
本发明涉及机织布和铺地材料技术领域,更具体的说是涉及一种低收缩机织布、低收缩铺地材料及其制备方法。The invention relates to the technical field of woven fabrics and flooring materials, and more specifically to a low-shrinkage woven fabric, low-shrinkage flooring materials and a preparation method thereof.
人造草坪、地毯等是近几十年来迅速发展起来的铺地材料,它是以塑料化纤为主要原料人工制作的地面铺装产品,它拥有天然舒适的触感,又以其较长的使用周期、均一性和较低的养护管理需求而被人们所广泛接受。但随着人们对铺地材料稳定性、平整度要求的提升,越来越多的质量问题暴露在各类场地中。究其原因,主要是此类铺地材料中所用机织布的收缩行为导致的。Artificial turf, carpet, etc. are floor materials that have developed rapidly in recent decades. It is a floor paving product artificially made with plastic chemical fiber as the main raw material. It has a natural and comfortable touch, and with its long service cycle, Uniformity and low maintenance management requirements are widely accepted by people. However, as people's requirements for the stability and flatness of paving materials increase, more and more quality problems are exposed in various venues. The reason is mainly caused by the shrinkage behavior of the woven fabric used in such floor covering materials.
机织布的主要基材原料是聚丙烯、聚酯、尼龙、聚苯乙烯等塑料,并通过拉丝、整经和编织等工艺制成。目前,由于纱线的收缩率高,机织布容易收缩,所制得的铺地材料,易在曝晒、高温环境下收缩,尺寸变短,产品鼓胀不平整等问题,严重降低了铺地材料的使用价值。The main raw materials of woven fabrics are polypropylene, polyester, nylon, polystyrene and other plastics, and they are made through processes such as drawing, warping and weaving. At present, due to the high shrinkage rate of the yarn, the woven fabric is easy to shrink, and the prepared floor material is easy to shrink under the exposure and high temperature environment, the size becomes shorter, the product is swollen and uneven, etc., which seriously reduces the floor material The value of use.
因此,如何提供一种具有低收缩率、良好抗形变能力的机织布及其制备方法是本领域技术人员亟需解决的问题。Therefore, how to provide a woven fabric with low shrinkage and good deformation resistance and a preparation method thereof is an urgent problem to be solved by those skilled in the art.
发明内容Summary of the invention
有鉴于此,本发明提供了一种低收缩机织布,该机织布具有极低的热收缩率,有效解决了铺地材料在高温环境下的膨胀起鼓、尺寸稳定性差、收缩等问题。In view of this, the present invention provides a low-shrinkage woven fabric, which has extremely low thermal shrinkage, and effectively solves the problems of expansion, bulging, poor dimensional stability, and shrinkage of floor materials in high-temperature environments. .
为了实现上述目的,本发明采用如下技术方案:In order to achieve the above objectives, the present invention adopts the following technical solutions:
一种低收缩机织布,包括基布层,该基布层的经、纬向纱线都经多步热定型处理得到。A low-shrinkage woven fabric includes a base fabric layer, and the warp and weft yarns of the base fabric layer are obtained through multi-step heat setting treatment.
基布层以聚丙烯树脂为主要原料,其中聚丙烯树脂在所述基布层中的质量百分比不低于90%。The base fabric layer uses polypropylene resin as the main raw material, and the mass percentage of the polypropylene resin in the base fabric layer is not less than 90%.
聚丙烯是通用性塑料,其综合性能优异,市场供应量大。基布层原料除聚丙烯树脂外,可以添加抗老化剂等提高机织布对光、热的稳定作用,也可以添加一些加工助剂以提升机织布的加工性能,添加填料也能一定程度降低其收缩率,还可以添加不同颜料获得不同的颜色。Polypropylene is a general-purpose plastic with excellent comprehensive performance and large market supply. In addition to polypropylene resin, the base fabric layer raw materials can be added with anti-aging agents to improve the stability of the woven fabric to light and heat, and some processing aids can also be added to improve the processing performance of the woven fabric. Fillers can also be added to a certain extent. To reduce its shrinkage, you can also add different pigments to obtain different colors.
本发明要求聚丙烯树脂在基布层中的质量百分比不低于90%,如果低于90%,则会损害机织布的强度。The present invention requires that the mass percentage of the polypropylene resin in the base cloth layer is not less than 90%, and if it is less than 90%, the strength of the woven fabric will be impaired.
优选的,在上述一种低收缩机织布中,所述基布层的经、纬向纱线的多步热定型处理中至少包含一次烘箱热定型处理,并且烘箱热定型处理温度为100-130℃,处理时长为5-24h,进一步优选为8-20h。Preferably, in the above-mentioned low-shrinkage woven fabric, the multi-step heat setting treatment of the warp and weft yarns of the base fabric layer includes at least one oven heat setting treatment, and the oven heat setting treatment temperature is 100- At 130°C, the treatment time is 5-24h, more preferably 8-20h.
上述技术方案的有益效果是:多步热定型处理提高了经、纬向纱线的结晶度,降低了收缩率,是获得低收缩机织布的关键。若热定型处理温度低于100℃或高于130℃,都不利于经、纬向纱线结晶度的提高,导致处理后其纱线的收缩率还是比较高,若处理时长少于5h,纱线受热不足其结晶度提升不足,收缩率也比较大,对机织布收缩率的降低没有明显作用,并且会使得生产效率低成本高。The beneficial effect of the above technical solution is that the multi-step heat setting treatment improves the crystallinity of the warp and weft yarns, reduces the shrinkage rate, and is the key to obtaining a low-shrinkage woven fabric. If the heat setting temperature is lower than 100°C or higher than 130°C, it is not conducive to the improvement of the crystallinity of the warp and weft yarns, resulting in a relatively high shrinkage rate of the yarn after the treatment. If the treatment time is less than 5h, the yarn If the thread is not heated enough, the crystallinity is not improved enough and the shrinkage rate is relatively large, which has no obvious effect on the reduction of the shrinkage rate of the woven fabric, and will make the production efficiency and low cost high.
