Movatterモバイル変換


[0]ホーム

URL:


WO2020014306A1 - Met antibodies and immunoconjugates and uses thereof - Google Patents

Met antibodies and immunoconjugates and uses thereof
Download PDF

Info

Publication number
WO2020014306A1
WO2020014306A1PCT/US2019/041128US2019041128WWO2020014306A1WO 2020014306 A1WO2020014306 A1WO 2020014306A1US 2019041128 WUS2019041128 WUS 2019041128WWO 2020014306 A1WO2020014306 A1WO 2020014306A1
Authority
WO
WIPO (PCT)
Prior art keywords
seq
ala
antibody
immunoconjugate
met
Prior art date
Legal status (The legal status is an assumption and is not a legal conclusion. Google has not performed a legal analysis and makes no representation as to the accuracy of the status listed.)
Ceased
Application number
PCT/US2019/041128
Other languages
French (fr)
Other versions
WO2020014306A8 (en
Inventor
Stuart William HICKS
Katharine C. LAI
Current Assignee (The listed assignees may be inaccurate. Google has not performed a legal analysis and makes no representation or warranty as to the accuracy of the list.)
Immunogen Inc
Original Assignee
Immunogen Inc
Priority date (The priority date is an assumption and is not a legal conclusion. Google has not performed a legal analysis and makes no representation as to the accuracy of the date listed.)
Filing date
Publication date
Application filed by Immunogen IncfiledCriticalImmunogen Inc
Publication of WO2020014306A1publicationCriticalpatent/WO2020014306A1/en
Publication of WO2020014306A8publicationCriticalpatent/WO2020014306A8/en
Anticipated expirationlegal-statusCritical
Ceasedlegal-statusCriticalCurrent

Links

Classifications

Definitions

Landscapes

Abstract

MET is a receptor tyrosine kinase found on the surface of tumor cells. The present invention includes anti-MET antibodies, forms and fragments, having superior physical and functional properties; immunoconjugates, compositions, diagnostic reagents, methods for inhibiting growth, therapeutic methods, improved antibodies and cell lines; and polynucleotides, vectors and genetic constructs encoding same.

