Movatterモバイル変換


[0]ホーム

URL:


WO2021257070A1 - Analyte feedback control - Google Patents

Analyte feedback control
Download PDF

Info

Publication number
WO2021257070A1
WO2021257070A1PCT/US2020/038176US2020038176WWO2021257070A1WO 2021257070 A1WO2021257070 A1WO 2021257070A1US 2020038176 WUS2020038176 WUS 2020038176WWO 2021257070 A1WO2021257070 A1WO 2021257070A1
Authority
WO
WIPO (PCT)
Prior art keywords
analyte
probe
hypothesis
detectable
measure
Prior art date
Legal status (The legal status is an assumption and is not a legal conclusion. Google has not performed a legal analysis and makes no representation as to the accuracy of the status listed.)
Ceased
Application number
PCT/US2020/038176
Other languages
French (fr)
Inventor
Keith E. Moore
Viktor Shkolnikov
Current Assignee (The listed assignees may be inaccurate. Google has not performed a legal analysis and makes no representation or warranty as to the accuracy of the list.)
Hewlett Packard Development Co LP
Original Assignee
Hewlett Packard Development Co LP
Priority date (The priority date is an assumption and is not a legal conclusion. Google has not performed a legal analysis and makes no representation as to the accuracy of the date listed.)
Filing date
Publication date
Application filed by Hewlett Packard Development Co LPfiledCriticalHewlett Packard Development Co LP
Priority to PCT/US2020/038176priorityCriticalpatent/WO2021257070A1/en
Publication of WO2021257070A1publicationCriticalpatent/WO2021257070A1/en
Anticipated expirationlegal-statusCritical
Ceasedlegal-statusCriticalCurrent

Links

Classifications

Definitions

Landscapes

Abstract

Examples relate to analyte feedback control. An example method for analyte feedback control, including identifying a first detectable analyte to measure from a number of detectable analytes in response to a determination that measuring the first detectable analyte would result in a largest change from an initial probability measure of a first hypothesis. In an example, the method includes measuring a present quantity of the first detectable analyte.

