


本申请要求于2019年09月04日提交中国专利局、申请号为201910832247.2,发明名称为“智能调节推送屏幕的方法、装置、计算机设备及存储介质”的中国专利申请的优先权,其全部内容通过引用结合在本申请中。This application claims the priority of a Chinese patent application filed with the Chinese Patent Office on September 4, 2019, the application number is 201910832247.2, and the invention title is "Methods, devices, computer equipment and storage media for intelligently adjusting and pushing screens", and its entire contents Incorporated in this application by reference.
本申请涉及到智慧生活领域,特别是涉及到智能调节推送屏幕的方法、装置、计算机设备及存储介质。This application relates to the field of smart life, in particular to methods, devices, computer equipment and storage media for intelligently adjusting and pushing screens.
发明人意识到当前电商平台无法准确地去获得线下用户的真实购买行为和购买喜好,且无法控制推送屏幕以灵活变换状态,满足用户浏览需求,导致线下用户特别注视A商品或B品牌商家,电商平台却无法准确及时地在线上把A商品或B品牌商家的商品及时通过推送屏幕推给用户。而且电商平台布局线下店和线下零售渠道时,常因缺乏对用户购买行为的记录,无法准确地发现用户的购物喜好,无法有针对性地调配商品,无法使销售额持续稳定在较好的水平,不利于市场的开拓和市场的战略布局。The inventor realizes that the current e-commerce platform cannot accurately obtain the real purchase behavior and purchase preferences of offline users, and cannot control the push screen to flexibly change the state to meet the user's browsing needs, causing offline users to pay special attention to A products or B brands Merchants and e-commerce platforms are unable to accurately and timely push the products of A-brand or B-brand merchants to users on the push screen in a timely manner. Moreover, when e-commerce platforms deploy offline stores and offline retail channels, they are often unable to accurately find users’ shopping preferences due to the lack of records of user purchase behaviors, unable to allocate products in a targeted manner, and unable to keep sales stable at a relatively high level. A good level is not conducive to market development and market strategic layout.
本申请的主要目的为提供智能调节推送屏幕的方法,旨在解决现无法控制推送屏幕灵活变换状态满足用户浏览需求的技术问题。The main purpose of this application is to provide a method for intelligently adjusting the push screen, which aims to solve the technical problem that the current state of the push screen cannot be controlled flexibly to meet the user's browsing needs.
本申请提出一种智能调节推送屏幕的方法,包括:This application proposes a method for intelligently adjusting and pushing the screen, including:
当用户距离推送屏幕的正前方距离小于预设值时,获取用户在所述推送屏幕的预设映射区域内的用户信息,其中,所述用户信息至少包括当前时刻用户的眼睛距离所述推送屏幕的高度值;When the user’s distance from the front of the push screen is less than the preset value, obtain user information of the user in the preset mapping area of the push screen, where the user information includes at least the distance from the user’s eyes at the current moment to the push screen The height value;
判断所述高度值是否在预设范围内;Judging whether the height value is within a preset range;
若否,则控制所述推送屏幕沿竖直方向移动,使所述高度值处于所述预设范围内;If not, control the push screen to move in the vertical direction so that the height value is within the preset range;
控制所述推送屏幕按照预设推送方式向所述用户推送商品信息。Control the push screen to push the product information to the user according to a preset push mode.
本申请还提供了一种智能调节推送屏幕的装置,包括:This application also provides a device for intelligently adjusting and pushing the screen, including:
获取模块,用于当用户距离推送屏幕的正前方距离小于预设值时,获取用户在所述推送屏幕的预设映射区域内的用户信息,其中,所述用户信息至少包括用户的眼睛距离当前时刻所述推送屏幕的高度值;The acquiring module is used to acquire the user information of the user in the preset mapping area of the push screen when the user’s distance from the front of the push screen is less than the preset value, wherein the user information includes at least the current distance from the user’s eyes The height value of the push screen at the moment;
判断模块,用于判断所述高度值是否在预设范围内;A judging module for judging whether the height value is within a preset range;
第一控制模块,用于若所述高度值不在预设范围内,则控制所述推送屏幕沿竖直方向移动,使所述高度值处于所述预设范围内;The first control module is configured to control the push screen to move in the vertical direction if the height value is not within the preset range, so that the height value is within the preset range;
第二控制模块,用于控制所述推送屏幕按照预设推送方式向所述用户推送商品信息。The second control module is configured to control the push screen to push product information to the user according to a preset push mode.
本申请还提供了一种计算机设备,包括存储器和处理器,所述存储器存储有计算机程序,所述处理器执行所述计算机程序时实现智能调节推送屏幕 的方法,包括:The present application also provides a computer device, including a memory and a processor, the memory stores a computer program, and the method for intelligently adjusting and pushing a screen when the processor executes the computer program includes:
当用户距离推送屏幕的正前方距离小于预设值时,获取用户在所述推送屏幕的预设映射区域内的用户信息,其中,所述用户信息至少包括当前时刻用户的眼睛距离所述推送屏幕的高度值;When the user’s distance from the front of the push screen is less than the preset value, obtain user information of the user in the preset mapping area of the push screen, where the user information includes at least the distance from the user’s eyes at the current moment to the push screen The height value;
判断所述高度值是否在预设范围内;Judging whether the height value is within a preset range;
若否,则控制所述推送屏幕沿竖直方向移动,使所述高度值处于所述预设范围内;If not, control the push screen to move in the vertical direction so that the height value is within the preset range;
控制所述推送屏幕按照预设推送方式向所述用户推送商品信息。Control the push screen to push the product information to the user according to a preset push mode.
本申请还提供了一种计算机可读存储介质,其上存储有计算机程序,所述计算机程序被处理器执行时实现智能调节推送屏幕的方法,包括:This application also provides a computer-readable storage medium on which a computer program is stored, and when the computer program is executed by a processor, a method for intelligently adjusting and pushing a screen includes:
当用户距离推送屏幕的正前方距离小于预设值时,获取用户在所述推送屏幕的预设映射区域内的用户信息,其中,所述用户信息至少包括当前时刻用户的眼睛距离所述推送屏幕的高度值;When the user’s distance from the front of the push screen is less than the preset value, obtain user information of the user in the preset mapping area of the push screen, where the user information includes at least the distance from the user’s eyes at the current moment to the push screen The height value;
判断所述高度值是否在预设范围内;Judging whether the height value is within a preset range;
若否,则控制所述推送屏幕沿竖直方向移动,使所述高度值处于所述预设范围内;If not, control the push screen to move in the vertical direction so that the height value is within the preset range;
控制所述推送屏幕按照预设推送方式向所述用户推送商品信息。Control the push screen to push the product information to the user according to a preset push mode.
本申请通过根据用户眼睛距离当前时刻所述推送屏幕的高度值,智能调节推送屏幕的高度,并进行商品信息推送,以便商品推送更能满足各用户的需求,且通过针对性的调节推送屏幕的高度,引起用户的视觉注意,提高推送商品信息的有效性和针对性。This application intelligently adjusts the height of the push screen according to the height value of the user’s eyes from the push screen at the current moment, and pushes product information, so that the product push can better meet the needs of each user, and through targeted adjustment of the push screen High, attract users' visual attention, and improve the effectiveness and pertinence of pushing product information.
图1本申请一实施例的智能调节推送屏幕的方法流程示意图;FIG. 1 is a schematic flowchart of a method for intelligently adjusting a push screen according to an embodiment of the present application;
图2本申请一实施例的智能调节推送屏幕的装置结构示意图;Fig. 2 is a schematic structural diagram of a device for intelligently adjusting and pushing a screen according to an embodiment of the present application;
图3本申请一实施例的计算机设备内部结构示意图。Fig. 3 is a schematic diagram of the internal structure of a computer device according to an embodiment of the present application.
参照图1,本申请一实施例的智能调节推送屏幕的方法,包括:1, a method for intelligently adjusting a push screen according to an embodiment of the present application includes:
S1:当用户距离推送屏幕的正前方距离小于预设值时,获取用户在所述推送屏幕的预设映射区域内的用户信息,其中,所述用户信息至少包括当前时刻用户眼睛距离所述推送屏幕的高度值;S1: When the user’s distance to the front of the push screen is less than a preset value, obtain user information of the user in the preset mapping area of the push screen, where the user information includes at least the distance from the user’s eyes at the current moment to the push The height of the screen;
S2:判断所述高度值是否在预设范围内;S2: Determine whether the height value is within a preset range;
S3:若否,则控制所述推送屏幕沿竖直方向移动,使所述高度值处于所述预设范围内;S3: If not, control the push screen to move in the vertical direction so that the height value is within the preset range;
S4:控制所述推送屏幕按照预设推送方式向所述用户推送商品信息。S4: Control the push screen to push product information to the user according to a preset push mode.
本实施例通过根据用户眼睛距离当前时刻所述推送屏幕的高度值,智能调节推送屏幕的高度,并进行商品信息推送,以便商品推送更能满足各用户的需求,且通过针对性的调节推送屏幕的高度,引起用户的视觉注意,提高推送商品信息的有效性和针对性。比如,不同身高的用户对应的推送屏幕的 高度不同,使不同身高的用户均能平视推送屏幕,拉近推送屏幕与用户的视觉距离。用户为多个,则根据用户的信息特征,优选以指定用户的标准调整推送屏幕的高度。比如,多个用户中有一个为会员用户,其他为非会员用户,则指定用户为会员用户;多个用户均为会员用户,则根据会员用户的等级由高到低进行排序,则指定用户为等级最高的会员用户;多个用户均为非会员用户,或等级相同的会员用户,则指定用户为身高最高的用户。This embodiment intelligently adjusts the height of the push screen according to the height value of the user’s eyes from the push screen at the current moment, and pushes product information, so that the product push can better meet the needs of each user, and the push screen is adjusted through targeted adjustments. The height of the product will attract the user’s visual attention and improve the effectiveness and pertinence of pushing product information. For example, users of different heights correspond to different heights of the push screen, so that users of different heights can look at the push screen head-up, and shorten the visual distance between the push screen and the user. If there are multiple users, the height of the push screen is preferably adjusted according to the information characteristics of the users, and the height of the push screen is preferably adjusted according to the standard of the designated user. For example, if one of the multiple users is a member user, and the others are non-member users, the designated user is a member user; if multiple users are member users, they are sorted according to the member user’s rank from high to low, and the designated user is The member user with the highest rank; if multiple users are non-member users, or member users with the same rank, the user is designated as the tallest user.
进一步地,所述用户信息还包括用户的人脸特征数据,所述控制所述推送屏幕按照预设推送方式向所述用户推送商品信息的步骤S4,包括:Further, the user information further includes facial feature data of the user, and the step S4 of controlling the push screen to push the product information to the user according to a preset push mode includes:
S41:根据所述人脸特征数据判断所述用户是否为预设会员。S41: Determine whether the user is a preset member according to the facial feature data.
