
is reported by the UE to the network node via the parameter i
1 5, which is reported as part of the PMI. The second step subset selection is indicated by an -bit combinatorial indicator for each layer in
Part 2 of the CSI report. In 3GPP TS 38.214, the combinatorial indicator is given by the index i16 i where l corresponds to the layer index. This combinatorial index is reported by UE to the network node per layer per PMI. Wƒ,l is layer- specific.
Linear combination coefficient matrix
is a size 2 L X M
v matrix that includes 2 LM
V coefficients for linearly combining the selected M
v FD basis vectors for the selected 2 L CSI-RS ports.
• For layer l, only a subset of
coefficients are non-zero and reported. The remaining
non-reported coefficients are considered zero. o
is the maximum number of non-zero coefficients per layer, where β is a RRC configured parameter. Supported β values are shown in Table 1. o For v ∈ {2, 3, 4}, the total number of non-zero coefficients summed across all layers,
. shall satisfy
o Selected coefficient subset for each layer is indicated with
Is in a size 2 LM
V bitmap, which is included in Part 2 of the CSI report. o Indication of , where , is included in Part of
the CSI report, so that payload of Part 2 of the CSI report can be known.
• The amplitude and phase of coefficients in
shall be quantized for reporting.
• is, layer-specific.
Table 1 Rel-16 eType II PS codebook parameter configurations for L, p
v and β
FDD-based reciprocity operation
In frequency division duplex (FDD) operation, the uplink (UL) and downlink (DL) transmissions are carried out on different frequencies; thus, the propagation channels in UL and DL are not reciprocal as in the time division duplex (TDD) case. Despite of this, some physical channel parameters, e.g., delays and angles to different clusters, which depend on the spatial properties of the channel but not the carrier frequency, may be reciprocal between UL and DL. Such properties may be exploited to obtain partial reciprocity-based FDD transmission. The reciprocal part of the channel may be combined with the non-reciprocal part in order to obtain the complete channel. An estimate of the non-reciprocal part can be obtained by feedback from the UE.
One procedure for reciprocity-based FDD transmission scheme is illustrated in FIG. 4. This example procedure uses 4 steps, assuming that NR Rel-16 enhanced Type II port- selection codebook is used. In Step 1, UE is configured with sounding reference signal (SRS) by network node and UE transmits SRS in the UL for the network node to estimate the angles, 0i
„ ψ
i, and delays,
of different clusters, which are associated with different propagation paths.
In Step 2, in the network node implementation algorithm, the network node selects dominant clusters according to the estimated angle-delay power spectrum profile (qί,, yί, Xi), and, for each of the selected cluster, the network node precodes (e.g., beamforms) and transmits to the UE, one CSI-RS port per polarization according to the obtained angle and/or delay estimation.
In Step 3, the network node has configured the UE to measure an CSI-RS, and the UE measures the received CSI-RS ports and then determines a type II CSI including RI, PMI for each layer and CQI. The UE estimate the complex gain, for
selected beams and feedback to the network node, together with other components of CSI report, such as RI. The precoding matrix indicated by the PMI includes the selected beams (i.e., the precoded CSI-RS ports) and the corresponding best phase and amplitude for co-phasing the selected beams. The phase and amplitude for each beam are quantized and fed back to the network node.
In Step 4, the network node implementation algorithm computes the DL precoding matrix per layer based on the selected beams and the corresponding amplitude and phase feedback and performs physical downlink shared channel (PDSCH) transmission. The transmission is based on the feed-back (PMI) precoding matrices directly (e.g., single user MIMO or SU-MIMO transmission) or the transmission precoding matrix is obtained from an algorithm combining CSI feedback from multiple UEs (MU-MIMO transmission). In this case, a precoder derived based on the precoding matrices (including the CSI reports from co-scheduled UEs) (e.g., Zero-Forcing (ZF) precoder or regularized ZF precoder). The final precoder is commonly scaled so that the transmit power per power amplifier is not overridden.
Such reciprocity based transmission can potentially be utilized in a codebook- based DL transmission for FDD in order to, for example, reduce the feedback overhead in UL when NR Type II port- selection codebook is used. Another potential benefit is reduced complexity in the CSI calculation in the UE. Another potential benefit is reduced complexity in the CSI calculation in the UE. Type II Port Selection Codebook for FDD Operation Based on Angle/Delay Reciprocity
If the 3GPP Rel-16 enhanced Type II port-selection codebook is used for FDD operation based on angle and/or delay reciprocity, the frequency-domain (FD) basis still is to be determined by the UE. Therefore, in the CSI report, the feedback overhead for indicating which FD bases are selected can be large, especially when N3, the number of PMI subbands, is large. Also, the computational complexity at the UE for evaluating and selecting the best FD bases also increases as N3 increases.
A method has been proposed in which, by utilizing the delay reciprocity between UL and DL, the network node can pre-determine a subset of FD basis
based on the estimated delay information to the selected clusters in UL. Then, the network node can indicate to the UE about this pre-determined subset of FD basis . The UE can then evaluate and select FD basis vectors within the pre-determined subset.
In this proposed method, the network node determines the angles and delays of the different clusters by analyzing the angle-delay power spectrum of the channel. For example, the 8 x 10 grid in the left part of FIG. 5 shows the angle-delay power spectrum of an UL channel with 8 angle bins and 10 delay taps, where each shaded square represents the power level for a given cluster at certain angle and delay. Based on angle reciprocity, the network node selects, in this example, 2 strongest clusters and precodes one CSI-RS port per polarization for transmission towards each cluster (i.e., total 4 CSI-RS ports). In right part of FIG. 5, there are only 4 taps in the delay domain in the two beamformed channels (i.e., the two beamformed channels correspond to the two selected clusters), while in the original channel there are 10 taps. Therefore, the 4 delay taps that remains, which can be translated to an FD basis with 4 vectors, , can be conveyed by the network node to the

UE, such that the UE only selects the best frequency basis vectors from the 4 FD basis vector candidates instead of 10. Thus, in this example, the overhead for indicating which FD bases are selected can be decreased, and the computation complexity at UE for selecting the best FD bases can be reduced.
In another method, the network node pre-compensates the delays for each beamformed channel such that the strongest path in all beamformed channels arrive at UE at the same time. As seen in FIG. 6, after pre-compensating the delay for the beamformed channels, the number of delay taps reduces to 3 in the two beamformed channels corresponding to the two selected clusters. This is in contrast to the 10 delay taps in the raw channel. Moreover, the zeroth delay component (which corresponds to the zeroth FD basis vector, i.e., DC basis) always exists, the network node only needs to signal the UE the remaining 2 FD basis vectors

. Hence, the UE only needs to select the best frequency basis vectors from the 2 FD basis vector candidates instead of 4 as in the case of the example in FIG. 6. Thus, in this example, not only the overhead for indicating which FD components that have been selected is reduced, but also the overhead in reporting corresponding LC coefficients from the UE to the network node can be reduced. Additionally, the computational complexity at the UE for selecting the best FD bases can be reduced.
Hence, the known proposed solutions may be used to reduce the CSI feedback overhead for indicating which FD basis vectors are used, and also the corresponding phase and amplitude for combining the selected FD and SD basis. These known solutions may also reduce the computational complexity for the UE to select the best FD basis vectors. Arrangements for transmitting beamformed CSI-RS for partial reciprocity-based CSI in a UE-specific manner have also been considered. This means that the ports in a CSI-RS resource are beamformed uniquely for each UE, based on the estimated angles and delays of the dominating propagation paths to that UE. If there are many UEs in a cell, such an approach may undesirably entail use of a large number of CSI-RS resources and ports leading to a large CSI-RS overhead.
SUMMARY
Some embodiments advantageously provide methods, systems, and apparatuses for shared channel state information reference signal (CSI-RS) for partial- reciprocity based CSI feedback. A method, system and apparatus are disclosed for shared channel state information reference signal (CSI-RS) for partial-reciprocity based CSI feedback. In one embodiment, a network node is configured to determine information relating to at least one dominating propagation path from the network node to a wireless device (WD, also called UE) in a cell supported by the network node; and/or configure the UE with at least one channel state information reference signal, CSI-RS, port, the at least one CSI-RS port being shared with at least one other UE in the cell based at least in part on the UE sharing at least one common dominating propagation path with the least one other UE.
In one embodiment, a wireless device is configured to receiving a configuration of at least one channel state information reference signal, CSI-RS, port, the at least one CSI-RS port being shared with at least one other UE in the cell based at least in part on the UE sharing at least one common dominating propagation path with the least one other UE.
According to an aspect of the present disclosure Inventors - Please do not make changes to this section. This section corresponds to the claims below. If changes are needed, please make them to the claims and we will make the corresponding changes in this section.
, a method implemented in a user equipment, UE, configured to communicate with a network node is provided. The method includes using a channel state information reference signal, CSI-RS, resource, the CSI-RS resource being a cell-common CSI- RS resource and the CSI-RS resource comprising a plurality of CSI-RS ports; receiving (i) a frequency domain, FD, indication indicating a set of FD components associated with the CSI-RS resource and/or (ii) a port indication indicating a set of CSI-RS ports associated with the CSI-RS resource; optionally, determining a subset in the set of FD components and/or in the set of CSI-RS ports that is indicated to the UE; and transmitting a channel state information, CSI, report that is based at least in part on the CSI-RS resource, optionally, the transmitted CSI report being based on at least one of the FD indication, the port indication and/or the subset that is determined by the UE. In some embodiments of this aspect, the CSI-RS resource is associated with a plurality of beams that are based at least in part on a plurality of dominant propagation paths in a cell supported by the network node. In some embodiments of this aspect, the CSI-RS resource is associated with a plurality of beams corresponding to a plurality of transmit directions, the plurality of transmit directions being based at least in part on uplink, UL, measurements associated with UEs in the cell. In some embodiments of this aspect, the CSI-RS resource is associated with a plurality of beams corresponding to a plurality of transmit directions, the plurality of transmit directions being based at least in part on a fixed set of beams.
