Movatterモバイル変換


[0]ホーム

URL:


WO2020028684A1 - Salts of nicotinic acid and nicotinamide as anti-aging agents - Google Patents

Salts of nicotinic acid and nicotinamide as anti-aging agents
Download PDF

Info

Publication number
WO2020028684A1
WO2020028684A1PCT/US2019/044700US2019044700WWO2020028684A1WO 2020028684 A1WO2020028684 A1WO 2020028684A1US 2019044700 WUS2019044700 WUS 2019044700WWO 2020028684 A1WO2020028684 A1WO 2020028684A1
Authority
WO
WIPO (PCT)
Prior art keywords
c3alkylene
salt
acid
alkylene
alkyl
Prior art date
Legal status (The legal status is an assumption and is not a legal conclusion. Google has not performed a legal analysis and makes no representation as to the accuracy of the status listed.)
Ceased
Application number
PCT/US2019/044700
Other languages
French (fr)
Inventor
Sebastian Mario Marcuccio
Rohan David JOYCE
Michel Wathier
Roland Dolle
Simon Tucker
Current Assignee (The listed assignees may be inaccurate. Google has not performed a legal analysis and makes no representation or warranty as to the accuracy of the list.)
Jumpstart Fertility Pty Ltd
Life Biosciences Inc
Original Assignee
Jumpstart Fertility Pty Ltd
Life Biosciences Inc
Priority date (The priority date is an assumption and is not a legal conclusion. Google has not performed a legal analysis and makes no representation as to the accuracy of the date listed.)
Filing date
Publication date
Application filed by Jumpstart Fertility Pty Ltd, Life Biosciences IncfiledCriticalJumpstart Fertility Pty Ltd
Publication of WO2020028684A1publicationCriticalpatent/WO2020028684A1/en
Anticipated expirationlegal-statusCritical
Ceasedlegal-statusCriticalCurrent

Links

Classifications

Definitions

Landscapes

Abstract

The present invention relates to amino acid salts of nicotinic acid and nicotinamide and compositions thereof of Formula I, useful in the treatment of disorders and diseases associated with deficiencies in NAD+: (I) wherein J, M1, R1, and k are as described herein.

