















本技術は、イメージセンサの分光感度測定方法、分光感度測定装置の検査方法及び分光感度測定装置に関し、特に、イメージセンサを分光器として使用する際の分光感度を測定する分光感度測定方法、分光感度測定装置の検査方法及び分光感度測定装置の技術に関する。The present technology relates to a method for measuring a spectral sensitivity of an image sensor, a method for inspecting a spectral sensitivity measuring device, and a spectral sensitivity measuring device, and particularly relates to a spectral sensitivity measuring method for measuring spectral sensitivity when an image sensor is used as a spectroscope, and a spectral sensitivity. The present invention relates to an inspection method of a measurement device and a technique of a spectral sensitivity measurement device.
近年、デジタルカメラの中心部品である固体撮像装置(イメージセンサ)の需要が、益々高まっている。例えば、CMOS(Complementary Metal Oxide Semiconductor)イメージセンサは、分光器として利用されることが検討されている。In recent years, demand for solid-state imaging devices (image sensors), which are central components of digital cameras, has been increasing. For example, a CMOS (Complementary Metal Oxide Semiconductor) image sensor is being considered for use as a spectroscope.
イメージセンサを分光器として利用する場合は、イメージセンサの分光感度を測定する必要がある。ここで、イメージセンサの分光感度を測定する方法として、単一波長の光源の光をイメージセンサに照射する方法が一般的である。また、一般的な分光感度の測定方法として、例えば、ツェルニターナー型やエバート型の分光測定装置などを用いて測定することが知られている(特許文献1参照)。利用 When using an image sensor as a spectroscope, it is necessary to measure the spectral sensitivity of the image sensor. Here, as a method of measuring the spectral sensitivity of the image sensor, a method of irradiating the image sensor with light of a single wavelength light source is generally used. Further, as a general method of measuring spectral sensitivity, for example, measurement using a Zellnier-type or Evert-type spectrometer is known (see Patent Document 1).
しかしながら、上述した分光感度を測定する分光感度測定装置は、単一波長の光源の波長を変化させながらイメージセンサに照射するため、分光感度を測定するのに長時間を要するという問題があった。However, the above-described spectral sensitivity measuring device for measuring the spectral sensitivity irradiates the image sensor while changing the wavelength of the single wavelength light source, and thus has a problem that it takes a long time to measure the spectral sensitivity.
そこで、本技術は、このような状況に鑑みてなされたものであり、長時間を要さずに分光感度を測定することができる、イメージセンサの分光感度測定方法、分光感度測定装置の検査方法及び分光感度測定装置を提供することを目的とする。Therefore, the present technology has been made in view of such a situation, and a spectral sensitivity measuring method of an image sensor and an inspecting method of a spectral sensitivity measuring device capable of measuring spectral sensitivity without requiring a long time. And a spectral sensitivity measuring device.
本発明者らは、上述の目的を解決するために鋭意研究を行った結果、長時間を要さずに分光感度を測定することに成功し、本技術を完成するに至った。The present inventors have conducted intensive studies to solve the above-mentioned object, and as a result, succeeded in measuring the spectral sensitivity without requiring a long time, and completed the present technology.
すなわち、本技術では、まず、少なくとも2種以上の色から構成される局所領域を複数有するチャートを、当該局所領域ごとに撮像することと、
撮像された前記局所領域に基づいて、前記局所領域に対応する局所画像の画素値を測定することと、
測定された前記局所画像の画素値と、前記局所領域の分光特性とに基づいて、当該局所画像の分光感度を測定することとを含む、イメージセンサの分光感度測定方法を提供する。この場合、前記局所領域を撮像した後、当該局所領域とは異なる局所領域を撮像して、それぞれ前記分光感度を測定し、複数の前記分光感度からイメージセンサの面全体における分光感度を算出するようにしてもよい。That is, in the present technology, first, a chart having a plurality of local regions including at least two or more colors is captured for each of the local regions;
Based on the captured local region, measuring a pixel value of a local image corresponding to the local region,
A spectral sensitivity measurement method for an image sensor, comprising: measuring a spectral sensitivity of a local image based on a measured pixel value of the local image and a spectral characteristic of the local region. In this case, after capturing the local region, a local region different from the local region is captured, the spectral sensitivities are measured, and the spectral sensitivities of the entire surface of the image sensor are calculated from the plurality of spectral sensitivities. It may be.
本技術に係るイメージセンサの分光感度測定方法において、前記局所領域を複数回撮像して、複数の前記局所画像から平均画像を生成することと、
生成された前記平均画像の画素値を測定することと、
測定された前記平均画像の画素値と、前記局所領域の分光特性とに基づいて、当該平均画像の平均分光感度を測定し、複数の前記平均分光感度からイメージセンサの面全体における平均分光感度を算出すること、を含むようにしてもよい。In the spectral sensitivity measurement method for an image sensor according to the present technology, imaging the local region a plurality of times, generating an average image from a plurality of the local images,
Measuring the pixel value of the generated average image;
The average spectral sensitivity of the average image is measured based on the measured pixel values of the average image and the spectral characteristics of the local area, and the average spectral sensitivity over the entire surface of the image sensor is calculated from the plurality of average spectral sensitivities. Calculation may be included.
本技術に係るイメージセンサの分光感度測定方法において、前記局所領域が撮像された後、撮像された当該局所領域に隣接する1以上の色単位で撮像領域を変更し、繰り返し撮像することを含むようにしてもよい。In the spectral sensitivity measurement method for an image sensor according to the present technology, after the local region is imaged, the imaging region is changed in one or more color units adjacent to the imaged local region, and the image is repeatedly captured. Is also good.
本技術に係るイメージセンサの分光感度測定方法において、撮像される撮像面内で分光反射率が略一定の補正用チャートを撮像することと、
撮像された前記補正用チャートに基づいて、前記補正用チャートに対応する第1の補正画像を用いて、チャート画像の輝度ムラを補正する、第1の補正をすることを含むようにしてもよい。In the spectral sensitivity measurement method for an image sensor according to the present technology, imaging a correction chart having a substantially constant spectral reflectance within an imaging surface to be imaged,
Based on the captured correction chart, the first correction may be performed using a first correction image corresponding to the correction chart to correct luminance unevenness of the chart image.
本技術に係るイメージセンサの分光感度測定方法において、前記局所領域を遮光した状態でノイズ除去用画像を撮像することと、
撮像された前記ノイズ除去用画像に基づいて、前記ノイズ除去用画像に対応する第2の補正画像を用いて、チャート画像の固定パターンノイズを除去する、第2の補正をすることを含むようにしてもよい。In the spectral sensitivity measurement method for an image sensor according to the present technology, capturing an image for noise removal in a state where the local region is shielded from light,
The method may also include performing a second correction of removing a fixed pattern noise of a chart image using a second correction image corresponding to the noise removal image based on the captured noise removal image. Good.
本技術に係るイメージセンサの分光感度測定方法において、前記チャートに2以上の照明光が照射され、その照射によって反射された反射光に基づき前記局所領域を撮像することを含むようにしてもよい。分光 The method for measuring the spectral sensitivity of an image sensor according to the present technology may include irradiating the chart with two or more illumination lights, and imaging the local area based on the reflected light reflected by the irradiation.
本技術に係るイメージセンサの分光感度測定方法において、前記チャートを構成する色が、少なくとも1種以上の光源により生成され、前記光源によって生成された色の光を、分光感度を測定するイメージセンサに照射することを含むようにしてもよい。In the method for measuring the spectral sensitivity of an image sensor according to the present technology, the colors configuring the chart are generated by at least one or more light sources, and the light of the color generated by the light sources is converted to an image sensor that measures spectral sensitivity. Irradiation may be included.
本技術に係るイメージセンサの分光感度測定方法において、前記チャートが、検知可能な被写体として形成され、
当該チャートの一部にマーカーが設けられ、
前記マーカーの位置が前記イメージセンサに検知された後、前記局所領域ごとの撮像が開始されることを含むようにしてもよい。In the spectral sensitivity measurement method for an image sensor according to the present technology, the chart is formed as a detectable subject,
A marker is provided in a part of the chart,
After the position of the marker is detected by the image sensor, imaging of the local region may be started.
本技術に係るイメージセンサの分光感度測定方法において、前記チャートが、波長を連続的に変化させ、所定の波長を出力することを含むようにしてもよい。この場合、前記チャートが透過式のチャートにより形成され、
前記局所領域が撮像され、前記局所領域と対向する位置に前記局所画像が生成され、
前記局所画像が生成される前記チャートの逆側から、光を照射するバックライト光源が分光感度を測定するイメージセンサに光を照射することを含むようにしてもよい。In the spectral sensitivity measurement method for an image sensor according to the present technology, the chart may include changing a wavelength continuously and outputting a predetermined wavelength. In this case, the chart is formed by a transmission chart,
The local region is imaged, and the local image is generated at a position facing the local region,
A backlight light source that irradiates light from the opposite side of the chart where the local image is generated may irradiate an image sensor that measures spectral sensitivity with light.
本技術に係るイメージセンサの分光感度測定方法において、前記チャートが透過式のチャートにより形成され、
前記局所領域が撮像され、前記局所領域と対向する位置に前記局所画像が生成され、
前記局所画像が生成される前記チャートの逆側から、光を照射するバックライト光源が分光感度を測定するイメージセンサに光を照射することを含むようにしてもよい。In the spectral sensitivity measuring method of the image sensor according to the present technology, the chart is formed by a transmission chart,
The local region is imaged, and the local image is generated at a position facing the local region,
A backlight light source that irradiates light from the opposite side of the chart where the local image is generated may irradiate an image sensor that measures spectral sensitivity with light.
本技術に係るイメージセンサの分光感度測定方法において、前記チャートには、前記2種以上の色が空間方向に所定の繰り返しによって配列されることを含むようにしてもよい。In the method of measuring the spectral sensitivity of an image sensor according to the present technology, the chart may include that the two or more colors are arranged in a spatial direction by predetermined repetition.
また、本技術では、少なくとも2種以上の色から構成される局所領域を複数有するチャートを、当該局所領域ごとに撮像する撮像部によって撮像することと、
撮像された前記局所領域に基づいて、前記局所領域に対応する局所画像の画素値を測定することと、
測定された前記局所画像の画素値と、前記撮像部の分光感度とに基づいて、前記局所領域の分光特性を測定することと、
測定された前記分光特性に設けられる所定の閾値に基づいて、前記撮像部が良品か否かを閾値判定することと、
前記撮像部を含む分光感度測定装置の選別を行うこと、とを含む、分光感度測定装置の検査方法を提供する。Further, according to the present technology, an image capturing unit that captures a chart including a plurality of local regions including at least two or more colors by an imaging unit that captures the chart for each local region;
Based on the captured local region, measuring a pixel value of a local image corresponding to the local region,
Based on the measured pixel value of the local image and the spectral sensitivity of the imaging unit, measuring the spectral characteristics of the local region,
Based on a predetermined threshold provided for the measured spectral characteristics, to determine whether the imaging unit is non-defective threshold value,
Selecting a spectral sensitivity measuring device including the imaging unit, and providing an inspection method for the spectral sensitivity measuring device.
また、本技術では、少なくとも2種以上の色から構成される局所領域を複数有するチャートを、当該局所領域ごとに撮像する撮像部と、
前記撮像部によって撮像された前記局所領域に基づいて、前記局所領域に対応する局所画像の画素値を測定する画素値測定部と、
前記画素値測定部で測定された前記局所画像の画素値と、前記局所領域の分光特性とに基づいて、当該局所画像の分光感度を測定する分光感度測定部と、を備える分光感度測定装置を提供する。Further, in the present technology, an imaging unit that captures a chart having a plurality of local regions including at least two or more colors for each of the local regions,
A pixel value measurement unit that measures a pixel value of a local image corresponding to the local region based on the local region imaged by the imaging unit;
A spectral sensitivity measuring device including: a pixel value of the local image measured by the pixel value measuring unit; and a spectral sensitivity measuring unit that measures spectral sensitivity of the local image based on spectral characteristics of the local region. provide.
本技術によれば、長時間を要さずに分光感度を測定することができる。なお、本技術の効果は、必ずしも上記の効果に限定されるものではなく、本技術に記載されたいずれかの効果であってもよい。According to the present technology, the spectral sensitivity can be measured without requiring a long time. Note that the effects of the present technology are not necessarily limited to the above effects, and may be any of the effects described in the present technology.
以下、本技術を実施するための好適な形態について図面を参照しながら説明する。なお、以下に説明する実施形態は、本技術の代表的な実施形態の一例を示したものであり、これにより本技術の範囲が狭く解釈されることはない。Hereinafter, a preferred embodiment for carrying out the present technology will be described with reference to the drawings. The embodiment described below is an example of a typical embodiment of the present technology, and the range of the present technology is not interpreted as being narrow.
説明は以下の順序で行う。The description will be made in the following order.