In some embodiments of this aspect, the set of CSI-RS ports that is indicated to the UE is based at least in part on uplink, UL, measurements associated with the UE. In some embodiments of this aspect, the CSI report is based further on an estimated delay, the estimated delay being based at least in part on uplink, UL, measurements associated with the UE. In some embodiments of this aspect, the set of FD components that is indicated to the UE is based at least in part on uplink, UL, measurements associated with the UE.
According to another aspect of the present disclosure, a method implemented in a network node configured to communicate with a user equipment, UE, is provided. The method includes using a channel state information reference signal, CSI-RS, resource, the CSI-RS resource being a cell-common CSI-RS resource and the CSI-RS resource comprising a plurality of CSI-RS ports; transmitting (i) a frequency domain, FD, indication indicating a set of FD components associated with the CSI-RS resource and/or (ii) a port indication indicating a set of CSI-RS ports associated with the CSI-RS resource; and receiving a channel state information, CSI, report that is based at least in part on the CSI-RS resource, optionally, the received CSI report being based on at least one of the FD indication, the port indication and/or a subset in the set of FD components and/or in the set of CSI-RS ports that is indicated to the UE.
In some embodiments of this aspect, the CSI-RS resource is associated with a plurality of beams that are based at least in part on a plurality of dominant propagation paths in a cell supported by the network node. In some embodiments of this aspect, the CSI-RS resource is associated with a plurality of beams corresponding to a plurality of transmit directions, the plurality of transmit directions being based at least in part on uplink, UL, measurements associated with UEs in the cell. In some embodiments of this aspect, the CSI-RS resource is associated with a plurality of beams corresponding to a plurality of transmit directions, the plurality of transmit directions being based at least in part on a fixed set of beams.
In some embodiments of this aspect, the method further includes performing uplink, UL, measurements associated with the UE; and the set of CSI-RS ports that is indicated to the UE is based at least in part on the UL measurements associated with the UE. In some embodiments of this aspect, the method further includes estimating a delay based at least in part on uplink, UL, measurements associated with the UE, the CSI report being based further on the estimated delay. In some embodiments of this aspect, the set of FD components that is indicated to the UE is based at least in part on uplink, UL, measurements associated with the UE.
According to yet another aspect, a user equipment, UE, configured to communicate with a network node is provided. The UE comprises processing circuitry. The processing circuitry is configured to cause the UE to: use a channel state information reference signal, CSI-RS, resource, the CSI-RS resource being a cell-common CSI-RS resource and the CSI-RS resource comprising a plurality of CSI-RS ports; receive (i) a frequency domain, FD, indication indicating a set of FD components associated with the CSI-RS resource and/or (ii) a port indication indicating a set of CSI-RS ports associated with the CSI-RS resource; optionally, determine a subset in the set of FD components and/or in the set of CSI-RS ports that is indicated to the UE; and transmit a channel state information, CSI, report that is based at least in part on the CSI-RS resource, optionally, the transmitted CSI report being based on at least one of the FD indication, the port indication and/or the subset that is determined by the UE.
In some embodiments of this aspect, the CSI-RS resource is associated with a plurality of beams that are based at least in part on a plurality of dominant propagation paths in a cell supported by the network node. In some embodiments of this aspect, the CSI-RS resource is associated with a plurality of beams corresponding to a plurality of transmit directions, the plurality of transmit directions being based at least in part on uplink, UL, measurements associated with UEs in the cell. In some embodiments of this aspect, the CSI-RS resource is associated with a plurality of beams corresponding to a plurality of transmit directions, the plurality of transmit directions being based at least in part on a fixed set of beams.
In some embodiments of this aspect, the set of CSI-RS ports that is indicated to the UE is based at least in part on uplink, UL, measurements associated with the UE. In some embodiments of this aspect, the CSI report is based further on an estimated delay, the estimated delay being based at least in part on uplink, UL, measurements associated with the UE. In some embodiments of this aspect, the set of FD components that is indicated to the UE is based at least in part on uplink, UL, measurements associated with the UE.
According to yet another aspect, a network node configured to communicate with a user equipment, UE, is provided. The network node comprises processing circuitry. The processing circuitry is configured to cause the network node to: use a channel state information reference signal, CSI-RS, resource, the CSI-RS resource being a cell-common CSI-RS resource and the CSI-RS resource comprising a plurality of CSI-RS ports; transmit (i) a frequency domain, FD, indication indicating a set of FD components associated with the CSI-RS resource and/or (ii) a port indication indicating a set of CSI-RS ports associated with the CSI-RS resource; and receive a channel state information, CSI, report that is based at least in part on the CSI-RS resource, optionally, the received CSI report being based on at least one of the FD indication, the port indication and/or a subset in the set of FD components and/or in the set of CSI-RS ports that is indicated to the UE.
In some embodiments of this aspect, the CSI-RS resource is associated with a plurality of beams that are based at least in part on a plurality of dominant propagation paths in a cell supported by the network node. In some embodiments of this aspect, the CSI-RS resource is associated with a plurality of beams corresponding to a plurality of transmit directions, the plurality of transmit directions being based at least in part on uplink, UL, measurements associated with UEs in the cell. In some embodiments of this aspect, the CSI-RS resource is associated with a plurality of beams corresponding to a plurality of transmit directions, the plurality of transmit directions being based at least in part on a fixed set of beams.
In some embodiments of this aspect, the processing circuitry is further configured to cause the network node to: perform uplink, UL, measurements associated with the UE; and the set of CSI-RS ports that is indicated to the UE is based at least in part on the UF measurements associated with the UE. In some embodiments of this aspect, the processing circuitry is further configured to cause the network node to estimate a delay based at least in part on uplink, UF, measurements associated with the UE, the CSI report being based further on the estimated delay. In some embodiments of this aspect, the set of FD components that is indicated to the UE is based at least in part on uplink, UF, measurements associated with the UE.
BRIEF DESCRIPTION OF THE DRAWINGS
A more complete understanding of the present embodiments, and the attendant advantages and features thereof, will be more readily understood by reference to the following detailed description when considered in conjunction with the accompanying drawings wherein:
FIG. 1 illustrates an example of a transmission structure of precoded spatial multiplexing mode in NR;
FIG. 2 illustrates an example of a two-dimensional antenna array of dual- polarized antenna elements (NP = 2), with Nh = 4 horizontal antenna elements and Nv = 4 vertical antenna elements;
FIG. 3 illustrates an example of RE allocation for a 12-port CSI-RS in NR;
FIG. 4 illustrates an example procedure of codebook-based transmission for FDD with delay and angle reciprocity between DF and UF;
FIG. 5 illustrates an example of angle-delay power spectrum of the channel before and after spatial precoding;
FIG. 6 illustrates an example of angle-delay power spectrum of the channel before and after spatial precoding and delay pre-compensation;
FIG. 7 is a schematic diagram of an exemplary network architecture illustrating a communication system connected via an intermediate network to a host computer according to the principles in the present disclosure; FIG. 8 is a block diagram of a host computer communicating via a network node with a wireless device over an at least partially wireless connection according to some embodiments of the present disclosure;
FIG. 9 is a flowchart illustrating exemplary methods implemented in a communication system including a host computer, a network node and a wireless device for executing a client application at a wireless device according to some embodiments of the present disclosure;
FIG. 10 is a flowchart illustrating exemplary methods implemented in a communication system including a host computer, a network node and a wireless device for receiving user data at a wireless device according to some embodiments of the present disclosure;
FIG. 11 is a flowchart illustrating exemplary methods implemented in a communication system including a host computer, a network node and a wireless device for receiving user data from the wireless device at a host computer according to some embodiments of the present disclosure;
FIG. 12 is a flowchart illustrating exemplary methods implemented in a communication system including a host computer, a network node and a wireless device for receiving user data at a host computer according to some embodiments of the present disclosure;
FIG. 13 is a flowchart of an exemplary process in a network node according to some embodiments of the present disclosure;
FIG. 14 is a flowchart of an exemplary process in a wireless device according to some embodiments of the present disclosure;
FIG. 15 is a flowchart of an exemplary process in a network node according to some embodiments of the present disclosure;
FIG. 16 is a flowchart of an exemplary process in a wireless device according to some embodiments of the present disclosure;
FIG. 17 illustrates an example of schematic illustration of UEs sharing common channel clusters according to some embodiments of the present disclosure; FIG.18 illustrates an example of different alternatives to share CSI-RS ports between UEs according to some embodiments of the present disclosure;
FIG. 19 illustrates an example of yet another alternative to share CSI-RS ports between UEs according to some embodiments of the present disclosure; and
FIG. 20 illustrates an example flow chart according to some embodiments of the present disclosure.
DETAILED DESCRIPTION
Some embodiments of the present disclosure include arrangements for sharing CSI-RS between UEs for partial reciprocity-based CSI feedback. Some embodiments of the present disclosure may be based on the observation that some UEs in a cell may have some propagation paths from the network node in common. This may be utilized to reduce the CSI-RS overhead by allowing the UEs sharing common propagation path to use the same CSI-RS ports. Different alternatives on how this port sharing may be achieved are proposed.
Some embodiments of the present disclosure may advantageously reduce CSI-RS overhead for partial reciprocity-based CSI e.g., particularly when there are many UEs in a cell.
Before describing in detail exemplary embodiments, it is noted that the embodiments reside primarily in combinations of apparatus components and processing steps related to shared channel state information reference signal (CSI-RS) for partial-reciprocity based CSI feedback. Accordingly, components have been represented where appropriate by conventional symbols in the drawings, showing only those specific details that are pertinent to understanding the embodiments so as not to obscure the disclosure with details that will be readily apparent to those of ordinary skill in the art having the benefit of the description herein. Like numbers refer to like elements throughout the description.