优选的,在上述一种低收缩机织布中,所述基布层的原料还包括聚丙烯以外的低收缩率聚合物树脂,其中低收缩率聚合物树脂选自聚对苯二甲酸乙酯(PET)、尼龙(PA)、聚苯硫醚(PPS)、聚苯乙烯(PS)、聚乳酸(PLA)中的一种或多种。引入这些低收缩率聚合物树脂可进一步降低基布层的收缩率。Preferably, in the above-mentioned low-shrinkage woven fabric, the raw material of the base fabric layer further includes a low-shrinkage polymer resin other than polypropylene, wherein the low-shrinkage polymer resin is selected from polyethylene terephthalate One or more of (PET), nylon (PA), polyphenylene sulfide (PPS), polystyrene (PS), and polylactic acid (PLA). The introduction of these low shrinkage polymer resins can further reduce the shrinkage of the base fabric layer.
进一步地,所述低收缩率聚合物树脂的质量百分比为1-8%,优选2-5%。若低收缩率聚合物树脂的质量百分比低于1%,则其所起到的作用很小,若高于8%,则会影响基布层的强度。Further, the mass percentage of the low shrinkage polymer resin is 1-8%, preferably 2-5%. If the mass percentage of the low shrinkage polymer resin is less than 1%, its effect is small, and if it is higher than 8%, it will affect the strength of the base fabric layer.
优选的,在上述一种低收缩机织布中,还包括复合层,所述复合层位于所述基布层外侧,并且所述复合层包括但不限于混合棉、网格布和无纺布。Preferably, in the above-mentioned low-shrinkage woven fabric, it further includes a composite layer, the composite layer is located outside the base cloth layer, and the composite layer includes, but is not limited to, mixed cotton, mesh cloth, and non-woven fabric .
进一步地,所述复合层可以通过针刺、胶黏剂胶黏等方式同所述基布层形成整体的机织布。Further, the composite layer may form an integral woven fabric with the base fabric layer by needle punching, adhesive gluing, and the like.
上述技术方案的有益效果是:混合棉、无纺布等的复合层可简单地针刺在基布层上,形成一个整体,网格布可在铺地材料的制作过程,如簇绒时同基布层一同使用。引入复合层可提高铺地材料中胶层的稳定性。The beneficial effect of the above technical solution is that the composite layer of mixed cotton, non-woven fabric, etc. can be simply needled on the base cloth layer to form a whole, and the grid cloth can be used in the production process of paving materials, such as tufting. Use the base fabric together. The introduction of the composite layer can improve the stability of the glue layer in the floor material.
优选的,在上述一种低收缩机织布中,还含有玻璃纤维布,所述玻璃纤维布位于所述基布层与所述复合层中间。Preferably, the aforementioned low-shrinkage woven fabric further contains glass fiber cloth, and the glass fiber cloth is located between the base cloth layer and the composite layer.
上述技术方案的有益效果是:玻璃纤维是一种性能优异的无机非金属材料,绝缘性好,耐热性强,抗腐蚀性好,机械强度高,通常用作复合材料中的增强材料。玻璃纤维布是无捻粗纱平纹织物,是手糊玻璃钢的重要基材,玻璃纤维布的强度主要在织物的经纬方向上,适用于对经向或纬向高强度要求的场合,由于玻璃纤维的收缩率非常低,可将织物的收缩率大幅度的降低30%以上。The beneficial effect of the above technical solution is that glass fiber is an inorganic non-metallic material with excellent performance, good insulation, strong heat resistance, good corrosion resistance, and high mechanical strength, and is usually used as a reinforcing material in composite materials. Glass fiber cloth is a non-twisted roving plain weave fabric. It is an important base material for hand-laid glass fiber reinforced plastic. The strength of glass fiber cloth is mainly in the warp and weft direction of the fabric. It is suitable for occasions that require high strength in the warp or weft direction. The shrinkage rate is very low, which can greatly reduce the shrinkage rate of the fabric by more than 30%.
优选的,在上述一种低收缩机织布中,所述基布层经、纬向纱线结晶度不低于60%,纱线收缩率不高于8‰。Preferably, in the above-mentioned low-shrinkage woven fabric, the warp and weft yarn crystallinity of the base fabric layer is not less than 60%, and the yarn shrinkage rate is not more than 8‰.
上述技术方案的有益效果是:结晶度是利用差示量热扫描法(DSC),在10℃/min的升温速率下测得的,收缩率是按132℃/20min的条件测得的。纱线结晶度低于60%,收缩率高于8‰,所制得的机织布收缩率比较高。The beneficial effect of the above technical solution is that the crystallinity is measured by differential calorimetry (DSC) at a heating rate of 10°C/min, and the shrinkage is measured under the condition of 132°C/20min. The crystallinity of the yarn is less than 60%, the shrinkage rate is higher than 8‰, and the obtained woven fabric has a relatively high shrinkage rate.
本发明还公开了一种低收缩机织布的制备方法,当低收缩机织布即为基布层时,其制备方法包括以下步骤:The invention also discloses a method for preparing a low-shrinkage woven fabric. When the low-shrinkage woven fabric is the base fabric layer, the preparation method includes the following steps:
(1)将聚丙烯树脂、色母和其他助剂按一定比例注入挤出机中挤出,挤出的纤维过水冷却后经热金属辊筒进行热辊热定型处理,收卷分别得到经向纱团和纬向纱团;(1) Inject polypropylene resin, color masterbatch and other additives into the extruder according to a certain ratio. The extruded fiber is cooled by water and then subjected to hot roller heat setting treatment by a hot metal roller. Toward yarn group and weft direction yarn group;
(2)将经向纱团和纬向纱团放入烘箱内进行烘箱热定型处理,烘箱热定型处理结束后,取出纱团备用;(2) Put the warp yarn group and the weft yarn group into the oven for oven heat setting treatment, after the oven heat setting treatment is over, take out the yarn group for use;
(3)将烘箱热定型处理后的经向纱团进行整经,得到经轴,并与烘箱热定型处理后的纬向纱团一起在织布机上按一定卷长及幅宽进行编织,即得低收缩机织布的基布层。(3) Warp the warp yarn group after the oven heat setting treatment to obtain a warp beam, and weave the warp yarn group together with the weft yarn group after the oven heat setting treatment on the loom according to a certain roll length and width, namely Get the base fabric layer of low shrinkage woven fabric.
优选的,在上述一种低收缩机织布的制备方法中,步骤(1)中所述热辊热定型处理的温度为110~160℃,辊筒转速为200~350r/min,辊筒数量为5~10个。Preferably, in the above-mentioned method for preparing a low-shrinkage woven fabric, the temperature of the hot roller heat setting treatment in step (1) is 110-160°C, the roller speed is 200-350r/min, and the number of rollers For 5 to 10.