1.本技術の概要
2.第1の実施形態の分光感度測定方法(測定方法1)
3.第2の実施形態の分光感度測定方法(測定方法2)
4.第3の実施形態の分光感度測定方法(測定方法3)
5.第4の実施形態の分光感度測定方法(測定方法4)
6.第5の実施形態の分光感度測定方法(光源とチャートの例1)
7.第6の実施形態の分光感度測定方法(光源とチャートの例2)
8.第7の実施形態の分光感度測定方法(光源とチャートの例3)
9.第8の実施形態の分光感度測定方法(光源とチャートの例4)
10.第9の実施形態の分光感度測定方法(光源とチャートの例5)
11.第10の実施形態の分光感度測定方法(チャートの例)
12.第11の実施形態の分光感度測定装置の検査方法
13.第12の実施形態の分光感度測定装置(第1の例)
14.第13の実施形態の分光感度測定装置(第2の例)1. 1. Overview of the present technology Spectral sensitivity measuring method of the first embodiment (measuring method 1)
3. Spectral sensitivity measuring method of the second embodiment (measuring method 2)
4. Spectral sensitivity measuring method of the third embodiment (measuring method 3)
5. Spectral Sensitivity Measurement Method of Fourth Embodiment (Measurement Method 4)
6. Spectral sensitivity measurement method of the fifth embodiment (Example 1 of light source and chart)
7. Spectral sensitivity measurement method of the sixth embodiment (Example 2 of light source and chart)
8. Spectral sensitivity measurement method of the seventh embodiment (Example 3 of light source and chart)
9. Spectral Sensitivity Measurement Method of Eighth Embodiment (Example 4 of Light Source and Chart)
10. Spectral sensitivity measurement method of ninth embodiment (Example 5 of light source and chart)
11. Spectral sensitivity measurement method of the tenth embodiment (example of chart)
12. 12. Inspection method of spectral sensitivity measuring device of eleventh embodiment Spectral sensitivity measuring device of twelfth embodiment (first example)
14. Spectral sensitivity measuring device of a thirteenth embodiment (second example)
<1.本技術の概要>
本技術は、イメージセンサを分光器として使用する場合に関し、長時間を要さずに分光感度を測定することができる。<1. Overview of this technology>
The present technology relates to a case where an image sensor is used as a spectroscope, and can measure spectral sensitivity without requiring a long time.
例えば、マルチスペクトル画像やハイパースペクトル画像を取得する方法として、Fabry-Perotフィルタを用いる方法や、Plasmonicフィルタを用いる方法が知られている。For example, as a method of acquiring a multispectral image or a hyperspectral image, a method using a Fabry-Perot filter or a method using a Plasmonic filter is known.
しかしながら、Fabry-PerotフィルタやPlasmonicフィルタを使用した場合、Fabry-PerotフィルタやPlasmonicフィルタは、分光感度がカラーフィルタの分光感度よりもばらつきが大きいことが知られている。また、Fabry-PerotフィルタやPlasmonicフィルタを使用して分光感度を測定した場合、デバイスごとのばらつきも大きかった。However, when a Fabry-Perot filter or a Plasmonic filter is used, it is known that the spectral sensitivity of the Fabry-Perot filter or the Plasmonic filter is larger than that of the color filter. Further, when the spectral sensitivity was measured using a Fabry-Perot filter or a Plasmonic filter, there was a large variation among the devices.
そのため、Fabry-PerotフィルタやPlasmonicフィルタを使用する場合は、所定の仕様を示すプロファイルに校正する、キャリブレーションという処理が必要であった。Therefore, when using a Fabry-Perot filter or a Plasmonic filter, a process called calibration for calibrating to a profile showing predetermined specifications was required.
また、Fabry-PerotフィルタやPlasmonicフィルタを用いたセンサの分光感度は、入射角にも依存していた。そのため、Fabry-PerotフィルタやPlasmonicフィルタを使用する場合には、センサ内の像高別に分光感度を測定する必要があった。分光 In addition, the spectral sensitivity of the sensor using the Fabry-Perot filter or the Plasmonic filter also depends on the incident angle. Therefore, when using a Fabry-Perot filter or a Plasmonic filter, it is necessary to measure the spectral sensitivity for each image height in the sensor.
ここで、イメージセンサの分光感度を測定する方法として、単一波長の光源をイメージセンサに照射する方法が一般的に知られている。しかしながら、この方法は、単一波長の波長を変化させながらイメージセンサに照射するため、分光感度測定装置が大型化してしまい、分光感度測定装置が高価となり、さらに測定に長時間を要していた。Here, as a method of measuring the spectral sensitivity of the image sensor, a method of irradiating the image sensor with a light source having a single wavelength is generally known. However, this method irradiates the image sensor while changing the wavelength of a single wavelength, so that the spectral sensitivity measuring device becomes large, the spectral sensitivity measuring device becomes expensive, and the measurement requires a long time. .
これに対し、被写体を撮像することにより、イメージセンサの分光感度を測定する方法が知られている。例えば、被写体として自然物や人工物を撮像して分光感度を測定する方法や色を再現するためのチャートを撮像することにより、分光感度を測定する方法が知られている。On the other hand, there is known a method of measuring the spectral sensitivity of an image sensor by imaging a subject. For example, a method of measuring a spectral sensitivity by imaging a natural or artificial object as a subject or a method of measuring a spectral sensitivity by imaging a chart for reproducing a color are known.
図16に、分光感度を測定する方法の一例として、色を再現するために色見本が配列されたマクベスチャートを撮像する方法を示す。図16は、マクベスチャートをイメージセンサで撮像する例を示した説明図である。FIG. 16 shows, as an example of a method of measuring spectral sensitivity, a method of imaging a Macbeth chart in which color samples are arranged in order to reproduce colors. FIG. 16 is an explanatory diagram showing an example in which a Macbeth chart is imaged by an image sensor.
図16に示すように、チャート200Pは、照明300Pの照明光により照らされている。そして、イメージセンサ100Pは、照明300Pの照明光により照らされたチャート200Pを撮像する。このように、図16では、イメージセンサ100Pがチャート200Pを撮像することを示している。これにより、イメージセンサ100Pは、チャート200Pを撮像し、得られた撮像画像に基づいて、キャリブレーションを行っていた。チ ャ ー ト As shown in FIG. 16, the
しかしながら、イメージセンサ100Pは、撮像画像に基づいて、キャリブレーションを実行しても、イメージセンサ100Pの撮像面における分光感度の変化に対応することができなかった。また、照明300Pの照明光やレンズによるシェーディングの影響も撮像時には考慮されていなかった。However, the
本技術は、上記の事情に鑑みてなされたものである。本技術では、特に、イメージセンサの撮像面の像高を考慮した分光感度を測定することにより、イメージセンサの分光感度を高精度に測定することができる。This technology has been made in view of the above circumstances. In the present technology, in particular, the spectral sensitivity of the image sensor can be measured with high precision by measuring the spectral sensitivity in consideration of the image height of the imaging surface of the image sensor.
<2.第1の実施形態の分光感度測定方法(測定方法1)>
本技術に係る第1の実施形態のイメージセンサの分光感度測定方法は、少なくとも2種以上の色から構成される局所領域を複数有するチャートを、局所領域ごとに撮像することと、撮像された局所領域に基づいて、局所領域に対応する局所画像の画素値を測定することと、測定された局所画像の画素値と、局所領域の分光特性とに基づいて、その局所画像の分光感度を測定することを含む、イメージセンサの分光感度測定方法である。<2. Spectral Sensitivity Measurement Method of First Embodiment (Measurement Method 1)>
The spectral sensitivity measuring method for an image sensor according to the first embodiment of the present technology includes: capturing a chart having a plurality of local regions including at least two or more colors for each local region; Measuring the pixel value of the local image corresponding to the local region based on the region; and measuring the spectral sensitivity of the local image based on the measured pixel value of the local image and the spectral characteristics of the local region. And a method for measuring the spectral sensitivity of the image sensor.
本技術に係る第1の実施形態のイメージセンサの分光感度測定方法によれば、イメージセンサを分光器として使用することにより、分光感度測定装置が高価とならず、また、長時間を要さずに分光感度を測定することができる。According to the method for measuring the spectral sensitivity of the image sensor according to the first embodiment of the present technology, by using the image sensor as a spectroscope, the spectral sensitivity measuring device is not expensive and does not require a long time. The spectral sensitivity can be measured.
ここで、チャートは、撮像される対象である。本技術では、チャートを構成する態様として、3つの態様が想定されている。1つ目は、チャートに光源を当てることにより色見本が形成され、カラーチャートが構成される場合である。2つ目は、チャートの色が光源の光により生成されて、チャートが構成される場合である。3つ目は、チャートが透過式のチャートにより形成されて、バックライト光源を用いて構成される場合である。以下、これら3つの態様について、それぞれ説明する。チ ャ ー ト Here, the chart is an object to be imaged. In the present technology, three modes are assumed as modes for configuring the chart. The first is a case where a color sample is formed by applying a light source to the chart to form a color chart. The second is a case where a chart is configured by generating the color of the chart by the light of the light source. Third, the chart is formed by a transmission chart and is configured using a backlight light source. Hereinafter, each of these three aspects will be described.
図1に、本技術に係る第1の実施形態のイメージセンサの分光感度測定方法の一例を示す。図1は、第1の実施形態のイメージセンサの分光感度測定方法として、イメージセンサ100が、照明300の照明光が照らされているチャート200を撮像する例を示している。FIG. 1 shows an example of a method for measuring the spectral sensitivity of the image sensor according to the first embodiment of the present technology. FIG. 1 shows an example in which an
図2に、本技術に係る第1の実施形態のチャート200の構成の一例を示す。図2は、局所領域201、局所領域202、局所領域203、局所領域204、局所領域205、局所領域206、局所領域207、局所領域208及び局所領域209を有するチャート200を正面から見た正面図である。なお、特に断りがない限り、「右」とは、図2中の右方向を意味し、「下」とは、図2中の下方向を意味する。FIG. 2 shows an example of the configuration of a
図2では、例えば、チャート200は、9つの局所領域(局所領域201、局所領域202、局所領域203、局所領域204、局所領域205、局所領域206、局所領域207、局所領域208及び局所領域209)を有している。各局所領域201~209は、少なくとも2種以上の色から構成されている。一例として、例えば、各局所領域201~209は、同一の色の組み合わせにより構成されている。なお、2種以上とは、色を再現して校正するのに必要な十分な色数を意味するものとする。In FIG. 2, for example, the
ここで、9つの局所領域(局所領域201、局所領域202、局所領域203、局所領域204、局所領域205、局所領域206、局所領域207、局所領域208及び局所領域209)のうち、いずれか1つを特定する必要がない場合は、局所領域を総称して単に局所領域210ということにする。局所領域210は、一例として、4行×6列からなる24色を有している。また、色を構成する最小単位をパッチという。Here, any one of the nine local regions (
図3に、本技術に係る第1の実施形態に係るイメージセンサ100の分光感度測定方法のフローチャートの一例を示す。図3は、第1の実施形態に係るイメージセンサ100の分光感度測定方法を示すフローチャートである。FIG. 3 shows an example of a flowchart of a method for measuring the spectral sensitivity of the
まず、イメージセンサ100は、ユーザの操作に従って、少なくとも2種以上の色から構成される局所領域210を複数有するチャート200を、局所領域210ごとに撮像する(ステップS001)。イメージセンサ100は、局所領域210を撮像することにより、その局所領域210に対応する局所画像を生成する。First, the
次に、イメージセンサ100は、撮像した局所領域210に基づいて、局所領域210に対応する局所画像の画素値を測定する(ステップS003)。イメージセンサ100は、撮像した局所画像に対して信号処理を実施することができるため、局所画像の画素値を測定することができる。Next, the
そして、イメージセンサ100は、測定された局所画像の画素値と、局所領域210の分光特性とに基づいて、その局所画像の分光感度を測定する(ステップS005)。Then, based on the measured pixel values of the local image and the spectral characteristics of the local region 210, the
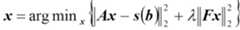
具体的には、イメージセンサ100は、次式を適用し、測定された局所画像の画素値bと、局所領域210の分光特性Aとに基づいて、その局所画像の分光感度xを測定する。Specifically, the
ここで、画素値bは、測定された画素値であるため、観測画素値とも呼ばれる。分光特性Aは、照明300の分光強度とチャート200の分光反射率とから算出することができる既知の値である。Here, the pixel value b is a measured pixel value, and is therefore also referred to as an observed pixel value. The spectral characteristic A is a known value that can be calculated from the spectral intensity of the
局所画像の分光感度xは、方程式の数が十分な場合は、最小二乗法で求めることができる。しかしながら、方程式の数が未知数よりも少ない場合には、解が存在しない、又は解が複数存在する不良設定問題となる。この場合、最小二乗法で分光感度xを解くことができないが、例えば、Tikhonov正則化、Wiener推定、又は2次計画法等により分光感度xを求めることが可能である。分光 The spectral sensitivity x of the local image can be obtained by the least square method when the number of equations is sufficient. However, if the number of equations is smaller than the number of unknowns, there is no solution or a poor setting problem in which a plurality of solutions exist. In this case, the spectral sensitivity x cannot be solved by the least square method, but the spectral sensitivity x can be obtained by, for example, Tikhonov regularization, Wiener estimation, quadratic programming, or the like.
