Combination product for the treatment of cancer diseases Related Applications
The present application claims the benefit of U.S. provisional application number 63/037,281 , filed on June 10, 2020, the content of which is incorporated in its entirety by reference.
Field of the invention
The present invention relates to a product for combination therapies useful for the treatment of cancer diseases. In particular, the invention relates to the combination of an anti-PD-L1 antibody and an MCT4 inhibitor. The therapeutic combination may be utilized for the use in treating a subject having a cancer disease that tests positive for PD-L1 and/or MCT4 expression.
Background of the invention
Cancer immune evasion is a major obstacle to effective anti-cancer therapeutic strategies. Two prominent pathways that cancers exploit to escape immune surveillance are tumor-derived lactic acid excretion via the monocarboxylate transporters (MCT) and the programmed death ligand 1 (PD- L1 )/programmed death 1 (PD-1 ) immune checkpoint pathway.
The production of ATP (adenosine triphosphate) plays a central role in the metabolism of cells. Unlike normal, i.e. healthy cells that usually favor mitochondrial oxidative phosphorylation (OXPHPOS) to produce energy, i.e. ATP, tumor cells are heavily dependent upon glycolysis to produce ATP even under aerobic conditions in the presence of oxygen and fully functioning mitochondria. This switch of metabolism in tumor cells to the process of aerobic glycolysis by which glucose is converted into lactate is also known as the “Warburg Effect” (I. Marchiq and J. Pouyssegur, J. Mol. Med. (2016) 94:155-171 ). When compared to a normal cell, a tumor cell exhibits increased glucose uptake and enhanced conversion to lactate; thus, efficient lactate transport (exclusion) is essential for the tumor cell to avoid both lactate accumulation and low intracellular pH value. It has been shown that monocarboxylate transporters (MCT) play a role in lactate transport across the plasma membrane accompanied by proton transfer. Among the several MCT isoforms (I. Marchiq and J. Pouyssegur, J. Mol. Med. (2016) 94:155-171 ; V. L. Payen, et al. , Mol. Met. 33 (2020) 48-66) MCT1 and MCT4 are those most frequently expressed in tumor cells. MCT1 shows a much higher affinity to lactate (Km at about 1 to 3.5 mM according to I. Marchiq and J. Pouyssegur, J. Mol. Med. (2016) 94:155-171 ; or at about 3.5 to 10 mM according to V. L. Payen, et al., Mol. Met. 33 (2020) 48-66) than MCT4 (Km at about 28 mM (Marchiq/Pouyssegur); or at about 22 to 28 mM (Payen)). There is also evidence that MCT4 expression levels are higher in hypoxic cells than in well- oxygenated cells while the opposite seems true for MCT1 expression. Furthermore, since malignant tumors contain both aerobic/oxidative and hypoxic/glycolytic regions, it is believed that both MCT1 and MCT4 play a role in a metabolic mechanism called metabolic symbiosis that utilizes lactate for tumor cells of different levels of oxygen supply: a hypoxic tumor cell converts large amounts of glucose to lactate by glycolysis which lactate is then transported out of the cell via the up-regulated MCT4. A nearby aerobic tumor cell then uptakes lactate via MCT1 and utilizes the lactate for energy production via OXPHOS (I. Marchiq and J. Pouyssegur, J. Mol. Med. (2016) 94:155-171 ; V. L. Payen, et al., Mol. Met. 33 (2020) 48-66).
These findings indicate that MCT may be a promising target for cancer therapy. However, there is evidence suggesting that selective inhibition of MCT1 , in particular in highly glycolytic and hypoxic tumors, may be compensated by upregulating MCT4 rendering the treatment with the MCT 1 inhibitor ineffective. To the contrary, there are no indications that selective inhibition of MCT4 in cancer cells would be compensated by MCT1 up-regulation. Thus, the selective inhibition of MCT4 or the dual inhibition of both MCT1 and MCT4 is a promising approach for the development of an effective treatment of diseases and conditions which are affected by MCT1 and/or MCT4 activity, in particular of cancer.
The international patent application with the application number PCT/EP2019/086662, filed on 20 December 2019, now published as WO 2020/127960 A1 , describes inhibitors of MCT4 (either of MCT4 alone or in combination with MCT1 ) which are compounds of formula (I) as described below or stereoisomers thereof and/or a pharmaceutically acceptable salt of the compound or its stereoisomers.
Recent studies have shown that MCT4 expression is amplified in many tumor types and is a marker of poor prognosis in cancer patients (K. Renner, et al., 2019, Cell Reports 29, 135-150). The tumor-derived lactic acid inhibits T and natural killer (NK) cell function, which leads to tumor immune evasion.
Immune checkpoints are regulators of immune activation. An example of such a regulator comprises programmed cell death protein 1 (PD-1 ) and programmed death-ligand 1 (PD-L1 ). PD-1 is expressed on the surface of T cells whereas PD-L1 is expressed on the surface of many more cells, including cancer cells. Binding of PD-L1 to the PD-1 receptor inhibits T cell activation and proliferation.
PD-L1 is overexpressed in many cancers and is often associated with poor prognosis. It is well established that cancer cells overexpress PD-L1 to evade the host’s immune system. Thus, in recent years PD-L1/PD-1 inhibitors have been touted as cancer therapies. Anti-PD-L1 antibodies like atezolizumab, durvalumab and avelumab have been shown to overcome T cell anergy and to activate immune response and now are well-established agents in cancer immunotherapy. While MCT may be a promising target for cancer therapies, therapies targeting PD-L1 have already shown anti-tumor effects in the clinic (K. Renner, et al. , 2019, Cell Reports 29, 135-150; A. Akinleye and Z. Rasool, Akinleye and Rasool, Journal of Hematology & Oncology (2019) 12:92, 1-13
(https://doi.org/10.1186/s13045-019-0779-5); J. Gong et al., Journal for ImmunoTherapy of Cancer (2018) 6:8, 1-18 (https://doi.org/10.1186/s40425- 018-0316-z); however, improving their anti-tumor efficacy and the proportion of responders - in particular to anti-PD-L1 therapy - remain important goals in cancer immunotherapy. Accordingly, there remains a need to develop novel therapeutic options for the treatment of cancer diseases. Furthermore, there is a need for therapies having a greater efficacy than existing ones.
Brief Description of the Figures
Figure 1 shows the tumor volume (in mm3) (mean +/- standard error of mean, SEM) as a function of days after treatment initiation for Group 1 (control group, vehicle/mutant PD-L1 antibody; vehicle administered 10ml/kg animal weight, p.o. once daily and Mut PD-L1 administered i.v. at day 0, 3, and 6 (400 μg/animal)) in MC38 tumor-bearing mice (10 animals; day 0 = day 8 after cell implantation of MC38 tumor cells in C57/BL6 mice).
Figure 2 shows the tumor volume (in mm3) (mean +/- standard error of mean, SEM) as a function of days after treatment initiation for Group 2 (MCT4 inhibitor Compound 367, dosed at 3 mg/kg animal weight per day from day 0 to day 3, followed by 30 mg/kg animal weight per day (p.o. administration) in MC38 tumor-bearing mice (10 animals; day 0 = day 8 after cell implantation of MC38 tumor cells in C57/BL6 mice)).
Figure 3 shows the tumor volume (in mm3) (mean +/- standard error of mean, SEM) as a function of days after treatment initiation for Group 3 (avelumab, 400 μg/animal at day 0, 3, and 6 (i.v. administration)) in MC38 tumor-bearing mice (10 animals; day 0 = day 8 after cell implantation of MC38 tumor cells in C57/BL6 mice)). Figure 4 shows the tumor volume (in mm3) (mean +/- standard error of mean, SEM) as a function of days after treatment initiation for Group 4 (combination treatment with MCT4 inhibitor Compound 367, dosed at 3 mg/kg animal weight per day from day 0 to day 3, followed by 30 mg/kg animal weight per day (p.o. administration) and avelumab, dosed at 400 μg/animal at day 0, 3, and 6 (i.v. administration) in MC38 tumor-bearing mice (10 animals; day 0 = day 8 after cell implantation of MC38 tumor cells in C57/BL6 mice)).
Description of the invention
In a first embodiment the present invention provides a combination product comprising
(a) an anti-PD-L1 antibody; and
(b) a compound of formula (I)
wherein
W denotes CRW1, N;
RW1 is H, halogen, Ra, -ORa;
R1 is -OH, -ORa, -NH2, -NHRa, -NRaRb, -N(H)OH, -N(H)O-Ra, -N(H)CN, -N(H)-C(=O)-Ra, -N(H)-SO2-Ra; or R1 together with R2 forms a divalent -O-CH2- or -N-CH2- radical;
R2 is H, halogen, -CN, Ra, -OH, -ORa, NH2, -NH-Ra, -NRaRb;
R3 is H, halogen, Ra, -OH, -ORa, NH2, -NH-Ra, -NRaRb, -NO2, unsubstituted or substituted phenyl; or R2 and R3 form together with the carbon atoms to which they are attached to an unsubstituted or substituted six-membered aromatic ring; or form together a divalent -NH-CH2-CH2-NH- radical;
R4 is H, Ra;
R5 is H, halogen;
R6 is H, halogen, Ra, -ORa, NH2, -NHRa, -NRaRb, -NO2, ArA;
R7 is H, halogen, Ra, -ORa, NH2, -NHRa, -NRaRb, -N(H)-C(=O)-Ra, -C(=O)- NHRa;
R8 is H, halogen, Ra; n is an integer selected from 0 and 1 ;
L1 is a divalent -NH-, -N(Ra)- or -CH2- radical; and L2 is a divalent -SO2- radical; and L3 is a divalent-CH=CH- radical; or
L1 is a divalent -N(CHO)-, -N(C(=O)-Ra)-, -N(C(=O)-NH2)-, — N(C(=O)- NHRa)- or -N(C(=O)-NRaRb)- radical; and L2 is a divalent -CH2- radical; and L3 is a divalent -CH2- radical; or
L1 is a divalent -CH2- radical;
L2 is a divalent -N(CHO)-, -N(C(=O)-Ra)-, -N(C(=O)-NH2)-, -N(C(=O)- NHRa)- or -N(C(=O)-NRaRb)- radical; and L3 is a single bond; or
L1 is a divalent -N= radical;
L2 is a divalent =S(=O)(Ra)- radical; and L3 is a single bond; or
L1 is a divalent-SO2- radical;
L2 is a divalent -NH- or -N(Ra)- radical; and L3 is a single bond; A is a ring selected from the group consisting of ArA, HetarA, CycA or HetcycA;
ArA is a mono-, bi- or tricyclic aryl with 5, 6, 7, 8, 9, 10, 11, 12, 13, 14 ring carbon atoms, wherein that aryl may be unsubstituted or substituted with substituents RA1, RA2, RA3, RA4, RA5, RA6 and/or RA7 which may be the same or different, with the proviso that ArA is not 4-methylphenyl;
HetarA is a mono-, bi- or tricyclic heteroaryl with 5, 6, 7, 8, 9, 10, 11 , 12, 13, 14 ring atoms wherein 1, 2, 3, 4, 5 of said ring atoms is/are a hetero atom(s) selected from N, O and/or S and the remaining are carbon atoms, wherein that heteroaryl may be unsubstituted or substituted with substituents RA1, RA2, RA3, RA4, RA5, RA6 and/or RA7 which may be the same or different;
CycA is a saturated or partially unsaturated, mono-, bi- or tricyclic carbocycle with 3, 4, 5, 6, 7, 8, 9, 10, 11, 12, 13, 14, 15 ring carbon atoms, wherein that carbocycle may be unsubstituted or substituted with RA8, RA9, RA10 and/or RA11 which may be the same or different;
HetcycA is a saturated or partially unsaturated, mono-, bi- or tricyclic heterocycle with 3, 4, 5, 6, 7, 8, 9, 10, 11, 12, 13, 14, 15 ring atoms wherein 1, 2, 3, 4, 5 of said ring atoms is/are a hetero atom(s) selected from N, O and/or S and the remaining are carbon atoms, wherein that heterocycle may be unsubstituted or substituted with RA8, RA9, RA1° and/or RA11 which may be the same or different;
RA1, RA2, RA3, RA4, RA5, RA6, RA7 are independently from each other H, halogen, Ra, -ORa, -NH2, -NHRa, -NRaRb, -N(H)-C(=O)-Ra, ArB, -O-ArB, HetarB, CycB, Hetcyc6; and/or two adjacent RA1, RA2, RA3, RA4, RA5, RA6, RA7 may form together a divalent -C1-3-alkylene-O- or -O-C1-3-alkylene-O- radical which C1-3- alkylene may be unsubstituted or mono- or disubstituted with Ra or halogen; or may form together with the ring atoms to which they are attached to a Cycc; RA8, RA9, RA10, R11 are independently from each other H, Ra; or a pair of
RA8, RA9, RA10 and/or RA11 form a =0 radical;
ArB is a phenyl ring, wherein that phenyl ring may be unsubstituted or substituted with substituents RB1, RB2 and/or RB3 which may be the same or different;
HetarB is a monocyclic heteroaryl with 5, 6, 7 ring atoms wherein 1 , 2, 3, 4 of said ring atoms is/are a hetero atom(s) selected from N, O and/or S and the remaining are carbon atoms, wherein that heteroryl may be unsubstituted or substituted with substituents RB1, RB2 and/or RB3 which may be the same or different;
CycB is a mono- or bicyclic saturated or partially unsaturated carbocycle with 5, 6, 7, 8, 9, 10 ring carbon atoms wherein that carbocycle may be unsubstituted or mono-, di- or trisubstituted with RB4, RB5 and/or RB6 which may be the same or different;
Hetcyc6 is a saturated or partially unsaturated monocyclic heterocycle with 3, 4, 5, 6, 7 ring atoms wherein 1 , 2 of said ring atoms is/are a hetero atom(s) selected from N, O and/or S and the remaining are carbon atoms, wherein that heterocycle may be unsubstituted or mono-, di- or trisubstituted with RB4, RB5 and/or RB6 which may be the same or different;
Cycc is a mono- or bicyclic saturated or partially unsaturated carbocycle with 5, 6, 7, 8, 9, 10 ring carbon atoms wherein that carbocycle is fused to ArA or HetarA via 2 adjacent ring atoms of said ArA or HetarA and wherein that carbocycle may be unsubstituted or substituted with RC1, Rc2, RC3, RC4, RC5, RC6 which may be the same or different;
RB1, RB2 and/or RB3 are independently from each other H, halogen, Ra, -ORa, -SRa;
RB4, RB5, RB6, RC1, RC2, RC3, RC4, RC5, RC6 are independently from each other H, Ra;
Ra, Rb are independently from each other unsubstituted or substituted, straight-chain or branched C1-6-aliphatic or may form together with the nitrogen atom to which they are attached to an unsubstituted or substituted saturated, partially unsaturated or aromatic heterocycle with 4, 5, 6, 7 ring atoms wherein 1 , 2 of said ring atoms is/are a hetero atom(s) selected from N, 0 and/or S and the remaining are carbon atoms; or any stereoisomer, solvate or tautomer thereof and/or a pharmaceutically acceptable salt of the compound of formula (I) or any of its stereoisomers, solvates or tautomers.
The compound of formula (I) being component (b) of the combination product of the present invention is an MCT4 inhibitor. The compounds of formula (I) are first described in the international patent application with the application number PCT/EP2019/086662, filed on 20. December 2019, published as WO 2020/127960 A1 , which is herewith incorporated by reference in its entirety.
In one specific embodiment the compound of formula (I) as defined above being component (b) of the combination product of the present invention does not comprise any of the following compounds
(i) 4-{2-[5-chloro-2-(4-chlorobenzenesulfonamido)phenyl]ethynyl}- benzoic acid (see EP 0 947 500 A1 );
(ii) methyl 4-{2-[5-chloro-2-(4-chlorobenzenesulfonamido)phenyl]ethynyl}- benzoate (see EP 0 947 500 A1 );
(iii) methyl 4-{2-[2-(4-methylbenzenesulfonamido)phenyl]ethynyl}benzoate (see Y. Gao et al., Org. Lett. 2016, 18, 1242-1245); and
(iv) methyl 4-{2-[2-(N-benzyl-2,2,2-trifluoroacetamido)phenyl]ethynyl}- benzoate (A. Arcadi et al., Synlett 2000, No. 3, 394-396).
In general, all residues, radicals, substituents, groups, moieties, etc. which occur more than once may be identical or different, i.e. are independent of one another. Above and below, the residues and parameters have the meanings indicated for formula (I), unless expressly indicated otherwise. Accordingly, component (b) of the invention relates, in particular, to the compounds of formula (I) in which at least one of the said residues radicals, substituents has one of the preferred meanings indicated below. Each of the embodiments described below can be combined with any other embodiment described herein not inconsistent with the embodiment with which it is combined. Furthermore, each of the embodiments described herein envisions within its scope pharmaceutically acceptable salts of the compounds described herein. Accordingly, the phrase “or a pharmaceutically acceptable salt thereof” is implicit in the description of all compounds described herein. Embodiments within an aspect as described below can be combined with any other embodiments not inconsistent within the same aspect or a different aspect. For instance, embodiments of any of the treatment methods of the present invention can be combined with any embodiments of the combination products of the present invention or pharmaceutical composition of the present invention, and vice versa. Likewise, any detail or feature given for the treatment methods of the present invention apply - if not inconsistent - to those of the combination products of the present invention and pharmaceutical compositions of the present invention, and vice versa.
The present invention may be understood more readily by reference to the detailed description above and below of the particular and preferred embodiments of the invention and the examples included herein. It is to be understood that the terminology used herein is for the purpose of describing specific embodiments only and is not intended to be limiting. It is further to be understood that unless specifically defined herein, the terminology used herein is to be given its traditional meaning as known in the relevant art. So that the invention may be more readily understood, certain technical and scientific terms are specifically defined below. Unless specifically defined elsewhere in this document, all other technical and scientific terms used herein have the meaning commonly understood by one of ordinary skill in the art to which this invention belongs.
Component (a) of the combination product of the present invention
In one embodiment of the invention component (a) of the combination product is an anti-PD-L1 antibody or antigen-binding fragement thereof, preferably avelumab. In the context of the present invention the term “anti-PD-L1 antibody” refers to an antibody that blocks binding of PD-L1 to PD-1 . In any of the treatment method, medicaments and uses of the present invention in which a human subject is being treated, the anti-PD-L1 antibody specifically binds to human PD-L1 and blocks binding of human PD-L1 to human PD-1. The antibody may be a monoclonal antibody, human antibody, humanized antibody or chimeric antibody, and may include a human constant region. In some embodiments the human constant region is selected from the group consisting of lgG1 , lgG2, lgG3 and lgG4 constant regions, and in preferred embodiments, the human constant region is an lgG1 or lgG4 constant region. In some embodiments, the antigen-binding fragment is selected from the group consisting of Fab, Fab'-SH, F(ab')2, scFv and Fv fragments. Examples of monoclonal antibodies that bind to human PD-L1 , and useful in the treatment method, medicaments and uses of the present invention, are described in WO 2007/005874, WO 2010/036959, WO 2010/077634, WO 2010/089411 , WO 2013/019906, WO 2013/079174, WO 2014/100079, WO 2015/061668, and US Patent Nos. 8,552, 154, 8,779, 108 and 8,383,796. Specific anti-human PD- L1 monoclonal antibodies useful as the anti-PD-L1 antibody in the combination product, treatment method, medicaments and uses of the present invention include, for example without limitation, avelumab (MSB0010718C), MPDL3280A (atezolizumab, an lgG1 -engineered, anti-PD-L1 antibody, disclosed in WO 2010/077634), BMS-936559 (a fully human, anti-PD-L1 , lgG4 monoclonal antibody), MEDI4736 (durvalumab, an engineered lgG1 kappa monoclonal antibody with triple mutations in the Fc domain to remove antibody-dependent, cell-mediated cytotoxic activity; disclosed in WO 2011/066389), and an antibody which comprises the heavy chain and light chain variable regions of SEQ ID NO:24 and SEQ ID NO:21 , respectively, of WO 2013/019906.
In a particular embodiment, the anti-PD-L1 antibody (component (a) of the combination product of the present invention) is avelumab (disclosed in WO 2013/079174, the disclosure of which is hereby incorporated by reference in its entirety).
Avelumab (formerly designated MSB0010718C; marketed as Bavencio®) is a fully human monoclonal antibody of the immunoglobulin (Ig) G1 isotype (see, e.g., WO 2013/079174). Avelumab selectively binds to PD-L1 and competitively blocks its interaction with PD-1. The mechanisms of action rely on the inhibition of PD-1/PD-L1 interaction and on the antibody-dependent cell- mediated cytotoxicity (ADCC) activity (see e.g., Boyerinas et al. (2015) Cancer Immunol Res 3: 1148).
Avelumab, its sequence, and many of its properties have been described in WO 2013/079174, where it is designated A09-246-2 having the heavy and light chain sequences according to SEQ ID NOs: 32 and 33 of this patent application. It is frequently observed, however, that in the course of antibody production the C-terminal lysine (K) of the heavy chain is cleaved off. This modification has no influence on the antibody-antigen binding. Therefore, in some embodiments the C-terminal lysine (K) of the heavy chain sequence of avelumab is absent. Further, as shown in WO 2013/079174, one of avelumab’s properties is its ability to exert antibody-dependent cell-mediated cytotoxicity (ADCC), thereby directly acting on PD-L1 expressing tumor cells by inducing their lysis without showing any significant toxicity.
Component (b) of the combination product of the present invention Component (b) of the combination product of the present invention is an MCT4 inhibitor of formula (I) as described above and below.
In a particular embodiment, PE0, the compound of formula (I) is a compound of formula (I) or any stereoisomer, solvate or tautomer thereof and/or a pharmaceutically acceptable salt of the compound of formula (I) or any of its stereoisomers, solvates or tautomers wherein W denotes CRW1, N; RW1 is H, halogen, Ra, -ORa;
R1 is -OH, -ORa, -NH2, -NHRa, -NRaRb, -N(H)OH, -N(H)O-Ra, -N(H)CN, -N(H)-C(=O)-Ra, -N(H)-SO2-Ra; or R1 together with R2 forms a divalent -O-CH2- or -N-CH2- radical;
R2 is H, halogen, -CN, Ra, -OH, -ORa, NH2, -NH-Ra, -NRaRb;
R3 is H, halogen, Ra, -OH, -ORa, NH2, -NH-Ra, -NRaRb, -NO2, unsubstituted or substituted phenyl; or
R2 and R3 form together with the carbon atoms to which they are attached to an unsubstituted or substituted six-membered aromatic ring; or form together a divalent -NH-CH2-CH2-NH- radical;
R4 is H, Ra;
R5 is H, halogen;
R6 is H, halogen, Ra, -ORa, NH2, -NHRa, -NRaRb, -NO2, ArA;
R7 is H, halogen, Ra, -ORa, NH2, -NHRa, -NRaRb, -N(H)-C(=O)-Ra, -C(=O)- NHRa;
R8 is H, halogen, Ra; n is an integer selected from 0 and 1 ;
L1 is a divalent -NH-, -N(Ra)- or -CH2- radical; and
L2 is a divalent -SO2- radical; and
L3 is a divalent-CH=CH- radical; or
L1 is a divalent -N(CHO)-, -N(C(=O)-Ra)-, -N(C(=O)-NH2)-, -N(C(=O)- NHRa)- or -N(C(=O)-NRaRb)- radical; and
L2 is a divalent -CH2- radical; and
L3 is a divalent -CH2- radical; or
L1 is a divalent -CH2- radical;
L2 is a divalent -N(CHO)-, -N(C(=O)-Ra)-, -N(C(=O)-NH2)-, -N(C(=O)- NHRa)- or -N(C(=O)-NRaRb)- radical; and
L3 is a single bond; A is a ring selected from the group consisting of ArA, HetarA, CycA or HetcycA;
ArA is a mono-, bi- or tricyclic aryl with 5, 6, 7, 8, 9, 10, 11, 12, 13, 14 ring carbon atoms, wherein that aryl may be unsubstituted or substituted with substituents RA1, RA2, RA3, RA4, RA5, RA6 and/or RA7 which may be the same or different, with the proviso that ArA is not 4-methylphenyl;
HetarA is a mono-, bi- or tricyclic heteroaryl with 5, 6, 7, 8, 9, 10, 11 , 12, 13, 14 ring atoms wherein 1, 2, 3, 4, 5 of said ring atoms is/are a hetero atom(s) selected from N, O and/or S and the remaining are carbon atoms, wherein that heteroaryl may be unsubstituted or substituted with substituents RA1, RA2, RA3, RA4, RA5, RA6 and/or RA7 which may be the same or different;
CycA is a saturated or partially unsaturated, mono-, bi- or tricyclic carbocycle with 3, 4, 5, 6, 7, 8, 9, 10, 11, 12, 13, 14, 15 ring carbon atoms, wherein that carbocycle may be unsubstituted or substituted with RA8, RA9 RA10 and/or RA11 which may be the same or different;
HetcycA is a saturated or partially unsaturated, mono-, bi- or tricyclic heterocycle with 3, 4, 5, 6, 7, 8, 9, 10, 11, 12, 13, 14, 15 ring atoms wherein 1, 2, 3, 4, 5 of said ring atoms is/are a hetero atom(s) selected from N, O and/or S and the remaining are carbon atoms, wherein that heterocycle may be unsubstituted or substituted with RA8, RA9, RA1° and/or RA11 which may be the same or different;
RA1, RA2, RA3, RA4, RA5, RA6, RA7 are independently from each other H, halogen, Ra, -ORa, -NH2, -NHRa, -NRaRb, -N(H)-C(=O)-Ra, ArB, -O-ArB, HetarB, CycB, Hetcyc6; and/or two adjacent RA1, RA2, RA3, RA4, RA5, RA6, RA7 may form together a divalent -C1-3-alkylene-O- or -O-C1-3-alkylene-O- radical which C1-3- alkylene may be unsubstituted or mono- or disubstituted with Ra or halogen; or may form together with the ring atoms to which they are attached to a Cycc; RA8, RA9 RA10 RH are independently from each other H, Ra; or a pair of Ra8 RA9 RA10 and/or RA11 form a =0 radical;
ArB is a phenyl ring, wherein that phenyl ring may be unsubstituted or substituted with substituents RB1, RB2 and/or RB3 which may be the same or different;
HetarB is a monocyclic heteroaryl with 5, 6, 7 ring atoms wherein 1 , 2, 3, 4 of said ring atoms is/are a hetero atom(s) selected from N, O and/or S and the remaining are carbon atoms, wherein that heteroryl may be unsubstituted or substituted with substituents RB1, RB2 and/or RB3 which may be the same or different;
CycB is a mono- or bicyclic saturated or partially unsaturated carbocycle with 5, 6, 7, 8, 9, 10 ring carbon atoms wherein that carbocycle may be unsubstituted or mono-, di- or trisubstituted with RB4, RB5 and/or RB6 which may be the same or different;
HetcycB is a saturated or partially unsaturated monocyclic heterocycle with 3, 4, 5, 6, 7 ring atoms wherein 1 , 2 of said ring atoms is/are a hetero atom(s) selected from N, O and/or S and the remaining are carbon atoms, wherein that heterocycle may be unsubstituted or mono-, di- or trisubstituted with RB4, RB5 and/or RB6 which may be the same or different;
Cycc is a mono- or bicyclic saturated or partially unsaturated carbocycle with 5, 6, 7, 8, 9, 10 ring carbon atoms wherein that carbocycle is fused to ArA or HetarA via 2 adjacent ring atoms of said ArA or HetarA and wherein that carbocycle may be unsubstituted or substituted with RC1, RC2, RC3, RC4, RC5, RC6 which may be the same or different;
RB1, RB2 and/or RB3 are independently from each other H, halogen, Ra, -ORa, -SRa;
RB4, RB5, RB6, RC1, RC2, RC3, RC4, RC5, RC6 are independently from each other H, Ra;
Ra, Rb are independently from each other unsubstituted or substituted, straight-chain or branched C1-6-aliphatic or may form together with the nitrogen atom to which they are attached to an unsubstituted or substituted saturated, partially unsaturated or aromatic heterocycle with 4, 5, 6, 7 ring atoms wherein 1 , 2 of said ring atoms is/are a hetero atom(s) selected from N, 0 and/or S and the remaining are carbon atoms; with the proviso that
(a) 4-{2-[5-chloro-2-(4-chlorobenzenesulfonamido)phenyl]ethynyl}- benzoic acid;
(b) methyl 4-{2-[5-chloro-2-(4-chlorobenzenesulfonamido)phenyl]ethynyl}- benzoate;
(c) methyl 4-{2-[2-(4-methylbenzenesulfonamido)phenyl]ethynyl}benzoate; and
(d) methyl 4-{2-[2-(N-benzyl-2,2,2-trifluoroacetamido)phenyl]ethynyl}- benzoate are excluded.
In a particular embodiment, PE1, the compound of formula (I) is a compound of formula (I) or any stereoisomer, solvate or tautomer thereof and/or a pharmaceutically acceptable salt of the compound of formula (I) or any of its stereoisomers, solvates or tautomers wherein W denotes CRW1, N;
RW1 is H, Ra, -ORa;
R1 is -OH, ORa, NHRa, NH-OH;
R2 is H, halogen, Ra, -ORa, -NH2, -NHRa, -NRaRb;
R3 is H, halogen, Ra, -ORa, -NH2, -NHRa, -NRaRb, -NO2, phenyl; or
R2 and R3 form together with the carbon atoms to which they are attached to a benzo ring;
R4 is H;
R5 is H;
R6 is is H, halogen, Ra, -ORa, -NH2, -NHRa, -NRaRb;
R7 H, halogen, Ra, -ORa;
R8 is H, halogen. In still another particular embodiment, PE2, the compound of formula (I) is a compound of formula (I) or or any stereoisomer, solvate or tautomer thereof and/or a pharmaceutically acceptable salt of the compound of formula (I) or any of its stereoisomers, solvates or tautomers wherein W is N; and
R2 is H, halogen, Ra, -ORa, -NH2, -NHRa, -NRaRb;
R
3 is H, halogen, R
a, -OR
a, -NH
2, -NHR
a, -NR
aR
b, -NO
2, phenyl; thereby forming a compound of formula (l-a)
or
R
2 and R
3 form together with the carbon atoms to which they are attached to a benzo ring thereby forming a compound of formula (l-b)
wherein R
1, R
4, R
5, R
6, R
7, R
8, n, L
1, L
2, L
3 and A are as defined above and below and in the claims. In another particular embodiment, PE3, the compound of formula (I) is a compound of formula (I) or any stereoisomer thereof and/ora pharmaceutically acceptable salt of that compound or any of its stereoisomers wherein W denotes CR
W1, N; in particular N;
RW1 is H, -OCH3;
R
1 is -OH, -OC
1 -4-alkyl, -OCH
2CH(OH)-CH
2OH, -O(CH
2)
2O(CH
2)
2OH, -
0(CH2)2OCH3, , -OCH2-phenyl, -NHCH(CH3)2;
R2 is H, F, Cl, CH3, C2H5, -CH2OH, -OCHS, -OC2H5, -NH2, -NHCHS, -NHC2H5; R3 is H, F, Cl, CH3, -C(=CH2)CH3, -OCH3, -OC2H5, phenyl, -N(CH3)2, -NO2; or
R2 and R3 form together with the carbon atoms to which they are attached to a benzo ring;
R4 is H;
R5 is H;
R6 is H, F, Cl, Br, I, -CH3, -C2H5, -CH(CH3)2, -OCH3, -N(CH3)2;
R7 is H, F, Cl, Br, CH3, CF3, -OCH3;
R8 is H, F; n is 0;
L1 is a divalent -NH- or -N(CH3)- radical; and
L2 is a divalent -SO2- radical; or
L1 is a divalent -N(CHO)- radical; and
L2 is a divalent -CH2- radical; and
A is a ring selected from the group consisting of ArA, HetarA, CycA or HetcycA;
ArA is selected from the group consisting of 4-methoxyphenyl, 4-methoxy-2- methylphenyl, 4-methoxy-3-methylphenyl, 2,3-dimethyl-4- methoxyphenyl, 2,3,6-trimethyl-4-methoxyphenyl, 2,3-dichloro-4- methoxyphenyl, 3-acetamido-4-ethoxyphenyl, 4-(cyclohex-1 -en-1 - yl)phenyl, 1 ,1 ’-biphenyl-2 -yl, 1 , 1 ’-biphenyl-3-yl, 1 , 1 ’-biphenyl-4-yl, 2’- methyl-1 , 1 ’-biphenyl-4-yl, 2-methoxy-1 , 1 ’-biphenyl-4-yl, 3-methoxy-1 , 1 ’- biphen-4-yl, 2’-methoxy-1 , 1 ’-biphenyl-2 -yl, 2’-methoxy-1 , 1 ’-biphenyl-3-yl, 2’-methoxy-1 , 1 ’-biphenyl-4-yl, 3-phenoxyphenyl, 4-(1 H-pyrazol-1 - yl)phenyl, 3-(pyhdin-2-yl)phenyl, 3-(pyhdin-3-yl)phenyl, 3-(6- methoxypyhdin-2-yl)phenyl, 3-(2,6-dimethoxypyridin-3-yl)phenyl, naphth-1-yl, naphth-2-yl, 4-bromonaphth-1-yl, 4-methylnaphth-1-yl, 1- methylnaphth-2-yl, 4-methoxynaphth-1-yl, 4-methoxynaphth-2-yl, 4- ethoxynaphth-1-yl, 4-propan-2-yloxynaphth-1-yl, 5-chloronaphth-1-yl, 6- chloronaphth-2-yl, 5,6,7,8-tetrahydronaphth-2-yl, 4-methoxy-5,6,7,8- tetrahydronaphth-1 -yl, 9H-fluoren-2-yl;
HetarA is selected from the group consisting of 5-bromo-6- methoxypyhdin-3-yl, 6-phenylpyridin-3-yl, 1 -methylindol-4-yl, 1- benzofuran-2-yl, 1 -benzothiophen-3-yl, 5-chloro-1 -benzothiophen-2-yl, 5-chloro-3-methyl-1-benzothiophen-2-yl, 1 ,3-benzothiazol-4-yl, quinolin- 2-yl, quinolin-8-yl, 2-methylquinolin-8-yl, 3-methylquinolin-8-yl, 4- methylquinolin-8-yl, 6-methylquinolin-8-yl, 7-methylquinolin-8-yl, 4,7- dimethylquinolin-8-yl, 5,7-dimethylquinolin-8-yl, 5,6,7-trimethylquinolin-8- yl, 5-ethylquinolin-8-yl, 5-(n-propyl-)quinolin-8-yl, 2-methoxyquinolin-8-yl,
4-methoxyquinolin-8-yl, 5-methoxyquinolin-8-yl, 5- trifluormethoxyquinolin-8-yl, 5-ethoxyquinolin-8-yl, 7-ethoxyquinolin-8-yl,
5-(propan-2-yloxy)quinolin-8-yl, 7-(propan-2-yloxy)quinolin-8-yl, 4-prop-
2-yn-1-oxyquinolin-8-yl, 3-chloroquinolin-8-yl, 4-chloroquinolin-8-yl, 6- fluorooquinolin-8-yl, 2,4-dichloroquinolin-8-yl, 3,4-dichloroquinolin-8-yl, 4,7-dichloroquinolin-8-yl, 5,7-dichloroquinolin-8-yl, 7-bromo-2- chloroquinolin-8-yl, 4-chloro-7-fluoroquinolin-8-yl, 7-bromo-4- chloroquinolin-8-yl, 6-chloro-2-methylquinolin-8-yl, 4-dimethylamino- quinolin-8-yl, 9H-carbazol-2-yl, 9-methyl-9H-carbazol-3-yl, 9-methyl-9H- carbazol-4-yl, dibenzofuran-2-yl, dibenzofuran-3-yl;
CycA is 3,4-dihydronaphth-2-yl;
HetcycA is selected from the group consisting of 2,3-dihydro-1 H-indol-1 -yl, octahydro-1 H-indol-1 -yl, decahydroquinolin-1 - yl, 4a,8a-trans-decahydroquinolin-1 -yl, 4aR,8aS-decahydroquinolin-1 -yl, decahydroquinolin-2-yl, 4-methyldecahydroquinolin-1 -yl, 1 ,2,3,4- tetrahydro-1 ,8-naphthyridin-1 -yl.
In yet another particular embodiment , PE4, the compound of formula (I) is selected from the compounds of Table 1 below or any stereoisomer, solvate or tautomer thereof and/or a pharmaceutically acceptable salt of the compound of formula (I) or any of its stereoisomers, solvates or tautomers.
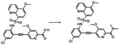
In another particular embodiment, PE5, the compound of formula (I) is 5-{2-[5- chloro-2-(5-ethoxyquinoline-8-sulfonamido)phenyl]ethynyl}-4-methoxy- pyridine-2-carboxylic acid (Compound 367) or any pharmaceutical acceptable salt thereof.
As used herein, the following definitions shall apply unless otherwise indicated or defined specifically elsewhere in the description and/or the claims for specific substituents, radicals, residues, groups or moieties. The term “aliphatic” or “aliphatic group”, as used herein, means a straight- chain (i.e. , unbranched) or branched, substituted or unsubstituted hydrocarbon chain that is completely saturated or that contains one or more units of unsaturation, or a monocyclic hydrocarbon or bicyclic hydrocarbon or tricyclic hydrocarbon that is completely saturated or that contains one or more units of unsaturation, such as one or more C=C double bond(s) and/or C≡C triple bond(s), but which is not aromatic (also referred to herein as “carbocycle”, “cycloaliphatic” or “cycloalkyl”), that has - in general and if not defined otherwise in this specification or the accompanied claims - a single point of attachment to the rest of the molecule. Unless otherwise specified, aliphatic groups contain 1-8 or 1-6 aliphatic carbon atoms. In some embodiments, aliphatic groups contain 1-5 aliphatic carbon atoms. In other embodiments, aliphatic groups contain 1 -4 aliphatic carbon atoms. In still other embodiments, aliphatic groups contain 1-3 aliphatic carbon atoms, and in yet other embodiments, aliphatic groups contain 1-2 aliphatic carbon atoms. In some embodiments, “cycloaliphatic” (“cycloalkyl”) refers to a monocyclic C3-C7 hydrocarbon that is completely saturated or that contains one or more units of unsaturation, but which is not aromatic, that has a single point of attachment to the rest of the molecule. In another embodiment the term “carbocycle” refers to a monocyclic or bicyclic cycloaliphatic ring system which is fused to an aromatic, heteroaromatic or heterocyclic ring or ring system via 2 adjacent ring atoms of that aromatic, heteroaromatic or heterocyclic ring or ring system; in other words, such carbocycle shares two ring atoms with the ring or ring system to which it is fused thereby having two points of attachement to the rest of the molecule. Suitable aliphatic groups include, but are not limited to, linear or branched, substituted or unsubstituted alkyl, alkenyl, alkynyl groups and hybrids thereof as (cycloalkyl)alkyl, (cycloalkenyl)alkyl or (cycloalkyl)alkenyl.
The term "alkyl" usually refers to a saturated aliphatic and acyclic moiety, while the term "alkenyl" usually refers to an unsaturated alphatic and acyclic moiety with one or more C=C double bonds and the term "alkynyl" usually refers to an aliphatic and acyclic moiety with one or more C≡C triple bonds. Exemplary aliphatic groups are linear or branched, substituted or unsubstituted C1 -8-alkyl, C1-6-alkyl, C1 -4-alkyl, C2-8-alkenyl, C2-6-alkenyl, C2-8-alkynyl, C2-6-alkynyl groups and hybrids thereof such as (cycloalkyl)alkyl, (cycloalkenyl)alkyl or (cycloalkyl)alkenyl.
In particular, the term “C1-3-alkyl” refers to alkyl groups, i.e. saturated acyclic aliphatic groups, having 1 , 2 or 3 carbon atoms. Exemplary C1-3-alkyl groups are methyl, ethyl, propyl and isopropyl. The term “C1 -4-alkyl” refers to alkyl groups having 1 , 2, 3 or 4 carbon atoms. Exemplary C1 -4-alkyl groups are methyl, ethyl, propyl, isopropyl, butyl, isobutyl, and tert-butyl. The term “C1-6- alkyl” refers to alkyl groups having 1 , 2, 3, 4, 5 or 6 carbon atoms. Exemplary C1-6-alkyl groups are methyl, ethyl, propyl, isopropyl, butyl, isobutyl, tert-butyl, n-pentyl, 2-pentyl, n-hexyl, and 2-hexyl. The term "C1 -8-alkyl" refers to alkyl groups having 1 , 2, 3, 4, 5, 6, 7, or 8 carbon atoms. Exemplary C1 -8-alkyl groups are methyl, ethyl, propyl, isopropyl, butyl, isobutyl, tert-butyl, n-pentyl, 2-pentyl, n-hexyl, 2-hexyl n-heptyl, 2-heptyl, n-octyl, 2-octyl, and 2,2,4- trimethylpentyl. Each of these alkyl groups may be straight-chain or - except for C1-alkyl and C2-alkyl - branched and may be unsubstituted or substituted with 1 , 2 or 3 substituents or even 4, 5 or 6 substituents that may be the same or different and are, if not specified differently elsewhere in this specification, selected from the group comprising halogen, hydroxy, alkoxy, unsubstituted or mono- or di-substituted amino.
In some instances the C1-3-alkyl, C1 -4-alkyl, C1-6-alkyl, C1 -8-alkyl groups may also comprise those residues in which 1 or 2 of non-terminal and non-adjacent -CH2- (methylene) groups are replaced by -O-, -S- and/or 1 or 2 non-terminal and non-adjacent -CH2- or -CH- groups are replaced by -NH- or -N-. These replacements yield, for instance, (modified) alkyl groups like -CH2-CH2-O-CH3, -CH2-CH2-CH2-S-CH3, CH2-CH2-NH-CH2-CH3, CH2-CH2-O-CH2-CH2-O-CH3, CH2-CH2-N(CH3)-CH2-CH3, and the like. Further and/or different replacements of -CH- and -CH2- groups may be defined for specific alkyl substituents or radicals elsewhere in the description and/or the claims. The term “C3-7-cycloalkyl” refers to a cycloaliphatic hydrocarbon, as defined above, with 3, 4, 5, 6 or 7 ring carbon atoms. C3-7-cycloalkyl groups may be unsubstituted or substituted with - unless specified differently elsewhere in this specification - 1 , 2 or 3 substituents that may be the same of different and are - unless specified differently elsewhere in this specification - selected from the group comprising C1-6-alkyl, O- C1-6-alkyl (alkoxy), halogen, hydroxy unsubstituted or mono- or di-substituted amino. Exemplary C3-7- cycloalkyl groups are cyclopropyl, 2-methyl-cyclopropyl, cyclopropenyl, cyclobutyl, cyclobutenyl, cyclopentyl, cyclopentenyl, cyclohexyl, cyclohexenyl, cycloheptyl, cycloheptenyl.
The term “aliphatoxy” refers to saturated or unsaturated aliphatic groups or substituents as defined above that are connected to another structural moiety via an oxygen atom (-O-). The term “alkoxy” refers to a particular subgroup of saturated aliphatoxy, i.e. to alkyl substituents and residues that are connected to another structural moiety via an oxygen atom (-O-). Sometimes, it is also referred to as “O-alkyl” and more specifically as “O-C1 -4-alkyl”, “O-C1-6-alkyl”, “O-C1 -8-alkyl”. Like the similar alkyl groups, it may be straight-chain or - except for -O-C1 -alkyl and -O-C2-alkyl - branched and may be unsubstituted or substituted with 1 , 2 or 3 substituents or even 4, 5 or 6 substituents that may be the same or different and are, if not specified differently elsewhere in this specification, selected from the group comprising halogen, unsubstituted or mono- or di-substituted amino. Exemplary alkoxy groups are methoxy, trifluoromethoxy, ethoxy, 2,2,2-trifluoroethoxy, n-propoxy, iso-propoxy, n- butoxy, sec-butoxy, tert-butoxy, n-pentoxy.