Description

ANALYTE FEEDBACK CONTROL
BACKGROUND
[0001] Analytical probes and detection optics can be used in detection of particular substrates from samples. The physical process of analyzing the samples and particular method used can impact the information learned about a particular sample being analyzed.
DESCRIPTION OF THE DRAWINGS
[0002] Certain examples are described in the following detailed description and in reference to the drawings, in which:
[0003] Fig. 1 is a flowchart of an example method for analyte feedback control; [0004] Fig. 2 is a block diagram of an example computing system for analyte feedback control;
[0005] Fig. 3 is a block diagram of an example non-transitory, computer-readable medium including instructions to direct a processor for analyte feedback control; [0006] Fig. 4 is a block diagram of an example simplified system for analyte feedback control;
[0007] Fig. 5 is a series of drawings illustrating an example system and process for analyte feedback control;
[0008] Fig. 6 is a flowchart of an example method for sample-limited analyte feedback control;
[0009] Fig. 7 is a flowchart of an example method for analyte feedback control where evidence is gathered in batches; and
[0010] Fig. 8 is a flowchart of an example method for threshold-limited analyte feedback control.
DETAILED DESCRIPTION
[0011] Analyte feedback control relates to a feedback-controlled extraction of information from a sample. The use of this analysis enables efficient analysis to gain information from a relatively small amount of sample, or a ‘precious sample’. The analysis may be implemented using a hardware component, machine-readable instructions, or both. The machine-readable instructions provide an analysis method that controls future analyte probing of the sample. In the presently disclosed techniques, control of analyte probing may be altered by a detected presence of previous analytes, the hypothesis being tested, and the likelihood of observing the analyte given the hypothesis being tested. The hardware component may include tools capable of selectively testing for particular analytes. For example, these tools can include a dispenser, a computer controlled stage, a substrate with defined affinity probe region that rides on the stage, a fluid removal subsystem that removes fluid from the substrate selectively, a detection system which detects binding of an analyte to an affinity probe, or various combinations of these components.
[0012] Analyte feedback control results in a method that enables a large amount of molecular information to be obtained from a limited about of sample. For example, if a sample being analyzed is a biological sample, the availability of the sample may be limited or sample retrieval considerations may favor collection of a low volume of sample. An example is blood draw that patients favor lower quantities of blood loss, for example, a finger prick vs. venipuncture. Even with a small amount of sample for analysis, the testing sought after may indicate a number of tests being run to detect a sufficient number of informative analytes. Rather than split a sample for individual testing of each analyte, the presently disclosed techniques may take into account existing information about presence of a first analyte and if the presence of the first analyte precludes the presence of a second analyte. The presently disclosed techniques may take into account information about how the presence of analyte may produce enough confidence in a particular hypothesis that testing for the other is not necessary. This confidence in a particular hypothesis may be obtained using differential diagnosis and the measured presence of the analyte. The presently disclosed techniques may take into account information about how the detected presence of a first analyte suggests verifying for the presence of a second analyte.
[0013] For example, the analyte feedback control may identify the presence, absence, or relative amount of an analyte, and then update the likelihood of a hypothesis being tested. Based on the updated likelihood of various hypotheses being tested, the disclosed techniques may control which analyte to subsequently test for in the sample. In an example, the analyte to subsequently test for may be selected using a database of likelihoods of analyte levels correlated to a specific hypothesis indicated a more likely from previous rounds of testing. In an example, the process may iterate to provide further confidence in analysis results. Iterations may also be limited by the amount of sample, reagents, or time provided for a particular analysis.
[0014] In an example, analyte feedback control enables an efficient way to find the likeliest hypothesis out of a set of hypotheses based on testing of a precious sample. Analyte feedback control can include control that may be automated and iterated. Analyte feedback control may be incorporated into testing methods such as affinity probe testing as well as other methods of analyte detection.
[0015] The feedback control may include machine-readable instructions that make reference to a database of probabilities for particular hypotheses given that a particular measure of analyte is found in the sample. The feedback control may then affect and identifies which affinity probes to interrogate the sample with based on previous observations of which analytes are found in the sample. Analyte feedback control may also use components or subsystems including dispensers, a computer controlled stage, a substrate with defined affinity probe regions that rides on the stage, a fluid removal subsystem that removes fluid from the substrate selectively and a detection system which detects binding of an analyte to an affinity probe, or various combinations of these components. In an example, the fluid removal subsystem may include a suction arm or an air blade paired with a gutter. In an example, the detection system may be a fluorimeter, spectrometer, or a surface plasmon resonance system.
[0016] Fig. 1 is a flowchart of an example method 100 for analyte feedback control. The method 100 may begin at block 102 where a first detectable analyte is identified for measurement from a number of detectable analytes. The identification can be made in response to a determination that measuring the first detectable analyte would result in a largest change from an initial probability measure of a first hypothesis. In an example, the method may include aligning a dispenser and the first selected probe to measure the present quantity. The method may include dispensing a portion of a sample from the dispenser towards the first selected probe. In an example, after a portion of sample is dispensed, the method may align the first selected probe and the optical detector. [0017] At block 104, the method may measure a present quantity of the first detectable analyte. In an example, the measurement can be made by the optical detector.
[0018] In an example, the method 100 may include generating an updated probability measure of the first hypothesis from the initial probability measure and the present quantity of the detectable analyte on the first selected probe. The method 100 can include selecting a second detectable analyte to measure based on a determination that measuring the second detectable analyte would result in the largest change from the updated probability measure of the first hypothesis. In an example, the method 100 may align the second selected probe the dispenser.
[0019] In the method 100, the largest change from the initial probability measure of the first hypothesis may be made relative to the change from the initial probability measure of the hypothesis calculated for each of the number of detectable analytes. The probe of the method may be an affinity probe or other type of probe that binds detectable analytes from a dispensed solution.
[0020] The method 100 may be implemented using a suction arm to align with a chamber of the probe and remove liquid from the chamber after the dispenser has dispensed a portion of a sample towards the first selected probe. The method 100 may be implemented using an air blade generator to blow across an area of the first selected probe to move a dispensed liquid from the dispenser towards a gutter attached to a stage that holds the first selected probe.
[0021] In an example, the dispenser of the method 100 dispenses a secondary affinity probe-analyte after the dispenser has dispensed a portion of a sample towards the first selected probe, the secondary affinity probe-analyte to bind to a bound analyte in the first selected probe. In this example, the dispenser may dispense a wash solution after the dispenser has dispensed the secondary affinity probe-analyte.
[0022] In an example, a number of considerations go into decisions for which evidence to gather and the order in which evidence is gathered in order to increase efficient use of a limited sample. An example strategy includes the assessment of a number of hypothesis. As used herein, a hypothesis can refer to an educated guess of a particular conclusion that can be reached given the evidence known for a sample. An example of a hypothesis could be a particular condition given a sample of blood that may contain an analyte, may not contain an analyte, or may contain the analyte above a threshold level. Further, while often hypotheses are guesses made after obtaining evidence, the present example may refer to cases where the relationship between evidence and a resulting hypothesis is already know for a number of hypotheses. The known relationship between evidence and a hypothesis enables prediction of the forward-looking relationship of the probability of seeing particular evidence, given a particular hypothesis is true.