Description

SALTS OF NICOTINIC ACID AND NICOTINAMIDE AS ANTI-AGING AGENTS
Related Applications
[0001] This application claims priority to, and the benefit of, U.S. Provisional Application No. 62/713,042, filed on August 1, 2018, the contents of which are incorporated herein by reference in their entireties.
Field of the Disclosure
[0002] The present invention relates to inorganic salts of nicotinic acid and nicotinamide and compositions useful in the treatment of disorders and diseases associated with aging.
Background of the Disclosure
[0003] Aging is the result of complex interactions involving biological, physical, and biochemical processes that cause dysfunctions in cells and organs which manifests in a variety of diseases and other outcomes. For example, female fecundity is markedly sensitive to the effects of ageing. For example, the USA Centers for Disease Control has reported that the percentage of assisted reproductive technology (ART) associated pregnancies and births percentages declined steadily among women in their mid-30s onward from approximately 25% of ART cycles resulting in singleton live births to 14% by the age of 40 (Centers for Disease Control and Prevention, American Society for Reproductive Medicine, Society for Assisted Reproductive Technology. 2011 Assisted Reproductive Technology National Summary Report. Atlanta (GA): US Dept of Health and Human Services; 2013). This trend is markedly increased above the age of 40 with the CDC reporting that women older than age 44 have a very low likelihood of success. The percentages of live births and singleton live births declined to about 1% in this group. It is generally considered that a woman’s age is the most important factor affecting the chance of a live birth when her own eggs (oocytes) are used.
[0004] It is understood that the qualitative deterioration of oocytes due to aging is a fundamental factor in the decline in fertility. In older women, for example, the oocytes are reported to be susceptible to abnormal chromosome division, exhibit decreased mitochondrial quality, low ATP production, increased oxidative stress, and decreased antioxidant levels (Nelson SM, Telfer EE, Anderson RA. The ageing ovary and uterus: new biological insights. Hum Reprod Update. 2013;19:67-83.; Wilding M. Potential long-term risks associated with maternal aging (the role of the mitochondria). Fertil Steril. 2015;103: 1397-401 ; 3. Meldrum DR, Casper RF, Diez-Juan A, Simon C, Domar AD, Frydman R. Aging and the environment affect gamete and embryo potential: can we intervene? Fertil Steril. 2016;105:548-59).
[0005] For all of the foregoing reasons, the oocyte represents an excellent target tissue for the evaluation of therapeutic modalities that are expected to have an impact upon the ageing process and, furthermore, offer the prospect of addressing age-related infertility.
[0006] One such possible therapeutic modality for treating ageing comprises agents which boost therapeutic levels of NAD+. NAD+ is an essential component of cellular processes necessary to support various metabolic functions. The classic role of NAD+ is a co-enzyme that catalyzes cellular redox reactions, becoming reduced to NADH, in many fundamental metabolic processes, such as glycolysis, fatty acid beta oxidation, or the tricarboxylic acid cycle. In addition to playing these roles, NAD+ has a critical role as the substrate of NAD+-consuming enzymes such as poly-ADP-ribose polymerases (PARPs), sirtuins, and CD38/157 ectoenzymes. These NAD+-consuming enzymes have been known to mediate many fundamental cellular processes.
[0007] There are five major precursors and intermediates to synthesize NAD+: tryptophan, nicotinamide, nicotinic acid (NA), nicotinamide riboside (NR), and nicotinamide mononucleotide (NMN). NAD+ can be synthesized de novo by the conversion of the amino acid tryptophan through multiple enzymatic steps to nicotinic acid mononucleotide (NaMN). NaMN is converted to nicotinic acid dinucleotide (NaAD+) by NMN/NaMN adenylyltransferases (NMNATs) and then amidated to NAD+ by NAD+ synthetase.
[0008] In mammals, a major pathway of NAD+ biosynthesis is the salvage pathway from nicotinamide. Nicotinamide is converted to NMN, a key NAD+ intermediate, by nicotinamide phosphoribosyltransferase (NAMPT), the rate-limiting enzyme in this pathway. NMNATs then convert NMN into NAD+. NAMPT plays a critical role in regulating cellular NAD+ levels. On the other hand, nicotinic acid is converted to NaMN by nicotinic acid phosphoribosyltransferase (NPT). NR needs to be converted to NMN by nicotinamide ribose kinases, NMRK1 and NMRK2 (also known as NRK1 and NRK2), which phosphorylate NR. Maintenance of adequate NAD+ biosynthesis is paramount for cell survival and function. Derailment from normal NAD+ homeostasis substantially affects not only the NAD+/NADH pool required for redox reactions but also activities of NAD+-dependent enzymes for crucial cellular functions.
[0009] It is now becoming a consensus that NAD+ levels decline at cellular, tissue/organ, and organismal levels during the course of aging. Activities of NAD+-consuming enzymes are affected by this NAD+ decline, contributing to a broad range of age-associated pathophysiologies
[0010] Nicotinamide adenine dinucleotide is an enzyme co-factor that is essential for the function of several enzymes related to reduction-oxidation reactions and energy metabolism. (Katrina L. Bogan & Charles Brenner, Nicotinic Acid, Nicotinamide and Nicotinamide Riboside: A Molecular Evaluation of NAD Precursor Vitamins in Nutritions, 28, Annual Review of Nutrition 115 (2008)). NAD+ functions as an electron carrier in energy metabolism of amino acids, fatty acids and carbohydrates (Bogan & Brenner, Annu. Rev. Nutr. 2008, 28, 115-130). NAD+ is critical for redox reactions and as a substrate for signaling by the PARPs (poly adenoside diphophosphate-ribose polymerases) and the sirtuins (SIRT1 to SIRT7), in the regulation of DNA repair, energy metabolism, cell survival and circadian rhythms which have all been shown to be critical in the ageing process (Bronkowski, M.S. & Sinclair, D., Nat. Rev. Mole. Cell. Bio., 17, 679-690, (2016)). Raising NAD+ concentrations delays aging in yeast, files and mice (Mouchiroud et al. Cell 154, 464-471, (2014)). It has recently also been demonstrated that NAD+ directly regulates protein-protein interactions, the modulation of which may protect against cancer and radiation exposure as well as having a direct impact on aging (Li et al., Science 355, 1312-1317, 2017). Thus increasing bodies of evidence support the idea that interventions using NAD+ intermediates, such as NMN and NR, can bolster the system by restoring the available NAD+ and mitigate physiological decline associated with aging.
[0011] Although NAD+ can be synthesized de novo from the amino acid tryptophan, this process does not occur in all tissues, requiring most ceils to rely on the salvage pathway (described above) for regenerating NAD+ from other intracellular intermediates, which are primarily made available through dietary sources (Christopher R. Martens, et al, Nat. Commun.9, 1286, (2018) and Bogan, K. L. & Brenner, C, Annu. Rev. Nutr. 28, 1 15-130, (2008)). Other NAD precursors like nicotinic acid and nicotinamide can also be administered to boost NAD cellular bioavailability. However, clinically relevant levels of nicotinic acid are associated with undesirable flushing at therapeutic doses (MacKay, D., Hathcock, J. & Guameri, E., Nutr. Rev. 70, 357-366 (2012)). and nicotinamide does not reliably activate (and may even inhibit) sirtums despite raising concentrations of NAD (Bitterman, K. J., et a!., J. Biol. Chem. 277, 45099-45107 (2002); Guan, X., et al, PLoS One. 9, el07729 (2014); and Trammell, S. A. et al. Nat. Commun. 7, 12948 (2016)). Therefore, administration of nicotinic acid or nicotinamide is unlikely to be widely adopted for maintaining health and function with aging.
[0012] In contrast to nicotinic acid and nicotinamide, administration of NAD÷ metabolites such as nicotinamide mononucleotide (NMN) or nicotinamide riboside (NR), appears to increase levels of NAD÷ and improves multiple physiological functions in animal models (Yoshino, J. et al., Cell Metab. 14, 528-536 (2011); Mills, K. F. et al., Cell Me tab. 24, 795- 806 (2016); and Frederick, D. W. et al, Cell Metab. 24, 269-282 (2016)). At least one of these metabolites has been reported to be well tolerated in humans leading to elevation of NAD levels and improved physiological functions albeit that further studies are required to confirm the findings of this exploratory study (Christopher R. Martens, et al, Nat. Commun. 9, 1286, (2018)). Furthermore, a recent study showed that single doses of NR stimulated blood cellular NAD+ metabolism in healthy humans in a dose-dependent manner (Trammell, S A. et al., Nat. Commun. 7, 12948 (2016)), showing the limitation of this metabolite. However, many of the known NAD÷ metabolites are unstable in a variety of physiological environments and thus do not lend themselves to viable pharmaceutical drugs for administration to patients m need of such metabolites for boosting the NAD levels in said patients.
[0013] Given the central role that NAD+ plays in critical cellular and physiological pathways, developing novel stable agents with improved properties that can elevate NAD+ levels in disease states and/or during the aging process is necessary to improve the human condition.
Summary of the Disclosure
[0014] A first aspect of the application relates to salts of Formula (I) and enantiomers, stereoisomers, and tautomers thereof:
Figure imgf000006_0001
wherein
Figure imgf000006_0002
A is NRaRb, NRaORb, or 0 ;
X is O, S, or NH;
M1 is a cationic amine, ascorbic acid, or erythorbic acid;
R1 is independently H, halogen, OH, NH2, C1-C6 alkyl, or C1-C6 alkoxy;
Ra and Rb are independently, at each occurrence, H or Ci-C6alkyl, wherein the alkyl is optionally substituted with one or more substituents selected from (Co-C3alkylene)C3- C8cycloalkyl, (Co-C3alkylene)heterocycloalkyl, (Co-C3alkylene)C6-Ci4aryl, or (Co- C3alkylene)heteroaryl; and
k is an integer from 1 to 3.
[0015] Another aspect of the present disclosure relates to a pharmaceutical composition comprising a salt of Formula (I), or a pharmaceutically acceptable salt thereof, in association with a pharmaceutically acceptable carrier.
[0016] Another aspect of the present disclosure relates to a method of treating or preventing an age-related infertility comprising administering to a subject in need thereof, an effective amount of a salt of Formula (I), or enantiomer, stereoisomer, or tautomer thereof.
[0017] Another aspect of the present disclosure relates to a method of treating or preventing infertility comprising administering to a subject in need thereof, an effective amount of a salt of Formula (I), or enantiomer, stereoisomer, or tautomer thereof.
[0018] Another aspect of the present disclosure relates to a salt of Formula (I), or enantiomer, stereoisomer, or tautomer thereof, for use in the manufacture of a medicament for treating age related infertility. [0019] Another aspect of the present disclosure relates to a salt of Formula (I), or enantiomer, stereoisomer, or tautomer thereof, for use in the manufacture of a medicament for use in treating infertility.
[0020] In another aspect, the present invention relates to a method of treating or preventing an age-related disorder, comprising administering to a subject in need thereof, a therapeutically effective amount of a pharmaceutical composition of the salt of Formula (I).
[0021] Another aspect of the present disclosure relates to a method of improving oocyte quality and maturation, comprising administering to a subject in need thereof, a therapeutically effective amount of a salt of Formula (I).
[0022] Another aspect of the present disclosure relates to the use of a salt of Formula (I), or enantiomer, stereoisomer, or tautomer thereof, in the manufacture of a medicament for treating an age-related disorder.
[0023] In another aspect, the invention comprises treatment of an oocyte with a salt of Formula (I) ex vivo prior to implantation into a subject, for the treatment of age-related infertility.
[0024] In another aspect, the invention comprises treatment of a blastocyst with a salt of Formula (I) ex vivo prior to implantation into a subject, for the treatment of age-related infertility.
[0025] In another aspect, the invention comprises treatment of an oocyte with a salt of Formula (I) ex vivo prior to implantation into a subject, for the treatment of infertility.
[0026] In another aspect, the invention comprises treatment of a blastocyst with a salt of Formula (I) ex vivo prior to implantation into a subject, for the treatment of infertility.
[0027] In another aspect, a salt of Formula (I) is provided as a component in solution for use in treating a cell ex vivo for use in the treatment of an age related disorder. In some embodiments, the age related disorder is age-related infertility. In other aspects a salt of Formula (I) is provided as a component in solution for use in treating a cell ex vivo for use in the treatment of infertility.
[0028] Another aspect of present disclosure relates to a process for preparing salts of Formula (I), comprising contacting a nicotinic acid or nicotinamides derivative of Formula III with a metal-alkali hydroxide under suitable conditions effective to produce the salt of Formula I.
[0029] The present disclosure also relates to methods of accelerating recovery from a disease or disorder. The method comprises administering to a subject in need thereof an effective amount of a salt of Formula (I) in combination with the prescribed treatment of said disease.
[0030] In another aspect, the present disclosure relates to a cell culture medium for in vitro fertilization comprising: one or more salts of Formula (I) and culturing agents.
Detailed Description of the Invention
[0031] The present application relates to salts and compositions that are capable of treating or preventing an age-related disorder. The application features methods of treating, preventing or ameliorating a disease or disorder associated with aging by administering to a patient in need thereof a therapeutically effective amount of a salt of Formula (I), or a enantiomer, stereoisomer, or tautomer thereof. The methods of the present application can be used in the treatment of a variety of diseases and disorders by preventing, or ameliorating the process of aging and cellular restoration including, but not limited to, infertility and cellular degradation.
[0032] Salts of Formula (I) are potent and are efficacious at clinically achievable doses; are stable in a variety of potential dosage forms; possess acceptable solubility, acceptable pH, are crystalline, have a reduced propensity to absorb water, display ease of handling, - all of which are consistent with the development, manufacture and use of a medicament. In addition, the salts disclosed herein offer increased biological activity toward increased cellular NAD+ levels, increased stability and more physiologically acceptable pH.
[0033] A first aspect of disclosure relates to a salt of Formula I:
Figure imgf000008_0001
wherein J, M1, R1, Ra, Rb, and k are as described herein. [0034] The articles "a" and "an" are used in this disclosure to refer to one or more than one (i.e., to at least one) of the grammatical object of the article. By way of example, "an element" means one element or more than one element.
[0035] The term "and/or" is used in this disclosure to mean either "and" or "or" unless indicated otherwise.
[0036] The term“optionally substituted” is understood to mean that a given chemical moiety ( e.g ., an alkyl group) can (but is not required to) be bonded other substituents (e.g., heteroatoms). For instance, an alkyl group that is optionally substituted can be a fully saturated alkyl chain (i.e., a pure hydrocarbon). Alternatively, the same optionally substituted alkyl group can have substituents different from hydrogen. For instance, it can, at any point along the chain be bounded to a halogen atom, a hydroxyl group, or any other substituent described herein. Thus the term“optionally substituted” means that a given chemical moiety has the potential to contain other functional groups, but does not necessarily have any further functional groups. Suitable substituents used in the optional substitution of the described groups include, without limitation, halogen, oxo, -OH, -CN, -COOH, -CH2CN, -O-(Ci-Ce) alkyl, (C1-C6) alkyl, Ci-C6 alkoxy,
(Ci-Ce)haloalkyl, C1-C6 haloalkoxy, -0-(C2-Ce) alkenyl, -0-(C2-Ce) alkynyl, (C2-C6) alkenyl, (C2-C6) alkynyl, -OH, -OP(0)(OH)2, -OC(0)(Ci-C6) alkyl, -C(0)(Ci-C6)alkyl,
-0C(0)0(Ci-C6) alkyl, -NH2, -NH((CI-C6) alkyl), -N((Ci-Ce) alkyl)2, -NHC(0)(Ci-C6) alkyl,