The term “alkylene” refers to a divalent aliphatic group and in particular a divalent alkyl group. An “alkylene chain” is a polymethylene group, i.e., - (CH2)X-, wherein x is a positive integer, preferably 1, 2, 3, 4, 5 or 6. In the context of the present invention "C1-3-alkylene" refers to an alkylene moiety with 1 , 2 and 3, respectively, -CH2- groups; the term "alkylene", however, not only comprises linear alkylene groups, i.e. "alkylene chains", but branched alkylene groups as well. The term "C1-6-alkylene" refers to an alkylene moiety that is either linear, i.e. an alkylene chain, or branched and has 1 , 2, 3, 4, 5 or 6 carbon atoms. A substituted alkylene chain is a polymethylene group in which one or more methylene hydrogen atoms are replaced by (or with) a substituent. Suitable substituents include those described herein for a substituted alkyl group. In some instances 1 or 2 methylene groups of the alkylene chain may be replaced by, for instance, O, S and/or NH or N-C1 -4- alkyl. Exemplary alkylene groups are -CH2-, -CH2-CH2-, -CH2-CH2-CH2- CH2-, -O-CH2-O-, -O-CH2-CH2-O-, -O-CH2-CH2-CH2-O- -CH2-NH-CH2- CH2-, -CH2-N(CH3)-CH2-CH2-.
The term “alkenylene” refers to a bivalent alkenyl group. A substituted alkenylene chain is a polymethylene group containing at least one double bond in which one or more hydrogen atoms are replaced with a substituent. Suitable substituents include those described herein for a substituted aliphatic group.
The term “alkynylene” refers to a bivalent alkynyl group. A substituted alkynylene chain is a polymethylene group containing at least one triple bond in which one or more hydrogen atoms are replaced with a substituent. Suitable substituents include those described herein for a substituted aliphatic group.
The term “halogen” means F, Cl, Br, or I.
The term “heteroatom” means one or more of oxygen (O), sulfur (S), or nitrogen (N), including, any oxidized form of nitrogen or sulfur, e.g. N-oxides, sulfoxides and sulfones; the quaternized form of any basic nitrogen or a substitutable nitrogen of a heterocyclic or heteroaromatic ring, for example N (as in 3 , 4-dihydro-2H-pyrrolyl ) , NH (as in pyrrolidinyl) or N-SUB with SUB being a suitable substituent (as in N-substituted pyrrolidinyl). The term “aryl” used alone or as part of a larger moiety as in “aralkyl”, “aralkoxy”, or “aryloxyalkyl”, refers to monocyclic, bicyclic and tricyclic ring systems having a total of five to fourteen ring members, that ring members being carbon atoms, wherein at least one ring in the system is aromatic, i.e. , it has (4n+2) p (pi) electrons (with n being an integer selected from 0, 1 , 2, 3), which electrons are delocalized over the system, and wherein each ring in the system contains three to seven ring members. Preferably, all rings in the aryl system or the entire ring system are aromatic. The term “aryl” is used interchangeably with the term “aryl ring”. In certain embodiments of the present invention, “aryl” refers to an “aromatic ring system”. More specifically, those aromatic ring systems may be mono-, bi- or tricyclic with 5, 6, 7, 8, 9, 10, 11 , 12, 13, 14 ring carbon atoms. Even more specifically, those aromatic ring systems may be mono- or bicyclic with 6, 7, 8, 9, 10 ring carbon atoms. Exemplary aryl groups are phenyl, biphenyl, naphthyl, anthracyl and the like, which may be unsubstituted or substituted with one or more identical or different substituents. Also included within the scope of the terms “aryl” or “aromatic ring system”, as they are used herein, is a group in which an aromatic ring is fused to one or more non-aromatic rings, such as indanyl, phthalimidyl, naphthimidyl, phenanthridinyl, or tetrahydronaphthyl, and the like. In the latter case the "aryl" group or substituent is attached to its pendant group via the aromatic part of the ring system.
The term “benzo” refers to a six-membered aromatic ring (with carbon ring atoms) that is fused via two adjacent carbon atoms to another ring, being it a cycloaliphatic, aromatic, heteroaromatic or heterocyclic (heteroaliphatic) ring; as a result a ring sytem with at least two rings is formed in which the benzo ring shares two common carbon atoms with the other ring to which it is fused. For example, if a benzo ring is fused to a phenyl ring, a napthaline ring system is formed, while fusing a benzo ring to a pyridine provides for either a quinoline or an isoquinoline. The terms “heteroaryl” and “heteroar-”, used alone or as part of a larger moiety, e.g., “heteroaralkyl”, or “heteroaralkoxy”, refer to groups having 3, 4, 5, 6, 7, 8, 9, 10, 11 , 12, 13, 14 ring atoms (which atoms are carbon and hetero atoms), preferably 5, 6, 9 or 10 ring atoms; having 6, 10, or 14 p (pi) electrons shared in a cyclic array; and having, in addition to carbon atoms, 1 , 2, 3, 4 or 5 heteroatoms. The term “heteroatom” refers to nitrogen, oxygen, or sulfur, and includes any oxidized form of nitrogen or sulfur, and any quaternized form of a basic nitrogen. Heteroaryl groups include, without limitation, thienyl, furanyl, pyrrolyl, imidazolyl, pyrazolyl, triazolyl, tetrazolyl, oxazolyl, isoxazolyl, oxadiazolyl, thiazolyl, isothiazolyl, thiadiazolyl, furazanyl, pyridyl (pyridinyl), pyridazinyl, pyrimidinyl, pyrazinyl, indolizinyl, purinyl, naphthyridinyl, pteridinyl, and pyrrolopyridinyl, in particular pyrrolo[2,3-b]pyridinyl. The terms “heteroaryl” and “heteroar-”, as used herein, also include groups in which a heteroaromatic ring is fused to one or more aryl, cycloaliphatic, or heterocyclyl rings, where the radical or point of attachment is preferably on the heteroaromatic or, if present, the aryl ring. Nonlimiting examples include indolyl, isoindolyl, benzothienyl (benzothiophenyl), benzofuranyl, dibenzofuranyl, indazolyl, benzimidazolyl, benzothiazolyl, quinolyl, isoquinolyl, cinnolinyl, phthalazinyl, quinazolinyl, quinoxalinyl, 4/-/— quinolizinyl, carbazolyl, acridinyl, phenazinyl, phenothiazinyl, phenoxazinyl, tetrahydroquinolinyl, tetrahydroisoquinolinyl, 9H-carbazolyl, dibenzofuranyl and pyrido[2,3-b]-1 ,4-oxazin-3(4/-/)-one. For example, an indolyl ring may be attached via one of the ring atoms of the six- membered aryl ring or via one of the ring atoms of the five-membered heteroaryl ring. A heteroaryl group is optionally mono-, bi- or tricyclic. The term “heteroaryl” is used interchangeably with the terms “heteroaryl ring”, “heteroaryl group”, or “heteroaromatic”, any of which terms include rings that are unsubstituted or substituted with one or more identical or different substituents. The term “heteroaralkyl” refers to an alkyl group substituted by a heteroaryl, wherein the alkyl and heteroaryl portions independently are optionally substituted. A heteroaryl ring can be attached to its pendant group at any of its hetero or carbon ring atoms which attachment results in a stable structure or molecule: any of the ring atoms may be unsubstituted or substituted.
The structures of typical examples of "heteroaryl" substituents as used in the present invention are depicted below:
pyrrolyl furanyl thiophenyl 1-oxa-2,3- 1-oxa-2,4- diazolyl diazolyl
1-oxa-3, 4- diazolyl 1-oxa-2,5- 1 -thia-2, 3- 1 -thia-2, 4- 1 -thia-3,4- diazolyl diazolyl diazolyl diazolyl
1 -thia-2, 5- diazolyl oxazolyl isoxazolyl isothiazolyl thiazolyl
pyrazolyl imidazolyl 1 ,2,3-triazolyl 1 ,3,4-triazolyl tetrazolyl
pyridinyl pyrimidinyl pyrazinyl pyridazinyl
(pyridyl)
indolyl benzofuranyl benzothiophenyl isoindolyl
benzimidazolyl indazolyl benzoxazolyl benzothiazolyl
benzotriazolyl pyrrolo[2,3-b] pyrrolo[2,3-c] pyrrolo[3,2-c] pyridinyl pyridinyl pyridinyl
pyrrolo[3,2-b] imidazo[4,5-b] imidazo[4,5-c] pyrazolo[4,3-d] pyridinyl pyridinyl pyridinyl pyridinyl
pyrazolo[4,3-c] pyrazolo[3,4-c] pyrazolo[3,4-b] purinyl pyridinyl pyridinyl pyridinyl
indolizinyl imidazo[1 ,2-a] imidazo[1 ,5-a] pyrazolo[1 ,5-a] pyridinyl pyridinyl pyridinyl
pyrrolo[1 ,2-b] imidazo[1 ,2-c] quinolinyl isoquinolinyl pyridazinyl pyrimidinyl
cinnolinyl quinazolinyl quinoxalinyl phtalazinyl
1 ,6-naphthyridinyl 1 ,7-naphthyridinyl 1 ,8- 1 ,5-naphthyridinyl naphthyridinyl
2,6-naphthyridinyl 2,7-naphthyridinyl pyrido[3,2-d] pyrido[4,3-d] pyrimidinyl pyrimidinyl
pyrido[3,4-d] pyrido[2,3-d] pyrido[2,3-d] pyrido[3,4-b] pyrimidinyl pyrimidinyl pyrazinyl pyrazinyl
pyrazino[2,3-b] pyrimido[5,4-d] pyrimido[4,5-d] pyrazinyl pyrimidinyl pyrimidinyl
Those heteroaryl substituents can be attached to any pendant group via any of its ring atoms suitable for such an attachment. As used herein, the terms “heterocycle”, “heterocyclyl”, “heterocyclic radical”, and “heterocyclic ring” are used interchangeably and refer to a stable mono- bi- or tricyclic heterocyclic moiety with 5, 6, 7, 8, 9, 10, 11 , 12, 13, 14 ring atoms wherein 1 , 2, 3, 4, 5 of said ring atoms are hetero atoms and wherein that heterocyclic moiety is either saturated or partially unsaturated. Preferably, the heterocycle is a stable saturated or partially unsaturated 3-, 4-, 5-, 6-, or 7- membered monocyclic or 7-, 8-, 9-, 10-, or 11-membered bicyclic or 11-, 12- 13-, or 14-membered tricyclic heterocyclic moiety.
When used in reference to a ring atom of a heterocycle, the term “nitrogen” includes a substituted nitrogen. As an example, in a saturated or partially unsaturated ring having 1-3 heteroatoms selected from oxygen, sulfur or nitrogen, the nitrogen is N (as in 3,4-dihydro-2H-pyrrolyl), NH (as in pyrrolidinyl), or N-SUB with SUB being a suitable substituent (as in N- substituted pyrrolidinyl).
In the context of the term "heterocycle" the term "saturated" refers to a completely saturated heterocyclic system, like pyrrolidinyl, piperidinyl, morpholinyl, and piperidinonyl. With regard to the term "heterocycle" the term "partially unsaturated" refers to heterocyclic systems (i) that contain one or more units of unsaturation, e.g. a C=C or a C=Heteroatom bond, but that are not aromatic, for instance, tetrahydropyridinyl; or (ii) in which a (saturated or unsaturated but non-aromatic) heterocyclic ring is fused with an aromatic or heteroaromatic ring system, wherein, however, the "partially unsaturated heterocycle" is attached to the rest of the molecule (its pendant group) via one of the ring atoms of the "heterocyclic" part of the system and not via the aromatic or heteroaromatic part. This first class (i) of "partially unsaturated" heterocycles may also be referred to as "non-aromatic partially unsaturated" heterocycles. This second class (ii) of "partially unsaturated" heterocycles may also be referred to as (bicyclic or tricyclic) "partially aromatic" heterocycles indicating that at least one of the rings of that heterocycle is a saturated or unsaturated but non-aromatic heterocycle that is fused with at least one aromatic or heteroaromatic ring system. Typical examples of these "partially aromatic" heterocycles are 1 ,2,3,4-tetrahydroquinolinyl and 1 ,2,3,4- tetrahydroisoquinolinyl.
A heterocyclic ring can be attached to its pendant group at any heteroatom or carbon atom that results in a stable structure and any of the ring atoms may be unsubstituted or substituted. Examples of such saturated or partially unsaturated heterocyclic radicals include, without limitation, tetrahydrofuranyl, tetrahydropyranyl, tetrahydrothiophenyl pyrrolidinyl, piperidinyl, pyrrolinyl, morpholinyl, tetrahydroquinolinyl, tetrahydroisoquinolinyl, decahydroquino- linyl, oxazolidinyl, piperazinyl, dioxanyl, dioxolanyl, diazepinyl, oxazepinyl, thiazepinyl, morpholinyl, and quinuclidinyl. The terms “heterocycle”, “heterocyclyl”, “heterocyclyl ring”, “heterocyclic group”, “heterocyclic moiety”, and “heterocyclic radical”, are used interchangeably herein, and also include groups in which a heterocyclyl ring is fused to one or more aryl, heteroaryl, or cycloaliphatic rings, such as indolinyl, 3H— indolyl, chromanyl, phenanthridinyl, or tetrahydroquinolinyl, where the radical or point of attachment is on the heterocyclyl ring. A heterocyclyl group is optionally mono-, bi- or tricyclic. The term “heterocyclylalkyl” refers to an alkyl group substituted by a heterocyclyl, wherein the alkyl and heterocyclyl portions independently are unsubstituted or substituted.
The term “unsaturated”, as used herein, means that a moiety or group or substituent has one or more units of unsaturation.
As used herein with reference to any rings, ring systems, ring moieties, and the like, the term “partially unsaturated” refers to a ring moiety that includes at least one double or triple bond. The term “partially unsaturated” is intended to encompass rings having multiple sites of unsaturation. In particular, it encompasses (i) non-saturated (mono-, bi- or tricyclic) ring systems without any aromatic or heteroaromatic moiety or part; and (ii) bi- or tricyclic ring systems in which one of the rings of that system is an aromatic or heteroaromatic ring which is fused with another ring that is neither an aromatic nor a heteroaromatic ring, e.g. tetrahydronaphthyl or tetrahydroquinolinyl. The first class (i) of "partially unsaturated" rings, ring systems, ring moieties may also be referred to as "non-aromatic partially unsaturated" rings, ring systems, ring moieties, while the second class (ii) may be referred to as "partially aromatic" rings, ring systems, ring moieties.
As used herein, the term “bicyclic”, “bicyclic ring” or “bicyclic ring system” refers to any bicyclic ring system, i.e. carbocyclic or heterocyclic, saturated or having one or more units of unsaturation, i.e. being partially unsaturated or aromatic, having one or more atoms in common between the two rings of the ring system. Thus, the term includes any permissible ring fusion, such as ortho- fused or spirocyclic. As used herein, the term “heterobicyclic” is a subset of “bicyclic” that requires that one or more heteroatoms are present in one or both rings of the bicycle. Such heteroatoms may be present at ring junctions and are optionally substituted, and may be selected from nitrogen (including N- oxides), oxygen, sulfur (including oxidized forms such as sulfones and sulfonates), phosphorus (including oxidized forms such as phosphates), boron, etc. In some embodiments, a bicyclic group has 7-12 ring members and 0-4 heteroatoms independently selected from nitrogen, oxygen, or sulfur. Likewise, the term “tricyclic”, “tricyclic ring” or “tricyclic ring system” refers to any tricyclic ring system, i.e. carbocyclic or heterocyclic, saturated or having one or more units of unsaturation, i.e. being partially unsaturated or aromatic, in which a bicyclic ring system (as defined above) is fused with another, third ring. Thus, the term includes any permissible ring fusion. As used herein, the term “heterotricyclic” is a subset of “tricyclic” that requires that one or more heteroatoms are present in one or both rings of the tricycle. Such heteroatoms may be present at ring junctions and are optionally substituted, and may be selected from nitrogen (including N-oxides), oxygen, sulfur (including oxidized forms such as sulfones and sulfonates), phosphorus (including oxidized forms such as phosphates), boron, etc. In some embodiments, a tricyclic group has 10-14 ring members and 0-5 heteroatoms independently selected from nitrogen, oxygen, or sulfur.
As described herein, certain compounds of the invention contain “substituted” or “optionally substituted” moieties. In general, the term “substituted”, whether preceded by the term “optionally” or not, means that one or more hydrogens of the designated moiety are replaced with a suitable substituent. “Substituted” applies to one or more hydrogens that are either explicit or implicit from the structure. Unless otherwise indicated, a “substituted” or “optionally substituted” group has a suitable substituent at each substitutable position of the group, and when more than one position in any given structure is substituted with more than one substituent selected from a specified group, the substituent is either the same or different at every position. If a certain group, substituent, moiety or radical is "mono-substituted", it bears one (1 ) substituent. If it is "di- substituted", it bears two (2) substituents, being either the same or different; if it is "tri-substituted", it bears three (3) substituents, wherein all three are the same or two are the same and the third is different or all three are different from each other. Combinations of substituents envisioned by this invention are preferably those that result in the formation of stable or chemically feasible compounds. The term “stable”, as used herein, refers to compounds that are not substantially altered when subjected to conditions to allow for their production, detection, and, in certain embodiments, their recovery, purification, and use for one or more of the purposes disclosed herein.
If not specified otherwise elsewhere in the specification or the accompanying claims it is understood that each optional substituent on a substitutable carbon is a monovalent substituent independently selected from halogen; -(CH2)0-4R°; -(CH2)0-4OR°; -O(CH2)0-4R°, -O-(OH2)0-4C(O)OR°; -(CH2)0-4CH(OR°)2; -(CH2)0-4SR°; -(CH2)0-4Ph, which may be substituted with one or more R°; - (CH2)0-4O(CH2)0-1Ph which may be substituted with one or more R°; - CH=CHPh, which may be substituted with one or more R°; -(CH2)0-40(CH2)0-1-pyridyl which may be substituted with one or more R°; -NO2; -CN; - Ns; -(CH2)0-4N(R°)2; -(CH2)0-4N(R°)C(O)R°; -N(R°)C(S)R°; -(CH2)0-
4N(R°)C(O)NR°2; -N(R°)C(S)NR°2; -(CH2)0-4N(R°)C(O)OR°;
N(R°)N(R°)C(O)R°; -N(R°)N(R°)C(O)NR°2; -N(R°)N(R°)C(O)0R°; -(CH2)0-4C(O)R°; -C(S)R°; -(CH2)0-4C(O)OR°; -(CH2)0-4C(O)SR°; -(CH2)0-
4C(O)0SiR°s; -(CH2)0-4OC(O)R°; -OC(O)(CH2)0-4SR- SC(S)SR°; -(CH2)0-4SC(O)R°; -(CH2)0-4C(O)NR°2; -C(S)NR°2; -C(S)SR°; -SC(S)SR°, -(CH2)0-4OC(O)NR°2; -C(O)N(0R°)R°; -C(O)C(O)R°; -C(O)CH2C(O)R°; -
C(NOR°)R°; -(CH2)0-4SSR°; -(CH2)0-4S(O)2R°; -(CH2)0-4S(O)2OR°; -(CH2)0-4OS(O)2(OR)°; -S(O)2NR°2; -S(O)(NR°)R°; -S(O)2N=C(NR°2)2; -(CH2)0-
4S(O)R°; -N(R°)S(O)2NR°2; -N(R°)S(O)2R°; -N(OR°)R°; -C(NH)NR°2; - P(O)2R°; -P(O)R°2; -OP(O)R°2; -OP( O)(0R°)2; SiR°s; -(C1 -4 straight or branched alkylene)0-N(R°)2; or -(C1-4 straight or branched alkylene)C(O)0- N(R°)2. It is understood that “Ph” means phenyl; and that “-(CH2)0-4” means that there is either no alkylene group if the subscript is “0” (zero) or an alkylene group with 1 , 2, 3 or 4 CH2 units.
Each R° is independently hydrogen, halogen, C1-6 aliphatic, -CH2Ph, - O(CH2)0-1Ph, -CH2-(5-6 membered heteroaryl ring), or a 5-6-membered saturated, partially unsaturated, or aryl ring having 0-4 heteroatoms independently selected from nitrogen, oxygen, or sulfur, or, notwithstanding the definition above, two independent occurrences of R°, taken together with their intervening atom(s), form a 3-12-membered saturated, partially unsaturated, or aryl mono- or bicyclic ring having 0-4 heteroatoms independently selected from nitrogen, oxygen, or sulfur, which may be substituted by a divalent substituent on a saturated carbon atom of R° selected from =0 and =S; or each R° is optionally substituted with a monovalent substituent independently selected from halogen, -(CH2)0-2R●, -(haloR●), - (CH2)0-2OH, -(CH2)0-2OR●, -(CH2)0-2CH(OR●)2; -0(haloR●), -CN, -Ns, - (CH2)0-2C(O)R●, -(CH2)0-2C(O)OH, -(CH2)0-2C(O)OR●, -(CH2)0-2SR●, - (CH2)0-2SH, -(CH2)0-2NH2, -(CH2)0-2NHR●, -(CH2)0-2NR●2, -NO2, -SiR●3, - OSiR●3, -C(O)SR●, — (C1 -4 straight or branched alkylene)C(O)OR●, or -SSR●. It is understood that “Ph” means phenyl; “halo” means halogen; and “-(CH2)0-2 means that there is either no alkylene group if the subscript is “0” (zero) or an alkylene group with 1 or 2 CH2 units.
Each R● is independently selected from C1-4 aliphatic, -CH2Ph, -O(CH2)0-1Ph, or a 5-6-membered saturated, partially unsaturated, or aryl ring having 0-4 heteroatoms independently selected from nitrogen, oxygen, or sulfur, and wherein each R● is unsubstituted or where preceded by halo is substituted only with one or more halogens; or wherein an optional substituent on a saturated carbon is a divalent substituent independently selected from =O, =S, =NNR*2, =NNHC(O)R*, =NNHC(O)OR*, =NNHS(O)2R*, =NR*, =NOR*, -O(C(R*2))2-3O- , or -S(C(R*2))2-3S-, or a divalent substituent bound to vicinal substitutable carbons of an “optionally substituted” group is -O(R*2)2-3 O-, wherein each independent occurrence of R* is selected from hydrogen, C1-6 aliphatic or an unsubstituted 5-6-membered saturated, partially unsaturated, or aryl ring having 0-4 heteroatoms independently selected from nitrogen, oxygen, or sulfur.
When R* is C1-6 aliphatic, R* is optionally substituted with halogen, - R●, -(haloR●), -OH, -OR●, -O(haloR●), -CN, -C(O)OH, -C(O)OR●, -NH2, - NHR●, -NR●2, or -NO2, wherein each R● is independently selected from Ci- 4 aliphatic, -CH2Ph, -O(CH2)0-1Ph, or a 5-6-membered saturated, partially unsaturated, or aryl ring having 0-4 heteroatoms independently selected from nitrogen, oxygen, or sulfur, and wherein each R● is unsubstituted or where preceded by halo is substituted only with one or more halogens.
An optional substituent on a substitutable nitrogen is independently -R†, - NR†2, -C(O)R†, -C(O)OR†, -C(O)C(O)R†, C(O)CH2C(O)R†, -S(O)2R†, -S(O)2NR†2, -C(S)NR†2, -C(NH)NR†2, or - N(R†)S(O)2R†; wherein each R† is independently hydrogen, C1-6 aliphatic, unsubstituted -OPh, or an unsubstituted 5-6-membered saturated, partially unsaturated, or aryl ring having 0-4 heteroatoms independently selected from nitrogen, oxygen, or sulfur, or, two independent occurrences of R†, taken together with their intervening atom(s) form an unsubstituted 3-12-membered saturated, partially unsaturated, or aryl mono- or bicyclic ring having 0-4 heteroatoms independently selected from nitrogen, oxygen, or sulfur; wherein when R† is C1-6 aliphatic, R† is optionally substituted with halogen, - R●, -(haloR●), -OH, -OR●, -0(haloR●), -CN, -C(O)OH, -C(O)OR●, -NH2, - NHR●, -NR●2, or -NO2, wherein each R● is independently selected from Ci- 4 aliphatic, -CH2Ph, -O(CH2)0-1Ph, or a 5-6-membered saturated, partially unsaturated, or aryl ring having 0-4 heteroatoms independently selected from nitrogen, oxygen, or sulfur, and wherein each R● is unsubstituted or where preceded by halo is substituted only with one or more halogens. It is understood that “Ph” means phenyl; and “halo” means halogen.
As described herein above and below in their most general meaning radicals Ra and Rb may be, inter alia, independently from each other unsubstituted or substituted, straight-chain or branched C1-6-aliphatic. In other words, they may be, inter alia, C1-6-alkyl, C2-6-alkenyl or C2-6-alkynyl, in each case either unsubstituted or substituted with one or more substituents, the substituents being the same or different. In some embodiments of the invention Ra and/or Rb are stable C1-6-alkyl moieties bearing one or more substituents, the substituents being the same or different and being selected from halogen, OH, alkoxy. Examples of these substituents become apparent from the definitions of various radicals of the compound of formula (I) herein above and below and comprise, without being limited thereto, fluorine (1 , 2 or 3 individual atoms on one or more of the carbon atoms of the aliphatic radical bearing substituents; or 1 , 2, 3, 4 or 5 individual atoms on two or more of the carbon atoms of the aliphatic radical bearing substituents), chlorine (1 , 2 or 3 individual atoms on one or more of the carbon atoms of the aliphatic radical bearing substituents; or 1 , 2, 3, 4 or 5 individual atoms on two or more of the carbon atoms of the aliphatic radical bearing substituents), -OH (1 , 2 or 3 individual hydroxy groups), methoxy (1 or 2 individual groups), ethoxy (1 or 2 individual groups), -O-ethylene-OH, -O-ethylene-O-methyl, and divalent -O-C((CH3)2)-O- The compounds of formula (I) may have one or more centres of chirality. They may accordingly occur in various enantiomeric and diastereomeric forms, as the case may be, and be in racemic or optically active form. The invention, therefore, also relates to the optically active forms, enantiomers, racemates, diastereomers, mixtures thereof in all ratios, collectively: “stereoisomers” for the purpose of the present invention, of these compounds. Since the pharmaceutical activity of the racemates or stereoisomers of the compounds according to the invention may differ, it may be desirable to use a specific stereoisomer, e.g. one specific enantiomer or diastereomer. In these cases, a compound according to the present invention obtained as a racemate - or even intermediates thereof - may be separated into the stereoisomeric (enantiomeric, diastereoisomeric) compounds by chemical or physical meas- ures known to the person skilled in the art. Another approach that may be applied to obtain one or more specific stereoisomers of a compound of the present invention in an enriched or pure form makes use of stereoselective synthetic procedures, e.g. applying starting material in a stereoisomerically enriched or pure form (for instance using the pure or enriched (R)- or (S)- enantiomer of a particular starting material bearing a chiral center) or utilizing chiral reagents or catalysts, in particular enzymes. In the context of the present invention the term "pure enantiomer" usually refers to a relative purity of one enantiomer over the other (its antipode) of equal to or greater than 95%, preferably ≥ 98 %, more preferably ≥ 98.5%, still more preferably > 99%.
Thus, for example, the compounds of formula (I) which have one or more centers of chirality and which occur as racemates or as mixtures of enatiomers or diastereoisomers can be fractionated or resolved by methods known per se into their optically pure or enriched isomers, i.e. enantiomers or diastereomers. The separation of the compounds of formula (I) can take place by chromatographic methods, e.g. column separation on chiral or nonchiral phases, or by recrystallization from an optionally optically active solvent or by use of an optically active acid or base or by derivatization with an optically active reagent such as, for example, an optically active alcohol, and subsequent elimination of the radical.
In the context of the present invention the term “tautomer” refers to compounds of the present invention that may exist in tautomeric forms and show tautomerism; for instance, carbonyl compounds may be present in their keto and/or their enol form and show keto-enol tautomerism. Those tautomers may occur in their individual forms, e.g., the keto or the enol form, or as mixtures thereof and are claimed separately and together as mixtures in any ratio. The same applies for cis/trans isomers, E/Z isomers, conformers and the like.
In one embodiment the compounds of formula (I) are in the form of free base or acid - as the case may be -, i.e. in their non-salt (or salt-free) form. In another embodiment the compounds of the present invention are in the form of a pharmaceutically acceptable salt, a pharmaceutically acceptable solvate, or a pharmaceutically acceptable solvate of a pharmaceutically acceptable salt.
The term "pharmaceutically acceptable salts" refers to salts prepared from pharmaceutically acceptable bases or acids, including inorganic bases or acids and organic bases or acids. In cases where the compounds of the present invention contain one or more acidic or basic groups, the invention also comprises their corresponding pharmaceutically acceptable salts. Thus, the compounds of the present invention which contain acidic groups, such as carboxyl groups, can be present in salt form, and can be used according to the invention, for example, as alkali metal salts, alkaline earth metal salts, aluminium salts or as ammonium salts. More precise examples of such salts include lithium salts, sodium salts, potassium salts, calcium salts, magnesium salts, barium salts or salts with ammonia or organic amines such as, for example, ethylamine, ethanolamine, diethanolamine, triethanolamine, piperdine, N-methylglutamine or amino acids. These salts are readily available, for instance, by reacting the compound having an acidic group with a suitable base, e.g. lithium hydroxide, sodium hydroxide, sodium propoxide, potassium hydroxide, potassium ethoxide, magnesium hydroxide, calcium hydroxide or barium hydroxide. Other base salts of compounds of the present invention include but are not limited to copper(l), copper(ll), iron(ll), iron (III), manganese(ll) and zinc salts. Compounds of the present invention which contain one or more basic groups, e.g. groups which can be protonated, can be present in salt form, and can be used according to the invention in the form of their addition salts with inorganic or organic acids. Examples of suitable acids include hydrogen chloride, hydrogen bromide, hydrogen iodide, phosphoric acid, sulfuric acid, nitric acid, methanesulfonic acid, p- toluenesulfonic acid, naphthalenedisulfonic acid, sulfoacetic acid, trifluoroacetic acid, oxalic acid, acetic acid, tartaric acid, lactic acid, salicylic acid, benzoic acid, carbonic acid, formic acid, propionic acid, pivalic acid, diethylacetic acid, malonic acid, succinic acid, pimelic acid, fumaric acid, malonic acid, maleic acid, malic acid, embonic acid, mandelic acid, sulfaminic acid, phenylpropionic acid, gluconic acid, ascorbic acid, isonicotinic acid, citric acid, adipic acid, taurocholic acid, glutaric acid, stearic acid, glutamic acid or aspartic acid, and other acids known to the person skilled in the art. The salts which are formed are, inter alia, hydrochlorides, chlorides, hydrobromides, bromides, iodides, sulfates, phosphates, methanesulfonates (mesylates), tosylates, carbonates, bicarbonates, formates, acetates, sulfoacetates, triflates, oxalates, malonates, maleates, succinates, tartrates, malates, embonates, mandelates, fumarates, lactates, citrates, glutarates, stearates, aspartates and glutamates. The stoichiometry of the salts formed from the compounds of the invention may moreover be an integral or non-integral multiple of one.
Compounds of the present invention which contain basic nitrogen-containing groups can be quaternised using agents such as (C1-4 )alkyl halides, for example methyl, ethyl, isopropyl and tert-butyl chloride, bromide and iodide; di( C1-4 )alkyl sulfates, for example dimethyl, diethyl and diamyl sulfate; (C10- C18)alkyl halides, for example decyl, dodecyl, lauryl, myristyl and stearyl chloride, bromide and iodide; and aryl(C1-4 )alkyl halides, for example benzyl chloride and phenethyl bromide. Both water- and oil-soluble compounds according to the invention can be prepared using such salts.
If the compounds of the present invention simultaneously contain acidic and basic groups in the molecule, the invention also includes, in addition to the salt forms mentioned, inner salts or betaines (zwitterions). The respective salts can be obtained by customary methods which are known to a person skilled in the art, for example by contacting these with an organic or inorganic acid or base in a solvent or dispersant, or by anion exchange or cation exchange with other salts. The present invention also includes all salts of the compounds of the present invention which, owing to low physiological compatibility, are not directly suitable for use in pharmaceuticals but which can be used, for example, as intermediates for chemical reactions or for the preparation of pharmaceutically acceptable salts.
There is furthermore intended that a compound of formula (I) includes isotope- labelled forms thereof. An isotope-labelled form of a compound of the formula (I) is identical to this compound apart from the fact that one or more atoms of the compound have been replaced by an atom or atoms having an atomic mass or mass number which differs from the atomic mass or mass number of the atom which usually occurs naturally. Examples of isotopes which are readily commercially available and which can be incorporated into a compound of formula (I) by well-known methods include isotopes of hydrogen, carbon, nitrogen, oxygen, phosphorus, sulfur, fluorine and chlorine, for example2H,3H,13C,14C,15N,18O,17O,31 P,32P,33S,34S,35S,36S,18F and36CI, respectively. A compound of formula (I) or a pharmaceutically acceptable salt therof which contains one or more of the above-mentioned isotopes and/or other isotopes of other atoms is intended to be part of the present invention. An isotope- labelled compound of formula (I) can be used in a number of beneficial ways. For example, an isotope-labelled compound of the present invention into which, for example, a radioisotope, such as3H or14C, has been incorporated is suitable for medicament and/or substrate tissue distribution assays. These radioisotopes, i.e. tritium (3H) and carbon-14 (14C), are particularly preferred owing to simple preparation and excellent detectability. Incorporation of heavier isotopes, for example deuterium (2H), into a compound of formula (I) has therapeutic advantages owing to the higher metabolic stability of this isotope-labelled compound. Higher metabolic stability translates directly into an increased in vivo half-life or lower dosages, which under most circumstances would represent a preferred embodiment of the present invention. An isotope-labelled compound of formula (I) can usually be prepared by carrying out the procedures disclosed in the synthesis schemes and the related description, in the example part and in the preparation part in the present text, replacing a non-isotope-labelled reactant by a readily available isotope-labelled reactant.
Deuterium (2H) can also be incorporated into a compound of formula (I) for the purpose of manipulating the oxidative metabolism of the compound by way of the primary kinetic isotope effect. The primary kinetic isotope effect is a change of the rate for a chemical reaction that results from exchange of isotopic nuclei, which in turn is caused by the change in ground state energies necessary for covalent bond formation after this isotopic exchange. Exchange of a heavier isotope usually results in a lowering of the ground state energy for a chemical bond and thus cause a reduction in the rate in rate-limiting bond breakage. If the bond breakage occurs in or in the vicinity of a saddle-point region along the coordinate of a multi-product reaction, the product distribution ratios can be altered substantially. For explanation: if deuterium is bonded to a carbon atom at a non-exchangeable position, rate differences of kM/kD = 2-7 are typical. If this rate difference is successfully applied to a compound of the formula la and lb that is susceptible to oxidation, the profile of this compound in vivo can be drastically modified and result in improved pharmacokinetic properties. When discovering and developing therapeutic agents, the person skilled in the art attempts to optimise pharmacokinetic parameters while retaining desirable in vitro properties. It is reasonable to assume that many compounds with poor pharmacokinetic profiles are susceptible to oxidative metabolism. In vitro liver microsomal assays currently available provide valuable information on the course of oxidative metabolism of this type, which in turn permits the rational design of deuterated compounds of formula (I) with improved stability through resistance to such oxidative meta-bolism. Significant improvements in the pharmacokinetic profiles of compounds of the formula I are thereby obtained, and can be expressed quantitatively in terms of increases in the in vivo half- life (t1/2), concentration at maximum therapeutic effect (Cmax), area under the dose response curve (AUC), and F; and in terms of reduced clearance, dose and materials costs.
The following is intended to illustrate the above: a compound of formula (I) which has multiple potential sites of attack for oxidative metabolism, for example benzylic hydrogen atoms and hydrogen atoms bonded to a nitrogen atom, is prepared as a series of analogues in which various combinations of hydrogen atoms are replaced by deuterium atoms, so that some, most or all of these hydrogen atoms have been replaced by deuterium atoms. Half-life determinations enable favourable and accurate determination of the extent of the extent to which the improvement in resistance to oxidative metabolism has improved. In this way, it is deter-mined that the half-life of the parent compound can be extended by up to 100% as the result of deuterium-hydrogen exchange of this type.
Deuterium-hydrogen exchange in a compound of the present invention can also be used to achieve a favourable modification of the metabolite spectrum of the starting compound in order to diminish or eliminate undesired toxic metabolites. For example, if a toxic metabolite arises through oxidative carbon- hydrogen (C-H) bond cleavage, it can reasonably be assumed that the deuterated analogue will greatly diminish or eliminate production of the unwanted metabolite, even if the particular oxidation is not a rate-determining step. Further information on the state of the art with respect to deuterium- hydrogen exchange may be found, for example in Hanzlik et al., J. Org. Chem. 55, 3992-3997, 1990, Reider et al., J. Org. Chem. 52, 3326-3334, 1987, Foster, Adv. Drug Res. 14, 1-40, 1985, Gillette et al, Biochemistry 33(10) 2927- 2937, 1994, and Jarman et al. Carcinogenesis 16(4), 683-688, 1995.
The compounds of formula (I) - or any stereoisomer, solvate or tautomer thereof and/or a pharmaceutically acceptable salt of the compound of formula (I) or any of its stereoisomers, solvates or tautomers - have been found to exhibit pharmacological activity by inhibiting monocarboxylate transporters (MCT). Some of the compounds of formula (I) inhibit selectively monocarboxylate transporter isoform 4 (MCT4), i.e. their inhibitory activity on MCT4 is substantially higher than on any other MCT, in particular MCT1. Selectivity assessment is based on cellular activity, considering different cell lines with different MCT4/MCT1 expression levels. For MDA-MB231 cells this ratio is 120 based on mRNA levels (MCT4: 2750; MCT1 : 23). Many compounds of the present invention show low IC50 values even down to single digit nanomolar level in this cell line when measuring lactate efflux inhibition. In SNU-398 cells on the other hand, the ratio is 0.02 (mRNA MCT4: 22; MCT 1 : 874) and the compounds of the present invention typically have IC50 values > 25 mM if they are selective MCT4 inhibitors. These findings support the conclusion that most of the compounds of formula (I) are highly MCT4 selective transporter inhibitors. While there is evidence that selective inhibition of MCT 1 , in particular in highly hypoxic cancer cells, are compensated by cellular upregulating MCT4 which compensation renders the treatment of diseases that are affected by MCT activity with an MCT1 inhibitor ineffective, it is believed that selective inhibition of MCT4 may not be compensated by cellular MCT1 upregulation; this makes selective MCT4 inhibitors useful for the treatment, prevention, suppression and/or amelioration of medicinal conditions or pathologies that are affected by MCT activity. In another embodiment some compounds of formula (I) exhibit both MCT4 and MCT1 inhibitory activity, i.e. a dual inhibitory effect. Without wished to be bound to a particular theory it seems that in particular compounds of formula (l-a), especially those in which R1 is -NHRa or -NRaRb as well as compounds of formula (l-b) are prone to exhibit such dual mode of action. In still another embodiment, compounds of the present invention being MCT4 inhibitors may be combined with other compounds that exhibit MCT1 inhibition, in particular primarily or even selectively, in order to provide for a treatment, prevention, suppression and/or amelioration of medicinal conditions or pathologies that are affected by MCT activity that would benefit from the dual inhibition of both MCT4 and MCT1. Examples of MCT1 inhibitors to combine with the compounds of the present invention are those known as AZD3965 (5-((S)-4-Hydroxy-4-methyl- isoxazolidine-2-carbonyl)-1-isopropyl-3-methyl-6-(3-methyl-5-trifluoromethyl- 1 H-pyrazol-4-ylmethyl)-1 H-thieno[2,3-d]pyrimidine-2,4-dione), BAY-8002 ( 2- (5-Benzenesulfonyl-2-chloro-benzoylamino)-benzoic acid) and those described in J. Med. Chem. 2014, 7317; and ACS Med. Chem. Lett. 2015, 558.
Thus, the compounds of formula (I) being selective MCT4 or dual MCT4 and MCT1 inhibitors are useful in particular in the treatment, prevention, suppression and/or amelioration of hyperproliferative disorders and cancer, more particular adenocarcinoma, adult T-cell leukemia/lymphoma, bladder cancer, blastoma, bone cancer, breast cancer, brain cancer, carcinoma, myeloid sarcoma, cervical cancer, colorectal cancer, esophageal cancer, gastrointestinal cancer, glioblastoma multiforme, glioma, gallbladder cancer, gastric cancer, head and neck cancer, Hodgkin's lymphoma, non-Hodgkin's lymphoma, intestinal cancer, kidney cancer, laryngeal cancer, leukemia, lung cancer, lymphoma, liver cancer, small cell lung cancer, non-small cell lung cancer, mesothelioma, multiple myeloma, ocular cancer, optic nerve tumor, oral cancer, ovarian cancer, pituitary tumor, primary central nervous system lymphoma, prostate cancer, pancreatic cancer, pharyngeal cancer, renal cell carcinoma, rectal cancer, sarcoma, skin cancer, spinal tumor, small intestine cancer, stomach cancer, T-cell lymphoma, testicular cancer, thyroid cancer, throat cancer, urogenital cancer, urothelial carcinoma, uterine cancer, vaginal cancer, Wilms' tumor.
The compounds of formula (I) can be prepared according to the procedures of the following Schemes and Examples, using appropriate materials, and as further exemplified by the following specific examples. They may also be prepared by methods known per se, as described in the literature (for example in standard works, such as Houben-Weyl, Methoden der Organischen Chemie [Methods of Organic Chemistry], Georg Thieme Verlag, Stuttgart; Organic Reactions, John Wiley & Sons, Inc., New York), to be precise under reaction conditions which are known and suitable for the said reactions. Use can also be made of variants which are known per se, but are not mentioned here in greater detail.
Likewise, the starting materials for the preparation of compounds of formula (I) can be prepared by methods as described in the examples or by methods known per se, as described in the literature of synthetic organic chemistry and known to the skilled person, or can be obtained commercially. The starting materials for the processes utilized may, if desired, also be formed in situ by not isolating them from the reaction mixture, but instead immediately converting them further into the compounds of formula (I) or intermediate compounds. On the other hand, in general it is possible to carry out the reaction stepwise.
Preferably, the reaction of the compounds is carried out in the presence of a suitable solvent, which is preferably inert under the respective reaction conditions. Examples of suitable solvents comprise but are not limited to hydrocarbons, such as hexane, petroleum ether, benzene, toluene or xylene; chlorinated hydrocarbons, such as trichlorethylene, 1 ,2-dichloroethane, tetrachloromethane, chloroform or dichloromethane; alcohols, such as methanol, ethanol, isopropanol, n-propanol, n-butanol or tert-butanol; ethers, such as diethyl ether, diisopropyl ether, tetrahydrofuran (THF) or dioxane; glycol ethers, such as ethylene glycol monomethyl or monoethyl ether or ethylene glycol dimethyl ether (diglyme); ketones, such as acetone or butanone; amides, such as acetamide, dimethylacetamide, dimethylformamide (DMF) or N-methyl pyrrolidinone (NMP); nitriles, such as acetonitrile; sulfoxides, such as dimethyl sulfoxide (DMSO); nitro compounds, such as nitromethane or nitrobenzene; esters, such as ethyl acetate, or mixtures of the said solvents or mixtures with water.
The reaction temperature is between about -100° C and 300° C, depending on the reaction step and the conditions used.
Reaction times are generally in the range between a fraction of a minute and several days, depending on the reactivity of the respective compounds and the respective reaction conditions. Suitable reaction times are readily determinable by methods known in the art, for example reaction monitoring. Based on the reaction temperatures given above, suitable reaction times generally lie in the range between 10 minutes and 48 hours.
Moreover, by utilizing the procedures described herein, in conjunction with ordinary skills in the art, additional compounds of the present invention claimed herein can be readily prepared. The compounds illustrated in the examples are not, however, to be construed as forming the only genus that is considered as the invention. The examples further illustrate details for the preparation of the compounds of the present invention. Those skilled in the art will readily understand that known variations of the conditions and processes of the following preparative procedures can be used to prepare these compounds.
As will be understood by the person skilled in the art of organic synthesis compounds of the present invention, in particular compounds of formula (I), are readily accessible by various synthetic routes, some of which are exemplified in the accompanying Experimental Part. The skilled artisan will easily recognize which kind of reagents and reactions conditions are to be used and how they are to be applied and adapted in any particular instance - wherever necessary or useful - in order to obtain the compounds of formula (I). Furthermore, some of the compounds of the present invention can readily be synthesized by reacting other compounds of the present invention under suitable conditions, for instance, by converting one particular functional group being present in a compound of the present invention, or a suitable precursor molecule thereof, into another one by applying standard synthetic methods, like reduction, oxidation, addition or substitution reactions; those methods are well known to the skilled person. Likewise, the skilled artisan will apply - whenever necessary or useful - synthetic protecting (or protective) groups; suitable protecting groups as well as methods for introducing and removing them are well-known to the person skilled in the art of chemical synthesis and are described, in more detail, in, e.g., P.G.M. Wuts, T.W. Greene, “Greene’s Protective Groups in Organic Synthesis”, 4th edition (2006) (John Wiley & Sons).