[0023] The presently disclosed techniques may be using known relationships between hypotheses and evidence to determine first which additional evidence to gather in order to subsequently have further confidence about which hypotheses of a number of hypotheses is most likely or their relative likelihoods of accuracy.
[0024] The below equations and expressions have H to represent a hypothesis where there are n number of mutually exclusive hypotheses. In each expression or equation, the particular hypothesis being calculated is shown as Hi with the subscript / being a way to increment through each hypothesis being calculated.
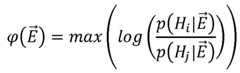
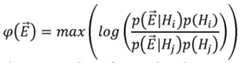
[0025] In order to ascertain which hypothesis of the n hypotheses is more or most
Figure imgf000007_0003
probability a particular Hi given E. The hypothesis identified through this expression is referred to as Hmax.
[0026] Resolving for Hmax is the same as seeking H* that maximizes f(b) for all i ¹ j using Equation 1 or its expansions below.
Figure imgf000007_0001
Equation 1.
Figure imgf000007_0002
Equation 1.1 - expansion of equation 1 . Equation 1.2 - expansion of equation 1 and 1.2.
[0027] In some of the techniques disclosed herein, the values of p{E\Hj) may already be known for all hypothesis being tested in a particular process or system for the states of E. As used in some techniques disclosed herein, an assumption can be made that the probability of the presence of particular evidence such as particular analytes or a particular quantity of analytes is independent from other analytes for a particular hypothesis. With this assumption, the evidence vector E can be expanded for each piece of evidence so that
Figure imgf000008_0001
... and so on. With this assumption and resulting expansion of the evidence vector together with the expansion of equation 1.2 with Equation 2 as the result, seen below.
Figure imgf000008_0002
Equation 2.
[0028] Using Equation 2 and the above assumptions regarding the independence of each piece of evidence, it is possible to calculate which pieces of evidence should be taken and in what order so that each new datapoint influences the maximal choice of hypothesis the most. This can be expressed as the question, “which evidence Ex when appended to the evidence vector produces the biggest Df(E) when Df(b) is found for all i ¹ j as seen in Equation 3 below:
Figure imgf000008_0003
Equation 3. [0029] Further, once a maximal hypothesis is found, the process can be repeated with the first calculated Hmax removed from H with the already obtained evidence combined with any new evidence to find the next Hmax.
[0030] Fig. 2 is a block diagram of an example computing system 200 for analyte feedback control. The system for analyte feedback control can be a standalone computing device 202 for testing using analyte feedback control. This computing device 202 can include a desktop computer, laptop, tablet, mobile phone, smart device, printer hub, printer controller, or other computing devices. The system 200 for analyte feedback control includes at least one processor 204. The processor 204 can be a single core processor, a multicore processor, a processor cluster, and the like. The processor 204 can may include a graphics processing unit (GPU), an application specific integrated circuit (ASIC), or a field programmable gate array (FPGA), or any combination thereof to implement video processing. The processor 204 can be coupled to other units through a bus 206. The bus 206 can include peripheral component interconnect (PCI) or peripheral component interconnect express (PCIe) interconnects, Peripheral Component Interconnect extended (PCIx), or any number of other suitable technologies for transmitting information.
[0031] The computing device 202 can be linked through the bus 206 to a memory 208. The system memory 208 can include random access memory (RAM), including volatile memory such as static random-access memory (SRAM) and dynamic random-access memory (DRAM). The system memory 208 can include directly addressable non-volatile memory, such as resistive random-access memory (RRAM), phase-change memory (PCRAM), Memristor, Magnetoresistive random- access memory, (MRAM), Spin-transfer torque Random Access Memory (STTRAM), and any other suitable memory that can be used to provide computers with persistent memory.
[0032] The processor 204 may be coupled through the bus 206 to an input/output (I/O) interface 210. The I/O interface 210 may be coupled to any suitable type of I/O devices 212, including input devices, such as a mouse, touch screen, keyboard, display, handheld controllers and the like. The I/O devices 212 may be output devices such as a display. [0033] The computing device 202 can include a network interface controller (NIC) 214, for connecting the computing device 202 to a network 216. In some examples, the network 216 can be an enterprise server network, a storage area network (SAN), a local area network (LAN), a wide-area network (WAN), or the Internet, for example. The processor 204 can be coupled to a storage controller 218, which may be coupled to one or more storage devices 220, such as a storage disk, a solid-state drive, an array of storage disks, or a network attached storage appliance, among others.
[0034] The computing device 202 can include a non-transitory, computer- readable storage media, such as a storage 222 for the long-term storage of data, including the operating system programs and user file data. The storage 222 can include local storage in a hard disk or other non-volatile storage elements. While generally system information may be stored on the storage 222, in this computing device 202, the program data can be stored in the memory 208. The storage 222 may store instructions that may be executed by the processor 204 to perform a task. [0035] The storage 222 can include an analyte identifier 224 to provide instructions that identify a first detectable analyte to measure from a number of detectable analytes. The analyte identifier 224 may identify the first detectable analyte in response to a determination that measuring the first detectable analyte would result in a largest change from an initial probability measure of a first hypothesis. In an example, the largest change from the initial probability measure of the first hypothesis is relative to the change from the initial probability measure of the hypothesis calculated for each of the number of detectable analytes.
[0036] The storage 222 can include a dispenser aligner 226 to provide instructions that align a dispenser and a first selected probe to measure a quantity of the first detectable analyte with the first selected probe. In an example, the first selected probe is an affinity probe. In an example of the computing device 202 the dispenser may dispense a secondary affinity probe-analyte after the dispenser has dispensed a portion of a sample towards the first selected probe, the secondary affinity probe-analyte to bind to a bound analyte in the first selected probe. In this example, the dispenser may dispense a wash solution after the dispenser has dispensed the secondary affinity probe-analyte. In an example, the binding of an analyte to the first selected probe is detected via surface plasmon resonance. [0037] The storage 222 can include a sample dispenser 228 to provide instructions that dispense a portion of a sample from the dispenser towards the first selected probe. The storage 222 can include a detection aligner 230 to provide instructions that align the first selected probe and the optical detector. The storage 222 can include a detection operator 232 to provide instructions that measure with the optical detector a present quantity of a detectable analyte on the first selected probe.
[0038] In an example, the storage 222 of the system 200 may include instructions to generate an updated probability measure of the first hypothesis from the initial probability measure and the present quantity of the detectable analyte on the first selected probe. The storage 222 of the system 200 may include instructions to select a second detectable analyte to measure based on a determination that measuring the second detectable analyte would result in a largest change from the updated probability measure of the first hypothesis. In an example, after a first piece of evidence is detected, such as the first analyte, a calculation may be performed to determine an updated likelihood of a number of hypothesis. In an example, the most likely hypothesis may change and the first hypothesis that is being tested may be substituted with a second hypothesis that is found to be more likely. A change in hypothesis may but does not necessarily adjust the subsequent analyte to be tested. The storage 222 of the system 200 may include instructions to align a second selected probe and the dispenser.
[0039] The computing device 202 may include a suction arm to align with a chamber of the probe and remove liquid from the chamber after the dispenser has dispensed a portion of a sample towards the first selected probe. The computing device 202 may include an air blade generator to blow across an area of the first selected probe to move a dispensed liquid from the dispenser towards a gutter attached to a stage that holds the first selected probe.
[0040] It is to be understood that the block diagram of Fig. 2 is not intended to indicate that the computing device 202 is to include all of the components shown in Fig. 2. Rather, the computing device 202 can include fewer or additional components not illustrated in Fig. 2.
[0041] Fig. 3 is a block diagram of an example non-transitory, computer-readable medium 300 including instructions to direct a processor 302 for analyte feedback control. The computer-readable medium may be incorporated into a computing device 202 to act as the storage 222 seen in Fig. 2 or to implement the method as shown and described in Fig. 1 and Fig. 5.