Description

MET ANTIBODIES AND IMMUNOCONJUGATES AND USES THEREOF
REUATED APPUI CATIONS
[01] This application claims the benefit of the filing date, under 35 U.S.C. § 119(e), of U.S. Provisional Application No. 62/695,906, filed on July 10, 2018, and U.S. Provisional Application No. 62/823,264, filed on March 25, 2019. The entire contents of each of the above-referenced applications are incorporated herein by reference.
BACKGROUND OF THE INVENTION
[02] MET, also known as c-Met, HGFR, RCCP2 or AUTS9, is a glycosylated receptor tyrosine kinase that plays a central role in epithelial morphogenesis and cancer development. It is also referred to as the hepatocyte growth factor or HGF receptor, the scatter factor or SF receptor, the met proto-oncogene tyrosine kinase or proto-oncogene c-Met.
[03] MET is synthesized as a single chain precursor which undergoes co-translational proteolytic cleavage. This generates a mature MET that is a disulfide-linked dimer composed of a 50 kDa extracellular a chain and a 145 kDa transmembrane b chain (Birchmeier, C. et al. Nat. Rev. Mol. Cell Biol. 2003; 4:915; Corso, S. et al. Trends Mol. Med. 2005; 11:284). The extracellular domain (ECD) contains a seven bladed b-propeller sema domain, a cysteine-rich PS I/MRS domain, and four Ig-like E-set domains, while the cytoplasmic region includes the tyrosine kinase domain and an adaptor protein docking site (Gherardi, E. et al. Proc. Natl. Acad. Sci. 2003; 100:12039, Park, M. et al. Proc. Natl. Acad. Sci. 1987; 84:6379). The sema domain, which is formed by both the a and b chains of MET, mediates both ligand binding and receptor dimerization (Gherardi, E. et al. Proc. Natl. Acad. Sci. 2003; 100:12039, Kong- Beltran, M. et al. Cancer Cell 2004; 6:75).
[04] Hepatocyte growth factor (HGF) is the ligand for MET (Gheradi, E. et al. Proc. Natl. Acad. Sci. 2003; 100:12039). HGF is also known as scatter factor (SF) and hepatopoietin A and it belongs to the plasminogen subfamily of Sl peptidases. Human HGF is produced and secreted as an inactive 728 amino acid (AA) single chain propeptide. It is cleaved after the fourth Kringle domain by a serine protease to form the active form of HGF, which is a disulfide-linked heterodimer with a 60 kDa a and 30 kDa b chain. [05] HGF regulates epithelial morphogenesis by inducing cell scattering and branching tubulogenesis (Maeshima, A. et al. Kid. Int. 2000; 58:1511; Montesano, R. et al. Cell 1991; 67:901). Thus the interaction between MET and HGF plays an important role during mammalian development, tissue growth and repair. However, inappropriate activation of MET can also support tumor cell proliferation and invasion, drive tumor associated angiogenesis and therefore has been implicated in the formation and progression of several types of cancers.
[06] Aberrant signaling by MET can be the result of multiple mechanisms including ligand-independent activation such as through MET overexpression or MET activating mutations and ligand-dependent activation in either paracrine or autocrine manner. Paracrine induction of epithelial cell scattering and branching tubulogenesis results from the stimulation of MET on undifferentiated epithelium by HGF released from neighboring mesenchymal cells (Sonnenberg, E. et al. J. Cell Biol. 1993; 123:223). Autocrine induction is a result of HGF production by MET positive cells.
[07] Dimerization of the MET receptor in the presence or absence of ligand induces tyrosine phosphorylation in the cytoplasmic region, which in turn activates the kinase domain and provides docking sites for multiple SH2 containing molecules (Naldini, L. et al. Mol. Cell. Biol. 1991; 11:1793, Ponzetto, C. et al. Cell 1994; 77:261). This results in activation of downstream signaling pathways involving key signal transducers such as Src, MAPK, PI3K and Akt.
[08] MET may also form non-covalent complexes with a variety of membrane proteins including CD44v6, CD151, EGF R, Fas, Integrin a6/b4, Plexins Bl, 2, 3, and MSP R/Ron (Orian Rousseau, V. et al. Genes Dev. 2002; 16:3074; Follenzi, A. et al. Oncogene 2000; 19:3041). Ligation of one complex component triggers activation of the other, followed by cooperative signaling effects. Formation of some of these heteromeric complexes can lead to epithelial cell morphogenesis and tumor cell invasion (Trusolino, L. et al. Cell 2001;
107:643, Giordano, S. et al. Nat. Cell Biol. 2002; 4:720). More recently, activation of the MET pathway has been seen as mechanism of resistance to EGFR inhibitors (Engelman J.A. et al. Science 2001; 316: 1039-1043).
[09] Numerous studies have implicated aberrant function of the receptor tyrosine kinase MET in the progression and metastasis of human carcinoma including in pancreatic cancer, gastric cancer, prostate cancer, ovarian cancer, breast cancer, hepatocellular carcinoma (HCC), melanoma, osteosarcoma, and colorectal cancer (CRC), lung cancer including small- cell lung cancer (SCLC) and non-small cell lung cancer (NSCLC), head and neck squamous cell carcinoma (HNSCC), kidney cancer and thyroid cancer.
[10] Gene amplification events, activating mutations in the kinase domain, genetic polymorphisms, chromosomal translocation, overexpression, and additional splicing and proteolytic cleavage of MET have been described in a wide range of cancers (Birchmeier, C. et al. Nat. Rev. Mol. Cell Biol. 2003; 4:915). Notably, activating mutations in MET leading to constitutive activation have been identified in patients with hereditary papillary renal cancer, directly implicating MET in human tumorigenesis (Nat. Genet. 1997;16:68-73).
[11] In addition, overexpression of both MET receptor and HGF ligand has been documented in cancers such as HNSCC (Cancer Res 2009;69(7):302l-3l), lung cancer (Oncology 1996; 53:392-7), gastric cancer (Apmis 2000;108:195-200), pancreatic cancer (Cancer Res 1994 5775-8; Jin, Cancer Res 2008; 68:4360-8) and osteosarcoma (Oncogene 1995;10:739-49). Co-expression of MET receptor and HGF ligand by the same cell or tissue can lead to autocrine signaling and aberrant receptor activation.
[12] Several small molecule inhibitors of MET have been developed in recent years and are currently being tested in clinical trials (for review see: Comoglio PM. et ah, Nat Rev Drug Discov 2008; 7, 504-516, Eder JP. et al. Clin Cancer Res 2009; 15: 2207-2214, Wang MH et al., Acta Pharmacologica Sinica 2010; 31: 1181-1188). Another strategy has been to develop neutralizing antibodies to HGF or HGF antagonists to prevent ligand-dependent activation of MET.
[13] The development of therapeutic antibodies against MET has been very difficult since antibodies that compete for HGF-binding typically result in MET receptor dimerizing and therefore act as agonists (Prat M, et al. J Cell Sci 1998; 111 (Pt 2), 237-247). For example an anti-MET antibody, known as 5D5, was described that blocks HGF binding to MET and acts as a potent agonist in divalent antibody form (Schwall, US 5,686,292). In response, 5D5 was engineered to be monovalent in either a Fab version or in a one armed version (OA5D5) and then behaves as an antagonist (Dennis, US 7,476,724). The one armed version was selected for further development in clinical trials and was termed MetMab (Jin H, et al. Cancer Res 2008; 68, 4360-4368). However, this one armed version cannot be considered a full antibody but rather represents an antibody fragment with undesirable properties including a diminished effector function and a reduced half-life.
[14] Other antibodies have been described that can block HGF binding to MET (Morton P.A. US 2004/0166544 and WO 2005/016382). Other anti-MET antibodies, such as 11E1, 224G11, 223C4 and 227H1 disclosed in WO 2009/007427 (Goetsch L.), were selected to prevent MET receptor dimerization.
[15] Antibody-drug conjugates (ADC), are a type of immunoconjugate that comprise a cytotoxic agent covalently linked to an antibody through specialized chemical linker. The use of ADCs for the local delivery of cytotoxic or cytostatic agents, for example, drugs to kill or inhibit tumor cells in the treatment of cancer (see Syrigos and Epenetos (1999) Anticancer Research 19:605-614; Niculescu-Duvaz and Springer (1997) Adv. Drug Del. Rev. 26:151- 172; U.S. Pat. No. 4,975,278) allows targeted delivery of the drug moiety to tumors, and intracellular accumulation therein, where systemic administration of these unconjugated drug agents may result in unacceptable levels of toxicity to normal cells as well as the tumor cells sought to be eliminated (Baldwin et ah, (1986) Lancet pp. (Mar. 15, l986):603-05; Thorpe, (1985) "Antibody Carriers Of Cytotoxic Agents In Cancer Therapy: A Review," in
Monoclonal Antibodies '84: Biological And Clinical Applications, A. Pinchera et al. (eds.), pp. 475-506). Maximal efficacy with minimal toxicity is sought. Both polyclonal antibodies and monoclonal antibodies have sometimes been reported as being useful in this regard. (See Rowland et ah, (1986) Cancer Immunol. Immunother., 21:183-87). Drugs that are known to be used in this fashion include daunomycin, doxorubicin, methotrexate, and vindesine (Rowland et ah, Cancer Immunol. Immunother. 21:183-87 (1986)). Toxins used in antibody- toxin conjugates include bacterial toxins such as diphtheria toxin, plant toxins, such as ricin, small molecule toxins such as geldanamycin. Kerr et al (1997) Bioconjugate Chem. 8(6):78l- 784; Mandler et al (2000) Journal of the Nat. Cancer Inst. 92(19): 1573-1581; Mandler et al (2000) Bioorganic & Med. Chem. Letters 10: 1025-1028; Mandler et al (2002) Bioconjugate Chem. 13:786-791), maytansinoids (EP 1391213; Liu et al., (1996) Proc. Natl. Acad. Sci. USA 93:8618-8623), and calicheamicin (Lode et al (1998) Cancer Res. 58:2928;
Hinman et al. (1993) Cancer Res. 53:3336-3342. Toxins may exert cytotoxic and/or cytostatic effects through diverse mechanisms including tubulin binding, DNA binding, or topoisomerase inhibition. Meyer, D. L. and Senter, P. D. "Recent Advances in Antibody Drug Conjugates for Cancer Therapy" in Annual Reports in Medicinal Chemistry, Vol 38 (2003) Chapter 23, 229-237. But many cytotoxic drugs tend to be inactive or less active when conjugated to large antibodies or protein receptor ligands.
[16] Thus, there continues to be a need for the development of improved and superior c-Met targeted therapeutic agents, including antibodies or antibody fragments that exhibit specificity, reduced toxicity, stability and enhanced physical and functional properties over known therapeutic agents. The instant invention addresses those needs. SUMMARY OF THE INVENTION
[17] The present invention provides anti-MET immunoconjugates exhibiting specific and potent cytotoxic activity in MET over-expressed, non-amplified and MET-amplifed settings.
[18] Reference will now be made in detail to certain aspects of the invention, examples of which are illustrated in the accompanying structures and formulas. While the invention will be described in conjunction with the enumerated aspects, it will be understood that they are not intended to limit the invention to those aspects. On the contrary, the invention is intended to cover all alternatives, modifications, and equivalents that may be included within the scope of the present invention as defined by the claims. One skilled in the art will recognize many methods and materials similar or equivalent to those described herein, that can be used in the practice of the present invention.
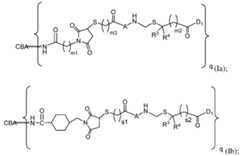
[19] In one aspect, the present invention provides an immunoconjugate represented by the following formula:
Figure imgf000006_0001
or a pharmaceutically acceptable salt thereof, wherein:
CB is an anti-cMET antibody or an antigen-binding fragment thereof; L2 is represented by one of the following formula:
Figure imgf000006_0002
Figure imgf000007_0001
wherein:
Rx, Ry, Rx and Ry. for each occurrence, are independently H, -OH, halogen, -0-(Ci_4 alkyl), -S03H, -NR4oR4iR42+, or a C alkyl optionally substituted with -OH, halogen, SO3H or NR4oR4iR42+, wherein R4o, R4I and R42 are each independently H or a Ci_4 alkyl;
I and k are each independently an integer from 1 to 10;
II is an integer from 2 to 5;
kl is an integer from 1 to 5; and
sl indicates the site connected to the cell-binding agent CB and s3 indicates the site connected to the A group;
A is an amino acid residue or a peptide comprising 2 to 20 amino acid residues;
R 1 and R 2 are each independently H or a Ci_3alkyl;
Li is represented by the following formula:
-CR3R4-(CH2)i_8-C(=0)- wherein R3 and R4 are each independently H or Me, and the -C(=0)- moiety in Li is connected to D;
D is represented by the following formula:
Figure imgf000007_0002
q is an integer from 1 to 20.
[20] In certain embodiments, the anti-cMET antibody or an antigen-binding fragment is an isolated monoclonal antibody, or antigen-binding fragment thereof, that specifically binds to an epitope in the extracellular region of human cMET, wherein said antibody or antigen binding fragment thereof comprises light chain complementary determining regions LC CDR1, LC CDR2, and LC CDR3 and heavy chain complementary determining regions HC CDR1, HC CDR2, and HC CDR3 having the sequences selected from the group consisting of:
(a) SEQ ID NOs:4, 5, and 7 and SEQ ID NOs:l3, 14, and 15, respectively;
(b) SEQ ID NOs:l, 2, and 3 and SEQ ID NOs:8, 9, and 10, respectively;
(c) SEQ ID NOs:l, 2, and 3 and SEQ ID NOs: 8, 12, and 10, respectively;
(d) SEQ ID NOs:4, 5, and 6 and SEQ ID NOs: 13, 14, and 15, respectively;
(e) SEQ ID NOs:4, 5, and 6 and SEQ ID NOs: 13, 17, and 15, respectively;
(f) SEQ ID NOs:4, 5, and 7 and SEQ ID NOs: 13, 17, and 15, respectively; and
(g) SEQ ID NOs:4, 5, and 117 and SEQ ID NOs: 13, 17, and 15, respectively.
[21] In certain embodiments, the antibody is a murine, non-human mammal, chimeric, humanized, or human antibody. In certain embodiments, the humanized antibody is a CDR- grafted antibody or resurfaced antibody. In certain embodiments, the antibody is a full-length antibody.
[22] In certain embodiments, the antigen-binding fragment is an Fab, Fab’, F(ab’)2, Fd, single chain Fv or scFv, disulfide linked Fv, V-NAR domain, IgNar, intrabody, IgGACH2, minibody, F(ab’)3, tetrabody, triabody, diabody, single-domain antibody, DVD-Ig, Fcab, mAb2, (SCFV)2, or scFv-Fc.
[23] In certain embodiments, the antibody or antigen-binding fragment thereof comprises a light chain variable domain (VL) and a heavy chain variable domain (VH) having sequences that are at least 95%, 96%, 97%, 98%, 99%, or 100% identical to sequences selected from the group consisting of:
(a) SEQ ID NO:32 and SEQ ID NO:36, respectively;
(b) SEQ ID NO: 18 and SEQ ID NO: 19, respectively;
(c) SEQ ID NO:20 and SEQ ID NO:2l, respectively;
(d) SEQ ID NO:22 and SEQ ID NO:23, respectively;
(e) SEQ ID NO:24 and SEQ ID NO:25, respectively;
(f) SEQ ID NO:26 and SEQ ID NO:27, respectively;
(g) SEQ ID NO:28 and SEQ ID NO:3l, respectively;
(h) SEQ ID NO:29 and SEQ ID NO:3l, respectively;
(i) SEQ ID NO:30 and SEQ ID NO:3l, respectively;
(j) SEQ ID NO:32 and SEQ ID NO:35, respectively;
(k) SEQ ID NO:32 and SEQ ID NO:36, respectively;
(l) SEQ ID NO:33 and SEQ ID NO:36, respectively;
(m) SEQ ID NO:33 and SEQ ID NO:35, respectively; and (n) SEQ ID NO:33 and SEQ ID NO:34, respectively.
[24] In certain embodiments, the antibody or antigen-binding fragment thereof comprises a light chain and a heavy chain having the sequences selected from the group consisting of:
(a) SEQ ID NO:49 and SEQ ID NO:54, respectively;
(b) SEQ ID NO:39 and SEQ ID NO:40, respectively;
(c) SEQ ID NO:4l and SEQ ID NO:42, respectively;
(d) SEQ ID NO:43 and SEQ ID NO:44, respectively;
(e) SEQ ID NO:45 and SEQ ID NO:48, respectively;
(f) SEQ ID NO:46 and SEQ ID NO:48, respectively;
(g) SEQ ID NO:47 and SEQ ID NO:48, respectively;
(h) SEQ ID NO:49 and SEQ ID NO:53, respectively;
(i) SEQ ID NO:49 and SEQ ID NO:52, respectively;
(j) SEQ ID NO:49 and SEQ ID NO:5l, respectively;
(k) SEQ ID NO:50 and SEQ ID NO:53, respectively;
(l) SEQ ID NO:50 and SEQ ID NO:52, respectively;
(m) SEQ ID NO:50 and SEQ ID NO:5l, respectively;
(n) SEQ ID NO:49 and SEQ ID NO:77, respectively;
(o) SEQ ID NO:49 and SEQ ID NO:78, respectively;
(p) SEQ ID NO:49 and SEQ ID NO:79, respectively;
(q) SEQ ID NO:49 and SEQ ID NO:80, respectively;
(r) SEQ ID NO:49 and SEQ ID NO:8l, respectively;
(s) SEQ ID NO:49 and SEQ ID NO:82, respectively;
(t) SEQ ID NO:49 and SEQ ID NO:83, respectively; and
(u) SEQ ID NO:49 and SEQ ID NO:84, respectively.
[25] In certain embodiments, the antibody comprises a light chain having the sequence of SEQ ID NO:49 and and a heavy chain having the sequence of SEQ ID NO:53.
[26] In certain embodiments, the antibody comprises a light chain having the sequence of SEQ ID NO:49 and and a heavy chain having the sequence of SEQ ID NO:82.
[27] In certain embodiments, the antibody comprises a light chain having the sequence of SEQ ID NO:49 and and a heavy chain having the sequence of SEQ ID NO:54.
[28] In certain embodiments, the antibody comprises a light chain having the sequence of SEQ ID NO:49 and and a heavy chain having the sequence of SEQ ID NO:8l. [29] In certain embodiments, the isolated antibody, or antigen-binding fragment thereof is produced by any of hybridomas 247.27.16, 247.2.26, 247.48.38, 247.3.14, 247.22.2, 248.69.4, and 247.16.8.
[30] In certain embodiments, the present invention provides a polypeptide comprising the VL and VH sequences described herein.
[31] In certain embodiments, the immunoconjugate of the present invention is represented by the following formula:
Figure imgf000010_0001
wherein:
CBA is an isolated monoclonal antibody, or antigen-binding fragment thereof, that specifically binds to an epitope in the extracellular region of human cMET, wherein the antibody or antigen-binding fragment thereof comprises light chain complementary determining regions LC CDR1, LC CDR2, and LC CDR3 and heavy chain complementary determining regions HC CDR1, HC CDR2, and HC CDR3 having the sequences of SEQ ID NOs:4, 5, and 7 and SEQ ID NOs:l3, 14, and 15, respectively. In certain embodiments, the isolated monoclonal antibody, or antigen-binding fragment thereof comprises a light chain variable domain (VL) and a heavy chain variable domain (VH) having sequences of SEQ ID NO:32 and SEQ ID NO:36, respectively. In other embodiments, the isolated monoclonal antibody comprises a light chain and a heavy chain having the sequences of SEQ ID NO:49 and SEQ ID NO:54;
q is 1 or 2;
Di is represented by the following formula:
Figure imgf000010_0002
[32] In certain embodiments, for the immunoconjugate of formula (1-1), the isolated monoclonal antibody, or antigen-binding fragment thereof comprises a light chain variable domain (VL) and a heavy chain variable domain (VH) having sequences of SEQ ID NO:32 and SEQ ID NO:36, respectively. In certain embodiments, the isolated monoclonal antibody comprises a light chain and a heavy chain having the sequences of SEQ ID NO:49 and SEQ ID NO:54. In certain embodiments, the isolated monoclonal antibody comprises a light chain and a heavy chain having the sequences of SEQ ID NO:49 and SEQ ID NO:8l.
[33] In certain embodiments, the immunoconjugate of the present invention is represented by the following formula:
Figure imgf000011_0001
wherein:
CBA an isolated monoclonal antibody, or antigen-binding fragment thereof, that specifically binds to an epitope in the extracellular region of human cMET, wherein said antibody or antigen-binding fragment thereof comprises light chain complementary determining regions LC CDR1, LC CDR2, and LC CDR3 and heavy chain complementary determining regions HC CDR1, HC CDR2, and HC CDR3 having the sequences of SEQ ID NOs:4, 5, and 7 and SEQ ID NOs:l3, 14, and 15, respectively;
q is an integer from 1 or 10; and
Di is represented by the following formula:
Figure imgf000011_0002
[34] In certain embodiemnts, for the immunoconjugate of formula (1-2), the isolated monoclonal antibody, or antigen-binding fragment thereof comprises a light chain variable domain (VL) and a heavy chain variable domain (VH) having sequences of SEQ ID NO:32 and SEQ ID NO:36, respectively. In certain embodiments, the isolated monoclonal antibody comprises a light chain and a heavy chain having the sequences of SEQ ID NO:49 and SEQ ID NO:53. In certain embodiments, the isolated monoclonal antibody comprises a light chain and a heavy chain having the sequences of SEQ ID NO:49 and SEQ ID NO:82.
[35] The present invention also provides a pharmaceutical composition comprising an immunoconjugate described herein and a pharmaceutically acceptable carrier.
[36] The present invention also provides a method for inhibiting aberrant cell proliferation comprising contacting a MET-expressing cell with an immunoconjugate described herein, wherein said contacting inhibits the aberrant proliferation of said cells. In certain
embodiments, the contacting induces apoptosis of the cells. In certain embodiments, the MET-expressing cell is a cancer cell. In certain embodiments, the cancer cell is cMet overexpressed, non- amplified. In certain embodiments, the cancer cell is cMet amplified.
[37] Also provided in the present invention is a method for treating a cell proliferation disorder in a patient, comprising administering to the patient a therapeutically effective amount of an immunoconjugate, or a pharmaceutical composition thereof described herein.
[38] The present invention also provides an immunoconjugate, or a pharmaceutical composition thereof described herein for use in treating a cell proliferation disorder in a patient. Also provided in the present invention is an use of an immunoconjugate, or a pharmaceutical composition thereof for the manufacture of a medicament for treating a cell proliferation disorder in a patient.
[39] In certain embodiments, the patient has been identified having cMet overexpressed, non-amplified. In certain embodiments, the patients has been identified having cMet amplified.
[40] In certain embodiments, the cell proliferation disorder is cancer. In certain embodiments, the cancer is a cancer selected from the group consisting of glioblastoma, pancreatic cancer, gastric cancer, prostate cancer, ovarian cancer, breast cancer,
hepatocellular carcinoma (HCC), melanoma, osteosarcoma, and colorectal cancer (CRC), lung cancer including small-cell lung cancer (SCLC), and non-small cell lung cancer (NSCLC), head and neck squamous cell carcinoma (HNSCC), kidney cancer, renal cancer, esophageal cancer, and thyroid cancer. In certain embodiments, the cancer is Met-amplified NSCLC. BRIEF DESCRIPTION OF THE DRAWINGS
[41] FIG. 1 depicts the results of HGF-binding assay using MKN45 (solid bars) or BxPC3 cells (open bars) incubated with hybridoma supernatant obtained from fusion 247 containing various anti-MET antibodies.
[42] FIG. 2 depicts the results of HGF-binding assay using MKN45 (solid bars) or BxPC3 cells (open bars) incubated with hybridoma supernatant obtained from fusion 248 containing various anti-MET antibodies.
[43] FIGs. 3A and 3B show sequence alignment of CDR-grafted hucMET-27 constructs.
[44] FIGs. 4A and 4B show positions of hackmutations in CDR-grafted hucMET-27 constructs.
[45] FIG. 5 shows binding of hucMET-27 antibodies to NCI-H441 cells expressing human cMET antigen as determined by FACS.
[46] FIG. 6 shows FACS binding data of hucMET-27 antibodies and conjugates to EBC-l cells.
[47] FIG. 7 shows pErk stimulation of hucMET-27 antibodies in NCI-H441 cells.
[48] FIG. 8 shows pAkt stimulation of hucMET-27 antibodies in NCI-H441 cells.
[49] FIG. 9 shows cell proliferation of different cMET reference antibodies and hucMET- 27 antibodies with and without hinge modifications.
[50] FIG. 10 shows pERK stimulation of different cMET reference antibodies and hucMET-27 antibodies with and without hinge modifications.
[51] FIG. 11 shows pAKT stimulation of different cMET reference antibodies and hucMET-27 antibodies with and without hinge modifications.
[52] FIGs. 12A, 12B and 12C show synthetic schemes for preparing exemplary maytansinoid compounds and immunoconjugates of the present invention.
[53] FIG. 13 shows in vitro cytotoxicity of anti-cMET LDL-DM conjugates in cMET- expressing tumor cell lines.
[54] FIG. 14 shows the anti-tumor activity of hucMET27Gvl.3-sSPDB-DM4 (2.5 mg/kg and 5 mg/kg) and hucMet27Gvl.3 -GMBS -LDL-DM (1.25 mg/kg, 2.5 mg/kg and 5 mg/kg) in the Hs746T gastric MET-amplified xenograft model.
[55] FIG. 15 shows the anti-tumor activity of hucMET27Gvl.3-sSPDB-DM4 (2.5 mg/kg and 5 mg/kg) and hucMet27Gv 1.3 -GMBS -LDL-DM (1.25 mg/kg, 2.5 mg/kg and 5 mg/kg) in EBC-l, a human non-small cell lung cancer MET-amplified xenograft model. [56] FIG. 16 shows the anti-tumor activity of hucMET27Gvl.3Hinge28-sSPDB-DM4 (100 mg/kg, based on payload) and hucMet27Gvl.3Hinge28-GMBS-LDL-DM (100 mg/kg, based on payload) in NCI-H1975, a human non-small cell adeno-carcinoma cMet over-expressed xenograft model.
[57] FIG. 17 shows the antitumor activity of hucMet27Gvl.3Hinge28-sSPDB-DM4 (100 mg/kg, based on payload), hucMet27Gvl.3Hinge28-GMBS-LDL-DM (50 mg/kg and 100 mg/kg, based on payload) and hucMet27Gvl.3Hinge28-VC-MMAE (100 mg/kg, based on payload) in Detroit 562, a human head and neck squamous cell carcinoma cMet over expressed xenograft model.
[58] FIG. 18 shows the antitumor activity of hucMet27Gvl.3Hinge28-sSPDB-DM4 (100 mg/kg, based on payload), hucMet27Gvl.3Hinge28-GMBS-LDL-DM (50 mg/kg and 100 mg/kg, based on payload) and hucMet27Gvl.3Hinge28-VC-MMAE (100 mg/kg, based on payload) in NCI-H441, a human non-small cell lung cancer cMet over-expressed xenograft model.
DETAILED DESCRIPTION OF THE INVENTION
Definitions
[59] To facilitate an understanding of the present invention, a number of terms and phrases are defined below.
[60] As used herein, the term“MET” or“c-MET” or“cMET” or“MET antigen” or HGFR or HGF receptor refers to polypeptides and any variants, isoforms and species homologs of MET that are naturally expressed or are expressed on cells transfected with the HGFR gene, or the like. Human MET is also known as the hepatocyte growth factor or HGF receptor, the scatter factor or SF receptor, and is a member of the receptor tyrosine kinase family. Additional synonyms for MET, as recognized in the art, include HGFR, HGFR antigen, MET receptor, c-MET, c-MET receptor, met proto-oncogene tyrosine kinase or proto-oncogene c-Met, RCCP2 or AUTS9. Two transcript variants encoding different isoforms have been found for human MET. Transcript Variant 1 represents the longer transcript corresponding to GenBank ID (GI) 42741654. It encodes the longer isoform (a) and comprises a 1408 amino acid protein described by GenBank Protein ID 42741655. Transcript Variant 2 uses an alternate in-frame splice junction at the end of an exon compared to variant 1 and corresponds to GenBank ID (GI) 188595715. The resulting isoform (b) comprises a 1390 amino acid protein described by GenBank Protein ID 188595716 and has the same bl and C-termini but is shorter compared to isoform (a).
[61] As used herein,“aberrant MET receptor activation” refers to the dysregulation of MET expression and/or MET signaling including, but not limited to, overexpression of c-Met and/or HGF (e.g., in the presence or absence of gene amplification, e.g., cMET
overexpressed-amplified or cMET overexpressed-non-amplified), constitutive kinase activation of c-Met in the presence (i.e., cMET amplified setting) or absence of gene amplification (cMET non-amplified setting), activating mutations of c-Met, and autocrine activation of c-Met by HGF.
[62] For example,“aberrant MET receptor activation” may mean and include any heightened or altered expression or overexpression of MET protein in a tissue, e.g. an increase in the amount of a protein, caused by any means including enhanced expression or translation, modulation of the promoter or a regulator of the protein, amplification of a gene for a protein, or enhanced half-life or stability, such that more of the protein exists or can be detected at any one time, in contrast to a non-overexpressed state. Aberrant MET expression includes and contemplates any scenario or alteration wherein the MET protein expression or post-translational modification is overexpressed, including wherein an altered MET protein, as in mutated MET protein or variant due to sequence alteration, deletion or insertion, or altered folding is expressed.
[63] In one embodiment,“aberrant MET receptor activation” may refer to enhanced MET receptor signaling activity that leads to the activation of key oncogenic signaling pathways including, but not limited to, RAS, PI3 kinase, STAT, b-catenin, Notch, Src, MAPK and Akt signaling pathways.“Aberrant MET receptor activation” may be associated with enhanced angiogenesis and cell metastasis.
[64] In other embodiments,“aberrant MET receptor activation” refers to MET receptor activation, receptor dimerization and associated activation of tyrosine kinase and/or serine/threonine kinase activity.
[65] In another embodiment,“aberrant MET receptor activation” is present when MET receptor associated tyrosine kinase activity is activated. In one aspect, a MET receptor associated tyrosine kinase activity is activated when the MET associated tyrosine kinase activity is detectable.
[66] As used herein, an“antibody" or fragment and the like includes any protein or peptide containing molecule that comprises at least a portion of an immunoglobulin molecule, such as, but not limited to, at least one complementarity determining region (CDR) of a heavy or light chain or a ligand binding portion thereof, a heavy chain variable region or light chain variable region, a heavy chain or light chain constant region, a framework region, or any portion thereof, or at least one portion of an antigen or antigen receptor or binding protein, which can be incorporated into an antibody to MET of the present invention. Such antibody optionally further affects a specific ligand, such as, but not limited to, where such antibody modulates, decreases, increases, antagonizes, agonizes, partially agonizes, partially antagonizes, mitigates, alleviates, blocks, inhibits, abrogates and/or interferes with at least one antigen activity or binding, or with antigen receptor activity or binding, in vitro, in situ, in vivo and ex vivo. As a non-limiting example, various MET specific antibodies are disclosed, wherein a specified portion or variant can bind at least one antigen molecule, or specified portions, variants or domains thereof. A suitable antigen specific antibody, specified portion, or variant can also optionally affect at least one activity or function, such as, but not limited to, ligand binding, receptor dimerization, receptor phosphorylation, receptor signaling, membrane association, cell migration, cell proliferation, receptor binding activity, RNA, DNA or protein production and/or synthesis.
[67] Antibodies are heterotetrameric glycoproteins, composed of two identical light chains (LC) and two identical heavy chains (HC). Typically, each light chain is linked to a heavy chain by one covalent disulfide bond, while the number of disulfide linkages varies between the heavy chains of different immunoglobulin isotypes. Each heavy and light chain also has spaced intrachain disulfide bridges. Each heavy chain has at one end a variable domain (VH) followed by a number of constant domains. Each light chain has a variable domain at one end (VL) and a constant domain at its other end; the constant domain of the light chain is aligned with the first constant domain of the heavy chain and the light chain variable domain is aligned with the variable domain of the heavy chain. Antibody light chains of any vertebrate species can be assigned to one of two clearly distinct types, namely kappa and lambda, based on the amino acid sequences of their constant domains. Immunoglobulins can be assigned to five major classes, namely IgA, IgD, IgE, IgG and IgM, depending on the heavy chain constant domain amino acid sequence. IgA and IgG are further sub-classified as the isotypes IgAl, IgA2, IgGl, IgG2, IgG3 and IgG4.
[68] The term "antibody" also includes fragments, specified portions and variants thereof, including antibody mimetics or comprising portions of antibodies that mimic the structure and/or function of an antibody or specified fragment or portion thereof, including single chain antibodies and fragments thereof. Functional fragments include antigen-binding fragments that bind to a mammalian antigens, such as MET, alone or in combination with other antigens. For example, antibody fragments capable of binding to antigen or portions thereof, include, but are not limited to, Fab (e.g., by papain digestion), Fab' (e.g., by pepsin digestion and partial reduction) and F(ab')2 (e.g., by pepsin digestion), facb (e.g., by plasmin digestion), pFc' (e.g., by pepsin or plasmin digestion), Fd (e.g., by pepsin digestion, partial reduction and reaggregation), Fv or scFv (e.g., by molecular biology techniques) fragments, are encompassed by the present invention (see, e.g., Colligan, Immunology).
[69] Such fragments can be produced by enzymatic cleavage, synthetic or recombinant techniques, as known in the art and/or as described herein. Antibodies can also be produced in a variety of truncated forms using antibody genes in which one or more stop codons have been introduced upstream of the natural stop site. For example, a combination gene encoding a F(ab')2 heavy chain portion can be designed to include DNA sequences encoding the CH1 domain and/or hinge region of the heavy chain. The various portions of antibodies can be joined together chemically by conventional techniques, or can be prepared as a contiguous protein using genetic engineering techniques.
[70] The term "antibody fragment" refers to a portion of an intact antibody, generally the antigen binding or variable region of an intact antibody. Examples of antibody fragments include, but are not limited to Fab, Fab', F(ab')2, single chain (scFv) and Fv fragments, diabodies; linear antibodies; single-chain antibody molecules; single Fab arm“one arm” antibodies and multispecific antibodies formed from antibody fragments, among others.
[71] Antibody fragments include any protein or peptide containing molecule that comprises at least a portion of an immunoglobulin molecule, such as but not limited to, at least one complementarity determining region (CDR) of a heavy or light chain or a ligand binding portion thereof, a heavy chain or light chain variable region, a heavy chain or light chain constant region, a framework region, or any portion thereof, or at least one portion of an antigen or antigen receptor or binding protein, which can be incorporated into an antibody to MET of the present invention.
[72] The term "variable" refers to the fact that certain portions of the variable domains differ extensively in sequence among antibodies and are used in the binding and specificity of each particular antibody for its particular antigen. However, the variability is not evenly distributed throughout the variable domains of antibodies. It is concentrated in three segments called complementarity-determining regions (CDRs) or hypervariable regions both in the light-chain and the heavy-chain variable domains. The more highly conserved portions of variable domains are called the framework (FR). The variable domains of native heavy and light chains each comprise four FR regions, largely adopting a beta-sheet configuration, connected by three CDRs, which form loops connecting, and in some cases forming part of, the beta-sheet structure. The CDRs in each chain are held together in close proximity by the FR regions and, with the CDRs from the other chain, contribute to the formation of the antigen -binding site of antibodies. The constant domains are not involved directly in binding an antibody to an antigen, but exhibit various effector functions, such as participation of the antibody in antibody-dependent cellular toxicity. There are at least two techniques for determining CDRs: (1) an approach based on cross-species sequence variability (i.e., Rabat et al. Sequences of Proteins of Immunological Interest, (5th ed., 1991, National Institutes of Health, Bethesda Md.)); and (2) an approach based on crystallographic studies of antigen- antibody complexes (Al-lazikani et al (1997) J. Molec. Biol. 273:927-948)). In addition, combinations of these two approaches are sometimes used in the art to determine CDRs.
[73] The Rabat numbering system is generally used when referring to a residue in the variable domain (approximately residues 1-107 of the light chain and residues 1-113 of the heavy chain) (e.g, Rabat et al., Sequences of Immunological Interest. 5th Ed. Public Health Service, National Institutes of Health, Bethesda, Md. (1991)).
[74] The amino acid position numbering as in Rabat, refers to the numbering system used for heavy chain variable domains or light chain variable domains of the compilation of antibodies in Rabat et al., Sequences of Proteins of Immunological Interest, 5th Ed. Public Health Service, National Institutes of Health, Bethesda, Md. (1991). Using this numbering system, the actual linear amino acid sequence can contain fewer or additional amino acids corresponding to a shortening of, or insertion into, a FR or CDR of the variable domain. For example, a heavy chain variable domain can include a single amino acid insert (residue 52a according to Rabat) after residue 52 of H2 and inserted residues (e.g. residues 82a, 82b, and 82c, etc. according to Rabat) after heavy chain FR residue 82. The Rabat numbering of residues can be determined for a given antibody by alignment at regions of homology of the sequence of the antibody with a "standard" Rabat numbered sequence. Chothia refers instead to the location of the structural loops (Chothia and Lesk J. Mol. Biol. 196:901-917 (1987)). The end of the Chothia CDR-H1 loop when numbered using the Rabat numbering convention varies between H32 and H34 depending on the length of the loop (this is because the Rabat numbering scheme places the insertions at H35A and H35B; if neither 35A nor 35B is present, the loop ends at 32; if only 35A is present, the loop ends at 33; if both 35A and 35B are present, the loop ends at 34). The AbM hypervariable regions represent a compromise between the Kabat CDRs and Chothia structural loops, and are used by Oxford Molecular's AbM antibody modeling software.
Loop Kabat AbM Chothia
LI L24-L34 L24-L34 L24-L34
L2 L50-L56 L50-L56 L50-L56
L3 L89-L97 L89-L97 L89-L97
HI P31-P35B H26-H35B H26-P32..34
(Kabat Numbering)
HI H31-H35 H26-H35 H26-H32
(Chothia Numbering)
H2 H50-H65 H50-H58 H52-H56
P3 H95-H102 H95-H102 H95-H102
[75] The term "epitope" refers to a protein determinant capable of specific binding to an antibody. Epitopes usually consist of chemically active surface groupings of molecules such as amino acids or sugar side chains and usually have specific three dimensional structural characteristics, as well as specific charge characteristics. When the antigen is a polypeptide, epitopes can be formed both from contiguous amino acids and noncontiguous amino acids juxtaposed by tertiary folding of a protein. Epitopes formed from contiguous amino acids are typically retained upon protein denaturing, whereas epitopes formed by tertiary folding are typically lost upon protein denaturing. An epitope typically includes at least 3, and more usually, at least 5 or 8-10 amino acids in a unique spatial conformation.
[76] "Blocking" antibody is one which inhibits or reduces the biological activity of the antigen it binds such as MET. Preferred blocking antibodies substantially or completely inhibit the biological activity of the antigen. Desirably, the biological activity is reduced by 10%, 20%, 30%, 50%, 70%, 80%, 90%, 95%, or even 100%. In one embodiment, the blocking antibody reduces the MET associated tyrosine kinase activity 10%, 20%, 30%, 50%, 70%, 80%, 90%, 95%, or even 100%.
[77] An "isolated" antibody is one separated and/or recovered from its natural
environment. Contaminant components of its natural environment are materials which would interfere with diagnostic or therapeutic uses for the antibody, and may include enzymes, hormones, and other proteinaceous or non-pro teinaceous solutes. In preferred aspects, the antibody will be purified (1) to greater than 95% by weight of antibody as determined by, for example, the Lowry method, and most preferably more than 99% by weight, (2) to a degree sufficient to obtain at least 15 residues of N-terminal or internal amino acid sequence by use of a spinning cup sequenator, or (3) to homogeneity by SDS-PAGE (sodium dodecyl sulfate polyacrylamide gel electrophoresis) under reducing or non-reducing conditions using Coomassie blue or, preferably, silver stain. Isolated antibody includes the MET antibody in situ within recombinant cells since at least one component of the antibody's natural environment will not be present. Ordinarily, however, isolated antibody will be prepared by at least one purification step.
[78] A "human antibody" refers to an antibody produced by a human or an antibody having an amino acid sequence corresponding to an antibody produced by a human made using any technique known in the art. This definition of a human antibody includes intact or full-length antibodies, fragments thereof, and/or antibodies comprising at least one human heavy and/or light chain polypeptide such as, for example, an antibody comprising murine light chain and human heavy chain polypeptides.
[79] As used herein, the term "chimeric antibodies" refers to antibodies wherein the amino acid sequence of the immunoglobulin molecule is derived from two or more species. Typically, the variable region of both light and heavy chains corresponds to the variable region of antibodies derived from one species of mammals (e.g. mouse, rat, rabbit, etc.) with the desired specificity, affinity, and capability while the constant regions are homologous to the sequences in antibodies derived from another (usually human) to avoid eliciting an immune response in that species.
[80] As used herein, the term "humanized antibody" refers to forms of non-human (e.g., murine) antibodies that are specific immunoglobulin chains, chimeric immunoglobulins, or fragments thereof that contain minimal non-human (e.g., murine) sequences. Typically, humanized antibodies are human immunoglobulins in which residues from the
complementary determining region (CDR) are replaced by residues from the CDR of a non human species (e.g. mouse, rat, rabbit, hamster) that have the desired specificity, affinity, and capability (Jones et al., 1986, Nature, 321:522-525; Riechmann et al., 1988, Nature, 332:323- 327; Verhoeyen et al., 1988, Science, 239:1534-1536). In some instances, the Fv framework region (FR) residues of a human immunoglobulin are replaced with the corresponding residues in an antibody from a non-human species that has the desired specificity, affinity, and capability. The humanized antibody can be further modified by the substitution of additional residues either in the Fv framework region and/or within the replaced non-human residues to refine and optimize antibody specificity, affinity, and/or capability. In general, the humanized antibody will comprise substantially all of at least one, and typically two or three, variable domains containing all or substantially all of the CDR regions that correspond to the non-human immunoglobulin whereas all or substantially all of the FR regions are those of a human immunoglobulin consensus sequence. The humanized antibody can also comprise at least a portion of an immunoglobulin constant region or domain (Fc), typically that of a human immunoglobulin. Examples of methods used to generate humanized antibodies are described in U.S. Pat. 5,225,539.
[81] As used herein, the term "engineered antibody" or“altered antibody” includes an antibody with significant human frameworks and constant regions (CL, CH domains (e.g., CH1, CH2, CH3), and hinge), and CDRs derived from antigen binding antibodies such as anti-MET antibodies or fragments thereof. Fully human frameworks comprise frameworks that correspond to human germline sequences as well as sequences with somatic mutations. CDRs may be derived from one or more CDRs that associate with or bind to antigen in or outside of the context of any antibody framework. For example, the CDRs of the human engineered antibody of the present invention directed to MET may be derived from CDRs that bind antigen in the context of a mouse antibody framework and then are engineered to bind antigen in the context of a human framework. Often, the human engineered antibody is substantially non-immunogenic in humans.
[82] Similarly, antibodies designated primate (monkey, baboon, chimpanzee, etc.), rodent (mouse, rat, rabbit, guinea pig, hamster, and the like) and other mammals designate such species, sub-genus, genus, sub-family, and family specific antibodies. Further, chimeric antibodies can include any combination of the above. Such changes or variations optionally and preferably retain or reduce the immunogenicity in humans or other species relative to non-modified antibodies. A human engineered antibody is distinct from a chimeric or humanized antibody.
[83] An engineered antibody can be produced by a non-human animal or prokaryotic or eukaryotic cell that is capable of expressing functionally rearranged human or human engineered immunoglobulin (e.g., heavy chain and/or light chain) genes. Further, when an engineered antibody is a single chain antibody, it can comprise a linker peptide that is not found in native human or non-human antibodies. For example, an Fv can comprise a linker peptide, such as two to about eight glycine or other amino acid residues, which connects the variable region of the heavy chain and the variable region of the light chain. Such linker peptides are considered to be of human origin.
[84] Bispecific, heterospecific, heteroconjugate or similar antibodies can also be used that are monoclonal, preferably, human, human engineered, resurfaced or humanized, antibodies that have binding specificities for at least two different antigens such as MET and a non-MET antigen. In the present case, one of the binding specificities is for at least one antigenic protein, the other one is for another antigenic protein. Methods for making bispecific antibodies are known in the art. Traditionally, the recombinant production of bispecific antibodies is based on the co-expression of two immunoglobulin heavy chain-light chain pairs, where the two heavy chains have different specificities (Milstein and Cuello, Nature 305:537 (1983)). Because of the random assortment of immunoglobulin heavy and light chains, these hybridomas (quadromas) produce a potential mixture of about 10 different antibody molecules, of which only one has the correct bispecific structure. The purification of the correct molecule is usually done by affinity chromatography steps or as otherwise described herein. Similar procedures are disclosed, e.g., in WO 93/08829, ET.S. Pat. Nos.
6,210,668, 6,193,967, 6,132,992, 6,106,833, 6,060,285, 6,037,453, 6,010,902, 5,989,530, 5,959,084, 5,959,083, 5,932,448, 5,833,985, 5,821,333, 5,807,706, 5,643,759, 5,601,819, 5,582,996, 5,496,549, 4,676,980, WO 91/00360, WO 92/00373, EP 03089, Traunecker et al.
EMBO J. 10:3655 (1991), Suresh et al., Methods in Enzymology 121:210 (1986),
U.S. 20090258026, U.S. 20060140946 and U.S. 20070298040, each entirely incorporated herein by reference.
[85] Antibody "effector functions" refer to those biological activities attributable to the Fc region (a native sequence Fc region or amino acid sequence variant Fc region) of an antibody, and vary with the antibody isotype. Examples of antibody effector functions include: Clq binding and complement dependent cytotoxicity (CDC); Fc receptor binding; antibody-dependent cell-mediated cytotoxicity (ADCC); and antibody-dependent cell- mediated phagocytosis (ADCP).
[86] "Human effector cells" are leukocytes which express one or more FcRs and perform effector functions. In certain aspects, the cells express at least FcyRIII and perform ADCC or ADCP effector function(s). Examples of human leukocytes which mediate ADCC or ADCP include peripheral blood mononuclear cells (PBMC), natural killer (NK) cells, monocytes, cytotoxic T cells and neutrophils. The effector cells may be isolated from a native source, e.g., from blood.
[87] The term“conjugate”,“immunoconjugate” or“ADC” as used herein refers to a compound or a derivative thereof that is linked to a cell binding agent (i.e., an anti-MET antibody or fragment thereof) and is defined by a generic formula: C-L-A, wherein C = compound, L = linker, and A = cell binding agent (CBA) (e.g., an anti-MET antibody or fragment). In some embodiments, the generic formula: D-L-A, wherein D=drug, L=linker and A=cell binding agent (e.g., an anti-MET antibody or fragment), may also be used in the same manner.
[88] A linker is any chemical moiety that is capable of linking a maytansinoid compound described herein to a cell-binding agent such as an anti-MET antibody or a fragment thereof in a stable, covalent manner. Linkers can be susceptible to or be substantially resistant to acid-induced cleavage, light-induced cleavage, peptidase-induced cleavage, esterase-induced cleavage, and disulfide bond cleavage, at conditions under which the compound or the antibody remains active. Suitable linkers are well known in the art and include, for example, disulfide groups, thioether groups, acid labile groups, photolabile groups, peptidase labile groups and esterase labile groups. Linkers also include charged linkers, and hydrophilic forms thereof as described herein and know in the art.
[89] "Abnormal cell growth" or“aberrant cell proliferation”, as used herein, unless otherwise indicated, refers to cell growth that is independent of normal regulatory
mechanisms (e.g., loss of contact inhibition). This includes, for example, the abnormal growth of: (1) tumor cells (tumors) that proliferate by expressing a mutated tyrosine kinase or over expression of a receptor tyrosine kinase; (2) benign and malignant cells of other proliferative diseases in which aberrant tyrosine kinase activation occurs; (3) any tumors that proliferate by receptor tyrosine kinases; (4) any tumors that proliferate by aberrant serine/threonine kinase activation; (5) benign and malignant cells of other proliferative diseases in which aberrant serine/threonine kinase activation occurs, and (6) benign and malignant cells of other proliferative diseases.
[90] The terms "cancer" and "cancerous" refer to or describe the physiological condition in mammals that is typically characterized by unregulated cell growth. A "tumor" comprises one or more cancerous cells. Examples of cancer include, but are not limited to, carcinoma, blastoma, sarcoma, myeloma, leukemia or lymphoid malignancies. The term“cancer” or “cancerous.” as defined herein, includes“pre-cancerous” conditions that, if not treated, can evolve into a cancerous condition.
[91] The terms "cancer cell," "tumor cell," and grammatical equivalents refer to the total population of cells derived from a tumor or a pre-cancerous lesion, including both non- tumorigenic cells, which comprise the bulk of the tumor cell population, and tumorigenic stem cells (cancer stem cells).
[92] As used herein, the term“cytotoxic agent” refers to a substance that inhibits or prevents one or more cellular functions and/or causes cell death. [93] As used herein,“treatment” refers to clinical intervention in an attempt to alter the natural course of the individual or cell being treated, and can be performed either for prophylaxis or during the course of clinical pathology. Desirable effects of treatment include preventing occurrence or recurrence of disease, alleviation of symptoms, diminishment of any direct or indirect pathological consequences of the disease, preventing metastasis, decreasing the rate of disease progression, amelioration or palliation of the disease state, and remission or improved prognosis. In some embodiments, methods and compositions of the invention are useful in attempts to delay development of a disease or disorder.
[94] A“ therapeutically effective amount” refers to an amount effective, at dosages and for periods of time necessary, to achieve the desired therapeutic result. A“therapeutically effective amount” of a therapeutic agent (e.g., a conjugate or immunoconjugate) may vary according to factors such as the disease state, age, sex, and weight of the individual, and the ability of the antibody to elicit a desired response in the individual. A therapeutically effective amount is also one in which any toxic or detrimental effects of the therapeutic agent are outweighed by the therapeutically beneficial effects.
[95] The term“hepatocyte growth factor” or“HGF”, as used herein, refers, unless indicated otherwise, to any native or variant (whether native or synthetic) HGF polypeptide that is capable of activating the HGF/c-met signaling pathway under conditions that permit such process to occur.
[96] A“therapeutic agent” encompasses both a biological agent such as an antibody, a peptide, a protein, an enzyme, a chemotherapeutic agent, or a conjugate or immunoconjugate.
[97] The terms“polynucleotide” or“nucleic acid”, as used interchangeably herein, refer to polymers of nucleotides of any length, and include DNA and RNA. The nucleotides can be deoxyribonucleotides, ribonucleotides, modified nucleotides or bases, and/or their analogs, or any substrate that can be incorporated into a polymer by DNA or RNA polymerase. A polynucleotide can comprise modified nucleotides, such as methylated nucleotides and their analogs. If present, modification to the nucleotide structure can be imparted before or after assembly of the polymer. The sequence of nucleotides can be interrupted by non-nucleotide components. A polynucleotide can be further modified after polymerization, such as by conjugation with a labeling component. Other types of modifications include, for example, "caps", substitution of one or more of the naturally occurring nucleotides with an analog, intemucleotide modifications such as, for example, those with uncharged linkages (e.g., methyl phosphonates, phosphotriesters, phosphoamidates, cabamates, etc.) and with charged linkages (e.g., phosphorothioates, phosphorodithioates, etc.), those containing pendant moieties, such as, for example, proteins (e.g., nucleases, toxins, antibodies, signal peptides, ply-L-lysine, etc.), those with intercalators (e.g., acridine, psoralen, etc.), those containing chelators (e.g., metals, radioactive metals, boron, oxidative metals, etc.), those containing alkylators, those with modified linkages (e.g., alpha anomeric nucleic acids, etc.), as well as unmodified forms of the polynucleotide(s). Further, any of the hydroxyl groups ordinarily present in the sugars can be replaced, for example, by phosphonate groups, phosphate groups, protected by standard protecting groups, or activated to prepare additional linkages to additional nucleotides, or can be conjugated to solid supports. The 5' and 3' terminal OH can be phosphorylated or substituted with amines or organic capping group moieties of from 1 to 20 carbon atoms. Other hydroxyls can also be derivatized to standard protecting groups. Polynucleotides can also contain analogous forms of ribose or deoxyribose sugars that are generally known in the art, including, for example, 2'-0-methyl-, 2'-0-allyl, 2'-fluoro- or 2'-azido-ribose, carbocyclic sugar analogs, alpha-anomeric sugars, epimeric sugars such as arabinose, xyloses or lyxoses, pyranose sugars, furanose sugars, sedoheptuloses, acyclic analogs and abasic nucleoside analogs such as methyl riboside. One or more phosphodiester linkages can be replaced by alternative linking groups. These alternative linking groups include, but are not limited to, embodiments wherein phosphate is replaced by P(0)S
("thioate"), P(S)S ("dithioate"), "(0)NR2 ("amidate"), P(0)R, P(0)OR', CO or CH2
("formacetal"), in which each R or R' is independently H or substituted or unsubstituted alkyl (1-20 C) optionally containing an ether (—0—) linkage, aryl, alkenyl, cycloalkyl, cycloalkenyl or araldyl. Not all linkages in a polynucleotide need be identical. The preceding description applies to all polynucleotides referred to herein, including RNA and DNA.
[98] The term“vector” means a construct, which is capable of delivering, and optionally expressing, one or more gene(s) or sequence(s) of interest in a host cell. Examples of vectors include, but are not limited to, viral vectors, naked DNA or RNA expression vectors, plasmid, cosmid or phage vectors, DNA or RNA expression vectors associated with cationic condensing agents, DNA or RNA expression vectors encapsulated in liposomes, and certain eukaryotic cells, such as producer cells.
[99] The terms“polypeptide”,“peptide”, and“protein” are used interchangeably herein to refer to polymers of amino acids of any length. The polymer can be linear or branched, it can comprise modified amino acids, and it can be interrupted by non-amino acids. The terms also encompass an amino acid polymer that has been modified naturally or by intervention; for example, disulfide bond formation, glycosylation, lipidation, acetylation, phosphorylation, or any other manipulation or modification, such as conjugation with a labeling component. Also included within the definition are, for example, polypeptides containing one or more analogs of an amino acid (including, for example, unnatural amino acids, etc.), as well as other modifications known in the art. It is understood that, because the polypeptides of this invention are based upon antibodies, in certain embodiments, the polypeptides can occur as single chains or associated chains.
[100] The term“identical” or percent“identity", as known in the art, is a measure of the relationship between two polynucleotides or two polypeptides, as determined by comparing their sequences. Identity or similarity with respect to a sequence is defined herein as the percentage of amino acid residues in the candidate sequence that are identical (i.e., same residue) or similar (i.e., amino acid residue from the same group based on common side- chain properties, see below) to anti-MET antibody residues, after aligning the sequences and introducing gaps, if necessary, to achieve the maximum percent sequence identity. None of N-terminal, C-terminal, or internal extensions, deletions, or insertions into the antibody sequence outside of the variable domain shall be construed as affecting sequence identity or similarity. In general, the two sequences to be compared are aligned to give a maximum correlation between the sequences. The alignment of the two sequences is examined and the number of positions giving an exact amino acid or nucleotide correspondence between the two sequences determined, divided by the total length of the alignment and multiplied by 100 to give a % identity figure. This % identity figure may be determined over the whole length of the sequences to be compared, which is particularly suitable for sequences of the same or very similar length and which are highly homologous, or over shorter defined lengths, which is more suitable for sequences of unequal length or which have a lower level of homology. Likewise percent similarity can be determined in an analogous manner based on the presence of both identical and similar residues.
[101] The percent identity can be measured using sequence comparison software or algorithms or by visual inspection. Various algorithms and software are known in the art that can be used to obtain alignments of amino acid or nucleotide sequences. One such non limiting example of a sequence alignment algorithm is the algorithm described in
Karlin et ah, 1990, Proc. Natl. Acad. Sci., 87:2264-2268, as modified in Karlin et ah, 1993, Proc. Natl. Acad. Sci., 90:5873-5877, and incorporated into the NBLAST and XBLAST programs (Altschul et ah, 1991, Nucleic Acids Res., 25:3389-3402). In certain embodiments, Gapped BLAST can be used as described in Altschul et ah, 1997, Nucleic Acids Res.
25:3389-3402. BLAST-2, WU-BLAST-2 (Altschul et ah, 1996, Methods in Enzymology, 266:460-480), ALIGN, ALIGN-2 (Genentech, South San Lrancisco, California) or Megalign (DNASTAR) are additional publicly available software programs that can be used to align sequences. In certain embodiments, the percent identity between two nucleotide sequences is determined using the GAP program in GCG software (e.g., using a NWSgapdna.CMP matrix and a gap weight of 40, 50, 60, 70, or 90 and a length weight of 1, 2, 3, 4, 5, or 6). In certain alternative embodiments, the GAP program in the GCG software package, which
incorporates the algorithm of Needleman and Wunsch (J. Mol. Biol. (48):444-453 (1970)) can be used to determine the percent identity between two amino acid sequences (e.g., using either a Blossum 62 matrix or a PAM250 matrix, and a gap weight of 16, 14, 12, 10, 8, 6, or 4 and a length weight of 1, 2, 3, 4, 5). Alternatively, in certain embodiments, the percent identity between nucleotide or amino acid sequences is determined using the algorithm of Myers and Miller (CABIOS, 4:11-17 (1989)). For example, the percent identity can be determined using the ALIGN program (version 2.0) and using a PAM 120 with residue table, a gap length penalty of 12 and a gap penalty of 4. Appropriate parameters for maximal alignment by particular alignment software can be determined by one skilled in the art. In certain embodiments, the default parameters of the alignment software are used. In certain embodiments, the percentage identity“X” of a first amino acid sequence to a second sequence amino acid is calculated as 100 x (Y/Z), where Y is the number of amino acid residues scored as identical matches in the alignment of the first and second sequences (as aligned by visual inspection or a particular sequence alignment program) and Z is the total number of residues in the second sequence. If the length of a first sequence is longer than the second sequence, the percent identity of the first sequence to the second sequence will be longer than the percent identity of the second sequence to the first sequence.
[102] As a non-limiting example, whether any particular polynucleotide has a certain percentage sequence identity (e.g., is at least 80% identical, at least 85% identical, at least 90% identical, and in some embodiments, at least 95%, 96%, 97%, 98%, or 99% identical) to a reference sequence can, in certain embodiments, be determined using the Bestfit program (Wisconsin Sequence Analysis Package, Version 8 for Unix, Genetics Computer Group, University Research Park, 575 Science Drive, Madison, WI 53711). Bestfit uses the local homology algorithm of Smith and Waterman, Advances in Applied Mathematics 2: 482 489 (1981), to find the best segment of homology between two sequences. When using Bestfit or any other sequence alignment program to determine whether a particular sequence is, for instance, 95% identical to a reference sequence according to the present invention, the parameters are set such that the percentage of identity is calculated over the full length of the reference nucleotide sequence and that gaps in homology of up to 5% of the total number of nucleotides in the reference sequence are allowed.
[103] In some embodiments, two nucleic acids or polypeptides of the invention are
“substantially identical”, meaning they have at least 70%, at least 75%, at least 80%, at least 85%, at least 90%, and in some embodiments at least 95%, 96%, 97%, 98%, 99% nucleotide or amino acid residue identity, when compared and aligned for maximum correspondence, as measured using a sequence comparison algorithm or by visual inspection. Identity can exist over a region of the sequences that is at least about 10, about 20, about 40-60 residues in length or any integral value therebetween, and can be over a longer region than 60-80 residues, for example, at least about 90-100 residues, and in some embodiments, the sequences are substantially identical over the full length of the sequences being compared, such as the coding region of a nucleotide sequence for example.
[104] A“conservative amino acid substitution” is one in which one amino acid residue is replaced with another amino acid residue having a similar side chain. Families of amino acid residues having similar side chains have been defined in the art, including, for example, basic side chains (e.g., lysine, arginine, histidine), acidic side chains (e.g., aspartic acid, glutamic acid), uncharged polar side chains (e.g., glycine, asparagine, glutamine, serine, threonine, tyrosine, cysteine), nonpolar side chains (e.g., alanine, valine, leucine, isoleucine, proline, phenylalanine, methionine, tryptophan), beta-branched side chains (e.g., threonine, valine, isoleucine) and aromatic side chains (e.g., tyrosine, phenylalanine, tryptophan, histidine). For example, substitution of a phenylalanine for a tyrosine is a conservative substitution. In some embodiments, conservative substitutions in the sequences of the polypeptides and antibodies of the invention do not abrogate the binding of the polypeptide or antibody containing the amino acid sequence, to the antigen(s), to which the polypeptide or antibody binds. Methods of identifying nucleotide and amino acid conservative substitutions which do not eliminate antigen binding are well- known in the art (see, e.g., Brummell et al., Biochem. 32: 1180- 1187 (1993); Kobayashi et al. Protein Eng. 12(10):879-884 (1999); and Burks et al. Proc.
Natl. Acad. Sci. USA 94:.412-417 (1997)).
[105] As used herein,“BxPC3 tumor cells” refer to a human pancreatic tumor cell line (ATCC No: CRL-1687; Tan MH, et al. Characterization of a new primary human pancreatic tumor line. Cancer Invest. 4: 15-23, 1986).
[106] As used herein,“MKN45 tumor cells” refer to a human gastric adenocarcinoma cell line (DSMZ no.: ACC 409; Naito et al., Virchows Arch B Cell Pathol Incl Mol Pathol 46: 145-154 (1984); Motoyama et al., Acta Pathol Jpn 36: 65-83 (1986); Rege-Cambrin et al., Cancer Genet Cytogenet 64: 170-173 (1992); DSMZ: Deutsche Sammlung von Mikroorganismen und Zellkulturen GmbH (German Collection of Microorganisms and Cell Cultures)).
[107] “Alkyl” as used herein refers to a saturated linear or branched-chain monovalent hydrocarbon radical of one to twenty carbon atoms. Examples of alkyl include, but are not limited to, methyl, ethyl, 1 -propyl, 2-propyl, 1 -butyl, 2-methyl- 1 -propyl, -CH2CH(CH3)2),
2-butyl, 2-methyl-2-propyl, 1 -pentyl, 2-pentyl 3 -pentyl, 2-methyl-2-butyl, 3-methyl-2-butyl,
3-methyl-l -butyl, 2-methyl- 1 -butyl, l-hexyl), 2-hexyl, 3-hexyl, 2-methyl-2-pentyl, 3-methyl- 2-pentyl, 4-methyl-2-pentyl, 3-methyl-3-pentyl, 2-methyl-3-pentyl, 2,3-dimethyl-2-butyl, 3,3-dimethyl-2-butyl, l-heptyl, l-octyl, and the like. Preferably, the alkyl has one to ten carbon atoms. More preferably, the alkyl has one to four carbon atoms.
[108] The number of carbon atoms in a group can be specified herein by the prefix“Cx-xx”, wherein x and xx are integers. For example,“Ci_4alkyl” is an alkyl group having from 1 to 4 carbon atoms.
[109] The term“compound” or“cytotoxic compound,” or“cytotoxic agent” are used interchangeably. They are intended to include compounds for which a structure or formula or any derivative thereof has been disclosed in the present invention or a structure or formula or any derivative thereof that has been incorporated by reference. The term also includes, stereoisomers, geometric isomers, tautomers, solvates, metabolites, and salts (e.g., pharmaceutically acceptable salts) of a compound of all the formulae disclosed in the present invention. The term also includes any solvates, hydrates, and polymorphs of any of the foregoing. The specific recitation of“stereoisomers,”“geometric isomers,”“tautomers,” “solvates,”“metabolites,”“salt”,“conjugates,”“conjugates salt,”“solvate,”“hydrate,” or “polymorph” in certain aspects of the invention described in this application shall not be interpreted as an intended omission of these forms in other aspects of the invention where the term“compound” is used without recitation of these other forms.
[110] The term“chiral” refers to molecules that have the property of non-superimposability of the mirror image partner, while the term“achiral” refers to molecules that are
superimposable on their mirror image partner.
[111] The term“stereoisomer” refers to compounds that have identical chemical constitution and connectivity, but different orientations of their atoms in space that cannot be interconverted by rotation about single bonds.
[112] “Diastereomer” refers to a stereoisomer with two or more centers of chirality and whose molecules are not mirror images of one another. Diastereomers have different physical properties, e.g. melting points, boiling points, spectral properties, and reactivities. Mixtures of diastereomers can separate under high resolution analytical procedures such as crystallization, electrophoresis and chromatography.
[113] “Enantiomers” refer to two stereoisomers of a compound that are non- superimposable mirror images of one another.
[114] Stereochemical definitions and conventions used herein generally follow S. P. Parker, Ed., McGraw-Hill, Dictionary of Chemical Terms (1984) McGraw-Hill Book Company, New York; and Eliel, E. and Wilen, S., Stereochemistry of Organic Compounds , John Wiley & Sons, Inc., New York, 1994. The compounds of the invention can contain asymmetric or chiral centers, and therefore exist in different stereoisomeric forms. It is intended that all stereoisomeric forms of the compounds of the invention, including but not limited to, diastereomers, enantiomers and atropisomers, as well as mixtures thereof such as racemic mixtures, form part of the present invention. Many organic compounds exist in optically active forms, i.e., they have the ability to rotate the plane of plane-polarized light. In describing an optically active compound, the prefixes D and L, or R and S, are used to denote the absolute configuration of the molecule about its chiral center(s). The prefixes d and I or (+) and (-) are employed to designate the sign of rotation of plane-polarized light by the compound, with (-) or 1 meaning that the compound is levorotatory. A compound prefixed with (+) or d is dextrorotatory. For a given chemical structure, these stereoisomers are identical except that they are mirror images of one another. A specific stereoisomer can also be referred to as an enantiomer, and a mixture of such isomers is often called an enantiomeric mixture. A 50:50 mixture of enantiomers is referred to as a racemic mixture or a racemate, which can occur where there has been no stereoselection or stereospecificity in a chemical reaction or process. The terms“racemic mixture” and“racemate” refer to an equimolar mixture of two enantiomeric species, devoid of optical activity.