As used herein, relational terms, such as “first” and “second,” “top” and “bottom,” and the like, may be used solely to distinguish one entity or element from another entity or element without necessarily requiring or implying any physical or logical relationship or order between such entities or elements. The terminology used herein is for the purpose of describing particular embodiments only and is not intended to be limiting of the concepts described herein. As used herein, the singular forms “a”, “an” and “the” are intended to include the plural forms as well, unless the context clearly indicates otherwise. It will be further understood that the terms “comprises,” “comprising,” “includes” and/or “including” when used herein, specify the presence of stated features, integers, steps, operations, elements, and/or components, but do not preclude the presence or addition of one or more other features, integers, steps, operations, elements, components, and/or groups thereof.
In embodiments described herein, the joining term, “in communication with” and the like, may be used to indicate electrical or data communication, which may be accomplished by physical contact, induction, electromagnetic radiation, radio signaling, infrared signaling or optical signaling, for example. One having ordinary skill in the art will appreciate that multiple components may interoperate and modifications and variations are possible of achieving the electrical and data communication.
In some embodiments described herein, the term “coupled,” “connected,” and the like, may be used herein to indicate a connection, although not necessarily directly, and may include wired and/or wireless connections.
The term “network node” used herein can be any kind of network node comprised in a radio network which may further comprise any of base station (BS), radio base station, base transceiver station (BTS), base station controller (BSC), radio network controller (RNC), g Node B (gNB), evolved Node B (eNB or eNodeB), Node B, multi- standard radio (MSR) radio node such as MSR BS, multi-cell/multicast coordination entity (MCE), integrated access and backhaul (IAB) node, relay node, donor node controlling relay, radio access point (AP), transmission points, transmission nodes, Remote Radio Unit (RRU) Remote Radio Head (RRH), a core network node (e.g., mobile management entity (MME), self-organizing network (SON) node, a coordinating node, positioning node, MDT node, etc.), an external node (e.g., 3rd party node, a node external to the current network), nodes in distributed antenna system (DAS), a spectrum access system (SAS) node, an element management system (EMS), etc. The network node may also comprise test equipment. The term “radio node” used herein may be used to also denote a wireless device (WD) such as a wireless device (WD) or a radio network node.
In some embodiments, the non-limiting terms wireless device (WD) or a user equipment (UE) are used interchangeably. The UE herein can be any type of wireless device capable of communicating with a network node or another UE over radio signals, such as wireless device (WD). The UE may also be a radio communication device, target device, device to device (D2D) UE, machine type UE or UE capable of machine to machine communication (M2M), low-cost and/or low-complexity UE, a sensor equipped with UE, Tablet, mobile terminals, smart phone, laptop embedded equipped (LEE), laptop mounted equipment (LME), USB dongles, Customer Premises Equipment (CPE), an Internet of Things (IoT) device, or a Narrowband IoT (NB-IOT) device, etc.
Also, in some embodiments the generic term “radio network node” is used. It can be any kind of a radio network node which may comprise any of base station, radio base station, base transceiver station, base station controller, network controller, RNC, evolved Node B (eNB), Node B, gNB, Multi-cell/multicast Coordination Entity (MCE), IAB node, relay node, access point, radio access point, Remote Radio Unit (RRU) Remote Radio Head (RRH).
As used herein, the term “common” may mean a same in some embodiments.
Even though the descriptions herein may be explained in the context of one of a Downlink (DL) and an Uplink (UL) communication, it should be understood that the basic principles disclosed may also be applicable to the other of the one of the DL and the UL communication. In some embodiments in this disclosure, the principles may be considered applicable to a transmitter and a receiver. For DL communication, the network node is the transmitter and the receiver is the UE. For the UL communication, the transmitter is the UE and the receiver is the network node.
Although the description herein may be explained in the context of CSI-RS, it should be understood that the principles may also be applicable to other similar types of reference signals. The term “signaling” used herein may comprise any of: high-layer signaling (e.g., via Radio Resource Control (RRC) or a like), lower-layer signaling (e.g., via a physical control channel or a broadcast channel), or a combination thereof. The signaling may be implicit or explicit. The signaling may further be unicast, multicast or broadcast. The signaling may also be directly to another node or via a third node.
Signaling may generally comprise one or more symbols and/or signals and/or messages. A signal may comprise or represent one or more bits. An indication may represent signaling, and/or be implemented as a signal, or as a plurality of signals.
One or more signals may be included in and/or represented by a message. Signaling, in particular control signaling, may comprise a plurality of signals and/or messages, which may be transmitted on different carriers and/or be associated to different signaling processes, e.g., representing and/or pertaining to one or more such processes and/or corresponding information. An indication may comprise signaling, and/or a plurality of signals and/or messages and/or may be comprised therein, which may be transmitted on different carriers and/or be associated to different acknowledgement signaling processes, e.g., representing and/or pertaining to one or more such processes. Signaling associated to a channel may be transmitted such that represents signaling and/or information for that channel, and/or that the signaling is interpreted by the transmitter and/or receiver to belong to that channel. Such signaling may generally comply with transmission parameters and/or format/s for the channel.
The term “radio measurement” used herein may refer to any measurement performed on radio signals. Radio measurements can be absolute or relative. Radio measurement may be called as signal level which may be signal quality and/or signal strength. Radio measurements can be e.g., intra- frequency, inter- frequency, inter-RAT measurements, CA measurements, etc. Radio measurements can be unidirectional (e.g., DL or UL) or bidirectional (e.g., Round Trip Time (RTT), Receive-Transmit (Rx-Tx), etc.). Some examples of radio measurements: timing measurements (e.g., Time of Arrival (TOA), timing advance, RTT, Reference Signal Time Difference (RSTD), Rx-Tx, propagation delay, etc.), angle measurements (e.g., angle of arrival), power-based measurements (e.g., received signal power, Reference Signals Received Power (RSRP), received signal quality, Reference Signals Received Quality (RSRQ), Signal-to-interference-plus-noise Ratio (SINR), Signal Noise Ratio (SNR), interference power, total interference plus noise, Received Signal Strength Indicator (RSSI), noise power, etc.), cell detection or cell identification, radio link monitoring (RLM), system information (SI) reading, etc. The inter- frequency and inter-RAT measurements are carried out by the UE in measurement gaps unless the UE is capable of doing such measurement without gaps. Examples of measurement gaps are measurement gap id # 0 (each gap of 6 ms occurring every 40 ms), measurement gap id # 1 (each gap of 6 ms occurring every 80 ms), etc. The measurement gaps are configured at the UE by the network node.
Receiving (or obtaining) information may comprise receiving one or more information messages (e.g., an RRC parameter). It may be considered that receiving control signaling comprises demodulating and/or decoding and/or detecting, e.g., blind detection of, one or more messages, in particular a message carried by the signaling, e.g., based on an assumed set of resources, which may be searched and/or listened for the control information. It may be assumed that both sides of the communication are aware of the configurations, and may determine the set of resources, e.g., based on the reference size.
An indication generally may explicitly and/or implicitly indicate the information it represents and/or indicates. Implicit indication may for example be based on position and/or resource used for transmission. Explicit indication may for example be based on a parametrization with one or more parameters, and/or one or more index or indices corresponding to a table, and/or one or more bit patterns representing the information.
Transmitting in downlink may pertain to transmission from the network or network node to the terminal. The terminal may be considered the WD or UE. Transmitting in uplink may pertain to transmission from the terminal to the network or network node. Transmitting in sidelink may pertain to (direct) transmission from one terminal to another. Uplink, downlink and sidelink (e.g., sidelink transmission and reception) may be considered communication directions. In some variants, uplink and downlink may also be used to described wireless communication between network nodes, e.g., for wireless backhaul and/or relay communication and/or (wireless) network communication for example between base stations or similar network nodes, in particular communication terminating at such. It may be considered that backhaul and/or relay communication and/or network communication is implemented as a form of sidelink or uplink communication or similar thereto.
Configuring a radio node, in particular a terminal or user equipment or the UE, may refer to the radio node being adapted or caused or set and/or instructed to operate according to the configuration. Configuring may be done by another device, e.g., a network node (for example, a radio node of the network like a base station or eNodeB) or network, in which case it may comprise transmitting configuration data to the radio node to be configured. Such configuration data may represent the configuration to be configured and/or comprise one or more instruction pertaining to a configuration, e.g., a configuration for transmitting and/or receiving on allocated resources, in particular frequency resources, or e.g., configuration for performing certain measurements on certain subframes or radio resources. A radio node may configure itself, e.g., based on configuration data received from a network or network node. A network node may use, and/or be adapted to use, its circuitry/ies for configuring. Allocation information may be considered a form of configuration data. Configuration data may comprise and/or be represented by configuration information, and/or one or more corresponding indications and/or message/s.
Configuring in General
Generally, configuring may include determining configuration data representing the configuration and providing, e.g., transmitting, it to one or more other nodes (parallel and/or sequentially), which may transmit it further to the radio node (or another node, which may be repeated until it reaches the wireless device). Alternatively, or additionally, configuring a radio node, e.g., by a network node or other device, may include receiving configuration data and/or data pertaining to configuration data, e.g., from another node like a network node, which may be a higher-level node of the network, and/or transmitting received configuration data to the radio node. Accordingly, determining a configuration and transmitting the configuration data to the radio node may be performed by different network nodes or entities, which may be able to communicate via a suitable interface, e.g., an X2 interface in the case of LTE or a corresponding interface for NR. Configuring a terminal (e.g., WD/UE) may comprise scheduling downlink and/or uplink transmissions for the terminal, e.g., downlink data and/or downlink control signaling and/or DCI and/or uplink control or data or communication signaling, in particular acknowledgement signaling, and/or configuring resources and/or a resource pool therefor. In particular, configuring a terminal (e.g., WD/UE) may comprise configuring the UE to perform certain measurements on certain subframes or radio resources and reporting such measurements according to embodiments of the present disclosure.