In the following general synthetic routes that may be utilized to prepare compounds of formula (I) are described in more detail in Schemes A to J. If not specified otherwise all substituents, radicals, residues W, R1. R2, R3, R4, R5, R6, R7, R8. Ra, Rb and A have the same meaning as defined throughout this specification and in the claims for formula (I).
Compounds of formula (I) in which L1 is -NH- or -NRa- and L2 is -SO2- are readily avaibable by the general synthesis depitcted in Scheme A below:
Scheme A
The halogenated aromatic (W = CRW1) or heteroaromatic (W = N) derivative A - which is either commercially available or readily available by synthetic methods well know to the skilled person - may be reacted with the readily available ethynyl-substituted aniline derivative B under typical C-C cross- coupling reaction conditions of, for instance, the Sonogashira reaction, e.g. by subjecting the reaction mixture of A and B in a suitable solvent to Copper-(l)- iodide, a suitable Pd(0) complex, e.g. Pd(0)(bistriphenylphospan)-dichloride, in the presence of a nitrogen base, e.g. triethylamine (TEA) or di- isopropylamine (DIPA), to yield the alkyne C. The amino group of alkyne C may then be reacted with a suitable sulfonyl chloride CI-SO2-A in pyridine and in the presence of dimethylaminopyidine (DMAP) to yield sulfonamide D of the present invention. The carboxylic acid E is easily available via saponifaction of the ester D (with R1 being an alkoxy group).
Alternatively, compounds of formula (I) in which L1 is -NH- or-NRa- and L2 is
-SO
2- may be prepared in accordance with the general synthesis depicted in Scheme B:
Scheme B
Alkyne derivative F is subjected to a C-C-cross coupling reaction with bromo- nitro-substituted phenyl G, for instance, under conditions typical for a Sonogashira reaction as described above for Scheme A, to yield the nitro- substituted compound H which in turn is subjected to a reduction reaction, e.g., with iron powder under heating, to yield the respective amino-substituted compound C. Further reaction as already described for Scheme A then provides the sulfonamide derivatives D and, after optional saponifaction (if R1 is alkoxy), the carboxylic acid E.
As will be understood by the skilled person, sulfonamide derivatives of the compounds of formula (I) in which L1 is -NH- or -NRa- L2 is -SO2- and L3 is a divalent -CH=CH- radical can be obtained by applying the same general procedures depicted in both Schemes A and B but utilizing sulfonylchlorides of general formula CI-SO2-CH=CH-A instead of CI-SO2-A.
Compounds of formula (I) in which L
1 is -CH
2- and L
2 is -SO
2- can be prepared by the general synthesis shown in Scheme C below:
Scheme C
The bromomethyl-substituted bromo-phenyl derivative J is reacted in a nucleophilic substitution reaction with the thiol A-SH, for instance in the presence of potassium carbonate to form thioether K. Compound K is then oxidized my means of hydrogen peroxide to form the sulfone derivative M which is subsequently subjected to a C-C-cross coupling condition (e.g., Sonogashira reaction in a suitable solvent with Copper-(l)-iodide, a suitable Pd(0) complex, e.g. Pd(0)(bistriphenylphospan)-dichloride, and in the presence of a nitrogen base, e.g. triethylamine (TEA) or di-isopropylamine (DIPA)) with the alkyne derivative F to give the compound of the present invention N. If desired, carboxylic acid ester N may be saponified to give the respective carboxylic acid P. Again, if in the first reaction step compound J is reacted with the thiol derivative A-CFI=CFI-SFI rather than A-SFI, then this reaction procedure provides a compound of formula (I) in which L1 is — CH2, L2 is -SO2- and L3 is -CH=CH-.
Compounds of formula (I) in which L
1 is a divalent -N(CHO)- or -N(C(=O)-R
a radical and L
2 is a divalent -CH
2- radical can be prepared by the general synthesis shown in Scheme D below:
Scheme D
Compound Q - which is readily available from the respective alkynylated aniline derivative by formylation/acylation reaction well-known to the skilled person - is reacted with the bromide A-CH
2-Br in the presence of a strong base, e.g., sodium hydride, in a suitable solvent, e.g., DMF, to form compound T. This is subsequently reacted in a C-C-cross coupling reaction (e.g., Sonogashira reaction) with the phenyl-bromide AA to yield the compound of the present invention U. If desired and R
1 is alkoxy, saponifaction of U provides the carboxylic acid V. Alternatively, compounds of formula (I) in which U is a divalent -N(CHO)- radical and L
2 is a divalent -CH
2- radical can be prepared by the general synthesis shown in Scheme E below:
Scheme E
The alkyne derivative F may be reacted with phenyl derivative Y in a C-C-cross coupling reaction (e.g., Sonogashira reaction) to yield compound U, and after optional saponification, compound V of the present invention. Y in turn is available by formylation of the amino group of compound X utilizing formyl acetic acid anhydride.
It will be well understood by the skilled person that compounds of formula (I) in which L1 is a divalent -N(CHO)- or -N(C(=O)-Ra radical, L2 is a divalent - CH2- radical and L3 is a -CH2- radical too can be obtained by applying the syntheses described above in Schemes D and E by utilizing bromides A-CH2- CFl2-Br or a compound X that bears a A-CFI2-CFI2- substituent on the amino functional group rather than a A-CFI2- substituent. Likewise, if in Scheme E X is reacted with a suitable acid anhydride other than formyl acetic acid anhydride, then compounds of formula () with L1 being -N-(C(=O)-Ra) can be obtained.
Compounds of formula (I) in which L
1 is -N(C(=O)-NH
2, -N(C(=O)-NHR
a or - N(C(=O)-NR
aR
b and L
2 is -CH
2- can be obtained by applying the synthetic procedure depicted in Scheme F:
Scheme F
As described above for Scheme A by reacting the halogenated aromatic or heteroaromatic compound A with the alkynylated aniline derivative B under typical C-C-cross coupling reaction conditions alkyne derivative C is obtained. Compound C in turn is subjected to a nucleophilic substitution reaction with bromide A-CH2-Br to give compound Z which is subsequently reacted with a suitable reagent, e.g. chlorosulfonylisocyanate, followed by hydrolysis, to introduce the H2N-C(=O)- radical at the amino group of Z and yield the carbamoyl derivative ZZ. As the skilled person easily recognize by utilizing other suitable reagents than CI-SO2-N=C=0 compounds ZZ with RaHN-C(=O)- or RaRbN-C(=O)- radicals instead of the H2N-C(=O)- radical can be prepared. If R1 is alkoxy, then saponification of the carboxylic ester moiety provides the respective carboxylic acid ZZZ. Again, if C is reacted with bromide A-CH2-CH2- Br rather than A-CH2-Br, compounds of formula (I) in which L1 is -N(C(=O)- NH2, -N(C(=O)-NHRa)- or -N(C(=O)-NRaRb)-, L2 is -CH2- and L3 is -CH2- can be readily obtained. Compounds of formula (I) in which L1 is -CH2- and L2 is -N(CHO)-, - N(C(=O)Ra), -N(C(=O)-NH2)-, -N(C(=O)-NHRa)- or-N(C(=O)-NRaRb)- can be obtained by applying the synthetic procedure depicted in Scheme G below.
Scheme G
Similar to the reaction depicted in Scheme C above, the bromomethyl- substituted bromo-phenyl derivative J is reacted in a nucleophilic substitution reaction with the amine A-NH2 under suitable conditions, e.g. in the presence of a sutiable base, to yield bromo-phenyl derivative KK. Compound KK is in turn subjected to a C-C-cross coupling reaction with alkyne derivative F similar to the C-C-cross coupling reaction described in more detail for Scheme C thereby providing alkyne derivative MM. The secondary amino moiety of MM may then be converted in a formylated or acylated moiety yielding compound NN by utilizing suitable reaction conditions, e.g. using sutiable acid anhydrides. If NN happens to be a carboxylic acid ester, this may then be converted into the respective carboxylic acid by saponification. Alternatively, compound MM may be converted into compound PP be applying reaction conditions described in more detail for Scheme F; again, saponification of the ester function, if present, provides the respective carboxylic acid.
Compounds of formula (I) in which L
1 is a divalent -N= radical, L
2 is a divalent =S(=O)(R
a)- radical and L
3 is a single bond can be obtained by applying the synthetic procedure depicted in Scheme H below.
Scheme H
The halogenated aromatic or heteroaromatic compound A is reacted with alkyne derivative PP under typical C-C-coupling reaction conditions to yield alkyne derivative QQ. This is subjected to a C-N-Coupling reaction with the substituted imino-λ6-sulfanone derivative RR, e.g. in the presence of a base, for instance cesium carbonate, and a suitable catalyst like RuPhos (2- dicyclohexylphosphino-2’,6’-diisopropoxybiphenyl and palladium(ll)acetate, to provide the oxo-λ6-sufanylidene-amino derivative SS of the present invention. If desired and SS is a carboxylic ester, then it can be converted into the corresponding carboxylic acid TT by means saponification. Compounds of formula (I) in which L
1 is a divalent-SO
2- radical, L
2 is a divalent -NH- radical and L
3 is a single bond can be obtained by applying the synthetic procedure depicted in Scheme J below.
Scheme J
Alkyne derivative F and the iodo-phenyl derivative UU are subjected to a C-C- cross coupling reaction to yield alkyne derivative W having a BOC protecting group at the N-atom bearing substituent A. This proctecting is subsequently removed by reacting W with an acid like hydrochloric acid to yield alkyne derivative WW of the present invention (with R1 ≠ OH) or alkyne derivative XX of the present invention (with R1 being OH) if the carboxylic ester is already saponified under these conditions; otherwise saponification can be effected either before or after removing the BOC protecting group. Compounds of formula (I) in which L1 is a divalent-SO2- radical, L2 is a -N(Ra)- radical can be obtained by a synthesis similar to that of Scheme J by utilizing an iodo-phenyl derivative bearing a -S(O2)-N-(Ra)-A group rather than a -S(O2)-NH-A group. Combination product of the invention comprising components (a) and (b) and treatment methods utilizing a combination of components (a) and (b) and/or a combination product of the invention
In one aspect the invention relates to a combination product comprising
(a) an anti-PD-L1 antibody as described herein; and
(b) a compound of formula (I), or any stereoisomer, solvate or tautomer thereof and/or a pharmaceutically acceptable salt of the compound of formula (I) or any of its stereoisomers, solvates or tautomers, as described herein.
In one embodiment the combination product of the present invention comprises components (a) and (b) wherein (a1) the anti-PD-L1 antibody is avelumab; and (b1) the compound of formula (I) is selected from one of the particular embodiments of the compound of formula (I) described herein, i.e. PEO, PE1, PE2, PE3, PE4 and PE5.
In another embodiment the combination product of the present invention comprises components (a) and (b) wherein
(a2) the anti-PD-L1 antibody is avelumab; and
(b2) the compound of formula (I) is 5-{2-[5-chloro-2-(5-ethoxyquinoline-8- sulfonamido)phenyl]ethynyl}-4-methoxypyridine-2-carboxylic acid (Compound 367) or a pharmaceutically acceptable salt thereof.
These combination products of the invention can be utilized in the treatment methods of the invention described herein.
Tumors can evade immune surveillance by exploiting signaling pathways associated with immunosuppression. The immune checkpoint protein PD-L1 is commonly upregulated in tumors and signals through its receptor PD-1 to limit anti-tumor T cell responses by promoting T cell anergy and exhaustion. Similarly, high expression levels of the MCT4 transporter in the tumor microenviroment (TME) (in tumor cells but also in the stroma) are associated with high extracellular lactate levels, suppression of anti-tumor T cell responses and poor prognosis in cancer. Without being bound by any theory, it is assumed that, given the immunosuppressive actions of the PD-1/PD-L1 and MCT4 pathways in cancer, the dual blockade of these pathways enhances anti-tumor immune responses over blockade of either pathway alone. Inhibition of MCT4 by an MCT4 inhibitor of formula (I) decreases or suppresses transport of intracellular lactate, thereby reducing extracellular lactacte levels and thus enhancing T cell activity in the TME and promoting the immune response to the tumor. More importantly, mechanisms of action of MCT4 and PD-L1 -targeting agents according to the invention are found to be complementary on T cells in combination therapy, which enhances anti-tumor activity over either therapy alone. Also, it is known that acidification of the tumor microenvironment interferes with the efficacy of therapeutic antibodies, thus, by decreasing acidification, the efficacy of anti-PD-L1 antibody might be potentiated. Potentiation may be additive, or it may be synergistic. The potentiating effect of the combination therapy is at least additive. It has been surprisingly found that the combination of an anti-PD-L1 antibody with an MCT4 inhibitor of formula (I) results in an improved treatment of a tumor model with high MCT4 expression that induces an escape pathway to immune checkpoint inhibitor treatment.
The present invention arises out of the discovery that the combination of component (a), i.e. the anti-PD-L1 antibody, in particular avelumab, and component (b), i.e. an MCT4 inhibitor of formula (I), in particular 5-{2-[5-chloro- 2-(5-ethoxyquinoline-8-sulfonamido)phenyl]ethynyl}-4-methoxypyridine-2- carboxylic acid (Compound 367), may effectively inhibit or diminish further tumor growth in a subject having cancer. Thus, in one aspect the present invention provides a method comprising administering to the subject an anti- PD-L1 antibody and an MCT4 inhibitor of formula (I) for treating a cancer in a subject in need thereof. Particularly provided is a method for treating an MCT4- positive cancer that induces an escape pathway to immune checkpoint inhibitor treatment in a subject in need thereof, comprising administering to the subject an anti-PD-L1 antibody and an MCT4 inhibitor of formula (I). The anti- PD-L1 antibody and the MCT4 inhibitor of formula (I) are administered in amounts that together are effective in treating cancer. Also provided are methods of inhibiting tumor growth or progression in a subject who has malignant cells. Also provided are methods of inhibiting metastasis of malignant cells in a subject. Also provided are methods of inducing tumor regression in a subject who has malignant cells. The combination treatment results in an objective response, preferably a complete response or partial response in the subject. In another aspect of all the embodiments of this invention, and in combination with any other aspects not inconsistent, the method provides an objective response rate of the patients under the treatment of at least about 20%, at least about 30%, at least about 40% or at least about 50%. The objective response rate is improved in comparison to either therapy with an PD-L1 antagonist or an MCT4 inhibitor of formula (I).
In another aspect the present invention provides a combination product comprising (a) an anti-PD-L1 antibody; and (b) a compound of formula (I).
In some embodiments, the cancer is identified as PD-L1 -positive cancerous disease. In some embodiments, the cancer is identified as an MCT4-positive cancerous disease. In some embodiments, the cancer is an MCT4-positive cancer that induces an escape pathway to checkpoint inhibitor treatment. In some embodiments, the subject suffers from an MCT4-positive cancer whose MCT4 expression level exceeds an MCT4 expression level predetermined prior to administering to the subject the anti-PD-L1 antibody and/or the MCT4 inhibitor of formula (I). Pharmacodynamic analyses show that tumor expression of PD-L1 and/or MCT4 might be predictive of treatment efficacy. According to the invention, the cancer is preferably considered to be PD-L1 positive if between at least 0.1 % and at least 10% of the cells of the cancer have PD-L1 present at their cell surface, more preferably between at least 0.5% and 5%, most preferably at least 1 %. In one embodiment, the PD-L1 expression is determined by immunohistochemistry (IHC). Immunohistochemistry with anti-PD-L1 primary antibodies can be performed on serial cuts of formalin fixed and paraffin embedded specimens from patients treated with a PD-L1 antagonist, such as avelumab, and an MCT4 inhibitor of formula (I).
According to the invention, the cancer is preferably considered to be an MCT4- positive cancer if its MCT4 level exceeds an MCT4 level predetermined prior to administering to a subject the anti-PD-L1 antibody and/or the MCT4 inhibitor of formula (I). The MCT4-positive cancer shows an MCT4 expression that exceeds an MCT4 level predetermined prior to administering to the subject the anti-PD-L1 antibody and/or the MCT4 inhibitor. The addition of an MCT4 inhibitor is particularly beneficial in subjects that show an increase in MCT4 expression compared to a baseline, i.e. , a predetermined value, either due to an innate tumor resistance mechanism or through an expressed tumor resistant mechanism, e.g., as a consequence of the treatment with an immunotherapy agent, such as avelumab. In one embodiment, the cancer is innately resistant to cancer therapy, preferably immunotherapy, more preferably checkpoint inhibitor treatment, or the cancer was resistant or became resistant to prior cancer therapy, preferably immunotherapy, more preferably checkpoint inhibitor treatment, in each case either in part or completely. Upregulation of MCT4 in tumors induces a dominant immune resistant tumor environment and escape pathway to checkpoint inhibitor treatment. In one aspect of the invention, the cancer is an MCT4-positive cancer (having upregulated MCT4 expression) that induces or provides an escape pathway to or escapes checkpoint inhibitor treatment. Such an MCT4- positive cancer suppresses checkpoint inhibitor activity. Inhibition of this pathway, in combination with checkpoint inhibitors, restores and enhances antitumor responses. MCT4 is therefore a useful predictive biomarker for the selection of patients that receive and respond to MCT4 inhibitor / anti-PD-L1 combination therapy. The MCT4 inhibitor may efficiently induce immune cell stimulation and rescue the suppressed activity of anti-PD-L1 antibodies when used in combination therapy in patients with MCT4-high expressing cancers.
The cancer can be a metastatic or locally advanced unresectable solid tumor. Specific types of cancer to be treated according to the invention include, but are not limited to, a cancer selected from malignant melanoma, acute myelogenous leukemia, soft tissue sarcoma, pancreatic, gastric, stomach, colorectal, lung, bladder, prostate, cervical, brain, liver, renal, Merkel cell carcinoma, squamous cell skin, head and neck, endometrial, esophageal, mesothelioma, breast, and ovarian cancers, and histological subtypes thereof. In some embodiments, the cancer is selected from bladder, stomach, mesothelioma, lung, renal, Merkel cell carcinoma, head and neck, ovarian, melanoma cervical, endometrial, esophageal, or breast cancer.
The anti-PD-L1 antibody and the MCT4 inhibitor of formula (I) can be administered in a first-line, second-line or higher treatment of the cancer. In some embodiments, the cancer is resistant to prior cancer therapy. The combination therapy of the invention can also be used in the treatment of a subject with the cancer who has been previously treated with one or more chemo- or immunotherapies, or underwent radiotherapy but failed with any such previous treatment.
In some embodiments, the subject to be treated is human. In some embodiments, the anti-PD-L1 antibody is used in the treatment of a human subject. In some embodiments, PD-L1 is human PD-L1. The main expected benefit in the treatment with the therapeutic combination is a gain in risk/benefit ratio with said antibody, particularly avelumab, for these human patients.
In some embodiments, the anti-PD-L1 antibody mediates antibody-dependent cell-mediated cytotoxicity (ADCC). Nevertheless, such ADCC-mediating anti- PD-L1 antibody is not toxic or does not show increased toxicity. In some embodiments, the anti-PD-L1 antibody shows cross-reactivity in mice and rhesus monkeys. In some preferred embodiments, the anti-PD-L1 antibody is avelumab.
In one embodiment, the anti-PD-L1 antibody is a monoclonal antibody. In one embodiment, the anti-PD-L1 antibody mediates antibody-dependent cell- mediated cytotoxicity (ADCC). In one embodiment, the anti-PD-L1 antibody is a human or humanized antibody. In one embodiment, the anti-PD-L1 antibody is an isolated antibody. In various embodiments, the anti-PD-L1 antibody is characterized by a combination of one or more of the foregoing features, as defined above.
In some embodiment, the anti-PD-L1 antibody is administered intravenously (e.g., as an intravenous infusion) or subcutaneously. Preferably, the anti-PD- L1 antibody is administered as an intravenous infusion. More preferably, the inhibitor is administered for 50-80 minutes. Most preferably, the anti-PD-L1 antibody is administered via intravenous infusion over 50-80 minutes, highly preferably as a one-hour intravenous infusion. In some embodiment, the anti- PD-L1 antibody is administered at a dose of about 10 mg/kg body weight every other week (i.e. , every two weeks, or“Q2W”). In some embodiments, the anti- PD-L1 antibody is administered at a dose of about 800 mg Q2W.
In some aspects, the MCT4 inhibitor of formula (I) is a dual MCT4/MCT1 inhibitor. In some aspects, the MCT4 inhibitor of formula (I) is a selective MCT4 inhibitor. In some aspects, MCT4 inhibitor of formula (I) is 5-{2-[5-chloro-2-(5- ethoxyquinoline-8-sulfonamido)phenyl]ethynyl}-4-methoxypyridine-2- carboxylic acid (Compound 367) or a pharmaceutically acceptable salt thereof. In some embodiments, the MCT4 inhibitor of formula (I) is administered orally. In some embodiments, the MCT4 inhibitor of formula (I) is administered at a dose of about 0.01 to about 200 mg/kg twice daily (i.e., “BID”), e.g., for 3 or 4 weeks. In some embodiments, the MCT4 inhibitor of formula (I) is administered at a dose of about 0.01 mg/kg BID, 0.1 mg/kg BID, 1 mg/kg BID, 10 mg/kg BID, 100 mg/kg BID, 150 mg/kg BID or 200 mg/kg BID. In some embodiments, MCT4 inhibitor of formula (I) inhibitor is administered at a dose of about 10 to about 1000 mg twice daily (i.e. , “BID”), e.g., for 3 or 4 weeks. Preferably, the MCT4 inhibitor of formula (I) is administered at a dose of about 100 mg BID, 200 mg BID, 300 mg BID, 400 mg BID, 500 mg BID, 600 mg BID, 700 mg, 800 mg BID or 900 mg/kg BID.
In one embodiment, the dose for the MCT4 inhibitor of formula (I) is about 0.01 to 200 mg/kg orally BID or about 100 to 900 mg orally BID, and the dose for avelumab is 10 mg/kg IV Q2W or about 800 mg Q2W.
In other embodiments, the anti-PD-L1 antibody and MCT4 inhibitor of formula (I) or the combination product of the invention are used in combination with chemotherapy (CT), radiotherapy (RT) or chemoradiotherapy (CRT). The chemotherapeutic agent can be etoposide, topotecan, irinotecan, fluorouracil, a platin, an anthracycline, and a combination thereof. The radiotherapy can be a treatment given with electrons, photons, protons, alfa-emitters, other ions, radio-nucleotides, boron capture neutrons and combinations thereof. In some embodiments, the radiotherapy comprises about 35-70 Gy / 20-35 fractions.
In various embodiments, the method of the invention is employed as a first, second, third or later line of treatment. A line of treatment refers to a place in the order of treatment with different medications or other therapies received by a patient. First-line therapy regimens are treatments given first, whereas second- or third-line therapy is given after the first-line therapy or after the second-line therapy, respectively. Therefore, first-line therapy is the first treatment for a disease or condition. In patients with cancer, first-line therapy, sometimes referred to as primary therapy or primary treatment, can be surgery, chemotherapy, radiation therapy, or a combination of these therapies. Typically, a patient is given a subsequent chemotherapy regimen (second- or third-line therapy), either because the patient did not show a positive clinical outcome or only showed a sub-clinical response to a first- or second-line therapy or showed a positive clinical response but later experienced a relapse, sometimes with disease now resistant to the earlier therapy that elicited the earlier positive response.
The clinical benefit offered by the therapeutic combination of the invention warrants a first-line setting in cancer patients. Particularly, the combination may become a new standard treatment for patients suffering from a cancer. In another embodiment of the invention, the therapeutic combination of the invention is applied in a later line of treatment, particularly a second-line or higher treatment of the cancer. There is no limitation to the prior number of therapies provided that the subject underwent at least one round of prior cancer therapy. The round of prior cancer therapy refers to a defined schedule/phase for treating a subject with, e.g., one or more immunotherapeutic agents (e.g., an anti-PD-L1 antibody), chemotherapeutic agents (both including and excluding MCT4 and MCT1/4 inhibitors), radiotherapy or chemoradiotherapy, and the subject failed with such previous treatment, which was either completed or terminated ahead of schedule. One reason could be that the cancer was resistant or became resistant to prior therapy. The addition of the MCT4 inhibitor of formula (I) will suppress this mechanism of resistance and restore the effect of the immunotherapy. The set of patients with resistance becomes treatable and shows improved responses.
The current standard of care (SoC) for treating cancer patients often involves the administration of toxic and old chemotherapy regimens. The SoC is associated with high risks of strong adverse events that are likely to interfere with the quality of life (such as secondary cancers). In one embodiment, an anti-PD-L1 antibody / MCT4 inhibitor combination, preferably avelumab and Compound 367, or a pharmaceutically acceptable salt thereof, may be as effective and better tolerated than SoC chemotherapy in patients with cancer resistant to mono- and/or poly-chemotherapy, radiotherapy or chemoradiotherapy. In some embodiments that employ an anti-PD-L1 antibody in the combination therapy, the dosing regimen will comprise administering the anti-PD-L1 antibody, preferably avelumab, at a dose of about 1 , 2, 3, 4, 5, 6, 7, 8, 9, 10, 11 , 12, 13, 14, 15, 16, 17, 18, 19 or 20 mg/kg at intervals of about 14 days (± 2 days) or about 21 days (± 2 days) or about 30 days (± 2 days) throughout the course of treatment. In other embodiments that employ an anti-PD-L1 antibody in the combination therapy, the dosing regimen will comprise administering the anti-PD-L1 antibody at a dose of from about 0.005 mg/kg to about 10 mg/kg, with intra-patient dose escalation. In other escalating dose embodiments, the interval between doses will be progressively shortened, e.g., about 30 days (± 2 days) between the first and second dose, about 14 days (± 2 days) between the second and third doses. In certain embodiments, the dosing interval will be about 14 days (± 2 days), for doses subsequent to the second dose. In certain embodiments, a subject will be administered an intravenous (IV) infusion of a medicament comprising any of the anti-PD-L1 antibody described herein. In some embodiments, the anti-PD-L1 antibody in the combination therapy (and the combination product of the invention) is avelumab, which is administered intravenously at a dose selected from the group consisting of: about 1 mg/kg Q2W (Q2W = one dose every two weeks), about 2 mg/kg Q2W, about 3 mg/kg Q2W, about 5 mg/kg Q2W, about 10 mg/kg Q2W, about 1 mg/kg Q3W (Q3W = one dose every three weeks), about 2 mg/kg Q3W, about 3 mg/kg Q3W, about 5 mg/kg Q3W, and about 10 mg Q3W. In some embodiments of the invention, the anti-PD-L1 antibody in the combination therapy is avelumab, which is administered in a liquid medicament at a dose selected from the group consisting of about 1 mg/kg Q2W, about 2 mg/kg Q2W, about 3 mg/kg Q2W, about 5 mg/kg Q2W, about 10 mg Q2W, about 1 mg/kg Q3W, about 2 mg/kg Q3W, about 3 mg/kg Q3W, about 5 mg/kg Q3W, and about 10 mg Q3W. In some embodiments, a treatment cycle begins with the first day of combination treatment and last for 2 weeks. In such embodiments, the combination therapy (and the combination product of the invention) is preferably administered for at least 12 weeks (6 cycles of treatment), more preferably at least 24 weeks, and even more preferably at least 2 weeks after the patient achieves a CR. In some embodiment, avelumab is administered as a flat dose of about 80, 150, 160, 200, 240, 250, 300, 320, 350, 400, 450, 480, 500, 550, 560, 600, 640, 650, 700, 720, 750, 800, 850, 880, 900, 950, 960, 1000, 1040, 1050, 1100, 1120, 1150, 1200, 1250, 1280, 1300, 1350, 1360, 1400, 1440, 1500, 1520, 1550 or 1600 mg, preferably 800 mg, 1200 mg or 1600 mg at intervals of about 14 days (± 2 days) or about 21 days (± 2 days) or about 30 days (± 2 days) throughout the course of treatment.
In another embodiment, the anti-PD-L1 antibody, preferably avelumab, will be given IV every two weeks. In certain embodiments, the anti-PD-L1 antibody is administered intravenously for 50-80 minutes at a dose of about 10 mg/kg body weight every two weeks. In a more preferred embodiment, the avelumab dose will be 10 mg/kg body weight administered as 1-hour intravenous infusions every 2 weeks (Q2W). Given the variability of infusion pumps from site to site, a time window of minus 10 minutes and plus 20 minutes is permitted. Pharmacokinetic studies demonstrated that the 10 mg/kg dose of avelumab achieves excellent receptor occupancy with a predictable pharmacokinetics profile (see e.g., Heery et al. (2015) Proc ASCO Annual Meeting: abstract 3055). This dose is well tolerated, and signs of antitumor activity, including durable responses, have been observed. Avelumab may be administered up to 3 days before or after the scheduled day of administration of each cycle due to administrative reasons.
In some embodiments, provided methods comprise administering a pharmaceutically acceptable composition comprising the MCT4 inhibitor of formula (I), preferably Compound 367, or a pharmaceutically acceptable salt thereof, one, two, three or four times a day. In some embodiments, a pharmaceutically acceptable composition comprising the MCT4 inhibitor of formula (I), preferably Compound 367, or a pharmaceutically acceptable salt thereof, is administered once daily (“QD” or “qd”), particularly continuously. In some embodiments, a pharmaceutically acceptable composition comprising the MCT4 inhibitor of formula (I), preferably Compound 367, or a pharmaceutically acceptable salt thereof, is administered twice daily, particularly continuously. In some embodiments, twice daily administration refers to a compound or composition that is administered “BID”, or two equivalent doses administered at two different times in one day. In some embodiments, a pharmaceutically acceptable composition comprising the MCT4 inhibitor of formula (I), preferably Compound 367, or a pharmaceutically acceptable salt thereof, is administered three times a day. In some embodiments, a pharmaceutically acceptable composition comprising Compound 367, or a pharmaceutically acceptable salt thereof, is administered “TID”, or three equivalent doses administered at three different times in one day. In some embodiments, a pharmaceutically acceptable composition comprising the MCT4 inhibitor of formula (I), preferably Compound 367, or a pharmaceutically acceptable salt thereof, is administered four times a day. In some embodiments, a pharmaceutically acceptable composition comprising Compound 367, or a pharmaceutically acceptable salt thereof, is administered “QID”, or four equivalent doses administered at four different times in one day. In some embodiments, the MCT4 inhibitor of formula (I), preferably Compound 367, or a pharmaceutically acceptable salt thereof, is administered to a patient under fasted conditions and the total daily dose is any of those contemplated above and herein. In some embodiments, the MCT4 inhibitor of formula (I), preferably Compound 367, or a pharmaceutically acceptable salt thereof, is administered to a patient under fed conditions and the total daily dose is any of those contemplated above and herein. In some embodiments, the MCT4 inhibitor of formula (I), preferably Compound 367, or a pharmaceutically acceptable salt thereof, is administered orally. In some embodiments, the MCT4 inhibitor of formula (I), preferably Compound 367, or a pharmaceutically acceptable salt thereof, will be given orally twice daily. In preferred embodiments, the MCT4 inhibitor of formula (I), preferably Compound 367, or a pharmaceutically acceptable salt thereof, is administered twice daily (BID), at a dose of about 0.01 to about 1000 mg/kg, particularly at a dose of about 0.01 to about 200 mg/kg. In other preferred embodiments, the MCT4 inhibitor of formula (I), preferably Compound 367, or a pharmaceutically acceptable salt thereof, is administered twice daily (BID), at a dose of about 10 to about 1000 mg, particularly at a dose of about 100 to about 900 mg. In more preferred embodiments, the MCT4 inhibitor of formula (I), preferably Compound 367, or a pharmaceutically acceptable salt thereof, is administered twice daily (BID) for 3 to 4 weeks, at a dose of about 0.01 to about 1000 mg/kg, particularly at a dose of about 0.01 to about 200 mg/kg. In other preferred embodiments, the MCT4 inhibitor of formula (I), preferably Compound 367, or a pharmaceutically acceptable salt thereof, is administered twice daily (BID) for 3 to 4 weeks, at a dose of about 10 to about 1000 mg, particularly at a dose of about 100 to about 900 mg.
In certain embodiments, the invention provides a method treatment, as described above, further comprising an additional step of administering to said patient an additional therapeutic agent that is selected from a chemotherapeutic or anti-proliferative agent, an anti-inflammatory agent, an immunomodulatory or immunosuppressive agent, a neurotrophic factor, an agent for treating cardiovascular disease, an agent for treating destructive bone disorders, an agent for treating neurogenerative diseases, an agent for treating metabolic disoriders and diseases, such as diabetes, an anti-viral agent, an agent for treating blood disorders, or an agent for treating immunodeficiency disorders, wherein said additional therapeutic agent is appropriate for the disease being treated.
Concurrent treatment considered necessary for the patient’s well-being may be given at discretion of the treating physician. In some embodiments, the anti- PD-L1 antibody and the MCT4 inhibitor of formula (I) are administered in combination with chemotherapy (CT), radiotherapy (RT), or chemotherapy and radiotherapy (CRT). As described herein, in some embodiments, the present invention provides methods of treating, stabilizing or lessening the severity or progression of one or more diseases or disorders associated with PD-L1 and MCT4 comprising administering to a patient in need thereof an anti-PD-L1 antibody and an MCT4 inhibitor of formula (I) in combination with an additional chemotherapeutic agent. In certain embodiments, the chemotherapeutic agent is selected from the group of etoposide, topotecan, irinotecan, fluorouracil, a platin, an anthracycline, and a combination thereof. In certain embodiments, the chemotherapeutic agent is selected from the group of inhibitors of MCT1 and/or 2, such as AZD3965 and BAY-8002.
In certain embodiments, the additional chemotherapeutic agent is topotecan, etoposide and/or antracycline treatment, either as single cytostatic agent or as part of a doublet or triplet regiment. With such a chemotherapy, the MCT4 inhibitor of formula (I) can be preferably given once or twice daily with the anti- PD-L1 antibody, particularly avelumab, which is given every second week. In cases, in which anthracyclines are used, the treatment with anthracycline is stopped once a maximal life-long accumulative dose has been reached (due to the cardiotoxicity).
In certain embodiments, the additional chemotherapeutic agent is a platin. Platins are platinum-based chemotherapeutic agents. As used herein, the term “platin” is used interchangeably with the term “platinating agent.” Platinating agents are well known in the art. In some embodiments, the platin (or platinating agent) is selected from cisplatin, carboplatin, oxaliplatin, nedaplatin, and satraplatin. In some embodiments, the additional chemotherapeutic is a combination of both of etoposide and a platin. In certain embodiments, the platin is cisplatin. In certain embodiments, the provided method further comprises administration of radiation therapy to the patient. In some embodiments, the additional chemotherapeutic is a combination of both of etoposide and cisplatin.
In certain embodiments, the additional therapeutic agent is selected from daunomycin, doxorubicin, epirubicin, idarubicin, valrubicin, mitoxantrone, paclitaxel, docetaxel and cyclophosphamide. In other embodiments, the additional therapeutic agent is selected from a CTLA4 agent (e.g., ipilimumab (BMS)); GITR agent (e.g., MK-4166 (MSD)); vaccines (e.g., sipuleucel-t (Dendron); or a SoC agent (e.g., radiation, docetaxel, temozolomide (MSD), gemcitibine or paclitaxel). In other embodiments, the additional therapeutic agent is an immune enhancer such as a vaccine, immune-stimulating antibody, immunoglobulin, agent or adjuvant including, but not limited to, sipuleucel-t, BMS-663513 (BMS), CP-870893 (Pfizer/VLST), anti-OX40 (AgonOX), or CDX-1127 (CellDex).
Other cancer therapies or anti-cancer agents that may be used in combination with the inventive agents of the present invention include surgery, radiotherapy (e.g., gamma-radiation, neutron beam radiotherapy, electron beam radiotherapy, proton therapy, brachytherapy, low-dose radiotherapy, and systemic radioactive isotopes), immune response modifiers such as chemokine receptor antagonists, chemokines and cytokines (e.g., interferons, interleukins, tumor necrosis factor (TNF), and GM-CSF)), hyperthermia and cryotherapy, agents to attenuate any adverse effects (e.g. antimetics, steroids, anti-inflammatory agents), and other approved chemotherapeutic drugs.
In certain embodiments, the additional therapeutic agent is selected from an antibiotic, a vasopressor, a steroid, an inotrope, an anti-thrombotic agent, a sedative, opioids or an anesthetic.
In certain embodiments, the additional therapeutic agent is selected from cephalosporins, macrolides, penams, beta-lactamase inhibitors, aminoglycoside antibiotics, fluoroquinolone antibiotics, glycopeptide antibiotics, penems, monobactams, carbapenmems, nitroimidazole antibiotics, lincosamide antibiotics, vasopressors, positive inotropic agents, steroids, benzodiazepines, phenol, alpha2-adrenergic receptor agonists, GABA-A receptor modulators, anti-thrombotic agents, anesthetics or opiods. The MCT4 inhibitor of formula (I), preferably Compound 367, or a pharmaceutically acceptable salt thereof, and compositions thereof in combination with the anti-PD-L1 antibody and additional chemotherapeutic according to methods of the present invention, are administered using any amount and any route of administration effective for treating or lessening the severity of a disorder provided above. The exact amount required will vary from subject to subject, depending on the species, age, and general condition of the subject, the severity of the infection, the particular agent, its mode of administration, and the like.
In some embodiments, provided methods comprise administering a pharmaceutically acceptable composition comprising a chemotherapeutic agent one, two, three or four times a day. In some embodiments, a pharmaceutically acceptable composition comprising a chemotherapeutic agent is administered once daily (“QD”). In some embodiments, a pharmaceutically acceptable composition comprising a chemotherapeutic agent is administered twice daily. In some embodiments, twice daily administration refers to a compound or composition that is administered “BID”, or two equivalent doses administered at two different times in one day. In some embodiments, a pharmaceutically acceptable composition comprising a chemotherapeutic agent is administered three times a day. In some embodiments, a pharmaceutically acceptable composition comprising a chemotherapeutic agent is administered “TID”, or three equivalent doses administered at three different times in one day. In some embodiments, a pharmaceutically acceptable composition comprising a chemotherapeutic agent is administered four times a day. In some embodiments, a pharmaceutically acceptable composition comprising a chemotherapeutic agent is administered “QID”, or four equivalent doses administered at four different times in one day. In some embodiments, a pharmaceutically acceptable composition comprising a chemotherapeutic agent is administered for a various number of days (for example 14, 21 , 28) with a various number of days between treatment (0, 14, 21 , 28). In some embodiments, a chemotherapeutic agent is administered to a patient under fasted conditions and the total daily dose is any of those contemplated above and herein. In some embodiments, a chemotherapeutic agent is administered to a patient under fed conditions and the total daily dose is any of those contemplated above and herein. In some embodiments, a chemotherapeutic agent is administered orally for reasons of convenience. In some embodiments, when administered orally, a chemotherapeutic agent is administered with a meal and water. In another embodiment, the chemotherapeutic agent is dispersed in water or juice (e.g., apple juice or orange juice) and administered orally as a suspension. In some embodiments, when administered orally, a chemotherapeutic agent is administered in a fasted state. A chemotherapeutic agent can also be administered intradermally, intramuscularly, intraperitoneally, percutaneously, intravenously, subcutaneously, intranasally, epidurally, sublingually, intracerebrally, intravaginally, transdermally, rectally, mucosally, by inhalation, or topically to the ears, nose, eyes, or skin. The mode of administration is left to the discretion of the healthcare practitioner, and can depend in-part upon the site of the medical condition.
In certain embodiments, the anti-PD-L1 antibody and the MCT inhibitor of formula (I), preferably Compound 367, or a pharmaceutically acceptable salt thereof, are administered in combination with radiotherapy. In certain embodiments, the radiotherapy comprises about 35-70 Gy / 20-35 fractions. In some embodiments, the radiotherapy is given either with standard fractionation (1 .8 to 2 Gy for day 5 days a week) up to a total dose of 50-70 Gy in once daily. Other fractionation schedules could also be envisioned, for example, a lower dose per fraction but given twice daily with the MCT inhibitor of formula (I) given also twice daily. Higher daily doses over a shorter period of time can also be given. In one embodiment, stereotactic radiotherapy as well as the gamma knife are used. In the palliative setting, other fractionation schedules are also widely used for example 25 Gy in 5 fractions or 30 Gy in 10 fractions. In all cases, avelumab is preferably given every second week. For radiotherapy, the duration of treatment will be the time frame when radiotherapy is given. These interventions apply to treatment given with electrons, photons and protons, alfa-emitters or other ions, treatment with radio-nucleotides, for example, treatment with1311 given to patients with thyroid cancer, as well in patients treated with boron capture neutron therapy.
In some embodiments, the anti-PD-L1 antibody and the MCT4 inhibitor of formula (I) are administered simultaneously, separately or sequentially and in any order. The anti-PD-L1 antibody and the MCT4 inhibitor of formula (I) are administered to the patient in any order (i.e. , simultaneously or sequentially) in separate compositions, formulations or unit dosage forms, or together in a single composition, formulation or unit dosage form. In one embodiment, a method of treating a proliferative disease may comprise administration of a combination of an MCT4 inhibitor of formula (I) and an anti PD-L1 antibody, wherein the individual combination partners are administered simultaneously or sequentially in any order, in jointly therapeutically effective amounts, (for example in synergistically effective amounts), e.g. in daily or intermittently dosages corresponding to the amounts described herein. The individual combination partners of a combination therapy of the invention may be administered separately at different times during the course of therapy or concurrently in divided or single combination forms. Typically, in such combination therapies, the first active component which is at least one MCT4 inhibitor of formula (I), and the anti-PD-L1 antibody are formulated into separate pharmaceutical compositions or medicaments. When separately formulated, the at least two active components can be administered simultaneously or sequentially, optionally via different routes. Optionally, the treatment regimens for each of the active components in the combination have different but overlapping delivery regimens, e.g., daily, twice daily, vs. a single administration, or weekly. The second active component (anti-PD-L1 antibody, preferably avelumab) may be delivered prior to, substantially simultaneously with, or after, the at least one MCT4 inhibitor of formula (I). In certain embodiments, the anti-PD-L1 antibody is administered simultaneously in the same composition comprising the anti-PD-L1 antibody and the MCT4 inhibitor of formula (I). In certain embodiments, the anti-PD-L1 antibody and the MCT4 inhibitor of formula (I) are administered simultaneously in separate compositions, i.e. , wherein the anti-PD-L1 antibody and the MCT4 inhibitor of formula (I) are administered simultaneously each in a separate unit dosage form. It will be appreciated that the anti-PD-L1 antibody and the MCT4 inhibitor of formula (I) are administered on the same day or on different days and in any order as according to an appropriate dosing protocol. The instant invention is therefore to be understood as embracing all such regimens of simultaneous or alternating treatment and the term “administering” is to be interpreted accordingly.
In some embodiments, the method comprises the steps of: (a) under the direction or control of a physician, the subject receiving the PD-L1 antibody prior to first receipt of the MCT4 inhibitor of formula (I); and (b) under the direction or control of a physician, the subject receiving the MCT4 inhibitor of formula (I). In some embodiments, the method comprises the steps of: (a) under the direction or control of a physician, the subject receiving the MCT4 inhibitor of formula (I) prior to first receipt of the PD-L1 antibody; and (b) under the direction or control of a physician, the subject receiving the PD-L1 antibody. In some embodiments, the method comprises the steps of: (a) prescribing the subject to self-administer, and verifying that the subject has self-administered, the PD-L1 antibody prior to first administration of the MCT4 inhibitor of formula (I); and (b) administering the MCT4 inhibitor of formula (I) to the subject. In some embodiments, the method comprises the steps of: (a) prescribing the subject to self-administer, and verifying that the subject has self-administered, the MCT4 inhibitor of formula (I) prior to first administration of the PD-L1 antibody; and (b) administering the PD-L1 antibody to the subject. In some embodiments, the method comprises, after the subject has received the PD- L1 antibody prior to the first administration of the MCT4 inhibitor of formula (I), administering the MCT4 inhibitor of formula (I) to the subject. In some embodiments, the method comprises the steps of: (a) after the subject has received the PD-L1 antibody prior to the first administration of the MCT4 inhibitor of formula (I), determining that an MCT4 level in a cancer sample isolated from the subject exceeds an MCT4 level predetermined prior to the first receipt of the anti-PD-L1 antibody, and (b) administering the MCT4 inhibitor of formula (I) to the subject. In some embodiments, the method comprises the steps of: (a) after the subject has received prior cancer therapy and/or the PD-L1 antibody prior to the first administration of the MCT4 inhibitor of formula (I), determining that an MCT4 level in a cancer sample isolated from the subject exceeds an MCT4 level predetermined prior to the first receipt of the prior cancer therapy and/or the anti-PD-L1 antibody, and (b) administering the MCT4 inhibitor of formula (I) to the subject. In some embodiments, the method comprises, after the subject has received the MCT4 inhibitor of formula (I) prior to first administration of the anti-PD-L1 antibody, administering the anti-PD-L1 antibody to the subject.