[0042] The computer readable medium 300 may include the storage 222 or the memory 208 of Fig. 2 and other suitable formats readable by the computing device. The computer readable medium 300 can include the processor 302 to execute instructions received from the computer-readable medium 300. Instructions can be stored in the computer-readable medium 300. These instructions can direct the processor 302 for analyte feedback control. Instructions can be communicated over a bus 304 as electrical signals, light signals, or any other suitable means of communication for transmission of data in a similar computing environment.
[0043] The computer-readable medium 300 includes a hypotheses identifier 306 to identify a number of hypotheses to test where a first hypothesis of the number of hypotheses has an initial probability measure that changes by varied amounts depending on an analyte measured from a portion of a sample.
[0044] The computer-readable medium 300 includes an analyte selector 308 to select a first detectable analyte to measure from a number of detectable analytes in response to a determination that measuring the first detectable analyte would result in the largest change from the initial probability measure of the first hypothesis. The computer-readable medium 300 includes a quantity measurer 310 to measure a present quantity of the first detectable analyte.
[0045] In an example, the present techniques can cover the case where each point of evidence gathered, e.g. analyte tested, results in a positive or negative result for a particular hypothesis. For example, for a given disease, if blood is tested for a particular antibody and the presence or absence of this antibody is the way to definitively determine whether or not the patient has overcome the disease, then a result from an attempt to measure that analyte would result in a yes or no test result for that particular hypothesis.
[0046] In an example, the present techniques also cover instances where more than a single data point, or single analyte reading is needed to provide a best estimate hypothesis given the sample rather than a binary determination based on a particular analyte reading. In an example, a doctor may suspect a patient has a chronic inflammation disease but is unsure which of many exact diagnoses is most likely. In this example, the present techniques allow for a large number of tests to be performed with dramatically less reagent, time, # of experiments, and use of sample, such as blood, being collected. For example, if the number of hypotheses included rheumatoid arthritis, psoriasis, and osteoarthritis, a first test could be a test for C- reactive protein, where each of the expected ranges were already known for the various hypothesis. Based on the results of the first analyte, the c-reactive proteins being measured, the likelihood of each hypothesis could be updated based on how close that reading was to the expected ranges. The most likely hypothesis may then become osteoarthritis with rheumatoid arthritis as a close second, and a new analyte to test for would be calculated based on 1) which analyte probes were available to conduct the test and 2) which available tests would have the biggest impact on the likelihood of the currently most likely hypothesis, in this example osteoarthritis. In an example, if the most likely hypothesis is osteoarthritis, the next test may test for the relative concentration of tumor necrosis factor (TNF) found in the sample. In response to this next reading, the evidence vector including the first test would have the second piece of evidence regarding TNF appended into the evidence vector. The prior assumptions about the likelihood of a particular hypothesis would be updated with the new information and the likelihoods recalculated. For example, if the TNF reading combined with the first reading of C-reactive proteins appeared to be in the ranges more associated with rheumatoid arthritis, then the most likely hypothesis would be updated and a new analyte for the next test would be calculated. Accordingly, a multifactorial approach using analyte feedback control can be used to reduce the number of tests performed and therefore also reduce the use of the sample, reagent, and time used in the test while still providing a most likely hypothesis for a particular diagnosis.
[0047] In an example, the computer-readable medium 300 may include instructions that when executed on the processor 302 cause the processor to generate an updated probability measure of the first hypothesis from the initial probability measure and the present quantity of the detectable analyte on a first selected probe. In an example, the computer-readable medium 300 may include instructions that when executed on the processor 302 cause the processor to select a second detectable analyte to measure based on a determination that measuring the second detectable analyte would result in the largest change from the updated probability measure of the first hypothesis. In an example, the computer-readable medium 300 may include instructions that when executed on the processor 302 cause the processor to align a second selected probe and a dispenser.
[0048] It is to be understood that the block diagram of Fig. 3 is not intended to indicate that the computer-readable medium 300 is to include all of the components shown in Fig. 3. Rather, the computer-readable medium 300 can include fewer or additional components not illustrated in Fig. 3.
[0049] Fig. 4 is a block diagram of an example simplified system 400 for analyte feedback control. The analyte feedback control system 402 may include the system shown in Fig. 2 or the computer readable medium of Fig. 3 or use the process disclosed with respect to Fig. 5-8.
[0050] The analyte feedback control system 402 may include a memory 404, a processor 406, a dispenser 408, and a detector 410. For the analyte feedback control system 402, the memory 404 may include machine-readable instructions that can be executed on the processor 406 or the processor of a remote device to which the instructions are sent.
[0051] The instructions stored in the memory 404, when executed may identify a first detectable analyte to measure from a number of detectable analytes in response to a determination that measuring the first detectable analyte would result in a largest change from an initial probability measure of a first hypothesis.
[0052] The instructions stored in the memory 404, when executed may align the dispenser and a first selected probe to measure a quantity of the first detectable analyte with the first selected probe.
[0053] The instructions stored in the memory 404, when executed may dispense a portion of a sample from the dispenser towards the first selected probe.
[0054] The instructions stored in the memory 404, when executed may align the first selected probe and the detector. In an example, the detector may be an optical detector. For example, the optical component can include fluorescence, Raman spectroscopy, infrared spectroscopy, or other measurements made using spectrometry. In an example, the detector is not optical but can be another kind of detector to detect the presence and/or quantity of analytes on a stage.
[0055] The instructions stored in the memory 404, when executed may measure with the optical a present quantity of a detectable analyte on the first selected probe. [0056] Fig. 5 is a series of drawings illustrating an example case 500 for analyte feedback control. The process and device shown here are not intended to show each element nor is every element shown included in every instance of the presently disclosed techniques. The techniques shown in Fig. 5 can proceed with a serial or random-access workflow to acquire evidence.
[0057] Fig. 5A shows a dispensing action 500A where a dispenser 502 is located near a stage 504. In an example, the stage 504 may be guided by computer- controlled motion relative to dispenser 502. In an example, the stage is a glass plate. In an example the stage is a well plate. In an example, the stage is an assay with detectors in the range of 1-100 microns in diameter. In an example, the stage is an enzyme-linked immunosorbent assay (ELISA) or sandwich assay.
[0058] There may be a number of probes 506 attached to the stage 504. In the dispensing action 500A, the dispenser 502 may dispense sample 508 towards a probe 506 mounted on the stage 504. In serial access workflow or random-access workflow, the sample - which may or may not include a target analyte, may be dispensed towards a first probe coded as i in a sequence from probe 1 to probe n for a stage with n probes. In an example, the probes may be immobilized on the stage 504 and the analyte 516 is dispensed by the dispenser 502. In another example, the dispenser may be mobilized with a stage fixed and the dispenser moved to the location of a particular probe.
[0059] In another example, the stage may be moved to align a particular probe 506 with the dispenser 502 outlet. In an example, the dispenser 502 is moved to align a dispenser outlet with a particular probe 506. In an example, the probe may be in a well of the stage 504 or disposed on the surface of the stage 504. Identifying which probe 506 to test and dispense sample towards may be determined by the particular analyte that particular probe tests.