A resource element may represent a smallest time- frequency resource, e.g., representing the time and frequency range covered by one symbol or a number of bits represented in a common modulation. A resource element may e.g., cover a symbol time length and a subcarrier, in particular in 3GPP and/or LTE standards. A data transmission may represent and/or pertain to transmission of specific data, e.g., a specific block of data and/or transport block.
A cell may be generally a communication cell, e.g., of a cellular or mobile communication network, provided by a node. A serving cell may be a cell on or via which a network node (the node providing or associated to the cell, e.g., base station or eNodeB) transmits and/or may transmit data (which may be data other than broadcast data) to a user equipment, in particular control and/or user or payload data, and/or via or on which a user equipment transmits and/or may transmit data to the node; a serving cell may be a cell for or on which the user equipment is configured and/or to which it is synchronized and/or has performed an access procedure, e.g., a random access procedure, and/or in relation to which it is in a RRC_connected or RRC_idle state, e.g., in case the node and/or user equipment and/or network follow the LTE-standard. One or more carriers (e.g., uplink and/or downlink carrier/s and/or a carrier for both uplink and downlink) may be associated to a cell.
Note that although terminology from one particular wireless system, such as, for example, 3GPP LTE and/or New Radio (NR), may be used in this disclosure, this should not be seen as limiting the scope of the disclosure to only the aforementioned system. Other wireless systems, including without limitation Wide Band Code Division Multiple Access (WCDMA), Worldwide Interoperability for Microwave Access (WiMax), Ultra Mobile Broadband (UMB) and Global System for Mobile Communications (GSM), may also benefit from exploiting the ideas covered within this disclosure.
Note further, that functions described herein as being performed by a wireless device or a network node may be distributed over a plurality of wireless devices and/or network nodes. In other words, it is contemplated that the functions of the network node and wireless device described herein are not limited to performance by a single physical device and, in fact, can be distributed among several physical devices.
Unless otherwise defined, all terms (including technical and scientific terms) used herein have the same meaning as commonly understood by one of ordinary skill in the art to which this disclosure belongs. It will be further understood that terms used herein should be interpreted as having a meaning that is consistent with their meaning in the context of this specification and the relevant art and will not be interpreted in an idealized or overly formal sense unless expressly so defined herein.
Some embodiments provide shared channel state information reference signal (CSI-RS) for partial-reciprocity based CSI feedback.
Referring again to the drawing figures, in which like elements are referred to by like reference numerals, there is shown in FIG. 7 a schematic diagram of a communication system 10, according to an embodiment, such as a 3GPP-type cellular network that may support standards such as LTE and/or NR (5G), which comprises an access network 12, such as a radio access network, and a core network 14. The access network 12 comprises a plurality of network nodes 16a, 16b, 16c (referred to collectively as network nodes 16), such as NBs, eNBs, gNBs or other types of wireless access points, each defining a corresponding coverage area 18a, 18b, 18c (referred to collectively as coverage areas 18). Each network node 16a, 16b, 16c is connectable to the core network 14 over a wired or wireless connection 20. A first UE 22a located in coverage area 18a is configured to wirelessly connect to, or be paged by, the corresponding network node 16a. A second UE 22b in coverage area 18b is wirelessly connectable to the corresponding network node 16b. While a plurality of UEs 22a, 22b (collectively referred to as UEs 22) are illustrated in this example, the disclosed embodiments are equally applicable to a situation where a sole UE is in the coverage area or where a sole UE is connecting to the corresponding network node 16. Note that although only two UEs 22 and three network nodes 16 are shown for convenience, the communication system may include many more UEs 22 and network nodes 16.
Also, it is contemplated that a UE 22 can be in simultaneous communication and/or configured to separately communicate with more than one network node 16 and more than one type of network node 16. For example, a UE 22 can have dual connectivity with a network node 16 that supports LTE and the same or a different network node 16 that supports NR. As an example, UE 22 can be in communication with an eNB for LTE/E-UTRAN and a gNB for NR/NG-RAN.
The communication system 10 may itself be connected to a host computer 24, which may be embodied in the hardware and/or software of a standalone server, a cloud-implemented server, a distributed server or as processing resources in a server farm. The host computer 24 may be under the ownership or control of a service provider, or may be operated by the service provider or on behalf of the service provider. The connections 26, 28 between the communication system 10 and the host computer 24 may extend directly from the core network 14 to the host computer 24 or may extend via an optional intermediate network 30. The intermediate network 30 may be one of, or a combination of more than one of, a public, private or hosted network. The intermediate network 30, if any, may be a backbone network or the Internet. In some embodiments, the intermediate network 30 may comprise two or more sub-networks (not shown).
The communication system of FIG. 7 as a whole enables connectivity between one of the connected UEs 22a, 22b and the host computer 24. The connectivity may be described as an over-the-top (OTT) connection. The host computer 24 and the connected UEs 22a, 22b are configured to communicate data and/or signaling via the OTT connection, using the access network 12, the core network 14, any intermediate network 30 and possible further infrastructure (not shown) as intermediaries. The OTT connection may be transparent in the sense that at least some of the participating communication devices through which the OTT connection passes are unaware of routing of uplink and downlink communications. For example, a network node 16 may not or need not be informed about the past routing of an incoming downlink communication with data originating from a host computer 24 to be forwarded (e.g., handed over) to a connected UE 22a. Similarly, the network node 16 need not be aware of the future routing of an outgoing uplink communication originating from the UE 22a towards the host computer 24.
A network node 16 is configured to include a configuration unit 32 which is configured to determine information relating to at least one dominating propagation path from the network node to a UE in a cell supported by the network node; and/or configure the UE with at least one channel state information reference signal, CSI-RS, port, the at least one CSI-RS port being shared with at least one other UE in the cell based at least in part on the UE sharing at least one common dominating propagation path with the least one other UE.
A UE 22 is configured to include a measurement unit 34 which is configured to receive a configuration of at least one channel state information reference signal, CSI-RS, port, the at least one CSI-RS port being shared with at least one other UE in the cell based at least in part on the UE sharing at least one common dominating propagation path with the least one other UE.
Example implementations, in accordance with an embodiment, of the UE 22, network node 16 and host computer 24 discussed in the preceding paragraphs will now be described with reference to FIG. 8. In a communication system 10, a host computer 24 comprises hardware (HW) 38 including a communication interface 40 configured to set up and maintain a wired or wireless connection with an interface of a different communication device of the communication system 10. The host computer 24 further comprises processing circuitry 42, which may have storage and/or processing capabilities. The processing circuitry 42 may include a processor 44 and memory 46. In particular, in addition to or instead of a processor, such as a central processing unit, and memory, the processing circuitry 42 may comprise integrated circuitry for processing and/or control, e.g., one or more processors and/or processor cores and/or FPGAs (Field Programmable Gate Array) and/or ASICs (Application Specific Integrated Circuitry) adapted to execute instructions. The processor 44 may be configured to access (e.g., write to and/or read from) memory 46, which may comprise any kind of volatile and/or nonvolatile memory, e.g., cache and/or buffer memory and/or RAM (Random Access Memory) and/or ROM (Read- Only Memory) and/or optical memory and/or EPROM (Erasable Programmable Read-Only Memory).
Processing circuitry 42 may be configured to control any of the methods and/or processes described herein and/or to cause such methods, and/or processes to be performed, e.g., by host computer 24. Processor 44 corresponds to one or more processors 44 for performing host computer 24 functions described herein. The host computer 24 includes memory 46 that is configured to store data, programmatic software code and/or other information described herein. In some embodiments, the software 48 and/or the host application 50 may include instructions that, when executed by the processor 44 and/or processing circuitry 42, causes the processor 44 and/or processing circuitry 42 to perform the processes described herein with respect to host computer 24. The instructions may be software associated with the host computer 24.
The software 48 may be executable by the processing circuitry 42. The software 48 includes a host application 50. The host application 50 may be operable to provide a service to a remote user, such as a UE 22 connecting via an OTT connection 52 terminating at the UE 22 and the host computer 24. In providing the service to the remote user, the host application 50 may provide user data which is transmitted using the OTT connection 52. The “user data” may be data and information described herein as implementing the described functionality. In one embodiment, the host computer 24 may be configured for providing control and functionality to a service provider and may be operated by the service provider or on behalf of the service provider. The processing circuitry 42 of the host computer 24 may enable the host computer 24 to observe, monitor, control, transmit to and/or receive from the network node 16 and/or the UE 22. The processing circuitry 42 of the host computer 24 may include a monitor unit 54 configured to enable the service provider to observe, monitor, control, transmit to and/or receive from the network node 16 and/or the UE 22.
The communication system 10 further includes a network node 16 provided in a communication system 10 and including hardware 58 enabling it to communicate with the host computer 24 and with the UE 22. The hardware 58 may include a communication interface 60 for setting up and maintaining a wired or wireless connection with an interface of a different communication device of the communication system 10, as well as a radio interface 62 for setting up and maintaining at least a wireless connection 64 with a UE 22 located in a coverage area 18 served by the network node 16. The radio interface 62 may be formed as or may include, for example, one or more RF transmitters, one or more RF receivers, and/or one or more RF transceivers. The communication interface 60 may be configured to facilitate a connection 66 to the host computer 24. The connection 66 may be direct or it may pass through a core network 14 of the communication system 10 and/or through one or more intermediate networks 30 outside the communication system 10.
In the embodiment shown, the hardware 58 of the network node 16 further includes processing circuitry 68. The processing circuitry 68 may include a processor 70 and a memory 72. In particular, in addition to or instead of a processor, such as a central processing unit, and memory, the processing circuitry 68 may comprise integrated circuitry for processing and/or control, e.g., one or more processors and/or processor cores and/or FPGAs (Field Programmable Gate Array) and/or ASICs (Application Specific Integrated Circuitry) adapted to execute instructions. The processor 70 may be configured to access (e.g., write to and/or read from) the memory 72, which may comprise any kind of volatile and/or nonvolatile memory, e.g., cache and/or buffer memory and/or RAM (Random Access Memory) and/or ROM (Read-Only Memory) and/or optical memory and/or EPROM (Erasable Programmable Read-Only Memory).