[115] The term“tautomer” or“tautomeric form” refers to structural isomers of different energies that are interconvertible via a low energy barrier. For example, proton tautomers (also known as prototropic tautomers) include interconversions via migration of a proton, such as keto-enol and imine-enamine isomerizations. Valence tautomers include
interconversions by reorganization of some of the bonding electrons.
[116] The term“cation” refers to an ion with positive charge. The cation can be monovalent (e.g., Na+, K+, NH4+ etc.), bi-valent (e.g., Ca2+, Mg2+, etc.) or multi-valent (e.g., Al3+ etc.). Preferably, the cation is monovalent. [117] The phrase“pharmaceutically acceptable salt” as used herein, refers to pharmaceutically acceptable organic or inorganic salts of a compound of the invention.
Exemplary salts include, but are not limited, to sulfate, citrate, acetate, oxalate, chloride, bromide, iodide, nitrate, bisulfate, phosphate, acid phosphate, isonicotinate, lactate, salicylate, acid citrate, tartrate, oleate, tannate, pantothenate, bitartrate, ascorbate, succinate, maleate, gentisinate, fumarate, gluconate, glucuronate, saccharate, formate, benzoate, glutamate, methanesulfonate“mesylate,” ethanesulfonate, benzenesulfonate, p-toluenesulfonate, pamoate ( i.e ., l,l’-methylene-bis-(2-hydroxy-3-naphthoate)) salts, alkali metal (e.g., sodium and potassium) salts, alkaline earth metal (e.g., magnesium) salts, and ammonium salts. A pharmaceutically acceptable salt can involve the inclusion of another molecule such as an acetate ion, a succinate ion or other counter ion. The counter ion can be any organic or inorganic moiety that stabilizes the charge on the parent compound. Furthermore, a pharmaceutically acceptable salt can have more than one charged atom in its structure.
Instances where multiple charged atoms are part of the pharmaceutically acceptable salt can have multiple counter ions. Hence, a pharmaceutically acceptable salt can have one or more charged atoms and/or one or more counter ion.
[118] If the compound of the invention is a base, the desired pharmaceutically acceptable salt can be prepared by any suitable method available in the art, for example, treatment of the free base with an inorganic acid, such as hydrochloric acid, hydrobromic acid, sulfuric acid, nitric acid, methanesulfonic acid, phosphoric acid and the like, or with an organic acid, such as acetic acid, maleic acid, succinic acid, mandelic acid, fumaric acid, malonic acid, pyruvic acid, oxalic acid, glycolic acid, salicylic acid, a pyranosidyl acid, such as glucuronic acid or galacturonic acid, an alpha hydroxy acid, such as citric acid or tartaric acid, an amino acid, such as aspartic acid or glutamic acid, an aromatic acid, such as benzoic acid or cinnamic acid, a sulfonic acid, such as p-toluenesulfonic acid or ethanesulfonic acid, or the like.
[119] If the compound of the invention is an acid, the desired pharmaceutically acceptable salt can be prepared by any suitable method, for example, treatment of the free acid with an inorganic or organic base, such as an amine (primary, secondary or tertiary), an alkali metal hydroxide or alkaline earth metal hydroxide, or the like. Illustrative examples of suitable salts include, but are not limited to, organic salts derived from amino acids, such as glycine and arginine, ammonia, primary, secondary, and tertiary amines, and cyclic amines, such as piperidine, morpholine and piperazine, and inorganic salts derived from sodium, calcium, potassium, magnesium, manganese, iron, copper, zinc, aluminum and lithium. [120] As used herein, the term“solvate” means a compound that further includes a stoichiometric or non- stoichiometric amount of solvent such as water, isopropanol, acetone, ethanol, methanol, DMSO, ethyl acetate, acetic acid, and ethanolamine dichloromethane, 2-propanol, or the like, bound by non-covalent intermolecular forces. Solvates or hydrates of the compounds are readily prepared by addition of at least one molar equivalent of a hydroxylic solvent such as methanol, ethanol, 1 -propanol, 2-propanol or water to the compound to result in solvation or hydration of the imine moiety.
[121] A“metabolite” or“catabolite” is a product produced through metabolism or catabolism in the body of a specified compound, a derivative thereof, or a conjugate thereof, or salt thereof. Metabolites of a compound, a derivative thereof, or a conjugate thereof, can be identified using routine techniques known in the art and their activities determined using tests such as those described herein. Such products can result for example from the oxidation, hydroxylation, reduction, hydrolysis, amidation, deamidation, esterification, deesterification, enzymatic cleavage, and the like, of the administered compound.
Accordingly, the invention includes metabolites of compounds, a derivative thereof, or a conjugate thereof, of the invention, including compounds, a derivative thereof, or a conjugate thereof, produced by a process comprising contacting a compound, a derivative thereof, or a conjugate thereof, of this invention with a mammal for a period of time sufficient to yield a metabolic product thereof.
[122] The phrase“pharmaceutically acceptable” indicates that the substance or composition must be compatible chemically and/or toxicologically, with the other ingredients comprising a formulation, and/or the mammal being treated therewith.
[123] The term“protecting group” or“protecting moiety” refers to a substituent that is commonly employed to block or protect a particular functionality while reacting other functional groups on the compound, a derivative thereof, or a conjugate thereof. For example, an“amine-protecting group” or an“amino-protecting moiety” is a substituent attached to an amino group that blocks or protects the amino functionality in the compound. Such groups are well known in the art (see for example P. Wuts and T. Greene, 2007, Protective Groups in Organic Synthesis , Chapter 7, J. Wiley & Sons, NJ) and exemplified by carbamates such as methyl and ethyl carbamate, FMOC, substituted ethyl carbamates, carbamates cleaved by l,6-P-elimination (also termed“self immolative”), ureas, amides, peptides, alkyl and aryl derivatives. Suitable amino-protecting groups include acetyl, trifluoroacetyl, t-butoxycarbonyl (BOC), benzyloxycarbonyl (CBZ) and 9- fluorenylmethylenoxycarbonyl (Fmoc). For a general description of protecting groups and their use, see P. G.M. Wuts & T. W. Greene, Protective Groups in Organic Synthesis, John Wiley & Sons, New York, 2007.
[0001] The term“amino acid” refers to naturally occurring amino acids or non- naturally occurring amino acid. In one embodiment, the amino acid is represented by NH2- C(R Raa)-C(=0)OH, wherein Raa and Raa are each independently H, an optionally substituted linear, branched or cyclic alkyl, alkenyl or alkynyl having 1 to 10 carbon atoms, aryl, heteroaryl or heterocyclyl or Raa and the N-terminal nitrogen atom can together form a heteroycyclic ring ( e.g ., as in proline). The term“amino acid residue” refers to the corresponding residue when one hydrogen atom from the amine end of the amino acid and/or the hydroxyl group at carboxy end of the amino acid are removed, such as -NH-C(Raa R )- C(=0)-. When an amino acid or an amino acid residue is referenced without indicating the specific stererochemistry of the alpha carbon, it is meant to include both the L- and R- isomers. For example,“Ala” includes both L-alanine and R-alanine.
[124] The term“peptide” refers to short chains of amino acid monomers linked by peptide (amide) bonds. In some embodiments, the peptides contain 2 to 20 amino acid residues. In other embodiments, the peptides contain 2 to 10 amino acid residus. In yet other
embodiments, the peptides contain 2 to 5 amino acid residues. As used herein, when a peptide is a portion of a cytotoxic agent or a linker described herein represented by a specific sequence of amino acids, the peptide can be connected to the rest of the cytotoxic agent or the linker in both directions. For example, a dipeptide XI -X2 includes XI -X2 and X2-X1.
Similarly, a tripeptide X1-X2-X3 includes X1-X2-X3 and X3-X2-X1 and a tetrapeptide XI- X2-X3-X4 includes X1-X2-X3-X4 and X4-X2-X3-X1. XI, X2, X3 and X4 represents an amino acid residue. When a peptide or a peptide residue is referenced without indicating the stereochemistry of each amino acid or amino acid residue, it meant to include both L- and R- isomers. However, when the stereochemistry of one or more amino acid or amino acid residue in the peptide or peptide residue is specified as D-isomer, the other amino acid or amino acid residue in the peptide or peptide residue without specified stereochemistry is meant to include only the natural L-isomer. For example,“Ala- Ala- Ala” meant to include peptides or peptide residues, in which each of the Ala can be either L- or R-isomer; while “Ala-D-Ala-Ala” meant to include L-Ala-D-Ala-L-Ala.
[125] The term“reactive ester group” refers to a group an ester group that can readily react with an amine group to form amide bond. Exemplary reactive ester groups include, but are not limited to, N-hydroxysuccinimide esters, N-hydroxyphthalimide esters, N-hydroxy sulfo-succinimide esters, para-nitrophenyl esters, dinitrophenyl esters, pentafluorophenyl esters and their derivatives, wherein said derivatives facilitate amide bond formation. In certain embodiments, the reactive ester group is a N-hydroxysuccinimide ester or a
N-hydroxy sulfo-succinimide ester.
[126] The term“amine reactive group” refers to a group that can react with an amine group to form a covalent bond. Exemplary amine reactive groups include, but are not limited to, reactive ester groups, acyl halides, sulfonyl halide, imidoester, or a reactive thioester groups. In certain embodiments, the amine reactive group is a reactive ester group. In one embodiment, the amine reactive group is a N-hydroxysuccinimide ester or a N-hydroxy sulfo-succinimide ester.
[127] The term“thiol-reactive group” refers to a group that can react with a thiol (-SH) group to form a covalent bond. Exemplary thiol-reactive groups include, but are not limited to, maleimide, haloacetyl, aloacetamide, vinyl sulfone, vinyl sulfonamide or vinyal pyridine. In one embodiment, the thiol-reactive group is maleimide.
[128] As used in the present disclosure and claims, the singular forms“a,”“an,” and“the” include plural forms unless the context clearly dictates otherwise.
[129] It is understood that wherever embodiments are described herein with the language “comprising,” otherwise analogous embodiments described in terms of“consisting of’ and/or“consisting essentially of’ are also provided.
I. Anti-MET antibodies and antibody fragments thereof
[130] The present invention provides agents that specifically bind MET. These agents are referred to herein as "MET binding agents." Full-length amino acid sequences for human MET are known in the art.
[131] In certain embodiments, the MET binding agents are antibodies, antibody fragments, or immunoconjugates. In some embodiments, the MET binding agents are humanized antibodies.
[132] In certain embodiments, the MET -binding agents have one or more of the following effects: inhibit proliferation of tumor cells, reduce the tumorigenicity of a tumor by reducing the frequency of cancer stem cells in the tumor, inhibit tumor growth, trigger cell death of tumor cells, differentiate tumorigenic cells to a non-tumorigenic state, or prevent metastasis of tumor cells. [133] In certain embodiments the MET-binding agents are bivalent anti-MET antibodies. In certain embodiments the MET-binding agents are bivalent anti-MET antibodies, antibody fragments, or immunoconjugates that inhibit HGF binding to MET expressing cells.
[134] In certain embodiments the MET-binding agents are bivalent anti-MET antibodies, antibody fragments, or immunoconjugates that inhibit proliferation.
[135] In certain embodiments the MET-binding agents are bivalent anti-MET antibodies, antibody fragments, or immunoconjugates that are capable of inhibiting HGF-induced proliferation, while not inducing proliferation of MET-expressing cells in the absence of HGF. In certain embodiments the MET-binding agents are bivalent anti-MET antibodies, antibody fragments, or immunoconjugates that are capable of inhibiting HGF binding to MET expressing cells and inhibiting HGF-induced proliferation, while not inducing proliferation in the absence of HGF.
[136] In one embodiment, a“c-MET binding agent” may be a c-MET binding polypeptide identified using recombinant procedures, for example, phage display or two hybrid screening and the like.
A. Exemplary anti-MET antibodies
[137] Preferred antigen- specific MET antibodies of the invention are described below. Preferred antibodies are polypeptides comprised of one of the individual variable light chains or variable heavy chains described herein. Antibodies and polypeptides can also comprise both a variable light chain and a variable heavy chain. The variable light chain and variable heavy chain sequences of murine anti-MET antibodies are, for example, produced by hybridomas 247.27.16, 247.2.26, 247.48.38, 247.3.14, 247.22.2, 248.69.4, and 247.16.8.
[138] Also provided are humanized (by resurfacing methods and CDR-grafting methods) antibodies.
[139] Also provided are polypeptides that comprise: (a) a polypeptide having at least about 10%, 15%, 20%, 25%, 30%, 35%, 40%, 45%, 50%, 55%, 60%, 65%, 70%, 75%, 80%„ 85%, 90%, 95%, 96%, 97%, 98%, or 99% sequence identity to the amino acid sequence of any of the heavy chain variable regions of the antibodies produced by hybridomas 247.27.16, 247.2.26, 247.48.38, 247.3.14, 247.22.2, 248.69.4, and 247.16.8 and/or (b) a polypeptide having at least about 10%, 15%, 20%, 25%, 30%, 35%, 40%, 45%, 50%, 55%, 60%, 65%, 70%, 75%, 80%,, 85%, 90%, 95%, 96%, 97%, 98%, or 99% sequence identity to the amino acid sequence of any of the light chain variable regions of the antibodies produced by hybridomas 247.27.16, 247.2.26, 247.48.38, 247.3.14, 247.22.2, 248.69.4, and 247.16.8. In certain embodiments, the polypeptide comprises a polypeptide having at least about 95%, at least about 96%, at least about 97%, at least about 98%, or at least about 99% sequence identity to the amino acid sequence of any of the heavy chain variable regions of the antibodies produced by hybridomas 247.27.16, 247.2.26, 247.48.38, 247.3.14, 247.22.2, 248.69.4, and 247.16.8. Thus, in certain embodiments, the polypeptide comprises (a) a polypeptide having at least about 95% sequence identity to the amino acid sequence of any of the heavy chain variable regions of the antibodies produced by hybridomas 247.27.16, 247.2.26, 247.48.38, 247.3.14, 247.22.2, 248.69.4, and 247.16.8, and/or (b) a polypeptide having at least about 95% sequence identity to the amino acid sequence of any of the light chain variable regions of the antibodies produced by hybridomas 247.27.16, 247.2.26,
247.48.38, 247.3.14, 247.22.2, 248.69.4, and 247.16.8. In certain embodiments, the polypeptide comprises (a) a polypeptide having the amino acid sequence of any of the heavy chain variable regions of the antibodies produced by hybridomas 247.27.16, 247.2.26,
247.48.38, 247.3.14, 247.22.2, 248.69.4, and 247.16.8; and/or (b) a polypeptide having the amino acid sequence of any of the light chain variable regions of the antibodies produced by hybridomas 247.27.16, 247.2.26, 247.48.38, 247.3.14, 247.22.2, 248.69.4, and 247.16.8. In certain embodiments, the polypeptide is an antibody and/or the polypeptide specifically binds MET. In certain embodiments, the polypeptide is a murine, chimeric, or humanized or re surfaced antibody that specifically binds MET. In certain embodiments, the polypeptide having a certain percentage of sequence identity to the amino acid sequence of any of the heavy chain variable regions or the light chain variable regions of the antibodies produced by hybridomas 247.27.16, 247.2.26, 247.48.38, 247.3.14, 247.22.2, 248.69.4, and 247.16.8 differs from the amino acid sequence of any of the heavy chain variable regions or the light chain variable regions of the antibodies produced by hybridomas 247.27.16, 247.2.26,
247.48.38, 247.3.14, 247.22.2, 248.69.4, and 247.16.8. by conservative amino acid substitutions.
[140] Preferred antibodies are polypeptides containing one of the CDR sequences described herein. For example, an antigen specific antibody of the invention includes one of the light chain CDR sequences (i.e., LC CDR1, LC CDR2, and LC CDR3) and/or one of the heavy chain CDR sequences (i.e., HC CDR1, HC CDR2, and HC CDR3) shown below in Table 1. Table 1. CDR sequences for exemplary c-MET-22 and c-MET-27 antibodies
Figure imgf000037_0001
Figure imgf000038_0002
[141] In particular embodiments, the anti-MET antibodies or anti-MET antibody fragment thereof comprises a LC CDR1, a LC CDR2, and a LC CDR3 and a HC CDR1, a HC CDR2, and a HC CDR3 having the sequences selected from the group consisting of:
(a) SEQ ID NOs: l, 2, and 3 and SEQ ID NOs:8, 9, and 10, respectively;
(b) SEQ ID NOs: 1, 2, and 3 and SEQ ID NOs: 8, 12, and 10, respectively;
(c) SEQ ID NOs:4, 5, and 6 and SEQ ID NOs: 13, 14, and 15, respectively;
(d) SEQ ID NOs:4, 5, and 6 and SEQ ID NOs: 13, 17, and 15, respectively;
(e) SEQ ID NOs:4, 5, and 7 and SEQ ID NOs: 13, 17, and 15, respectively;
(f) SEQ ID NOs:4, 5, and 8 and SEQ ID NOs: 13, 17, and 15, respectively;
(g) SEQ ID NOs:4, 5, and 7 and SEQ ID NOs: 13, 14, and 15, respectively; and
(h) SEQ ID NOs:4, 5, and 7 and SEQ ID NOs: 16, 17, and 15, respectively.
In certain embodiments, the anti-MET antibody or anti-MET antibody fragment thereof comprises a LC CDR1, a LC CDR2, and a LC CDR3 and a HC CDR1, a HC CDR2, and a HC CDR3 having the sequence of SEQ ID NOs:4, 5, and 7 and SEQ ID NOs: 13, 14, and 15, respectively.
[142] Also provided are humanized antibodies that comprise one of the individual variable light chains or variable heavy chains described herein. The humanized antibodies can also comprise both a variable light chain and a variable heavy chain. The variable light chain and variable heavy chain sequences of chimeric and humanized cMET-22 and cMET-27 antibodies are found in Table 2 below.
Table 2. Variable light chain and heavy chain sequences for exemplary cMET-22 and cMET-27 antibodies
Figure imgf000038_0001
Figure imgf000039_0001
Figure imgf000040_0001
Table 3. Framework donor sequences for humanization by CDR grafting methods
Figure imgf000040_0002
[143] In some embodiments, the anti-MET antibodies or fragment thereof comprises a variable light chain (VL) and a variable heavy chain (VH) having sequences that are at least about 95%, at least about 96%, at least about 97%, at least about 98%, at least about 99%, or 100% sequence identity to the sequences as follows:
(a) SEQ ID NO: 18 and SEQ ID NO: 19, respectively;
(b) SEQ ID NO:20 and SEQ ID NO:2l, respectively;
(c) SEQ ID NO:22 and SEQ ID NO:23, respectively;
(d) SEQ ID NO:24 and SEQ ID NO:25, respectively;
(e) SEQ ID NO:26 and SEQ ID NO:27, respectively;
(f) SEQ ID NO:28 and SEQ ID NO:3 l, respectively;
(g) SEQ ID NO:29 and SEQ ID NO:3 l, respectively; (h) SEQ ID NO:30 and SEQ ID N0:3 l, respectively;
(i) SEQ ID NO:32 and SEQ ID NO:36, respectively;
(j) SEQ ID NO:32 and SEQ ID NO:35, respectively;
(k) SEQ ID NO:32 and SEQ ID NO:34, respectively;
(l) SEQ ID NO:33 and SEQ ID NO:36, respectively;
(m) SEQ ID NO:33 and SEQ ID NO:35, respectively; and
(n) SEQ ID NO:33 and SEQ ID NO:34, respectively.
In particular embodiments, the anti-MET antibody or fragment thereof comprises a VL and VH having the sequences of SEQ ID NO:32 and SEQ ID NO:36, respectively.
[144] In certain embodiments, the polypeptide is an antibody and/or the polypeptide specifically binds MET. In certain embodiments, the polypeptide is a murine, chimeric, or humanized (by resurfacing methods or by CDR-grafting methods) antibody that specifically binds MET. In certain embodiments, the polypeptide having a certain percentage of sequence identity to SEQ ID NOs: 18-36 by conservative amino acid substitutions.
[145] Also provided are polypeptides that comprise one of the individual light chains or heavy chains described herein. These can also comprise both a light chain and a heavy chain. The light chain and heavy chain sequences of humanized cMET-22 and cMET-27 antibodies are below in Table 4.
Table 4. Full-length light chain and heavy chain sequences for exemplary c-MET-22 and cMET-27 antibodies
Figure imgf000041_0001
Figure imgf000042_0001
Figure imgf000043_0001
Figure imgf000044_0001
Figure imgf000045_0001
Figure imgf000046_0001
[146] In some embodiments, the anti-MET antibodies or fragment thereof comprises a light chain and heavy chain sequence having at least about 95%, at least about 96%, at least about 97%, at least about 98%, at least about 99%, or 100% sequence identity to the sequences as follows:
(a) SEQ ID NO:49 and SEQ ID NO:82, respectively;
(b) SEQ ID NO:4l and SEQ ID NO:42, respectively;
(c) SEQ ID NO:43 and SEQ ID NO:44, respectively;
(d) SEQ ID NO:45 and SEQ ID NO:48, respectively;
(e) SEQ ID NO:46 and SEQ ID NO:48, respectively;
(f) SEQ ID NO:47 and SEQ ID NO:48, respectively;
(g) SEQ ID NO:49 and SEQ ID NO:54, respectively;
(h) SEQ ID NO:49 and SEQ ID NO:53, respectively;
(i) SEQ ID NO:49 and SEQ ID NO:52, respectively;
(j) SEQ ID NO:49 and SEQ ID NO:5 l, respectively;
(k) SEQ ID NO:50 and SEQ ID NO:53, respectively;
(l) SEQ ID NO:50 and SEQ ID NO:52, respectively;
(m) SEQ ID NO:50 and SEQ ID NO:5 l, respectively;
(n) SEQ ID NO:49 and SEQ ID NO:77, respectively;
(o) SEQ ID NO:49 and SEQ ID NO:78, respectively;
(p) SEQ ID NO:49 and SEQ ID NO:79, respectively;
(q) SEQ ID NO:49 and SEQ ID NO:80, respectively;
(r) SEQ ID NO:49 and SEQ ID NO:8 l, respectively; (s) SEQ ID NO:39 and SEQ ID NO:40, respectively;
(t) SEQ ID NO:49 and SEQ ID NO:83, respectively; and
(u) SEQ ID NO:49 and SEQ ID NO:84, respectively.
In particular embodiments, the anti-MET antibody or fragment thereof comprises a light chain and heavy chain having the sequences of SEQ ID NO:49 and SEQ ID NO:54, respectively. In some embodiments, the anti-MET antibody or fragment thereof comprises a light chain and heavy chain having the sequences of SEQ ID NO:49 and SEQ ID NO:53, respectively. In some embodiments, the anti-MET antibody or fragment thereof comprises a light chain and heavy chain having the sequences of SEQ ID NO:49 and SEQ ID NO:82, respectively. In some embodiments, the anti-MET antibody or fragment thereof comprises a light chain and heavy chain having the sequences of SEQ ID NO:49 and SEQ ID NO:8l, respectively.
[147] In certain embodiments, the anti-MET antibody or fragment thereof comprises a light chain encoded by the plasmid DNA deposited with American Type Culture Collection (ATCC®, Manassas, Virginia, USA) on June 29, 2018 and having ATCC deposit no. PTA- 125143.
[148] In certain embodiments, the anti-MET antibody or fragment thereof comprises a heavy chain encoded by the plasmid DNA deposited with ATCC on June 29, 2018 and having ATCC deposit no. PTA-125144.
[149] In certain embodiments, the anti-MET antibody or fragment thereof comprises a heavy chain encoded by the plasmid DNA deposited with ATCC on June 29, 2018 and having ATCC deposit no. PTA-125145.
[150] In certain embodiments, the anti-MET antibody comprises a light chain encoded by the plasmid DNA deposited with ATCC on June 29, 2018 and having ATCC deposit no. PTA-125143, and a heavy chain encoded by the plasmid DNA deposited with ATCC on June 29, 2018 and having ATCC deposit no. PTA-125144.
[151] In certain embodiments, the anti-MET antibody comprises a light chain encoded by the plasmid DNA deposited with ATCC on June 29, 2018 and having ATCC deposit no. PTA-125143, and a heavy chain encoded by the plasmid DNA deposited with the ATCC on June 29, 2018 and having ATCC deposit no. PTA-125145.
[152] In certain embodiments, the polypeptide is an antibody and/or the polypeptide specifically binds MET. In certain embodiments, the polypeptide is a murine, chimeric, or humanized (by resurfacing methods or CDR-grafting methods) antibody that specifically binds MET. In certain embodiments, the polypeptide having a certain percentage of sequence identity to SEQ ID NOs:39-54 by conservative amino acid substitutions.
[153] One having ordinary skill in the art understands that the sequences in the present application are non-limiting examples.
[154] In certain embodiments, the anti-MET antibodies of the invention include a hinge region modification to reduce agonistic activity of the antibody, where the modification includes an amino acid sequence selected from the group consisting of SEQ ID NOs: 85-108. In particular embodiments, the anti-MET antibodies or anti-MET antibody fragment thereof comprises a LC CDR1, a LC CDR2, and a LC CDR3 and a HC CDR1, a HC CDR2, and a HC CDR3 having the sequences of SEQ ID NOs:4, 5, and 7 and SEQ ID NOs: 13, 14, and 15, respectively, where the antibody or anti-MET antibody fragment thereof are further characterized in that the antibody or fragment thereof also comprise a hinge region modification including an amino acid sequence as disclosed in Table 5.
Table 5. Hinge region sequences
Figure imgf000048_0001
B. Engineered anti-MET Antibodies
[155] The anti-MET antibodies and fragments thereof, conjugates, compositions and methods of the invention can be mutant antibodies and the like. The anti-MET antibody can be an“engineered antibody” or an altered antibody such as an amino acid sequence variant of the anti-MET antibody wherein one or more of the amino acid residues of the anti-MET antibody have been modified. The modifications to the amino acid sequence of the anti-MET antibody include, for example, modifications to the polypeptide and/or polynucleotide sequence to improve affinity or avidity of the antibody or fragment for its antigen, improve stability, and/or modifications to the polypeptide and/or polynucleotide sequence to improve production of the antibody, and/or modifications to the Fc portion of the antibody to improve effector function unless otherwise indicated herein or known. The modifications may be made to any known anti-MET antibodies or anti-MET antibodies identified as described herein. Such altered antibodies necessarily have less than 100% sequence identity or similarity with a reference anti-MET antibody. In a preferred aspect, the altered antibody will have an amino acid sequence having at least 20%, 25%, 35%, 45%, 55%, 65%, or 75% amino acid sequence identity or similarity with the amino acid sequence of either the heavy or light chain variable domain of the anti-MET antibody, more preferably at least 80%, more preferably at least 85%, more preferably at least 90%, and most preferably at least 95%. In a preferred aspect, the altered antibody will have an amino acid sequence having at least 25%, 35%, 45%, 55%, 65%, or 75% amino acid sequence identity or similarity with the amino acid sequence of the heavy chain CDR1, CDR2, or CDR3 of the anti-MET antibody, more preferably at least 80%, more preferably at least 85%, more preferably at least 90%, and most preferably at least 95%. In a preferred aspect, the altered antibody will have an amino acid sequence having at least 25%, 35%, 45%, 55%, 65%, or 75% amino acid sequence identity or similarity with the amino acid sequence of light chain CDR1, CDR2, or CDR3 of the anti- MET antibody, more preferably at least 80%, more preferably at least 85%, more preferably at least 90%, and most preferably at least 95%, 96%, 97%, 98%, 99%. In a preferred aspect, the altered antibody will maintain human MET binding capability. In certain aspects, the anti- MET antibody of the invention comprises a heavy chain that is about 10%, 15%, 20%, 25%, 30%, 35%, 40%, 45%, 50%, 55%, 60%, 65%, 70%, 75%, 80%, 85%, 90%, 95%, 96%, 97%, 98%, 99% or more identical to the amino acid sequences of the amino acid sequences of the heavy chain variable regions of the antibodies produced by hybridoma 247.27.16, 247.2.26, 247.48.38, 247.3.14, 247.22.2, 248.69.4, or 247.16.8. In certain aspects, the anti-MET antibody of the invention comprises a light chain that is about 10%, 15%, 20%, 25%, 30%, 35%, 40%, 45%, 50%, 55%, 60%, 65%, 70%, 75%, 80%, 85%, 90%, 95%, 96%, 97%, 98%, 99% or more identical to the amino acid sequences of the amino acid sequences of the light chain variable regions of the antibodies produced by hybridoma 247.27.16, 247.2.26, 247.48.38, 247.3.14, 247.22.2, 248.69.4, or 247.16.8.
[156] In some embodiments of the invention, the anti-MET antibody can be an“engineered antibody” or an altered antibody such as an amino acid sequence variant of the anti-MET antibody wherein one or more of the amino acid residues of the anti-MET antibody have been modified. In a preferred aspect, the altered antibody will have an amino acid sequence having at least 1-5, 1-3, 1, 2, 3, 4, 5, 6, 7, 8, 9, 10, 11, 12, 13, 14, 15, 16, 17, 18, 19, 20, 21, 22, 23, 24, 25, 26, 27, 28, 29, 30, 35, 40, 45 or 50 conservative amino acid substitutions when compared with the amino acid sequence of either the heavy or light chain variable domain of the anti-MET antibody. In a preferred aspect, the altered antibody will have an amino acid sequence having at least 1-20, 1-15, 1-10, 1-5, 1-3, 20, 19, 18, 17, 16, 15, 14,13, 12, 11, 10, 9, 8, 7, 6, 5, 4, 3, 2 or 1 conservative amino acid substitutions when compared with the amino acid sequence of the heavy chain CDR1, CDR2, or CDR3 of the anti-MET antibody. In a preferred aspect, the altered antibody will have an amino acid sequence having at least 1-20, 1-15, 1-10, 1-5, 1-3, 20, 19, 18, 17, 16, 15, 14,13, 12, 11, 10, 9, 8, 7, 6, 5, 4, 3, 2 or 1 conservative amino acid substitutions when compared with the amino acid sequence of the light chain CDR1, CDR2, or CDR3 of the anti-MET antibody produced by hybridoma 247.27.16, 247.2.26, 247.48.38, 247.3.14, 247.22.2, 248.69.4, or 247.16.8. In a preferred aspect, the altered antibody will maintain human MET binding capability. In certain aspects, the anti-MET antibody of the invention comprises a heavy chain having an amino acid sequence that has about 1-20, 1-15, 1-10, 1-5, 1-3, 1, 2, 3, 4, 5, 6, 7, 8, 9, 10, 11, 12, 13, 14, 15, 16, 17, 18, 19, 20, 21, 22, 23, 24, 25, 26, 27, 28, 29, 30, 35, 40, 45 or 50 conservative amino acid substitutions when compared with the amino acid sequence of the amino acid sequences of the heavy chain variable regions of the antibodies produced by hybridoma 247.27.16, 247.2.26, 247.48.38, 247.3.14, 247.22.2, 248.69.4, or 247.16.8. In certain aspects, the anti-MET antibody of the invention comprises a light chain having an amino acid sequence that has about 1-20, 1-15, 1-10, 1-5, 1-3, 1, 2, 3, 4, 5, 6, 7, 8, 9, 10, 11, 12, 13, 14, 15, 16, 17, 18, 19, 20, 21, 22, 23, 24, 25, 26, 27, 28, 29, 30, 35, 40, 45 or 50 conservative amino acid substitutions when compared with the amino acid sequence of the light chain variable regions of the antibodies produced by hybridoma 247.27.16, 247.2.26, 247.48.38, 247.3.14, 247.22.2, 248.69.4, or 247.16.8. In a preferred aspect, the altered antibody will have an amino acid sequence having at least 1-20, 1-15, 1-10, 1-5, 1-3, 20, 19, 18, 17, 16, 15, 14,13, 12, 11, 10, 9, 8, 7, 6, 5, 4, 3, 2 or 1 conservative amino acid substitutions when compared with the amino acid sequence of the heavy chain CDR1, CDR2, or CDR3 of the anti-MET antibody produced by hybridoma 247.27.16, 247.2.26, 247.48.38, 247.3.14, 247.22.2, 248.69.4, or 247.16.8.
[157] To generate an altered antibody, one or more amino acid alterations (e.g.,
substitutions) are introduced in one or more of the hypervariable regions of an antibody. Alternatively, or in addition, one or more alterations (e.g., substitutions) of framework region residues may be introduced in an anti-MET antibody where these result in an improvement in the binding affinity of the antibody mutant for the antigen. Examples of framework region residues to modify include those which non-covalently bind antigen directly (Amit et ah, Science, 233:747-753 (1986)); interact with/effect the conformation of a CDR (Chothia et ah, J. Mol. Biol., 196:901-917 (1987)); and/or participate in the VL VH interface. In certain aspects, modification of one or more of such framework region residues results in an enhancement of the binding affinity of the antibody for the antigen. For example, from about one to about five framework residues (e.g., 1, 2, 3, 4 or 5) may be altered in this aspect of the invention. Sometimes, this may be sufficient to yield an antibody with an enhancement of the binding affinity, even where none of the hypervariable region residues have been altered. Normally, however, an altered antibody will comprise additional hypervariable region alteration(s).
[158] The hypervariable region residues which are altered may be changed randomly, especially where the starting binding affinity of an anti-MET antibody for the antigen is such that such randomly produced altered antibody can be readily screened.
[159] One useful procedure for generating such an altered antibody is called "alanine scanning mutagenesis" (Cunningham and Wells, Science, 244:1081-1085 (1989)). One or more of the hypervariable region residue(s) are replaced by alanine or polyalanine residue(s) to affect the interaction of the amino acids with the antigen. Those hypervariable region residue(s) demonstrating functional sensitivity to the substitutions then are refined by introducing additional or other mutations at or for the sites of substitution. Thus, while the site for introducing an amino acid sequence variation is predetermined, the nature of the mutation per se need not be predetermined. The Ala-mutants produced this way are screened for their biological activity as described herein and/or as known in the art. [160] Another procedure for generating such an altered antibody involves affinity maturation using phage display (Hawkins et ah, J. Mol. Biol., 254:889-896 (1992) and Lowman et al., Biochemistry, 30(45): 10832-10837 (1991)).
[161] Mutations in antibody sequences may include substitutions, deletions, including internal deletions, additions, including additions yielding fusion proteins, or conservative substitutions of amino acid residues within and/or adjacent to the amino acid sequence, but that result in a "silent" change, in that the change produces a functionally equivalent anti- MET antibody or fragment. Conservative amino acid substitutions may be made on the basis of similarity in polarity, charge, solubility, hydrophobicity, hydrophilicity, and/or the amphipathic nature of the residues involved. For example, non-polar (hydrophobic) amino acids include alanine, leucine, isoleucine, valine, proline, phenylalanine, tryptophan, and methionine; polar neutral amino acids include glycine, serine, threonine, cysteine, tyrosine, asparagine, and glutamine; positively charged (basic) amino acids include arginine, lysine, and histidine; and negatively charged (acidic) amino acids include aspartic acid and glutamic acid. In addition, glycine and proline are residues can influence chain orientation. Non conservative substitutions will entail exchanging a member of one of these classes for a member of another class. Furthermore, if desired, non-classical amino acids or chemical amino acid analogs can be introduced as a substitution or addition into the antibody sequence. Non-classical amino acids include, but are not limited to, the D-isomers of the common amino acids, oc-amino isobutyric acid, 4-aminobutyric acid, Abu, 2-amino butyric acid, g-Abu, e-Ahx, 6-amino hexanoic acid, Aib, 2-amino isobutyric acid, 3-amino propionic acid, ornithine, norleucine, norvaline, hydroxyproline, sarcosine, citrulline, cysteic acid, t-butylglycine, t-butylalanine, phenylglycine, cyclohexylalanine, b-alanine, fluoro-amino acids, designer amino acids such as b-methyl amino acids, C oc-methyl amino acids,
N oc-methyl amino acids, and amino acid analogs generally.
[162] Any technique for mutagenesis known in the art can be used to modify individual nucleotides in a DNA sequence, for purposes of making amino acid substitution(s) in the antibody sequence, or for creating/deleting restriction sites to facilitate further manipulations. Such techniques include, but are not limited to, chemical mutagenesis, in vitro site-directed mutagenesis (Kunkel, Proc. Natl. Acad. Sci. USA, 82:488 (1985); Hutchinson, C. et ah,
J. Biol. Chem., 253:6551 (1978)), oligonucleotide-directed mutagenesis (Smith, Ann. Rev. Genet., 19:423-463 (1985); Hill et ah, Methods Enzymok, 155:558-568 (1987)), PCR-based overlap extension (Ho et ah, Gene, 77:51-59 (1989)), PCR-based megaprimer mutagenesis (Sarkar et al., Biotechniques, 8:404-407 (1990)), etc. Modifications can be confirmed by double-stranded dideoxy DNA sequencing.
C. Antibody humanization and resurfacing
[163] Methods for engineering, humanizing or resurfacing non-human or human antibodies can also be used and are well known in the art. A humanized, resurfaced or similarly engineered antibody may have one or more amino acid residues from a source that is non human, e.g., but not limited to, mouse, rat, rabbit, non-human primate or other mammal. These non-human amino acid residues are replaced by residues that are often referred to as "import" residues, which are typically taken from an "import" variable, constant or other domain of a known human sequence.
[164] Among many available sources, human Ig sequences are disclosed at the following exemplary web pages:
[165] Entrez and IgBlast web pages at the National Center for Biotechnology Information;
[166] ImMunoGeneTics ("IMGT") web pages at the global ImMunoGeneTics Web
Resource for immunoglobulins (IG), T cell receptors (TR) and major histocompatibility complex (MHC) and related proteins of the immune system (RPI). Editor: Marie-Paule Lefranc (LIGM, Universite-Montpellier II, CNRS, Montpellier, France);
[167] The Rabat Database of Sequences of Proteins of Immunological Interest; and
[168] FTP RABAT repository at the National Center for Biotechnology Information.
[169] The contents of each of these resources and citations is hereby incorporated herein in its entirety by reference.
[170] Such imported sequences can be used to reduce immunogenicity or reduce, enhance or modify binding, affinity, on-rate, off-rate, avidity, specificity, half-life, or any other suitable characteristic, as known in the art. In general, the CDR residues are directly and most substantially involved in influencing MET binding. Accordingly, part or all of the non-human or human CDR sequences are maintained while the non-human sequences of the variable and constant regions may be replaced with human or other amino acids.
[171] Antibodies can also optionally be humanized, resurfaced, engineered or human antibodies engineered with retention of high affinity for the antigen MET and other favorable biological properties. To achieve this goal, humanized (or human) or engineered anti-MET antibodies and resurfaced antibodies can be optionally prepared by a process of analysis of the parental sequences and various conceptual humanized and engineered products using three-dimensional models of the parental, engineered, and humanized sequences. Three- dimensional immunoglobulin models are commonly available and are familiar to those skilled in the art. Computer programs are available which illustrate and display probable three-dimensional conformational structures of selected candidate immunoglobulin sequences. Inspection of these displays permits analysis of the likely role of the residues in the functioning of the candidate immunoglobulin sequence, i.e., the analysis of residues that influence the ability of the candidate immunoglobulin to bind its antigen, such as MET. In this way, framework (FR) residues can be selected and combined from the consensus and import sequences so that the desired antibody characteristic, such as increased affinity for the target antigen(s), is achieved.
[172] Humanization, resurfacing or engineering of antibodies of the present invention can be performed using any known method, such as but not limited to those described in, Winter (Jones et ah, Nature 321:522 (1986); Riechmann et ah, Nature 332:323 (1988); Verhoeyen et ah, Science 239:1534 (1988)), Sims et ah, J. Immunol. 151: 2296 (1993); Chothia and Fesk, J. Mol. Biol. 196:901 (1987), Carter et ah, Proc. Natl. Acad. Sci. U.S.A. 89:4285 (1992); Presta et ah, J. Immunol. 151:2623 (1993), U.S. Pat. Nos. 5,639,641, 5,723,323; 5,976,862; 5,824,514; 5,817,483; 5,814,476; 5,763,192; 5,723,323; 5,766,886; 5,714,352; 6,204,023; 6,180,370; 5,693,762; 5,530,101; 5,585,089; 5,225,539; 4,816,567; PCT/:
US98/16280; US96/18978; US91/09630; US91/05939; US94/01234; GB89/01334;
GB91/01134; GB92/01755; WO90/14443; WO90/14424; W090/14430; EP 229246;
7,557,189; 7,538,195; and 7,342,110, each of which is entirely incorporated herein by reference, including the references cited therein.
D. Variant Fc regions and Engineered Effector Function
[173] The present invention provides formulation of proteins comprising a variant Fc region. That is, a non-naturally occurring Fc region, for example an Fc region comprising one or more non-naturally occurring amino acid residues. Also encompassed by the variant Fc regions of the present invention are Fc regions which comprise amino acid deletions, additions and/or modifications.
[174] In certain aspects, the antibody comprises an altered (e.g., mutated) Fc region. For example, in some aspects, the Fc region has been altered to reduce or enhance the effector functions of the antibody, alter serum half life or other functional properties of the antibody. In some aspects, the Fc region is an isotype selected from IgM, IgA, IgG, IgE, or other isotype.
[175] It will be understood that Fc region as used herein includes the polypeptides comprising the constant region of an antibody excluding the first constant region
immunoglobulin domain. Thus Fc refers to the last two constant region immunoglobulin domains of IgA, IgD, and IgG, and the last three constant region immunoglobulin domains of IgE and IgM, and the flexible hinge N-terminal to these domains. For IgA and IgM Fc may include the J chain. For IgG, Fc comprises immunoglobulin domains Cy2 and Cy3 (Cy2 and Cy3 ) and the hinge between Cyl (Cyl) and Cy2 (Cy2). Although the boundaries of the Fc region may vary, the human IgG heavy chain Fc region is usually defined to comprise residues C226 or P230 to its carboxyl-terminus, wherein the numbering is according to the EU index as in Kabat et al. (1991, NIH Publication 91-3242, National Technical Information Service, Springfield, Va.). The "EU index as set forth in Kabat" refers to the residue numbering of the human IgGl EU antibody as described in Kabat et al., supra. Fc may refer to this region in isolation, or this region in the context of an antibody, antibody fragment, or Fc fusion protein. An Fc variant protein may be an antibody, Fc fusion, or any protein or protein domain that comprises an Fc region. Particularly preferred are proteins comprising variant Fc regions, which are non-naturally occurring variants of an Fc. Polymorphisms have been observed at a number of Fc positions, including, but not limited to, Kabat 270, 272, 312, 315, 356, and 358, and thus slight differences between the presented sequence and sequences in the prior art may exist and would be known to one of skill in the art based on the present teachings.
[176] Fc mutations can be introduced into engineered antibodies to alter their interaction with the neonatal Fc receptor (FcRn) and improve their pharmacokinetic properties. A collection of human Fc variants with improved binding to the FcRn has been described and include, for example, those disclosed in Shields et al., 2001. High resolution mapping of the binding site on human IgGl for FcyRI, FcyRII, FcyRIII, and FcRn and design of IgGl variants with improved binding to the FcyR, J. Biol. Chem. 276:6591-6604), which is hereby entirely incorporated by reference.
[177] Thus the serum half-life of proteins comprising Fc regions may be increased by increasing the binding affinity of the Fc region for FcRn. In one aspect, the Fc variant protein has enhanced serum half life relative to comparable molecule. [178] The Fc hinge region can also be engineered to alter Fab arm flexibility as a means to manipulate antibody binding, effector potency or other functional properties of the antibody. The flexibility of the antibody’s Fc hinge is largely a function of its length and the number and placement of cysteine residues. Amino acid changes to the Fc hinge cysteine residues or length have been described which can elicit altered ADCC or CDC activity (Dall’Acqua WF et al., 2006; J Immunol; 177:1129-38), or other antibody binding mediated functional activities (WO 2010064090). It may therefore be desirable to make such amino acid modifications, including amino acid deletions and substitutions, in the Fc hinge region.
[179] It may also be desirable to modify the anti-MET antibody of the invention with respect to effector function, so as to enhance the effectiveness of the antibody in treating a cancer, for example. In vitro assays known in the art can be used to determine whether the anti-MET antibodies, compositions, conjugates and methods of the invention, for example, are capable of mediating effector functions such as ADCC or CDC, such as those described herein.
[180] "Antibody-dependent cell-mediated cytotoxicity" or "ADCC" refers to a form of cytotoxicity in which secreted Ig bound onto Fc receptors (FcRs) present on certain cytotoxic cells (e.g., Natural Killer (NK) cells, neutrophils, and macrophages) enables these cytotoxic effector cells to bind specifically to an antigen-bearing target cell and subsequently kill the target cell with cytotoxins. High-affinity IgG antibodies, for example, directed to the surface of target cells "arm" the cytotoxic cells and afford such killing. Lysis of the target cell is extracellular, requires direct cell-to-cell contact, and does not involve complement. It is contemplated that, in addition to antibodies, other proteins comprising Fc regions, specifically Fc fusion proteins, having the capacity to bind specifically to an antigen-bearing target cell will be able to effect cell-mediated cytotoxicity. For simplicity, the cell-mediated cytotoxicity resulting from the activity of an Fc fusion protein is also referred to herein as ADCC activity.
[181] The ability of any particular Fc variant protein to mediate lysis of the target cell by ADCC can be assayed. To assess ADCC activity an Fc variant protein of interest is added to target cells in combination with immune effector cells, which may be activated by the antigen antibody complexes resulting in cytolysis of the target cell. Cytolysis is generally detected by the release of label (e.g., radioactive substrates, fluorescent dyes or natural intracellular proteins) from the lysed cells. Useful effector cells for such assays include peripheral blood mononuclear cells (PBMC) and Natural Killer (NK) cells. Specific examples of in vitro ADCC assays are described in Wisecarver et al., 1985, 79:277-282; Bruggemann et al., 1987, J Exp Med, 166:1351-1361; Wilkinson et al., 2001, J Immunol Methods, 258:183-191; and Patel et al., 1995, J Immunol Methods, 184:29-38. Alternatively, or additionally, ADCC activity of the Fc variant protein of interest may be assessed in vivo , e.g., in an animal model such as that disclosed in Clynes et al., 1998, PNAS USA, 95:652-656.
[182] "Complement dependent cytotoxicity" and "CDC" refer to the lysing of a target cell in the presence of complement. The complement activation pathway is initiated by the binding of the first component of the complement system (Clq) to a molecule, an antibody for example, complexed with a cognate antigen. To assess complement activation, a CDC assay, e.g. as described in Gazzano-Santoro et al., 1996, J. Immunol. Methods, 202:163, may be performed.
[183] The Fc region of an antibody of the present invention can be designed with altered effector functions including, but are not limited to: Clq binding; complement dependent cytotoxicity (CDC); Fc receptor binding; antibody-dependent cell-mediated cytotoxicity (ADCC); phagocytosis; down regulation of cell surface receptors (e.g., B cell receptor; BCR), etc. Such effector functions may require the Fc region to be combined with a binding domain (e.g., an antibody variable domain) and can be assessed using various assays (e.g., Fc binding assays, ADCC assays, CDC assays, etc.)
[184] For example, one can generate a variant Fc region of the engineered anti-MET antibody with improved Clq binding and improved FcyRIII binding (e.g., having both improved ADCC activity and improved CDC activity). Alternatively, if it is desired that effector function be reduced or ablated, a variant Fc region can be engineered with reduced CDC activity and/or reduced ADCC activity. In other aspects, only one of these activities may be increased, and, optionally, also the other activity reduced (e.g., to generate an Fc region variant with improved ADCC activity, but reduced CDC activity, and vice versa). An exemplary Fc mutant is the triple residue change, S239D, A330F, and I332E (EU numbering system) in which ADCC is enhanced and CDC activity is diminished. Non-limiting methods for designing such mutants can be found, for example, in Fazar et al. (2006, Proc. Natl. Acad. Sci. U.S.A. 103(11): 4005-4010) and Okazaki et al. (2004, J. Mol. Biol. 336(5): 1239-49). See also WO 03/074679, WO 2004/029207, WO 2004/099249, W02006/047350,
WO 2006/019447, WO 2006/105338, WO 2007/041635.
[185] Other methods of engineering Fc regions of antibodies so as to alter effector functions are known in the art (e.g., U.S. Patent Publication No. 20040185045 and PCT Publication No. WO 2004/016750, both to Koenig et ah, which describe altering the Fc region to enhance the binding affinity for FcyRIIB as compared with the binding affinity for FCyRIIA; see, also, PCT Publication Nos. WO 99/58572 to Armour et ah; WO 99/51642 to Idusogie et ah; and U.S. Pat. No. 6,395,272 to Deo et al.; the disclosures of which are incorporated herein in their entireties). Methods of modifying the Fc region to decrease binding affinity to FcyRIIB are also known in the art (e.g., U.S. Patent Publication No. 20010036459 and PCT Publication No. WO 01/79299, both to Ravetch et al., the disclosures of which are incorporated herein in their entireties). Modified antibodies having variant Fc regions with enhanced binding affinity for FcyRIIIA and/or FcyRIIA as compared with a wild type Fc region are known (e.g., PCT Publication Nos. WO 2004/063351, to Stavenhagen et al.; the disclosure of which is incorporated herein in its entirety).
[186] In additional examples, cysteine residue(s) may be introduced in the Fc region, thereby allowing interchain disulfide bond formation in this region. The homodimeric antibody thus generated may have improved internalization capability and/or increased complement-mediated cell killing and/or antibody-dependent cellular cytotoxicity (ADCC). See, Caron et al., J. Exp Med., 176:1191-1195 (1992) and Shopes, B., J. Immunol., 148:2918- 2922 (1992). Homodimeric antibodies with enhanced activity may also be prepared using hetero-bifunctional cross-linkers as described in Wolff et al., Cancer Research, 53:2560-2565 (1993). Alternatively, an antibody can be engineered which has dual Fc regions and may thereby have enhanced complement lysis and ADCC capabilities. See, Stevenson et al., Anti- Cancer Drug Design, 3:219-230 (1989).
[187] The present invention encompasses Fc variant proteins which have altered binding properties for an Fc ligand (e.g., an Fc receptor, Clq) relative to a comparable molecule (e.g., a protein having the same amino acid sequence except having a wild type Fc region).
Examples of binding properties include, but are not limited to, binding specificity, equilibrium dissociation constant (KD), dissociation and association rates (K0ff and Kon), binding affinity and/or avidity. It is generally understood that a binding molecule (e.g., a
Fc variant protein such as an antibody) with a low KD is preferable to a binding molecule with a high KD. However, in some instances the value of the Kon or K0ff may be more relevant than the value of the KD- One skilled in the art can determine which kinetic parameter is most important for a given antibody application.
[188] The affinities and binding properties of an Fc domain for its ligand, may be determined by a variety of in vitro assay methods (biochemical or immunological based assays) known in the art for determining Fc-FcyR interactions, i.e., specific binding of an Fc region to an FcyR including but not limited to, equilibrium methods (e.g., enzyme-linked immunoabsorbent assay (ELISA), or radioimmunoassay (RIA)), or kinetics (e.g., BIACORE. ™ analysis), and other methods such as indirect binding assays, competitive inhibition assays, fluorescence resonance energy transfer (FRET), gel electrophoresis and
chromatography (e.g., gel filtration). These and other methods may utilize a label on one or more of the components being examined and/or employ a variety of detection methods including but not limited to chromogenic, fluorescent, luminescent, or isotopic labels. A detailed description of binding affinities and kinetics can be found in, for example, Paul,
W. E., ed., Fundamental Immunology, 4th Ed., Lippincott-Raven, Philadelphia (1999).
[189] For example, a modification that enhances Fc binding to one or more positive regulators (e.g., FcyRIIIA) while leaving unchanged or even reducing Fc binding to the negative regulator FcyRIIB would be more preferable for enhancing ADCC activity.
Alternatively, a modification that reduced binding to one or more positive regulator and/or enhanced binding to FcyRIIB would be preferable for reducing ADCC activity. Accordingly, the ratio of binding affinities (e.g., equilibrium dissociation constants (KD)) can indicate if the ADCC activity of an Fc variant is enhanced or decreased. For example, a decrease in the ratio of FcyRIIIA/FcyRIIB equilibrium dissociation constants (KD), will correlate with improved ADCC activity, while an increase in the ratio will correlate with a decrease in ADCC activity. Additionally, modifications that enhanced binding to Clq would be preferable for enhancing CDC activity while modification that reduced binding to Clq would be preferable for reducing or eliminating CDC activity.
[190] In one aspect, the Fc variants of the invention bind FcyRIIIA with increased affinity relative to a comparable molecule. In another aspect, the Fc variants of the invention bind FcyRIIIA with increased affinity and bind FcyRIIB with a binding affinity that is unchanged relative to a comparable molecule. In still another aspect, the Fc variants of the invention bind FcyRIIIA with increased affinity and bind FcyRIIB with a decreased affinity relative to a comparable molecule. In yet another aspect, the Fc variants of the invention have a ratio of FcyRIIIA/FcyRIIB equilibrium dissociation constants (KD) that is decreased relative to a comparable molecule.
[191] In one aspect, the Fc variant protein has enhanced binding to one or more Fc ligand relative to a comparable molecule. In another aspect, the Fc variant protein has an affinity for an Fc ligand that is at least 2 fold, or at least 3 fold, or at least 5 fold, or at least 7 fold, or at least 10 fold, or at least 20 fold, or at least 30 fold, or at least 40 fold, or at least 50 fold, or at least 60 fold, or at least 70 fold, or at least 80 fold, or at least 90 fold, or at least 100 fold, or at least 200 fold greater than that of a comparable molecule. In a specific aspect, the
Fc variant protein has enhanced binding to an Fc receptor. In another specific aspect, the Fc variant protein has enhanced binding to the Fc receptor FcyRIIIA. In still another specific aspect, the Fc variant protein has enhanced binding to the Fc receptor FcRn. In yet another specific aspect, the Fc variant protein has enhanced binding to Clq relative to a comparable molecule.
[192] In another aspect, an Fc variant of the invention has an equilibrium dissociation constant (KD) that is decreased between about 2 fold and about 10 fold, or between about 5 fold and about 50 fold, or between about 25 fold and about 250 fold, or between about 100 fold and about 500 fold, or between about 250 fold and about 1000 fold relative to a comparable molecule. In another aspect, an Fc variant of the invention has an equilibrium dissociation constant (KD) that is decreased between 2 fold and 10 fold, or between 5 fold and 50 fold, or between 25 fold and 250 fold, or between 100 fold and 500 fold, or between 250 fold and 1000 fold relative to a comparable molecule. In a specific aspect, the Fc variants have an equilibrium dissociation constants (KD) for FcyRIIIA that is reduced by at least
2 fold, or at least 3 fold, or at least 5 fold, or at least 7 fold, or at least 10 fold, or at least 20 fold, or at least 30 fold, or at least 40 fold, or at least 50 fold, or at least 60 fold, or at least 70 fold, or at least 80 fold, or at least 90 fold, or at least 100 fold, or at least 200 fold, or at least 400 fold, or at least 600 fold, relative to a comparable molecule.
[193] In one aspect, an Fc variant protein has enhanced ADCC activity relative to a comparable molecule. In a specific aspect, an Fc variant protein has ADCC activity that is at least 2 fold, or at least 3 fold, or at least 5 fold, or at least 10 fold, or at least 50 fold, or at least 100 fold greater than that of a comparable molecule. In another specific aspect, an
Fc variant protein has enhanced binding to the Fc receptor FcyRIIIA and has enhanced ADCC activity relative to a comparable molecule. In other aspects, the Fc variant protein has both enhanced ADCC activity and enhanced serum half life relative to a comparable molecule.
[194] In one aspect, an Fc variant protein has enhanced CDC activity relative to a comparable molecule. In a specific aspect, an Fc variant protein has CDC activity that is at least 2 fold, or at least 3 fold, or at least 5 fold, or at least 10 fold, or at least 50 fold, or at least 100 fold greater than that of a comparable molecule. In other aspects, the Fc variant protein has both enhanced CDC activity and enhanced serum half life relative to a comparable molecule.
[195] In one aspect, the present invention provides formulations, wherein the Fc region comprises a non-naturally occurring amino acid residue at one or more positions selected from the group consisting of 234, 235, 236, 239, 240, 241, 243, 244, 245, 247, 252, 254, 256, 262, 263, 264, 265, 266, 267, 269, 296, 297, 298, 299, 313, 325, 326, 327, 328, 329, 330, 332, 333, and 334 as numbered by the EU index as set forth in Kabat. Optionally, the
Fc region may comprise a non-naturally occurring amino acid residue at additional and/or alternative positions known to one skilled in the art (see, e.g., U.S. Pat. Nos. 5,624,821; 6,277,375; 6,737,056; PCT Patent Publications WO 01/58957; WO 02/06919;
WO 04/016750; WO 04/029207; WO 04/035752 and WO 05/040217) or as disclosed herein.
[196] In a specific aspect, the present invention provides an Fc variant protein formulation, wherein the Fc region comprises at least one non-naturally occurring amino acid residue selected from the group consisting of 234D, 234E, 234N, 234Q, 234T, 234H, 234Y, 2341, 234V, 234F, 235A, 235D, 235R, 235W, 235P, 235S, 235N, 235Q, 235T, 235H, 235Y, 2351, 235V, 235F, 236E, 239D, 239E, 239N, 239Q, 239F, 239T, 239H, 239Y, 2401, 240A, 240T, 240M, 241W, 241L, 241Y, 241E, 241 R. 243W, 243L 243Y, 243R, 243Q, 244H, 245A, 247V, 247G, 252Y, 254T, 256E, 2621, 262A, 262T, 262E, 2631, 263A, 263T, 263M, 264L, 2641, 264W, 264T, 264R, 264F, 264M, 264Y, 264E, 265G, 265N, 265Q, 265Y, 265F, 265V, 2651, 265L, 265H, 265T, 2661, 266A, 266T, 266M, 267Q, 267L, 269H, 269Y, 269F, 269R, 296E, 296Q, 296D, 296N, 296S, 296T, 296L, 2961, 296H, 269G, 297S, 297D, 297E, 298H, 2981, 298T, 298F, 2991, 299L, 299A, 299S, 299V, 299H, 299F, 299E, 313F, 325Q, 325L, 3251, 325D, 325E, 325A, 325T, 325V, 325H, 327G, 327W, 327N, 327L, 328S, 328M, 328D, 328E, 328N, 328Q, 328F, 3281, 328V, 328T, 328H, 328A, 329F, 329H, 329Q, 330K, 330G, 330T, 330C, 330L, 330Y, 330V, 3301, 330F, 330R, 330H, 332D, 332S, 332W, 332F, 332E, 332N, 332Q, 332T, 332H, 332Y, and 332A as numbered by the EU index as set forth in Kabat. Optionally, the Fc region may comprise additional and/or alternative non-naturally occurring amino acid residues known to one skilled in the art (see, e.g., U.S. Pat. Nos.
5,624,821; 6,277,375; 6,737,056; PCT Patent Publications WO 01/58957; WO 02/06919; WO 04/016750; WO 04/029207; WO 04/035752 and WO 05/040217).
[197] In another aspect, the present invention provides an Fc variant protein formulation, wherein the Fc region comprises at least a non-naturally occurring amino acid at one or more positions selected from the group consisting of 239, 330 and 332, as numbered by the
EU index as set forth in Kabat. In a specific aspect, the present invention provides an Fc variant protein formulation, wherein the Fc region comprises at least one non-naturally occurring amino acid selected from the group consisting of 239D, 330L and 332E, as numbered by the EU index as set forth in Kabat. Optionally, the Fc region may further comprise an additional non-naturally occurring amino acid at one or more positions selected from the group consisting of 252, 254, and 256, as numbered by the EU index as set forth in Kabat. In a specific aspect, the present invention provides an Fc variant protein formulation, wherein the Fc region comprises at least one non-naturally occurring amino acid selected from the group consisting of 239D, 330L and 332E, as numbered by the EU index as set forth in Kabat, and at least one non-naturally occurring amino acid at one or more positions are selected from the group consisting of 252Y, 254T and 256E, as numbered by the EU index as set forth in Kabat.
[198] In one aspect, the Fc variants of the present invention may be combined with other known Fc variants such as those disclosed in Ghetie et ah, 1997, Nat. Biotech. 15:637-40; Duncan et al, 1988, Nature 332:563-564; Lund et ah, 1991, J. Immunol., 147:2657-2662; Lund et al, 1992, Mol. Immunol., 29:53-59; Alegre et al, 1994, Transplantation 57:1537- 1543; Hutchins et al., 1995, Proc Natl. Acad Sci USA, 92:11980-11984; Jefferis et al, 1995, Immunol. Lett., 44:111-117; Lund et al., 1995, Faseb J., 9:115-119; Jefferis et al, 1996, Immunol Lett., 54:101-104; Lund et al, 1996, J. Immunol., 157:4963-4969; Armour et al., 1999, Eur. J. Immunol. 29:2613-2624; Idusogie et al, 2000, J. Immunol., 164:4178-4184; Reddy et al, 2000, J. Immunol., 164:1925-1933; Xu et al., 2000, Cell Immunol., 200:16-26; Idusogie et al, 2001, J. Immunol., 166:2571-2575; Shields et al., 2001, J Biol. Chem., 276:6591-6604; Jefferis et al., 2002, Immunol Lett., 82:57-65; Presta et al., 2002, Biochem. Soc. Trans., 30:487-490); U.S. Pat. Nos. 5,624,821; 5,885,573; 5,677,425; 6,165,745;
6,277,375; 5,869,046; 6,121,022; 5,624,821; 5,648,260; 6,528,624; 6,194,551; 6,737,056; 6,821,505; 6,277,375; U.S. Patent Publication Nos. 2004/0002587 and PCT Publications WO 94/29351; WO 99/58572; WO 00/42072; WO 02/060919; WO 04/029207;
WO 04/099249; and WO 04/063351 which disclose exemplary Fc variants. Also
encompassed by the present invention are Fc regions which comprise deletions, additions and/or modifications. Still other modifications/substitutions/additions/deletions of the Fc domain will be readily apparent to one skilled in the art.
[199] Alternatively or additionally, it may be useful to combine amino acid modifications with one or more further amino acid modifications that alter Clq binding and/or the complement dependent cytotoxicity (CDC) function of the Fc region of an antigen binding molecule. The starting polypeptide of particular interest may be one that binds to Clq and displays complement dependent cytotoxicity. Polypeptides with pre-existing Clq binding activity, optionally further having the ability to mediate CDC, may be modified such that one or both of these activities are enhanced. Amino acid modifications that alter Clq and/or modify its complement dependent cytotoxicity function are described, for example, in W00042072, which is hereby entirely incorporated by reference.
[200] Methods for generating non-naturally occurring Fc regions are known in the art. For example, amino acid substitutions and/or deletions can be generated by mutagenesis methods, including, but not limited to, site-directed mutagenesis (e.g., Kunkel, Proc. Natl. Acad. Sci. USA, 82:488-492 (1985)), PCR mutagenesis (e.g., Higuchi, in "PCR Protocols: A Guide to Methods and Applications", Academic Press, San Diego, pp. 177-183 (1990)), and cassette mutagenesis (e.g., Wells et ah, Gene, 34:315-323 (1985)). Preferably, site-directed
mutagenesis is performed by the overlap-extension PCR method (e.g., Higuchi, in "PCR Technology: Principles and Applications for DNA Amplification", Stockton Press, New York, pp. 61-70 (1989)). Other exemplary methods useful for the generation of variant Fc regions are known in the art (see, e.g., U.S. Pat. Nos. 5,624,821; 5,885,573; 5,677,425; 6,165,745; 6,277,375; 5,869,046; 6,121,022; 5,624,821; 5,648,260; 6,528,624; 6,194,551; 6,737,056; 6,821,505; 6,277,375; U.S. Patent Publication Nos. 2004/0002587 and PCT Publications WO 94/29351; WO 99/58572; WO 00/42072; WO 02/060919; WO 04/029207;
WO 04/099249; WO 04/063351, the entire contents of which are incorporated herein by reference).
[201] In some aspects, an Fc variant protein comprises one or more engineered glycoforms, i.e., a carbohydrate composition that is covalently attached to the molecule comprising an Fc region. Engineered glycoforms may be useful for a variety of purposes, including but not limited to enhancing or reducing effector function. Engineered glycoforms may be generated by methods disclosed herein and any method known to one skilled in the art, for example by using engineered or variant expression strains, by using growth conditions or media affecting glycosylation, by co-expression with one or more enzymes, for example DI N- acetylglucosaminyltransferase III (GnTIII), by expressing a molecule comprising an
Fc region in various organisms or cell lines from various organisms, or by modifying carbohydrate(s) after the molecule comprising Fc region has been expressed. Methods for generating engineered glycoforms are known in the art, and include but are not limited to those described in Umana et ah, 1999, Nat. Biotechnok, 17:176-180; Davies et ah, 20017 Biotechnol Bioeng., 74:288-294; Shields et ah, 2002, J Biol. Chem., 277:26733-26740;
Shinkawa et ah, 2003, J Biol. Chem., 278:3466-3473) U.S. Pat. No. 6,602,684; U.S. Appl. Ser. No. 10/277,370; U.S. Appl. Ser. No. 10/113,929; PCT WO 00/61739A1; PCT
WO 01/292246A1; PCT WO 02/311140A1; PCT WO 02/30954A1; Potelligent™ technology (Biowa, Inc., Princeton, N.J.); GlycoMAb™ glycosylation engineering technology
(GLYCART™ biotechnology AG, Zurich, Switzerland). See also, e.g., WO 00061739;
EA01229125; US 20030115614; Okazaki et ah, 2004, JMB, 336: 1239-49.
[202] In certain aspects, an Fc variant protein with engineered glycoforms contains carbohydrate structures attached to the Fc region that lack fucose. Such variants have improved ADCC function. Examples of publications related to "defucosylated" or "fucose- deficient" antibodies include: US Pat. Appl. No. US 2003/0157108 (Presta, F.) and
US 2004/0093621 (Kyowa Hakko Kogyo Co., Ftd); US 2003/0157108; WO 2000/61739;
WO 2001/29246; US 2003/0115614; US 2002/0164328; US 2004/0093621; US
2004/0132140; US 2004/0110704; US 2004/0110282; US 2004/0109865; WO 2003/085119; WO 2003/084570; WO 2005/035586; WO 2005/035778; W02005/053742; Okazaki et al„ J. Mol. Biol., 336:1239-1249 (2004); Yamane Ohnuki et ah, Biotech. Bioeng., 87: 614 (2004).
[203] Antibodies with a bisecting N-acetylglucosamine (GlcNAc) in the carbohydrate attached to an Fc region of the antibody are referenced in, for example, WO 2003/011878, Jean-Mairet et al. and US Pat. No. 6,602,684, Umana et al. Antibodies with at least one galactose residue in the oligosaccharide attached to an Fc region of the antibody are reported in, for example, WO 1997/30087, Patel et al. See also, WO 1998/58964 and WO 1999/22764 (Raju, S.) concerning antibodies with altered carbohydrate attached to the Fc region thereof. See also, for example, US 2005/0123546 (Umana et al.) regarding antigen-binding molecules with modified glycosylation.
[204] Non-limiting examples of cell lines producing defucosylated antibodies include Fee 13 CHO cells deficient in protein fucosylation (Ripka et al. Arch. Biochem. Biophys. 249:533- 545 (1986); US Pat. Appl. No. US 2003/0157108 Al, Presta, F; and WO 2004/056312 Al, Adams et al., especially at Example 11), knockout cell lines, such as alpha-l,6- fucosyltransferase gene, FUT8, knockout CHO cells (Yamane- Ohnuki et al., Biotech.
Bioeng., 87: 614 (2004)), and through the use of fucosylation pathway inhibitors such as, for example, castanospermine in cell culture media (US Pat. Appl. No. 2009/0041765).