上述技术方案的有益效果是:热金属辊筒加热时,纱线紧贴辊筒表面,由于固-固导热的高效性,辊筒的热量可迅速传导至纱线中。该热能可蒸发纱线中多余水分,使纱线迅速受热定型,减少后续使用过程中的收缩变形。The beneficial effect of the above technical solution is that when the hot metal roller is heated, the yarn is close to the surface of the roller, and due to the high efficiency of solid-solid heat conduction, the heat of the roller can be quickly transferred to the yarn. The heat energy can evaporate the excess water in the yarn, so that the yarn is quickly heated and shaped, and the shrinkage and deformation in the subsequent use process are reduced.
优选的,在上述一种低收缩机织布的制备方法中,还包括以下步骤:将步骤(3)所得低收缩机织布继续进行接触式热定型、热风拉幅定型或者红外辐射定型,进一步降低收缩率。Preferably, in the above-mentioned method for preparing a low-shrinkage woven fabric, the method further includes the following steps: continuing the low-shrinkage woven fabric obtained in step (3) to contact heat setting, hot air tentering setting or infrared radiation setting, and further Reduce shrinkage.
本发明还公开了一种低收缩铺地材料,包括低收缩机织布、纺织纤维和背胶层,所述纺织纤维簇绒在所述低收缩机织布上表面,所述背胶层涂覆在所述低收缩机织布背面。The invention also discloses a low-shrinkage floor covering material, comprising a low-shrinkage woven fabric, textile fibers and a backing layer, the textile fiber is tufted on the upper surface of the low-shrinkage woven cloth, and the backing layer is coated Cover the back of the low shrinkage woven fabric.
本发明还公开了一种低收缩铺地材料的制备方法,包括以下步骤:The invention also discloses a preparation method of a low-shrinkage floor covering material, which comprises the following steps:
(1)将纺织纤维用簇绒机按指定行距与针距将纺织纤维簇绒到低收缩机织布上形成半成品;(2)在半成品背面涂覆胶黏剂,经烘箱固化后,即得低收缩铺地材料。(1) Use a tufting machine to tuft the textile fibers onto a low-shrinkage woven fabric to form a semi-finished product according to the specified row and needle pitch; (2) Apply adhesive on the back of the semi-finished product and cure it in an oven to obtain Low shrinkage flooring material.
经由上述的技术方案可知,与现有技术相比,本发明具有如下有益效果: 本发明主要是在机织布基布层生产工序中加入多步热定型处理,使所制备的机织布及铺地材料在曝晒、高温环境下具有较低的热收缩率,达到提升制品热稳定性的目的,改善了铺地材料在高温环境下鼓胀、蜷曲变形、不平整的问题,使铺地材料具有良好的抗形变能力,提升了其使用寿命及价值。It can be seen from the above technical solutions that, compared with the prior art, the present invention has the following beneficial effects: The present invention mainly adds a multi-step heat setting treatment to the production process of the woven fabric base fabric layer to make the prepared woven fabric and The paving material has a low thermal shrinkage rate under exposure and high temperature environment, so as to improve the thermal stability of the product, and improve the swelling, curling, deformation, and unevenness of the paving material in the high temperature environment, so that the paving material has Good anti-deformation ability improves its service life and value.
为了更清楚地说明本发明实施例或现有技术中的技术方案,下面将对实施例或现有技术描述中所需要使用的附图作简单地介绍,显而易见地,下面描述中的附图仅仅是本发明的实施例,对于本领域普通技术人员来讲,在不付出创造性劳动的前提下,还可以根据提供的附图获得其他的附图。In order to explain the embodiments of the present invention or the technical solutions in the prior art more clearly, the following will briefly introduce the drawings that need to be used in the description of the embodiments or the prior art. Obviously, the drawings in the following description are only It is an embodiment of the present invention. For those of ordinary skill in the art, other drawings can be obtained based on the provided drawings without creative work.
图1附图为本发明低收缩铺地材料的截面图。Figure 1 is a cross-sectional view of the low-shrinkage floor covering material of the present invention.
在图中:In the picture:
1为机织布、2为纺织纤维、3为背胶层。1 is woven fabric, 2 is textile fiber, and 3 is adhesive layer.
下面将对本发明实施例中的技术方案进行清楚、完整地描述,显然,所描述的实施例仅仅是本发明一部分实施例,而不是全部的实施例。基于本发明中的实施例,本领域普通技术人员在没有做出创造性劳动前提下所获得的所有其他实施例,都属于本发明保护的范围。The technical solutions in the embodiments of the present invention will be described clearly and completely below. Obviously, the described embodiments are only a part of the embodiments of the present invention, rather than all the embodiments. Based on the embodiments of the present invention, all other embodiments obtained by those of ordinary skill in the art without creative work shall fall within the protection scope of the present invention.
在下述各实施例和对比例中,所用的纺织纤维都是人造草丝,背胶层(胶黏剂)都是丁苯胶,制得的铺地材料均为人造草坪。In the following examples and comparative examples, the textile fibers used are all artificial grass yarns, the back glue layer (adhesive) is all styrene butadiene rubber, and the prepared paving materials are all artificial turf.
实施例1Example 1
(1)低收缩机织布(仅含基布层)的制备:(1) Preparation of low-shrinkage woven fabric (only base fabric layer):
(A)将聚丙烯(聚丙烯,F401)和色母按质量98:2的比例注入挤出机 中挤出、拉丝;(A) Inject polypropylene (polypropylene, F401) and color masterbatch into the extruder at a mass ratio of 98:2 for extrusion and drawing;
(B)将过水冷却后的纱线经热金属辊筒定型,辊筒温度为130℃,辊筒转速为240r/min,辊筒数量为6个,经热辊热定型处理后的纱线进行收卷,分别得到经、纬向纱团;(B) The yarn cooled by water is shaped by a hot metal roller, the temperature of the roller is 130℃, the speed of the roller is 240r/min, the number of rollers is 6, and the yarn is heat-set by the hot roller Rewinding to obtain warp and weft yarn lumps respectively;
(C)将经、纬向纱团分别放入热烘箱中进行热定型处理,热烘箱温度设定为120℃,处理时间12h,热定型结束后取出备用;(C) Put the warp and weft yarns into a hot oven for heat setting treatment. The temperature of the hot oven is set to 120℃, and the treatment time is 12 hours. After the heat setting is finished, take it out for use;
(D)将(C)处理过的经向纱团经整经、得到经轴,同(C)处理过的纬向纱团一同用织布机编织成卷长800m及幅宽4.16m的基布层。(D) Warp the warp yarn group treated in (C) to obtain a warp beam, and weave it together with the weft yarn group treated in (C) into a base with a roll length of 800m and a width of 4.16m. Cloth layer.