Thus, the network node 16 further has software 74 stored internally in, for example, memory 72, or stored in external memory (e.g., database, storage array, network storage device, etc.) accessible by the network node 16 via an external connection. The software 74 may be executable by the processing circuitry 68. The processing circuitry 68 may be configured to control any of the methods and/or processes described herein and/or to cause such methods, and/or processes to be performed, e.g., by network node 16. Processor 70 corresponds to one or more processors 70 for performing network node 16 functions described herein. The memory 72 is configured to store data, programmatic software code and/or other information described herein. In some embodiments, the software 74 may include instructions that, when executed by the processor 70 and/or processing circuitry 68, causes the processor 70 and/or processing circuitry 68 to perform the processes described herein with respect to network node 16. For example, processing circuitry 68 of the network node 16 may include configuration unit 32 configured to perform network node methods discussed herein, such as the methods discussed with reference to FIG. 13 as well as other figures.
The communication system 10 further includes the UE 22 already referred to. The UE 22 may have hardware 80 that may include a radio interface 82 configured to set up and maintain a wireless connection 64 with a network node 16 serving a coverage area 18 in which the UE 22 is currently located. The radio interface 82 may be formed as or may include, for example, one or more RF transmitters, one or more RF receivers, and/or one or more RF transceivers.
The hardware 80 of the UE 22 further includes processing circuitry 84. The processing circuitry 84 may include a processor 86 and memory 88. In particular, in addition to or instead of a processor, such as a central processing unit, and memory, the processing circuitry 84 may comprise integrated circuitry for processing and/or control, e.g., one or more processors and/or processor cores and/or FPGAs (Field Programmable Gate Array) and/or ASICs (Application Specific Integrated Circuitry) adapted to execute instructions. The processor 86 may be configured to access (e.g., write to and/or read from) memory 88, which may comprise any kind of volatile and/or nonvolatile memory, e.g., cache and/or buffer memory and/or RAM (Random Access Memory) and/or ROM (Read-Only Memory) and/or optical memory and/or EPROM (Erasable Programmable Read-Only Memory).
Thus, the UE 22 may further comprise software 90, which is stored in, for example, memory 88 at the UE 22, or stored in external memory (e.g., database, storage array, network storage device, etc.) accessible by the UE 22. The software 90 may be executable by the processing circuitry 84. The software 90 may include a client application 92. The client application 92 may be operable to provide a service to a human or non-human user via the UE 22, with the support of the host computer 24. In the host computer 24, an executing host application 50 may communicate with the executing client application 92 via the OTT connection 52 terminating at the UE 22 and the host computer 24. In providing the service to the user, the client application 92 may receive request data from the host application 50 and provide user data in response to the request data. The OTT connection 52 may transfer both the request data and the user data. The client application 92 may interact with the user to generate the user data that it provides.
The processing circuitry 84 may be configured to control any of the methods and/or processes described herein and/or to cause such methods, and/or processes to be performed, e.g., by UE 22. The processor 86 corresponds to one or more processors 86 for performing UE 22 functions described herein. The UE 22 includes memory 88 that is configured to store data, programmatic software code and/or other information described herein. In some embodiments, the software 90 and/or the client application 92 may include instructions that, when executed by the processor 86 and/or processing circuitry 84, causes the processor 86 and/or processing circuitry 84 to perform the processes described herein with respect to UE 22. For example, the processing circuitry 84 of the UE 22 may include a measurement unit 34 configured to perform UE methods discussed herein, such as the methods discussed with reference to FIG. 14 as well as other figures.
In some embodiments, the inner workings of the network node 16, UE 22, and host computer 24 may be as shown in FIG. 8 and independently, the surrounding network topology may be that of FIG. 7.
In FIG. 8, the OTT connection 52 has been drawn abstractly to illustrate the communication between the host computer 24 and the UE 22 via the network node 16, without explicit reference to any intermediary devices and the precise routing of messages via these devices. Network infrastructure may determine the routing, which it may be configured to hide from the UE 22 or from the service provider operating the host computer 24, or both. While the OTT connection 52 is active, the network infrastructure may further take decisions by which it dynamically changes the routing (e.g., on the basis of load balancing consideration or reconfiguration of the network).
The wireless connection 64 between the UE 22 and the network node 16 is in accordance with the teachings of the embodiments described throughout this disclosure. One or more of the various embodiments improve the performance of OTT services provided to the UE 22 using the OTT connection 52, in which the wireless connection 64 may form the last segment. More precisely, the teachings of some of these embodiments may improve the data rate, latency, and/or power consumption and thereby provide benefits such as reduced user waiting time, relaxed restriction on file size, better responsiveness, extended battery lifetime, etc.
In some embodiments, a measurement procedure may be provided for the purpose of monitoring data rate, latency and other factors on which the one or more embodiments improve. There may further be an optional network functionality for reconfiguring the OTT connection 52 between the host computer 24 and UE 22, in response to variations in the measurement results. The measurement procedure and/or the network functionality for reconfiguring the OTT connection 52 may be implemented in the software 48 of the host computer 24 or in the software 90 of the UE 22, or both. In embodiments, sensors (not shown) may be deployed in or in association with communication devices through which the OTT connection 52 passes; the sensors may participate in the measurement procedure by supplying values of the monitored quantities exemplified above, or supplying values of other physical quantities from which software 48, 90 may compute or estimate the monitored quantities. The reconfiguring of the OTT connection 52 may include message format, retransmission settings, preferred routing etc.; the reconfiguring need not affect the network node 16, and it may be unknown or imperceptible to the network node 16. Some such procedures and functionalities may be known and practiced in the art. In certain embodiments, measurements may involve proprietary UE 22 signaling facilitating the host computer’s 24 measurements of throughput, propagation times, latency and the like. In some embodiments, the measurements may be implemented in that the software 48, 90 causes messages to be transmitted, in particular empty or ‘dummy’ messages, using the OTT connection 52 while it monitors propagation times, errors etc.
Thus, in some embodiments, the host computer 24 includes processing circuitry 42 configured to provide user data and a communication interface 40 that is configured to forward the user data to a cellular network for transmission to the UE 22. In some embodiments, the cellular network also includes the network node 16 with a radio interface 62. In some embodiments, the network node 16 is configured to, and/or the network node’s 16 processing circuitry 68 is configured to perform the functions and/or methods described herein for preparing/initiating/maintaining/supporting/ending a transmission to the UE 22, and/or preparing/terminating/maintaining/supporting/ending in receipt of a transmission from the UE 22.
In some embodiments, the host computer 24 includes processing circuitry 42 and a communication interface 40 that is configured to a communication interface 40 configured to receive user data originating from a transmission from a UE 22 to a network node 16. In some embodiments, the UE 22 is configured to, and/or comprises a radio interface 82 and/or processing circuitry 84 configured to perform the functions and/or methods described herein for preparing/initiating/maintaining/supporting/ending a transmission to the network node 16, and/or preparing/terminating/maintaining/supporting/ending in receipt of a transmission from the network node 16.
Although FIGS. 7 and 8 show various “units” such as configuration unit 32, and measurement unit 34 as being within a respective processor, it is contemplated that these units may be implemented such that a portion of the unit is stored in a corresponding memory within the processing circuitry. In other words, the units may be implemented in hardware or in a combination of hardware and software within the processing circuitry.
FIG. 9 is a flowchart illustrating an exemplary method implemented in a communication system, such as, for example, the communication system of FIGS. 7 and 8, in accordance with one embodiment. The communication system may include a host computer 24, a network node 16 and a UE 22, which may be those described with reference to FIG. 8. In a first step of the method, the host computer 24 provides user data (Block S100). In an optional substep of the first step, the host computer 24 provides the user data by executing a host application, such as, for example, the host application 50 (Block S102). In a second step, the host computer 24 initiates a transmission carrying the user data to the UE 22 (Block S104). In an optional third step, the network node 16 transmits to the UE 22 the user data which was carried in the transmission that the host computer 24 initiated, in accordance with the teachings of the embodiments described throughout this disclosure (Block S106). In an optional fourth step, the UE 22 executes a client application, such as, for example, the client application 92, associated with the host application 50 executed by the host computer 24 (Block s 108).
FIG. 10 is a flowchart illustrating an exemplary method implemented in a communication system, such as, for example, the communication system of FIG. 7, in accordance with one embodiment. The communication system may include a host computer 24, a network node 16 and a UE 22, which may be those described with reference to FIGS. 7 and 8. In a first step of the method, the host computer 24 provides user data (Block SI 10). In an optional substep (not shown) the host computer 24 provides the user data by executing a host application, such as, for example, the host application 50. In a second step, the host computer 24 initiates a transmission carrying the user data to the UE 22 (Block SI 12). The transmission may pass via the network node 16, in accordance with the teachings of the embodiments described throughout this disclosure. In an optional third step, the UE 22 receives the user data carried in the transmission (Block S 114).
FIG. 11 is a flowchart illustrating an exemplary method implemented in a communication system, such as, for example, the communication system of FIG. 7, in accordance with one embodiment. The communication system may include a host computer 24, a network node 16 and a UE 22, which may be those described with reference to FIGS. 7 and 8. In an optional first step of the method, the UE 22 receives input data provided by the host computer 24 (Block S 116). In an optional substep of the first step, the UE 22 executes the client application 92, which provides the user data in reaction to the received input data provided by the host computer 24 (Block SI 18). Additionally or alternatively, in an optional second step, the UE 22 provides user data (Block S120). In an optional substep of the second step, the UE 22 provides the user data by executing a client application, such as, for example, client application 92 (Block S122). In providing the user data, the executed client application 92 may further consider user input received from the user. Regardless of the specific manner in which the user data was provided, the UE 22 may initiate, in an optional third substep, transmission of the user data to the host computer 24 (Block S124). In a fourth step of the method, the host computer 24 receives the user data transmitted from the UE 22, in accordance with the teachings of the embodiments described throughout this disclosure (Block S126).