[205] In certain embodiments, the antibody of the present invention is expressed in cells that express beta (l,4)-N-acetylglucosaminyltransferase III (GnT III), such that GnT III adds GlcNAc to the human engineered antigen specific antibody. Methods for producing antibodies in such a fashion are provided in WO/9954342, W 0/03011878, patent publication 20030003097A1, and Umana et al., Nature Biotechnology, 17:176-180, February 1999. [206] Another method to alter the glycosylation pattern of the Fc region of an antibody is through amino acid substitution(s). Glycosylation of an Fc region is, for example, either N-linked or O-linked.
[207] N-linked generally refers to the attachment of the carbohydrate moiety to the side chain of an asparagine residue. The recognition sequences for enzymatic attachment of the carbohydrate moiety to the asparagine side chain peptide sequences are asparagine-X- serine and asparagine-X-threonine, where X is any amino acid except proline. Thus, the presence of either of these peptide sequences in a polypeptide creates a potential glycosylation site.
[208] O-linked glycosylation generally refers to the attachment of one of the sugars N-aceylgalactosamine, galactose, or xylose to a hydroxyamino acid, most commonly serine or threonine, although 5-hydroxyproline or 5-hydroxylysine may also be used.
[209] The glycosylation pattern of an antibody or fragment thereof may be altered, for example, by deleting one or more glycosylation site(s) found in the polypeptide, and/or adding one or more glycosylation site(s) that are not present in the polypeptide. Removal of glycosylation sites in the Fc region of an antibody or antibody fragment is conveniently accomplished by altering the amino acid sequence such that it eliminates one or more of the above-described tripeptide sequences (for N-linked glycosylation sites).
[210] An exemplary glycosylation variant has an amino acid substitution of residue N297 to A297 (EU numbering system) of the heavy chain. The removal of an O-linked glycosylation site may also be achieved by the substitution of one or more glycosylated serine or threonine residues with any amino acid besides serine or threonine.
E. Functional Equivalents, Antibody Variants and Derivatives
[211] Functional equivalents further include fragments of antibodies that have the same, or comparable binding characteristics to those of the whole or intact antibody. Such fragments may contain one or both Fab fragments or the F(ab')2 fragment. Preferably the antibody fragments contain all six complementarity determining regions of the whole antibody, although fragments containing fewer than all of such regions, such as one, two, three, four or five CDRs, are also functional. Further, the functional equivalents may be or may combine members of any one of the following immunoglobulin classes: IgG, IgM, IgA, IgD, or IgE, and the subclasses thereof.
[212] In certain aspects of the invention, the anti-MET antibodies can be modified to produce fusion proteins; i.e., the antibody, or a fragment fused to a heterologous protein, polypeptide or peptide. In certain aspects, the protein fused to the portion of an anti-MET antibody is an enzyme component of ADEPT. Examples of other proteins or polypeptides that can be engineered as a fusion protein with an anti-MET antibody include, but are not limited to, toxins such as ricin, abrin, ribonuclease, DNase I, Staphylococcal enterotoxin-A, pokeweed anti-viral protein, gelonin, diphtherin toxin, Pseudomonas exotoxin, and
Pseudomonas endotoxin. See, for example, Pastan et al., Cell, 47:641 (1986); and Goldenberg et al., Cancer Journal for Clinicians, 44:43 (1994). Enzymatically active toxins and fragments thereof which can be used include, but are not limited to, diphtheria A chain, non-binding active fragments of diphtheria toxin, exotoxin A chain (from Pseudomonas aeruginosa ), ricin A chain, abrin A chain, modeccin A chain, alpha-sarcin, Aleurites fordii proteins, dianthin proteins, Phytolaca americana proteins (PAPI, PAPII, and PAP-S), momordica charantia inhibitor, curcin, crotin, sapaonaria officinalis inhibitor, gelonin, mitogellin, restrictocin, phenomycin, enomycin and the tricothecenes. Non-limiting examples are included in, for example, WO 93/21232 published Oct. 28, 1993 incorporated entirely herein by reference.
[213] Additional fusion proteins may be generated through the techniques of gene-shuffling, motif- shuffling, exon- shuffling, and/or codon- shuffling (collectively referred to as "DNA shuffling"). DNA shuffling may be employed to alter the activities of the antibodies or fragments thereof (e.g., an antibody or a fragment thereof with higher affinities and lower dissociation rates). See, generally, U.S. Pat. Nos. 5,605,793; 5,811,238; 5,830,721;
5,834,252; and 5,837,458, and Patten et al., 1997, Curr. Opinion Biotechnol., 8:724-33;
Harayama, 1998, Trends Biotechnol., l6(2):76-82; Hansson et al., 1999, J. Mol. Biol., 287:265-76; and Lorenzo and Blasco, 1998, Biotechniques, 24(2):308-3l3, each of which is hereby incorporated by reference in its entirety. The antibody can further be a binding- domain immunoglobulin fusion protein as described in U.S. Publication 20030118592,
U.S. Publication 200330133939, and PCT Publication WO 02/056910, all to Ledbetter et al., which are incorporated herein by reference in their entireties.
[214] Domain Antibodies. The anti-MET antibodies of the compositions and methods of the invention can be domain antibodies, e.g., antibodies containing the small functional binding units of antibodies, corresponding to the variable regions of the heavy (VH) or light (VL) chains of human antibodies. Examples of domain antibodies include, but are not limited to, those available from Domantis Limited (Cambridge, UK) and Domantis Inc. (Cambridge, Mass., USA), that are specific to therapeutic targets (see, for example, W004/058821;
W004/003019; U.S. Pat. Nos. 6,291,158; 6,582,915; 6,696,245; and 6,593,081).
Commercially available libraries of domain antibodies can be used to identify anti-MET domain antibodies. In certain aspects, the anti-MET antibodies of the invention comprise a MET functional binding unit and a Fc gamma receptor functional binding unit.
[215] Diabodies. The term "diabodies" refers to small antibody fragments with two antigen binding sites, which fragments comprise a heavy chain variable domain (VH) connected to a light chain variable domain (VL) in the same polypeptide chain (VH-VL). By using a linker that is too short to allow pairing between the two domains on the same chain, the domains are forced to pair with the complementary domains of another chain and create two antigen binding sites. Diabodies are described more fully in, for example, EP 404,097;
WO 93/11161; and Hollinger et al., Proc. Natl. Acad. Sci. USA, 90:6444-6448 (1993).
[216] Vaccibodies. In certain aspects of the invention, the anti-MET antibodies are vaccibodies. Vaccibodies are dimeric polypeptides. Each monomer of a vaccibody consists of a scFv with specificity for a surface molecule on an APC connected through a hinge region and a Cg3 domain to a second scFv. In other aspects of the invention, vaccibodies containing as one of the scFv's an anti-MET antibody fragment may be used to juxtapose B cells to be destroyed and an effector cell that mediates ADCC. For example, see, Bogen et al.,
U.S. Patent Application Publication No. 20040253238.
[217] Linear Antibodies. In certain aspects of the invention, the anti-MET antibodies are linear antibodies. Linear antibodies comprise a pair of tandem Fd segments (VH-CH1-VH- CH1) which form a pair of antigen-binding regions. Linear antibodies can be bispecific or monospecific. Non-limiting examples of linear antibodies are disclosed in, for example, Zapata et al., Protein Eng., 8(10): 1057-1062 (1995).
[218] Parent Antibody. In certain aspects of the invention, the anti-MET antibody is a parent antibody. A "parent antibody" is an antibody comprising an amino acid sequence which lacks, or is deficient in, one or more amino acid residues in or adjacent to one or more hypervariable regions thereof compared to an altered/mutant antibody as herein disclosed. Thus, the parent antibody has a shorter hypervariable region than the corresponding hypervariable region of an antibody mutant as herein disclosed. The parent polypeptide may comprise a native sequence (i.e., a naturally occurring) antibody (including a naturally occurring allelic variant) or an antibody with pre-existing amino acid sequence modifications (such as other insertions, deletions and/or substitutions) of a naturally occurring sequence. Preferably the parent antibody is a humanized antibody or a human antibody.
[219] Antibody Fragments. "Antibody fragments" comprise a portion of a full-length antibody, generally the antigen binding or variable region thereof. Examples of antibody fragments include Fab, Fab', F(ab')2, and Fv fragments; diabodies; linear antibodies; single- chain antibody molecules; single Fab arm“one arm” antibodies and multispecific antibodies formed from antibody fragments, among others.
[220] Traditionally, fragments were derived via proteolytic digestion of intact antibodies (see, e.g., Morimoto et ah, Journal of Biochemical and Biophysical Methods, 24: 107-117 (1992) and Brennan et ah, Science, 229:81 (1985)). However, fragments can now be produced directly by recombinant host cells. For example, the antibody fragments can be isolated from the antibody phage libraries as discussed herein. Alternatively, Fab'-SH fragments can be directly recovered from E. coli and chemically coupled to form F(ab')2 fragments (Carter et al., Bio Technology, 10: 163-167 (1992)). According to another approach, F(ab')2 fragments can be isolated directly from recombinant host cell culture. Single Fab arm“one arm” antibodies can be made by generating Fc“knob and hole” mutations such that the resulting molecule can be expressed in bacterial or mammalian hosts containing a single Fab arm with a full dimeric Fc region (Merchant et al., Nat. Biotechnol., 1998 Jul., 16(7):677-81, WO 2005/063816 A2). Other techniques for the production of antibody fragments are apparent to the skilled practitioner given the detailed teachings in the present specification. In other aspects, the antibody of choice is a single-chain Fv fragment (scFv). See, for example, WO 93/16185. In certain aspects, the antibody is not a
Fab fragment.
[221] Bispecific Antibodies. Bispecific antibodies are antibodies that have binding specificities for at least two different epitopes. Exemplary bispecific antibodies may bind to two different epitopes of MET. Other such antibodies may bind MET and further bind a second antigen. Alternatively, a MET binding arm may be combined with an arm which binds to a triggering molecule on a leukocyte such as a T cell receptor molecule (e.g., CD2 or CD3), or Fc receptors for IgG (FcyR), so as to focus cellular defense mechanisms to the target. Bispecific antibodies may also be used to localize cytotoxic agents to the target. These antibodies possess a cell marker-binding arm and an arm which binds the cytotoxic agent (e.g., saporin, anti-interferonoc, vinca alkaloid, ricin A chain, methola-exate or radioactive isotope hapten). Bispecific antibodies can be prepared as full-length antibodies or antibody fragments (e.g., F(ab'): bispecific antibodies).
[222] Methods for making bispecific antibodies are known in the art. See, for example, Millstein et al., Nature, 305:537-539 (1983); Traunecker et al., EMBO J., 10:3655-3659 (1991); Suresh et al., Methods in Enzymology, 121:210 (1986); Kostelny et al., J. Immunol., 148(5): 1547-1553 (1992); Hollinger et al., Proc. Natl. Acad. Sci. USA, 90:6444-6448 (1993); Gruber et al., J. Immunol., 152:5368 (1994); U.S. Pat. Nos. 4,474,893; 4,714,681; 4,925,648; 5,573,920; 5,601,81; 95,731,168; 4,676,980; and 4,676,980, WO 94/04690; WO 91/00360; WO 92/200373; WO 93/17715; WO 92/08802; EP 03089 and US 2009/0048122.
[223] In certain aspects of the invention, the compositions and methods comprise a bispecific murine antibody or fragment thereof and/or conjugates thereof with specificity for human MET and the CD3 epsilon chain of the T cell receptor, such as the bispecific antibody described by Daniel et al., Blood, 92:4750-4757 (1998). In preferred aspects, where the anti- MET antibody or fragments thereof and/or conjugates thereof of the compositions and methods of the invention is bispecific, the anti-MET antibody is human or humanized and has specificity for human MET and an epitope on a T cell or is capable of binding to a human effector-cell such as, for example, a monocyte/macrophage and/or a natural killer cell to effect cell death.
F. Antibody Binding Affinity
[224] The antibodies of the invention bind human MET, with a wide range of affinities (KD). In a preferred aspect, at least one mAb of the present invention can optionally bind human antigen with high affinity. For example, a human or human engineered or humanized or resurfaced mAb can bind human antigen with a KD equal to or less than about 10 M, such as but not limited to, 0.1-9.9 (or any range or value therein)xlO7, 108, 109, 1010, 1011, 1012, 1013, 1014, 1015 or any range or value therein, as determined by flow cytometry base assays, enzyme-linked immunoabsorbent assay (ELISA), surface plasmon resonance (SPR) or the KinExA® method, as practiced by those of skill in the art. The anti-MET antibodies bind with a Kd of about l09 M or less, more specifically about l09 to 1010 M.
[225] The affinity or avidity of an antibody for an antigen is determined experimentally using any suitable method well known in the art, e.g. flow cytometry, enzyme-linked immunoabsorbent assay (ELISA), or radioimmunoassay (RIA), or kinetics (e.g., BIACORE ™ analysis). Direct binding assays as well as competitive binding assay formats can be readily employed. (See, for example, Berzofsky, et al., "Antibody- Antigen Interactions," In Fundamental Immunology, Paul, W. E., Ed., Raven Press: New York, N.Y. (1984); Kuby, Janis Immunology, W. H. Freeman and Company: New York, N.Y. (1992); and methods described herein. The measured affinity of a particular antibody- antigen interaction can vary if measured under different conditions (e.g., salt concentration, pH, temperature). Thus, measurements of affinity and other antigen-binding parameters (e.g., KD or Kd, Kon, K0ff) are preferably made with standardized solutions of antibody and antigen, and a standardized buffer, as known in the art and such as the buffer described herein.
[226] In one aspect, binding assays can be performed using flow cytometry on cells expressing the MET antigen on the surface. For example, such MET -positive cells are incubated with varying concentrations of anti-MET antibodies using 1 xlO5 cells per sample in 100 pL FACS buffer (RPMI-1640 medium supplemented with 2% normal goat serum). Then, the cells are pelleted, washed, and incubated for 1 h with 100 pL of FITC-conjugated goat anti-mouse IgG-antibody (such as obtainable from Jackson ImmunoRe search) in FACS buffer. The cells are pelleted again, washed with FACS buffer and resuspended in 200 pF of PBS containing 1% formaldehyde. Samples are acquired, for example, using a FACSCalibur flow cytometer with the HTS multiwell sampler and analyzed using CellQuest Pro (all from BD Biosciences, San Diego, US). For each sample the mean fluorescence intensity for FF1 (MFI) is exported and plotted against the antibody concentration in a semi-log plot to generate a binding curve. A sigmoidal dose-response curve is fitted for binding curves and EC50 values are calculated using programs such as GraphPad Prism v4 with default parameters (GraphPad software, San Diego, CA). EC50 values can be used as a measure for the apparent dissociation constant“Kd” or“KD” for each antibody.
[227] In certain aspects of the invention, the anti-MET antibodies can be modified to alter their binding affinity for the MET and antigenic fragments thereof. Binding properties may be determined by a variety of in vitro assay methods known in the art, e.g. enzyme-linked immunoabsorbent assay (EFISA), or radioimmunoassay (RIA)), or kinetics (e.g.,
BIACORE™ analysis). It is generally understood that a binding molecule having a low KD is preferred.
[228] In one aspect of the present invention, antibodies or antibody fragments specifically bind MET and antigenic fragments thereof with a dissociation constant or KD or Kd (k0ff/k0n) of less than 105 M, or of less than 106 M, or of less than 107 M, or of less than 108 M, or of less than 109 M, or of less than 1010 M, or of less than 1011 M, or of less than 1012 M, or of less than 1013 M.
[229] In another aspect, the antibody or fragment of the invention binds to MET and/or antigenic fragments thereof with a K0ff of less than 1x10 3 s-1 , or less than 3x10 3 s-1. In other aspects, the antibody binds to HGFR and antigenic fragments thereof with a K0ff less than 103 s1 less than 5xl03 s1, less than 104 s1, less than 5xl04 s1, less than 105 s1, less than 5x105 s1, less than 106 s1, less than 5xl06 s1, less than 107 s1, less than 5xl07 s1, less than 10-8 s1, less than 5xl08 s-1, less than 109 s1, less than 5xl09 s1, or less than 1010 s1. [230] In another aspect, the antibody or fragment of the invention binds to MET and/or antigenic fragments thereof with an association rate constant or kon rate of at least 105 M1 s1, at least 5x105 M1 s1, at least 106 M1 s1, at least 5xl06 M1 s1, at least 107 M1 s1, at least 5xl07 M1 s_1, or at least 108 M1 s1, or at least 109 M_1 s1.
[231] One of skill understands that the conjugates of the invention may have the same properties as those described herein.
G. Antibody pi and Tm
[232] In certain aspects of the invention, the anti-MET antibodies can be modified to alter their isoelectric point (pi). Antibodies, like all polypeptides, have a pi, which is generally defined as the pH at which a polypeptide carries no net charge. It is known in the art that protein solubility is typically lowest when the pH of the solution is equal to the isoelectric point (pi) of the protein. As used herein the pi value is defined as the pi of the predominant charge form. The pi of a protein may be determined by a variety of methods including but not limited to, isoelectric focusing and various computer algorithms (see, e.g., Bjellqvist et ah, 1993, Electrophoresis, 14: 1023). In addition, the thermal melting temperatures (Tm) of the Fab domain of an antibody, can be a good indicator of the thermal stability of an antibody and may further provide an indication of the shelf-life. A lower Tm indicates more aggregation/less stability, whereas a higher Tm indicates less aggregation/more stability. Thus, in certain aspects antibodies having higher Tm are preferable. Tm of a protein domain (e.g., a Fab domain) can be measured using any standard method known in the art, for example, by differential scanning calorimetry (see, e.g., Vermeer et ah, 2000, Biophys. J. 78:394-404; Vermeer et ah, 2000, Biophys. J. 79: 2150-2154).
[233] Accordingly, an additional non-exclusive aspect of the present invention includes modified antibodies that have certain preferred biochemical characteristics, such as a particular isoelectric point (pi) or melting temperature (Tm).
II. Polynucleotides, Vectors, Host cells and Recombinant Methods
[234] The present invention further provides polynucleotides comprising a nucleotide sequence encoding an antibody of the invention or epitope-binding fragments thereof.
[235] Also provided are polynucleotides encoding such anti-MET antibodies as described above. [236] Also provided is a polynucleotide having least about 10%, 15%, 20%, 25%, 30%, 35%, 40%, 45%, 50%, 55%, 60%, 65%, 70%, 75%, 80%„ 85%, 90%, 95%, 96%, 97%, 98%, or 99% sequence identity to the polynucleotide that encodes for or transcribes the amino acid sequence of any of the heavy chain variable regions of the antibodies produced by hybridomas 247.27.16, 247.2.26, 247.48.38, 247.3.14, 247.22.2, 248.69.4, and 247.16.8 and/or (b) a polynucleotide having at least about 10%, 15%, 20%, 25%, 30%, 35%, 40%, 45%, 50%, 55%, 60%, 65%, 70%, 75%, 80%„ 85%, 90%, 95%, 96%, 97%, 98%, or 99% sequence identity to the polynucleotide encoding or transcribing the amino acid sequence of any of the light chain variable regions of the antibodies produced by hybridomas 247.27.16, 247.2.26, 247.48.38, 247.3.14, 247.22.2, 248.69.4, and 247.16.8.
[237] The invention provides a polynucleotide encoding a polypeptide comprising a sequence selected from the group consisting of SEQ ID NOs:55-72. The invention further provides a polynucleotide comprising a humanized variable region DNA sequence selected from those shown in Tables 6 and 7 below.
Table 6. Nucleotide sequences encoding variable light chain and heavy chain sequences of exemplary cMET-22 and cMET-27 antibodies
Figure imgf000072_0001
Figure imgf000073_0001
Figure imgf000074_0001
Figure imgf000075_0001
Table 7. Nucleotide sequences encoding full-length light chain and heavy chain sequences of exemplary cMET-22 and cMET-27 antibodies
Figure imgf000075_0002
Figure imgf000076_0001
Figure imgf000077_0001
Figure imgf000078_0001
Figure imgf000079_0001
Figure imgf000080_0001
Figure imgf000081_0001
Figure imgf000082_0001
Figure imgf000083_0001
Figure imgf000084_0001
Figure imgf000085_0002
[238] Also provided is a polynucleotide having at least about 95%, at least about 96%, at least about 97%, at least about 98%, or at least about 99% sequence identity to the sequences in Table 6 (SEQ ID NOs:55-67). In particular embodiments, also provided is a
polynucleotide having at least about 95%, at least about 96%, at least about 97%, at least about 98%, or at least about 99% sequence identity to the following sequences:
Figure imgf000085_0001
[239] Also provided is a polynucleotide having at least about 95%, at least about 96%, at least about 97%, at least about 98%, or at least about 99% sequence identity to the sequences in Table 7 (SEQ ID NOs:68-72 and 109-116). In particular embodiments, also provided is a polynucleotide having at least about 95%, at least about 96%, at least about 97%, at least about 98%, or at least about 99% sequence identity to the following sequences:
Figure imgf000086_0001
In one embodiment, the polynucleotide has the sequence of SEQ ID NO:68 and SEQ ID
NO:l l4.
[240] The present invention further provides variants of the hereinabove described polynucleotides encoding, for example, fragments, analogs, and derivatives.
[241] The polynucleotide variants can contain alterations in the coding regions, non-coding regions, or both. In some embodiments the polynucleotide variants contain alterations which produce silent substitutions, additions, or deletions, but do not alter the properties or activities of the encoded polypeptide. In some embodiments, nucleotide variants are produced by silent substitutions due to the degeneracy of the genetic code. Polynucleotide variants can be produced for a variety of reasons, e.g., to optimize codon expression for a particular host (change codons in the human mRNA to those preferred by a bacterial host such as E. coli).
[242] The present invention also encompasses polynucleotides encoding a polypeptide that can bind MET and that hybridizes under stringent hybridization conditions to polynucleotides that encode an antibody of the present invention, wherein said stringent hybridization conditions include: pre-hybridization for 2 hours at 60°C in 6x SSC, 0.5% SDS, 5x
Denhardt's solution, and 100 Eg/ml heat denatured salmon sperm DNA; hybridization for
18 hours at 60°C; washing twice in 4x SSC, 0.5% SDS, 0.1% sodium pyrophosphate, for 30 min at 60°C and twice in 2x SSC, 0.1% SDS for 30 min at 60°C.
[243] The polynucleotides may be obtained, and the nucleotide sequence of the
polynucleotides determined, using methods known in the art. For example, if the nucleotide sequence of the antibody is known, a polynucleotide encoding the antibody may be assembled from chemically synthesized oligonucleotides (e.g., as described in Kutmeier et ah, 1994, BioTechniques 17:242) which, briefly, involves the synthesis of overlapping oligonucleotides containing portions of the sequence encoding the antibody, annealing and ligation of those oligonucleotides, and then amplification of the ligated oligonucleotides by PCR.
[244] Methods for the construction of recombinant vectors containing antibody coding sequences and appropriate transcriptional and translational control signals are well known in the art. Once an antibody molecule of the invention has been recombinantly expressed, it may be purified by any method known in the art for purification of an immunoglobulin molecule, for example, by chromatography (e.g., ion exchange, affinity, particularly by affinity for the specific antigen after Protein A, and sizing column chromatography), centrifugation, differential solubility, or by any other standard technique for the purification of proteins. In this regard, U.S. Patent No. 7,538,195 has been referred to in the present disclosure, the teachings of which are hereby incorporated in its entirety by reference.
[245] In another aspect, diverse antibodies and antibody fragments, as well as antibody mimics may be readily produced by mutation, deletion and/or insertion within the variable and constant region sequences that flank a particular set of CDRs. Thus, for example, different classes of antibody are possible for a given set of CDRs by substitution of different heavy chains, whereby, for example, IgGl-4, IgM, IgA 1-2, IgD, IgE antibody types and isotypes may be produced. Similarly, artificial antibodies within the scope of the invention may be produced by embedding a given set of CDRs within an entirely synthetic framework. The term "variable" is used herein to describe certain portions of the variable domains that differ in sequence among antibodies and are used in the binding and specificity of each particular antibody for its antigen. However, the variability is not usually evenly distributed through the variable domains of the antibodies. It is typically concentrated in three segments called complementarity determining regions (CDRs) or hypervariable regions both in the light chain and the heavy chain variable domains. The more highly conserved portions of the variable domains are called the framework (FR). The variable domains of heavy and light chains each comprise four framework regions, largely adopting a beta- sheet configuration, connected by three CDRs, which form loops connecting, and in some cases forming part of the beta-sheet structure. The CDRs in each chain are held together in close proximity by the FR regions and, with the CDRs from the other chain, contribute to the formation of the antigen binding site of antibodies (see, for example, E. A. Rabat et al. Sequences of Proteins of Immunological Interest, fifth edition, 1991, NIH). The constant domains are not involved directly in binding an antibody to an antigen, but exhibit various effector functions, such as participation of the antibody in antibody-dependent cellular toxicity.
[246] Humanized antibodies, or antibodies adapted for non-rejection by other mammals, may be produced using several technologies such as resurfacing and CDR grafting. In the resurfacing technology, molecular modeling, statistical analysis and mutagenesis are combined to adjust the non-CDR surfaces of variable regions to resemble the surfaces of known antibodies of the target host. Strategies and methods for the resurfacing of antibodies, and other methods for reducing immunogenicity of antibodies within a different host, are disclosed in, for example, US Patent 5,639,641, which is hereby incorporated in its entirety by reference. In the CDR grafting technology, the murine heavy and light chain CDRs are grafted into a fully human framework sequence.
[247] The invention also includes functional equivalents of the antibodies described in this specification. Functional equivalents have binding characteristics that are comparable to those of the antibodies, and include, for example, chimerized, humanized and single chain antibodies as well as fragments thereof. Exemplary methods of producing such functional equivalents are disclosed in PCT Application WO 93/21319, European Patent Application No. 239,400; PCT Application WO 89/09622; European Patent Application 338,745; and European Patent Application EP 332,424, which are incorporated in their respective entireties by reference.
[248] Functional equivalents include polypeptides with amino acid sequences substantially the same as the amino acid sequence of the variable or hypervariable regions of the antibodies of the invention. "Substantially the same" as applied to an amino acid sequence is defined herein as a sequence with at least about 90%, and more preferably at least about 95%, 96%, 97%, 98%, and 99% sequence identity to another amino acid sequence, as determined by the FASTA search method in accordance with Pearson and Lipman, Proc. Natl. Acad. Sci. USA 85, 2444-2448 (1988).
[249] Chimeric antibodies preferably can have constant regions derived substantially or exclusively from human antibody constant regions and variable regions derived substantially or exclusively from the sequence of the variable region from a mammal other than a human. Humanized forms of the antibodies can be made by substituting the complementarity determining regions of, for example, a mouse antibody, into a human framework domain, e.g., PCT Pub. No. W092/22653. Humanized antibodies preferably can have constant regions and variable regions other than the complementarity determining regions (CDRs) derived substantially or exclusively from the corresponding human antibody regions and CDRs derived substantially or exclusively from a mammal other than a human.
[250] Functional equivalents also include single-chain antibody fragments, also known as single-chain antibodies (scFvs). These fragments contain at least one fragment of an antibody variable heavy-chain amino acid sequence (VH) tethered to at least one fragment of an antibody variable light-chain sequence (VL) with or without one or more interconnecting linkers. Such a linker may be a short, flexible peptide selected to assure that the proper three-dimensional folding of the (VL) and (VH) domains occurs once they are linked so as to maintain the target molecule binding- specificity of the whole antibody from which the single chain antibody fragment is derived. Generally, the carboxyl terminus of the (VL) or (VH) sequence may be covalently linked by such a peptide linker to the amino acid terminus of a complementary (VL) and (VH) sequence. Single-chain antibody fragments may be generated by molecular cloning, antibody phage display library or similar techniques. These proteins may be produced either in eukaryotic cells or prokaryotic cells, including bacteria.
[251] Single-chain antibody fragments may contain amino acid sequences having at least one of the variable or complementarity determining regions (CDRs) of the intact antibodies described in this specification, but are lacking some or all of the constant domains of those antibodies. These constant domains are not necessary for antigen binding, but constitute a major portion of the structure of intact antibodies. Single-chain antibody fragments may therefore overcome some of the problems associated with the use of antibodies containing a part or all of a constant domain. For example, single-chain antibody fragments tend to be free of undesired interactions between biological molecules and the heavy-chain constant region, or other unwanted biological activity. Additionally, single-chain antibody fragments are considerably smaller than intact or whole antibodies and may therefore have greater capillary permeability than intact antibodies, allowing single-chain antibody fragments to localize and bind to target antigen-binding sites more efficiently. Also, antibody fragments can be produced on a relatively large scale in prokaryotic cells, thus facilitating their production. Furthermore, the relatively small size of single-chain antibody fragments makes them less likely to provoke an immune response in a recipient than intact antibodies.
[252] The knowledge of the amino acid and nucleic acid sequences for the anti-MET antibody and its resurfaced or humanized variants, which are described herein, can be used to develop many antibodies which also bind to human MET. Several studies have surveyed the effects of introducing one or more amino acid changes at various positions in the sequence of an antibody, based on the knowledge of the primary antibody sequence, on its properties such as binding and level of expression (e.g., Yang, W. P. et al., 1995, /. Mol. Biol., 254, 392-403; Rader, C. et al., 1998, Proc. Natl. Acad. Sci. USA, 95, 8910-8915; Vaughan, T. J. et al., 1998, Nature Biotechnology, 16, 535-539).
[253] In these studies, variants of the primary antibody have been generated by changing the sequences of the heavy and light chain genes in the CDR1, CDR2, CDR3, or framework regions, using methods such as oligonucleotide-mediated site-directed mutagenesis, cassette mutagenesis, error-prone PCR, DNA shuffling, or mutator-strains of E. coli (Vaughan, T. J., et al., 1998, Nature Biotechnology, 16, 535-539; Adey, N. B. et al., 1996, Chapter 16, pp. 277-291, in "Phage Display of Peptides and Proteins", Eds. Kay, B. K. et al., Academic Press). These methods of changing the sequence of the primary antibody have resulted in improved affinities of the secondary antibodies (e.g., Gram, H. et al., 1992, Proc. Natl. Acad. Sci. USA, 89, 3576-3580; Boder, E. T. et al., 2000, Proc. Natl. Acad. Sci. USA, 97, 10701- 10705; Davies, J. and Riechmann, L., 1996, Immunotechnolgy, 2, 169-179; Thompson, J. et al., 1996, J. Mol. Biol., 256, 77-88; Short, M. K. et al., 2002, J. Biol. Chem., 277 , 16365- 16370; Furukawa, K. et ah, 2001, J. Biol. Chem., 276, 27622-27628).
[254] By a similar directed strategy of changing one or more amino acid residues of the antibody, the antibody sequences described in this invention can be used to develop anti- MET antibodies with improved functions, such as those methods described in patent application publication 20090246195, the contents of which is incorporated in its entirety herein by reference.
III. Immunoconjugates
[255] In one aspect, the present invention relates to immunoconjugates comprising a MET- binding agent (e.g., an anti-MET antibody or an antigen-binding fragment thereof) described herein conjugated or covalently linked to a maytansinoid compound described herein.
[256] The cytotoxic agent may be coupled or conjugated either directly to the MET-binding agent or indirectly, through a linker using techniques known in the art to produce an “immunoconjugate,”“conjugate,” or“ADC.”
A. Exemplary Immunoconjugates
[257] In a first embodiment, the immunoconjugate of the present invention comprises a MET-binding agent (e.g., an anti-MET antibody or an antigen-binding fragment thereof) described herein covalently linked to a maytansinoid compound described herein through the e-amino group of one or more lysine residues located on the MET-binding agent through the e-amino group of one or more lysine residues located on the MET-binding agent (e.g., anti- cMET antibody or antigen-binding fragment thereof or through the thiol group of one or more cysteine residues located on the MET-binding agent (e.g., anti-cMET antibody or an antigen-binding fragment thereof). In one embodiment, the immunoconjugate is represented by formula (I) described above.
[258] In a Ist specific embodiment of the first embodiment, the immunoconjugate of the present invention is represented by formula (I) described above, wherein Rx, Ry, Rx and Ry are all H; and 1 and k are each independently an integer an integer from 2 to 6; and the remaining variables are as described above for formula (I).
[259] In a 2nd specific embodiment of the first embodiment, the immunoconjugate of the present invention is represented by formula (I) described above, wherein A is a peptide containing 2 to 5 amino acid residues; and the remaining variables are as described above for formula (I) in the first embodiment or the Ist specific embodiment. In some embodiments, A is a peptide cleavable by a protease. In some embodiments, a peptide cleavable by a protease expressed in tumor tissue. In some embodiments, A is a peptide having an amino acid that is covalent linked with -NH-CR R -S-Li-D selected from the group consisting of Ala, Arg,
Asn, Asp, Cit, Cys, selino-Cys, Gln, Glu, Gly, Ile, Leu, Lys, Met, Phe, Pro, Ser, Thr, Trp, Tyr and Val, each independently as L or D isomer. In some embodiments, the amino acid connected to -NH-CR R -S-Li-D is an L amino acid.
[260] In a 3 specific embodiment of the first embodiment, the immunoconjugate of the present invention is represented by formula (I) described above, wherein A is selected from the group consisting of Gly-Gly-Gly, Ala- Val, Val-Ala, D- Val- Ala, Val-Cit, D-Val-Cit, Val- Lys, Phe-Lys, Lys-Lys, Ala-Lys, Phe-Cit, Leu-Cit, Ile-Cit, Phe-Ala, Phe-N9-tosyl-Arg, Phe- N9-nitro-Arg, Phe-Phe-Lys, D-Phe-Phe-Lys, Gly-Phe-Lys, Leu-Ala-Leu, Ile-Ala-Leu, Val- Ala- Val, Ala- Ala- Ala, D-Ala-Ala-Ala, Ala-D-Ala-Ala, Ala-Ala-D-Ala, Ala- Leu- Ala- Leu (SEQ ID NO: 74), b-Ala-Leu-Ala-Leu (SEQ ID NO: 75), Gly-Phe-Leu-Gly (SEQ ID NO:
76), Val-Arg, Arg-Arg, Val-D-Cit, Val-D-Lys, Val-D-Arg, D-Val-Cit, D-Val-Lys, D-Val- Arg, D-Val-D-Cit, D-Val-D-Lys, D-Val-D-Arg, D-Arg-D-Arg, Ala-Ala, Ala-D-Ala, D-Ala- Ala, D-Ala-D-Ala, Ala-Met, Gln- Val, Asn- Ala, Gln-Phe, Gln- Ala, D-Ala-Pro, and D-Ala- tBu-Gly, wherein the first amino acid in each peptide is connected to L2 group and the last amino acid in each peptide is connected to -NH-CRIR2-S-LI-D; and the remaining variables are as described for formula (I) in the first embodiment or the Ist specific embodiment. [261] In a 4th specific embodiment of the first embodiment, the immunoconjugate of the present invention is represented by formula (I) described above, wherein R and R are both H; and the remaining variables are as described for formula (I) in the first embodiment or the Ist, 2nd, or 3rd specific embodiment.
[262] In a 5th specific embodiment of the first embodiment, the immunoconjugate of the present invention is represented by formula (I) described above, wherein Li is -(CH2)4-6- C(=0)-; and the remaining variables are as described for formula (I) in the first embodiment or the Ist, 2nd, 3rd or 4th specific embodiment.
[263] In a 6th specific embodiment of the first embodiment, the immunoconjugate of the present invention is represented by formula (I) described above, wherein D is represented by the following formula:
Figure imgf000092_0001
and the remaining variables are as described for formula (I) in the first embodiment or the Ist, 2nd, 3rd, 4th or 5th specific embodiment.
[264] In a 7th specific embodiment, the immunoconjugate of the present invention is represented by the following formula:
Figure imgf000092_0002
Figure imgf000093_0001
or a pharmaceutically acceptable salt thereof, wherein:
CBA^N—
H is the anti-cMET antibody or antigen-binding fragment thereof connected to the L2 group through a Lys amine group;
CBA^S js thg anti-cMET antibody or antigen-binding fragment thereof connected to the L2 group through a Cys thiol group;
R3 and R4 are each independently H or Me;
ml, m3, nl, rl, sl and tl are each independently an integer from 1 to 6;
m2, n2, r2, s2 and t2 are each independently an integer from 1 to 7;
t3 is an integer from 1 to 12;
Di is represented by the following formula:
Figure imgf000094_0001
q is an integer from 1 to 20. In a more specific embodiment, Di is represented by the following formula:
Figure imgf000094_0002
[265] In a 8th specific embodiment, the immunoconjugate of the present invention is represented by the following formula:
Figure imgf000094_0003
wherein:
ml and m3 are each independently an integer from 2 to 4;
m2 is an integer from 2 to 5; rl is an integer from 2 to 6;
r2 is an integer from 2 to 5; and
the remaining variables are as described in the 7th specific embodiment.
[266] In a 9th specific embodiment, for the immunoconjugates described in the 7th or 8th specific embodiment, A is Ala- Ala- Ala, Ala-D-Ala-Ala, Ala- Ala, D-Ala-Ala, Val-Ala, D- Val-Ala, D-Ala-Pro, or D-Ala-tBu-Gly. In a more specific embodiment, for the
immunoconjugates described in the 7th or 8th specific embodiment, A is L-Ala-D-Ala-L-Ala.
[267] In a 10ώ specific embodiment, the immunoconjugate of the present invention is represented by the following formula:
Figure imgf000095_0001
Figure imgf000096_0001
Figure imgf000098_0001
Figure imgf000099_0001
Figure imgf000100_0001
Figure imgf000101_0001
or a pharmaceutically acceptable salt thereof, wherein:
A is Ala- Ala- Ala, Ala-D-Ala-Ala, Ala- Ala, D-Ala-Ala, Val-Ala, D-Val-Ala, D-Ala-Pro, or D-Ala-tBu-Gly, and
Di is represented by the following formula:
Figure imgf000101_0002
and the remaining variables are as described in the 7th, 8th or 9th specific embodiment. In a more specific embodiment, A is L-Ala-D-Ala-L-Ala. In a more specific embodiment, Di is represented by the following formula:
Figure imgf000102_0001
[268] In a 1 Ith specific embodiment, the immunoconjugate of the present invention is represented by the following formula:
Figure imgf000102_0002
Figure imgf000103_0001
wherein Di is represented by the following formula:
Figure imgf000103_0002
In a more specific embodiment, Di is represented by the following formula:
Figure imgf000103_0003
[0002] In a 12th specific embodiment, the immunco the immunoconjugate of the present invention is represented by the following formula:
Figure imgf000104_0001
wherein:
CBA is an isolated monoclonal antibody, or antigen-binding fragment thereof, that specifically binds to an epitope in the extracellular region of human cMET, wherein said antibody or antigen-binding fragment thereof comprises light chain complementary determining regions LC CDR1, LC CDR2, and LC CDR3 and heavy chain complementary determining regions HC CDR1, HC CDR2, and HC CDR3 having the sequences of SEQ ID NOs:4, 5, and 7 and SEQ ID NOs:l3, 14, and 15, respectively;
q is 1 or 2;
Di is represented by the following formula:
Figure imgf000104_0002
[269] In certain embodiments, for the immunoconjugate of formula (1-4) or (1-6), the isolated monoclonal antibody, or antigen-binding fragment thereof comprises a light chain variable domain (VL) and a heavy chain variable domain (VH) having sequences of SEQ ID NO:32 and SEQ ID NO:36, respectively. In certain embodiments, the isolated monoclonal antibody comprises a light chain and a heavy chain having the sequences of SEQ ID NO:49 and SEQ ID NO:54, respectively. In certain embodiments, the isolated monoclonal antibody comprises a light chain and a heavy chain having the sequences of SEQ ID NO:49 and SEQ ID NO:8l, respectively.
[270] In a 13ώ specific embodiment, the immunoconjugate of the present invention is represented by the following formula:
Figure imgf000105_0001
wherein:
CBA an isolated monoclonal antibody, or antigen-binding fragment thereof, that specifically binds to an epitope in the extracellular region of human cMET, wherein said antibody or antigen-binding fragment thereof comprises light chain complementary determining regions LC CDR1, LC CDR2, and LC CDR3 and heavy chain complementary determining regions HC CDR1, HC CDR2, and HC CDR3 having the sequences of SEQ ID NOs:4, 5, and 7 and SEQ ID NOs:l3, 14, and 15, respectively;
q is an integer from 1 or 10; and
Di is represented by the following formula:
Figure imgf000105_0002
[271] In certain embodiments, for the immunoconjugate of formula (1-2), the isolated monoclonal antibody, or antigen-binding fragment thereof comprises a light chain variable domain (VL) and a heavy chain variable domain (VH) having sequences of SEQ ID NO:32 and SEQ ID NO:36, respectively. In certain embodiments, the isolated monoclonal antibody comprises a light chain and a heavy chain having the sequences of SEQ ID NO:49 and SEQ ID NO:53, respectively. In certain embodiments, the isolated monoclonal antibody comprises a light chain and a heavy chain having the sequences of SEQ ID NO:49 and SEQ ID NO:82, respectively. [272] In a 14th embodiment, the immunoconjugate of the present invention comprises an anti-cMET antibody coupled to a maytansinoid compound DM21C (also referred to as Mal- LDL-DM or MalC5-LDL-DM or compound l7a) represented by the following structural formula:
Figure imgf000106_0001
wherein the anti-cMET antibody comprising a light chain and a heavy chain having the sequences of SEQ ID NO:49 and SEQ ID NO:8l, respectively; and Di is represented by the following formula:
Figure imgf000106_0002
[273] In one embodiment, the immunoconjugate is represented by the following structural formula:
Figure imgf000106_0003
wherein:
CBA is an anti-cMET antibody connected to the maytansinoid compound through a Cys thiol group, wherein the anti-cMET antibody comprising a light chain and a heavy chain having the sequences of SEQ ID NO:49 and SEQ ID NO:8l, respectively; and
q is 1 or 2. [274] In certain embodiments, for compositions ( e.g ., pharmaceutical compositions) comprising immunoconjugates of the l4th specific embodiment, DAR is in the range of 1.5 to 2.2, 1.7 to 2.2 or 1.9 to 2.1. In some embodiment, the DAR is 1.7, 1.8, 1.9, 2.0 or 2.1.
[275] In a 15ώ specific embodiment, the immunoconjugate of the present invention comprises an anti-cMET antibody coupled to a maytansinoid compound DM21L (also referred to as LDL-DM or compound l4c) represented by the following structural formula:
Figure imgf000107_0001
via g-maleimidobutyric acid N-succinimidyl ester (GMBS) or a N- (y-maleimidobutryloxy)sulfosuccinimide ester (sulfo-GMBS or sGMBS) linker. The anti- cMET antibody has a light chain and a heavy chain having the sequences of SEQ ID NO:49 and SEQ ID NO:82, respectfully. In some embodiments, the conjugate is referenced herein as hucMet27Gvl.3Hinge28-sGMBS-LDL-DM. The conjugate can also be referred to as hucMet27Gvl.3Hinge28-GMBS-LDL-DM, which can be used interchangeably with hucMet27 Gv 1.3Hinge28- sGMB S -LDL-DM .
[276] The GMBS and sulfo-GMBS (or sGMBS) linkers are known in the art and can be presented by the following structural formula:
Figure imgf000107_0002
[277] In one embodiment, the immunoconjugate is represented by the following structural formula:
Figure imgf000108_0001
wherein:
CBA is an anti-cMET antibody connected to the maytansinoid compound through a Lys amine group, wherein the anti-cMET antibody comprising a light chain and a heavy chain having the sequences of SEQ ID NO:49 and SEQ ID NO:82, respectively; and
q is an integer from 1 or 10.
[278] In certain embodiments, for compositions (e.g., pharmaceutical compositions) comprising immunoconjugates of the l5th specific embodiment, DAR is in the range of 3.0 to 4.0, 3.2 to 3.8, or 3.4 to 3.7. In some embodiments, the DAR is 3.2, 3.3, 3.4, 3.5, 3.5, 3.7, or
3.8.
[279] In certain embodiments, for compositions ( e.g ., pharmaceutical compositions) comprising immunoconjugates of the first embodiment, or the Ist, 2nd, 3rd, 4th, 5th, 6th, 7th, 8th, 9th, l0th, I Ith, 12th, 13th, 14th or 15th specific embodiment, the average number of the cytotoxic agent per antibody molecule ( i.e ., average value of q), also known as Drug- Antibody Ratio (DAR) in the composition is in the range of 1.0 to 8.0. In some embodiments, DAR is in the range of 1.0 to 5.0, 1.0 to 4.0, 1.5 to 4.0, 2.0 to 4.0, 2.5 to 4.0, 1.0 to 3.4, 1.0 to 3.0, 3.0 to 4.0, 3.lto 3.5, 3.4 to 3.6, 1.5 to 2.5, 2.0 to 2.5, 1.7 to 2.3, or 1.8 to 2.2. In some embodiments, the DAR is less than 4.0, less than 3.8, less than 3.6, less than 3.5, less than 3.0 or less than 2.5.
In some embodiments, the DAR is in the range of 3.1 to 3.4. In some embodiments, the DAR is in the range of 3.3 to 3.7. In some embodiments, the DAR is in the range of 3.5 to 3.9. In some embodiments, the DAR is 3.1, 3.2, 3.3, 3.4, 3.5, 3.6, 3.7 or 3.8. In some embodiments, the DAR is in the range of 1.8 to 2.0. In some embodiments, the DAR is in the range of 1.7 to 1.9. In some embodiments, the DAR is in the range of 1.9 to 2.1. In some embodiments, the DAR is 1.9, 2.0 or 2.1. In some embodiments, for the immunoconjugates of the present invention comprising an anti-cMET antibody or an antigen-binding fragment thereof linked to the maytansinoid compound through one or more cysteine thiol group, the DAR is in the range of 1.5 to 2.5, 1.8 to 2.2, 1.1 to 1.9 or 1.9 to 2.1. In some embodiments, the DAR is 1.8,
1.9, 2.0 or 2.1. B. Exemplary Linker Molecules
[280] Any suitable linkers known in the art can be used in preparing the immunoconjugates of the present invention. In certain embodiments, the linkers are bifunctional linkers. As used herein, the term“bifunctional linker” refers to modifying agents that possess two reactive groups; one of which is capable of reacting with a cell binding agent while the other one reacts with the maytansinoid compound to link the two moieties together. Such bifunctional crosslinkers are well known in the art (see, for example, Isalm and Dent in Bioconjugation chapter 5, r218-363, Groves Dictionaries Inc. New York, 1999). For example, bifunctional crosslinking agents that enable linkage via a thioether bond include N- succinimidyl-4-(N-maleimidomethyl)-cyclohexane-l-carboxylate (SMCC) to introduce maleimido groups, or with /V-succinimidyl-4-(iodoacetyl)-aminobenzoate (SIAB) to introduce iodoacetyl groups. Other bifunctional crosslinking agents that introduce maleimido groups or haloacetyl groups on to a cell binding agent are well known in the art (see US Patent Publication Nos. 2008/0050310, 20050169933, available from Pierce Biotechnology Inc. P.O. Box 117, Rockland, IL 61105, USA) and include, but not limited to, bis- maleimidopolyethyleneglycol (BMPEO), BM(PEO)2, BM(PEO)3, N-(b- maleimidopropyloxy)succinimide ester (BMPS), g-maleimidobutyric acid N-succinimidyl ester (GMBS), e-maleimidocaproic acid N-hydroxysuccinimide ester (EMCS), 5- maleimidovaleric acid NHS, HBVS, N-succinimidyl-4-(N-maleimidomethyl)-cyclohexane-l- carboxy-(6-amidocaproate), which is a“long chain” analog of SMCC (LC-SMCC), m- maleimidobenzoyl-N-hydroxysuccinimide ester (MBS), 4-(4-N-maleimidophenyl)-butyric acid hydrazide or HC1 salt (MPBH), N-succinimidyl 3-(bromoacetamido)propionate (SBAP), N-succinimidyl iodoacetate (SIA), k-maleimidoundecanoic acid N-succinimidyl ester (KMUA), N-succinimidyl 4-(p-maleimidophenyl)-butyrate (SMPB), succinimidyl-6-( - maleimidopropionamido)hexanoate (SMPH), succinimidyl-(4-vinylsulfonyl)benzoate (SVSB), dithiobis-maleimidoethane (DTME), l,4-bis-maleimidobutane (BMB),
l,4-bismaleimidyl-2,3-dihydroxybutane (BMDB), bis-maleimidohexane (BMH),
bis-maleimidoethane (BMOE), sulfosuccinimidyl 4-(N-maleimido-methyl)cyclohexane-l- carboxylate (sulfo-SMCC), sulfosuccinimidyl(4-iodo-acetyl)aminobenzoate (sulfo-SIAB), m- maleimidobenzoyl-N-hydroxysulfosuccinimide ester (sulfo-MBS), N- (y-maleimidobutryloxy)sulfosuccinimide ester (sulfo-GMBS or sGMBS), N-(e- maleimidocaproyloxy)sulfosuccimido ester (sulfo-EMCS), N-(K- maleimidoundecanoyloxy)sulfosuccinimide ester (sulfo-KMUS), and sulfosuccinimidyl 4-(p- maleimidophenyl)butyrate (sulfo-SMPB).
[281] Heterobifunctional crosslinking agents are bifunctional crosslinking agents having two different reactive groups. Heterobifunctional crosslinking agents containing both an amine-reactive N- h ydro x y s ucc i n i m i dc group (NHS group) and a carbonyl-reactive hydrazine group can also be used to link the cytotoxic compounds described herein with a cell-binding agent ( e.g ., antibody). Examples of such commercially available heterobifunctional crosslinking agents include succinimidyl 6-hydrazinonicotinamide acetone hydrazone (SANH), succinimidyl 4-hydrazidoterephthalate hydrochloride (SHTH) and succinimidyl hydrazinium nicotinate hydrochloride (SHNH). Conjugates bearing an acid-labile linkage can also be prepared using a hydrazine-bearing benzodiazepine derivative of the present invention. Examples of bifunctional crosslinking agents that can be used include
succinimidyl-p-formyl benzoate (SFB) and succinimidyl-p-formylphenoxyacetate (SFPA).
[282] Bifunctional crosslinking agents that enable the linkage of cell binding agent with cytotoxic compounds via disulfide bonds are known in the art and include /V-succinimidyl-3- (2-pyridyldithio)propionate (SPDP), /V-succinimidyl-4-(2-pyridyldithio)pentanoate (SPP), N- succinimidyl-4-(2-pyridyldithio)butanoate (SPDB), /V-succinimidyl-4-(2-pyridyldithio)2- sulfo butanoate (sulfo-SPDB or sSPDB) to introduce dithiopyridyl groups. Other
bifunctional crosslinking agents that can be used to introduce disulfide groups are known in the art and are disclosed in U.S. Patents 6,913,748, 6,716,821 and US Patent Publications 20090274713 and 20100129314, all of which are incorporated herein by reference.
Alternatively, crosslinking agents such as 2-iminothiolane, homocysteine thiolactone or S- acetylsuccinic anhydride that introduce thiol groups can also be used.
C. Exemplary Maytansinoids
[283] In a second embodiment, the present invention provides the maytansinoid compounds that can be used for making the immunoconjugates of the present invention.
[284] In some embodiments, the maytansinoid compound is represented by the following formula:
Figure imgf000110_0001
or a pharmaceutically acceptable salt thereof, wherein:
L2 is represented by the following structural formulas:
Figure imgf000111_0001
wherein:
Rx, Ry, Rx and Ry, for each occurrence, are independently H, -OH, halogen, - 0-(Ci_4 alkyl), -S03H, -NR4oR4iR42+, or a C alkyl optionally substituted with -OH, halogen, -S03H or NR4oR4iR42+, wherein R40, R41 and R42 are each independently H or a Ci_4 alkyl;
1 and k are each independently an integer from 1 to 10;
JCB is -C(=0)OH or -COE, wherein -COE is a reactive ester;
A is an amino acid or a peptide comprising 2 to 20 amino acids;
R 1 and R 2 are each independently H or a Ci_3alkyl;
Li is represented by the following formula:
-CR3R4-(CH2)1-S-C(=0)-;
wherein R3 and R4 are each independently H or Me, and the -C(=0)- moiety in Li is connected to D;
D is represented by the following formula:
Figure imgf000112_0001
q is an integer from 1 to 20.
[285] In some embodiments, the maytansinoid of the present invention is represented by the following formula:
Figure imgf000112_0002
or a pharmaceutically acceptable salt thereof, wherein:
A’ is an amino acid or a peptide comprising 2 to 20 amino acids ( i.e ., A-NH2);
R 1 and R 2 are each independently H or a Ci_3alkyl;
Li is -CR3R4-(CH2)I-8-C(=0)-; R3 and R4 are each independently H or Me;
D is is represented by the following formula:
Figure imgf000112_0003
q is an integer from 1 to 20.
[286] In some embodiments, the maytansinoid of the present invention is represented by the following formula:
Figure imgf000112_0004
or a pharmaceutically acceptable salt thereof, wherein:
Rx and Ry. for each occurrence, are independently H, -OH, halogen, -0-(Ci_4 alkyl), - S03H, -NR4oR4iR42+, or a Ci_4 alkyl optionally substituted with -OH, halogen, SO3H or NR4OR4IR42+, wherein R4o, R4I and R42 are each independently H or a Ci_4 alkyl;
k is an integer from 1 to 10 A is an amino acid residue or a peptide comprising 2 to 20 amino acid residues;
R 1 and R 2 are each independently H or a Ci_3alkyl;
Li is -CR3R4-(CH2)I-8-C(=0)-; R3 and R4 are each independently H or Me;
D is represented by the following formula:
Figure imgf000113_0001
q is an integer from 1 to 20.
[287] In some embodiments, for maytansinoid compounds of formulas (II), (III) or (IV), the variables are as described in the first embodiment, or in the Ist, 2nd, 3rd, 4th, 5th, 6th, 7th, 8th, 9th, 10th or 1 Ith specific embodiment in the first embodiment.
[288] In a specific embodiment, the maytansinoid compound is represented by the following formula:
Figure imgf000113_0002
Figure imgf000114_0001
IV. Drug Conjugation
[289] The immunoconjugates comprising a MET-binding agent covalently linked to a maytansinoid compound described herein can be prepared according to any suitable methods known in the art.
[290] In certain embodiments, the immunoconjugates of the first embodiment can be prepared by a first method comprising the steps of reacting the MET-binding agent ( e.g ., anti- cMET antibody or an antigen-binding fragment thereof) with the maytansinoid compound of formula (II) described in the second embodiment.
[291] In certain embodiments, the immunoconjugates of the first embodiment can be prepared by a second method comprising the steps of:
(a) reacting the maytansinoid compound of formula (III) or (IV) with a linker compound described herein to form a cytotoxic agent-maytansinoid compound having an amine-reactive group or a thiol-reactive group bound thereto (e.g., compound of formula (II)) that can be covalently linked to the MET-binding agent (or CBA) (e.g., anti-cMET antibody or an antigen-binding fragment thereof); and
(b) reacting the MET-binding agent (e.g., anti-cMET antibody or an antigen-binding fragment thereof) with the maytansinoid-linker compound to form the immunoconjugate.
[292] In certain embodiments, the immunoconjugates of the first embodiment can be prepared by a third method comprising the steps of:
(a) reacting the MET-binding agent (e.g., anti-cMET antibody or an antigen-binding fragment thereof) with a linker compound described herein to form a modified MET-binding agent (e.g., modified anti-cMET antibody or an antigen-binding fragment thereof) having an amine-reactive group or a thiol-reactive group bound thereto that can be covalently linked to the maytansinoid compound of formula (III) or (IV); and
(b) reacting the modified MET-binding agent (e.g., modified anti-cMET antibody or an antigen-binding fragment thereof) with the maytansinoid compound of formula (III) or (IV) to form the immunoconjugate.
[293] In certain embodiments, for the second, third or fourth methods described above, the linker compound is represented by any one of the formula (alL) - (alOL):
Figure imgf000115_0001
wherein X is halogen; JD -SH, or -SSRd; Rd is phenyl, nitrophenyl, dinitrophenyl, carboxynitrophenyl, pyridyl or nitropyridyl; Rg is an alkyl; and U is -H or S03H or a pharmaceutically acceptable salt thereof.
[294] In one embodiment, the linker compound is GMBS or sulfo-GMBS (or sGMBS) represented by represented by formula (a9L), wherein U is -H or SO3H or a pharmaceutically acceptable salt thereof.
[295] In a specific embodiment, the immunoconjugate of the present invention is represented by the following formula:
Figure imgf000116_0001
the immunoconjugate can be prepared by the second, third or fourth method described above, wherein the linker compound is GMBS or sulfo-GMBS represented by represented by formula (a9L), wherein U is -H or S03H or a pharmaceutically acceptable salt thereof; and the maytansinoid compound is represented by formula (D-l) described above. In a more specific embodiment, the immunoconjugate of formula (1-1) is prepared by reacting the maytansinoid compound of formula (D-l) with the linker compound GMBS or sulfo-GMBS to form a maytansinoid-linker compound, followed by reacting the anti-cMET antibody or antigen-binding fragment thereof with the maytansinoid-linker compound. In an even more specific embodiment, the maytansinoid linker compound is not purified before reacting with the anti-cMET antibody or an antigen-binding fragment thereof.
[296] In another specific embodiment, the immunoconjugate is represented by the following formula:
Figure imgf000116_0002
and the immunoconjugate can be prepared by the second, third or fourth method described above, wherein the linker compound is GMBS or sulfo-GMBS represented by represented by formula (a9L), wherein U is -H or SO3H or a pharmaceutically acceptable salt thereof; and the maytansinoid compound is represented by formula (D-2) described above. In a more specific embodiment, the immunoconjugate of formula (1-2) is prepared by reacting the maytansinoid compound of formula (D-2) with the linker compound GMBS or sulfo-GMBS to form a maytansinoid-linker compound, followed by reacting the anti-cMET antibody or antigen-binding fragment thereof with the maytansinoid-linker compound. In a even more specific embodiment, the maytansinoid linker compound is not purified before reacting with the anti-cMET antibody or an antigen-binding fragment thereof. [297] In another specific embodiment, the immunoconjugate is represented by the following formula:
Figure imgf000117_0001
and the immunoconjugate is prepared according to the first method described above by reacting the anti-cMET antibody or an antigen-binding fragment thereof with the
maytansinoid compound of formula (D-3) described above.
[298] In another specific embodiment, the immunoconjugate is represented by the following formula:
Figure imgf000117_0002
and the immunoconjugate is prepared according to the first method described above by reacting the anti-cMET antibody or an antigen-binding fragment thereof with the
maytansinoid compound of formula (D-4) described above.
[299] In another specific embodiment, the immunoconjugate is represented by the following formula:
Figure imgf000117_0003
the immunoconjugate is prepared according to the first method described above by reacting the anti-cMET antibody or an antigen-binding fragment thereof with the maytansinoid compound of formula (D-5) described above.
[300] In another specific embodiment, the immunoconjugate is represented by the following formula:
Figure imgf000118_0001
the immunoconjugate is prepared according to the first method described above by reacting the anti-cMET antibody or an antigen-binding fragment thereof with the maytansinoid compound of formula (D-6) described above.
[301] In some embodiments, the immunoconjugates prepared by any methods described above is subject to a purification step. In this regard, the immunoconjugate can be purified from the other components of the mixture using tangential flow filtration (TFF), non- adsorptive chromatography, adsorptive chromatography, adsorptive filtration, selective precipitation, or any other suitable purification process, as well as combinations thereof.
[302] In some embodiments, the immunoconjugate is purified using a single purification step (e.g., TFF). Preferably, the conjugate is purified and exchanged into the appropriate formulation using a single purification step (e.g., TFF). In other embodiments of the invention, the immunoconjugate is purified using two sequential purification steps. For example, the immunoconjugate can be first purified by selective precipitation, adsorptive filtration, absorptive chromatography or non-absorptive chromatography, followed by purification with TFF. One of ordinary skill in the art will appreciate that purification of the immunoconjugate enables the isolation of a stable conjugate comprising the cell-binding agent chemically coupled to the cytotoxic agent.
[303] Any suitable TFF systems may be utilized for purification, including a Pellicon type system (Millipore, Billerica, Mass.), a Sartocon Cassette system (Sartorius AG, Edgewood, N.Y.), and a Centrasette type system (Pall Corp., East Hills, N.Y.)
[304] Any suitable adsorptive chromatography resin may be utilized for purification.
Preferred adsorptive chromatography resins include hydroxyapatite chromatography, hydrophobic charge induction chromatography (HCIC), hydrophobic interaction
chromatography (HIC), ion exchange chromatography, mixed mode ion exchange
chromatography, immobilized metal affinity chromatography (IMAC), dye ligand
chromatography, affinity chromatography, reversed phase chromatography, and combinations thereof. Examples of suitable hydroxyapatite resins include ceramic hydroxyapatite (CHT Type I and Type II, Bio-Rad Faboratories, Hercules, Calif.), HA Ultrogel hydroxyapatite (Pall Corp., East Hills, N.Y.), and ceramic fluoroapatite (CFT Type I and Type II, Bio-Rad Laboratories, Hercules, Calif.). An example of a suitable HCIC resin is MEP Hypercel resin (Pall Corp., East Hills, N.Y.). Examples of suitable HIC resins include Butyl-Sepharose, Hexyl-Sepharose, Phenyl-Sepharose, and Octyl Sepharose resins (all from GE Healthcare, Piscataway, N.J.), as well as Macro-prep Methyl and Macro-Prep t-Butyl resins (Biorad Laboratories, Hercules, Calif.). Examples of suitable ion exchange resins include SP- Sepharose, CM-Sepharose, and Q-Sepharose resins (all from GE Healthcare, Piscataway, N.J.), and Unosphere S resin (Bio-Rad Laboratories, Hercules, Calif.). Examples of suitable mixed mode ion exchangers include Bakerbond ABx resin (JT Baker, Phillipsburg N.J.) Examples of suitable IMAC resins include Chelating Sepharose resin (GE Healthcare, Piscataway, N.J.) and Profinity IMAC resin (Bio-Rad Laboratories, Hercules, Calif.).
Examples of suitable dye ligand resins include Blue Sepharose resin (GE Healthcare, Piscataway, N.J.) and Affi-gel Blue resin (Bio-Rad Laboratories, Hercules, Calif.). Examples of suitable affinity resins include Protein A Sepharose resin (e.g., MabSelect, GE Healthcare, Piscataway, N.J.), where the cell-binding agent is an antibody, and lectin affinity resins, e.g., Lentil Lectin Sepharose resin (GE Healthcare, Piscataway, N.J.), where the cell-binding agent bears appropriate lectin binding sites. Alternatively an antibody specific to the cell-binding agent may be used. Such an antibody can be immobilized to, for instance, Sepharose 4 Fast Flow resin (GE Healthcare, Piscataway, N.J.). Examples of suitable reversed phase resins include C4, C8, and C18 resins (Grace Vydac, Hesperia, Calif.).
[305] Any suitable non-adsorptive chromatography resin may be utilized for purification. Examples of suitable non-adsorptive chromatography resins include, but are not limited to, SEPHADEXTM G-25, G-50, G-100, SEPHACRYLTM resins (e.g., S-200 and S-300), SUPERDEXTM resins (e.g., SUPERDEXTM 75 and SUPERDEXTM 200), BIO-GEL® resins (e.g., P-6, P-10, P-30, P-60, and P-100), and others known to those of ordinary skill in the art.
V. Diagnostic and Research Applications
[306] In addition to the therapeutic uses of the antibodies discussed herein, the antibodies and/or fragments of the present invention can be employed in many known diagnostic and research applications. Antibodies and or fragments of the present invention may be used, for example, in the purification, detection, and targeting of MET, included in both in vitro and in vivo diagnostic methods. For example, the antibodies and/or fragments may be used in immunoassays for qualitatively and quantitatively measuring levels of MET expressed by cells in biological samples. See, e.g., Harlow et al., Antibodies: A Laboratory Manual (Cold Spring Harbor Laboratory Press, 2nd ed. 1988), incorporated by reference herein in its entirety.
[307] The antibodies of the present invention may be used in, for example, competitive binding assays, direct and indirect sandwich assays, and immunoprecipitation assays (Zola, Monoclonal Antibodies: A Manual of Techniques, pp.147-158 (CRC Press, Inc., 1987)).
[308] Lor example, the present invention also provides the above anti-MET peptides and antibodies, detectably labeled, as described below, for use in diagnostic or prognostic or patient stratification methods for detecting MET in patients known to be or suspected of having a MET-mediated condition. Anti-MET peptides and/or antibodies of the present invention are useful for immunoassays which detect or quantitate MET, or anti-MET antibodies, in a sample. An immunoassay for MET typically comprises incubating a biological sample in the presence of a detectably labeled high affinity anti-MET peptide and/or antibody of the present invention capable of selectively binding to MET, and detecting the labeled peptide or antibody which is bound in a sample. Various clinical assay procedures are well known in the art, e.g., as described in Immunoassays for the 80's, A. Voller et ah, eds., University Park, 1981. Thus, an anti-MET peptide or antibody or fragment thereof can be added to nitrocellulose, or another solid support which is capable of immobilizing cells, cell particles or soluble proteins. The support can then be washed with suitable buffers followed by treatment with the detectably labeled MET- specific peptide or antibody or fragment thereof. The solid phase support can then be washed with the buffer a second time to remove unbound peptide or antibody or fragment thereof. The amount of bound label on the solid support can then be detected by known method steps.
[309] By "solid phase support" or "carrier" is intended any support capable of binding peptide, antigen or antibody or fragment thereof. Well-known supports or carriers, include glass, polystyrene, polypropylene, polyethylene, dextran, nylon, amylases, natural and modified celluloses, polyacrylamides, agaroses, and magnetite. The nature of the carrier can be either soluble to some extent or insoluble for the purposes of the present invention. Those skilled in the art will know many other suitable carriers for binding antibody or fragment thereof, peptide or antigen, or can ascertain the same by routine experimentation.
[310] Well known method steps can determine binding activity of a given lot of anti-MET peptide and/or antibody or fragment thereof. Those skilled in the art can determine operative and optimal assay conditions by routine experimentation. [311] Detectably labeling a MET-specific peptide and/or antibody or fragment thereof can be accomplished by linking to an enzyme for use in an enzyme immunoassay (EIA), or enzyme-linked immunosorbent assay (ELISA). The linked enzyme reacts with the exposed substrate to generate a chemical moiety which can be detected, for example, by
spectrophotometric, fluorometric or by visual means. Enzymes which can be used to detectably label the MET-specific antibodies or fragment thereof of the present invention include, but are not limited to, malate dehydrogenase, staphylococcal nuclease, delta-5- steroid isomerase, yeast alcohol dehydrogenase, alpha-glycerophosphate dehydrogenase, triose phosphate isomerase, horseradish peroxidase, alkaline phosphatase, asparaginase, glucose oxidase, beta-galactosidase, ribonuclease, urease, catalase, glucose-6-phosphate dehydrogenase, glucoamylase and acetylcholinesterase.