-C(0)NH(CI-C6) alkyl, -S(0)2(Ci-C6) alkyl, -S(0)NH(Ci-C6) alkyl, and S(0)N((Ci-C6) alkyl)2. The substituents can themselves be optionally substituted. “Optionally substituted” as used herein also refers to substituted or unsubstituted whose meaning is described below.
[0037] As used herein, the term“substituted” means that the specified group or moiety bears one or more suitable substituents wherein the substituents may connect to the specified group or moiety at one or more positions. For example, an aryl substituted with a cycloalkyl may indicate that the cycloalkyl connects to one atom of the aryl with a bond or by fusing with the aryl and sharing two or more common atoms.
[0038] As used herein, the term“unsubstituted” means that the specified group bears no substituents. [0039] Unless otherwise specifically defined, the term "aryl" refers to cyclic, aromatic hydrocarbon groups that have 1 to 3 aromatic rings, including monocyclic or bicyclic groups such as phenyl, biphenyl or naphthyl. Where containing two aromatic rings (bicyclic, etc.), the aromatic rings of the aryl group may be joined at a single point ( e.g ., biphenyl), or fused (e.g., naphthyl). The aryl group may be optionally substituted by one or more substituents, e.g., 1 to 5 substituents, at any point of attachment. Exemplary substituents include, but are not limited to, - H, -halogen, -O-(Ci-Ce) alkyl, (Ci-Ce) alkyl, -0-(C2-C6) alkenyl, -0-(C2-C6) alkynyl, (C2-Ce) alkenyl, (C2-Ce) alkynyl, -OH, -OP(0)(OH)2, -OC(0)(Ci-C6) alkyl, -C(0)(Ci-C6) alkyl, - 0C(0)0(Ci-C6) alkyl, NH2, NH((CI-C6) alkyl), N((Ci-Ce) alkyl)2, -S(0)2-(Ci-C6) alkyl, - S(0)NH(CI-C6) alkyl, and S(0)N((CI-C6) alkyl)2. The substituents can themselves be optionally substituted. Furthermore when containing two fused rings the aryl groups herein defined may have an unsaturated or partially saturated ring fused with a fully saturated ring. Exemplary ring systems of these aryl groups include, but are not limited to, phenyl, biphenyl, naphthyl, anthracenyl, phenalenyl, phenanthrenyl, indanyl, indenyl, tetrahydronaphthalenyl, tetrahydrobenzoannulenyl, and the like.
[0040] Unless otherwise specifically defined, "heteroaryl" means a monovalent monocyclic aromatic radical of 5 to 24 ring atoms or a polycyclic aromatic radical, containing one or more ring heteroatoms selected from N, O, or S, the remaining ring atoms being C. Heteroaryl as herein defined also means a bicyclic heteroaromatic group wherein the heteroatom is selected from N, O, or S. The aromatic radical is optionally substituted independently with one or more substituents described herein. Examples include, but are not limited to, furyl, thienyl, pyrrolyl, pyridyl, pyrazolyl, pyrimidinyl, imidazolyl, isoxazolyl, oxazolyl, oxadiazolyl, pyrazinyl, indolyl, thiophen-2-yl, quinolyl, benzopyranyl, isothiazolyl, thiazolyl, thiadiazole, indazole, benzimidazolyl, thieno[3,2-b]thiophene, triazolyl, triazinyl, imidazo[l,2-b]pyrazolyl, furo[2,3- c]pyridinyl, imidazo[l,2-a]pyridinyl, indazolyl, pyrrolo[2,3-c]pyridinyl, pyrrolo[3,2-c]pyridinyl, pyrazolo[3,4-c]pyridinyl, thieno[3,2-c]pyridinyl, thieno[2,3-c]pyridinyl, thieno[2,3-b]pyridinyl, benzothiazolyl, indolyl, indolinyl, indolinonyl, dihydrobenzothiophenyl, dihydrobenzofuranyl, benzofuran, chromanyl, thiochromanyl, tetrahydroquinolinyl, dihydrobenzothiazine, dihydrobenzoxanyl, quinolinyl, isoquinolinyl, l,6-naphthyridinyl, benzo[de]isoquinolinyl, pyrido[4,3-b][l,6]naphthyridinyl, thieno[2,3-b]pyrazinyl, quinazolinyl, tetrazolo[l,5-a]pyridinyl, [l,2,4]triazolo[4,3-a]pyridinyl, isoindolyl, pyrrolo[2,3-b]pyridinyl, pyrrolo[3,4-b]pyridinyl, pyrrolo[3,2-b]pyridinyl, imidazo[5,4-b]pyridinyl, pyrrolo[l,2-a]pyrimidinyl, tetrahydro pyrrolo[l,2-a]pyrimidinyl, 3,4-dihydro-2H- 1 Apyrrolo[2, l -b]pyrimidine, dibenzo[b,d] thiophene, pyridin-2-one, furo[3,2-c]pyridinyl, furo[2,3-c]pyridinyl, lH-pyrido[3,4-b][l,4] thiazinyl, benzooxazolyl, benzoisoxazolyl, furo[2,3-b]pyridinyl, benzothiophenyl, 1,5- naphthyridinyl, furo[3,2-b]pyridine, [l,2,4]triazolo[l,5-a]pyridinyl, benzo [l,2,3]triazolyl, imidazo[l,2-a]pyrimidinyl, [l,2,4]triazolo[4,3-b]pyridazinyl, benzo[c][l,2,5]thiadiazolyl, benzo [c] [ 1 ,2, 5] oxadiazole, 1 ,3 -dihydro-2H-benzo [d] imidazol-2-one, 3 ,4-dihydro-2H-pyrazolo [l,5-b][l,2]oxazinyl, 4,5,6,7-tetrahydropyrazolo[l,5-a]pyridinyl, thiazolo[5,4-d]thiazolyl, imidazo[2,l-b][l,3,4]thiadiazolyl, thieno[2,3-b]pyrrolyl, 3H-indolyl, and derivatives thereof. Furthermore when containing two fused rings the aryl groups herein defined may have an unsaturated or partially saturated ring fused with a fully saturated ring. Exemplary ring systems of these heteroaryl groups include indolinyl, indolinonyl, dihydrobenzothiophenyl, dihydrobenzofuran, chromanyl, thiochromanyl, tetrahydroquinolinyl, dihydrobenzothiazine, 3,4- dihydro-lH-isoquinolinyl, 2, 3 -dihydrobenzofuran, indolinyl, indolyl, and dihydrobenzoxanyl.
[0041] Halogen or“halo” refers to fluorine, chlorine, bromine, or iodine.
[0042] Alkyl refers to a straight or branched chain saturated hydrocarbon containing 1-12 carbon atoms. Examples of a (C1-C6) alkyl group include, but are not limited to, methyl, ethyl, propyl, butyl, pentyl, hexyl, isopropyl, isobutyl, sec-butyl, tert-butyl, isopentyl, neopentyl, and isohexyl.
[0043] “Alkoxy” refers to a straight or branched chain saturated hydrocarbon containing 1- 12 carbon atoms containing a terminal“O” in the chain, i.e., -O(alkyl). Examples of alkoxy groups include, without limitation, methoxy, ethoxy, propoxy, butoxy, t-butoxy, or pentoxy groups.
[0044] “Alkenyl” refers to a straight or branched chain unsaturated hydrocarbon containing 2-12 carbon atoms. The“alkenyl” group contains at least one double bond in the chain. The double bond of an alkenyl group can be unconjugated or conjugated to another unsaturated group. Examples of alkenyl groups include ethenyl, propenyl, n-butenyl, iso-butenyl, pentenyl, or hexenyl. An alkenyl group can be unsubstituted or substituted. Alkenyl, as herein defined, may be straight or branched. [0045] “Alkynyl” refers to a straight or branched chain unsaturated hydrocarbon containing 2-12 carbon atoms. The“alkynyl” group contains at least one triple bond in the chain. Examples of alkenyl groups include ethynyl, propargyl, n-butynyl, iso-butynyl, pentynyl, or hexynyl. An alkynyl group can be unsubstituted or substituted.
[0046] The term“alkylene” or“alkylenyl” refers to a divalent alkyl radical. Any of the above mentioned monovalent alkyl groups may be an alkylene by abstraction of a second hydrogen atom from the alkyl. As herein defined, alkylene may also be a C1-C6 alkylene. An alkylene may further be a Ci-C4 alkylene. Typical alkylene groups include, but are not limited to, -CH2-, -CH(CH3)-, -C(CH3)2-, -CH2CH2-, -CH2CH(CH3)-, -CH2C(CH3)2-, -CH2CH2CH2-,
-CH2CH2CH2CH2-, and the like.
[0047] “Cycloalkyl” means monocyclic or polycyclic saturated carbon rings (e.g., fused, bridged, or spiro rings) containing 3-18 carbon atoms (e.g., C3-Cio). Examples of cycloalkyl groups include, without limitations, cyclopropyl, cyclobutyl, cyclopentyl, cyclohexyl, cycloheptanyl, cyclooctanyl, norboranyl, norborenyl, bicyclo[2.2.2]octanyl, or bicyclo [2.2.2] octenyl.
[0048] “Heterocyclyl” or“heterocycloalkyl” means monocyclic or polycyclic rings(e.g., fused, bridged, or spiro rings) containing carbon and heteroatoms taken from oxygen, nitrogen, or sulfur and wherein there is not delocalized p electrons (aromaticity) shared among the ring carbon or heteroatoms. The heterocycloalkyl can be a 3-, 4-, 5-, 6-, 7-, 8-, 9- 10-, 11-, or 12- membered ring. The heterocycloalkyl ring structure may be substituted by one or more substituents. The substituents can themselves be optionally substituted. Examples of heterocyclyl rings include, but are not limited to, oxetanyl, azetadinyl, tetrahydrofuranyl, tetrahydropyranyl, pyrrobdinyl, oxazobnyl, oxazolidinyl, thiazolinyl, thiazobdinyl, pyranyl, thiopyranyl, tetrahydropyranyl, dioxalinyl, piperidinyl, morpholinyl, thiomorpholinyl, thiomorpholinyl S-oxide, thiomorpholinyl S-dioxide, piperazinyl, azepinyl, oxepinyl, diazepinyl, tropanyl, oxazobdinonyl, and homotropanyl. In accordance with the present application, 3- to 10- membered heterocyclyl refers to saturated or partially saturated non aromatic rings structures containing between 3 and 10 atoms in which there is at least one heteroatoms selected from the group N, O, or S. [0049] The term“hydroxyalkyl” means an alkyl group as defined above, where the alkyl group is substituted with one or more -OH groups. Examples of hydroxyalkyl groups include HO-CH2-, HO-CH2-CH2- and CH3-CH(OH)-.
[0050] The term“carboxyalkyl” means an alkyl group as defined above, where the alkyl group is substituted with one or more -COOH groups.
[0051] The term“haloalkyl” as used herein refers to an alkyl group, as defined herein, which is substituted one or more halogen. Examples of haloalkyl groups include, but are not limited to, trifluoromethyl, difluoromethyl, pentafluoroethyl, trichloromethyl, etc.
[0052] The term“haloalkoxy” as used herein refers to an alkoxy group, as defined herein, which is substituted one or more halogen. Examples of haloalkyl groups include, but are not limited to, trifluoromethoxy, difluoromethoxy, pentafluoroethoxy, trichloromethoxy, etc.
[0053] The term“cyano” as used herein means a substituent having a carbon atom joined to a nitrogen atom by a triple bond, i.e., CºN.
[0054] The term“amine” as used herein refers to primary (R-NH2, R ¹ H), secondary (Ra- NH, Rb¹ H) and tertiary (Ra-N, R ¹ H) amines. A substituted amine is intended to mean an amine where at least one of the hydrogen atoms has been replaced by the substituent.
[0055] The term“amino” as used herein means a substituent containing at least one nitrogen atom. Specifically, NH2, -NH(alkyl) or alkylamino, -N(alkyl)2 or dialkylamino, amide-, carbamide-, urea, and sulfamide substituents are included in the term“amino”.
[0056] The term“oxo” as used herein refers to an“=0” group.
[0057] The term "isomer" refers to salts and/or compounds that have the same composition and molecular weight but differ in physical and/or chemical properties. The structural difference may be in constitution (geometric isomers) or in the ability to rotate the plane of polarized light (stereoisomers). With regard to stereoisomers, the salts of Formula (I) may have one or more asymmetric carbon atom and may occur as racemates, racemic mixtures and as individual enantiomers or diastereomers.
[0058] The disclosure also includes pharmaceutical compositions comprising an effective amount of a disclosed salt and a pharmaceutically acceptable carrier. Representative "pharmaceutically acceptable salts" include, e.g., water-soluble and water- insoluble salts, such as the acetate, amsonate (4, 4-diaminostilbene-2, 2-disulfonate), benzenesulfonate, benzonate, bicarbonate, bisulfate, bitartrate, borate, bromide, butyrate, calcium, calcium edetate, camsylate, carbonate, chloride, citrate, clavulariate, dihydrochloride, edetate, edisylate, estolate, esylate, fumerate, fiunarate, gluceptate, gluconate, glutamate, glycollylarsanilate, hexafluorophosphate, hexylresorcinate, hydrabamine, hydrobromide, hydrochloride, hydroxynaphthoate, iodide, isothionate, lactate, lactobionate, laurate, magnesium, malate, maleate, mandelate, mesylate, methylbromide, methylnitrate, methylsulfate, mucate, napsylate, nitrate, N-methylglucamine ammonium salt, 3-hydroxy-2-naphthoate, oleate, oxalate, palmitate, pamoate (l,l-methene-bis- 2-hydroxy-3-naphthoate, einbonate), pantothenate, phosphate/diphosphate, picrate, polygalacturonate, propionate, p-toluenesulfonate, salicylate, stearate, subacetate, succinate, sulfate, sulfosabcylate, suramate, tannate, tartrate, teoclate, tosylate, triethiodide, and valerate salts.
[0059] A "patient" or“subject” is a mammal, e.g., a human, mouse, rat, guinea pig, dog, cat, horse, cow, pig, or non-human primate, such as a monkey, chimpanzee, baboon or rhesus.
[0060] An "effective amount" when used in connection with a salt or pharmaceutical composition is an amount effective for treating or preventing a disease in a subject as described herein.
[0061] The term "carrier", as used in this disclosure, encompasses carriers, excipients, and diluents and means a material, composition or vehicle, such as a liquid or solid filler, diluent, excipient, solvent or encapsulating material, involved in carrying or transporting a pharmaceutical agent from one organ, or portion of the body, to another organ, or portion of the body of a subject.
[0062] The term "treating" with regard to a subject, refers to improving at least one symptom of the subject's disorder. Treating includes curing, improving, or at least partially ameliorating the disorder.
[0063] The term "disorder" is used in this disclosure to mean, and is used interchangeably with, the terms disease, condition, or illness, unless otherwise indicated. [0064] The term "administer", "administering", or "administration" as used in this disclosure refers to either directly administering a disclosed salt or a composition to a subject, or administering a prodrug derivative or analog of the salt or composition to the subject, which can form an equivalent amount of active salt within the subject's body.
Salts of the application
[0065] The present application relates to salts of Formula (I), or enantiomers, stereoisomers, or tautomers thereof, capable of treating or preventing an age-related disorder, which are useful for the treatment of diseases and disorders associated with aging and cellular restoration.
[0066] In one embodiment of the salt of Formula I, J is CN. In another embodiment, J is
Figure imgf000015_0001
[0067] In one embodiment of the salt of Formula I, A is O . In another embodiment, A is NRaRb. In another embodiment, A is NRaORb.
[0068] In some embodiments of the invention, Ra is independently, at each occurrence H, or Ci-C6alkyl. In other embodiments, Ra is H. In other embodiments, Ra is Ci-C6alkyl. In other embodiments, Ra is Ci-C6alkyl substituted with one or more substituents selected from Ci- Cealkyl, C2-G, alkenyl, Cv-Cealkynyl, (Co-C3alkylene)C3-Cscycloakyl, (Co-
C3alkylene)heterocycloalkyl, (Co-C3alkylene)C6-Ci4aryl, or (Co-C3alkylene)heteroaryl. In other embodiments, Ra is Ci-C6alkyl substituted with one or more substituents selected from Ci- Cealkyl. In other embodiments, Ra is Ci-C6alkyl substituted with one or C2-C6alkenyl. In other embodiments, Ra is Ci-C6alkyl substituted with one or more C2-C6alkynyl. In other embodiments, Ra is Ci-C6alkyl substituted with one or more m (Co-C3alkylene)C3-C8cycloakyl. In other embodiments, Ra is Ci-C6alkyl substituted with one or more (Co- C3alkylene)heterocycloalkyl. In other embodiments, Ra is Ci-C6alkyl substituted with one or more (Co-C3alkylene)C6-Ci4aryl. In other embodiments, Ra is Ci-C6alkyl substituted with one or more (Co-C3alkylene)heteroaryl. In other embodiment Ra is methyl. In other embodiment Ra is methyl substituted with one or more substituents selected from Ci-C6alkyl, C2-C6alkenyl, C2- Cealkynyl, (Co-C¾lkylene)0-Cxcycloakyl, (Co-C3alkylene)heterocycloalkyl, (Co- C3alkylene)C6-Ci4aryl, or (Co-C3alkylene)heteroaryl.
[0069] In a further embodiment, R1 is independently H, halogen, OH, Ci-C6alkyl, or Ci- Cealkoxy. In another embodiment, R1 is H. In another embodiment, R1 is halogen. In another embodiment, R1 is OH. In another embodiment, R1 is Ci-C6alkyl. In another embodiment, R1 isCi-C6alkoxy.
[0070] In another embodiment of the salt of Formula I, M1 is a cationic amine. In another embodiment, M1 is a primary ammonium group (Ra-NH3+). In another embodiment, M1 is a secondary ammonium group (Ra-N(Rb)H2+). In another embodiment, M1 is a tertiary ammonium group (Ra-N(Rb)(Rc)H+). In yet another embodiment, M1 is a quaternary ammonium group [(Ra)(Rb)(Rc)(Rd)N+] In one embodiment, Ra, Rb, Rc, and Rd are all independently optionally substituted alkyl, aryl, cycloalkyl, heterocyclyl, or heteroaryl. In one embodiment, the substituted alkyl is a hydroxyalkyl or carboxyalkyl.
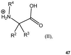
[0071] In another embodiment of the salt of Formula I, M1 is a cationic amine. In another embodiment of the salt of Formula I, M1 is a cationic amino acid. In another embodiment, M1 is a cationic amino acid of Formula II:
Figure imgf000016_0001