将此基布层单独作为机织布使用。Use this base cloth layer alone as a woven cloth.
(2)低收缩铺地材料的制备:(2) Preparation of low-shrinkage paving materials:
(A)将人造草丝用簇绒机按指定行距与针距簇绒到上述(1)得到的机织布层上,得到半成品草坪;(A) Tuft the artificial turf silk on the woven fabric layer obtained in (1) above by using a tufting machine according to the specified row and needle pitch to obtain a semi-finished lawn;
(B)在半成品草坪背面涂覆胶黏剂,经烘箱固化形成背胶层,制得低收缩率人造草坪。(B) Coating an adhesive on the back of the semi-finished lawn and curing it in an oven to form a back glue layer to produce an artificial lawn with a low shrinkage rate.
实施例2Example 2
(1)低收缩机织布的制备:(1) Preparation of low shrinkage woven fabric:
(A)将聚丙烯(F401,扬子石化)、聚苯乙烯(GPPS 525,广州石化)和色母按质量92:5:3的比例注入挤出机中挤出、拉丝;(A) Inject polypropylene (F401, Yangzi Petrochemical), polystyrene (GPPS 525, Guangzhou Petrochemical) and color masterbatch into the extruder at a mass ratio of 92:5:3 for extrusion and drawing;
(B)将过水冷却后的纱线经热金属辊筒定型,辊筒温度为120℃,辊筒转速为220r/min,辊筒数量为6个,经热辊热定型处理后的纱线进行收卷,分别得到经、纬向纱团;(B) The yarn cooled by water is shaped by a hot metal roller, the temperature of the roller is 120℃, the speed of the roller is 220r/min, the number of rollers is 6, and the yarn is heat-set by the hot roller Rewinding to obtain warp and weft yarn lumps respectively;
(C)将经、纬向纱团分别放入热烘箱中进行热定型处理,热烘箱温度设定为115℃,处理时间20h,热定型结束后取出备用;(C) Put the warp and weft yarns into a hot oven for heat setting treatment. The temperature of the hot oven is set to 115°C and the treatment time is 20 hours. After the heat setting is completed, take it out for use;
(D)将(C)处理过的经向纱团经整经、得到经轴,同(C)处理过的纬 向纱团一同用织布机编织成卷长800m及幅宽4.16m的基布层。(D) Warp the warp yarn group treated in (C) to obtain a warp beam, and weave it together with the weft yarn group treated in (C) into a base with a roll length of 800m and a width of 4.16m. Cloth layer.
(E)将涤纶无纺布用针刺的方式同(D)得到的基布层形成整体的机织布使用。(E) The polyester non-woven fabric is needle-punched with the base fabric layer obtained in (D) to form an integral woven fabric.
(2)低收缩铺地材料的制备:(2) Preparation of low-shrinkage paving materials:
(A)将人造草丝用簇绒机按指定行距与针距簇绒到上述(1)得到的机织布上,得到半成品草坪;(A) Tuft the artificial turf silk on the woven fabric obtained in (1) above with a tufting machine according to the specified row and needle pitch to obtain a semi-finished lawn;
(B)在半成品草坪背面涂覆胶黏剂,经烘箱固化形成背胶层,制得低收缩率人造草坪。(B) Coating an adhesive on the back of the semi-finished lawn and curing it in an oven to form a back glue layer to produce an artificial lawn with a low shrinkage rate.
实施例3Example 3
(1)低收缩机织布的制备:(1) Preparation of low shrinkage woven fabric:
(A)将聚丙烯(F401,扬子石化)、和色母和碳酸钙按质量94:1:5的比例注入挤出机中挤出、拉丝;(A) Inject polypropylene (F401, Yangzi Petrochemical), color masterbatch and calcium carbonate into the extruder at a mass ratio of 94:1:5 for extrusion and drawing;
(B)将过水冷却后的纱线经热金属辊筒定型,辊筒温度为140℃,辊筒转速为300r/min,辊筒数量为8个,经热辊热定型处理后的纱线进行收卷,分别得到经、纬向纱团;(B) The yarn cooled by water is shaped by a hot metal roller, the temperature of the roller is 140℃, the speed of the roller is 300r/min, the number of rollers is 8, and the yarn is heat-set by the hot roller Rewinding to obtain warp and weft yarn lumps respectively;
(C)将经、纬向纱团分别放入热烘箱中进行热定型处理,热烘箱温度设定为125℃,定型时间8h,热定型结束后取出烘箱备用;(C) Put the warp and weft yarns into a hot oven for heat setting treatment. The temperature of the hot oven is set to 125°C, and the setting time is 8 hours. After the heat setting is completed, take out the oven for standby;
(D)将(C)处理过的经向纱团经整经、得到经轴,同(C)处理过的纬向纱团一同用织布机编织成卷长800m及幅宽4.16m的基布层;(D) Warp the warp yarn group treated in (C) to obtain a warp beam, and weave it together with the weft yarn group treated in (C) into a base with a roll length of 800m and a width of 4.16m. Cloth layer
(E)将(D)得到的基布层进行热风拉幅定型处理,机床速度为15m/min,热风箱温度为140℃,停留时间3min;(E) The base fabric layer obtained in (D) is subjected to hot-air stenter setting treatment, the machine speed is 15m/min, the hot-air box temperature is 140°C, and the residence time is 3min;
(F)将E得到的基布层和网格布一起作为机织布使用。(F) The base cloth layer obtained by E and the grid cloth are used as a woven cloth.