In a further aspect, the invention relates to a method for predicting the likelihood that a subject suffering from a cancer, which is a candidate for treatment with an anti-PD-L1 antibody and an MCT4 inhibitor of formula (I), will respond to the treatment, comprising determining the MCT4 expression, e.g., by means of Western Blot analysis, immunostaining (immunohistochemistry, IHC) or determining MCT4 mRNA within a cell or tissue (utilizing techniques like RT-PCR and real-time quantitative RT-PCR) in a sample obtained from the subject, wherein a higher expression, as compared to a predetermined value, indicates that the subject is likely to respond to the treatment. The method is particularly suited to predict the likelihood that a subject suffering from an MCT4-positive cancer, which induces an escape pathway to checkpoint inhibitor treatment and is a candidate for treatment with an anti-PD- L1 antibody and an MCT4 inhibitor of formula (I) will respond to the treatment.
Provided herein is also a pharmaceutical composition comprising an anti-PD- L1 antibody, an MCT4 inhibitor of formula (I), i.e. a combination product of the present invention, and at least a pharmaceutically acceptable carrier, diluent, excipient and/or adjuvant. The anti-PD-L1 antibody and the MCT4 inhibitor of formula (I) can be provided in a single or separate unit dosage forms. Also provided herein is a composition comprising an anti-PD-L1 antibody for use in the treatment of an MCT4-positive cancer that induces an escape pathway to checkpoint inhibitor treatment, wherein the composition is administered in combination with an MCT4 inhibitor of formula (I). Also provided herein is a composition comprising an MCT4 inhibitor of formula (I) for use in the treatment of an MCT4-positive cancer that induces an escape pathway to checkpoint inhibitor treatment, wherein the composition is administered in combination with an anti-PD-L1 antibody.
Also provided herein is an anti-PD-L1 antibody in combination with an MCT4 inhibitor of formula (I) for use as a medicament, particularly for use in the treatment of cancer. Similarly, an MCT4 inhibitor of formula (I) is provided in combination with an anti-PD-L1 antibody for use as a medicament, particularly for use in the treatment of cancer. Also provided is a combination comprising an anti-PD-L1 antibody and an MCT4 inhibitor of formula (I), for any purpose, for use as a medicament (i.e. , a combination for use as a medicament, comprising an anti-PD-L1 antibody and an MCT4 inhibitor of formula (I)), or in the treatment of cancer. The combination of the anti-PD-L1 antibody and the MCT4 inhibitor of formula (I) can be provided in a single or separate unit dosage forms. Also provided is the use of a combination for the manufacture of a medicament for the treatment of cancer, comprising an anti-PD-L1 antibody and an MCT4 inhibitor of formula (I). Also provided herein is a combination for use in the treatment of an MCT4-positive cancer that induces an escape pathway to checkpoint inhibitor treatment, comprising an anti-PD- L1 antibody and an MCT4 inhibitor of formula (I).
As described herein, the invention relates in one aspect to a combination product comprising (a) an anti-PD-L1 antibody, preferably avelumab, and (b) an MCT4 inhibitor of formula (I). This combination product may be in any form suitable for any of its intended uses, e.g., in utilizing it in a treatment method of the invention. Thus, in one embodiment the combination product of the invention is a single product (single unit dosage form) containing both components (a) and (b). In another embodiment the combination product of the invention is provided in separate unit dosage forms thereby allowing concomitant or sequential administering of the different components of the combination product.
In a further aspect, the invention relates to a kit comprising (x) an anti-PD-L1 antibody and (z) a package insert comprising instructions for using the anti- PD-L1 antibody in combination with (y) an MCT4 inhibitor of formula (I) to treat or delay progression of a cancer in a subject. Also provided is a kit comprising an MCT4 inhibitor of formula (I) and a package insert comprising instructions for using the MCT4 inhibitor of formula (I) in combination with an anti-PD-L1 antibody to treat or delay progression of a cancer in a subject. Also provided is a kit comprising (x) an anti-PD-L1 antibody and (y) MCT4 inhibitor of formula (I), and (z) a package insert comprising instructions for using the anti-PD-L1 antibody and the MCT4 inhibitor of formula (I) to treat or delay progression of a cancer in a subject. The kit can comprise a first container, a second container and a package insert, wherein the first container comprises at least one dose of a medicament comprising an anti-PD-L1 antibody, the second container comprises at least one dose of a medicament comprising an MCT4 inhibitor of formula (I), and the package insert comprises instructions for treating the subject for cancer using the medicaments. The instructions can state that the medicaments are intended for use in treating a subject having a cancer that tests positive for PD-L1 and/or MCT4 expression, e.g., by an immunohistochemical (IHC) assay, Western Blot analysis, mRNA determination, FACS or LC/MS/MS. In the various embodiments above, the kit is suited to treat and delay progression of an MCT4-positive cancer that induces an escape pathway to checkpoint inhibitor treatment. Accordingly, the instructions can state that the medicaments are intended for use in treating a subject having a cancer that tests positive for PD-L1 expression, e.g., by an immunohistochemical (IHC) assay. The prior teaching of the present specification concerning the therapeutic combination, including the methods of using it, and all aspects and embodiments thereof, of this section is valid and applicable without restrictions to the medicament, the anti-PD-L1 antibody and/or MCT4 inhibitor of formula (I) for use in the treatment of cancer as well as the combination product, and aspects and embodiments thereof, of this section, if appropriate.
In some embodiments, the present invention provides a pharmaceutically acceptable composition comprising an anti-PD-L1 antibody. In some embodiments, the present invention provides a pharmaceutically acceptable composition comprising an MCT4 inhibitor of formula (I), preferably Compound 367, or a pharmaceutically acceptable salt thereof. In some embodiments, the present invention provides a pharmaceutically acceptable composition of a chemotherapeutic agent. In some embodiments, the present invention provides a pharmaceutical composition comprising an anti-PD-L1 antibody, MCT4 inhibitor of formula (I) and at least a pharmaceutically acceptable excipient or adjuvant. The aforementioned pharmaceutical compositions of the anti-PD-L1 antibody and the MCT4 inhibitor of formula (I) are provided in a single or separate unit dosage forms. In various embodiments described above and below, the anti-PD-L1 antibody is avelumab. In some embodiments, a composition comprising an MCT4 inhibitor of formula (I), preferably Compound 367, or a pharmaceutically acceptable salt thereof, is separate from a composition comprising an anti-PD-L1 antibody, preferably avelumab, and/or a chemotherapeutic agent. In some embodiments, an MCT4 inhibitor of formula (I), preferably Compound 367, or a pharmaceutically acceptable salt thereof, and an anti-PD-L1 antibody, preferably avelumab, and/or a chemotherapeutic agent are present in the same composition. Exemplary pharmaceutically acceptable compositions are described further below and herein.
According to another embodiment, the invention provides a composition comprising an MCT4 inhibitor of formula (I) or a pharmaceutically acceptable derivative thereof and a pharmaceutically acceptable carrier, adjuvant or vehicle. The amount of MCT4 inhibitor of formula (I) in compositions of this invention is such that is effective to modulate MCT4 in a biological sample or in a patient. In certain embodiments, the amount of the MCT4 inhibitor of formula (I) in compositions of this invention is such that is effective to modulate MCT4 in a biological sample or in a patient. In certain embodiments, a composition of this invention is formulated for administration to a patient in need of such composition.
Pharmaceutically acceptable carriers, adjuvants or vehicles that are used in the compositions of this invention include, but are not limited to, ion exchangers, alumina, aluminum stearate, lecithin, serum proteins, such as human serum albumin, buffer substances such as phosphates, glycine, sorbic acid, potassium sorbate, partial glyceride mixtures of saturated vegetable fatty acids, water, salts or electrolytes, such as protamine sulfate, disodium hydrogen phosphate, potassium hydrogen phosphate, sodium chloride, zinc salts, colloidal silica, magnesium trisilicate, polyvinyl pyrrolidone, cellulose- based substances, polyethylene glycol, sodium carboxymethylcellulose, polyacrylates, waxes, polyethylene-polyoxypropylene-block polymers, polyethylene glycol and wool fat.
Compositions of the present invention are administered orally, parenterally, by inhalation spray, topically, rectally, nasally, buccally, vaginally or via an implanted reservoir. The term "parenteral" as used herein includes subcutaneous, intravenous, intramuscular, intra-articular, intra-synovial, intrasternal, intrathecal, intrahepatic, intralesional and intracranial injection or infusion techniques. Preferably, the compositions are administered orally, intraperitoneally or intravenously.
Most preferably, pharmaceutically acceptable compositions of the MCT4 inhibitor of formula (I) are formulated for oral administration. Such formulations may be administered with or without food. Typically, the anti-PD-L1 antibodies (or antigen-binding fragments) according to the invention, preferably avelumab, are incorporated into pharmaceutical compositions suitable for administration to a subject, wherein the pharmaceutical composition comprises the anti-PD-L1 antibodies or antigen- binding fragments thereof, preferably avelumab, and a pharmaceutically acceptable carrier. In many cases, it is preferable to include isotonic agents, for example, sugars, polyalcohols such as mannitol, sorbitol, or sodium chloride in the composition. Pharmaceutically acceptable carriers may further comprise minor amounts of auxiliary substances such as wetting or emulsifying agents, preservatives or buffers, which enhance the shelf life or effectiveness of the anti-PD-L1 antibodies or antigen-binding fragments thereof.
The compositions of the present invention as well as the combination products of the invention may be in a variety of forms. These include, for example, liquid, semi-solid and solid dosage forms, such as liquid solutions (e.g., injectable and infusible solutions), dispersions or suspensions, tablets, pills, powders, liposomes, and suppositories. The preferred form depends on the intended mode of administration and therapeutic application. Typical preferred compositions are in the form of injectable or infusible solutions, such as compositions similar to those used for passive immunization of humans. The preferred mode of administration is parenteral (e.g., intravenous, subcutaneous, intraperitoneal, or intramuscular). In a preferred embodiment, the anti-PD-L1 antibody or antigen-binding fragment thereof, preferably avelumab, is administered by intravenous infusion or injection. In another preferred embodiment, the anti-PD-L1 antibody or antigen-binding fragment thereof, preferably avelumab, is administered by intramuscular or subcutaneous injection.
Therapeutic compositions typically must be sterile and stable under the conditions of manufacture and storage. The composition can be formulated as a solution, microemulsion, dispersion, liposome, or other ordered structure suitable to high drug concentration. Sterile injectable solutions can be prepared by incorporating the active anti-PD-L1 antibody or antigen-binding fragment thereof in the required amount in an appropriate solvent with one or a combination of ingredients enumerated above, as required, followed by filtered sterilization. Generally, dispersions are prepared by incorporating the active ingredient into a sterile vehicle that contains a basic dispersion medium and the required other ingredients from those enumerated above. In the case of sterile powders for the preparation of sterile injectable solutions, the preferred methods of preparation are vacuum drying and freeze-drying that yield a powder of the active ingredient plus any additional desired ingredient from a previously sterile-filtered solution thereof. The proper fluidity of a solution can be maintained, for example, by the use of a coating such as lecithin, by the maintenance of the required particle size in the case of dispersion, and by the use of surfactants. Prolonged absorption of injectable compositions can be brought about by including in the composition an agent that delays absorption, for example, monostearate salts and gelatin.
In one embodiment, avelumab is a sterile, clear, and colorless solution intended for IV administration. The contents of the avelumab vials are non- pyrogenic, and do not contain bacteriostatic preservatives. Avelumab is formulated as a 20 mg/mL solution and is supplied in single-use glass vials, stoppered with a rubber septum and sealed with an aluminum polypropylene flip-off seal. For administration purposes, avelumab must be diluted with 0.9% sodium chloride (normal saline solution). Tubing with in-line, low protein binding 0.2 micron filter made of polyether sulfone (PES) is used during administration.
Further definitions
“About” when used to modify a numerically defined parameter (e.g., the dose of an anti-PD-L1 antibody or an MCT4 inhibitor of formula (I), or the length of treatment time with a combination therapy described herein) means that the parameter may vary by as much as 10% below or above the stated numerical value for that parameter. For example, a dose of about 10 mg/kg may vary between 9 mg/kg and 11 mg/kg.
“Administering” or “administration of” a drug to a patient (and grammatical equivalents of this phrase) refers to direct administration, which may be administration to a patient by a medical professional or may be self- administration, and/or indirect administration, which may be the act of prescribing a drug. E.g., a physician who instructs a patient to self-administer a drug or provides a patient with a prescription for a drug is administering the drug to the patient.
“Antibody” is an immunoglobulin molecule capable of specific binding to a target, such as a carbohydrate, polynucleotide, lipid, polypeptide, etc., through at least one antigen recognition site, located in the variable region of the immunoglobulin molecule. As used herein, the term “antibody” encompasses not only intact polyclonal or monoclonal antibodies, but also, unless otherwise specified, any antigen-binding fragment or antibody fragment thereof that competes with the intact antibody for specific binding, fusion proteins comprising an antigen-binding portion (e.g., antibody- drug conjugates), any other modified configuration of the immunoglobulin molecule that comprises an antigen recognition site, and antibody compositions with poly- epitopic specificity.
Antibody-dependent cell-mediated cytotoxicity" or “ADCC” refers to a form of cytotoxicity in which secreted Ig bound onto Fc receptors (FcRs) present on certain cytotoxic cells (e.g., natural killer (NK) cells, neutrophils, and macrophages) enable these cytotoxic effector cells to bind specifically to an antigen-bearing target cell and subsequently kill the target cell with cytotoxins. The antibodies arm the cytotoxic cells and are required for killing of the target cell by this mechanism. The primary cells for mediating ADCC, the NK cells, express FcyRIII only, whereas monocytes express FcyRI, FcyRII and FcyRIII. Fc expression on hematopoietic cells is summarized in Table 3 on page 464 of Ravetch and Kinet, Annu. Rev. Immunol. 9: 457-92 (1991 ).
“Biomarker” generally refers to biological molecules, and quantitative and qualitative measurements of the same, that are indicative of a disease state. “Prognostic biomarkers” correlate with disease outcome, independent of therapy. For example, tumor hypoxia is a negative prognostic marker - the higher the tumor hypoxia, the higher the likelihood that the outcome of the disease will be negative. “Predictive biomarkers” indicate whether a patient is likely to respond positively to a particular therapy. E.g., FIER2 profiling is commonly used in breast cancer patients to determine if those patients are likely to respond to Flerceptin (trastuzumab, Genentech). “Response biomarkers” provide a measure of the response to a therapy and so provide an indication of whether a therapy is working. For example, decreasing levels of prostate-specific antigen generally indicate that anti-cancer therapy for a prostate cancer patient is working. When a marker is used as a basis for identifying or selecting a patient for a treatment described herein, the marker can be measured before and/or during treatment, and the values obtained are used by a clinician in assessing any of the following: (a) probable or likely suitability of an individual to initially receive treatment(s); (b) probable or likely unsuitability of an individual to initially receive treatment(s); (c) responsiveness to treatment; (d) probable or likely suitability of an individual to continue to receive treatment(s); (e) probable or likely unsuitability of an individual to continue to receive treatment(s); (f) adjusting dosage; (g) predicting likelihood of clinical benefits; or (h) toxicity. As would be well understood by one in the art, measurement of a biomarker in a clinical setting is a clear indication that this parameter was used as a basis for initiating, continuing, adjusting and/or ceasing administration of the treatments described herein.
“Blood” refers to all components of blood circulating in a subject including, but not limited to, red blood cells, white blood cells, plasma, clotting factors, small proteins, platelets and/or cryoprecipitate. This is typically the type of blood which is donated when a human patient gives blood. Plasma is known in the art as the yellow liquid component of blood, in which the blood cells in whole blood are typically suspended. It makes up about 55% of the total blood volume. Blood plasma can be prepared by spinning a tube of fresh blood containing an anti-coagulant in a centrifuge until the blood cells fall to the bottom of the tube. The blood plasma is then poured or drawn off. Blood plasma has a density of approximately 1025 kg/m3 or 1 .025 kg/I.
“Cancer”, “cancerous”, or “malignant” refer to or describe the physiological condition in mammals that is typically characterized by unregulated cell growth. Examples of cancer include but are not limited to, carcinoma, lymphoma, leukemia, blastoma, and sarcoma. More particular examples of such cancers include squamous cell carcinoma, myeloma, small-cell lung cancer, non-small cell lung cancer, glioma, hodgkin's lymphoma, non- hodgkin's lymphoma, acute myeloid leukemia, multiple myeloma, gastrointestinal (tract) cancer, renal cancer, ovarian cancer, liver cancer, lymphoblastic leukemia, lymphocytic leukemia, colorectal cancer, endometrial cancer, kidney cancer, prostate cancer, thyroid cancer, melanoma, chondrosarcoma, neuroblastoma, pancreatic cancer, glioblastoma multiforme, cervical cancer, brain cancer, stomach cancer, bladder cancer, hepatoma, breast cancer, colon carcinoma, Merkel cell carcinoma (MCC), and head and neck cancer.
“Checkpoint inhibitors” refer to a type of immunotherapy that help the immune system respond more strongly to a tumor. These drugs do not target the tumor directly but interfere with the ability of cancer cells to avoid immune system attack, thereby releasing brakes that keep T cells (a type of white blood cell and part of the immune system) from killing cancer cells. Non-limiting examples of checkpoint inhibitors are immune checkpoint inhibitors, such as antibodies against CTLA-4, PD-1 (e.g., nivolumab) or PD-L1 (e.g., atezolizumab, durvalumab, and avelumab). “Chemotherapy” is a therapy involving a chemotherapeutic agent, which is a chemical compound useful in the treatment of cancer. Examples of chemotherapeutic agents include alkylating agents such as thiotepa and cyclophosphamide; alkyl sulfonates such as busulfan, improsulfan, and piposulfan; aziridines such as benzodopa, carboquone, meturedopa, and uredopa; ethylenimines and methylamelamines including altretamine, triethylenemelamine, trietylenephosphoramide, triethiylenethiophosphor- amide, and trimethylolomelamine; MCT1 and/or MCT1/2 and/or MCT1/4 inhibitors, such as AZD3965, BAY-8002, diclofenac, and syrosingopine; acetogenins (especially bullatacin and bullatacinone); delta-9- tetrahydrocannabinol (dronabinol); beta-lapachone; lapachol; colchicines; betulinic acid; a camptothecin (including the synthetic analogue topotecan (CPT-11 (irinotecan), acetylcamptothecin, scopolectin, and 9- aminocamptothecin); bryostatin; pemetrexed; callystatin; CC-1065 (including its adozelesin, carzelesin, and bizelesin synthetic analogues); podophyllotoxin; podophyllinic acid; teniposide; cryptophycins (particularly, cryptophycin 1 and cryptophycin 8); dolastatin; duocarmycin (including the synthetic analogues KW-2189 and CB1-TM1); eleutherobin; pancratistatin; TLK- 286; CDP323, an oral alpha-4 integrin inhibitor; a sarcodictyin; statins, such as lovastatin, simvastatin, pravastatin, Fluvastatin, atorvastatin, rosuvastatin, pitavastatin, cerivastatin; spongistatin; nitrogen mustards such as chlorambucil, chlornaphazine, cholophosphamide, estramustine, ifosfamide, mechlorethamine, mechlorethamine oxide hydrochloride, melphalan, novembichin, phenesterine, prednimustine, trofosfamide, and uracil mustard; nitrosureas such as carmustine, chlorozotocin, fotemustine, lomustine, nimustine, and ranimnustine; antibiotics such as the enediyne antibiotics (e.g., calicheamicin, especially calicheamicin gammall and calicheamicin omegall); dynemicin including dynemicin A; an esperamicin; as well as neocarzinostatin chromophore and related chromoprotein enediyne antibiotic chromophores, aclacinomysins, actinomycin, authramycin, azaserine, bleomycins, cactinomycin, carabicin, carminomycin, carzinophilin, chromomycinis, dactinomycin, daunorubicin, detorubicin, 6-diazo-5-oxo-L- norleucine, doxorubicin (including morpholino-doxorubicin, cyanomorpholino- doxorubicin, 2-pyrrolino-doxorubicin, doxorubicin HCI liposome injection, and deoxydoxorubicin), epirubicin, esorubicin, idarubicin, marcellomycin, mitomycins such as mitomycin C, mycophenolic acid, nogalamycin, olivomycins, peplomycin, potfiromycin, puromycin, quelamycin, rodorubicin, streptonigrin, streptozocin, tubercidin, ubenimex, zinostatin, and zorubicin; anti-metabolites such as methotrexate, gemcitabine, tegafur, capecitabine, an epothilone, and 5-fluorouracil (5-FU); folic acid analogues such as denopterin, methotrexate, pteropterin, and trimetrexate; purine analogs such as fludarabine, 6-mercaptopurine, thiamiprine, and thioguanine; pyrimidine analogs such as ancitabine, azacitidine, 6-azauridine, carmofur, cytarabine, dideoxyuridine, doxifluridine, enocitabine, floxuridine, and imatinib (a 2- phenylaminopyrimidine derivative), as well as other c-Kit inhibitors; anti- adrenals such as aminoglutethimide, mitotane, and trilostane; folic acid replenisher such as frolinic acid; aceglatone; aldophosphamide glycoside; aminolevulinic acid; eniluracil; amsacrine; bestrabucil; bisantrene; edatraxate; defofamine; demecolcine; diaziquone; elfornithine; elliptinium acetate; etoglucid; gallium nitrate; hydroxyurea; lentinan; lonidainine; maytansinoids such as maytansine and ansamitocins; mitoguazone; mitoxantrone; mopidanmol; nitraerine; pentostatin; phenamet; pirarubicin; losoxantrone; 2- ethylhydrazide; procarbazine; PSK polysaccharide complex (JHS Natural Products, Eugene, OR); razoxane; rhizoxin; sizofiran; spirogermanium; tenuazonic acid; triaziquone; 2,2',2"-trichlorotriethylamine; trichothecenes (especially, T-2 toxin, verracurin A, roridin A, and anguidine); urethan; vindesine; dacarbazine; mannomustine; mitobronitol; mitolactol; pipobroman; gacytosine; arabinoside ('Ara-C"); thiotepa; taxoids, e.g., paclitaxel, albumin- engineered nanoparticle formulation of paclitaxel, and doxetaxel; chloranbucil; 6-thioguanine; mercaptopurine; methotrexate; platinum analogs such as cisplatin and carboplatin; vinblastine; platinum; etoposide (VP-16); ifosfamide; mitoxantrone; vincristine; oxaliplatin; leucovovin; vinorelbine; novantrone; edatrexate; daunomycin; aminopterin; ibandronate; topoisomerase inhibitor RFS 2000; difluoromethylornithine (DMFO); retinoids such as retinoic acid; pharmaceutically acceptable salts, acids or derivatives of any of the above; as well as combinations of two or more of the above such as CFIOP, an abbreviation for a combined therapy of cyclophosphamide, doxorubicin, vincristine and prednisolone, or FOLFOX, an abbreviation for a treatment regimen with oxaliplatin combined with 5-FU and leucovovin.
“Combination” or “combination product” as used herein refers to the provision of a first active modality in addition to another active modality. Contemplated with the scope of the combinations described herein, are any regimen of combination modalities or partners (i.e. , active compounds, components or agents), such as a combination of an MCT4 inhibitor of formula (I) and an PD- L1 antagonist, encompassed in single or multiple compositions. It is understood that any modalities within a single composition, formulation or unit dosage form (i.e., a fixed-dose combination) must have the identical dose regimen and route of delivery. It is not intended to imply that the modalities must be formulated for delivery together (e.g., in the same composition, formulation or unit dosage form). The combined modalities can be manufactured and/or formulated by the same or different manufacturers. The combination partners may thus be, e.g., entirely separate pharmaceutical dosage forms or pharmaceutical compositions that are also sold independently of each other.
"Combination therapy", “in combination with” or “in conjunction with” as used herein denotes any form of concurrent, parallel, simultaneous, sequential or intermittent treatment with at least two distinct treatment modalities (i.e., compounds, components, targeted agents or therapeutic agents). As such, the terms refer to administration of one treatment modality before, during, or after administration of the other treatment modality to the subject. The modalities in combination can be administered in any order. The therapeutically active modalities are administered together (e.g., simultaneously in the same or separate compositions, formulations or unit dosage forms) or separately (e.g., on the same day or on different days and in any order as according to an appropriate dosing protocol for the separate compositions, formulations or unit dosage forms) in a manner and dosing regimen prescribed by a medical care taker or according to a regulatory agency. In general, each treatment modality will be administered at a dose and/or on a time schedule determined for that treatment modality. Optionally, three or more modalities may be used in a combination therapy. Additionally, the combination therapies provided herein may be used in conjunction with other types of treatment. For example, other anti-cancer treatment may be selected from the group consisting of chemotherapy, immunotherapy, surgery, radiotherapy (radiation) and/or hormone therapy, amongst other treatments associated with the current standard of care for the subject.
“Comprising”, as used herein, is intended to mean that the compositions and methods include the recited elements, but not excluding others. “Consisting essentially of”, when used to define compositions and methods, shall mean excluding other elements of any essential significance to the composition or method. “Consisting of” shall mean excluding more than trace elements of other ingredients for claimed compositions and substantial method steps. Embodiments defined by each of these transition terms are within the scope of this invention. Accordingly, it is intended that the methods and compositions can include additional steps and components (comprising) or alternatively including steps and compositions of no significance (consisting essentially of) or alternatively, intending only the stated method steps or compositions (consisting of).
“Dose” and “dosage” refer to a specific amount of active or therapeutic agents for administration. Such amounts are included in a “dosage form,” which refers to physically discrete units suitable as unitary dosages for human subjects and other mammals, each unit containing a predetermined quantity of active agent calculated to produce the desired onset, tolerability, and therapeutic effects, in association with one or more suitable pharmaceutical excipients such as carriers.
"Enhancing T-cell function" means to induce, cause or stimulate a T-cell to have a sustained or amplified biological function, or renew or reactivate exhausted or inactive T-cells. Examples of enhancing T-cell function include: increased secretion of interferon-gamma, IL-2, TNFalpha from CD8+ T-cells, increased proliferation, increased antigen responsiveness (e.g., viral, pathogen, or tumor clearance) relative to such levels before the intervention. In one embodiment, the level of enhancement is as least 50%, alternatively 60%, 70%, 80%, 90%, 100%, 1 20%, 150%, 200%. The manner of measuring this enhancement is known to one of ordinary skill in the art.
“Fc” is a fragment comprising the carboxy-terminal portions of both FI chains held together by disulfides. The effector functions of antibodies are determined by sequences in the Fc region, the region which is also recognized by Fc receptors (FcR) found on certain cell types.
"Functional fragments" of the antibodies of the invention comprise a portion of an intact antibody, generally including the antigen-binding or variable region of the intact antibody or the Fc region of an antibody which retains or has modified FcR binding capability. Examples of functional antibody fragments include linear antibodies, single-chain antibody molecules, and multi-specific antibodies formed from antibody fragments.
"Fv" is the minimum antibody fragment, which contains a complete antigen- recognition and antigen-binding site. This fragment consists of a dimer of one heavy- and one light-chain variable region domain in tight, non-covalent association. From the folding of these two domains emanate six hypervariable loops (3 loops each from the FI and L chain) that contribute the amino acid residues for antigen binding and confer antigen-binding specificity to the antibody. Flowever, even a single variable domain (or half of an Fv comprising only three HVRs specific for an antigen) has the ability to recognize and bind antigen, although at a lower affinity than the entire binding site.
"Human antibody" is an antibody that possesses an amino-acid sequence corresponding to that of an antibody produced by a human and/or has been made using any of the techniques for making human antibodies as disclosed herein. This definition of a human antibody specifically excludes a humanized antibody comprising non-human antigen-binding residues. Human antibodies can be produced using various techniques known in the art, including phage- display libraries (see e.g., Hoogenboom and Winter (1991 ), JMB 227: 381 ; Marks et al. (1991 ) JMB 222: 581 ). Also available for the preparation of human monoclonal antibodies are methods described in Cole et al. (1985) Monoclonal Antibodies and Cancer Therapy, Alan R. Liss, page 77; Boerner et al. (1991 ), J. Immunol 147(1): 86; van Dijk and van de Winkel (2001 ) Curr. Opin. Pharmacol 5: 368). Human antibodies can be prepared by administering the antigen to a transgenic animal that has been modified to produce such antibodies in response to antigenic challenge but whose endogenous loci have been disabled, e.g., immunized xenomice (see e.g., U.S. Pat. Nos. 6,075,181 ; and 6,150,584 regarding XENOMOUSE technology). See also, for example, Li et al. (2006) PNAS USA, 103: 3557, regarding human antibodies generated via a human B-cell hybridoma technology.
"Humanized" forms of non-human (e.g., murine) antibodies are chimeric antibodies that contain minimal sequence derived from non-human immunoglobulin. In one embodiment, a humanized antibody is a human immunoglobulin (recipient antibody) in which residues from an HVR of the recipient are replaced by residues from an HVR of a non-human species (donor antibody) such as mouse, rat, rabbit, or non-human primate having the desired specificity, affinity and/or capacity. In some instances, framework ("FR") residues of the human immunoglobulin are replaced by corresponding non-human residues. Furthermore, humanized antibodies may comprise residues that are not found in the recipient antibody or in the donor antibody. These modifications may be made to further refine antibody performance, such as binding affinity. In general, a humanized antibody will comprise substantially all of at least one, and typically two, variable domains, in which all or substantially all of the hypervariable loops correspond to those of a non-human immunoglobulin sequence, and all or substantially all of the FR regions are those of a human immunoglobulin sequence, although the FR regions may include one or more individual FR residue substitutions that improve antibody performance, such as binding affinity, isomerization, immunogenicity, etc. The number of these amino acid substitutions in the FR are typically no more than 6 in the FI chain, and no more than 3 in the L chain. The humanized antibody optionally will also comprise at least a portion of an immunoglobulin constant region (Fc), typically that of a human immunoglobulin. For further details, see e.g., Jones et al. (1986) Nature 321 : 522; Riechmann et al. (1988), Nature 332: 323; Presta (1992) Curr. Op. Struct. Biol. 2: 593; Vaswani and Flamilton (1998), Ann. Allergy, Asthma & Immunol. 1 : 105; Harris (1995) Biochem. Soc. Transactions 23: 1035; Hurle and Gross (1994) Curr. Op. Biotech. 5: 428; and U.S. Pat. Nos. 6,982,321 and 7,087,409.
"Immunoglobulin" (Ig) is used interchangeably with "antibody" herein. The basic 4-chain antibody unit is a heterotetrameric glycoprotein composed of two identical light (L) chains and two identical heavy (FI) chains. An IgM antibody consists of 5 of the basic heterotetramer units along with an additional polypeptide called a J chain, and contains 10 antigen binding sites, while IgA antibodies comprise from 2-5 of the basic 4-chain units which can polymerize to form polyvalent assemblages in combination with the J chain. In the case of IgGs, the 4-chain unit is generally about 150,000 Daltons. Each L chain is linked to an FI chain by one covalent disulfide bond, while the two FI chains are linked to each other by one or more disulfide bonds depending on the FI chain isotype. Each FI and L chain also has regularly spaced intra-chain disulfide bridges. Each FI chain has, at the N-terminus, a variable domain (VH) followed by three constant domains (CH) for each of the a and g chains and four CH domains for m and e isotypes. Each L chain has at the N-terminus, a variable domain (VL) followed by a constant domain at its other end. The VL is aligned with the VH and the CL is aligned with the first constant domain of the heavy chain (CH1 ). Particular amino acid residues are believed to form an interface between the light chain and heavy chain variable domains. The pairing of a VH and VL together forms a single antigen-binding site. For the structure and properties of the different classes of antibodies, see e.g., Basic and Clinical Immunology, 8th Edition, Sties et al. (eds.), Appleton & Lange, Norwalk, CT, 1994, page 71 and Chapter 6. The L chain from any vertebrate species can be assigned to one of two clearly distinct types, called kappa and lambda, based on the amino acid sequences of their constant domains. Depending on the amino acid sequence of the constant domain of their heavy chains (CH), immunoglobulins can be assigned to different classes or isotypes. There are five classes of immunoglobulins: IgA, IgD, IgE, IgG and IgM, having heavy chains designated a, d, e, g and m, respectively. The g and a classes are further divided into subclasses on the basis of relatively minor differences in the CH sequence and function, e.g., humans express the following subclasses: lgG1 , lgG2A, lgG2B, lgG3, lgG4, lgA1 , and lgK1.
"Immunotherapy" refers to the treatment of a subject by a method comprising inducing, enhancing, suppressing, or otherwise modifying an immune response, including checkpoint inhibitor treatment.
"Infusion" or "infusing" refers to the introduction of a drug-containing solution into the body through a vein for therapeutic purposes. Generally, this is achieved via an intravenous bag.
“Isolated” refers to molecules or biological or cellular materials being substantially free from other materials. In one aspect, the term “isolated” refers to nucleic acid, such as DNA or RNA, or protein or polypeptide, or cell or cellular organelle, or tissue or organ, separated from other DNAs or RNAs, or proteins or polypeptides, or cells or cellular organelles, or tissues or organs, respectively, that are present in the natural source. The term “isolated” also refers to a nucleic acid or peptide that is substantially free of cellular material, viral material, or culture medium when produced by recombinant DNA techniques, or chemical precursors or other chemicals when chemically synthesized. Moreover, an “isolated nucleic acid” is meant to include nucleic acid fragments which are not naturally occurring as fragments and would not be found in the natural state. The term “isolated” is also used herein to refer to polypeptides which are isolated from other cellular proteins and is meant to encompass both purified and recombinant polypeptides. The term “isolated” is also used herein to refer to cells or tissues that are isolated from other cells or tissues and is meant to encompass both cultured and engineered cells or tissues. For example, an "isolated antibody” is one that has been identified, separated and/or recovered from a component of its production environment (e.g., natural or recombinant). Preferably, the isolated polypeptide is free of association with all other components from its production environment. Contaminant components of its production environment, such as that resulting from recombinant transfected cells, are materials that would typically interfere with research, diagnostic or therapeutic uses for the antibody, and may include enzymes, hormones, and other proteinaceous or non-proteinaceous solutes. In preferred embodiments, the polypeptide will be purified: (1 ) to greater than 95% by weight of antibody as determined by, for example, the Lowry method, and in some embodiments, to greater than 99% by weight; (1 ) to a degree sufficient to obtain at least 15 residues of N-terminal or internal amino acid sequence by use of a spinning cup sequenator, or (3) to homogeneity by SDS- PAGE under non-reducing or reducing conditions using Coomassie blue or, preferably, silver stain. The “isolated antibody” includes the antibody in-situ within recombinant cells since at least one component of the antibody's natural environment will not be present. Ordinarily, however, an isolated polypeptide or antibody will be prepared by at least one purification step.
“MCT4 expression” as used herein means any detectable level of expression of MCT4 protein or of MCT4 mRNA within a cell or tissue, in particular in the cell membrane (plasma membrane). MCT4 protein expression may be detected by various methods, e.g., detection with an MCT4 specific antibody in an IHC assay of a tumor tissue section (T. A. Adams, et al. , Modern Pathology (2018) 31 , 288-298; A. K. Witkiewicz, et al., Cell Cycle 11 :6 11 OS- 1117 (2012)); or Western blot analysis (K. Renner, et al., 2019, Cell Reports 29, 135-150; A. Tasdogan, et al., Nature 2020, 577 (7788) 115-120); or with fluorescence-activated cell sorting (FACS) flow cytometry. Techniques for detecting and measuring MCT4 mRNA expression include RT-PCR and real- time quantitative RT-PCR.
"MCT4 inhibitor" refers to a compound that has a biological effect to inhibit or significantly reduce or down-regulate the expression of the gene encoding for MCT4 and/or the expression of MCT4 and/or the biological activity of MCT4.
“MCT4-positive cancer”, including a “MCT4-positive” cancerous disease, is one comprising cells, which have MCT4 present in their cells (in particular in their cell membrane). The term “MCT4-positive” also refers to a cancer that produces sufficient levels of MCT4 in the cells thereof, such that an MCT4 inhibitor has a therapeutic effect, mediated by the binding of the said MCT4 inhibitor to MCT4.
"Metastatic" cancer refers to cancer which has spread from one part of the body (e.g., the lung) to another part of the body.
"Monoclonal antibody", as used herein, refers to an antibody obtained from a population of substantially homogeneous antibodies, i.e. , the individual antibodies comprising the population are identical except for possible naturally occurring mutations and/or post-translation modifications (e.g., isomerizations and amidations) that may be present in minor amounts. Monoclonal antibodies are highly specific, being directed against a single antigenic site. In contrast to polyclonal antibody preparations, which typically include different antibodies directed against different determinants (epitopes), each monoclonal antibody is directed against a single determinant on the antigen. In addition to their specificity, the monoclonal antibodies are advantageous in that they are synthesized by the hybridoma culture and uncontaminated by other immunoglobulins. The modifier "monoclonal" indicates the character of the antibody as being obtained from a substantially homogeneous population of antibodies, and is not to be construed as requiring production of the antibody by any particular method. For example, the monoclonal antibodies to be used in accordance with the present invention may be made by a variety of techniques, including, for example, the hybridoma method (e.g., Kohler and Milstein (1975) Nature 256: 495; Hongo et al. (1995) Hybridoma 14 (3): 253; Harlow et al. (1988) Antibodies: A Laboratory Manual (Cold Spring Harbor Laboratory Press, 2nd ed.; Hammerling et al. (1981 ) In: Monoclonal Antibodies and T-Cell Hybridomas 563 (Elsevier, N.Y.), recombinant DNA methods (see e.g., U.S. Patent No. 4,816,567), phage-display technologies (see e.g., Clackson et al. (1991 ) Nature 352: 624; Marks et al. (1992) JMB 222: 581 ; Sidhu et al. (2004) JMB 338(2): 299; Lee et al. (2004) JMB 340(5): 1073; Fellouse (2004) PNAS USA 101 (34): 12467; and Lee et al. (2004) J. Immunol. Methods 284(1-2): 119), and technologies for producing human or human-like antibodies in animals that have parts or all of the human immunoglobulin loci or genes encoding human immunoglobulin sequences (see e.g., WO 1998/24893; WO 1996/34096; WO 1996/33735; WO 1991/10741 ; Jakobovits et al. (1993) PNAS USA 90: 2551 ; Jakobovits et al. (1993) Nature 362: 255; Bruggemann et al. (1993) Year in Immunol. 7: 33; U.S. Patent Nos. 5,545,807; 5,545,806; 5,569,825; 5,625,126; 5,633,425; and 5,661 ,016; Marks et al. (1992) Bio/Technology 10: 779; Lonberg et al. (1994) Nature 368: 856; Morrison (1994) Nature 368: 812; Fishwild et al. (1996) Nature Biotechnol. 14: 845; Neuberger (1996), Nature Biotechnol. 14: 826; and Lonberg and Huszar (1995), Intern. Rev. Immunol. 13: 65-93). The monoclonal antibodies herein specifically include chimeric antibodies (immunoglobulins) in which a portion of the heavy and/or light chain is identical with or homologous to corresponding sequences in antibodies derived from a particular species or belonging to a particular antibody class or subclass, while the remainder of the chain(s) is (are) identical with or homologous to corresponding sequences in antibodies derived from another species or belonging to another antibody class or subclass, as well as fragments of such antibodies, so long as they exhibit the desired biological activity (see e.g., U.S. Patent No. 4,816,567; Morrison et al. (1984) PNAS USA, 81 : 6851 ).
"Objective response" refers to a measurable response, including complete response (CR) or partial response (PR).
“Patient” and “subject” are used interchangeably herein to refer to a mammal in need of treatment for a cancer. Generally, the patient is a human diagnosed or at risk for suffering from one or more symptoms of a cancer. In certain embodiments a “patient” or “subject” may refer to a non-human mammal, such as a non-human primate species, a dog, cat, rabbit, pig, cow; rodents, including mouse, rat or hamster, or animals used in screening, characterizing, and evaluating drugs and therapies.
“PD-L1 expression” as used herein means any detectable level of expression of PD-L1 protein on the cell surface or of PD-L1 mRNA within a cell or tissue. PD-L1 protein expression may be detected with a diagnostic PD-L1 antibody in an IHC assay of a tumor tissue section or by flow cytometry. Alternatively, PD-L1 protein expression by tumor cells may be detected by PET imaging, using a binding agent (e.g., antibody fragment, affibody and the like) that specifically binds to PD-L1. Techniques for detecting and measuring PD-L1 mRNA expression include RT-PCR and real-time quantitative RT-PCR.
“PD-L1 -positive” cancer, including a “PD-L1 -positive” cancerous disease, is one comprising cells, which have PD-L1 present at their cell surface. The term “PD-L1 -positive” also refers to a cancer that produces sufficient levels of PD- L1 at the surface of cells thereof, such that an anti-PD-L1 antibody has a therapeutic effect, mediated by the binding of the said anti-PD-L1 antibody to PD-L1 . "Pharmaceutically acceptable" indicates that the substance or composition must be compatible chemically and/or toxicologically, with the other ingredients comprised in a formulation, and/or the mammal being treated therewith. In other words, the substance or composition must be chemically and/or toxicologically suitable for the treatment of mammals.
“Pharmaceutically acceptable adjuvant” refers to any and all substances which enhance the body’s immune response to an antigen. Non-limiting examples of pharmaceutically acceptable adjuvants are: Alum, Freund’s Incomplete Adjuvant, MF59, synthetic analogs of dsRNA such as poly(l:C), bacterial LPS, bacterial flagellin, imidazolquinolines, oligodeoxynucleotides containing specific CpG motifs, fragments of bacterial cell walls such as muramyl dipeptide and Quil-A®.
"Pharmaceutically acceptable carrier" or “pharmaceutically acceptable diluent” means any and all solvents, dispersion media, coatings, antibacterial and antifungal agents, isotonic and absorption delaying agents, compatible with pharmaceutical administration. Examples of pharmaceutically acceptable carriers include one or more of water, saline, phosphate buffered saline, dextrose, glycerol, ethanol and the like, as well as combinations thereof. The use of such media and agents for pharmaceutically active substances is well known in the art. Acceptable carriers, excipients, or stabilizers are nontoxic to recipients at the dosages and concentrations employed and, without limiting the scope of the present invention, include: additional buffering agents; preservatives; co-solvents; antioxidants, including ascorbic acid and methionine; chelating agents such as EDTA; metal complexes (e.g., Zn-protein complexes); biodegradable polymers, such as polyesters; salt-forming counterions, such as sodium, polyhydric sugar alcohols; amino acids, such as alanine, glycine, glutamine, asparagine, histidine, arginine, lysine, ornithine, leucine, 2-phenylalanine, glutamic acid, and threonine; organic sugars or sugar alcohols, such as lactitol, stachyose, mannose, sorbose, xylose, ribose, ribitol, myoinisitose, myoinisitol, galactose, galactitol, glycerol, cyclitols (e.g., inositol), polyethylene glycol; sulfur containing reducing agents, such as urea, glutathione, thioctic acid, sodium thioglycolate, thioglycerol, [alpha]- monothioglycerol, and sodium thio sulfate; low molecular weight proteins, such as human serum albumin, bovine serum albumin, gelatin, or other immunoglobulins; and hydrophilic polymers, such as polyvinylpyrrolidone. Other pharmaceutically acceptable carriers, excipients, or stabilizers, such as those described in Remington's Pharmaceutical Sciences 16th edition, Osol, A. Ed. (1980) may also be included in a pharmaceutical composition described herein, provided that they do not adversely affect the desired characteristics of the pharmaceutical composition.