一般に、方程式の数が多い方が解が安定する。そのため、方程式の数を増やすことが望ましい。ここで、方程式の数を増やすためには、撮影する局所領域210の色数を増やすことにより実現することができる。In general, the more equations the more stable the solution. Therefore, it is desirable to increase the number of equations. Here, the number of equations can be increased by increasing the number of colors of the local region 210 to be photographed.
また、例えば、分光感度xの代表値や分散が分かっている場合は、次式のように、分布によらないノンパラメトリックな推定方法により分光感度xの近似解を得ることもできる。For example, when the representative value and the variance of the spectral sensitivity x are known, an approximate solution of the spectral sensitivity x can be obtained by a non-parametric estimation method that does not depend on the distribution as in the following equation.
なお、x0は、分光感度の代表値であり、Σ-1は、分光感度の共分散行列である。Note that x0 is a representative value of the spectral sensitivity, and Σ−1 is a covariance matrix of the spectral sensitivity.
イメージセンサ100は、局所画像ごとの分光感度xを測定することができるので、複数の分光感度xからイメージセンサの面全体における分光感度Xを算出することができる(ステップS007)。即ち、イメージセンサ100は、局所領域210を撮像した後、その局所領域210とは異なる局所領域を撮像して、それぞれ分光感度xを測定し、複数の分光感度xからイメージセンサの面全体における分光感度Xを算出することができる。Since the
なお、イメージセンサ100は、局所領域210を撮像した後、撮像した局所領域210に隣接する1以上の色単位(即ち、パッチ単位)で撮像領域IRを変更し、繰り返し撮像することができる。なお、イメージセンサ100が撮像する領域を、撮像領域IR(図2参照)という。Note that after imaging the local region 210, the
イメージセンサ100は、例えば、1パッチずらして撮像する場合、局所領域201を撮像した後、撮像領域IRを局所領域201の右側に1パッチ分、即ち、1列分ずらして撮像を行う。なお、撮像領域IRをずらす量は、1パッチに限定されるものではない。例えば、撮像領域IRをずらす量が2パッチ分であってもよく、この場合、右側に2列分ずらして撮像を行う。For example, in the case where the image is shifted by one patch, the
また、イメージセンサ100は、局所領域210ごとに繰り返し撮像することができるので、例えば、局所領域201から撮像を開始した場合、局所領域201から局所領域203まで、1パッチずつ撮像することができる。さらに、イメージセンサ100は、下方向にも1パッチずつずらして撮像することができるので、例えば、局所領域201から局所領域203まで撮像した後、撮像領域IRを局所領域201から下方向に1パッチずらし、再び右方向に1パッチずつ撮像することができる。{Circle around (2)} Since the
このように、イメージセンサ100は、複数の局所領域210に対応する複数の局所画像の分光感度xを測定する。これにより、イメージセンサ100は、測定した複数の局所画像の分光感度xから補間処理を行い、イメージセンサ100の面全体における分光感度Xを算出する。なお、補間処理は、公知の補間処理を適用することができ、一例として、バイリニア補間やスプライン補間等が適用可能である。また、イメージセンサ100の面全体とは、イメージセンサ100が光を受光する面全体をいう。例えば、イメージセンサ100がフォトダイードを備えるときは、フォトダイオードの受光面の全体をいう。As described above, the
以上説明したように、第1の実施形態のイメージセンサ100の分光感度測定方法では、少なくとも2種以上の色から構成される局所領域210を複数有するチャート200を、局所領域210ごとに撮像する。また、第1の実施形態のイメージセンサ100の分光感度測定方法は、撮像された局所領域210に基づいて、局所領域に対応する局所画像の画素値bを測定する。そして、第1の実施形態のイメージセンサ100の分光感度測定方法は、測定された局所画像の画素値bと、局所領域の分光特性Aとに基づいて、その局所画像の分光感度xを測定し、複数の分光感度xからイメージセンサの面全体における分光感度Xを算出する。As described above, in the method for measuring the spectral sensitivity of the
これにより、本技術に係る第1の実施形態のイメージセンサ100の分光感度測定方法は、単一波長の光源の波長を変化させる必要が無いため、長時間を要さずに分光感度を測定することができる。特に、第1の実施形態のイメージセンサ100の分光感度測定方法は、チャート200の局所領域210をパッチ単位で細かく分割し、分光特性を測定することができるので、イメージセンサの面全体における分光感度を高精度に測定することができる。Accordingly, the spectral sensitivity measuring method of the
<3.第2の実施形態の分光感度測定方法(測定方法2)>
本技術に係る第2の実施形態のイメージセンサの分光感度測定方法は、局所領域を複数回撮像して、複数の局所画像から平均画像を生成することと、生成された平均画像の画素値を測定することと、測定された平均画像の画素値と、局所領域の分光特性とに基づいて、その平均画像の平均分光感度を測定し、複数の平均分光感度からイメージセンサの面全体における平均分光感度を算出すること、を含む、イメージセンサの分光感度測定方法である。<3. Spectral Sensitivity Measurement Method of Second Embodiment (Measurement Method 2)>
The spectral sensitivity measurement method for an image sensor according to the second embodiment of the present technology captures a local region a plurality of times, generates an average image from the plurality of local images, and calculates a pixel value of the generated average image. Measuring, measuring the average spectral sensitivity of the average image based on the measured pixel values of the average image and the spectral characteristics of the local region, and measuring the average spectral sensitivity over the entire surface of the image sensor from the plurality of average spectral sensitivities. Calculating a sensitivity, which is a method for measuring the spectral sensitivity of the image sensor.
第2の実施形態のイメージセンサの分光感度測定方法では、第1の実施形態で説明したフローチャートのステップS001において、イメージセンサ100が、局所領域210を複数回撮像する。例えば、第2の実施形態のイメージセンサ100の分光感度測定方法では、同一の局所領域210を複数回撮像することにより、複数の局所画像を生成することができる。そして、イメージセンサ100は、複数の局所画像から平均画像を生成する。In the method for measuring the spectral sensitivity of an image sensor according to the second embodiment, in step S001 of the flowchart described in the first embodiment, the
これにより、第2の実施形態のイメージセンサ100の分光感度測定方法では、ステップS003において、その生成された平均画像の画素値を測定することができる。また、第2の実施形態のイメージセンサ100の分光感度測定方法では、ステップS005において、イメージセンサ100が、測定された平均画像の画素値bと、局所領域の分光特性Aとに基づいて、その平均画像の平均分光感度を測定する。そして、第2の実施形態のイメージセンサの分光感度測定方法では、ステップS007において、複数の平均分光感度からイメージセンサの面全体における平均分光感度を算出することができる。Accordingly, in the spectral sensitivity measuring method for the
以上説明したように、第2の実施形態のイメージセンサ100の分光感度測定方法では、局所領域210を複数回撮像して、複数の局所画像から平均画像を生成する。また、第2の実施形態のイメージセンサ100の分光感度測定方法では、生成された平均画像の画素値bを測定し、測定された平均画像の画素値bと、局所領域の分光特性Aとに基づいて、その平均画像の平均分光感度を測定する。これにより、第2の実施形態のイメージセンサ100の分光感度測定方法では、複数の平均分光感度からイメージセンサの面全体における平均分光感度を算出することができる。As described above, in the spectral sensitivity measurement method of the
<4.第3の実施形態の分光感度測定方法(測定方法3)>
本技術に係る第3の実施形態のイメージセンサの分光感度測定方法は、撮像される撮像面内で分光反射率が略一定の補正用チャートを撮像することと、撮像された補正用チャートに基づいて、補正用チャートに対応する第1の補正画像を用いて、チャート画像の輝度ムラを補正する、第1の補正をすることを含む、イメージセンサの分光感度測定方法である。<4. Spectral Sensitivity Measurement Method of Third Embodiment (Measurement Method 3)>
The spectral sensitivity measuring method of the image sensor according to the third embodiment of the present technology captures a correction chart having a substantially constant spectral reflectance within an imaging surface where an image is captured and uses the correction chart based on the captured correction chart. And correcting the luminance unevenness of the chart image using the first correction image corresponding to the correction chart, and performing the first correction.
第3の実施形態のイメージセンサの分光感度測定方法では、第1の実施形態で説明したフローチャートの処理に加えて、さらに、イメージセンサ100が、分光反射率が一定の補正用チャートを撮像し、シェーディングを測定する。これにより、第3の実施形態のイメージセンサの分光感度測定方法は、チャート200(又は局所領域210)を撮像して得られた画像に対して、第1の補正としてのシェーディング補正を行うことができる。In the spectral sensitivity measuring method for an image sensor according to the third embodiment, in addition to the processing of the flowchart described in the first embodiment, the
図4に、本技術に係る第3の実施形態に係るイメージセンサ100の分光感度測定方法のシェーディング補正を実行する場合のフローチャートの一例を示す。図4は、第1の実施形態に係るイメージセンサ100の分光感度測定方法において、シェーディング補正を実行する場合のフローチャートである。なお、図3のイメージセンサ100の分光感度測定方法と同一の処理には同一の符号を付し、説明を適宜省略するものとする。FIG. 4 shows an example of a flowchart in the case where shading correction is performed in the method for measuring the spectral sensitivity of the
まず、イメージセンサ100は、撮像される撮像面内で分光反射率が略一定の補正用チャートを撮像し、シェーディングを測定する(ステップS101)。ここで、分光反射率が略一定とは、例えば、補正用チャートの分光反射率の50%を基準とした場合、分光反射率が48%から52%となる分光反射率を略一定とする。即ち、例えば、分光反射率を所定の基準値(例えば、50%)に対し、±2%の幅を略一定と規定することができる。また、分光反射率が一定とは、略一定に含まれるものとする。また、基準値となる50%は、所望の値に設定することができる。First, the
イメージセンサ100は、補正用チャートを撮像すると、シェーディング補正関数sを示す次式を適用し、シェーディング補正データを求める。
次に、イメージセンサ100は、局所領域210ごとに撮像し、その局所領域210に対応する局所画像を生成する(ステップS001)。イメージセンサ100は、局所領域210に基づいて、局所領域210に対応する局所画像の画素値bを測定する(ステップS003)。Next, the
次に、イメージセンサ100は、画素値bにシェーディング補正関数sを適用することにより、輝度ムラを補正することができる(ステップS103)。Next, the
そして、イメージセンサ100は、第1の実施形態に係るイメージセンサ100の分光感度測定方法と同様に、Tikhonov正則化を適用し、次式により、輝度ムラを補正したセンサの分光感度xを求めることができる(ステップS005)。
なお、λは、正則化パラメータを意味し、Fは、1次微分方程式、2次微分方程式からなる微分行列とする。Note that λ represents a regularization parameter, and F is a differential matrix composed of a first-order differential equation and a second-order differential equation.
なお、ステップS101では、補正用チャートを1回撮像するようになっていたが、補正用チャートを複数回撮像し、白平均画像を生成するようにしてもよい。この場合、イメージセンサ100は、補正用チャートを複数回撮像した白平均画像を、本技術の第1の実施形態に適用できるだけでなく、本技術の第2の実施形態にも適用することができる。In step S101, the correction chart is imaged once, but the correction chart may be imaged a plurality of times to generate a white average image. In this case, the
また、シェーディング補正データの算出方法は、式(3)に限定されるものではない。例えば、イメージセンサ100は、局所領域210を撮像し、局所画像の輝度値を足した値を元に撮像面内での輝度を評価し、その逆関数をシェーディング補正関数とすることもできる。算出 Also, the method of calculating the shading correction data is not limited to the equation (3). For example, the
また、イメージセンサ100は、チャート200を用いて局所領域210を撮像することにより、補正用チャートに相当するデータを生成することができる。{Circle around (2)} The
図5に、補正用チャートに相当するシェーディング補正データの測定方法を示す。図5は、シェーディング補正データを測定する場合の概念を示した説明図である。FIG. 5 shows a method of measuring shading correction data corresponding to a correction chart. FIG. 5 is an explanatory diagram showing the concept when measuring shading correction data.
図5Aでは、チャート200の各局所領域210の一部に分光反射率が略一定の領域があることを示している。イメージセンサ100は、例えば、分光反射率が略一定の領域として、局所領域201の白色領域201W、局所領域202の白色領域202W、局所領域203の白色領域203W、局所領域204の白色領域204W、局所領域205の白色領域205W、局所領域206の白色領域206W、局所領域207の白色領域207W、局所領域208の白色領域208W及び局所領域209の白色領域209Wを撮像する。FIG. 5A shows that there is a region where the spectral reflectance is substantially constant in a part of each local region 210 of the
これにより、イメージセンサ100は、分光反射率が略一定の領域であるチャート200の9つの白色領域201W~白色領域209Wを撮像領域IRに含めることができる。そして、イメージセンサ100は、9つの白色領域201W~白色領域209Wの撮像データを補間することにより、図5Bに示すシェーディング補正データCCを生成することができる。Thereby, the
ここで、照明のムラは、低周波な変化であるため、離散的なデータでも十分な精度で補間することができる。さらに、イメージセンサ100は、撮像した画像データから輝度画像を生成することができるので、シェーディング補正を実行することができる。Here, since the unevenness of illumination is a low-frequency change, discrete data can be interpolated with sufficient accuracy. Furthermore, since the
<5.第4の実施形態の分光感度測定方法(測定方法4)>
本技術に係る第4の実施形態のイメージセンサの分光感度測定方法は、局所領域を遮光した状態でノイズ除去用画像を撮像することと、撮像されたノイズ除去用画像に基づいて、ノイズ除去用画像に対応する第2の補正画像を用いて、チャート画像の固定パターンノイズを除去する、第2の補正をすることを含む、イメージセンサの分光感度測定方法である。<5. Spectral Sensitivity Measurement Method of Fourth Embodiment (Measurement Method 4)>
The spectral sensitivity measuring method for an image sensor according to the fourth embodiment of the present technology includes capturing an image for noise removal in a state where a local region is shielded from light, and performing noise reduction based on the captured image for noise removal. A spectral sensitivity measurement method for an image sensor, comprising: performing a second correction to remove a fixed pattern noise of a chart image using a second corrected image corresponding to the image.