本实施例通过在商品附近或品牌商店入口处安装摄像头,以获取关注商店商品的用户的图像,并通过图像提取到用户的人脸特征值数据,以便对用户进行区别,并根据人脸特征值数据确定是否为预设会员。本实施例通过采集各会员入会员时的人脸图片,并对应解析到人脸特征值数据,并根据人脸特征值数据建立电子数据类会员数据库,方便对会员的管理,比如跨地域会员的统一管理等,为对应的线下商店提供稳定的客户群。In this embodiment, a camera is installed near the product or at the entrance of the brand store to obtain the image of the user who pays attention to the product in the store, and the facial feature value data of the user is extracted from the image, so as to distinguish the user, and according to the facial feature value The data determines whether it is a default member. This embodiment collects the face pictures of each member when they join the member, and analyzes the face feature value data correspondingly, and establishes an electronic data member database based on the face feature value data to facilitate the management of members, such as cross-regional membership. Unified management, etc., to provide a stable customer base for the corresponding offline stores.
本实施例的人脸特征数据由512个数组向量值组成,通过将用户对应的512个数组向量值,与会员数据库中的各会员分别对应的512个数组向量值,一一对应匹配计算得到匹配值,当匹配值大于预设阈值时,则认为匹配,则判定用户为预设会员,否则不是预设会员。The face feature data of this embodiment is composed of 512 array vector values. The 512 array vector values corresponding to the user are matched with the 512 array vector values corresponding to each member in the member database, and the matching is obtained by one-to-one matching calculation. When the matching value is greater than the preset threshold, it is considered a match, and the user is determined to be a preset member, otherwise it is not a preset member.
S42:若所述用户为预设会员,则从会员数据库中获取所述用户对应的购物爱好,其中,所述会员数据库至少包括各会员的人脸特征数据,以及各所述会员分别对应的具有购物导向的所述购物爱好。S42: If the user is a preset member, obtain shopping hobbies corresponding to the user from a member database, where the member database includes at least the facial feature data of each member, and each member has a corresponding The shopping hobby that is shopping-oriented.
本实施例的会员数据库至少包括各会员的人脸特征数据以及各所述会员分别对应的具有购物导向的所述购物爱好,上述购物爱好根据用户的历史购买记录形成。比如历史够买记录中统计到A用户购买母婴用品的数量占比、费用占比或购买频次等远高于其他类别商品,则购物爱好为母婴类商品。The member database of this embodiment at least includes the facial feature data of each member and the shopping hobby corresponding to each member, and the shopping hobby is formed based on the user's historical purchase records. For example, in the historical purchase records, it is calculated that the number of user A's purchases of maternal and child products, the proportion of expenses, or the purchase frequency are much higher than other categories of goods, and the shopping hobby is maternal and child products.
S43:控制距离所述位置信息最近的推送屏幕,按照预设推送方式向所述用户推送指定商品信息,其中,所述指定商品信息与所述用户的购物爱好相对应。S43: Control the push screen closest to the location information, and push designated product information to the user according to a preset push mode, where the designated product information corresponds to the user's shopping preferences.
本实施例通过及时获取线下用户的购物爱好,以便根据购物爱好准确地、及时地在线上或线下向用户推送相应的商品信息,以实现向用户推送相应商品的目的。比如通过获取用户购买行为的记录,准确地发现用户的购物喜好,并有针对性地在调配商品,使用户能及时获取到对应预购买的商品,提高购买力,使销售额持续稳定在较好的水平,利于商品市场的开拓和商品市场的战略布局。上述预设方式包括但不限于,就近推送、根据会员级别进行优先推送、多个会员同时出现时推送均喜好的商品、随机向新用户推送评分高的热卖产品等等。In this embodiment, the shopping preferences of offline users are acquired in time, so as to accurately and timely push corresponding product information to users online or offline according to the shopping preferences, so as to achieve the purpose of pushing corresponding products to users. For example, by obtaining records of user purchase behaviors, accurately discovering users' shopping preferences, and deploying products in a targeted manner, so that users can obtain the corresponding pre-purchased products in time, improve purchasing power, and keep sales stable at a better level. Level is conducive to the development of the commodity market and the strategic layout of the commodity market. The aforementioned preset methods include, but are not limited to, nearby push, priority push based on member level, push of all favorite products when multiple members appear at the same time, random push of hot products with high ratings to new users, and so on.
本实施例以线下准确推送商品为例,线下的商品的种类繁多,用户无法快速从众多商品中定位到自己爱好购买的商品。通过获取到的用户购买爱好, 及时通过距离用户最近的推送屏幕推送对应商品,以便用户及时获取到具有购买倾向的商品。本实施例通过定位用户位于商城的位置信息,以便确定距离所述位置信息最近的推送屏幕。本实施例定位用户位于商城的位置信息,可通过参照商城具有固定位置的参照物实现。也可通过商城监控实现位置定位,并将位置信息实时上传。本实施例的预设展示规则包括但不限于根据购物爱好的爱好程度依次展示各商品信息,或根据当前各商品距离用户的距离远由近及远地推送购物爱好对应的商品信息,或爱好程度和距离远近按照权重匹配结合,进行商品信息推送。上述商品信息包括但不限于商品种类、商品名称、商品属性、商品价格、商品当前处于商品的位置等。This embodiment takes as an example of accurately pushing products offline. There are many types of offline products, and users cannot quickly locate the products they like to purchase from among the numerous products. Through the acquired user's purchase hobbies, the corresponding products are pushed in time through the push screen closest to the user, so that the user can obtain the products that have a buying tendency in time. In this embodiment, the location information of the user in the mall is located, so as to determine the push screen closest to the location information. In this embodiment, locating the location information of the user in the mall can be achieved by referring to a reference object with a fixed location in the mall. You can also realize location positioning through mall monitoring, and upload location information in real time. The preset display rules of this embodiment include, but are not limited to, displaying the information of each product in sequence according to the degree of the shopping hobby, or pushing the product information corresponding to the shopping hobby according to the distance of the current product from the user, or the degree of the hobby. Combine with distance and distance according to weight matching to push product information. The above-mentioned product information includes, but is not limited to, product type, product name, product attributes, product price, current product location, etc.
进一步地,各所述推送屏幕分别配置摄像头,并根据所述推送屏幕对应的商城位置分别标记对应的摄像头,所述控制距离所述位置信息最近的推送屏幕,按照预设推送方式向所述用户推送指定商品信息的步骤S43之前,包括:Further, each of the push screens is configured with a camera, and the corresponding camera is marked according to the shopping mall location corresponding to the push screen, and the push screen closest to the location information is controlled, and the user is sent to the user according to a preset push method. Before step S43 of pushing the designated product information, it includes:
S40a:分析各所述摄像头分别捕获的图片信息,以筛选出携带所述用户的第一图片,其中,所述第一图片为一个或多个图片。S40a: Analyze the picture information captured by each of the cameras to filter out the first picture carrying the user, where the first picture is one or more pictures.
S40b:从所述第一图片中筛选出所述用户的正面图片。S40b: Filter out the front picture of the user from the first picture.
S40c:将捕获所述正面图片的第一摄像头对应的第一推送屏幕,作为距离所述位置信息最近的推送屏幕。S40c: Use the first push screen corresponding to the first camera that captures the front image as the push screen closest to the location information.
本实施例通过具有对应编码和对应固定位置的摄像头,实现对用户的实时位置定位。上述各摄像头分别设置于货架上,并将摄像头的编码和相对于商城的位置上传于服务器,位于用户周边的各摄像头均会从不同角度采集到用户的图像,但用户关注某个货架的商品时,会通过该货架的摄像头获取到正面图片,则认为该货架的摄像头为距离用户最近的摄像头,并将该摄像头的位置作为用户的位置信息。本实施例识别正面图片的过程,通过比较各图片中用户的影像占比,以及图片中用户图像与标准正面图像的偏离角度实现,用户的影像占比最大、且与标准正面图像的偏离角度最小的图片为用户正面图片。In this embodiment, a camera with a corresponding code and a corresponding fixed position is used to realize real-time position positioning of the user. The above-mentioned cameras are respectively set on the shelf, and the camera code and the position relative to the mall are uploaded to the server. The cameras located around the user will collect the user’s image from different angles, but when the user pays attention to the goods on a certain shelf , The front image will be obtained through the camera of the shelf, the camera of the shelf is considered to be the camera closest to the user, and the location of the camera is used as the user's location information. The process of recognizing the front image in this embodiment is realized by comparing the proportion of the user's image in each picture and the deviation angle between the user image in the picture and the standard front image. The user's image proportion is the largest and the deviation angle from the standard front image is the smallest. The picture is the user's positive picture.
进一步地,所述控制距离所述位置信息最近的推送屏幕,按照预设推送方式向所述用户推送指定商品信息的步骤S43,包括:Further, the step S43 of controlling the push screen closest to the location information and pushing the designated product information to the user according to a preset push method includes:
S401:通过所述第一摄像头捕获所述用户,浏览所述第一推送屏幕推送商品信息的过程中的表情图片。S401: Capture the user through the first camera, and browse the facial expression pictures in the process of pushing commodity information on the first push screen.
S402:根据所述表情图片中表情变化的趋势,判断所述用户是否满意当前推送的商品信息。S402: Determine whether the user is satisfied with the currently pushed product information according to the trend of the expression change in the expression picture.
S403:若不满足,则按照预设更换规则更换新商品信息。S403: If it is not satisfied, replace the new product information according to the preset replacement rule.