[0072] In one embodiment of the salt of Formula I, R2 is H, Ci-C6alkyl, C2-&, alkenyl, C2- Cealkynyl, (Co-C3alkylene)C3-Cscycloakyl, (Co-C3alkylene)heterocycloalkyl, (Co- C3alkylene)C6-Ci4aryl, or (Co-C3alkylene)heteroaryl. In another embodiment, R2 is H. In another embodiment, R2 is Ci-C6alkyl. In another embodiment, R2 is C2-C6alkenyl. In another embodiment, R2 is C2-C6alkynyl. In another embodiment, R2 is (Co-C3alkylene)C3-C8cycloakyl. In another embodiment, R2 is (Co-C3alkylene)heterocycloalkyl. In another embodiment, R3 is (Co-C3alkylene)C6-Ci4aryl. In another embodiment, R2 is (Co-C3alkylene)heteroaryl. In another embodiment, R2 is H. In another embodiment, R2 is Ci-C4alkyl substituted with one or more (Co-C3alkylene)SRc. [0073] In another embodiment, R2 is Ci-C6alkyl substituted with one or more substituents selected from cyano, halo, SeH, (Co-C3alkylene)NRcRd, (Co-C3alkylene)ORc, (Co- C3alkylene)OC(0)Rc, (Co-C3alkylene)C(0)ORc, (Co-C3alkylene)SRc, (Co-C3alkylene)C(0)SRc, (Co-C3alkylene)SC(0)Rc, (Co-C3alkylene)C(0)NRcRd, (Co-C3alkylene)NC(0)NRcRd, (Co- C3alkylene)C(NRc)NRcRd, (Co-C3alkylene)NRcC(NRc)NRcRd, (Co-C3alkylene)P(0)OnRcRd, (Co-C3alkylene)S(0)mNRcRd, (Co-C3alkylene)S(0)mORc, or (Co-C3alkylene)BOPRcRd. In another embodiment, R2 is C2-G, alkenyl substituted with one or more substituents selected from cyano, halo, SeH, (Co-C3alkylene)NRcRd, (Co-C3alkylene)ORc, (Co-C3alkylene)OC(0)Rc, (Co- C3alkylene)C(0)ORc, (Co-C3alkylene)SRc, (Co-C3alkylene)C(0)SRc, (Co-C3alkylene)SC(0)Rc, (Co-C3alkylene)C(0)NRcRd, (Co-C3alkylene)NC(0)NRcRd, (Co-C3alkylene)C(NRc)NRcRd, (Co- C3alkylene)NRcC(NRc)NRcRd, (Co-C3alkylene)P(0)OnRcRd, (Co-C3alkylene)S(0)mNRcRd, (Co- C3alkylene)S(0)mORc, or (Co-C3alkylene)BOPRcRd. In another embodiment, R2 is C^-Cealkynyl substituted with one or more substituents selected from cyano, halo, SeH, (Co- C3alkylene)NRcRd, (Co-C3alkylene)ORc, (Co-C3alkylene)OC(0)Rc, (Co-C3alkylene)C(0)ORc, (Co-C3alkylene)SRc, (Co-C3alkylene)C(0)SRc, (Co-C3alkylene)SC(0)Rc, (Co- C3alkylene)C(0)NRcRd, (Co-C3alkylene)NC(0)NRcRd, (Co-C3alkylene)C(NRc)NRcRd, (Co- C3alkylene)NRcC(NRc)NRcRd, (Co-C3alkylene)P(0)OnRcRd, (Co-C3alkylene)S(0)mNRcRd, (Co- C3alkylene)S(0)m0Rc, or (Co-C3alkylene)BOPRcRd. In another embodiment, R2 is (Co-
C3alkylene)C3-C8cycloakyl substituted with one or more substituents selected from cyano, halo, SeH, (Co-C3alkylene)NRcRd, (Co-C3alkylene)ORc, (Co-C3alkylene)OC(0)Rc, (Co- C3alkylene)C(0)0Rc, (Co-C3alkylene)SRc, (Co-C3alkylene)C(0)SRc, (Co-C3alkylene)SC(0)Rc, (Co-C3alkylene)C(0)NRcRd, (Co-C3alkylene)NC(0)NRcRd, (Co-C3alkylene)C(NRc)NRcRd, (Co- C3alkylene)NRcC(NRc)NRcRd, (Co-C3alkylene)P(0)OnRcRd, (Co-C3alkylene)S(0)mNRcRd, (Co- C3alkylene)S(0)m0Rc, or (Co-C3alkylene)BOPRcRd. In another embodiment, R2 is (Co-
C3alkylene)heterocycloalkyl substituted with one or more substituents selected from cyano, halo, SeH, (Co-C3alkylene)NRcRd, (Co-C3alkylene)ORc, (Co-C3alkylene)OC(0)Rc, (Co- C3alkylene)C(0)0Rc, (Co-C3alkylene)SRc, (Co-C3alkylene)C(0)SRc, (Co-C3alkylene)SC(0)Rc, (Co-C3alkylene)C(0)NRcRd, (Co-C3alkylene)NC(0)NRcRd, (Co-C3alkylene)C(NRc)NRcRd, (Co- C3alkylene)NRcC(NRc)NRcRd, (Co-C3alkylene)P(0)OnRcRd, (Co-C3alkylene)S(0)mNRcRd, (Co- C3alkylene)S(0)m0Rc, or (Co-C3alkylene)BOPRcRd. In another embodiment, R2 is (Co-
C3alkylene)C6-Ci4aryl substituted with one or more substituents selected from cyano, halo, SeH, (Co-C3alkylene)NRcRd, (Co-C3alkylene)ORc, (Co-C3alkylene)OC(0)Rc, (Co-
C3alkylene)C(0)0Rc, (Co-C3alkylene)SRc, (Co-C3alkylene)C(0)SRc, (Co-C3alkylene)SC(0)Rc, (Co-C3alkylene)C(0)NRcRd, (Co-C3alkylene)NC(0)NRcRd, (Co-C3alkylene)C(NRc)NRcRd, (Co- C3alkylene)NRcC(NRc)NRcRd, (Co-C3alkylene)P(0)OnRcRd, (Co-C3alkylene)S(0)mNRcRd, (Co- C3alkylene)S(0)mORc, or (Co-C3alkylene)BOPRcRd. In another embodiment, R2 is (Co- C3alkylene)heteroaryl substituted with one or more substituents selected from cyano, halo, SeH, (Co-C3alkylene)NRcRd, (Co-C3alkylene)ORc, (Co-C3alkylene)OC(0)Rc, (Co-
C3alkylene)C(0)0Rc, (Co-C3alkylene)SRc, (Co-C3alkylene)C(0)SRc, (Co-C3alkylene)SC(0)Rc, (Co-C3alkylene)C(0)NRcRd, (Co-C3alkylene)NC(0)NRcRd, (Co-C3alkylene)C(NRc)NRcRd, (Co- C3alkylene)NRcC(NRc)NRcRd, (Co-C3alkylene)P(0)OnRcRd, (Co-C3alkylene)S(0)mNRcRd, (Co- C3alkylene)S(0)mORc, or (Co-C3alkylene)BOPRcRd.
[0074] In one embodiment of the salt of Formula I, R3 is H, Ci-C6alkyl, C2-&, alkenyl, C2- Cealkynyl, (Co-C3alkylene)C3-C8cycloakyl, (Co-C3alkylene)heterocycloalkyl, (Co- C3alkylene)C6-Ci4aryl, or (Co-C3alkylene)heteroaryl. In another embodiment, R3 is H. In another embodiment, R3 is Ci-C6alkyl. In another embodiment, R3 is C2-C6alkenyl. In another embodiment, R3 is C2-C6alkynyl. In another embodiment, R3 is (Co-C3alkylene)C3-C8cycloakyl. In another embodiment, R3 is (Co-C3alkylene)heterocycloalkyl. In another embodiment, R3 is (Co-C3alkylene)C6-Ci4aryl. In another embodiment, R3 is (Co-C3alkylene)heteroaryl.
[0075] In another embodiment, R3 is Ci-C6alkyl substituted with one or more substituents selected from cyano, halo, SeH, (Co-C3alkylene)NRcRd, (Co-C3alkylene)ORc, (Co- C3alkylene)OC(0)Rc, (Co-C3alkylene)C(0)ORc, (Co-C3alkylene)SRc, (Co-C3alkylene)C(0)SRc, (Co-C3alkylene)SC(0)Rc, (Co-C3alkylene)C(0)NRcRd, (Co-C3alkylene)NC(0)NRcRd, (Co- C3alkylene)C(NRc)NRcRd, (Co-C3alkylene)NRcC(NRc)NRcRd, (Co-C3alkylene)P(0)OnRcRd, (Co-C3alkylene)S(0)mNRcRd, (Co-C3alkylene)S(0)mORc, or (Co-C3alkylene)BOPRcRd. In another embodiment, R3 is C2-C6alkenyl substituted with one or more substituents selected from cyano, halo, SeH, (Co-C3alkylene)NRcRd, (Co-C3alkylene)ORc, (Co-C3alkylene)OC(0)Rc, (Co- C3alkylene)C(0)ORc, (Co-C3alkylene)SRc, (Co-C3alkylene)C(0)SRc, (Co-C3alkylene)SC(0)Rc, (Co-C3alkylene)C(0)NRcRd, (Co-C3alkylene)NC(0)NRcRd, (Co-C3alkylene)C(NRc)NRcRd, (Co- C3alkylene)NRcC(NRc)NRcRd, (Co-C3alkylene)P(0)OnRcRd, (Co-C3alkylene)S(0)mNRcRd, (Co- C3alkylene)S(0)mORc, or (Co-C3alkylene)BOPRcRd. In another embodiment, R3 is C2-C6alkynyl substituted with one or more substituents selected from cyano, halo, SeH, (Co- C3alkylene)NRcRd, (Co-C3alkylene)ORc, (Co-C3alkylene)OC(0)Rc, (Co-C3alkylene)C(0)ORc, (Co-C3alkylene)SRc, (Co-C3alkylene)C(0)SRc, (Co-C3alkylene)SC(0)Rc, (Co- C3alkylene)C(0)NRcRd, (Co-C3alkylene)NC(0)NRcRd, (Co-C3alkylene)C(NRc)NRcRd, (Co- C3alkylene)NRcC(NRc)NRcRd, (Co-C3alkylene)P(0)OnRcRd, (Co-C3alkylene)S(0)mNRcRd, (Co- C3alkylene)S(0)mORc, or (Co-C3alkylene)BOPRcRd. In another embodiment, R3 is (Co- C3alkylene)C3-C8cycloakyl substituted with one or more substituents selected from cyano, halo, SeH, (Co-C3alkylene)NRcRd, (Co-C3alkylene)ORc, (Co-C3alkylene)OC(0)Rc, (Co- C3alkylene)C(0)0Rc, (Co-C3alkylene)SRc, (Co-C3alkylene)C(0)SRc, (Co-C3alkylene)SC(0)Rc, (Co-C3alkylene)C(0)NRcRd, (Co-C3alkylene)NC(0)NRcRd, (Co-C3alkylene)C(NRc)NRcRd, (Co- C3alkylene)NRcC(NRc)NRcRd, (Co-C3alkylene)P(0)OnRcRd, (Co-C3alkylene)S(0)mNRcRd, (Co- C3alkylene)S(0)mORc, or (Co-C3alkylene)BOPRcRd. In another embodiment, R3 is (Co- C3alkylene)heterocycloalkyl substituted with one or more substituents selected from cyano, halo, SeH, (Co-C3alkylene)NRcRd, (Co-C3alkylene)ORc, (Co-C3alkylene)OC(0)Rc, (Co- C3alkylene)C(0)0Rc, (Co-C3alkylene)SRc, (Co-C3alkylene)C(0)SRc, (Co-C3alkylene)SC(0)Rc, (Co-C3alkylene)C(0)NRcRd, (Co-C3alkylene)NC(0)NRcRd, (Co-C3alkylene)C(NRc)NRcRd, (Co- C3alkylene)NRcC(NRc)NRcRd, (Co-C3alkylene)P(0)OnRcRd, (Co-C3alkylene)S(0)mNRcRd, (Co- C3alkylene)S(0)mORc, or (Co-C3alkylene)BOPRcRd. In another embodiment, R3 is (Co- C3alkylene)C6-Ci4aryl substituted with one or more substituents selected from cyano, halo, SeH, (Co-C3alkylene)NRcRd, (Co-C3alkylene)ORc, (Co-C3alkylene)OC(0)Rc, (Co-
C3alkylene)C(0)0Rc, (Co-C3alkylene)SRc, (Co-C3alkylene)C(0)SRc, (Co-C3alkylene)SC(0)Rc, (Co-C3alkylene)C(0)NRcRd, (Co-C3alkylene)NC(0)NRcRd, (Co-C3alkylene)C(NRc)NRcRd, (Co- C3alkylene)NRcC(NRc)NRcRd, (Co-C3alkylene)P(0)OnRcRd, (Co-C3alkylene)S(0)mNRcRd, (Co- C3alkylene)S(0)mORc, or (Co-C3alkylene)BOPRcRd. In another embodiment, R3 is (Co- C3alkylene)heteroaryl substituted with one or more substituents selected from cyano, halo, SeH, (Co-C3alkylene)NRcRd, (Co-C3alkylene)ORc, (Co-C3alkylene)OC(0)Rc, (Co-
C3alkylene)C(0)0Rc, (Co-C3alkylene)SRc, (Co-C3alkylene)C(0)SRc, (Co-C3alkylene)SC(0)Rc, (Co-C3alkylene)C(0)NRcRd, (Co-C3alkylene)NC(0)NRcRd, (Co-C3alkylene)C(NRc)NRcRd, (Co- C3alkylene)NRcC(NRc)NRcRd, (Co-C3alkylene)P(0)OnRcRd, (Co-C3alkylene)S(0)mNRcRd, (Co- C3alkylene)S(0)mORc, or (Co-C3alkylene)BOPRcRd
[0076] In another embodiment, R4 is H or C1-C6 alkyl. In another embodiment, R4 is H. In another embodiment, R4 is C1-C6 alkyl. In another embodiment, R4 is C1-C6 alkyl substituted with one or more substituents selected from cyano, halo, (Co-C3alkylene)NRcRd, or (Co- C3alkylene)ORc. In another embodiment, R4 is H.
[0077] Yet in another embodiment, R2 and R4, together with the atoms to which they are attached, may form a 5-membered ring. In another embodiment, R2 and R4, together with the atoms to which they are attached, may form a 5-membered ring substituted with one or more substituents selected from cyano, halo, (Co-C3alkylene)NRcRd, or (Co-C3alkylene)ORc. In another embodiment, R2and R4, together with the atoms to which they are attached, may form a 6-membered ring. In another embodiment, R2 and R4, together with the atoms to which they are attached, may form a 6-membered ring substituted with one or more substituents selected from cyano, halo, (Co-C3alkylene)NRcRd, or (Co-C3alkylene)ORc.
[0078] In a further embodiment, Rd is independently, at each occurrence, H or Ci-C6alkyl. In another embodiment, Rd is H. In another embodiment, Rd is Ci-C6alkyl. In another embodiment, Rd is Ci-C6alkyl one or more substituents selected from (Co-C3alkylene)C3- C8cycloakyl, (Co-C3alkylene)heterocycloalkyl, (Co-C3alkylene)C6-Ci4aryl, or (Co-
C3alkylene)heteroaryl.
[0079] In a further embodiment, Rc is independently, at each occurrence, H or Ci-C6alkyl. In another embodiment, Rc is H. In another embodiment, Rc is Ci-C6alkyl. In another embodiment, Rc is Ci-C6alkyl one or more substituents selected from (Co-C3alkylene)C3- C8cycloakyl, (Co-C3alkylene)heterocycloalkyl, (Co-C3alkylene)C6-Ci4aryl, or (Co-
C3alkylene)heteroaryl.
[0080] In another embodiment, k at each occurrence is 1, 2, 3, 4, 5, 6, 7, or 8. In another embodiment, k is 1. In another embodiment, k is 2. In another embodiment, k is 3. In another embodiment, k is 4. In another embodiment, k is 5. In another embodiment, k is 6. In another embodiment, k is 7. In another embodiment, k is 8.
[0081] In one embodiment, m is 0, 1, or 2. In another embodiment, m is 0. In another embodiment, m is 1. In another embodiment, m is 2.
[0082] In one embodiment, n is 0, 1, or 2. In another embodiment, n is 0. In another embodiment, n is 1. In another embodiment, n is 2. [0083] In one embodiment, p is 0, 1, or 2. In another embodiment, p is 0. In another embodiment, p is 1. In another embodiment, p is 2.
[0084] In some embodiments of the salt of Formula I, the salt has the structure of Formula la, lb, Ic, or Id:
Figure imgf000021_0001
[0085] In some embodiments of the salt of Formula I, the salt has the structure of Formula Ie, Ig, Ih, Ij, Ik, or II:
Figure imgf000021_0002
[0086] In some embodiments of the salt of Formula I, the salt has the structure of Formula Im, Io, Ip or Iq: :
Figure imgf000022_0001
[0087] In another embodiment, a suitable salt includes, without limitation:
o
Figure imgf000022_0003
Figure imgf000022_0002
Figure imgf000023_0001
Method for Preparation of the salts
[0088] The salts of the present application may be made by a variety of methods, including standard chemistry. Suitable synthetic routes are depicted in the Schemes given below.
[0089] The salts of Formula (I) may be prepared by methods known in the art of organic synthesis as set forth in part by the following synthetic schemes. In the schemes described below, it is well understood that protecting groups for sensitive or reactive groups are employed where necessary in accordance with general principles or chemistry. Protecting groups are manipulated according to standard methods of organic synthesis (T. W. Greene and P. G. M. Wuts, "Protective Groups in Organic Synthesis", Third edition, Wiley, New York 1999). These groups are removed at a convenient stage of the salt synthesis using methods that are readily apparent to those skilled in the art. The selection processes, as well as the reaction conditions and order of their execution, shall be consistent with the preparation of salts of Formula (I).
[0090] Those skilled in the art will recognize if a stereocenter exists in the salts of Formula (I). Accordingly, the present application includes both possible stereoisomers (unless specified in the synthesis) and includes not only racemic salts but the individual enantiomers and/or diastereomers as well. When a compound or salt is desired as a single enantiomer or diastereomer, it may be obtained by stereospecific synthesis or by resolution of the final product or any convenient intermediate. Resolution of the final product, an intermediate, or a starting material may be affected by any suitable method known in the art. See, for example, "Stereochemistry of Organic Compounds" by E. L. Eliel, S. H. Wilen, and L. N. Mander (Wiley-lnterscience, 1994).
[0091] The salts and compounds described herein may be made from commercially available starting materials or synthesized using known organic, inorganic, and/or enzymatic processes.
[0092] The salts of the present application can be prepared in a number of ways well known to those skilled in the art of organic synthesis. By way of example, salts of the present application can be synthesized using the methods described below, together with synthetic methods known in the art of synthetic organic chemistry, or variations thereon as appreciated by those skilled in the art. These methods include but are not limited to those methods described below. Salts of the present application can be synthesized by following the steps outlined in General Scheme 1 Starting materials are either commercially available or made by known procedures in the reported literature or as illustrated.
Scheme 1
Figure imgf000024_0001
[0093] A mixture of enantiomers, diastereomers, cis/trans isomers resulting from the process described above can be separated into their single components by chiral salt technique, chromatography using normal phase, reverse phase or chiral column, depending on the nature of the separation.
[0094] It should be understood that in the description and formula shown above, the groups R in the schemes represent R'as defined above, except where otherwise indicated. Furthermore, for synthetic purposes, the salts of General Scheme 1 are mere representative with elected radicals to illustrate the general synthetic methodology of the salts of Formula (I) as defined herein.
[0095] It is also understood that the salts disclosed herein possess a neutral electrical charge and that the structure of Formula I is only representative of the genus which, if necessary, may be balanced with one or more counterions to allow the salt to present a neutral electrical charge. Such counterions may include, without limitation, bromine, chlorine, and triflates. In one embodiment, the salt of this invention can be generated in situ without the need to isolated from solution. In some embodiments, the salts disclosed herein can be discrete 1 : 1 or 1 :2 salts. In some embodiments, the salts disclosed herein can also exist in other ratios, e.g., 1 : 1.5, 1 :5, or 1 : 10.
Methods of Using the Disclosed Salts
[0096] Another aspect of the present disclosure relates to a method of treating or preventing a disease or disorder associated with aging, cellular degradation, and/or cellular restoration. Non limiting examples of such diseases and disorders include infertility, age related infertility, age-related loss of eye function, reduction in bone density, obesity and insulin insensitivity. In one embodiment, the salts of Formula (I) are useful in the treatment of age related infertility. In another embodiment the salts of Formula (I) are useful in the treatment of fertility.
[0097] Another aspect of the present disclosure relates to a method of treating or preventing an age-related disease or disorder. The method comprises administering to a subject in need thereof a therapeutically effective amount of a pharmaceutical composition of the salt of Formula I. [0098] Yet another aspect of the present disclosure relates to the method of improving oocyte or blastocyst quality and maturation. The method comprises contacting the oocyte or blastocyst for an effective period of time with IVF media comprising a salt of Formula (I).
[0099] In another aspect, the present disclosure provides media containing a salt of Formula (I). The salts of Formula (I) have shown surprising and unexpected prolonged stability in solution and thus are useful in media for exposing eggs, oocytes and/or blastocysts for periods of time necessary for enhancing NAD+ production prior to implantation into a subject suffering from infertility or age-related infertility. In some embodiments, media comprising a salt of Formula (I) is provided. In some embodiments the media comprises the various reagents and factors necessary for the egg, oocyte or blastocyst depending on which stage of maturation and development the egg, oocyte or blastocyst is in. For example, the media can contain any of the agents or factors useful in IVF media listed in Table 1 below:
Table 1
CULTURE MEDIA COMPONENTS