第4の実施形態のイメージセンサの分光感度測定方法では、第1の実施形態で説明したフローチャートの処理に加えて、さらに、イメージセンサ100が、局所領域210を遮光した状態でノイズ除去用画像を撮像する。これにより、第4の実施形態のイメージセンサの分光感度測定方法では、撮像されたノイズ除去用画像に基づいて、ノイズ除去用画像に対応する第2の補正画像を用いて、第2の補正としての固定パターンノイズを除去する補正をことができる。In the method of measuring the spectral sensitivity of the image sensor according to the fourth embodiment, in addition to the processing of the flowchart described in the first embodiment, the
図6に、本技術に係る第4の実施形態のイメージセンサ100の分光感度測定方法の固定パターンノイズを除去する補正を実行する場合のフローチャートの一例を示す。図6は、第1の実施形態に係るイメージセンサ100の分光感度測定方法において、固定パターンノイズを除去する補正を実行する場合のフローチャートである。なお、図3のイメージセンサ100の分光感度測定方法と同一の処理には、同一の符号を付し、説明を適宜省略するものとする。FIG. 6 shows an example of a flowchart in the case where correction for removing fixed pattern noise is performed in the method for measuring the spectral sensitivity of the
まず、イメージセンサ100は、局所領域210を遮光した状態でノイズ除去用画像を撮像する(ステップS201)。イメージセンサ100は、ノイズ除去用画像を撮像することにより、固定パターンノイズを測定することができる。First, the
次に、イメージセンサ100は、局所領域210ごとに撮像し、その局所領域210に対応する局所画像を生成する(ステップS001)。Next, the
そして、イメージセンサ100は、局所領域210に対応する局所画像の画素ごとに固定パターンノイズを除去する(ステップS203)。Then, the
これにより、イメージセンサ100は、固定パターンノイズを除去した局所画像の画素値を測定する(ステップS003)。Thereby, the
このように、本技術に係る第4の実施形態のイメージセンサ100の分光感度測定方法は、局所画像の固定パターンノイズを除去することができるので、分光感度の測定を高精度に行うことができる。なお、本技術に係る第4の実施形態のイメージセンサ100の分光感度測定方法は、第1の実施形態のイメージセンサ100の分光感度測定方法に適用できるだけでなく、第2の実施形態又は第3の実施形態のイメージセンサ100の分光感度測定方法にも重畳して適用することができる。As described above, the spectral sensitivity measurement method of the
例えば、ステップS201では、ノイズ除去用画像を1回撮像するようになっていたが、ノイズ除去用画像を複数回撮像し、平均画像を生成するようにしてもよい。この場合、イメージセンサ100は、ノイズ除去用画像を複数回撮像した平均画像を、本技術の第1の実施形態のイメージセンサ100の分光感度測定方法に適用できるだけでなく、本技術の第2の実施形態又は第3の実施形態のイメージセンサ100の分光感度測定方法にも重畳して適用することができる。For example, in step S201, the noise removal image is captured once, but the noise removal image may be captured a plurality of times to generate an average image. In this case, the
<6.第5の実施形態の分光感度測定方法(光源とチャートの例1)>
本技術に係る第5の実施形態のイメージセンサの分光感度測定方法は、前記チャートを構成する色が、少なくとも1種以上の光源により生成され、当該チャートが、分光感度を測定するイメージセンサにLED又はレーザ光等、様々な光源による光を照射することを含む、イメージセンサの分光感度測定方法である。<6. Spectral Sensitivity Measurement Method of Fifth Embodiment (Example 1 of Light Source and Chart)>
According to a fifth embodiment of the present invention, there is provided a method for measuring spectral sensitivity of an image sensor, wherein the colors constituting the chart are generated by at least one or more light sources, and the chart includes an LED for the image sensor for measuring the spectral sensitivity. Alternatively, it is a method for measuring the spectral sensitivity of an image sensor, which includes irradiating light from various light sources such as laser light.
本技術に係る第5の実施形態のイメージセンサの分光感度測定方法によれば、チャートが、分光感度を測定するイメージセンサに、例えば、LED又はレーザ光を照射することができるので、イメージセンサは、狭帯域の光源を使用して、その波長の分光感度を直接測定することができる。According to the method for measuring the spectral sensitivity of the image sensor according to the fifth embodiment of the present technology, the chart can irradiate, for example, an LED or a laser beam to the image sensor that measures the spectral sensitivity. The spectral sensitivity at that wavelength can be directly measured using a narrow band light source.
図7に、本技術に係る第5の実施形態のイメージセンサ100の分光感度測定方法を示す。図7は、本技術に係る第5の実施形態のイメージセンサ100の分光感度測定方法として、チャート224がイメージセンサ100に光を照射し、イメージセンサ100の分光感度の測定方法を示した説明図である。FIG. 7 shows a method for measuring the spectral sensitivity of the
図7Aは、チャート224が光源220により構成され、イメージセンサ100に光を照射する構成を示した説明図である。また、図7Bは、チャート224が照射する光の構成例を示した説明図である。FIG. 7A is an explanatory diagram showing a configuration in which the
図7Aに示すように、チャート224は、光源220により構成されている。チャート224を構成する色は、少なくとも1種以上の光源により生成されている。例えば、光源220は、青色光源221、緑色光源222及び赤色光源223を有している。また、光源220は、第1のミラー231、第2のミラー232及び第3のミラー233を有している。なお、図7Aでは、光源が3つの場合を例示しているが、光源の数は3つに限定されるものではない。例えば、第5の実施形態では、光源を10個程度、設けるようにしてもよい。この場合、紫外線や赤外線なども含めるようにしてもよい。チ ャ ー ト As shown in FIG. 7A, the
第1のミラー231は、青色光源221から出射された光をイメージセンサ100に向けて反射する。第2のミラー232は、緑色光源222から出射された光をイメージセンサ100に向けて反射する。第3のミラー233は、赤色光源223から出射された光をイメージセンサ100に向けて反射する。The
図7Bに示すように、チャート224は、青色光源221A、緑色光源222A及び赤色光源223Aの光をイメージセンサ100に照射することができる。BAs shown in FIG. 7B, the
これにより、本技術に係る第5の実施形態のイメージセンサ100の分光感度測定方法では、チャート224は、例えば、狭帯域光源を使用して、イメージセンサ100にLED又はレーザ光を照射することができるので、波長を高精度に測定することができる。Accordingly, in the spectral sensitivity measurement method for the
<7.第6の実施形態の分光感度測定方法(光源とチャートの例2)>
本技術に係る第6の実施形態のイメージセンサの分光感度測定方法は、チャートが、検知可能な被写体として形成され、そのチャートの一部にマーカーが設けられ、マーカーの位置がイメージセンサに検知された後、局所領域ごとの撮像が開始されることを含む、イメージセンサの分光感度測定方法である。<7. Spectral Sensitivity Measuring Method of Sixth Embodiment (Example 2 of Light Source and Chart)>
In the spectral sensitivity measuring method for an image sensor according to the sixth embodiment of the present technology, a chart is formed as a detectable subject, a marker is provided in a part of the chart, and the position of the marker is detected by the image sensor. After that, the imaging sensitivity of the image sensor is started, including starting imaging for each local area.
本技術に係る第6の実施形態のイメージセンサの分光感度測定方法によれば、イメージセンサ100がチャート200の一部であるマーカーを検知すると、イメージセンサ100の分光感度測定方法を開始することができる。According to the image sensor spectral sensitivity measuring method of the sixth embodiment of the present technology, when the
図8に、本技術に係る第6の実施形態のイメージセンサ100の分光感度測定方法の一例として、マーカー320、マーカー321、マーカー322、マーカー323及びマーカー324がチャート250に形成された例を示す。図8は、第6の実施形態のイメージセンサ100の分光感度測定方法として、マーカー320、マーカー321、マーカー322、マーカー323及びマーカー324が形成されたチャート250を示した説明図である。FIG. 8 illustrates an example in which a
第6の実施形態では、チャート250は、検知可能な被写体として形成される。そして、チャート250には、5つのマーカー320~324が設けられている。例えば、マーカー320は、チャート位置検出用光源として、青色を点灯する。マーカー321は、チャート位置検出用光源として、赤色を点灯する。マーカー322は、チャート位置検出用光源として、緑色を点灯する。マーカー323は、チャート位置検出用光源として、黄色を点灯する。マーカー324は、チャート位置検出用光源として、シアン色を点灯する。で は In the sixth embodiment, the
例えば、5つのマーカー320~324のうち、少なくともいずれかのマーカーが点灯し、点灯しているマーカーをイメージセンサ100が検知すると、その点灯するマーカーの位置が検出され、イメージセンサ100は、検知したマーカーを消灯させる。For example, when at least one of the five
これにより、本技術に係る第6の実施形態のイメージセンサの分光感度測定方法では、イメージセンサ100が、検知したマーカーのチャート位置検出用光源を消灯させ、局所領域210ごとに撮像を開始することができる。第6の実施形態のイメージセンサ100の分光感度測定方法では、イメージセンサ100が撮像開始位置を特定することができるので、チャート250のパッチの分光特性が変化することを防止することができる。Thereby, in the spectral sensitivity measuring method of the image sensor according to the sixth embodiment of the present technology, the
なお、マーカー320~324は、5つに限定されるものではなく、チャート位置検出用光源として光源の数を増やしてもよい。この場合、光源の数が増えることにより、マーカーを検知する精度を向上させることができる。Note that the number of
また、マーカー320~324は、光源の色数を増やし、検知される情報を増やすことも可能である。なお、マーカー320~324は、光源に限定されるものではなく、イメージセンサ100で検知することが可能な被写体であってもよい。例えば、マーカーの代わりに光学フィルタや塗料を適用することにより、本技術に係る第6の実施形態のイメージセンサの分光感度測定方法が適用可能である。{Circle around (3)} The
<8.第7の実施形態の分光感度測定方法(光源とチャートの例3)>
本技術に係る第7の実施形態のイメージセンサの分光感度測定方法は、チャートに2以上の照明光が照射され、その照射によって反射された反射光に基づき局所領域を撮像することを含む、イメージセンサの分光感度測定方法である。<8. Spectral Sensitivity Measurement Method of Seventh Embodiment (Example 3 of Light Source and Chart)>
The method for measuring the spectral sensitivity of an image sensor according to the seventh embodiment of the present technology includes the steps of: irradiating a chart with two or more illuminating lights; and imaging a local area based on the reflected light reflected by the irradiation. This is a method for measuring the spectral sensitivity of the sensor.
本技術に係る第7の実施形態のイメージセンサの分光感度測定方法によれば、例えば、チャートに複数の光源を照射し、その反射した光を撮像することができる。さらに、複数のチャートを設け、複数の照明の照明光が複数のチャートに照射して、その照射によって反射された反射光に基づいて局所領域を撮像するようにしてもよい。また、照明光は、例えば、LED又はレーザ光であって、反射されたLED又はレーザ光に基づき局所領域を撮像するようにしてもよい。また、照明光は、ハロゲンランプ、キセノンランプ又は蛍光灯等であって、反射されたハロゲンランプ、キセノンランプ又は蛍光灯等に基づき局所領域を撮像するようにしてもよい。According to the spectral sensitivity measuring method of the image sensor according to the seventh embodiment of the present technology, for example, a chart can be irradiated with a plurality of light sources, and the reflected light can be imaged. Further, a plurality of charts may be provided, a plurality of charts may be irradiated with illumination light of a plurality of illuminations, and a local region may be imaged based on the reflected light reflected by the irradiation. Further, the illumination light may be, for example, an LED or laser light, and the local area may be imaged based on the reflected LED or laser light. The illumination light may be a halogen lamp, a xenon lamp, a fluorescent lamp, or the like, and the local area may be imaged based on the reflected halogen lamp, xenon lamp, a fluorescent lamp, or the like.