本实施例通过微表情识别算法,实时获取用户在浏览推送商品过程中的表情图片中的表情变化,并根据表情变化的趋势,判断用户对推送的商品信息的满意度,以便验证会员数据库中的购物爱好是否正确,并及时更换用户不满意的推送信息,并及时发现用户满意的未存在于会员数据库中的新商品信息,以便及时更新会员数据库,使推荐的商品信息更精准。上述预设更换规则,包括根据用户指定期限内购买各种类物品的频次数据进行更换,即更 换为用户常买种类的新出品物品;或根据用户的购物喜好,更换为与用户的购物喜好相关联的新物品等。本实施例的微表情算法通过模型实现,通过收集标注有微表情的各表情图片作为训练集,进行模型训练得到微表情算法,以准确识别表情图片中的表情,比如惊奇、兴奋、高兴、失望、绝望等,上述表情指数从左至右依次变差变低。上述表情变化包括表情指数依次升高或依次降低,表情指数依次升高,表明对推送的商品信息满意,表情指数依次降低,表明对推送的商品信息不满意。In this embodiment, the micro-expression recognition algorithm is used to obtain real-time expression changes in the user's facial expression pictures during the process of browsing and pushing products, and according to the trend of expression changes, determine the user's satisfaction with the pushed product information, so as to verify the information in the member database. Whether the shopping hobby is correct, and promptly replace the user's unsatisfied push information, and promptly discover the new product information that the user is satisfied with that does not exist in the member database, so as to update the member database in time to make the recommended product information more accurate. The above-mentioned preset replacement rules include replacement according to the frequency data of various types of items purchased by the user within a specified period of time, that is, replacement with newly produced items of the type frequently bought by the user; or replacement according to the user's shopping preferences, and replacement with the user's shopping preferences. New items of the alliance, etc. The micro-expression algorithm of this embodiment is implemented by a model. The micro-expression algorithm is obtained by collecting each expression picture with micro-expression as a training set, and the model is trained to obtain the micro-expression algorithm to accurately identify the expressions in the expression picture, such as surprise, excitement, happiness, and disappointment. , Despair, etc., the above expression index becomes worse and lower from left to right. The above-mentioned expression changes include sequential increase or decrease of the expression index, sequential increase of the expression index, indicating satisfaction with the pushed product information, and sequential decrease of the expression index, indicating dissatisfaction with the pushed product information.
进一步地,所述按照预设更换规则更换新商品信息的步骤S403之后,包括:Further, after the step S403 of replacing the new product information according to the preset replacement rule, the method includes:
S404:根据所述用户观看所述新商品信息的表情指数,判断所述用户是否对所述新商品信息满意。S404: Determine whether the user is satisfied with the new product information according to the expression index of the user watching the new product information.
S405:若所述用户对所述新商品信息满意,则将所述新商品信息更新至所述会员数据库。S405: If the user is satisfied with the new product information, update the new product information to the member database.
进一步地,所述根据所述用户观看所述新商品信息的表情指数,判断所述用户是否对所述新商品信息满意的步骤S404,包括:Further, the step S404 of judging whether the user is satisfied with the new product information according to the expression index of the user watching the new product information includes:
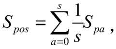
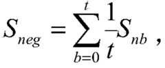
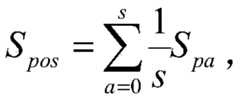
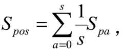
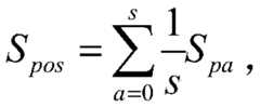
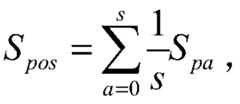
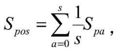
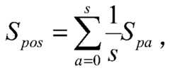
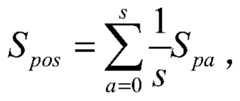
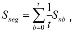
S4041:分别获取所述用户观看所述新商品信息的积极型表情总分数以及消极型表情总分数为其中,s与t分别为积极型表情集合与消极型表情集合中的微表情因子个数;S4041: Obtain the total scores of positive expressions of the user watching the new product information respectively And the total score for negative expressions is Among them, s and t are the number of micro-expression factors in the positive expression set and the negative expression set, respectively;
S4042:根据计算得到所述用户观看所述新商品信息的表情指数Semo;S4042: According toThe expression index S emo of the user watching the new product information is calculated;
S4043:分析所述表情指数Semo的值分别与第一预设阈值和第二预设阈值的大小关系,其中所述第一预设阈值大于所述第二预设阈值;S4043: Analyze therelationship between the value of the expression index S emo and the first preset threshold and the second preset threshold, where the first preset threshold is greater than the second preset threshold;
S4044:若所述表情指数Semo的值超过所述第一预设阈值,则判定所述用户对所述新商品信息满意,若所述表情指数Semo的值低于所述第二预设阈值,则判定所述用户对所述新商品信息不满意。S4044: If thevalue of the expression index S emo exceeds the first preset threshold, it is determined that the user is satisfied with the new product information, and if thevalue of the expression index S emo is lower than the second preset threshold Threshold, it is determined that the user is not satisfied with the new product information.
用户在浏览不同商品时,会产生表情上的细微变化。通过基于深度学习卷积神经网络的人脸表情识别模型,我们可以捕捉到用户在浏览某件商品时产生的微表情。将用户浏览商品时的面部照片放入微表情神经网络模型,模型会输出用户这瞬间的面部照片分别是高兴、惊讶、恶心、悲伤、愤怒、平静、害怕七种基本微表情的概率值(模型设定7个微表情概率之和为100%)。将七种表情划分为两大集合——积极型表情、消极型表情。积极型表情集合中微表情因子组成可包含:“高兴、惊讶”,消极型表情集合微表情因子组成可包含:“悲伤、愤怒、害怕、恶心”。现实中商品推荐的需求不同,积极型与消极型的微表情组成因子也可根据需求定制。表情指数可通过分别加 权计算积极型表情与消极型表情得到两个分数(例如积极型表情总分数为消极型表情总分数为其中s与t分别为积极型与消极型表情集合中的微表情因子个数。),表情指数根据商品推荐需求制定Semo的值。例如我们可以设定Semo>1.2时,认为积极型表情超过了消极型表情并且超过了1.2这个阈值。认为客户对正在浏览的商品持正面态度,这时可认为客户对推送的商品表示满意。若Semo<0.8,时认为积极表情的总分数没有达到消极型表情分数的0.8,此时可认为客户对正在浏览的商品持负面态度,此时可认为客户对推送的商品表示不满意。若Semo在[0.8,1.2]之间,判定为用户为正常态度,不偏向积极的正面态度,也不偏向消极的负面态度。When users browse different products, they will have slight changes in their facial expressions. Through the facial expression recognition model based on deep learning convolutional neural network, we can capture the micro-expressions generated by users when browsing a certain product. Put the facial photos of the user when browsing the product into the micro-expression neural network model, and the model will output the probability values of the seven basic micro-expressions of the user at the moment of happiness, surprise, nausea, sadness, anger, calm, and fear (model Set the sum of the probabilities of 7 micro expressions to 100%). Divide the seven expressions into two sets-positive expressions and negative expressions. The composition of micro-expression factors in the positive expression set can include: "happy, surprised", and the composition of micro-expression factors in the negative expression set can include: "sad, anger, fear, and nausea". In reality, the needs of product recommendation are different, and the positive and negative micro-expression components can also be customized according to needs. The expression index can be calculated by weighting positive expressions and negative expressions to obtain two scores (for example, the total score of positive expressions is The total score for negative expressions is Where s and t are the number of micro-expression factors in the positive and negative expression sets, respectively. ), expression index Develop the value ofS emo based on product recommendation requirements. For example, we can set Semo > 1.2 to consider that the positive expression exceeds the negative expression and exceeds the threshold of 1.2. It is believed that the customer has a positive attitude towards the product being browsed, and then the customer can be considered satisfied with the product being pushed. If Semo <0.8, it is considered that the total score of positive expressions does not reach 0.8 of the score of negative expressions. At this time, it can be considered that the customer has a negative attitude towards the product being browsed. At this time, it can be considered that the customer is dissatisfied with the pushed product. If Semo is between [0.8,1.2], it is judged that the user has a normal attitude, and does not favor a positive attitude or a negative attitude.
进一步地,所述用户至少包括第一会员和第二会员,所述控制所述推送屏幕按照预设推送方式向所述用户推送商品信息的步骤S4,包括:Further, the user includes at least a first member and a second member, and the step S4 of controlling the push screen to push product information to the user according to a preset push mode includes:
S406:获取所述第一会员和第二会员分别对应的会员级别。S406: Acquire respective membership levels corresponding to the first member and the second member.
S407:根据所述会员级别由高到低,对所述第一会员和第二会员进行第一排序。S407: Perform a first ranking of the first member and the second member according to the member level from high to low.
S408:调取所述第一会员对应的第一购物爱好,以及所述第二会员对应的第二购物爱好。S408: Retrieve the first shopping hobby corresponding to the first member and the second shopping hobby corresponding to the second member.
S409:按照所述第一排序依次播放所述第一购物爱好和所述第二购物爱好分别对应的商品信息。S409: Play the product information respectively corresponding to the first shopping hobby and the second shopping hobby in sequence according to the first order.
本实施例中当两个或两个以上的会员同行,则按照各会员的级别建立优先推送的机制,比如优先推送级别比较高的会员的购物爱好对应的商品信息,以便刺激会员的购物动力。In this embodiment, when two or more members are in the same group, a priority push mechanism is established according to the level of each member, such as preferential push of product information corresponding to the shopping hobbies of members with a higher level, so as to stimulate members' shopping motivation.
进一步地,所述用户至少包括第一会员和第二会员,所述控制所述推送屏幕按照预设推送方式向所述用户推送商品信息的步骤S4,包括:Further, the user includes at least a first member and a second member, and the step S4 of controlling the push screen to push product information to the user according to a preset push mode includes:
S411:调取所述第一会员对应的第一购物爱好,以及所述第二会员对应的第二购物爱好。S411: Retrieve the first shopping hobby corresponding to the first member and the second shopping hobby corresponding to the second member.
S412:判断所述第一购物爱好和所述第二购物爱好中共有的相同购物爱好。S412: Determine the same shopping hobby shared by the first shopping hobby and the second shopping hobby.
S413:推送所述相同购物爱好对应的商品信息。S413: Push the product information corresponding to the same shopping hobby.
本实施例中当两个或两个以上的会员同行,通过比较各会员的购物爱好的差异,获得共有的相同的购物爱好,以便同时满足各会员的需求。本申请另一实施例中可优先推送共有的相同的购物爱好对应的商品信息,然后按照会员的会员级别,比如从级别高而定会员到级别低的会员逐次推送差异的购物爱好对应的商品信息。In this embodiment, when two or more members go together, by comparing the differences in shopping hobbies of each member, they can obtain the same shopping hobby in common, so as to meet the needs of each member at the same time. In another embodiment of the present application, the product information corresponding to the same shopping hobby in common can be pushed first, and then according to the membership level of the member, for example, from the high-level member to the low-level member, the product information corresponding to the different shopping hobbies can be pushed one by one. .
本申请另一实施例,用于智能门店,根据用户的购物爱好调整货架的商品布置架构,比如识别用户的身体特征数据,包括人脸特征数据、身高、是 否残疾等信息,按照人脸特征数据获取对应的购物爱好,并根据身高、是否残疾、购物爱好对应的商品的当前位置,调整商品布置架构,以便于用户购物。比如用户的购物爱好记载,洗涤用品偏爱于洗衣液,而不常购买洗衣粉,则控制货架调配装置将洗衣液摆放于用户容易看到的地方。再比如,用户为做轮椅的残疾人,则控制货架调配装置降低其购物爱好对应的商品展示高度。Another embodiment of the present application is used in a smart store to adjust the product layout structure of the shelf according to the user’s shopping preferences, such as identifying the user’s physical feature data, including facial feature data, height, disability, etc., according to the facial feature data Obtain the corresponding shopping hobbies, and adjust the product layout structure according to the height, disability, and the current location of the products corresponding to the shopping hobbies, so as to facilitate the user's shopping. For example, the user's shopping hobby records, the detergent prefers laundry detergent, and does not often buy laundry detergent, then the shelf mixing device is controlled to place the laundry detergent in a place that is easy for the user to see. For another example, if the user is a disabled person in a wheelchair, he controls the shelf deployment device to reduce the height of the merchandise display corresponding to his shopping hobby.