Inorganic salts
Energy substrates
(glucose, pyruvate and lactate)
Essential amino acids
(arginine, cysteine, glutamine, histidine, isoleucine, leucine,
phenylalanine, threonine, tryptophan, tyrosine and
Nonessential amino acids
(alanine, asparagine, aspartate, glycine, glutamate, proli
Chelators
pH indicators
Antibiotic agents
(such as combination of penicillin and streptom
Serum albumin
Vitamins
Figure imgf000026_0001
Growth factors
(insulin or GM-CSF, among others) [00100] Also provided is a cell culture medium for in vitro fertilization comprising: one or more salts of Formula (I) and culturing agents.
[00101] In one embodiment, the culturing agent is an inorganic salt, an energy substrate, an amino acid, a chelator, a pH indicator, an antibiotic, a serum, a vitamin, a growth factor, or any combination thereof. In one embodiment, the inorganic salt is calcium chloride, magnesium chloride, magnesium sulfate, potassium chloride, sodium bicarbonate, sodium chloride, monosodium phosphate, disodium phosphate, or any combination thereof.
[00102] In one embodiment, the energy substrate is glucose, pyruvate, lactate, pyruvate, or any combination thereof.
[00103] In one embodiment, the amino acid is an essential amino acid. In one embodiment, the essential amino acid is arginine, cysteine, glutamine, glycine, histidine, isoleucine, leucine, lysine, methionine, phenylalanine, proline, threonine, tryptophan, tyrosine, valine, or any combination thereof.
[00104] In one embodiment, the amino acid is a non-essential amino acid.
[00105] In one embodiment, the non-essential amino acid is alanine, asparagine, aspartate, glutamate, proline, serine, or any combination thereof.
[00106] In one embodiment, the chelator is clathro chelate, acetyl acetone, amino polycarboxylic acid, ATMP, BAPTA, BDTH2, citric acid, cryptand, deferasirox, 2,3- dihydrobenzoic acid, 2,3-dimercapto-l -propane sulfonic acid, dimercapto succinic acid, DOTA, DTPMP, EDDHA, EDDS, EDTMP, etidronic acid, fura-2, gluconic acid, homocitric acid, imino diacetic acid, Indo-l, nitrile triacetic acid, pentetic acid (DTP A), phosphonate, phytochelati, poly aspartic acid, sodium poly aspartate, trisodium citrate, transferrin, EDTA, EGTA, or any combination thereof.
[00107] In one embodiment, the pH indicator is phenol red, bromothymol blue, alizarin red, 9-aminoacridine, or any combination thereof.
[00108] In one embodiment, the antibiotic is actinomycin D, ampicillin, carbenicillin, cefotaxime, fosmidomycin, gentamicin, kanamycin, neomycin, penicillin, polymyxin B, streptomycin, or any combination thereof. [00109] In one embodiment, the serum is human serum albumin, bovine serum albumin, fetal bovine serum, synthetic serum, or any combination thereof.
[00110] In one embodiment, the vitamin is ascorbic acid, biotin, menadione sodium bisulfite, mitomycin C, pyridoxamine dihydrochloride, retinyl acetate, (-)-riboflavin, (+)-sodium L- ascorbate, (+)-a-tocopherol, vitamin B12, thiamine hydrochloride, i-inositol, pyridoxal hydrochloride, nicotinamide, folic acid, D-calcium pantothenate, choline chloride, or any combination thereof.
[00111] In one embodiment, the growth factor is adrenomedullin, angiopoietin, bone morphogenetic proteins, macrophage colony-stimulating factor (M-CSF), granulocyte colony- stimulating factor (G-CSF), granulocyte macrophage colony-stimulating factor (GM-CSF), epidermal growth factor, ephrins, erythropoietin, gibroblast growth factor, growth differentiation factor-9, hepatocyte growth factor, insulin, insulin-like growth factors, interleukins, keratinocyte growth factor, migration-stimulating factor, macrophage-stimulating protein, myostatin, neurotrophins, t-cell growth factor, thrombopoietin, transforming growth factor, tumor necrosis factor-alpha, vascular endothelial growth factor, or any combination thereof.
[00112] In one embodiment, the cell culture medium further comprises an oocyte, zygote, blastocyst, or any combination thereof
[00113] Also, provided are kits for IVF media comprising various agents, and factors necessary for oocyte or blastocyst maturation including one or more salts of Formula (I). These agents and cofactors can be dissolved in solution to create the IVF media shortly before use in exposing an oocyte or blastocyst prior to implanting into a patient in need of treatment for infertility or age-related infertility.
[00114] The present invention also relates to the use of the salts of Formula I and enantiomers, stereoisomers, and tautomers thereof for the manufacture of medicaments for treating aging, cellular restoration, cellular degradation, or infertility. In certain embodiments the infertility treated is age-related infertility.
[00115] Another aspect of the present invention is a pharmaceutical composition comprising the salt of Formula I and a pharmaceutically acceptable carrier. [00116] Another aspect of the present invention is a pharmaceutical composition comprising the salt of Formula I and a pharmaceutically acceptable carrier comprising therapeutically effective amounts of one or more additional therapeutic agents.
[00117] In some embodiments, administration of a salt of Formula (I) or a pharmaceutical composition comprising a salt of the present invention and a pharmaceutically acceptable carrier induces a change in the cell cycle or cell viability.
[00118] In some embodiments, administration of a salt of Formula (I) or a pharmaceutical composition comprising a salt of the present invention and a pharmaceutically acceptable carrier induces a prophylactic change in the disorder or disease associated with aging.
[00119] Administration of the disclosed salts can be accomplished via any mode of administration for therapeutic agents. These modes include systemic or local administration such as oral, nasal, parenteral, transdermal, subcutaneous, vaginal, buccal, rectal or topical administration modes.
[00120] Depending on the intended mode of administration, the disclosed compositions can be in solid, semi-solid or liquid dosage form, such as, for example, injectables, tablets, suppositories, pills, time-release capsules, elixirs, tinctures, emulsions, syrups, powders, liquids, suspensions, or the like, sometimes in unit dosages and consistent with conventional pharmaceutical practices. Likewise, they can also be administered in intravenous (both bolus and infusion), intraperitoneal, subcutaneous or intramuscular form, and all using forms well known to those skilled in the pharmaceutical arts.
[00121] Pharmaceutical compositions can be prepared according to conventional mixing, granulating or coating methods, respectively, and the present pharmaceutical compositions can contain from about 0.1% to about 99%, from about 5% to about 90%, or from about 1% to about 20% of the disclosed salt by weight or volume.
[00122] In one embodiment, the present invention relates to a method of preparing a pharmaceutical composition of the present invention by mixing at least one pharmaceutically acceptable salt of the present invention, and, optionally, one or more pharmaceutically acceptable carriers, additives, or excipients. [00123] In another embodiment, the present invention relates to a method of preparing a pharmaceutical composition of the present invention by mixing at least one pharmaceutically acceptable salt of the present invention and one or more additional therapeutic agents.
[00124] Effective dosage amounts of the salts of Formula (I), when used in the described methods, range from about 0.5 mg to about 5000 mg of the disclosed salt as needed to treat the condition. Compositions for in vivo or in vitro use can contain about 0.5, 5, 20, 50, 75, 100, 150, 250, 500, 750, 1000, 1250, 2500, 3500, or 5000 mg of the disclosed salt or, in a range of from one amount to another amount in the list of doses. In one embodiment, the compositions are in the form of a tablet that can be scored.
[00125] The dosage regimen utilizing the disclosed salt is selected in accordance with a variety of factors including type, species, age, weight, sex and medical condition of the patient; the severity of the condition to be treated; the route of administration; the renal or hepatic function of the patient; and the particular disclosed salt employed. A physician or veterinarian of ordinary skill in the art can readily determine and prescribe the effective amount of the drug required to prevent, counter or arrest the progress of the condition.
[00126] Illustrative pharmaceutical compositions are tablets and gelatin capsules comprising a salt of the Invention and a pharmaceutically acceptable carrier, such as a) a diluent, e.g., purified water, triglyceride oils, such as hydrogenated or partially hydrogenated vegetable oil, or mixtures thereof, corn oil, olive oil, sunflower oil, safflower oil, fish oils, such as EPA or DHA, or their esters or triglycerides or mixtures thereof, omega-3 fatty acids or derivatives thereof, lactose, dextrose, sucrose, mannitol, sorbitol, cellulose, sodium, saccharin, glucose and/or glycine; b) a lubricant, e.g, silica, talcum, stearic acid, its magnesium or calcium salt, sodium oleate, sodium stearate, magnesium stearate, sodium benzoate, sodium acetate, sodium chloride and/or polyethylene glycol; for tablets also; c) a binder, e.g, magnesium aluminum silicate, starch paste, gelatin, tragacanth, methylcellulose, sodium carboxymethylcellulose, magnesium carbonate, natural sugars such as glucose or beta-lactose, corn sweeteners, natural and synthetic gums such as acacia, tragacanth or sodium alginate, waxes and/or polyvinylpyrrolidone, if desired; d) a disintegrant, e.g., starches, agar, methyl cellulose, bentonite, xanthan gum, algic acid or its sodium salt, or effervescent mixtures; e) absorbent, colorant, flavorant and sweetener; f) an emulsifier or dispersing agent, such as Tween 80, Labrasol, HPMC, DOSS, caproyl 909, labrafac, labrafil, peceol, transcutol, capmul MCM, capmul PG-12, captex 355, gelucire, vitamin E TGPS or other acceptable emulsifier; and/or g) an agent that enhances absorption of the salt such as cyclodextrin, hydroxypropyl-cyclodextrin, PEG400, and/or PEG200.
[00127] For preparing pharmaceutical compositions from the salts of Formula (I), inert, pharmaceutically acceptable carriers can be either solid or liquid. Solid form preparations include powders, tablets, dispersible granules, capsules, cachets and suppositories. The powders and tablets may be comprised of from about 5 to about 95 percent active ingredient. Suitable solid carriers are known in the art, e.g., magnesium carbonate, magnesium stearate, talc, sugar or lactose. Tablets, powders, cachets and capsules can be used as solid dosage forms suitable for oral administration. Examples of pharmaceutically acceptable carriers and methods of manufacture for various compositions may be found in A. Gennaro (ed.), Remington's Pharmaceutical Sciences, 18th Edition, (1990), Mack Publishing Co., Easton, Pa.
[00128] Liquid form preparations include solutions, suspensions and emulsions. For example, water or water- propylene glycol solutions for parenteral injection or addition of sweeteners and opacifiers for oral solutions, suspensions and emulsions. Liquid form preparations may also include solutions for intranasal administration.
[00129] Liquid, particularly injectable, compositions can, for example, be prepared by dissolution, dispersion, etc. For example, the disclosed salt is dissolved in or mixed with a pharmaceutically acceptable solvent such as, for example, water, saline, aqueous dextrose, glycerol, ethanol, and the like, to thereby form an injectable isotonic solution or suspension. Proteins such as albumin, chylomicron particles, or serum proteins can be used to solubilize the disclosed compounds.
[00130] Parental injectable administration is generally used for subcutaneous, intramuscular or intravenous injections and infusions. Injectables can be prepared in conventional forms, either as liquid solutions or suspensions or solid forms suitable for dissolving in liquid prior to injection.
[00131] Aerosol preparations suitable for inhalation may include solutions and solids in powder form, which may be in combination with a pharmaceutically acceptable carrier, such as an inert compressed gas, e.g., nitrogen. [00132] Also included are solid form preparations that are intended to be converted, shortly before use, to liquid form preparations for either oral or parenteral administration. Such liquid forms include solutions, suspensions and emulsions.
Examples
[00133] The disclosure is further illustrated by the following examples and synthesis schemes, which are not to be construed as limiting this disclosure in scope or spirit to the specific procedures herein described. It is to be understood that the examples are provided to illustrate certain embodiments and that no limitation to the scope of the disclosure is intended thereby. It is to be further understood that resort may be had to various other embodiments, modifications, and equivalents thereof which may suggest themselves to those skilled in the art without departing from the spirit of the present disclosure and/or scope of the appended claims.
[00134] The following salts disclosed herein were prepared using the general synthetic methodology including without limitation reagents such as valine, leucine, alanine, isoleucine, methionine, phenylalanine, tryptophan, and tyrosine. Suitable solvents such as methanol, ethanol, water, acetic acid ethylene glycol, isopropanol were also used.
Abbreviations used in the following examples and elsewhere herein are:
AcOH acetic acid
anh. anhydrous
atm atmosphere
aq. aqueous
br broad
Boc tert- butyloxycarbonyl
brine saturated aqueous sodium chloride
«-BuLi «-butyllithium
rz-BuOH «-butanol
Calc’d calculated
CDCb deuterated chloroform
CDI carbonyldiimidazole
Chloroform deuterated chloroform
d doublet dd doublet of doublets
dt doublet of triplets
D2O deuterated water (deuterium oxide)
DCE dichloroethane
DCM dichloromethane
DIAD diisopropyl azodicarboxylate
DIPEA
Figure imgf000033_0001
i sopropy 1 ethy lami ne
DMAc A', A'-di methyl acetamide
DMAP A',A'-dimethylpyridin-4-amine
DME 1 ,2-dimethoxy ethane
DMEDA A', A"-di methyl ethy 1 enedi am i n e
DMF A', A'-dimethylformamide
DMSO dimethyl sulfoxide
DMSO-r/e deuterated dimethyl sulfoxide
EDA ethylenediamine
EDC l-ethyl-3-(3-dimethylaminopropyl)carbodiimide
Et20 diethyl ether
EtOAc ethyl acetate
EtOH ethanol
ESI electrospray ionization
g gram
h hour(s)
H hydrogen
Ή NMR nuclear magnetic resonance (proton nucleus)
HATU [bis(dimethy lamino)methylene] - 1 H- 1 ,2, 3 -triazolo [4, 5 -b]pyridinium 3 - oxide hexafluorophosphate
HBTU 3-[bis(dimethylamino)methylene]-3H-benzotriazol-l -oxide
hexafluorophosphate
HOBt hydroxybenzotriazole
HPLC high pressure (or performance) liquid chromatography
Hz hertz J coupling constant
KHCC potassium bicarbonate
KHMDS potassium hexamethyldisilazide
KOAc potassium acetate
LCMS liquid chromatography mass spectrometry
LHMDS lithium hexamethyldisilazide
[#] M molar concentration
m multiplet
[M+H]+ molecular ion plus hydrogen
[M-tBu+H]+ molecular ion minus /V-butyl plus hydrogen mCPBA /«c a-chloroperoxybenzoic acid
Me2NH dimethylamine
Me4NBr tetramethylammonium bromide
MeCN acetonitrile
MeNH2 methylamine
MeOH methanol
Methanol-6/4 deuterated methanol
2-MeTHF 2-methyl tetrahydrofuran
mg milligram
MHz megahertz
min min
mmol millimole
mL milliliter
MS mass spectrometry
MS ES mass spectrometry electrospray
MS20 methanesulfonic anhydride
MTBE methyl tert- butyl ether
MW microwave
m/z mass-to-charge ratio
mΐ microliter
N 2 nitrogen NaHCC sodium bicarbonate
NaMN nicotinic acid mononucleotide
NIS /V-iodosuccinimide
NMP A'-methyl -2-pyrrol i done
NMR nuclear magnetic resonance
PEPPSI-/Pr [ 1 ,3 -bis(2, 6-diisopropylphenyl)imidazol-2-ylidene] (3 - chloropyridyl)palladium(II) dichloride
PdCb(Amphos) bis(di-/c/7-butyl(4-dimethylaminophenyl)phosphine) dichloropalladium(II)
Pd2(dba)3 tris(dibenzylideneacetone)dipalladium(0)
Pd(OAc)2 palladium(II) acetate
PdCb(dppf) [1,1 '-bis(dipheny lphosphino)ferrocene] dichloropalladium(II) PdCb(MeCN)2 bis(acetonitrile)dichloropalladium(II)
PdCb(PPh3)2 bis(triphenylphosphinepalladium(II) dichloride
Pd(P(Cy)3)2Cb dichlorobis(tricyclohexylphosphine)palladium(II)
Pd(PPh3)4 tetrakis(triphenylphosphine)palladium(0)
Pd( -Bu3P)2 bis(tri-/t77-butylphosphine)palladium(0)
pH potential of hydrogen
PMB 4-methoxybenzyl
PMBC1 4-methoxybenzyl chloride
ppm parts per million
prep preparative
py pyridine
q quartet
qd quartet of doublets
quant. quantitative
quin. quintuplet
quind quintuplet of doublets
RBF round-bottom flask
Rt retention time
rt room temperature s singlet
sat. saturated
sat. aq. saturated aqueous
SEMC1 2-(trimethylsilyl)ethoxymethyl chloride
t triplet
/-BuLi / -butyllithium
td triplet of doublets
TMS trimethylsilyl
TMSC1 trimethylsilyl chloride
tt triplet of triplets