図9に、本技術に係る第7の実施形態のイメージセンサの分光感度測定方法を示す。図9は、第7の実施形態のイメージセンサの分光感度測定方法として、チャート200、チャート241及びチャート242に、照明300、照明301及び照明302が照明光を照射していることを示した説明図である。FIG. 9 shows a method for measuring the spectral sensitivity of the image sensor according to the seventh embodiment of the present technology. FIG. 9 illustrates a
第7の実施形態のイメージセンサの分光感度測定方法では、例えば、1枚のチャート200に照明300、照明301及び照明302の照明光を照射することができるので様々な波長の分光測定を行うことができる。また、チャート200、チャート241及びチャート242に、照明300、照明301及び照明302の照明光を照射することもできるので、より一層、様々な波長の分光感度を測定することができる。In the spectral sensitivity measuring method of the image sensor according to the seventh embodiment, for example, the illumination light of the
<9.第8の実施形態の分光感度測定方法(光源とチャートの例4)>
本技術に係る第8の実施形態のイメージセンサの分光感度測定方法は、チャートが、波長を連続的に変化させ、所定の波長を出力することを含む、イメージセンサの分光感度測定方法である。<9. Spectral Sensitivity Measurement Method of Eighth Embodiment (Example 4 of Light Source and Chart)>
The spectral sensitivity measuring method for an image sensor according to the eighth embodiment of the present technology is a method for measuring the spectral sensitivity of an image sensor, in which a chart continuously changes a wavelength and outputs a predetermined wavelength.
本技術に係る第8の実施形態のイメージセンサの分光感度測定方法では、波長を連続的に変化させて所定の波長を出力するチャートであればよく、透過式であっても反射式であっても良い。以下、透過式のチャートを用いて、波長を連続的に変化させる場合について、説明する。なお、反射式のチャートの場合については、プリズムを用いることにより所定の波長を出力することができる。In the spectral sensitivity measuring method for the image sensor according to the eighth embodiment of the present technology, any chart may be used as long as the chart continuously changes the wavelength and outputs a predetermined wavelength. Is also good. Hereinafter, a case where the wavelength is continuously changed using a transmission chart will be described. In the case of a reflection chart, a predetermined wavelength can be output by using a prism.
本技術に係る第8の実施形態のイメージセンサの分光感度測定方法は、チャートが透過式のチャートにより形成されている。透過式チャートは、局所領域が撮像され、局所領域と対向する位置に局所画像が生成され、局所画像が生成されるチャートの逆側から、光を照射するバックライト光源が分光感度を測定するイメージセンサに光を照射する。分光 In the spectral sensitivity measuring method of the image sensor according to the eighth embodiment of the present technology, the chart is formed by a transmission chart. A transmission chart is an image in which a local area is imaged, a local image is generated at a position facing the local area, and a backlight light source that irradiates light from the opposite side of the chart where the local image is generated measures spectral sensitivity. Irradiates the sensor with light.
本技術に係る第8の実施形態のイメージセンサの分光感度測定方法によれば、例えば、バックライト光源を用いて、透過式のチャートを通った光をイメージセンサが撮影することができる。なお、透過式のチャートとして、ガラスフィルタやリニアバリアブルフィルタなどを用いることができる。According to the spectral sensitivity measuring method of the image sensor according to the eighth embodiment of the present technology, for example, the image sensor can capture light passing through a transmission chart using a backlight light source. Note that a glass filter, a linear variable filter, or the like can be used as the transmission chart.
図10に、本技術に係る第8の実施形態のイメージセンサ100の分光感度測定方法において、チャート200がリニアバリアブルフィルタで構成され、イメージセンサ100に光を照射する一例を示す。図10は、第8の実施形態のイメージセンサ100の分光感度測定方法として、バックライト光源330を用いてイメージセンサ100に光を照射する分光感度測定方法の一例を示す説明図である。なお、図10において、「右」とは、図10中において右方向を意味し、「下」とは、図10中において下方向を意味するものとする。FIG. 10 shows an example in which the
図10に示すように、バックライト光源330は、バックライト331と、リニアバリアブルフィルタ332と、ガラス基板333とを備えている。よ う As shown in FIG. 10, the
バックライト331は、リニアバリアブルフィルタ332の右側から、左方向に位置するイメージセンサ(図示せず)に向けて光を照射する。バックライト331は、例えば、ハロゲンランプやキセノンランプ等を光源として、リニアバリアブルフィルタ332を介して様々な波長の光をイメージセンサ(図示せず)に照射する。The
リニアバリアブルフィルタ332は、多層膜フィルタの入射位置を長手方向に移動させることで、波長を連続的に変化させ、所定の波長を出力することができる楔形のフィルタである。リニアバリアブルフィルタ332は、分光特性が線形に変化するため、照射する色を増やすことができる。The linear
ガラス基板333は、バックライト光源330の出射側に設けられる。ガラス基板333は、リニアバリアブルフィルタ332を保護するために設けられる。The
本技術に係る第8の実施形態のイメージセンサ100の分光感度測定方法によれば、バックライト331とリニアバリアブルフィルタ332との組み合わせによって、イメージセンサ100に照射する色数を増やすことができるため、分光感度を測定する際の解を安定させることができる。According to the spectral sensitivity measuring method for the
<10.第9の実施形態の分光感度測定方法(光源とチャートの例5)>
本技術に係る第9の実施形態のイメージセンサの分光感度測定方法は、チャートが透過式のチャートにより形成され、局所領域が撮像され、局所領域と対向する位置に局所画像が生成され、局所画像が生成されるチャートの逆側から、光を照射するバックライト光源が分光感度を測定するイメージセンサに光を照射することを含む、イメージセンサの分光感度測定方法である。<10. Spectral Sensitivity Measurement Method of Ninth Embodiment (Example 5 of Light Source and Chart)>
In the spectral sensitivity measuring method for an image sensor according to the ninth embodiment of the present technology, a chart is formed by a transmission chart, a local area is imaged, a local image is generated at a position facing the local area, and a local image is generated. Is a method for measuring the spectral sensitivity of an image sensor, which includes irradiating a backlight light source that irradiates light to an image sensor that measures spectral sensitivity from the opposite side of the chart in which the image sensor is generated.
本技術に係る第9の実施形態のイメージセンサの分光感度測定方法によれば、例えば、バックライト光源を用いて、透過式のチャートを通った光をイメージセンサが撮影することができる。なお、透過式のチャートとして、ガラスフィルタを用いることができる。According to the spectral sensitivity measuring method of the image sensor according to the ninth embodiment of the present technology, for example, the image sensor can capture light passing through a transmission chart using a backlight light source. Note that a glass filter can be used as a transmission chart.
図11に、本技術に係る第8の実施形態のイメージセンサ100の分光感度測定方法において、チャート200がガラスフィルタで構成され、イメージセンサ100に光を照射する一例を示す。図11は、第9の実施形態のイメージセンサ100の分光感度測定方法において、バックライト光源340を用いてイメージセンサ100に光を照射する分光感度測定方法の一例を示す説明図である。なお、図10と同一の構成には同一の符号を付して、説明を適宜省略する。また、図11において、「右」とは、図11中に対して右方向を意味し、「下」とは、図11中に対して下方向を意味するものとする。FIG. 11 shows an example in which the
図11に示すように、バックライト光源340は、バックライト331と、ガラスフィルタ334と、ガラス基板333とを備えている。バ ッ ク As shown in FIG. 11, the
バックライト331は、透過式のチャート200であるガラスフィルタ334に、例えば、白色光を照射する。なお、バックライト331は、白色光に限定されるものではなく、例えば、ハロゲンランプやキセノンランプ等を光源として、ガラスフィルタ334を介して様々な波長の光をイメージセンサ(図示せず)に照射してもよい。The
ガラスフィルタ334は、一例として、例えば、バックライト331から白色光が照射されることにより、チャート200が有する色をイメージセンサ100に向けて照射する。ガラスフィルタ334は、様々な光源が適用可能なバックライト331から照射されるため、照射された様々な光源に対応する波長の光を、イメージセンサに照射することができる。また、ガラスフィルタ334は、空間方向に複数のガラスフィルタを備えるようにしてよい。例えば、図2に示したチャート200において、ガラスフィルタ334は、色を構成する1パッチに1つのガラスフィルタを適用し、複数のガラスフィルタから構成されるようにしてもよい。この場合、ガラスフィルタ334は、ガラスフィルタの透過率を周期的に変化させるようにしてもよい。なお、空間方向とは、図2のチャート200において、左下を基準とした場合、右方向と上方向とを空間方向とすることができる。また、空間方向には、平面方向を含ませるようにしてもよい。For example, the
本技術に係る第9の実施形態のイメージセンサ100の分光感度測定方法によれば、バックライト331に対し、ガラスフィルタ334を用いて透過する光を制御することができるので、分光感度を測定する光を調整することができる。According to the spectral sensitivity measuring method of the
<11.第10の実施形態の分光感度測定方法(チャートの例)>
本技術に係る第10の実施形態のイメージセンサの分光感度測定方法は、チャートには、2種以上の色が空間方向に所定の繰り返しによって配列されることを含む、イメージセンサの分光感度測定方法である。<11. Spectral Sensitivity Measurement Method of Tenth Embodiment (Example of Chart)>
A spectral sensitivity measuring method for an image sensor according to a tenth embodiment of the present technology includes a method in which a chart includes two or more colors arranged in a spatial direction by predetermined repetition. It is.
図12に、第10の実施形態のイメージセンサの分光感度測定方法において、2種以上の色が空間方向に配列されるチャートを示す。図12は、第10の実施形態のイメージセンサの分光感度測定方法において適用可能なチャートを示した説明図である。なお、特に断りがない限り、「右」とは、図12中の右方向を意味し、「下」とは、図12中の下方向を意味する。FIG. 12 shows a chart in which two or more colors are arranged in the spatial direction in the spectral sensitivity measuring method for an image sensor according to the tenth embodiment. FIG. 12 is an explanatory diagram showing a chart applicable in the spectral sensitivity measuring method of the image sensor according to the tenth embodiment. Unless otherwise specified, “right” means a right direction in FIG. 12, and “down” means a downward direction in FIG.
図12に示すように、図12Aには、局所領域210に十分な色数が存在するチャート200Aを示す。図12Aのチャート200Aは、2種以上の色が、長手方向及び短手方向に、所定の繰り返しによって配列されている。即ち、十分な色数が存在する局所領域210が、チャート200Aの長手方向及び短手方向に繰り返し配列されている。As shown in FIG. 12, FIG. 12A shows a
図12Bには、2種以上の色が、同心円状の半径方向に、所定の繰り返しによって配列されているチャート200Bを示す。図12Bの場合も同様に、チャート200Bの一部を形成する局所領域には十分な色数が存在する。FIG. 12B shows a
第10の実施形態のイメージセンサの分光感度測定方法では、例えば、図12Aに示すように、十分な色数が存在する局所領域210が、長手方向である右方向や短手方向である下方向に繰り返し設けられていればよい。また、第10の実施形態のイメージセンサの分光感度測定方法は、これに限定されるものではなく、図12Bに示すように、十分な色数が存在する局所領域が、同心円状の半径方向に繰り返し設けられていてもよい。この場合、同心円状の半径方向も空間方向に含まれる。In the spectral sensitivity measuring method of the image sensor according to the tenth embodiment, for example, as shown in FIG. 12A, a local region 210 where a sufficient number of colors exists is located in a rightward direction that is a longitudinal direction or a downward direction that is a lateral direction. Suffices if it is provided repeatedly. Further, the method of measuring the spectral sensitivity of the image sensor according to the tenth embodiment is not limited to this. As shown in FIG. 12B, a local region having a sufficient number of colors is concentrically formed in a radial direction. It may be provided repeatedly. In this case, the concentric radial direction is also included in the spatial direction.
本技術に係る第10の実施形態のイメージセンサの分光感度測定方法では、チャートには、2種以上の色が、空間方向に所定の繰り返しによって配列されているので、分光測定を高精度に行うことができる。In the spectral sensitivity measuring method for an image sensor according to the tenth embodiment of the present technology, since two or more colors are arranged in a chart in a spatial direction by predetermined repetition, spectral measurement is performed with high accuracy. be able to.
<12.第11の実施形態の分光感度測定装置の検査方法>
本技術に係る第11の実施形態の分光感度測定装置の検査方法は、少なくとも2種以上の色から構成される局所領域を複数有するチャートを、その局所領域ごとに撮像する撮像部によって撮像することと、撮像された局所領域に基づいて、局所領域に対応する局所画像の画素値を測定することと、測定された局所画像の画素値と、撮像部の分光感度とに基づいて、局所領域の分光特性を測定することと、測定された分光特性に設けられる所定の閾値に基づいて、撮像部が良品か否かを閾値判定することと、撮像部を含む分光感度測定装置の選別を行うこと、とを含む、分光感度測定装置の検査方法である。<12. Inspection Method of Spectral Sensitivity Measurement Apparatus of Eleventh Embodiment>
In the inspection method of the spectral sensitivity measurement device according to the eleventh embodiment of the present technology, a chart having a plurality of local regions including at least two or more types of colors is captured by an imaging unit that captures an image for each of the local regions. And measuring the pixel value of the local image corresponding to the local region based on the captured local region, and measuring the pixel value of the local image and the spectral sensitivity of the imaging unit based on the spectral sensitivity of the imaging unit. Measuring the spectral characteristics, determining a threshold value as to whether or not the imaging unit is non-defective based on a predetermined threshold value provided for the measured spectral characteristics, and selecting a spectral sensitivity measurement device including the imaging unit. And a method for inspecting a spectral sensitivity measurement device.