FIG. 12 is a flowchart illustrating an exemplary method implemented in a communication system, such as, for example, the communication system of FIG. 7, in accordance with one embodiment. The communication system may include a host computer 24, a network node 16 and a UE 22, which may be those described with reference to FIGS. 7 and 8. In an optional first step of the method, in accordance with the teachings of the embodiments described throughout this disclosure, the network node 16 receives user data from the UE 22 (Block S128). In an optional second step, the network node 16 initiates transmission of the received user data to the host computer 24 (Block S130). In a third step, the host computer 24 receives the user data carried in the transmission initiated by the network node 16 (Block S132).
FIG. 13 is a flowchart of an exemplary process in a network node 16 according to some embodiments of the present disclosure. One or more Blocks and/or functions and/or methods performed by the network node 16 may be performed by one or more elements of network node 16 such as by configuration unit 32 in processing circuitry 68, processor 70, radio interface 62, etc. according to the example method. The example method may include optionally, determining (Block S134), such as via configuration unit 32, processing circuitry 68, processor 70 and/or radio interface 62, information relating to at least one dominating propagation path from the network node to a UE 22 in a cell supported by the network node. The method may include configuring (Block S136), such as via configuration unit 32, processing circuitry 68, processor 70 and/or radio interface 62, the UE with at least one channel state information reference signal, CSI-RS, port, the at least one CSI-RS port being shared with at least one other UE in the cell based at least in part on the UE sharing at least one common dominating propagation path with the least one other UE.
In some embodiments, the method further includes performing, such as via configuration unit 32, processing circuitry 68, processor 70 and/or radio interface 62, at least one uplink (UL) measurement, the information relating to at least one dominating propagation path is determined based at least in part on the at least one UL measurement. In some embodiments, the method further includes grouping, such as via configuration unit 32, processing circuitry 68, processor 70 and/or radio interface 62, together the UE and the at least one other UE in the cell that share the at least one common dominating propagation path, each UE in the group sharing the at least one CSI-RS port. In some embodiments, the method further includes configuring, such as via configuration unit 32, processing circuitry 68, processor 70 and/or radio interface 62, the UE in the cell with at least one channel state information reference signal (CSI-RS) resource set, at least one CSI-RS resource and at least one CSI-RS port.
In some embodiments, each UE in the group sharing at least one of a same CSI-RS resource set, a same CSI-RS resource and a same CSI-RS port. In some embodiments, the method further includes transmitting, such as via configuration unit 32, processing circuitry 68, processor 70 and/or radio interface 62, at least one beamformed CSI-RS port in a direction of a corresponding common dominating propagation path. In some embodiments, the method further includes indicating, such as via configuration unit 32, processing circuitry 68, processor 70 and/or radio interface 62, to the UE at least one frequency domain (FD) component that the UE is to use for each CSI-RS port in the CSI report.
FIG. 14 is a flowchart of an exemplary process in a UE 22 according to some embodiments of the present disclosure. One or more Blocks and/or functions and/or methods performed by UE 22 may be performed by one or more elements of UE 22 such as by measurement unit 34 in processing circuitry 84, processor 86, radio interface 82, etc. The example method includes receiving (Block S138), such as via measurement unit 34, processing circuitry 84, processor 86 and/or radio interface 82, a configuration of at least one channel state information reference signal, CSI-RS, port, the at least one CSI-RS port being shared with at least one other UE in the cell based at least in part on the UE sharing at least one common dominating propagation path with the least one other UE.
In some embodiments, the configuration being based on a UE group, each UE in the group sharing the at least one CSI-RS port and sharing the at least one common dominating propagation path. In some embodiments, the configuration further comprising at least one channel state information reference signal (CSI-RS) resource set and at least one CSI-RS resource associated with the at least one CSI-RS port. In some embodiments, the method includes transmitting, such as via measurement unit 34, processing circuitry 84, processor 86 and/or radio interface 82, at least one uplink (UL) reference signal to the network node.
In some embodiments, the method includes receiving at least one beamformed CSI-RS port in a direction of a corresponding common dominating propagation path. In some embodiments, the method includes performing, such as via measurement unit 34, processing circuitry 84, processor 86 and/or radio interface 82, a measurement of the at least one beamformed CSI-RS port. In some embodiments, the method includes receiving, such as via measurement unit 34, processing circuitry 84, processor 86 and/or radio interface 82, an indication of at least one frequency domain (FD) component that the UE is to use for each CSI-RS port in the CSI report. In some embodiments, the method includes transmitting, such as via measurement unit 34, processing circuitry 84, processor 86 and/or radio interface 82, the CSI report based at least in part on the indication and the configuration.
In some embodiments, the method includes receiving, such as via measurement unit 34, processing circuitry 84, processor 86 and/or radio interface 82, a configuration with multiple different CSI-RS resources or resource sets, the different CSI-RS resources or resource sets having a different number of ports dependent on at least a propagation condition to the UE.
FIG. 15 is a flowchart of an exemplary process in a network node 16 according to some embodiments of the present disclosure. One or more Blocks and/or functions and/or methods performed by the network node 16 may be performed by one or more elements of network node 16 such as by configuration unit 32 in processing circuitry 68, processor 70, radio interface 62, etc. according to the example method. The example method using (Block S140), such as by configuration unit 32 in processing circuitry 68, processor 70 and/or radio interface 62, a channel state information reference signal, CSI-RS, resource, the CSI-RS resource being a cell- common CSI-RS resource and the CSI-RS resource comprising a plurality of CSI-RS ports. The method includes transmitting (Block S142), such as by configuration unit 32 in processing circuitry 68, processor 70 and/or radio interface 62, (i) a frequency domain, FD, indication indicating a set of FD components associated with the CSI-RS resource and/or (ii) a port indication indicating a set of CSI-RS ports associated with the CSI-RS resource. The method includes receiving (Block S144), such as by configuration unit 32 in processing circuitry 68, processor 70 and/or radio interface 62, a channel state information, CSI, report that is based at least in part on the CSI-RS resource, optionally, the received CSI report being based on at least one of the FD indication, the port indication and/or a subset in the set of FD components and/or in the set of CSI-RS ports that is indicated to the UE.
In some embodiments, the CSI-RS resource is associated with a plurality of beams that are based at least in part on a plurality of dominant propagation paths in a cell supported by the network node. In some embodiments, the CSI-RS resource is associated with a plurality of beams corresponding to a plurality of transmit directions, the plurality of transmit directions being based at least in part on uplink, UL, measurements associated with UEs in the cell. In some embodiments, the CSI- RS resource is associated with a plurality of beams corresponding to a plurality of transmit directions, the plurality of transmit directions being based at least in part on a fixed set of beams.
In some embodiments, the method further includes performing, such as by configuration unit 32 in processing circuitry 68, processor 70 and/or radio interface 62, uplink, UL, measurements associated with the UE; and the set of CSI-RS ports that is indicated to the UE is based at least in part on the UL measurements associated with the UE. In some embodiments, the method further includes estimating, such as by configuration unit 32 in processing circuitry 68, processor 70 and/or radio interface 62, a delay based at least in part on uplink, UL, measurements associated with the UE, the CSI report being based further on the estimated delay. In some embodiments, the set of FD components that is indicated to the UE is based at least in part on uplink, UL, measurements associated with the UE.
FIG. 16 is a flowchart of an exemplary process in a UE 22 according to some embodiments of the present disclosure. One or more Blocks and/or functions and/or methods performed by UE 22 may be performed by one or more elements of UE 22 such as by measurement unit 34 in processing circuitry 84, processor 86, radio interface 82, etc. The example method includes using (Block S146), such as by measurement unit 34 in processing circuitry 84, processor 86 and/or radio interface 82, a channel state information reference signal, CSI-RS, resource, the CSI-RS resource being a cell-common CSI-RS resource and the CSI-RS resource comprising a plurality of CSI-RS ports. The method includes receiving (Block S148), such as by measurement unit 34 in processing circuitry 84, processor 86 and/or radio interface 82, (i) a frequency domain, FD, indication indicating a set of FD components associated with the CSI-RS resource and/or (ii) a port indication indicating a set of CSI-RS ports associated with the CSI-RS resource. The method includes optionally, determining (Block S150), such as by measurement unit 34 in processing circuitry 84, processor 86 and/or radio interface 82, a subset in the set of FD components and/or in the set of CSI-RS ports that is indicated to the UE. The method includes transmitting (Block S152), such as by measurement unit 34 in processing circuitry 84, processor 86 and/or radio interface 82, a channel state information, CSI, report that is based at least in part on the CSI-RS resource, optionally, the transmitted CSI report being based on at least one of the FD indication, the port indication and/or the subset that is determined by the UE.
In some embodiments, the CSI-RS resource is associated with a plurality of beams that are based at least in part on a plurality of dominant propagation paths in a cell supported by the network node. In some embodiments, the CSI-RS resource is associated with a plurality of beams corresponding to a plurality of transmit directions, the plurality of transmit directions being based at least in part on uplink, UL, measurements associated with UEs in the cell. In some embodiments, the CST RS resource is associated with a plurality of beams corresponding to a plurality of transmit directions, the plurality of transmit directions being based at least in part on a fixed set of beams. In some embodiments, the set of CSI-RS ports that is indicated to the UE is based at least in part on uplink, UL, measurements associated with the UE. In some embodiments, the CSI report is based further on an estimated delay, the estimated delay being based at least in part on uplink, UL, measurements associated with the UE. In some embodiments, the set of FD components that is indicated to the UE is based at least in part on uplink, UL, measurements associated with the UE.