T3P polyphosphonic anhydride
TBAB tetrabutylammonium bromide
TEA triethylamine
TFA trifluoroacetic acid
TFAA trifluoroacetic anhydride
THF tetrahydrofuran
TLC thin layer chromatography
TPPO triphenylphosphine oxide
XantPhos 4,5-bis(diphenylphosphino)-9,9-dimethylxanthene
XPhos 2-dicyclohexylphosphino-2',4',6'-triisopropylbiphenyl
Example 1. Synthesis of Nicotinic acid L- Arginine salt
Figure imgf000036_0001
[00135] A 50 mL 1 N RBF fitted with a water condenser was charged with Nicotinic acid(0.200 g, 1.62 mmol, 1 eq) and 10 ml of distilled deionized water and mixed to form a solution. This solution was cooled using an ice/water bath. To this solution was then added L- Arginine (0.283 g, 1.62 mmol, 1.0 eq.) in one portion. The solution was allowed to stir for 10 minutes. After this addition the pH was ~ 6.0-6.2. The flask was then removed and the colorless solution frozen using liquid nitrogen. While the flask was frozen it was connected to the freeze dryer. Once dried the product is rendered as a colorless to faint yellow solid.
Yield: 510.6 mg (quantitative)
Melting point: 135.2-138.6 °C (degradation, corrected) color change
Analytical data.1H-NMR (400 MHz, D20) d = 8.97 (s, 1H), 8.64 (m, 1H), 8.30 (m, 1H), 7.57 (dd, 1H), 3.70 (t, 1H), 3.25 (t, 2H), 2.00-1.60 (m, 4H) ppm
Example 2. Synthesis of Nicotinic acid L-glutamic acid salt
Figure imgf000037_0001
1-002
[00136] A 100 mL 1 N RBF fitted with a water condenser was charged with Nicotinic acid(0.200 g, 1.62 mmol, 1 eq) and 50 ml of distilled deionized water and mixed to form a solution. This solution was cooled using an ice/water bath. To this solution was then added in one portion L-glutamic acid solution (0.239 g, 1.62 mmol, 1.0 eq.). The solution was allowed to stir for 10 minutes. After this addition the pH was ~ 2.8-3.3. The flask was then removed and the colorless solution frozen using liquid nitrogen. While the flask was frozen it was connected to the freeze dryer. Once dried the product is rendered as a colorless to faint yellow solid.
Yield: 431.2 mg (quantitative)
Melting point: 215.3-218.9 °C (degradation, corrected) color change
Analytical data.1H-NMR (400 MHz, D2O) d = 9.15 (d, 1H), 8.95 (dt, 1H), 8.87 (s, 1H), 8.11 (dd, 1H), 3.82 (t, 1H), 2.59 (m, 2H), 2.18 (m, 2H) ppm Example 3. Synthesis of (S)-l-Carboxy-2-(lH-imidazol-4-yl)ethanaminium nicotinate
Figure imgf000038_0001
[00137] A 50 mL 1 N RBF fitted with a water condenser was charged with Nicotinic acid(0.200 g, 1.62 mmol, 1 eq) and 15 ml of distilled deionized water and mixed to form a solution. This solution was cooled using an ice/water bath. To this solution was then added L- histidine (0.252 g, 1.62 mmol, 1.0 eq.) in one portion. The solution was allowed to stir for 10 minutes. After this addition the pH was ~ 5.5-5.8. The flask was then removed and the colorless solution frozen using liquid nitrogen. While the flask was frozen it was connected to the freeze dryer. Once dried the product is rendered as a colorless to faint yellow solid.
Yield: 462.4 mg (quantitative)
Melting point: 224.3-228. l°C (degradation, outgassing, corrected) color change
Analytical data.1H-NMR (400 MHz, D20) d = 8.98 (s, 1H), 8.68 (m, 1H), 8.51 (s, 1H), 8.39 (m, 1H), 7.64 (m, 1H), 7.34 (s, 1H), 4.03 (t, 1H), 3.32 (m, 2H) ppm
Example 4. Synthesis of (S)-2-Carboxypyrrolidin-l-ium nicotinate
Figure imgf000038_0002
1-004
[00138] A 50 mL 1 N RBF fitted with a water condenser was charged with Nicotinic acid(0.200 g, 1.62 mmol, 1 eq) and 15 ml of distilled deionized water and mixed to form a solution. This solution was cooled using an ice/water bath. To this solution was then added L- proline (0.187 g, 1.62 mmol, 1.0 eq.) in one portion. Slight heating was required to solubilize all material. The solution was allowed to stir for 10 minutes. After this addition the pH was ~ 3.3- 3.9. The flask was then removed and the colorless solution frozen using liquid nitrogen. While the flask was frozen it was connected to the freeze dryer. Once dried the product is rendered as a colorless to faint yellow solid.
Yield: 364.7 mg (quantitative)
Melting point: 149.6 -153.8 °C (degradation, outgassing, corrected) color change
Analytical data.1H-NMR (400 MHz, D20) d = 9.15 (d, 1H), 8.93 (dt, 1H), 8.86 (d, 1H), 8.11 (dd, 1H), 4.15 (m, 1H), 3.50-3.30 (m, 2H), 2.40 (m, 1H), 2.20-2.00 (m, 3H) ppm
Example 5. Synthesis of (S)-l-Carboxy-2-methylpropan-l-aminium nicotinate
Figure imgf000039_0001
1-005
[00139] A 50 mL 1 N RBF fitted with a water condenser was charged with Nicotinic acid(0.200 g, 1.62 mmol, 1 eq) and 15 ml of distilled deionized water and mixed to form a solution. This solution was cooled using an ice/water bath. To this solution was then added L- valine (0.190 g, 1.62 mmol, 1.0 eq.) in one portion. The solution was allowed to stir for 10 minutes. After this addition the pH was ~ 3.3-3.9. The flask was then removed and the colorless solution frozen using liquid nitrogen. While the flask was frozen it was connected to the freeze dryer. Once dried the product is rendered as a colorless solid.
Yield: 390.8 mg (quantitative)
Melting point: 242.1-246.6 °C (degradation, outgassing, corrected) color change
Analytical data.1H-NMR (400 MHz, D2O) d = 9.14 (d, 1H), 8.93 (dt, 1H), 8.86 (d, 1H), 8.10 (dd, 1H), 3.64 (d, 1H), 2.30 (m, 1H), 1.10-0.98 (2 x d, 6H) ppm Example 6. Synthesis of (S)-l-Carboxy-2-(lH-indol-3-yl)ethanaminium nicotinate
Figure imgf000040_0001
1-006
[00140] A 50 mL 1 N RBF fitted with a water condenser was charged with Nicotinic acid(0.200 g, 1.62 mmol, 1 eq) and 10 ml of distilled deionized water and mixed to form a solution. This solution was cooled using an ice/water bath. To this solution was then added L- tryptophan (0.332 g, 1.62 mmol, 1.0 eq.) in one portion, slight heating was required to solubilize all materials. The solution was allowed to stir for 10 minutes. After this addition the pH was ~ 3.3-3.9. The flask was then removed and the colorless solution frozen using liquid nitrogen. While the flask was frozen it was connected to the freeze dryer. Once dried the product is rendered as a colorless to yellow solid.
Yield: 526.3 mg (quantitative)
Melting point: 200 °C (discoloration) 238-240 °C (degradation, outgassing, corrected) color change
Analytical data.1H-NMR (400 MHz, D20) d = 9.08 (s, 1H), 8.87 (dt, 1H), 8.79 (d, 1H), 8.04 (dd, 1H), 7.72 (d, 1H), 7.52 (d, 1H), 7.32 (s, 1H), 7.28 (t, 1H), 7.19 (t, 1H), 4.08 (dd, 1H), 3.48 (dd, 1H), 3.32 (dd, 1H) ppm
Example 7. Synthesis of 2-Hydroxy-N,N,N-trimethylethanaminium nicotinate
Figure imgf000040_0002
1-007
[00141] A 50 mL 1 N RBF fitted with a water condenser was charged with Nicotinic acid(0.200 g, 1.62 mmol, 1 eq) and 10 ml of distilled deionized water and mixed to form a solution. This solution was cooled using an ice/water bath. To this solution was then added slowly 0.98 ml of 20 % choline hydroxide solution (0.98 ml, 1.62 mmol, 1.0 eq). The solution was allowed to stir for 10 minutes. After this addition the pH was ~ 9.0. The flask was then removed and the colorless solution frozen using liquid nitrogen. While the flask was frozen it was connected to the freeze dryer. Once dried the product is rendered as a faint brown hygroscopic solid.
Yield: 368.3 mg (quantitative)
Analytical data. ¾-NMR (400 MHz, D2O) d = 8.95 (s, 1H), 8.61 (dt, 1H), 8.24 (dt, 1H), 7.52 (dd, 1H), 4.06 (m, 2H), 3.51 (m, 2H), 3.18 (s, 9H) ppm
Example 8. Synthesis of (R)-3-Carboxy-2-hydroxy-N,N,N-trimethylpropan-l-aminium nicotinate
Figure imgf000041_0001
1-008
[00142] A 50 mL 1 N RBF fitted with a water condenser was charged with Nicotinic acid(0.200 g, 1.62 mmol, 1 eq) and 10 ml of distilled deionized water and mixed to form a solution. This solution was cooled using an ice/water bath. To this solution was then added L- carnitine in one portion (0.262 g, 1.62 mmol, 1.0 eq). The solution was allowed to stir for 10 minutes. After this addition the pH was ~ 3.3 -3.9. The flask was then removed and the colorless solution frozen using liquid nitrogen. While the flask was frozen it was connected to the freeze dryer. Once dried the product is rendered as a colorless hygroscopic solid.
Yield: 478.6 mg (quantitative)
Melting point: 75.6-78.4 °C (melted on loading into capillary)
Analytical data. ¾-NMR (400 MHz, D20) d = 9.10 (s, 1H), 8.79 (m, 2H), 7.98 (t, 1H), 4.61 (p, 1H), 3.44 (m, 2H), 3.24 (s, 9H), 2.51 (d, 2H) ppm Example 9. Synthesis of (S)-l-Carboxy-3-(methylthio)propan-l-aminium nicotinate
Figure imgf000042_0001
[00143] A 50 mL 1 N RBF fitted with a water condenser was charged with Nicotinic acid(0.200 g, 1.62 mmol, 1 eq) and 10 ml of distilled deionized water and mixed to form a solution. This solution was cooled using an ice/water bath. To this solution was then added L- methionine in one portion (0.242 g, 1.62 mmol, 1.0 eq). The solution was allowed to stir for 10 minutes. After this addition the pH was ~ 2.8-3.3. The flask was then removed and the colorless solution frozen using liquid nitrogen. While the flask was frozen it was connected to the freeze dryer. Once dried the product is rendered as a colorless solid.
Yield: 448.5 mg (quantitative)
Melting point: 217.8-224.4 °C (degradation)
Analytical data. 1H-NMR (400 MHz, D20) d = 9.14 (s, 1H), 8.92 (dt, 1H), 8.86 (d, 1H), 8. l l(dd, 1H), 3.40 (t, 1H), 2.67 (t, 2H), 2.30-2.10 (s +m, 5H) ppm
Example 10. Synthesis of (lS,2S)-l-Carboxy-2-methylbutan-l-aminium nicotinate
Figure imgf000042_0002
[00144] A 50 mL 1 N RBF fitted with a water condenser was charged with Nicotinic acid(0.200 g, 1.62 mmol, 1 eq) and 10 ml of distilled deionized water and mixed to form a solution. This solution was cooled using an ice/water bath. To this solution was then added L- isoleucine in one portion (0.213 g, 1.62 mmol, 1.0 eq), slight heating was required to solvate all reactants. The solution was allowed to stir for 10 minutes. After this addition the pH was ~ 2.3- 3.3. The flask was then removed and the colorless solution frozen using liquid nitrogen. While the flask was frozen it was connected to the freeze dryer. Once dried the product is rendered as a colorless solid.
Yield: 419.3 mg (quantitative)
Melting point: 215.3-233.2 °C (degradation)
Analytical data.1H-NMR (400 MHz, D20) d = 9.14 (s, 1H), 8.92 (dt, 1H), 8.85 (d, 1H), 8.10 (dd, 1H), 3.71 (d, 1H), 2.00 (m, 1H), 1.50 (m, 1H), 1.30 (m, 1H), 1.04 (d, 3H), 0.95 (t, 3H) ppm
Example 11. Synthesis of (R)-l-Carboxy-2-methylpropan-l-aminium nicotinate
Figure imgf000043_0001
1-011
[00145] A 50 mL 1 N RBF fitted with a water condenser was charged with Nicotinic acid(0.200 g, 1.62 mmol, 1 eq) and 10 ml of distilled deionized water and mixed to form a solution. This solution was cooled using an ice/water bath. To this solution was then added D- Valine in one portion (0.190 g, 1.62 mmol, 1.0 eq). The solution was allowed to stir for 10 minutes. After this addition the pH was ~ 3.3-3.9. The flask was then removed and the colorless solution frozen using liquid nitrogen. While the flask was frozen it was connected to the freeze dryer. Once dried the product is rendered as a colorless solid.
Yield: 391.5 mg (quantitative)
Melting point: 217.6-219.9 °C (degradation)
Analytical data.1H-NMR (400 MHz, D2O) d = 9.14 (d, 1H), 8.92 (dt, 1H), 8.85 (d, 1H), 8.10 (dd, 1H), 3.64 (d, 1H), 2.30 (m, 1H), 1.10-1.00 (2 x d, 6H) ppm Example 12. Synthesis of (lS,2S)-l-Carboxy-2-methylbutan-l-aminium nicotinate
Q
Figure imgf000044_0001
[00146] A 50 mL 1 N RBF fitted with a water condenser was charged with Nicotinic acid(0.200 g, 1.62 mmol, 1 eq) and 10 ml of distilled deionized water and mixed to form a solution. This solution was cooled using an ice/water bath. To this solution was then added n- butylamine in one portion (0.119 g, 0.161 ml, 1.62 mmol, 1.0 eq). The solution was allowed to stir for 10 minutes. After this addition the pH was ~ 7.0-7.2. The flask was then removed and the colorless solution frozen using liquid nitrogen. While the flask was frozen it was connected to the freeze dryer. Once dried the product is rendered as an opaque oil.
Yield: 318.1 mg (quantitative)
Melting point: not observed as product is an opaque oil
Analytical data. 1H-NMR (400 MHz, D20) d = 8.95 (d, 1H), 8.62 (dd, 1H), 8.29 (dt, 1H), 7.55 (dd, 1H), 3.00 (t, 2H), 1.64 (p, 1H), 1.39 (p, 1H), 0.93 (t, 3H) ppm
Example 13. (S)-l-Carboxy-3-methylbutan-l-aminium nicotinate
Figure imgf000044_0002
[00147] A 50 mL 1 N RBF fitted with a water condenser and internal thermometer was charged with Nicotinic acid (0.200 g, 1.62 mmol, 1 eq) and 10 ml of distilled deionized water and mixed to form a solution. This solution was cooled using an ice/water bath. To this solution was then added L-leucine in one portion (0.213 g, 1.62 mmol, 1.0 eq), slight heating was required to solvate all reactants. The solution was allowed to stir for 10 minutes. After this addition the pH was ~ 2.3-3.3. The flask was then removed and the colorless solution frozen using liquid nitrogen. While the flask was frozen it was connected to the freeze dryer. Once dried the product is rendered as a colorless solid.
Example 14. Synthesis of Nicotinic acid compound with (R)-5-((S)-l,2-dihydroxyethyl)-3,4- dihydroxyfuran-2(5H)-one (1:1)
Figure imgf000045_0001
(1-014)
[00148] A 50 mL 1 N RBF fitted with a water condenser was charged with Nicotinic acid(0.200 g, 1.62 mmol, 1 eq) and 10 ml of distilled deionized water and mixed to form a solution. This solution was cooled using an ice/water bath. To this solution was then added L- Ascorbic acid in one portion (0.288 g, 1.62 mmol, 1.0 eq). The solution was allowed to stir for 10 minutes. After this addition the pH was ~ 2.8-3.0. The flask was then removed and the colorless solution frozen using liquid nitrogen. While the flask was frozen it was connected to the freeze dryer. Once dried the product is rendered as a colorless solid.
Yield: 416.2 mg (quantitative)
Melting point: 186.3-188.9 °C (degradation)
Analytical data.1H-NMR (400 MHz, D20) d = 9.16 (s, 1H), 8.95 (dt, 1H), 8.87 (d, 1H), 8.12 (dd, 1H), 4.09 (dt, 1H), 3.77 (m, 2H) ppm Example 15. Synthesis of Nicotinamide compound with (R)-5-((S)-l,2-dihydroxyethyl)-3,4- dihydroxyfuran-2(5H)-one
Figure imgf000046_0001
(1-015)
[00149] A 50 mL 1 N RBF fitted with a water condenser was charged with Nicotinamide(0.200 g, 1.64 mmol, 1 eq) and 10 ml of distilled deionized water and mixed to form a solution. This solution was cooled using an ice/water bath. To this solution was then added L- Ascorbic acid in one portion (0.289 g, 1.64 mmol, 1.0 eq). After this addition the pH was ~ 3.3-3.9. The flask was then removed and the colorless solution frozen using liquid nitrogen. While the flask was frozen it was connected to the freeze dryer. Once dried the product is rendered as a colorless solid.
Yield: 461.5 mg (quantitative)
Melting point: 142.2-143.9 °C (degradation)
Analytical data.1H-NMR (400 MHz, D20) d = 9.03 (d, 1H), 8.80 (dd, 1H), 8.46 (dt, 1H), 7.78 (dd, 1H), 4.88 (d, 1H), 4.09 (dt,lH), 3.81-3.73 (m, 2H) ppm.
Example 16. NAD Cell Assays
[00150] NAD levels were assayed based on the NAD cycling method of Zhu and Rand, PLoS One (2012), herein incorporated by reference. COV434 cells were maintained in 6 well plates and treated with the indicated compounds at a concentration of 200 uM for 4 hr. Media was removed, plates were washed in cold PBS and cells were scraped down in NAD extraction buffer containing 10 mM nicotinamide, 50 mM Tris HC1, 0.1% Triton X-100. Cells were homogenized by sonication for 5 seconds, and samples were centrifuged at 7,000 g for 5 min at 4 degrees. Aliquots were taken for later protein assay, and samples were then passed through 10 kDa amicon filters at 14,000 g, 30 min at 4 degrees to remove proteins from the sample. Each sample was measured in technical triplicate, with 25 pL sample added to 100 pL ADH cycling mix (0.2 mg/ml alcohol dehydrogenase enzyme, 2% ethanol, 100 mM Tris pH 8.5). Samples were allowed to cycle for 10 min at room temperature, followed by 50 pL addition of an MTT/PMS solution (0.1 mM phenazine methosulfate, 0.8 mM 3-(4,5-Dimethylthiazol-2-yl)-2,5- diphenyltetrazolium bromide), 100 mM Tris-HCl pH 8.5). Plates were then incubated for 15 min and absorbance was measured at 570 nM. NAD concentrations were extrapolated from a standard curve, and normalized to protein concentrations determined by BCA protein assay.
[00151] The results of the assay described above are shown in Table 2 (below). The fold increase of NAD activity adjusted by molecular weight is obtained through a direct comparison on a mole per mole between the compared salt and its parent counterpart (NAR or NR).
Table 2:
Figure imgf000047_0001
Equivalents
[00152] Those skilled in the art will recognize, or be able to ascertain, using no more than routine experimentation, numerous equivalents to the specific embodiments described specifically herein. Such equivalents are intended to be encompassed in the scope of the following claims.