(2)低收缩铺地材料的制备:(2) Preparation of low-shrinkage paving materials:
(A)将人造草丝用簇绒机按指定行距与针距簇绒到上述(1)得到的机 织布上,得到形成半成品草坪;(A) Tuft the artificial turf silk on the woven fabric obtained in (1) above with a tufting machine according to the specified row and needle pitches to form a semi-finished lawn;
(B)在半成品草坪背面涂覆胶黏剂,经烘箱固化形成背胶层,制得低收缩率人造草坪。(B) Coating an adhesive on the back of the semi-finished lawn and curing it in an oven to form a back glue layer to produce an artificial lawn with a low shrinkage rate.
实施例4Example 4
(1)低收缩机织布的制备:(1) Preparation of low shrinkage woven fabric:
基布层同实施例1,将涤纶无纺布和玻璃纤维布,玻璃纤维布在中间,用针刺的方式同基布层形成整体的机织布。The base cloth layer is the same as in Example 1. The polyester non-woven fabric, glass fiber cloth, and glass fiber cloth are in the middle, and the base cloth layer is needle-punched to form an integral woven fabric.
(2)低收缩铺地材料的制备:(2) Preparation of low-shrinkage paving materials:
(A)将人造草丝用簇绒机按指定行距与针距簇绒到上述(1)得到的机织布上,得到半成品草坪;(A) Tuft the artificial turf silk on the woven fabric obtained in (1) above with a tufting machine according to the specified row and needle pitch to obtain a semi-finished lawn;
(B)在半成品草坪背面涂覆胶黏剂,经烘箱固化形成背胶层,制得低收缩率人造草坪。(B) Coating an adhesive on the back of the semi-finished lawn and curing it in an oven to form a back glue layer to produce an artificial lawn with a low shrinkage rate.
对比例1Comparative example 1
(1)机织布的制备:(1) Preparation of woven fabric:
(A)将聚丙烯(F401,扬子石化)和色母按质量98:2的比例注入挤出机中挤出、拉丝;(A) Inject polypropylene (F401, Yangzi Petrochemical) and color masterbatch into the extruder at a mass ratio of 98:2 for extrusion and drawing;
(B)将过水冷却后的纱线经热金属辊筒定型,辊筒温度为130℃,辊筒转速为240r/min,辊筒数量为6个,经热辊热定型处理后的纱线进行收卷,分别得到经、纬向纱团;(B) The yarn cooled by water is shaped by a hot metal roller, the temperature of the roller is 130℃, the speed of the roller is 240r/min, the number of rollers is 6, and the yarn is heat-set by the hot roller Rewinding to obtain warp and weft yarn lumps respectively;
(C)将(B)得到的经向纱团经整经、得到经轴,并同(B)得到的纬向纱团按卷长800m及幅宽4.16m编织成基布层。(C) Warp the warp yarn mass obtained in (B) to obtain a warp beam, and weave the weft yarn mass obtained in (B) into a base fabric layer with a roll length of 800m and a width of 4.16m.
(2)铺地材料的制备:(2) Preparation of floor materials:
(A)将人造草丝用簇绒机按指定行距与针距簇绒到上述(1)得到的机 织布上,得到半成品草坪;(A) Tuft the artificial turf silk on the woven fabric obtained in (1) above using a tufting machine according to the specified row and needle pitch to obtain a semi-finished lawn;
(B)在半成品草坪背面涂覆胶黏剂,经烘箱固化形成背胶层,制得低收缩率人造草坪。(B) Coating an adhesive on the back of the semi-finished lawn and curing it in an oven to form a back glue layer to produce an artificial lawn with a low shrinkage rate.
对比例2Comparative example 2
(1)机织布的制备:(1) Preparation of woven fabric:
基布层同对比例1,将涤纶无纺布和玻璃纤维布,玻璃纤维布在中间,用针刺的方式同基布层形成整体的机织布。The base fabric layer is the same as Comparative Example 1. The polyester non-woven fabric, glass fiber cloth, and glass fiber cloth are in the middle, and the base fabric layer is needle punched to form an integral woven fabric.
(2)铺地材料的制备:(2) Preparation of floor materials:
(A)将人造草丝用簇绒机按指定行距与针距簇绒到(1)得到的机织布上,得到半成品草坪;(A) Tuft the artificial turf silk on the woven cloth obtained in (1) with a tufting machine according to the specified row and needle pitch to obtain a semi-finished lawn;
(B)在半成品草坪背面涂覆胶黏剂,经烘箱固化形成背胶层,制得低收缩率人造草坪。(B) Coating an adhesive on the back of the semi-finished lawn and curing it in an oven to form a back glue layer to produce an artificial lawn with a low shrinkage rate.
对比例3Comparative example 3
(1)机织布的制备:(1) Preparation of woven fabric:
(A)将聚丙烯(F401,扬子石化)、聚苯乙烯(GPPS 525,广州石化)和色母按质量92:5:3的比例注入挤出机中挤出、拉丝;(A) Inject polypropylene (F401, Yangzi Petrochemical), polystyrene (GPPS 525, Guangzhou Petrochemical) and color masterbatch into the extruder at a mass ratio of 92:5:3 for extrusion and drawing;
(B)将过水冷却后的纱线经热金属辊筒定型,辊筒温度为135℃,辊筒转速为210r/min,辊筒数量为8个,经热辊热定型处理后的纱线进行收卷,分别得到经、纬向纱团;(B) The yarn cooled by water is shaped by a hot metal roller, the temperature of the roller is 135℃, the speed of the roller is 210r/min, the number of rollers is 8, and the yarn is heat-set by the hot roller Rewind to obtain warp and weft yarn lumps respectively;
(C)将(B)得到的纬向纱团经热烘箱定型处理,热烘箱温度设定为105℃,定型时间20h,热定型结束后取出烘箱备用;(C) The weft yarn mass obtained in (B) is shaped by a hot oven, the temperature of the hot oven is set to 105 ℃, and the shaping time is 20 hours. After the heat shaping is completed, take out the oven for standby;
(D)将(B)得到的经向纱团经整经、得到经轴,并同(C)得到的纬向纱团按卷长800m及幅宽4.16m编织成基布层;(D) Warp the warp yarn mass obtained in (B) to obtain a warp beam, and weave the weft yarn mass obtained in (C) into a base fabric layer with a roll length of 800m and a width of 4.16m;
(F)将E得到的基布层和网格布一起作为机织布使用。(F) The base cloth layer obtained by E and the grid cloth are used as a woven cloth.