Having described the general process flow of arrangements of the disclosure and having provided examples of hardware and software arrangements for implementing the processes and functions of the disclosure, the sections below provide details and examples of arrangements for shared channel state information reference signal (CSI-RS) for partial-reciprocity based CSI feedback, which may be implemented by the network node 16 (such as by configuration unit 32 in processing circuitry 68, processor 70 and/or radio interface 62), UE 22 (such as by measurement unit 34 in processing circuitry 84, processor 86 and/or radio interface 82) and/or host computer 24.
Some embodiments provide shared channel state information reference signal (CSI-RS) for partial-reciprocity based CSI feedback.
When there are many UEs 22 in a cell, it is likely that some UEs 22 will have some propagation paths from the network node 16 in common. For example, UEs 22 that are closely spaced will probably have the same dominating channel clusters. FIG. 17 illustrates a schematic example where five UEs 22 have been divided into two groups, A and B. The UEs 22 within a group have the same dominating propagation paths as seen from the network node 16. In such cases, in some embodiments, it may be unnecessary to associate unique CSI-RS ports to each individual UE 22. Instead, the CSI-RS ports may be shared between UEs 22 that have similar dominating propagation paths. This may reduce both CSI-RS and CSI reporting overhead as well as reduced computational complexity for the UE 22 in determining the CSI report.
In the following, some different embodiments for sharing CSI-RS ports between UEs 22 for the purpose of partial reciprocity-based CSI are disclosed. Embodiment 1, Cell-common CSI-RS
In this embodiment, a single CSI-RS resource may be used for all UEs 22 in a cell. This may mean that the CSI-RS resource may comprise a relatively large number of ports, e.g., 32, in order to cover all UEs 22 in the cell. The ports in the CSI-RS resource may be beamformed so that the dominant propagation paths to all UEs 22 in the cell are excited. Note that each direction may require two ports in order to enable estimation of the polarization state of the channel. The directions of the dominating propagation paths may be estimated from UL measurements. These estimates may be used to beamform the different ports in the dominant directions. Alternatively, a grid- of-beams (GoB) approach may be used for the beamforming of the CSI-RS ports. In this case, a fixed set of beams may be used which may cover the entire cell or parts of the cell where the UEs 22 are located.
In some embodiments, an individual UE 22 may not need all the ports in the resource in order to construct a CSI-RS report that conveys the channel state between the network node 16 and UE 22 since there may be only a few dominating channel clusters to the UE 22. Therefore, the network node 16 may determine from UL measurements which ports that correspond to the dominant clusters for the UE 22 and signal to the UE 22 that only these ports are to be used by the UE 22 in the CSI report. Further, based on UL measurements, the network node 16 may estimate the delays of the dominant clusters for the UE 22. Based on these estimates, the network node 16 determines, such as processing circuitry 68, which FD components should be used for each of the ports determined in the previous step and signals, such as via radio interface 62, to the UE 22 that only these FD components are to be considered when constructing the CSI report. This approach may reduce the complexity in the CSI computation in the UE 22, e.g., in processing circuitry 84, and also the CSI reporting overhead.
Optionally, the UE 22 may further down-select the ports and FD components indicated by the network node 16, i.e., use only a subset of the ports/FD components indicated by the network node 16. This may be useful if a cluster is weak in the DL channel even if it is strong in the UL channel, due to the non-reciprocal small-scale fading. In this case, the UE 22 may report, such as via processing circuitry 84 and/or radio interface 82, which subset of ports and FD components that is used in the CSI- RS report and the corresponding LC coefficients. This may reduce the reporting overhead for the LC coefficients.
Embodiment 2, Group-common CSI-RS
As alluded to previously, some UEs 22 in a cell will have some propagation paths from the network node 16 in common. This may be utilized in this embodiment by grouping UEs 22 that have common channel clusters. The grouping may be based on angle and/or delay estimation from UL measurements. Three different examples of this grouping approach are discussed below. These different examples are illustrated schematically in FIGS. 18 and 19.
• 2a. The network node 16 configures, such as via processing circuitry 68 and/or radio interface 62 (e.g., via radio resource control signaling), one CSI-RS resource per UE group and different groups are configured with different CSI- RS resources within the same resource set. A UE 22 may be configured with multiple CSI-RS resources so that the UE 22 may dynamically change groups if the UE 22 moves around in the cell.
• 2b. The network node 16 configures, such as via processing circuitry 68 and/or radio interface 62 (e.g., via radio resource control signaling), one CSI- RS resource set per UE group and different groups are configured with different CSI-RS resource sets. Each CSI-RS resource set may include a single CSI-RS resource. The ports in a resource set may be beamformed so that the dominant channel clusters for the UEs 22 in the group are excited.
• 2c. The network node 16 configures, such as via processing circuitry 68 and/or radio interface 62 (e.g., via radio resource control signaling), a single CSI-RS resource for the entire cell, where the resource includes multiple ports. The network node 16 groups, such as via processing circuitry 68, the ports in the resource so that a group of ports is associated with a group of UEs 22 with common channel clusters. This may be considered similar to Embodiment 1, but in Embodiment 1 the step of grouping UEs 22 may be omitted if, e.g., a distinct grouping of UEs 22 is not feasible. Depending on which of these examples is used, the network node 16 signals to the UE 22 which CSI-RS resource set, resource, and/or ports that the UE 22 is to consider when constructing the CSI report. The network node 16 may also signal which FD components that the UE 22 will consider for each resource set/resource/port. These FD components may be determined by the network node 16 from the angle-delay estimation.
Alternatively, or additionally, in some embodiments, the UE 22 determines which resource/ports to use in the CSI report and includes this in the report, such as via processing circuitry 84 and/or radio interface 82. In one embodiment, the UE 22 determines which resource/ports to use from the full set of configured resources/ports. In another embodiment, the UE 22 down-selects, such as via processing circuitry 84 and/or radio interface 82, resources/ports among the resources/ports that have been indicated by the network node 16.
In some embodiments, if there is a strong cluster that is common for the UEs 22 in a group, the network node 16 may include delay pre-compensation in the CSI- RS beamforming to this group. This may reduce the number of needed FD components as described above.
FIG. 20 illustrates an example of some embodiments with a flow chart, which illustrates that the network node 16 may: 1) estimate angles to UEs 22 from e.g., SRS (UL estimates); 2) group UEs with common angles and 3) based on the estimates and the grouping, perform one or more of e.g., embodiments 2a, 2b or 2c discussed above.
Embodiment 3: Shared CSI-RS Resources but UE-specific Beamforming
In this embodiment, the network node 16 configures, such as via processing circuitry 68 and/or radio interface 62, each UE 22 with multiple CSI-RS resources, where each resource may include a different number of ports. For example, one CSI- RS resource may have two ports and another CSI-RS resource may have eight ports. Based on UL channel estimation, the network node 16 determines, such as via processing circuitry 68 and/or radio interface 62, a CSI-RS resource with a suitable number of ports. For example, for a UE 22 with a line-of- sight (LoS) condition a CSI-RS resource with two ports may be sufficient to construct an accurate CSI report, while another UE 22 in a rich scattering environment may be configured with an eight-port resource. By adapting the number of ports in a CSI-RS resource to the channel conditions, both CSI-RS and feedback overhead may be reduced. UEs 22 with common propagation paths may share the same CSI-RS resource. The network node 16 may signal, such as via radio interface 62, to each UE 22 which resource and FD components the UE 22 is to consider in its CSI report. The network node 16 may perform delay pre-compensation in the CSI-RS beamforming in order to reduce the number of needed FD components. This embodiment may also make it possible to change the number ports that a UE 22 uses in its CSI report if channel conditions change. For example, if a UE 22 moves from LoS to Non-LoS (NLoS) the UE 22 may dynamically be configured to use a CSI-RS resource with more ports.
In a variant of this embodiment, the network node 16 configures (e.g., via RRC signaling) a UE 22 with multiple CSI-RS resource sets, where the different resource sets may include a CSI-RS resource with different number of ports. In some embodiments, the UE 22 may switch, such as via processing circuitry 84, between the different configured multiple CSI-RS resource sets or CSI-RS resources with the different number of ports so that the number of ports can be adapted to changes in the UE’s 22 channel condition.
Although CSI based on type II port selection codebook is used in the above discussions, the present disclosure is not limited to type II port selection codebook. The arrangements proposed in the present disclosure may be applicable to other types of codebooks, such as type I or type II codebook, where for example a NZP CSI-RS resource with a large number of ports (e.g., 32 ports) is configured for all UEs 22 in a cell and a subset of the ports are actually used by each UE 22 for CSI measurement and feedback. One use case is that due to UE 22 capability, some UEs 22 are not capable of measuring CSI over a large number of CSI-RS ports and may only measure CSI on a smaller number of CSI-RS ports; thus, the port sharing arrangements proposed in the present disclosure may allow configuring a single CSI-RS resource and/or resource set for all UEs 22 in a cell with different UE 22 capabilities.
In some embodiments, an indication of the subset of ports may be either dynamically (e.g., downlink control information) or semi-statically (e.g., RRC) signaled to a UE 22. The NZP CSI-RS may be periodic, semi-persistent, or aperiodic. The CSI measurement and reporting also may be periodic, semipersistent or aperiodic. The port sharing may also be time varying in which the CSI-RS ports may be shared by different groups of UEs 22 in different time instances.
Some embodiments of the present disclosure may include one or more of the following:
Based on UL measurements (e.g., measurements on SRS), the network node 16 determines information relating to the dominating propagation paths from the network node 16 to the UEs 22 in a cell supported by the network node 16.
The network node 16 determines if some UEs 22 have some dominating propagation paths in common.
The network node 16 performs grouping of UEs 22 such that UEs 22 in the same group have at least some propagation paths in common.