本技術に係る第11の実施形態の分光感度測定装置の検査方法によれば、分光感度測定装置として使用するイメージセンサの不良品検査を行うことができ、使用するイメージセンサの選別をすることができる。According to the inspection method of the spectral sensitivity measuring device of the eleventh embodiment according to the present technology, it is possible to inspect a defective image sensor used as a spectral sensitivity measuring device, and to select an image sensor to be used. it can.
なお、第11の実施形態の分光感度測定装置の検査方法では、撮像部の分光感度を測定する方法として、第1の実施形態で示した分光感度測定方法を適用することができる。例えば、第11の実施形態の分光感度測定装置の検査方法では、第1の実施形態で示した分光感度測定方法によって撮像部の分光感度を測定し、この分光感度を使用して、イメージセンサの不良品検査を行うことができる。また、分光感度測定装置は、イメージセンサと別体であっても、又は一体であってもよい。第11の実施形態では、分光感度測定装置の検査方法が、イメージセンサと一体の場合について説明する。In the inspection method of the spectral sensitivity measuring device according to the eleventh embodiment, the spectral sensitivity measuring method described in the first embodiment can be applied as a method for measuring the spectral sensitivity of the imaging unit. For example, in the inspection method of the spectral sensitivity measuring device according to the eleventh embodiment, the spectral sensitivity of the imaging unit is measured by the spectral sensitivity measuring method described in the first embodiment, and the spectral sensitivity is used for the image sensor. Defective product inspection can be performed. Further, the spectral sensitivity measurement device may be separate from the image sensor or may be integrated with the image sensor. In the eleventh embodiment, a case where the inspection method of the spectral sensitivity measurement device is integrated with an image sensor will be described.
図13に、本技術に係る第11の実施形態の分光感度測定装置の検査方法の一例を示す。図13は、第11の実施形態の分光感度測定装置の検査方法として使用する分光感度測定装置の機能ブロック図を示している。FIG. 13 shows an example of an inspection method of the spectral sensitivity measurement device of the eleventh embodiment according to the present technology. FIG. 13 is a functional block diagram of a spectral sensitivity measurement device used as an inspection method of the spectral sensitivity measurement device of the eleventh embodiment.
図13に示すように、分光感度測定装置101は、撮像部10と、画素値測定部20と、照明情報取得部30と、分光感度測定部40と、分光特性測定部41と、閾値判定部60と、選別部70とを備えている。As shown in FIG. 13, the spectral
撮像部10は、少なくとも2種以上の色から構成される局所領域210を複数有するチャート200を、局所領域210ごとに撮像する。The
画素値測定部20は、撮像部10によって撮像された局所領域210に基づいて、局所領域に対応する局所画像の画素値bを測定する。The pixel
照明情報取得部30は、例えば、照明300の分光強度を取得し、取得した照明300の分光強度とチャート200の分光反射率とにより、チャート200の分光特性Aを取得する。なお、チャート200の分光反射率は、既知として予め取得可能な値である。また、例えば、照明情報取得部30は、分光感度測定装置101を分光計として機能させ、チャート200の分光特性Aを測定して取得してもよい。なお、照明300とチャート200によって得られる光の特性をチャート分光ともいう。The illumination
分光感度測定部40は、画素値測定部20で測定された局所画像の画素値bと、局所領域210の分光特性Aとに基づいて、その局所画像の分光感度xを測定する。The spectral
具体的には、分光感度測定部40は、次式を適用し、画素値測定部20で測定された局所画像の画素値bと、局所領域210の分光特性Aとに基づいて、その局所画像の分光感度xを測定する。Specifically, the spectral
なお、局所画像の分光感度xを求める際、方程式の数が十分な場合は、最小二乗法で分光感度xを求めることができる。しかしながら、方程式の数が未知数よりも少ない場合には、いわゆる不良設定問題となる。この場合、最小二乗法で分光感度xを解くことができないが、例えば、Tikhonov正則化、Wiener推定、2次計画法等により分光感度xを求めることが可能である。When the spectral sensitivity x of the local image is obtained, if the number of equations is sufficient, the spectral sensitivity x can be obtained by the least squares method. However, when the number of equations is smaller than the number of unknowns, a so-called bad setting problem occurs. In this case, the spectral sensitivity x cannot be solved by the least square method, but the spectral sensitivity x can be obtained by, for example, Tikhonov regularization, Wiener estimation, quadratic programming, or the like.
一般に、方程式の数が多い方が解が安定する。そのため、方程式の数を増やすためには、撮影するチャート200の局所領域210の色数を増やすことが望ましい。In general, the more equations the more stable the solution. Therefore, in order to increase the number of equations, it is desirable to increase the number of colors of the local region 210 of the
また、分光感度測定部40は、分光感度測定装置101の分光感度xの代表値や分散が分かっている場合には、次式のように、分布によらないノンパラメトリックな推定方法により分光感度xの近似解を得ることもできる。When the representative value and the variance of the spectral sensitivity x of the spectral
なお、x0は、分光感度の代表値であり、Σ-1は、分光感度の共分散行列である。Note that x0 is a representative value of the spectral sensitivity, and Σ−1 is a covariance matrix of the spectral sensitivity.
このように、第11の実施形態に係る分光感度測定装置101の検査方法では、分光特性測定部40が、画素値測定部20で測定された局所画像の画素値bと、局所領域210の分光特性Aとに基づいて、その局所画像の分光感度xを測定する。これにより、第11の実施形態に係る分光感度測定装置101の検査方法は、測定したこの局所画像の分光感度xを、既知である撮像部10の分光感度xとして扱うことができる。また、分光感度測定装置101は、局所領域210を撮像した後、その局所領域210とは異なる局所領域を撮像して、それぞれ分光感度xを測定することができる。これにより、分光感度測定部40は、例えば、複数の分光感度xからイメージセンサの面全体における分光感度Xを算出し、撮像部10の分光感度Xとしてもよい。As described above, in the inspection method of the spectral
次に、分光特性測定部41は、測定された局所画像の画素値bと、撮像部10の分光感度xとに基づいて、局所領域210の分光特性A1を測定する。分光特性測定部41は、撮像部10で撮像された局所領域210の分光特性A1を測定することができる。Next, the spectral
閾値判定部60は、測定された分光特性A1に設けられる所定の閾値に基づいて、撮像部10が良品か否かを閾値判定する。この場合、チャート200の局所領域210の分光特性Aは、既知であるため、分光特性測定部40で測定した局所領域210の分光特性A1が、所定の閾値以内にあるか否かを判定する。The
選別部70は、閾値判定部60の判定結果に基づいて、撮像部10を含む分光感度測定装置101の選別を行う。The
以上説明したように、第11の実施形態の分光感度測定装置101の検査方法では、少なくとも2種以上の色から構成される局所領域210を複数有するチャート200を、局所領域210ごとに撮像する撮像部10により撮像する。第11の実施形態の分光感度測定装置101の検査方法は、撮像部10によって撮像された局所領域210に基づいて、局所領域210に対応する局所画像の画素値bを測定する。そして、第11の実施形態の分光感度測定装置101の検査方法は、測定された局所画像210の画素値bと、既知である撮像部10の分光感度xとに基づいて、局所領域210の分光特性A1を測定する。これにより、第11の実施形態の分光感度測定装置100の検査方法は、測定された分光特性A1に設けられる所定の閾値に基づいて、撮像した撮像部10が良品か否かを閾値判定し、撮像部10を含む分光感度測定装置101の選別を行うことができる。As described above, in the inspection method of the spectral
このように、本技術に係る第11の実施形態に係る分光感度測定装置101の検査方法は、局所領域210の分光特性A1ごとに撮像部10が良品か否か判定することができるので、撮像部10を含む分光感度測定装置100の選別を高精度に行うことができる。As described above, the inspection method of the spectral
<13.第12の実施形態の分光感度測定装置(第1の例)>
本技術に係る第12の実施形態の分光感度測定装置は、少なくとも2種以上の色から構成される局所領域を複数有するチャートを、局所領域ごとに撮像する撮像部と、撮像部によって撮像された局所領域に基づいて、局所領域に対応する局所画像の画素値を測定する画素値測定部と、画素値測定部で測定された局所画像の画素値と、局所領域の分光特性とに基づいて、その局所画像の分光感度を測定する分光感度測定部と、を備えるイメージセンサの分光感度測定装置である。<13. Spectral sensitivity measuring apparatus of twelfth embodiment (first example)>
The spectral sensitivity measurement device according to the twelfth embodiment of the present technology is configured such that an imaging unit that captures a chart having a plurality of local regions including at least two or more colors for each local region and an imaging unit that captures the chart. Based on the local region, a pixel value measurement unit that measures the pixel value of the local image corresponding to the local region, the pixel value of the local image measured by the pixel value measurement unit, and based on the spectral characteristics of the local region, A spectral sensitivity measuring unit for measuring the spectral sensitivity of the local image.
本技術に係る第12の実施形態の分光感度測定装置によれば、イメージセンサを分光器として使用することにより、分光感--度測定装置の大型化を回避することができる。なお、分光感度測定装置には、第11の実施形態で良品と判定された分光感度測定装置を使用することができる。また、第12の実施形態の分光感度測定装置は、イメージセンサと別体であっても、又は一体であってもよい。第12の実施形態では、分光感度測定装置が、イメージセンサと一体の場合について説明する。According to the spectral sensitivity measuring device of the twelfth embodiment of the present technology, by using the image sensor as a spectroscope, it is possible to avoid an increase in the size of the spectral sensitivity measuring device. It should be noted that the spectral sensitivity measuring device determined to be good in the eleventh embodiment can be used as the spectral sensitivity measuring device. In addition, the spectral sensitivity measurement device of the twelfth embodiment may be separate from or integral with the image sensor. In the twelfth embodiment, a case will be described in which the spectral sensitivity measurement device is integrated with an image sensor.
図14に、本技術に係る第11の実施形態の分光感度測定装置の構成の一例を示す。図14は、第12の実施形態に係る分光感度測定装置102の構成の一例を示した機能ブロック図である。FIG. 14 shows an example of the configuration of the spectral sensitivity measurement device of the eleventh embodiment according to the present technology. FIG. 14 is a functional block diagram showing an example of the configuration of the spectral
分光感度測定装置102は、撮像部10と、画素値測定部20と、照明情報取得部30と、分光感度測定部40とを備えている。The spectral
撮像部10は、少なくとも2種以上の色から構成される局所領域210を複数有するチャート200を、局所領域210ごとに撮像する。The
画素値測定部20は、撮像部10によって撮像された局所領域210に基づいて、局所領域に対応する局所画像の画素値bを測定する。The pixel
照明情報取得部30は、例えば、照明300の分光強度を取得し、取得した照明300の分光強度とチャート200の分光反射率とにより、チャート200の分光特性Aを取得する。なお、チャート200の分光反射率は、既知として予め取得可能な値である。また、例えば、照明情報取得部30は、分光感度測定装置102を分光計として機能させ、チャート200の分光特性Aを測定して取得してもよい。なお、照明300とチャート200によって得られる光をチャート分光という。The illumination
分光感度測定部40は、画素値測定部20で測定された局所画像の画素値bと、局所領域210の分光特性Aとに基づいて、その局所画像の分光感度xを測定する。The spectral
具体的には、分光感度測定部41は、次式を適用し、画素値測定部20で測定された局所画像の画素値bと、局所領域210の分光特性Aとに基づいて、その局所画像の分光感度xを測定する。Specifically, the spectral
なお、局所画像の分光感度xを求める際、方程式の数が十分な場合は、最小二乗法で分光感度xを求めることができる。しかしながら、方程式の数が未知数よりも少ない場合には、いわゆる不良設定問題となる。この場合、最小二乗法で分光感度xを解くことができないが、例えば、Tikhonov正則化、Wiener推定、2次計画法等により分光感度xを求めることが可能である。When the spectral sensitivity x of the local image is obtained, if the number of equations is sufficient, the spectral sensitivity x can be obtained by the least squares method. However, when the number of equations is smaller than the number of unknowns, a so-called bad setting problem occurs. In this case, the spectral sensitivity x cannot be solved by the least square method, but the spectral sensitivity x can be obtained by, for example, Tikhonov regularization, Wiener estimation, quadratic programming, or the like.
一般に、方程式の数が多い方が解が安定する。そのため、方程式の数を増やすためには、撮影するチャート200の局所領域210の色数を増やすことが望ましい。In general, the more equations the more stable the solution. Therefore, in order to increase the number of equations, it is desirable to increase the number of colors of the local region 210 of the
また、分光感度測定部40は、分光感度測定装置100の分光感度xの代表値や分散が分かっている場合には、次式のように、分布によらないノンパラメトリックな推定方法により分光感度xの近似解を得ることもできる。When the representative value and the variance of the spectral sensitivity x of the spectral
なお、x0は、分光感度の代表値であり、Σ-1は、分光感度の共分散行列である。Note that x0 is a representative value of the spectral sensitivity, and Σ−1 is a covariance matrix of the spectral sensitivity.