[0060] The example case 500 may also include detection optics 510 and an air channel 512 which may be associated with the dispenser or separately controlled. The detection optics 510 may be used in detection of gathered analyte and the air channel may aid in clearing the stage 504 from various dispensed solids and liquids from the dispenser 502. The air channel 512 may be a suction arm, an air blade generator, or another means of clearing the stage of unintended substance to assist in making accurate detections. The example case 500 may also include a gutter 514 attached to the stage 504 so that debris from the stage 504 or washed sample, probes, analytes, and other solids and liquids may be caught and channeled away separately from the location of the probes 506. Separating the location where loose solids and liquids may be channeled from the location of the probes 506 enables a clean read by detection optics 510 of the analyte detected in the probe with unintentional detection of other substances.
[0061] In an example, the probe may be an affinity probe shaped, designed, or chemically selected so that when the sample 508 is dispensed towards the probe 506, it may bind to the probe. In an example, a sample dissolved in water may include a particular structure that binds to a particular probe. In some cases, the sample is solid or liquid. In either case, an analyte detected for study may attach to a selected probe 506. The probe may be selected based on computations performed to pick a probe that detects for a particular analyte. In an example, a number of calculations are done on a number of possible analytes to measure. For each of these calculations, the likelihood a particular hypothesis is true may increase or decrease by a range of likelihood values. Accordingly, prior to the dispersing action, a number of hypotheses may be considered, after which this list may be compared to the availability and identity of probes on the stage.
[0062] Once the identity of the probes is known, the particular analytes each probe tests for may also be known. By calculating the impact measuring a particular analyte may have on a hypothesis, a determination can be made of which analyte - if measured - would have the biggest impact on the projected likelihood value of a particular hypotheses. In an example, the analyte calculated to potentially have the biggest impact on the likelihood of hypotheses may be selected for a dispensing of sample and subsequent detection. The stage 504 and dispenser 502 may be aligned so that the sample 508, potentially containing a quantity of the analyte, may be dispensed from the dispenser 502 the probe particular probe 506.
[0063] This decision process is a simplification and represents an example. Other examples of analyte and probe selection may also be used. Further other types of detection may be used other than detection via optics or the use of specific probes corresponding to particular analytes.
[0064] Fig 5B shows a result of a sample dispensed towards a selected probe 506 by the dispenser 502. The example shown in Fig. 5B occurs after the actions shown in Fig. 5A. In example shown in Fig. 5B, the sample dispensed by the dispenser 502 included analyte that has been attached to a probe 506 on the stage 504. In serial access workflow or random-access workflow, if the sample had analyte present in the 5A dispensing action, the analyte will bind to an affinity probe. This binding may be detected directly via surface plasmon resonance or via a secondary affinity probe to be dispensed in Fig. 5F. In an example, detection using surface plasmon resonance obviates the need for further detection actions as this detection for a particular probe 506 and analyte 516 may provide the data for an updated hypothesis calculation.
[0065] Fig. 5C shows a change in the relative position of the stage 504 to the dispenser 502, air channel 512, and detection optics 510. In the action shown in Fig. 5A, the dispenser 502 may have dispensed a volume that exceeded the volume of the probe or a well the probe 506 is located in. The stage 504 may have other debris or liquid that is not intended to be measured on its surface. In an example, the air channel 512 and probe 506 with the attached analyte 516 may be physically aligned with one another. The alignment may enable the air channel 512 to operate to clear the area around the probe 506 on the stage 504. In an example, air channel 512 may be a suction arm which can apply suction to the area surrounding the probe 506. The suction would be a force less than the force binding the analyte 516 to the probe 506. The suction applied by the air channel 512 could remove excess liquid, debris or other interference from the stage area 504.
[0066] In an example, the air channel 512 may be an air blade generator 512. An air blade generator may create a concentrated column of directed air flow toward the stage 504 and probe 506. The resulting force of the directed air flow could push debris and excess liquid or sample away from the area of the stage 504 and probe 506. In an example, the air blade could be operated as the stage is moving 504 to push unintended substance towards a gutter 514. The gutter may be attached to the stage 514 and can divert or collect substance away from the location of the probe 506. In an example, the air blade option for the air channel 512 can work with microarray type substrates such as glass slides.
[0067] For serial access workflow, the air channel 512 may be an air blade generator that activates to ensure that unused probes do not inadvertently become affected by excess dispensed substance or liquid. In an example, the air blade generator may ensure fluid flow proceeds in a direction away from unused probes and towards a gutter rather than passing excess fluid over unused probes. An air blade generator may be able to operate with fewer actions relative to a suction arm. [0068] For random access workflow, the air channel 512 may be a suction arm and the stage may not contain a gutter 514. In an example, if a first probe used in a measurement and a second probe used in a measurement are not adjacently located on the stage 504, the suction arm may assist in precise removal of excess fluid. Each probe may be located in a chamber of the stage 504 to enable fluid is dispensed into a specified location and an analyte can attach 516 to a probe 506.
Use of a suction arm enables fluid to be precisely removed from the chamber without fear of the fluid being blown into another chamber on the stage 504. Random access workflows may use a suction arm so that probes may be tested in a random sequence with reduced concern for contamination.
[0069] Fig. 5D shows a probe 506 and dispenser 502 realigned so that a wash 518 may be dispensed over the probe 506 and analyte 516 and remove potential impurities or residual solution on the analyte attached to the probe 506. The wash that is attached may also further dislodge any unintentionally present debris on the stage 504.
[0070] Fig. 5E shows a change in the relative position of the stage 504 to the dispenser 502, air channel 512, and detection optics 510. The air channel 512 may be used to remove wash solution from the stage 504 and area of the probe 506. The air channel may operate as a suction arm or an air blade generator to remove excess fluid or other substance from the target region of the stage 504 and probe 506 that may be aligned with the air channel 512. If the air channel 512 is an air blade generator, then excess wash solution may be directed towards the gutter 514. [0071] Fig. 5F shows a probe 506 and dispenser 502 realigned so that a secondary affinity probe 520 may be dispensed over the probe 506 and analyte 516. The secondary affinity probe 520 may be an indicator that binds to the analyte 516 to enable easier detection. In an example, the secondary affinity probe 520 may correspond to at least one of the detection optics 510, the analyte 516, or both.
[0072] Fig. 5G shows a change in the relative position of the stage 504 to the dispenser 502, air channel 512, and detection optics 510 which may occur after Fig. 5F. The air channel 512 may be used to remove excess substance or liquid from the area around the probe 506 and stage. Fig. 5G also shows a secondary affinity probe binding portion 522 which was dispensed onto the probe 506 and analyte 516 in the action shown in Fig. 5F. In an example, the pressure pushed or pulled by the air channel 512 onto the stage 504 and probe 506 area is less than the binding strength of the secondary affinity probe binding portion 522 that is binding to the analyte 516. As before, in an instance where an air blade is generated by the air channel 512, which may occur while the stage 502 is moving, the excess fluid or substance may be pushed into the gutter 514.
[0073] Fig. 5H shows a probe 506 and dispenser 502 realigned so that a secondary wash 524 may be dispensed over the probe 506, analyte 516, and secondary affinity probe binding portion 522 and remove potential impurities, excess, or residual solution on the probe 506, analyte 516, and secondary affinity probe binding portion 522. The wash that is attached may also further dislodge any unintentionally present debris on the stage 504.
[0074] Fig. 5I shows a change in the relative position of the stage 504 to the dispenser 502, air channel 512, and detection optics 510. The air channel 512 may be used to remove secondary wash solution 524 from the stage 504, probe 506, analyte 516, and secondary affinity probe binding portion 522. The air channel 512 may operate as a suction arm or an air blade generator to remove excess fluid or other substance from the target region of the stage 504 and probe 506 that may be aligned with the air channel 512. If the air channel 512 is an air blade generator, then secondary wash solution 524 may be directed towards the gutter 514.