The network node 16 configures UEs 22 in the cell with CSI-RS resource set(s), CSI-resource(s) and/or ports such that UEs 22 in the same group share the same ports.
The network node 16 transmits beamformed CSI-RS ports in directions corresponding to the determined propagation paths.
The network node 16 indicates to the UE 22 which FD components the UE 22 is to use for each port in the CSI report.
In some embodiments, the UE 22 uses a subset of the ports and FD components indicated by the network node 16. In this case, the UE 22 may indicate the selected subset in the CSI report.
In some embodiments, a UE 22 is configured with multiple CSI-RS resources or resource sets, where the different resources/sets have different number of ports dependent on the propagation conditions to the UE 22.
In some embodiments, the UE 22 receives the configuration of the CSI-RS resource set(s), CSTresource(s) and/or ports such that UEs 22 in the cell that are in a same group share the same ports. In some embodiments, the UE 22 receives the beamformed CSI-RS ports in the directions corresponding to the propagation paths based at least in part on the received configuration. In some embodiments, the UE 22 performs measurements on the received CSI-RS ports and reports CSI based at least in part on the measurements and/or based at least in part on the received configuration.
Some embodiments may include one or more of the following:
Embodiments:
Embodiment Al. A network node configured to communicate with a wireless device (WD), the network node configured to, and/or comprising a radio interface and/or comprising processing circuitry configured to: optionally, determine information relating to at least one dominating propagation path from the network node to a wireless device (WD) in a cell supported by the network node; and/or configure the WD with at least one channel state information reference signal, CSI-RS, port, the at least one CSI-RS port being shared with at least one other WD in the cell based at least in part on the WD sharing at least one common dominating propagation path with the least one other WD.
Embodiment A2. The network node of Embodiment Al, wherein the network node and/or the radio interface and/or the processing circuitry is further configured to at least one of: perform at least one uplink (UL) measurement, the information relating to at least one dominating propagation path is determined based at least in part on the at least one UL measurement; group together the WD and the at least one other WD in the cell that share the at least one common dominating propagation path, each WD in the group sharing the at least one CSI-RS port; configure the WD in the cell with at least one channel state information reference signal (CSI-RS) resource set, at least one CSI-RS resource and at least one CSI-RS port; wherein each WD in the group shares at least one of a same CSI-RS resource set, a same CSI-RS resource and a same CSI-RS port; transmit at least one beamformed CSI-RS port in a direction of a corresponding common dominating propagation path; and indicate to the WD at least one frequency domain (FD) component that the WD is to use for each CSI-RS port in the CSI report.
Embodiment B1. A method implemented in a network node, the method comprising: optionally, determining information relating to at least one dominating propagation path from the network node to a wireless device (WD) in a cell supported by the network node; and/or configuring the WD with at least one channel state information reference signal, CSI-RS, port, the at least one CSI-RS port being shared with at least one other WD in the cell based at least in part on the WD sharing at least one common dominating propagation path with the least one other WD.
Embodiment B2. The method of Embodiment B1, further comprising at least one of: performing at least one uplink (UL) measurement, the information relating to at least one dominating propagation path is determined based at least in part on the at least one UL measurement; grouping together the WD and the at least one other WD in the cell that share the at least one common dominating propagation path, each WD in the group sharing the at least one CSI-RS port; configuring the WD in the cell with at least one channel state information reference signal (CSI-RS) resource set, at least one CSI-RS resource and at least one CSI-RS port; wherein each WD in the group shares at least one of a same CSI-RS resource set, a same CSI-RS resource and a same CSI-RS port; transmitting at least one beamformed CSI-RS port in a direction of a corresponding common dominating propagation path; and indicating to the WD at least one frequency domain (FD) component that the WD is to use for each CSI-RS port in the CSI report.
Embodiment C1. A wireless device (WD) configured to communicate with a network node, the WD configured to, and/or comprising a radio interface and/or processing circuitry configured to: receive a configuration of at least one channel state information reference signal, CSI-RS, port, the at least one CSI-RS port being shared with at least one other WD in the cell based at least in part on the WD sharing at least one common dominating propagation path with the least one other WD.
Embodiment C2. The WD of Embodiment C1, wherein at least one of: the configuration being based on a WD group, each WD in the group sharing the at least one CSI-RS port and sharing the at least one common dominating propagation path; and the configuration further comprising at least one channel state information reference signal (CSI-RS) resource set and at least one CSI-RS resource associated with the at least one CSI-RS port.
Embodiment C3. The WD of any one of Embodiments C1 and C2, wherein the WD and/or the radio interface and/or the processing circuitry is configured to at least one of: transmit at least one uplink (UL) reference signal to the network node; receive at least one beamformed CSI-RS port in a direction of a corresponding common dominating propagation path; perform a measurement of the at least one beamformed CSI-RS port; receive an indication of at least one frequency domain (FD) component that the WD is to use for each CSI-RS port in the CSI report; transmit the CSI report based at least in part on the indication and the configuration; and receive a configuration with multiple different CSI-RS resources or resource sets, the different CSI-RS resources or resource sets having a different number of ports dependent on at least a propagation condition to the WD.
Embodiment D1. A method implemented in a wireless device (WD), the method comprising: receiving a configuration of at least one channel state information reference signal, CSI-RS, port, the at least one CSI-RS port being shared with at least one other WD in the cell based at least in part on the WD sharing at least one common dominating propagation path with the least one other WD.
Embodiment D2. The method of Embodiment Dl, wherein at least one of: the configuration being based on a WD group, each WD in the group sharing the at least one CSI-RS port and sharing the at least one common dominating propagation path; and the configuration further comprises at least one channel state information reference signal (CSI-RS) resource set and at least one CSI-RS resource associated with the at least one CSI-RS port.
Embodiment D3. The method of any one of Embodiments D1 and D2, further comprising at least one of: transmitting at least one uplink (UL) reference signal to the network node; receiving at least one beamformed CSI-RS port in a direction of a corresponding common dominating propagation path; performing a measurement of the at least one beamformed CSI-RS port; receiving an indication of at least one frequency domain (FD) component that the WD is to use for each CSI-RS port in the CSI report; transmitting the CSI report based at least in part on the indication and the configuration; and receiving a configuration with multiple different CSI-RS resources or resource sets, the different CSI-RS resources or resource sets having a different number of ports dependent on at least a propagation condition to the WD.
As will be appreciated by one of skill in the art, the concepts described herein may be embodied as a method, data processing system, computer program product and/or computer storage media storing an executable computer program. Accordingly, the concepts described herein may take the form of an entirely hardware embodiment, an entirely software embodiment or an embodiment combining software and hardware aspects all generally referred to herein as a “circuit” or “module.” Any process, step, action and/or functionality described herein may be performed by, and/or associated to, a corresponding module, which may be implemented in software and/or firmware and/or hardware. Furthermore, the disclosure may take the form of a computer program product on a tangible computer usable storage medium having computer program code embodied in the medium that can be executed by a computer. Any suitable tangible computer readable medium may be utilized including hard disks, CD-ROMs, electronic storage devices, optical storage devices, or magnetic storage devices.
Some embodiments are described herein with reference to flowchart illustrations and/or block diagrams of methods, systems and computer program products. It will be understood that each block of the flowchart illustrations and/or block diagrams, and combinations of blocks in the flowchart illustrations and/or block diagrams, can be implemented by computer program instructions. These computer program instructions may be provided to a processor of a general purpose computer (to thereby create a special purpose computer), special purpose computer, or other programmable data processing apparatus to produce a machine, such that the instructions, which execute via the processor of the computer or other programmable data processing apparatus, create means for implementing the functions/acts specified in the flowchart and/or block diagram block or blocks.
These computer program instructions may also be stored in a computer readable memory or storage medium that can direct a computer or other programmable data processing apparatus to function in a particular manner, such that the instructions stored in the computer readable memory produce an article of manufacture including instruction means which implement the function/act specified in the flowchart and/or block diagram block or blocks.
The computer program instructions may also be loaded onto a computer or other programmable data processing apparatus to cause a series of operational steps to be performed on the computer or other programmable apparatus to produce a computer implemented process such that the instructions which execute on the computer or other programmable apparatus provide steps for implementing the functions/acts specified in the flowchart and/or block diagram block or blocks.
It is to be understood that the functions/acts noted in the blocks may occur out of the order noted in the operational illustrations. For example, two blocks shown in succession may in fact be executed substantially concurrently or the blocks may sometimes be executed in the reverse order, depending upon the functionality/acts involved. Although some of the diagrams include arrows on communication paths to show a primary direction of communication, it is to be understood that communication may occur in the opposite direction to the depicted arrows.
Computer program code for carrying out operations of the concepts described herein may be written in an object oriented programming language such as Java® or C++. However, the computer program code for carrying out operations of the disclosure may also be written in conventional procedural programming languages, such as the "C" programming language. The program code may execute entirely on the user's computer, partly on the user's computer, as a stand-alone software package, partly on the user's computer and partly on a remote computer or entirely on the remote computer. In the latter scenario, the remote computer may be connected to the user's computer through a local area network (LAN) or a wide area network (WAN), or the connection may be made to an external computer (for example, through the Internet using an Internet Service Provider).
Many different embodiments have been disclosed herein, in connection with the above description and the drawings. It will be understood that it would be unduly repetitious and obfuscating to literally describe and illustrate every combination and subcombination of these embodiments. Accordingly, all embodiments can be combined in any way and/or combination, and the present specification, including the drawings, shall be construed to constitute a complete written description of all combinations and subcombinations of the embodiments described herein, and of the manner and process of making and using them, and shall support claims to any such combination or subcombination.
It will be appreciated by persons skilled in the art that the embodiments described herein are not limited to what has been particularly shown and described herein above. In addition, unless mention was made above to the contrary, it should be noted that all of the accompanying drawings are not to scale. A variety of modifications and variations are possible in light of the above teachings without departing from the scope of the following claims.