(2)铺地材料的制备:(2) Preparation of floor materials:
(A)将人造草丝用簇绒机按指定行距与针距簇绒到(1)得到的机织布上,得到半成品草坪;(A) Tuft the artificial turf silk on the woven fabric obtained in (1) with a tufting machine according to the specified row and needle pitch to obtain a semi-finished lawn;
(B)在半成品草坪背面涂覆胶黏剂,经烘箱固化形成背胶层,制得低收缩率人造草坪。(B) Coating an adhesive on the back of the semi-finished lawn and curing it in an oven to form a back glue layer to produce an artificial lawn with a low shrinkage rate.
性能测试Performance Testing
项目一:纱线结晶度检测Project 1: Yarn crystallinity test
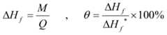
差示量热扫描测定法:取热定型后的纱团纱线剪碎并用镊子放置于预先去皮的坩埚内,天平称重,记录质量为Q(g);将坩埚置于DSC热分析仪样品池内,设置起止温度范围:25~200℃;升温速率:10℃/min;通N2保护,N2流速50mL/min;利用热分析仪自动测算熔融热,记为M(J)。由下式计算结晶度(经纬向纱线分别检测):Differential calorimetric scanning measurement method: take the heat-set yarn mass and cut it into pieces and place it in a crucible that has been peeled with tweezers, weigh it with a balance, and record the mass as Q(g); place the crucible in the DSC thermal analyzer In the sample cell, set the starting and ending temperature range: 25~200℃; heating rate: 10℃/min; pass N2 protection, N2 flow rate 50mL/min; use a thermal analyzer to automatically measure the heat of fusion, and record it as M(J). Calculate the degree of crystallinity from the following formula (detection of warp and weft yarns separately):
其中,ΔHf表示试样的熔融焓(J/g),ΔHf*表示试样基材聚合物结晶度达到100%时的熔融焓(J/g),θ表示结晶度。PP在100%结晶度时的ΔHf*为207.1J/g。Wherein, ΔHf represents the enthalpy of fusion (J/g) of thesample, ΔH f* represents the enthalpy of fusion (J/g) when the crystallinity of the sample base polymer reaches 100%, and θ represents the degree of crystallinity.The ΔH f* of PP at 100% crystallinity is 207.1 J/g.
表1 各实施例纱线结晶度Table 1 The crystallinity of yarns in each example
项目二:纱线收缩率检测Project 2: Yarn shrinkage detection
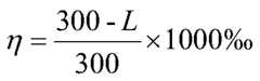
参照GB/T 6505-2017《化学纤维长丝热收缩率试验方法》。具体方法是:取100cm长热定型后的纱团纱线,置于热烘箱内,烘箱设定132℃,测试时间20min,测试结束后取出纱线,自然冷却至室温,测量纱线长度,记为L(cm),经、纬向纱线测试方法相同,纱线收缩率η(‰)由下式计算:Refer to GB/T 6505-2017 "Test Method for Thermal Shrinkage of Chemical Fiber Filament". The specific method is: take the 100cm-long yarn mass after heat setting, put it in a hot oven, set the oven to 132°C, and test for 20 minutes. After the test, take out the yarn, cool it naturally to room temperature, measure the length of the yarn, and record it. It is L (cm), the test methods of warp and weft yarns are the same, and the yarn shrinkage rate η (‰) is calculated by the following formula:
表2 各实施例纱线收缩率Table 2 Yarn shrinkage rate of each example
项目三:机织布及人造草坪收缩率检测Project 3: Detection of shrinkage rate of woven fabrics and artificial turf
以机织布经向收缩检测为例,其具体方法是:将机织布剪成经向300cm,纬向20cm的长方形样块,用马克笔在样块一端的中间及距两端5cm处各标记一个测量点,另一端用同样的方法标记出3个对应的测量点。将机织布以卷绕方式置于热烘箱后计时检测,烘箱设定110℃,测试时间1h。测试结束后取出机织布平铺于实验台,待其自然冷却至室温后按对应测量点测量其长度,记为L(cm),机织布纬向收缩及人造草坪的收缩检测方法与之一致,收缩率η(‰)按下式计算:Take the warp shrinkage detection of woven fabric as an example. The specific method is: cut the woven fabric into a rectangular sample of 300 cm in warp direction and 20 cm in weft direction. Mark a measurement point, and use the same method to mark 3 corresponding measurement points on the other end. Put the woven fabric in a hot oven in a winding mode and time to test. The oven is set to 110°C and the test time is 1h. After the test, take out the woven cloth and spread it flat on the test bench. After it is naturally cooled to room temperature, measure its length according to the corresponding measuring point and record it as L (cm). The weft shrinkage of the woven cloth and the shrinkage detection method of artificial turf are similar to those Consistent, the shrinkage rate η(‰) is calculated as follows:
表3 各实施例机织布收缩率Table 3 Shrinkage rate of woven fabrics in each example
表4 各实施例铺地材料收缩率Table 4 Shrinkage rate of floor covering materials in each example
由上述性能测试结果可以得出,本发明的低收缩率机织布及由该机织布制成的人造草坪具有如下特征:From the above performance test results, it can be concluded that the low shrinkage woven fabric of the present invention and the artificial turf made of the woven fabric have the following characteristics:
1、本发明的低收缩机织布,在其基布层生产工序中加入多步热定型处理,使由该机织布制成的铺地材料在曝晒、高温环境下具有较低的热收缩率,制品热稳定性、抗形变能力良好,克服了铺地材料在高温环境下鼓胀、蜷曲变形、不平整的问题,提升了铺地材料的使用寿命及价值。1. The low-shrinkage woven fabric of the present invention adds multi-step heat setting treatment in the production process of the base fabric layer, so that the floor material made of the woven fabric has lower thermal shrinkage under exposure and high temperature environments. The product has good thermal stability and resistance to deformation. It overcomes the problems of swelling, curling, deformation, and unevenness of the floor material in a high-temperature environment, and improves the service life and value of the floor material.
2、基布层的收缩率与纱线结晶度呈负相关关系,热定型工艺的主要目的是提升纱线的结晶度,从而提升纱线的热稳定性,在温度允许的范围内,热定型应满足温度尽可能高,时间尽可能长的工艺要求。2. The shrinkage rate of the base fabric layer is negatively related to the crystallinity of the yarn. The main purpose of the heat setting process is to increase the crystallinity of the yarn, thereby improving the thermal stability of the yarn. It should meet the process requirements that the temperature is as high as possible and the time is as long as possible.