このように、第12の実施形態に係る分光感度測定装置102は、画素値測定部20で測定された局所画像の画素値bと、局所領域210の分光特性Aとに基づいて、その局所画像の分光感度xを測定する。As described above, the spectral
また、分光感度測定部40は、複数の局所領域210に対応する複数の局所画像の分光感度xから補間処理を行うことができるので、イメージセンサの面全体における分光感度Xを算出することもできる。なお、補間処理は、公知の補間処理を適用することができ、一例として、例えば、バイリニア補間やスプライン補間等が適用可能である。Further, since the spectral
このように、分光感度測定装置102は、チャート200よりも撮像領域を細かく分割して分光感度xを測定することができるので、高精度に分光感度xを測定することができる。As described above, the spectral
また、分光感度測定装置102は、撮像部10により、複数の局所領域210を撮像するようになっている。分光感度測定装置102は、例えば、局所領域201を撮像した後、その局所領域210に隣接する色単位(パッチ単位)で撮像領域IRを変更し、繰り返し撮像することができる。分光 Further, the spectral
以上説明したように、第12の実施形態に係るイメージセンサの分光感度測定装置102は、局所領域210を複数有するチャート200を局所領域210ごとに撮像する撮像部10と、撮像部10によって撮像された局所領域210に基づいて、その局所領域210に対応する局所画像の画素値を測定する画素値測定部20と、画素値測定部20で測定された局所画像の画素値bと、局所領域210の分光特性Aとに基づいて、その局所画像の分光感度xを測定する分光感度測定部40と、を備えている。分光感度測定部40は、複数の分光感度xからイメージセンサの面全体における分光感度Xを算出することもできる。As described above, the spectral
これにより、本技術に係る第12の実施形態のイメージセンサの分光感度測定装置102は、イメージセンサ100を分光器として使用することができるので、分光感度測定装置の大型化を回避することができる。Accordingly, the spectral
<14.第13の実施形態の分光感度測定装置(第2の例)>
以下に、本技術に係る第13の実施形態の分光感度測定装置について、説明する。<14. Spectral sensitivity measuring apparatus of thirteenth embodiment (second example)>
Hereinafter, a spectral sensitivity measurement device according to a thirteenth embodiment of the present technology will be described.
本技術に係る第13の実施形態の分光感度測定装置は、撮像画像に対して補正を行うことができるので、より高精度に分光感度を測定することができる。分光 The spectral sensitivity measuring device according to the thirteenth embodiment of the present technology can perform correction on a captured image, and thus can measure spectral sensitivity with higher accuracy.
本技術に係る第13の実施形態の分光感度測定装置は、本技術に係る第12の実施形態の分光感度測定装置に、更に補正部を備えるようになっている。なお、第12の実施形態の分光感度測定装置と同一の構成には同一の符号を付し、説明を適宜省略するものとする。また、第13の実施形態の分光感度測定装置は、イメージセンサと別体であっても、又は一体であってもよい。第13の実施形態では、分光感度測定装置が、イメージセンサと一体の場合について説明する。分光 The spectral sensitivity measuring device of the thirteenth embodiment according to the present technology is such that the spectral sensitivity measuring device of the twelfth embodiment according to the present technology further includes a correction unit. Note that the same components as those of the spectral sensitivity measuring device of the twelfth embodiment are denoted by the same reference numerals, and description thereof will be omitted as appropriate. Further, the spectral sensitivity measurement device of the thirteenth embodiment may be separate from or integrated with the image sensor. In the thirteenth embodiment, a case where the spectral sensitivity measurement device is integrated with an image sensor will be described.
図15に、本技術に係る第13の実施形態の分光感度測定装置103の構成の一例を示す。図15は、第13の実施形態の分光感度測定装置103の構成の一例を示した機能ブロック図である。FIG. 15 shows an example of the configuration of the spectral
図15に示すように、第13の実施形態の分光感度測定装置103は、第12の実施形態の分光感度測定装置100に、補正部50を更に備えるようになっている。As shown in FIG. 15, the spectral
補正部50は、第1の補正部51と、第2の補正部52とを備えている。なお、補正部50は、第1の補正部51と第2の補正部52の両方を備えている必要はなく、例えば、第1の補正部51又は第2の補正部52の少なくともいずれか一方を備えていればよい。The
第1の補正部51は、補正用チャートに基づいて、補正用チャートに対応する第1の補正画像を用いて、チャート画像の輝度ムラを補正するようになっている。なお、第1の補正画像を、図15において単に画像という。{Circle around (1)} The first correction section 51 corrects the luminance unevenness of the chart image based on the correction chart, using the first correction image corresponding to the correction chart. Note that the first corrected image is simply referred to as an image in FIG.
第2の補正部52は、ノイズ除去用画像に基づいて、ノイズ除去用画像に対応する第2の補正画像を用いて、チャート画像の固定パターンノイズを除去するようになっている。なお、第2の補正画像を、図15において単に画像という。{Circle around (2)} The
まず、第1の補正部51による第1の補正処理について説明する。First, the first correction process performed by the first correction unit 51 will be described.
撮像部10Aは、撮像される撮像面内で分光反射率が略一定の補正用チャートを撮像し、シェーディングを測定する。ここで、分光反射率が略一定とは、例えば、補正用チャートの分光反射率の50%を基準とした場合、分光反射率が48%から52%となるチャートを略一定とする。即ち、例えば、分光反射率を所定の基準値(例えば、50%)に対して、±2%の幅を略一定と規定することができる。また、分光反射率が一定とは、略一定に含まれるものとする。また、基準値となる50%は、所望の値に設定することができる。(4) The
撮像部10Aは、補正用チャートを撮像すると、シェーディング補正関数sを示す次式を適用し、シェーディング補正データを求める。
次に、撮像部10Aは、局所領域210ごとに撮像し、その局所領域210に対応する局所画像を生成する。分光感度測定装置100Aは、画素値測定部20Aにおいて、局所領域210に基づいて、局所領域210に対応する局所画像の画素値bを測定する。Next, the
次に、分光感度測定装置100Aは、第1の補正部51において、画素値bにシェーディング補正関数sを適用することにより、輝度ムラを補正する。Next, in the spectral sensitivity measurement device 100A, the first correction unit 51 corrects the luminance unevenness by applying the shading correction function s to the pixel value b.
これにより、分光感度測定装置100Aは、分光感度測定部41において、Tikhonov正則化を適用し、次式により、輝度ムラを補正したセンサの分光感度xを求めることができる。
なお、λは、正則化パラメータを意味し、Fは、1次微分方程式、2次微分方程式からなる微分行列とする。Note that λ represents a regularization parameter, and F is a differential matrix composed of a first-order differential equation and a second-order differential equation.
次に、第2の補正部52による第2の補正処理について説明する。Next, a second correction process performed by the
まず、撮像部10Aは、局所領域210を遮光した状態でノイズ除去用画像を撮像する。ノイズ除去用画像は、遮光されて撮像されるため、特に、限定されるものではない。撮像部10Aは、ノイズ除去用画像を撮像し、撮像されたノイズ除去用画像に基づいて、ノイズ除去用画像に対応する第2の補正画像を用いて、固定パターンノイズを測定する。First, the
次に、撮像部10Aは、局所領域210ごとに撮像し、その局所領域210に対応する局所画像を生成する。Next, the
そして、分光感度測定装置100Aは、第2の補正部52において、局所領域210に対応する局所画像の画素ごとに固定パターンノイズを除去する。{Circle around (2)} In the spectral sensitivity measuring apparatus 100A, the
これにより、分光感度測定装置100Aは、画素値測定部20Aにおいて、固定パターンノイズを除去した局所画像の画素値bを測定することができる。Thereby, the spectral sensitivity measurement device 100A can measure the pixel value b of the local image from which the fixed pattern noise has been removed in the pixel
また、第13の実施形態の分光感度測定装置100Aでは、撮像部10Aが、補正用チャート及びノイズ除去用画像を複数回撮像するようにしてもよい。この場合、撮像部10Aは、同一の局所領域210を複数回撮像する。In the spectral sensitivity measurement device 100A of the thirteenth embodiment, the
これにより、撮像部10Aは、複数回の撮像に基づく平均画像を生成することができる。また、撮像部10Aは、補正用チャート及びノイズ除去用画像もそれぞれ平均画像を生成することができる。Accordingly, the
これにより、本技術に係る第13の実施形態の分光感度測定装置100Aは、局所領域210に対応する局所画像の平均画像に、補正用チャートの平均画像とノイズ除去用画像の平均画像とによる補正を適用し、複数の平均分光感度xからイメージセンサの面全体における平均分光感度Xを算出することができる。Accordingly, the spectral sensitivity measurement apparatus 100A according to the thirteenth embodiment of the present technology corrects the average image of the local image corresponding to the local region 210 by using the average image of the correction chart and the average image of the noise removal image. Is applied, the average spectral sensitivity X over the entire surface of the image sensor can be calculated from the plurality of average spectral sensitivities x.
本技術に係る第13の実施形態の分光感度測定装置によれば、撮像画像に対して補正を行うことができるので、より高精度に分光感度を測定することができる。According to the spectral sensitivity measurement device of the thirteenth embodiment of the present technology, since it is possible to perform correction on a captured image, it is possible to measure spectral sensitivity with higher accuracy.
なお、本技術に係る実施形態は、上述した実施形態に限定されるものではなく、本技術の要旨を逸脱しない範囲において種々の変更が可能である。The embodiments according to the present technology are not limited to the above-described embodiments, and various changes can be made without departing from the gist of the present technology.
例えば、第1の実施形態から第13の実施形態において、イメージセンサ100は、撮像する局所領域210を1パッチずらして繰り返し撮像するようになっていた。イメージセンサ100は、局所領域210をずらす処理をイメージセンサ100の内部で撮像領域IRをずらしてもよく、また、イメージセンサ100自体又はチャート200自体が移動する形態であってもよい。For example, in the first to thirteenth embodiments, the
また、本明細書に記載された効果はあくまでも例示であって限定されるものではなく、また他の効果があってもよい。効果 In addition, the effects described in the present specification are merely examples and are not limited, and may have other effects.
また、本技術は、以下のような構成を取ることができる。
[1]少なくとも2種以上の色から構成される局所領域を複数有するチャートを、当該局所領域ごとに撮像することと、
撮像された前記局所領域に基づいて、前記局所領域に対応する局所画像の画素値を測定することと、
測定された前記局所画像の画素値と、前記局所領域の分光特性とに基づいて、当該局所画像の分光感度を測定すること、
とを含む、イメージセンサの分光感度測定方法。
[2]前記局所領域を撮像した後、当該局所領域とは異なる局所領域を撮像して、それぞれ前記分光感度を測定し、複数の前記分光感度からイメージセンサの面全体における分光感度を算出することを含む、前記[1]に記載のイメージセンサの分光感度測定方法。
[3]前記局所領域を複数回撮像して、複数の前記局所画像から平均画像を生成することと、
生成された前記平均画像の画素値を測定することと、
測定された前記平均画像の画素値と、前記局所領域の分光特性とに基づいて、当該平均画像の平均分光感度を測定し、複数の前記平均分光感度から前記イメージセンサの面全体における平均分光感度を算出すること、
とを含む、前記[1]又は[2]に記載のイメージセンサの分光感度測定方法。
[4]前記局所領域が撮像された後、撮像された当該局所領域に隣接する1以上の色単位で撮像領域を変更し、繰り返し撮像することを含む、前記[1]乃至[3]のいずれか1つに記載のイメージセンサの分光感度測定方法。
[5]撮像される撮像面内で分光反射率が略一定の補正用チャートを撮像することと、
撮像された前記補正用チャートに基づいて、前記補正用チャートに対応する第1の補正画像を用いて、チャート画像の輝度ムラを補正する、第1の補正をすることを含む、前記[1]乃至[4]のいずれか1つに記載のイメージセンサの分光感度測定方法。
[6]前記局所領域を遮光した状態でノイズ除去用画像を撮像することと、
撮像された前記ノイズ除去用画像に基づいて、前記ノイズ除去用画像に対応する第2の補正画像を用いて、チャート画像の固定パターンノイズを除去する、第2の補正をすることを含む、前記[1]乃至[5]のいずれか1つに記載のイメージセンサの分光感度測定方法。
[7]前記チャートに2以上の照明光が照射され、その照射によって反射された反射光に基づき前記局所領域を撮像することを含む、前記[1]乃至[6]のいずれか1つに記載のイメージセンサの分光感度測定方法。
[8]前記照明光は、LED又はレーザ光であって、
反射された前記LED又は前記レーザ光に基づき前記局所領域を撮像する、前記[7]に記載のイメージセンサの分光感度測定方法。
[9]前記チャートを構成する色が、少なくとも1種以上の光源により生成され、
前記光源によって生成された色の光を、分光感度を測定するイメージセンサに照射することを含む、前記[1]乃至[8]のいずれか1つに記載のイメージセンサの分光感度測定方法。
[10]前記チャートが、検知可能な被写体として形成され、
当該チャートの一部にマーカーが設けられ、
前記マーカーの位置が前記イメージセンサに検知された後、前記局所領域ごとの撮像が開始されることを含む、前記[1]乃至[9]のいずれか1つに記載のイメージセンサの分光感度測定方法。
[11]前記チャートが、波長を連続的に変化させ、所定の波長を出力することを含む、前記[1]乃至[10]のいずれか1つに記載のイメージセンサの分光感度測定方法。
[12]前記チャートが、透過式のチャートに形成され、
前記局所領域が撮像され、前記局所領域と対向する位置に前記局所画像が生成され、
前記局所画像が生成される前記チャートの逆側から、光を照射するバックライト光源が分光感度を測定するイメージセンサに光を照射することを含む、前記[11]に記載のイメージセンサの分光感度測定方法。
[13]前記チャートが、透過式のチャートに形成され、
前記局所領域が撮像され、前記局所領域と対向する位置に前記局所画像が生成され、
前記局所画像が生成される前記チャートの逆側から、光を照射するバックライト光源が分光感度を測定するイメージセンサに光を照射することを含む、前記[1]乃至[11]のいずれか1つに記載のイメージセンサの分光感度測定方法。
[14]前記チャートには、前記2種以上の色が空間方向に所定の繰り返しによって配列されることを含む、前記[1]乃至[13]のいずれか1つに記載のイメージセンサの分光感度測定方法。
[15]少なくとも2種以上の色から構成される局所領域を複数有するチャートを、当該局所領域ごとに撮像する撮像部によって撮像することと、
撮像された前記局所領域に基づいて、前記局所領域に対応する局所画像の画素値を測定することと、
測定された前記局所画像の画素値と、前記撮像部の分光感度とに基づいて、前記局所領域の分光特性を測定することと、
測定された前記分光特性に設けられる所定の閾値に基づいて、前記撮像部が良品か否かを閾値判定することと、
前記撮像部を含む分光感度測定装置の選別を行うこと、
とを含む、分光感度測定装置の検査方法。
[16]少なくとも2種以上の色から構成される局所領域を複数有するチャートを、当該局所領域ごとに撮像する撮像部と、
前記撮像部によって撮像された前記局所領域に基づいて、前記局所領域に対応する局所画像の画素値を測定する画素値測定部と、
前記画素値測定部で測定された前記局所画像の画素値と、前記局所領域の分光特性とに基づいて、当該局所画像の分光感度を測定する分光感度測定部と、
を備えるイメージセンサの分光感度測定装置。Further, the present technology can have the following configurations.