“Serum” refers to the clear liquid that can be separated from clotted blood. Serum differs from plasma, the liquid portion of normal unclotted blood containing the red and white cells and platelets. Serum is the component that is neither a blood cell (serum does not contain white or red blood cells) nor a clotting factor. It is the blood plasma not including the fibrinogens that help in the formation of blood clots. It is the clot that makes the difference between serum and plasma.
"Single-chain Fv", also abbreviated as "sFv" or "scFv", are antibody fragments that comprise the VH and VL antibody domains connected into a single polypeptide chain. Preferably, the sFv polypeptide further comprises a polypeptide linker between the VH and VL domains which enables the sFv to form the desired structure for antigen binding. For a review of the sFv, see e.g., Pluckthun (1994), In: The Pharmacology of Monoclonal Antibodies, vol. 113, Rosenburg and Moore (eds.), Springer-Verlag, New York, pp. 269.
“Systemic” treatment is a treatment, in which the drug substance travels through the bloodstream, reaching and affecting cells all over the body.
“Therapeutically effective amount” of an anti-PD-L1 antibody or antigen- binding fragment thereof, or an MCT4 inhibitor of formula (I), or a pharmaceutically acceptable salt thereof in each case of the invention, refers to an amount effective, at dosages and for periods of time necessary, whereby, when administered to a patient with a cancer according to a method, combination or combination therapy, the method, combination or combination therapy, will have the intended therapeutic effect, e.g., alleviation, amelioration, palliation, or elimination of one or more manifestations of the cancer in the patient, or any other clinical result in the course of treating a cancer patient. A therapeutic effect does not necessarily occur by administration of one dose, and may occur only after administration of a series of doses. Thus, a therapeutically effective amount may be administered in one or more administrations. Such therapeutically effective amount may vary according to factors such as the disease state, age, sex, and weight of the individual, and the ability of an anti-PD-L1 antibody or antigen-binding fragment thereof, or an MCT4 inhibitor of formula (I), or a combination thereof to elicit a desired response in the individual. A therapeutically effective amount is also one in which any toxic or detrimental effects of an anti-PD-L1 antibody or antigen-binding fragment thereof, or an MCT4 inhibitor of formula (I), or a combination thereof are outweighed by the therapeutically beneficial effects.
“Treating” or “treatment of” a condition or patient refers to taking steps to obtain beneficial or desired results, including clinical results. For purposes of this invention, beneficial or desired clinical results include, but are not limited to, alleviation, amelioration of one or more symptoms of a cancer; diminishment of extent of disease; delay or slowing of disease progression; amelioration, palliation, or stabilization of the disease state; or other beneficial results. It is to be appreciated that references to “treating” or “treatment” include prophylaxis as well as the alleviation of established symptoms of a condition. “Treating” or “treatment” of a state, disorder or condition therefore includes: (1 ) preventing or delaying the appearance of clinical symptoms of the state, disorder or condition developing in a subject that may be afflicted with or predisposed to the state, disorder or condition but does not yet experience or display clinical or subclinical symptoms of the state, disorder or condition, (2) inhibiting the state, disorder or condition, i.e. , arresting, reducing or delaying the development of the disease or a relapse thereof (in case of maintenance treatment) or at least one clinical or subclinical symptom thereof, or (3) relieving or attenuating the disease, i.e., causing regression of the state, disorder or condition or at least one of its clinical or subclinical symptoms.
"Tumor" as it applies to a subject diagnosed with, or suspected of having, a cancer refers to a malignant or potentially malignant neoplasm or tissue mass of any size, and includes primary tumors and secondary neoplasms. A solid tumor is an abnormal growth or mass of tissue that usually does not contain cysts or liquid areas. Different types of solid tumors are named for the type of cells that form them. Examples of solid tumors are sarcomas, carcinomas, and lymphomas. Leukemias (cancers of the blood) generally do not form solid tumors.
"Unit dosage form" as used herein refers to a physically discrete unit of therapeutic formulation appropriate for the subject to be treated. It will be understood, however, that the total daily usage of the compositions of the present invention will be decided by the attending physician within the scope of sound medical judgment. The specific effective dose level for any particular subject or organism will depend upon a variety of factors including the disorder being treated and the severity of the disorder; activity of specific active agent employed; specific composition employed; age, body weight, general health, sex and diet of the subject; time of administration, and rate of excretion of the specific active agent employed; duration of the treatment; drugs and/or additional therapies used in combination or coincidental with specific compound(s) employed, and like factors well known in the medical arts.
Concentrations, amounts, and other numerical data may be expressed or presented herein in a range format. It is to be understood that such a range format is used merely for convenience and brevity and thus should be interpreted flexibly to include not only the numerical values explicitly recited as the limits of the range, but also to include all the individual numerical values or sub-ranges encompassed within that range as if each numerical value and sub-range is explicitly recited. As an illustration, a numerical range of “about 1 to about 5” should be interpreted to include not only the explicitly recited values of about 1 to about 5, but also include individual values and sub-ranges within the indicated range. Thus, included in this numerical range are individual values such as 2, 3, and 4 and sub-ranges such as from 1-3, from 2-4, and from 3-5, etc., as well as 1, 2, 3, 4, and 5, individually. This same principle applies to ranges reciting only one numerical value as a minimum or a maximum. Furthermore, such an interpretation should apply regardless of the breadth of the range or the characteristics being described.
It is to be noted that - except for instances where it is specifically stated or the context provides for a different meaning - in general the number of a term, i.e. its singular and plural form, is used and can be read interchangeably. For example, the term “compound” in its singular form may also comprise or refer to a plurality of compounds, while the term “compounds” in its plural form may also comprise or refer to a singular compound.
Experimental Part
The compounds of the present invention can be prepared according to the procedures of the following Schemes and Examples, using appropriate materials and are further exemplified by the following specific examples. The compounds are shown in Table 2. Analytical data of compounds made according to the following examples are shown in Table 3.
The invention will be illustrated, but not limited, by reference to the specific embodiments described in the following examples. Unless otherwise indicated in the schemes, the variables have the same meaning as described above and in the claims.
Unless otherwise specified, all starting materials are obtained from commercial suppliers and used without further purifications. Unless otherwise specified, all temperatures are expressed in °C and all reactions are conducted at RT. Compounds are purified by either silica chromatography or preparative HPLC.1H NMR:
1H-NMR data is provided in Table 3 below.1H NMR spectra were usually acquired on a Bruker Advance III 400 MHz, Bruker Fourier HD 300 MHz, Bruker DPX-300, DRX-400, AVII-400 or on a 500 MHz spectrometer, if not specified otherwise. Chemical shifts (d) are reported in ppm relative to TMS signal.1H NMR data are reported as follows: chemical shift (multiplicity, coupling constants and number of hydrogens). Multiplicity is abbreviated as follows: s (singlet), d (doublet), t (triplet), q (quartet), m (multiplet), dd (doublet of doublets), tt (triplet of triplets), td (triplet of doublets) br (broad) and coupling constants (J) are reported in Hz.
LC-MS: LC-MS data provided in Table 3 are given with retention time and mass in m/z. The results can be obtained by one of the methods described below. LC-MS analyses were usually performed on a Dionex Ultimate 3000 LC system (DAD I = 254 + 280 nm) coupled with a Bruker Amazon SL MS detector (ESI positive and negative mode, scan range: 100-1000 m/z) at 25°C. Method A: Kinetex-BCM
Column: Kinetex XB C18 (4.6x50mm 2.6μm); Solvent A: water + 0.1% formic acid; Solvent B: ACN + 0.1% formic acid; Flow: 0.5 ml/min; Gradient: 0 min: 20% B; 6.7 min: 80% B; 7.5 min: 80% B; 7.8 min: 95% B; 9.5 min: 95% B; 10.0 min: 20% B; 12.0 min: 20% B Method B: Kinetex-BCM-NP
Column: Kinetex XB C18 (4.6x50mm 2.6μm); Solvent A: water + 0.1% formic acid; Solvent B: ACN + 0.1% formic acid; Flow: 0.5 ml/min; Gradient: 0 min: 20% B; 4.0 min: 80% B; 4.7 min: 80% B; 4.9 min: 95% B; 8.5 min: 95% B; 10.0 min: 20% B; 14.0 min: 20% B Method C: BCM-30
Column: Waters Symmetry C18 (3.9x150mm 5μm); Solvent A: water + 0.1% formic acid; Solvent B: ACN + 0.1% formic acid; Flow: 1.2 ml/min; Gradient: 0 min: 20% B; 20.0 min: 80% B; 22.0 min: 80% B; 22.5 min: 95% B; 25.0 min: 95% B; 25.3 min: 20% B; 30.0 min: 20% B Method D: Ascentis Express
Column: Ascentis Express C18,3.0*50 mm,2.7um; Mobile Phase
A: Water/0.05% TFA, Mobile Phase B: ACN/0.05% TFA; Flow rate: 1.5mL/min; Gradient:5%B to 100%B in 1.2min, hold 0.5 min; 254nm Method E: CORTECS
Column: CORTECS C18 100A,2.1*50 mm,2.7um; Mobile phase
A:Water/0.1 % FA, Mobile phase B:Acetonitrile/0.1 % FA; Flow rate: 1.0 mL/min; Gradients 0%B to 100%B in 2.0min, hold 0.6 min; 254nm Method F: Shim-pack
Column: Shim-pack XR-ODS,3.0*50 mm, 2.2 urn; Mobile Phase A:water/0.05%TFA, Mobile Phase B:ACN/0.05%TFA; Flow rate: 1.2 mL/min; Gradient:5%B to 100%B in2.0min, hold 0.7 min; 254nm Method G: Poroshell
Column: Poroshell HPH-C18,3.0*50 mm, 2.7 urn; Mobile Phase A:water/5mM NH4HCO3, Mobile Phase B:Acetonitrile; Flow rate: 1.2 mL/min;
Gradient:10%B to 95%B in2.1 min, hold 0.6 min; 254nm.
Method H: Titank
Column:Titank C18,3.0*50 mm, 3.0 urn; Mobile Phase A:water/5mM
NH4HC03, Mobile Phase B:Acetonitrile; Flow rate: 1.2 mL/min;
Gradient:10%B to 95%B in2.1 min, hold 0.6 min; 254nm Method J:
Column:HALO C18,3.0*30mm,2.0um; Mobile Phase A:Water/0.05% TFA, Mobile Phase B: ACN/0.05% TFA; Flow rate: 1.5mL/min; Gradient:5%B to 100%B in 1.2min, hold 0.5 min; 254nm Method K: YMC
Column:YMC-Triart C18, 3.0um , 50*3.0 mm; Mobile Phase A:0.04%NH40H, Mobile Phase B: ACN; Flow rate: 1.2 mL/min; Gradients 0%B to 95%B in 2.1 min, hold 0.6 min;254nm Method L: Agilent 1200 Agilent 1200 Series; Chromolith RP-18e 50-4,6mm;3.3 ml/min; solvent A: Water + 0.05% HCOOH; solvent B: Acetonitrile + 0.04% HCOOH; 220 nm; 0 to 2.0 min:0%B to 100%B; 2.0 to 2.5 min: 100%B Method M: Agilent Series
Agilent Series; Kinetex EVO C18 5,0 um;3.3ml/min; solvent A: Water + 0.05% HCOOH; solvent B: Acetonitrile + 0.04% HCOOH; 220 nm; 0 to 0.8 min:1 %B to 990% B; 0.8 to 1.1 min: 99%B
Example 1 - General procedure 1 (GP1)
Compounds of formula (I) with L
1 being a divalent -NH- or -N(R
a)- radical and L
2 being a divalent -SO
2- radical (i.e. sulfonamide derivatives) may be prepared in accordance with the following scheme and synthetic procedure described below:
Commercially available 2-ethynylaniline 2 (R1 = H) (1eq) was dissolved in acetonitrile and 5-halo-picolinate 1 (Y = N; R2 = H) (1.5 eq), diisopropylamine (1.5 eq), copper(l)iodide (0.1 eq) and tetrakis(triphenylphosphine)- palladium(O) (0.1 eq) were added. The mixture was stirred for 16 hrs at 80°C. After completion of the reaction and cooling down to roomtemperature the mixture was filterred and the residue was dried under vacuum. The product 3 was used in the next step without further purification.
Aniline 3 (1 eq) was dissolved in pyridine and phenyl-sulfonyl chloride 4 (R3 = H, 3 eq) was added. The mixture was stirred at 80°C for 2 hrs. After completion of the reaction and cooling to roomtemperature the reaction mixture was diluted with ethylacetate and water. After exhaustive extraction of the aqueous phase with ethylacetate the combined organic layers were washed with water and brine, dried over sodium sulphate, filtered and evaporated to dryness. The crude 5 was used in the next step without further purification. (Alternatively, ester 5 can be purified and isolated by standard working-up procedures known to the skilled person.)
Ester 5 (1 eq) was dissolved in THF and sodium hydroxide solution in water (2N, 1.1 eq) was added. The reaction mixture was stirred for 12 hrs at room temperature. After full conversion the mixture was acidified with 1 N HCI and diluted with ethylacetate and water. The aqueous layer was extracted with ethylacetate and the combined organic layers were washed with brine and dried with sodium sulphate, filtered and evaporated to dryness. Either crystalisation from established solvent mixtures or purification via chromatography delivered the final products usually as solid.
In a similar manner 4-halo-benzoic acid ester 1 (Y = CH) can be reacted with a suitable ethynylaniline 2 to provide the respective anilines 3, esters 4 and carboxylic acids 5.
Alternatively or in case the ethynyl-aniline is not commercially available, it can be prepared by reaction of the corresponding halo-aniline with trimethylsilyl- ethyne under Sonogashira reaction conditions known to an expert in the field. Alternatively, the carboxylate building block might be commercially available as ethynyl and not halogen analog (X = -C≡CH). In such a case the aniline component is applied as halogenated building block.
In case a desired substitution pattern on any building block 1 , 2 or 4 was not commercialy available a dedicated synthesis was performed. Explicit examples are described below:
Example 2
Synthesis of 5-ethylquinoline-8-sulfonyl chloride:
Chlorsulfonic acid (6,4 ml; 95,8 mmol; 20 eq.) was added to 5-ethylquinoline (753 mg; 4,8 mmol; 1 eq.) unter ice-cooling. The mixture was stirred for 16 hrs at 120°C. After cooling to room temperature the reaction was added carefully dropwise to stirred ice-water and extracted 3x with ethylacetate. The combined organic layers were washed 2x with water, dried over Na2SO4 and evaporated to dryness. The product was used for sulfonamide formation without further purification.
Example 3
Synthesis of :5-ethoxyquinoline-8-sulfonyl chloride
Step A
To a solution of 5-hydoxy-quinoline (15.0 g, 103 mmol) in acetone (300 mL) K2CO3 (21.0 g, 152 mmol) and ethyl iodide (23.4 g, 150 mmol) were added and the resulting mixture was refluxed for 8 h. After the reaction mass cooled to room temperature it was diluted with water (500 mL) and extracted with ethyl acetate (3 × 220 mL). The organic extract was washed with brine, dried over Na2SO4, and evaporated under reduced pressure to obtain 15.0 g (86.6 mmol, 87%) of 5-ethoxy-quinoline.
Step B 5-ethoxy-quinoline (15.0 g, 86.6 mmol) was mixed with pre-cooled chlorosulfonic acid (200 mL) and the temperature was kept below 10°C. The obtained mixture was stirred at 10°C for 3 h and poured onto crushed ice (1500 g). The product was extracted with ethyl acetate (3 × 300 mL). The combined organic extract was washed with water (500 mL), saturated NaHCO3 (2 × 500 mL), and brine (500 mL), dried over Na2SO4 , and evaporated under reduced pressure to obtain 8.00 g (29.4 mmol, 34%) of 5- ethoxy-quinoline-8-sulfonylchloride.
Example 4
Synthesis of 5-methoxy-7-methylquinoline-8-sulfonyl chloride:
A solution of 5,7-dichloroquinoline (2 g, 9.59 mol, 1 eq, 95%) and MeONa (8 mL, 43.05 mmol, 4.49 eq, 30%) in THF (40 mL) was stirred at room temperature for 2 days at 75°C under nitrogen atmosphere. The mixture was acidified to pH 6 with HCI (aq.). The reaction mixture was concentrated under vacuum. The aqueous layer was extracted with CH
2CI
2 (3x50 mL)..The combined organic layers were concentrated under vacuum. The residue was purified by reverse flash chromatography with the following conditions: column, C18 silica gel; mobile phase, MeOH in water, 10% to 50% gradient in 10 min; detector, UV 254 nm. This resulted in 7-chloro-5-methoxyquinoline (400 mg, 19%) as a yellow solid.
To a stirred mixture of 7-chloro-5-methoxyquinoline (500 mg, 2.32 mmol, 1 eq, 90%), Na2CO3 (1.2 g, 10.76 mmol, 4.63 eq, 95%) and XPhos-PdCI-2nd G (300 mg, 0.38 mmol, 0.16 eq, 95%) in dioxane (60 mL) were added H2O (15 mL) and trimethyl-1 ,3,5,2,4,6-trioxatriborinane (3 g, 11.95 mmol, 5.14 eq, 50%) dropwise at room temperature. The mixture was stirred overnight at 90°C under nitrogen atmosphere and and then concentrated under vacuum.
The aqueous layer was extracted with CH
2CI
2 (3x20 mL). The combined organic layers were concentrated under vacuum. The residue was purified by reverse flash chromatography with the following conditions: column, C18 silica gel; mobile phase, MeOH in water, 10% to 50% gradient in 20 min; detector, UV 254 nm. This resulted in 5-methoxy-7-methylquinoline (200 mg, 45%) as a yellow oil.
Into a 25-mL round-bottom flask, was placed 5-methoxy-7-methylquinoline (200 mg, 1.04 mmol, 1 eq, 90%) and sulfurochloridic acid (6 mL, 91.14 mmol, 87.71 eq, 100%) was added slowly under ice cooling. The resulting mixture was stirred for 3 h at -10°C. The reaction was quenched by the addition of 30 mL of water/ice. The resulting mixture was extracted with 3x30 mL of dichloromethane. The combined organic layers were concentrated under vacuum. This resulted in 340 mg (72%) of 5-methoxy-7-methylquinoline-8- sulfonyl chloride as a yellow solid.
Example 5
Synthesis of 5-{2-[4-ethoxy-2-(quinoline-8-sulfonamido)phenyl]ethynyl}- pyridine-2-carboxylic acid:
Into a 100-mL round-bottom flask, purged and maintained with an inert atmosphere of nitrogen, was placed methyl 5-bromopyridine-2-carboxylate (1.2 g, 5.28 mmol, 1 eq, 95%), THF (15 mL), TEA (15 mL, 102.52 mmol, 19.43 eq, 95%), Cul (28 mg, 0.14 mmol, 0.03 eq, 95%), Pd(PPh
3)
2CI
2 (68 mg, 0.09 mmol, 0.02 eq, 90%) and ethynyltrimethylsilane (1.37 g, 13.25 mmol, 2.51 eq, 95%). The resulting mixture was stirred overnight at 50°C and then diluted with 100 mL of H
2O. The resulting solution was extracted with 3x50 mL of ethyl acetate and the combined the organic layers were dried over sodium sulfate, filtered and concentrated under reduced pressure. The residue was purified by chromatography with a silica gel column with ethyl acetate/petroleum ether (1 :5). This resulted in 1.2 g (96%) of methyl 5-[2- (trimethylsilyl)ethynyl]pyridine-2-carboxylate as a light yellow solid.
In a 100-mL round-bottom flask methyl 5-[2-(trimethylsilyl)ethynyl]pyridine-2- carboxylate (1 g, 4.07 mmol, 1 eq, 95%) was dissolved in methanol (15 mL) / dichloromethane (15 mL) and KF (747 mg, 12.21 mmol, 3 eq) was added. The resulting mixture was stirred for 2 h at room temperature. The reaction mass was concentrated under vacuum and the residue was purified with a silica gel column and ethyl acetate/petroleum ether (1:4). This resulted in 700 mg (105%) of methyl 5-ethynylpyridine-2 -carboxylate as an off-white solid.
In a 50-mL round-bottom flask 4-bromo-3-nitrophenol (1 g, 4.36 mmol, 1 eq, 95%) was dissolved in DMF (10 mL) and sodium hydride (220 mg, 5.50 mmol, 1.26 eq, 60% in oil) was added at 0°C.The mixture was stirred for 0.5h, and then iodoethane (860 mg, 5.24 mmol, 1.20 eq) was added. The resulting solution was stirred for 2 h at room temperature. The mixture was extracted with 3x50 mL of ethyl acetate and the combined organic layers were dried over anhydrous sodium sulfate and concentrated under reduced pressure. The residue was applied onto a silica gel column with ethyl acetate/hexane (1:100). This resulted in 0.975 g (98%) of 2-bromo-5- ethoxyaniline as an off-white solid. Into a 25-mL round-bottom flask, purged and maintained with an inert atmosphere of nitrogen, was placed 1-bromo-4-ethoxy-2-nitrobenzene (500 mg, 1 .93 mmol, 1 eq, 95%), THF (8 mL), TEA (618 mg, 5.8 mmol, 3 eq, 95%), Cul (39 mg, 0.19 mmol, 0.1 eq, 95%), Pd(PPh
3)
2CI
2 (143 mg, 0.18 mmol, 0.1 eq, 90%) and methyl 5-ethynylpyridine-2-carboxylate (394 mg, 2.4 mmol, 1 .24 eq, 98%). The reaction mixture was stirred overnight at room temperature and then diluted with 50 ml of H
2O. The solids were filtered out and the resulting solution was extracted with 3x50 ml of ethyl acetate. The combined organic layers were dried over sodium sulfate and concentrated under vacuum after filtration. The residue was applied onto a silica gel column with petrolether:/ethylacetate (3:1 ). The collected fractions were combined and concentrated under vacuum. This resulted in 80 mg (13%) of methyl 5-[2-(4-ethoxy-2-nitrophenyl)ethynyl]pyridine-2-carboxylate as a yellow solid.
(Note: “-N” stands for “-NH2”)
In a 8-mL vial methyl 5-[2-(4-ethoxy-2-nitrophenyl)ethynyl]pyridine-2- carboxylate (60 mg, 0.18 mmol, 1 eq) was dissolved in methanol (1 mL) and water (0.5 mL). NH4CI (39 mg, 0.7 mmol, 3.8 eq, 95%) and Fe (51 .5 mg, 0.9 mmol, 4.8 eq, 95%) were added. The resulting mixture was stirred overnight at 70°C. After cooling to room temperature the mixture was diluted with 30 mL of methanol. The solids were filtered out and the resulting solution was extracted with 3x50 mL of ethyl acetate. The organic layers were combined and dried over anhydrous sodium sulfate. After filtration and removal of all volatile components under reduced pressure the residue was applied onto a silica gel column with ethyl acetate/hexane (1 :4). This resulted in 35 mg
(61%) of methyl 5-[2-(2-amino-4-ethoxyphenyl)ethynyl]pyridine-2-carboxylate as a yellow solid.
(Note: “-N” stands for “-NH
2”; “-N-” stands for “-NH-”)
In a 8-mL vial methyl 5-[2-(2-amino-4-ethoxyphenyl)ethynyl]pyridine-2- carboxylate (35 mg, 0.11 mmol, 1 eq, 95%) was dissolved in pyridine (1 mL). 4-Dimethylaminopyridine (1.5 mg, 0.01 mmol, 0.1 eq) and quinoline-8- sulfonyl chloride (53.7 mg, 0.22 mmol, 2 eq, 95%) were added. The reaction mixture was stirred overnight at room temperature. The mixture was diluted with 30 mL of H2O and extracted with 3x30 mL of ethyl acetate. The combined organic layers were dried over anhydrous sodium sulfate. After filtration and evaporation the residue was applied onto a silica gel column with ethyl acetate/hexane (1 :4). The collected product fractions were combined and concentrated under vacuum. This resulted in 45 mg (75%) of methyl 5-[2-[4-ethoxy-2-(quinoline-8-sulfonamido)phenyl]ethynyl]pyridine-2- carboxylate as a light yellow solid.
(Note: “-0” stands for “-OH”; “-N-” stands for “-NH-”)
In a 8-mL vial methyl 5-[2-[4-ethoxy-2-(quinoline-8-sulfonamido)phenyl]- ethynyl]pyhdine-2-carboxylate (40 mg, 0.07 mmol, 1 eq, 91 %) was dissolved in THF (1 mL) and water (0.5 mL). Sodium hydroxide (33 mg, 0.8 mmol, 10 eq) was added. The mixture was stirred for 3 h at room temperature and concentrated under vacuum. The reminder was diluted with 50 mL of water and extracted with 3x50 mL of ethyl acetate. The combined organic layers were dried over anhydrous sodium sulfate and concentrated under vacuum. The crude product (50 mg) was purified by prep-HPLC with the following conditions: Column, XBridge Shield RP18 OBD, 5μm,19*150mm; mobile phase: water (10 mmoL/L NH4HCO3 + 0.1 % NH3.H2O) and ACN (24% ACN up to 45% in 8 min); Detector, UV 254/220nm. This resulted in 23 mg (64%) of 5-[2-[4-ethoxy-2-(quinoline-8-sulfonamido)phenyl]ethynyl]pyridine-2- carboxylic acid as a white solid. The compound exhibited a melting point of 138-140°C.
Example 6
Synthesis of 3-ethyl-5-{2-[2-(quinoline-8-sulfonamido)phenyl]ethynyl}- pyridine-2-carboxylic acid
(Note: “-O” stands for “-OH”)
To a stirred solution of 3,5-dibromopyridine-2-carboxylic acid (5 g, 16.91 mol, 1 eq) in MeOH (20 mL) was added SOCI
2 (3.2 g, 25.55 mmol, 1.51 eq) at room temperature. The resulting mixture was stirred overnight at 70°C under nitrogen atmosphere. The resulting solution was diluted with 50 mL of H
2O . The resulting solution was extracted with 3x50 mL of ethyl acetate and the organic layers combined. The mixture was dried over anhydrous sodium sulfate. The remainder after filtration was concentrated under vacuum. This resulted in methyl 3,5-dibromopyridine-2-carboxylate (5 g, 90%) as a white solid.
To a stirred solution of methyl 3,5-dibromopyridine-2-carboxylate (1 g, 3.05 mmol, 1 eq, 90%), Pd(PPh3)2Cl2 (140 mg, 0.19 mmol, 0.06 eq, 95%) and Cul (100 mg, 0.50 mmol, 0.2 eq, 95%) in THF (30 mL) were added TEA (800 mg, 7.51 mmol, 2.5 eq, 95%) and ethynyltrimethylsilane (500 mg, 4.84 mol, 1.6 eq, 95%) dropwise at room temperature. The resulting mixture was stirred for 2 h at 50°C under nitrogen atmosphere. After full conversion the reaction mixture was cooled to room temperature and concentrated under vacuum. The reminder was diluted with 50 mL of H2O and extracted with 4x50 mL of ethyl acetate. The combined organic layers were dried over anhydrous sodium sulfate and concentrated under vacuum after filtration. The residue was purified by reverse flash chromatography with the following conditions: column, C18 silica gel; mobile phase, ACN in water, 10% to 80% gradient in 30m in; detector, UV 254 nm. This resulted in methyl 3-bromo-5-[2-
(trimethylsilyl)ethynyl]pyridine-2-carboxylate (640 mg, 60%) as a yellow oil.
To a stirred solution of methyl 3-bromo-5-[2-(trimethylsilyl)ethynyl]pyridine-2- carboxylate (3.4 g, 9.80 mmol, 1 eq, 90%) and Pd(PPh3)4 (1 g, 0.82 mmol, 0.08 eq, 95%) in dioxane (100 mL) was added diethylzinc (20 mL, 19 mmol,
1 .9 eq, 95%) dropwise at room temperature. The resulting mixture was stirred for 1 h at 100°C under nitrogen atmosphere. The reaction was quenched with sat. NH
4CI (aq.) at room temperature. The aqueous layer was extracted with CH
2CI
2 (3x50 mL). The combined organic layers were concentrated under vacuum. The residue was purified by silica gel column chromatography, eluted with PE/EtOAc (10:1 ) to afford methyl 3-ethyl-5-[2- (trimethylsilyl)ethynyl]pyridine-2-carboxylate (2.1 g, 74%) as a yellow oil.
To a stirred solution of methyl 3-ethyl-5-[2-(trimethylsilyl)ethynyl]pyridine-2- carboxylate (2 g, 6.89 mmol, 1 eq, 90%) in MeOH (50 mL) was added KF (1.5 g, 24.53 mmol, 3.6 eq, 95%) at room temperature. The reaction mixture was stirred for 2 h at room temperature under nitrogen atmosphere. The mixture was concentrated under vacuum and the residue was purified by silica gel column chromatography, eluted with petrol ether/ethylacette (5:1) to afford methyl 3-ethyl-5-ethynylpyridine-2-carboxylate (1.3 g, 90%) as a yellow oil.
(Note: “-N” stand for “-NH2”)
To a stirred solution of methyl 3-ethyl-5-ethynylpyridine-2-carboxylate (1.2 g, 5.71 mmol, 1 eq, 90%), Cul (200 mg, 1.00 mmol, 0.2 eq, 95%) and Pd(PPh3)2Cl2 (300 mg, 0.41 mmol, 0.1 eq, 95%) in TEA (20 mL) was added 2-iodoaniline (2 g, 8.67 mmol, 1.52 eq, 95%) in portions at room temperature. The reaction mixture was stirred for 30 min at 80°C under nitrogen atmosphere. After completion of the reaction the mixture was cooled to room termperature and concentrated under vacuum. The aqueous layer was extracted with CH
2CI
2 (3x50 mL). The combined organic layers were concentrated under vacuum. The residue was purified by silica gel column chromatography, eluted with petro ether /ethyl acetate (5:1) to afford methyl 5-[2-(2-aminophenyl)ethynyl]-3-ethylpyridine-2-carboxylate (1.2 g, 68%) as a yellow solid.
(Note: “-N” stands for “-NH2”; “-N-” stands for “-N(H)-”)
To a stirred solution of methyl 5-[2-(2-aminophenyl)ethynyl]-3-ethylpyridine-2- carboxylate (300 mg, 1 mmol, 1 eq, 90%) and DMAP (130 mg, 1 mmol, 1 eq, 95%) in pyridine (10 mL) was added quinoline-8-sulfonyl chloride (450 mg,
1.9 mmol, 1.95 eq, 95%) in portions at room temperature. The reaction mixture was stirred for 3 h at 50°C under nitrogen atmosphere. After full conversion the mixture was concentrated under vacuum after cooling to room termperature. The residue was purified by silica gel column chromatography, eluted with petro ether/ethyl acetate (1 :3) to afford methyl 3-ethyl-5-[2-[2- (quinoline-8-sulfonamido)phenyl]ethynyl]pyridine-2-carboxylate (360 mg,
(Note: “-O” stands for “-OH”; “-N-” stands for “-N(H)-”) To a stirred solution of methyl 3-ethyl-5-[2-[2-(quinoline-8-sulfonamido)- phenyl]ethynyl]pyridine-2-carboxylate (200 mg, 380 mmol, 1 eq, 90%) and LiOH.H2O (80 mg, 1.8 mmol, 4.7 eq, 95%) in THF (8 mL) was added H2O (4 mL) dropwise at room temperature. The reaction mixture was stirred for 2 h at room temperature under nitrogen atmosphere. After complete saponification the mixture was acidified to pH 6 with HCI (aq.). The aqueous layer was extracted with CH2CI2 (3x30 mL). The combined organic layers were concentrated under vacuum. The crude product (200 mg) was purified by prep-HPLC with the following conditions: Column, XBridge Shield RP18 OBD Column, 30*150mm, 5 urn; mobile phase, Water (10 mmoL/L NH4HCO3+0.1 %NH3.H2O ) and ACN (20% phase B up to 40% in 8 min). This resulted in 3-ethyl-5-[2-[2-(quinoline-8-sulfonamido)phenyl]ethynyl]- pyridine-2-carboxylic acid (40 mg, 23%) as a white solid. The compound exhibited a melting point of 205-210°C.
Example 7
Synthesis of N-methanesulfonyl-4-[2-[2-(4-methoxynaphthalene-1- sulfonamido)phenyl]ethynyl]benzamide
(Note: “-O” stands for “-OH”; “-N-” stands for “-N(H)-”)
In a 50-mL round-bottom flask methyl 4-[2-[2-(4-methoxynaphthalene-1- sulfonamido)phenyl]ethynyl]benzoate (320 mg, 0.61 mmol, 1 eq, 90%) was dissolved in THF (10 mL). LiOH.H
2O (142 mg, 3.21 mmol, 5.26 eq, 95%) in water (2 mL) was added. The resulting mixture was stirred for 2 h at 60°C. The pH value of the solution was adjusted to 4 with aq. hydrogen chloride (1M). The mixture was extracted with 30 mL of ethyl acetate, the combined organic layers were dried over anhydrous sodium sulfate and concentrated under vacuum. This resulted in 300 mg (97%) of 4-[2-[2-(4-m ethoxy- naphthalene-1 -sulfonamido)phenyl]ethynyl]benzoic acid as a yellow solid.
(Note: “-O” stands for “-OH”; “-N-” stands for “-N(H)-”) Into a 25-mL round-bottom flask 4-[2-[2-(4-methoxynaphthalene-1- sulfonamido)phenyl]ethynyl]benzoic acid (70 mg, 0.14 mmol, 1 eq, 90%), methanesulfonamide (21.7 mg, 0.22 mmol, 1.6 eq, 95%), EDCI (35 mg, 0.17 mmol, 1.3 eq, 95%) and 4-dimethylaminopyridine (20.6 mg, 0.16 mmol, 1.2 eq, 95%) were dissolved in dichloromethane (3 mL). The resulting solution was stirred overnight at room temperature. The reaction mixture was concentrated under vacuum and the crude product (70 mg) was purified by prep-HPLC with the following conditions: Column, XBridge BEH130 Prep C18 OBD Column, 150mm 5um 13nm; mobile phase, water (0.05% NH3H2O) and ACN (26% ACN up to 41% in 8 min). This resulted in 40 mg (52%) of N- methanesulfonyl-4-[2-[2-(4-methoxynaphthalene-1- sulfonamido)phenyl]ethynyl]benzamide as a white solid. The compound exhibited a melting point of 135-137°C.
Example 8
Synthesis of of N-cyano-4-[2-[2-(4-methoxynaphthalene-1-sulfonamido)- phenyl]ethynyl]benzamide
(Note: “-O” stands for “-OH”; “-N-” stands for “-N(H)-”)
In a 25-mL round-bottom flask 4-[2-[2-(4-methoxynaphthalene-1-sulfon- amido)phenyl]ethynyl]benzoic acid (90 mg, 0.18 mmol, 1 eq, 90%) was dissolved in N,N-dimethylformamide (2 mL) and DIEA (76 mg, 0.56 mmol,
3.2 eq 95%). This was followed by the addition of HATU (90 mg, 0.22 mmol,
1.3 eq, 95%). The mixture was stirred for 10 min at 25°C before adding aminoformonitrile (12.3 mg, 0.28 mmol, 1.57 eq, 95%). The reaction mixture was stirred overnight at room temperature and then concentrated under vacuum. The crude product (100 mg) was purified by prep-HPLC with the following conditions: Column, XBridge BEH130 Prep C18 OBD Column, 150mm 5um 13nm; mobile phase: water (0.05% NH3H2O) and ACN (20%
ACN up to 50% in 8 min. This resulted in 50 mg (56%) of N-cyano-4-[2-[2-(4- methoxynaphthalene-1-sulfonamido)phenyl]ethynyl]benzamide as a white solid. The compound exhibited a melting point of 150-152°C. Example 9
Synthesis of 4-[2-[2-(2,3-dihydro-1 ,4-benzodioxine-5-sulfonamido)- phenyl]ethynyl]benzoic acid
(Note: “-O” stands for “-OH”)
In a 100-mL round-bottom flask, purged and maintained with an inert atmosphere of nitrogen, 3-bromobenzene-1 ,2-diol (3 g, 15.08 mmol, 1 eq, 95%) and 1 ,2-dibromoethane (4.5 g, 22.76 mmol, 1.5 eq, 95%) were dissolved in N,N-dimethylformamide (60 mL). Potassium carbonate (4.5 g, 30.93 mmol, 2.1 eq, 95%) and KF (462 mg, 7.55 mmol, 0.5 eq, 95%) were added. The resulting mixture was stirred for 2 h at 135°C. After completion of the reaction the mixture was cooled to room temperature and the solids were filtered out. The liquid phase was washed with 4x20 mL of H
2O , dried over anhydrous sodium sulfate, filtered and concentrated under vacuum. The residue was applied onto a silica gel column with ethyl acetate/petroleum ether (1:50). This resulted in 1.81 g (47%) of 5-bromo-2,3-dihydro-1 ,4- benzodioxine as colorless oil.
(Note: “-C-” stands for “-CH2-”)
In a 100-mL 3-necked round-bottom flask, purged and maintained with an inert atmosphere of nitrogen, 5-bromo-2,3-dihydro-1 ,4-benzodioxine (1.6 g, 6.70 mmol, 1 eq, 90%) was dissolved in THF (30 mL). This was followed by the addition of s-BuLi (12 mL, 1.87 mmol, 1.3M in THF) dropwise with stirring at -78°C and stirring was continued for 30 min at the given temperature.
Then [(benzyldisulfanyl)methyl]benzene (2.2 g, 8.48 mmol, 1.3 eq, 95%) was added. After complete addition the reaction was stirred for 1 h at room temperature. The reaction was quenched by the addition of water. The resulting solution was extracted with 100 mL of ethyl acetate and the organic layers were combined, dried over anhydrous sodium sulfate and concentrated under vacuum. This resulted in 1.5 g (78%) of 5- (benzylsulfanyl)-2,3-dihydro-1 ,4-benzodioxine as yellow oil.
In a 100-mL round-bottom flask 5-(benzylsulfanyl)-2,3-dihydro-1 ,4- benzodioxine (612 mg, 2.13 mmol, 1 eq, 90%) was dissolved in CH3CN (50 mL), water (1.5 mL) and AcOH (1 mL). NCS (1.6 g, 11.38 mmol, 5.3 eq,
95%) was added and the reaction was stirred for 1.5 h at 10°C in a water/ice bath. The mixture was diluted with 50 mL of ice cold H
2O and extracted with 3x50 mL of ethyl acetate. The combined organic layers were dried over anhydrous sodium sulfate and concentrated under vacuum. The residue was applied onto a silica gel column with ethyl acetate/petroleum ether (1:3). This resulted in 443 mg (80%) of 2,3-dihydro-1 ,4-benzodioxine-5-sulfonyl chloride as yellow oil.
(Note: “-N” stands for “-NH2”; “-N-” stands for “-N(H)-”)
In a 25-mL round-bottom flask, purged and maintained with an inert atmosphere of nitrogen, 2,3-dihydro-1 ,4-benzodioxine-5-sulfonyl chloride (443 mg, 1.7 mmol, 6 equiv, 90%) was dissolved in pyridine (4 mL). Methyl 4- [2-(2-aminophenyl)ethynyl]benzoate (80 mg, 0.3 mmol, 1 eq, 90%) and 4- dimethylaminopyridine (9 mg, 0.07 mmol, 0.2 eq, 95%) were added. The reaction mixture was stirred for 2 h at 80°C. After cooling to room temperature the mixture was concentrated under vacuum. This resulted in 152 mg (83%) of methyl 4-[2-[2-(2,3-dihydro-1 ,4-benzodioxine-5-sulfon- amido)phenyl]ethynyl]benzoate as a yellow solid.
(Note: “-O” stands for “-OH”; “-N-” stands for “-N(H)-”)
In a 50-mL round-bottom flask methyl 4-[2-[2-(2,3-dihydro-1 ,4-benzodioxine- 5-sulfonamido)phenyl]ethynyl]benzoate (148 mg, 0.23 mmol, 1 eq, 70%) was dissolved in THF (3 mL) and water (2 mL). Sodium hydroxide (50 mg, 1.19 mmol, 5.2 eq, 95%) was added. The resulting solution was stirred for 2 h at room temperature. The pH value of the solution was adjusted to 6 with aq. hydrogen chloride (1 mol/L). The mixture was extracted with 2x15 mL of ethyl acetate and the combined organic layers were dried over sodium sulfate and concentrated under vacuum. The crude product (93 mg) was purified by prep-HPLC with the following conditions: Column, XBridge BEH130 Prep C18 OBD Column, 150mm 5um 13nm; mobile phase: water (0.05% TFA ) and ACN (46% ACN up to 57% in 9 min). This resulted in 35 mg (34%) of 4- [2-[2-(2,3-dihydro-1 ,4-benzodioxine-5-sulfonamido)phenyl]ethynyl]benzoic acid as a light yellow solid. The compound exhibited a melting point of 238- 240°C.
Example 10
Synthesis of 3-ethyl-5-[2-[2-(7-ethylquinoline-8-sulfonamido)phenyl]- ethynyl]pyridine-2-carboxylic acid
(Note: “-O” stands for “-OH”; “-N-” stands for “-N(H)-”)
A solution of quinoline-7 -carboxylic acid (2 g, 11 mmol, 1 eq, 95%) and CDI (2.1 g, 12 mmol, 1.1 eq, 95%) in DCM (80.0 mL) was stirred for 16 h at room temperature. Then a mixture of methoxy(methyl)amine (1.1 g, 17 mmol, 1.6 eq, 95%) and TEA (3.5 g, 33 mmol, 3 eq, 95%) in DCM (40 mL) was added. The reaction was stirred for 16 h at room temperature. The mixture was diluted with water (100 mL) and the aqueous layer was extracted with CH
2CI
2 (3x50 mL)..The combined organic layers were concentrated under reduced pressure. This resulted in N-methoxy-N-methylquinoline-7-carboxamide (1.58 mg, 0.07%) as a yellow oil.
To a stirred mixture of N-methoxy-N-methylquinoline-7-carboxamide (1.5 g, 7 mmol, 1 equiv, 99.9%) in THF (25 mL) were added CH
3MgCI (1.1 g, 14 mmol, 2 eq, 95%) at 0°C under nitrogen atmosphere. The resulting mixture was stirred for 16 h at room temperature. The reaction was quenched by the addition of sat. NH
4CI (aq.) (20 mL) at 0°C. The aqueous layer was extracted with EtOAc (3x20 mL). The combined organic layers were concentrated under vacuum. This resulted in 1-(quinolin-7-yl)ethan-1-one (1.9 g, 99%) as a yellow solid.
To a stirred mixture of 1-(quinolin-7-yl)ethan-1-one (1 g, 5.6 mmol, 1 eq, 96.2%) and KOH (1.3 g, 23 mmol, 4 eq, 95%) in ethane-1, 2-diol (20 mL) was added NH
2NH
2.H
2O (1.8 g, 35 mmol, 6.3 eq, 95%). The resulting mixture was stirred for 1 h at 120°C and then for 16 h at 165°C. The mixture was neutralized to pH 7 with HCI (aq.). The aqueous layer was extracted with CH
2CI
2 (4x20 mL) and the combined organic layers were concentrated under vacuum. This resulted in 7-ethylquinoline (900 mg, 97%) as a red oil.
To a stirred mixture of sulfurochloridic acid (10 mL, 82 mmol, 20 eq, 95%) was added 7-ethylquinoline (600 mg, 3.5 mmol, 1 eq, 92.3%) dropwise at 0°C. The resulting mixture was stirred for 16 h at 120°C. The reaction was quenched by the addition of water/ice (200mL) at 0°C. The aqueous layer was extracted with CH
2CI
2 (5x20 mL). The combined organic layers were concentrated under reduced pressure and the resulting solid was dried under vacuum to afford 7-ethylquinoline-8-sulfonyl chloride (750 mg, 70%) as a brown solid.
(Note: “-N” stands for “-NH
2”; “-N-” stands for “-N(H)-”) To a stirred mixture of methyl 5-[2-(2-aminophenyl)ethynyl]-3-ethylpyridine-2- carboxylate(100 mg, 0.34 mmol, 1 eq, 95%) and 7-ethylquinoline-8-sulfonyl chloride (206 mg, 0.7 mmol, 2 eq, 84%) in pyridine (4.0 mL) was added DMAP (44 mg, 0.34 mmol, 1 eq, 95%). The resulting mixture was stirred for 16 h at 50°C. After cooling to room temperature the reaction mixture was concentrated under reduced pressure. The residue was purified by silica gel column chromatography, eluted with CH
2CI
2 / MeOH (10:1). The combined fractions were concentrated under reduced pressure to afford methyl 3-ethyl- 5-[2-[2-(7-ethylquinoline-8-sulfonamido)phenyl]ethynyl]pyridine-2- carboxylate(150 mg, 46%) as a red oil.