[312] By radioactively labeling the MET-specific antibodies and/or fragment thereof, it is possible to detect MET through the use of a radioimmunoassay (RIA) (see, for example, Work, et ah, Laboratory Techniques and Biochemistry in Molecular Biology, North Holland Publishing Company, N.Y. (1978)). The radioactive isotope can be detected by such means as the use of a gamma counter or a scintillation counter or by autoradiography. Isotopes which are particularly useful for the purpose of the present invention are: H, I, I, S,14C, and, preferably,125I.
[313] It is also possible to label the MET-specific antibodies and or fragments thereof with a fluorescent compound. When the fluorescent labeled antibody is exposed to light of the proper wave length, its presence can then be detected due to fluorescence. Among the most commonly used fluorescent labelling compounds are fluorescein isothiocyanate, rhodamine, phycoerythrin, phycocyanin, allophycocyanin, o-phthaldehyde and fluorescamine.
[314] The MET-specific antibodies or fragments thereof can also be detectably labeled using fluorescence-emitting metals such as
Figure imgf000121_0001
or others of the lanthanide series. These metals can be attached to the MET-specific antibody or fragment thereof using such metal chelating groups as diethylenetriaminepentaacetic acid (DTPA) or ethylenediamine- tetraacetic acid (EDTA).
[315] The MET-specific antibodies or fragments thereof also can be detectably labeled by coupling to a chemiluminescent compound. The presence of the chemiluminescently labeled antibody is then determined by detecting the presence of luminescence that arises during the course of a chemical reaction. Examples of particularly useful chemiluminescent labeling compounds are luminol, isoluminol, theromatic acridinium ester, imidazole, acridinium salt and oxalate ester. Likewise, a bioluminescent compound can be used to label the MET- specific antibody, fragment or derivative thereof of the present invention. Bioluminescence is a type of chemiluminescence found in biological systems in which a catalytic protein increases the efficiency of the chemiluminescent reaction. The presence of a bioluminescent protein is determined by detecting the presence of luminescence. Important bioluminescent compounds for purposes of labeling are luciferin, luciferase and aequorin.
[316] Detection of the MET-specific antibody, fragment or derivative thereof can be accomplished by a scintillation counter, for example, if the detectable label is a radioactive gamma emitter, or by a fluorometer, for example, if the label is a fluorescent material. In the case of an enzyme label, the detection can be accomplished by colorometric methods which employ a substrate for the enzyme. Detection can also be accomplished by visual comparison of the extent of enzymatic reaction of a substrate in comparison with similarly prepared standards.
[317] For the purposes of the present invention, the MET which is detected by the above assays can be present in a biological sample. Any sample containing MET can be used. Preferably, the sample is a biological fluid such as, for example, blood, serum, lymph, urine, inflammatory exudate, cerebrospinal fluid, amniotic fluid, a tissue extract or homogenate, and the like. However, the invention is not limited to assays using only these samples, it being possible for one of ordinary skill in the art to determine suitable conditions which allow the use of other samples.
[318] In situ detection can be accomplished by removing a histological specimen from a patient, and providing the combination of labeled antibodies of the present invention to such a specimen. The antibody or fragment thereof is preferably provided by applying or by overlaying the labeled antibody or fragment thereof to a biological sample. Through the use of such a procedure, it is possible to determine not only the presence of MET but also the distribution of MET in the examined tissue. Using the present invention, those of ordinary skill will readily perceive that any of a wide variety of histological methods (such as staining procedures) can be modified in order to achieve such in situ detection.
[319] The antibody or fragment thereof of the present invention can be adapted for utilization in an immunometric assay, also known as a "two-site" or "sandwich" assay. In a typical immunometric assay, a quantity of unlabeled antibody or fragment thereof is bound to a solid support that is insoluble in the fluid being tested and a quantity of detectably labeled soluble antibody is added to permit detection and/or quantitation of the ternary complex formed between solid-phase antibody, antigen, and labeled antibody. [320] Typical, and preferred, immunometric assays include "forward" assays in which the antibody bound to the solid phase is first contacted with the sample being tested to extract the MET from the sample by formation of a binary solid phase antibody-MET complex. After a suitable incubation period, the solid support is washed to remove the residue of the fluid sample, including unreacted MET, if any, and then contacted with the solution containing a known quantity of labeled antibody (which functions as a "reporter molecule"). After a second incubation period to permit the labeled antibody to complex with the MET bound to the solid support through the unlabeled antibody or fragment thereof, the solid support is washed a second time to remove the unreacted labeled antibody or fragment thereof. This type of forward sandwich assay can be a simple "yes/no" assay to determine whether MET is present or can be made quantitative by comparing the measure of labeled antibody or fragment thereof with that obtained for a standard sample containing known quantities of MET. Such "two-site" or "sandwich" assays are described by Wide (Radioimmune Assay Method, Kirkham, ed., Livingstone, Edinburgh, 1970, pp. 199-206).
[321] Other type of "sandwich" assays, which can also be useful with MET, are the so- called "simultaneous" and "reverse" assays. A simultaneous assay involves a single incubation step wherein the antibody bound to the solid support and labeled antibody are both added to the sample being tested at the same time. After the incubation is completed, the solid support is washed to remove the residue of fluid sample and uncomplexed labeled antibody. The presence of labeled antibody associated with the solid support is then determined as it would be in a conventional "forward" sandwich assay.
[322] In the "reverse" assay, stepwise addition first of a solution of labeled antibody to the fluid sample followed by the addition of unlabeled antibody bound to a solid support after a suitable incubation period, is utilized. After a second incubation, the solid phase is washed in conventional fashion to free it of the residue of the sample being tested and the solution of unreacted labeled antibody. The determination of labeled antibody associated with a solid support is then determined as in the "simultaneous" and "forward" assays. In one aspect, a combination of antibodies of the present invention specific for separate epitopes can be used to construct a sensitive three-site immunoradiometric assay.
[323] The antibodies or fragments thereof of the invention also are useful for in vivo imaging, wherein an antibody or fragment thereof labeled with a detectable moiety such as a radio-opaque agent or radioisotope is administered to a subject, preferably into the bloodstream, and the presence and location of the labeled antibody in the host is assayed.
This imaging technique is useful in the staging and treatment of malignancies. The antibody or fragment thereof may be labeled with any moiety that is detectable in a host, whether by nuclear magnetic resonance, radiology, or other detection means known in the art.
[324] The label can be any detectable moiety that is capable of producing, either directly or indirectly, a detectable signal. For example, the label may be a biotin label, an enzyme label (e.g., luciferase, alkaline phosphatase, beta-galactosidase and horseradish peroxidase), a radio-label (e.g., H, C, P, S, and I), a fluorophore such as fluorescent or
chemiluminescent compound (e.g., fluorescein isothiocyanate, rhodamine), an imaging agent (e.g., Tc-m99 and indium (mIn)) and a metal ion (e.g., gallium and europium).
[325] Any method known in the art for conjugating the antibody or fragment thereof to the label may be employed, including those exemplary methods described by Hunter, et ah, 1962, Nature 144:945; David et ah, 1974, Biochemistry 13:1014; Pain et ah, 1981, J. Immunol. Meth. 40:219; Nygren, J., 1982, Histochem. and Cytochem. 30:407.
[326] The antibodies or fragments thereof of the invention also are useful as affinity purification agents. In this process, the antibodies, for example, are immobilized on a suitable support, such a Sephadex resin or filter paper, using methods well known in the art. Thus, MET may be isolated and purified from a biological sample.
VI. Therapeutic Applications
[327] Also included in the present invention are methods for inhibiting the growth of cells expressing MET. As provided herein, the immunoconjugates of the present invention have the ability to bind MET present on the surface of a cell and mediate cell killing. In particular, the immunoconjugates of the present invention comprising a cytotoxic payload, e.g., a indolinobenzodiazepine DNA-alkylating agent, are internalized and mediate cell killing via the activity of the cytotoxic payload e.g., a benzodiazepine, e.g., an indolinobenzodiazepine DNA-alkylating agent. Such cell killing activity may be augmented by the immunoconjugate inducing antibody-dependent cell-mediated cytotoxicity (ADCC) and/or complement dependent cytotoxicity (CDC).
[328] As used herein the terms“inhibit” and“inhibiting” should be understood to include any inhibitory effect on cell growth, including cell death. The inhibitory effects include temporary effects, sustained effects and permanent effects.
[329] The therapeutic applications of the present invention include methods of treating a subject having a disease. The diseases treated with the methods of the present invention are those characterized by the expression (e.g., cMET overexpression in the presence or absence of gene amplification) and/or activation of MET (e.g., in the presence or absence of gene amplification). Such diseases include for example, glioblastoma, pancreatic cancer, gastric cancer, prostate cancer, ovarian cancer, breast cancer, hepatocellular carcinoma (HCC), melanoma, osteosarcoma, and colorectal cancer (CRC), lung cancer including small-cell lung cancer (SCLC) and non-small cell lung cancer (NSCLC), head and neck squamous cell carcinoma (HNSCC), kidney cancer, renal cancer, esophageal cancer and thyroid cancer.
The skilled artisan will understand that the methods of the present invention may also be used to treat other diseases yet to be described but characterized by the expression of MET.
[330] In other particular embodiments, immunoconjugates of the present invention may be useful in the treatment of non-small-cell lung cancer (squamous cell, adenocarcinoma, or large-cell undifferentiated carcinoma), colorectal cancer (adenocarcinoma, gastrointestinal carcinoid tumors, gastrointestinal stromal tumors, primary colorectal lymphoma,
leiomyosarcoma, melanoma, or squamous cell carcinoma), and gastric cancer.
[331] The therapeutic applications of the present invention can be also practiced in vitro and ex vivo.
[332] The present invention also includes therapeutic applications of the antibodies or conjugates of the present invention wherein the antibodies or conjugates may be administered to a subject, in a pharmaceutically acceptable dosage form. They can be administered intravenously as a bolus or by continuous infusion over a period of time, by intramuscular, subcutaneous, parenteral, intra-articular, intrasynovial, intrathecal, oral, topical, or inhalation routes. They may also be administered by intratumoral, peritumoral, intralesional, or perilesional routes, to exert local as well as systemic therapeutic effects.
VII. Pharmaceutical Compositions
[333] The compositions of the invention include bulk drug compositions useful in the manufacture of pharmaceutical compositions (e.g., impure or non-sterile compositions) and pharmaceutical compositions ( i.e ., compositions that are suitable for administration to a subject or patient) that can be used in the preparation of unit dosage forms. Such
compositions comprise a prophylactically or therapeutically effective amount of the immunoconjugates of the present invention, or a combination of such agents and a pharmaceutically acceptable carrier. [334] Preferably, compositions of the invention comprise a prophylactically or therapeutically effective amount of immunoconjugates of the present invention and a pharmaceutically acceptable carrier.
[335] In a specific embodiment, the term“pharmaceutically acceptable” means approved by a regulatory agency of the Federal or a state government or listed in the U.S.
Pharmacopeia or other generally recognized pharmacopeia for use in animals, and more particularly in humans. The term“carrier” refers to a diluent, adjuvant ( e.g ., Freund’s adjuvant (complete and incomplete), excipient, or vehicle with which the therapeutic is administered. Generally, the ingredients of compositions of the invention are supplied either separately or mixed together in unit dosage form, for example, as a dry lyophilized powder or water free concentrate in a hermetically sealed container such as an ampoule or sachette indicating the quantity of active agent. Where the composition is to be administered by infusion, it can be dispensed with an infusion bottle containing sterile pharmaceutical grade water or saline. Where the composition is administered by injection, an ampoule of sterile water for injection or saline can be provided so that the ingredients may be mixed prior to administration.
[336] The invention also provides a pharmaceutical pack or kit comprising one or more containers filled with an immunoconjugates of the present invention, alone or with such pharmaceutically acceptable carrier. The invention also provides a pharmaceutical pack or kit comprising one or more containers filled with one or more of the ingredients of the pharmaceutical compositions of the invention. Optionally associated with such container(s) can be a notice in the form prescribed by a governmental agency regulating the manufacture, use or sale of pharmaceuticals or biological products, which notice reflects approval by the agency of manufacture, use or sale for human administration.
[337] The present invention provides kits that can be used in the above methods. A kit can comprise any of the immunoconjugates of the present invention.
VIII. Methods of Administration
[338] The compositions of the present invention may be provided for the treatment, prophylaxis, and amelioration of one or more symptoms associated with a disease, disorder by administering to a subject a therapeutically effective amount an immunoconjugate of the invention. In a preferred aspect, such compositions are substantially purified ( i.e ., substantially free from substances that limit its effect or produce undesired side effects). In a specific embodiment, the subject is an animal, preferably a mammal such as non-primate ( e.g ., bovine, equine, feline, canine, rodent, etc.) or a primate (e.g., monkey such as, a cynomolgus monkey, human, etc.). In a preferred embodiment, the subject is a human.
[339] Methods of administering an immunoconjugate of the invention include, but are not limited to, parenteral administration (e.g., intradermal, intramuscular, intraperitoneal, intravenous and subcutaneous), epidural, and mucosal (e.g., intranasal and oral routes). In a specific embodiment, the immunoconjugates of the present invention are administered intramuscularly, intravenously, or subcutaneously. The compositions may be administered by any convenient route, for example, by infusion or bolus injection, and may be
administered together with other biologically active agents. Administration can be systemic or local.
[340] The invention also provides that preparations of the immunoconjugates of the present invention are packaged in a hermetically sealed container such as an ampoule or sachette indicating the quantity of the molecule. In one embodiment, such molecules are supplied as a dry sterilized lyophilized powder or water free concentrate in a hermetically sealed container and can be reconstituted, e.g., with water or saline to the appropriate concentration for administration to a subject. Preferably, the immunoconjugates of the present invention are supplied as a dry sterile lyophilized powder in a hermetically sealed container.
[341] The lyophilized preparations of the immunoconjugates of the present invention should be stored at between 2°C and 8°C in their original container and the molecules should be administered within 12 hours, preferably within 6 hours, within 5 hours, within 3 hours, or within 1 hour after being reconstituted. In an alternative embodiment, such molecules are supplied in liquid form in a hermetically sealed container indicating the quantity and concentration of the molecule, fusion protein, or conjugated molecule. Preferably, such immunoconjugates when provided in liquid form are supplied in a hermetically sealed container.
[342] As used herein, an“therapeutically effective amount” of a pharmaceutical
composition is an amount sufficient to effect beneficial or desired results including, without limitation, clinical results such as decreasing symptoms resulting from the disease, attenuating a symptom of infection (e.g., viral load, fever, pain, sepsis, etc.) or a symptom of cancer (e.g., the proliferation, of cancer cells, tumor presence, tumor metastases, etc.), thereby increasing the quality of life of those suffering from the disease, decreasing the dose of other medications required to treat the disease, enhancing the effect of another medication such as via targeting and/or internalization, delaying the progression of the disease, and / or prolonging survival of individuals.
[343] A therapeutically effective amount can be administered in one or more
administrations. For purposes of this invention, a therapeutically effective amount of drug, compound, or pharmaceutical composition is an amount sufficient to reduce the proliferation of (or the effect of) viral presence and to reduce and /or delay the development of the viral disease, either directly or indirectly.
[344] The pharmaceutical compositions of the invention may be administered locally to the area in need of treatment; this may be achieved by, for example, and not by way of limitation, local infusion, by injection, or by means of an implant, said implant being of a porous, non- porous, or gelatinous material, including membranes, such as sialastic membranes, or fibers. Preferably, when administering an immunoconjugate of the invention, care must be taken to use materials to which the molecule does not absorb.
[345] The compositions of the invention can be delivered in a vesicle, in particular a liposome ( See Langer (1990)“New Methods Of Drug Delivery,” Science 249:1527-1533); Treat et al, in LIPOSOMES IN THE THERAPY OF INFECTIOUS DISEASE AND CANCER, Lopez- Berestein and Fidler (eds.), Liss, New York, pp. 353- 365 (1989); Lopez-Berestein, ibid., pp. 317-327).
EXAMPLES
Example 1. Production of Murine MET Antibodies and Hybridoma Screening
Cell Lines and Growth
[346] Cell lines used herein were grown in the appropriate media, for example DMEM or RPMI-1640 media supplemented with 10% fetal bovine serum, 2 mM glutamine and 1% penicillin-streptomycin (all reagents from Invitrogen) at 37°C in a humidified 5% C02 incubator unless otherwise indicated. Cells were passaged twice per week and maintained between 0.2 to 1 x 106 cells/ml.
Production of Murine MET Antibodies
[347] An expression plasmid pSRa-MET was constructed that contained the MET extracellular and transmembrane domain sequence flanked by Kpnl and Xhol restriction sites that allowed expression of a truncated version of human MET which corresponds to the first 1077 amino acids of the 1390 amino acid protein described by GenBank Protein ID 188595716. This truncated version does not contain the intracellular receptor kinase domain which comprises the receptor autophosphorylation site and the adaptor protein docking site. However, it does contain the entire extracellular portion of MET including the ligand-binding site. 300-19 cells, a pre-B cell line derived from a Balb/c mouse (Reth et ah, Nature , 317:353-355 (1985)), was transfected with this expression plasmid to stably express high levels of truncated human MET on the cell surface and used for immunization of Balb/c VAF mice. Mice were first immunized subcutaneously with 10 pg of recombinant human
HGFR/cMET-Fc chimeric protein (R&D systems; 358-MT/CF) in complete Freund’s adjuvant (CFA) followed by the same antigen in incomplete Freund’s adjuvant (IFA) two weeks later. The mice were then boosted with three immunizations of 5xl06 MET-expressing 300-19 cells per mouse every 2 weeks by standard immunization protocols known to those of skill, for example, such as those used at ImmunoGen, Inc. Immunized mice were boosted one more time with 5xl06 MET-expressing 300-19 cells per mouse three days before being sacrificed for hybridoma generation. Spleens from mice was collected according to standard animal protocols, such as, for example grinding tissue between two sterile, frosted microscopic slides to obtain a single cell suspension in RPMI-1640 medium. The spleen cells were centrifuged, pelleted, washed, and fused with a murine myeloma, such as, for example P3X63Ag8.653 cells (Kearney et ah, J. Immunol., 123:1548-1550 (1979)) using polyethylene glycol-l500 (Roche 783 641). The fused cells were resuspended in RPMI-1640 selection medium containing hypoxanthine-aminopterin-thymidine (HAT) (Sigma H-0262) and selected for growth in 96-well flat-bottomed culture plates (Corning-Costar 3596, 200 pF of cell suspension per well) at 37°C with 5% carbon dioxide (C02). After 5 days of incubation, 100 pF of culture supernatant were removed from each well and replaced with 100 pF of RPMI-1640 medium containing hypoxanthine-thymidine (HT) supplement (Sigma H-0137). Incubation at 37°C with 5% C02 was continued until hydridoma clones were ready for antibody screening. Other techniques of immunization and hybridoma production can also be used, including those described in Fangone et al. (Eds.,“Immunochemical
Techniques, Part I”, Methods in Enzymology, Academic Press, volume 121, Florida) and Harlow et al. (“Antibodies: A Faboratory Manual”; Cold Spring Harbor Faboratory Press, New York (1988)).
Hybridoma Screening for MET binding
[348] Culture supernatants from the hybridoma were screened by flow cytometry for secretion of mouse monoclonal antibodies that bind to antigen positive cells but not antigen negative cells. Antigen positive cells used were for example MET-expressing 300-19 cells or MKN45 gastric cells, while antigen negative cells used were for example the non-transfected 300-19 cells. 100 mΐ of hybridoma supernatants was incubated for 3 h with either MET- expressing cells or the non-transfected 300-19 cells (1 xlO5 cells per sample) in 100 pL FACS buffer (RPMI-1640 medium supplemented with 2% normal goat serum). Then, the cells were centrifuged, pelleted, washed, and incubated for 1 h with 100 pL of PE-conjugated goat anti-mouse IgG-antibody (such as obtainable from, for example Jackson Laboratory) at 6 pg/mL in FACS buffer. The cells were centrifuged, pelleted again, washed with FACS buffer and resuspended in 200 pL of PBS containing 1% formaldehyde. Cells were acquired using a FACSCalibur flow cytometer with the HTS multiwell sampler or a FACS array flow cytometer and analyzed using CellQuest Pro (all from BD Biosciences, San Diego, US). Hybridoma clones identified as secreting anti-MET antibodies were expanded and grown to collect antibody-containing supernatant for additional screening.
Example 2. Expression of Reference Antibodies
[349] In order to compare the activity of the isolated antibodies, previously identified anti- MET antibodies were cloned and expressed. The amino acid sequence for the HC and LC variable region of the 224G11 antibody was derived from WO 2009007427 (Goetsch L.) using SEQ ID NO: 18 for the HC variable region and SEQ ID NO:2l for the LC variable region. The amino acid sequence for the HC and LC variable region of the 5D5 antibody was derived from US07476724 using SEQ ID NOs 187 to 193 for the HC variable region and SEQ ID NOs 179 to 185 for the LC variable region.
[350] The variable region sequences for both antibodies were codon-optimized and synthesized by Blue Heron Biotechnology. The sequences are flanked by restriction enzyme sites for cloning in-frame with the respective constant sequences in single chain mammalian expression plasmids. Cloning, expression and purification was carried out as described above.
[351] In order to assess the activity of a monovalent version of 5D5, a Fab preparation was isolated from the whole IgG using the Pierce® Fab preparation kit (Thermo Fisher Scientific, Waltham, MA). Briefly, 0.5 ml of purified 5D5 IgG at a concentration of 4.7 mg/ml were buffer exchanged to the Fab digestion buffer containing 20 mM cysteine, pH 7.0, and mixed with 30 pg (0.88 BAEE unit) of immobilized papain that was equilibrated in the same digestion buffer. The digestion reaction was incubated for 6 hours with an end-over-end mixer at 37°C to maintain constant mixing of resin. The digestion was then stopped by removing the IgG digest from the resin by centrifugation at 5000 x g. The digested antibody solution was then incubated with pre-packed immobilized Protein A column that was equilibrated in phosphate buffered saline (PBS) for 10 mins. The Fab fragment was collected as the flowthrough fraction while the Fc fragments and undigested IgG bound to the column. The 5D5 Fab fragment was then buffer exchanged into PBS using an Amicon centrifugal filter unit (Millipore, Billerica, MA). Fab purity was assessed with size exclusion
chromatography and SDS-PAGE, and its concentration was determined by absorbance measurement at 280 nm using an extinction coefficient of 1.66 ml mg-1 cm-1.
Example 3. Hybridoma Screening for Inhibition of HGF-Binding
[352] The ability of antibodies to inhibit binding of the HGF ligand to MET was evaluated with a flow cytometry based assay using intact BxPC3 and MKN45 cells. Therefore, the ligand inhibition is measured in the context of MET present on the surface of a cell rather than using a recombinant source of the receptor. Briefly, target cells were harvested and re suspended in at 400,000 cells/ml in binding buffer (lxPBS, 0.1% BSA, 0.05% sodium azide) and added to a 96-wel plate at 50 pL per well. Hybridoma supernatant is added to the cells at 50 pL per well and the mixture was incubated for 30 min on ice. Subsequently, 50 pL of HGF at 150 ng/mL was added to yield a final concentration of 50 ng/mL. The mixture was incubated for 30 min on ice and then washed three times with binding buffer. Biotinylated goat-anti-HGF-antibody was diluted to 0.4 pg/mL in binding buffer and added at
100 pL/well. Plates were incubated on ice for 45 minutes and then washed three times with binding buffer. Allophycocyanin (APC)-conjugated streptavidin (Jackson ImmunoResearch) was diluted to 1:200 in binding buffer, added at 100 pL/well and plates were incubated on ice for 45 minutes. Plates were washed three times with binding buffer and cells were re suspended in 150 pL/well of fixation buffer (1% formaldehyde in lx PBS). Samples were acquired using a FACSCalibur flow cytometer with the HTS multiwell sampler and analyzed using CellQuest Pro (BD Biosciences, San Diego, US). The mean fluorescence intensity (MFI) of FL4 was determined for each treated sample as well as cells in the presence of HGF but absence of antibody treatment. Controls included untreated cells incubated with HGF (0% inhibition) and untreated cells incubated without HGF (100% inhibition). Percent inhibition was calculated by normalizing MFI values of treated samples to that of control samples using the following formula: Percent inhibition = 100 x [ 1- (treated sample - untreated cells without HGF)/ (untreated cell with HGF - untreated cells without HGF)] . The percent inhibition values were plotted for each treatment.
[353] Supernatants from several isolated hybridoma clones showed strong activity in the flow cytometry based HGF-binding assay and were able to significantly inhibit HGF binding to BxPC3 as well as MKN45 cells (see FIG. 1 and FIG. 2). Clones were considered for further analysis if % inhibition of HGF binding to BxPC3 and MKN45 cells was at least 50% or above. The previously described anti-MET antibody 224G11 (Patent application
WO 2009007427) was used in comparison and it resulted in % inhibition of HGF binding to BxPC3 and MKN45 cells of 50% and 67%, respectively. Several of the isolated hybridoma clones had more potent activity as compared to 224G11. Hybridoma clones such as 247.7, 247.22, 247.26, 247.32, 247.33, 247.48, 248.51, 248.61, 248.62, 248.66, 248.67, 248.69, 248.71, 248.74, 248.76, 248.78, 248.81, 248.83, 248.90, 248.91, 248.92, and 248.96 resulted in at least 80% inhibition of HGF binding to both BxPC3 and MKN45. Hybridoma clones 247.22, 247.48, and 248.69 are parental clones for hybridomas 247.22.2, 247.48.38 and 248.69.4, respectively, as described below in this and subsequent Examples.
[354] The ability of exemplary antibodies to inhibit cell growth was measured using in vitro cytotoxicity assays. Briefly, target cells were plated at 4,000 cells per well in 100 pL in serum- free RPMI media (RPMI-1640, 2 mM glutamine, 1% penicillin- streptomycin, all reagents from Invitrogen). Antibodies were diluted into serum free media and 100 pL were added per well. Recombinant human HGF (R&D Systems) was diluted to 500 ng/ml in serum-free media and added at 50 pL per well to yield a final concentration of 100 ng/mL. Cells were incubated at 37°C in a humidified 5% C02 incubator for 3 to 4 days. Viability of remaining cells was determined by colorimetric WST-8 assay (Dojindo Molecular
Technologies, Inc., Rockville, MD, US). WST-8 is reduced by dehydrogenases in living cells to an orange formazan product that is soluble in tissue culture medium. The amount of formazan produced is directly proportional to the number of living cells. WST-8 was added to 10% of the final volume and plates were incubated at 37°C in a humidified 5% C02 incubator for an additional 2-4 hours. Plates were analyzed by measuring the absorbance at 450 nm (A450) in a multiwell plate reader. Controls included untreated cells incubated with HGF (0% inhibition) and untreated cells incubated without HGF (100% inhibition). Percent inhibition was calculated by normalizing MFI values of treated samples to that of control samples using the following formula: Percent inhibition = 100 x [ 1- (treated sample - untreated cells without HGF)/ (untreated cell with HGF - untreated cells without HGF) ] . The percent inhibition values were evaluated for each treatment. [355] Supernatants from several isolated hybridoma clones showed strong inhibition of HGF-induced proliferation of BxPC3. Clones were considered for further analysis if % inhibition of HGF-induced proliferation of BxPC3 cells was at least 40% or above.
Hybridoma subcloning and subclone screening
[356] Desirable hybridoma clones were subcloned by limiting dilution. Hybridoma supernatant from subclones were screened again for binding to MET-expressing cell by flow cytometry as outlined above. One or two subclones from each parental hybridoma clone, which showed the same reactivity against MET as the parental clone by flow cytometry, was chosen for subsequent analysis.
[357] Hybridoma supernatant from positive subclones was tested for inhibition of HGF binding to MKN45 and BxPC3 cells as outlined above. Percent inhibition was determined for each sample. Typically, subclones showed substantial inhibition of HGF binding to MKN45 and BxPC3 cells as expected.
[358] One subclone from each parental hybridoma that showed substantial inhibition of HGF binding to MKN45 and BxPC3 cells was selected for subsequent analysis. Stable subclones were cultured and the isotype of each secreted anti-MET antibody was identified using commercial isotyping reagents (Roche #1493027 or EY Laboratories, Inc. #IC-IS-002- 20).
Example 4. Antibody Purification
[359] Antibodies were purified from hybridoma subclone supernatants using standard methods such as, for example, Protein A or G chromatography.
[360] For purification of antibody desired standard methods such as for example chromatography with MabSelectSuRe, HiTrap Protein A or G HP (Amersham Biosciences) was used. Briefly, supernatant was prepared for chromatography by the addition of 1/10 volume of 1 M Tris/HCl buffer, pH 8.0. The pH-adjusted supernatant was filtered through a 0.22 pm filter membrane and loaded onto column equilibrated with binding buffer (PBS, pH 7.3). The column was washed with binding buffer until a stable baseline was obtained with no absorbance at 280 nm. Antibody was eluted with 0.1 M acetic acid buffer containing 0.15 M NaCl, pH 2.8, using a flow rate of 0.5 mL/min. Fractions of approximately 0.25 mL were collected and neutralized by the addition of 1/10 volume of 1M Tris/HCl, pH 8.0. The peak fraction(s) was dialyzed overnight twice against lx PBS and sterilized by filtering through a 0.2 pm filter membrane. Purified antibody was quantified by absorbance at A280. [361] Protein A purified fractions were further polished using ion exchange chromatography (IEX) with quaternary ammonium (Q) chromatography for murine antibodies. Briefly, samples from protein A purification were buffer exchanged into binding buffer (10 mM Tris, 10 mM sodium chloride, pH 8.0) and filtered through 0.22 pm filer. The prepared sample was then loaded onto a Q fast flow resin (GE Lifesciences) that was equilibrated with binding buffer at a flow rate of 120 cm/hr. Column size was chosen to have sufficient capacity to bind all the MAb in the sample. The column was then washed with binding buffer until a stable baseline was obtained with no absorbance at 280 nm. Antibody was eluted by initiating a gradient from 10 mM to 500 mM sodium chloride in 20 column volume (CV). Peak fractions were collected based on absorbance measurement at 280 nm (A280). The percentage of monomer was assessed with size exclusion chromatography (SEC) on a TSK gel G3000SWXL, 7.8 x 300 mm with a SWXL guard column, 6.0 x 40 mm (Tosoh
Bioscience, Montgomeryville, PA) using an Agilent HPLC 1100 system (Agilent, Santa Clara, CA ). Fractions with monomer content above 95% were pooled, buffer exchanged to PBS (pH 7.4) using a TFF system, and sterilized by filtering through a 0.2 pm filter membrane. The IgG concentration of purified antibody was determined by A280 using an extinction coefficient of 1.47. Alternative methods such as ceramic hydroxyapatite (CHT) were also used to polish antibodies with good selectivity. Type II CHT resin with 40 pm particle size (Bio-Rad Laboratories) were used with a similar protocol as described for IEX chromatography. The binding buffer for CHT corresponds to 20 mM sodium phosphate, pH 7.0 and antibody was eluted with a gradient of 20-160 mM sodium phosphate over 20 CV.
Example 5. Sequencing, chimerization, and humanization of anti-MET Antibodies
Sequencing and chimerization of the anti-MET Antibodies
[362] Total cellular RNA was prepared from 5 x 106 cells of the MET hybridomas using an RNeasy kit (QIAgen) according to the manufacturer’s protocol. cDNA was subsequently synthesized from total RNA using the Superscript II cDNA synthesis kit (Invitrogen).
[363] The procedure for degenerate PCR reactions on the cDNA derived from hybridoma cells was based on methods described in Wang et al. ((2000) J Immunol Methods. 233:167- 77) and Co et al. ( (1992) J Immunol. 748:1149-54). The primers and vectors were modified to facilitate directly cloning the hybridoma RT-PCR products in-frame with human constant region sequences in a mammalian expression vector capable of expressing chimeric versions of the murine antibodies. In this scheme, the PCR products themselves were initially sequenced with the PCR primers, and then following cloning, the variable regions were resequenced with vector specific primers. Since degenerate PCR primers were used at both the 5’ and 3’ ends of the antibody variable regions, germline sequence information obtained by searching NCBI IgBlast site (www.ncbi.nlm.nih.gov/igblast/) for the murine germline sequences was used to predict the N and C terminal murine sequences, though the primer generated residues remained in the chimeric expression plasmids.
[364] These expression plasmids were then used to express chimeric antibodies in suspension HEK-293T cells using a modified Poly Ethyl Immine (PEI) procedure (Durocher, Y., et al., Nucleic Acids Res. 30: E9 (2002)). Supernatant was purified using standard Protein A chromatography procedures as described above, but the polishing chromatography steps were performed using either carboxymethyl (CM) fast flow ion exchange (IEX) resin
(GE Lifesciences) and 10 mM potassium phosphate, 10 mM sodium chloride binding buffer (pH 7.5 ) or the alternative CHT methods described above. Binding experiments were performed with the chimeric antibodies to confirm that the cloned sequences preserve the expected binding properties of the murine antibodies.
[365] All procedures related to antibody cloning and expression followed conventional molecular biology methods such as those described in standard laboratory manuals (Ausubel, F., et al, Wiley, 2010) or were performed according to the manufacturer’s instructions.
Humanization by resurfacing methods
[366] The 247.22.2 and 247.27.16 antibodies were humanized following resurfacing methods previously described, such as, for example in Roguska et al., Proc. Natl. Acad. Sci., USA, 9l(3):969-973 (1994) and Roguska et al., Protein Eng. 9(l0):895-904 (1996), which are incorporated in their entirety herein by reference. Resurfacing generally involves
identification of the variable region surface residues in both light and heavy chains and replacing them with human equivalents. Surface residue positions are defined as any position with its relative accessibility of 30% or greater (Pedersen et al., J. Mol. Biol., 235(3):959-973 (1994)). Surface residues are aligned with human germline surface sequences to identify the most homologous human surface sequence and replacements with human equivalent residues are made based on these alignments.
[367] Exemplary CDRs for 247.22.2 are defined as indicated in the table below.
Table 8. Exemplary 247.22.2 (cMET-22) CDRs
Light Chain
LC CDR1: RASENIYSTLA (SEQ ID NO:l)
LC CDR2: AATNLAD (SEQ ID NO:2) LC CDR3: QHFWGTPYT (SEQ ID NOG)
Heavy Chain
HC CDR1: DYNMD (SEQ ID NOG)
HC CDR2: DLNPNNGATI (SEQ ID NO: 12)
HC CDR3: GNYY GNYYYLMD Y (SEQ ID NO: 10)
Rabat Defined HC CDR2
Murine HC CDR2: DLNPNNGATIYNOKFKG (SEQ ID NO:9)
Human HC CDR2: DLNPNNGATIYNEKFOG (SEQ ID NO:73)
[368] Exemplary CDRs for 247.27.16 are defined as indicated in the table below. Table 9. Exemplary 247.27.16 (cMET-27) CDRs
Light Chain _
LC CDR1: RASES VDSYGNSFIH (SEQ ID NO:4)
LC CDR2: RASNLES (SEQ ID NO:5)
LC CDR3 1.0: QQSNEDPLT (SEQ ID NO:6)
LC CDR3 1.2: QQSNEEPLT (SEQ ID NO:7)
LC CDR3 1.3: QQSNENPLT (SEQ ID NO: 117)
Heavy Chain _
HC CDR1: SYDMS (SEQ ID NO: 13)
HC CDR2: TINSNGVSIY (SEQ ID NO: 17)
HC CDR3: EEITTEMDY (SEQ ID NO: 15)
Rabat Defined HC CDR2
Murine and human HC CDR2: TINS N G V S IY YPDSVKG (SEQ ID NO: 14)
[369] The light and heavy chain CDR’s as defined for the resurfacing are given by way of example in Table 8 and Table 9. The Rabat definition for heavy chain CDR2 is also given for both the murine and human sequence. The underlined sequence marks the portion of the Rabat heavy chain CDR2 not considered a CDR for resurfacing.
[370] The CDR3 of the 247.27.16 light chain contains a potential protease cleavage site. Therefore two alternate resurfaced versions LC CDR3 1.2 and LC CDR3 1.3 were generated to remove this site.
Humanization by CDR-grafting methods
[371] The murine CMET-27 antibody was humanized following complementary determining region (CDR) grafting procedures described in Jones et al., Nature 321: 604-608 (1986), Verhoeyen et al., Science 239: 1534-1536 (1988), U.S. Patent No. 5225539 A (1993), and U.S. Patent No. 5585089 A (1996). CDR grafting consists of replacing the Fv framework regions (FRs) of a mouse antibody with human antibody Fv framework regions while preserving the mouse CDR residues. Exemplary CDRs of the CMET-27 antibody following the Rabat numbering scheme and the Rabat CDR definitions are as indicated in Table 10. The CDR-grafting process begins by selecting appropriate human acceptor frameworks, typically those derived from human antibody genes sharing the highest sequence homology to the parent murine antibody utilizing the interactive tool, DomainGapAlign, of the International ImMunoGeneTics information system® (IMGT, http://www.imgt.org/) as described in Ehrenmann et al, Nucleic Acids Res. 38: D301-307 (2010). The human germline sequences selected as the acceptor frameworks for the VL and VH domains of cMET-27 antibody were IGRV3-11*01 and IGHV3-48*03, respectively (FIGs. 3A and 3B and in Table 3).
[372] Further, the two consecutive LC CDR3 residues, Aspartate at position L94 and Proline at position L95, were considered as potential cleavage sites. Such potential sequence liability was successfully removed by replacing Aspartate with an homologous residue Glutamate at position L94 without impacting the binding affinity compared to the parent antibody. Further, it is well established that framework residues can make critical structural contributions to antigen binding and may need be to re-introduced as backmutations to restore antigen-binding affinity, Foote and Winter, J. Mol. Biol. 224: 487-499 (1992).
Instead of introducing backmutations sequentially after the initial CDR grafted CMET-27 construct was made and evaluated, one additional humanized VL version (VLGv2) containing backmutations at position L68 and one additional humanized VH version (VHGv2) containing three backmutations at positions H47, H49, and H73 were constructed at the same time as the initial constructs were made (FIGs. 4 A and 4B). All the four backmutations in both the
VL domain (G68R) and the VH domain (W47L, S49A, and N73I) belong to the Vernier zone residues.
[373] The humanized DNA constructs were synthesized, expressed via transient transfection of HER 293T cells, and the recombinant antibodies purified with standard methods for subsequent cMET binding analysis compared with the parent antibody. As demonstrated in FIG. 5, all the humanized versions tested, including vl.l, contains no backmutation, vl.2, contains backmutations only in the VH domain, v2.l, contains backmutation only in the
VL domain, and v2.2, contains backmutations in both VL and VH domains, retained parent binding to the cell line expressing human cMET antigen in direct FACS binding. It would be intuitive to pick vl.l as the final humanized version since it contains no backmutation thereby keeping the CDR grafted antibody as“human” as possible. However, direct comparison of the transient expression titers of the four versions revealed that vl.l expressed at a low level, 6 mg/L (Table 11). Low yield from transient expression makes research material less accessible; additionally, based on our experience, low transient titer is indicative of the difficulty in obtaining high expressing stable cell lines. Meanwhile, while version 1.2 expressed at an acceptable transient yield, two of the three backmutations in the VH domain (W47L and N73I) have very low relative frequency in human antibody molecules based on Abysis database (http://www.abysis.org/), which raised potential immunogenicity concerns. Consequently, one more humanized VH version (VHGv3) removing the two low frequency backmutations was constructed (FIG. 4B). The hucMET27G vl.3, which contains one S49A backmutation in the VH domain was transiently expressed at an intermediately level, and selected as the preferred CDR grafted cMET-27 construct. The huCMET27Gvl.3 antibodies containing hinge modifications (i.e., anti-MET antibodies comprising a light chain having the amino acid sequence of SEQ ID NO:49 and a heavy chain having the amino acid sequence of SEQ ID NO:77, SEQ ID NO:78; SEQ ID NO:79; SEQ ID NO:80, SEQ ID NO:8l; SEQ ID NO:82; SEQ ID NO:83 or SEQ ID NO:84) are made as outlined above. In a specific embodiment, anti-MET antibody containing hinge modifications has a light chain having the amino acid sequence of SEQ ID NO:49 and a heavy chain having the amino acid sequence of SEQ ID NO:82.
Table 10. Exemplary cMET-27 CDRs
Figure imgf000138_0001
Figure imgf000139_0001
Table 11. Transient transfection titer comparison for humanized cMET-27 versions
Transient expression
Humanized versions
titer (mg/mL) hucMET27Gvl.l 6.81 hucMET27 Gv 1.2 18.7 hucMET27Gv2.1 10.5 hucMET27Gv2.2 17.2
Expression of human antibodies
[374] The variable region sequences for hu247.22.2 and hu247.27.16 were codon-optimized and synthesized by Blue Heron Biotechnology. The sequences are flanked by restriction enzyme sites for cloning in-frame with the respective constant sequences in single chain mammalian expression plasmids. The light chain variable region is cloned into EcoRI and BsiWI sites in the LC expression plasmids. The heavy chain variable region is cloned into the HindHI and Apa 1 sites in the HC expression plasmid. These plasmids can be used to express human antibodies in either transient or stable transfections in mammalian cells. Transient transfections to express human antibodies in HEK-293T cells can be performed using a modified PEI procedure (Durocher, Y. et al., Nucleic Acids Res. 30(2):E9 (2002)). Supernatant can be purified by Protein A and polishing chromatography steps using standard procedures as described above for chimerized antibodies.
[375] The activity of chimeric or humanized antibodies can be evaluated as described for murine antibodies in the above examples.
Example 6. Target Expression Analysis
[376] A preliminary prevalence analysis of MET expression was performed in gastric and non-small cell lung cancer (NSCLC). [377] All samples analyzed were FFPE (Formalin fixed & paraffin embedded) samples.
The NSCLC (105) and Gastric cancer samples (15) were purchased from Avaden
Biosciences. Immunohistochemical staining for cMet was carried out using the Ventana Discovery Ultra autostainer. The primary antibody for cMET (SP44) was a commercially available rabbit monoclonal antibody. The IHC assay was developed at ImmunoGen for preliminary research use.
[378] All samples were evaluated and scored by a board certified pathologist trained in the scoring algorithm. The presence of at least 100 viable tumor cells was required for scoring. Staining intensity was scored on a semi-quantitative integer scale from 0 to 3, with 0 representing no staining, 1 representing weak staining, 2 representing moderate and 3 representing strong staining. The percentage of cells staining positively at each intensity level was recorded. Scoring was based on localization of cMET to the cell membrane only, as well as evaluation of localization to both cytoplasm and membrane. The staining results were analyzed by H score, which combines components of staining intensity with the percentage of positive cells. It has a value between 0 and 300 and is defined as: 1 * (percentage of cells staining at 1+ intensity); + 2 * (percentage of cells staining at 2+ intensity); + 3 * (percentage of cells staining at 3+ intensity).
[379] For NSCLC, 86 adenocarcinoma whole tissue sections and 19 squamous cell carcinoma whole tissue sections were stained and evaluated. For gastric cancer, 15 whole tissue sections of adenocarcinoma were analyzed. All of these samples were scored for membrane staining, and the results are summarized in the table below.
Table 12. Prevalence of MET in NSCLC and Gastric Cancer
Figure imgf000140_0001
Example 7. Cross-Species Reactivity and Binding Affinity Studies of MET Antibodies and Conjugates
[380] The relative binding affinity of the humanized cMet targeting antibodies to human cMet (hu cMet) and cynomolgus monkey cMet (cyno cMet) was investigated using ForteBio analysis, in which soluble recombinant hu cMet or cyno cMet protein (containing the extracellular domain of cMet fused to a histidine-containing peptide) was incubated with biosensors loaded with immobilized anti-cMet antibody. Briefly, each antibody was bound and immobilized onto an anti-hlgG Fc Capture biosensor and then incubated in the presence of different concentrations (2.6-30 nM) of His-tagged soluble cMet. The kinetics of binding were determined via ForteBio analysis binding using a 1:1 binding fit model. The calculated ka, kd and KD from these studies are presented in Table 13. The results of these studies demonstrate that the humanized anti-cMet antibodies have similar binding affinity to human and cynomolgus monkey cMet, which will allow for toxicology and safety studies to validate the use of anti-cMet immunoconjugates as drug therapies.
[381] To evaluate the consequence of conjugation on antigen binding, the relative binding affinity of each anti-cMet immunoconjugate and its respective unconjugated antibody to cMet was determined by FACS analysis on EBC-l cells, which endogenously express human cMet. Briefly, EBC-l cells were incubated with dilution series of anti-cMet antibodies or immunoconjugates for 30 min @ 4°C in FACS buffer (PBS, 0.1% BSA, 0.01% NaN3).
Samples were then washed and incubated with fluorescently-labeled secondary antibody for 30 minutes at 4°C. The geometric mean fluorescent intensity at each concentration was plotted and the EC50 of binding was calculated using a nonlinear regression analysis (GraphPad Prims 6). All of the anti-cMet antibodies and immunoconjugates tested bound with similar affinity to human cMet with an EC50 of approximately 0.4 nM measured by flow cytometry, indicating that conjugation did not appreciably alter antibody binding affinity (FIG. 6). Similarly, the anti-cMET antibodies and immunoconjugates containing hinge modifications bound with similar affinity to human cMet (FIG. 6). Table 13. Summary for binding ofhucMet antibodies to the Extracelluar domain (ECD) of cyno-cMet and human-cMet
Figure imgf000142_0001
Example 8. Evaluation of Agonistic Activity of Anti-cMet Antibodies
[382] Exemplary antibodies were evaluated for potential induction of cell growth in the absence of HGF under serum-free conditions. Briefly, 3,000 NCI-H441 cells were plated in serum free media (SFM; 0.l%BSA in RPMI1640 medium). The following day cells were incubated with lnM of the indicated anti-cMet antibodies in SFM or 100 ng/mF of HGF at 37 °C in a humidified 5% C02 incubator for 4 days. Viability was tested using WST-8 which was added to 10% of the final volume and the samples were incubated at 37°C in a humidified 5% C02 incubator for an additional 2-4 hours. Samples were analyzed by measuring the absorbance at 450 nm (A4so) in a multiwell plate reader. Background A4so absorbance of wells with media and WST-8 only was subtracted from all values. Controls included untreated cells grown in SFM. The results are shown in FIG. 9. The A450 absorbance value was plotted for each treatment. The known agonistic antibody, 5D5, alone induced cell growth as indicated by the increased A450 value. However, the hucMet27Gvl.3, and particularly hucMet27Gvl.3Hinge28 and hucMet27Gvl.3HingeIgG2Sl27C antibodies resulted in significantly less induction at lOug/mL than 5D5 and ARGX-l 11, with signal similar to ABT-700 and 5D5-F’ab.
[383] In order to determine the effect of anti-cMet antibodies on the activation of the tyrosine kinase activity of c-Met, ELISA-based assays were used to quantify downstream signaling events triggered by cMet activation. As described above, NCI-H441 cells were plated in SFM. The next day cells were incubated with lnM of the indicated anti-cMet antibodies/ ADC in SFM or 100 ng/mL of HGF for 15 minutes. Samples were lysed and clarified lysates were assayed by ELISA for phophorylated-Erk and phosphorylated-Akt. Briefly, an immobilized capture antibody binds both phosphorylated and unphosphorylated of either Erk or Akt. After washing away unbound material, a biotinylated detection antibody is used to detect only phosphorylated protein, utilizing a standard HRP format. Samples were analyzed by measuring the absorbance at 450 nm (A4so) in a multiwell plate reader. Controls included cells treated with 100 ng/mL HGF (100% induction) and untreated cells treated in media alone (0% induction). Percent induction was calculated by normalizing A450 values of treated samples to that of control samples using the following formula: Percent induction = 100 x (treated sample - untreated cells without HGF)/ (cell with HGF - untreated cells without HGF). The percent induction value was plotted for each treatment. The results are shown in FIG. 7, FIG. 8, FIG. 10, and FIG. 11. While treatment with the agonistic cMet antibody 5D5 resulted in moderate phosphorylation of Erk, 5D5 induced elevated levels of phosphorylated Akt that mimic the activity of the native ligand, HGF. In contrast, hucMet27 antibodies, and particularly hucMet27Gvl.3Hinge28 and hucMet27Gvl.3HingeIgG2Sl27C antibodies induced significantly lower levels of phosphorylated Erk and in particular phosphorylated Akt. hucMET27 antibody showed similar levels of downstream signaling as compared to other cMET targeting antibodies with less agonistic activity compared to 5D5.
Example 9. Synthesis of Maytansinoid Derivatives of The Invention
Figure imgf000143_0001
Maytansinol (5.0 g, 8.85 mmol) was dissolved in anhydrous DMF ( 125 mL) then cooled in an ice bath. The N-carboxy anhydride of N-methyl alanine (5.7 g, 44.25 mmol), anhydrous DIPEA (7.70 mL, 44.25 mmol) and zinc trifluoromethane sulfonate (22.5 g, 62 mmol) were then added with magnetic stirring under an argon atmosphere. The ice bath was removed and the reaction was allowed to warm with stirring. After 16 h, deionized water (10 mL) was added. After 30 min a 1:1 solution of saturated aqueous sodium bicarbonate :
saturated aqueous sodium chloride (190 mL) and ethyl acetate (250 mL)were added with vigorous stirring. The mixture was transferred to a separatory funnel and the organic layer was retained. The aqueous layer was extracted with ethyl acetate (100 mL) then the organic layers were combined and washed with saturated aqueous sodium chloride (50 mL). The organic layer was concentrated to approximately l/4th its volume by rotary evaporation under vacuum without heating the evaporator bath, no purification was conducted. The
concentration of the solution was estimated by dividing the mmoles of maytansinol used in the reaction (1.77 mmol) by the volume (150 mL) giving DM-H stock solution (0.06 mmol/mL). Aliqouts of the stock solution were immediately dispensed then used in reactions or stored in a -80 C freezer then thawed when needed.
Example 9b. Synthesis of thio -peptide -may tansinoids
1. FMoc-Peptide-NH-CH2-OAc compounds (Compound 9a-j)
Figure imgf000144_0001
Step 1: FMoc-F-Ala-D-Ala-OtBu (3c): FMoc-L-alanine (lOg, 32.1 mmol) and D-Ala-OtBu, HC1 (7.00 g, 38.5 mmol) were dissolved in CH2C12 (100 ml), treated with COMU (20.63 g, 48.2 mmol) and DIPEA (11.22 ml, 64.2 mmol). The reaction was allowed to proceed for under argon at room temperature. After 2 hours the reaction showed completion by UPLC, was diluted with 2-MeTHF (50ml), washed with 10% aqueous citric acid (2x lOOmL), water (lOOmL), followed by brine (lOOmL). The organic layer was dried over magnesium sulfate, filter and concentrate to yield crude FMoc- L-Ala-D-Ala-OtBu, assume 100% yield.
Step 2: FMoc-L-Ala-D-Ala (4c)
FMoc-LAla-DAla-OtBu (l l.25g, 25.7 mmol) was treated with TFA:Water (95:5) (50ml).
The reaction was allowed to proceed at room temerpature under argon atmosphere. After 4 hours the reaction showed completion by UPLC, diluted with toluene (25mL) and coevaporated 3x. to yield FMoc-L-Ala-D-Ala, assume 100% yield.
Step 3: FMoc-L-Ala-Gly-OtBu (5c)
Z-L-Ala-ONHS (10 g, 31.2 mmol) and tert-butyl glycinate, (6.28 g, 37.5 mmol) were dissolved in CH2C12 (100 ml), treated with DIPEA (10.91 ml, 62.4 mmol). The reaction was allowed to proceed under argon at room temperature. After 2 hours, UPLC showed completion, the reaction was diluted with 2-MeTHF (50mL), awashed with 10% aqueous citric acid (lOOmL), sat'd sodium bicarbonate (2xl00mL), water (lOOmL), brine (lOOmL). The organic layer dried over magnesium sulfate, filtered and concentrated to yield Z-L-Ala- Gly-OtBu, assume 100% yield.
Step 4. L-Ala-Gly-OtBu (6c)
Z-Ala-Gly-OtBu (10.05 g, 29.9 mmol) was dissolved in 95:5 MeOH:Water (50 ml), transfered to hydrogenator flask, treated with Pd/C (1.272 g, 11.95 mmol). The hydrogenator flask was placed on the shaker, air was removed by vaccum while flask was shook. Hydrogen filled flask to 30psi, flask was shaken for 2 minutes and hydrogen was removed by vaccum. This was repeated 2 additional times. Hydrogen was allowed to fill flask to 30psi and was allowed to shake. After 4 hr, UPLC showed completion, reaction was filtered through a celite plug, en vucuo, redissolved in 2-MeTHF, concentrated to yield LAla-Gly-OtBu, assume 100% yield.
Step 5: FMoc-L-Ala-D-Ala-L-Ala-Gly-OtBu (7c) FMoc-LAla-D-ALa-OH (0.959 g, 2.508 mmol) and L-Ala-Gly-OtBu (0.718 g, 3.01 mmol) were dissolved in CH2C12 (10 ml), treated with COMU (1.181 g, 2.76 mmol) and DIPEA (0.876 ml, 5.02 mmol). The reaction was allowed to proceed under argon at room
temperature. After 2 hours reaction showed completion. The reaction was concentrated to remove CH2C12, redissolved in 2mL DMF and purified by C18 combiflash using a linear gradient, product was combined to yield FMoc-L-Ala-D-Ala-L-Ala-Gly-OtBu (660mg, 46% yield).
Step 6. FMoc-L-Ala-D-Ala-L-Ala-Gly-OH (8c)
FMoc-LAla-DAla-LAla-GlyOtBu (200mg, 0.353 mmol) was treated with TFA: Water (95:5) (2 ml). The reaction was allowed to proceed under argon at room temperature. After 1 hr the reaction showed completion by UPLC. The crude product was diluted with toluene (lmL), coevaporated 2x with toluene to yield FMoc-L-Ala-D-Ala-L-Ala-Gly-OH, assume 100% yield.
Step 7. FMoc-L-Ala-D-Ala-L-Ala-CH2-OAc (9c)
FMoc-L-Ala-D-Ala-L-Ala-Gly-OH (2.65 g, 5.19 mmol) was dissolved in DMF (20mL), treated with copper (II) acetate (0.094 g, 0.519 mmol) and acetic acid (0.446 ml, 7.79 mmol) once all reagants were dissolved the reaction was treated lead tetraacetate (3.45 g, 7.785 mmol). The reaction was allowed to proceed under argon at 60°C for 30 minutes. The crude reaction was purified via Combiflash Rf 200i using C18 450g column with a flow rate of l25mL/min with deionized water containing 0.1% formic acid and acetonitrile as solvents using a gradient as follows (time in minutes, percent acetonitrile) (0,5) (8,50) (26, 55). The desired product having a retention time of 11 minutes, product fractions were immediatley froze and lypholized to yield FMoc-L-Ala-D-Ala-L-Ala-CH2-OAc (843mg, 1.607 mmol, 31.0 % yield). HRMS (M+Na)+ calcd 547.2163, found 547.2167. 1H NMR (400 MHz, DMSO-d6) d 1.23 (dd, J = 12.5, 7.4 Hz, 9H), 1.95 (s, 2H), 4.00 - 4.13 (m, 1H), 4.17 - 4.38 (m, 6H), 5.06 (q, J = 8.8 Hz, 2H), 7.33 (t, J = 7.3 Hz, 2H), 7.42 (t, J = 7.4 Hz, 2H), 7.62 (d, J = 6.8 Hz, 1H), 7.71 (t, J = 8.6 Hz, 2H), 7.85 - 8.01 (m, 3H), 8.21 (d, J = 7.0 Hz, 1H), 8.69 (d, J = 6.9 Hz, 1H).
The following compounds of the type FMoc-Peptide-NH-CH2-OAc were prepared as shown in FIG. 12A and as exemplified for FMoc-L-Ala-D-Ala-L-Ala-NH-CH2-OAc (9c) above. FMoc-L-Ala-L-Ala-L-Ala-NH-CH2-OAc (9a): FMoc-L-Ala-L-Ala-L-Ala-Gly-OH (500 mg, 0.979 mmol) was dissolved in DMF (2 mL), to which was added copper (II) acetate (17.8 mg, 0.098 mmol) and acetic acid (84 pL, 1.47 mmol) with magnetic stirring under argon. Once solids were dissolved, lead tetraacetate (434 mg, 0.979 mmol) was added, The reaction was allowed to proceed at 60°C for 20 min then purified on a C 18, 30 micron 450 g column cartridge, eluting with deionized water containing 0.1% formic acid and an linear acetonitrile gradient of 5% to 55% over 26 min at a flow rate of 125 mL/min. Fractions containing pure desired product were frozen and lypholized to give 178 mg (34 % yield) of a white solid. HRMS (M + Na)+ calcd. 547.2163; found 547.2160. 1H NMR (400 MHz, DMSO-76) d 1.20 (qd, J = 7.5, 6.9, 4.2 Hz, 9H), 1.91 - 2.05 (m, 3H), 3.26 - 3.38 (m, 1H), 4.05 (q, 7 = 7.3 Hz, 1H), 4.23 (td, 7 = 11.9, 10.7, 6.4 Hz, 5H), 5.07(ddd, 7 = 11.2, 6.9, 4.3 Hz, 2H), 7.32 (q, 7 =
7.5 Hz, 2H), 7.41 (q, 7 = 7.4 Hz, 2H), 7.52 (t, 7 = 6.8 Hz, 1H), 7.71 (q, 7 = 7.5, 7.0 Hz, 2H), 7.82 - 8.08 (m, 4H), 8.84 (q, 7 = 7.1 Hz, 1H).
FMoc-D-Ala-L-Ala-L-Ala-NH-CH2-OAc (9b): HRMS (M+Na)+ calcd. 547.2163, found 547.2167. 1H NMR (400 MHz, DMSO-d6) d 1.23 (dd, 7 = 12.5, 7.4 Hz, 9H), 1.95 (s, 2H), 4.00 - 4.13 (m, 1H), 4.17 - 4.38 (m, 6H), 5.06 (q, 7 = 8.8 Hz, 2H), 7.33 (t, 7 = 7.3 Hz, 2H), 7.42 (t, 7 = 7.4 Hz, 2H), 7.62 (d, 7 = 6.8 Hz, 1H), 7.71 (t, 7 = 8.6 Hz, 2H), 7.85 - 8.01 (m,
3H), 8.21 (d, 7 = 7.0 Hz, 1H), 8.69 (d, 7 = 6.9 Hz, 1H).
FMoc-L-Ala-L-Ala-D-Ala-NH-CH2-OAc (9d): HRMS (M+Na)+ calcd. 547.2163, found 547.2167. 1H NMR (400 MHz, DMSO-d6) d 1.18— 1.25 (m, 9H), 1.97 (s, 3H), 3.96 - 4.15 (m, 1H), 4.17 - 4.36 (m, 5H), 5.09 (d, J = 6.9 Hz, 2H), 7.34 (t, 7 = 7.4 Hz, 2H), 7.42 (t, 7 =
7.4 Hz, 2H), 7.57 (d, 7 = 7.2 Hz, 1H), 7.71 (d, 7 = 7.3 Hz, 2H), 7.90 (d, 7 = 7.5 Hz, 2H), 8.07 (s, 2H), 8.86 (s, 1H).
FMoc-L-Ala-D-Ala-NH-CH2-OAc (9f): HRMS (M+Na)+ calcd. 476.1792, found
476.1786.1H NMR (400 MHz, DMSO-d6) d 1.13 (dd, 7 = 7.1, 1.4 Hz, 6H), 1.89 (s, 3H), 3.99 (q, 7 = 7.1 Hz, 1H), 4.10 - 4.29 (m, 4H), 4.95 - 5.08 (m, 2H), 7.26 (t, 7 = 7.4, 1.3 Hz, 2H), 7.35 (t, 7 = 7.4 Hz, 2H), 7.49 (d, 7 = 7.2 Hz, 1H), 7.66 (t, 7 = 7.6 Hz, 2H), 7.82 (d, 7 = 7.5 Hz, 2H), 8.11 (d, 7 = 7.7 Hz, 1H), 8.76 (t, 7 = 7.0 Hz, 1H).
FMoc-D-Ala-L-Ala-NH-CH2-OAc (9g): HRMS (M+Na)+ calcd. 476.1792, found 476.1788. 1H NMR (400 MHz, DMSO-d6) d 1.21 (dd, 7 = 7.1, 1.4 Hz, 6H), 1.96 (s, 3H), 4.08 (t, 7 = 7.1 Hz, 1H), 4.17 - 4.36 (m, 4H), 5.05 - 5.14 (m, 2H), 7.26 - 7.38 (m, 2H), 7.42 (t, 7 = 7.4 Hz, 2H), 7.56 (d, 7 = 7.3 Hz, 1H), 7.73 (t, 7 = 7.6 Hz, 2H), 7.90 (d, 7 = 7.6 Hz, 2H), 8.18 (d, 7 = 7.8 Hz, 1H), 8.83 (t, J = 6.9 Hz, 1H).
FMoc-D-Ala-D-Ala-NH-CH2-OAc (9h): HRMS (M+H)+ calcd. 455.4877, found 455.2051 1H NMR (400 MHz, DMSO-d6) d 1.14 (dd, 7 = 7.1, 3.3 Hz, 6H), 1.21 (d, 7 = 7.2 Hz, 1H), 1.81 (s, 1H), 1.91 (s, 2H), 4.01 (q, 7 = 7.7 Hz, 1H), 4.09 - 4.27 (m, 5H), 4.95 - 5.10 (m, 1H), 7.26 (td, 7 = 7.4, 1.2 Hz, 3H), 7.35 (t, 7 = 7.4 Hz, 3H), 7.45 (d, 7 = 7.6 Hz, 1H), 7.65 (t, 7 =
7.1 Hz, 3H), 7.82 (d, 7 = 6.4 Hz, 2H), 7.96 (d, 7 = 7.4 Hz, 1H), 8.78 (t, 7 = 7.0 Hz, 1H).
2. FMoc-peptide-COOH compounds ( Compound 1 Oa-1 Oj)
Compounds of the type FMoc-Peptide-NH-CH2-S-(CH2)n-C02H were prepared as shown in FIG. 12A and as exemplified by FMoc-L-Ala-L-Ala-L-Ala-NH-CH2-S-(CH2)5-C02H.
FMoc-L-Ala-L-Ala-L-Ala-NH-CH2-S-(CH2)5-C02H (10a) : 6-mercaptohexanoic acid (287 pL, 2.07 mmol) was dissolved in a solution of 1:4 TFA: dichloromethane (5 mL), then added to a vial containing FMoc-L-Ala-L-Ala-L-Ala-NH-CH2-OAc (178 mg, 0.339 mmol). The reaction was allowed to proceed with magnetic stirring under an argon atmosphere at room temperature for 20 min. The crude material was concentrated en vacuo, redissolved in a minimum volume of DMF and purified on a C 18 30 micron, 30g cartridge eluting with deionized water containing 0.1% formic acid with a linear gradient of acetonitrile from 5% to 95% over 13 min at 35 mL/min. Fractions containing pure desired product were frozen and lypholized to give 200 mg (96 % yield) of a white solid. HRMS (M + H )+ calcd. 613.2690; found 613.2686. 1H NMR (400 MHz, DMSO-76) d 1.20 (dt, 7 = 7.1, 4.9 Hz, 10H), 1.31 (tt, 7 = 10.1, 6.0 Hz, 2H), 1.49 (dq, 7 = 12.5, 7.4 Hz, 4H), 2.18 (t, 7 = 7.3 Hz, 2H),4.05 (t, 7 = 7.3 Hz, 1H), 4.16 - 4.30 (m, 7H), 7.33 (td, 7 = 7.4, 1.2 Hz, 2H), 7.42 (td, 7 = 7.3, 1.1 Hz, 2H), 7.54 (d, 7 = 7.4 Hz, 1H), 7.72 (t, 7 = 7.0 Hz, 2H), 7.89 (d, 7 = 7.5 Hz, 2H), 7.94 - 8.07 (m, 2H), 8.44 (t, 7 = 6.1 Hz, 1H).
FMoc-D-Ala-L-Ala-L-Ala-NH-CH2-S-(CH2)5-C02H (10b): HRMS (M+Na)+ calcd.
635.2510, found 635.2515. 1H NMR (400 MHz, DMSO-d6) d 1.15 (d, 7 = 6.8 Hz, 3H), 1.18
- 1.25 (m, 10H), 2.18 (q, 7 = 7.5 Hz, 4H), 2.40 - 2.48 (m, 1H), 2.70 (t, 7 = 7.2 Hz, 1H), 4.15
- 4.30 (m, 6H), 6.29 (s, 2H), 7.34 (q, 7 = 7.3 Hz, 3H), 7.42 (t, 7 = 7.4 Hz, 3H), 7.63 - 7.78 (m, 1H), 7.85 (d, 7 = 7.3 Hz, 2H), 7.89 (d, 7 = 7.5 Hz, 3H), 8.37 - 8.46 (m, 1H).
FMoc-L-Ala-D-Ala-L-Ala-NH-CH2-S-(CH2)5-C02H (10c) : HRMS (M+Na)+ calcd.
635.2510, found 635.2514. 1H NMR (400 MHz, DMSO-d6) d 1.18— 1.23 (m, 10H), 1.34 (q, 7 = 3.4 Hz, 5H), 2.24 (s, 2H), 2.44 (s, 2H), 4.05 (t, 7 = 7.1 Hz, 1H), 4.16 - 4.35 (m, 8H), 7.33 (t, 7 = 7.4 Hz, 2H), 7.42 (t, 7 = 7.5 Hz, 2H), 7.58 (d, 7 = 7.0 Hz, 1H), 7.71 (t, 7 = 8.4 Hz, 2H), 7.90 (s, 1H), 7.98 (d, 7 = 7.5 Hz, 1H), 8.15 (d, J = 7.3 Hz, 1H), 8.39 (t, J = 6.2 Hz, 1H), 11.98 (s, 1H).
FMoc-L-Ala-L-Ala-D-Ala-NH-CH2-S-(CH2)5-C02H (lOd) : HRMS (M+Na)+ calcd.
635.2510, found 635.2510. 1H NMR (400 MHz, DMSO-d6) d 1.15 (d, 7 = 6.9 Hz, 3H), 1.21 (d, J = 7.1 Hz, 9H), 1.28 - 1.38 (m, 3H), 1.44 - 1.60 (m, 5H), 2.13 - 2.22 (m, 3H), 3.33 (q, 7 = 6.9 Hz, 1H), 4.20 (s, 2H), 6.29 (s, 2H), 7.29 - 7.40 (m, 3H), 7.38 - 7.47 (m, 3H), 7.85 (d, 7 = 7.5 Hz, 2H), 7.89 (d, 7 = 7.5 Hz, 2H), 8.26 (d, 7 = 7.6 Hz, 1H), 8.48 (d, 7 = 6.2 Hz, 1H). FMoc-D-Ala-L-Ala-NH-CH2-S-(CH2)5-C02H (lOg): HRMS (M+H)+ calcd. 542.2319, found 542.2316. 1H NMR (400 MHz, DMSO-d6) d 1.13 (dd, 7 = 7.1, 1.7 Hz, 6H), 1.16—
1.25 (m, 2H), 1.32 - 1.47 (m, 4H), 2.08 (t, 7 = 7.3 Hz, 2H), 3.25 (s, 2H), 3.99 (p, 7 = 7.0 Hz, 1H), 4.07 - 4.27 (m, 6H), 7.26 (t, 7 = 7.4, 1.2 Hz, 2H), 7.35 (t, 7 = 7.4 Hz, 2H), 7.52 (d, 7 = 7.0 Hz, 1H), 7.65 (t, 7 = 7.3 Hz, 2H), 7.82 (d, 7 = 7.5 Hz, 2H), 8.08 (d, 7 = 7.7 Hz, 1H), 8.27 (t, 7 = 6.2 Hz, 1H), 11.82 (s, 1H).
FMoc-L-Ala-D-Ala-NH-CH2-S-(CH2)5-C02H (lOf): HRMS (M+H)+ calcd. 542.2319, found 542.2321. 1H NMR (400 MHz, DMSO-d6) d 1.13 (dd, 7 = 7.1, 1.8 Hz, 7H), 1.17—
1.26 (m, 2H), 1.32 - 1.48 (m, 5H), 2.08 (t, 7 = 7.3 Hz, 2H), 3.99 (p, 7 = 7.1 Hz, 1H), 4.07 -
4.26 (m, 7H), 7.26 (t, 7 = 7.4 Hz, 2H), 7.35 (t, 7 = 7.4 Hz, 2H), 7.53 (d, 7 = 7.1 Hz, 1H), 7.65 (t, 7 = 7.3 Hz, 2H), 7.82 (d, 7 = 7.4 Hz, 2H), 8.10 (d, 7 = 7.7 Hz, 1H), 8.28 (t, 7 = 6.3 Hz, 1H). FMoc-D-Ala-D-Ala-NH-CH2-S-(CH2)5-C02H (lOh): (16.7 mg, 0.031 mmol, 70 % yield). HRMS (M+H)+ calcd. 542.2319, found 542.2318.
FMoc-L-Ala-D-Ala-L-Ala-NH-CH2-S-(CH2)3-CO2H(10j) : HRMS (M+H)+ calcd.
585.2377, found 585.2367. 1H NMR (400 MHz, DMSO-d6) d 1.14 - 1.26 (m, 9H), 1.75 (p, 7 = 7.3 Hz, 2H), 2.27 (t, 7 = 7.3 Hz, 2H), 2.54 (d, 7 = 7.7 Hz, 2H), 3.97 - 4.10 (m, 1H), 4.13 - 4.34 (m, 7H), 7.33 (t, 7 = 7.5 Hz, 2H), 7.42 (t, 7 = 7.5 Hz, 2H), 7.57 (d, 7 = 6.9 Hz, 1H), 7.71 (t, 7 = 8.4 Hz, 2H), 7.89 (d, 7 = 7.6 Hz, 2H), 7.97 (d, 7 = 7.5 Hz, 1H), 8.14 (d, 7 = 7.0 Hz,
1H), 8.41 (s, 1H), 12.06 (s, 1H).
FMoc-D-Ala-L-Ala-NH-CH2-S-(CH)2-C02H (lOi): HRMS (M+H)+ calcd. 500.1850, found 500.1843. 1H NMR (400 MHz, DMSO-76) d 1.20 (dd, 7 = 7.2, 1.9 Hz, 6H), 2.53 (d, 7 = 7.1 Hz, 2H), 2.70 (t, 7 = 7.1 Hz, 2H), 4.07 (q, 7 = 7.0 Hz, 1H), 4.17 - 4.26 (m, 4H), 4.29 (d, 7 = 6.8 Hz, 2H), 7.33 (t, 7 = 7.4 Hz, 2H), 7.41 (t, 7 = 7.5 Hz, 2H), 7.56 (d, 7 = 7.1 Hz, 1H), 7.72 (t, 7 = 7.7 Hz, 2H), 7.89 (d, 7 = 7.5 Hz, 2H), 8.14 (d, 7 = 7.6 Hz, 1H), 8.42 (t, 7 = 6.3 Hz, 1H), 12.22 (s, 1H). 3. FMoc-P eptide-May-NMA Compounds ( Compound lla-llj )
Compounds of the type FMoc-Peptide-NH-CH2-S-(CH2)n-C02-DM were prepared as shown in FIG. 12A and as exemplified by FMoc-L-Ala-L-Ala-L-Ala-NH-CH2-S-(CH2)5-CO-DM.
FMoc-L-Ala-L-Ala-L-Ala-NH-CH2-S-(CH2)5-CO-DM (11a): To DM-H stock solution (8.2 mL, 0.49 mmol) was added FMoc-L-Ala-L-Ala-L-Ala-NH-CH2-S-(CH2)5-COOH (300 mg, 0.49 mmol), EDC (94 mg, 0.490 mmol) and DIPEA (90 pL, 0.49 mmol). The reaction was allowed to proceed with magnetic stirring at room temperature under argon atmosphere for 2 h. The crude material was concentrated by rotary evaporation under vacuum and residue was taken up in a minimum volume of DMF then purified on a Cl 8, 30 micron, 30 g cartridge eluting with deionized water containing 0.1% formic acid and a linear gradient of acetonitrile from 5% to 50% over 25 min. Fractions containing pure desired product were frozen and lypholized to yield 151 mg, (37.2 % yield) of white solid. HRMS (M + Na)+ calcd. 1266.5170; found 1266.5141. 1H NMR (400 MHz, DMSO- 6) d 0.77 (s, 3H), 1.12 (d, / = 6.4 Hz, 3H), 1.14 - 1.22 (m, 12H), 1.22 - 1.30 (m, 3H), 1.35 - 1.49 (m, 4H), 1.50 - 1.55 (m, 1H), 1.59 (s, 3H), 2.00 - 2.07 (m, 1H), 2.14 (ddd, / = 15.6, 8.7, 5.9 Hz, 1H), 2.40 (dtd, / = 17.0, 7.9, 7.0, 4.9 Hz, 3H), 2.69 (s, 3H), 2.79 (d, J = 9.6 Hz, 1H), 3.08 (s, 3H), 3.20 (d, J = 12.6 Hz, 1H), 3.24 (s, 3H), 3.43 (d, / = 12.4 Hz, 2H), 3.48 (d, / = 8.9 Hz, 1H), 3.92 (s, 3H), 4.08 (ddd, / = 20.8, 10.8, 5.0 Hz, 3H), 4.14 - 4.24 (m, 4H), 4.26 (d, / = 6.0 Hz, 3H), 4.52 (dd, J = 12.0, 2.8 Hz, 1H), 5.34 (q, J = 6.7 Hz, 1H), 5.56 (dd, J = 14.7, 9.0 Hz, 1H), 5.91 (s, 1H), 6.50 - 6.66 (m, 3H), 6.88 (s, 1H), 7.17 (d, 7 = 1.8 Hz, 1H), 7.33 (td, J = 7.5, 1.2 Hz,
2H), 7.41 (t, / = 7.4 Hz, 2H), 7.53 (d, / = 7.4 Hz, 1H), 7.72 (t, / = 7.0 Hz, 2H), 7.89 (d, / =
7.5 Hz, 3H), 7.99 (d, / = 7.3 Hz, 1H), 8.36 (t, / = 6.3 Hz, 1H).
FMoc-D-Ala-L-Ala-L-Ala-NH-CH2-S-(CH2)5-CO-DM (lib): HRMS (M+Na)+ calcd. 1266.5170, found 1266.5164. 1H NMR (400 MHz, DMSO-d6) d 0.78 (s, 3H), 1.14 (dd, / = 14.6, 6.5 Hz, 6H), 1.22 (t, / = 6.8 Hz, 10H), 1.33 - 1.57 (m, 4H), 1.59 (s, 3H), 2.04 (d, / =
13.5 Hz, 1H), 2.27 - 2.44 (m, 1H), 2.69 (s, 3H), 2.80 (d, / = 9.7 Hz, 1H), 3.08 (s, 3H), 3.14 - 3.28 (m, 5H), 3.37 - 3.55 (m, 3H), 3.92 (s, 3H), 3.98 - 4.16 (m, 3H), 4.20 (dd, / = 15.6, 7.6 Hz, 7H), 4.52 (d, / = 12.7 Hz, 1H), 5.34 (d, / = 6.9 Hz, 1H), 5.57 (dd, / = 14.7, 9.0 Hz, 1H), 5.92 (s, 1H), 6.46 - 6.72 (m, 4H), 6.88 (s, 1H), 7.17 (s, 1H), 7.33 (t, / = 7.5 Hz, 3H), 7.41 (t,