3、聚合物基材强度越高,结晶度越大,则尺寸稳定性越好,热收缩率越低,在PP基材中引入低收缩率聚合物可以提升基布层的热稳定性,减小收缩量。3. The higher the strength of the polymer substrate and the greater the crystallinity, the better the dimensional stability and the lower the thermal shrinkage rate. The introduction of low-shrinkage rate polymers into the PP substrate can improve the thermal stability of the base fabric layer and reduce Small shrinkage.
4、在机织布层中引入玻璃纤维布可以极大降低铺地材料的收缩率。4. The introduction of glass fiber cloth into the woven fabric layer can greatly reduce the shrinkage of the floor material.
5、经检测,由本发明低收缩率机织布制成的铺地材料收缩率不超过4‰,适用于高尔夫、曲棍球等各类高尺寸稳定性要求的场地,极大拓宽了人造草坪的应用领域,提升了铺地材料的使用价值。5. After testing, the paving material made of the low-shrinkage woven fabric of the present invention has a shrinkage rate of not more than 4‰, which is suitable for golf, hockey and other venues with high dimensional stability requirements, and greatly expands the application of artificial turf. Field, enhance the use value of paving materials.
本说明书中各个实施例采用递进的方式描述,每个实施例重点说明的都是与其他实施例的不同之处,各个实施例之间相同相似部分互相参见即可。对于实施例公开的装置而言,由于其与实施例公开的方法相对应,所以描述的比较简单,相关之处参见方法部分说明即可。The various embodiments in this specification are described in a progressive manner. Each embodiment focuses on the differences from other embodiments, and the same or similar parts between the various embodiments can be referred to each other. For the device disclosed in the embodiment, since it corresponds to the method disclosed in the embodiment, the description is relatively simple, and the relevant parts can be referred to the description of the method part.
对所公开的实施例的上述说明,使本领域专业技术人员能够实现或使用本发明。对这些实施例的多种修改对本领域的专业技术人员来说将是显而易见的,本文中所定义的一般原理可以在不脱离本发明的精神或范围的情况下,在其它实施例中实现。因此,本发明将不会被限制于本文所示的这些实施例,而是要符合与本文所公开的原理和新颖特点相一致的最宽的范围。The above description of the disclosed embodiments enables those skilled in the art to implement or use the present invention. Various modifications to these embodiments will be obvious to those skilled in the art, and the general principles defined herein can be implemented in other embodiments without departing from the spirit or scope of the present invention. Therefore, the present invention will not be limited to the embodiments shown in this document, but should conform to the widest scope consistent with the principles and novel features disclosed in this document.
| Application Number | Priority Date | Filing Date | Title | 
|---|---|---|---|
| JP2021506498AJP7239676B2 (en) | 2020-04-14 | 2020-08-11 | Woven fabric, bedding material and preparation method thereof | 
| Application Number | Priority Date | Filing Date | Title | 
|---|---|---|---|
| CN202010291247.9 | 2020-04-14 | ||
| CN202010291247.9ACN111472079B (en) | 2020-04-14 | 2020-04-14 | Low-shrinkage woven fabric, low-shrinkage floor paving material and preparation method thereof | 
| Publication Number | Publication Date | 
|---|---|
| WO2021208303A1true WO2021208303A1 (en) | 2021-10-21 | 
| Application Number | Title | Priority Date | Filing Date | 
|---|---|---|---|
| PCT/CN2020/108378CeasedWO2021208303A1 (en) | 2020-04-14 | 2020-08-11 | Low-shrinkage woven fabric, low-shrinkage flooring material, and preparation method therefor | 
| Country | Link | 
|---|---|
| JP (1) | JP7239676B2 (en) | 
| CN (1) | CN111472079B (en) | 
| WO (1) | WO2021208303A1 (en) | 
| Publication number | Priority date | Publication date | Assignee | Title | 
|---|---|---|---|---|
| EP4411041A4 (en)* | 2022-12-24 | 2024-11-27 | Cocreation Grass Co., Ltd | BASE FABRIC WITH HIGH WATER PERMEABILITY, ARTIFICIAL TURF WITH IT AND MANUFACTURING PROCESS | 
| Publication number | Priority date | Publication date | Assignee | Title | 
|---|---|---|---|---|
| CN111472079B (en)* | 2020-04-14 | 2022-03-11 | 江苏共创人造草坪股份有限公司 | Low-shrinkage woven fabric, low-shrinkage floor paving material and preparation method thereof | 
| CN115491823B (en)* | 2022-09-30 | 2024-04-02 | 湖南博翔新材料有限公司 | Camouflage grass for visible light camouflage and radar wave absorption and preparation method thereof | 
| Publication number | Priority date | Publication date | Assignee | Title | 
|---|---|---|---|---|
| US4356220A (en)* | 1979-04-26 | 1982-10-26 | Brunswick Corporation | Artificial turf-like product of thermoplastic polymers | 
| JP2008184860A (en)* | 2007-01-31 | 2008-08-14 | Sekisui Jushi Co Ltd | Artificial lawn and manufacturing method of artificial lawn | 
| CN202925422U (en)* | 2012-09-13 | 2013-05-08 | 泰山体育产业集团有限公司 | High-strength artificial turf | 
| CN203602989U (en)* | 2013-12-05 | 2014-05-21 | 河北麦迪橡塑股份有限公司 | Recoverable artificial turf | 
| CN104060519A (en)* | 2014-06-30 | 2014-09-24 | 泰山体育产业集团有限公司 | Process for manufacturing artificial turf | 
| CN110495330A (en)* | 2019-08-14 | 2019-11-26 | 山东茂华塑料有限公司 | A kind of novel polyethylene plastic greenhouse cloth and its production method | 
| CN111472079A (en)* | 2020-04-14 | 2020-07-31 | 江苏共创人造草坪股份有限公司 | Low-shrinkage woven fabric, low-shrinkage floor paving material and preparation method thereof | 
| Publication number | Priority date | Publication date | Assignee | Title | 
|---|---|---|---|---|
| CZ5693A3 (en)* | 1992-01-23 | 1993-10-13 | Himont Inc | Elastic yarn of polypropylene polymer and articles made therefrom | 
| US5455305A (en)* | 1993-07-12 | 1995-10-03 | Montell North America Inc. | Propylene polymer yarn and articles made therefrom | 