(Note: “-O” stands for “-OH”; “-N-” stands for “-N(H)-”)
Methyl 3-ethyl-5-[2-[2-(7-ethylquinoline-8-sulfonamido)phenyl]ethynyl]- pyhdine-2-carboxylate (130 mg, 0.19 mmol, 1 eq, 75%) and LiOH (14.7 mg, 0.58 mmol, 3 eq, 95%) were dissolved in THF (4 mL) and H2O (2.0 mL). The resulting mixture was stirred for 4 h at room temperature and then concentrated under reduced pressure. The crude product (120 mg) was purified by prep-HPLC with the following conditions: Column, XBridge Shield RP18 OBD Column, 30*150mm, 5um; mobile phase: water (10 mmoL/L NH4HCO3+O.1%NH3. H2O) and ACN (28% up to 40% in 8 min).The product fractions were combined and concentrated under reduced pressure to afford 3-ethyl-5-[2-[2-(7-ethylquinoline-8-sulfonamido)phenyl]ethynyl]pyridine-2- carboxylic acid (12 mg, 12%) as a white solid.
Example 11 Synthesis of 5-[2-(2-{4-[2-(2-methoxyethoxy)ethoxy]quinoline-8-sulfon- amido}phenyl)ethynyl]pyridine-2-carboxylic acid
To a solution of 5-[2-(4-Chloro-quinoline-8-sulfonylamino)-phenylethynyl]- pyridine-2-carboxylic acid methyl ester (57 mg; 0,1 mmol; 1 ,0 eq.) in N,N- Dimethylformamide (3 ml) was added diethylene glycol monomethyl ether (0,1 ml; 1 mmol; 10 eq.) and potassium tert-butylate (69 mg; 0,6 mmol; 6 eq.). The reaction was stirred for 16 hrs at RT. The reaction was evaporated to dryness and purified by prep. HPLC giving 19 mg (32%) of the product.
Example 12
Synthesis of intermediate 2-(2-Ethynyl-4-fluoro-phenylamine
To 2-Bromo-4-fluoroaniline (8,79 mmol; 1 ,00 ml) in Acetonitrile dried (max.
0.005 % H
2O) SeccoSolv® (15,00 ml) was added unter nitrogen in a microwave vial Ethynyltrimethylsilane (14,06 mmol; 1 ,98 ml), N-Ethyldi- isopropylamine (9,67 mmol; 1 ,64 ml), copper (I) iodide (0,44 mmol; 83,69 mg) and tetrakis(triphenylphosphin)-palldium(0) (0,44 mmol; 507,80 mg). The reaction was stirred for 16 hrs at 100°C. HPLC-MS showed complete formation of the required product. The reactions were diluted with ethylacetate and extracted 3x with water, dried over Na
2SO
4 and evaporated to dryness. The residue was purified by flashchromatography yielding 950mg of the product as brown oil.
To a solution of 4-Fluoro-2-trimethylsilanylethynyl-phenylamine (3,62 mmol; 950,20 mg) in Methanol (3,00 ml) was added Potassium carbonate (0,36 mmol; 50 mg) and stirred for 2 days at RT. HPLC-MS showed the complete formation of the required product. The reactions were diluted with EA and extracted 3x with water, dried over Na2SO4 and evaporated to dryness. The reaction mixture was dissolved in EA and water. The layers were separated and the water layer was extracted with EA, the organic layer was washed with water and brine, dried over sodiumsulphate, filtered and evaporated to dryness giving 378mg of the product as a brown oil.
Example 13
Synthesis of 5-(2-{2-[4-(prop-2-yn-1-yloxy)quinoline-8- sulfonamido]phenyl}ethynyl)pyridine-2-carboxylic acid
To a solution of 5-[2-(4-chloro-quinoline-8-sulfonylamino)-phenylethynyl]- pyridine-2 -carboxylic acid methyl ester (200,0 mg; 0,35 mmol) in N,N- dimethylformamide (5,0 ml) was added 2-propyn-1-ol for synthesis (0,2 ml; 3,45 mmol) and potassium tert-butylate for synthesis (232,4 mg; 2,07 mmol) in a microwave vial. The reaction was stirred for 16 hrs at rt. HPLC-MS showed the formation of the required product. The reaction was evaporated to dryness and the residue was purified by HPLC giving 7 mg of the product as light yellow solid.
Example 13a
Synthesis of 5-[5-Ethoxy-2-(quinoline-8-sulfonylamino)-phenylethynyl]- pyridine-2-carboxylic acid
Into a 50-mL round-bottom flask, was placed 3-bromo-4-nitrophenol (1 g,
4.36 mmol), N,N-dimethylformamide (20 mL). At 0°C sodium hydride (220 mg, 5.50 mmol) was added. After 30min, iodoethane (1.07 g, 6.52 mmol) was added. The resulting solution was stirred for 2 h at room temperature. The reaction was then quenched by the addition of 100 mL of water/ice. The resulting solution was extracted with 3x50 mL of ethyl acetate and the organic layers were combined. The organic phase was dried over anhydrous sodium sulfate and concentrated under vacuum. The residue was applied onto a silica gel column giving 917 mg (95%) of 2-bromo-4-ethoxyaniline as a yellow solid.
Into a 25-mL round-bottom flask, was placed 2-bromo-4-ethoxy-1- nitrobenzene (566.6 mg, 2.24 mmol), methyl 5-ethynylpyridine-2-carboxylate (445 mg, 2.71 mmol), Pd(PPh
3)
2CI
2 (161.5 mg, 0.22 mmol), Cul (43.8 mg, 0.22 mmol), TEA (6.55 mmol) and tetrahydrofuran (10 mL). The resulting solution was stirred overnight at room temperature. The reaction mixture was diluted with 50 mL of H
2O, extracted with 3x50 mL of ethyl acetate and the organic layers were combined. The mixture was dried over anhydrous sodium sulfate and concentrated under vacuum. The residue was applied onto a silica gel column giving 140 mg (18%) of methyl 5-[2-(5-ethoxy-2- nitrophenyl)ethynyl]pyridine-2-carboxylate as a red solid.
Into a 8-mL vial, was placed methyl 5-[2-(5-ethoxy-2-nitrophenyl)ethynyl]- pyridine-2-carboxylate (140 mg, 0.41 mmol), Fe (119.9 mg, 2.04 mmol), NH
4CI (92.5 mg, 1.64 mmol), methanol (2 mL) and water (1 mL). The resulting solution was stirred for 5 h at 70°C. The solids were filtered out. The resulting solution was diluted with 10 mL of H
2O . The pH value of the solution was adjusted to 7-8 with sodium bicarbonate (sat. aqueous solution). The resulting solution was extracted with 3x10 mL of ethyl acetate and the organic layers were combined. The mixture was dried over anhydrous sodium sulfate. This resulted in 80 mg (62%) of methyl 5-[2-(2-amino-5- ethoxyphenyl)ethynyl]pyridine-2-carboxylate as a yellow solid.
Into a 8-mL vial, was placed methyl 5-[2-(2-amino-5-ethoxyphenyl)- ethynyl]pyridine-2-carboxylate (62.5 mg, 0.20 mmol), quinoline-8-sulfonyl chloride (95.9 mg, 0.40 mmol), 4-dimethylaminopyridine (0.7 mg, 0.01 mmol), pyridine (2 mL). The resulting solution was stirred overnight at room temperature. The reaction mixture was diluted with 20 mL of H
2O, extracted with 3x20 mL of ethyl acetate and the organic layers were combined. The organic phase was dried over anhydrous sodium sulfate and concentrated under vacuum. The residue was applied onto a silica gel column. This resulted in 88.2 mg (82%) of methyl 5-[2-[5-ethoxy-2-(quinoline-8- sulfonamido)phenyl]ethynyl]pyridine-2-carboxylate as a yellow solid.
Into a 4-mL vial, was placed methyl 5-[2-[5-ethoxy-2-(quinoline-8-sulfon- amido)phenyl]ethynyl]pyridine-2-carboxylate (83 mg, 0.15 mmol), sodium hydroxide (68.2 mg, 1.62 mmol), tetrahydrofuran (1 mL), water (0.5 mL). The resulting solution was stirred for 2 h at room temperature and then concentrated under vacuum. The crude product (88 mg) was purified by Prep-HPLC. This resulted in 19.6 mg (27%) of 5-[2-[5-ethoxy-2-(quinoline-8- sulfonamido)phenyl]ethynyl]pyridine-2-carboxylic acid as a white solid. The compound exhibited a melting point of 200-202°C.
Example 14 - General Procedure 2 (GP2)
Compounds of formula (I) with L1 being a divalent -CH2- radical and L2 being a divalent -SO2- radical (i.e. sulfonyl derivatives) may be prepared in accordance with the following scheme and synthetic procedure described below with reference to 4-(2-{2-[(naphthalene-2-sulfonyl)methyl]phenyl}- ethynyl)benzoic acid utilizing suitable starting material:
2-(2-Bromobenzylsulfanyl)naphthalene
Naphthalene-2-thiol (200 mg; 1.25 mmol; 1 eq.) and potassium carbonate (86 mg; 0.62 mmol; 0.5 eq.) were placed in a reaction vessel. Then a solution of 2-bromobenzylbromide (350 mg; 1.4 mmol; 1.12 eq.) in anhydrous acetonitrile (5 ml) was added and sealed. Resulting mixture was stirred at RT for 48 h. After that time RM was poured into the water. Resulted slurry was basified with 1M NaOH and extracted with AcOEt. The organic layer was washed with aq. solution of NaOH, water and brine. Then it was dried over anhydrous sodium sulfate and filtered. The filtrate was evaporated under reduced pressure to give 2-(2-bromobenzylsulfanyl)naphthalene (382 mg; 1.1 mmol; yield 85 % as a bright beige waxy solid. 2-(2-Bromophenylmethanesulfonyl)naphthalene

A mixture of 2-(2-Bromobenzylsulfanyl)naphthalene (380 mg; 1.1 mmol; 1 eq.) and acetic acid (6 ml) was placed in 25 mL round bottom flask immersed in an ice bath. Then 30% hydrogen peroxide (1 ml; 10 mmol; 9.5 eq.) and water (0.5 ml) were added dropwise and the resulting mixture was stirred overnight at 50
°C. The reaction mixture was poured onto ice-water followed by ethyl acetate addition. The organic layer was taken up and washed with water, diluted aq. solution of NaOH, water, brine and dried over anhydrous sodium sulfate. The solvent was evaporated in vacuo to give 2-(2-bromophenyl- methanesulfonyl) naphthalene (307 mg; 0.8 mmol; yield 75%) as a beige solid which was used without further purification.
Methyl 3-(2-trimethylsillylethynyl)benzoate
Methyl 3-(2-trimethylsillylethynyl)benzoate was obtained as follows: methyl 4- bromobenzoate (2.5 g; 11.6 mmol; 1 eq.), ethynyltrimethylsilane (1.8 ml; 12.8 mmol; 1.1 eq.), copper (I) iodide (40 mg; 0.23 mmol; 0.02 eq.), diisopropyl- amine (1.85 ml; 12.8 mmol; 1.1 eq.) in acetonitrile (15 ml) were placed in a screw capped glass reacting tube. The resulted mixture was purged with argon for 10 min, then tetrakis(triphenylphosphine)palladium(0) (0.05 eq.) was added under Ar and the reacting tube was screwed. The RM was heated to 60-65 °C and stirred overnight. After cooling to RT the RM was diluted with diethyl ether and filtered by celite. Evaporation of the filtrate yielded methyl 3-(2-trimethyl- silylethynyl)benzoate (1.33 g; 5.5 mmol, yield 47%) as a brown oil.
Methyl-3-ethynylbenzoate was obtained as follows: methyl 3-(2-trimethylsilyl- ethynyl)benzoate (4.1 g; 12.3 mmol; 1 eq.) was dissolved in methanol (61 mL) and potassium carbonate (2.6 g; 18.4 mmol; 1.5 eq.) was added. RM was stirred for 20 min, then diluted with diethyl ether and subsequently washed with water and brine. The organic layer was dried over Na2SO4 and evaporated. The resulted oily crude product was purified by FCC (silica gel, hexane/EtOAc, gradient) yielding methyl 3-ethynylbenzoate (2.24 g; 10.9 mmol; yield 89 %) as a yellow powder.
Methyl 4-(2-{2-[(naphthalene-2-sulfonyl)methyl]phenyl}ethynyl)benzoate
Sonogashira coupling was conducted as follows: 2-(2-bromophenylmethane- sulfonyl)naphthalene (67 mg; 0.18 mmol; 1 eq.), 4-methyl ethynylbenzoate (45.4 mg; 0.22 mmol; 1.2 eq.), copper (I) iodide (3 mg; 0.02 mmol; 0.1 eq.) were placed in a sealed tube. The air from the tube was evacuated in vacuo and and the tube backfilled with argon (cycle was repeated 3 times), then diisopropylamine (0.028 ml; 0.2 mmol; 1.1 eq.) and anhydrous acetonitrile (2 ml) was added dropwise by syringe. The RM was stirred and heated to 65-70 °C for 18 h, cooled to RT and diluted with EtOAc and filtered by celite. The filtrate was evaporated, the resulting residue purified by FCC (silica, hexane/EtOAc, gradient) yielding methyl 4-(2-{2-[(naphthalene-2-sulfonyl)- methyl]phenyl}ethynyl)benzoate (20 mg; 0.04 mmol; 21 %) as colorless solid.
4-(2-{2-[(naphthalene-2-sulfonyl)methyl]phenyl}ethynyl)benzoic acid
Ester saponification step was conducted as follows: Methyl 4-(2-{2- [(naphthalene-2-sulfonyl)methyl]phenyl}ethynyl)benzoate (20 mg; 0.04 mmol) was dissolved in a mixture of 4 mL of methanol and 2 mL water, then lithium hydroxide (110 mg; 2,62 mmol, 14 eq.) was added. The resulting RM was stirred at RT for 3 h, diluted with waer and acidified to pH 3 with 2M HCI. The resulting solution was taken up by extraction with EtOAc. The organic layer was washed with water and brine, dried over Na2SO4 and evaporated. The crude product was purified by prep. HPLC yielding 4-(2-{2-[(naphthalene-2- sulfonyl)methyl]phenyl}ethynyl)benzoic acid (14.7 mg; 0.03 mmol; 19%) as a white solid.
Example 15 - General Procedure 3 (GP3)
Compounds of formula (I) with L1 being a divalent -N(C(=O)-Ra radical and L2 being a divalent -CH2- radical may be prepared in accordance with the following scheme and synthetic procedure described below with reference to 5-[2-(2-{N-[(naphthalen-2-yl)methyl]acetamido}phenyl)ethynyl]pyridine-2- carboxylic acid utilizing suitable starting material:
To a mixture of 2-Ethynylphenylamine (0.1 ml; 0.9 mmol; 1 eq.), triethylamine (0.14 ml; 1 mmol; 1.13 eq.) and anhydrous THF (1 ml) placed in 5 mL round bottom flask, cooled in an water-ice bath, the acetyl chloride (0.07 ml; 0.98 mmol; 1.12 eq.) was added, and the resulting mixture was allowed to warm up to RT. RM was stirred overnight and then partitioned between water and ethyl acetate. The organic layer was subsequently washed with water, brine and dried over anhydrous sodium sulfate. Solvent was removed under reduced pressure and the residue was purified by FCC (silica, hexane, hexane/ethyl acetate 20%, gradient) to give N-(2-Ethynylphenyl)acetamide (171 mg; 0.85 mmol; yield 96%) as a beige solid.
N-(2-ethynylphenyl)-N-(naphthalen-2-ylmethyl)-acetamide
A mixture of N-(2-Ethynyl-phenyl)-acetamide (120 mg; 0.6 mmol; 1 eq.), sodium hydride (60% in mineral oil, 26 mg; 0.65 mmol; 1.1 eq.) and anhydrous DMF (2 ml) was placed in 10 mL round bottom flask was stirred for 5 min. in an ice bath. Then 2-bromomethylnaphthalene (150 mg; 0.65 mmol; 1.1 eq.) was added and the resulting mixture was left to warm up to RT and stirred for 48 h at RT. Then the reaction mixture was partitioned between water and ethyl acetate. The organic layer was subsequently washed with water, brine, dried over anhydrous sodium sulfate and filtered. The filtrate was evaporated under reduced pressure and the residue was purified by FCC(silica, hexane, DCM, DCM/ethyl acetate 5%, gradient) to give N-(2-Ethynylphenyl)-N-(naphthalen- 2-ylmethyl)acetamide (161 mg; 0.44 mmol; yield 74%) as yellow gel.
5-[2-(2-{N-[(naphthalen-2-yl)methyl]acetamido}phenyl)ethynyl]pyridine-2- carboxylic acid methyl ester
Sonogashira coupling was conducted according to the procedure described above in Example 14: Starting from N-(2-Ethynylphenyl)-N-(naphthalen-2- ylmethyl)acetamide (154 mg; 0.42 mmol; 1 eq.) and 5-Bromopyridine-2- carboxylic acid methyl ester (122 mg; 0.57 mmol; 1.3 eq.) the 5-[2-(2-{N- [(naphthalen-2-yl)methyl]acetamido}phenyl)ethynyl]pyridine-2-carboxylic acid methyl ester (117 mg; 0.27 mmol; yield 63%) was obtained as colorless film. 5-[2-(2-{N-[(naphthalen-2-yl)methyl]acetamido}phenyl)ethynyl]pyridine-2- carboxylic acid
Ester saponification step was conducted as outlined above in Example 14. Starting from 5-[2-(2-{N-[(naphthalen-2-yl)methyl]acetamido}phenyl)ethynyl]- pyridine-2-carboxylic acid methyl ester (117 mg; 0.27 mmol; 1 eq) and lithium hydroxide (56 mg; 1.33 mmol; 5 eq.) the 5-[2-(2-{N-[(naphthalen-2-yl)methyl]- acetamido}phenyl)ethynyl]pyridine-2-carboxylic acid (81 mg; 0.2 mmol; yield 72%) as a light yellow slid.
Example 16 - General Procedure 4 (GP4)
Compounds of formula (I) with L1 being a divalent -N(C(=O)-NH2)-, -N(C(=O)- NHRa)- or-N(C(=O)-NRaRb)- radical and L2 being a divalent -CH2- radical may be prepared in accordance with the following scheme and synthetic procedure described below with reference to Methyl 5-[2-(2-{carbamoyl[(naphthalen-2- yl)methyl]amino}phenyl)ethynyl]pyridine-2-carboxylate utilizing suitable starting material:
Methyl 5-[2-(2-{carbamoyl[(naphthalen-2-yl)methyl]amino}phenyl)ethynyl]- pyridine-2-carboxylate
5-{2-[(Naphthalen-2-ylmethyl)amino]phenylethynyl}pyridine-2-carboxylic acid methyl ester
A mixture of 5-(2-aminophenylethynyl)pyridine-2 -carboxylic acid methyl ester (75 mg; 0.3 mmol; 1 eq.), 2-bromomethylnaphthalene (82 mg; 0.36 mmol; 1.2 eq.) and potassium carbonate (49 mg; 0.36 mmol; 1 .2 eq.), placed in a reacting vessel, was dissolved in DMF (0.6 ml) and bubbled under argon. The vessel was capped and the RM was heated at 80
°C overnight. Then RM was concentrated in vacuo and portioned between water and EtOAc. The organic layer was separated washed with water, dried over Na
2SO
4 and concentrated in vacuo to give an oil which was purified by FCC (hexane-EtOAc4:1 isocratic) to afford 5-{2-[(Naphthalen-2-ylmethyl)amino]phenylethynyl}pyridine-2- carboxylic acid methyl ester (66 mg; 0.2 mmol; yield 5%). Methyl 5-[2-(2-{carbamoyl[(naphthalen-2-yl)methyl]amino}phenyl)ethynyl]- pyridine-2 -carboxylate
To a stirred solution of chlorosulfonyl isocyanate (0.02 ml; 0.19 mmol; 1.20 eq.) in anhydrous THF (1.00 ml), the 5-{2-[(Naphthalen-2-ylmethyl)-amino]- phenylethynyl}-pyridine-2 -carboxylic acid methyl ester (65 mg; 0.16 mmol; 1 eq.) dissolved in anhydrous THF (1 ml), was slowly added at -10°C. RM was stirred at -10°C for 1 h and then was quenched with water (1 mL), stirred for 30 min at room temperature. The 2N NaOH was added until pH 10, and resulting mixture was extracted with AcOEt, dried over Na2SO4 and evaporated. The crude product was dissolved in DCM and Et20 was added, solid was filtered off and washed with Et20 to obtain methyl 5-[2-(2-{carbamoyl[(naphthalen-2- yl)methyl]amino}phenyl)ethynyl]pyridine-2-carboxylate (55 mg; 0.12 mmol; yield 74%) as yellow solid.
Example 17
Synthesis of 5-[2-(2-oxooxazolidine-3-sulfonylamino) phenylethynyl] pyridine-2-carboxylic acid methyl esters
A solution of chlorosulfonyl isocyanate (0.1 ml; 1.16 mmol; 1 eq.) dissolved in anhydrous DCM (4 ml) was cooled to 0
°C. Then 2-chloroethanol (0.08 ml; 1.16 mmol; 1 eq.) was added slowly and resulted mixture was stirred for 2 h at 0
°C. Then the solution of 5-(2-aminophenylethynyl)pyridine-2-carboxylic acid methyl ester (300 mg; 1.16 mmol; 1 eq.) and triethylamine (0.45 ml; 3.5 mmol; 3 eq.) in anhydrous DCM (4 ml) was added slowly into the RM. Resulted solution warmed RT and stirred overnight. Then RM was quenched with 2M HCI and saturated NaCI. Organic layer was separated and water phase was additionally washed twice with DCM. Organic layers were combined and dried over Na
2SO
4, concentrated in vacuo. Crude product was purified by FCC (hexane 100% to EtOAc 100%1 :2 gradient) yielding 5-[2-(2-Oxooxazolidine-3- sulfonylamino) phenylethynyl] pyridine-2-carboxylic acid methyl ester (198 mg; 0.41 mmol; yield 35%) as a white fine powder.
Example 18
Synthesis of rac-5-[2-(2-{[(4aR,8aS)-decahydroquinoline-1 -sulfonyl]- amino}phenyl)ethynyl]pyridine-2-carboxylic acid methyl ester
5-[2-(2-oxooxazolidine-3-sulfonylamino)-phenylethynyl]pyridine-2-carboxylic acid methyl ester (67 mg; 0.15 mmol; 1 eq.) of Example 17 above was added to trans-decahydro-quinoline (61 mg; 0.44 mmol; 2.9 eq.) dissolved in toluene (0.5 ml) placed in a reaction vessel. RM was flushed with argon and capped. Resulted mixture was stirred for 6 h at 80°C. Then RM was evaporated to give yellow oily residue. Crude product was purified by FCC (hexane-EtOAc 2:1 isocratic) to afford rac-5-{2-[(4aS,8aR)-(octahydro-quinolin-1-yl)sulfonyl- amino]phenylethynyl}pyridine-2-carboxylic acid methyl ester (35 mg; 0.07 mmol; yield 46%) as yellow solid.
Example 19
Synthesis of rac-5-[2-(2-{[(4aR,8aS)-decahydroquinoline-1 -sulfonyl]- amino}phenyl)ethynyl]pyridine-2-carboxylic acid
To a stirred solution of rac-5-{2-[(4aS,8aR)-(decahydroquinolin-1-yl)sulfonyl- amino]phenylethynyl}-pyridine-2 -carboxylic acid methyl ester (30 mg; 0.06 mmol; 1 eq.) of Example 18 in water (0.5 ml) and THF (0.5 ml) was added lithium hydroxide (28 mg; 1.2 mmol; 20 eq.). RM was stirred at room temperature overnight. RM was concentrated and neutralized with 1 N HCI, then aqueous layer was extracted with EtOAc, dried over Na2SO4, and evaporated. The crude product was purified by FIPLC preparative (ACN gradient in 0.1 % TFA) to afford 5-{2-[(4aS,8aR)-(decahydroquinolin-1-yl)- sulfonylamino]phenylethynyl}pyridine-2-carboxylic acid (25 mg; 0.06 mmol; yield 99%) as a pale yellow solid.
Example 20
Synthesis of 5-{2-[2-({1 H,2H,3H-pyrrolo[2,3-b]pyridine-1 -sulfonyl}- amino)phenyl]ethynyl}pyridine-2-carboxylic acid methyl ester
5-[2-(2-Oxooxazolidine-3-sulfonylamino)-henylethynyl]-yridine-2 -carboxylic acid methyl ester (70 mg; 0.14 mmol; 1 eq.) (Example 17) was added to the 2,3-dihydro-7-azaindole (49 mg; 0.41 mmol; 2.9 eq.) dissolved in anhydrous acetonitrile (1 ml) placed in reacting vessel. RM was flushed with argon and capped. Resulted yellow mixture was stirred for 6 h at 100C. Then content was evaporated to give yellow oily residue. Resulting oil was purified by FCC (SiHP column, hexane-EtOAc 2:1 isocratic) to give 5-[2-(2,3-dihydropyrrolo[2,3- b]pyridine-1-sulfonylamin)phenylethynyl]pyridine-2-carboxylic acid methyl ester (35 mg; 0.08 mmol; yield 56%) as a white solid.
Example 21
5-{2-[2-({1H,2H,3H-pyrrolo[2,3-b]pyridine-1-sulfonyl}amino)phenyl]- ethynyl}pyridine-2-carboxylic acid
Saponification of 5-{2-[2-({1 H,2H,3H-pyrrolo[2,3-b]pyridine-1 -sulfonyl}amino)- phenyl]ethynyl}pyridine-2-carboxylic acid methyl ester was conducted in accordince to procedure described above in Example 19: Starting from 5-[2- (2,3-dihydropyrrolo[2,3-b]pyridine-1-sulfonylamino)phenylethynyl]pyridine-2- carboxylic acid methyl ester (15 mg; 0.03 mmol; 1 eq.) the 5-[2-(2,3- dihydropyrrolo[2,3-b]pyridine-1-sulfonylamino)phenylethynyl]pyridine-2- carboxylic acid (10 mg; 0.02 mmol; yield 68%) was obtained as a white solid.
Example 22
Synthesis of 5-{2-[2-(7-methylquinoline-8-sulfonamido)phenyl]ethynyl}- 4-(prop-1 -en-2-yl)pyridine-2-carboxylic acid
Methyl 5-(2-aminophenylethynyl)-4-chloropyridine-2-carboxylate
The 2-ethynylphenylamine (0.13 ml; 1.19 mmol; 1 eq.) and methyl 5-bromo-4- chloropyridine-2-carboxylate (300 mg; 1.19 mmol; 1 eq.), were added to the reaction vessel containing mixture of acetonitrile (5 ml), and diisopropylamine (0.26 ml; 1.78 mmol; 1.5 eq.). The resulting mixture was was bubbled with argon for 10 min, then the copper (I) iodide (6.77 mg; 0.04 mmol; 0.03 eq.) and tetrakis(triphenylphosphine)palladium(0) (41.11 mg; 0.04 mmol; 0.03 eq.) were added under Ar atm and vessel was capped. RM was stirred at 65°C for 3h. RM was cooled down to RT, diluted with AcOEt and filtered through a pad of celite®. Filtrate was evaporated and residue was purified by FCC (SiHP, DCM-DCM:MeOH 20%) to give methyl 5-(2-aminophenylethynyl)-4-chloro- pyridine-2-carboxylate (306 mg; 1.06 mmol; yield 89%) as yellow solid.
Methyl 5-(2-aminophenylethynyl)-4-isopropenylpyridine-2-carboxylate
Microwave vial was charged with 5-(2-aminophenylethynyl)-4-chloropyridine- 2-carboxylic acid methyl ester (100 mg; 0.35 mmol; 1 eq.), K3HOPH24 (220 mg; 1 mmol; 3 eq.), potassium acetate (8.5 mg; 0.09 mmol; 0.25 eq.) and [1 ,1 - bis(diphenylphosphino)ferrocene]dichloropalladium(ll) (PdCI2(dppf)2) (25 mg; 0.03 mmol; 0.1 eq.). The tube was sealed with a septum, air evacuated under vacuum, and back filled with argon (the cycle was repeated three times) and mixture of [1 ,4]-dioxane (2 ml) and 2-isopropenyl-4,4,5,5-tetramethyl-[1 ,3,2]- dioxaborolane (0.1 ml; 0.52 mmol; 1 .5 eq.) was added by syringe. The reaction was stirred at 80°C for 24h, cooled to room temperature and filtrated through a pad of celite®. Solvent was evaporated and residue was purified by FCC (SiHP, DCM-DCM:MeOH 20%) to yield 5-(2-aminophenylethynyl)-4- isopropenylpyridine-2-carboxylic acid methyl ester (69 mg; 0.23 mmol; yield 68%) as yellow solid.
4-lsopropenyl-5-[2-(7-methylquinoline-8-sulfonylamino)-phenylethynyl]- pyridine-2-carboxylic acid methyl ester
7-Methylquinoline-8-sulfonyl chloride (67.77 mg; 0.28 mmol; 1.20 eq.) was added to the solution of 5-(2-aminophenylethynyl)-4-isopropenylpyridine-2- carboxylic acid methyl ester (0.07 ml; 0.23 mmol; 1 eq.) in pyridine (2 ml). Reaction was carried out in overnight. Then pyridine was evaporated with toluene and residue was purified by FCC (SiHP, hexane -> hexane: EtOAc 50% v/v) to yield 4-lsopropenyl-5-[2-(7-methylquinoline-8-sulfonylamino)-phenyl- ethynyl]-pyridine-2 -carboxylic acid methyl ester (60 mg; 0.12 mmol; yield 51 %) as a light yellow solid.
5-{2-[2-(7-methylquinoline-8-sulfonamido)phenyl]ethynyl}-4-(prop-1-en-2- yl)pyridine-2-carboxylic acid
4-lsopropenyl-5-[2-(7-methylquinoline-8-sulfonylamino)-phenylethynyl]- pyridine-2-carboxylic acid methyl ester (60 mg; 0.12 mmol; 1 eq.) was dissolved in mixture of THF (2 ml), Methanol (5 ml). The solution of water (2 ml) and lithium hydroxide hydrate (125 mg; 3 mmol; 25 eq.) was added. RM was stirred overnight at RT. Then RM was diluted with AcOEt, washed with water in the presence of 2M HCI and extracted with AcOEt. Combined organic layers was dried over Na2SO4 and evaporated to give 4-lsopropenyl-5-[2-(7- methylquinoline-8-sulfonylamino)-phenylethynyl]-pyridine-2 -carboxylic acid
(55 mg; 0.11 mmol; yield 94%) as a light yellow solid.
5-{2-[2-(5-Methoxy-8-sulfonamido)phenyl]ethynyl}-4-(prop-1-en-2-yl)pyridine- 2-carboxylic acid
5-{2-[2-(5-Methoxy-8-sulfonamido)phenyl]ethynyl}-4-(prop-1-en-2-yl)pyridine- 2-carboxylic acid was obtained in accordance with the procedure described above in Example 21 .
Example 23
5-{2-[2-(7-Methyl-8-sulfonamido)phenyl]ethynyl}-4-(prop-1-en-2-yl)pyridine-2- carboxylic acid
Sodium ethoxide 1 M solution in EtOH (0.23 ml; 0.62 mmol; 10 eq.) was added to the solution of 4-chloro-5-[2-(7-methyl-quinoline-8-sulfonylamino)-phenyl- ethynyl]-pyridine-2-carboxylic acid (30 mg; 0.06 mmol; 1 eq.) in ethanol (0.5 ml). Reaction was carried out overnight at 100°C. Solvent was evaporated and crude product was purified by preparative HPLC (ACN/0.1% TFA) to give 4- ethoxy-5-[2-(7-methyl-quinoline-8-sulfonylamino)-phenylethynyl]-pyridine-2- carboxylic acid (18 mg; 0.04 mmol; yield 60 %) as white solid.
Example 24
4-hydroxy-5-{2-[2-(7-methylquinoline-8-sulfonamido)phenyl]ethynyl}- pyridine-2-carboxylic acid
4-Methoxy-5-[2-(7-methyl-quinoline-8-sulfonylamino)-phenylethynyl]-pyridine- 2-carboxylic acid (41 mg; 0.08 mmol; 1 eq.) was dissolved in anhydrous dichloromethane (4 ml) and cooled to 0°C. Then boron tribromide 1M solution in DCM (0.24 ml; 0.24 mmol; 3 eq.) was added slowly at 0° under stirring. RM was allowed to warm to RT and stirred overnight. After16 h RM was cooled once again to 0°C and water was added slowly. After quenching product was extracted with n-butanol, organic layers were collected and evaporated. The residue was washed with small amount of water to remove inorganic salts. Crude product was purified by preparative HPLC (ACN/0.1% TFA)) to give 4- hydroxy-5-[2-(7-methylquinoline-8-sulfonylamino)-phenylethynyl]-pyridine-2- carboxylic acid (6 mg; 0.01 mmol; yield 16 %) as a beige solid.
Example 25
7-Methyl-N-[2-(2-{7-oxo-5H,7H-furo[3,4-b]pyridin-3-yl}ethynyl)phenyl]- quinoline-8-sulfonamide
N-(2-Ethynylphenyl)-7-methylquinolin-8-ylsulfonamide
The following synthesis can serve as an alternative to GP1 for preparing N-(2- ethynylphenyl)-sulfonamides of the invention.
A mixture of 2-ethynylphenylamine (136 pi; 1.2 mmol; 1 eq.), 7-methyl- quinoline-8-sulfonyl chloride (390 mg; 1.6 mmol; 1.35 eq.) and pyridine (3 ml) was left stirring at room temperature until 2-ethynylphenylamine decayed. Then the reaction mixture was co-evaporated with toluene under reduced pressure and the residue was purified by FCC (SiHP, hexane, DCM, gradient) to give N-(2-ethynylphenyl)-7-methylquinolin-8-ylsulfonamide (374 mg; 1.14 mmol; yield 96 %) as light beige solid. tert-Butyl N-(2-ethynylphenyl)-N-[(7-methylquinolin-8-yl)sulfonyl]carbamate
N-(2-Ethynylphenyl)-7-methylquinolin-8-ylsulfonamide (374 mg; 1.14 mmol; 1 eq.), DMAP (28 mg; 0.23 mmol; 0.2 eq.) and anhydrous acetonitrile (5 ml) was stirred at RT for 5 min. Then, the mixture was heated to 80°C. The solution of tert-butoxycarbonyl tert-butyl carbonate (BOC2O) (1 g; 4.6 mmol; 4 eq.) in acetonitrile (anhydrous) (2 ml) was added to the reaction mixture in four portions during 1 hour. The heating was continued for additional 0.5 h and left for overnight stirring at room temperature. The reaction mixture was portioned between ethyl acetate and water. The organic layer was subsequently washed with saturated NH4CI water solution, water, brine, dried over anhydrous sodium sulfate and filtered. The filtrate was evaporated under reduced pressure and the residue was purified by FCC (SiHP, hexane/ethyl acetate, gradient) to give tert-butyl N-(2-ethynylphenyl)-N-[(7-methylquinolin-8-yl)- sulfonyl]carbamate (385 mg; 0.72 mmol; yield 63%) as light beige solid.
Methyl 5-bromo-3-(bromomethyl)pyridine-2-carboxylate
To a solution of methyl 5-bromo-3-methylpyridine-2-carboxylate (200 mg; 0.9 mmol; 1 eq.) in CCl
4 (5ml) the N-Bromosuccinimide (162 mg; 0.9 mmol; 1 eq.) and 2,2'-Azobis(2-methylpropionitrile) (2.9 mg; 0.02 mmol; 0.02 eq.) were added under inert atmosphere. Resulted reaction mixture was refluxed for 5h under argon stream. Than the RM was cooled to RT and evaporated in vacuo to give crude methyl 5-bromo-3-(bromomethyl)pyridine-2-carboxylate (439 mg; 0.78 mmol; 90%) as yellowish semisolid which was used to next step without further purification.
Methyl 3-[(acetyloxy)methyl]-5-bromopyridine-2-carboxylate
Methyl 5-bromo-3-(bromomethyl)pyridine-2-carboxylate (439 mg; 0.8 mmol; 1 eq.), anhydrous sodium acetate (982 mg; 12 mmol; 15 eq.) and glacial acetic acid (3 ml) were placed into flame dried reacting vessel. The vessel content was purged with argon, capped and placed in preheated to 120°C an oil bath. RM was stirred for 30 min at 120°C and cooled down to RT. RM was cooled down and neutralized with saturated sodium bicarbonate, diluted with water and extracted with AcOEt. Combined organic extracts were subsequently washed with water, brine and dried over anhydrous Na2SO4 and evaporated. Residue was purified by FCC (SiHP, hexane/EtOAc, gradient) to give Methyl 3-[(acetyloxy)methyl]-5-bromopyridine-2-carboxylate (84 mg; 0.3 mmol; yield 37%) as orange solid.
Methyl 3-[(acetyloxy)methyl]-5-[2-(2-{N-[(tert-butoxy)carbonyl]7-methyl- quinoline-8-sulfonamido}phenyl)ethynyl]pyridine-2-carboxylate
Sonogashira coupling was conducted accordingly to general procedure for Sonogashira coupling described above giving methyl 3-[(acetyloxy)methyl]-5- [2-(2-{N-[(tert-butoxy)carbonyl]7-methylquinoline-8-sulfonamido}phenyl)- ethynyl]pyridine-2-carboxylate (110 mg; 0.17 mmol; yield 99%) as beige solid.
Methyl 3-[(acetyloxy)methyl]-5-{2-[2-(7-methylquinoline-8-sulfonamido)- phenyl]ethynyl}pyridine-2-carboxylate
Methyl 3-[(acetyloxy)methyl]-5-[2-(2-{N-[(tert-butoxy)carbonyl]7-methyl- quinoline-8-sulfonamido}phenyl)ethynyl]pyridine-2-carboxylate (111 mg; 0.17 mmol; 1 eq.) was dissolved in anhydrous dichloromethane (3 ml) and cooled to 0°C. The trifluoroacetic acid (1 ml; 13 mmol; 76 eq.) was added dropwise while stirring and ice bath was removed. Stirring continued for 18 hours at RT to complete reaction. The RM was quenched by slow dropwise addition of saturated sodium bicarbonate and extracted with DCM. Combined organic extracts were subsequently washed with water and brine, dried over anhydrous Na2SO4 and evaporated to give crude methyl 3-[(acetyloxy)methyl]- 5-{2-[2-(7-methylquinoline-8-sulfonamido)phenyl]ethynyl}pyridine-2- carboxylate (86 mg; 0.16 mmol; yield 94%) as brown solid.
3-(Hydroxymethyl)-5-{2-[2-(7-methylquinoline-8-sulfonamido)phenyl]ethynyl}- pyridine-2-carboxylic acid and 7-methyl-N-[2-(2-{7-oxo-5H,7H-furo[3,4- b]pyridin-3-yl}ethynyl)phenyl]quinoline-8-sulfonamide
Methyl 3-[(acetyloxy)methyl]-5-{2-[2-(7-methylquinoline-8-sulfonamido)- phenyl]ethynyl}pyridine-2-carboxylate (86 mg; 0.16 mmol; 1 eq.) was dissolved in THF (5 ml). Water (2 ml) was added to resulted mixture followed by lithium hydroxide hydrate (34 mg; 0.8 mmol; 5 eq.) addition. The resulting mixture was stirred for 5 hours at RT. Then RM was concentrated under reduced pressure, acidified using 1 M hydrochloric acid 6 pH and extracted with AcOEt. The organic layer was subsequently washed with water, brine, dried over anhydrous Na2SO4, filtered and evaporated under reduced pressure. The residue was purified by preparative HPLC chromatography (0,1 %FA with MeCN gradient) to give mixture of the compounds, 84% and 15% respectively. Both compounds were separated using FCC (SiHP column, hexane/EtOAc 100%, gradient) to give:
3-(hydroxymethyl)-5-{2-[2-(7-methylquinoline-8-sulfonamido)phenyl]ethynyl}- pyridine-2-carboxylic acid (20 mg; 0.04 mmol; yield 26%) as yellowish solid; and
7-methyl-N-[2-(2-{7-oxo-5H,7H-furo[3,4-b]pyridin-3-yl}ethynyl)phenyl]- quinoline-8-sulfonamide (6 mg; 0.01 mmol; yield 8%) as white solid.
Example 26 - General procedure 5 (GP5)
Compounds of formula (I) L1 being a divalent -N(CHO)- radical; and L2 being a divalent -CH
2 - radical may be prepared in accordance with the following scheme and synthetic procedure described below for -[2-(2-{N-[(6-phenyl- pyridin-3-yl)methyl]formamido}phenyl)ethynyl]pyridine-2-carboxylic acid:
To a round-bottom flask acetic formic anhydride was generated by the dropwise addition of formic acid (0.27 ml; 7.16 mmol) to acetic anhydride (0.81 ml; 8.59 mmol) at 0°C. The mixture was added to a solution of (2-iodo-phenyl)- (6-phenyl-pyridin-3-ylmethyl)-amine (189.00 mg; 0.48 mmol) in tetrahydro- furan (3.00 ml). The mixture was stirred at 70°C overnight. UPLC analysis showed conversion of starting material to desire product. Work-up: Solvents were removed in vacuo and residue was purified by FCC (SiHP column, 0- 50% ethyl acetate gradient in hexane) provide to: N-(2-iodo-phenyl)-N-(6- phenyl-pyridin-3-ylmethyl)-formamide (196.00 mg; 0.47 mmol; 99.2 %; yellow oil).
5-Trimethylsilanylethynyl-pyridine-2 -carboxylic acid methyl ester (2.04 g; 8.49 mmol) was dissolved in anhydrous methanol (20.00 ml) at room temperature. Then potasium carbonate (23.46 mg; 0.17 mmol) was added. The mixture is stirred for 15min under argon at RT. UPLC analysis showed that SM material was still present in RM. Then the RM was left stirring o/w. Full conversion of SM was confirmed by TLC (ehtyl acetate/hexane 1/4). Work-up: The reaction mixture was evaporated under reduced pressure (bath temperature below 30°C). Crude product was purified by FCC (SiHP column, 0-30% ethyl acetate gradient in hexane) provide to: 5-Ethynyl-pyridine-2-carboxylic acid methyl ester (1.17 g; 7.26 mmol; 85.5 %; light yellow solid).
Step A:
A pressure vessel was charged with N-(2-iodo-phenyl)-N-(6-phenyl-pyridin-3- ylmethyl)-formamide (190.00 mg; 0.46 mmol), 5-ethynyl-pyridine-2-carboxylic acid methyl ester (147.84 mg; 0.92 mmol), triethylamine (anhydrous) (0.26 ml; 1.83 mmol) and N,N-dimethylformamide anhydrous, 99.8% (4.00 ml). The resulting mixture was purged with argon for 10 min. Then Copper(l) iodide, 98% (13.98 mg; 0.07 mmol) and Bis(triphenylphosphine)palladium(ll) dichloride (12.88 mg; 0.02 mmol) were added. The reaction mixture was heated with stirring at 85°C overnight. Conversion of starting matarial was confirmed by UPLC. The reaction mixture was cooled down, quenched with saturated aqueous solution of NH4CI and extracted to ethyl acetate. The organic layer were washed with brine and dried over Na2SO4. The solvent were removed under reduced pressure and crude product was purified by FCC (SiHP column, 0-80% ethyl acetate gradient in hexane) providing 5-{2-[formyl- (6-phenyl-pyridin-3-ylmethyl)-amino]-phenylethynyl}-pyridine-2 -carboxylic acid methyl ester (183.00 mg; 0.41 mmol; 89.2 %; yellow solid). Step B:
The ester from step A was dissolved in THF (6.00 ml) and water (2.00 ml). Then lithium hydroxide monohydrate (57.74 mg; 1.38 mmol) was added and reaction mixture was stirred at RT overnight. Conversion of starting material was confirmed by TLC. The reaction mixture was partially evaporated to remove THF, then diluted with additional portion of water and neutralized with 1 M HCI. Precipitated product was extracted to ethyl acetate. The organic layer was washed with brine and dried over Na2SO4. The crude product was purified by preparative HPLC (TFA) and gave after freeze-drying 5-{2-[formyl-(6- phenyl-pyridin-3-ylmethyl)-amino]-phenylethynyl}-pyridine-2 -carboxylic acid (120.00 mg; 0.28 mmol; 60.1 %; yellow solid).