参照图2,本申请一实施例的智能调节推送屏幕的装置,包括:Referring to FIG. 2, the device for intelligently adjusting and pushing a screen according to an embodiment of the present application includes:
获取模块1,用于当用户距离推送屏幕的正前方距离小于预设值时,获取用户在所述推送屏幕的预设映射区域内的用户信息,其中,所述用户信息至少包括用户的眼睛距离当前时刻所述推送屏幕的高度值;The acquiring
判断模块2,用于判断所述高度值是否在预设范围内;The judging
第一控制模块3,用于若所述高度值不在预设范围内,则控制所述推送屏幕沿竖直方向移动,使所述高度值处于所述预设范围内;The
第二控制模块4,用于控制所述推送屏幕按照预设推送方式向所述用户推送商品信息。The
本实施例通过根据用户眼睛距离当前时刻所述推送屏幕的高度值,智能调节推送屏幕的高度,并进行商品信息推送,以便商品推送更能满足各用户的需求,且通过针对性的调节推送屏幕的高度,引起用户的视觉注意,提高推送商品信息的有效性和针对性。比如,不同身高的用户对应的推送屏幕的高度不同,使不同身高的用户均能平视推送屏幕,拉近推送屏幕与用户的视觉距离。用户为多个,则根据用户的信息特征,优选以指定用户的标准调整推送屏幕的高度。比如,多个用户中有一个为会员用户,其他为非会员用户,则指定用户为会员用户;多个用户均为会员用户,则根据会员用户的等级由高到低进行排序,则指定用户为等级最高的会员用户;多个用户均为非会员用户,或等级相同的会员用户,则指定用户为身高最高的用户。This embodiment intelligently adjusts the height of the push screen according to the height value of the user’s eyes from the push screen at the current moment, and pushes product information, so that the product push can better meet the needs of each user, and the push screen is adjusted through targeted adjustments. The height of the product will attract the user’s visual attention and improve the effectiveness and pertinence of pushing product information. For example, users of different heights correspond to different heights of the push screens, so that users of different heights can look up at the push screens and shorten the visual distance between the push screens and users. If there are multiple users, the height of the push screen is preferably adjusted according to the information characteristics of the users, and the height of the push screen is preferably adjusted according to the standard of the designated user. For example, if one of the multiple users is a member user, and the others are non-member users, the designated user is a member user; if multiple users are member users, they are sorted according to the member user’s rank from high to low, and the designated user is The member user with the highest rank; if multiple users are non-member users, or member users with the same rank, the user is designated as the tallest user.
进一步地,所述用户信息还包括用户的人脸特征数据,所述第二控制模块4,包括:Further, the user information also includes facial feature data of the user, and the
第一判断子模块,用于根据所述人脸特征数据判断所述用户是否为预设会员。The first judging submodule is used to judge whether the user is a preset member according to the facial feature data.
本实施例通过在商品附近或品牌商店入口处安装摄像头,以获取关注商店商品的用户的图像,并通过图像提取到用户的人脸特征值数据,以便对用户进行区别,并根据人脸特征值数据确定是否为预设会员。本实施例通过采集各会员入会员时的人脸图片,并对应解析到人脸特征值数据,并根据人脸特征值数据建立电子数据类会员数据库,方便对会员的管理,比如跨地域会员的统一管理等,为对应的线下商店提供稳定的客户群。In this embodiment, a camera is installed near the product or at the entrance of the brand store to obtain the image of the user who pays attention to the product in the store, and the facial feature value data of the user is extracted from the image, so as to distinguish the user, and according to the facial feature value The data determines whether it is a default member. This embodiment collects the face pictures of each member when they join the member, and analyzes the face feature value data correspondingly, and establishes an electronic data member database based on the face feature value data to facilitate the management of members, such as cross-regional membership. Unified management, etc., to provide a stable customer base for the corresponding offline stores.
本实施例的人脸特征数据由512个数组向量值组成,通过将用户对应的512个数组向量值,与会员数据库中的各会员分别对应的512个数组向量值,一一对应匹配计算得到匹配值,当匹配值大于预设阈值时,则认为匹配,则判定用户为预设会员,否则不是预设会员。The face feature data of this embodiment is composed of 512 array vector values. The 512 array vector values corresponding to the user are matched with the 512 array vector values corresponding to each member in the member database, and the matching is obtained by one-to-one matching calculation. When the matching value is greater than the preset threshold, it is considered a match, and the user is determined to be a preset member, otherwise it is not a preset member.
第一获取子模块,用于若所述用户为预设会员,则从会员数据库中获取 所述用户对应的购物爱好,其中,所述会员数据库至少包括各会员的人脸特征数据,以及各所述会员分别对应的具有购物导向的所述购物爱好。The first acquisition sub-module is configured to, if the user is a preset member, acquire shopping hobbies corresponding to the user from a member database, wherein the member database includes at least the facial feature data of each member, and each member The members respectively correspond to the shopping hobbies with shopping orientation.
本实施例的会员数据库至少包括各会员的人脸特征数据以及各所述会员分别对应的具有购物导向的所述购物爱好,上述购物爱好根据用户的历史购买记录形成。比如历史够买记录中统计到A用户购买母婴用品的数量占比、费用占比或购买频次等远高于其他类别商品,则购物爱好为母婴类商品。The member database of this embodiment at least includes the facial feature data of each member and the shopping hobby corresponding to each member, and the shopping hobby is formed based on the user's historical purchase records. For example, in the historical purchase records, it is calculated that the number of user A's purchases of maternal and child products, the proportion of expenses, or the purchase frequency are much higher than other categories of goods, and the shopping hobby is maternal and child products.
控制子模块,用于控制距离所述位置信息最近的推送屏幕,按照预设推送方式向所述用户推送指定商品信息,其中,所述指定商品信息与所述用户的购物爱好相对应。The control sub-module is used to control the push screen closest to the location information, and push designated product information to the user according to a preset push method, wherein the designated product information corresponds to the user's shopping preferences.
本实施例通过及时获取线下用户的购物爱好,以便根据购物爱好准确地、及时地在线上或线下向用户推送相应的商品信息,以实现向用户推送相应商品的目的。比如通过获取用户购买行为的记录,准确地发现用户的购物喜好,并有针对性地在调配商品,使用户能及时获取到对应预购买的商品,提高购买力,使销售额持续稳定在较好的水平,利于商品市场的开拓和商品市场的战略布局。上述预设方式包括但不限于,就近推送、根据会员级别进行优先推送、多个会员同时出现时推送均喜好的商品、随机向新用户推送评分高的热卖产品等等。In this embodiment, the shopping preferences of offline users are acquired in time, so as to accurately and timely push corresponding product information to users online or offline according to the shopping preferences, so as to achieve the purpose of pushing corresponding products to users. For example, by obtaining records of user purchase behaviors, accurately discovering users' shopping preferences, and deploying products in a targeted manner, so that users can obtain the corresponding pre-purchased products in time, improve purchasing power, and keep sales stable at a better level. Level is conducive to the development of the commodity market and the strategic layout of the commodity market. The aforementioned preset methods include, but are not limited to, nearby push, priority push based on member level, push of all favorite products when multiple members appear at the same time, random push of hot products with high ratings to new users, and so on.
本实施例以线下准确推送商品为例,线下的商品的种类繁多,用户无法快速从众多商品中定位到自己爱好购买的商品。通过获取到的用户购买爱好,及时通过距离用户最近的推送屏幕推送对应商品,以便用户及时获取到具有购买倾向的商品。本实施例通过定位用户位于商城的位置信息,以便确定距离所述位置信息最近的推送屏幕。本实施例定位用户位于商城的位置信息,可通过参照商城具有固定位置的参照物实现。也可通过商城监控实现位置定位,并将位置信息实时上传。本实施例的预设展示规则包括但不限于根据购物爱好的爱好程度依次展示各商品信息,或根据当前各商品距离用户的距离远由近及远地推送购物爱好对应的商品信息,或爱好程度和距离远近按照权重匹配结合,进行商品信息推送。上述商品信息包括但不限于商品种类、商品名称、商品属性、商品价格、商品当前处于商品的位置等。This embodiment takes as an example of accurately pushing products offline. There are many types of offline products, and users cannot quickly locate the products they like to purchase from among the numerous products. Through the acquired user's purchasing preferences, the corresponding products can be pushed in time through the push screen closest to the user, so that the user can obtain the products that have a buying tendency in time. In this embodiment, the location information of the user in the mall is located, so as to determine the push screen closest to the location information. In this embodiment, locating the location information of the user in the mall can be achieved by referring to a reference object with a fixed location in the mall. You can also realize location positioning through mall monitoring, and upload location information in real time. The preset display rules of this embodiment include, but are not limited to, displaying the information of each product in sequence according to the degree of the shopping hobby, or pushing the product information corresponding to the shopping hobby according to the distance of the current product from the user, or the degree of the hobby. Combine with distance and distance according to weight matching to push product information. The above-mentioned product information includes, but is not limited to, product type, product name, product attributes, product price, current product location, etc.
进一步地,各所述推送屏幕分别配置摄像头,并根据所述推送屏幕对应的商城位置分别标记对应的摄像头,所述第二控制模块4,包括:Further, each of the push screens is configured with a camera, and the corresponding camera is marked according to the mall position corresponding to the push screen, and the
分析子模块,用于分析各所述摄像头分别捕获的图片信息,以筛选出携带所述用户的第一图片,其中,所述第一图片为一个或多个图片。The analysis sub-module is used to analyze the picture information captured by each of the cameras to filter out the first picture carrying the user, where the first picture is one or more pictures.
筛选子模块,用于从所述第一图片中筛选出所述用户的正面图片。The screening sub-module is used to screen out the positive picture of the user from the first picture.
作为子模块,用于将捕获所述正面图片的第一摄像头对应的第一推送屏幕,作为距离所述位置信息最近的推送屏幕。As a sub-module, it is used to use the first push screen corresponding to the first camera that captures the front image as the push screen closest to the location information.