[0075] Fig. 5J shows a change in the relative position of the stage 504 to the dispenser 502, air channel 512, and detection optics 510. The change enables the detection optics and probe 506 to be aligned. The detection optics 510 may detect the presence and quantity of the analyte 516 bound or held to the probe 506. In an example, the detection optics may detect the presence of the secondary affinity probe binding portion 522. The detection of the secondary affinity probe binding portion 522 can be used to infer the present quantity of the analyte in the sample that was dispensed by the dispenser 502. The information gathered by the detection optics 510 may be used to update the likelihood of a particular hypothesis.
[0076] Knowing more information about the likelihood of a particular hypothesis can inform the identification of a next analyte to measure for after measuring for a first analyte 516. With each additional datapoint, the next measurement that could make a larger difference in likelihood of a hypothesis being correct could update. [0077] For example, if testing blood for a number of potential conditions, the value of a number of different molecules could be relevant for assessing the most likely condition. After measuring for a first analyte in the blood sample, the probabilities of each condition, or hypothesis, could be updated to account for the data point for that particular analyte. A second analyte could be chosen based on which analyte, if known, would have the biggest impact on adjusting the likelihood of a particular condition being considered. In this example, the conditions are the hypotheses being tested where a likelihood of each one being the correct condition adjusts as we know more information about different analytes. The system waiting until a first analyte result is detected before proceeding to choose a next analyte to test is part of the analyte feedback control enabled by these techniques. Further, the selection of each analyte based on its projected impact on the likelihood of a number of hypothesis enables efficient use of sometimes limited sample material while maintaining accurate results.
[0078] A number of the actions shown in Fig. 5A-5J may not be necessary and there may be other actions between, before, or after the shown actions. The shown and disclosed techniques provide an example for analyte feedback control.
[0079] Fig. 6 is a flowchart of an example method for sample-limited analyte feedback control 600. This method may be implemented using the systems described in Fig. 2-5. In an example, this method shows a way of evaluating the outputs of Equation 1 and Equation 3 as discussed above with respect to Fig. 1. [0080] Process flow for Fig. 6 begins at block 602 where a particular piece of evidence for a value l is calculated such that Df(E) is maximized as disclosed above with respect to Equation 3. In an example, where evidence can be a presence or absence of a particular analyte, the value of l may correspond to a particular probe, chamber, or detector that can detect the analyte measure sought as evidence that can yield the maximized value of Df(E). The inputs for this calculation are shown in block 604 and block 606. In block 604, one input is shown as p{Ek\Hi) which refers to the known probability of finding a particular evidence at index value k for a given hypothesis FI, here indicated as FI with index value /. At block 606, the input of the p(Hi ) refers to the prior probability known from any already gathered data for the hypothesis being evaluated, here shown as H at index value /.
[0081] Once the value of l is calculated at block 602 with inputs from block 604 and block 606, process flow proceeds to block 608 where new evidence is gathered corresponding to identified l value. As noted above, this value has been calculated to have the maximum impact on the difference in the probability for a particular hypothesis.
[0082] Once the new evidence at Ex is measured, this new evidence can be appended to evidence vector E. The appending of this new evidence value results in updated values for Hmax as well as the next Ex and other values outlined above. Accordingly, further data gathering is controlled by this evidence feedback before proceeding. As the evidence may be particular analytes, this testing process may be referred to as analyte feedback control. However, further testing of sample may also consider the availability of additional sample to test. At decision block 612, a determination is made as to whether there is more sample remaining or not. If there is remaining sample, additional evidence can be gathered and the process returns to block 602 for an updated calculation that includes the evidence gathered at block 608.
[0083] At decision block 612, if a determination is made that there is not sufficient sample remaining for further testing, then the hypothesis considered most likely is output at block 614 based on a determination of its probability given the evidence vector E that shows the evidence gathered up to that point. As further illustrated with respect to Fig. 8, there may be a number of additional termination conditions including time, availability of reagents, availability of testing probes, or various threshold limitations on the probability of a particular hypothesis. For example, if a particular hypothesis is above 99% likely or if all hypotheses are found to have a less than 5% likelihood, then the testing may terminate. These values and thresholds are examples and may be manually set or automatically generated in some cases.
[0084] Fig. 7 is a flowchart of an example method for analyte feedback control where evidence is gathered in batches 700. Like numbers are as disclosed with respect to Fig. 6. [0085] The example method for gathering evidence in batches maintains a feedback loop from evidence detection with multiple evidence points identified and gathered before the newly gathered evidence is incorporated into future calculations and data gathering.
[0086] As in Fig. 6, the process begins in block 602 with inputs disclosed in block 604 and block 606. Once the value of l is calculated for a maximized change in the likelihood a particular hypothesis is true, e.g. max of Df(E), the process proceeds to block 702. At block 702, the identified value of l, here called ^ is removed from the potential evidence to be gathered or considered by the calculation to find the max of Df(E) and process flow proceeds to block 704.
[0087] At block 704, a second value of l, here called l2 is calculated for a maximized change in the likelihood a particular hypothesis is true, e.g. max of Df(E), with the added condition of ^ not being an option. The process flow then proceeds to block 706 where value l2 is removed from the possible evidence options. The value of ln is measured at block 708 after n iterations of calculating the value of l and n-1 iterations of removing the calculated value of ln. In an example, the value of n is set by a user manually. In an example, the value of n is calculated from how long each measurement is expected to take along with a consideration of a manually set maximum time that testing can occur. In this example, data gathering would be adjusted to completed in a set amount of available time. In an example, the value of n is calculated based on an estimation of the availability of reagent or sample which can be manually input or detected and divided by the amount of reagent or sample expected to be used in each instance of data gathering.
[0088] At block 710, evidence is gathered for evidence points corresponding to ^ through ln. Compared to the process in Fig. 6, this allows multiple values of l, and therefore evidence points corresponding to high change values for a particular hypothesis to be gathered without an intervening action of appending evidence to the evidence vector and recalculating updated values for p(H in light of the updated E. This can increase speed of gathering data while still being relatively efficient in gathering more impactful evidence at calculated values of l.
[0089] At block 712, the data gathered from evidence points corresponding to ^ through ln are incorporated into the evidence vector E. From there, process flow continues as disclosed with respect to Fig. 6 where a determination of sufficient sample is made at decision block 612.
[0090] Fig. 8 is a flowchart of an example method for threshold-limited analyte feedback control 800. Like numbered items are as described with respect to Fig. 6. [0091] Compared to the process in Fig. 6, there is an additional check that occurs subsequent to the decision block 612. In Fig. 8, in response to a determination that ‘Yes’ there is enough sample remaining for further experiments, then process flow proceeds decision block 802.
[0092] At decision block 802, a determination is made as to whether the probability change on a hypothesis from appending the new evidence to evidence vector E for a hypothesis is lower than a preset threshold. The use of a probability change minimum threshold q>th enables a data gathering cycle to be controlled by the feedback from evidence gathering that further data gathering is unlikely to change the output result. Accordingly, if
Figure imgf000023_0001
does not exceed the probability change minimum threshold (pth, then process flow proceeds to block 804 where the hypothesis Hi is output for f(E). Otherwise,
Figure imgf000023_0002
does exceed the probability change minimum threshold q>th, then process flow proceeds back to block 602 for further calculations and evidence gathering.
[0093] While the present techniques may be susceptible to various modifications and alternative forms, the techniques discussed above have been shown by way of example. It is to be understood that the technique is not intended to be limited to the particular examples disclosed herein. Indeed, the present techniques include all alternatives, modifications, and equivalents falling within the scope of the following claims.