Claims

What is claimed is:
1. A salt of F ormula (I) :
Figure imgf000048_0001
or an enantiomer, stereoisomer, or tautomer thereof
wherein
Figure imgf000048_0002
A is NRaRb, NRORb, or 0 ;
X is O, S, or NH;
M1 is a cationic amine;
R1 is independently H, halogen, OH, NFb, Cl-C6alkyl, or Ci-C6alkoxy;
Ra and Rb are independently, at each occurrence, H or Ci-C6alkyl, wherein the alkyl is optionally substituted with one or more substituents selected from (Co-C3alkylene)C3- C8cycloalkyl, (Co-C3alkylene)heterocycloalkyl, (Co-C3alkylene)C6-Ci4aryl, or (Co- C3alkylene)heteroaryl; and
k is an integer from 1 to 3.
The salt of claim 1, wherein A is 0 .
The salt of claim 1 , wherein A is NRaRb.
The salt of claim 3, wherein Ra is H.
The salt of claim 3, wherein Ra is methyl.
The salt of any one of claims 1 to 5, wherein M1 is a cationic amino acid of Formula (II):
Figure imgf000048_0003
wherein
R2 and R3 are independently, at each occurrence, H or Ci-C6alkyl, CT-G, alkenyl, C2- Cealkynyl, (Co-C3alkylene)C3-C8cycloalkyl, (Co-C3alkylene)heterocycloalkyl, (Co- C3alkylene)C6-Ci4aryl, or (Co-C3alkylene)heteroaryl, wherein the alkyl, alkenyl, alkynyl, alkylene, cycloalkyl, heterocycloalkyl, aryl, or heteroaryl is optionally substituted with one or more substituents selected from cyano, halo, SeH, (Co-C3alkylene)NRcRd, (Co-C3alkylene)ORc, (Co-C3alkylene)OC(0)Rc, (Co-C3alkylene)C(0)ORc, (Co-C3alkylene)SRc, (Co- C3alkylene)C(0)SRc, (Co-C3alkylene)SC(0)Rc, (Co-C3alkylene)C(0)NRcRd, (Co- C3alkylene)NC(0)NRcRd, (Co-C3alkylene)C(NRc)NRcRd, (Co-C3alkylene)NRcC(NRc)NRcRd, (Co-C3alkylene)P(0)OnRcRd, (Co-C3alkylene)S(0)mNRcRd, (Co-C3alkylene)S(0)mORc, or (Co- C3alkylene)BOPRcRd;
R4 is H or Ci-C6alkyl, wherein the alkyl is optionally substituted with one or more substituents selected from cyano, halo, (Co-C3alkylene)NRcRd, or (Co-C3alkylene)ORc,
or R3 and R4, together with the atoms to which they are attached, form a 5- to 6- membered ring optionally substituted with one or more substituents selected from cyano, halo, (Co-C3alkylene)NRcRd, or (Co-C3alkylene)ORc; and
Rc, and Rd are independently, at each occurrence, H or Ci-C6alkyl, wherein the alkyl is optionally substituted with one or more substituents selected from (Co-C3alkylene)C3- C8cycloalkyl, (Co-C3alkylene)heterocycloalkyl, (Co-C3alkylene)C6-Ci4aryl, or (Co- C3alkylene)heteroaryl; and
m, n, and p are independently, at each occurrence, 0, 1, or 2.
7. The salt of claim 6, wherein R2 is H.
8. The salt of claim 6 or 7, wherein R4 is H.
9. The salt of any one of claims 6 to 8, wherein R3 is H.
10. The salt of any one of claims 6 to 8, wherein R3 is Ci-C4alkyl, (Co-C3alkylene)C6-
Cwaryl, or (Co-C3alkylene)heteroaryl, or Ci-C4alkyl substituted with one or more (Co- C3alkylene)SRc.
11. The salt of claim 10, wherein R3 is Ci-C4alkyl
Figure imgf000050_0001
13. The salt of any one of claims 1 to 12, wherein R1 is H.
14. The salt of any one of claims 1 to 13, wherein X is O.
15. The salt of any one of claims 1 to 13, wherein X is S.
16. The salt of any one of claims 1 to 13, wherein X is NH.
17. The salt of any one of claims 1 to 14, wherein X is O and A is O-.
18. The salt of any one of claims 1 to 14, wherein X is O and A is NRaRb. 19. A salt selected from the group consisting of:
Figure imgf000050_0002
Figure imgf000051_0001
,
20. A pharmaceutical composition comprising a salt of any one of claims 1 to 19 and a pharmaceutically acceptable carrier.
21. A method of treating or preventing an age-related infertility comprising administering to a subject in need thereof, an effective amount of a salt of any one of claims 1 to 19 or the composition of claim 20.
22. A method of treating or preventing infertility comprising administering to a subject in need thereof, an effective amount of a salt of Formula (I), or enantiomer, stereoisomer, or tautomer thereof:
Figure imgf000052_0001
wherein
Figure imgf000052_0002
A is NRaRb, NRaORb, or 0 ;
X is O, S, or NH;
M1 is a cationic amine, ascorbic acid, or erythorbic acid;
R1 is independently H, halogen, OH, NH2, C1-C6 alkyl, or Ci-C6 alkoxy;
Ra and Rb are independently, at each occurrence, H or Ci-C6alkyl, wherein the alkyl is optionally substituted with one or more substituents selected from (Co-C3alkylene)C3- C8cycloalkyl, (Co-C3alkylene)heterocycloalkyl, (Co-C3alkylene)C6-Ci4aryl, or (Co- C3alkylene)heteroaryl; and
k is an integer from 1 to 3 ,
or the composition of claim 20.
23. A method of improving oocyte or blastocyst quality comprising contacting the oocyte or blastocyst with an effective amount of a salt of Formula (I), or enantiomer, stereoisomer, or tautomer thereof:
Figure imgf000052_0003
wherein
Figure imgf000052_0004
A is NRaRb, NRaORb, or 0 ;
X is O, S, or NH;
M1 is a cationic amine, ascorbic acid, or erythorbic acid;
R1 is independently H, halogen, OH, NH2, C1-C6 alkyl, or Ci-C6 alkoxy;
Ra and Rb are independently, at each occurrence, H or Ci-C6alkyl, wherein the alkyl is optionally substituted with one or more substituents selected from (Co-C3alkylene)C3- C8cycloalkyl, (Co-C3alkylene)heterocycloalkyl, (Co-C3alkylene)C6-Ci4aryl, or (Co- C3alkylene)heteroaryl; and
k is an integer from 1 to 3,
or the composition of claim 20 prior to implantation into a subject in need of treatment of age- related infertility.
24. A method of improving oocyte or blastocyst maturation comprising contacting the oocyte or blastocyst with an effective amount of a salt of Formula (I), or enantiomer, stereoisomer, or tautomer thereof:
Figure imgf000053_0001
wherein
Figure imgf000053_0002
A is NRaRb, NRORb, or 0 ;
X is O, S, or NH;
M1 is a cationic amine, ascorbic acid, or erythorbic acid;
R1 is independently H, halogen, OH, NH2, C1-C6 alkyl, or Ci-C6 alkoxy;
Ra and Rb are independently, at each occurrence, H or Ci-C6alkyl, wherein the alkyl is optionally substituted with one or more substituents selected from (Co-C3alkylene)C3- C8cycloalkyl, (Co-C3alkylene)heterocycloalkyl, (Co-C3alkylene)C6-Ci4aryl, or (Co- C3alkylene)heteroaryl; and
k is an integer from 1 to 3, or the composition of claim 20 prior to implantation into a subject in need of treatment of age- related infertility.
25. The method of claims 23 or 24 wherein the oocyte or blastocyst is cultured in an IVF media containing the salt.
26. Use of a salt of any one of claims 1 to 19 in the manufacture of a medicament for treating an age-related disorder.
27. Use of a salt of any one of claims 1 to 19 in the manufacture of a medicament for treating infertility.
28. Use of a salt of any one of claims 1 to 19 in the manufacture of a medicament for treating age related infertility.
29. A cell culture medium for in vitro fertilization comprising:
a compound selected from any one of claims 1-19; and
culturing agents.
30. The cell culture medium of claim 29, wherein the culturing agent is an inorganic salt, an energy substrate, an amino acid, a chelator, a pH indicator, an antibiotic, a serum, a vitamin, a growth factor, or any combination thereof.
31. The cell culture medium of claim 30, wherein the inorganic salt is calcium chloride, magnesium chloride, magnesium sulfate, potassium chloride, sodium bicarbonate, sodium chloride, monosodium phosphate, disodium phosphate, or any combination thereof.
32. The cell culture medium of claim 30, wherein the energy substrate is glucose, pyruvate, lactate, pyruvate, or any combination thereof.
33. The cell culture medium of claim 30, wherein the amino acid is an essential amino acid.
34. The cell culture medium of claim 33, wherein the essential amino acid is arginine, cysteine, glutamine, glycine, histidine, isoleucine, leucine, lysine, methionine, phenylalanine, proline, threonine, tryptophan, tyrosine, valine, or any combination thereof.
35. The cell culture medium of claim 30, wherein the amino acid is a non-essential amino acid.
36. The cell culture medium of claim 35, wherein the non-essential amino acid is alanine, asparagine, aspartate, glutamate, proline, serine, or any combination thereof.
37. The cell culture medium of claim 30, wherein the chelator is clathro chelate, acetyl acetone, amino polycarboxylic acid, ATMP, BAPTA, BDTH2, citric acid, cryptand, deferasirox, 2,3-dihydrobenzoic acid, 2,3-dimercapto-l-propane sulfonic acid, dimercapto succinic acid, DOTA, DTPMP, EDDHA, EDDS, EDTMP, etidronic acid, fura-2, gluconic acid, homocitric acid, imino diacetic acid, Indo-l, nitrile triacetic acid, pentetic acid (DTP A), phosphonate, phytochelati, poly aspartic acid, sodium poly aspartate, trisodium citrate, transferrin, EDTA, EGTA, or any combination thereof.
38. The cell culture medium of claim 30, wherein the pH indicator is phenol red,
bromothymol blue, alizarin red, 9-aminoacridine, or any combination thereof.
39. The cell culture medium of claim 30, wherein the antibiotic is actinomycin D, ampicillin, carbenicillin, cefotaxime, fosmidomycin, gentamicin, kanamycin, neomycin, penicillin, polymyxin B, streptomycin, or any combination thereof.
40. The cell culture medium of claim 30, wherein the serum is human serum albumin, bovine serum albumin, fetal bovine serum, synthetic serum, or any combination thereof.
PCT/US2019/0447002018-08-012019-08-01Salts of nicotinic acid and nicotinamide as anti-aging agentsCeasedWO2020028684A1 (en)