J = 7.4 Hz, 3H), 7.60 - 7.75 (m, 4H), 7.80 - 7.93 (m, 4H), 8.12 (t, 1H), 8.29 (d, J = 6.9 Hz, 1H).
FMoc-L-Ala-D-Ala-L-Ala-NH-CH2-S-(CH2)5-CO-DM (11c): HRMS (M+Na)+ calcd. 1266.5170, found 1266.5170. 1H NMR (400 MHz, DMSO-d6) d 0.71 (s, 3H), 0.96 - 1.16 (m, 10H), 1.16 - 1.51 (m, 10H), 1.52 (s, 4H), 1.82 - 2.16 (m, 1H), 2.17 - 2.56 (m, 11H), 2.62 (d, J = 5.8 Hz, 4H), 2.68 - 2.87 (m, 3H), 2.92 - 3.04 (m, 4H), 3.09 - 3.22 (m, 7H), 3.24 (d, J = 7.4 Hz, 1H), 3.33 - 3.50 (m, 2H), 3.73 - 3.89 (m, 4H), 3.92 - 4.07 (m, 2H), 4.07 - 4.25 (m, 2H), 4.45 (dd, J = 12.0, 2.8 Hz, 1H), 5.27 (q, J = 6.7 Hz, 1H), 5.40 - 5.55 (m, 1H), 5.85 (s, 1H), 6.33 - 6.66 (m, 4H), 6.81 (s, 2H), 7.03 - 7.19 (m, 1H), 7.19 - 7.43 (m, 2H), 7.62 (d, J = 11.6 Hz, 1H), 7.73 - 7.85 (m, 1H).
FMoc-L-Ala-L-Ala-D-Ala-NH-CH2-S-(CH2)5-CO-DM (lid): HRMS (M+Na)+ calcd. 1266.5170, found 1266.5158. 1H NMR (400 MHz, DMSO-d6) d 0.78 (s, 3H), 1.06 - 1.33 (m, 16H), 1.44 (d, 7 = 10.3 Hz, 11H), 1.59 (s, 3H), 1.99 - 2.22 (m, 3H), 2.35 - 2.45 (m, 2H), 2.55 (d, J = 1.8 Hz, 1H), 2.69 (s, 3H), 2.80 (d, J = 9.6 Hz, 1H), 3.08 (s, 2H), 3.25 (s, 3H), 3.39 - 3.52 (m, 3H), 3.92 (s, 3H), 3.99 - 4.40 (m, 4H), 4.52 (d, 7 = 11.1 Hz, 1H), 5.34 (d, J = 6.8 Hz, 1H), 5.57 (dd, 7 = 14.5, 9.2 Hz, 1H), 5.92 (s, 1H), 6.53 - 6.64 (m, 2H), 6.88 (s, 2H), 7.17 (d, 7 = 1.9 Hz, 1H), 7.33 (t, 7 = 7.3 Hz, 3H), 7.42 (t, 7 = 7.4 Hz, 3H), 7.57 (d, 7 = 7.4 Hz, 1H), 7.72 (s, 3H), 7.89 (d, 7 = 7.6 Hz, 3H), 7.99 (d, 7 = 7.6 Hz, 1H), 8.07 (s, 1H), 8.35 (s, 1H). FMoc-D-Ala-L-Ala-NH-CH2-S-(CH2)5-CO-DM (llg): HRMS (M+H)+ calcd. 1173.4980, found 1173.4964. 1H NMR (400 MHz, DMSO-d6) d 0.79 (s, 3H), 1.06 - 1.34 (m, 13H), 1.36 - 1.54 (m, 4H), 1.60 (s, 2H), 1.88 - 2.10 (m, 1H), 2.10 - 2.23 (m, 1H), 2.31 - 2.51 (m, 13H), 2.71 (s, 3H), 2.80 (d, 7 = 9.6 Hz, 1H), 3.10 (s, 3H), 3.26 (s, 4H), 3.33 - 3.66 (m, 3H), 3.98 - 4.32 (m, 4H), 4.53 (dd, 7 = 12.0, 2.8 Hz, 1H), 5.35 (q, 7 = 6.7 Hz, 1H), 5.49 - 5.65 (m, 1H), 6.51 - 6.67 (m, 3H), 6.89 (s, 1H), 7.19 (d, 7 = 1.8 Hz, 1H), 8.25 (s, 2H), 8.34 (d, 7 = 7.1 Hz, 1H), 8.58 (t, 7 = 6.3 Hz, 1H).
FMoc-L-Ala-D-Ala-NH-CH2-S-(CH2)5-CO-DM (Ilf): HRMS (M+H)+ calcd. 1173.4980, found 1173.4969.
FMoc-D-Ala-D-Ala-NH-CH2-S-(CH2)5-CO-DM (llh): HRMS (M+Na)+ calcd. 1195.4907, found 1195.4799. 1H NMR (400 MHz, DMSO-76) d 0.71 (s, 3H), 1.00 - 1.22 (m, 13H), 1.28 - 1.45 (m, 2H), 1.52 (s, 3H), 1.91 - 2.14 (m, 1H), 2.26 (t, 7 = 1.9 Hz, 5H), 2.48 (t, 7 = 1.8 Hz, 2H), 2.62 (s, 3H), 2.66 - 2.77 (m, 2H), 3.01 (s, 2H), 3.10 - 3.21 (m, 5H), 3.28 - 3.47 (m, 2H), 3.86 (d, 7 = 6.7 Hz, 4H), 3.93 - 4.25 (m, 10H), 4.37 - 4.54 (m, 1H), 5.27 (d, 7 = 6.7 Hz, 1H), 5.40 - 5.56 (m, 1H), 5.85 (s, 1H), 6.31 - 6.66 (m, 3H), 6.81 (s, 1H), 7.11 (d, 7 = 1.8 Hz, 1H), 7.26 (t, 7 = 7.4 Hz, 2H), 7.35 (t, 7 = 7.4 Hz, 2H), 7.45 (d, 7 = 7.5 Hz, 1H), 7.65 (t, 7 = 7.1 Hz, 2H), 7.82 (d, 7 = 7.5 Hz, 2H), 7.89 (d, 7 = 7.3 Hz, 1H).
FMoc-L-Ala-D-Ala-L-Ala-NH-CH2-S-(CH2)3-CO-DM (llj): HRMS (M+H)+ calcd.
1216.5038, found 1216.4999. 1H NMR (400 MHz, DMSO-d6) d 0.78 (s, 3H), 0.95 - 1.29 (m, 16H), 1.37 (d, 7 = 3.4 Hz, 1H), 1.46 (t, 7 = 12.5 Hz, 2H), 1.59 (s, 3H), 1.62 - 1.90 (m, 1H), 1.99 - 2.07 (m, 1H), 2.08 (s, 2H), 2.18 - 2.43 (m, 1H), 2.50 - 2.59 (m, 1H), 2.69 (s, 3H), 2.73 - 2.83 (m, 1H), 3.10 (s, 2H), 3.25 (s, 3H), 3.38 - 3.55 (m, 2H), 3.91 (s, 3H), 3.99 - 4.13 (m, 4H), 4.12 - 4.35 (m, 7H), 4.52 (dd, 7 = 12.0, 2.9 Hz, 1H), 5.34 (q, 7 = 6.7 Hz, 1H), 5.48 - 5.65 (m, 1H), 5.92 (s, 1H), 6.48 - 6.70 (m, 3H), 6.88 (s, 1H), 7.17 (d, J = 1.7 Hz, 1H), 7.33 (t, 7 = 7.5 Hz, 2H), 7.41 (t, 7 = 7.4 Hz, 2H), 7.58 (d, 7 = 7.0 Hz, 1H), 7.71 (t, 7 = 8.3 Hz, 2H), 7.89 (d, 7 = 7.5 Hz, 3H), 7.95 (d, 7 = 7.6 Hz, 1H), 8.15 (d, 7 = 7.2 Hz, 1H), 8.29 - 8.38 (m, 1H), 8.41 (s, 1H).
FMoc-D-Ala-L-Ala-NH-CH2-S-(CH2)2-CO-DM (Hi): HRMS (M+H)+ calcd. 1131.4510, found 1131.4507.1H NMR (400 MHz, DMSO-76) d 0.76 (s, 3H), 1.08 - 1.21 (m, 12H), 1.24 (d, 7 = 13.9 Hz, 1H), 1.38 - 1.52 (m, 2H), 1.58 (s, 3H), 1.99 - 2.09 (m, 1H), 2.33 - 2.44 (m, 1H), 2.68 (s, 3H), 2.80 (dd, 7 = 14.4, 8.6 Hz, 2H), 3.08 (s, 3H), 3.17 (d, 7 = 12.5 Hz, 1H),
3.23 (s, 3H), 3.46 (t, 7 = 10.3 Hz, 2H), 3.91 (s, 3H), 4.00 - 4.13 (m, 3H), 4.13 - 4.34 (m, 5H), 4.52 (dd, 7 = 12.0, 2.9 Hz, 1H), 5.30 (q, 7 = 6.8 Hz, 1H), 5.55 (dd, 7 = 13.4, 9.1 Hz, 1H), 5.91 (s, 1H), 6.55 (dd, 7 = 7.4, 5.7 Hz, 3H), 6.87 (s, 1H), 7.16 (d, 7 = 1.8 Hz, 1H), 7.32 (tt, 7 = 7.4, 1.5 Hz, 2H), 7.41 (tt, 7 = 7.5, 1.5 Hz, 2H), 7.57 (d, 7 = 7.0 Hz, 1H), 7.71 (dd, 7 = 10.5, 7.5 Hz, 2H), 7.88 (d, 7 = 7.5 Hz, 2H), 8.14 (d, 7 = 7.6 Hz, 1H), 8.37 (t, 7 = 6.3 Hz, 1H).
4. Amino-Peptide-Maytansinoids ( Compound 12a-12j)
Compounds of the type H2N-Peptide-NH-CH2-S-(CH2)n-C02-DM were prepared as shown in FIG. 12A and as exemplified by H2N-L-Ala-L-Ala-L-Ala-NH-CH2-S-(CH2)5-CO-DM.
H2N-L-Ala-L-Ala-L-Ala-NH-CH2-S-(CH2)5-CO-DM (12a) : FMoc-L-Ala-L-Ala-L-Ala- NH-CH2-S-(CH2)5-CO-DM (151 mg, 0.121 mmol) was treated with 20% morpholine in DMF (2 mL). The reaction was allowed to proceed with magnetic stirring under argon at room temperature for 1 h. The crude material was purified on a C18, 30 micro, 150 g column cartridge eluting with deionized water containing 0.1% formic acid and a linear gradient of acetonitrile from 5% to 50% over 26 min. Fractions containing desired product were immediately frozen and lypholized to give 46 mg (37.1 % yield) of a colorless oil. HRMS (M + H)+ calcd. 1022.4670; found 1022.4669. 1H NMR (400 MHz, DMSO-76) d 0.78 (s,
3H), 1.12 (d, 7 = 6.3 Hz, 3H), 1.13 - 1.21 (m, 10H), 1.21 - 1.31 (m, 3H), 1.37 - 1.50 (m, 4H),
1.51 - 1.57 (m, 1H), 1.59 (s, 3H), 2.04 (dd, 7 = 14.4, 2.8 Hz, 1H), 2.15 (ddd, 7 = 15.9, 8.7, 6.0 Hz, 1H), 2.38 (td, 7 = 7.0, 3.6 Hz, 2H), 2.70 (s, 3H), 2.79 (d, 7 = 9.6 Hz, 1H), 3.09 (s, 3H), 3.21 (d, 7 = 12.5 Hz, 1H), 3.25 (s, 3H), 3.33-3.55 (m, 8H), 3.93 (s, 3H), 4.01 - 4.33 (m, 5H),
4.52 (dd, 7 = 12.0, 2.8 Hz, 1H), 5.34 (q, 7 = 6.7 Hz, 1H), 5.57 (dd, 7 = 14.6, 9.0 Hz, 1H), 5.95 (s, 1H), 6.48 - 6.65 (m, 3H), 6.89 (s, 1H), 7.18 (d, J = 1.8 Hz, 1H), 8.07 (d, 7 = 7.5 Hz, 1H), 8.13 (s, 1H), 8.31 (s, 1H), 8.40 (t, J = 6.3 Hz, 1H).
H2N-D-Ala-L-Ala-L-Ala-NH-CH2-S-(CH2)5-CO-DM (12b): HRMS (M+H)+ calcd.
1022.4670, found 1022.4675. 1H NMR (400 MHz, DMSO-d6) d 0.71 (s, 3H), 1.05 (dd, 7 = 6.7, 3.1 Hz, 7H), 1.08 - 1.16 (m, 10H), 1.19 (t, 7 = 8.1 Hz, 3H), 1.30 - 1.50 (m, 6H), 1.52 (s, 3H), 1.97 (d, 7 = 13.3 Hz, 1H), 2.01 - 2.21 (m, 2H), 2.34 (s, 3H), 2.63 (s, 3H), 2.73 (d, 7 =
9.8 Hz, 1H), 3.02 (s, 3H), 3.14 (d, 7 = 12.5 Hz, 1H), 3.33 - 3.48 (m, 2H), 3.86 (s, 3H), 3.95 - 4.23 (m, 7H), 4.45 (dd, 7 = 13.1 Hz, 1H), 5.27 (q, 7 = 6.8 Hz, 1H), 5.41 - 5.58 (m, 1H), 5.85 (s, 1H), 6.39 - 6.63 (m, 4H), 6.81 (s, 1H), 7.12 (d, 7 = 1.8 Hz, 1H), 8.02 (s, 1H), 8.13 (d, 7 = 7.7 Hz, 1H), 8.26 (s, 1H), 8.36 (t, 7 = 6.2 Hz, 1H).
H2N-L-Ala-D-Ala-L-Ala-NH-CH2-S-(CH2)5-CO-DM (12c): HRMS (M+H)+ calcd.
1022.4670, found 1022.4680. 1H NMR (400 MHz, DMSO-d6) d 0.71 (s, 3H), 1.01 - 1.26 (m, 19H), 1.25 - 1.50 (m, 6H), 1.52 (s, 3H), 1.97 (d, 7 = 13.7 Hz, 1H), 2.02 - 2.22 (m, 1H), 2.35 (dd, 7 = 17.2, 9.5 Hz, 2H), 2.47 (d, 7 = 11.5 Hz, 1H), 2.63 (s, 4H), 2.73 (d, J = 9.6 Hz, 1H), 3.02 (s, 3H), 3.10 - 3.24 (m, 6H), 3.32 - 3.50 (m, 2H), 3.86 (s, 3H), 3.95 - 4.18 (m, 4H), 4.45 (dd, 7 = 12.1, 2.6 Hz, 1H), 5.27 (q, 7 = 6.9 Hz, 1H), 5.44 - 5.55 (m, 1H), 5.85 (s, 1H), 6.42 - 6.59 (m, 4H), 6.81 (s, 1H), 7.12 (d, 7 = 1.7 Hz, 1H), 8.02 (s, 1H), 8.13 (d, 7 = 7.7 Hz, 1H), 8.36 (t, 7 = 6.3 Hz, 1H).
H2N-L-Ala-L-Ala-D-Ala-NH-CH2-S-(CH2)5-CO-DM (12d): HRMS (M+H)+ calcd.
1022.4670, found 1022.4675. 1H NMR (400 MHz, DMSO-d6) d 0.71 (s, 3H), 0.98 - 1.14 (m, 13H), 1.14 - 1.26 (m, 2H), 1.30 - 1.49 (m, 4H), 1.52 (s, 3H), 2.24 - 2.41 (m, 2H), 2.44 (d, 7 = 1.8 Hz, 16H), 2.63 (s, 2H), 2.73 (d, 7 = 9.6 Hz, 1H), 3.02 (s, 2H), 3.08 - 3.21 (m, 4H), 3.32 - 3.49 (m, 2H), 3.86 (s, 3H), 3.92 - 4.23 (m, 3H), 4.45 (d, 7 = 11.8 Hz, 1H), 5.26 (t, 7 = 6.7 Hz, 1H), 5.40 - 5.57 (m, 1H), 5.86 (s, 1H), 6.41 - 6.66 (m, 3H), 6.81 (s, 1H), 7.12 (d, 7 = 1.7 Hz, 1H), 8.02 (s, 1H), 8.10 (d, 7 = 7.7 Hz, 1H), 8.35 (t, 7 = 6.3 Hz, 1H).
H2N-D-Ala-L-Ala-NH-CH2-S-(CH2)5-CO-DM (12g): HRMS (M+H)+ calcd. 951.4299, found 951.4289. 1H NMR (400 MHz, DMSO-d6) d 0.79 (s, 3H), 1.06 - 1.34 (m, 13H), 1.36 - 1.54 (m, 4H), 1.60 (s, 2H), 1.88 - 2.10 (m, 1H), 2.10 - 2.23 (m, 1H), 2.31 - 2.51 (m, 13H), 2.71 (s, 3H), 2.80 (d, 7 = 9.6 Hz, 1H), 3.10 (s, 3H), 3.26 (s, 4H), 3.33 - 3.66 (m, 3H), 3.98 - 4.32 (m, 4H), 4.53 (dd, 7 = 12.0, 2.8 Hz, 1H), 5.35 (q, 7 = 6.7 Hz, 1H), 5.49 - 5.65 (m, 1H), 6.51 - 6.67 (m, 3H), 6.89 (s, 1H), 7.19 (d, 7 = 1.8 Hz, 1H), 8.25 (s, 2H), 8.34 (d, 7 = 7.1 Hz, 1H), 8.58 (t, 7 = 6.3 Hz, 1H). H2N-L-Ala-D-Ala-NH-CH2-S-(CH2)5-CO-DM (12f): HRMS (M+H)+ calcd. 951.4226, found 951.1299. 1H NMR (400 MHz, DMSO-d6) d 0.71 (s, 3H), 1.00 - 1.13 (m, 11H), 1.19 (t, 7 = 8.9 Hz, 3H), 1.29 - 1.45 (m, 4H), 1.52 (s, 3H), 1.92 - 2.03 (m, 1H), 2.07 (dd, 7 = 15.7, 8.7 Hz, 1H), 2.23 - 2.39 (m, 1H), 2.63 (s, 3H), 2.73 (d, 7 = 9.7 Hz, 1H), 3.02 (s, 3H), 3.07 - 3.32 (m, 14H), 3.34 - 3.47 (m, 2H), 3.86 (s, 3H), 3.95 - 4.21 (m, 4H), 4.45 (dd, 7 = 11.9, 2.8 Hz, 1H), 5.27 (q, 7 = 6.8 Hz, 1H), 5.50 (dd, 7 = 14.7, 9.0 Hz, 1H), 5.85 (s, 1H), 6.40 - 6.61 (m, 3H), 6.81 (s, 1H), 7.12 (d, 7 = 1.8 Hz, 1H), 8.41 (t, 7 = 6.1 Hz, 1H).
H2N-D-Ala-D-Ala-NH-CH2-S-(CH2)5-CO-DM (12h): HRMS (M+H)+ calcd. 950.4226, found 951.4299. 1H NMR (400 MHz, DMSO-d6) d 0.71 (s, 3H), 0.96 - 1.14 (m, 14H), 1.19 (t, 7 = 8.9 Hz, 3H), 1.38 (q, 7 = 10.5, 7.0 Hz, 5H), 1.52 (s, 3H), 1.88 - 2.02 (m, 1H), 2.02 - 2.18 (m, 1H), 2.22 - 2.41 (m, 2H), 2.48 (s, 1H), 2.63 (s, 3H), 2.73 (d, 7 = 9.6 Hz, 1H), 3.02 (s, 3H), 3.08 - 3.22 (m, 4H), 3.34 - 3.48 (m, 2H), 3.86 (s, 4H), 3.95 - 4.23 (m, 5H), 4.45 (dd, 7 = 11.9, 2.8 Hz, 1H), 5.27 (q, 7 = 6.7 Hz, 1H), 5.41 - 5.60 (m, 1H), 5.85 (s, 1H), 6.40 - 6.65 (m, 4H), 6.81 (s, 1H), 7.12 (d, 7 = 1.8 Hz, 1H), 8.44 (t, 7 = 6.1 Hz, 1H).
H2N-L-Ala-D-Ala-L-Ala-NH-CH2-S-(CH2)3-CO-DM (12j): HRMS (M+H)+ calcd.
994.4357, found 994.4330.
H2N-D-Ala-L-Ala-NH-CH2-S-(CH2)2-CO-DM (12i): HRMS (M+H)+ calcd. 909.3830, found 909.3826. 1H NMR (400 MHz, DMSO-76) d 0.77 (s, 3H), 1.12 (d, 7 = 6.7 Hz, 6H), 1.17 (dd, 7 = 7.0, 5.2 Hz, 6H), 1.25 (d, 7 = 13.3 Hz, 1H), 1.40 - 1.51 (m, 2H), 1.59 (s, 3H), 2.04 (dd, 7 = 14.4, 2.9 Hz, 1H), 2.41 (ddt, 7 = 18.6, 10.1, 5.4 Hz, 1H), 2.61 - 2.70 (m, 1H), 2.72 (s, 3H), 2.76 - 2.90 (m, 3H), 3.09 (s, 3H), 3.20 (d, 7 = 12.4 Hz, 1H), 3.25 (s, 3H), 3.33 (q, 7 = 6.9 Hz, 1H), 3.39 - 3.64 (m, 3H), 3.93 (s, 3H), 4.03 - 4.16 (m, 2H), 4.24 (dt, 7 = 15.1, 7.6 Hz, 2H), 4.53 (dd, 7 = 12.0, 2.9 Hz, 1H), 5.32 (q, 7 = 6.8 Hz, 1H), 5.51 - 5.64 (m, 1H), 5.93 (s, 1H), 6.49 - 6.62 (m, 2H), 6.88 (s, 1H), 7.19 (d, 7 = 1.8 Hz, 1H), 8.10 (s, 1H), 8.55 (t, 7 = 6.3 Hz, 1H).
5. SPDB-Peptide-Maytansinoids (Compound 13a-13j)
Compounds of the type SPDB-Peptide-NH-CH2-S-(CH2)n-C02-DM were prepared as shown in FIG. 12A and as exemplified by SPDB-L-Ala-L-Ala-L-Ala-NH-CH2-S-(CH2)5-CO-DM. SPDB-L-Ala-L-Ala-L-Ala-NH-CH2-S-(CH2)5-CO-DM (13a) : H2N-L- Ala-L-Ala-L-Ala- NH-CH2-S-(CH2)5-CO-DM (46 mg, 0.045 mmol) was dissolved in DMF (2 mL), to which was added SPDB (14.7 mg, 0.045 mmol) and reacted at room temperature with magnetic stirring under an argon atmosphere for 1 h. The crude material was purified on a Cl 8, 430 micro, 30g cartridge eluting with deionized water containing 0.1% formic acid and a linear gradient of acetonitrile from 5% to 95% over 35 min. Fractions containing pure desired product were frozen and lypholized to give 38 mg, (68.5 % yield) of white solid. HRMS (M + H)+ calcd. 1233.4796; found 1233.4783. 1H NMR (400 MHz, DMSO-76) d 0.78 (s, 3H), 1.12 (d, 7 = 6.4 Hz, 3H), 1.14 - 1.21 (m, 10H), 1.22 - 1.30 (m, 3H), 1.44 (qd, 7 = 10.2, 4.5 Hz, 5H), 1.50 - 1.56 (m, 1H), 1.59 (s, 3H), 1.84 (p, 7 = 7.3 Hz, 2H), 2.04 (dd, 7 = 14.4, 2.7 Hz, 1H), 2.15 (ddd, 7 = 15.8, 8.6, 5.9 Hz, 2H), 2.24 (t, 7 = 7.2 Hz, 2H), 2.39 (dtdd, 7 = 18.1, 13.2, 8.1, 4.7 Hz, 3H), 2.70 (s, 3H), 2.76 - 2.86 (m, 3H), 3.09 (s, 3H), 3.21 (d, 7 = 12.5 Hz, 1H), 3.25 (s, 3H), 3.43 (d, 7 = 12.4 Hz, 1H), 3.48 (d, 7 = 9.0 Hz, 1H), 3.92 (s, 3H), 4.13 (s, 2H), 4.19 (h, 7 = 6.6 Hz, 4H), 4.52 (dd, 7 = 12.1, 2.8 Hz, 1H), 5.34 (q, 7 = 6.8 Hz, 1H), 5.56 (dd, 7 = 14.7, 9.0 Hz, 1H), 5.92 (s, 1H), 6.49 - 6.66 (m, 3H), 6.85 - 6.97 (m, 2H), 7.18 (d, 7 = 1.8 Hz, 1H), 7.23 (ddd, 7 = 7.3, 4.8, 1.2 Hz, 1H), 7.76 (dt, 7 = 8.l, 1.2 Hz, 1H), 7.78 - 7.91 (m, 2H), 8.00 (d, 7 = 7.1 Hz, 1H), 8.09 (d, 7 = 7.0 Hz, 1H), 8.33 (t, 7 = 6.3 Hz, 1H), 8.44 (dt,
7 = 4.7, 1.3 Hz, 1H), 8.50 (s, 1H).
SPDB-D-Ala-L-Ala-L-Ala-NH-CH2-S-(CH2)5-CO-DM (13b): HRMS (M+H)+ calcd.
1233.4796, found 1233.4799. 1H NMR (400 MHz, DMSO-d6) d 0.71 (s, 3H), 1.01 - 1.22 (m, 13H), 1.27 - 1.45 (m, 2H), 1.52 (s, 3H), 1.91 - 2.16 (m, 1H), 2.26 (d, 7 = 7.4 Hz, 7H), 2.26 (t, 7 = 1.9 Hz, 4H), 2.48 (t, 7 = 1.8 Hz, 2H), 2.57 - 2.65 (m, 3H), 2.65 - 2.77 (m, 2H), 3.01 (s, 2H), 3.13 (d, 7 = 12.2 Hz, 1H), 3.18 (s, 3H), 3.32 - 3.47 (m, 2H), 3.86 (d, 7 = 6.7 Hz, 4H), 3.93 - 4.11 (m, 3H), 4.18 (t, 7 = 11.2 Hz, 7H), 4.39 - 4.50 (m, 1H), 5.27 (d, 7 = 6.7 Hz, 1H), 5.50 (dd, 7 = 14.7, 8.8 Hz, 1H), 5.85 (s, 1H), 6.37 - 6.61 (m, 3H), 6.81 (s, 1H), 7.11 (d, 7 =
1.8 Hz, 1H), 7.26 (t, 7 = 7.4 Hz, 2H), 7.35 (t, 7 = 7.4 Hz, 2H), 7.45 (d, 7 = 7.5 Hz, 1H), 7.65 (t, 7 = 7.1 Hz, 2H), 7.82 (d, 7 = 7.5 Hz, 2H), 7.89 (d, 7 = 7.3 Hz, 1H).
SPDB- L-Ala-D-Ala-L-Ala-NH-CH2-S-(CH2)5-CO-DM (13c): HRMS (M+H)+ calcd.
1233.4796, found 1233.4795. 1H NMR (400 MHz, DMSO-d6) d 0.71 (s, 3H), 1.02 - 1.25 (m, 18H), 1.29 - 1.50 (m, 6H), 1.52 (s, 3H), 1.70 - 1.87 (m, 2H), 1.87 - 2.14 (m, 2H), 2.13 - 2.22 (m, 2H), 2.27 - 2.40 (m, 3H), 2.63 (s, 3H), 2.69 - 2.84 (m, 4H), 3.02 (s, 3H), 3.14 (d, 7 =
12.3 Hz, 1H), 3.18 (s, 3H), 3.32 - 3.45 (m, 2H), 3.85 (s, 3H), 3.95 - 4.07 (m, 2H), 4.07 - 4.19 (m, 4H), 4.45 (dd, 7 = 11.9, 2.7 Hz, 1H), 5.27 (q, 7 = 6.7 Hz, 1H), 5.44 - 5.55 (m, 1H), 5.85 (s, 1H), 6.42 - 6.59 (m, 3H), 6.81 (s, lH), 7.l l (s, 1H), 7.13 - 7.19 (m, 1H), 7.68 (d, 7 = 8.2, 2.7 Hz, 1H), 7.72 - 7.80 (m, 1H), 7.88 (t, 7 = 6.6 Hz, 1H), 8.04 (d, 7 = 6.4 Hz, 1H), 8.09 (d, 7 = 7.4 Hz, 1H), 8.25 (t, 7 = 6.3 Hz, 1H), 8.37 (dd, 7 = 5.0, 1.9 Hz, 1H).
SPDB- L-Ala-L-Ala-D-Ala-NH-CH2-S-(CH2)5-CO-DM (13d): HRMS (M+H)+ calcd.
1233.4796, found 1233.4797. 1H NMR (400 MHz, DMSO-d6) d 0.72 (d, 7 = 3.3 Hz, 3H), 0.98 - 1.28 (m, 22H), 1.30 - 1.46 (m, 3H), 1.53 (s, 3H), 1.78 (q, 7 = 7.1 Hz, 2H), 1.86 - 2.16 (m, 2H), 2.19 (q, 7 = 7.4, 5.6 Hz, 2H), 2.26 - 2.41 (m, 2H), 2.41 - 2.55 (m, 4H), 2.64 (d, 7 = 3.2 Hz, 2H), 2.81 - 2.92 (m, 1H), 3.02 (s, 2H), 3.14 (d, J = 12.0 Hz, 1H), 3.26 (s, 1H), 3.31 - 3.48 (m, 2H), 3.86 (s, 3H), 3.97 - 4.30 (m, 7H), 4.46 (dd, 7 = 11.8, 3.2 Hz, 1H), 5.24 - 5.36 (m, 1H), 5.45 - 5.62 (m, 1H), 5.86 (s, 1H), 6.40 - 6.65 (m, 3H), 6.82 (d, 7 = 3.4 Hz, lH), 7.l l (d, 7 = 3.2 Hz, 1H), 7.18 (d, 7 = 12.1, 6.1, 4.9 Hz, 2H), 7.69 (d, 7 = 8.1 Hz, 1H), 7.75 (t, 7 =
7.6 Hz, 2H), 7.89 (d, 7 = 7.8, 3.2 Hz, 1H), 7.95 - 8.04 (m, 2H), 8.26 (d, 7 = 6.1 Hz, 1H), 8.33 - 8.47 (m, 1H).
SPDB-D-Ala-L-Ala-NH-CH2-S-(CH2)5-CO-DM (13g): HRMS (M+H)+ calcd. 1162.4425, found 1162.4405. 1H NMR (400 MHz, DMSO-d6) d 0.71 (s, 3H), 1.08 (dt, 7 = 13.9, 6.9 Hz, 15H), 1.15 - 1.25 (m, 3H), 1.28 - 1.44 (m, 5H), 1.52 (s, 3H), 1.77 (p, 7 = 7.2 Hz, 2H), 1.91— 2.02 (m, 1H), 2.02 - 2.13 (m, 1H), 2.17 (t, 7 = 7.2 Hz, 2H), 2.22 - 2.40 (m, 2H), 2.63 (s, 3H), 2.68 - 2.80 (m, 3H), 3.02 (s, 3H), 3.13 (d, 7 = 12.3 Hz, 1H), 3.18 (s, 3H), 3.33 - 3.45 (m,
2H), 3.85 (s, 3H), 3.95 - 4.16 (m, 5H), 4.45 (dd, 7 = 12.1, 2.8 Hz, 1H), 5.27 (q, 7 = 6.7 Hz, 1H), 5.44 - 5.56 (m, 1H), 5.85 (s, 1H), 6.43 - 6.60 (m, 3H), 6.82 (s, 1H), 7.11 (d, 7 = 1.8 Hz, 1H), 7.12 - 7.18 (m, 1H), 7.65 - 7.79 (m, 2H), 8.06 - 8.16 (m, 2H), 8.30 (t, J = 6.3 Hz, 1H), 8.35 - 8.40 (m, 1H).
SPDB-L-Ala-D-Ala-NH-CH2-S-(CH2)5-CO-DM (13f): HRMS (M+H)+ calcd. 1162.4399, found 1162.455. 1H NMR (400 MHz, DMSO-d6) d 0.71 (s, 3H), 1.02 - 1.13 (m, 12H), 1.14— 1.25 (m, 3H), 1.31 - 1.44 (m, 5H), 1.52 (s, 3H), 1.77 (p, J = 7.3 Hz, 2H), 1.97 (d, 7 = 14.3,
2.7 Hz, 1H), 2.02 - 2.13 (m, 1H), 2.17 (t, 7 = 7.2 Hz, 2H), 2.28 - 2.40 (m, 3H), 2.43 (m, 7 = 3.2 Hz, 3H), 2.63 (s, 3H), 2.69 - 2.80 (m, 3H), 3.02 (s, 3H), 3.13 (d, 7 = 12.4 Hz, 1H), 3.18 (s, 3H), 3.39 (dd, 7 = 21.0, 10.7 Hz, 2H), 3.85 (s, 3H), 3.96 - 4.18 (m, 5H), 4.45 (dd, 7 =
12.1, 2.8 Hz, 1H), 5.27 (q, 7 = 6.7 Hz, 1H), 5.45 - 5.55 (m, 1H), 5.85 (s, 1H), 6.43 - 6.60 (m, 3H), 6.81 (s, 1H), 7.10 (d, 7 = 1.8 Hz, 1H), 7.16 (t, 7 = 7.2, 4.9 Hz, 1H), 7.68 (d, 7 = 8.1 Hz, 1H), 7.71 - 7.79 (m, 1H), 8.02 - 8.15 (m, 2H), 8.28 (t, 7 = 6.3 Hz, 1H), 8.37 (d, 7 = 4.8, 1.7 Hz, 1H).
SPDB-D-Ala-D-Ala-NH-CH2-S-(CH2)5-CO-DM (13h): HRMS (M+H)+ calcd. 1162.4399, found 1162.455. 1H NMR (400 MHz, DMSO-d6) d 0.71 (s, 3H), 1.02 - 1.16 (m, 13H), 1.14— 1.25 (m, 3H), 1.28 - 1.49 (m, 5H), 1.52 (s, 3H), 1.77 (p, 7 = 7.2 Hz, 2H), 1.92 - 2.14 (m, 2H), 2.17 (t, 7 = 7.2 Hz, 2H), 2.23 - 2.40 (m, 2H), 2.46 - 2.54 (m, 1H), 2.63 (s, 3H), 2.65 - 2.85 (m, 4H), 3.02 (s, 3H), 3.03 - 3.16 (m, 2H), 3.18 (s, 3H), 3.28 - 3.45 (m, 2H), 3.85 (s, 3H), 3.95 - 4.20 (m, 5H), 4.45 (dd, 7 = 12.1, 2.8 Hz, 1H), 5.27 (q, 7 = 6.7 Hz, 1H), 5.44 - 5.55 (m, 1H), 5.82 - 5.88 (m, 1H), 6.42 - 6.59 (m, 3H), 6.81 (s, lH), 7.l l (d, 7 = 1.9 Hz, 1H), 7.14 - 7.20 (m, 1H), 7.67 - 7.72 (m, 1H), 7.72 - 7.80 (m, 1H), 7.88 (d, J = 7.6 Hz, 1H), 7.99 (d, 7 = 7.1 Hz, 1H), 8.28 (t, 7 = 6.3 Hz, 1H), 8.35 - 8.40 (m, 1H).
SPDB-L-Ala-D-Ala-L-Ala-NH-CH2-S-(CH2)3-CO-DM (13j): HRMS (M+H)+ calcd.
1203.4337, found 1203.4315. 1H NMR (400 MHz, DMSO-d6) d 0.71 (s, 3H), 0.94 - 1.24 (m, 20H), 1.38 (s, 3H), 1.52 (s, 3H), 1.57 - 1.87 (m, 1H), 1.89 - 2.08 (m, 1H), 2.26 (t, 7 = 15.1 Hz, 1H), 2.50 (d, 7 = 5.2 Hz, 2H), 2.54 - 2.79 (m, 7H), 3.05 (d, 7 = 3.8 Hz, 3H), 3.18 (s, 5H), 3.29 - 3.46 (m, 3H), 3.86 (d, 7 = 6.1 Hz, 4H), 4.00 (s, 3H), 4.05 - 4.24 (m, 4H), 4.33 - 4.54 (m, 1H), 5.17 - 5.38 (m, 1H), 5.39 - 5.58 (m, 1H), 5.85 (s, 1H), 6.29 - 6.58 (m, 4H), 6.63 (s, 1H), 6.81 (s, 1H), 7.04 - 7.19 (m, 1H), 7.90 (s, 1H), 8.14 - 8.39 (m, 1H), 8.45 (s, 1H).
SPDB-D-Ala-L-Ala-NH-CH2-S-(CH2)2-CO-DM (13i): HRMS (M+H)+ calcd. 1120.3955, found 1120.3951. 1H NMR (400 MHz, DMSO-76) d 0.74 - 0.82 (m, 3H), 1.10 - 1.22 (m, 13H), 1.25 (d, 7 = 14.1 Hz, 1H), 1.46 (t, 7 = 10.9 Hz, 2H), 1.56 - 1.63 (m, 3H), 1.85 (ddd, 7 = 14.4, 9.0, 5.1 Hz, 2H), 2.00 (ddd, 7 = 14.7, 9.3, 5.4 Hz, 9H), 2.24 (dt, 7 = 10.8, 5.0 Hz, 2H), 2.72 (d, 7 = 3.6 Hz, 2H), 2.94 (dq, 7 = 10.7, 7.2, 5.7 Hz, 9H), 3.10 (d, 7 = 3.7 Hz, 3H), 3.20 (d, 7 = 3.4 Hz, 1H), 3.25 (d, 7 = 3.6 Hz, 3H), 3.32 (d, 7 = 3.7 Hz, 1H), 3.47 (td, 7 = 10.7, 10.0, 3.8 Hz, 2H), 3.93 (t, 7 = 4.6 Hz, 3H), 4.02 - 4.25 (m, 6H), 4.49 - 4.57 (m, 1H), 5.28 - 5.37 (m, 1H), 5.53 - 5.62 (m, 1H), 5.92 (d, 7 = 3.6 Hz, 1H), 6.57 (q, 7 = 5.4, 4.5 Hz, 3H), 6.85 - 6.93 (m, 1H), 7.17 (d, 7 = 3.3 Hz, 1H), 7.25 (dq, 7 = 8.0, 4.9 Hz, 6H), 7.72 - 7.87 (m, 11H), 8.16 (dt, 7 = 15.4, 4.9 Hz, 2H), 8.45 (tt, 7 = 9.9, 5.9 Hz, 6H).
6. Thio-Peptide-Maytansinoids (Compounds 14a-14j)
Compounds of the type HS-(CH2)3C0-Peptide-NH-CH2-S-(CH2)n-C02-DM were prepared as shown in FIG. 12A and as exemplified by HS-(CH2)3CO-F-Ala-F-Ala-F-Ala-NH-CH2-S- (CH2)5-CO-DM.
HS-(CH2)3CO-L-Ala-L-Ala-L-Ala-NH-CH2-S-(CH2)5-CO-DM (14a): SPDB L Ala L Ala-L-Ala-NH-CH2-S-(CH2)5-CO-DM (38 mg, 0.031 mmol) was dissolved in DMSO (1 mL) to which a solution of DTT (19 mg, 0.12 mmol) in 100 mM potassium phosphate, 2mM EDTA pH 7.5 buffer (lmL) was added. The reaction was allowed to proceed at room temperature with magnetic stirring under an argon for 1 h. The crude reaction was purified on a C 18, 30 micron, 30g cartridge eluting with deionized water containing 0.1% formic acid and a linear gradient of acetonitrile of 5% to 95% over 35 min. Fractions containing desired product were immediatley frozen and lypholized to give 18.2 mg, (52.5 % yield) of a white solid. HRMS (M + H)+ calcd. 1124.4809; found 1124.4798. 1H NMR (400 MHz, DMSO- d6) d 0.78 (s, 3H), 1.12 (d, 7 = 6.4 Hz, 3H), 1.14 - 1.21 (m, 10H), 1.22 - 1.30 (m, 3H), 1.37 - 1.50 (m, 5H), 1.51 - 1.57 (m, 1H), 1.59 (s, 3H), 1.74 (p, 7 = 7.2 Hz, 2H), 2.04 (dd, 7 = 14.4,
2.8 Hz, 1H), 2.09 - 2.18 (m, 1H), 2.18 - 2.24 (m, 2H), 2.27 (t, 7 = 7.6 Hz, 1H), 2.38 (td, 7 = 7.1, 4.7 Hz, 2H), 2.44 (t, 7 = 7.3 Hz, 2H), 2.70 (s, 3H), 2.79 (d, 7 = 9.6 Hz, 1H), 3.09 (s, 3H), 3.21 (d, 7 = 12.6 Hz, 1H), 3.25 (s, 3H), 3.43 (d, 7 = 12.4 Hz, 1H), 3.49 (d, 7 = 9.0 Hz, 1H), 3.93 (s, 3H), 4.08 (ddd, 7 = 21.6, 11.4, 4.1 Hz, 2H), 4.13 - 4.28 (m, 4H), 4.52 (dd, 7 = 12.1,
2.8 Hz, 1H), 5.34 (q, 7 = 6.7 Hz, 1H), 5.56 (dd, 7 = 14.7, 9.0 Hz, 1H), 5.91 (d, 7 = 1.4 Hz,
1H), 6.48 - 6.66 (m, 3H), 6.88 (s, 1H), 7.18 (d, 7 = 1.8 Hz, 1H), 7.86 (d, 7 = 7.5 Hz, 1H),
7.96 (d, 7 = 7.3 Hz, 1H), 8.05 (d, 7 = 7.1 Hz, 1H), 8.33 (t, 7 = 6.3 Hz, 1H).
HS-(CH2)3CO-D-Ala-L-Ala-L-Ala-NH-CH2-S-(CH2)5-CO-DM (14b): HRMS (M+Na)+ calcd. 1146.4629, found 1146.4591. 1H NMR (400 MHz, DMSO-d6) d 0.71 (s, 3H), 1.03 -
1.25 (m, 19H), 1.30 - 1.45 (m, 6H), 1.52 (s, 4H), 1.65 (p, 7 = 7.3 Hz, 2H), 1.91 - 2.02 (m, 1H), 2.02 - 2.13 (m, 1H), 2.12 - 2.19 (m, 4H), 2.29 - 2.39 (m, 4H), 2.63 (s, 3H), 2.73 (d, 7 = 9.6 Hz, 1H), 3.02 (s, 3H), 3.14 (d, 7 = 12.5 Hz, 1H), 3.33 - 3.47 (m, 2H), 3.86 (s, 3H), 4.01 (td, 7 = 10.4, 9.7, 4.3 Hz, 2H), 4.04 - 4.16 (m, 5H), 4.45 (dd, 7 = 12.0, 2.9 Hz, 1H), 5.27 (q, 7 = 6.7 Hz, 1H), 5.43 - 5.56 (m, 1H), 5.85 (s, 1H), 6.38 - 6.61 (m, 4H), 6.81 (s, 1H), 7.11 (d, 7 = 1.8 Hz, 1H), 7.82 (d, 7 = 7.7 Hz, 1H), 7.97 (t, 7 = 6.3 Hz, 1H), 8.10 (d, 7 = 6.0 Hz, 1H),
8.25 (d, 7 = 6.9 Hz, 1H).
HS-(CH2)3CO-L-Ala-D-Ala-L-Ala-NH-CH2-S-(CH2)5-CO-DM (14c) : HRMS (M+Na)+ calcd. 1146.4629, found 1146.4553. 1H NMR (400 MHz, DMSO-d6) d 0.71 (s, 3H), 0.99 -
1.26 (m, 21H), 1.31 - 1.45 (m, 5H), 1.52 (s, 3H), 1.67 (p, 7 = 7.2 Hz, 2H), 1.89 - 2.02 (m, 1H), 2.02 - 2.24 (m, 4H), 2.25 - 2.46 (m, 3H), 2.63 (s, 3H), 2.73 (d, 7 = 9.7 Hz, 1H), 3.02 (s, 3H), 3.18 (s, 3H), 3.32 - 3.51 (m, 2H), 3.86 (s, 3H), 3.96 - 4.18 (m, 7H), 4.45 (dd, 7 = 12.0,
2.9 Hz, 1H), 5.27 (q, J = 6.8 Hz, 1H), 5.44 - 5.63 (m, 1H), 5.85 (s, 1H), 6.37 - 6.59 (m, 4H), 6.81 (s, 1H), 7.11 (d, 7 = 1.8 Hz, 1H), 7.89 (d, 7 = 7.7 Hz, 1H), 8.03 (d, 7 = 6.5 Hz, 1H), 8.08 (d, 7 = 7.3 Hz, 1H), 8.27 (t, 7 = 6.3 Hz, 1H).
HS-(CH2)3CO-L-Ala-L-Ala-D-Ala-NH-CH2-S-(CH2)5-CO-DM (14d): HRMS (M+Na)+ calcd. 1146.4629, found 1146.4519. 1H NMR (400 MHz, DMSO-d6) d 0.71 (s, 3H), 0.95 - 1.24 (m, 20H), 1.27 - 1.45 (m, 5H), 1.52 (s, 3H), 1.67 (p, 7 = 7.3 Hz, 2H), 1.93 - 2.01 (m, 1H), 2.02 - 2.22 (m, 4H), 2.22 - 2.41 (m, 5H), 2.63 (s, 3H), 2.73 (d, 7 = 9.6 Hz, 1H), 3.02 (s, 3H), 3.18 (s, 4H), 3.39 (dd, 7 = 21.4, 10.7 Hz, 2H), 3.86 (s, 3H), 3.94 - 4.24 (m, 6H), 4.45 (dd, 7 = 12.0, 2.8 Hz, 1H), 5.27 (q, 7 = 6.7 Hz, 1H), 5.44 - 5.57 (m, 1H), 5.85 (s, 1H), 6.37 - 6.65 (m, 3H), 6.81 (s, 1H), 7.11 (d, 7 = 1.8 Hz, 1H), 7.89 (d, 7 = 7.6 Hz, 1H), 7.93 - 8.05 (m, 2H), 8.26 (t, 7 = 6.4 Hz, 1H). HS-(CH2)3CO-D-Ala-L-Ala-NH-CH2-S-(CH2)5-CO-DM (14g): HRMS (M+H)+ calcd. 1053.4438, found 1053.4426. 1H NMR (400 MHz, DMSO-d6) d 0.71 (s, 3H), 1.01 - 1.15 (m, 13H), 1.15 - 1.27 (m, 3H), 1.31 - 1.44 (m, 5H), 1.53 (s, 3H), 1.67 (p, / = 7.1 Hz, 2H), 1.93 - 2.03 (m, 1H), 2.03 - 2.23 (m, 4H), 2.22 - 2.41 (m, 5H), 2.63 (s, 3H), 2.73 (d, / = 9.7 Hz, 1H), 3.02 (s, 3H), 3.14 (d, J = 12.5 Hz, 1H), 3.18 (s, 3H), 3.32 - 3.46 (m, 2H), 3.86 (s, 3H), 3.92 - 4.20 (m, 6H), 4.45 (dd, / = 11.9, 2.8 Hz, 1H), 5.27 (q, 7 = 6.7 Hz, 1H), 5.42 - 5.58 (m, 1H), 5.85 (s, 1H), 6.42 - 6.60 (m, 3H), 6.81 (s, 1H), 7.12 (d, / = 1.8 Hz, 1H), 8.05 (d, / = 6.5 Hz, 1H), 8.10 (d, / = 7.8 Hz, 1H), 8.30 (t, J = 6.3 Hz, 1H).
HS-(CH2)3CO-L-Ala-D-Ala-NH-CH2-S-(CH2)5-CO-DM (14f): HRMS (M+H)+ calcd. 1053.4366, found 1053.4438. 1H NMR (400 MHz, DMSO-d6) d 0.71 (s, 3H), 1.02 - 1.14 (m, 13H), 1.19 (t, / = 9.7 Hz, 3H), 1.31 - 1.43 (m, 6H), 1.53 (s, 3H), 1.67 (p, / = 7.3 Hz, 2H),
1.91 - 2.02 (m, 1H), 2.02 - 2.22 (m, 4H), 2.34 - 2.39 (m, 4H), 2.63 (s, 3H), 2.73 (d, / = 9.5 Hz, 1H), 3.02 (s, 3H), 3.19 (d, / = 4.2 Hz, 4H), 3.30 - 3.47 (m, 2H), 3.86 (s, 3H), 3.94 - 4.20 (m, 6H), 4.45 (d, / = 11.8, 2.8 Hz, 1H), 5.27 (q, / = 6.7 Hz, 1H), 5.44 - 5.56 (m, 1H), 5.85 (s, 1H), 6.40 - 6.61 (m, 3H), 6.81 (s, 1H), 7.12 (s, 1H), 8.03 (d, / = 6.5 Hz, 1H), 8.08 (d, / = 7.8 Hz, 1H), 8.29 (t, / = 6.2 Hz, 1H).
HS-(CH2)3CO-D-Ala-D-Ala-NH-CH2-S-(CH2)5-CO-DM (14h): HRMS (M+H)+ calcd. 1053.4366, found 1053.4438. 1H NMR (400 MHz, DMSFO-d6) d 0.71 (s, 3H), 1.02 - 1.15 (m, 13H), 1.14 - 1.24 (m, 3H), 1.30 - 1.45 (m, 5H), 1.53 (s, 3H), 1.67 (p, J = 7.1 Hz, 2H), 1.90 - 2.01 (m, 1H), 2.01 - 2.24 (m, 4H), 2.27 - 2.33 (m, 1H), 2.33 - 2.42 (m, 4H), 2.63 (s, 3H), 2.73 (d, J = 9.7 Hz, 1H), 3.02 (s, 3H), 3.10 - 3.21 (m, 4H), 3.33 - 3.46 (m, 2H), 3.86 (s, 3H), 3.95 - 4.18 (m, 6H), 4.45 (dd, / = 11.9, 2.8 Hz, 1H), 5.27 (q, / = 6.7 Hz, 1H), 5.44 - 5.55 (m, 1H), 5.85 (s, 1H), 6.42 - 6.59 (m, 3H), 6.81 (s, 1H), 7.12 (d, / = 1.8 Hz, 1H), 8.05 (d, J = 6.5 Hz, 1H), 8.10 (d, / = 7.8 Hz, 1H), 8.30 (t, J = 6.3 Hz, 1H).
HS-(CH2)3CO-L-Ala-D-Ala-L-Ala-NH-CH2-S-(CH2)3 -CO-DM (14j): HRMS (M+H)+ calcd. 1096.4496, found 1096.4464. 1H NMR (400 MHz, DMSO-76) d 0.78 (s, 3H), 1.02 - 1.31 (m, 19H), 1.35 - 1.55 (m, 2H), 1.60 (s, 3H), 1.74 (p, / = 7.4 Hz, 3H), 1.78 - 1.93 (m, 1H), 2.14 - 2.33 (m, 4H), 2.41 - 2.49 (m, 2H), 2.71 (s, 3H), 2.80 (d, / = 9.6 Hz, 1H), 3.12 (s, 3H), 3.22 (d, / = 12.7 Hz, 1H), 3.26 (s, 3H), 3.47 (dd, / = 21.3, 10.6 Hz, 2H), 3.93 (s, 4H), 4.03 - 4.13 (m, 3H), 4.13 - 4.25 (m, 3H), 4.52 (dd, / = 12.0, 2.8 Hz, 1H), 5.35 (q, / = 6.8 Hz, 1H), 5.50 - 5.64 (m, 1H), 5.92 (s, 1H), 6.47 - 6.69 (m, 4H), 6.88 (s, 1H), 7.18 (d, / = 1.7 Hz, 1H), 7.94 (d, 7 = 7.3 Hz, 1H), 8.09 (d, J = 6.4 Hz, 1H), 8.15 (d, / = 7.3 Hz, 1H), 8.32 (t, J = 6.3 Hz, 1H). HS-(CH2)3CO-(CH2)3-CO-D-Ala-L-Ala-NH-CH2-S-(CH2)2-CO-DM (14i) : HRMS (M+H)+ calcd. 1011.3969, found 1011.3961. 1H NMR (400 MHz, DMSO-76) d 0.77 (s, 3H), 1.12 (d, 7 = 6.4 Hz, 3H), 1.17 (dd, 7 = 7.0, 5.1 Hz, 9H), 1.25 (d, 7 = 13.0 Hz, 1H), 1.40 - 1.51 (m, 2H), 1.59 (s, 3H), 1.74 (q, 7 = 7.2 Hz, 2H), 2.00 - 2.08 (m, 1H), 2.23 (dt, 7 = 16.8, 7.6 Hz, 3H), 2.43 (q, 7 = 7.4 Hz, 2H), 2.62 - 2.69 (m, 1H), 2.72 (s, 3H), 2.76 - 2.88 (m, 2H),
3.10 (s, 3H), 3.20 (d, 7 = 12.6 Hz, 1H), 3.25 (s, 3H), 3.31 (s, 3H), 3.39 - 3.54 (m, 2H), 3.93 (s, 3H), 4.01 - 4.26 (m, 5H), 4.53 (dd, 7 = 12.0, 2.8 Hz, 1H), 5.32 (q, 7 = 6.8 Hz, 1H), 5.49 - 5.63 (m, 1H), 5.92 (d, 7 = 1.4 Hz, 1H), 6.48 - 6.62 (m, 3H), 6.88 (s, 1H), 7.18 (d, 7 = 1.8 Hz, 1H), 8.10 (d, 7 = 6.5 Hz, 1H), 8.16 (d, 7 = 7.7 Hz, 1H), 8.41 (t, 7 = 6.3 Hz, 1H).
7. HOOC-( CH2)3-CO-Peptide-NH-CH2-SJ CH2)n-C02-DM ( Compounds 19a-19j)
Compounds of the type H00C-(CH2)3-C0-Peptide-NH-CH2-S-(CH2)n-C02-DM were prepared as shown in FIG. 12B and as exemplified by HOOC-(CH2)3_CO-L-Ala-D-Ala-L- Ala-NH-CH2-S-(CH2)5-CO-DM.
HOOC-(CH2)3-CO-L-Ala-D-Ala-L-Ala-NH-CH2-S-(CH2)5-CO-DM(19a): L Ala D Ala L-Ala-NH-CH2-S-(CH2)5-CO-DM (17.25 mg, 0.017 mmol) was treated with glutaric anhydride (38.5 mg, 0.337 mmol) and reacted at room temperature with magnetic stirring under argon overnight. The crude reaction was purified by HPLC using a XDB-C18, 21.2 x 5 mm, 5 micron column eluting with deionized water containing 0.1% formic acid and a linear gradient of acetonitrile from 5% to 95% over 30 min at 20 ml/min. Fractions containing pure desired product were immediately combined, frozen and lypholized to give 3 mg, (15 % yield) of white solid. HRMS (M+H)+ calcd. 1136.4987, found 1136.4954. 1H NMR (400 MHz, DMSO-d6) d 0.71 (s, 3H), 0.92 - 1.27 (m, 20H), 1.26 - 1.48 (m, 5H), 1.52 (s, 3H),
I.63 (q, 7 = 7.1 Hz, 2H), 1.83 - 2.20 (m, 7H), 2.23 - 2.41 (m, 5H), 2.63 (s, 4H), 2.73 (d, J = 9.5 Hz, 1H), 3.02 (s, 3H), 3.36 - 3.50 (m, 2H), 3.86 (s, 3H), 3.91 - 4.24 (m, 7H), 4.45 (d, 7 =
I I.8 Hz, 1H), 5.27 (q, 7 = 6.7 Hz, 1H), 5.41 - 5.57 (m, 1H), 5.86 (s, 1H), 6.32 - 6.66 (m,
3H), 6.81 (s, 1H), 7.12 (s, 1H), 8.06 (t, 7 = 9.1 Hz, 2H), 8.35 (d, 7 = 11.6 Hz, 1H), 8.62 (s, 1H).
HOOC-(CH2)3-CO-D-Ala-L-Ala-NH-CH2-S-(CH2)5-CO-DM (19g): HRMS (M+H)+ calcd. 1136.4987, found 1136.4962.1H NMR (400 MHz, DMSO-d6) d 0.71 (s, 3H), 0.97 - 1.14 (m, 13H), 1.14 - 1.26 (m, 3H), 1.28 - 1.45 (m, 5H), 1.52 (s, 3H), 1.62 (p, 7 = 7.5 Hz, 2H), 1.93 - 2.00 (m, 1H), 2.08 (dt, 7 = 13.1, 7.4 Hz, 6H), 2.25 - 2.41 (m, 3H), 2.63 (s, 3H), 2.73 (d, 7 = 9.5 Hz, 1H), 3.02 (s, 3H), 3.18 (s, 3H), 3.31 - 3.48 (m, 2H), 3.86 (s, 3H), 3.93 - 4.19 (m, 6H), 4.45 (dd, 7 = 12.0, 2.8 Hz, 1H), 5.27 (q, 7 = 6.8 Hz, 1H), 5.43 - 5.58 (m, 1H), 5.85 (s, 1H), 6.40 - 6.61 (m, 3H), 6.81 (s, 1H), 7.11 (d, 7 = 1.8 Hz, 1H), 8.03 (d, 7 = 6.5 Hz, 1H),
8.13 (d, 7 = 7.8 Hz, 1H), 8.34 (t, 7 = 6.3 Hz, 1H), 11.94 (s, 1H).
HOOC-(CH2)3-CO-L-Ala-D-Ala-L-Ala-NH-CH2-S-(CH2)3-CO-DM (19i): HRMS (M+H)+ calcd. 1108.4674, found 1108.4634. 1H NMR (400 MHz, DMSO-d6) d 0.78 (s, 3H), 1.04 - 1.32 (m, 16H), 1.45 (d, 7 = 12.6 Hz, 2H), 1.60 (s, 3H), 1.69 (p, 7 = 7.2 Hz, 3H), 1.77 - 1.95 (m, 1H), 1.99 - 2.07 (m, 1H), 2.11 - 2.20 (m, 4H), 2.20 - 2.39 (m, 1H), 2.55 (s, 1H), 2.71 (s, 3H), 2.80 (d, 7 = 9.5 Hz, 1H), 3.12 (s, 3H), 3.40 (d, 7 = 21.0 Hz, 8H), 3.49 (d, 7 = 9.1 Hz,
1H), 3.93 (s, 3H), 4.02 - 4.27 (m, 6H), 4.48 - 4.61 (m, 1H), 5.34 (q, J = 6.6 Hz, 1H), 5.48 - 5.65 (m, 1H), 5.92 (s, 1H), 6.50 - 6.71 (m, 3H), 6.88 (s, 1H), 7.18 (s, 1H), 7.99 (d, 7 = 7.6 Hz, 1H), 8.08 (d, 7 = 6.5 Hz, 1H), 8.22 (d, 7 = 7.4 Hz, 1H), 8.30 (s, 1H), 8.42 (s, 1H).
8. NHS-00C-(CH2)3-C0-Peptide-NH-CH2-S-(CH2)n-C02-DM (Compound 20a-20j)
Compounds of the type NHS-00C-(CH2)3-C0-Peptide-NH-CH2-S-(CH2)n-C02-DM were prepared as shown in FIG. 12B and as exemplified by NHS-OOC-(CH2)3-CO-D-Ala-F-Ala- NH-CH2-S-(CH2)5-CO-DM.
NHS-OOC-(CH2)3-CO-D-Ala-L-Ala-NH-CH2-S-(CH2)5-CO-DM (20g) : HOOC-(CH2)3_ CO-D-Ala-L-Ala-NH-CH2-S-(CH2)5-CO-DM (8 mg 7.5 mihoΐ) was dissolved in DMSO (1 mL), treated with NHS (0.9 mg, 7.51 mihoΐ) and EDC (1.4 mg, 7.51 mihoΐ). The reaction was allowed to proceed at room temperature with magnetic stirring under an argon atmosphere for 2 hours. The crude material was purified via HPLC using a XDB-C18, 21.2 x 5mm, 5 pm column eluting with deionized water containing 0.1% formic acid and a linear gradient of acetonitrile from 5% to 95% over 30 min at 20 ml/min. Fractions containing desired product were combined and immediatley frozen then lypholized to give 6.5 mg (74 % yield) of white solid. 1H NMR (400 MHz, DMSO-d6) d 0.71 (s, 3H), 1.00 - 1.14 (m, 13H), 1.14 - 1.25 (m, 3H), 1.29 - 1.46 (m, 5H), 1.52 (s, 3H), 1.75 (p, 7 = 7.5 Hz, 2H), 1.92 - 2.12 (m, 2H), 2.16 (t,
7 = 7.3 Hz, 2H), 2.22 - 2.39 (m, 3H), 2.62 (d, 7 = 10.8 Hz, 5H), 2.73 (d, 7 = 10.5 Hz, 5H), 3.02 (s, 3H), 3.18 (s, 3H), 3.32 - 3.47 (m, 2H), 3.86 (s, 3H), 3.95 - 4.19 (m, 6H), 4.45 (dd, 7 = 12.0, 2.8 Hz, 1H), 5.27 (q, 7 = 6.8 Hz, 1H), 5.42 - 5.57 (m, 1H), 5.82 - 5.87 (m, 1H), 6.41 - 6.60 (m, 4H), 6.81 (s, lH), 7.l l (d, 7 = 1.7 Hz, 1H), 8.05 (d, 7 = 6.5 Hz, 1H), 8.10 (d, 7 =
7.7 Hz, 1H), 8.20 (d, J = 4.8 Hz, 1H), 8.29 (t, 7 = 6.3 Hz, 1H).
NHS-OOC-(CH2)3-CO -L-Ala-D-Ala-L-Ala-NH-CH2-S-(CH2)5-CO-DM (20g): HRMS (M+H)+ calcd. 1233.5151, found 1233.5135. NHS-OOC-(CH2)3-CO -L-Ala-D-Ala-L-Ala-NH-CH2-S-(CH2)3-CO-DM (20i): HRMS (M+H)+ calcd. 1205.4838, found 1205.4808.
9. Mal-( CH2)3-CO-Peptide-NH-CH2-S-( CH 2)„-CO-DM ( Compounds 23a-23j)
Compounds 23a-23j can be prepared as shown in FIG. 12B and as exemplified for compound 23c.
Mal-(CH2)3-CO-L-Ala-D-Ala-L-Ala-NH-CH2-S-(CH2)5-CO-DM or Mal-LDL-DM (23c):
H2N-L-Ala-D-Ala-L-Ala-CH2-S-(CH2)5-CO-DM (8 mg, 7.82 pmol), was dissolved in DMF (2 mL), treated with 3-maleimidopropanoic acid (1.32 mg, 7.82 pmol), EDC (2.25 mg, 0.012 mmol) and HOBt (1.198 mg, 7.82 pmol). The reaction was allowed to proceed at room temperature with magnetic stirring under an argron atmosphere for 2 h. The crude material was purified via semi-prep HPLC using a XDB-C18, 2l.2x5mm, 5 pm eluting with deionized water containing 0.1% formic acid and a linear gradient of acetonitrile from 5% to 95% over 30 min at 20 ml/min. Fractions containing desired product were immediately combined and frozen then lypholized to give 1.8 mg (19.60 % yield) of white solid. HRMS (M+H)+ calcd. 1173.4940, found 1173.4931. 1H NMR (400 MHz, DMSO-d6) d 0.71 (s, 3H), 1.02 - 1.14 (m, 15H), 1.16 - 1.25 (m, 3H), 1.30 - 1.44 (m, 5H), 1.52 (s, 3H), 1.92 - 2.03 (m, 1H), 2.03 - 2.17 (m, 1H), 2.23 - 2.39 (m, 4H), 2.63 (s, 3H), 2.73 (d, J = 9.6 Hz, 1H), 3.02 (s, 3H), 3.18 (s,
4H), 3.33 - 3.46 (m, 2H), 3.52 (t, / = 7.3 Hz, 2H), 3.86 (s, 3H), 3.95 - 4.17 (m, 7H), 4.45 (dd, J = 12.0, 2.9 Hz, 1H), 5.27 (q, / = 6.7 Hz, 1H), 5.44 - 5.56 (m, 1H), 5.85 (s, 1H), 6.39 - 6.64 (m, 3H), 6.81 (s, 1H), 6.86 (s, 1H), 6.92 (s, 2H), 7.l l (d, / = 1.7 Hz, 1H), 7.89 (d, 7 = 7.4 Hz, 1H), 8.10 (d, J = 7.3 Hz, 1H), 8.17 (d, / = 6.7 Hz, 1H), 8.28 (t, / = 6.3 Hz, 1H), 8.43 (s, 1H).
10. Other compounds
Figure imgf000163_0001
(CH2)5-CO-MayNMA (compound I-la) (25mg, 0.024 mmol), and 2,5-dioxopyrrolidin-l-yl 6- (2,5-dioxo-2,5-dihydro-lH-pyrrol-l-yl)hexanoate (7.54 mg, 0.024 mmol) yielded Mal-C5-L- Ala-D-Ala-L-Ala-Imm-C6-May (compound I-2a) (20.8mg, 0.017 mmol, 70.0 % yield).
LRMS (M+H)+ calcd 1215.52, found 1216.4. 1H NMR (400 MHz, DMSO-76) d 0.71 (s,
3H), 1.05 (d, 7 = 6.4 Hz, 3H), 1.07 - 1.14 (m, 14H), 1.15 - 1.25 (m, 3H), 1.39 (t, 7 = 9.2 Hz, 10H), 1.52 (s, 3H), 2.01 (t, 7 = 7.6 Hz, 3H), 2.26 (t, 7 = 1.9 Hz, 1H), 2.28 - 2.38 (m, 2H), 2.57 - 2.62 (m, 1H), 2.63 (s, 3H), 2.73 (d, 7 = 9.6 Hz, 1H), 3.02 (s, 3H), 3.14 (d, 7 = 12.5 Hz, 1H), 3.18 (s, 3H), 3.29 (t, 7 = 7.1 Hz, 2H), 3.36 (d, 7 = 12.5 Hz, 1H), 3.42 (d, 7 = 9.0 Hz, 1H), 3.86 (s, 3H), 3.96 - 4.05 (m, 1H), 4.04 - 4.15 (m, 4H), 4.41 - 4.48 (m, 1H), 5.27 (q, 7 = 6.7 Hz, 1H), 5.46 - 5.54 (m, 1H), 5.82 - 5.88 (m, 1H), 6.47 - 6.50 (m, 2H), 6.54 (t, 7 = 11.4 Hz, 2H), 6.82 (s, 1H), 6.92 (s, 2H), 7.11 (d, 7 = 1.8 Hz, 1H), 7.86 - 7.93 (m, 2H), 7.95 (s, 1H),
8.05 (d, 7 = 7.4 Hz, 1H), 8.24 (t, 7 = 6.2 Hz, 1H).
Figure imgf000163_0002
Reaction between L-Ala-D-Ala-L-Ala-NH-CH2-S-(CH2)5-CO-MayNMA (compound I- la) (25mg, 0.024 mmol) and Mal-amido-PEG2-NHS (10.40 mg, 0.024 mmol) yielded Mal- (CH2)2-PEG2-C02-L-Ala-D-Ala-L-ALa-NH-CH2-S-(CH2)5-C0-MayNMA (compound 1-3 a) (l4. lmg, 10.58 pmol, 43.3 % yield). LRMS (M+H)+ calcd 1332.58, found 1332.95.
1H NMR (400 MHz, DMSO-76) d 0.71 (s, 4H), 1.05 (d, J = 6.3 Hz, 4H), 1.07 - 1.14 (m, 15H), 1.18 (d, 7 = 9.0 Hz, 2H), 1.37 (d, 7 = 11.8 Hz, 6H), 1.52 (s, 3H), 2.23 - 2.38 (m, 5H), 2.63 (s, 4H), 2.72 (d, 7 = 9.7 Hz, 1H), 3.02 (s, 3H), 3.07 (q, 7 = 5.7 Hz, 2H), 3.18 (s, 3H), 3.39 (s, 4H), 3.41 (d, 7 = 9.9 Hz, 2H), 3.47 - 3.56 (m, 4H), 3.86 (s, 4H), 3.95 - 4.08 (m, 2H), 4.08 - 4.19 (m, 3H), 4.41 - 4.51 (m, 1H), 5.23 - 5.31 (m, 1H), 5.44 - 5.54 (m, 1H), 5.85 (s, 1H), 6.46 - 6.50 (m, 2H), 6.54 (t, 7 = 11.3 Hz, 2H), 6.83 (s, 1H), 6.93 (s, 2H), 7.12 (s, 1H), 7.88 - 8.00 (m, 2H), 8.01 - 8.08 (m, 2H), 8.27 (t, 7 = 6.2 Hz, 1H).
Figure imgf000164_0001
Reaction between L-Ala-D-Ala-L-Ala-NH-CH2-S-(CH2)5-CO-MayNMA (compound I- la) (25mg, 0.024 mmol) and Mal-amido-PEG4-NHS (12.55 mg, 0.024 mmol) yielded Mal- (CH2)2-PEG4-C02-L-Ala-D-Ala-L-ALa-NH-CH2-S-(CH2)5-C0-MayNMA Mal-PEG4-C02- C6-LDL-DM (compound I-3b) (22.3mg, 0.016 mmol, 64.2 % yield).
LRMS (M+H)+ calcd 1420.63, found 1420.06
1H NMR (400 MHz, DMSO-76) d 0.71 (s, 4H), 1.05 (d, 7 = 6.4 Hz, 3H), 1.07 - 1.16 (m,
14H), 1.19 (t, 7 = 8.1 Hz, 2H), 1.31 - 1.50 (m, 2H), 1.52 (s, 4H), 1.98 (s, 1H), 2.02 - 2.17 (m, 2H), 2.20 - 2.40 (m, 7H), 2.63 (s, 4H), 2.73 (d, 7 = 9.6 Hz, 1H), 3.02 (s, 3H), 3.05 - 3.12 (m, 2H), 3.18 (s, 3H), 3.28 - 3.36 (m, 1H), 3.37 - 3.45 (m, 15H), 3.47 - 3.57 (m, 4H), 3.86 (s, 4H), 3.94 - 4.08 (m, 2H), 4.12 (ddt, 7 = 14.5, 7.3, 3.6 Hz, 4H), 4.41 - 4.49 (m, 1H), 5.27 (q, 7 = 6.7 Hz, 1H), 5.45 - 5.55 (m, 1H), 5.86 (s, 1H), 6.42 - 6.60 (m, 4H), 6.83 (s, 1H), 6.94 (s, 1H), 7.12 (d, 7 = 1.8 Hz, 1H), 7.89 - 8.00 (m, 2H), 8.00 - 8.09 (m, 2H), 8.26 (t, 7 = 6.2 Hz, 1H).
Example 10. Preparation of MET Antibody Conjugates
Preparation of hucMet27Gyl.3-GMBS-LDL-DM conjugate [384] Prior to conjugation, an in-situ mix of sulfo-GMBS-LDL-DM was prepared by mixing a stock solution of sulfo-GMBS in /V-/V-dimethylacetamide (DMA, SAFC) with a stock solution of LDL-DM-SH (compound l4c) in DMA in presence of succinate buffer pH 5.0 to obtain a 60:40 organic: aqueous solution with final concentrations of 1.5 mM sulfo- GMBS and 1.95 mM LDL-DM-SH. The reaction was incubated for 10 minutes at room temperature. /V-ethyl-maleimide (NEM) was added to the in-situ mix at a final concentration of 0.2 mM and reacted for 15 minutes at room temperature to cap any free, unreacted thiol present in the in-situ mixture. The sulfo-GMBS-LDL-DM in-situ mixture was added to a solution containing hucMet27Gvl.3 antibody (in phosphate-buffered saline (PBS), pH 7.4) with 60 mM 4-(2-Hydroxyethyl)-l-piperazinepropanesulfonic acid (EPPS), pH 8.0 and 10% DMA (v/v) to a final ratio in the range of 6.4-6.5 mol sulfo-GMBS-LDL-DM per 1 mol hucMet27Gvl.3-WT antibody. The reaction was performed at a final antibody concentration of either 2.5 or 5.5 mg/mL and incubated overnight at 25 °C.
[385] The crude reaction was purified into 10 mM succinate, 250 mM glycine, 0.5 % sucrose, 0.01% Tween20, pH 5.5 formulation buffer using Sephadex G25 desalting columns (Illustra NAP, GE Healthcare) twice consecutively and filtered through a syringe filter with a 0.22 pm PVDF membrane (MillexGV Durapore, Millipore).
[386] The purified conjugates were found to have 3.15-3.3 mol LDL-DM/mol antibody by UV-Vis, 99%-l00% monomer by SEC, and below 2 % free drug by RP HPLC (Hisep, TOSOH).
Preparation of hucMet27Gyl.3Hinge28-GMBS-LDL-DM conjugate
[387] The hucMet27Gvl.3Hinge28 antibody is a humanized anti-cMET antibody comprising a light chain having the sequence of SEQ ID NO:49 and a heavy chain having the sequence of SEQ ID NO:82.
[388] The conjugation of hucMet27Gvl.3Hinge28-GMBS-LDL-DM was performed as described above for cMet27Gvl.3-GMBS-LDL-DM. In particular, a sulfo-GMBS-LDL-DM in-situ mixture was added to a solution containing hucMet27Gvl.3Hinge28 antibody in PBS, pH 7.4 with 60 mM 4-(2-Hydroxyethyl)-l-piperazinepropanesulfonic acid (EPPS), pH 8.0 and 10% DMA (v/v) to a final ratio in the range of 6.5-6.6 mol sulfo-GMBS-LDL-DM per 1 mol hucMet27Gvl.3Hinge28 antibody. The reaction was performed at a final antibody concentration of either 5.0 or 5.5 mg/mL and incubated overnight at 25 °C.
[389] The crude reaction was purified via Sephadex G25 into formulation buffer and filtered as described above. [390] The purified conjugates were found to have 3.4-3.6 mol LDL-DM/mol antibody by UV-Vis, 99.6% monomer by SEC, and below 2% free drug by HISEP RP HPLC.
Preparation of hucMet27Gyl.3HingeIgG2Sl27C-GMBS-LDL-DM conjugate
[391] The hucMet27Gvl.3HingeIgG2Sl27C antibody is a humanized anti-cMET antibody comprising a light chain having the sequence of SEQ ID NO:49 and a heavy chain having the sequence of SEQ ID NO:80.
[392] The conjugation of cMet27Gvl.3-HingeIgG2Sl27C-GMBS-LDL-DM was performed as described above. In particular, a sulfo-GMBS-LDL-DM in-situ mixture was added to a solution containing hucMet27Gvl.3HingeIgG2Sl27C antibody in PBS, pH 7.4 with 60 mM 4-(2-hydroxyethyl)-l-piperazinepropanesulfonic acid (EPPS), pH 8.0 and 10% DMA (v/v) to a final ratio of 6.5 mol sulfo-GMBS-LDL-DM per 1 mol hucMet27Gvl.3-HingeIgG2Sl27C antibody. The reaction was performed at a final antibody concentration of 2.5 mg/mL and incubated overnight at 25 °C.
[393] The crude reaction was purified via Sephadex G25 into formulation buffer and filtered as described above.
[394] The purified conjugate was found to have 3.7 mol LDL-DM/mol antibody by UV-Vis, 97.1% monomer by SEC, and below 5% free drug by HISEP RP HPLC
Preparation of hucMet27Gyl.3Hinge28-vc-PAB-MMAE conjugate
[395] Interchain disulfides of the hucMet27Gv.l3Hinge28 antibody were reduced with 2.2 molar equivalents of TCEP at 5 mg/mL concentration. After 1 h at 37 °C, l2-fold molar excess of maleimidocaproyl-valine-citrulline-p-aminobenzoyloxycarbonyl-monomethyl auristatin E (mal-vc-PAB-MMAE) was added to the mixture. The subsequent reaction was performed at a final antibody concentration of 3 mg/mL with 15% DMSO and incubated at 25 °C for 3 hours. The crude reaction was purified into 10 mM Acetate, 9.0 % Sucrose,
0.01% Tween-20, pH 5.0 formulation buffer using Sephadex G25 desalting columns twice consecutively and filtered through a syringe filter with a 0.22 pm PVDF membrane. The purified conjugates were found to have 3.3-3.5 mol vc-PAB-MMAE/ mol antibody by UV- Vis and butyl-NPR HIC, 96-97% monomer by SEC, and below 1% free drug by RP HPLC.
Example 11. Binding Affinity of anti-cMET Antibody Conjugates
[396] To evaluate the consequence of LDL-DM conjugation on cMet binding, the relative binding affinity of each anti-cMet ADC and its respective unconjugated antibody was determined by FACS analysis on EBC-l cells. Briefly, EBC-l cells were incubated with 3-fold serial dilution series of anti-cMet antibodies or ADCs for 1 hour at 4°C in FACS buffer [1 x phosphate buffered saline (PBS), 0.1% Sodium azide, 0.5% Bovine serum albumin (BSA)]. Samples were washed and incubated with FITC-goat anti -human IgG secondary antibody for 45 minutes on ice, washed, and fixed in 1% formaldehyde in 1 x PBS and stored at 4°C. All samples were analyzed by flow cytometry. The cell population was selected based on a FSC-H/SSC-H scatter and the FL1 geometric mean fluorescence was determined for each sample and reported as mean fluorescence intensity (MFI). The MFI for each concentration was plotted against the log concentration of the antibody/ ADC, and the EC50 of binding was calculated based on nonlinear regression analysis using GraphPad Prism 7. All of the anti-cMet antibodies and ADCs bound with similar affinity to EBC-l cells with an EC50 of approximately 0.4 nM, indicating that hinge modification and LDL-DM conjugation did not appreciably alter antibody/ADC binding affinity FIG. 6.
Example 12. In vitro Potency of anti-cMET LDL-DM Conjugates
[397] The in vitro cytotoxicty of anti-cMet ADCs conjugated with the LDL-DM
linker/payload was compared to a non-targeting IgG 1 -LDL-DM conjugate in three cMet- expressing tumor cell lines. Specifically, 2,000 tumor cells/well were plated in 96-well plates. Conjugates were diluted in cell culture medium to create four-fold dilution series and lOOpL per well were added to cell containing wells. The final concentration typically ranged from 2- 3 x 108 M to 3-4.6 x 1013 M for the LDL-DM conjugates. Control wells containing cells but lacking conjugate, along with wells containing medium only, were included in each assay plate. Assays were performed in triplicate for each data point. Plates were incubated at 37°C in a humidified 5% C02 incubator for 5 days. Then the relative number of viable cells in each well was determined using the WST-8 based Cell Counting Kit-8 (Dojindo Molecular Technologies, Inc.). The surviving fraction of cells in each well was calculated by first correcting for the medium background absorbance, and then dividing each value by the average of the values in the control wells (non-treated cells). The fraction of surviving cells was plotted against the log conjugate concentration and the EC50 of activity was calculated using nonlinear regression analysis (GraphPad Prism 7.0).
[398] These results show that anti-cMet-LDL-DM ADCs can kill a panel of cMet- overexpressed tumor cell lines, including MET-amplified cell lines (EBC-l and Hs746T) as well as non-MET-amplified cell lines (NCI-H441) (see FIG. 13). In each case, a good specificity window was observed, indicating that cytotoxicity is a result of specific cMet antigen binding on tumor cells. For the hucMet27Gvl.3-GMBS-LDL-DM and hinge modified-LDL-DM conjugates, the IC50 values ranged from 0.04nM to O.lnM and were at least three logs more active than a non-targeting IgGl control conjugate (Table 14).
Table 14: Summary for IC50s of anti-cMet-LDL-DM conjugates in vitro cytotoxicity
Figure imgf000168_0001
Example 13. Anti-Tumor Activity of anti-cMET Antibody Conjugates in C.B-17 SCID Mice Bearing Hs 746T Human Gastric Carcinoma Xenografts
[399] The antitumor activity of varying doses of hucMet27vl.3-s-SPDB-DM4 and hucMet27vl.3-GMBS-LDL-DM conjugates were evaluated in female C.B-17 SCID mice bearing Hs 746T tumors, a human gastric carcinoma xenograft model.
[400] Hs 746T cells were harvested from tissue culture with 99% cell viability, determined by trypan blue exclusion. Seventy-five female C.B-17 SCID mice (6-7 weeks of age) were inoculated with 5 x 106 Hs 746T cells in 0.2 mL of serum free medium (SFM) by subcutaneous injection on the right flank, using a 27-gauge needle. Of those, fifty-eight (58) mice were randomized into eight (8) groups (3 groups of 6 mice, 5 groups of 8 mice) by tumor volume on day 8 post implantation (8 dpi). The mean tumor volumes (TV) for each group were between 72.2-78.5 mm .
[401] The animals were dosed the next day, based on the individual body weight (BW). Articles (test agents and vehicle control) were administered as a single i.v. bolus, using a 1.0 mL syringe fitted with a 27-gauge needle. The treatment groups included a Placebo control group dosed with vehicle (Saline solution, 200 pl/ms), two non-targeted ADC groups (chKTI-sSPDB-DM4 and chKTI-GMBS-LDL-DM) dosed at 5 mg/kg of antibody, and five cMet targeted ADC groups (hucMet27Gvl.3-sSPDB-DM4 dosed at 5 and 2.5 mg/kg of antibody, and hucMet27Gvl.3-GMBS-LDL-DM dosed at 5, 2.5 and 1.25 mg/kg of antibody).
[402] Tumor volume (TV) and body weight (BW) measurements were recorded twice per week. Tumor volume (mm ) was estimated from caliper measurements, following the formula for the cylindrical volume, as: TV (mm ) = (L x Wx H)/2, where L, W and H are the respective orthogonal tumor length, width and height measurements (in mm). Body weights (g) of mice were measured to follow body weight change (BWC) in the treated animals, which is expressed as percent of body weight at a given measurement time (BWt) compared to the pre-treatment, initial body weight (BWi) as follows: % BWC = [(BWt / BWi) - 1] x 100.
[403] The primary endpoints used to evaluate the efficacy of the treatments were tumor growth inhibition (TGI) and tumor regressions. Tumor growth inhibition is the ratio of the median TV of the treated group (T) at the time when the median TV of the control Placebo group (C) reaches a size close to 1000 mm , and is expressed as a percentage, following the formula: TGI = T/C x 100. According to NCI standards, a TGI < 42% is the minimum level of anti-tumor activity (marked A for Active), a TGI < 10% is considered a high anti-tumor activity level (marked HA, for Highly Active), while a treatment with a TGI > 42% is considered inactive (IA). In this case, TGI was determined at 20 dpi, when the median TV of the control Placebo group reached 782.8 mm , in order to include the chKTI-s-SPDB-DM4 group.
[404] A mouse was considered to have a partial regression (PR) when its TV was reduced by 50% or greater compared to the TV at time of treatment; complete tumor regression (CR) when no palpable tumor could be detected; and to be a tumor-free survivor (TFS) if tumor free at the end of the study.
[405] Mice were euthanized if tumors exceeded 1000 mm ; if the animals lost more than 20% of their initial body weight (%BWC < 80%), which is a rough index of toxicity; if tumors become necrotic; or if mice became moribund at any point during the study. The study was ended at 59 days post inoculation (EOS = 59 dpi).
[406] The results of the study are shown in FIG. 14. All treatments were well tolerated at the indicated doses, and no body weight loss was observed in this study. Both
hucMet27Gvl.3-sSPDB-DM4 and hucMet27Gvl.3-GMBS-LDL-DM conjugates were highly active (HA), at all doses tested. The hucMet27Gvl.3-sSPDB-DM4 conjugate had a TGI value of 0% and 0.9% respectively at 5 and 2.5 mg/kg doses, with 8/8 PR in both groups. The high dose group had 8/8 CR and 8/8 TFS, and the low dose group had a 5/8 CR and 3/8 TFS. Similarly, hucMet27Gvl.3-GMBS-LDL-DM was highly active at all doses used (5, 2.5 and 1.25 mg/kg) with TGI values of 0%, 0%, and 5.3%, respectively, and 8/8 TFS in the 5 and 2.5 mg/kg groups. A 4/6 PR, 1/6 CR, and 1/6 TFS was observed in the low dose, 1.25 mg/kg group. Tumor regressions on both regimens were immediate, starting at early time points following dosing and inducing multiple partial regressions as early as 7 days post treatment. The non-targeted ADC controls chKTI-sSPDB-DM4 and chKTI-GMBS-LDL-DM used at 5 mg/kg had no activity (TGI of 140% and 65.5% respectively, IA), and induced no tumor regressions (0/6 PR).
[407] These data demonstrate that treatment of C.B-17 SCID mice bearing a cMet amplified, Gastric Carcinoma Hs 746T xenograft, with hucMet27Gvl.3-s-SPDB-DM4 or hucMet27Gvl.3-GMBS-LDL-DM at doses as low as 2.5 mg/kg or 1.25 mg/kg respectively, results in potent in vivo activity, inducing a high incidence of tumor regressions, with many animals remaining tumor free at study termination (EOS). In this model, the hucMet27Gvl.3- GMBS-LDL-DM ADC showed enhanced activity compared to the hucMet27Gv.3-sSPDB- DM4 ADC at 2.5 mg/kg.
Example 14. Anti-Tumor Activity of MET Antibody Conjugates in C.B-17 SCID Mice Bearing EBC-1 Human Non-Small Cell Lung Squamous Cell Carcinoma Xenografts
[408] The antitumor activity of varying doses of hucMet27vl.3-sSPDB-DM4 and hucMet27vl.3-GMBS-LDL-DM conjugates were evaluated in female C.B-17 SCID mice bearing EBC-l tumors, a human non-small cell squamous cell carcinoma xenograft model.
[409] EBC-l cells were harvested from tissue culture with 100% cell viability, determined by trypan blue exclusion. Seventy-five female C.B-17 SCID mice (6-7 weeks of age) were inoculated with 5 x 106 EBC-l cells in 0.2 mL of a 1:1 solution of serum free medium (SFM) and Matrigel, by subcutaneous injection on the right flank, using a 27-gauge needle. Of those, fifty-eight (58) mice were randomized into eight (8) groups (3 groups of 6 mice, 5 groups of 8 mice) by tumor volume on day 8 post implantation (8 dpi). The mean tumor volumes (TV) for each group were between 77-85 mm .
[410] The animals were dosed the same day, based on the individual body weight (BW). Articles (test agents and vehicle control) were administered as a single i.v. bolus, using a 1.0 mL syringe fitted with a 27-gauge needle. The treatment groups included a Placebo control group dosed with vehicle (Saline solution, 200 pl/ms), two non-targeted ADC groups (chKTI-sSPDB-DM4 and chKTI-GMBS-LDL-DM) dosed at 5 mg/kg of antibody, and five cMet targeted ADC groups (hucMet27Gvl.3-sSPDB-DM4 dosed at 5 and 2.5 mg/kg of antibody, and hucMet27Gvl.3-GMBS-LDL-DM dosed at 5, 2.5 and 1.25 mg/kg of antibody).
[411] Tumor volume (TV) and body weight (BW) measurements were recorded twice per week. Tumor volume (mm ) was estimated from caliper measurements, following the formula for the cylindrical volume, as: TV (mm ) = (L x Wx H)/2, where L, W and H are the respective orthogonal tumor length, width and height measurements (in mm). Body weights (g) of mice were used to follow body weight change (BWC) in the treated animals, which is expressed as percent of body weight at a given measurement time (BWt) compared to the pre-treatment, initial body weight (BWi) as follows: % BWC = [(BWt / BWi) - 1] x 100.
[412] The primary endpoints used to evaluate the efficacy of the treatments were tumor growth inhibition (TGI) and tumor regressions. Tumor growth inhibition is the ratio of the median TV of the treated group (T) at the time when the median TV of the control Placebo group (C) reaches a size close to 1000 mm , and is expressed as a percentage, following the formula: TGI = T/C x 100. According to NCI standards, a TGI < 42% is the minimum level of anti-tumor activity (marked A for Active), a TGI < 10% is considered a high anti-tumor activity level (marked HA, for Highly Active), while a treatment with a TGI > 42% is considered inactive (IA). In this case, TGI was determined at 32 dpi, when the median TV of the control Placebo group reached 1076 mm .
[413] A mouse was considered to have a partial regression (PR) when its TV was reduced by 50% or greater compared to the TV at time of treatment; complete tumor regression (CR) when no palpable tumor could be detected; and to be a tumor-free survivor (TFS) if tumor free at the end of the study.
[414] Mice were euthanized if tumors exceeded 1000 mm ; if the animals lost more than 20% of their initial body weight (% BWC < 80%), which is a rough index of toxicity; if tumors become necrotic; or if mice became moribund at any point during the study. The study was ended at 49 days post inoculation (EOS = 49 dpi).
[415] The results of the study are shown in FIG. 15. All treatments were well tolerated at the indicated doses, and no body weight loss was observed in this study. Both
hucMet27Gvl.3-sSPDB-DM4 and hucMet27Gvl.3-GMBS-LDL-DM conjugates were highly active (HA), at all doses tested. The hucMet27Gvl.3-sSPDB-DM4 conjugate had a TGI value of 0% at 5 and 2.5 mg/kg doses, with 8/8 complete regressions in both groups.
Similarly, hucMet27Gvl.3-GMBS-LDL-DM was highly active at all doses used (5, 2.5 and 1.25 mg/kg) with TGI values of 1.3%, 0.7% and 0.7% respectively and complete regressions in all animals of each group. Tumor regressions on both regimens were immediate, starting at early time points following dosing and inducing multiple partial regressions as early as 7 days post treatment. All mice in the cMet-targeted ADC treatment groups were tumor free survivors (TFS) at the end of study (EOS). The non-targeted ADC controls chKTI-sSPDB- DM4 and chKTI-GMBS-LDL-DM used at 5 mg/kg had no to limited activity (TGI = 61.2%, IA and 32.8%, A), respectively, and induced no tumor regressions (0/6 PR).
[416] These data demonstrate that treatment of C.B-17 SCID mice bearing a cMet amplified, NSCLC EBC-l xenograft treated with hucMet27Gvl.3-sSPDB-DM4 or hucMet27Gvl.3-GMBS-LDL-DM at doses as low as 2.5 mg/kg or 1.25 mg/kg, respectively, results in equally potent in vivo activity, inducing a 100% incidence of tumor regressions, with all mice remaining tumor free at study termination (EOS).
Example 15. Anti-Tumor Activity of MET Antibody Conjugates in Athymic Nude Mice Bearing NCI-H1975 Human Non-Small Cell Lung adenocarcinoma Xenografts
[417] The antitumor activity of hucMet27Gvl.3Hinge28-sSPDB-DM4 and
hucMet27Gvl.3Hinge28-GMBS-LDL-DM conjugates were evaluated in female athymic nude mice bearing NCI-H1975 tumors, a human non-small cell adeno-carcinoma xenograft model.
[418] NCI-H1975 cells were harvested from tissue culture with 100% cell viability, determined by trypan blue exclusion. Female athymic nude mice (6-7 weeks of age) were inoculated with 3 x 106 NCI-H1975 cells in 0.2 mL of a 1:1 solution of serum free medium (SFM) and Matrigel, by subcutaneous injection on the right flank, using a 27-gauge needle. Mice were randomized into three (3) groups of 6 mice by tumor volume on day 13 post implantation (13 dpi). The mean tumor volumes (TV) for each group were between 96-98 mm3.
[419] The animals were treated the next day, based on the individual body weight (BW). Articles (test agents and vehicle control) were administered as a single i.v. bolus, using a 1.0 mL syringe fitted with a 27-gauge needle. The treatment groups included a Placebo control group dosed with vehicle (Saline solution, 200 pl/ms) and two cMet targeted ADC groups, hucMet27 Gv 1.3 Hinge28 - sS PDB -DM4 and hucMet27Gvl.3Hinge28-GMBS-LDL-DM dosed at 100 ug/kg, based on payload.
[420] Tumor volume (TV) and body weight (BW) measurements were recorded twice per week. Tumor volume (mm ) was estimated from caliper measurements, following the formula for the cylindrical volume, as: TV (mm ) = (L x Wx H)/2, where L, W and H are the respective orthogonal tumor length, width and height measurements (in mm). Body weights (g) of mice were used to follow body weight change (BWC) in the treated animals, which is expressed as percent of body weight at a given measurement time (BWt) compared to the pre-treatment, initial body weight (BWi) as follows: % BWC = [(BWt / BWi) - 1] x 100.
[421] The primary endpoints used to evaluate the efficacy of the treatments were tumor growth inhibition (TGI) and tumor regressions. Tumor growth inhibition is the ratio of the median TV of the treated group (T) at the time when the median TV of the control Placebo group (C) reaches a size close to 1000 mm , and is expressed as a percentage, following the formula: TGI = T/C x 100. According to NCI standards, a TGI < 42% is the minimum level of anti-tumor activity (marked A for Active), a TGI < 10% is considered a high anti-tumor activity level (marked HA, for Highly Active), while a treatment with a TGI > 42% is considered inactive (IA). In this study, TGI was determined at 30 dpi, when the median TV of the control Placebo group reached 1299.4mm .
[422] A secondary end-point defining compound efficacy is tumor growth delay, as measured by LCK (log cell kill) activity and increased life span (ILS). LCK activity is calculated following the formula: LCK = (T-C)/(Td x 3.32), where T is the median survival of a group (days), TFS excluded, C is the median survival of the Control group (days), and Td is the Tumor doubling time (days), as determined on the Control (Vehicle) group’s median TV through time. According to NCI standards, a LCK >2.8 defines the compound as highly active (++++), a LCK in the [0.7; 2.8] is active (3 levels defined), while a LCK< 0.7 defines inactivity (-). Increased life span (ILS) is expressed as a percentage of the median survival of the treated group (T) (all animals included) compared to the Control group (C), following the formula ILS = (T-C)/C x 100. According to NCI standards, an ILS > 25% is defines a minimum level of activity, while an ILS > 50% denotes high level activity.
[423] A mouse was considered to have a partial regression (PR) when its TV was reduced by 50% or greater compared to the TV at time of treatment; complete tumor regression (CR) when no palpable tumor could be detected; and to be a tumor-free survivor (TFS) if tumor free at the end of the study.
[424] Mice were euthanized if tumors exceeded 1000 mm ; if the animals lost more than 20% of their initial body weight (% BWC < 80%), which is a rough index of toxicity; if tumors become necrotic; or if mice became moribund at any point during the study. The study was ended at 73 days post inoculation (EOS = 73 dpi).
[425] The results of the study are shown in FIG. 16. All treatments were well tolerated at the indicated doses, and no body weight loss was observed in this study. The
hucMet27Gvl.3Hinge28-sSPDB-DM4 conjugate was inactive (IA), with a TGI value of 65.9%, while the hucMet27Gvl.3Hinge28-GMBS-LDL-DM conjugate was active (A), with a TGI value of 26.1% and 1 PR. While few tumor regressions were noted, the
hucMet27Gvl.3Hinge28-GMBS-LDL-DM treatment resulted in an LCK of 2.18 (++) and an ILS of 122%.
[426] These data demonstrate that treatment of athymic nude mice with
hucMet27Gvl.3Hinge28-GMBS-LDL-DM at doses of 100 mg/kg or 1.25 mg/kg results in potent in vivo activity and a significant increase in life-span in a cMet over-expressed NSCLC NCI-H1975 xenograft model.
Example 16. Anti-Tumor Activity of MET Antibody Conjugates in C.B-17 SCID Mice Bearing Detroit 562 Human Head and Neck Squamous Cell carcinoma Xenografts
[427] The antitumor activity of varying doses of hucMet27Gvl.3Hinge28-sSPDB-DM4 and hucMet27Gvl.3Hinge28-GMBS-LDL-DM conjugates were evaluated in comparison to a hucMetGvl.3Hinge28-VC-MMAE conjugate in female C.B17 SCID mice bearing Detroit 562 tumors, a human head and neck squamous cell carcinoma xenograft model.
[428] Detroit 562 cells were harvested from tissue culture with 95% cell viability, determined by trypan blue exclusion. Female mice (6-7 weeks of age) were inoculated with
10 Detroit 562 cells in 0.2 mL of a 1:1 solution of serum free medium (SFM) and Matrigel, by subcutaneous injection on the right flank, using a 27-gauge needle. Mice were randomized into three (5) groups of 6 mice (10 mice for Placebo control group) by tumor volume on day 4 post implantation (4 dpi). The mean tumor volumes (TV) for each group were between 109.5 and 112.5 mm3.
[429] The animals were treated the next day, based on the individual body weight (BW). Articles (test agents and vehicle control) were administered as a single i.v. bolus, using a 1.0 mL syringe fitted with a 27-gauge needle. The treatment groups included a Placebo control group dosed with vehicle (Saline solution, 200 mΐ/ms) and four cMet targeted ADC groups. Animals were administered 100 ug/kg of hucMet27Gvl.3Hinge28-sSPDB-DM4,
hucMet27 Gv 1.3Hinge28-GMB S -LDL-DM or hucMet27Gvl.3Hinge28-VC-MMAE based on payload. An additional group was administered 50 ug/kg of hucMet27Gvl.3Hinge28-GMBS- FDF-DM conjugate.
[430] Tumor volume (TV) and body weight (BW) measurements were recorded twice per week. Tumor volume (mm ) was estimated from caliper measurements, following the formula for the cylindrical volume, as: TV (mm ) = (F x Wx H)/2, where F, W and H are the respective orthogonal tumor length, width and height measurements (in mm). Body weights (g) of mice were used to follow body weight change (BWC) in the treated animals, which is expressed as percent of body weight at a given measurement time (BWt) compared to the pre-treatment, initial body weight (BWi) as follows: % BWC = [(BWt / BWi) - 1] x 100.
[431] The primary endpoints used to evaluate the efficacy of the treatments were tumor growth inhibition (TGI) and tumor regressions. Tumor growth inhibition is the ratio of the median TV of the treated group (T) at the time when the median TV of the control Placebo group (C) reaches a size close to 1000 mm , and is expressed as a percentage, following the formula: TGI = T/C x 100. According to NCI standards, a TGI < 42% is the minimum level of anti-tumor activity (marked A for Active), a TGI < 10% is considered a high anti-tumor activity level (marked HA, for Highly Active), while a treatment with a TGI > 42% is considered inactive (IA). In this study, TGI was determined at 26 dpi, when the median TV of the control Placebo group reached 1201.1 mm .
[432] A secondary end-point defining compound efficacy is tumor growth delay, as measured by LCK (log cell kill) activity and increased life span (ILS). LCK activity is calculated following the formula: LCK = (T-C)/(Td x 3.32), where T is the median survival of a group (days), TFS excluded, C is the median survival of the Control group (days), and Td is the Tumor doubling time (days), as determined on the Control (Vehicle) group’s median TV through time. According to NCI standards, a LCK >2.8 defines the compound as highly active (++++), a LCK in the [0.7; 2.8] is active (3 levels defined), while a LCK< 0.7 defines inactivity (-). Increased life span (ILS) is expressed as a percentage of the median survival of the treated group (T) (all animals included) compared to the Control group (C), following the formula ILS = (T-C)/C x 100. According to NCI standards, an ILS > 25% is defines a minimum level of activity, while an ILS > 50% denotes high level activity.
[433] A mouse was considered to have a partial regression (PR) when its TV was reduced by 50% or greater compared to the TV at time of treatment; complete tumor regression (CR) when no palpable tumor could be detected; and to be a tumor-free survivor (TFS) if tumor free at the end of the study.
[434] Mice were euthanized if tumors exceeded 1000 mm ; if the animals lost more than 20% of their initial body weight (% BWC < 80%), which is a rough index of toxicity; if tumors become necrotic; or if mice became moribund at any point during the study. The study was ended at 64 days post inoculation (EOS = 64 dpi).
[435] The results of the study are shown in FIG. 17. All treatments were well tolerated at the indicated doses, and no body weight loss was observed in this study. The hucMet27Gvl.3Hinge28-sSPDB-DM4 conjugate was active (A) at 100 mg/kg, with a TGI value of 21.9%, 3/6 PR, 2/6 CR and no TFS events. The hucMet27Gvl.3Hinge28-GMBS- LDL-DM conjugate was highly active (HA) at both the 100 and 50 mg/kg, with a TGI value of 1.2%, 6/6 PRs, 6/6 and 5/6 CR respectively, and 2/6 TFS. Finally, the
hucMet27Gvl.3Hinge28-VC-MMAE conjugate was also HA at 100 mg/kg, with a TGI of 2.1%, 5/6 PRs, but only 3/6 CRs and 1/6 TFS. The highly active treatments with
hucMet27 Gv 1.3Hinge28-GMB S -LDL-DM and hucMet27Gvl.3Hinge28-VC-MMAE resulted in an LCK of > (or =) 1.95 (++) and an ILS of > (or =) 146%. Treatment with the active hucMet27Gvl.3Hinge28-sSPDB-DM4 conjugate resulted in a LCK of 1.23 (+) and 106% ILS.
[436] These data demonstrate that treatment of C.B-17 SCID mice with different hucMet27Gvl.3Hinge28 ADCs results in potent in vivo activity, inducing multiple tumor regressions and a significant increase in life-span, in a cMet over-expressed Detroit 562 HNSCC xenograft model.
Example 17. Anti-Tumor Activity of MET Antibody Conjugates in C.B-17 SCID Mice Bearing NCI-H441 human Non Small Cell Lung Cancer Xenografts
[437] The antitumor activity of varying doses of hucMet27Gvl.3Hinge28-sSPDB-DM4 and hucMet27Gvl.3Hinge28-GMBS-LDL-DM conjugates were evaluated in comparison a hucMetGvl.3Hinge28-VC-MMAE conjugate in female C.B17 SCID mice bearing NCI-H441 tumors, a human non small cell lung cancer (NSCLC) xenograft model.
[438] NCI-H441 cells were harvested from tissue culture with 100% cell viability, determined by trypan blue exclusion. Female mice (6-7 weeks of age) were inoculated with
10 NCI-H441 cells in 0.2 mL of serum free medium (SFM), by subcutaneous injection on the right flank, using a 27-gauge needle. Mice were randomized into three (5) groups of 6 mice (10 mice for Placebo control group) by tumor volume on day 11 post implantation (11 dpi). The mean tumor volumes (TV) for each group were between 105.6 and 111.7 mm .
[439] The animals were treated the next day, based on the individual body weight (BW). Articles (test agents and vehicle control) were administered as a single i.v. bolus, using a 1.0 mL syringe fitted with a 27-gauge needle. The treatment groups included a Placebo control group dosed with vehicle (Saline solution, 200 mΐ/ms) and four cMet targeted ADC groups. Animals were administered 100 mg/kg of hucMet27Gvl.3Hinge28-sSPDB-DM4,
hucMet27 Gv 1.3Hinge28-GMB S -LDL-DM or hucMet27Gvl.3Hinge28-VC-MMAE, based on payload. An additional group was administered 50 mg/kg of hucMct27Gvl .3Hingc28- GMBS-LDL-DM conjugate.
[440] Tumor volume (TV) and body weight (BW) measurements were recorded twice per week. Tumor volume (mm ) was estimated from caliper measurements, following the formula for the cylindrical volume, as: TV (mm ) = (L x Wx H)/2, where L, W and H are the respective orthogonal tumor length, width and height measurements (in mm). Body weights (g) of mice were used to follow body weight change (BWC) in the treated animals, which is expressed as percent of body weight at a given measurement time (BWt) compared to the pre-treatment, initial body weight (BWi) as follows: % BWC = [(BWt / BWi) - 1] x 100.
[441] The primary endpoints used to evaluate the efficacy of the treatments were tumor growth inhibition (TGI) and tumor regressions. Tumor growth inhibition is the ratio of the median TV of the treated group (T) at the time when the median TV of the control Placebo group (C) reaches a size close to 1000 mm , and is expressed as a percentage, following the formula: TGI = T/C x 100. According to NCI standards, a TGI < 42% is the minimum level of anti-tumor activity (marked A for Active), a TGI < 10% is considered a high anti-tumor activity level (marked HA, for Highly Active), while a treatment with a TGI > 42% is considered inactive (IA). In this study, TGI was determined at 34 dpi, when the median TV of the control Placebo group reached 781.3 mm .
[442] A secondary end-point defining compound efficacy is tumor growth delay, as measured by LCK (log cell kill) activity and increased life span (ILS). LCK activity is calculated following the formula: LCK = (T-C)/(Td x 3.32), where T is the median survival of a group (days), TFS excluded, C is the median survival of the Control group (days), and Td is the Tumor doubling time (days), as determined on the Control (Vehicle) group’s median TV through time. According to NCI standards, a LCK >2.8 defines the compound as highly active (++++), a LCK in the [0.7; 2.8] is active (3 levels defined), while a LCK< 0.7 defines inactivity (-). Increased life span (ILS) is expressed as a percentage of the median survival of the treated group (T) (all animals included) compared to the Control group (C), following the formula ILS = (T-C)/C x 100. According to NCI standards, an ILS > 25% is defines a minimum level of activity, while an ILS > 50% denotes high level activity.
[443] A mouse was considered to have a partial regression (PR) when its TV was reduced by 50% or greater compared to the TV at time of treatment; complete tumor regression (CR) when no palpable tumor could be detected; and to be a tumor-free survivor (TFS) if tumor free at the end of the study. [444] Mice were euthanized if tumors exceeded 1000 mm ; if the animals lost more than 20% of their initial body weight (% BWC < 80%), which is a rough index of toxicity; if tumors become necrotic; or if mice became moribund at any point during the study. The study was ended at 48 days post inoculation (EOS = 48 dpi).
[445] The results of the study are shown in FIG. 18. All treatments were well tolerated at the indicated doses, and no body weight loss was observed in this study. The
hucMet27Gvl.3Hinge28-sSPDB-DM4 conjugate was highly active (HA) at 100 Eg/kg, with a TGI value of 4.7% and 6/6 PR. The hucMet27Gvl.3Hinge28-GMBS-LDL-DM conjugate was highly active (HA) at both the 100 and 50 Eg/kg, with a TGI value of 6.5% and 9.4% respectively, and 4/6 and 5/6 PRs, respectively. Finally, the hucMet27Gvl.3Hinge28-VC- MMAE conjugate was also HA at 100 Eg/kg, with a TGI of 8.2%, and 5/6 PRs. The study was terminated before significant LCK or ILS could be reached.
[446] These data demonstrate that treatment of C.B-17 SCID mice with different hucMet27Gvl.3Hinge28 ADCs results in potent in vivo activity in a cMet overexpressed NSCLC xenograft model.
[447] While the invention has been described in detail and with reference to specific aspects thereof, it is apparent to one of skill in the art that various changes and modifications can be made thereto without departing from the spirit and scope thereof.
[448] All references mentioned herein are incorporated by reference in their entireties.