Example 27 - General Procedure 6 (GP6)
Compounds of formula (I) R
2 being either an alkoxy or amino substituent may be prepared in accordance with the following scheme and synthetic procedure described below:
3-{[(4-methoxyphenyl)methyl]amino}-5-{2-[2-(7-methylquinoline-8-sulfon- am ido)phenyl]ethynyl}pyridine-2 -carboxylic acid
Methyl 3-(benzylamino)-5-bromopyridine-2-carboxylate
A mixture of methyl 5-bromo-3-fluoro-pyridine-2-carboxylate (390mg; 1.7 mmol; 1 eq.) and 4-methoxy-benzylamine (0.34 ml; 2.5 mmol; 1.5 eq.) in 4- methylmorpholine (4 ml) was heated at 110°C for 2h. The reaction mixture was concentrated and crude product was purified by FCC (SiHP, hexane/EtOAc, gradient) to give methyl 3-(benzylamino)-5-bromopyridine-2-carboxylate ester (471 mg; 1.33 mmol; yield 80%) as light yellow solid.
Methyl 3-(methylamino)-5-bromopyridine-2-carboxylate
A pressure reactor vessel was charged with methyl 5-bromo-3-fluoro-pyridine- 2-carboxylate (150 mg; 0.64 mmol; 1 eq.), methenamine hydrochloride (173 mg; 2.56 mmol; 4 eq.), Cesium carbonate (835 mg; 2.56 mmol; 4 eq.), then the vessel was capped and filled with argon. Then anhydrous toluene (3 ml) was added via syringe. The reaction mixture was stirred at 105°C for 16 hours with stirring. The reaction mixture was diluted with ethyl acetate and subsequently washed with water and brine, dried over Na2SO4, evaporated under reduced pressure to provide: methyl 3-(methylamino)-5-bromopyridine- 2-carboxylate (159 mg; 0.61 mmol; yield 95%) as yellow solid which was used in next step without further purification.
Methyl 3-(ethoxy)-5-bromopyridine-2-carboxylate
Step 1
In oven dried glass reacting vessel with septum methyl 5-bromo-3-fluoro- pyridine-2-carboxylate (130 mg; 0.56 mmol; 1 eq.) was dissolved in anhydrous ethanol (2 ml), 21 % wt sodium ethanolate solution in ethanol (1 ml; 2.8 mmol; 5 eq.) was added and vessel was capped. The RM was stirred at 65°C for 2 hours and than left for overnight stirring at RT. After that time RM was evaporated to dryness. Remaining solid was portioned by ethyl acetate and water, acidified to pH 4 with 1 M hydrochloric acid. The organic layer was collected, and water layer was extracted with EtOAC. The combined organic extracts washed with water and dried over anhydrous Na2SO4. EtOAc was evaporated in vacuo to give crude product which was purified by FCC (SiHP column, DCM-->DCM/MeOH = 9:1 , v/v) to give 5-bromo-3-ethoxypyridine-2- carboxylic acid (107 mg; 0.4 mmol; yield 72%) as light beige solid.
Step 2
Thionyl chloride (51 μl; 0.84 mmol; 2.1 eq.) was dropped in to the mixture of 5- bromo-3-ethoxy-pyridine-2-carboxylic acid (107 mg; 0.4 mmol; 1 eq.) in anhydrous methanol (3 ml; 74 mmol) over 10 min at 0°C. RM was stirred at 0°C for 30 min, then ice bath was removed and was stirred at RT for 2 hours. RM was refluxed for 2 hours. The RM was cooled down and methanol was evaporated in vacuo. The remining residue were portioned by EtOAC and water. The organic layer was collected and water layer was extracted with EtOAc. Combined organic layers were subsequently washed with saturated sodium bicarbonate, water brine, dried over Na
2SO
4 and evaporated. Residue was purified by by FCC (SiHP column, hexane/EtOAc, gradient) to give methyl 5-bromo-3-ethoxypyridine-2-carboxylate (102 mg; 0.36 mmol; yield 91 %) as beige solid. Methyl 5-[2-(2-aminophenyl)ethynyl]-3-(benzylamino)pyridine-2-carboxylate
Sonogashira coupling was conducted accordingl to the general procedure for Sonogashira coupling described above. Starting from methyl 3-(methylamino)- 5-bromopyridine-2-carboxylate (270 mg; 0.76 mmol; 1.1 eq.) and 2-ethynyl- phenylamine (0.08 ml; 0.69 mmol; 1 eq.) the methyl 5-[2-(2-amino- phenyl)ethynyl]-3-(benzylamino)pyridine-2-carboxylate (170 mg; 0.43 mmol; yield 62 %) was obtained as orange solid.
Methyl 3-(benzylamino)-5-{2-[2-(7-methylquinoline-8-sulfonamido)phenyl]- ethynyl}pyridine-2-carboxylate
Sulfonamide synthesis was conducted accordingly to procedure described above: Starting from methyl 5-[2-(2-aminophenyl)ethynyl]-3-(benzylamino)- pyridine-2-carboxylate (38 mg; 0.09 mmol; 1 eq) and 7-Methyl-quinoline-8- sulfonylchloride (28 mg; 0.11 mmol; 1.2 eq.) the methyl 3-(benzylamino)-5-{2- [2-(7-methylquinoline-8-sulfonamido)phenyl]ethynyl}pyridine-2-carboxylate (55 mg; 0.09 mmol; yield 94%) was obtained as yellow solid.
Methyl 3-amino-5-{2-[2-(7-methylquinoline-8-sulfonamido)phenyl]ethynyl}- pyridine-2-carboxylate
To a solution of methyl 3-(benzylamino)-5-{2-[2-(7-methylquinoline-8-sulfon- amido)phenyl]ethynyl}pyridine-2-carboxylate (40 mg; 0.06 mmol; 1 eq.) in anhydrous dichloromethane (1 ml) trifluoroacetic acid (0.5 ml; 6.48 mmol; 100 eq.) was added and RM was stirred at RT for 18 h. Then the solvent was evaporated in vacuo and crude product was purified by FCC (silica, hexane/EtOAc, gradient) to give methyl 3-amino-5-{2-[2-(7-methylquinoline-8- sulfonamido)phenyl]ethynyl}pyridine-2-carboxylate (25 mg; 0.05 mmol; yield
80%) as yellow solid.
3-{[(4-Methoxyphenyl)methyl]amino}-5-{2-[2-(7-methylquinoline-8-sulfon- am ido)phenyl]ethynyl}pyridine-2 -carboxylic acid
Saponification step was conducted according to the procedure described above: Starting from methyl 3-(benzylamino)-5-{2-[2-(7-methylquinoline-8- sulfonamido)phenyl]ethynyl}pyridine-2-carboxylate (10 mg; 0.02 mmol; 1 eq.),
3-{[(4-methoxyphenyl)methyl]amino}-5-{2-[2-(7-methylquinoline-8-sulfon- amido)phenyl]ethynyl}pyridine-2-carboxylic acid (8 mg; 0.01 mmol; yield 82%)was obtained as yellow solid.
3-Amino-5-{2-[2-(7-methylquinoline-8-sulfonamido)phenyl]ethynyl}pyridine-2- carboxylic acid
Saponification step was conducted accordingly to the procedure described above: Starting from methyl 3-amino-5-{2-[2-(7-methylquinoline-8-sulfon- amido)phenyl]ethynyl}pyridine-2-carboxylate (25 mg; 0.05 mmol; 1 eq.), the 3- amino-5-{2-[2-(7-methylquinoline-8-sulfonamido)phenyl]ethynyl}pyridine-2- carboxylic acid (11 mg; 0.02 mmol; yield 46%) was obtained as light yellow solid.
Example 28
8-{2-[2-(7-Methylquinoline-8-sulfonamido)phenyl]ethynyl}-1H,2H,3H,4H- pyrido[3,4-b]pyrazine-5-carboxylic acid
5,8-Dibromopyrido[3,4-b]pyrazine
To a mixture of 3,4-diamino-2,5-dibromopyridine (300 mg; 1.12 mmol; 1 eq.) in anhydrous ethanol (2 ml) glyoxal 40 wt. % in water (0.45 ml; 4 mmol; 3.5 eq.) was added and reaction mixture was heated at 70°C o/n. Ethanol was evaporated and the residue was purified by FCC (silica, hexane/EtOAc gradient) to afford 5,8-dibromo-pyrido[3,4-b]pyrazine (238 mg; 08 mmol; yield 70%) as light yellow solid.
8-Bromopyrido[3,4-b]pyrazine-5-carbonitrile
To a mixture of 5,8-dibromopyrido[3,4-b]pyrazine (238 mg; 0.79 mmol; 1 eq.) in anhydrous DMF 3 ml) placed in glass reacting vessel copper(l) cyanide (78 mg; 0.87 mmol; 1.1 eq.) was added and vessel was capped. The reaction mixture was heated at 120°C overnight. Then reaction was quenched with water and resulted mixture was extracted with EtOAc. Organic layers were combined and washed with brine, dried over Na2SO4 and evaporated to give 8-bromopyrido[3,4-b]pyrazine-5-carbonitrile (190 mg; 0.47 mmol; yield 60%) as yellow solid. Crude product was used in without further purification.
8-Bromo-1 H,2H,3H,4H-pyrido[3,4-b]pyrazine-5-carboxylic acid
To a mixture of 8-bromopyrido[3,4-b]pyrazine-5-carbonitrile (190 mg; 0.47 mmol; 1 eq.) in anhydrous ethanol (4 ml), the sodium borohydride (63 mg; 1 .66 mmol; 3.5 eq.) was added and RM was stirred at 40°C overnight to complete reduction. The RM was cooled down to RT and 5M NaOH (1 .2 ml; 5.68 mmol; 12 eq.) was added and RM was heated at 50°C for 1 h. Then solvent was evaporated and the residue was portioned EtOAc and saturated sodium bicarbonate. Organic layers were combined and washed with brine, dried over Na2SO4 and evaporated to give 8-bromo-1 H,2H,3H,4H-pyrido[3,4-b]pyrazine-
5-carboxylic acid (124 mg; 0.35 mmol; yield 75%) as a colorless solid. Methyl 8-bromo-1 H,2H,3H,4H-pyrido[3,4-b]pyrazine-5-carboxylate
Thionyl chloride (0.3 ml; 4.07 mmol; 3 eq.) was dropped in to the mixture of 8- bromo-1 H,2H,3H,4H-pyrido[3,4-b]pyrazine-5-carboxylic acid (110 mg; 0.14 mmol; 1 eq.) in anhydrous methanol (3 ml) placed in glass reacting vessel. The vessel was capped and RM was heated to reflux overnight. Then methanol was evaporated, and the residue was extracted with water and EtOAc. Organic layers were combined and subsequently washed with water, saturated sodium bicarbonate and brine. Organic layer was dried over Na2SO4 and evaporated to give methyl 8-bromo-1 H,2H,3H,4H-pyrido[3,4-b]pyrazine-5-carboxylate (72. mg; 0.26 mmol; yield 72%) as an orange solid.
Methyl 8-[2-(2-{N-[(tert-butoxy)carbonyl]7-methylquinoline-8-sulfonamido}- phenyl)ethynyl]-1 H,2H,3H,4H-pyrido[3,4-b]pyrazine-5-carboxylate
The Sonogashira coupling step was conducted according to the procedure for BOC protected sulfonamides as described above in Example 25: Starting from tert-butyl N-(2-ethynylphenyl)-N-[(7-methyl-8-quinolyl)sulfonyl]carbamate (85 mg; 0.19 mmol; 1 eq.) and methyl 8-bromo-1 H,2H,3H,4H-pyrido[3,4- b]pyrazine-5-carboxylate (70 mg; 0.25 mmol; 1.3 eq.), the methyl 8-[2-(2-{N- [(tert-butoxy)carbonyl]7-methylquinoline-8-sulfonamido}phenyl)ethynyl]- 1 H,2H,3H,4H-pyrido[3,4-b]pyrazine-5-carboxylate (30 mg; 0.05 mmol; yield 25%) was obtained as orange solid.
Methyl 8-{2-[2-(7-methylquinoline-8-sulfonamido)phenyl]ethynyl}-
1 H,2H,3H,4H-pyrido[3,4-b]pyrazine-5-carboxylate
The boc deprotection step was conducted according to the procedure described above in Example 25: Starting from methyl 8-[2-(2-{N-[(tert- butoxy)carbonyl]7-methylquinoline-8-sulfonamido}phenyl)ethynyl]- 1 H,2H,3H,4H-pyrido[3,4-b]pyrazine-5-carboxylate (30 mg; 0.05 mmol; 1 eq.) methyl 8-{2-[2-(7-methylquinoline-8-sulfonamido)phenyl]ethynyl}- 1 H,2H,3H,4H-pyrido[3,4-b]pyrazine-5-carboxylate (40 mg; 0.08 mmol) was obtained as brown solid.
8-{2-[2-(7-Methylquinoline-8-sulfonamido)phenyl]ethynyl}-1 H,2H,3H,4H- pyrido[3,4-b]pyrazine-5-carboxylic acid
The saponification step was conducted according to the procedure described above in Example 25: Starting from methyl 8-{2-[2-(7-methylquinoline-8- sulfonamido)phenyl]ethynyl}-1 H,2H,3H,4H-pyrido[3,4-b]pyrazine-5- carboxylate (40 mg; 0.08 mmol; 1 eq.), the 8-{2-[2-(7-methylquinoline-8-sulfon- amido)phenyl]ethynyl}-1 H,2H,3H,4H-pyrido[3,4-b]pyrazine-5-carboxylic acid (22 mg; 0.04 mmol; yield 58%) was obtained as green solid.
Example 29
Synthesis of 5-[2-(9-Methyl-9H-carbazole-3-sulfonylamino)-phenyl- ethynyl]-pyridine-2-carboxylic acid

n-BuLi (2.5M in hexanes, 0.42 ml; 1.04 mmol) was added dropwise to a solution of 3-bromo-9-methyl-9H-carbazole (270.00 mg; 1.04 mmol) in dry Tetrahydrofuran (6.00 ml) at -78°C and the reaction mixture was stirred at that temperature for 30 minutes. Then sulfur dioxide was conducted over the surface of the solution for 10 min. The reaction was allowed to warm to RT during ca. 1h. After removal of the solvent, the residual crude litium arylsulfinate was taken up in Dichloromethane (6.00 ml) and N- chlorosuccinimide (152.46 mg; 1.14 mmol) was added. The reaction was carried out in RT for 1 h. Then the solution was filtered and the filtrate was concentrated. The residue was disolved in Pyridine (2.00 ml) and 5-(2-amino- phenylethynyl)-pyridine-2-carboxylic acid methyl ester (78.55 mg; 0.31 mmol) was added. Reaction was carried on in RT overnight. Then pyridine was co- evaporated with toluene and the residue was purified by FCC (SiHP 25g, DCM- DCM:EtOAc 10% v/v) to yield 5-[2-(9-methyl-9H-carbazole-3-sulfonylamino)- phenylethynyl]-pyridine-2-carboxylic acid methyl ester (90.00 mg; 0.17 mmol; 16.1 %; light yellow solid).

5-[2-(9-Methyl-9FI-carbazole-3-sulfonylamino)-phenylethynyl]-pyridine-2- carboxylic acid methyl ester (90.00 mg; 0.17 mmol) was dissolved in TFIF (2.00 ml) and methanol (5.00 ml). Water (2.00 ml) and lithium hydroxide hydrate (105.17 mg; 2.51 mmol; 15.00 eq.) was added. RM was stirred overnight in RT. Then RM was diluted with AcOEt, washed with water in the presence of 2M HCI and extracted with AcOEt. Combined organic layers were washed with brine, dried over Na2S04 and evaporated. Crude product was purified by preparative FIPLC (ACN/0.1 % TFA) to give 5-[2-(9-Methyl-9FI-carbazole-3- sulfonylamino)-phenylethynyl]-pyridine-2-carboxylic acid (77.00 mg; 0.16 mmol; 95.7 %; yellow solid; purified product).
Example 30
Synthesis of 5-{2-[5-chloro-2-(5-methoxyquinoline-8-sulfonamido)- phenyl]ethynyl}-4-methoxy-N,N-dimethylpyridine-2-carboxamide
To a solution of 5-[5-chloro-2-(5-methoxy-quinoline-8-sulfonylamino)-phenyl- ethynyl]-4-methoxy-pyridine-2 -carboxylic acid (30,0 mg; 0,06 mmol) in N,N- dimethylformamide (3,0 ml) was added dimethylamine (2.0 M in THF, 0,03 ml; 0,07 mmol), 0-(7-azabenzotriazol-1-yl)-N,N,N’,N’-tetramethyluronium PF6, 97% (FIATU) (32,7 mg; 0,09 mmol) and N-ethyldiisopropylamine (0,03 ml; 0,17 mmol). The reaction was stirred for 3 days at RT. FIPLC-MS showed the complete formation of the required product. The reaction mixture was evaporated to dryness and the residue was purified by prep. HPLC giving 16 mg of the desired product as yellow solid.
Example 31
Synthesis of 2-methoxy-4-{2-[2-(5-methoxyquinoline-8-sulfonamido)- phenyl]ethynyl}-5-methylbenzoic acid
To a solution of 2-acetyl-4-methyl-5-bromophenol 97% (3,0 g; 13,10 mmol) in N,N-dimethylformamide (50,0 ml) was added iodomethane (0,9 ml; 14,41 mmol) and potassium carbonate (3.6 g; 26,19 mmol). The reaction was stirred for 16 h at RT. HPLC-MS showed the complete formation of the required product. The reaction was diluted with ethylacetate and extracted 3x with water, dried over Na
2SO
4 and evaporated to dryness.
To a solution of 1-(4-bromo-2-methoxy-5-methyl-phenyl)-ethanone (3,6 g; 11,30 mmol) in 1,4-dioxane (50,0 ml) was added sodium hydroxide (4,5 g; 112,99 mmol) in water (50,0 ml). The solution was cooled to 0°C and bromine (1 ,7 ml; 33,90 mmol) was added and stirred for 16 h at RT. HPLC-MS showed a not complete formation of the required product but as no progression after additional 8 h was observed it was worked up. The dioxane was removed under reduced pressure and the residue was acidified to pH 2 using 2N HCI. The mixture was extracted 2x with EA and the combined organic layers were washed 3x with water, dried over Na
2SO
4 and evaporated to dryness.
To a solution of 4-bromo-2-methoxy-5-methyl-benzoic acid (3,1 g; 7,70 mmol) in methanol (50,0 ml) was added in a flask sulfuric acid (95-98%) (0,6 ml; 0,01 mol) and stirred for 16 h at 65°C. HPLC-MS showed the complete formation of the required product. The reaction was evaporated to dryness. The residue was diluted with ethylacetate and extracted 3x with water, dried over Na
2SO
4 and evaporated to dryness. The residue was purified by flashchromatography giving 2 g of the product as yellow oil.
To a solution of 2-ethynylaniline (0,3 ml; 2.64 mmol) in acetonitrile (10.0 ml) was added in a microwave vial under nitrogen 4-bromo-2-methoxy-5-methyl- benzoic acid methyl ester (1 .0 g; 3.96 mmol), copper (I) iodide (25.1 mg; 0.13 mmol), diisopropyl-amine (0.6 ml; 3.96 mmol) and tetrakis(triphenyl- phosphine)-palladium(O) (152.4 mg; 0.13 mmol). The reaction was stirred for 16 h at 80°C. HPLC-MS showed the complete formation of the required product. The reaction was cooled to RT and the precipitate was filtered off. The mother liquor was diluted with EA and extracted 3x with water, dried with Na2SO4 and evaporated to dryness. The residue was purified by flash chromatography giving 780 mg of the desired product as yellow solid.
To a solution of 4-(2-amino-phenylethynyl)-2-methoxy-5-methyl-benzoic acid methyl ester (60.0 mg; 0.20 mmol) in pyridine (3.0 ml) was added 5- methoxyquinoline-8-sulfonyl chloride (153.4 mg; 0.60 mmol) in a microwave vial and stirred for 16 h at RT. HPLC-MS showed the formation of the required product. The reaction was diluted with EA and extracted 3x with water, dried over Na
2SO
4 and evaporated to dryness. The crude was used in next step without further purification.
To a solution of 2-methoxy-4-[2-(5-methoxy-quinoline-8-sulfonylamino)- phenylethynyl]-5-methyl-benzoic acid methyl ester (118.0 mg; 0.21 mmol) in methanol (10.0 ml) was added sodium hydroxide solution (c(NaOH) = 2 mol/l (2 N)) (2.1 ml; 4.11 mmol) and stirred for 16 h at RT. HPLC-MS showed an incomplete formation of the required product and the reaction was stirred for further 16 h at RT. HPLC-MS showed still some starting material but also some by product. The reaction was lyophilized and the residue was purified by prep. HPLC giving 16 mg of the desired product as yellow solid.
Example 32 Synthesis of 5-{2-[5-chloro-2-(5-ethoxyquinoline-8-sulfonamido)phenyl]- ethynyl}-4-methoxypyridine-2-carboxylic acid
(Note: “-N” stands for “-NH2”)
To 4-Chloro-2-iodoaniline (3,0 g; 11 ,36 mmol) in acetonitrile (100 ml) was added in a flaskl unter argon 5-ethynyl-4-methoxy-pyridine-2-carboxylic acid methyl ester (3,6 g; 17,04 mmol), Diisopropylamine (2,4 ml; 17,04 mmol), copper(l) iodide (216 mg; 1 ,14 mmol) and Tetrakis(triphenylphosphine)- palladium(O) (1 ,3 g; 1 ,14 mmol). The reaction was stirred for 16 hrs at 80°C. After cooling to roomtemperature the resulting preciptate was sucked off, washed with acetonitrile and dried in vacuum.
(Note: “-N” stands for “-NH2”; “-N-“ stands for “-N(H)-“)
To a solution of 5-(2-Amino-5-chloro-phenylethynyl)-4-methoxy-pyridine-2- carboxylic acid methyl ester (1 ,5 g; 4,50 mmol) in pyridine (30 ml) was added 5-Ethoxyquionline-8-sulfonylchloride (3,7 g; 13,50 mmol) in a microwave vial and stirred for 3 days at RT. For work-up the reactions was diluted with ethylacetate and extracted 3x with water, dried over Na
2S04 and evaporated to dryness. The residue was purified by crystallization with methanol and dried in vacuum.
(Note: “-N-“ stands for “-N(H)-“; ”-0” stands for “-OH”)
Methyl 5-{2-[5-chloro-2-(5-ethoxyquinoline-8-sulfonamido)phenyl]ethynyl}-4- methoxypyridine-2-carboxylate (2,2 g; 3,94 mmol) was dissolved in tetrahydrofuran (100 ml), sodium hydroxide solution c(NaOH) = 2 mol/l (2 N)
(3,9 ml; 7,88 mmol) was added and the reaction mixture was stirred for 16 hrs at RT. After that time more sodium hydroxide solution c(NaOH) = 2 mol/l (2 N) (3,9 ml; 7,88 mmol) was added and stirring was continued for addtional 3 hrs at RT. For work-up the suspension was acidified with HCI-37%, the resulting solution was diluted with ethylacetate and extracted 3x with a small amount of water. The organic layer was dried with Na2SO4, evaporated to dryness and the residue was triturated with ethylacetate/heptane and the precipitate was sucked off, washed with ethylacetate and dried in vacuum.
Example 33
Synthesis of 5-[2-(4-Dimethylamino-quinoline-8-sulfonylamino)-phenyl- ethynyl]-4-methyl-pyridine-2-carboxylic acid
Into a 8-mL vial was placed methyl 5-ethynyl-4-methylpyridine-2-carboxylate (1.00 g, 5.480 mmol), 2-iodoaniline (1.90 g, 8.241 mmol), Pd(PPh
3)
2CI
2 (0.61 g, 0.826 mmol), Cul (0.15 g, 0.748 mmol), ethyl acetate (20 mL). The resulting solution was stirred for 1 hr at 80°C in an oil bath. The resulting mixture was concentrated. The residue was purified by silica gel column chromatography, eluted with PE/EtOAc (1 :1 ) to afford methyl 5-[2-(2-aminophenyl)ethynyl]-4- methylpyridine-2-carboxylate (8 mg, 6%) as a yellow solid.
To a stirred solution of 4-chloroquinoline (1.00 g, 5.807 mmol) was added HSO3CI (4.00 mL, 57.722 mmol) dropwise at 0°C. The resulting mixture was stirred over night at 120°C. The reaction was quenched with ice at room temperature. The resulting mixture was extracted with CH2CI2 (3x50 mL). The combined organic layers were washed with water (3x50 mL), dried over anhydrous Na2SO4. After filtration, the filtrate was concentrated under reduced pressure. This resulted in 4-chloroquinoline-8-sulfonyl chloride (207 mg, 14%) as a yellow solid.
To a stirred solution of methyl 5-[2-(2-aminophenyl)ethynyl]-4-methylpyridine- 2-carboxylate (200.00 mg, 0.750 mmol) and 4-chloroquinoline-8-sulfonyl chloride (621.00 mg, 2.251 mmol) in pyridine was added DMAP (289.45 mg, 2.251 mmol) dropwise at room temperature. The resulting mixture was stirred overnight at 50°C. The resulting mixture was concentrated under reduced pressure. The residue was purified by silica gel column chromatography, eluted with PE/EtOAc (1 :1 ) to afford methyl 5-[2-[2-(4-chloroquinoline-8- sulfonamido)phenyl]ethynyl]-4-methylpyridine-2-carboxylate (125 mg, 30%) as a yellow solid.
To a stirred solution of methyl 5-[2-[2-(4-chloroquinoline-8-sulfonamido)- phenyl]ethynyl]-4-methylpyridine-2-carboxylate (100.00 mg, 0.179 mmol) and LiOH (4.80 mg, 0.19 mmol) in THF was added H2O (5 ml) dropwise at room temperature. The resulting mixture was stirred overnight at room temperature. The resulting mixture was concentrated under reduced pressure the residue was extracted with CH2CI2 (3 x 20 mL). The combined organic layers were washed with water (3 x 20 mL), dried over anhydrous Na2SO4. After filtration, the filtrate was concentrated under reduced pressure. This resulted in 5-[2-[2- (4-chloroquinoline-8-sulfonamido)phenyl]ethynyl]-4-methylpyridine-2- carboxylic acid (85 mg, 99%) as a yellow solid.
To a stirred solution of methyl 5-[2-[2-(4-chloroquinoline-8-sulfonamido)- phenyl]ethynyl]-4-methylpyridine-2-carboxylate (80.00 mg, 0.161 mmol) in MeOH was added dimethylamine (22.92 mg, 0.483 mmol) dropwise at room temperature .The resulting mixture was stirred overnight at room temperature. The resulting mixture was concentrated under reduced pressure. The crude product (80 mg) was purified by Prep-HPLC with the following conditions (2#SHIMADZU (HPLC-01)): Column, XBridge Shield RP18 OBD Column, 19*250mm,10um; mobile phase, Water (0.05%HCI) and ACN (27% PhaseB up to 45% in 8 min); Detector, UV. This resulted in 5-(2-[2-[4- (dimethylamino)quinoline-8-sulfonamido]phenyl]ethynyl)-4-methylpyridine-2- carboxylic acid hydrochloride(34.5mg, 41%) as a white solid.
Example 34
Synthesis of 5-[2-(4-Dimethylamino-quinoline-8-sulfonylamino)-phenyl- ethynyl]-pyridine-2-carboxylic acid
Into a 30-mL sealed tube, was placed methyl 5-[2-(2-aminophenyl)- ethynyl]pyridine-2-carboxylate (100 mg, 0.357 mmol), DMAP (225mg, 1.750 mmol), pyridine (5 mL) and 4-chloroquinoline-8-sulfonyl chloride (810.53 mg, 2.647 mmol) (which can be prepared as described in Example 33). The resulting mixture was stirred over night at 54°C. The aqueous layer was extracted with ethyl acetate (3 x 50 mL). The combined organic layers were dried over Na
2SO
4. After filtration, the filtrate was concentrated under reduced pressure. The residue was purified by silica gel column chromatography, eluted with ethyl acetate / petroleum ether (4:1) to afford the crude product (100mg). The crude product was purified by reverse phase flash chromatography with CH
3CN / H
2O (4:1) to afford methyl 5-[2-[2-(4- chloroquinoline-8-sulfonamido)phenyl]ethynyl]pyridine-2-carboxylate (28 mg, 14%) as off-white solid.
Into a 50-mL round-bottom flask were added methyl 5-[2-[2-(4-chloroquinoline- 8-sulfonamido)phenyl]ethynyl]pyridine-2-carboxylate (28.00 mg, 0.035 mmol), THF (3 mL), LiOH (72.00 mg, 2.976 mmol) and H2O (1.50 mL) at 25°C. The resulting mixture was stirred for 3 hr at that temperature. The mixture was neutralized to pH 5-6 with HCI (1 mol/L). The resulting mixture was extracted with ethyl acetate (3 x 50 mL). The combined organic layers were dried over anhydrous Na2SO4. After filtration, the filtrate was concentrated under reduced pressure. This resulted in 5-[2-[2-(4-chloroquinoline-8-sulfonamido)phenyl]- ethynyl]pyridine-2-carboxylic acid (23 mg, 35%) as a yellow solid.
Into a 50-mL round-bottom flask were added 5-[2-[2-(4-chloroquinoline-8- sulfonamido)phenyl]ethynyl]pyridine-2-carboxylicacid (20.00 mg, 0.039 mmol) and Methylamine, 2M in methanol (6 mL) at 25°C.The resulting mixture was stirred for 18 hr at 25°C. The resulting mixture was concentrated under vacuum. The crude product (18 mg) was purified by Prep-HPLC with the following conditions (Column: XBridge Prep OBD C18 Column, 30x150mm 5um; Mobile Phase A:Water(10 mmoL/L NH4HCO3+0.1 % NH3.H2O, Mobile Phase B:ACN; Flow rate:60 mL/min; Gradient:30 B to 60 B in 8 min; 254 nm; RT1:6.8) to afford 5-(2-[2-[4-(dimethylamino)quinoline-8-sulfonamido]phenyl]- ethynyl)pyridine-2-carboxylic acid (3.3 mg, 26%) as a white solid.
Example 35
Synthesis of 5-[2-(4-Morpholin-4-yl-quinoline-8-sulfonylamino)-phenyl- ethynyl]-pyridine-2-carboxylic acid
Into a 30-mL sealed tube were added 5-[2-[2-(4-chloroquinoline-8-sulfon- amido)phenyl]ethynyl]pyridine-2-carboxylic acid (80.00 mg, 0.117 mmol), MeOH (5 mL) and morpholine (1 mL) at 25°C. The resulting mixture was stirred for 18 hr at 25°C under N2 atmosphere. The resulting mixture was con- centrated under reduced pressure. The crude product was purified by Prep- HPLC with the following conditions (Column: XBridge Shield RP18 OBD Column 19x250mm,10um; Mobile Phase A:Water(0.05%HCI), Mobile Phase B: ACN; Flow rate: 20 mL/min; Gradient: 35% B to 46% B in 9 min; 254 nm; Rt: 7.18 min) to afford 5-(2-[2-[4-(morpholin-4-yl)quinoline-8-sulfonamido]- phenyl]ethynyl)pyridine-2-carboxylic acid (20 mg, 33%) as a light yellow solid.
Example 36
Synthesis of 5-[2-(4-Methylamino-quinoline-8-sulfonylamino)-phenyl- ethynyl]-pyridine-2-carboxylic acid
Into a 30-mL sealed tube were added 5-[2-[2-(4-chloroquinoline-8-sulfon- amido)phenyl]ethynyl]pyridine-2-carboxylic acid (80.00 mg, 0.155 mmol) and methylamine (2M in methanol, 5 mL) at 25°C.The resulting mixture was stirred for 7 days at 25°C under N2 atmosphere. The resulting mixture was concentrated under reduced pressure. The crude product was purified by Prep-HPLC with the following conditions (Column: XBridge Prep OBD C18 Column, 30x150mm 5um; Mobile Phase A:Water(10 mmo/L NH4HCO3+0.1 %NH3.H2O ), Mobile Phase B:ACN; Flow rate:60 mL/min; Gradient:30 B to 60 B in 8 min; 254 nm) to afford 5-(2-[2-[4-(methylamino)- quinoline-8-sulfonamido]phenyl]ethynyl)pyridine-2-carboxylic acid (3.5 mg, 5%) as a white solid. Example 37
Synthesis of 4-Methyl-5-[2-(4-methylamino-quinoline-8-sulfonylamino)- phenylethynyl]-pyridine-2-carboxylic acid
To a stirred solution of 5-[2-[2-(4-chloroquinoline-8-sulfonamido)phenyl]- ethynyl]-4-methylpyridine-2-carboxylic acid (80.00 mg, 0.167 mmol) in MeOH was added Methylamine (16.40 mg, 0.502 mmol) dropwise at room temperature. The resulting mixture was stirred overnight at room temperature. The resulting mixture was concentrated under reduced pressure. The crude product (100 mg) was purified by Prep-HPLC with the following conditions (2#SHIMADZU (HPLC-01)): Column, XBridge Prep OBD C18 Column, 30*150mm 5 urn; mobile phase, water (10 mmoL/L NH4HCO3+0.1% NH3.H2O) and ACN (20% PhaseB up to 50% in 8 min); Detector, UV.). This resulted in 4-methyl-5-(2-[2-[4-(methylamino)quinoline-8-sulfonamido]phenyl]ethynyl)- pyridine-2-carboxylic acid hydrochloride (8.7 mg, 10%) as a white solid.
Example 38 Synthesis of 5-[2-(4-Ethylamino-quinoline-8-sulfonylamino)-phenyl- ethynyl]-pyridine-2-carboxylic acid
Into a 30-mL sealed tube were added 5-[2-[2-(4-chloroquinoline-8-sulfon- amido)phenyl]ethynyl]pyridine-2-carboxylic acid (80.00 mg, 0.155 mmol), Ethylamine solution 2.0 M in THF (160 μL, 0.444 mmol) and MeOH (5 mL) at 25°C. The resulting mixture was stirred for 7 days at 30°C under N2 atmosphere. The resulting mixture was concentrated under reduced pressure. The crude product was purified by Prep-HPLC with the following conditions (Column: XBridge Shield RP18 OBD Column, 30*150mm,5um ; Mobile Phase A: water (10 mmoL/L NH HCO3+0.1% NH3.H2O), Mobile Phase B: ACN; Flow rate: 60 mL/min; Gradient: 15 B to 35 B in 8 min; 254 nm) to afford 5-(2-[2-[4- (ethylamino)quinoline-8-sulfonamido]phenyl]ethynyl)pyridine-2 -carboxylic acid (3 mg, 4%) as a white solid.
Example 39
Synthesis of 5-[2-(4-lsopropylamino-quinoline-8-sulfonylamino)-phenyl- ethynyl]-pyridine-2-carboxylic acid
Into a 30 ml sealed tube were added 5-[2-[2-(4-chloroquinoline-8-sulfon- amido)phenyl]ethynyl]pyridine-2-carboxylic acid (190 mg, 0.279 mmol), propan-2-amine (173 uL, 2.785 mmol) and MeOH (5 mL) at 25°C. The resulting mixture was stirred for 14 days at 30°C.The resulting mixture was concentrated under reduced pressure. The crude product was purified by Prep-HPLC with the following conditions (Column: XBridge Shield RP18 OBD Column, 30*150mm, 5um ; Mobile Phase A:Water(0.05%HCI ), Mobile Phase B:ACN; Flow rate:60 mL/min; Gradient: 15 B to 40 B in 8 min; 254 nm) to afford 5-(2-[2-[4-(isopropylamino)quinoline-8-sulfonamido]phenyl]ethynyl)pyridine-2- carboxylic acid (5 mg, 3%) as a white solid.
Example 40
Synthesis of 4-{2-[2-(4-chloroquinoline-8-sulfonamido)phenyl]ethynyl}- isoquinoline-1 -carboxylic acid
To a solution of methyl 4-[2-(2-aminophenyl)ethynyl]isoquinoline-1-carb- oxylate (50 mg; 0,17 mmol) in Pyridine (3 ml) was added 4-chloroquinoline-8- sulfonyl chloride (86,6 mg; 0,33 mmol) in a microwave vial and stirred for 3 days at RT. HPLC-MS showed the formation of the required product. The reaction was diluted with ethyl acetate and extracted 3x with water, dried over Na
2SO
4 and evaporated to dryness giving the crude as yellow solid in 48% yield (54 mg) which was used in the next step without further purification.
To a solution of methyl 4-{2-[2-(4-chloroquinoline-8-sulfonamido)phenyl]- ethynyl}isoquinoline-1-carboxylate (54 mg) in 1 ,4-Dioxane (3 ml) was added sodium hydroxide solution (c(NaOH) = 2 mol/l (2 N)) (0,4 ml) and stirred for 16 hrs at RT. HPLC-MS showed the complete formation of the required product. The reaction was lyophilized. The residue was purified by prep. HPLC giving the product 4-{2-[2-(5-ethoxyquinoline-8-sulfonamido)phenyl]ethynyl}iso- quinoline-1 -carboxylic acid as yellow solid in 37% yield (15 mg).
Example 41
Synthesis of 4-{2-[2-(5-ethoxyquinoline-8-sulfonamido)phenyl]ethynyl}- isoquinoline-1 -carboxylic acid
To a solution of methyl 4-bromoisoquinoline-1-carboxylate (650 mg; 2,44 mmol) in Acetonitrile (6 ml) was added 2-Ethynylaniline (0,4 ml; 3,66 mmol), copper (I) iodide (23,3 mg; 0,12 mmol), Diisopropyl-amine (0,5 ml; 3,66 mmol) and Tetrakis(triphenylphosphine)-palladium(0) (141,1 mg; 0,12 mmol) in a microwave vial under nitrogen. The reaction was stirred for 16 hrs at 100°C. HPLC-MS showed the complete formation of the required product. The reaction was cooled to RT and the yellow precipitate was filtered off, washed with ACN and dried in vacuum giving the product as brown solid, which was used in the next step without further purification.
To a solution of methyl 4-[2-(2-aminophenyl)ethynyl]isoquinoline-1-carb- oxylate (80 mg; 0,26 mmol) in Pyridine (3 ml) was added 5-ethoxyquinoline-8- sulfonyl chloride (151,2 mg; 0,53 mmol) in a microwave vial and the mixture was stirred for 16 hrs at RT. HPLC-MS showed the complete formation of the required product. The reaction was diluted with ethyl acetate and extracted 3x with water, dried over Na
2SO
4 and evaporated to dryness giving the cure as beige solid in 62% yield (100 mg) which was used in the next step without further purification.
To a solution of methyl 4-{2-[2-(5-ethoxyquinoline-8-sulfonamido)phenyl]- ethynyl}isoquinoline-1-carboxylate (100 mg; 0,16 mmol) in 1,4-Dioxane (5 ml) was added Sodium hydroxide solution c(NaOH) = 2 mol/l (2 N) (0,8 ml) and the mixture was stirred for 16 hrs at RT. HPLC-MS showed the complete formation of the required product. The reaction was lyophilized. The residue was purified by prep. HPLC giving the product 4-{2-[2-(5-ethoxyquinoline-8- sulfonamido)phenyl]ethynyl}isoquinoline-1 -carboxylic acid as yellow solid in 47% yield (40 mg).
Example 42 Synthesis of 4-(2-{2-[4-(2-{2-[2-(2-aminoethoxy)ethoxy]ethoxy}ethoxy)- quinoline-8-sulfonamido]phenyl}ethynyl)isoquinoline-1 -carboxylic acid
To a solution of methyl 4-[2-(2-aminophenyl)ethynyl]isoquinoline-1-carb- oxylate (200 mg; 0,66 mmol) in Pyridine (5 ml) was added 4-chloroquinoline- 8-sulfonyl chloride (346,4 mg; 1 ,32 mmol) in a microwave vial and the mixture was stirred for 16 hrs at RT. HPLC-MS showed the formation of the required product. The reaction was diluted with ethyl acetate and extracted 3x with water, dried over Na
2SO
4 and evaporated to dryness. The product was obtained as brown oil in 77% yield (351 mg) and used in the next step without further purification.
To a solution of methyl 4-{2-[2-(4-chloroquinoline-8-sulfonamido)phenyl]- ethynyl}isoquinoline-1-carboxylate in N,N-Dimethylformamide (4 ml) was added 1-Boc-Amino-3,6,9-trioxaundecanyl-11 -ol (534,1 mg; 1,73 mmol) and Potassium tert-butylate (116,5 mg; 1,04 mmol) in a microwave vial. The reaction was stirred for 16 hrs at RT. HPLC-MS showed the complete formation of the required product. The reaction was acidified with HCI-1 N and extracted 3x with ethyl acetate. The combined organic layers were washed 3x with water, dried over Na2SO4 and evaporated to dryness giving the product as brown oil which was used in the next step without further purification.
To a solution of 4-(2-{2-[4-(2-{2-[2-(2-{[(tert-butoxy)carbonyl]amino}ethoxy)- ethoxy]ethoxy}ethoxy)quinoline-8-sulfonamido]phenyl}ethynyl)isoquinoline-1- carboxylic acid (247 mg) in 1 ,4-Dioxane (200 ml) was added 4N HCI in dioxane (5 ml) and stirred for 16 hrs at RT. HPLC-MS showed the complete formation of the required product. The reactions were evaporated to dryness and the residue was purified by prep. HPLC giving the product 4-(2-{2-[4-(2-{2-[2-(2- aminoethoxy)ethoxy]ethoxy}ethoxy)quinoline-8-sulfonamido]phenyl}- ethynyl)isoquinoline-1 -carboxylic acid as yellow solid in 47% yield (55 mg).
Example 43
Synthesis of 4-{2-[2-(2-methylquinoline-8-sulfonamido)phenyl]ethynyl}- isoquinoline-1 -carboxylic acid
To a solution of methyl 4-[2-(2-aminophenyl)ethynyl]isoquinoline-1-carb- oxylate (80 mg; 0,26 mmol) in Pyridine (3 ml) was added 2-methylquinoline-8- sulfonyl chloride (134,5 mg; 0,53 mmol) in a microwave vial and the mixture was stirred for16 hrs at RT. HPLC-MS showed the complete formation of the required product. The reaction was diluted with ethyl acetate and extracted 3x with water, dried over Na
2SO
4 and evaporated to dryness giving the product as brown solid in 36% yield (67 mg) which was used in the next step without further purification.
To a solution of methyl 4-{2-[2-(2-methylquinoline-8-sulfonamido)phenyl]- ethynyl}isoquinoline-1-carboxylate (67 mg; 0,09 mmol) in 1,4-Dioxane (3 ml) was added Sodium hydroxide solution c(NaOH) = 2 mol/l (2 N) (0,5 ml) and the mixture was stirred for 16 hrs at RT. HPLC-MS showed the complete formation of the required product. The reaction was lyophilized. The residue was purified by prep. HPLC giving the product 4-{2-[2-(2-methylquinoline-8- sulfonamido)phenyl]ethynyl}isoquinoline-1 -carboxylic acid in 98% yield (46 mg).
Example 44
Synthesis of 4-{2-[2-(7-ethylquinoline-8-sulfonamido)phenyl]ethynyl}iso- quinoline-1 -carboxylic acid
To a solution of methyl 4-[2-(2-aminophenyl)ethynyl]isoquinoline-1-carb- oxylate (60 mg; 0,20 mmol) in Pyridine (3 ml) was added 7-Ethylquinoline-8- sulfonylchloride (101,4 mg; 0,40 mmol) in a microwave vial and the mixture was stirred for16 hrs at RT. HPLC-MS showed the complete formation of the required product. The reaction was diluted with ethyl acetate and extracted 3x with water, dried over Na
2SO
4 and evaporated to dryness giving the crude as yellow solid in 50% yield (54 mg) which was used in the next step without further purification.
To a solution of methyl 4-{2-[2-(7-ethylquinoline-8-sulfonamido)phenyl]- ethynyl}isoquinoline-1-carboxylate (54 mg; 0,10 mmol) in 1 ,4-Dioxane (3 ml) was added Sodium hydroxide solution c(NaOH) = 2 mol/l (2 N) (0,5 ml) and the mixture was stirred for 16 hrs at RT. HPLC-MS showed the complete formation of the required product. The reaction was lyophilized. The residue was purified by prep. HPLC giving the product 4-{2-[2-(7-ethylquinoline-8- sulfonamido)phenyl]ethynyl}isoquinoline-1 -carboxylic acid a yellow solid in 46% yield (23 mg).