| JP5230144B2 (en) | 2007-08-24 | 2013-07-10 | 三菱レイヨン株式会社 | Pile product using polypropylene multifilament mixed yarn and method for producing the same | 
| JP5301806B2 (en) | 2007-10-26 | 2013-09-25 | 三菱レイヨン株式会社 | Fiber products | 
| CN101671903A (en)* | 2008-09-12 | 2010-03-17 | 海马集团公司 | Method for producing PP silks and PP bottom double-layer carpet | 
| CN105568425B (en)* | 2016-03-09 | 2018-04-13 | 江苏共创人造草坪有限公司 | A kind of wear-resistant temperature-resistant chinampa and preparation method thereof | 
| CN205591072U (en)* | 2016-04-28 | 2016-09-21 | 北京火炬生地人造草坪有限公司 | Artificial turf and base cloth that uses thereof | 
| CN107009631A (en)* | 2017-05-15 | 2017-08-04 | 江苏共创人造草坪有限公司 | A kind of recyclable chinampa of entirety and preparation method thereof | 
| CN206916322U (en)* | 2017-05-27 | 2018-01-23 | 江苏开利地毯股份有限公司 | A kind of polypropylene filament is double to twist with the fingers combination thermal contraction carpet | 
| CN108004875A (en)* | 2017-12-14 | 2018-05-08 | 无锡市桑丽人造草坪地毯有限公司 | A kind of low temperature cold sense chinampa and preparation method thereof | 
| Publication number | Priority date | Publication date | Assignee | Title | 
|---|---|---|---|---|
| US4356220A (en)* | 1979-04-26 | 1982-10-26 | Brunswick Corporation | Artificial turf-like product of thermoplastic polymers | 
| JP2008184860A (en)* | 2007-01-31 | 2008-08-14 | Sekisui Jushi Co Ltd | Artificial lawn and manufacturing method of artificial lawn | 
| CN202925422U (en)* | 2012-09-13 | 2013-05-08 | 泰山体育产业集团有限公司 | High-strength artificial turf | 
| CN203602989U (en)* | 2013-12-05 | 2014-05-21 | 河北麦迪橡塑股份有限公司 | Recoverable artificial turf | 
| CN104060519A (en)* | 2014-06-30 | 2014-09-24 | 泰山体育产业集团有限公司 | Process for manufacturing artificial turf | 
| CN110495330A (en)* | 2019-08-14 | 2019-11-26 | 山东茂华塑料有限公司 | A kind of novel polyethylene plastic greenhouse cloth and its production method | 
| CN111472079A (en)* | 2020-04-14 | 2020-07-31 | 江苏共创人造草坪股份有限公司 | Low-shrinkage woven fabric, low-shrinkage floor paving material and preparation method thereof | 
| Publication number | Priority date | Publication date | Assignee | Title | 
|---|---|---|---|---|
| EP4411041A4 (en)* | 2022-12-24 | 2024-11-27 | Cocreation Grass Co., Ltd | BASE FABRIC WITH HIGH WATER PERMEABILITY, ARTIFICIAL TURF WITH IT AND MANUFACTURING PROCESS | 
| Publication number | Publication date | 
|---|---|
| CN111472079A (en) | 2020-07-31 | 
| JP7239676B2 (en) | 2023-03-14 | 
| JP2022533493A (en) | 2022-07-25 | 
| CN111472079B (en) | 2022-03-11 | 
| Publication | Publication Date | Title | 
|---|---|---|
| WO2021208303A1 (en) | Low-shrinkage woven fabric, low-shrinkage flooring material, and preparation method therefor | |
| JP7089552B2 (en) | Artificial turf that can be collected in its entirety and its manufacturing method | |
| CN103660308B (en) | Continuous-filament woven fabric enhancing thermoplas tic resin composite and preparation method thereof | |
| CN103403257A (en) | Artificial lawn structure and method and apparatus for manufacturing same | |
| JP2020524727A5 (en) | ||
| RU2670860C9 (en) | Carrier material for vinyl floor covering | |
| KR20240011163A (en) | HDPE backing layer for recyclable artificial turf and recyclable artificial turf | |
| CN110257932B (en) | Luminous color-changing monofilament and preparation method thereof | |
| CA1071989A (en) | Backing of carpets | |
| CN108116144B (en) | Aluminized gold-stamped non-woven fabric | |
| CN115847994A (en) | Manufacturing method of high-silk-content bulletproof non-woven fabric | |
| JP3223066U (en) | Expanded fabric of polymer composite material and method for producing the same | |
| WO2023173724A1 (en) | Rug | |
| CN212499212U (en) | Soft-bottom carpet prepared by utilizing recycled yarns | |
| JP2014127310A (en) | Method for producing porous electrode base material precursor sheet, and porous electrode base material precursor sheet | |
| CN110843293B (en) | Fabric with heat dissipation and heat preservation functions and preparation method thereof | |
| KR20160118881A (en) | high strength woven film by mixed melt spinning of high density polyethylene and high strength polyethylene | |
| CN213138074U (en) | Composite textile fabric | |
| KR101230428B1 (en) | For the production of film coatings with graphite and using the same manufacturing method and product | |
| CN114536900A (en) | Light, thin and high-strength composite base material and manufacturing method thereof | |
| CN114161793A (en) | Preparation method of flame-retardant silica gel dot composite fabric | |
| CN215704774U (en) | Novel waterproof carbon fiber non-woven fabric | |
| US11214900B2 (en) | Ball-shaped photoheating fiber composite and method for producing same | |
| CN204801137U (en) | Screen cloth for car roof | |
| CN117301687A (en) | Composite technology of elastic decorative cloth | 
| Date | Code | Title | Description | 
|---|---|---|---|
| ENP | Entry into the national phase | Ref document number:2021506498 Country of ref document:JP Kind code of ref document:A | |
| 121 | Ep: the epo has been informed by wipo that ep was designated in this application | Ref document number:20931679 Country of ref document:EP Kind code of ref document:A1 | |
| NENP | Non-entry into the national phase | Ref country code:DE | |
| 122 | Ep: pct application non-entry in european phase | Ref document number:20931679 Country of ref document:EP Kind code of ref document:A1 |