Claims

CLAIMS What is claimed is:
1. A system for analyte feedback control, comprising: a dispenser; an optical detector; a processor; and a memory comprising machine-readable instructions that when executed on the processor cause the system to: identify a first detectable analyte to measure from a plurality of detectable analytes in response to a determination that measuring the first detectable analyte would result in a largest change from an initial probability measure of a first hypothesis; and align the dispenser and a first selected probe to measure a quantity of the first detectable analyte with the first selected probe; dispense a portion of a sample from the dispenser towards the first selected probe; align the first selected probe and the optical detector; and measure with the optical detector a present quantity of a detectable analyte on the first selected probe.
2. The system of claim 1 , wherein the machine-readable instructions when executed on the processor are to: generate an updated probability measure of the first hypothesis from the initial probability measure and the present quantity of the detectable analyte on the first selected probe; select a second detectable analyte to measure based on a determination that measuring the second detectable analyte would result in a largest change from the updated probability measure of the first hypothesis; and align a second selected probe and the dispenser.
3. The system of claim 1 , wherein the largest change from the initial probability measure of the first hypothesis is relative to the change from the initial probability measure of the hypothesis calculated for each of the plurality of detectable analytes.
4. The system of claim 1 , wherein the first selected probe is an affinity probe.
5. The system of claim 1 , comprising a suction arm to align with a chamber of the probe and remove liquid from the chamber after the dispenser has dispensed a portion of a sample towards the first selected probe.
6. The system of claim 1 , comprising an air blade generator to blow across an area of the first selected probe to move a dispensed liquid from the dispenser towards a gutter attached to a stage that holds the first selected probe.
7. The system of claim 1 , wherein the dispenser dispenses a secondary affinity probe-analyte after the dispenser has dispensed a portion of a sample towards the first selected probe, the secondary affinity probe-analyte to bind to a bound analyte in the first selected probe.
8. The system of claim 7, wherein the dispenser dispenses a wash solution after the dispenser has dispensed the secondary affinity probe-analyte.
9. The system of claim 1 , wherein the binding of an analyte to the first selected probe is detected via surface plasmon resonance.
10. A method for analyte feedback control, comprising: identifying a first detectable analyte to measure from a plurality of detectable analytes in response to a determination that measuring the first detectable analyte would result in a largest change from an initial probability measure of a first hypothesis; measuring a present quantity of the first detectable analyte.
11. The method of claim 10, comprising: the measuring of the present quantity of the detectable analyte occurs on a first selected probe with an optical detector after: aligning a dispenser and the first selected probe to measure the present quantity; dispensing a portion of a sample from the dispenser towards the first selected probe; and aligning the first selected probe and the optical detector; generating an updated probability measure of the first hypothesis from the initial probability measure and the present quantity of the detectable analyte on the first selected probe; selecting a second detectable analyte to measure based on a determination that measuring the second detectable analyte would result in the largest change from the updated probability measure of the first hypothesis; and aligning a second selected probe and the dispenser.
12. The method of claim 10, wherein the largest change from the initial probability measure of the first hypothesis is relative to the change from the initial probability measure of the hypothesis calculated for each of the plurality of detectable analytes.
13. The method of claim 10, wherein the probe is an affinity probe.
14. A non-transient computer-readable storage medium comprising instructions being executable by a processor, the instructions when executed on the processor to: identify a plurality of hypotheses to test where a first hypothesis of the plurality of hypotheses has an initial probability measure that changes by varied amounts depending on an analyte measured from a portion of a sample; select a first detectable analyte to measure from a plurality of detectable analytes in response to a determination that measuring the first detectable analyte would result in the largest change from the initial probability measure of the first hypothesis; and measure a present quantity of the first detectable analyte.
15. The computer readable medium of claim 14, wherein the instructions, when executed on the processor, instruct the processor to: generate an updated probability measure of the first hypothesis from the initial probability measure and the present quantity of the detectable analyte on a first selected probe; select a second detectable analyte to measure based on a determination that measuring the second detectable analyte would result in the largest change from the updated probability measure of the first hypothesis; and align a second selected probe and a dispenser.
PCT/US2020/0381762020-06-172020-06-17Analyte feedback controlCeasedWO2021257070A1 (en)