Claims

CLAIMS WHAT IS CLAIMED IS:
1. An immunoconjugate represented by the following formula:
Figure imgf000179_0001
or a pharmaceutically acceptable salt thereof, wherein:
CB is an anti-cMET antibody or an antigen-binding fragment thereof;
L2 is represented by one of the following formula:
Figure imgf000179_0002
wherein:
Rx, Ry, Rx and Ry. for each occurrence, are independently H, -OH, halogen, - 0-(Ci_4 alkyl), -S03H, -NR4oR4iR42+, or a C alkyl optionally substituted with -OH, halogen, S03H or NR4oR4iR42+, wherein R4o, R4I and R42 are each independently H or a Ci_4 alkyl;
1 and k are each independently an integer from 1 to 10; 11 is an integer from 2 to 5;
kl is an integer from 1 to 5; and
sl indicates the site connected to the cell-binding agent CB and s3 indicates the site connected to the A group;
A is an amino acid residue or a peptide comprising 2 to 20 amino acid residues;
R 1 and R 2 are each independently H or a Ci-3alkyl;
Li is represented by the following formula:
-CR3R4-(CH2)i_8-C(=0)- wherein R3 and R4 are each independently H or Me, and the -C(=0)- moiety in Li is connected to D;
D is represented by the following formula:
Figure imgf000180_0001
q is an integer from 1 to 20.
2. The immunoconjugate of claim 1, wherein Rx, Ry, Rx and Ry are all H; and 1 and k are each independently an integer an integer from 2 to 6.
3. The immunoconjugate of claim 1 or 2, wherein A is a peptide containing 2 to 5 amino acid residues.
4. The immunoconjugate of claim 3, wherein A is selected from the group consisting of Gly-Gly-Gly, Ala-Val, Val-Ala, D-Val-Ala, Val-Cit, D-Val-Cit, Val-Lys, Phe-Lys, Lys-Lys, Ala-Lys, Phe-Cit, Leu-Cit, Ile-Cit, Phe-Ala, Phe-N9-tosyl-Arg, Phe-N9- nitro-Arg, Phe-Phe-Lys, D-Phe-Phe-Lys, Gly-Phe-Lys, Leu-Ala-Leu, Ile-Ala-Leu, Val- Ala-Val, Ala- Ala- Ala, D- Ala- Ala- Ala, Ala-D-Ala-Ala, Ala-Ala-D-Ala, Ala- Leu- Ala-Leu (SEQ ID NO: 74), b-Ala-Leu-Ala-Leu (SEQ ID NO: 75), Gly-Phe-Leu-Gly (SEQ ID NO: 76), Val-Arg, Arg-Arg, Val-D-Cit, Val-D-Lys, Val-D-Arg, D-Val-Cit, D-Val-Lys, D-Val-Arg, D-Val-D-Cit, D-Val-D-Lys, D-Val-D-Arg, D-Arg-D-Arg, Ala- Ala, Ala-D-Ala, D- Ala- Ala, D-Ala-D-Ala, Ala-Met, Gln-Val, Asn-Ala, Gln-Phe, Gln-Ala, D-Ala-Pro, and D-Ala-tBu-Gly, wherein the first amino acid in each peptide is connected to L2 group and the last amino acid in each peptide is connected to -NH- CR^-S-Li-D.
5. The immunoconjugate of any one of claims 1-4, wherein R and R are both H.
6. The immunoconjugate of any one of claims 1-5, wherein Li is -(CH2)4-6-C(=0)-.
7. The immunoconjugate of any one of claims 1-6, wherein D is represented by the following formula:
Figure imgf000181_0001
8. The immunoconjugate of any one of claims 1-7, wherein the immunoconjugate is represented by the following formula:
Figure imgf000181_0002
Figure imgf000182_0001
or a pharmaceutically acceptable salt thereof, wherein:
CBA^N—
H is the anti-cMET antibody or antigent-binding fragment thereof connected to the L2 group through a Lys amine group;
CBA^s js the anti-cMET antibody or antigen-binding fragment thereof connected to the L2 group through a Cys thiol group;
R3 and R4 are each independently H or Me;
ml, m3, nl, rl, sl and tl are each independently an integer from 1 to 6; m2, n2, r2, s2 and t2 are each independently an integer from 1 to 7;
t3 is an integer from 1 to 12;
Di is represented by the following formula:
Figure imgf000182_0002
9. The immunoconjugate of claim 8, wherein the immunoconjugate is represented by the following formula:
Figure imgf000183_0001
wherein:
ml and m3 are each independently an integer from 2 to 4;
m2 is an integer from 2 to 5;
rl is an integer from 2 to 6; and
r2 is an integer from 2 to 5.
10. The immunoconjugate of claim 8 or 9, wherein A is Ala- Ala-Ala, Ala-D-Ala-Ala, Ala- Ala, D-Ala-Ala, Val-Ala, D-Val-Ala, D- Ala- Pro, or D-Ala-tBu-Gly.
11. The immunoconjugate of claim 8, wherein the immununoconjugate is represented by the following formula:
Figure imgf000183_0002
Figure imgf000184_0001
Figure imgf000185_0001
Figure imgf000186_0001
Figure imgf000187_0001
Figure imgf000188_0001
Figure imgf000189_0001
Figure imgf000190_0001
or a pharmaceutically acceptable salt thereof, wherein:
A is Ala- Ala- Ala, Ala-D-Ala-Ala, Ala- Ala, D-Ala-Ala, Val-Ala, D-Val-Ala, D-Ala-Pro, or D-Ala-tBu-Gly, and
Di is represented by the following formula:
Figure imgf000190_0002
12. The immunoconjugate of claim 11, wherein the immunoconjugate is represented by the following formula:
Figure imgf000191_0001
Figure imgf000192_0001
wherein Di is represented by the following formula:
Figure imgf000192_0002
13. The immunoconjugate of any one of claims 1-12, wherein the anti-cMET antibody or antigen-bidning fragment thereof is an isolated monoclonal antibody, or antigen-binding fragment thereof, that specifically binds to an epitope in the extracellular region of human cMET, wherein said antibody or antigen-binding fragment thereof comprises light chain complementary determining regions LC CDR1, LC CDR2, and LC CDR3 and heavy chain complementary determining regions HC CDR1, HC CDR2, and HC CDR3 having the sequences selected from the group consisting of:
(a) SEQ ID NOs:4, 5, and 7 and SEQ ID NOs:l3, 14, and 15, respectively;
(b) SEQ ID NOs:l, 2, and 3 and SEQ ID NOs:8, 9, and 10, respectively;
(c) SEQ ID NOs: 1, 2, and 3 and SEQ ID NOs: 8, 12, and 10, respectively;
(d) SEQ ID NOs:4, 5, and 6 and SEQ ID NOs: 13, 14, and 15, respectively;
(e) SEQ ID NOs:4, 5, and 6 and SEQ ID NOs: 13, 17, and 15, respectively;
(f) SEQ ID NOs:4, 5, and 7 and SEQ ID NOs: 13, 17, and 15, respectively;
(g) SEQ ID NOs:4, 5, and 117 and SEQ ID NOs: 13, 17, and 15, respectively; and
(i) SEQ ID NOs:4, 5, and 7 and SEQ ID NOs: 16, 17, and 15, respectively.
14. The immunoconjugate of claim 13, wherein said antibody is a murine, non-human mammal, chimeric, humanized, or human antibody.
15. The immunoconjugate of claim 14, wherein said humanized antibody is a CDR- grafted antibody or resurfaced antibody.
16. The immunoconjugate of any one of claims 13-15, wherein said antibody is a full- length antibody.
17. The immunoconjugate of any one of claims 13-16, wherein said antigen-binding fragment thereof is an Fab, Fab’, F(ab’)2, Fd, single chain Fv or scFv, disulfide linked Fv, V- NAR domain, IgNar, intrabody, IgGACH2, minibody, F(ab’)3, tetrabody, triabody, diabody, single-domain antibody, DVD-Ig, Fcab, mAb2, (scFv)2, or scFv-Fc.
18. The immunoconjuate of claims 13-17, wherein said antibody or antigen-binding fragment thereof comprises a light chain variable domain (VL) and a heavy chain variable domain (VH) having sequences that are at least 95%, 96%, 97%, 98%, 99%, or 100% identical to sequences selected from the group consisting of:
(a) SEQ ID NO:32 and SEQ ID NO:36, respectively;
(b) SEQ ID NO: 18 and SEQ ID NO: 19, respectively;
(c) SEQ ID NO:20 and SEQ ID NO:2l, respectively;
(d) SEQ ID NO:22 and SEQ ID NO:23, respectively;
(e) SEQ ID NO:24 and SEQ ID NO:25, respectively;
(f) SEQ ID NO:26 and SEQ ID NO:27, respectively;
(g) SEQ ID NO:28 and SEQ ID NO:3 l, respectively;
(h) SEQ ID NO:29 and SEQ ID NO:3 l, respectively;
(i) SEQ ID NO:30 and SEQ ID NO:3 l, respectively;
(j) SEQ ID NO:32 and SEQ ID NO:35, respectively;
(k) SEQ ID NO:32 and SEQ ID NO:36, respectively;
(l) SEQ ID NO:33 and SEQ ID NO:36, respectively;
(m) SEQ ID NO:33 and SEQ ID NO:35, respectively; and
(n) SEQ ID NO:33 and SEQ ID NO:34, respectively.
19. The immunoconjugate of claims 13-18, wherein said antibody or antigen-binding fragment thereof comprises a light chain and a heavy chain having the sequences selected from the group consisting of:
(a) SEQ ID NO:49 and SEQ ID NO:82, respectively (b) SEQ ID NO:39 and SEQ ID NO:40, respectively;
(c) SEQ ID N0:4l and SEQ ID NO:42, respectively;
(d) SEQ ID NO:43 and SEQ ID NO:44, respectively;
(e) SEQ ID NO:45 and SEQ ID NO:48, respectively;
(f) SEQ ID NO:46 and SEQ ID NO:48, respectively;
(g) SEQ ID NO:47 and SEQ ID NO:48, respectively;
(h) SEQ ID NO:49 and SEQ ID NO:53, respectively;
(i) SEQ ID NO:49 and SEQ ID NO:52, respectively;
(j) SEQ ID NO:49 and SEQ ID N0:5l, respectively;
(k) SEQ ID NO:50 and SEQ ID NO:53, respectively;
(l) SEQ ID NO:50 and SEQ ID NO:52, respectively;
(m) SEQ ID NO:50 and SEQ ID N0:5l, respectively;
(n) SEQ ID NO:49 and SEQ ID NO:77, respectively;
(o) SEQ ID NO:49 and SEQ ID NO:78, respectively;
(p) SEQ ID NO:49 and SEQ ID NO:79, respectively;
(q) SEQ ID NO:49 and SEQ ID NO:80, respectively;
(r) SEQ ID NO:49 and SEQ ID NO:8l, respectively;
(s) SEQ ID NO:49 and SEQ ID NO:54, respectively;
(t) SEQ ID NO:49 and SEQ ID NO:83, respectively; and
(u) SEQ ID NO:49 and SEQ ID NO:84, respectively.
20. The immunoconjugate of any one of claims 13-19, wherein said antibody comprises a light chain having the sequence of SEQ ID NO:49 and a heavy chain having the sequence of SEQ ID NO:53.
21. The immunoconjugate of any one of claims 13-18, wherein said antibody comprises a light chain having the sequence of SEQ ID NO:49 and a heavy chain having the sequence of SEQ ID NO:82.
22. The immunoconjugate of claim 1, wherein the immunoconjugate is represented by the following formula:
Figure imgf000195_0001
wherein:
CBA is an isolated monoclonal antibody, or antigen-binding fragment thereof, that specifically binds to an epitope in the extracellular region of human cMET, wherein said antibody or antigen-binding fragment thereof comprises light chain complementary determining regions LC CDR1, LC CDR2, and LC CDR3 and heavy chain complementary determining regions HC CDR1, HC CDR2, and HC CDR3 having the sequences of SEQ ID NOs:4, 5, and 7 and SEQ ID NOs:l3, 14, and 15, respectively;
q is 1 or 2;
Di is represented by the following formula:
Figure imgf000195_0002
23. The immunoconjugate of claim 22, wherein the isolated monoclonal antibody, or antigen-binding fragment thereof comprises a light chain variable domain (VL) and a heavy chain variable domain (VH) having sequences of SEQ ID NO:32 and SEQ ID NO:36, respectively.
24. The immunoconjugate of claim 23, wherein the isolated monoclonal antibody comprises a light chain and a heavy chain having the sequences of SEQ ID NO:49 and SEQ ID NO:54.
25. The immunoconjugate of claim 23, wherein the isolated monoclonal antibody comprises a light chain and a heavy chain having the sequences of SEQ ID NO:49 and SEQ ID NO:8l.
26. The immunoconjugate of claim 1, wherein the immunoconjugate is represented by the following formula:
Figure imgf000196_0001
wherein:
CBA an isolated monoclonal antibody, or antigen-binding fragment thereof, that specifically binds to an epitope in the extracellular region of human cMET, wherein said antibody or antigen-binding fragment thereof comprises light chain complementary determining regions LC CDR1, LC CDR2, and LC CDR3 and heavy chain complementary determining regions HC CDR1, HC CDR2, and HC CDR3 having the sequences of SEQ ID NOs:4, 5, and 7 and SEQ ID NOs:l3, 14, and 15, respectively;
q is an integer from 1 or 10;
Di is represented by the following formula:
Figure imgf000196_0002
27. The immunoconjugate of claim 26, wherein the isolated monoclonal antibody, or antigen-binding fragment thereof comprises a light chain variable domain (VL) and a heavy chain variable domain (VH) having sequences of SEQ ID NO:32 and SEQ ID NO:36, respectively.
28. The immunoconjugate of claim 26, wherein the isolated monoclonal antibody comprises a light chain and a heavy chain having the sequences of SEQ ID NO:49 and SEQ ID NO:53.
29. The immunoconjugate of claim 26, wherein the isolated monoclonal antibody comprises a light chain and a heavy chain having the sequences of SEQ ID NO:49 and SEQ ID NO:82.
30. A pharmaceutical composition comprising the immunoconjugate of any of claims 1- 29 and a pharmaceutically acceptable carrier.
31. A method for inhibiting aberrant cell proliferation comprising contacting a MET- expressing cell with the immunoconjugate of any one of claims 1-29, wherein said contacting inhibits the aberrant proliferation of said cells.
32. The method for inhibiting aberrant cell proliferation of claim 31, wherein said contacting induces apoptosis of said cells.
33. The method for inhibiting aberrant cell proliferation of claim 31, wherein said MET- expressing cell is a cancer cell.
34. The method of claim 33, wherein the cancer cell is cMet overexpressed, non- amplified.
35. The method of claim 33, wherein the cancer cell is cMet amplified.
36. A method for treating a cell proliferation disorder in a patient, comprising
administering to the patient a therapeutically effective amount of the immunoconjugate of any one of claims 1-29 or the pharmaceutical composition of claim 30.
37. The method of claim 36, wherein the patient has been identified as having cMET overexpressed, non- amplified.
38. The method of claim 36, wherein the patient has been identified as having cMET amplified.
39. The method of any one of claims 36-38, wherein said cell proliferation disorder is cancer.
40. The method of claim 39, wherein said cancer is a cancer selected from the group consisting of glioblastoma, pancreatic cancer, gastric cancer, prostate cancer, ovarian cancer, breast cancer, hepatocellular carcinoma (HCC), melanoma, osteosarcoma, and colorectal cancer (CRC), lung cancer including small-cell lung cancer (SCLC), and non-small cell lung cancer (NSCLC), head and neck squamous cell carcinoma (HNSCC), kidney cancer, renal cancer, esophageal cancer, and thyroid cancer.
41. The method of claim 40, wherein the cancer is Met- amplified non- small cell lung cancer (NSCLC).
PCT/US2019/0411282018-07-102019-07-10Met antibodies and immunoconjugates and uses thereofCeasedWO2020014306A1 (en)

Applications Claiming Priority (4)

Application NumberPriority DateFiling DateTitle
US201862695906P2018-07-102018-07-10
US62/695,9062018-07-10
US201962823264P2019-03-252019-03-25
US62/823,2642019-03-25

Publications (2)

Publication NumberPublication Date
WO2020014306A1true WO2020014306A1 (en)2020-01-16
WO2020014306A8 WO2020014306A8 (en)2020-07-30

Family

ID=67660446

Family Applications (1)

Application NumberTitlePriority DateFiling Date
PCT/US2019/041128CeasedWO2020014306A1 (en)2018-07-102019-07-10Met antibodies and immunoconjugates and uses thereof

Country Status (1)

CountryLink
WO (1)WO2020014306A1 (en)

Cited By (5)

* Cited by examiner, † Cited by third party
Publication numberPriority datePublication dateAssigneeTitle
US10792372B2 (en)2017-02-282020-10-06Immunogen, Inc.Maytansinoid derivatives with self-immolative peptide linkers and conjugates thereof
WO2022095934A1 (en)*2020-11-052022-05-12上海津曼特生物科技有限公司Anti-siglec-15 antibody and application thereof in preparing drug
WO2022169975A1 (en)2021-02-032022-08-11Mythic Therapeutics, Inc.Anti-met antibodies and uses thereof
WO2024059263A1 (en)*2022-09-152024-03-21Immunogen, Inc.Methods for preparing maytansinoid derivatives with self-immolative peptide linkers
EP4108675A4 (en)*2020-02-202024-05-29Yafei Shanghai Biolog Medicine Science & Technology Co., Ltd. PREPARATION AND USE OF AN IMMUNOSTIMULATOR COUPLING COMPLEX WHICH IS ADMINISTERED AND ACTIVATED IN A TARGETED MANNER

Citations (154)