本实施例通过具有对应编码和对应固定位置的摄像头,实现对用户的实时位置定位。上述各摄像头分别设置于货架上,并将摄像头的编码和相对于商城的位置上传于服务器,位于用户周边的各摄像头均会从不同角度采集到用户的图像,但用户关注某个货架的商品时,会通过该货架的摄像头获取到 正面图片,则认为该货架的摄像头为距离用户最近的摄像头,并将该摄像头的位置作为用户的位置信息。本实施例识别正面图片的过程,通过比较各图片中用户的影像占比,以及图片中用户图像与标准正面图像的偏离角度实现,用户的影像占比最大、且与标准正面图像的偏离角度最小的图片为用户正面图片。In this embodiment, a camera with a corresponding code and a corresponding fixed position is used to realize real-time position positioning of the user. The above-mentioned cameras are respectively set on the shelf, and the camera code and the position relative to the mall are uploaded to the server. The cameras located around the user will collect the user’s image from different angles, but when the user pays attention to the goods on a certain shelf , The front image will be obtained through the camera of the shelf, the camera of the shelf is considered to be the camera closest to the user, and the location of the camera is used as the user's location information. The process of recognizing the front image in this embodiment is realized by comparing the proportion of the user's image in each picture and the deviation angle between the user image in the picture and the standard front image. The user's image proportion is the largest and the deviation angle from the standard front image is the smallest. The picture is the user's positive picture.
进一步地,所述控制子模块,包括:Further, the control sub-module includes:
捕获单元,用于通过所述第一摄像头捕获所述用户,浏览所述第一推送屏幕推送商品信息的过程中的表情图片。The capturing unit is configured to capture the user through the first camera, and browse the facial expression pictures in the process of pushing the product information on the first push screen.
第一判断单元,用于根据所述表情图片中表情变化的趋势,判断所述用户是否满意当前推送的商品信息。The first judging unit is configured to judge whether the user is satisfied with the currently pushed product information according to the trend of the change of the expression in the expression picture.
更换单元,用于若所述用户不满意当前推送的商品信息,则按照预设更换规则更换新商品信息。The replacement unit is configured to replace the new product information according to the preset replacement rule if the user is not satisfied with the currently pushed product information.
本实施例通过微表情识别算法,实时获取用户在浏览推送商品过程中的表情图片中的表情变化,并根据表情变化的趋势,判断用户对推送的商品信息的满意度,以便验证会员数据库中的购物爱好是否正确,并及时更换用户不满意的推送信息,并及时发现用户满意的未存在于会员数据库中的新商品信息,以便及时更新会员数据库,使推荐的商品信息更精准。上述预设更换规则,包括根据用户指定期限内购买各种类物品的频次数据进行更换,即更换为用户常买种类的新出品物品;或根据用户的购物喜好,更换为与用户的购物喜好相关联的新物品等。本实施例的微表情算法通过模型实现,通过收集标注有微表情的各表情图片作为训练集,进行模型训练得到微表情算法,以准确识别表情图片中的表情,比如惊奇、兴奋、高兴、失望、绝望等,上述表情指数从左至右依次变差变低。上述表情变化包括表情指数依次升高或依次降低,表情指数依次升高,表明对推送的商品信息满意,表情指数依次降低,表明对推送的商品信息不满意。In this embodiment, the micro-expression recognition algorithm is used to obtain real-time expression changes in the user's facial expression pictures during the process of browsing and pushing products, and according to the trend of expression changes, determine the user's satisfaction with the pushed product information, so as to verify the information in the member database. Whether the shopping hobby is correct, and promptly replace the user's unsatisfied push information, and promptly discover the new product information that the user is satisfied with that does not exist in the member database, so as to update the member database in time to make the recommended product information more accurate. The above-mentioned preset replacement rules include replacement according to the frequency data of various types of items purchased by the user within a specified period of time, that is, replacement with newly produced items of the type frequently bought by the user; or replacement according to the user's shopping preferences, and replacement with the user's shopping preferences. New items of the alliance, etc. The micro-expression algorithm of this embodiment is implemented by a model. The micro-expression algorithm is obtained by collecting each expression picture with micro-expression as a training set, and the model is trained to obtain the micro-expression algorithm to accurately identify the expressions in the expression picture, such as surprise, excitement, happiness, and disappointment. , Despair, etc., the above expression index becomes worse and lower from left to right. The above-mentioned expression changes include sequential increase or decrease of the expression index, sequential increase of the expression index, indicating satisfaction with the pushed product information, and sequential decrease of the expression index, indicating dissatisfaction with the pushed product information.
进一步地,所述控制子模块,包括:Further, the control sub-module includes:
第二判断单元,用于根据所述用户观看所述新商品信息的表情指数,判断所述用户是否对所述新商品信息满意。The second determining unit is configured to determine whether the user is satisfied with the new product information according to the expression index of the user when viewing the new product information.
更新单元,用于若所述用户对所述新商品信息满意,则将所述新商品信息更新至所述会员数据库。The update unit is configured to update the new product information to the member database if the user is satisfied with the new product information.
进一步地,第二判断单元,包括:Further, the second judgment unit includes:
获取子单元,用于分别获取所述用户观看所述新商品信息的积极型表情总分数以及消极型表情总分数为其中,s与t分别为积极型表情集合与消极型表情集合中的微表情因子个数;The obtaining subunit is used to obtain the total score of the positive expression of the user watching the new product information respectively And the total score for negative expressions is Among them, s and t are the number of micro-expression factors in the positive expression set and the negative expression set, respectively;
计算子单元,用于根据计算得到所述用户观看所述新商品信息的表情指数Semo;Calculating subunits, used according toThe expression index S emo of the user watching the new product information is calculated;
分析子单元,用于分析所述表情指数Semo的值分别与第一预设阈值和第二预设阈值的大小关系,其中所述第一预设阈值大于所述第二预设阈值;An analysis subunit, configured to analyze therelationship between the value of the expression index S emo and the first preset threshold and the second preset threshold respectively, wherein the first preset threshold is greater than the second preset threshold;
判定子单元,用于若所述表情指数Semo的值超过所述第一预设阈值,则判定所述用户对所述新商品信息满意,若所述表情指数Semo的值低于所述第二预设阈值,则判定所述用户对所述新商品信息不满意。A judging subunit, configured to determine that the user is satisfied with the new product information if the value ofthe expression index S emoexceeds the first preset threshold value, and if the value of the expression index S emo is lower than the value of the new product information The second preset threshold is determined to determine that the user is not satisfied with the new product information.
用户在浏览不同商品时,会产生表情上的细微变化。通过基于深度学习卷积神经网络的人脸表情识别模型,我们可以捕捉到用户在浏览某件商品时产生的微表情。将用户浏览商品时的面部照片放入微表情神经网络模型,模型会输出用户这瞬间的面部照片分别是高兴、惊讶、恶心、悲伤、愤怒、平静、害怕七种基本微表情的概率值(模型设定7个微表情概率之和为100%)。将七种表情划分为两大集合——积极型表情、消极型表情。积极型表情集合中微表情因子组成可包含:“高兴、惊讶”,消极型表情集合微表情因子组成可包含:“悲伤、愤怒、害怕、恶心”。现实中商品推荐的需求不同,积极型与消极型的微表情组成因子也可根据需求定制。表情指数可通过分别加权计算积极型表情与消极型表情得到两个分数(例如积极型表情总分数为消极型表情总分数为其中s与t分别为积极型与消极型表情集合中的微表情因子个数。),表情指数根据商品推荐需求制定Semo的值。例如我们可以设定Semo>1.2时,认为积极型表情超过了消极型表情并且超过了1.2这个阈值。认为客户对正在浏览的商品持正面态度,这时可认为客户对推送的商品表示满意。若Semo<0.8,时认为积极表情的总分数没有达到消极型表情分数的0.8,此时可认为客户对正在浏览的商品持负面态度,此时可认为客户对推送的商品表示不满意。若Semo在[0.8,1.2]之间,判定为用户为正常态度,不偏向积极的正面态度,也不偏向消极的负面态度。When users browse different products, they will have slight changes in their facial expressions. Through the facial expression recognition model based on deep learning convolutional neural network, we can capture the micro-expressions generated by users when browsing a certain product. Put the facial photos of the user when browsing the product into the micro-expression neural network model, and the model will output the probability values of the seven basic micro-expressions of the user at the moment of happiness, surprise, nausea, sadness, anger, calm, and fear (model Set the sum of the probabilities of 7 micro expressions to 100%). Divide the seven expressions into two sets-positive expressions and negative expressions. The composition of micro-expression factors in the positive expression set can include: "happy, surprised", and the composition of micro-expression factors in the negative expression set can include: "sad, anger, fear, and nausea". In reality, the needs of product recommendation are different, and the positive and negative micro-expression components can also be customized according to needs. The expression index can be calculated by weighting positive expressions and negative expressions to obtain two scores (for example, the total score of positive expressions is The total score for negative expressions is Where s and t are the number of micro-expression factors in the positive and negative expression sets, respectively. ), expression index Develop the value ofS emo based on product recommendation requirements. For example, we can set Semo > 1.2 to consider that the positive expression exceeds the negative expression and exceeds the threshold of 1.2. It is believed that the customer has a positive attitude towards the product being browsed, and then the customer can be considered satisfied with the product being pushed. If Semo <0.8, it is considered that the total score of positive expressions does not reach 0.8 of the score of negative expressions. At this time, it can be considered that the customer has a negative attitude towards the product being browsed. At this time, it can be considered that the customer is dissatisfied with the pushed product. If Semo is between [0.8,1.2], it is judged that the user has a normal attitude, and does not favor a positive attitude or a negative attitude.
进一步地,所述用户至少包括第一会员和第二会员,所述第二控制模块4,包括:Further, the user includes at least a first member and a second member, and the
第二获取子模块,用于获取所述第一会员和第二会员分别对应的会员级别。The second obtaining sub-module is used to obtain the respective membership levels corresponding to the first member and the second member.
排序子模块,用于根据所述会员级别由高到低,对所述第一会员和第二会员进行第一排序。The ranking sub-module is used for first ranking the first member and the second member according to the member level from high to low.
第一调取子模块,用于调取所述第一会员对应的第一购物爱好,以及所述第二会员对应的第二购物爱好。The first retrieval sub-module is used to retrieve the first shopping hobby corresponding to the first member and the second shopping hobby corresponding to the second member.
播放子模块,用于按照所述第一排序依次播放所述第一购物爱好和所述第二购物爱好分别对应的商品信息。The playing sub-module is configured to sequentially play the product information corresponding to the first shopping hobby and the second shopping hobby according to the first order.