Priority Applications (1)

Application NumberPriority DateFiling DateTitle
PCT/US2020/038176WO2021257070A1 (en)2020-06-172020-06-17Analyte feedback control

Applications Claiming Priority (1)

Application NumberPriority DateFiling DateTitle
PCT/US2020/038176WO2021257070A1 (en)2020-06-172020-06-17Analyte feedback control

Publications (1)

Publication NumberPublication Date
WO2021257070A1true WO2021257070A1 (en)2021-12-23

Family

ID=79268214

Family Applications (1)

Application NumberTitlePriority DateFiling Date
PCT/US2020/038176CeasedWO2021257070A1 (en)2020-06-172020-06-17Analyte feedback control

Country Status (1)

CountryLink
WO (1)WO2021257070A1 (en)

Citations (3)

* Cited by examiner, † Cited by third party
Publication numberPriority datePublication dateAssigneeTitle
WO2005103281A2 (en)*2004-04-262005-11-03Children's Medical Center CorporationPlatelet biomarkers for the detection of disease
US20090069716A1 (en)*2004-06-032009-03-12Dominique FreemanMethod and apparatus for a fluid sampling device
JP6051588B2 (en)*2011-05-132016-12-27富士通株式会社 Stress monitoring system

Patent Citations (3)

* Cited by examiner, † Cited by third party
Publication numberPriority datePublication dateAssigneeTitle
WO2005103281A2 (en)*2004-04-262005-11-03Children's Medical Center CorporationPlatelet biomarkers for the detection of disease
US20090069716A1 (en)*2004-06-032009-03-12Dominique FreemanMethod and apparatus for a fluid sampling device
JP6051588B2 (en)*2011-05-132016-12-27富士通株式会社 Stress monitoring system

Similar Documents

PublicationPublication DateTitle
EP3776337B1 (en)Systems for cell shape estimation
CN110023950B (en)Substance preparation evaluation system
CN101968493B (en) Urine workbench management method and urine workbench manager
US11486886B2 (en)Automatic analyzer and automatic analysis method
WO2005008254A1 (en)Clinical examination analyzing device, clinical examination analyzing method, and program for allowing computer to execute the method
RU2011121613A (en) BIOMARKERS
EP3489658A1 (en)Automatic analysis device and automatic analysis method
Khan et al.Unbiased data analytic strategies to improve biomarker discovery in precision medicine
JP7200357B2 (en) How labware works
US20220199206A1 (en)System and method for conducting virtual crossover studies in clinical diagnostic processes
US20240337672A1 (en)Real-time short-sample aspiration fault detection
JP7702563B2 (en) Real-time sample aspiration fault detection and control
US20220411858A1 (en)Random emulsification digital absolute quantitative analysis method and device
WO2021257070A1 (en)Analyte feedback control
Rizzo et al.The application of artificial intelligence to thyroid nodule assessment
Dong et al.The use of a dual dye photometric calibration method to identify possible sample dilution from an automated multichannel liquid-handling system
JP7756233B2 (en) Real-time sample shortage and suction failure detection
JP7659447B2 (en) Dispensing device, automatic analyzer and dispensing method
JP7653528B2 (en) Diagnostic laboratory system and method of operation - Patents.com
JP7648455B2 (en) Method for detecting occurrence of non-specific reaction, analysis method, analysis device, and program for detecting occurrence of non-specific reaction
US11579069B2 (en)Methods and systems for increasing the capacity of flow cytometer bacteria detection and antibiotic susceptibility testing systems
WO2024020390A1 (en)System and method for designing quality control (qc) ranges for multiple clinical diagnostic instruments testing the same analyte
WO2024054890A1 (en)Systems and methods for determining test result accuracies in diagnostic laborabory systems
CN119585594A (en) Systems and methods for customized automated clinical diagnostic crossover studies
WO2025106641A1 (en)Laboratory container processing

Legal Events

DateCodeTitleDescription
121Ep: the epo has been informed by wipo that ep was designated in this application

Ref document number:20940695

Country of ref document:EP

Kind code of ref document:A1

NENPNon-entry into the national phase

Ref country code:DE

122Ep: pct application non-entry in european phase

Ref document number:20940695

Country of ref document:EP

Kind code of ref document:A1


[8]ページ先頭

©2009-2025 Movatter.jp