Applications Claiming Priority (2)

Application NumberPriority DateFiling DateTitle
US201862713042P2018-08-012018-08-01
US62/713,0422018-08-01

Publications (1)

Publication NumberPublication Date
WO2020028684A1true WO2020028684A1 (en)2020-02-06

Family

ID=67614720

Family Applications (1)

Application NumberTitlePriority DateFiling Date
PCT/US2019/044700CeasedWO2020028684A1 (en)2018-08-012019-08-01Salts of nicotinic acid and nicotinamide as anti-aging agents

Country Status (1)

CountryLink
WO (1)WO2020028684A1 (en)

Cited By (2)

* Cited by examiner, † Cited by third party
Publication numberPriority datePublication dateAssigneeTitle
CN116410148A (en)*2023-04-042023-07-11山东达因海洋生物制药股份有限公司Dila Luo Siyan amide eutectic, preparation method and application thereof
WO2023150072A1 (en)2022-02-012023-08-10Sinclair David ACompositions and methods for the preservation of plant matter

Citations (12)

* Cited by examiner, † Cited by third party
Publication numberPriority datePublication dateAssigneeTitle
FR1263895A (en)*1960-05-021961-06-19 Process for preparing betaine nicotinate
FR1442318A (en)*1963-11-221966-06-17Takeda Chemical Industries Ltd Process for obtaining new lysine betaines
ES373432A1 (en)*1969-10-291972-01-16Miquel S A LabProcedure for the preparation of new derivatives of the acid range-trimethylamine - beta - hydroxibutirico with therapeutic properties. (Machine-translation by Google Translate, not legally binding)
RU2152210C1 (en)*1996-10-282000-07-10Александров Валерий ПавловичMethod for treating male infertility
US20050048008A1 (en)*2003-08-292005-03-03Bioderm ResearchAntiaging Cosmetic Delivery Systems
WO2007044693A2 (en)*2005-10-072007-04-19The University Of AlabamaMulti-functional ionic liquid compositions
WO2013002880A1 (en)*2011-06-292013-01-03The General Hospital CorporationCompositions and methods for enhancing bioenergetic status in female germ cells
EP2589382A1 (en)*2010-06-292013-05-08Liaoning Sebest Pharmaceutical Co., Ltd.Pharmaceutical composition comprising levocarnitine and dobesilate
JP2013092598A (en)*2011-10-252013-05-16Sumitomo Chemical Co LtdResist composition
GB2502607A (en)*2012-06-012013-12-04Univ Leuven KathProcess for the preparation of ionic liquids
CN103159632B (en)*2013-02-282015-03-11南京大学Ionic liquid compound with anion containing double Lewis base functional groups, preparation method thereof and application thereof
EP2929879A1 (en)*2014-04-072015-10-14Gonadosan GmbHCombination preparation for treating infertility which is associated to endometriosis

Patent Citations (12)

* Cited by examiner, † Cited by third party
Publication numberPriority datePublication dateAssigneeTitle
FR1263895A (en)*1960-05-021961-06-19 Process for preparing betaine nicotinate
FR1442318A (en)*1963-11-221966-06-17Takeda Chemical Industries Ltd Process for obtaining new lysine betaines
ES373432A1 (en)*1969-10-291972-01-16Miquel S A LabProcedure for the preparation of new derivatives of the acid range-trimethylamine - beta - hydroxibutirico with therapeutic properties. (Machine-translation by Google Translate, not legally binding)
RU2152210C1 (en)*1996-10-282000-07-10Александров Валерий ПавловичMethod for treating male infertility
US20050048008A1 (en)*2003-08-292005-03-03Bioderm ResearchAntiaging Cosmetic Delivery Systems
WO2007044693A2 (en)*2005-10-072007-04-19The University Of AlabamaMulti-functional ionic liquid compositions
EP2589382A1 (en)*2010-06-292013-05-08Liaoning Sebest Pharmaceutical Co., Ltd.Pharmaceutical composition comprising levocarnitine and dobesilate
WO2013002880A1 (en)*2011-06-292013-01-03The General Hospital CorporationCompositions and methods for enhancing bioenergetic status in female germ cells
JP2013092598A (en)*2011-10-252013-05-16Sumitomo Chemical Co LtdResist composition
GB2502607A (en)*2012-06-012013-12-04Univ Leuven KathProcess for the preparation of ionic liquids
CN103159632B (en)*2013-02-282015-03-11南京大学Ionic liquid compound with anion containing double Lewis base functional groups, preparation method thereof and application thereof
EP2929879A1 (en)*2014-04-072015-10-14Gonadosan GmbHCombination preparation for treating infertility which is associated to endometriosis

Non-Patent Citations (29)

* Cited by examiner, † Cited by third party
Title
"Remington's Pharmaceutical Sciences", 1990, MACK PUBLISHING CO.
BITTERMAN, K. J. ET AL., J. BIOL. CHERM., vol. 277, 2002, pages 45099 - 45107
BOGAN & BRENNER, ANNU. REV. NUTR., vol. 28, 2008, pages 115 - 130
BOGAN, K. L.BRENNER, C., ANNU. REV. NU/R., vol. 28, 2008, pages 15 - 130
BRONKOWSKI, M.S.SINCLAIR, D., NAT. REV. MOLE. CELL. BIO., vol. 17, 2016, pages 679 - 690
CHRISTOPHER R. MARTENS ET AL., IVAT. COMMUN., vol. 9, 2018, pages 1286
CHRISTOPHER R. MARTENS ET AL., NAT. COMMUN., vol. 9, 2018, pages 1286
DATABASE CA [online] CHEMICAL ABSTRACTS SERVICE, COLUMBUS, OHIO, US; HAUPTMANN, SIEGFRIED ET AL: "Chemistry of (2-chloroethyl)trimethylammonium chloride", XP002794920, retrieved from STN Database accession no. 1970:11971*
DATABASE CA [online] CHEMICAL ABSTRACTS SERVICE, COLUMBUS, OHIO, US; MARRERO-PONCE, YOVANI ET AL: "Atom, atom-type, and total nonstochastic and stochastic quadratic fingerprints: a promising approach for modeling of antibacterial activity", XP002794919, retrieved from STN Database accession no. 2005:244333*
DATABASE CA [online] CHEMICAL ABSTRACTS SERVICE, COLUMBUS, OHIO, US; SIMON, I. B.: "Synthesis of salts of heterocyclic acids with quaternary ammonium bases. I. Salts of nicotinic acid with ammonium bases", XP002794918, retrieved from STN Database accession no. 1955:4936*
E. L. ELIELS. H. WILENL. N. MANDER: "Stereochemistry of Organic Compounds", 1994, WILEY-LNTERSCIENCE
FREDERICK, D. W. ET AL., CELL METAB, vol. 24, 2016, pages 269 - 282
GUAN, X. ET AL., PLOS ONE, vol. 9, 2014, pages e107729
HAUPTMANN, SIEGFRIED ET AL: "Chemistry of (2-chloroethyl)trimethylammonium chloride", JOURNAL FUER PRAKTISCHE CHEMIE (LEIPZIG) , 311(5), 705-11 CODEN: JPCEAO; ISSN: 0021-8383, 1969*
J ORG ET AL: "Molecular Associations of Acetylcholine", J. AM. CHEM. SOC. HELV. CHEM. ACTA, 1 January 1979 (1979-01-01), pages 19341 - 3, XP055630931, Retrieved from the Internet <URL:https://pubs.acs.org/doi/pdf/10.1021/jo01332a032>*
KATRINA L. BOGANCHARLES BRENNER: "Nicotinic Acid, Nicotinamide and Nicotinamide Riboside: A Molecular Evaluation of NAD+ Precursor Vitamins in Nutritions", ANNUAL REVIEW OF NUTRITION, vol. 28, 2008, pages 115, XP055461560, doi:10.1146/annurev.nutr.28.061807.155443
L CAMPANELLA ET AL: "Liquid-membrane lon-selective Electrode Using Nicotinate*", 1 January 1977 (1977-01-01), pages 723 - 730, XP055630925, Retrieved from the Internet <URL:https://pubs.rsc.org/en/content/articlepdf/1977/an/an9770200723>*
LI ET AL., SCIENCE, vol. 355, 2017, pages 1312 - 1317
MACKAY, D.HATHCOCK, J.GUARNERI, E., NUTR. REV., vol. 70, 2012, pages 357 - 366
MARRERO-PONCE, YOVANI ET AL: "Atom, atom-type, and total nonstochastic and stochastic quadratic fingerprints: a promising approach for modeling of antibacterial activity", BIOORGANIC & MEDICINAL CHEMISTRY , 13(8), 2881-2899 CODEN: BMECEP; ISSN: 0968-0896, 2005, DOI: 10.1016/J.BMC.2005.02.015 10.1016/J.BMC.2005.02.015*
MELDRUM DRCASPER RFDIEZ-JUAN ASIMON CDOMAR ADFRYDMAN R: "Aging and the environment affect gamete and embryo potential: can we intervene?", FERTIL STERIL, vol. 105, 2016, pages 548 - 59, XP029449938, doi:10.1016/j.fertnstert.2016.01.013
MOUCHIROUD ET AL., CELL, vol. 154, 2014, pages 464 - 471
NELSON SMTELFER EEANDERSON RA: "The ageing ovary and uterus: new biological insights", HUM REPROD UPDATE, vol. 19, 2013, pages 67 - 83, XP055584984, doi:10.1093/humupd/dms043
SIMON, I. B.: "Synthesis of salts of heterocyclic acids with quaternary ammonium bases. I. Salts of nicotinic acid with ammonium bases", SBORNIK STATEI PO OBSHCHEI KHIMII , 1, 672-6 CODEN: 19HMAJ, 1953*
T. W. GREENEP. G. M. WUTS: "Protective Groups in Organic Synthesis", 1999, WILEY
TRAMMELL, S, A. ET AL., NAT. COMMUN., vol. 7, 2016, pages 12948
WILDING M.: "Potential long-term risks associated with maternal aging (the role of the mitochondria", FERTIL STERIL, vol. 103, 2015, pages 1397 - 401, XP029210170, doi:10.1016/j.fertnstert.2015.03.034
YOSHINO, J. ET AL., CELL METAB, vol. 14, 2011, pages 528 - 536
ZHURAND, PLOS ONE, 2012

Cited By (2)

* Cited by examiner, † Cited by third party
Publication numberPriority datePublication dateAssigneeTitle
WO2023150072A1 (en)2022-02-012023-08-10Sinclair David ACompositions and methods for the preservation of plant matter
CN116410148A (en)*2023-04-042023-07-11山东达因海洋生物制药股份有限公司Dila Luo Siyan amide eutectic, preparation method and application thereof

Similar Documents

PublicationPublication DateTitle
US20230234981A1 (en)Inorganic salts of nicotinic acid mononucleotide as anti-aging agents
AU2019271198B2 (en)Amino acid salts of nicotinic acid mononucleotide and nicotinamide mononucleotide as anti-ageing agents
AU2025204733A1 (en)Quaternary ammonium salts of nicotinic acid and nicotinamide mononucloetides and ribosides as anti-aging agents
AU2024278368A1 (en)Amino acid salts of nicotinic acid ribosides as anti-aging agents
WO2020028684A1 (en)Salts of nicotinic acid and nicotinamide as anti-aging agents
US10654883B2 (en)Inorganic salts of nicotinic acid mononucleotide as anti-aging agents
KR20250150670A (en)Quaternary ammonium salts of nicotinic acid and nicotinamide mononucloetides and ribosides as anti-aging agents

Legal Events

DateCodeTitleDescription
121Ep: the epo has been informed by wipo that ep was designated in this application

Ref document number:19752878

Country of ref document:EP

Kind code of ref document:A1

NENPNon-entry into the national phase

Ref country code:DE

122Ep: pct application non-entry in european phase

Ref document number:19752878

Country of ref document:EP

Kind code of ref document:A1


[8]ページ先頭

©2009-2025 Movatter.jp