本实施例中当两个或两个以上的会员同行,则按照各会员的级别建立优 先推送的机制,比如优先推送级别比较高的会员的购物爱好对应的商品信息,以便刺激会员的购物动力。In this embodiment, when two or more members are in the same group, a priority push mechanism is established according to the level of each member, such as preferential push of product information corresponding to the shopping hobbies of members with higher levels, so as to stimulate members' shopping motivation.
进一步地,所述用户至少包括第一会员和第二会员,所述第二控制模块4,包括:Further, the user includes at least a first member and a second member, and the
第二调取子模块,用于调取所述第一会员对应的第一购物爱好,以及所述第二会员对应的第二购物爱好。The second retrieval sub-module is used to retrieve the first shopping hobby corresponding to the first member and the second shopping hobby corresponding to the second member.
第二判断子模块,用于判断所述第一购物爱好和所述第二购物爱好中共有的相同购物爱好。The second judgment sub-module is used to judge the same shopping hobby shared by the first shopping hobby and the second shopping hobby.
推送子模块,用于推送所述相同购物爱好对应的商品信息。The push sub-module is used to push the commodity information corresponding to the same shopping hobby.
本实施例中当两个或两个以上的会员同行,通过比较各会员的购物爱好的差异,获得共有的相同的购物爱好,以便同时满足各会员的需求。本申请另一实施例中可优先推送共有的相同的购物爱好对应的商品信息,然后按照会员的会员级别,比如从级别高而定会员到级别低的会员逐次推送差异的购物爱好对应的商品信息。In this embodiment, when two or more members go together, by comparing the differences in shopping hobbies of each member, they can obtain the same shopping hobby in common, so as to meet the needs of each member at the same time. In another embodiment of the present application, the product information corresponding to the same shopping hobby in common can be pushed first, and then according to the membership level of the member, for example, from the high-level member to the low-level member, the product information corresponding to the different shopping hobbies can be pushed one by one. .
本申请另一实施例,用于智能门店,根据用户的购物爱好调整货架的商品布置架构,比如识别用户的身体特征数据,包括人脸特征数据、身高、是否残疾等信息,按照人脸特征数据获取对应的购物爱好,并根据身高、是否残疾、购物爱好对应的商品的当前位置,调整商品布置架构,以便于用户购物。比如用户的购物爱好记载,洗涤用品偏爱于洗衣液,而不常购买洗衣粉,则控制货架调配装置将洗衣液摆放于用户容易看到的地方。再比如,用户为做轮椅的残疾人,则控制货架调配装置降低其购物爱好对应的商品展示高度。Another embodiment of the present application is used in a smart store to adjust the product layout structure of the shelf according to the user’s shopping preferences, such as identifying the user’s physical feature data, including facial feature data, height, disability, etc., according to the facial feature data Obtain the corresponding shopping hobbies, and adjust the product layout structure according to the height, disability, and the current location of the products corresponding to the shopping hobbies, so as to facilitate the user's shopping. For example, the user's shopping hobby records, the detergent prefers laundry detergent, and does not often buy laundry detergent, then the shelf mixing device is controlled to place the laundry detergent in a place that is easy for the user to see. For another example, if the user is a disabled person in a wheelchair, he controls the shelf deployment device to reduce the height of the merchandise display corresponding to his shopping hobby.
参照图3,本申请实施例中还提供一种计算机设备,该计算机设备可以是服务器,其内部结构可以如图3所示。该计算机设备包括通过系统总线连接的处理器、存储器、网络接口和数据库。其中,该计算机设计的处理器用于提供计算和控制能力。该计算机设备的存储器包括非易失性存储介质、内存储器。该非易失性存储介质存储有操作系统、计算机程序和数据库。该内存器为非易失性存储介质中的操作系统和计算机程序的运行提供环境。该计算机设备的数据库用于存储智能调节推送屏幕的过程需要的所有数据。该计算机设备的网络接口用于与外部的端通过网络连接通信。该计算机程序被处理器执行时以实现智能调节推送屏幕的方法。Referring to FIG. 3, an embodiment of the present application also provides a computer device. The computer device may be a server, and its internal structure may be as shown in FIG. 3. The computer equipment includes a processor, a memory, a network interface, and a database connected through a system bus. Among them, the processor designed by the computer is used to provide calculation and control capabilities. The memory of the computer device includes a non-volatile storage medium and an internal memory. The non-volatile storage medium stores an operating system, a computer program, and a database. The memory provides an environment for the operation of the operating system and computer programs in the non-volatile storage medium. The database of the computer equipment is used to store all the data required for the process of intelligently adjusting and pushing the screen. The network interface of the computer device is used to communicate with an external terminal through a network connection. The computer program is executed by the processor to realize the method of intelligently adjusting and pushing the screen.
上述处理器执行上述智能调节推送屏幕的方法,包括:当用户距离推送屏幕的正前方距离小于预设值时,获取用户在所述推送屏幕的预设映射区域内的用户信息,其中,所述用户信息至少包括用户的眼睛距离当前时刻所述推送屏幕的高度值;判断所述高度值是否在预设范围内;若否,则控制所述推送屏幕沿竖直方向移动,使所述高度值处于所述预设范围内;控制所述推送屏幕按照预设推送方式向所述用户推送商品信息。The above-mentioned processor executes the above-mentioned method for intelligently adjusting the push screen, which includes: when the distance of the user from the direct front of the push screen is less than a preset value, acquiring user information of the user in the preset mapping area of the push screen, wherein, the User information includes at least the height value of the user’s eyes from the push screen at the current moment; determine whether the height value is within a preset range; if not, control the push screen to move in the vertical direction to make the height value Within the preset range; controlling the push screen to push product information to the user according to a preset push mode.
上述计算机设备,通过根据用户眼睛距离当前时刻所述推送屏幕的高度值,智能调节推送屏幕的高度,并进行商品信息推送,以便商品推送更能满足各用户的需求,且通过针对性的调节推送屏幕的高度,引起用户的视觉注 意,提高推送商品信息的有效性和针对性。通过及时获取线下用户的购物爱好,以便根据购物爱好准确地、及时地在线上或线下向用户推送相应的商品信息,以实现向用户推送相应商品的目的。比如通过获取用户购买行为的记录,准确地发现用户的购物喜好,并有针对性地在调配商品,使用户能及时获取到对应预购买的商品,提高购买力,使销售额持续稳定在较好的水平,利于商品市场的开拓和商品市场的战略布局。通过定位用户位于商城的位置信息,以便确定距离所述位置信息最近的商品推送屏幕。The above-mentioned computer equipment intelligently adjusts the height of the push screen according to the height value of the user’s eye distance from the push screen at the current moment, and pushes product information, so that the product push can better meet the needs of each user, and push through targeted adjustments The height of the screen attracts the user's visual attention and improves the effectiveness and pertinence of pushing product information. By obtaining the shopping preferences of offline users in time, the corresponding product information can be accurately and timely pushed to users online or offline according to the shopping preferences, so as to achieve the purpose of pushing corresponding products to users. For example, by obtaining records of user purchase behaviors, accurately discovering users' shopping preferences, and deploying products in a targeted manner, so that users can obtain the corresponding pre-purchased products in time, improve purchasing power, and keep sales stable at a better level. Level is conducive to the development of the commodity market and the strategic layout of the commodity market. By locating the user's location information in the mall, the product push screen closest to the location information can be determined.
在一个实施例中,所述用户信息还包括用户的人脸特征数据,上述处理器控制所述推送屏幕按照预设推送方式向所述用户推送商品信息的步骤,包括:根据所述人脸特征数据判断所述用户是否为预设会员;若所述用户为预设会员,则从会员数据库中获取所述用户对应的购物爱好,其中,所述会员数据库至少包括各会员的人脸特征数据,以及各所述会员分别对应的具有购物导向的所述购物爱好;控制距离所述位置信息最近的推送屏幕,按照预设推送方式向所述用户推送指定商品信息,其中,所述指定商品信息与所述用户的购物爱好相对应。In one embodiment, the user information further includes facial feature data of the user, and the step of controlling the push screen to push the product information to the user according to a preset push mode by the above-mentioned processor includes: according to the facial feature Data to determine whether the user is a preset member; if the user is a preset member, the shopping hobby corresponding to the user is obtained from a member database, wherein the member database includes at least facial feature data of each member, And the shopping hobbies with shopping orientation corresponding to each of the members; controlling the push screen closest to the location information, and pushing designated product information to the user according to a preset push method, wherein the designated product information is consistent with The shopping hobbies of the user correspond.
在一个实施例中,上述处理器控制距离所述位置信息最近的推送屏幕,按照预设推送方式向所述用户推送指定商品信息的步骤,包括:通过所述第一摄像头捕获所述用户,浏览所述第一推送屏幕推送商品信息的过程中的表情图片;根据所述表情图片中表情变化的趋势,判断所述用户是否满意当前推送的商品信息;若不满足,则按照预设更换规则更换新商品信息。In one embodiment, the above-mentioned processor controls the push screen closest to the location information, and pushes the designated commodity information to the user according to a preset push method, including: capturing the user through the first camera, and browsing The emoticon picture in the process of pushing the product information on the first push screen; according to the trend of expression changes in the emoticon picture, it is determined whether the user is satisfied with the currently pushed product information; if not, it is replaced according to the preset replacement rule New product information.
在一个实施例中,上述处理器按照预设更换规则更换新商品信息的步骤之后,包括:根据所述用户观看所述新商品信息的表情指数,判断所述用户是否对所述新商品信息满意;若满意,则将所述新商品信息更新至所述会员数据库。In one embodiment, after the above-mentioned processor replaces the new product information according to the preset replacement rule, the step includes: judging whether the user is satisfied with the new product information according to the expression index of the user watching the new product information ; If satisfied, update the new product information to the member database.
在一个实施例中,上述处理器根据所述用户观看所述新商品信息的表情指数,判断所述用户是否对所述新商品信息满意的步骤,包括:分别获取所述用户观看所述新商品信息的积极型表情总分数以及消极型表情总分数为其中,s与t分别为积极型表情集合与消极型表情集合中的微表情因子个数;根据计算得到所述用户观看所述新商品信息的表情指数Semo;分析所述表情指数Semo的值分别与第一预设阈值和第二预设阈值的大小关系,其中所述第一预设阈值大于所述第二预设阈值;若所述表情指数Semo的值超过所述第一预设阈值,则判定所述用户对所述新商品信息满意,若所述表情指数Semo的值低于所述第二预设阈值,则判定所述用户对所述新商品信息不满意。In one embodiment, the step of determining whether the user is satisfied with the new product information by the processor according to the expression index of the user watching the new product information includes: obtaining that the user watched the new product separately Total score for positive expressions of information And the total score for negative expressions is Among them, s and t are the number of micro-expression factors in the positive expression set and the negative expression set respectively; according toThe expression index S emo of the user watching the new product information is calculated; the relationship between the value of the expression index Semo and the first preset threshold and the second preset threshold is analyzed, wherein the first preset The threshold is greater than the second preset threshold; if the value of the expression index Semo exceeds the first preset threshold, it is determined that the user is satisfied with the new product information, and if the value ofthe expression index S emo is If it is lower than the second preset threshold, it is determined that the user is not satisfied with the new product information.