[1] imaging a chart having a plurality of local regions composed of at least two or more colors for each of the local regions;
Based on the captured local region, measuring a pixel value of a local image corresponding to the local region,
Based on the measured pixel values of the local image and the spectral characteristics of the local region, measuring the spectral sensitivity of the local image,
And a method for measuring the spectral sensitivity of the image sensor.
[2] After capturing the local region, capturing a local region different from the local region, measuring the spectral sensitivities, and calculating spectral sensitivities on the entire surface of the image sensor from a plurality of the spectral sensitivities. The method for measuring the spectral sensitivity of an image sensor according to [1], comprising:
[3] imaging the local region a plurality of times and generating an average image from the plurality of local images;
Measuring the pixel value of the generated average image;
The average spectral sensitivity of the average image is measured based on the measured pixel values of the average image and the spectral characteristics of the local region, and the average spectral sensitivity over the entire surface of the image sensor is measured from a plurality of the average spectral sensitivities. Calculating,
The spectral sensitivity measuring method for an image sensor according to [1] or [2], comprising:
[4] Any of the above-mentioned [1] to [3], including, after the local region is imaged, changing the imaging region in one or more colors adjacent to the imaged local region and repeatedly imaging. The method for measuring the spectral sensitivity of an image sensor according to any one of the preceding claims.
[5] imaging a correction chart whose spectral reflectance is substantially constant in the imaging plane where the imaging is performed;
[1] The method according to [1], wherein the first correction includes correcting a luminance unevenness of the chart image using a first correction image corresponding to the correction chart based on the captured correction chart. A method for measuring the spectral sensitivity of an image sensor according to any one of claims 1 to 4.
[6] capturing an image for noise removal in a state where the local region is shielded from light,
Based on the captured noise removal image, using a second correction image corresponding to the noise removal image, removing a fixed pattern noise of the chart image, and performing a second correction. The method for measuring the spectral sensitivity of an image sensor according to any one of [1] to [5].
[7] The chart according to any one of [1] to [6], including irradiating the chart with two or more illumination lights, and imaging the local region based on reflected light reflected by the irradiation. Of measuring the spectral sensitivity of an image sensor.
[8] The illumination light is LED or laser light,
The spectral sensitivity measurement method for an image sensor according to [7], wherein the local area is imaged based on the reflected LED or laser light.
[9] The colors constituting the chart are generated by at least one or more light sources,
The method for measuring the spectral sensitivity of an image sensor according to any one of [1] to [8], including irradiating light of a color generated by the light source to an image sensor for measuring spectral sensitivity.
[10] The chart is formed as a detectable subject,
A marker is provided in a part of the chart,
The spectral sensitivity measurement of the image sensor according to any one of [1] to [9], including starting imaging of each of the local regions after the position of the marker is detected by the image sensor. Method.
[11] The spectral sensitivity measuring method for an image sensor according to any one of [1] to [10], wherein the chart includes continuously changing a wavelength and outputting a predetermined wavelength.
[12] The chart is formed into a transmission chart,
The local region is imaged, and the local image is generated at a position facing the local region,
The spectral sensitivity of the image sensor according to [11], including that a backlight light source that emits light emits light to an image sensor that measures spectral sensitivity from the opposite side of the chart where the local image is generated. Measuring method.
[13] The chart is formed into a transmission chart,
The local region is imaged, and the local image is generated at a position facing the local region,
Any one of the above [1] to [11], including: from the opposite side of the chart where the local image is generated, a backlight light source that emits light emits light to an image sensor that measures spectral sensitivity. 5. A method for measuring the spectral sensitivity of an image sensor according to any one of the above.
[14] The spectral sensitivity of the image sensor according to any one of [1] to [13], wherein the chart includes that the two or more colors are arranged in a spatial direction by predetermined repetition. Measuring method.
[15] capturing an image of a chart having a plurality of local regions composed of at least two or more colors by an imaging unit that captures an image for each local region;
Based on the captured local region, measuring a pixel value of a local image corresponding to the local region,
Measuring the spectral characteristics of the local region based on the measured pixel values of the local image and the spectral sensitivity of the imaging unit;
Based on a predetermined threshold provided for the measured spectral characteristics, to determine whether the imaging unit is non-defective threshold value,
Selecting a spectral sensitivity measurement device including the imaging unit,
An inspection method for a spectral sensitivity measurement device, comprising:
[16] an imaging unit configured to image a chart having a plurality of local regions including at least two or more colors for each of the local regions;
A pixel value measurement unit that measures a pixel value of a local image corresponding to the local region based on the local region imaged by the imaging unit;
Based on the pixel value of the local image measured by the pixel value measurement unit, based on the spectral characteristics of the local region, a spectral sensitivity measurement unit that measures the spectral sensitivity of the local image,
An image sensor spectral sensitivity measuring device comprising:
10、10A 撮像部
20、20A 画素値測定部
30 照明情報取得部
40 分光感度測定部
41 分光特性測定部
50 補正部
51 第1の補正部
52 第2の補正部
60 閾値判定部
70 選別部
100、101、102 分光感度測定装置(イメージセンサ)
200、200A、200B、220、241、242、250 チャート
201、202、203、204、205、206、207、208、209、210 局所領域
300 照明
330、340 バックライト光源
331 バックライト
332 リニアバリアブルフィルタ
333 ガラス基板
334 ガラスフィルタ10,
200, 200A, 200B, 220, 241, 242, 250
| Application Number | Priority Date | Filing Date | Title |
|---|---|---|---|
| JP2018120713AJP2020005053A (en) | 2018-06-26 | 2018-06-26 | Spectral sensitivity measurement method for image sensors, inspection method for spectral sensitivity measurement devices, and spectral sensitivity measurement device |
| JP2018-120713 | 2018-06-26 |
| Publication Number | Publication Date |
|---|---|
| WO2020003673A1true WO2020003673A1 (en) | 2020-01-02 |
| Application Number | Title | Priority Date | Filing Date |
|---|---|---|---|
| PCT/JP2019/014410CeasedWO2020003673A1 (en) | 2018-06-26 | 2019-04-01 | Spectral sensitivity measurement method for image sensors, inspection method for spectral sensitivity measurement devices, and spectral sensitivity measurement device |
| Country | Link |
|---|---|
| JP (1) | JP2020005053A (en) |
| WO (1) | WO2020003673A1 (en) |
| Publication number | Priority date | Publication date | Assignee | Title |
|---|---|---|---|---|
| EP4398591A4 (en)* | 2021-09-03 | 2025-01-22 | Sony Semiconductor Solutions Corporation | DEVICE FOR MEASURING SPECTRAL SENSITIVITY AND METHOD FOR MEASURING SPECTRAL SENSITIVITY |
| Publication number | Priority date | Publication date | Assignee | Title |
|---|---|---|---|---|
| JP2022117205A (en) | 2021-01-29 | 2022-08-10 | ソニーセミコンダクタソリューションズ株式会社 | Information processing device, imaging system, information processing method and program |
| Publication number | Priority date | Publication date | Assignee | Title |
|---|---|---|---|---|
| JP2009141684A (en)* | 2007-12-06 | 2009-06-25 | Olympus Corp | Color conversion coefficient calculation device, color conversion coefficient calculation program, and color conversion coefficient calculation method |
| JP2012010276A (en)* | 2010-06-28 | 2012-01-12 | Sony Corp | Image processing apparatus, image processing method, and image processing program |
| JP2016052112A (en)* | 2014-08-28 | 2016-04-11 | 株式会社東芝 | Tester of solid-state image sensor and test method |
| Publication number | Priority date | Publication date | Assignee | Title |
|---|---|---|---|---|
| JP2009141684A (en)* | 2007-12-06 | 2009-06-25 | Olympus Corp | Color conversion coefficient calculation device, color conversion coefficient calculation program, and color conversion coefficient calculation method |
| JP2012010276A (en)* | 2010-06-28 | 2012-01-12 | Sony Corp | Image processing apparatus, image processing method, and image processing program |
| JP2016052112A (en)* | 2014-08-28 | 2016-04-11 | 株式会社東芝 | Tester of solid-state image sensor and test method |
| Publication number | Priority date | Publication date | Assignee | Title |
|---|---|---|---|---|
| EP4398591A4 (en)* | 2021-09-03 | 2025-01-22 | Sony Semiconductor Solutions Corporation | DEVICE FOR MEASURING SPECTRAL SENSITIVITY AND METHOD FOR MEASURING SPECTRAL SENSITIVITY |
| Publication number | Publication date |
|---|---|
| JP2020005053A (en) | 2020-01-09 |
| Publication | Publication Date | Title |
|---|---|---|
| JP7200204B2 (en) | Systems and methods for calibrating, configuring, and validating imaging devices or systems for multiple tissue assays | |
| JP6816572B2 (en) | Color measuring device, color measuring method and program | |
| JP6676398B2 (en) | Colorimetric system for display inspection | |
| JP2016510408A5 (en) | ||
| JP5412694B2 (en) | Light source measurement method and light source measurement system | |
| JP2010127739A (en) | Spectral sensitivity characteristic measurement apparatus and spectral sensitivity characteristic measurement method | |
| JP7629437B2 (en) | Imaging unit and measuring device | |
| JP2015178995A (en) | Tone calibration device, imaging device and tone inspection device | |
| WO2020003673A1 (en) | Spectral sensitivity measurement method for image sensors, inspection method for spectral sensitivity measurement devices, and spectral sensitivity measurement device | |
| JP4904377B2 (en) | Hyperspectral image processing apparatus and hyperspectral image processing method | |
| CN100543572C (en) | Imaging system, imaging device analysis system, imaging device analysis method, and beam emitting method | |
| JP7491084B2 (en) | CALIBRATION DEVICE, CALIBRATION METHOD, CALIBRATION PROGRAM, SPECTROSCOPIC CAMERA, AND INFORMATION PROCESSING APPARATUS | |
| WO2017026296A1 (en) | Sample measurement apparatus | |
| KR102022836B1 (en) | Apparatus for measuring light, system and method thereof | |
| JP2005195365A (en) | White calibration method and 2-dimensional photometric system | |
| US20240240933A1 (en) | Film thickness measurement device and film thickness measurement method | |
| JP2022177441A (en) | Spectrometer and computer program |
| Date | Code | Title | Description |
|---|---|---|---|
| 121 | Ep: the epo has been informed by wipo that ep was designated in this application | Ref document number:19827259 Country of ref document:EP Kind code of ref document:A1 | |
| NENP | Non-entry into the national phase | Ref country code:DE | |
| 122 | Ep: pct application non-entry in european phase | Ref document number:19827259 Country of ref document:EP Kind code of ref document:A1 |