Example 45
Synthesis of 4-{2-[2-(5,7-dimethylquinoline-8-sulfonamido)phenyl]- ethynyl}isoquinoline-1 -carboxylic acid
To a solution of methyl 4-[2-(2-aminophenyl)ethynyl]isoquinoline-1-carb- oxylate (60 mg; 0,20 mmol) in Pyridine (3 ml) was added 5,7-Dimethyl- quinoline-8-sulfonylchloride (101 ,4 mg; 0,40 mmol) in a microwave vial and the mixture was stirred for 16 hrs at RT. HPLC-MS showed a complete formation of the required product. The reaction was diluted with ethyl acetate and extracted 3x with water, dried over Na
2SO
4 and evaporated to dryness giving the product as orange oil in 40% yield (57 mg) which was used in the next step without further purification.
To a solution of methyl 4-{2-[2-(5,7-dimethylquinoline-8-sulfonamido)phenyl]- ethynyl}isoquinoline-1-carboxylate (57 mg; 0,08 mmol) in 1,4-Dioxane (3 ml) was added Sodium hydroxide solution c(NaOH) = 2 mol/l (2 N) (0,4 ml) and the mixture was stirred for 16 hrs at RT. HPLC-MS showed the complete formation of the required product. The reaction was lyophilized. The residue was purified by prep. HPLC giving the product 4-{2-[2-(5,7-dimethylquinoline- 8-sulfonamido)phenyl]ethynyl}isoquinoline-1 -carboxylic acid as yellow solid in 15% yield (6 mg).
Example 46 Synthesis of 4-(2-{2-[5-(propan-2-yloxy)quinoline-8-sulfonamido]- phenyl}ethynyl)isoquinoline-1 -carboxylic acid
To a solution of methyl 4-[2-(2-aminophenyl)ethynyl]isoquinoline-1-carb- oxylate (60 mg; 0,20 mmol) in Pyridine (3 ml) was added 5-(Propan-2- yloxy)quinoline-8-sulfonylchloride (113,3 mg; 0,40 mmol) in a microwave vial and the mixture was stirred for 16 hrs at RT. HPLC-MS showed a complete formation of the required product. The reaction was diluted with ethyl acetate and extracted 3x with water, dried over Na
2SO
4 and evaporated to dryness giving the crude product as brown oil in 55% yield (70 mg) which was used in the next step without further purification.
To a solution of methyl 4-(2-{2-[5-(propan-2-yloxy)quinoline-8-sulfonamido]- phenyl}ethynyl)isoquinoline-1-carboxylate (70,0 mg; 0,11 mmol) in 1 ,4- Dioxane (3 ml) was added Sodium hydroxide solution c(NaOH) = 2 mol/l (2 N) (0,5 ml) and stirred for 16 hrs at RT. HPLC-MS showed the complete formation of the required product. The reaction was lyophilized. The residue was purified by prep. HPLC giving the product 4-(2-{2-[5-(propan-2-yloxy)quinoline-8- sulfonamido]phenyl}ethynyl)isoquinoline-1 -carboxylic acid as yellow solid in 55% yield (32 mg).
Example 47
Synthesis of 3-Ethyl-5-[2-(5-methoxy-quinoline-8-sulfonylamino)-phenyl- ethynyl]-pyridine-2-carboxylic acid
Into a 10 mL sealed tube were added methyl 5-[2-(2-aminophenyl)ethynyl]-3- ethylpyridine-2-carboxylate (20 mg, 0.070 mmol), Pyridine (1 mL), 5- methoxyquinoline-8-sulfonyl chloride (37 mg, 0.137 mmol) and DMAP (9.02 mg, 0.070 mmol) at room temperature. The resulting mixture was stirred for 3 h at 90°C under nitrogen atmosphere. The crude was used in the next reaction without any further purification.
To a stirred solution of methyl 3-ethyl-5-[2-[2-(5-methoxyquinoline-8-sulfon- amido)phenyl]ethynyl]pyridine-2-carboxylate (100 mg, 0.195 mmol) and LiOH (80 mg, 3.174 mmol) in THF (8 mL) was added H2O (4 mL) dropwise at room temperature. The resulting mixture was stirred for 2 h at room temperature under nitrogen atmosphere. The mixture was acidified to pH 6 with HCI (aq.). The aqueous layer was extracted with CH2CI2(3x30 mL). The resulting mixture was concentrated under vacuum. The crude product (100mg) was purified by Prep-HPLC to afford 3-ethyl-5-[2-[2-(5-methoxyquinoline-8- sulfonamido)phenyl]ethynyl]pyridine-2-carboxylic acid (14.6 mg, 15%) as a white solid.
Example 48 - General Procedure 7 (GP7) Compounds of formula (I) with L
1 being divalent -N= radical, L
2 being a divalent -S(=O)(R
a)- radical and L
3 being a single bond may be prepared in accordance to the following schemes and synthetic procedure described below with reference to 5-[2-(2-{[methyl(oxo)phenyl-λ6-sulfanylidene]amino}phenyl)- ethynyl]pyridine-2-carboxylic acid:
To a solution of Methyl 5-iodopicolinate (600,0 mg; 2,28 mmol) in Acetonitrile (10 ml) was added under argon in a microwave-vial 2-Bromophenylacetylene (619,4 mg; 3,42 mmol), Diisopropylamine (0,5 ml), Copper(l) iodide (43 mg; 0,23 mmol) and Tetrakis(triphenylphosphine)-palladium(0) for synthesis (263,6 mg; 0,23 mmol). The reaction was stirred for 16 hrs at 80°C. HPLC-MS showed the complete formation of the required product. The reaction was diluted with ethyl acetate and extracted 3x with water, dried over Na
2SO
4 and evaporated to dryness. The residue was purified by flash chromatography giving the product methyl 5-[2-(2-bromophenyl)ethynyl]pyridine-2-carboxylate in 73 % yield (690 mg
To a solution of methyl 5-[2-(2-bromophenyl)ethynyl]pyridine-2-carboxylate (50,0 mg; 0,12 mmol) in Toluene (3 ml) was added in a microwave vial under argon S-Methyl-S-phenylsulfoximine (22,5 mg; 0,14 mmol), Cesium carbonate (118 mg; 0,36 mmol), 2-Dicyclohexylphosphino-2',6'-diisopropoxybiphenyl (RuPhos) (11 ,9 mg; 0,02 mmol) and Palladium(ll) acetate (47% Pd) for synthesis (2,7 mg; 0,01 mmol). The reaction was stirred for 16 hrs at 110°C. HPLC-MS showed the complete formation of the required product. The reaction was evaporated to dryness. The residue was diluted with ethyl acetate and extracted 3x with water, dried over Na
2SO
4 and evaporated to dryness. The residue was purified by flash chromatography giving the product methyl 5-[2-(2-{[methyl(oxo)phenyl-?6-sulfanylidene]amino}phenyl)ethynyl]pyridine- 2-carboxylate as yellow oil in 38% yield (19 mg).
To a solution of methyl 5-[2-(2-{[methyl(oxo)phenyl-?6-sulfanylidene]amino}- phenyl)ethynyl]pyridine-2-carboxylate (19,0 mg; 0,05 mmol) in Methanol (5 ml) was added Sodium hydroxide solution c(NaOH) = 2 mol/l (2 N) (0.5 ml) and stirred for 16 hrs at RT. HPLC-MS showed the complete formation of the required product. The reaction was evaporated to dryness. The residue was purified by prep. HPLC giving the product 5-[2-(2-{[methyl(oxo)phenyl-λ6- sulfanylidene]amino}phenyl)ethynyl]pyridine-2 -carboxylic acid as yellow solid in 84 % yield (15 mg).
Example 49
Synthesis of 5-[2-(2-{[(4-methoxyphenyl)(methyl)oxo-λ6-sulfanylidene]- amino}phenyl)ethynyl]pyridine-2-carboxylic acid
To a solution of methyl 5-[2-(2-bromophenyl)ethynyl]pyridine-2-carboxylate (70,0 mg; 0,17 mmol) in Toluene (3 ml) was added in a microwave vial unter argon imino(4-methoxyphenyl)methyl-lambda6-sulfanone (37,6 mg; 0,20 mmol), Cesium carbonate (165 mg; 0,51 mmol), 2-Dicyclohexylphosphino- 2',6'-diisopropoxybiphenyl (RuPhos) (16,6 mg; 0,03 mmol) and Palladium(ll) acetate (47% Pd, 3,8 mg; 0,02 mmol). The reaction was stirred for 16 hrs at 110°C. HPLC-MS showed the complete formation of the required product. The reaction was diluted with ethyl acetate and extracted 3x with water, dried over Na
2SO
4 and evaporated to dryness. The residue was purified by flash chromatography giving the product as brown oil in 17% yield (16 mg).
To a solution of methyl 5-[2-(2-{[(4-methoxyphenyl)(methyl)oxo-λ6- sulfanylidene]amino}phenyl)ethynyl]pyridine-2-carboxylate (16 mg; 0,03 mmol) in Methanol (5 ml) was added Sodium hydroxide solution c(NaOH) = 2 mol/l (2 N) (0,3 ml) and stirred for 16 hrs at RT. HPLC-MS showed the complete formation of the required product. The reaction was evaporated to dryness. The residue was purified by prep. HPLC giving the product 5-[2-(2- {[(4-methoxyphenyl)(methyl)oxo-λ6-sulfanylidene]- amino}phenyl)ethynyl]pyridine-2 -carboxylic acid as yellow solid in 52% yield (6 mg).
Example 50
Synthesis of 5-[2-(2-{[methyl(oxo)(quinolin-8-yl)-λ6-sulfanylidene]- amino}phenyl)ethynyl]pyridine-2-carboxylic acid
To a solution of methyl 5-[2-(2-bromophenyl)ethynyl]pyridine-2-carboxylate (133 mg; 0,32 mmol) in Toluene (5 ml) was added in a microwave vial under argon imino(methyl)(quinolin-8-yl)-lambda6-sulfanone Hydrochloride (93,5 mg; 0,39 mmol), Cesium carbonate (627 mg; 1 ,93 mmol), 2-Dicyclohexyl- phosphino-2',6'-diisopropoxybiphenyl (RuPhos) (31 ,5 mg; 0,06 mmol) and Palladium(ll) acetate (47% Pd, 7,2 mg; 0,03 mmol). The reaction was stirred for 16 hrs at 110°C. HPLC-MS showed the required product. The reaction was diluted with ethyl acetate and extracted 3x with water, dried over Na2SO4 and evaporated to dryness. The residue was purified by flash chromatography giving the product as yellow solid in 10 % yield (38 mg).
To a solution of methyl 5-[2-(2-{[methyl(oxo)(quinolin-8-yl)-?6-sulfanylidene]- amino}phenyl)ethynyl]pyridine-2-carboxylate (38 mg; 0,03 mmol) in Methanol (5 ml) was added Sodium hydroxide solution c(NaOH) = 2 mol/l (2 N) (0,3 ml) and stirred for 16 hrs at RT. HPLC-MS showed the complete formation of the required product. The reaction was evaporated to dryness. The residue was purified by prep. HPLC giving the product 5-[2-(2-{[methyl(oxo)(214uinoline-8- yl)-λ6-sulfanylidene]amino}phenyl)ethynyl]pyridine-2-carboxylic acid as yellow solid in 56% yield (8 mg).
Example 51 - General Procedure 8 (GP8)
Compounds of formula (I) with L
1 being divalent -SO
2- radical, L
2 being a divalent -NH- or -N(R
a)- radical and L
3 being a single bond may be prepared in accordance to the following schemes and synthetic procedure described below with reference to 5-(2-{2-[(4-methoxy-2,3-dimethylphenyl)sulfamoyl]- phenyl}ethynyl)pyridine-2 -carboxylic acid:
To a solution of 2-iodo-N-(4-methoxy-2,3-dimethylphenyl)benzene-1 -sulfon- amide (715 mg; 1 ,40 mmol) in Acetonitrile (50 ml) was added Di-tert-butyl dicarbonate (747,0 mI; 3,49 mmol) and 4-(Dimethylamino)pyridine (187,7 mg; 1 ,54 mmol). The reaction was stirred for 16 hrs at RT. HPLC-MS showed the complete formation of the required product. The reactions were diluted with ethyl acetate and extracted 3x with water, dried over Na
2SO
4 and evaporated to dryness. The crude product tert-butyl N-(2-iodobenzenesulfonyl)-N-(4- methoxy-2,3-dimethylphenyl)carbamate was used in the next step without further purification.
To a solution of tert-butyl N-(2-iodobenzenesulfonyl)-N-(4-methoxy-2,3-di- methylphenyl)carbamate (709 mg; 1 ,11 mmol) in Acetonitrile (10 ml) was added under argon in a microwave-vial Methyl 5-ethynylpyridine-2-carboxylate (281 ,8 mg; 1 ,66 mmol; 1 ,50 eq.), Diisopropylamine (0,2 ml; 1 ,66 mmol) Copper(l) iodide (21 mg; 0,11 mmol and Tetrakis(triphenylphosphine)- palladium(O) (128 mg; 0,11 mmol). The reaction was stirred for 1 hr at 80°C in the microwave. HPLC-MS showed the complete formation of the required product. The reactions were diluted with ethyl acetate and extracted 3x with water, dried with Na
2SO
4 and evaporated to dryness. The residue was purified by flash chromatography giving the product methyl 5-{2-[2-({[(tert- butoxy)carbonyl](4-methoxy-2,3-dimethylphenyl)amino}sulfonyl)phenyl]ethyn- yl}pyridine-2-carboxylate as yellow solid in 71% yield (451 mg).
To a solution of methyl 5-{2-[2-({[(tert-butoxy)carbonyl](4-methoxy-2,3-di- methylphenyl)amino}sulfonyl)phenyl]ethynyl}pyridine-2-carboxylate (60,0 mg; 0,11 mmol) in Methanol (5 ml) was added Sodium hydroxide solution c(NaOH) = 2 mol/l (2 N) (1 ,1 ml) and stirred for 16 hrs at RT. HPLC-MS showed the complete formation of the required product. The reactions were diluted with ethyl acetate, acidified with HCI-1 N and extracted 3x with water, dried over Na
2SO
4 and evaporated to dryness giving the product 5-{2-[2-({[(tert- butoxy)carbonyl](4-methoxy-2,3-dimethylphenyl)amino}sulfonyl)phenyl]ethyn- yl}pyridine-2-carboxylic acid as yellow solid in 80% yield (60 mg).
To a solution of 5-{2-[2-({[(tert-butoxy)carbonyl](4-methoxy-2,3-dimethyl- phenyl)amino}sulfonyl)phenyl]ethynyl}pyridine-2-carboxylic acid (60,0 mg; 0,08 mmol) in 1 ,4-Dioxane (5 ml) was added HCI (4.0 M in dioxane, 1 ,0 ml) and stirred for 16 hrs at RT. HPLC-MS showed only startingmaterial. More HCI (4.0 M in dioxane, 1 ,0 ml) was added and stirred for 16 hrs at RT. HPLC-MS showed a new peak with product mass. The reaction was diluted with water and lyophilized. The residue was purified by prep. HPLC giving the product 5- (2-{2-[(4-methoxy-2,3-dimethylphenyl)sulfamoyl]phenyl}ethynyl)pyridine-2- carboxylic acid as yellow solid in 17% yield (7 mg).
Example 52
Synthesis of 5-(2-{2-[(quinolin-8-yl)sulfamoyl]phenyl}ethynyl)pyridine-2- carboxylic acid
To a solution of 2-iodo-N-(quinolin-8-yl)benzene-1 -sulfonamide (244,0 mg; 0,51 mmol) in Acetonitrile (20 ml) was added Di-tert-butyl dicarbonate (273,9 pi; 1 ,28 mmol) and 4-(Dimethylamino)pyridine (68,8 mg; 0,56 mmol). The reaction was stirred for 16 hrs at RT. HPLC-MS showed the complete formation of the required product. The reactions were diluted with ethyl acetate and extracted 3x with water, dried over Na
2SO
4 and evaporated to dryness giving the product as brown solid in quantitative yield (275 mg).
To a solution of tert-butyl N-(2-iodobenzenesulfonyl)-N-(quinolin-8-yl)- carbamate (275,0 mg; 0,52 mmol) was added unter argon in a microwave-vial Methyl 5-ethynylpyridine-2-carboxylate (132,7 mg; 0,78 mmol), Copper(l) iodide for synthesis (10 mg; 0,05 mmol), Diisopropylamine (0,1 ml; 0,78 mmol) and Tetrakis(triphenylphosphine)-palladium(0) (60,3 mg; 0,05 mmol). The reaction was stirred for 16 hrs at 80°C. HPLC-MS showed a complete formation of the required product. The reactions were diluted with ethyl acetate and extracted 3x with water, dried over Na2SO4 and evaporated to dryness. The residue was purified by flash chromatography giving as yellow solid in 55% yield (170 mg).
To a solution of methyl 5-{2-[2-({[(tert-butoxy)carbonyl](quinolin-8-yl)amino}- sulfonyl)phenyl]ethynyl}pyridine-2-carboxylate (170,0 mg; 0,29 mmol) in Methanol (10 ml) was added Sodium hydroxide solution c(NaOH) = 2 mol/l (2 N) (2,9 ml) and stirred for 3 days at RT. HPLC-MS showed the complete formation of the required product. The reactions were diluted with ethyl acetate, acidified with HCI-1 N and extracted 3x with water, dried over Na2SO4 and evaporated to dryness giving the product 5-(2-{2-[(quinolin-8-yl)- sulfamoyl]phenyl}ethynyl)pyridine-2 -carboxylic acid as yellow solid in 81% yield (154 mg).
Example 53
Synthesis of 5-[2-(2-{[(2-methoxyphenyl)(methyl)oxo-λ6-sulfanylidene]- amino}phenyl)ethynyl]pyridine-2-carboxylic acid
To a solution of methyl 5-[2-(2-bromophenyl)ethynyl]pyridine-2-carboxylate (80,0 mg; 0,21 mmol) in Toluene (4 ml) was added in a microwave vial under argon imino(2-methoxyphenyl)methyl-lambda6-sulfanone (46,5 mg; 0,25 mmol), Cesium carbonate (204 mg; 0,63 mmol), 2-Dicyclohexylphosphino- 2',6'-diisopropoxybiphenyl (RuPhos) (20,6 mg; 0,04 mmol) and Palladium(ll) acetate (47% Pd) (4,7 mg; 0,02 mmol). The reaction was stirred for 16 hrs at 110°C. HPLC-MS showed the complete formation of the required product. The reaction was diluted with ethyl acetate and extracted 3x with water, dried over Na
2SO
4 and evaporated to dryness. The residue was purified by flash chromatography giving the product as yellow oil in 18% yield (19 mg).
To a solution of methyl 5-[2-(2-{[(2-methoxyphenyl)(methyl)oxo-λ6-sulfanyl- idene]amino}phenyl)ethynyl]pyridine-2-carboxylate (19,0 mg; 0,04 mmol) in 1,4-Dioxane (3 ml) was added Sodium hydroxide solution c(NaOH) = 2 mol/l (2 N) (0,4 ml) and stirred for 16 hrs at RT. HPLC-MS showed the complete formation of the required product. The reaction was evaporated to dryness. The residue was purified by prep. HPLC giving the product of 5-[2-(2-{[(2- methoxyphenyl)(methyl)oxo-λ6-sulfanylidene]amino}phenyl)ethynyl]pyridine- 2-carboxylic acid as yellow solid in 95% yield (15 mg).
Example 54
Synthesis of 5-[2-(2-{[(3-methoxyphenyl)(methyl)oxo-λ6-sulfanylidene]- amino}phenyl)ethynyl]pyridine-2-carboxylic acid
To a solution of methyl 5-[2-(2-bromophenyl)ethynyl]pyridine-2-carboxylate (128,0 mg; 0,33 mmol) in Toluene (5 ml) was added in a microwave vial under argon imino(3-methoxyphenyl)methyl-λ6-sulfanone hydrochloride (89,1 mg; 0,40 mmol), Cesium carbonate (655 mg; 2,01 mmol), 2-Dicyclohexylphosphi- no-2',6'-diisopropoxybiphenyl (RuPhos) (32,9 mg; 0,07 mmol) and Palla- dium(ll) acetate (47% Pd) (7,5 mg; 0,03 mmol). The reaction was stirred for 16 hrs at 110°C. HPLC-MS showed the complete formation of the required product. The reaction was diluted with ethyl acetate and extracted 3x with water, dried over Na
2SO
4 and evaporated to dryness. The residue was purified by flash chromatography giving the product as yellow solid in 19% yield (31 mg).
To a solution of methyl 5-[2-(2-{[(3-methoxyphenyl)(methyl)oxo-λ6-sulfanyl- idene]amino}phenyl)ethynyl]pyridine-2-carboxylate (31,0 mg; 0,06 mmol) in 1,4-Dioxane (3 ml) was added Sodium hydroxide solution c(NaOH) = 2 mol/l (2 N) (0,6 ml) and stirred for 16 hrs at RT. HPLC-MS showed the complete formation of the required product. The reaction was evaporated to dryness. The residue was purified by prep. HPLC giving the product 5-[2-(2-{[(3- methoxyphenyl)(methyl)oxo-λ6-sulfanylidene]amino}phenyl)ethynyl]pyridine-
2-carboxylic acid as yellow solid in 81% yield (21 mg).
Example 55
Synthesis of 5-[2-(2-{[methyl(3-methylphenyl)oxo-λ6-sulfanylidene]- amino}phenyl)ethynyl]pyridine-2-carboxylic acid
To a solution of methyl 5-[2-(2-bromophenyl)ethynyl]pyridine-2-carboxylate (100,0 mg; 0,29 mmol) in Toluene (5 ml) was added in a microwave vial under argon imino(methyl)(3-methylphenyl)-λ6-sulfanone (72,7 mg; 0,35 mmol), Cesium carbonate (576 mg; 1,77 mmol), 2-Dicyclohexylphosphino-2',6'- diisopropoxybiphenyl (RuPhos) (28,9 mg; 0,06 mmol) and Palladium(ll) acetate (47% Pd) (6,6 mg; 0,03 mmol). The reaction was stirred for 16 hrs at 110°C. HPLC-MS showed the complete formation of the required product. The reaction was diluted with ethyl acetate and extracted 3x with water, dried over Na2SO4 and evaporated to dryness. The residue was purified by flash chromatography giving the product as yellow oil in 26% yield (36 mg).
To a solution of methyl 5-[2-(2-{[methyl(3-methylphenyl)oxo-λ6-sulfanylidene]- amino}phenyl)ethynyl]pyridine-2-carboxylate (31 ,0 mg; 0,06 mmol) in 1 ,4- Dioxane (3 ml) was added Sodium hydroxide solution c(NaOH) = 2 mol/l (2 N) (0,6 ml) and stirred for 16 hrs at RT. HPLC-MS showed the complete formation of the required product. The reaction was evaporated to dryness. The residue was purified by prep. HPLC giving the product 5-[2-(2-{[methyl(3-methyl- phenyl)oxo-λ6-sulfanylidene]amino}phenyl)ethynyl]pyridine-2 -carboxylic acid as yellow solid in 70% yield (18 mg).
Example 56
Synthesis of 5-[2-(2-{[(3-fluorophenyl)(methyl)oxo-λ6-sulfanylidene]- amino}phenyl)ethynyl]pyridine-2-carboxylic acid
To a solution of methyl 5-[2-(2-bromophenyl)ethynyl]pyridine-2-carboxylate (100 mg; 0,29 mmol) in Toluene (5 ml) was added in a microwave vial under argon 3-fluorophenyl)(imino)methyl-λ6-sulfanone (61 ,2 mg; 0,35 mmol), Cesium carbonate (288 mg; 0,88 mmol), 2-Dicyclohexylphosphino-2',6'-diiso- propoxybiphenyl (RuPhos) (28,9 mg; 0,06 mmol) and Palladium(ll) acetate (47% Pd) (6,6 mg; 0,03 mmol). The reaction was stirred for 16 hrs at 110°C.
HPLC-MS showed the complete formation of the required product. The reaction was diluted with ethyl acetate and extracted 3x with water, dried over Na
2SO
4 and evaporated to dryness. The residue was purified by flash chro- matography giving the product as yellow oil in 21% yield (26 mg).
To a solution of methyl 5-[2-(2-{[(3-fluorophenyl)(methyl)oxo-λ6-sulfanyl- idene]amino}phenyl)ethynyl]pyridine-2-carboxylate (26 mg; 0,06 mmol) in 1,4- Dioxane (3 ml) was added Sodium hydroxide solution c(NaOH) = 2 mol/l (2 N) (0,6 ml) and stirred for 3 days at RT. HPLC-MS showed the complete formation of the required product. The reaction was evaporated to dryness. The residue was purified by prep. HPLC giving the product 5-[2-(2-{[(3-fluorophenyl)- (methyl)oxo-λ6-sulfanylidene]amino}phenyl)ethynyl]pyridine-2-carboxylic acid as yellow solid in 50% yield (12 mg).
Example 57
Synthesis of 5-[2-(2-{[(2-fluorophenyl)(methyl)oxo-λ6-sulfanylidene]- amino}phenyl)ethynyl]pyridine-2-carboxylic acid
To a solution of methyl 5-[2-(2-bromophenyl)ethynyl]pyridine-2-carboxylate (100 mg; 0,29 mmol) in Toluene (5 ml) was added in a microwave vial under argon 2-fluorophenyl)(imino)methyl-λ6-sulfanone (61 ,2 mg; 0,35 mmol), Cesium carbonate (288 mg; 0,88 mmol), 2-Dicyclohexylphosphino-2',6'-diiso- propoxybiphenyl (RuPhos) (28,9 mg; 0,06 mmol) and Palladium(ll) acetate (47% Pd) (6,6 mg; 0,03 mmol). The reaction was stirred for 16 hrs at 110°C. HPLC-MS showed the complete formation of the required product. The reaction was diluted with ethyl acetate and extracted 3x with water, dried over Na
2SO
4 and evaporated to dryness. The residue was purified by flash chroma- tography giving the product as brown oil in 27 % yield (35 mg).
To a solution of methyl 5-[2-(2-{[(2-fluorophenyl)(methyl)oxo-λ6-sulfanyl- idene]amino}phenyl)ethynyl]pyridine-2-carboxylate (35 mg; 0,08 mmol) in 1 ,4- Dioxane (3 ml) was added Sodium hydroxide solution c(NaOH) = 2 mol/l (2 N) (0,8 ml) and stirred for 2 days at RT. HPLC-MS showed the complete formation of the required product. The reaction was evaporated to dryness. The residue was purified by prep. HPLC giving the product 5-[2-(2-{[(2-fluorophenyl)- (methyl)oxo-λ6-sulfanylidene]amino}phenyl)ethynyl]pyridine-2-carboxylic acid as orange solid in quantitative yield (32 mg).
Example 58
Synthesis of 5-[2-(2-{[methyl(2-methylphenyl)oxo-λ6-sulfanylidene]- amino}phenyl)ethynyl]pyridine-2-carboxylic acid
To a solution of methyl 5-[2-(2-bromophenyl)ethynyl]pyridine-2-carboxylate (100 mg; 0,29 mmol) in Toluene (5 ml) was added in a microwave vial under argon 3-fluorophenyl)(imino)methyl-λ6-sulfanone (61 ,2 mg; 0,35 mmol), Cesium carbonate (288 mg; 0,88 mmol), 2-Dicyclohexylphosphino-2',6'-diiso- propoxybiphenyl (RuPhos) (28,9 mg; 0,06 mmol) and Palladium(ll) acetate (47% Pd) (6,6 mg; 0,03 mmol). The reaction was stirred for 16 hrs at 110°C. HPLC-MS showed the complete formation of the required product. The reaction was diluted with ethyl acetate and extracted 3x with water, dried over Na2SO4 and evaporated to dryness. The residue was purified by flash chromatography giving the product as yellow oil in 37% yield (48 mg).
To a solution of methyl 5-[2-(2-{[(3-fluorophenyl)(methyl)oxo-λ6-sulfanyl- idene]amino}phenyl)ethynyl]pyridine-2-carboxylate (26 mg; 0,06 mmol) in 1 ,4- Dioxane (3 ml) was added Sodium hydroxide solution c(NaOH) = 2 mol/l (2 N) (0,6 ml) and stirred for 3 days at RT. HPLC-MS showed the complete formation of the required product. The reaction was evaporated to dryness. The residue was purified by prep. HPLC giving the product 5-[2-(2-{[methyl(2-methyl- phenyl)oxo-λ6-sulfanylidene]amino}phenyl)ethynyl]pyridine-2 -carboxylic acid as yellow solid in 71 % yield (30 mg).
Example 59
Synthesis of 5-{2-[2-(phenylsulfamoyl)phenyl]ethynyl}pyridine-2-carb- oxylic acid
To a solution of 2-iodo-N-phenylbenzene-1 -sulfonamide (678 mg; 1 ,88 mmol) in Acetonitrile (20 ml) was added Di-tert-butyl dicarbonate (1 g; 4,71 mmol) and 4-(Dimethylamino)pyridine (253,2 mg; 2,07 mmol). The reaction was stirred for 16 hrs at RT. HPLC-MS showed the complete formation of the required product. (Productmass - tBu : 402) The reaction was diluted with ethyl acetate and extracted 3x with water, dried over Na
2SO
4 and evaporated to dryness. The crude product was obtained as orange oil in 93% yield (961 mg) and was used in the next step without further purification.
To a solution of tert-butyl N-(2-iodobenzenesulfonyl)-N-phenylcarbamate (961 mg; 1 ,75 mmol) was added under argon in a microwave-vial Methyl 5-ethynyl- pyridine-2-carboxylate (445,6 mg; 2,63 mmol), Copper(l) iodide for synthesis (33 mg; 0,18 mmol; 0,10 eq.), Diisopropylamine (0,4 ml; 2,63 mmol) and Tetra- kis(triphenylphosphine)-palladium(0) (202,4 mg; 0, 18 mmol). The reaction was stirred for 16 hrs at 80°C. HPLC-MS showed complete formation of the required product. The reactions were diluted with ethyl acetate and extracted 3x with water, dried over Na
2SO
4 and evaporated to dryness. The residue was purified by flash chromatography giving the product a yellow solid in 22% yield (200 mg).
To a solution of methyl 5-{2-[2-({[(tert-butoxy)carbonyl](phenyl)amino}- sulfonyl)phenyl]ethynyl}pyridine-2-carboxylate (140 mg; 0,27 mmol) in Methanol (10 ml) was added Sodium hydroxide solution c(NaOH) = 2 mol/l (2 N) (0,2 ml) and stirred for 16 hrs at RT. HPLC-MS showed the complete formation of the required product. The reactions were acidified with HCI-1 N, diluted with water, and extracted 2x with ethyl acetate. The combined organic layers were washed 3x with water, dried over Na2SO4 and evaporated to dryness giving the product 5-{2-[2-(phenylsulfamoyl)phenyl]ethynyl}pyridine-2- carboxylic acid a yellow solid in 87% yield (129 mg) which was used in the next step without further purification.
Example 60
Synthesis of 5-(2-{2-[methyl(phenyl)sulfamoyl]phenyl}ethynyl)pyridine- 2 -carboxylic acid
To a solution of 2-iodo-N-phenylbenzene-1 -sulfonamide (1 ,5 g; 2 mmol; 2 eq.) in Tetrahydrofuran (10 ml) was added under argon in a microwave-vial Methyl 5-ethynylpyridine-2-carboxylate (528,7 mg; 3,12 mmol), Triethylamine (0,4 ml; 3,12 mmol), Copper(l) iodide (40 mg; 0,21 mmol) and Tetrakis(triphenyl- phosphine)-palladium(O) (240,1 mg; 0,21 mmol). The reaction was stirred for 16 hrs at RT. HPLC-MS showed one peak with product mass. The reactions were diluted with ethyl acetate and extracted 3x with water, dried over Na
2SO
4 and evaporated to dryness. The residue was purified by flash chromatography giving the product as yellow solid in 36% yield (306 mg).
To a solution of methyl 5-{2-[2-(phenylsulfamoyl)phenyl]ethynyl}pyridine-2- carboxylate (156,0 mg; 0,38 mmol) in N,N-Dimethylformamide (10 ml) was added lodomethane (0,1 ml; 0,96 mmol) and Potassium carbonate (106 mg; 0,76 mmol). The reaction was stirred for 16 hrs at RT. HPLC-MS showed the required product in a mixture. The reaction was diluted with ethyl acetate and extracted 3x with water, dried over Na
2SO
4 and evaporated to dryness. The residue was purified by flash chromatography giving the product in 63% yield (105 mg) as yellow solid.
To a solution of methyl 5-(2-{2-[methyl(phenyl)sulfamoyl]phenyl}ethynyl)- pyridine-2-carboxylate (105 mg) in 1,4-Dioxane (5 ml) was added Sodium hydroxide solution c(NaOH) = 2 mol/l (2 N) (1,2 ml) and stirred for 16 hrs at RT. HPLC-MS showed the complete formation of the required product. The resulting white precipitate was sucked off, washed with dioxane and dried in vacuum giving the product 5-(2-{2-[methyl(phenyl)sulfamoyl]phenyl}ethynyl)- pyridine-2-carboxylic acid as colorless solid in 86% yield (85 mg).
Example 61
Synthesis of 4-[2-(2-{[methyl(oxo)(quinolin-8-yl)-λ6-sulfanylidene]- amino}phenyl)ethynyl]isoquinoline-1 -carboxylic acid
To a solution of methyl 4-ethynylisoquinoline-1-carboxylate (899 mg; 3,06 mmol) in Acetonitrile (15 ml) was added under argon in a microwave-vial 1- Bromo-2-iodobenzene, (1,3 g; 4,59 mmol), Diisopropylamine (0,6 ml; 4,59 mmol), Copper(l) iodide for synthesis (58 mg; 0,31 mmol) and Tetrakis- (triphenylphosphine)-palladium(O) (353,6 mg; 0,31 mmol). The reaction was stirred for 16 hrs at 100°C. HPLC-MS showed the formation of the required product. The reaction was diluted with ethyl acetate and extracted 3x with water, dried over Na
2SO
4 and evaporated to dryness. The residue was purified by flash chromatography giving the product as yellow solid in 14% yield (198 mg).
To a solution of methyl 4-[2-(2-bromophenyl)ethynyl]isoquinoline-1- carboxylate (100 mg; 0.21 mmol) in toluene was added in a microwave vial unter argon imino(methyl)(quinolin-8-yl)-lambda6-sulfanone Hydrochloride (61.8 mg; 0,.25 mmol), cesium carbonate (0.1 ml; 1.27 mmol), 2- Dicyclohexylphosphino-2',6'-diisopropoxybiphenyl (RuPhos) (20.8 mg; 0.04 mmol) and Palladium(ll) acetate (47% Pd) for synthesis (4.8 mg; 0.02 mmol). The reaction was stirred for 16 hrs at 110°C. The reactions were diluted with Ethyl Acetate and extracted 3x with water, dried over Na
2SO
4 and evaporated to dryness. The residue was purified by flashchromatography giving the product in 45% (56 mg) yield as yellow solid.
To a solution of methyl 4-[2-(2-{[methyl(oxo)(quinolin-8-yl)-λ6-sulfanylidene]- amino}phenyl)ethynyl]isoquinoline-1-carboxylate (56 mg; 0,10 mmol) in Methanol (5 ml) was added Sodium hydroxide solution c(NaOH) = 2 mol/l (2 N) (1 ml) and stirred for 16 hrs at RT. HPLC-MS showed the complete formation of the required product. The reaction was evaporated to dryness. The residue was purified by prep. HPLC giving the product 4-[2-(2- {[methyl(oxo)(quinolin-8-yl)-λ6-sulfanylidene]amino}- phenyl)ethynyl]isoquinoline-1 -carboxylic acid as yellow solid in 55% yield (25 mg).
Example 62
Synthesis of 4-[2-(2-{[(4-methoxyphenyl)(methyl)oxo-λ6-sulfanylidene]- amino}phenyl)ethynyl]isoquinoline-1 -carboxylic acid
To a solution of methyl 4-[2-(2-bromophenyl)ethynyl]isoquinoline-1-carb- oxylate (98,0 mg; 0,21 mmol) in Toluene (5 ml) was added in a microwave vial under argon imino(4-methoxyphenyl)methyl-λ6-sulfanone (46,2 mg; 0,25 mmol), Cesium carbonate (203 mg; 0,62 mmol), 2-Dicyclohexylphosphino- 2',6'-diisopropoxybiphenyl (RuPhos) (20,4 mg; 0,04 mmol) and Palladium(ll) acetate (47% Pd) (4,7 mg; 0,02 mmol). The reaction was stirred for 16 hrs at 110°C. HPLC-MS showed the required product. The reactions were diluted with ethyl acetate and extracted 3x with water, dried over Na2SO4 and evaporated to dryness. The residue was purified by flash chromatography giving the product as yellow solid in 20% yield (25 mg).
To a solution of methyl 4-[2-(2-{[(4-methoxyphenyl)(methyl)oxo-λ6-sulfanyl- idene]amino}phenyl)ethynyl]isoquinoline-1-carboxylate (25 mg) in Methanol (4 ml) was added Sodium hydroxide solution c(NaOH) = 2 mol/l (2 N) (0,4 ml) and stirred for 16 hrs at RT. HPLC-MS showed the complete formation of the required product. The reaction was evaporated to dryness. The residue was purified by prep. HPLC giving the sodium salt of the acid 4-[2-(2-{[(4- methoxyphenyl)(methyl)oxo-λ6-sulfanylidene]amino}phenyl)ethynyl]iso- quinoline-1 -carboxylic acid as orange solid in 99% yield (28 mg).
Example 63
Synthesis of 5-(2-{2-[(naphthalen-1 -yl)sulfamoyl]phenyl}ethynyl)- pyridine-2-carboxylic acid
To a solution of 2-iodo-N-(naphthalen-1-yl)benzene-1 -sulfonamide (971 mg; 1 ,77 mmol) in acetonitrile (20 ml) was added di-tert-butyl dicarbonate (949,4 pi; 4,44 mmol) and 4-(Dimethylamino)pyridine for synthesis (238,5 mg; 1 ,95 mmol). The reaction was stirred for 3 days at RT. HPLC-MS showed the complete formation of the required product. The reaction was diluted with ethyl acetate and extracted 3x with water, dried over Na
2SO
4 and evaporated to dryness. The crude (760 mg; 50% yield) was used in the next step without further purification.
To a solution of tert-butyl N-(2-iodobenzenesulfonyl)-N-(naphthalen-1- yl)carbamate (710, mg; 0,82 mmol) was added under argon in a microwave- vial Methyl 5-ethynylpyridine-2-carboxylate (208,6 mg; 1,23 mmol), Copper(l) iodide for synthesis (15,6 mg; 0,08 mmol), Diisopropylamine (0,2 ml; 1,23 mmol) and Tetrakis(triphenylphosphine)-palladium(0) for synthesis (94,7 mg; 0,08 mmol). The reaction was stirred for 16 hrs at 80°C. HPLC-MS showed a not complete formation of the required product. More Methyl 5-ethynylpyridine- 2-carboxylate (208,6 mg; 1,23 mmol), Copper(l) iodide for synthesis (15,6 mg; 0,08 mmol), Diisopropylamine (0,2 ml; 1,23 mmol) and Tetrakis(triphenyl- phosphine)-palladium(O) for synthesis (94,7 mg; 0,08 mmol) was added and stirred for 16 hrs at 80°C. HPLC-MS showed as mainproduct, the required product without the boc-group and some product. The reaction was diluted with ethyl acetate and extracted 3x with water, dried over Na
2SO
4 and evaporated to dryness. The residue was purified by flash chromatography giving the product as yellow oil in 15% yield (70 mg).
To a solution of 5-{2-[2-({[(tert-butoxy)carbonyl](naphthalen-1-yl)amino}- sulfonyl)phenyl]ethynyl}pyridine-2-carboxylic acid (59 mg; 0,08 mmol;) in 1,4- Dioxane (5 ml) was added HCI (4.0 M in dioxane, 3 ml) and stirred for 16 hrs at RT. HPLC-MS showed a not complete formation of the required product. More HCI (4.0 M in dioxane, 2 ml) was added and stirred for 16 hrs at RT. HPLC-MS showed the complete formation of the required product. The reaction was diluted with water and lyophilized. The residue was purified by prep. HPLC giving the product 5-(2-{2-[(naphthalen-1-yl)sulfamoyl]phenyl}- ethynyl)pyridine-2 -carboxylic acid as light yellow solid in 39% yield (10 mg).
Table 2 shows the compounds prepared in accordance with or similar to the synthetic procedures described above:
Table 3 shows analytical data of the compounds depicted in Table 2 above:
Biological Activity of compounds of formula (I) Biological activity of the compounds of formula (I) shown in Table 2 was determined by measuring their inhibition of extracellular lactate production in a suitable assay utilizing MDA-MB-231, SNU398 and MIA PaCa-2 cell lines (see the international patent applicaton with the application number PCT/EP2019/086662, filed on 20. December 2019, published as WO 2020/127960 A1). Compounds tested in that assay exhibited IC50 values in the range of 1 nM up to 100 mM, preferably in the range of 1 nM to 1 μM, more preferably in the range of 1 nM to 100 nM; they are effective MCT4 inhibitors.
Combination treatment
MC38 tumor model
Murine MC38 colon carcinoma cells were obtained from Scripps Research Institute. Cells were tested and verified to be free of adventitious viruses and mycoplasma.
Table 4
Solutions for MC38 cell culture
Cell Culture
MC38 cells were cultured in DMEM containing 4.5 g/L D-glucose, 2 mM glutamine, and 110 mg/L sodium pyruvate and supplemented with 10% FBS. All cells were maintained at 37°C and 5% CO2 in aseptic conditions. Cells were passaged upon reaching 50-85% confluence for a total of 2 to 15 passages prior to in vivo implantation. Cells were harvested by trypsinization with TrypLE Express and viable cell counts were determined using a Countess or hematocrit chamber cell counter and trypan blue exclusion staining.
Syngeneic MC38 Tumor Model
Female C57/BL6 mice were obtained from Charles River Laboratories. They were inoculated (s.c. in the right dorsal flank) with 1x106 MC38 cells in 0.1 mL sterile PBS. Treatment was initiated when tumors reached an average volume of approximately 50-80 mm3 (Day 0).
Test groups of the MC38 tumor-bearing mice (10 animals in each group) were treated with both vehicle (20% Kleptose (HPB) in 50 mM Phosphate pH 7.4 buffer) and mutant PD-L1 (Group 1 ), the MCT4 inhibitor Compound 367 (5-{2- [5-chloro-2-(5-ethoxyquinoline-8-sulfonamido)phenyl]ethynyl}-4-methoxypyri- dine-2-carboxylic acid) (Group 2), avelumab (commercially available) (Group 3), or a combination of Compound 367 and avelumab (Group 4). In Group 1 (Control Group) the vehicle was administered at 10ml/kg animal weight, p.o. once daily and Mut PD-L1 i.v. at day 0, 3, and 6 (400 μg/animal). In Groups 2 and 4 the MCT4 inhibitor was administered at 3 mg/kg animal weight from day 0 to day 3, followed by 30 mg/kg animal weight per day until the end of the study (p.o. administration, once per day (qd)). In Groups 3 and 4 avelumab was administered 400 μg/animal at day 0, 3, and 6 (i.v. administration). At day 17 the study was terminated. Efficacy of the treatment was evaluated by monitoring tumor volume over the course of the study. The results are summarized in Table 5 and shown in Figures 1 to 4.
Response of Group 4, i.e. the MCT4 inhibitor/avelumab combination group was significantly different when compared to the vehicle group (Group 1) and to Group 2 (mono-treatment with MCT4 inhibitor).
Utilizing the MCT1 inhibitor AZD3965 (5-((S)-4-Hydroxy-4-methyl- isoxazolidine-2-carbonyl)-1-isopropyl-3-methyl-6-(3-methyl-5-trifluoromethyl- 1 H-pyrazol-4-ylmethyl)-1 H-thieno[2,3-d]pyrimidine-2,4-dione; commercially available from, e.g., Selleck Chemicals) alone or in combination with avelumab or in triple combination with avelumab and the MCT4 inhibitor Compound 367 neither reached a comparable effect nor contributed to a further inhibition of tumor growth.