在一个实施例中,所述用户至少包括第一会员和第二会员,上述处理器控制所述推送屏幕按照预设推送方式向所述用户推送商品信息的步骤,包括:获取所述第一会员和第二会员分别对应的会员级别;根据所述会员级别由高到低,对所述第一会员和第二会员进行第一排序;调取所述第一会员对应的第一购物爱好,以及所述第二会员对应的第二购物爱好;按照所述第一排序依次播放所述第一购物爱好和所述第二购物爱好分别对应的商品信息。In an embodiment, the user includes at least a first member and a second member, and the step of controlling the push screen to push product information to the user according to a preset push method by the processor includes: acquiring the first member Membership levels respectively corresponding to the second member; rank the first member and the second member first according to the member level from high to low; retrieve the first shopping hobby corresponding to the first member, and The second shopping hobby corresponding to the second member; and the product information corresponding to the first shopping hobby and the second shopping hobby are played in sequence according to the first order.
本领域技术人员可以理解,图3中示出的结构,仅仅是与本申请方案相关的部分结构的框图,并不构成对本申请方案所应用于其上的计算机设备的限定。Those skilled in the art can understand that the structure shown in FIG. 3 is only a block diagram of a part of the structure related to the solution of the present application, and does not constitute a limitation on the computer device to which the solution of the present application is applied.
本申请一实施例还提供一种计算机可读存储介质,其上存储有计算机程序,所述计算机可读存储介质可以是非易失性,也可以是易失性,计算机程序被处理器执行时实现智能调节推送屏幕的方法,包括:当用户距离推送屏幕的正前方距离小于预设值时,获取用户在所述推送屏幕的预设映射区域内的用户信息,其中,所述用户信息至少包括用户的眼睛距离当前时刻所述推送屏幕的高度值;判断所述高度值是否在预设范围内;若否,则控制所述推送屏幕沿竖直方向移动,使所述高度值处于所述预设范围内;控制所述推送屏幕按照预设推送方式向所述用户推送商品信息。An embodiment of the present application also provides a computer-readable storage medium on which a computer program is stored. The computer-readable storage medium may be non-volatile or volatile, and the computer program is executed when the processor is executed. The method for intelligently adjusting the push screen includes: when the user's distance from the front of the push screen is less than a preset value, obtaining user information of the user in the preset mapping area of the push screen, wherein the user information includes at least the user The eye distance of the current moment of the height value of the push screen; determine whether the height value is within the preset range; if not, control the push screen to move in the vertical direction so that the height value is at the preset Within the range; control the push screen to push product information to the user in a preset push mode.
上述计算机可读存储介质,通过根据用户眼睛距离当前时刻所述推送屏幕的高度值,智能调节推送屏幕的高度,并进行商品信息推送,以便商品推送更能满足各用户的需求,且通过针对性的调节推送屏幕的高度,引起用户的视觉注意,提高推送商品信息的有效性和针对性。通过及时获取线下用户的购物爱好,以便根据购物爱好准确地、及时地在线上或线下向用户推送相应的商品信息,以实现向用户推送相应商品的目的。比如通过获取用户购买行为的记录,准确地发现用户的购物喜好,并有针对性地在调配商品,使用户能及时获取到对应预购买的商品,提高购买力,使销售额持续稳定在较好的水平,利于商品市场的开拓和商品市场的战略布局。通过定位用户位于商城的位置信息,以便确定距离所述位置信息最近的商品推送屏幕。The above-mentioned computer-readable storage medium intelligently adjusts the height of the push screen according to the height value of the user’s eye distance from the push screen at the current moment, and pushes product information, so that the product push can better meet the needs of each user, and through targeted Adjust the height of the push screen to attract users’ visual attention and improve the effectiveness and pertinence of pushing product information. By obtaining the shopping preferences of offline users in time, the corresponding product information can be accurately and timely pushed to users online or offline according to the shopping preferences, so as to achieve the purpose of pushing corresponding products to users. For example, by obtaining records of user purchase behaviors, accurately discovering users' shopping preferences, and deploying products in a targeted manner, so that users can obtain the corresponding pre-purchased products in time, increase purchasing power, and keep sales stable at a better level. Level is conducive to the development of the commodity market and the strategic layout of the commodity market. By locating the user's location information in the mall, the product push screen closest to the location information can be determined.
在一个实施例中,所述用户信息还包括用户的人脸特征数据,上述处理器控制所述推送屏幕按照预设推送方式向所述用户推送商品信息的步骤,包括:根据所述人脸特征数据判断所述用户是否为预设会员;若所述用户为预设会员,则从会员数据库中获取所述用户对应的购物爱好,其中,所述会员数据库至少包括各会员的人脸特征数据,以及各所述会员分别对应的具有购物导向的所述购物爱好;控制距离所述位置信息最近的推送屏幕,按照预设推送方式向所述用户推送指定商品信息,其中,所述指定商品信息与所述用户的购物爱好相对应。In one embodiment, the user information further includes facial feature data of the user, and the step of controlling the push screen to push the product information to the user according to a preset push mode by the above-mentioned processor includes: according to the facial feature Data to determine whether the user is a preset member; if the user is a preset member, the shopping hobby corresponding to the user is obtained from a member database, wherein the member database includes at least facial feature data of each member, And the shopping hobbies with shopping orientation corresponding to each of the members; controlling the push screen closest to the location information, and pushing designated product information to the user according to a preset push method, wherein the designated product information is consistent with The shopping hobbies of the user correspond.
在一个实施例中,上述处理器控制距离所述位置信息最近的推送屏幕,按照预设推送方式向所述用户推送指定商品信息的步骤,包括:通过所述第一摄像头捕获所述用户,浏览所述第一推送屏幕推送商品信息的过程中的表情图片;根据所述表情图片中表情变化的趋势,判断所述用户是否满意当前 推送的商品信息;若不满足,则按照预设更换规则更换新商品信息。In one embodiment, the above-mentioned processor controls the push screen closest to the location information, and pushes the designated commodity information to the user according to a preset push method, including: capturing the user through the first camera, and browsing The emoticon picture in the process of pushing product information on the first push screen; according to the trend of emoticon changes in the emoticon picture, it is determined whether the user is satisfied with the currently pushed product information; if not, it is replaced according to a preset replacement rule New product information.
在一个实施例中,上述处理器按照预设更换规则更换新商品信息的步骤之后,包括:根据所述用户观看所述新商品信息的表情指数,判断所述用户是否对所述新商品信息满意;若满意,则将所述新商品信息更新至所述会员数据库。In one embodiment, after the above-mentioned processor replaces the new product information according to the preset replacement rule, the step includes: judging whether the user is satisfied with the new product information according to the expression index of the user watching the new product information ; If satisfied, update the new product information to the member database.
在一个实施例中,上述处理器根据所述用户观看所述新商品信息的表情指数,判断所述用户是否对所述新商品信息满意的步骤,包括:分别获取所述用户观看所述新商品信息的积极型表情总分数以及消极型表情总分数为其中,s与t分别为积极型表情集合与消极型表情集合中的微表情因子个数;根据计算得到所述用户观看所述新商品信息的表情指数Semo;分析所述表情指数Semo的值分别与第一预设阈值和第二预设阈值的大小关系,其中所述第一预设阈值大于所述第二预设阈值;若所述表情指数Semo的值超过所述第一预设阈值,则判定所述用户对所述新商品信息满意,若所述表情指数Semo的值低于所述第二预设阈值,则判定所述用户对所述新商品信息不满意。In one embodiment, the step of determining whether the user is satisfied with the new product information by the processor according to the expression index of the user watching the new product information includes: obtaining that the user watched the new product separately Total score for positive expressions of information And the total score for negative expressions is Among them, s and t are the number of micro-expression factors in the positive expression set and the negative expression set respectively; according toThe expression index S emo of the user watching the new product information is calculated; the relationship between the value of the expression index Semo and the first preset threshold and the second preset threshold is analyzed, wherein the first preset The threshold is greater than the second preset threshold; if the value of the expression index Semo exceeds the first preset threshold, it is determined that the user is satisfied with the new product information, and if the value ofthe expression index S emo is If it is lower than the second preset threshold, it is determined that the user is not satisfied with the new product information.
在一个实施例中,所述用户至少包括第一会员和第二会员,上述处理器控制所述推送屏幕按照预设推送方式向所述用户推送商品信息的步骤,包括:获取所述第一会员和第二会员分别对应的会员级别;根据所述会员级别由高到低,对所述第一会员和第二会员进行第一排序;调取所述第一会员对应的第一购物爱好,以及所述第二会员对应的第二购物爱好;按照所述第一排序依次播放所述第一购物爱好和所述第二购物爱好分别对应的商品信息。In an embodiment, the user includes at least a first member and a second member, and the step of controlling the push screen to push product information to the user according to a preset push method by the processor includes: acquiring the first member Membership levels respectively corresponding to the second member; rank the first member and the second member first according to the member level from high to low; retrieve the first shopping hobby corresponding to the first member, and The second shopping hobby corresponding to the second member; and the product information corresponding to the first shopping hobby and the second shopping hobby are played in sequence according to the first order.
本领域普通技术人员可以理解实现上述实施例方法中的全部或部分流程,是可以通过计算机程序来指令相关的硬件来完成,上述的计算机程序可存储于一非易失性计算机可读取存储介质中,该计算机程序在执行时,可包括如上述各方法的实施例的流程。其中,本申请所提供的和实施例中所使用的对存储器、存储、数据库或其它介质的任何引用,均可包括非易失性和/或易失性存储器。非易失性存储器可以包括只读存储器(ROM)、可编程ROM(PROM)、电可编程ROM(EPROM)、电可擦除可编程ROM(EEPROM)或闪存。易失性存储器可包括随机存取存储器(RAM)或者外部高速缓冲存储器。作为说明而非局限,RAM以多种形式可得,诸如静态RAM(SRAM)、动态RAM(DRAM)、同步DRAM(SDRAM)、双速据率SDRAM(SSRSDRAM)、增强型SDRAM(ESDRAM)、同步链路(Synchlink)DRAM(SLDRAM)、存储器总线(Rambus)直接RAM(RDRAM)、直接存储器总线动态RAM(DRDRAM)、以及存储器总线动态RAM(RDRAM)等。A person of ordinary skill in the art can understand that all or part of the processes in the above-mentioned embodiment methods can be implemented by instructing relevant hardware through a computer program. The above-mentioned computer program can be stored in a non-volatile computer readable storage medium. Here, when the computer program is executed, it may include the processes of the above-mentioned method embodiments. Wherein, any reference to memory, storage, database or other media provided in this application and used in the embodiments may include non-volatile and/or volatile memory. Non-volatile memory may include read only memory (ROM), programmable ROM (PROM), electrically programmable ROM (EPROM), electrically erasable programmable ROM (EEPROM), or flash memory. Volatile memory may include random access memory (RAM) or external cache memory. As an illustration and not a limitation, RAM is available in many forms, such as static RAM (SRAM), dynamic RAM (DRAM), synchronous DRAM (SDRAM), dual-rate data rate SDRAM (SSRSDRAM), enhanced SDRAM (ESDRAM), synchronous Link (Synchlink) DRAM (SLDRAM), memory bus (Rambus) direct RAM (RDRAM), direct memory bus dynamic RAM (DRDRAM), and memory bus dynamic RAM (RDRAM), etc.