* Cited by examiner, † Cited by third party
Publication numberPriority datePublication dateAssigneeTitle
US560181A (en)1896-05-12Elizabeth howard administratrix of said tom howard
US731168A (en)1902-06-161903-06-16Clarence L EatonHeel-seat and counter beating machine.
EP0003089A1 (en)1978-01-061979-07-25Bernard DavidDrier for silkscreen printed sheets
US4474893A (en)1981-07-011984-10-02The University of Texas System Cancer CenterRecombinant monoclonal antibodies
US4676980A (en)1985-09-231987-06-30The United States Of America As Represented By The Secretary Of The Department Of Health And Human ServicesTarget specific cross-linked heteroantibodies
EP0229246A2 (en)1986-01-151987-07-22ANT Nachrichtentechnik GmbHMethod for decoding digital signals, as well as a Viterbi decoder and applications
EP0239400A2 (en)1986-03-271987-09-30Medical Research CouncilRecombinant antibodies and methods for their production
US4714681A (en)1981-07-011987-12-22The Board Of Reagents, The University Of Texas System Cancer CenterQuadroma cells and trioma cells and methods for the production of same
US4816567A (en)1983-04-081989-03-28Genentech, Inc.Recombinant immunoglobin preparations
EP0332424A2 (en)1988-03-091989-09-13Hybritech IncorporatedChimeric antibodies directed against human carcinoembryonic antigen
WO1989009622A1 (en)1988-04-151989-10-19Protein Design Labs, Inc.Il-2 receptor-specific chimeric antibodies
EP0338745A1 (en)1988-04-161989-10-25Celltech LimitedMethod for producing recombinant DNA proteins
US4925648A (en)1988-07-291990-05-15Immunomedics, Inc.Detection and treatment of infectious and inflammatory lesions
WO1990014424A1 (en)1989-05-161990-11-29Scripps Clinic And Research FoundationMethod for isolating receptors having a preselected specificity
WO1990014443A1 (en)1989-05-161990-11-29Huse William DCo-expression of heteromeric receptors
WO1990014430A1 (en)1989-05-161990-11-29Scripps Clinic And Research FoundationA new method for tapping the immunological repertoire
US4975278A (en)1988-02-261990-12-04Bristol-Myers CompanyAntibody-enzyme conjugates in combination with prodrugs for the delivery of cytotoxic agents to tumor cells
EP0404097A2 (en)1989-06-221990-12-27BEHRINGWERKE AktiengesellschaftBispecific and oligospecific, mono- and oligovalent receptors, production and applications thereof
WO1991000360A1 (en)1989-06-291991-01-10Medarex, Inc.Bispecific reagents for aids therapy
WO1992000373A1 (en)1990-06-291992-01-09Biosource Genetics CorporationMelanin production by transformed microorganisms
WO1992008802A1 (en)1990-10-291992-05-29Cetus Oncology CorporationBispecific antibodies, method of production, and uses thereof
WO1992022653A1 (en)1991-06-141992-12-23Genentech, Inc.Method for making humanized antibodies
WO1993008829A1 (en)1991-11-041993-05-13The Regents Of The University Of CaliforniaCompositions that mediate killing of hiv-infected cells
WO1993011161A1 (en)1991-11-251993-06-10Enzon, Inc.Multivalent antigen-binding proteins
US5225539A (en)1986-03-271993-07-06Medical Research CouncilRecombinant altered antibodies and methods of making altered antibodies
WO1993016185A2 (en)1992-02-061993-08-19Creative Biomolecules, Inc.Biosynthetic binding protein for cancer marker
WO1993017715A1 (en)1992-03-051993-09-16Board Of Regents, The University Of Texas SystemDiagnostic and/or therapeutic agents, targeted to neovascular endothelial cells
WO1993021232A1 (en)1992-04-101993-10-28Research Development FoundationIMMUNOTOXINS DIRECTED AGAINST c-erbB-2 (HER-2/neu) RELATED SURFACE ANTIGENS
WO1993021319A1 (en)1992-04-081993-10-28Cetus Oncology CorporationHUMANIZED C-erbB-2 SPECIFIC ANTIBODIES
WO1994004690A1 (en)1992-08-171994-03-03Genentech, Inc.Bispecific immunoadhesins
WO1994029351A2 (en)1993-06-161994-12-22Celltech LimitedAntibodies
US5496549A (en)1990-04-021996-03-05Takeda Chemical Industries, Ltd.Bispecific monoclonal antibodies, thrombolytic agent and method of cell lysis
US5530101A (en)1988-12-281996-06-25Protein Design Labs, Inc.Humanized immunoglobulins
EP0734210A1 (en)1993-12-151996-10-02H. van Wijnen B.V.A process for the production of a composite fish product, and the fish product obtained with this process
US5573920A (en)1991-04-261996-11-12Surface Active LimitedAntibodies, and methods for their use
US5582996A (en)1990-12-041996-12-10The Wistar Institute Of Anatomy & BiologyBifunctional antibodies and method of preparing same
EP0757189A2 (en)1995-07-311997-02-05Aisin Aw Co., Ltd.Automatic transmission
US5601819A (en)1988-08-111997-02-11The General Hospital CorporationBispecific antibodies for selective immune regulation and for selective immune cell binding
EP0758195A1 (en)1994-05-021997-02-19S.C. Johnson & Son, Inc.Two-stage liquid delivery bait station
US5605793A (en)1994-02-171997-02-25Affymax Technologies N.V.Methods for in vitro recombination
US5624821A (en)1987-03-181997-04-29Scotgen Biopharmaceuticals IncorporatedAntibodies with altered effector functions
US5639641A (en)1992-09-091997-06-17Immunogen Inc.Resurfacing of rodent antibodies
US5643759A (en)1993-10-301997-07-01Biotest Pharma GmbhMethod for preparing bispecific monoclonal antibodies
WO1997030087A1 (en)1996-02-161997-08-21Glaxo Group LimitedPreparation of glycosylated antibodies
US5677425A (en)1987-09-041997-10-14Celltech Therapeutics LimitedRecombinant antibody
US5686292A (en)1995-06-021997-11-11Genentech, Inc.Hepatocyte growth factor receptor antagonist antibodies and uses thereof
US5714352A (en)1996-03-201998-02-03Xenotech IncorporatedDirected switch-mediated DNA recombination
US5723323A (en)1985-03-301998-03-03Kauffman; Stuart AlanMethod of identifying a stochastically-generated peptide, polypeptide, or protein having ligand binding property and compositions thereof
US5763192A (en)1986-11-201998-06-09Ixsys, IncorporatedProcess for obtaining DNA, RNA, peptides, polypeptides, or protein, by recombinant DNA technique
US5766886A (en)1991-12-131998-06-16Xoma CorporationModified antibody variable domains
US5807706A (en)1995-03-011998-09-15Genentech, Inc.Method for making heteromultimeric polypeptides
US5833985A (en)1994-03-071998-11-10Medarex, Inc.Bispecific molecules for use in inducing antibody dependent effector cell-mediated cytotoxicity
US5834252A (en)1995-04-181998-11-10Glaxo Group LimitedEnd-complementary polymerase reaction
US5837458A (en)1994-02-171998-11-17Maxygen, Inc.Methods and compositions for cellular and metabolic engineering
WO1998058964A1 (en)1997-06-241998-12-30Genentech, Inc.Methods and compositions for galactosylated glycoproteins
US5869046A (en)1995-04-141999-02-09Genentech, Inc.Altered polypeptides with increased half-life
US5885573A (en)1993-06-011999-03-23Arch Development CorporationMethods and materials for modulation of the immunosuppressive activity and toxicity of monoclonal antibodies
WO1999022764A1 (en)1997-10-311999-05-14Genentech, Inc.Methods and compositions comprising glycoprotein glycoforms
US5932448A (en)1991-11-291999-08-03Protein Design Labs., Inc.Bispecific antibody heterodimers
US5959083A (en)1991-06-031999-09-28Behringwerke AktiengellschaftTetravalent bispecific receptors, the preparation and use thereof
WO1999051642A1 (en)1998-04-021999-10-14Genentech, Inc.Antibody variants and fragments thereof
WO1999054342A1 (en)1998-04-201999-10-28Pablo UmanaGlycosylation engineering of antibodies for improving antibody-dependent cellular cytotoxicity
WO1999058572A1 (en)1998-05-081999-11-18Cambridge University Technical Services LimitedBinding molecules derived from immunoglobulins which do not trigger complement mediated lysis
US5989530A (en)1992-03-101999-11-23Goldwell AgBleaching composition for human hair and process for its production
US6010902A (en)1988-04-042000-01-04Bristol-Meyers Squibb CompanyAntibody heteroconjugates and bispecific antibodies for use in regulation of lymphocyte activity
US6037453A (en)1995-03-152000-03-14Genentech, Inc.Immunoglobulin variants
US6060285A (en)1989-03-232000-05-09Roche Diagnostics GmbhProcess for the production of hetero-bispecific antibodies
WO2000042072A2 (en)1999-01-152000-07-20Genentech, Inc.Polypeptide variants with altered effector function
US6121022A (en)1995-04-142000-09-19Genentech, Inc.Altered polypeptides with increased half-life
US6132992A (en)1993-02-012000-10-17Bristol-Myers Squibb Co.Expression vectors encoding bispecific fusion proteins and methods of producing biologically active bispecific fusion proteins in a mammalian cell
WO2000061739A1 (en)1999-04-092000-10-19Kyowa Hakko Kogyo Co., Ltd.Method for controlling the activity of immunologically functional molecule
US6165745A (en)1992-04-242000-12-26Board Of Regents, The University Of Texas SystemRecombinant production of immunoglobulin-like domains in prokaryotic cells
US6194551B1 (en)1998-04-022001-02-27Genentech, Inc.Polypeptide variants
US6193967B1 (en)1992-10-022001-02-27Peter M. MorganelliBispecific reagents for redirected targeting of human lipoproteins
US6204023B1 (en)1985-11-012001-03-20Xoma Ltd.Modular assembly of antibody genes, antibodies prepared thereby and use
US6210668B1 (en)1996-09-032001-04-03Gsf Forschungszentrum Fur Umwelt Und Gesundheit GmbhDestruction of contaminating tumor cells in stem cell transplants using bispecific antibodies
WO2001029246A1 (en)1999-10-192001-04-26Kyowa Hakko Kogyo Co., Ltd.Process for producing polypeptide
WO2001058957A2 (en)2000-02-112001-08-16Lexigen Pharmaceuticals Corp.Enhancing the circulating half-life of antibody-based fusion proteins
US6277375B1 (en)1997-03-032001-08-21Board Of Regents, The University Of Texas SystemImmunoglobulin-like domains with increased half-lives
US6291158B1 (en)1989-05-162001-09-18Scripps Research InstituteMethod for tapping the immunological repertoire
WO2001079299A1 (en)2000-04-132001-10-25The Rockefeller UniversityEnhancement of antibody-mediated immune responses
WO2002006919A2 (en)2000-07-182002-01-24Aegis Analytical CorporationSystem, method and computer program product for mapping data of multi-database origins
WO2002031140A1 (en)2000-10-062002-04-18Kyowa Hakko Kogyo Co., Ltd.Cells producing antibody compositions
WO2002030954A1 (en)2000-10-062002-04-18Kyowa Hakko Kogyo Co., Ltd.Method of purifying antibody
US6395272B1 (en)1995-06-072002-05-28Mederex, Inc.Therapeutic compounds comprised of anti-Fc receptor antibodies
WO2002056910A1 (en)2001-01-172002-07-25Trubion Pharmaceuticals, Inc.Binding domain-immunoglobulin fusion proteins
WO2002060919A2 (en)2000-12-122002-08-08Medimmune, Inc.Molecules with extended half-lives, compositions and uses thereof
US20020164328A1 (en)2000-10-062002-11-07Toyohide ShinkawaProcess for purifying antibody
US20030003097A1 (en)2001-04-022003-01-02Idec Pharmaceutical CorporationRecombinant antibodies coexpressed with GnTIII
WO2003011878A2 (en)2001-08-032003-02-13Glycart Biotechnology AgAntibody glycosylation variants having increased antibody-dependent cellular cytotoxicity
US6528624B1 (en)1998-04-022003-03-04Genentech, Inc.Polypeptide variants
US20030115614A1 (en)2000-10-062003-06-19Yutaka KandaAntibody composition-producing cell
US6582915B1 (en)1991-12-022003-06-24Medical Research CouncilProduction of anti-self bodies from antibody segment repertories and displayed on phage
US20030118592A1 (en)2001-01-172003-06-26Genecraft, Inc.Binding domain-immunoglobulin fusion proteins
US20030133939A1 (en)2001-01-172003-07-17Genecraft, Inc.Binding domain-immunoglobulin fusion proteins
US20030157108A1 (en)2001-10-252003-08-21Genentech, Inc.Glycoprotein compositions
WO2003074679A2 (en)2002-03-012003-09-12XencorAntibody optimization
WO2003084570A1 (en)2002-04-092003-10-16Kyowa Hakko Kogyo Co., Ltd.DRUG CONTAINING ANTIBODY COMPOSITION APPROPRIATE FOR PATIENT SUFFERING FROM FcϜRIIIa POLYMORPHISM
WO2003085119A1 (en)2002-04-092003-10-16Kyowa Hakko Kogyo Co., Ltd.METHOD OF ENHANCING ACTIVITY OF ANTIBODY COMPOSITION OF BINDING TO FcϜ RECEPTOR IIIa
US20040002587A1 (en)2002-02-202004-01-01Watkins Jeffry D.Fc region variants
WO2004003019A2 (en)2002-06-282004-01-08Domantis LimitedImmunoglobin single variant antigen-binding domains and dual-specific constructs
US6696245B2 (en)1997-10-202004-02-24Domantis LimitedMethods for selecting functional polypeptides
EP1391213A1 (en)2002-08-212004-02-25Boehringer Ingelheim International GmbHCompositions and methods for treating cancer using maytansinoid CD44 antibody immunoconjugates and chemotherapeutic agents
WO2004016750A2 (en)2002-08-142004-02-26Macrogenics, Inc.FcϜRIIB-SPECIFIC ANTIBODIES AND METHODS OF USE THEREOF
US6716821B2 (en)2001-12-212004-04-06Immunogen Inc.Cytotoxic agents bearing a reactive polyethylene glycol moiety, cytotoxic conjugates comprising polyethylene glycol linking groups, and methods of making and using the same
WO2004029207A2 (en)2002-09-272004-04-08Xencor Inc.Optimized fc variants and methods for their generation
WO2004035752A2 (en)2002-10-152004-04-29Protein Design Labs, Inc.ALTERATION OF FcRn BINDING AFFINITIES OR SERUM HALF-LIVES OF ANTIBODIES BY MUTAGENESIS
US20040093621A1 (en)2001-12-252004-05-13Kyowa Hakko Kogyo Co., LtdAntibody composition which specifically binds to CD20
US6737056B1 (en)1999-01-152004-05-18Genentech, Inc.Polypeptide variants with altered effector function
US20040110282A1 (en)2002-04-092004-06-10Kyowa Hakko Kogyo Co., Ltd.Cells in which activity of the protein involved in transportation of GDP-fucose is reduced or lost
US20040110704A1 (en)2002-04-092004-06-10Kyowa Hakko Kogyo Co., Ltd.Cells of which genome is modified
US20040109865A1 (en)2002-04-092004-06-10Kyowa Hakko Kogyo Co., Ltd.Antibody composition-containing medicament
WO2004056312A2 (en)2002-12-162004-07-08Genentech, Inc.Immunoglobulin variants and uses thereof
US20040132140A1 (en)2002-04-092004-07-08Kyowa Hakko Kogyo Co., Ltd.Production process for antibody composition
WO2004058821A2 (en)2002-12-272004-07-15Domantis LimitedDual specific single domain antibodies specific for a ligand and for the receptor of the ligand
WO2004063351A2 (en)2003-01-092004-07-29Macrogenics, Inc.IDENTIFICATION AND ENGINEERING OF ANTIBODIES WITH VARIANT Fc REGIONS AND METHODS OF USING SAME
US20040166544A1 (en)2003-02-132004-08-26Morton Phillip A.Antibodies to c-Met for the treatment of cancers
WO2004099249A2 (en)2003-05-022004-11-18Xencor, Inc.Optimized fc variants and methods for their generation
US20040253238A1 (en)2003-02-252004-12-16Bjarne BogenModified antibody
WO2005016382A1 (en)2003-08-042005-02-24Pfizer Products Inc.Antibodies to c-met
WO2005035586A1 (en)2003-10-082005-04-21Kyowa Hakko Kogyo Co., Ltd.Fused protein composition
WO2005035778A1 (en)2003-10-092005-04-21Kyowa Hakko Kogyo Co., Ltd.PROCESS FOR PRODUCING ANTIBODY COMPOSITION BY USING RNA INHIBITING THE FUNCTION OF α1,6-FUCOSYLTRANSFERASE
WO2005040217A2 (en)2003-10-172005-05-06Cambridge University Technical Services LimitedAntibodies having a mutated amino acid residue at position 268 (ch2 region) in constant regions
US20050123546A1 (en)2003-11-052005-06-09Glycart Biotechnology AgAntigen binding molecules with increased Fc receptor binding affinity and effector function
WO2005053742A1 (en)2003-12-042005-06-16Kyowa Hakko Kogyo Co., Ltd.Medicine containing antibody composition
US6913748B2 (en)2002-08-162005-07-05Immunogen, Inc.Cross-linkers with high reactivity and solubility and their use in the preparation of conjugates for targeted delivery of small molecule drugs
WO2005063816A2 (en)2003-12-192005-07-14Genentech, Inc.Monovalent antibody fragments useful as therapeutics
US20050169933A1 (en)2003-10-102005-08-04Immunogen, Inc.Method of targeting specific cell populations using cell-binding agent maytansinoid conjugates linked via a non-cleavable linker, said conjugates, and methods of making said conjugates
WO2006019447A1 (en)2004-07-152006-02-23Xencor, Inc.Optimized fc variants
WO2006047350A2 (en)2004-10-212006-05-04Xencor, Inc.IgG IMMUNOGLOBULIN VARIANTS WITH OPTIMIZED EFFECTOR FUNCTION
US20060140946A1 (en)1991-03-182006-06-29Centocor, Inc.,Anti-TNF chimeric antibody fragments
WO2006105338A2 (en)2005-03-312006-10-05Xencor, Inc.Fc VARIANTS WITH OPTIMIZED PROPERTIES
WO2007041635A2 (en)2005-10-032007-04-12Xencor, Inc.Fc variants with optimized fc receptor binding properties
US20070298040A1 (en)1991-03-182007-12-27Centocor, Inc.Methods of treating seronegative arthropathy with anti-TNF antibodies
US20080050310A1 (en)2006-05-302008-02-28Genentech, Inc.Antibodies and immunoconjugates and uses therefor
US7476724B2 (en)2004-08-052009-01-13Genentech, Inc.Humanized anti-cmet antibodies
WO2009007427A2 (en)2007-07-122009-01-15Pierre Fabre MedicamentNovel antibodies inhibiting c-met dimerization, and uses thereof
US20090041765A1 (en)2006-10-242009-02-12Trubion Pharmaceuticals, Inc.Materials and methods for improved immunoglycoproteins
US20090048122A1 (en)2006-03-172009-02-19Biogen Idec Ma Inc.Stabilized polypeptide compositions
US7538195B2 (en)2002-06-142009-05-26Immunogen Inc.Anti-IGF-I receptor antibody
US20090246195A1 (en)2005-06-082009-10-01Duke UniversityAnti-cd19 antibody therapy for transplantation
US20090258026A2 (en)2007-06-042009-10-15Genentech, Inc.Anti-notch1 nrr antibodies and methods using same
US20090274713A1 (en)2008-04-302009-11-05Immunogen Inc.Cross-linkers and their uses
US20100129314A1 (en)2008-04-302010-05-27Immunogen Inc.Potent conjugates and hydrophilic linkers
WO2010064090A1 (en)2008-12-022010-06-10Pierre Fabre MedicamentProcess for the modulation of the antagonistic activity of a monoclonal antibody
US9105939B2 (en)2008-03-102015-08-11Nissan Motor Co., Ltd.Battery with battery electrode and method of manufacturing same
US9109630B2 (en)2013-01-152015-08-18Jtekt CorporationRolling bearing unit
WO2016094455A1 (en)*2014-12-082016-06-16Sorrento Therapeutics, Inc.C-met antibody drug conjugate
US9401234B2 (en)2013-03-222016-07-26Polytronics Technology Corp.Over-current protection device
US9618978B2 (en)2013-10-032017-04-11Acer IncorporatedMethods for controlling a touch panel and portable computers using the same
US9816280B1 (en)2016-11-022017-11-14Matthew ReitnauerPortable floor
WO2018129029A1 (en)*2017-01-042018-07-12Immunogen, Inc.Met antibodies and immunoconjugates and uses thereof
WO2018160539A1 (en)*2017-02-282018-09-07Immunogen, Inc.Maytansinoid derivatives with self-immolative peptide linkers and conjugates thereof
US11392905B2 (en)2009-12-232022-07-19Aristocrat Technologies Australia Pty LimitedSystem and method for cashless gaming

Patent Citations (172)

* Cited by examiner, † Cited by third party
Publication numberPriority datePublication dateAssigneeTitle
US560181A (en)1896-05-12Elizabeth howard administratrix of said tom howard
US731168A (en)1902-06-161903-06-16Clarence L EatonHeel-seat and counter beating machine.
EP0003089A1 (en)1978-01-061979-07-25Bernard DavidDrier for silkscreen printed sheets
US4474893A (en)1981-07-011984-10-02The University of Texas System Cancer CenterRecombinant monoclonal antibodies
US4714681A (en)1981-07-011987-12-22The Board Of Reagents, The University Of Texas System Cancer CenterQuadroma cells and trioma cells and methods for the production of same
US4816567A (en)1983-04-081989-03-28Genentech, Inc.Recombinant immunoglobin preparations
US5824514A (en)1985-03-301998-10-20Stuart A. KauffmanProcess for the production of expression vectors comprising at least one stochastic sequence of polynucleotides
US5723323A (en)1985-03-301998-03-03Kauffman; Stuart AlanMethod of identifying a stochastically-generated peptide, polypeptide, or protein having ligand binding property and compositions thereof
US5814476A (en)1985-03-301998-09-29Stuart KauffmanProcess for the production of stochastically-generated transcription or translation products
US5817483A (en)1985-03-301998-10-06Stuart KauffmanProcess for the production of stochastically-generated peptides,polypeptides or proteins having a predetermined property
US5976862A (en)1985-03-301999-11-02Ixsys CorporationProcess for obtaining DNA, RNA, peptides, polypeptides, or proteins, by recombinant DNA technique
US4676980A (en)1985-09-231987-06-30The United States Of America As Represented By The Secretary Of The Department Of Health And Human ServicesTarget specific cross-linked heteroantibodies
US6204023B1 (en)1985-11-012001-03-20Xoma Ltd.Modular assembly of antibody genes, antibodies prepared thereby and use
EP0229246A2 (en)1986-01-151987-07-22ANT Nachrichtentechnik GmbHMethod for decoding digital signals, as well as a Viterbi decoder and applications
US5225539A (en)1986-03-271993-07-06Medical Research CouncilRecombinant altered antibodies and methods of making altered antibodies
EP0239400A2 (en)1986-03-271987-09-30Medical Research CouncilRecombinant antibodies and methods for their production
US5763192A (en)1986-11-201998-06-09Ixsys, IncorporatedProcess for obtaining DNA, RNA, peptides, polypeptides, or protein, by recombinant DNA technique
US5648260A (en)1987-03-181997-07-15Scotgen Biopharmaceuticals IncorporatedDNA encoding antibodies with altered effector functions
US5624821A (en)1987-03-181997-04-29Scotgen Biopharmaceuticals IncorporatedAntibodies with altered effector functions
US5677425A (en)1987-09-041997-10-14Celltech Therapeutics LimitedRecombinant antibody
US4975278A (en)1988-02-261990-12-04Bristol-Myers CompanyAntibody-enzyme conjugates in combination with prodrugs for the delivery of cytotoxic agents to tumor cells
EP0332424A2 (en)1988-03-091989-09-13Hybritech IncorporatedChimeric antibodies directed against human carcinoembryonic antigen
US6010902A (en)1988-04-042000-01-04Bristol-Meyers Squibb CompanyAntibody heteroconjugates and bispecific antibodies for use in regulation of lymphocyte activity
WO1989009622A1 (en)1988-04-151989-10-19Protein Design Labs, Inc.Il-2 receptor-specific chimeric antibodies
EP0338745A1 (en)1988-04-161989-10-25Celltech LimitedMethod for producing recombinant DNA proteins
US4925648A (en)1988-07-291990-05-15Immunomedics, Inc.Detection and treatment of infectious and inflammatory lesions
US5601819A (en)1988-08-111997-02-11The General Hospital CorporationBispecific antibodies for selective immune regulation and for selective immune cell binding
US6180370B1 (en)1988-12-282001-01-30Protein Design Labs, Inc.Humanized immunoglobulins and methods of making the same
US5530101A (en)1988-12-281996-06-25Protein Design Labs, Inc.Humanized immunoglobulins
US5693762A (en)1988-12-281997-12-02Protein Design Labs, Inc.Humanized immunoglobulins
US5585089A (en)1988-12-281996-12-17Protein Design Labs, Inc.Humanized immunoglobulins
US6060285A (en)1989-03-232000-05-09Roche Diagnostics GmbhProcess for the production of hetero-bispecific antibodies
WO1990014443A1 (en)1989-05-161990-11-29Huse William DCo-expression of heteromeric receptors
US6291158B1 (en)1989-05-162001-09-18Scripps Research InstituteMethod for tapping the immunological repertoire
WO1990014424A1 (en)1989-05-161990-11-29Scripps Clinic And Research FoundationMethod for isolating receptors having a preselected specificity
WO1990014430A1 (en)1989-05-161990-11-29Scripps Clinic And Research FoundationA new method for tapping the immunological repertoire
EP0404097A2 (en)1989-06-221990-12-27BEHRINGWERKE AktiengesellschaftBispecific and oligospecific, mono- and oligovalent receptors, production and applications thereof
WO1991000360A1 (en)1989-06-291991-01-10Medarex, Inc.Bispecific reagents for aids therapy
US5496549A (en)1990-04-021996-03-05Takeda Chemical Industries, Ltd.Bispecific monoclonal antibodies, thrombolytic agent and method of cell lysis
WO1992000373A1 (en)1990-06-291992-01-09Biosource Genetics CorporationMelanin production by transformed microorganisms
WO1992008802A1 (en)1990-10-291992-05-29Cetus Oncology CorporationBispecific antibodies, method of production, and uses thereof
US5959084A (en)1990-10-291999-09-28Chiron CorporationBispecific antibodies, methods of production and uses thereof
US6106833A (en)1990-10-292000-08-22Chiron CorporationBispecific antibodies, methods of production and use thereof
US5582996A (en)1990-12-041996-12-10The Wistar Institute Of Anatomy & BiologyBifunctional antibodies and method of preparing same
US20070298040A1 (en)1991-03-182007-12-27Centocor, Inc.Methods of treating seronegative arthropathy with anti-TNF antibodies
US20060140946A1 (en)1991-03-182006-06-29Centocor, Inc.,Anti-TNF chimeric antibody fragments
US5573920A (en)1991-04-261996-11-12Surface Active LimitedAntibodies, and methods for their use
US5959083A (en)1991-06-031999-09-28Behringwerke AktiengellschaftTetravalent bispecific receptors, the preparation and use thereof
WO1992022653A1 (en)1991-06-141992-12-23Genentech, Inc.Method for making humanized antibodies
WO1993008829A1 (en)1991-11-041993-05-13The Regents Of The University Of CaliforniaCompositions that mediate killing of hiv-infected cells
WO1993011161A1 (en)1991-11-251993-06-10Enzon, Inc.Multivalent antigen-binding proteins
US5932448A (en)1991-11-291999-08-03Protein Design Labs., Inc.Bispecific antibody heterodimers
US6593081B1 (en)1991-12-022003-07-15Medical Research CouncilProduction of anti-self antibodies from antibody segment repertoires and displayed on phage
US6582915B1 (en)1991-12-022003-06-24Medical Research CouncilProduction of anti-self bodies from antibody segment repertories and displayed on phage
US5766886A (en)1991-12-131998-06-16Xoma CorporationModified antibody variable domains
WO1993016185A2 (en)1992-02-061993-08-19Creative Biomolecules, Inc.Biosynthetic binding protein for cancer marker
WO1993017715A1 (en)1992-03-051993-09-16Board Of Regents, The University Of Texas SystemDiagnostic and/or therapeutic agents, targeted to neovascular endothelial cells
US5989530A (en)1992-03-101999-11-23Goldwell AgBleaching composition for human hair and process for its production
WO1993021319A1 (en)1992-04-081993-10-28Cetus Oncology CorporationHUMANIZED C-erbB-2 SPECIFIC ANTIBODIES
WO1993021232A1 (en)1992-04-101993-10-28Research Development FoundationIMMUNOTOXINS DIRECTED AGAINST c-erbB-2 (HER-2/neu) RELATED SURFACE ANTIGENS
US6165745A (en)1992-04-242000-12-26Board Of Regents, The University Of Texas SystemRecombinant production of immunoglobulin-like domains in prokaryotic cells
WO1994004690A1 (en)1992-08-171994-03-03Genentech, Inc.Bispecific immunoadhesins
US5639641A (en)1992-09-091997-06-17Immunogen Inc.Resurfacing of rodent antibodies
US6193967B1 (en)1992-10-022001-02-27Peter M. MorganelliBispecific reagents for redirected targeting of human lipoproteins
US6132992A (en)1993-02-012000-10-17Bristol-Myers Squibb Co.Expression vectors encoding bispecific fusion proteins and methods of producing biologically active bispecific fusion proteins in a mammalian cell
US5885573A (en)1993-06-011999-03-23Arch Development CorporationMethods and materials for modulation of the immunosuppressive activity and toxicity of monoclonal antibodies
WO1994029351A2 (en)1993-06-161994-12-22Celltech LimitedAntibodies
US5643759A (en)1993-10-301997-07-01Biotest Pharma GmbhMethod for preparing bispecific monoclonal antibodies
EP0734210A1 (en)1993-12-151996-10-02H. van Wijnen B.V.A process for the production of a composite fish product, and the fish product obtained with this process
US5811238A (en)1994-02-171998-09-22Affymax Technologies N.V.Methods for generating polynucleotides having desired characteristics by iterative selection and recombination
US5837458A (en)1994-02-171998-11-17Maxygen, Inc.Methods and compositions for cellular and metabolic engineering
US5830721A (en)1994-02-171998-11-03Affymax Technologies N.V.DNA mutagenesis by random fragmentation and reassembly
US5605793A (en)1994-02-171997-02-25Affymax Technologies N.V.Methods for in vitro recombination
US5833985A (en)1994-03-071998-11-10Medarex, Inc.Bispecific molecules for use in inducing antibody dependent effector cell-mediated cytotoxicity
EP0758195A1 (en)1994-05-021997-02-19S.C. Johnson & Son, Inc.Two-stage liquid delivery bait station
US5821333A (en)1995-03-011998-10-13Genetech, Inc.Method for making heteromultimeric polypeptides
US5807706A (en)1995-03-011998-09-15Genentech, Inc.Method for making heteromultimeric polypeptides
US6037453A (en)1995-03-152000-03-14Genentech, Inc.Immunoglobulin variants
US5869046A (en)1995-04-141999-02-09Genentech, Inc.Altered polypeptides with increased half-life
US6121022A (en)1995-04-142000-09-19Genentech, Inc.Altered polypeptides with increased half-life
US5834252A (en)1995-04-181998-11-10Glaxo Group LimitedEnd-complementary polymerase reaction
US5686292A (en)1995-06-021997-11-11Genentech, Inc.Hepatocyte growth factor receptor antagonist antibodies and uses thereof
US6395272B1 (en)1995-06-072002-05-28Mederex, Inc.Therapeutic compounds comprised of anti-Fc receptor antibodies
EP0757189A2 (en)1995-07-311997-02-05Aisin Aw Co., Ltd.Automatic transmission
WO1997030087A1 (en)1996-02-161997-08-21Glaxo Group LimitedPreparation of glycosylated antibodies
US5714352A (en)1996-03-201998-02-03Xenotech IncorporatedDirected switch-mediated DNA recombination
US6210668B1 (en)1996-09-032001-04-03Gsf Forschungszentrum Fur Umwelt Und Gesundheit GmbhDestruction of contaminating tumor cells in stem cell transplants using bispecific antibodies
US6277375B1 (en)1997-03-032001-08-21Board Of Regents, The University Of Texas SystemImmunoglobulin-like domains with increased half-lives
US6821505B2 (en)1997-03-032004-11-23Board Of Regents, The University Of Texas SystemImmunoglobin-like domains with increased half lives
WO1998058964A1 (en)1997-06-241998-12-30Genentech, Inc.Methods and compositions for galactosylated glycoproteins
US6696245B2 (en)1997-10-202004-02-24Domantis LimitedMethods for selecting functional polypeptides
WO1999022764A1 (en)1997-10-311999-05-14Genentech, Inc.Methods and compositions comprising glycoprotein glycoforms
US6194551B1 (en)1998-04-022001-02-27Genentech, Inc.Polypeptide variants
WO1999051642A1 (en)1998-04-021999-10-14Genentech, Inc.Antibody variants and fragments thereof
US6528624B1 (en)1998-04-022003-03-04Genentech, Inc.Polypeptide variants
US6602684B1 (en)1998-04-202003-08-05Glycart Biotechnology AgGlycosylation engineering of antibodies for improving antibody-dependent cellular cytotoxicity
WO1999054342A1 (en)1998-04-201999-10-28Pablo UmanaGlycosylation engineering of antibodies for improving antibody-dependent cellular cytotoxicity
WO1999058572A1 (en)1998-05-081999-11-18Cambridge University Technical Services LimitedBinding molecules derived from immunoglobulins which do not trigger complement mediated lysis
US6737056B1 (en)1999-01-152004-05-18Genentech, Inc.Polypeptide variants with altered effector function
WO2000042072A2 (en)1999-01-152000-07-20Genentech, Inc.Polypeptide variants with altered effector function
WO2000061739A1 (en)1999-04-092000-10-19Kyowa Hakko Kogyo Co., Ltd.Method for controlling the activity of immunologically functional molecule
WO2001029246A1 (en)1999-10-192001-04-26Kyowa Hakko Kogyo Co., Ltd.Process for producing polypeptide
WO2001058957A2 (en)2000-02-112001-08-16Lexigen Pharmaceuticals Corp.Enhancing the circulating half-life of antibody-based fusion proteins
WO2001079299A1 (en)2000-04-132001-10-25The Rockefeller UniversityEnhancement of antibody-mediated immune responses
US20010036459A1 (en)2000-04-132001-11-01Ravetch Jeffrey V.Enhancement of antibody-mediated immune responses
WO2002006919A2 (en)2000-07-182002-01-24Aegis Analytical CorporationSystem, method and computer program product for mapping data of multi-database origins
WO2002031140A1 (en)2000-10-062002-04-18Kyowa Hakko Kogyo Co., Ltd.Cells producing antibody compositions
US20030115614A1 (en)2000-10-062003-06-19Yutaka KandaAntibody composition-producing cell
WO2002030954A1 (en)2000-10-062002-04-18Kyowa Hakko Kogyo Co., Ltd.Method of purifying antibody
US20020164328A1 (en)2000-10-062002-11-07Toyohide ShinkawaProcess for purifying antibody
WO2002060919A2 (en)2000-12-122002-08-08Medimmune, Inc.Molecules with extended half-lives, compositions and uses thereof
US20030118592A1 (en)2001-01-172003-06-26Genecraft, Inc.Binding domain-immunoglobulin fusion proteins
US20030133939A1 (en)2001-01-172003-07-17Genecraft, Inc.Binding domain-immunoglobulin fusion proteins
WO2002056910A1 (en)2001-01-172002-07-25Trubion Pharmaceuticals, Inc.Binding domain-immunoglobulin fusion proteins
US20030003097A1 (en)2001-04-022003-01-02Idec Pharmaceutical CorporationRecombinant antibodies coexpressed with GnTIII
WO2003011878A2 (en)2001-08-032003-02-13Glycart Biotechnology AgAntibody glycosylation variants having increased antibody-dependent cellular cytotoxicity
US20030157108A1 (en)2001-10-252003-08-21Genentech, Inc.Glycoprotein compositions
US6716821B2 (en)2001-12-212004-04-06Immunogen Inc.Cytotoxic agents bearing a reactive polyethylene glycol moiety, cytotoxic conjugates comprising polyethylene glycol linking groups, and methods of making and using the same
US20040093621A1 (en)2001-12-252004-05-13Kyowa Hakko Kogyo Co., LtdAntibody composition which specifically binds to CD20
US20040002587A1 (en)2002-02-202004-01-01Watkins Jeffry D.Fc region variants
WO2003074679A2 (en)2002-03-012003-09-12XencorAntibody optimization
WO2003084570A1 (en)2002-04-092003-10-16Kyowa Hakko Kogyo Co., Ltd.DRUG CONTAINING ANTIBODY COMPOSITION APPROPRIATE FOR PATIENT SUFFERING FROM FcϜRIIIa POLYMORPHISM
WO2003085119A1 (en)2002-04-092003-10-16Kyowa Hakko Kogyo Co., Ltd.METHOD OF ENHANCING ACTIVITY OF ANTIBODY COMPOSITION OF BINDING TO FcϜ RECEPTOR IIIa
US20040110282A1 (en)2002-04-092004-06-10Kyowa Hakko Kogyo Co., Ltd.Cells in which activity of the protein involved in transportation of GDP-fucose is reduced or lost
US20040110704A1 (en)2002-04-092004-06-10Kyowa Hakko Kogyo Co., Ltd.Cells of which genome is modified
US20040109865A1 (en)2002-04-092004-06-10Kyowa Hakko Kogyo Co., Ltd.Antibody composition-containing medicament
US20040132140A1 (en)2002-04-092004-07-08Kyowa Hakko Kogyo Co., Ltd.Production process for antibody composition
US7538195B2 (en)2002-06-142009-05-26Immunogen Inc.Anti-IGF-I receptor antibody
WO2004003019A2 (en)2002-06-282004-01-08Domantis LimitedImmunoglobin single variant antigen-binding domains and dual-specific constructs
WO2004016750A2 (en)2002-08-142004-02-26Macrogenics, Inc.FcϜRIIB-SPECIFIC ANTIBODIES AND METHODS OF USE THEREOF
US20040185045A1 (en)2002-08-142004-09-23Macrogenics, Inc.FcgammaRIIB-specific antibodies and methods of use thereof
US6913748B2 (en)2002-08-162005-07-05Immunogen, Inc.Cross-linkers with high reactivity and solubility and their use in the preparation of conjugates for targeted delivery of small molecule drugs
EP1391213A1 (en)2002-08-212004-02-25Boehringer Ingelheim International GmbHCompositions and methods for treating cancer using maytansinoid CD44 antibody immunoconjugates and chemotherapeutic agents
WO2004029207A2 (en)2002-09-272004-04-08Xencor Inc.Optimized fc variants and methods for their generation
WO2004035752A2 (en)2002-10-152004-04-29Protein Design Labs, Inc.ALTERATION OF FcRn BINDING AFFINITIES OR SERUM HALF-LIVES OF ANTIBODIES BY MUTAGENESIS
WO2004056312A2 (en)2002-12-162004-07-08Genentech, Inc.Immunoglobulin variants and uses thereof
WO2004058821A2 (en)2002-12-272004-07-15Domantis LimitedDual specific single domain antibodies specific for a ligand and for the receptor of the ligand
WO2004063351A2 (en)2003-01-092004-07-29Macrogenics, Inc.IDENTIFICATION AND ENGINEERING OF ANTIBODIES WITH VARIANT Fc REGIONS AND METHODS OF USING SAME
US20040166544A1 (en)2003-02-132004-08-26Morton Phillip A.Antibodies to c-Met for the treatment of cancers
US20040253238A1 (en)2003-02-252004-12-16Bjarne BogenModified antibody
WO2004099249A2 (en)2003-05-022004-11-18Xencor, Inc.Optimized fc variants and methods for their generation
WO2005016382A1 (en)2003-08-042005-02-24Pfizer Products Inc.Antibodies to c-met
WO2005035586A1 (en)2003-10-082005-04-21Kyowa Hakko Kogyo Co., Ltd.Fused protein composition
WO2005035778A1 (en)2003-10-092005-04-21Kyowa Hakko Kogyo Co., Ltd.PROCESS FOR PRODUCING ANTIBODY COMPOSITION BY USING RNA INHIBITING THE FUNCTION OF α1,6-FUCOSYLTRANSFERASE
US20050169933A1 (en)2003-10-102005-08-04Immunogen, Inc.Method of targeting specific cell populations using cell-binding agent maytansinoid conjugates linked via a non-cleavable linker, said conjugates, and methods of making said conjugates
WO2005040217A2 (en)2003-10-172005-05-06Cambridge University Technical Services LimitedAntibodies having a mutated amino acid residue at position 268 (ch2 region) in constant regions
US20050123546A1 (en)2003-11-052005-06-09Glycart Biotechnology AgAntigen binding molecules with increased Fc receptor binding affinity and effector function
WO2005053742A1 (en)2003-12-042005-06-16Kyowa Hakko Kogyo Co., Ltd.Medicine containing antibody composition
WO2005063816A2 (en)2003-12-192005-07-14Genentech, Inc.Monovalent antibody fragments useful as therapeutics
WO2006019447A1 (en)2004-07-152006-02-23Xencor, Inc.Optimized fc variants
US7476724B2 (en)2004-08-052009-01-13Genentech, Inc.Humanized anti-cmet antibodies
WO2006047350A2 (en)2004-10-212006-05-04Xencor, Inc.IgG IMMUNOGLOBULIN VARIANTS WITH OPTIMIZED EFFECTOR FUNCTION
WO2006105338A2 (en)2005-03-312006-10-05Xencor, Inc.Fc VARIANTS WITH OPTIMIZED PROPERTIES
US20090246195A1 (en)2005-06-082009-10-01Duke UniversityAnti-cd19 antibody therapy for transplantation
WO2007041635A2 (en)2005-10-032007-04-12Xencor, Inc.Fc variants with optimized fc receptor binding properties
US20090048122A1 (en)2006-03-172009-02-19Biogen Idec Ma Inc.Stabilized polypeptide compositions
US20080050310A1 (en)2006-05-302008-02-28Genentech, Inc.Antibodies and immunoconjugates and uses therefor
US20090041765A1 (en)2006-10-242009-02-12Trubion Pharmaceuticals, Inc.Materials and methods for improved immunoglycoproteins
US20090258026A2 (en)2007-06-042009-10-15Genentech, Inc.Anti-notch1 nrr antibodies and methods using same
WO2009007427A2 (en)2007-07-122009-01-15Pierre Fabre MedicamentNovel antibodies inhibiting c-met dimerization, and uses thereof
US9105939B2 (en)2008-03-102015-08-11Nissan Motor Co., Ltd.Battery with battery electrode and method of manufacturing same
US20100129314A1 (en)2008-04-302010-05-27Immunogen Inc.Potent conjugates and hydrophilic linkers
US20090274713A1 (en)2008-04-302009-11-05Immunogen Inc.Cross-linkers and their uses
WO2010064090A1 (en)2008-12-022010-06-10Pierre Fabre MedicamentProcess for the modulation of the antagonistic activity of a monoclonal antibody
US11392905B2 (en)2009-12-232022-07-19Aristocrat Technologies Australia Pty LimitedSystem and method for cashless gaming
US9109630B2 (en)2013-01-152015-08-18Jtekt CorporationRolling bearing unit
US9401234B2 (en)2013-03-222016-07-26Polytronics Technology Corp.Over-current protection device
US9618978B2 (en)2013-10-032017-04-11Acer IncorporatedMethods for controlling a touch panel and portable computers using the same
WO2016094455A1 (en)*2014-12-082016-06-16Sorrento Therapeutics, Inc.C-met antibody drug conjugate
US9816280B1 (en)2016-11-022017-11-14Matthew ReitnauerPortable floor
WO2018129029A1 (en)*2017-01-042018-07-12Immunogen, Inc.Met antibodies and immunoconjugates and uses thereof
WO2018160539A1 (en)*2017-02-282018-09-07Immunogen, Inc.Maytansinoid derivatives with self-immolative peptide linkers and conjugates thereof

Non-Patent Citations (166)

* Cited by examiner, † Cited by third party
Title
"GenBank", Database accession no. 188595716
"Immunochemical Techniques", vol. 121, ACADEMIC PRESS, article "Methods in Enzymology"
ALAIN BECK ET AL: "Strategies and challenges for the next generation of antibody-drug conjugates", NATURE REVIEWS. DRUG DISCOVERY, vol. 16, no. 5, 17 March 2017 (2017-03-17), GB, pages 315 - 337, XP055552084, ISSN: 1474-1776, DOI: 10.1038/nrd.2016.268*
ALEGRE ET AL., TRANSPLANTATION, vol. 57, 1994, pages 1537 - 1543
AL-LAZIKANI ET AL., J. MOLEC. BIOL., vol. 273, 1997, pages 927 - 948
ALTSCHUL ET AL., METHODS IN ENZYMOLOGY, vol. 266, 1996, pages 460 - 480
ALTSCHUL ET AL., NUCLEIC ACIDS RES., vol. 25, 1991, pages 3389 - 3402
ALTSCHUL ET AL., NUCLEIC ACIDS RES., vol. 25, 1997, pages 3389 - 3402
AMIT ET AL., SCIENCE, vol. 233, 1986, pages 747 - 753
ANONYMOUS: "Abstract 45: In vitro and in vivo activity of a novel c-Met-targeting antibody-drug conjugate using a DNA-alkylating, indolinobenzodiazepine payload | Cancer Research", 1 July 2017 (2017-07-01), XP055619955, Retrieved from the Internet <URL:https://cancerres.aacrjournals.org/content/77/13_Supplement/45> [retrieved on 20190909]*
APMIS, vol. 108, 2000, pages 195 - 200
ARMOUR ET AL., EUR. J. IMMUNOL., vol. 29, 1999, pages 2613 - 2624
BALDWIN ET AL., LANCET PP., 15 March 1986 (1986-03-15), pages 603 - 05
BERZOFSKY ET AL.: "McGraw-Hill, Dictionary of Chemical Terms", 1984, MCGRAW-HILL BOOK COMPANY, article "Antibody-Antigen Interactions"
BIRCHMEIER, C. ET AL., NAT. REV. MOL. CELL BIOL., vol. 4, 2003, pages 915
BJELLQVIST ET AL., ELECTROPHORESIS, vol. 14, 1993, pages 1023
BODER, E. T. ET AL., PROC. NATL. ACAD. SCI. USA, vol. 97, 2000, pages 10701 - 10705
BRENNAN ET AL., SCIENCE, vol. 229, 1985, pages 81
BRUGGEMANN ET AL., J EXP MED, vol. 166, 1987, pages 1351 - 1361
BRUMMELL ET AL., BIOCHEM., vol. 32, 1993, pages 1180 - 1187
BURKS ET AL., PROC. NATL. ACAD. SCI. USA, vol. 94, 1997, pages 412 - 417
CANCER RES, 1994, pages 5775 - 8
CANCER RES, vol. 69, no. 7, 2009, pages 3021 - 31
CARON ET AL., J. EXP MED., vol. 176, 1992, pages 1191 - 1195
CARTER ET AL., BIO TECHNOLOGY, vol. 10, 1992, pages 163 - 167
CARTER ET AL., PROC. NATL. ACAD. SCI. U.S.A., vol. 89, 1992, pages 4285
CHOTHIA ET AL., J. MOL. BIOL., vol. 196, 1987, pages 901 - 917
CLYNES ET AL., PNAS USA, vol. 95, 1998, pages 652 - 656
CO ET AL., J IMMUNOL., vol. 148, 1992, pages 1149 - 54
COMOGLIO PM. ET AL., NAT REV DRUG DISCOV, vol. 7, 2008, pages 504 - 516
CORSO, S. ET AL., TRENDS MOL. MED., vol. 11, 2005, pages 284
CUNNINGHAMWELLS, SCIENCE, vol. 244, 1989, pages 1081 - 1085
DALL'ACQUA WF ET AL., J IMMUNOL, vol. 177, 2006, pages 1129 - 38
DANIEL ET AL., BLOOD, vol. 92, 1998, pages 4750 - 4757
DAVID ET AL., BIOCHEMISTRY, vol. 13, 1974, pages 1014
DAVIES, J.RIECHMANN, L., IMMUNOTECHNOLGY, vol. 2, 1996, pages 169 - 179
DAVIES20017 ET AL., BIOTECHNOL BIOENG., vol. 74, pages 288 - 294
DUROCHER, Y. ET AL., NUCLEIC ACIDS RES., vol. 30, no. 2, 2002, pages E9
E. A. KABAT ET AL.: "Sequences of Proteins of Immunological Interest", 1991, NIH
EDER JP. ET AL., CLIN CANCER RES, vol. 15, 2009, pages 2207 - 2214
EHRENMANN ET AL., NUCLEIC ACIDS RES., vol. 38, 2010, pages 301 - 307
ENGELMAN J.A. ET AL., SCIENCE, vol. 316, 2001, pages 1039 - 1043
FOLLENZI, A. ET AL., ONCOGENE, vol. 19, 2000, pages 3041
FURUKAWA, K. ET AL., J. BIOL. CHEM., vol. 276, 2001, pages 27622 - 27628
GAZZANO-SANTORO ET AL., J. IMMUNOL. METHODS, vol. 202, 1996, pages 163
GHERARDI, E. ET AL., PROC. NATL. ACAD. SCI., vol. 100, 2003, pages 12039
GHETIE ET AL., NAT. BIOTECH., vol. 15, 1997, pages 637 - 40
GIORDANO, S. ET AL., NAT. CELL BIOL., vol. 4, 2002, pages 720
GOLDENBERG ET AL., CANCER JOURNAL FOR CLINICIANS, vol. 44, 1994, pages 43
GRAM, H. ET AL., PROC. NATL. ACAD. SCI. USA, vol. 89, 1992, pages 3576 - 3580
GRUBER ET AL., J. IMMUNOL., vol. 152, 1994, pages 5368
HANSSON ET AL., J. MOL. BIOL., vol. 287, 1999, pages 265 - 76
HARAYAMA, TRENDS BIOTECHNOL., vol. 16, no. 2, 1998, pages 76 - 82
HARLOW ET AL.: "Antibodies: A Laboratory Manual", 1988, COLD SPRING HARBOR LABORATORY PRESS
HAWKINS ET AL., J. MOL. BIOL., vol. 224, 1992, pages 487 - 499
HILL ET AL., METHODS ENZYMOL., vol. 155, 1987, pages 558 - 568
HINMAN ET AL., CANCER RES., vol. 53, 1993, pages 3336 - 3342
HO ET AL., GENE, vol. 77, 1989, pages 51 - 59
HOLLINGER ET AL., PROC. NATL. ACAD. SCI. USA, vol. 90, 1993, pages 6444 - 6448
HUNTER ET AL., NATURE, vol. 144, 1962, pages 945
HUTCHINS ET AL., PROC NATL. ACAD SCI USA, vol. 92, 1995, pages 11980 - 11984
HUTCHINSON, C. ET AL., J. BIOL. CHEM., vol. 253, 1978, pages 6551
IDUSOGIE ET AL., J. IMMUNOL., vol. 164, 2000, pages 1925 - 1933
IDUSOGIE ET AL., J. IMMUNOL., vol. 166, 2001, pages 2571 - 2575
ISALMDENT: "Bioconjugation", 1999, GROVES DICTIONARIES INC., pages: 218 - 363
JEFFERIS ET AL., IMMUNOL LETT., vol. 54, 1996, pages 101 - 104
JEFFERIS ET AL., IMMUNOL LETT., vol. 82, 2002, pages 57 - 65
JEFFERIS ET AL., IMMUNOL. LETT., vol. 44, 1995, pages 111 - 117
JIN H ET AL., CANCER RES, vol. 68, 2008, pages 4360 - 4368
JONES ET AL., NATURE, vol. 321, 1986, pages 604 - 608
KARLIN ET AL., PROC. NATL. ACAD. SCI., vol. 87, 1990, pages 2264 - 2268
KARLIN ET AL., PROC. NATL. ACAD. SCI., vol. 90, 1993, pages 5873 - 5877
KEARNEY ET AL., J. IMMUNOL., vol. 123, 1979, pages 1548 - 1550
KERR ET AL., BIOCONJUGATE CHEM., vol. 8, no. 6, 1997, pages 781 - 784
KOBAYASHI ET AL., PROTEIN ENG., vol. 12, no. 10, 1999, pages 879 - 884
KONG-BELTRAN, M. ET AL., CANCER CELL, vol. 6, 2004, pages 75
KOSTELNY ET AL., J. IMMUNOL., vol. 148, no. 5, 1992, pages 1547 - 1553
KUNKEL, PROC. NATL. ACAD. SCI. USA, vol. 82, 1985, pages 488 - 492
KUTMEIER ET AL., BIOTECHNIQUES, vol. 17, 1994, pages 242
LANGER: "New Methods Of Drug Delivery", SCIENCE, vol. 249, 1990, pages 1527 - 1533, XP000169082, doi:10.1126/science.2218494
LAZAR ET AL., PROC. NATL. ACAD. SCI. U.S.A., vol. 103, no. 11, 2006, pages 4005 - 4010
LIU ET AL., PROC. NATL. ACAD. SCI. USA, vol. 93, 1996, pages 8618 - 8623
LODE ET AL., CANCER RES., vol. 58, 1998, pages 2928
LORENZOBLASCO, BIOTECHNIQUES, vol. 24, no. 2, 1998, pages 308 - 313
LOWMAN ET AL., BIOCHEMISTRY, vol. 30, no. 45, 1991, pages 10832 - 10837
LUND ET AL., FASEB J., vol. 9, 1995, pages 115 - 119
LUND ET AL., J. IMMUNOL., vol. 147, 1991, pages 2657 - 2662
LUND ET AL., J. IMMUNOL., vol. 157, 1996, pages 4963 - 4969
LUND ET AL., MOL. IMMUNOL., vol. 29, 1992, pages 53 - 59
MAESHIMA, A. ET AL., KID. INT., vol. 58, 2000, pages 1511
MANDLER ET AL., BIOCONJUGATE CHEM., vol. 13, 2002, pages 786 - 791
MANDLER ET AL., BIOORGANIC & MED. CHEM. LETTERS, vol. 10, 2000, pages 1025 - 1028
MANDLER ET AL., JOURNAL OF THE NAT. CANCER INST., vol. 92, no. 19, 2000, pages 1573 - 1581
MERCHANT ET AL., NAT. BIOTECHNOL., vol. 16, no. 7, July 1998 (1998-07-01), pages 677 - 81
MEYER, D. L.SENTER, P. D.: "Annual Reports in Medicinal Chemistry", vol. 38, 2003, article "Recent Advances in Antibody Drug Conjugates for Cancer Therapy", pages: 229 - 237
MILLSTEIN ET AL., NATURE, vol. 305, 1983, pages 537 - 539
MONTESANO, R. ET AL., CELL, vol. 67, 1991, pages 901
MORIMOTO ET AL., JOURNAL OF BIOCHEMICAL AND BIOPHYSICAL METHODS, vol. 24, 1992, pages 107 - 117
MOTOYAMA ET AL., ACTA PATHOL JPN, vol. 36, 1986, pages 65 - 83
MYERSMILLER, CABIOS, vol. 4, 1989, pages 11 - 17
NAITO ET AL., VIRCHOWS ARCH B CELL PATHOL INCL MOL PATHOL, vol. 46, 1984, pages 145 - 154
NALDINI, L. ET AL., MOL. CELL. BIOL., vol. 11, 1991, pages 1793
NAT. GENET., vol. 16, 1997, pages 68 - 73
NEEDLEMANWUNSCH, J. MOL. BIOL., vol. 48, 1970, pages 444 - 453
NICULESCU-DUVAZSPRINGER, ADV. DRUG DEL. REV., vol. 26, 1997, pages 151 - 172
NYGREN, J., HISTOCHEM. AND CYTOCHEM., vol. 30, 1982, pages 407
OKAZAKI ET AL., J. MOL. BIOL., vol. 336, no. 5, 2004, pages 1239 - 1249
OKAZAKI ET AL., JMB, vol. 336, 2004, pages 1239 - 49
ONCOGENE, vol. 10, 1995, pages 739 - 49
ONCOLOGY, vol. 53, 1996, pages 392 - 7
ORIAN ROUSSEAU, V. ET AL., GENES DEV., vol. 16, 2002, pages 3074
P. G.M. WUTST. W. GREENE: "Protective Groups in Organic Synthesis", 2007, JOHN WILEY & SONS
PAIN ET AL., J. IMMUNOL. METH., vol. 40, 1981, pages 219
PARK, M. ET AL., PROC. NATL. ACAD. SCI., vol. 84, 1987, pages 6379
PASTAN ET AL., CELL, vol. 47, 1986, pages 641
PATEL ET AL., J IMMUNOL METHODS, vol. 184, 1995, pages 29 - 38
PATTEN ET AL., CURR. OPINION BIOTECHNOL., vol. 8, 1997, pages 724 - 33
PEARSONLIPMAN, PROC. NATL. ACAD. SCI. USA, vol. 85, 1988, pages 2444 - 2448
PEDERSEN ET AL., J. MOL. BIOL., vol. 235, no. 3, 1994, pages 959 - 973
PONZETTO, C. ET AL., CELL, vol. 77, 1994, pages 261
PRAT M ET AL., J CELL SCI, vol. 111, 1998, pages 237 - 247
PRESTA ET AL., BIOCHEM. SOC. TRANS., vol. 30, 2002, pages 487 - 490
PRESTA ET AL., J. IMMUNOL., vol. 151, 1993, pages 2623
RADER, C. ET AL., PROC. NATL. ACAD. SCI. USA, vol. 95, 1998, pages 8910 - 8915
REGE-CAMBRIN ET AL., CANCER GENET CYTOGENET, vol. 64, 1992, pages 170 - 173
RETH ET AL., NATURE, vol. 317, 1985, pages 353 - 355
RIECHMANN ET AL., NATURE, vol. 332, 1988, pages 563 - 564
RIPKA ET AL., ARCH. BIOCHEM. BIOPHYS., vol. 249, 1986, pages 533 - 545
ROGUS ET AL., PROTEIN ENG., vol. 9, no. 10, 1996, pages 895 - 904
ROGUSKA ET AL., PROC. NATL. ACAD. SCI., USA, vol. 91, no. 3, 1994, pages 969 - 973
ROWLAND ET AL., CANCER IMMUNOL. IMMUNOTHER., vol. 21, 1986, pages 183 - 87
SARKAR ET AL., BIOTECHNIQUES, vol. 8, 1990, pages 404 - 407
SHIELDS ET AL., J BIOL. CHEM., vol. 276, 2001, pages 6591 - 6604
SHIELDS ET AL., J BIOL. CHEM., vol. 277, 2002, pages 26733 - 26740
SHIELDS ET AL.: "High resolution mapping of the binding site on human IgGl for FcyRI, FcyRII, FcyRIII, and FcRn and design of IgGl variants with improved binding to the FcyR", J. BIOL. CHEM., vol. 276, 2001, pages 6591 - 6604
SHINKAWA ET AL., J BIOL. CHEM., vol. 278, 2003, pages 3466 - 3473
SHORT, M. K. ET AL., J. BIOL. CHEM., vol. 277, 2002, pages 16365 - 16370
SMITH, ANN. REV. GENET., vol. 19, 1985, pages 423 - 463
SMITHWATERMAN, ADVANCES IN APPLIED MATHEMATICS, vol. 2, 1981, pages 482 489
SONNENBERG, E. ET AL., J. CELL BIOL., vol. 123, 1993, pages 223
STEVENSON ET AL., ANTICANCER DRUG DESIGN, vol. 3, 1989, pages 219 - 230
SURESH ET AL., METHODS IN ENZYMOLOGY, vol. 121, 1986, pages 210
SYRIGOSEPENETOS, ANTICANCER RESEARCH, vol. 19, 1999, pages 605 - 614
TAN MH ET AL.: "Characterization of a new primary human pancreatic tumor line", CANCER INVEST., vol. 4, 1986, pages 15 - 23
THOMPSON, J. ET AL., J. MOL. BIOL., vol. 256, 1996, pages 77 - 88
THORPE ET AL.: "Monoclonal Antibodies '84: Biological And Clinical Applications", 1985, article "Antibody Carriers Of Cytotoxic Agents In Cancer Therapy: A Review", pages: 475 - 506
TRAUNECKER ET AL., EMBO J., vol. 10, 1991, pages 3655 - 3659
TREAT ET AL.: "PCR Technology: Principles and Applications for DNA Amplification", 1989, STOCKTON PRESS, pages: 353 - 365
TRUSOLINO, L. ET AL., CELL, vol. 107, 2001, pages 643
UMANA ET AL., NAT. BIOTECHNOL., vol. 17, 1999, pages 176 - 180
UMANA ET AL., NATURE BIOTECHNOLOGY, vol. 17, February 1999 (1999-02-01), pages 176 - 180
VAUGHAN, T. J. ET AL., NATURE BIOTECHNOLOGY, vol. 16, 1998, pages 535 - 539
VERHOEYEN ET AL., SCIENCE, vol. 239, 1988, pages 1534 - 1536
VERMEER ET AL., BIOPHYS. J., vol. 79, 2000, pages 2150 - 2154
WANG ET AL., J IMMUNOL METHODS, vol. 233, 2000, pages 167 - 77
WANG MH ET AL., ACTA PHARMACOLOGICA SINICA, vol. 31, 2010, pages 1181 - 1188
WELLS ET AL., GENE, vol. 34, 1985, pages 315 - 323
WIDE: "Radioimmune Assay Method", 1970, LIVINGSTONE, pages: 199 - 206
WILKINSON ET AL., J IMMUNOL METHODS, vol. 258, 2001, pages 183 - 191
WOLFF ET AL., CANCER RESEARCH, vol. 53, 1993, pages 2560 - 2565
WORK ET AL.: "Laboratory Techniques and Biochemistry in Molecular Biology", 1978, NORTH HOLLAND PUBLISHING COMPANY
XU ET AL., CELL IMMUNOL., vol. 200, 2000, pages 16 - 26
YAMANE-OHNUKI ET AL., BIOTECH. BIOENG., vol. 87, 2004, pages 614
YANG, W. P. ET AL., J. MOL. BIOL., vol. 254, 1995, pages 392 - 403
ZAPATA ET AL., PROTEIN ENG., vol. 8, no. 10, 1995, pages 1057 - 1062
ZOLA: "Monoclonal Antibodies: A Manual of Techniques", 1987, CRC PRESS, INC., pages: 147 - 158

Cited By (11)

* Cited by examiner, † Cited by third party
Publication numberPriority datePublication dateAssigneeTitle
US10792372B2 (en)2017-02-282020-10-06Immunogen, Inc.Maytansinoid derivatives with self-immolative peptide linkers and conjugates thereof
US11135308B2 (en)2017-02-282021-10-05Immunogen, Inc.Maytansinoid derivatives with self-immolative peptide linkers and conjugates thereof
US12390471B2 (en)2017-02-282025-08-19Immunogen, Inc.Maytansinoid derivatives with self-immolative peptide linkers and conjugates thereof
EP4108675A4 (en)*2020-02-202024-05-29Yafei Shanghai Biolog Medicine Science & Technology Co., Ltd. PREPARATION AND USE OF AN IMMUNOSTIMULATOR COUPLING COMPLEX WHICH IS ADMINISTERED AND ACTIVATED IN A TARGETED MANNER
WO2022095934A1 (en)*2020-11-052022-05-12上海津曼特生物科技有限公司Anti-siglec-15 antibody and application thereof in preparing drug
WO2022169975A1 (en)2021-02-032022-08-11Mythic Therapeutics, Inc.Anti-met antibodies and uses thereof
JP2024505577A (en)*2021-02-032024-02-06ミシク セラピューティクス, インコーポレイテッド Antibodies and their uses
EP4494660A2 (en)2021-02-032025-01-22Mythic Therapeutics, Inc.Anti-met antibodies and uses thereof
US12331125B2 (en)2021-02-032025-06-17Mythic Therapeutics, Inc.Anti-cMet antibody-drug conjugates and uses thereof
JP7745640B2 (en)2021-02-032025-09-29ミシク セラピューティクス, インコーポレイテッド Antibodies and uses thereof
WO2024059263A1 (en)*2022-09-152024-03-21Immunogen, Inc.Methods for preparing maytansinoid derivatives with self-immolative peptide linkers

Also Published As

Publication numberPublication date
WO2020014306A8 (en)2020-07-30

Similar Documents

PublicationPublication DateTitle
WO2020014306A1 (en)Met antibodies and immunoconjugates and uses thereof
EP2877493B1 (en)Anti-kit antibodies and uses thereof
US20180230218A1 (en)Met antibodies and immunoconjugates and uses thereof
JP2020174674A (en)TARGETED TGFβ INHIBITION
KR102458196B1 (en) Anti-AXL antagonistic antibody
US20210403594A1 (en)Epcam antibodies, activatable antibodies, and immunoconjugates, and uses thereof
IL263600B2 (en)Anti-b7-h3 antibodies and antibody drug conjugates
EP3558391B1 (en)Immunoconjugates targeting adam9 and methods of use thereof
AU2016285552A1 (en)Anti-CD123 antibodies and conjugates and derivatives thereof
US20210275685A1 (en)Immunoconjugates targeting adam9 and methods of use thereof
EP4410372A1 (en)Antibody, antibody-drug conjugate thereof and use thereof
KR20160098328A (en)Anti-cd33 antibodies and immunoconjugates
EP4484446A1 (en)Antibody, and drug conjugate and use thereof
JP2024503658A (en) Anti-DLL3 antibody-drug conjugate
TWI897855B (en)Epcam antibodies, activatable antibodies, and immunoconjugates, and uses thereof
JP2024528217A (en) Bispecific antibodies and methods of use
HK40015128B (en)Immunoconjugates targeting adam9 and methods of use thereof
HK40015128A (en)Immunoconjugates targeting adam9 and methods of use thereof
HK1241900A1 (en)Anti-her2 antibodies and immunoconjugates
HK1211038B (en)Anti-kit antibodies and uses thereof

Legal Events

DateCodeTitleDescription
121Ep: the epo has been informed by wipo that ep was designated in this application

Ref document number:19755453

Country of ref document:EP

Kind code of ref document:A1

NENPNon-entry into the national phase

Ref country code:DE

122Ep: pct application non-entry in european phase

Ref document number:19755453

Country of ref document:EP

Kind code of ref document:A1


[8]ページ先頭

©2009-2025 Movatter.jp