需要说明的是,在本文中,术语“包括”、“包含”或者其任何其他变体意在涵盖非排他性的包含,从而使得包括一系列要素的过程、装置、物品或者方法不仅包括那些要素,而且还包括没有明确列出的其他要素,或者是还包括为这种过程、装置、物品或者方法所固有的要素。在没有更多限制的情况下,由语句“包括一个……”限定的要素,并不排除在包括该要素的过程、装置、物品或者方法中还存在另外的相同要素。It should be noted that, in this article, the terms "include", "include" or any other variants thereof are intended to cover non-exclusive inclusion, so that a process, device, article or method including a series of elements not only includes those elements, It also includes other elements not explicitly listed, or elements inherent to the process, device, article, or method. If there are no more restrictions, the element defined by the sentence "including a..." does not exclude the existence of other identical elements in the process, device, article, or method that includes the element.
以上所述仅为本申请的优选实施例,并非因此限制本申请的专利范围,凡是利用本申请说明书及附图内容所作的等效结构或等效流程变换,或直接或间接运用在其他相关的技术领域,均同理包括在本申请的专利保护范围内。The above are only the preferred embodiments of this application, and do not limit the scope of this application. Any equivalent structure or equivalent process transformation made by using the content of the description and drawings of this application, or directly or indirectly applied to other related The technical field is equally included in the scope of patent protection of this application.
| Application Number | Priority Date | Filing Date | Title | 
|---|---|---|---|
| CN201910832247.2ACN110675185A (en) | 2019-09-04 | 2019-09-04 | Method and device for intelligently adjusting push screen, computer equipment and storage medium | 
| CN2019108322472 | 2019-09-04 | 
| Publication Number | Publication Date | 
|---|---|
| WO2021042841A1true WO2021042841A1 (en) | 2021-03-11 | 
| Application Number | Title | Priority Date | Filing Date | 
|---|---|---|---|
| PCT/CN2020/098821CeasedWO2021042841A1 (en) | 2019-09-04 | 2020-06-29 | Method and device for intelligently adjusting push screen, computer apparatus, and storage medium | 
| Country | Link | 
|---|---|
| CN (1) | CN110675185A (en) | 
| WO (1) | WO2021042841A1 (en) | 
| Publication number | Priority date | Publication date | Assignee | Title | 
|---|---|---|---|---|
| CN117252650A (en)* | 2023-11-17 | 2023-12-19 | 滕州市中等职业教育中心学校 | Commodity information pushing service system | 
| Publication number | Priority date | Publication date | Assignee | Title | 
|---|---|---|---|---|
| CN110675185A (en)* | 2019-09-04 | 2020-01-10 | 平安科技(深圳)有限公司 | Method and device for intelligently adjusting push screen, computer equipment and storage medium | 
| CN111311303A (en)* | 2020-01-17 | 2020-06-19 | 北京市商汤科技开发有限公司 | Information delivery method and device, electronic equipment and storage medium | 
| CN112541782A (en)* | 2020-11-30 | 2021-03-23 | 京东数字科技控股股份有限公司 | Advertising machine and commodity matching degree prediction method | 
| CN113849002B (en)* | 2021-10-09 | 2023-06-16 | 珠海格力电器股份有限公司 | Clothes hanger control method, device, equipment and storage medium | 
| Publication number | Priority date | Publication date | Assignee | Title | 
|---|---|---|---|---|
| CN102402765A (en)* | 2011-12-27 | 2012-04-04 | 纽海信息技术(上海)有限公司 | electronic commerce recommendation method based on user expression analysis | 
| WO2018204281A1 (en)* | 2017-05-02 | 2018-11-08 | PracticalVR Inc. | User authentication on an augmented, mixed or virtual reality platform | 
| CN109886735A (en)* | 2019-01-25 | 2019-06-14 | 深兰科技(上海)有限公司 | A kind of method and device of advertisement pushing | 
| CN110675185A (en)* | 2019-09-04 | 2020-01-10 | 平安科技(深圳)有限公司 | Method and device for intelligently adjusting push screen, computer equipment and storage medium | 
| Publication number | Priority date | Publication date | Assignee | Title | 
|---|---|---|---|---|
| CN102237013A (en)* | 2010-04-29 | 2011-11-09 | 鸿富锦精密工业(深圳)有限公司 | Display screen adjustment system and method, and advertisement board with adjustment system | 
| CN102053629B (en)* | 2010-10-29 | 2013-01-16 | 冠捷显示科技(厦门)有限公司 | Method and method for realizing position automatic adjustment | 
| JP5869558B2 (en)* | 2011-10-19 | 2016-02-24 | パナソニック インテレクチュアル プロパティ コーポレーション オブアメリカPanasonic Intellectual Property Corporation of America | Display control apparatus, integrated circuit, display control method, and program | 
| CN104575339A (en)* | 2014-07-21 | 2015-04-29 | 北京智膜科技有限公司 | Media information pushing method based on face detection interface | 
| CN104484044B (en)* | 2014-12-23 | 2018-07-31 | 上海斐讯数据通信技术有限公司 | A kind of advertisement sending method and system | 
| CN105988481A (en)* | 2015-02-06 | 2016-10-05 | 鸿富锦精密工业(深圳)有限公司 | Television height automatic regulating system and method | 
| CN106331498A (en)* | 2016-09-13 | 2017-01-11 | 青岛海信移动通信技术股份有限公司 | Image processing method and image processing device used for mobile terminal | 
| CN106303628B (en)* | 2016-09-23 | 2020-06-23 | 西安数拓网络科技有限公司 | Information pushing method and device based on multimedia display screen | 
| CN109146500A (en)* | 2018-09-10 | 2019-01-04 | 深圳市宇墨科技有限公司 | Unmanned supermarket's method of payment and relevant apparatus | 
| Publication number | Priority date | Publication date | Assignee | Title | 
|---|---|---|---|---|
| CN102402765A (en)* | 2011-12-27 | 2012-04-04 | 纽海信息技术(上海)有限公司 | electronic commerce recommendation method based on user expression analysis | 
| WO2018204281A1 (en)* | 2017-05-02 | 2018-11-08 | PracticalVR Inc. | User authentication on an augmented, mixed or virtual reality platform | 
| CN109886735A (en)* | 2019-01-25 | 2019-06-14 | 深兰科技(上海)有限公司 | A kind of method and device of advertisement pushing | 
| CN110675185A (en)* | 2019-09-04 | 2020-01-10 | 平安科技(深圳)有限公司 | Method and device for intelligently adjusting push screen, computer equipment and storage medium | 
| Publication number | Priority date | Publication date | Assignee | Title | 
|---|---|---|---|---|
| CN117252650A (en)* | 2023-11-17 | 2023-12-19 | 滕州市中等职业教育中心学校 | Commodity information pushing service system | 
| CN117252650B (en)* | 2023-11-17 | 2024-03-15 | 滕州市中等职业教育中心学校 | Commodity information pushing service system | 
| Publication number | Publication date | 
|---|---|
| CN110675185A (en) | 2020-01-10 | 
| Publication | Publication Date | Title | 
|---|---|---|
| WO2021042841A1 (en) | Method and device for intelligently adjusting push screen, computer apparatus, and storage medium | |
| US20250104125A1 (en) | System, Platform and Method for Personalized Shopping Using a Virtual Shopping Assistant | |
| US10922716B2 (en) | Creating targeted content based on detected characteristics of an augmented reality scene | |
| US20170278135A1 (en) | Image recognition artificial intelligence system for ecommerce | |
| JP2021168157A (en) | Systems, platforms and methods for personalized shopping with automated shopping assistants | |
| CN107203897A (en) | A kind of evaluation method of Products Show degree, apparatus and system | |
| CN109978812A (en) | Camera system, learning device, photographic device and learning method | |
| US20180268458A1 (en) | Automated recommendation and virtualization systems and methods for e-commerce | |
| CN109767258A (en) | Intelligent shopping guide method and device based on eye image recognition | |
| JP6152188B1 (en) | Information processing apparatus, information processing method, and program | |
| US10489445B1 (en) | Systems and methods for online matching using visual similarity | |
| US10043131B2 (en) | Systems and methods for rule-based content optimization | |
| CN117472315B (en) | Tablet computer eye protection system and method | |
| JP7021316B1 (en) | Information processing programs, information processing methods and information processing equipment | |
| KR20230146474A (en) | Method and system for managing customer satisfaction with a restrant using a learning model based on emotion change prediction, computer readable recording medium and computer program stored therein | |
| KR20230149398A (en) | Method for providing customized welfare and daily necessities services for each life cycle | |
| KR20160013537A (en) | System for automatically generating and classifying emotionally expressed contents and the method thereof | |
| US12333855B1 (en) | Automated system for generating personalized eyewear recommendations based on fit and style within a purchasing system | |
| KR102512371B1 (en) | System for Selling Clothing Online | |
| KR20200092630A (en) | Method for providing cleaning academy service turning authenticated sanitary worker out using systematized and formalized education | |
| CN113592592B (en) | Method for generating glasses frame fitting effect diagram and glasses frame virtual fitting system | |
| JP6784519B2 (en) | Information processing equipment, its control method, and programs | |
| US20170372170A1 (en) | Network-based content submission and contest management | |
| US20170116628A1 (en) | System and method for collecting personality information | |
| CN113850653A (en) | Product recommendation method based on convolutional neural network and related equipment | 
| Date | Code | Title | Description | 
|---|---|---|---|
| 121 | Ep: the epo has been informed by wipo that ep was designated in this application | Ref document number:20860137 Country of ref document:EP Kind code of ref document:A1 | |
| NENP | Non-entry into the national phase | Ref country code:DE | |
| 122 | Ep: pct application non-entry in european phase | Ref document number:20860137 Country of ref document:EP Kind code of ref document:A1 |